EEA – Empresa de Engenharia Ambiental Ltda. eea@eea.eng.br
Curso de Tratamento de Esgoto – texto oferecido gratuitamente pela Empresa de Engenharia Ambiental - EEA
Divulgação neste site (www.comitepcj.sp.gov.br) por iniciativa da Câmara Técnica de Saneamento (CT-SA) dos Comitês PCJ
162
4. Fundamentos do tratamento biológico.
4.1 Noções de ecologia.
Ecologia: é a ciência que estuda as condições de existência dos seres vivos.
Biomassa: é a associação de seres vivos, formando uma quantidade de matéria viva, com
volume e superfície definidas.
Biótipo: é o conjunto de condições necessárias para favorecer o habitat de uma
determinada biomassa.
Ecossistema: são longos processos de adaptação entre as espécies e o meio. São dotados
de transformação, evolução e regularização. Dentro de certos limites podem resistir a
modificações nas condições de vida.
Cadeia alimentar: Trata-se de um ecossistema que compreende um certo número de
níveis tróficos.
Níveis tróficos: produtores primários, consumidores de 1 ª ordem, consumidores de 2 ª
ordem e decompositores.
Produtores primários: São os organismos autótrofos, capazes de fabricar e acumular
energia potencial, em forma química das matérias orgânicas que sintetizam.
Consumidores de 1 ª ordem: São heterótrofos que se alimentam dos produtores
autótrofos.
Consumidores de 2 ª ordem: São heterótrofos carnívoros, que se alimentam de outros
heterótrofos.
Decompositores: Correspondem ao término da cadeia. São microrganismos e bactérias
que decompõem a matéria orgânica.
EEA – Empresa de Engenharia Ambiental Ltda. eea@eea.eng.br
Curso de Tratamento de Esgoto – texto oferecido gratuitamente pela Empresa de Engenharia Ambiental - EEA
Divulgação neste site (www.comitepcj.sp.gov.br) por iniciativa da Câmara Técnica de Saneamento (CT-SA) dos Comitês PCJ
163
4.2 Noções de biologia.
Os seres vivos são formados por um elevado grau de organização de átomos nas
moléculas e destas entre si, com a capacidade de agir sobre o meio, de maneira a
transformar substâncias estranhas à sua natureza em substâncias constituintes à sua
estrutura. Os seres vivos são separados em 3 reinos: animau, vegetal e protista, mas
podem ser classificados pelas suas propriedades de nutrição, crescimento, reprodução e
irritabilidade.
O reino animal pode ser caracterizado principalmente, pela grande atividade
locomotora e pela nutrição heterotrófica (ingestão obrigatória de compostos orgânicos);
O reino vegetal é caracterizado por seres fixados por raízes, com coloração verde,
produtores de matéria orgânica e O2 e consumidores de CO2. Entretanto, há exceções,
como as algas. Estas apesar de possuírem celulose e pigmento verde, apresentam
locomoção através de flagelos;
O reino protista é caracterizado por seres unicelulares, que podem viver
agrupados ou não.
Obs.: Alguns biólogos consideram o reino protista, inserido ao reino vegetal.
EEA – Empresa de Engenharia Ambiental Ltda. eea@eea.eng.br
Curso de Tratamento de Esgoto – texto oferecido gratuitamente pela Empresa de Engenharia Ambiental - EEA
Divulgação neste site (www.comitepcj.sp.gov.br) por iniciativa da Câmara Técnica de Saneamento (CT-SA) dos Comitês PCJ
164
Classificação quanto às formas de alimentação:
Digestão heterotrófica: Organismos que necessitam de substâncias altamente complexas
na sua dieta.
Digestão autotrófica: Organismos que sintetizam seu próprio alimento, ou seja,
sintetizam moléculas de elevada estrutura, a partir de moléculas de baixa energia.
Digestão típica dos vegetais, sendo as principais fontes de energia, a luz e as reações
químicas.
Classificação quanto a fonte de Energia:
Autotróficos:
Luz : Os organismos clorofilados utilizam a luz para transformar substâncias de
estrutura simples, em compostos orgânicos, sendo assim, denominados
fotossintetizantes.
6 CO2 + 12 H2O C6H12O6 + 6 H2O + 6O2
673 kCAL
CLOROFILA
SERES VIVOS
nutrição crescimento reprodução irritabilidade
animais vegetais protistas
aeróbios anaeróbios
Algumas classificações dadas aos seres vivos
EEA – Empresa de Engenharia Ambiental Ltda. eea@eea.eng.br
Curso de Tratamento de Esgoto – texto oferecido gratuitamente pela Empresa de Engenharia Ambiental - EEA
Divulgação neste site (www.comitepcj.sp.gov.br) por iniciativa da Câmara Técnica de Saneamento (CT-SA) dos Comitês PCJ
165
O oxigênio liberado na fotossíntese é parcialmente usado para a respiração vegetal
e o restante é liberado para o meio.
Para o meio aquático, não é suficiente somente o O2 proveniente do contato do ar
com a superfície aquática, muitas vezes é necessário que existam vegetais subaquáticos,
que produzam oxigênio para a respiração dos peixes e outros tipos de vida animau.
Reações químicas: As bactérias e algas nutrem-se através de reações químicas, não
necessitando obrigatoriamente de energia solar. O maior exemplo de bactérias
quimiossintetizantes são as encontradas no solo e nas águas. As bactérias nitrificantes são
um dos exemplos, onde a amônia é oxidada a nitritos e estes a nitratos.
Transformação de nitrito para nitrato libera-se 17 Kcal:
Essas bactérias têm importância econômica como agentes nitrificadores do solo
ou podem ser também causadores do enriquecimento da água de nitritos e nitratos a partir
da amônia.
Nitrosomonas e nitrobacter são os principais grupos de bactérias responsáveis
pelo processo chamado de nitrificação.
Heterotróficos:
Tem como principais fontes nutricionais os aminoácidos, gorduras e açúcares.
Através de ação mecânica, as substâncias se transformam em matéria pastosa, iniciando-
se assim, a digestão química que promove a redução das partículas, através da
fragmentação das moléculas mais complexas em outras mais simples e menores, capazes
de atravessar o aparelho digestivo e penetrar no sangue ou nas células.
Os elementos químicos responsáveis pela redução das partículas são as enzimas
ou fermentos digestivos. A digestão é feita em duas etapas, uma ácida (Ex: estômago), e
outra alcalina (ex.: intestino).
NH4 + 1 ½ O2 2H + H2O + NO2 + 66 KCAL
NO2 + ½ O2 NO3 + 17 kcal
EEA – Empresa de Engenharia Ambiental Ltda. eea@eea.eng.br
Curso de Tratamento de Esgoto – texto oferecido gratuitamente pela Empresa de Engenharia Ambiental - EEA
Divulgação neste site (www.comitepcj.sp.gov.br) por iniciativa da Câmara Técnica de Saneamento (CT-SA) dos Comitês PCJ
166
Classificação segundo a respiração:
A respiração é fonte de energia, para que os animais possam realizar movimentos
e outras reações.
Respiração aeróbia: ocorre conforme a equação abaixo. A transformação de glicose em
gás carbônico e água depende da presença de oxigênio. Este fenômeno ocorre nos
animais, através do pulmão ou das brânquias. Já os vegetais não necessitam de órgãos,
pois retiram O2 da própria célula fotossintetizante.
A transformação de material em energia se faz de maneira oposta à da
fotossíntese:
A obtenção de glicose pelos organismos vivos é realizada por um dos três
processos de nutrição: fotossíntese, quimiossíntese ou nutrição heterotrófica, já o
oxigênio é obtido através da fotossíntese, que ocorre nos vegetais.
Respiração anaeróbia: é realizada através da retirada de átomos de oxigênio das
moléculas orgânicas, por qualquer substância, excluindo-se o O2.
A denominação de fermentação para a respiração anaeróbia nem sempre é muito
aceita, visto que muitas vezes este processo se realiza com a respiração aeróbia.
Em geral há desprendimento de gás carbônico e acúmulo de álcool etílico no
interior das células. Além do álcool, podem formar-se ácidos orgânicos.
Respiração facultativa: Alguns habitantes podem variar sua respiração entre aeróbia e
anaeróbia. Eles podem inclusive ter uma respiração intramolecular. Esses
microrganismos são importantes, principalmente para o reconhecimento de ambientes
pobres em oxigênio como por exemplo, nas águas que recebem despejos ou esgoto
doméstico, ou ainda, para reconhecer a condição vigente no fundo de lagos e rios.
6 CO2 + 6 H2O + 673 KcalC6H12O6 + 6O2
2 CO2 + 2C2H3OH + 34,4 KcalC6H12O6
EEA – Empresa de Engenharia Ambiental Ltda. eea@eea.eng.br
Curso de Tratamento de Esgoto – texto oferecido gratuitamente pela Empresa de Engenharia Ambiental - EEA
Divulgação neste site (www.comitepcj.sp.gov.br) por iniciativa da Câmara Técnica de Saneamento (CT-SA) dos Comitês PCJ
167
Conseqüência da respiração para o ambiente aquático:
Os processos oxidativos podem causar forte depressão na curva de oxigênio de
um rio. Microrganismos, animais, bem como vegetais heterotróficos, quando proliferam
em grande número, podem reduzir o oxigênio dissolvido da massa d’água até quase a
zero. É lógico que a proliferação destes dependem das fontes de alimento, ou seja, M.O.
Portanto, a disposição de M.O. em excesso no meio está diretamente ligado ao consumo
de O2. Em outras palavras a demanda de oxigênio de um rio é na realidade uma demanda
respiratória, uma vez que a oxidação desse material é realizada exclusivamente por via
enzimática.
Outra conseqüência da presença de M.O. no meio aquático é o aumento da
concentração de CO2, e a conseqüente diminuição do pH.
Em meio aquático com muitas plantas são observados durante o dia o aumento do
pH pela produção de O2 e durante a noite a diminuição do pH pela produção de CO2, pois
neste horário eles só consomem o O2.
Noite : Só ocorre respiração : consumo de O2;
Dia : Fotossíntese > respiração : Produção de O2;
Essas variações bruscas são observadas nas lagoas de estabilização.
- Comparação entre a respiração aeróbia e anaeróbia:
O calor liberado na equação do processo anaeróbio é cerca de 5% da energia
liberada em aerobiose. Como é provável que a ordem de magnitude da energia necessária
para a fabricação de novas células seja a mesma em ambos os casos, se chega a conclusão
de que , no campo bacteriano, é muito mais econômico buscar a energia vital em
processos aeróbios, que em processos anaeróbios. Em outras palavras a multiplicação
celular será muito mais abundante no primeiro caso do que no segundo e como
conseqüência, o processo de degradação, será muito mais rápido supondo-se a igualdade
dos restantes das condições.
EEA – Empresa de Engenharia Ambiental Ltda. eea@eea.eng.br
Curso de Tratamento de Esgoto – texto oferecido gratuitamente pela Empresa de Engenharia Ambiental - EEA
Divulgação neste site (www.comitepcj.sp.gov.br) por iniciativa da Câmara Técnica de Saneamento (CT-SA) dos Comitês PCJ
168
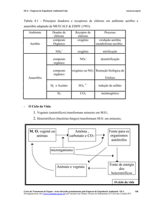
Tabela 4.1 - Principais doadores e receptores de elétrons em ambiente aeróbio e
anaeróbio adaptado de METCALF & EDDY (1991).
Ambiente Doador de Receptor de Processo
elétrons elétrons
composto oxigênio oxidação aeróbia
Aeróbio Orgânico metabolismo aeróbio
NH4
+
oxigênio nitrificação
composto
orgânico
NO3
-
desnitrificação
composto
orgânico
oxigênio ou NO3
-
Remoção biológica de
Anaeróbio Fósforo
H2 e Acetato SO4
2 -
redução de sulfato
H2 CO2 metanogênico
- O Ciclo da Vida:
1. Vegetais (autotróficos) transformam minerais em M.O.;
2. Heterotróficos (bactérias-fungos) transformam M.O. em minerais;
M. O. vegetal ou
animau
Amônia ,
carbonato e CO2
microrganismo
s
Fonte para os
organismos
autótrofos
Fonte de energia
dos
heterotróficos
Animais e vegetais
O ciclo da vida
EEA – Empresa de Engenharia Ambiental Ltda. eea@eea.eng.br
Curso de Tratamento de Esgoto – texto oferecido gratuitamente pela Empresa de Engenharia Ambiental - EEA
Divulgação neste site (www.comitepcj.sp.gov.br) por iniciativa da Câmara Técnica de Saneamento (CT-SA) dos Comitês PCJ
169
Anabolismo: síntese de matéria viva.
Catabolismo: degradação de matéria nutritiva.
Metabolismo: é a soma dos processos físicos e químicos pelos quais os seres são
mantidos e produzidos (Alimento + energia = manutenção e reprodução).
- Bactérias:
São microrganismos unicelulares que podem viver isolados ou agrupados.
Reproduzem-se por simples divisão celular ou pela formação de esporos. Podem ser
autótrofas ou heterótrofas e podem ser aeróbias, anaeróbias ou facultativas.
As bactérias do grupo “Coli, habitam o intestino humano e de outros
homeotermos onde vivem, sem causar nenhum dano ao hospedeiro. São, entretanto, de
grande valor para o sanitarista, uma vez que a sua presença na água indica a
contaminação desta por fezes ou esgoto doméstico.
A grande importância sanitária das bactérias coliformes está na sua presença
obrigatória em toda a fonte contaminada por despejos domésticos. Admite-se que toda
a água que contenha mais de 1 ou 2 bacilos do grupo “Coli” em cada 100 cm3
pode
conter também bactérias patogênicas, sendo impróprias para consumo, sem
desinfecção prévia.
- Algas:
São organismos de estrutura simples e diferem-se das bactérias por apresentarem
núcleo celular e reprodução sexuada (a não ser as algas azuis).
As algas azuis são células envolvidas por bainha mucilaginosa, que dá pequena
aparência gelatinosa, que se forma na superfície de reservatórios de água. Essa bainha
serve de abrigo para bactérias, inclusive coliformes, que ali se protegem da ação do cloro,
aplicado para desinfecção. Recentemente tem sido evidenciada nos heterocistos a
EEA – Empresa de Engenharia Ambiental Ltda. eea@eea.eng.br
Curso de Tratamento de Esgoto – texto oferecido gratuitamente pela Empresa de Engenharia Ambiental - EEA
Divulgação neste site (www.comitepcj.sp.gov.br) por iniciativa da Câmara Técnica de Saneamento (CT-SA) dos Comitês PCJ
170
presença de enzimas responsáveis pela fixação de nitrogênio diretamente do ar. Isso vem
explicar a prioridade que tem, algumas cianofíceas (algas azuis), de desenvolver-se em
ambiente pobre em nitrogênio, mas rico em outros nutrientes, o que assume particular
importância no estudo do fenômeno de eutrofização.
As algas verdes geralmente encontradas em água doce, inclusive nas de
abastecimento, são dotadas de flagelos para locomoção.
Podem aparecer as algas vermelhas ou douradas, sendo estes casos um pouco mais
raros.
- Analogia entre a vida humana e os microorganismos:
Algumas semelhanças podem ser verificadas entre a vida existente dentro de um
reator de tratamento de esgotos, e uma população de uma cidade.
Quando a quantidade de comida para uma determinada população for abundante, as
pessoas vão se reproduzir, consequentemente a população aumentará, até o ponto que
comece a faltar comida. Neste momento, caso não exista outro meio de alimentação, as
pessoas mais fracas vão se alimentando cada vez menos, até que morram. Alguns
humanos (canibais) podem inclusive se alimentar de outros na falta de alimento,
principalmente no caso de fome. Numa cidade equilibrada, não faltará alimentação para a
população, e nem se jogará fora, pois a população vai crescer de acordo com a
alimentação disponível.
A população não deve ser nem muito jovem, e também não deve ser muito velha. Se a
população for muito velha, existirão muitas pessoas aposentadas sem trabalhar, e poucas
trabalhando. Se a população for muito jovem ocorrerão problemas semelhantes, portanto,
a população deve crescer de acordo com a quantidade de alimento disponível.
Todo ser vivo precisa de um tempo de adaptação, ou seja, caso uma família de
comilões mude sua alimentação e resolva trocar a feijoada por jiló como exemplo, sem
dúvida a quantidade que esta família come será reduzida. Percebe-se então que é
importante a afinidade entre o substrato e os microrganismos. Se a quantidade de
substrato que chega é maior que a taxa de crescimento populacional, então é importante
verificar se não é necessário optar por uma outra população, mais adaptável a este
substrato.
EEA – Empresa de Engenharia Ambiental Ltda. eea@eea.eng.br
Curso de Tratamento de Esgoto – texto oferecido gratuitamente pela Empresa de Engenharia Ambiental - EEA
Divulgação neste site (www.comitepcj.sp.gov.br) por iniciativa da Câmara Técnica de Saneamento (CT-SA) dos Comitês PCJ
171
4.3 Noções de Bacteriologia.
A fermentação compreende reações químicas produzidas na natureza, através de
microrganismos. A seguir serão demonstrados alguns tipos de fermentações ocorridas no
tratamento de esgoto.
- Fermentação alcoólica:
Consiste no desdobramento de açúcares em álcool e ácido carbônico. Os organismos
que provocam estas reações são Saccharomyces e Aspergillus. Trata-se de um processo
que ocorre em local aerado.
C6H12O6 → 2 C2H6O + 2 CO2
- Fermentação acética:
É a transformação de álcool em ácido acético, por influência da Acetobacter aceti em
meio aerado.
C2H6O + O2 → C2H4O2 + H2O
- Fermentação Láctica:
É a transformação de açúcares em ácido láctico, através da influência da bactéria
bacillus lacticus em meio aeróbio.
C12H22O11 + H2O → 2 C6H12O6 = 4 C3H6O3
- Fermentação butírica:
É a transformação de matéria orgânica complexa, em ácido butírico.
C6H12O6 → 2 CO2 + 2 H2 + C4H8O2 ( fermentação anaeróbia)
C2H6O + C4H4O2 → C4H8O2 + H2O ( fermentação anaeróbia )
EEA – Empresa de Engenharia Ambiental Ltda. eea@eea.eng.br
Curso de Tratamento de Esgoto – texto oferecido gratuitamente pela Empresa de Engenharia Ambiental - EEA
Divulgação neste site (www.comitepcj.sp.gov.br) por iniciativa da Câmara Técnica de Saneamento (CT-SA) dos Comitês PCJ
172
- Fermentação fórmica:
É a transformação de açúcares em metano. É conseqüência da fermentação butírica.
C6H12O6 → 3 CH4 + 3 CO2 (fermentação anaeróbia)
Obs.: todas estas fermentações serão detalhadas nos capítulos seguintes.
4.4 Principais microrganismos presentes no tratamento de esgoto.
Tabela 4.2 - Principais gêneros de bactérias encontradas no processo de lodos ativados e
suas respectivas funções ( HORAN, 1990).
GÊNEROS FUNÇÕES
Pseudomonas Remove carboidratos e promove desnitrificação.
Zooglea Formação de flocos
Bacillus Degradação de Proteínas.
Athrobacter Degradação de Carboidratos.
Microthrix Degradação de Gorduras, crescimento filamentoso.
Nocardia Crescimento filamentoso, formação de espuma e escuma.
Acinetobacter Remoção de Fósforo.
Nitrosomonas Nitrificação.
Nitrobacter Nitrificação
Achromobacter Desnitrificação.
EEA – Empresa de Engenharia Ambiental Ltda. eea@eea.eng.br
Curso de Tratamento de Esgoto – texto oferecido gratuitamente pela Empresa de Engenharia Ambiental - EEA
Divulgação neste site (www.comitepcj.sp.gov.br) por iniciativa da Câmara Técnica de Saneamento (CT-SA) dos Comitês PCJ
173
Tabela 4.3 - Agrupamento de organismos de diversos gêneros presentes em sistemas de
lodos ativados (VAZOLLÉR et al., 1989).
GRANDES GRUPOS GÊNEROS FREQÜENTES
Classe Ciliata Paramecium, Colpidium, Litonotus,
a) ciliados livres-natantes Trachelophyllum, Amphileptus,
Chilodonella
b) ciliados pedunculados Vorticella, Operculária, Epstylis,
Charchesium
e as suctórias Acineta e Podophrya.
c) ciliados livres, predadores do
floco
Aspidisca, Euplotes, Stylonychia, Oxytricha.
Classe Mastigophora - flagelados Bodo, Cercobodo, Mona sp, Oicomona sp,
Euglena sp, Cercomona sp, Peranema
Classe Sarcodina - amebas Amoeba, Arcella, Actinophrys,
Vanhlkampfi,
Astramoeba, Difflugia, Cochliopodium.
Classe Rotífera - rotíferos Philodina, Rotaria, Epidhanes.
Classe Nematoda - nematóides Rhabditis
Filo Anelida - anelídeos Aelosoma
Tabela 4.4 - Microrganismos indicadores das condições de depuração em sistemas de
lodos ativados (VAZOLLÉR et al., 1989).
MICRORGANISMOS CARACTERÍSTICAS DO PROCESSO
Predominância de flagelados e rizópodes Lodo jovem característico de início de
operação ou TRC* baixo
Predominância de flagelados Deficiência de aeração, má depuração e
sobrecarga orgânica
Predominância de ciliados pedunculares
e livres
Boas condições de depuração
Presença de Arcella (rizópode com teca) Boa depuração
Presença de Aspidisca costata
(ciliado livre)
Nitrificação
Presença de Trachelophyllum (ciliado
livre)
TRC* alto
Presença de Vorticella microstoma
(ciliado pedunculado) e baixa
concentração de ciliados livres
Efluente de má qualidade
Predominância de anelídeos do gênero
Aelosoma
Excesso de oxigênio dissolvido
Predominância de filamentos Intumescimento do lodo ou bulking
Filamentoso **
(*) Tempo de retenção celular, dia.
(**) Para caracterizar o intumescimento do lodo é necessário avaliar os flocos.
EEA – Empresa de Engenharia Ambiental Ltda. eea@eea.eng.br
Curso de Tratamento de Esgoto – texto oferecido gratuitamente pela Empresa de Engenharia Ambiental - EEA
Divulgação neste site (www.comitepcj.sp.gov.br) por iniciativa da Câmara Técnica de Saneamento (CT-SA) dos Comitês PCJ
174
Como demonstrado no quadro acima, existe a predominância de algumas
bactérias em relação a carga orgânica aplicada. Quanto maior o tempo de contato entre as
bactérias e o esgoto, maior a possibilidade de aparecimento de rotíferos, já se o tempo de
contato for pequeno, ocorrerá a predominância de flagelados.
Devemos lembrar que existem outros fatores que podem interferir na massa
bacteriana, sendo esses:
- Concentração de matéria orgânica presente no substrato;
- Quantidade de oxigênio presente dentro do reator;
- Características físico-químicas do afluente (temperatura, pH, alcalinidade, etc.)
- Carga orgânica aplicada;
- Carga hidráulica aplicada.
bactérias
Flagelados
Ciliados livres
rotíferos
Ciliados fixos
Tempo
N º de
micror.
Alta carga
Carga
convencional Baixa carga
Predominância relativa entre os microrganismos aeróbios
EEA – Empresa de Engenharia Ambiental Ltda. eea@eea.eng.br
Curso de Tratamento de Esgoto – texto oferecido gratuitamente pela Empresa de Engenharia Ambiental - EEA
Divulgação neste site (www.comitepcj.sp.gov.br) por iniciativa da Câmara Técnica de Saneamento (CT-SA) dos Comitês PCJ
175
4. 5. Crescimento Bacteriano.
Caso seja colocado num reator tipo batelada, um pequeno número de bactérias, e
este mesmo reator sejam alimentados com substrato suficiente para o crescimento das
bactérias, deve-se conseguir a curva de crescimento bacteriano demonstrada no gráfico
abaixo.
1. Adaptação: é uma fase de adaptação enzimática das bactérias ao novo substrato;
2. Crescimento rápido ou crescimento exponencial: Na fase de crescimento rápido as
células se dividem com uma taxa constante. Há excesso de substrato no meio, fazendo
com que o crescimento das bactérias não tenha o substrato como fator limitante de
crescimento;
3. Crescimento estacionário: O numero de células se mantém constante, devido a
morte de algumas células, ocasionada pela falta de alimentação;
4. Crescimento negativo: A falta de alimentação é agravante e a morte das células é
muito superior à divisão celular, causando com isso uma diminuição no número de
células dentro do reator.
Nº de células
1 2 3 4
tempo
Síntese endogenia
EEA – Empresa de Engenharia Ambiental Ltda. eea@eea.eng.br
Curso de Tratamento de Esgoto – texto oferecido gratuitamente pela Empresa de Engenharia Ambiental - EEA
Divulgação neste site (www.comitepcj.sp.gov.br) por iniciativa da Câmara Técnica de Saneamento (CT-SA) dos Comitês PCJ
176
4.6 Cinética da degradação biológica.
Conforme estudado no capítulo 3, toda estação de tratamento de esgoto tem o seu
balanço de massa dado por: acúmulo = entrada – saída + geração – consumo. O acúmulo,
a entrada e a saída são facilmente controlados. A geração e o consumo são mais difíceis
de serem avaliados.
Uma das principais modelagens matemáticas aceitas no tratamento de esgoto e usada por
um grande número de projetistas é a equação de Monod, para a geração e consumo dentro
dos reatores.
A taxa específica de crescimento de microrganismos, proposta por Monod
foi:
µµ = µµm . S / (ks + S), onde:
Sendo
µ = ( dx / dt) / X, onde:
Percebe-se, que a taxa específica de crescimento, depende da taxa de crescimento
bacteriano máxima, da constante de aumento de substrato e da quantidade de substrato
presente no reator.
Conforme gráfico seguinte, o parâmetro Ks é determinado no ponto médio do
eixo das ordenadas, onde encontra-se o valor µm/2. Prolongando-se o gráfico para o eixo
das coordenadas obtêm-se o valor de Ks.
µµ = Taxa específica de crescimento bacteriano;
µµm = Taxa de crescimento bacteriano máxima;
S = Quantidade de substrato na solução;
Ks = Constante de aumento de substrato.
dx/dt = crescimento bacteriano;
µ = Taxa específica de crescimento bacteriano;
X = N º de microrganismos.
EEA – Empresa de Engenharia Ambiental Ltda. eea@eea.eng.br
Curso de Tratamento de Esgoto – texto oferecido gratuitamente pela Empresa de Engenharia Ambiental - EEA
Divulgação neste site (www.comitepcj.sp.gov.br) por iniciativa da Câmara Técnica de Saneamento (CT-SA) dos Comitês PCJ
177
A taxa de utilização de substrato, pode ser expressa pôr:
q = ds/dt / X, onde:
Num sistema microbiano para tratamento de esgotos, a distribuição de células não
é igual em relação ao seu crescimento. Melhor explicando: existem células que
envelhecem mais rapidamente, outras que se duplicam mais rapidamente, sendo que no
sistema existem várias espécies com diferentes características.
Quando existe a falta de substrato, uma parcela das células são consumidas por
outras para a obtenção de energia necessária para a sua própria manutenção. Por este
motivo, a taxa de crescimento teve que ser melhor definida. Deve-se considerar um
decréscimo na massa celular (consumo) que é chamado de decaimento endógeno.
Em sistemas contínuos, deve-se subtrair de µµ, o coeficiente de respiração
endógena, obtendo-se:
µ = µm . ( S / (ks + S)) - b, onde:
q = Taxa de utilização de substrato;
ds / dt = Variação de substrato pelo tempo;
X = N º de microrganismos.
µµ
S
µµm/2
µµm
ks
b = Decaimento endógeno
EEA – Empresa de Engenharia Ambiental Ltda. eea@eea.eng.br
Curso de Tratamento de Esgoto – texto oferecido gratuitamente pela Empresa de Engenharia Ambiental - EEA
Divulgação neste site (www.comitepcj.sp.gov.br) por iniciativa da Câmara Técnica de Saneamento (CT-SA) dos Comitês PCJ
178
b = Kd . X onde:
A relação entre a taxa de crescimento bacteriano e a taxa de utilização de
substrato pode ser dada pelo parâmetro Y.
Y = ∆x / ∆s, onde:
Um valor alto para Y significa que o crescimento de bactérias é maior que a
quantidade de substrato que chega no reator.
Um valor baixo para Y significa que o crescimento bacteriano é pequeno, em
relação a quantidade de substrato que chega no reator.
Y pode ser representado por: Y = µµ / q = Bactérias / substratos;
se µ = µmax . S / (ks + S );
então Y . q = Y . qmax . S / ( ks + S );
concluindo-se que q = qmax . S / ( ks + S ).
Sabendo-se que:
µ = (dx / dt) / X = Y (ds / dt) / X – b;
vem:
1 / θc = Y (ds / dt) / X – b;
Obtém-se:
µµ = 1 / θθc = Y. q – b;
Os parâmetros Y e b são facilmente obtidos da literatura ou por meio de ensaios
específicos.
Para processos aeróbios, y varia de 0,05 a 0,1 e b de 0,01 a 0,05 d-1
.
Os parâmetros qmáx e taxa de utilização específica do substrato, são
extremamente variáveis, dependendo de fatores nem sempre conhecidos. O mesmo
ocorre com KS. Portanto, para cada tipo de sistema, devem-se obter os parâmetros
específicos que irão depender das características do reator, das características do
substrato e das características da biomassa.
Y = Relação de microrganismos / substrato;
∆∆x = Variação de microrganismos;
∆∆s = Variação de substrato.
Kd = Coeficiente de decaimento endógeno;
X = N º de microrganismos.
EEA – Empresa de Engenharia Ambiental Ltda. eea@eea.eng.br
Curso de Tratamento de Esgoto – texto oferecido gratuitamente pela Empresa de Engenharia Ambiental - EEA
Divulgação neste site (www.comitepcj.sp.gov.br) por iniciativa da Câmara Técnica de Saneamento (CT-SA) dos Comitês PCJ
179
4.7 Balanço de massa de bactérias e substrato em um reator sem recirculação:
r.: Acumulo = entrada – saída + geração;
V . dX / dt = Q . X0 – Q . X + V . (dX / dt)r
DX / dt = zero; X0 = zero.
Situação de equilíbrio:
0 = - Q . X + V (µm . X . S / (ks + S) - Kd . X);
Q . X = V (µm . X . S / (ks + S) - Kd . X);
Q / V = µm . S / (ks + S) - Kd ;
1 / TDH = µµm . S / (ks + S) - Kd ;
Acumulo = entrada – saída + geração - consumo;
Ou melhor:
V . (ds / dt) = Q .S0 – Q . S + 0 - V . [K.X.S/(Ks+S)];
Ds / dt = zero; (reator em estado estacionário)
Situação de equilíbrio:
Variação de
massa de
substrato no
reator
=
Massa de
substratos
que
entram
-
Massa de
substratos
o que
saem
+
Acréscimo de
substrato
gerado -
Decréscimo de
substrato
utilizado
EEA – Empresa de Engenharia Ambiental Ltda. eea@eea.eng.br
Curso de Tratamento de Esgoto – texto oferecido gratuitamente pela Empresa de Engenharia Ambiental - EEA
Divulgação neste site (www.comitepcj.sp.gov.br) por iniciativa da Câmara Técnica de Saneamento (CT-SA) dos Comitês PCJ
180
0 = Q (S0 – S) - V . [ K . X . S / (Ks + S)];
S0 – S = TDH [ K. X. S / (Ks + S) ];
Sabemos que 1 / TDH = µm . S / (ks + S) - Kd ;
1 / TDH + kd = µm . S / (ks + S);
(1 / µm ) . [( 1 / TDH) + kd ] = S / ( ks + S), substituindo-se na equação So – S tem-se;
S0 – S = ( TDH . K . X . / µm ) . ( 1 / TDH) + kd ];
S0 – S = X . 1 / Y . ( 1 + TDH . kd );
X = [( So – S) . Y] / (1 + TDH . Kd)
O fundamento sobre um reator CFSTR sem recirculação é que o tempo de
detenção hidráulico é igual ao tempo de detenção celular. Portanto, a equação X = (S0 –
S) . Y / ( 1 + TDH . kd) é válida sem problemas e o TDH pode ser considerado igual ao
θc.
EEA – Empresa de Engenharia Ambiental Ltda. eea@eea.eng.br
Curso de Tratamento de Esgoto – texto oferecido gratuitamente pela Empresa de Engenharia Ambiental - EEA
Divulgação neste site (www.comitepcj.sp.gov.br) por iniciativa da Câmara Técnica de Saneamento (CT-SA) dos Comitês PCJ
181
4.8 Balanço de massa de um reator com recirculação do lodo.
Acumulo = entrada – saída + geração - consumo;
Ou melhor
V . (dX / dt) = (Q . S0 + Qr . S) – ((Q – Qw). S) - V . [K.X.S/(Ks+S)];
DX / dt = zero; (reator em estado estacionário)
Desenvolvendo-se a equação chega-se a:
X = {[( So – S) x Y] / (1 + θc x Kd)}x (θc / TDH);
O fundamento sobre um reator de CFSTR com recirculação é que o tempo de
detenção hidráulico é menor que o tempo de detenção celular.
Percebe-se que a equação acima é para reator com recirculação de lodo. Sem a
recirculação de lodo o TDH é igual ao θc, portanto tem-se:
X = {[( So – S) . Y] / (1 + θc . Kd)} . (θc / TDH);
X = {[( So – S) . Y] / (1 + TDH . Kd)} . (TDH / TDH);
X = {[( So – S) . Y] / (1 + TDH . Kd)} Sem recirculação
Variação de
massa de
substrato no
reator
=
Massa de
substratos
que
entram
-
Massa de
substratos
o que
saem
+
Acréscimo de
substrato
gerado -
Decréscimo de
substrato
utilizado
EEA – Empresa de Engenharia Ambiental Ltda. eea@eea.eng.br
Curso de Tratamento de Esgoto – texto oferecido gratuitamente pela Empresa de Engenharia Ambiental - EEA
Divulgação neste site (www.comitepcj.sp.gov.br) por iniciativa da Câmara Técnica de Saneamento (CT-SA) dos Comitês PCJ
182
4.9 Parâmetros determinantes no projeto de unidades de tratamento biológico.
Os processos biológicos são os mais econômicos dentre os utilizáveis na remoção
de matéria orgânica. Por esse motivo, são amplamente utilizados no tratamento de
efluentes líquidos.
Além da remoção de matéria orgânica, os processos biológicos podem ser
aplicados para a oxidação de compostos reduzidos como nitrogênio amoniacal e sulfetos,
bem como na redução de nitratos (desnitrificação) e de sulfatos.
Na tabela seguinte são mostradas as principais aplicações dos processos
biológicos e seus subprodutos.
Tabela 4.5 - Principais aplicações dos processos biológicos no tratamento de águas
residuárias.
TIPO SUBSTRATO PROCESSO SUBPRODUTOS
Efluentes Líquidos Matéria Orgânica Aeróbio CO2, SO4
2-
, NH-
3, NH+
4, NO2, NO-
3
Efluentes Líquidos Matéria Orgânica Anaeróbio CO2, CH4, NH-
3NH+
4, S2-
Efluentes Líquidos NH3 - NH4 Aeróbio NO-
2, NO-
3
Efluentes Líquidos NO-
2, NO-
3, SO2-
4 Anaeróbio N2, H2S, NH-
3NH+
4
A tabela acima mostra que apenas os processos aeróbios são capazes de produzir
compostos estáveis que consomem oxigênio. Como no processo de nitrificação e
remoção de sulfeto para sulfato, que só pode ocorrem com a presença abundante de
oxigênio.
A desvantagem dos processos aeróbios é a necessidade de fornecimento de
oxigênio ao meio, través de equipamentos que consomem energia.
Considera-se, também, como desvantagem dos processos aeróbios, o excesso de
lodo biológico produzido, que deve ser descartado diariamente. Este excesso de lodo
produzido, expresso em Sólidos Suspensos Voláteis, é cerca de cinco a dez vezes
superiores, àquele produzido por processos anaeróbios.
Em função das vantagens e desvantagens de ambos os processos, a tendência atual
é de se utilizarem sistemas mistos, que contém unidades anaeróbias e aeróbias em série.
Este estudo será amplamente abordado no capítulo 12.
EEA – Empresa de Engenharia Ambiental Ltda. eea@eea.eng.br
Curso de Tratamento de Esgoto – texto oferecido gratuitamente pela Empresa de Engenharia Ambiental - EEA
Divulgação neste site (www.comitepcj.sp.gov.br) por iniciativa da Câmara Técnica de Saneamento (CT-SA) dos Comitês PCJ
183
4.10 Parâmetros utilizados nos processos biológicos:
- Tempo de Retenção Celular ou Idade do Lodo (θc)
A eficiência dos processos biológicos depende de θc. O valor da concentração de
substratos efluente (S) em sistemas de mistura completa pode ser diretamente relacionado
com o ·c, conhecendo-se os valores dos parâmetros cinéticos do processo.
Valores usuais:
Processos aeróbios - Lodos Ativados - θc > 5 d;
Lagoas Aeradas - θc > 3 a 5 d;
Processos anaeróbios - θc > 20 d.
- Taxa de Produção de Excesso de Lodo Expresso em SSV.
∆X = y . ∆S - b
Ou
∆X = yobs . ∆S onde yobs = y ( 1 + b . θc)
- Taxa de Carregamento Orgânico Volumétrico (Cov)
COV = ∆S/ V em kgDBO (ou DQO) por m3
por dia
Os valores usuais de COV para diferentes tipos de sistemas estão demonstrados
na tabela seguinte.
∆X = massa de SSV produzida por dia;
∆S = massa de substrato removida por dia;
X = concentração de SSV no sistema.
EEA – Empresa de Engenharia Ambiental Ltda. eea@eea.eng.br
Curso de Tratamento de Esgoto – texto oferecido gratuitamente pela Empresa de Engenharia Ambiental - EEA
Divulgação neste site (www.comitepcj.sp.gov.br) por iniciativa da Câmara Técnica de Saneamento (CT-SA) dos Comitês PCJ
184
- Tempo de Detenção Hidráulica (TDH).
Os valores usuais, de TDH para diferentes tipos de sistemas estão
apresentados na tabela abaixo.
Tabela 4.6 - Valores usuais de COV e TDH para diferentes tipos de sistemas.
Sistemas Aeróbios COV (kg DBO / m3
. dia) TDH (h)
Lodos Ativados
Convencional 0,3 - 0,6 1,0 – 8,0
Mistura Completa 0,8 - 2,0 3,0 – 5,0
Estabilização por Contato 1,0 - 1,2 1,5 – 3,0
Aeração Prolongada 0,1 - 0,4 18 – 36
Aeração Escalonada 0,6 - 1,0 3,0 – 5,0
Oxigênio Puro 1,6 - 3,3 1,0 – 3,0
Lagoas Aeradas 0,01 - 0,06 72 – 120
Sistemas Anaeróbios COV TDH (h)
Reator Anaeróbio de Manta Lodo 5 – 10 6 – 16
Filtro Anaeróbio < 5 8 – 18
Contato Anaeróbio < 5 8 – 24
Lagoas Anaeróbias < 0,5 > 72
Como pode-se observar o processo tipo lodos ativados convencional, necessita de
um menor tempo de detenção hidráulico. Considerando o reator sem recirculação,
percebe-se que o Tempo de permanência entre as bactérias e o substrato é suficiente se
for igual ao TDH. Os sistemas convencionais não propiciam a endogenia das bactérias,
ou seja, não ocorre a falta de alimento, ocasionado um crescimento maior do lodo. Outro
problema do sistema de lodos ativados convencional é formação de um lodo ainda não
mineralizado, necessitando-se de uma posterior digestão e estabilização do mesmo.
O lodo ativado por aeração prolongada, tem o TDH muito alto, propiciando no
aumento do tamanho dos reatores. Por outro lado, o lodo já sai totalmente estabilizado,
devido ao grande tempo de contato entre o substrato e os microorganismos, não
necessitando de digestores de lodo. Este grande tempo de contato leva também a um
EEA – Empresa de Engenharia Ambiental Ltda. eea@eea.eng.br
Curso de Tratamento de Esgoto – texto oferecido gratuitamente pela Empresa de Engenharia Ambiental - EEA
Divulgação neste site (www.comitepcj.sp.gov.br) por iniciativa da Câmara Técnica de Saneamento (CT-SA) dos Comitês PCJ
185
grande gasto de energia, já que estas bactérias são aeróbias e necessitam de oxigênio para
sua reprodução.
Os reatores anaeróbios têm a grande vantagem de não necessitarem de aparelhos
mecânicos, tanto para mistura como para a aeração. O lodo também já sai estabilizado e
os tamanhos dos reatores são pequenos devido ao pequeno TDH médio requeridos. Os
processos anaeróbios são muito vantajosos para efluentes com carga orgânica
volumétrica muito alta. O tempo de duplicação dos microrganismos anaeróbios é muito
mais lento do que os aeróbios, este é um dos motivos da menor geração de lodo.
- Relação F/M (Food to Microorganisms).
A relação F/M é expressa em Kg DBO (ou DQO) por Kg de SSV presente no
sistema por dia.
Para processos aeróbios em geral, a relação F/M deve situar-se entre 0,3 a 0,6.
Para sistemas aeróbios de alta taxa, F/M pode variar de 0,4 a 1,5 e para sistemas com
oxigênio puro, F/M varia de 0,25 a 1,0.
Sistemas anaeróbios são operados com relação F/M na faixa de 0,2 a 1,0.
– Índice Volumétrico de lodo (IVL).
O índice volumétrico de lodo é expresso em ml/g e informa a capacidade de
sedimentação do lodo. É extremamente importante para os sistemas de lodos ativados,
freqüentemente sujeitos ao fenômeno de “bulking”, caracterizado pela formação de lodo
volumoso e pouco denso.
O IVL é definido como o volume ocupado por 1 g de lodo após decantação de 30
minutos. O IVL é calculado através da seguinte fórmula:
IVL = (H30 x 106
) / (Ho . SS), onde;
IVL = Índice volumétrico de lodo (ml/g)
H30 = Altura da interface após 30 minutos (m);
Ho = Altura da interface no instante 0 (m);
SS = Concentração de sólidos em suspensão(mg/l);
106
= Conversão de mg em g, e de 1 em ml.
EEA – Empresa de Engenharia Ambiental Ltda. eea@eea.eng.br
Curso de Tratamento de Esgoto – texto oferecido gratuitamente pela Empresa de Engenharia Ambiental - EEA
Divulgação neste site (www.comitepcj.sp.gov.br) por iniciativa da Câmara Técnica de Saneamento (CT-SA) dos Comitês PCJ
186
Valores usuais do IVL são:
• Processos Aeróbios - 70 a 120 (ml/g);
• Processos Anaeróbios - 40 – 80 (ml/).
Em geral, a relação F/M e IVL estão intimamente relacionadas, principalmente
nos processos de lodos ativados. Nesse caso, valores de F/M fora da faixa de 0,3 a 0,6
freqüentemente provocam valores de IVL superiores a 100 ml/g.
- Formação de Lodo:
Numa estação de tratamento de esgoto, os resíduos sólidos que devem ser dispostos
adequadamente são provenientes do sistema de gradeamento, das caixas de areia, das
escumas formadas em todos os tanques, do lodo biológico e do lodo estabilizado.
Para o processo de lodos ativados convencional, deve-se adicionar o tratamento do
lodo, alterando o fluxograma das estações de tratamento de esgoto. O tratamento de lodo
completo deve seguir os seguintes passos:
Adensamento do lodo: Trata-se de remover a umidade do lodo, pode ser feito através
de secagem ao sol, filtros prensas, adensamento por gravidade e etc. Tem o principal
objetivo a diminuição do volume de lodo, diminuindo-se os volumes dos tanques de
estabilização do lodo.
Outra fase do tratamento é a estabilização do lodo, através de sua digestão, ou seja, a
remoção de matéria orgânica existente. O lodo estabilizado deve possuir pequena
quantidade de sólidos voláteis.
Após a estabilização deve-se fazer a desidratação do lodo para diminuir ainda mais o
volume de lodo a ser transportado.
Os sistemas de aeração prolongada não geram tanto lodo quanto os sistemas de lodos
ativados convencionais. E também, não necessitam da fase de estabilização do lodo.
EEA – Empresa de Engenharia Ambiental Ltda. eea@eea.eng.br
Curso de Tratamento de Esgoto – texto oferecido gratuitamente pela Empresa de Engenharia Ambiental - EEA
Divulgação neste site (www.comitepcj.sp.gov.br) por iniciativa da Câmara Técnica de Saneamento (CT-SA) dos Comitês PCJ
187
- Princípios da aeração:
Os sistemas de aeração têm dupla finalidade. A primeira é a de disponibilizar
oxigênio suficiente para as necessidades dos microrganismos aeróbios, e a segunda é de
provocar uma agitação e uma homogeneidade suficiente para que ocorra uma mistura
completa em reatores tipo lodos ativados. Como visto no capítulo 3, reatores de mistura
completa, não devem possuir curto circuito, sendo assim, necessita-se de uma correta
aeração para ocorrer uma completa mistura e homogeneização dos reatores.
Fundamentalmente existem dois tipos de aeração: Aeração por ar difuso e aeração
superficial ou mecânica.
A aeração por ar difuso deve ser utilizada sempre que os reatores tiverem uma
profundidade maior do que 3 metros. Somente assim será conseguida a mistura e
oxigenação de todo o reator. O sistema é composto por difusores submersos no líquido,
tubulações distribuidoras de ar, tubulações de transporte de ar e sopradores. O ar é
introduzido próximo ao fundo do tanque, e o oxigênio é transferido ao meio líquido à
medida que a bolha se eleva à superfície.
Os principais sistemas de aeração por ar difuso podem ser classificados segundo a
porosidade do difusor, e segundo o tamanho da bolha produzida:
- Difusor poroso: Prato, disco, domo e tubo (bolha fina);
- Difusor não poroso: Tubos perfurados ou com rachaduras (bolha grossa);
O diâmetro das bolhas finas é inferior a 3 mm e o da bolha grossa deve ser superior a
6 mm. Quanto menor o tamanho da bolha, maior a área superficial disponível para a
transferência de gases, ou seja, maior a eficiência de oxigenação. Portanto sistemas com
bolhas finas são mais eficientes.
Os difusores porosos têm sua eficiência diminuída pela colmatação de seus poros. A
colmatação pode ocorrer internamente devido a impurezas no ar ou externamente devido
ao crescimento bacteriano na superfície dos difusores.
Outro problema é o custo de implantação dos sistemas de bolhas finas, pois os
difusores cerâmicos são na sua grande maioria importados.
EEA – Empresa de Engenharia Ambiental Ltda. eea@eea.eng.br
Curso de Tratamento de Esgoto – texto oferecido gratuitamente pela Empresa de Engenharia Ambiental - EEA
Divulgação neste site (www.comitepcj.sp.gov.br) por iniciativa da Câmara Técnica de Saneamento (CT-SA) dos Comitês PCJ
188
As bolhas grossas não têm o problema de colmatação, devido as mesmas serem
geradas em tubos perfurados, bocais e injetores. Tem baixo custo de manutenção e de
implantação. Filtros de ar não são necessários. A baixa transferência de oxigênio e
elevados requisitos de energia são as principais desvantagens.
A aeração superficial tem várias modalidades:
Aeradores de eixo vertical com baixa rotação, de eixo vertical com alta rotação, de
eixo horizontal de baixa potência, aeradores fixos e aeradores flutuantes.
Quando deseja-se que o sistema opere em mistura completa, os seguintes
parâmetros devem ser definidos:
• Sistemas com Ar Difuso: 20 a 30 kw/1000m2
.
• Sistemas com Aeradores: 15 a 30 kw/1000m3
.
- Necessidade de Oxigênio em Sistemas de Lodos Ativados e Lagoas Aeradas.
Teoricamente, a quantidade de oxigênio a ser suprida ao sistema deve ser
equivalente à quantidade consumida na oxidação da matéria orgânica. Se a concentração
de matéria orgânica é expressa em DBO, calcula-se inicialmente, a quantidade de
oxigênio necessária para suprir a demanda, a partir do cálculo da carga orgânica (CO)
removida por dia.
CO = Q (So -S) em kg DBO (DQO).d-1
onde, Q é a vazão de projeto; So é a
concentração de DBO afluente e S é a concentração de DBO efluente. Em geral, adota-se
a necessidade de O2 como sendo 1,5 a 2,0 x CO.
- Fornecimento de Oxigênio em Sistemas de Lodos Ativados e Lagoas Aeradas.
Para sistemas de aeração que utilizam aeradores superficiais, a quantidade de
oxigênio a ser fornecida é função da potência instalada. Pode-se aplicar a seguinte
relação:
N= No [(β Co – Cl)/Cs].1,024 t – 20
.∝;
N = taxa de transferência de oxigênio > 2;
No = taxa de transferência de O2 para a água a 20°°C,
ββ = fator de correção da salinidade = 1,0;
Co = concentração de saturação na operação;
CS = concentração de O2, nas condições de operação;
CL = saturação de O2 na água a 20°°C e 1 atm;
∝∝ = fator de correção para esgotos, 0,8 a 0,85.
EEA – Empresa de Engenharia Ambiental Ltda. eea@eea.eng.br
Curso de Tratamento de Esgoto – texto oferecido gratuitamente pela Empresa de Engenharia Ambiental - EEA
Divulgação neste site (www.comitepcj.sp.gov.br) por iniciativa da Câmara Técnica de Saneamento (CT-SA) dos Comitês PCJ
189
- Características dos principais sistemas biológicos para tratamento de esgoto:
Sistemas de tratamento DBO N P TDH Custo Lodo Energia
Lodos Ativados convencional Bom Médio Ruim Médio Ruim Ruim Ruim
Aeração Prolongada Ótimo Bom Ruim Ruim Ruim médio Ruim
Lagoa Aerada Médio Médio Médio Ruim Bom Bom Médio
Reator UASB Médio Ruim Ruim Bom Bom Bom Bom
Está tabela será mais detalhada em capítulos posteriores, mas desde já, deve-se
perceber que os sistemas anaeróbios não são chamativos pela grande eficiência, já que o
mesmo não é bom para remoção de DBO, N e F. Por outro lado, em todos os aspectos
econômicos, como TDH (tamanho do reator), Custo de implantação, formação de lodo e
gastos com energia para aeração ele recebe conceito bom.
Definitivamente os reatores anaeróbios são econômicos e devem ser utilizados
como tratamento biológico, principalmente para altas cargas orgânicas. Para o esgoto
doméstico ou esgotos ricos em nitrogênio o mesmo deve receber um pós – tratamento, já
que o processo de nitrificação biológica só ocorre na presença de oxigênio.
Entre os reatores aeróbios, a aeração prolongada é a que consegue a melhor
eficiência na remoção de carbono e amônia, mas perde para os outros sistemas em TDH,
custo de implantação e gastos com energia elétrica. A aeração prolongada tem a
vantagem de formar um lodo já estabilizado, mas mesmo assim tem uma geração de lodo
muito maior do que os reatores anaeróbios.
Com baixa carga orgânica existem reatores anaeróbios que ficam até 2 anos sem
remoção de lodo. Esta vantagem causa o problema da grande demora para a partida dos
reatores anaeróbios , que costumam demorar até 6 meses para chegar em sua eficiência
estável.
Os reatores anaeróbios seguidos de lagoas aeradas tem sido ótima opções de
tratamento de esgoto sanitário. Através deste sistema consegue-se eficiência média
sempre acima de 80% na remoção de matéria orgânica, e consegue-se manter o nível de
amônia sempre abaixo dos 5 mg/l exigidos pela CETESB.
EEA – Empresa de Engenharia Ambiental Ltda. eea@eea.eng.br
Curso de Tratamento de Esgoto – texto oferecido gratuitamente pela Empresa de Engenharia Ambiental - EEA
Divulgação neste site (www.comitepcj.sp.gov.br) por iniciativa da Câmara Técnica de Saneamento (CT-SA) dos Comitês PCJ
190
4. Revisão:
Para que exista o desenvolvimento tecnológico sem que ocorra uma depreciação do
meio ambiente são necessárias algumas medidas:
a) As características do meio ambiente devem ser conhecidas para a determinação de
suas vocações e susceptibilidades;
b) O conhecimento do empreendimento e suas fontes impactantes;
c) Uma análise ambiental;
d) Determinação de medidas mitigadoras;
e) Determinação de medidas compensatórias;
f) Monitoramento.
Para a caracterização do meio devem ser destacados aspectos físicos, biológicos,
sociais e econômicos.
Dentre os aspectos físicos, destacam-se os recursos hídricos, a hidrogeologia, a
pedologia, a geomorfologia, a geologia e o clima. Nos aspectos biológicos devem ser
consideradas as estruturas bióticas. Socialmente, deve-se considerar as tradições, culturas
e rotinas adotadas pela população atingida. Deve-se considerar a identificação da região
em estudo, através de uma visão histórica das comunidades envolvidas, o perfil
econômico da região em estudo, o perfil político institucional, com informações dos
poderes legislativo, judiciário e executivo, as organizações sociais existentes e atuações.
Tendências atuais diferenciam crescimento de desenvolvimento. Os países do
Norte são desenvolvidos e pararam de crescer, já os países do hemisfério sul continuam
crescendo aceleradamente e se desenvolvendo de forma lenta.
Com uma visão ambiental, e sabendo-se das limitações dos recursos naturais, o
desenvolvimento sustentável objetiva o aumento da qualidade de vida, sem causar danos
ao homem e ao meio ambiente.
Para desenvolver-se sem causar danos a biosfera, é necessário uma política
ambiental, ocasionada por um sistema de gestão ambiental.
EEA – Empresa de Engenharia Ambiental Ltda. eea@eea.eng.br
Curso de Tratamento de Esgoto – texto oferecido gratuitamente pela Empresa de Engenharia Ambiental - EEA
Divulgação neste site (www.comitepcj.sp.gov.br) por iniciativa da Câmara Técnica de Saneamento (CT-SA) dos Comitês PCJ
191
Tanto qualitativamente, quanto quantitativamente, os rios possuem um limite de
uso, para que não ocorra um desequilíbrio no seu ecossistema. Os sistemas de gestão de
recursos hídricos visam manter este equilíbrio, ou pelo menos, um mínimo de qualidade
desejado pelo homem.
A cobrança pelo uso da água é um instrumento da economia ecológica que
interfere economicamente no empreendimento. Restringindo a oferta da água, mais cara
será seu preço, limitando economicamente com isso, o aumento de empreendimentos em
locais com escassez de água.
A venda de bônus ou o direito de outorga limita a quantidade de poluentes que se
pode despejar no rio, ou a quantidade de água que se pode captar. Tem a vantagem de ser
facilmente monitorado e a desvantagem de abrir a possibilidade de leilão pelos bônus da
água, como ocorre com nossos minerais no DNPM.
Existem várias linhas políticas manifestadas em relação ao uso da água.
Polêmicas como a desigualdade econômica entre regiões, o pagamento de dividas
ambientais para quem enriqueceu as custas do meio ambiente, o direito de instalação de
firmas em locais onde já existam outras firmas são algumas polemicas levantadas nas
discussões políticas realizadas no congresso nacional.
EEA – Empresa de Engenharia Ambiental Ltda. eea@eea.eng.br
Curso de Tratamento de Esgoto – texto oferecido gratuitamente pela Empresa de Engenharia Ambiental - EEA
Divulgação neste site (www.comitepcj.sp.gov.br) por iniciativa da Câmara Técnica de Saneamento (CT-SA) dos Comitês PCJ
192
Exercícios:
01. Defina ecologia?
02. Escreva o que você entende por biomassa.
03. Defina Biótipo.
04. Defina Ecossistema.
05. Defina cadeia alimentar.
06. Defina Níveis tróficos.
07. Defina Produtores Primários.
08. Defina Consumidores de 1 ª ordem.
09. Defina Consumidores de 2 ª ordem.
10. Defina Decompositores.
11. Defina seres heterótrofos.
12. Defina seres Autótrofos.
13. Exemplifique a cinética biológica de um reator de mistura completa sem
recirculação?
14. Faça para um reator de mistura completa com recirculação?
EEA – Empresa de Engenharia Ambiental Ltda. eea@eea.eng.br
Curso de Tratamento de Esgoto – texto oferecido gratuitamente pela Empresa de Engenharia Ambiental - EEA
Divulgação neste site (www.comitepcj.sp.gov.br) por iniciativa da Câmara Técnica de Saneamento (CT-SA) dos Comitês PCJ
193
15. Calcular a concentração de sólidos em suspensão a ser atingida, em condições
estacionárias, num reator CFSTR sem recirculação.
16. Calcular a concentração de sólidos biológicos no reator, para as seguintes condições:
a) sistema sem recirculação TDH = θc = 5 dias; b) sistema com recirculação TDH = 0,25
dias e θc = 5 dias.
Dados: Y = 0,6; Kd = 0,07 1/d; S0 = 300 mg/l; S = 15 mg/l;
17. Calcular o tempo de detenção hidráulico e a idade do lodo no sistema de tratamento
sem decantação e sem recirculação de sólidos:
dados: V = 9000 m3
; Q = 3000 m3
/ dia; S0 = 350 mg/l; S = 9,1 mg / l; µmax = 3,0 d-1
; Ks
= 60 mg/l; Kd = 0,06 d-1
.
18. Dimensionar uma reator biológico pelo sistema de lodos ativados. Considerar o reator
como um CFSTR, vazão a ser tratada de 0,25 m3
/s de esgoto sedimentável tendo DBO5
de 250 mg/l. O efluente deve Ter DBO5 de 20 mg/l no máximo.
Dados: SSV do afluente = 0; no reator SSV / SS = 0,8; retorno de lodo de 10000 mg/l de
SS; θc = 10 dias; efluente contém 22 mg/l de sólidos biológicos dos quais 65 % são
biodegradáveis; DBO5 = 0,68 DBOu ; esgoto contém nutrientes em quantidade suficiente.
19. Tendo-se um lodos Ativados convencional, com operação de 10 dias para o tempo de
detenção celular, volume de 8000 m3
e concentração de SSV de 3000 mg/l determine: a)
taxa de produção de lodo; b) a Vazão de descarte de lodo do reator; c) a vazão de
descarte do lodo da linha de recirculação.
20. Explique as vantagens e desvantagens dos vários tipos de aeradores existentes.
21. Defina IVL? Qual a sua importância para o tratamento de esgoto.
EEA – Empresa de Engenharia Ambiental Ltda. eea@eea.eng.br
Curso de Tratamento de Esgoto – texto oferecido gratuitamente pela Empresa de Engenharia Ambiental - EEA
Divulgação neste site (www.comitepcj.sp.gov.br) por iniciativa da Câmara Técnica de Saneamento (CT-SA) dos Comitês PCJ
194
22. Quais são as formas de o TDH ser igual ao θc.
23. Quais são as formas de o θc ser maior que o TDH.
24. Qual a importância da formação dos comitês de bacias hidrográficas.
25. Quais são os principais tipos de reatores existentes no tratamento de esgoto.
Assinale a alternativa correta.
26. O melhor reator para que ocorra o processo de nitrificação é:
( ) Reator UASB ( ) Aeração Prolongada
27. Qual é o reator que tem a maior dimensão para tratar o mesmo esgoto sanitário:
( ) Reator UASB ( ) Aeração Prolongada
28. Qual o reator que forma mais lodo:
( ) Reator UASB ( ) Aeração Prolongada
29. Qual reator tem a maior dimensão para tratar o mesmo esgoto sanitário:
( ) Lodos Ativado Convencional ( ) Aeração Prolongada
30. Qual sistema gasta mais energia:
( ) Lodos Ativados convencional ( ) Aeração Prolongada
31. Qual sistema é mais eficiente:
( ) Lodos Ativados Convencional ( ) Aeração Prolongada
32.O melhor reator para que ocorra o processo de nitrificação é:
( ) Lodos Ativados Convencional ( ) Aeração Prolongada
EEA – Empresa de Engenharia Ambiental Ltda. eea@eea.eng.br
Curso de Tratamento de Esgoto – texto oferecido gratuitamente pela Empresa de Engenharia Ambiental - EEA
Divulgação neste site (www.comitepcj.sp.gov.br) por iniciativa da Câmara Técnica de Saneamento (CT-SA) dos Comitês PCJ
195
33. Qual é o reator que tem a maior dimensão para tratar o mesmo esgoto sanitário:
( ) Lagoas Aeradas ( ) Aeração Prolongada
34. Qual o reator que forma mais lodo:
( ) Lodos Ativados Convencional ( ) Aeração Prolongada
35. Qual reator tem a maior dimensão para tratar o mesmo esgoto sanitário:
( ) UASB ( ) Lodos Ativados
36. Qual sistema gasta mais energia:
( ) Lodos Ativados convencional ( ) UASB
37. Qual sistema é mais eficiente:
( ) Lodos Ativados Convencional ( ) UASB
38. Explique Índice Volumétrico de Lodo.
39. Explique a relação F/M.
40. O que é o “Bulking” nos sistemas de lodos ativados.

Curso trat-esgoto capitulo-4

  • 1.
    EEA – Empresade Engenharia Ambiental Ltda. eea@eea.eng.br Curso de Tratamento de Esgoto – texto oferecido gratuitamente pela Empresa de Engenharia Ambiental - EEA Divulgação neste site (www.comitepcj.sp.gov.br) por iniciativa da Câmara Técnica de Saneamento (CT-SA) dos Comitês PCJ 162 4. Fundamentos do tratamento biológico. 4.1 Noções de ecologia. Ecologia: é a ciência que estuda as condições de existência dos seres vivos. Biomassa: é a associação de seres vivos, formando uma quantidade de matéria viva, com volume e superfície definidas. Biótipo: é o conjunto de condições necessárias para favorecer o habitat de uma determinada biomassa. Ecossistema: são longos processos de adaptação entre as espécies e o meio. São dotados de transformação, evolução e regularização. Dentro de certos limites podem resistir a modificações nas condições de vida. Cadeia alimentar: Trata-se de um ecossistema que compreende um certo número de níveis tróficos. Níveis tróficos: produtores primários, consumidores de 1 ª ordem, consumidores de 2 ª ordem e decompositores. Produtores primários: São os organismos autótrofos, capazes de fabricar e acumular energia potencial, em forma química das matérias orgânicas que sintetizam. Consumidores de 1 ª ordem: São heterótrofos que se alimentam dos produtores autótrofos. Consumidores de 2 ª ordem: São heterótrofos carnívoros, que se alimentam de outros heterótrofos. Decompositores: Correspondem ao término da cadeia. São microrganismos e bactérias que decompõem a matéria orgânica.
  • 2.
    EEA – Empresade Engenharia Ambiental Ltda. eea@eea.eng.br Curso de Tratamento de Esgoto – texto oferecido gratuitamente pela Empresa de Engenharia Ambiental - EEA Divulgação neste site (www.comitepcj.sp.gov.br) por iniciativa da Câmara Técnica de Saneamento (CT-SA) dos Comitês PCJ 163 4.2 Noções de biologia. Os seres vivos são formados por um elevado grau de organização de átomos nas moléculas e destas entre si, com a capacidade de agir sobre o meio, de maneira a transformar substâncias estranhas à sua natureza em substâncias constituintes à sua estrutura. Os seres vivos são separados em 3 reinos: animau, vegetal e protista, mas podem ser classificados pelas suas propriedades de nutrição, crescimento, reprodução e irritabilidade. O reino animal pode ser caracterizado principalmente, pela grande atividade locomotora e pela nutrição heterotrófica (ingestão obrigatória de compostos orgânicos); O reino vegetal é caracterizado por seres fixados por raízes, com coloração verde, produtores de matéria orgânica e O2 e consumidores de CO2. Entretanto, há exceções, como as algas. Estas apesar de possuírem celulose e pigmento verde, apresentam locomoção através de flagelos; O reino protista é caracterizado por seres unicelulares, que podem viver agrupados ou não. Obs.: Alguns biólogos consideram o reino protista, inserido ao reino vegetal.
  • 3.
    EEA – Empresade Engenharia Ambiental Ltda. eea@eea.eng.br Curso de Tratamento de Esgoto – texto oferecido gratuitamente pela Empresa de Engenharia Ambiental - EEA Divulgação neste site (www.comitepcj.sp.gov.br) por iniciativa da Câmara Técnica de Saneamento (CT-SA) dos Comitês PCJ 164 Classificação quanto às formas de alimentação: Digestão heterotrófica: Organismos que necessitam de substâncias altamente complexas na sua dieta. Digestão autotrófica: Organismos que sintetizam seu próprio alimento, ou seja, sintetizam moléculas de elevada estrutura, a partir de moléculas de baixa energia. Digestão típica dos vegetais, sendo as principais fontes de energia, a luz e as reações químicas. Classificação quanto a fonte de Energia: Autotróficos: Luz : Os organismos clorofilados utilizam a luz para transformar substâncias de estrutura simples, em compostos orgânicos, sendo assim, denominados fotossintetizantes. 6 CO2 + 12 H2O C6H12O6 + 6 H2O + 6O2 673 kCAL CLOROFILA SERES VIVOS nutrição crescimento reprodução irritabilidade animais vegetais protistas aeróbios anaeróbios Algumas classificações dadas aos seres vivos
  • 4.
    EEA – Empresade Engenharia Ambiental Ltda. eea@eea.eng.br Curso de Tratamento de Esgoto – texto oferecido gratuitamente pela Empresa de Engenharia Ambiental - EEA Divulgação neste site (www.comitepcj.sp.gov.br) por iniciativa da Câmara Técnica de Saneamento (CT-SA) dos Comitês PCJ 165 O oxigênio liberado na fotossíntese é parcialmente usado para a respiração vegetal e o restante é liberado para o meio. Para o meio aquático, não é suficiente somente o O2 proveniente do contato do ar com a superfície aquática, muitas vezes é necessário que existam vegetais subaquáticos, que produzam oxigênio para a respiração dos peixes e outros tipos de vida animau. Reações químicas: As bactérias e algas nutrem-se através de reações químicas, não necessitando obrigatoriamente de energia solar. O maior exemplo de bactérias quimiossintetizantes são as encontradas no solo e nas águas. As bactérias nitrificantes são um dos exemplos, onde a amônia é oxidada a nitritos e estes a nitratos. Transformação de nitrito para nitrato libera-se 17 Kcal: Essas bactérias têm importância econômica como agentes nitrificadores do solo ou podem ser também causadores do enriquecimento da água de nitritos e nitratos a partir da amônia. Nitrosomonas e nitrobacter são os principais grupos de bactérias responsáveis pelo processo chamado de nitrificação. Heterotróficos: Tem como principais fontes nutricionais os aminoácidos, gorduras e açúcares. Através de ação mecânica, as substâncias se transformam em matéria pastosa, iniciando- se assim, a digestão química que promove a redução das partículas, através da fragmentação das moléculas mais complexas em outras mais simples e menores, capazes de atravessar o aparelho digestivo e penetrar no sangue ou nas células. Os elementos químicos responsáveis pela redução das partículas são as enzimas ou fermentos digestivos. A digestão é feita em duas etapas, uma ácida (Ex: estômago), e outra alcalina (ex.: intestino). NH4 + 1 ½ O2 2H + H2O + NO2 + 66 KCAL NO2 + ½ O2 NO3 + 17 kcal
  • 5.
    EEA – Empresade Engenharia Ambiental Ltda. eea@eea.eng.br Curso de Tratamento de Esgoto – texto oferecido gratuitamente pela Empresa de Engenharia Ambiental - EEA Divulgação neste site (www.comitepcj.sp.gov.br) por iniciativa da Câmara Técnica de Saneamento (CT-SA) dos Comitês PCJ 166 Classificação segundo a respiração: A respiração é fonte de energia, para que os animais possam realizar movimentos e outras reações. Respiração aeróbia: ocorre conforme a equação abaixo. A transformação de glicose em gás carbônico e água depende da presença de oxigênio. Este fenômeno ocorre nos animais, através do pulmão ou das brânquias. Já os vegetais não necessitam de órgãos, pois retiram O2 da própria célula fotossintetizante. A transformação de material em energia se faz de maneira oposta à da fotossíntese: A obtenção de glicose pelos organismos vivos é realizada por um dos três processos de nutrição: fotossíntese, quimiossíntese ou nutrição heterotrófica, já o oxigênio é obtido através da fotossíntese, que ocorre nos vegetais. Respiração anaeróbia: é realizada através da retirada de átomos de oxigênio das moléculas orgânicas, por qualquer substância, excluindo-se o O2. A denominação de fermentação para a respiração anaeróbia nem sempre é muito aceita, visto que muitas vezes este processo se realiza com a respiração aeróbia. Em geral há desprendimento de gás carbônico e acúmulo de álcool etílico no interior das células. Além do álcool, podem formar-se ácidos orgânicos. Respiração facultativa: Alguns habitantes podem variar sua respiração entre aeróbia e anaeróbia. Eles podem inclusive ter uma respiração intramolecular. Esses microrganismos são importantes, principalmente para o reconhecimento de ambientes pobres em oxigênio como por exemplo, nas águas que recebem despejos ou esgoto doméstico, ou ainda, para reconhecer a condição vigente no fundo de lagos e rios. 6 CO2 + 6 H2O + 673 KcalC6H12O6 + 6O2 2 CO2 + 2C2H3OH + 34,4 KcalC6H12O6
  • 6.
    EEA – Empresade Engenharia Ambiental Ltda. eea@eea.eng.br Curso de Tratamento de Esgoto – texto oferecido gratuitamente pela Empresa de Engenharia Ambiental - EEA Divulgação neste site (www.comitepcj.sp.gov.br) por iniciativa da Câmara Técnica de Saneamento (CT-SA) dos Comitês PCJ 167 Conseqüência da respiração para o ambiente aquático: Os processos oxidativos podem causar forte depressão na curva de oxigênio de um rio. Microrganismos, animais, bem como vegetais heterotróficos, quando proliferam em grande número, podem reduzir o oxigênio dissolvido da massa d’água até quase a zero. É lógico que a proliferação destes dependem das fontes de alimento, ou seja, M.O. Portanto, a disposição de M.O. em excesso no meio está diretamente ligado ao consumo de O2. Em outras palavras a demanda de oxigênio de um rio é na realidade uma demanda respiratória, uma vez que a oxidação desse material é realizada exclusivamente por via enzimática. Outra conseqüência da presença de M.O. no meio aquático é o aumento da concentração de CO2, e a conseqüente diminuição do pH. Em meio aquático com muitas plantas são observados durante o dia o aumento do pH pela produção de O2 e durante a noite a diminuição do pH pela produção de CO2, pois neste horário eles só consomem o O2. Noite : Só ocorre respiração : consumo de O2; Dia : Fotossíntese > respiração : Produção de O2; Essas variações bruscas são observadas nas lagoas de estabilização. - Comparação entre a respiração aeróbia e anaeróbia: O calor liberado na equação do processo anaeróbio é cerca de 5% da energia liberada em aerobiose. Como é provável que a ordem de magnitude da energia necessária para a fabricação de novas células seja a mesma em ambos os casos, se chega a conclusão de que , no campo bacteriano, é muito mais econômico buscar a energia vital em processos aeróbios, que em processos anaeróbios. Em outras palavras a multiplicação celular será muito mais abundante no primeiro caso do que no segundo e como conseqüência, o processo de degradação, será muito mais rápido supondo-se a igualdade dos restantes das condições.
  • 7.
    EEA – Empresade Engenharia Ambiental Ltda. eea@eea.eng.br Curso de Tratamento de Esgoto – texto oferecido gratuitamente pela Empresa de Engenharia Ambiental - EEA Divulgação neste site (www.comitepcj.sp.gov.br) por iniciativa da Câmara Técnica de Saneamento (CT-SA) dos Comitês PCJ 168 Tabela 4.1 - Principais doadores e receptores de elétrons em ambiente aeróbio e anaeróbio adaptado de METCALF & EDDY (1991). Ambiente Doador de Receptor de Processo elétrons elétrons composto oxigênio oxidação aeróbia Aeróbio Orgânico metabolismo aeróbio NH4 + oxigênio nitrificação composto orgânico NO3 - desnitrificação composto orgânico oxigênio ou NO3 - Remoção biológica de Anaeróbio Fósforo H2 e Acetato SO4 2 - redução de sulfato H2 CO2 metanogênico - O Ciclo da Vida: 1. Vegetais (autotróficos) transformam minerais em M.O.; 2. Heterotróficos (bactérias-fungos) transformam M.O. em minerais; M. O. vegetal ou animau Amônia , carbonato e CO2 microrganismo s Fonte para os organismos autótrofos Fonte de energia dos heterotróficos Animais e vegetais O ciclo da vida
  • 8.
    EEA – Empresade Engenharia Ambiental Ltda. eea@eea.eng.br Curso de Tratamento de Esgoto – texto oferecido gratuitamente pela Empresa de Engenharia Ambiental - EEA Divulgação neste site (www.comitepcj.sp.gov.br) por iniciativa da Câmara Técnica de Saneamento (CT-SA) dos Comitês PCJ 169 Anabolismo: síntese de matéria viva. Catabolismo: degradação de matéria nutritiva. Metabolismo: é a soma dos processos físicos e químicos pelos quais os seres são mantidos e produzidos (Alimento + energia = manutenção e reprodução). - Bactérias: São microrganismos unicelulares que podem viver isolados ou agrupados. Reproduzem-se por simples divisão celular ou pela formação de esporos. Podem ser autótrofas ou heterótrofas e podem ser aeróbias, anaeróbias ou facultativas. As bactérias do grupo “Coli, habitam o intestino humano e de outros homeotermos onde vivem, sem causar nenhum dano ao hospedeiro. São, entretanto, de grande valor para o sanitarista, uma vez que a sua presença na água indica a contaminação desta por fezes ou esgoto doméstico. A grande importância sanitária das bactérias coliformes está na sua presença obrigatória em toda a fonte contaminada por despejos domésticos. Admite-se que toda a água que contenha mais de 1 ou 2 bacilos do grupo “Coli” em cada 100 cm3 pode conter também bactérias patogênicas, sendo impróprias para consumo, sem desinfecção prévia. - Algas: São organismos de estrutura simples e diferem-se das bactérias por apresentarem núcleo celular e reprodução sexuada (a não ser as algas azuis). As algas azuis são células envolvidas por bainha mucilaginosa, que dá pequena aparência gelatinosa, que se forma na superfície de reservatórios de água. Essa bainha serve de abrigo para bactérias, inclusive coliformes, que ali se protegem da ação do cloro, aplicado para desinfecção. Recentemente tem sido evidenciada nos heterocistos a
  • 9.
    EEA – Empresade Engenharia Ambiental Ltda. eea@eea.eng.br Curso de Tratamento de Esgoto – texto oferecido gratuitamente pela Empresa de Engenharia Ambiental - EEA Divulgação neste site (www.comitepcj.sp.gov.br) por iniciativa da Câmara Técnica de Saneamento (CT-SA) dos Comitês PCJ 170 presença de enzimas responsáveis pela fixação de nitrogênio diretamente do ar. Isso vem explicar a prioridade que tem, algumas cianofíceas (algas azuis), de desenvolver-se em ambiente pobre em nitrogênio, mas rico em outros nutrientes, o que assume particular importância no estudo do fenômeno de eutrofização. As algas verdes geralmente encontradas em água doce, inclusive nas de abastecimento, são dotadas de flagelos para locomoção. Podem aparecer as algas vermelhas ou douradas, sendo estes casos um pouco mais raros. - Analogia entre a vida humana e os microorganismos: Algumas semelhanças podem ser verificadas entre a vida existente dentro de um reator de tratamento de esgotos, e uma população de uma cidade. Quando a quantidade de comida para uma determinada população for abundante, as pessoas vão se reproduzir, consequentemente a população aumentará, até o ponto que comece a faltar comida. Neste momento, caso não exista outro meio de alimentação, as pessoas mais fracas vão se alimentando cada vez menos, até que morram. Alguns humanos (canibais) podem inclusive se alimentar de outros na falta de alimento, principalmente no caso de fome. Numa cidade equilibrada, não faltará alimentação para a população, e nem se jogará fora, pois a população vai crescer de acordo com a alimentação disponível. A população não deve ser nem muito jovem, e também não deve ser muito velha. Se a população for muito velha, existirão muitas pessoas aposentadas sem trabalhar, e poucas trabalhando. Se a população for muito jovem ocorrerão problemas semelhantes, portanto, a população deve crescer de acordo com a quantidade de alimento disponível. Todo ser vivo precisa de um tempo de adaptação, ou seja, caso uma família de comilões mude sua alimentação e resolva trocar a feijoada por jiló como exemplo, sem dúvida a quantidade que esta família come será reduzida. Percebe-se então que é importante a afinidade entre o substrato e os microrganismos. Se a quantidade de substrato que chega é maior que a taxa de crescimento populacional, então é importante verificar se não é necessário optar por uma outra população, mais adaptável a este substrato.
  • 10.
    EEA – Empresade Engenharia Ambiental Ltda. eea@eea.eng.br Curso de Tratamento de Esgoto – texto oferecido gratuitamente pela Empresa de Engenharia Ambiental - EEA Divulgação neste site (www.comitepcj.sp.gov.br) por iniciativa da Câmara Técnica de Saneamento (CT-SA) dos Comitês PCJ 171 4.3 Noções de Bacteriologia. A fermentação compreende reações químicas produzidas na natureza, através de microrganismos. A seguir serão demonstrados alguns tipos de fermentações ocorridas no tratamento de esgoto. - Fermentação alcoólica: Consiste no desdobramento de açúcares em álcool e ácido carbônico. Os organismos que provocam estas reações são Saccharomyces e Aspergillus. Trata-se de um processo que ocorre em local aerado. C6H12O6 → 2 C2H6O + 2 CO2 - Fermentação acética: É a transformação de álcool em ácido acético, por influência da Acetobacter aceti em meio aerado. C2H6O + O2 → C2H4O2 + H2O - Fermentação Láctica: É a transformação de açúcares em ácido láctico, através da influência da bactéria bacillus lacticus em meio aeróbio. C12H22O11 + H2O → 2 C6H12O6 = 4 C3H6O3 - Fermentação butírica: É a transformação de matéria orgânica complexa, em ácido butírico. C6H12O6 → 2 CO2 + 2 H2 + C4H8O2 ( fermentação anaeróbia) C2H6O + C4H4O2 → C4H8O2 + H2O ( fermentação anaeróbia )
  • 11.
    EEA – Empresade Engenharia Ambiental Ltda. eea@eea.eng.br Curso de Tratamento de Esgoto – texto oferecido gratuitamente pela Empresa de Engenharia Ambiental - EEA Divulgação neste site (www.comitepcj.sp.gov.br) por iniciativa da Câmara Técnica de Saneamento (CT-SA) dos Comitês PCJ 172 - Fermentação fórmica: É a transformação de açúcares em metano. É conseqüência da fermentação butírica. C6H12O6 → 3 CH4 + 3 CO2 (fermentação anaeróbia) Obs.: todas estas fermentações serão detalhadas nos capítulos seguintes. 4.4 Principais microrganismos presentes no tratamento de esgoto. Tabela 4.2 - Principais gêneros de bactérias encontradas no processo de lodos ativados e suas respectivas funções ( HORAN, 1990). GÊNEROS FUNÇÕES Pseudomonas Remove carboidratos e promove desnitrificação. Zooglea Formação de flocos Bacillus Degradação de Proteínas. Athrobacter Degradação de Carboidratos. Microthrix Degradação de Gorduras, crescimento filamentoso. Nocardia Crescimento filamentoso, formação de espuma e escuma. Acinetobacter Remoção de Fósforo. Nitrosomonas Nitrificação. Nitrobacter Nitrificação Achromobacter Desnitrificação.
  • 12.
    EEA – Empresade Engenharia Ambiental Ltda. eea@eea.eng.br Curso de Tratamento de Esgoto – texto oferecido gratuitamente pela Empresa de Engenharia Ambiental - EEA Divulgação neste site (www.comitepcj.sp.gov.br) por iniciativa da Câmara Técnica de Saneamento (CT-SA) dos Comitês PCJ 173 Tabela 4.3 - Agrupamento de organismos de diversos gêneros presentes em sistemas de lodos ativados (VAZOLLÉR et al., 1989). GRANDES GRUPOS GÊNEROS FREQÜENTES Classe Ciliata Paramecium, Colpidium, Litonotus, a) ciliados livres-natantes Trachelophyllum, Amphileptus, Chilodonella b) ciliados pedunculados Vorticella, Operculária, Epstylis, Charchesium e as suctórias Acineta e Podophrya. c) ciliados livres, predadores do floco Aspidisca, Euplotes, Stylonychia, Oxytricha. Classe Mastigophora - flagelados Bodo, Cercobodo, Mona sp, Oicomona sp, Euglena sp, Cercomona sp, Peranema Classe Sarcodina - amebas Amoeba, Arcella, Actinophrys, Vanhlkampfi, Astramoeba, Difflugia, Cochliopodium. Classe Rotífera - rotíferos Philodina, Rotaria, Epidhanes. Classe Nematoda - nematóides Rhabditis Filo Anelida - anelídeos Aelosoma Tabela 4.4 - Microrganismos indicadores das condições de depuração em sistemas de lodos ativados (VAZOLLÉR et al., 1989). MICRORGANISMOS CARACTERÍSTICAS DO PROCESSO Predominância de flagelados e rizópodes Lodo jovem característico de início de operação ou TRC* baixo Predominância de flagelados Deficiência de aeração, má depuração e sobrecarga orgânica Predominância de ciliados pedunculares e livres Boas condições de depuração Presença de Arcella (rizópode com teca) Boa depuração Presença de Aspidisca costata (ciliado livre) Nitrificação Presença de Trachelophyllum (ciliado livre) TRC* alto Presença de Vorticella microstoma (ciliado pedunculado) e baixa concentração de ciliados livres Efluente de má qualidade Predominância de anelídeos do gênero Aelosoma Excesso de oxigênio dissolvido Predominância de filamentos Intumescimento do lodo ou bulking Filamentoso ** (*) Tempo de retenção celular, dia. (**) Para caracterizar o intumescimento do lodo é necessário avaliar os flocos.
  • 13.
    EEA – Empresade Engenharia Ambiental Ltda. eea@eea.eng.br Curso de Tratamento de Esgoto – texto oferecido gratuitamente pela Empresa de Engenharia Ambiental - EEA Divulgação neste site (www.comitepcj.sp.gov.br) por iniciativa da Câmara Técnica de Saneamento (CT-SA) dos Comitês PCJ 174 Como demonstrado no quadro acima, existe a predominância de algumas bactérias em relação a carga orgânica aplicada. Quanto maior o tempo de contato entre as bactérias e o esgoto, maior a possibilidade de aparecimento de rotíferos, já se o tempo de contato for pequeno, ocorrerá a predominância de flagelados. Devemos lembrar que existem outros fatores que podem interferir na massa bacteriana, sendo esses: - Concentração de matéria orgânica presente no substrato; - Quantidade de oxigênio presente dentro do reator; - Características físico-químicas do afluente (temperatura, pH, alcalinidade, etc.) - Carga orgânica aplicada; - Carga hidráulica aplicada. bactérias Flagelados Ciliados livres rotíferos Ciliados fixos Tempo N º de micror. Alta carga Carga convencional Baixa carga Predominância relativa entre os microrganismos aeróbios
  • 14.
    EEA – Empresade Engenharia Ambiental Ltda. eea@eea.eng.br Curso de Tratamento de Esgoto – texto oferecido gratuitamente pela Empresa de Engenharia Ambiental - EEA Divulgação neste site (www.comitepcj.sp.gov.br) por iniciativa da Câmara Técnica de Saneamento (CT-SA) dos Comitês PCJ 175 4. 5. Crescimento Bacteriano. Caso seja colocado num reator tipo batelada, um pequeno número de bactérias, e este mesmo reator sejam alimentados com substrato suficiente para o crescimento das bactérias, deve-se conseguir a curva de crescimento bacteriano demonstrada no gráfico abaixo. 1. Adaptação: é uma fase de adaptação enzimática das bactérias ao novo substrato; 2. Crescimento rápido ou crescimento exponencial: Na fase de crescimento rápido as células se dividem com uma taxa constante. Há excesso de substrato no meio, fazendo com que o crescimento das bactérias não tenha o substrato como fator limitante de crescimento; 3. Crescimento estacionário: O numero de células se mantém constante, devido a morte de algumas células, ocasionada pela falta de alimentação; 4. Crescimento negativo: A falta de alimentação é agravante e a morte das células é muito superior à divisão celular, causando com isso uma diminuição no número de células dentro do reator. Nº de células 1 2 3 4 tempo Síntese endogenia
  • 15.
    EEA – Empresade Engenharia Ambiental Ltda. eea@eea.eng.br Curso de Tratamento de Esgoto – texto oferecido gratuitamente pela Empresa de Engenharia Ambiental - EEA Divulgação neste site (www.comitepcj.sp.gov.br) por iniciativa da Câmara Técnica de Saneamento (CT-SA) dos Comitês PCJ 176 4.6 Cinética da degradação biológica. Conforme estudado no capítulo 3, toda estação de tratamento de esgoto tem o seu balanço de massa dado por: acúmulo = entrada – saída + geração – consumo. O acúmulo, a entrada e a saída são facilmente controlados. A geração e o consumo são mais difíceis de serem avaliados. Uma das principais modelagens matemáticas aceitas no tratamento de esgoto e usada por um grande número de projetistas é a equação de Monod, para a geração e consumo dentro dos reatores. A taxa específica de crescimento de microrganismos, proposta por Monod foi: µµ = µµm . S / (ks + S), onde: Sendo µ = ( dx / dt) / X, onde: Percebe-se, que a taxa específica de crescimento, depende da taxa de crescimento bacteriano máxima, da constante de aumento de substrato e da quantidade de substrato presente no reator. Conforme gráfico seguinte, o parâmetro Ks é determinado no ponto médio do eixo das ordenadas, onde encontra-se o valor µm/2. Prolongando-se o gráfico para o eixo das coordenadas obtêm-se o valor de Ks. µµ = Taxa específica de crescimento bacteriano; µµm = Taxa de crescimento bacteriano máxima; S = Quantidade de substrato na solução; Ks = Constante de aumento de substrato. dx/dt = crescimento bacteriano; µ = Taxa específica de crescimento bacteriano; X = N º de microrganismos.
  • 16.
    EEA – Empresade Engenharia Ambiental Ltda. eea@eea.eng.br Curso de Tratamento de Esgoto – texto oferecido gratuitamente pela Empresa de Engenharia Ambiental - EEA Divulgação neste site (www.comitepcj.sp.gov.br) por iniciativa da Câmara Técnica de Saneamento (CT-SA) dos Comitês PCJ 177 A taxa de utilização de substrato, pode ser expressa pôr: q = ds/dt / X, onde: Num sistema microbiano para tratamento de esgotos, a distribuição de células não é igual em relação ao seu crescimento. Melhor explicando: existem células que envelhecem mais rapidamente, outras que se duplicam mais rapidamente, sendo que no sistema existem várias espécies com diferentes características. Quando existe a falta de substrato, uma parcela das células são consumidas por outras para a obtenção de energia necessária para a sua própria manutenção. Por este motivo, a taxa de crescimento teve que ser melhor definida. Deve-se considerar um decréscimo na massa celular (consumo) que é chamado de decaimento endógeno. Em sistemas contínuos, deve-se subtrair de µµ, o coeficiente de respiração endógena, obtendo-se: µ = µm . ( S / (ks + S)) - b, onde: q = Taxa de utilização de substrato; ds / dt = Variação de substrato pelo tempo; X = N º de microrganismos. µµ S µµm/2 µµm ks b = Decaimento endógeno
  • 17.
    EEA – Empresade Engenharia Ambiental Ltda. eea@eea.eng.br Curso de Tratamento de Esgoto – texto oferecido gratuitamente pela Empresa de Engenharia Ambiental - EEA Divulgação neste site (www.comitepcj.sp.gov.br) por iniciativa da Câmara Técnica de Saneamento (CT-SA) dos Comitês PCJ 178 b = Kd . X onde: A relação entre a taxa de crescimento bacteriano e a taxa de utilização de substrato pode ser dada pelo parâmetro Y. Y = ∆x / ∆s, onde: Um valor alto para Y significa que o crescimento de bactérias é maior que a quantidade de substrato que chega no reator. Um valor baixo para Y significa que o crescimento bacteriano é pequeno, em relação a quantidade de substrato que chega no reator. Y pode ser representado por: Y = µµ / q = Bactérias / substratos; se µ = µmax . S / (ks + S ); então Y . q = Y . qmax . S / ( ks + S ); concluindo-se que q = qmax . S / ( ks + S ). Sabendo-se que: µ = (dx / dt) / X = Y (ds / dt) / X – b; vem: 1 / θc = Y (ds / dt) / X – b; Obtém-se: µµ = 1 / θθc = Y. q – b; Os parâmetros Y e b são facilmente obtidos da literatura ou por meio de ensaios específicos. Para processos aeróbios, y varia de 0,05 a 0,1 e b de 0,01 a 0,05 d-1 . Os parâmetros qmáx e taxa de utilização específica do substrato, são extremamente variáveis, dependendo de fatores nem sempre conhecidos. O mesmo ocorre com KS. Portanto, para cada tipo de sistema, devem-se obter os parâmetros específicos que irão depender das características do reator, das características do substrato e das características da biomassa. Y = Relação de microrganismos / substrato; ∆∆x = Variação de microrganismos; ∆∆s = Variação de substrato. Kd = Coeficiente de decaimento endógeno; X = N º de microrganismos.
  • 18.
    EEA – Empresade Engenharia Ambiental Ltda. eea@eea.eng.br Curso de Tratamento de Esgoto – texto oferecido gratuitamente pela Empresa de Engenharia Ambiental - EEA Divulgação neste site (www.comitepcj.sp.gov.br) por iniciativa da Câmara Técnica de Saneamento (CT-SA) dos Comitês PCJ 179 4.7 Balanço de massa de bactérias e substrato em um reator sem recirculação: r.: Acumulo = entrada – saída + geração; V . dX / dt = Q . X0 – Q . X + V . (dX / dt)r DX / dt = zero; X0 = zero. Situação de equilíbrio: 0 = - Q . X + V (µm . X . S / (ks + S) - Kd . X); Q . X = V (µm . X . S / (ks + S) - Kd . X); Q / V = µm . S / (ks + S) - Kd ; 1 / TDH = µµm . S / (ks + S) - Kd ; Acumulo = entrada – saída + geração - consumo; Ou melhor: V . (ds / dt) = Q .S0 – Q . S + 0 - V . [K.X.S/(Ks+S)]; Ds / dt = zero; (reator em estado estacionário) Situação de equilíbrio: Variação de massa de substrato no reator = Massa de substratos que entram - Massa de substratos o que saem + Acréscimo de substrato gerado - Decréscimo de substrato utilizado
  • 19.
    EEA – Empresade Engenharia Ambiental Ltda. eea@eea.eng.br Curso de Tratamento de Esgoto – texto oferecido gratuitamente pela Empresa de Engenharia Ambiental - EEA Divulgação neste site (www.comitepcj.sp.gov.br) por iniciativa da Câmara Técnica de Saneamento (CT-SA) dos Comitês PCJ 180 0 = Q (S0 – S) - V . [ K . X . S / (Ks + S)]; S0 – S = TDH [ K. X. S / (Ks + S) ]; Sabemos que 1 / TDH = µm . S / (ks + S) - Kd ; 1 / TDH + kd = µm . S / (ks + S); (1 / µm ) . [( 1 / TDH) + kd ] = S / ( ks + S), substituindo-se na equação So – S tem-se; S0 – S = ( TDH . K . X . / µm ) . ( 1 / TDH) + kd ]; S0 – S = X . 1 / Y . ( 1 + TDH . kd ); X = [( So – S) . Y] / (1 + TDH . Kd) O fundamento sobre um reator CFSTR sem recirculação é que o tempo de detenção hidráulico é igual ao tempo de detenção celular. Portanto, a equação X = (S0 – S) . Y / ( 1 + TDH . kd) é válida sem problemas e o TDH pode ser considerado igual ao θc.
  • 20.
    EEA – Empresade Engenharia Ambiental Ltda. eea@eea.eng.br Curso de Tratamento de Esgoto – texto oferecido gratuitamente pela Empresa de Engenharia Ambiental - EEA Divulgação neste site (www.comitepcj.sp.gov.br) por iniciativa da Câmara Técnica de Saneamento (CT-SA) dos Comitês PCJ 181 4.8 Balanço de massa de um reator com recirculação do lodo. Acumulo = entrada – saída + geração - consumo; Ou melhor V . (dX / dt) = (Q . S0 + Qr . S) – ((Q – Qw). S) - V . [K.X.S/(Ks+S)]; DX / dt = zero; (reator em estado estacionário) Desenvolvendo-se a equação chega-se a: X = {[( So – S) x Y] / (1 + θc x Kd)}x (θc / TDH); O fundamento sobre um reator de CFSTR com recirculação é que o tempo de detenção hidráulico é menor que o tempo de detenção celular. Percebe-se que a equação acima é para reator com recirculação de lodo. Sem a recirculação de lodo o TDH é igual ao θc, portanto tem-se: X = {[( So – S) . Y] / (1 + θc . Kd)} . (θc / TDH); X = {[( So – S) . Y] / (1 + TDH . Kd)} . (TDH / TDH); X = {[( So – S) . Y] / (1 + TDH . Kd)} Sem recirculação Variação de massa de substrato no reator = Massa de substratos que entram - Massa de substratos o que saem + Acréscimo de substrato gerado - Decréscimo de substrato utilizado
  • 21.
    EEA – Empresade Engenharia Ambiental Ltda. eea@eea.eng.br Curso de Tratamento de Esgoto – texto oferecido gratuitamente pela Empresa de Engenharia Ambiental - EEA Divulgação neste site (www.comitepcj.sp.gov.br) por iniciativa da Câmara Técnica de Saneamento (CT-SA) dos Comitês PCJ 182 4.9 Parâmetros determinantes no projeto de unidades de tratamento biológico. Os processos biológicos são os mais econômicos dentre os utilizáveis na remoção de matéria orgânica. Por esse motivo, são amplamente utilizados no tratamento de efluentes líquidos. Além da remoção de matéria orgânica, os processos biológicos podem ser aplicados para a oxidação de compostos reduzidos como nitrogênio amoniacal e sulfetos, bem como na redução de nitratos (desnitrificação) e de sulfatos. Na tabela seguinte são mostradas as principais aplicações dos processos biológicos e seus subprodutos. Tabela 4.5 - Principais aplicações dos processos biológicos no tratamento de águas residuárias. TIPO SUBSTRATO PROCESSO SUBPRODUTOS Efluentes Líquidos Matéria Orgânica Aeróbio CO2, SO4 2- , NH- 3, NH+ 4, NO2, NO- 3 Efluentes Líquidos Matéria Orgânica Anaeróbio CO2, CH4, NH- 3NH+ 4, S2- Efluentes Líquidos NH3 - NH4 Aeróbio NO- 2, NO- 3 Efluentes Líquidos NO- 2, NO- 3, SO2- 4 Anaeróbio N2, H2S, NH- 3NH+ 4 A tabela acima mostra que apenas os processos aeróbios são capazes de produzir compostos estáveis que consomem oxigênio. Como no processo de nitrificação e remoção de sulfeto para sulfato, que só pode ocorrem com a presença abundante de oxigênio. A desvantagem dos processos aeróbios é a necessidade de fornecimento de oxigênio ao meio, través de equipamentos que consomem energia. Considera-se, também, como desvantagem dos processos aeróbios, o excesso de lodo biológico produzido, que deve ser descartado diariamente. Este excesso de lodo produzido, expresso em Sólidos Suspensos Voláteis, é cerca de cinco a dez vezes superiores, àquele produzido por processos anaeróbios. Em função das vantagens e desvantagens de ambos os processos, a tendência atual é de se utilizarem sistemas mistos, que contém unidades anaeróbias e aeróbias em série. Este estudo será amplamente abordado no capítulo 12.
  • 22.
    EEA – Empresade Engenharia Ambiental Ltda. eea@eea.eng.br Curso de Tratamento de Esgoto – texto oferecido gratuitamente pela Empresa de Engenharia Ambiental - EEA Divulgação neste site (www.comitepcj.sp.gov.br) por iniciativa da Câmara Técnica de Saneamento (CT-SA) dos Comitês PCJ 183 4.10 Parâmetros utilizados nos processos biológicos: - Tempo de Retenção Celular ou Idade do Lodo (θc) A eficiência dos processos biológicos depende de θc. O valor da concentração de substratos efluente (S) em sistemas de mistura completa pode ser diretamente relacionado com o ·c, conhecendo-se os valores dos parâmetros cinéticos do processo. Valores usuais: Processos aeróbios - Lodos Ativados - θc > 5 d; Lagoas Aeradas - θc > 3 a 5 d; Processos anaeróbios - θc > 20 d. - Taxa de Produção de Excesso de Lodo Expresso em SSV. ∆X = y . ∆S - b Ou ∆X = yobs . ∆S onde yobs = y ( 1 + b . θc) - Taxa de Carregamento Orgânico Volumétrico (Cov) COV = ∆S/ V em kgDBO (ou DQO) por m3 por dia Os valores usuais de COV para diferentes tipos de sistemas estão demonstrados na tabela seguinte. ∆X = massa de SSV produzida por dia; ∆S = massa de substrato removida por dia; X = concentração de SSV no sistema.
  • 23.
    EEA – Empresade Engenharia Ambiental Ltda. eea@eea.eng.br Curso de Tratamento de Esgoto – texto oferecido gratuitamente pela Empresa de Engenharia Ambiental - EEA Divulgação neste site (www.comitepcj.sp.gov.br) por iniciativa da Câmara Técnica de Saneamento (CT-SA) dos Comitês PCJ 184 - Tempo de Detenção Hidráulica (TDH). Os valores usuais, de TDH para diferentes tipos de sistemas estão apresentados na tabela abaixo. Tabela 4.6 - Valores usuais de COV e TDH para diferentes tipos de sistemas. Sistemas Aeróbios COV (kg DBO / m3 . dia) TDH (h) Lodos Ativados Convencional 0,3 - 0,6 1,0 – 8,0 Mistura Completa 0,8 - 2,0 3,0 – 5,0 Estabilização por Contato 1,0 - 1,2 1,5 – 3,0 Aeração Prolongada 0,1 - 0,4 18 – 36 Aeração Escalonada 0,6 - 1,0 3,0 – 5,0 Oxigênio Puro 1,6 - 3,3 1,0 – 3,0 Lagoas Aeradas 0,01 - 0,06 72 – 120 Sistemas Anaeróbios COV TDH (h) Reator Anaeróbio de Manta Lodo 5 – 10 6 – 16 Filtro Anaeróbio < 5 8 – 18 Contato Anaeróbio < 5 8 – 24 Lagoas Anaeróbias < 0,5 > 72 Como pode-se observar o processo tipo lodos ativados convencional, necessita de um menor tempo de detenção hidráulico. Considerando o reator sem recirculação, percebe-se que o Tempo de permanência entre as bactérias e o substrato é suficiente se for igual ao TDH. Os sistemas convencionais não propiciam a endogenia das bactérias, ou seja, não ocorre a falta de alimento, ocasionado um crescimento maior do lodo. Outro problema do sistema de lodos ativados convencional é formação de um lodo ainda não mineralizado, necessitando-se de uma posterior digestão e estabilização do mesmo. O lodo ativado por aeração prolongada, tem o TDH muito alto, propiciando no aumento do tamanho dos reatores. Por outro lado, o lodo já sai totalmente estabilizado, devido ao grande tempo de contato entre o substrato e os microorganismos, não necessitando de digestores de lodo. Este grande tempo de contato leva também a um
  • 24.
    EEA – Empresade Engenharia Ambiental Ltda. eea@eea.eng.br Curso de Tratamento de Esgoto – texto oferecido gratuitamente pela Empresa de Engenharia Ambiental - EEA Divulgação neste site (www.comitepcj.sp.gov.br) por iniciativa da Câmara Técnica de Saneamento (CT-SA) dos Comitês PCJ 185 grande gasto de energia, já que estas bactérias são aeróbias e necessitam de oxigênio para sua reprodução. Os reatores anaeróbios têm a grande vantagem de não necessitarem de aparelhos mecânicos, tanto para mistura como para a aeração. O lodo também já sai estabilizado e os tamanhos dos reatores são pequenos devido ao pequeno TDH médio requeridos. Os processos anaeróbios são muito vantajosos para efluentes com carga orgânica volumétrica muito alta. O tempo de duplicação dos microrganismos anaeróbios é muito mais lento do que os aeróbios, este é um dos motivos da menor geração de lodo. - Relação F/M (Food to Microorganisms). A relação F/M é expressa em Kg DBO (ou DQO) por Kg de SSV presente no sistema por dia. Para processos aeróbios em geral, a relação F/M deve situar-se entre 0,3 a 0,6. Para sistemas aeróbios de alta taxa, F/M pode variar de 0,4 a 1,5 e para sistemas com oxigênio puro, F/M varia de 0,25 a 1,0. Sistemas anaeróbios são operados com relação F/M na faixa de 0,2 a 1,0. – Índice Volumétrico de lodo (IVL). O índice volumétrico de lodo é expresso em ml/g e informa a capacidade de sedimentação do lodo. É extremamente importante para os sistemas de lodos ativados, freqüentemente sujeitos ao fenômeno de “bulking”, caracterizado pela formação de lodo volumoso e pouco denso. O IVL é definido como o volume ocupado por 1 g de lodo após decantação de 30 minutos. O IVL é calculado através da seguinte fórmula: IVL = (H30 x 106 ) / (Ho . SS), onde; IVL = Índice volumétrico de lodo (ml/g) H30 = Altura da interface após 30 minutos (m); Ho = Altura da interface no instante 0 (m); SS = Concentração de sólidos em suspensão(mg/l); 106 = Conversão de mg em g, e de 1 em ml.
  • 25.
    EEA – Empresade Engenharia Ambiental Ltda. eea@eea.eng.br Curso de Tratamento de Esgoto – texto oferecido gratuitamente pela Empresa de Engenharia Ambiental - EEA Divulgação neste site (www.comitepcj.sp.gov.br) por iniciativa da Câmara Técnica de Saneamento (CT-SA) dos Comitês PCJ 186 Valores usuais do IVL são: • Processos Aeróbios - 70 a 120 (ml/g); • Processos Anaeróbios - 40 – 80 (ml/). Em geral, a relação F/M e IVL estão intimamente relacionadas, principalmente nos processos de lodos ativados. Nesse caso, valores de F/M fora da faixa de 0,3 a 0,6 freqüentemente provocam valores de IVL superiores a 100 ml/g. - Formação de Lodo: Numa estação de tratamento de esgoto, os resíduos sólidos que devem ser dispostos adequadamente são provenientes do sistema de gradeamento, das caixas de areia, das escumas formadas em todos os tanques, do lodo biológico e do lodo estabilizado. Para o processo de lodos ativados convencional, deve-se adicionar o tratamento do lodo, alterando o fluxograma das estações de tratamento de esgoto. O tratamento de lodo completo deve seguir os seguintes passos: Adensamento do lodo: Trata-se de remover a umidade do lodo, pode ser feito através de secagem ao sol, filtros prensas, adensamento por gravidade e etc. Tem o principal objetivo a diminuição do volume de lodo, diminuindo-se os volumes dos tanques de estabilização do lodo. Outra fase do tratamento é a estabilização do lodo, através de sua digestão, ou seja, a remoção de matéria orgânica existente. O lodo estabilizado deve possuir pequena quantidade de sólidos voláteis. Após a estabilização deve-se fazer a desidratação do lodo para diminuir ainda mais o volume de lodo a ser transportado. Os sistemas de aeração prolongada não geram tanto lodo quanto os sistemas de lodos ativados convencionais. E também, não necessitam da fase de estabilização do lodo.
  • 26.
    EEA – Empresade Engenharia Ambiental Ltda. eea@eea.eng.br Curso de Tratamento de Esgoto – texto oferecido gratuitamente pela Empresa de Engenharia Ambiental - EEA Divulgação neste site (www.comitepcj.sp.gov.br) por iniciativa da Câmara Técnica de Saneamento (CT-SA) dos Comitês PCJ 187 - Princípios da aeração: Os sistemas de aeração têm dupla finalidade. A primeira é a de disponibilizar oxigênio suficiente para as necessidades dos microrganismos aeróbios, e a segunda é de provocar uma agitação e uma homogeneidade suficiente para que ocorra uma mistura completa em reatores tipo lodos ativados. Como visto no capítulo 3, reatores de mistura completa, não devem possuir curto circuito, sendo assim, necessita-se de uma correta aeração para ocorrer uma completa mistura e homogeneização dos reatores. Fundamentalmente existem dois tipos de aeração: Aeração por ar difuso e aeração superficial ou mecânica. A aeração por ar difuso deve ser utilizada sempre que os reatores tiverem uma profundidade maior do que 3 metros. Somente assim será conseguida a mistura e oxigenação de todo o reator. O sistema é composto por difusores submersos no líquido, tubulações distribuidoras de ar, tubulações de transporte de ar e sopradores. O ar é introduzido próximo ao fundo do tanque, e o oxigênio é transferido ao meio líquido à medida que a bolha se eleva à superfície. Os principais sistemas de aeração por ar difuso podem ser classificados segundo a porosidade do difusor, e segundo o tamanho da bolha produzida: - Difusor poroso: Prato, disco, domo e tubo (bolha fina); - Difusor não poroso: Tubos perfurados ou com rachaduras (bolha grossa); O diâmetro das bolhas finas é inferior a 3 mm e o da bolha grossa deve ser superior a 6 mm. Quanto menor o tamanho da bolha, maior a área superficial disponível para a transferência de gases, ou seja, maior a eficiência de oxigenação. Portanto sistemas com bolhas finas são mais eficientes. Os difusores porosos têm sua eficiência diminuída pela colmatação de seus poros. A colmatação pode ocorrer internamente devido a impurezas no ar ou externamente devido ao crescimento bacteriano na superfície dos difusores. Outro problema é o custo de implantação dos sistemas de bolhas finas, pois os difusores cerâmicos são na sua grande maioria importados.
  • 27.
    EEA – Empresade Engenharia Ambiental Ltda. eea@eea.eng.br Curso de Tratamento de Esgoto – texto oferecido gratuitamente pela Empresa de Engenharia Ambiental - EEA Divulgação neste site (www.comitepcj.sp.gov.br) por iniciativa da Câmara Técnica de Saneamento (CT-SA) dos Comitês PCJ 188 As bolhas grossas não têm o problema de colmatação, devido as mesmas serem geradas em tubos perfurados, bocais e injetores. Tem baixo custo de manutenção e de implantação. Filtros de ar não são necessários. A baixa transferência de oxigênio e elevados requisitos de energia são as principais desvantagens. A aeração superficial tem várias modalidades: Aeradores de eixo vertical com baixa rotação, de eixo vertical com alta rotação, de eixo horizontal de baixa potência, aeradores fixos e aeradores flutuantes. Quando deseja-se que o sistema opere em mistura completa, os seguintes parâmetros devem ser definidos: • Sistemas com Ar Difuso: 20 a 30 kw/1000m2 . • Sistemas com Aeradores: 15 a 30 kw/1000m3 . - Necessidade de Oxigênio em Sistemas de Lodos Ativados e Lagoas Aeradas. Teoricamente, a quantidade de oxigênio a ser suprida ao sistema deve ser equivalente à quantidade consumida na oxidação da matéria orgânica. Se a concentração de matéria orgânica é expressa em DBO, calcula-se inicialmente, a quantidade de oxigênio necessária para suprir a demanda, a partir do cálculo da carga orgânica (CO) removida por dia. CO = Q (So -S) em kg DBO (DQO).d-1 onde, Q é a vazão de projeto; So é a concentração de DBO afluente e S é a concentração de DBO efluente. Em geral, adota-se a necessidade de O2 como sendo 1,5 a 2,0 x CO. - Fornecimento de Oxigênio em Sistemas de Lodos Ativados e Lagoas Aeradas. Para sistemas de aeração que utilizam aeradores superficiais, a quantidade de oxigênio a ser fornecida é função da potência instalada. Pode-se aplicar a seguinte relação: N= No [(β Co – Cl)/Cs].1,024 t – 20 .∝; N = taxa de transferência de oxigênio > 2; No = taxa de transferência de O2 para a água a 20°°C, ββ = fator de correção da salinidade = 1,0; Co = concentração de saturação na operação; CS = concentração de O2, nas condições de operação; CL = saturação de O2 na água a 20°°C e 1 atm; ∝∝ = fator de correção para esgotos, 0,8 a 0,85.
  • 28.
    EEA – Empresade Engenharia Ambiental Ltda. eea@eea.eng.br Curso de Tratamento de Esgoto – texto oferecido gratuitamente pela Empresa de Engenharia Ambiental - EEA Divulgação neste site (www.comitepcj.sp.gov.br) por iniciativa da Câmara Técnica de Saneamento (CT-SA) dos Comitês PCJ 189 - Características dos principais sistemas biológicos para tratamento de esgoto: Sistemas de tratamento DBO N P TDH Custo Lodo Energia Lodos Ativados convencional Bom Médio Ruim Médio Ruim Ruim Ruim Aeração Prolongada Ótimo Bom Ruim Ruim Ruim médio Ruim Lagoa Aerada Médio Médio Médio Ruim Bom Bom Médio Reator UASB Médio Ruim Ruim Bom Bom Bom Bom Está tabela será mais detalhada em capítulos posteriores, mas desde já, deve-se perceber que os sistemas anaeróbios não são chamativos pela grande eficiência, já que o mesmo não é bom para remoção de DBO, N e F. Por outro lado, em todos os aspectos econômicos, como TDH (tamanho do reator), Custo de implantação, formação de lodo e gastos com energia para aeração ele recebe conceito bom. Definitivamente os reatores anaeróbios são econômicos e devem ser utilizados como tratamento biológico, principalmente para altas cargas orgânicas. Para o esgoto doméstico ou esgotos ricos em nitrogênio o mesmo deve receber um pós – tratamento, já que o processo de nitrificação biológica só ocorre na presença de oxigênio. Entre os reatores aeróbios, a aeração prolongada é a que consegue a melhor eficiência na remoção de carbono e amônia, mas perde para os outros sistemas em TDH, custo de implantação e gastos com energia elétrica. A aeração prolongada tem a vantagem de formar um lodo já estabilizado, mas mesmo assim tem uma geração de lodo muito maior do que os reatores anaeróbios. Com baixa carga orgânica existem reatores anaeróbios que ficam até 2 anos sem remoção de lodo. Esta vantagem causa o problema da grande demora para a partida dos reatores anaeróbios , que costumam demorar até 6 meses para chegar em sua eficiência estável. Os reatores anaeróbios seguidos de lagoas aeradas tem sido ótima opções de tratamento de esgoto sanitário. Através deste sistema consegue-se eficiência média sempre acima de 80% na remoção de matéria orgânica, e consegue-se manter o nível de amônia sempre abaixo dos 5 mg/l exigidos pela CETESB.
  • 29.
    EEA – Empresade Engenharia Ambiental Ltda. eea@eea.eng.br Curso de Tratamento de Esgoto – texto oferecido gratuitamente pela Empresa de Engenharia Ambiental - EEA Divulgação neste site (www.comitepcj.sp.gov.br) por iniciativa da Câmara Técnica de Saneamento (CT-SA) dos Comitês PCJ 190 4. Revisão: Para que exista o desenvolvimento tecnológico sem que ocorra uma depreciação do meio ambiente são necessárias algumas medidas: a) As características do meio ambiente devem ser conhecidas para a determinação de suas vocações e susceptibilidades; b) O conhecimento do empreendimento e suas fontes impactantes; c) Uma análise ambiental; d) Determinação de medidas mitigadoras; e) Determinação de medidas compensatórias; f) Monitoramento. Para a caracterização do meio devem ser destacados aspectos físicos, biológicos, sociais e econômicos. Dentre os aspectos físicos, destacam-se os recursos hídricos, a hidrogeologia, a pedologia, a geomorfologia, a geologia e o clima. Nos aspectos biológicos devem ser consideradas as estruturas bióticas. Socialmente, deve-se considerar as tradições, culturas e rotinas adotadas pela população atingida. Deve-se considerar a identificação da região em estudo, através de uma visão histórica das comunidades envolvidas, o perfil econômico da região em estudo, o perfil político institucional, com informações dos poderes legislativo, judiciário e executivo, as organizações sociais existentes e atuações. Tendências atuais diferenciam crescimento de desenvolvimento. Os países do Norte são desenvolvidos e pararam de crescer, já os países do hemisfério sul continuam crescendo aceleradamente e se desenvolvendo de forma lenta. Com uma visão ambiental, e sabendo-se das limitações dos recursos naturais, o desenvolvimento sustentável objetiva o aumento da qualidade de vida, sem causar danos ao homem e ao meio ambiente. Para desenvolver-se sem causar danos a biosfera, é necessário uma política ambiental, ocasionada por um sistema de gestão ambiental.
  • 30.
    EEA – Empresade Engenharia Ambiental Ltda. eea@eea.eng.br Curso de Tratamento de Esgoto – texto oferecido gratuitamente pela Empresa de Engenharia Ambiental - EEA Divulgação neste site (www.comitepcj.sp.gov.br) por iniciativa da Câmara Técnica de Saneamento (CT-SA) dos Comitês PCJ 191 Tanto qualitativamente, quanto quantitativamente, os rios possuem um limite de uso, para que não ocorra um desequilíbrio no seu ecossistema. Os sistemas de gestão de recursos hídricos visam manter este equilíbrio, ou pelo menos, um mínimo de qualidade desejado pelo homem. A cobrança pelo uso da água é um instrumento da economia ecológica que interfere economicamente no empreendimento. Restringindo a oferta da água, mais cara será seu preço, limitando economicamente com isso, o aumento de empreendimentos em locais com escassez de água. A venda de bônus ou o direito de outorga limita a quantidade de poluentes que se pode despejar no rio, ou a quantidade de água que se pode captar. Tem a vantagem de ser facilmente monitorado e a desvantagem de abrir a possibilidade de leilão pelos bônus da água, como ocorre com nossos minerais no DNPM. Existem várias linhas políticas manifestadas em relação ao uso da água. Polêmicas como a desigualdade econômica entre regiões, o pagamento de dividas ambientais para quem enriqueceu as custas do meio ambiente, o direito de instalação de firmas em locais onde já existam outras firmas são algumas polemicas levantadas nas discussões políticas realizadas no congresso nacional.
  • 31.
    EEA – Empresade Engenharia Ambiental Ltda. eea@eea.eng.br Curso de Tratamento de Esgoto – texto oferecido gratuitamente pela Empresa de Engenharia Ambiental - EEA Divulgação neste site (www.comitepcj.sp.gov.br) por iniciativa da Câmara Técnica de Saneamento (CT-SA) dos Comitês PCJ 192 Exercícios: 01. Defina ecologia? 02. Escreva o que você entende por biomassa. 03. Defina Biótipo. 04. Defina Ecossistema. 05. Defina cadeia alimentar. 06. Defina Níveis tróficos. 07. Defina Produtores Primários. 08. Defina Consumidores de 1 ª ordem. 09. Defina Consumidores de 2 ª ordem. 10. Defina Decompositores. 11. Defina seres heterótrofos. 12. Defina seres Autótrofos. 13. Exemplifique a cinética biológica de um reator de mistura completa sem recirculação? 14. Faça para um reator de mistura completa com recirculação?
  • 32.
    EEA – Empresade Engenharia Ambiental Ltda. eea@eea.eng.br Curso de Tratamento de Esgoto – texto oferecido gratuitamente pela Empresa de Engenharia Ambiental - EEA Divulgação neste site (www.comitepcj.sp.gov.br) por iniciativa da Câmara Técnica de Saneamento (CT-SA) dos Comitês PCJ 193 15. Calcular a concentração de sólidos em suspensão a ser atingida, em condições estacionárias, num reator CFSTR sem recirculação. 16. Calcular a concentração de sólidos biológicos no reator, para as seguintes condições: a) sistema sem recirculação TDH = θc = 5 dias; b) sistema com recirculação TDH = 0,25 dias e θc = 5 dias. Dados: Y = 0,6; Kd = 0,07 1/d; S0 = 300 mg/l; S = 15 mg/l; 17. Calcular o tempo de detenção hidráulico e a idade do lodo no sistema de tratamento sem decantação e sem recirculação de sólidos: dados: V = 9000 m3 ; Q = 3000 m3 / dia; S0 = 350 mg/l; S = 9,1 mg / l; µmax = 3,0 d-1 ; Ks = 60 mg/l; Kd = 0,06 d-1 . 18. Dimensionar uma reator biológico pelo sistema de lodos ativados. Considerar o reator como um CFSTR, vazão a ser tratada de 0,25 m3 /s de esgoto sedimentável tendo DBO5 de 250 mg/l. O efluente deve Ter DBO5 de 20 mg/l no máximo. Dados: SSV do afluente = 0; no reator SSV / SS = 0,8; retorno de lodo de 10000 mg/l de SS; θc = 10 dias; efluente contém 22 mg/l de sólidos biológicos dos quais 65 % são biodegradáveis; DBO5 = 0,68 DBOu ; esgoto contém nutrientes em quantidade suficiente. 19. Tendo-se um lodos Ativados convencional, com operação de 10 dias para o tempo de detenção celular, volume de 8000 m3 e concentração de SSV de 3000 mg/l determine: a) taxa de produção de lodo; b) a Vazão de descarte de lodo do reator; c) a vazão de descarte do lodo da linha de recirculação. 20. Explique as vantagens e desvantagens dos vários tipos de aeradores existentes. 21. Defina IVL? Qual a sua importância para o tratamento de esgoto.
  • 33.
    EEA – Empresade Engenharia Ambiental Ltda. eea@eea.eng.br Curso de Tratamento de Esgoto – texto oferecido gratuitamente pela Empresa de Engenharia Ambiental - EEA Divulgação neste site (www.comitepcj.sp.gov.br) por iniciativa da Câmara Técnica de Saneamento (CT-SA) dos Comitês PCJ 194 22. Quais são as formas de o TDH ser igual ao θc. 23. Quais são as formas de o θc ser maior que o TDH. 24. Qual a importância da formação dos comitês de bacias hidrográficas. 25. Quais são os principais tipos de reatores existentes no tratamento de esgoto. Assinale a alternativa correta. 26. O melhor reator para que ocorra o processo de nitrificação é: ( ) Reator UASB ( ) Aeração Prolongada 27. Qual é o reator que tem a maior dimensão para tratar o mesmo esgoto sanitário: ( ) Reator UASB ( ) Aeração Prolongada 28. Qual o reator que forma mais lodo: ( ) Reator UASB ( ) Aeração Prolongada 29. Qual reator tem a maior dimensão para tratar o mesmo esgoto sanitário: ( ) Lodos Ativado Convencional ( ) Aeração Prolongada 30. Qual sistema gasta mais energia: ( ) Lodos Ativados convencional ( ) Aeração Prolongada 31. Qual sistema é mais eficiente: ( ) Lodos Ativados Convencional ( ) Aeração Prolongada 32.O melhor reator para que ocorra o processo de nitrificação é: ( ) Lodos Ativados Convencional ( ) Aeração Prolongada
  • 34.
    EEA – Empresade Engenharia Ambiental Ltda. eea@eea.eng.br Curso de Tratamento de Esgoto – texto oferecido gratuitamente pela Empresa de Engenharia Ambiental - EEA Divulgação neste site (www.comitepcj.sp.gov.br) por iniciativa da Câmara Técnica de Saneamento (CT-SA) dos Comitês PCJ 195 33. Qual é o reator que tem a maior dimensão para tratar o mesmo esgoto sanitário: ( ) Lagoas Aeradas ( ) Aeração Prolongada 34. Qual o reator que forma mais lodo: ( ) Lodos Ativados Convencional ( ) Aeração Prolongada 35. Qual reator tem a maior dimensão para tratar o mesmo esgoto sanitário: ( ) UASB ( ) Lodos Ativados 36. Qual sistema gasta mais energia: ( ) Lodos Ativados convencional ( ) UASB 37. Qual sistema é mais eficiente: ( ) Lodos Ativados Convencional ( ) UASB 38. Explique Índice Volumétrico de Lodo. 39. Explique a relação F/M. 40. O que é o “Bulking” nos sistemas de lodos ativados.