Transfira gratuitamente durante 30 dias
Fazer login
Carregar
Idioma (PT)
Suporte
Negócios
Celular
Mídias sociais
Marketing
Tecnologia
Arte e fotografia
Carreiras
Design
Educação
Apresentações e oratória
Governo e ONGs
Saúde
Internet
Direito
Liderança e gerenciamento
Indústria automotiva
Engenharia
Software
Recrutamento e RH
Varejo
Vendas
Serviços
Ciências
Pequenos negócios e empreendedorismo
Alimentos
Meio ambiente
Economia e finanças
Dados e análise
Relação com investidores
Esportes
Espiritual
Notícias e política
Turismo
Aperfeiçoamento pessoal
Imóveis
Diversão e humor
Saúde e medicina
Dispositivos e hardware
Estilo de vida
Mudar o idioma
Idioma
English
Español
Português
Français
Deutsche
Cancelar
Salvar
PT
Carregado por
netaulasifpaitb
PPTX, PDF
3,762 visualizações
(Aula 3) equações logaritmicas
Projeto Net aulas do IFPA Itaituba
Leia mais
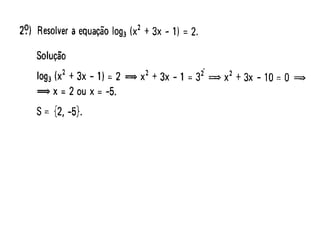
2
Salvar
Compartilhar
Incorporar
Incorporar apresentação
Baixar
Baixado 39 vezes
1
/ 16
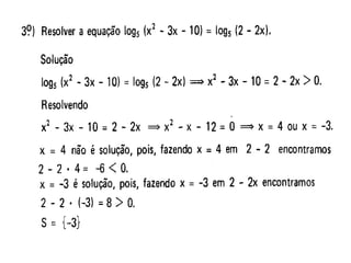
2
/ 16
3
/ 16
4
/ 16
5
/ 16
6
/ 16
7
/ 16
Mais lidos
8
/ 16
Mais lidos
9
/ 16
10
/ 16
11
/ 16
12
/ 16
13
/ 16
Mais lidos
14
/ 16
15
/ 16
16
/ 16
Mais conteúdo relacionado
PDF
Lista de Exercícios – Juros Simples
por
Everton Moraes
PDF
Lista de exercícios de função afim
por
ProfessoraIve
DOC
22 exercícios - inequação produto e quociente (1)
por
Kualo Kala
PDF
Lista de Exercícios – Equação do 1° grau
por
Everton Moraes
PDF
Simulado Saresp - 9º ano - Matemática
por
Juliana Gomes
PDF
Apostila de Função e Função do 1º Grau (25 páginas, 118 questões, com g...
por
ZejucanaMatematica
PDF
Prova do 9º ano auzanir lacerda
por
alunosderoberto
DOC
Sistemas Lineares 2equacoes 2incognitas
por
tioheraclito
Lista de Exercícios – Juros Simples
por
Everton Moraes
Lista de exercícios de função afim
por
ProfessoraIve
22 exercícios - inequação produto e quociente (1)
por
Kualo Kala
Lista de Exercícios – Equação do 1° grau
por
Everton Moraes
Simulado Saresp - 9º ano - Matemática
por
Juliana Gomes
Apostila de Função e Função do 1º Grau (25 páginas, 118 questões, com g...
por
ZejucanaMatematica
Prova do 9º ano auzanir lacerda
por
alunosderoberto
Sistemas Lineares 2equacoes 2incognitas
por
tioheraclito
Mais procurados
PPTX
Zero da função do 1º grau
por
Newton Sérgio Lima
PPTX
Slides- Progressão Geométrica
por
Ketlin Cavane
PDF
Lista 01 exercícios de função do 1º grau
por
Manoel Silva
DOCX
Prova números inteiros - 7° ano
por
Gentil De Almeida Junior
PDF
Matemática volume único edwaldo bianchini e herval paccola
por
Adriana Barbosa
DOCX
Exercícios de equações de 1º grau
por
Aluizio Santos
PPT
Função afim
por
wfsousamatematica
PPT
Potenciação
por
andreapmnobre
PPTX
Plano cartesiano ppt
por
Newton Sérgio Lima
DOCX
Volumes e simetria
por
maria natalice
PDF
Geometria Plana - Exercícios
por
Everton Moraes
DOC
1 lista arredondamento
por
Psicologia_2015
DOC
Expressões númericas para 7 ano
por
Dalila Cristina Reis
PDF
Exercícios de revisão funçao 1 grau
por
iraciva
PDF
Exercicios função
por
Robson S
PPT
Introdução a função.ppt
por
ERANDIDELIMACRUZ
PPT
Probabilidade. 3º ano
por
welixon
PDF
Mat exercicios equacao do segundo grau parte i
por
trigono_metria
PPTX
Media, moda e mediana
por
Jeremias Manhica
PPT
Funções
por
João Alessandro da Luz, Secretaria de Estado da Educação do Paraná, Campo Mourão - Pr
Zero da função do 1º grau
por
Newton Sérgio Lima
Slides- Progressão Geométrica
por
Ketlin Cavane
Lista 01 exercícios de função do 1º grau
por
Manoel Silva
Prova números inteiros - 7° ano
por
Gentil De Almeida Junior
Matemática volume único edwaldo bianchini e herval paccola
por
Adriana Barbosa
Exercícios de equações de 1º grau
por
Aluizio Santos
Função afim
por
wfsousamatematica
Potenciação
por
andreapmnobre
Plano cartesiano ppt
por
Newton Sérgio Lima
Volumes e simetria
por
maria natalice
Geometria Plana - Exercícios
por
Everton Moraes
1 lista arredondamento
por
Psicologia_2015
Expressões númericas para 7 ano
por
Dalila Cristina Reis
Exercícios de revisão funçao 1 grau
por
iraciva
Exercicios função
por
Robson S
Introdução a função.ppt
por
ERANDIDELIMACRUZ
Probabilidade. 3º ano
por
welixon
Mat exercicios equacao do segundo grau parte i
por
trigono_metria
Media, moda e mediana
por
Jeremias Manhica
Funções
por
João Alessandro da Luz, Secretaria de Estado da Educação do Paraná, Campo Mourão - Pr
Destaque
PPT
Logaritmos
por
PROFESSOR GLEDSON GUIMARÃES
PPTX
Função logarítmica
por
Jesrayne Nascimento
PPS
Logaritmos
por
Isabel
PDF
Fundamentos geometria i
por
con_seguir
PDF
Inequações modulares
por
jvcastromattos
PDF
Equações diferenciais 1990
por
Romeu da Silveira
PPTX
Aula de LOGARITMOS
por
José Junior Barreto
PDF
Livro de ..calculo 3
por
Ana Chavier
PDF
Funções trigonométricas
por
André Luís Nogueira
PPT
Apresentação Equações Diferenciais - Bernoulli
por
Jose Bueno
PPTX
Equação e inequação modular caderno de atividades 4 (enem)
por
Arthur Prata
PPTX
Função, equação e inequação logarítmica
por
Davisonsm
PDF
Fundamentos matematica i
por
con_seguir
DOCX
Funções trigonométricas
por
Mackenzie Solano
PPT
Equações diferenciais ordinárias
por
Herlan Ribeiro de Souza
PDF
Cefet mg-2011-1-prova-completa-c-gabarito (1)
por
LAURA BARROS
PPT
Estatística
por
Liliana Carvalho
DOCX
Resumo Exponenciais e Logaritmicas | Matemática A 12º Ano
por
Instituto Superior Técnico, UTL
PPT
Probabilidades
por
lidiahenriques3
PDF
Calculo.vol 3.guidorizzi.pdf
por
Gustavo Padovany
Logaritmos
por
PROFESSOR GLEDSON GUIMARÃES
Função logarítmica
por
Jesrayne Nascimento
Logaritmos
por
Isabel
Fundamentos geometria i
por
con_seguir
Inequações modulares
por
jvcastromattos
Equações diferenciais 1990
por
Romeu da Silveira
Aula de LOGARITMOS
por
José Junior Barreto
Livro de ..calculo 3
por
Ana Chavier
Funções trigonométricas
por
André Luís Nogueira
Apresentação Equações Diferenciais - Bernoulli
por
Jose Bueno
Equação e inequação modular caderno de atividades 4 (enem)
por
Arthur Prata
Função, equação e inequação logarítmica
por
Davisonsm
Fundamentos matematica i
por
con_seguir
Funções trigonométricas
por
Mackenzie Solano
Equações diferenciais ordinárias
por
Herlan Ribeiro de Souza
Cefet mg-2011-1-prova-completa-c-gabarito (1)
por
LAURA BARROS
Estatística
por
Liliana Carvalho
Resumo Exponenciais e Logaritmicas | Matemática A 12º Ano
por
Instituto Superior Técnico, UTL
Probabilidades
por
lidiahenriques3
Calculo.vol 3.guidorizzi.pdf
por
Gustavo Padovany
Mais de netaulasifpaitb
PPTX
Rel. met. no tr
por
netaulasifpaitb
PPTX
Rel. trig. no rt
por
netaulasifpaitb
PPTX
Função afim aula 4
por
netaulasifpaitb
PPTX
Função do 1º grau aula 3
por
netaulasifpaitb
PPTX
Plano cartesiano
por
netaulasifpaitb
PPTX
Função aula2
por
netaulasifpaitb
PDF
Gabarito geografia
por
netaulasifpaitb
PDF
Exercicios geoplitica ifpa
por
netaulasifpaitb
PDF
Regionalizaçao 2o ano
por
netaulasifpaitb
PPT
Geopolitica 2 ano ifpa
por
netaulasifpaitb
PPT
Espaço geográfico 1o ano
por
netaulasifpaitb
PPT
Aula o que é geografia - 1o ano
por
netaulasifpaitb
PPTX
Progressão geométrica aula 2
por
netaulasifpaitb
PPTX
Pa aula-2
por
netaulasifpaitb
PPTX
Progressão geométrica aula 1
por
netaulasifpaitb
PPTX
Pa aula-1
por
netaulasifpaitb
PPTX
Função aula 1
por
netaulasifpaitb
PPTX
(Aula 4) inequações log.
por
netaulasifpaitb
PPTX
(Aula 2) função logarítmica
por
netaulasifpaitb
PPTX
Conjuntos aula (slide)
por
netaulasifpaitb
Rel. met. no tr
por
netaulasifpaitb
Rel. trig. no rt
por
netaulasifpaitb
Função afim aula 4
por
netaulasifpaitb
Função do 1º grau aula 3
por
netaulasifpaitb
Plano cartesiano
por
netaulasifpaitb
Função aula2
por
netaulasifpaitb
Gabarito geografia
por
netaulasifpaitb
Exercicios geoplitica ifpa
por
netaulasifpaitb
Regionalizaçao 2o ano
por
netaulasifpaitb
Geopolitica 2 ano ifpa
por
netaulasifpaitb
Espaço geográfico 1o ano
por
netaulasifpaitb
Aula o que é geografia - 1o ano
por
netaulasifpaitb
Progressão geométrica aula 2
por
netaulasifpaitb
Pa aula-2
por
netaulasifpaitb
Progressão geométrica aula 1
por
netaulasifpaitb
Pa aula-1
por
netaulasifpaitb
Função aula 1
por
netaulasifpaitb
(Aula 4) inequações log.
por
netaulasifpaitb
(Aula 2) função logarítmica
por
netaulasifpaitb
Conjuntos aula (slide)
por
netaulasifpaitb
Baixar