Alexandre Barbosa Pontes - 717.370.062-00
1
Alexandre Barbosa Pontes - 717.370.062-00
2
Olá, Amigo (a)!
Daremos início a mais uma aula do Curso Completo de Enfermagem para Concursos.
Nesta aula, exploraremos a teoria e questões cobradas em concursos anteriores referentes ao
tema Assistência ao Recém-Nascido.
Boa aula. Mantenha o foco e a fé!
Profº. Rômulo Passos
Profª. Cássia Moésia
Profª. Joanna Mello
Profª. Raiane Ribeiro
Profª. Sthephanie Abreu
Aula atualizada em 06/10/2017.
www.romulopassos.com.br
Alexandre Barbosa Pontes - 717.370.062-00
3
ASSISTÊNCIA AO RECÉM-NASCIDO
De acordo com o Ministério da Saúde, o peso considerado adequado para o recém-nascido é >2.500g e
<4.000g, o peso é considerado de risco quando estiver <2.000g ou >4.000g.
Cuidados na Hora do Nascimento
Avaliação da Vitalidade ao Nascer
De acordo com o Manual do Ministério da Saúde, a frequência cardíaca adequada para recém-nascido
(RN) varia, em média, de 120 a 140 bpm. RN em repouso com frequência cardíaca abaixo de 100bpm
(bradicardia) ou acima de 160bpm (taquicardia) devem ser avaliados.
“Meu amigo (a), tenha determinação para
vencer!”
Alexandre Barbosa Pontes - 717.370.062-00
4
Assistência Imediata ao RN
Assistência Imediata ao RN
O método mais frequentemente usado para avaliar o ajuste imediato do recém-nascido à vida
extrauterina é o sistema de índice de Apgar. O índice baseia-se na observação de frequência cardíaca, esforço
respiratório, tônus muscular, irritabilidade reflexa e cor. A cada item atribui-se um escore de 0, 1 ou 2. As
avaliações de todas as cinco categorias são feitas em 1 e 5 minutos após o nascimento e repetidas até a
condição do recém nascido estabilizar. Os escores totais de 0 a 3 representam sofrimento grave, escores de 4 a
6 significam dificuldade moderada (intermediário), escores de 7 a 10 indicam ausência de dificuldade de ajuste
à vida extrauterina (normal). O índice do Apgar é influenciado pelo grau de imaturidade fisiológica, infecção,
malformações congênitas, sedação ou analgesia materna e distúrbios neuromusculares.
Secar e Aquecer o RN
Estabelecer a permeabilidade
das vias aéreas
Alexandre Barbosa Pontes - 717.370.062-00
5
Índices do Apgar de 0 a 3 no quinto minuto relacionam-se a maior risco de mortalidade e leve aumento
de risco para paralisia cerebral. No entanto, um baixo índice de Apgar, isoladamente, não prediz disfunção
neurológica tardia.
Em síntese:
 As avaliações de todas as cinco categorias são feitas em 1 e 5 minutos após o nascimento e repetidas
até a condição do recém nascido estabilizar;
 Escores totais de 0 a 3 representam sofrimento grave;
 Escores de 4 a 6 significam dificuldade moderada (intermediário);
 Escores de 7 a 10 indicam ausência de dificuldade de ajuste à vida extrauterina (normal).
Assistência Imediata ao RN
Avaliar o Apgar no 1º e 5º minuto
Pinçamento e secção do cordão umbilical
Alexandre Barbosa Pontes - 717.370.062-00
6
Identificação do RN
Essas aulas escritas (PDF) são atualizadas mensalmente - se for
imprimir, faça isso apenas das aulas que estiver acompanhando, pois
o material é atualizado e ampliado mensalmente.
Administrar Vitamina K1 Nitrato de Prata 1%
Determinar medidas antropométricas
Alexandre Barbosa Pontes - 717.370.062-00
7
“O concurseiro vencedor sabe dizer não sempre que necessário,
sem se culpar, não podemos agradar a todos e prejudicar nossa preparação,
nossos sonhos, sem desgaste.”
As manifestações clínicas predominantes da carência da vitamina K são as hemorragias, decorrentes da
não ativação das proteínas dependentes da vitamina. Apesar de ocorrer em qualquer faixa etária, o recém-
nascido é mais susceptível à doença, por apresentar níveis mais baixos de fatores da coagulação, menores
reservas de vitamina K.
Assim, o Ministério da Saúde recomenda, que seja administrado uma dose de 1 mg de vitamina K, por
via intramuscular logo após o nascimento, como uma forma efetiva de prevenir a doença hemorrágica do
recém-nascido, causada pela deficiência de vitamina K.
O uso do Nitrato de prata a 1% é para prevenção da oftalmia gonocócica pelo método de Credé, o qual
deve ser feito da seguinte forma: retirar o vérnix da região ocular com gaze seca ou umedecida com água,
sendo contraindicado o uso de soro fisiológico ou qualquer outra solução salina. Afastar as pálpebras e instilar
uma gota de nitrato de prata a 1% no fundo do saco lacrimal inferior de cada olho. A seguir, massagear
suavemente as pálpebras deslizando-as sobre o globo ocular para fazer com que o nitrato de prata banhe toda
a conjuntiva. Se o nitrato cair fora do globo ocular ou se houver dúvida, repetir o procedimento. Limpar com
gaze seca o excesso que ficar na pele das pálpebras. A profilaxia deve ser realizada na primeira hora após o
nascimento, tanto no parto vaginal quanto cesáreo.
Fonte: http://bvsms.saude.gov.br/bvs/publicacoes/atencao_saude_recem_nascido_v1.pdf (página, 48).
Assistência mediata ao RN
Alexandre Barbosa Pontes - 717.370.062-00
8
Conceito e Classificação do RN
Características Anatômicas e Fisiológicas
Todos os dias são inseridos novos vídeos potenciais nas disciplinas deste
curso Completo de Enfermagem para Concursos.
As questões online estão sendo ampliadas diariamente (todas comentadas
em vídeo) estude por elas para ser aprovado (a).
Alexandre Barbosa Pontes - 717.370.062-00
9
Fonte: elaboração do site www.romulopassos.com.br
]
Alexandre Barbosa Pontes - 717.370.062-00
10
Postura
encurvado com membros
inferiores e superiores fletidos.
Face
edemaciada;
manchas
Pele
rósea após o nascimento e
extremidades cianóticas.
“Está estudando?
Deixe o celular no silencioso. Concentre-se!
Alexandre Barbosa Pontes - 717.370.062-00
11
Características Tegumentares
Vérnix caseoso
Secreção branca, gordurosa
e pegajosa
Lanugem protetora
Fina penugem na orelha
MMSS/II e fonte
Millium facial ou sebáceo
Pequenas pápulas brancas
Alexandre Barbosa Pontes - 717.370.062-00
12
A icterícia constitui-se em um dos problemas mais frequentes no período neonatal e corresponde à
expressão clínica da hiperbilirrubinemia.
Na maioria das vezes, a icterícia reflete uma adaptação neonatal ao metabolismo da bilirrubina e é
denominada de “fisiológica”. Por outras vezes decorre de um processo patológico, podendo alcançar
concentrações elevadas e ser lesiva ao cérebro, instalando-se o quadro de encefalopatia bilirrubínica aguda
com letargia, hipotonia e sucção débil nos primeiros dias de vida. Esta condição pode ocasionalmente ser
reversível, desde que haja uma intervenção terapêutica imediata e agressiva, mas na maioria das vezes evolui
para a forma crônica da doença com sequelas neurológica permanente denominada kernicterus ou para óbito.
A hiperbilirrubinemia significante presente na primeira semana de vida é um problema preocupante em
RN a termo e prematuros tardios e com frequência está associada à oferta láctea inadequada, perda elevada
de peso e desidratação, muitas vezes decorrente da alta hospitalar antes de 48 horas de vida e da falta do
retorno ambulatorial em 1 a 2 dias após a alta hospitalar.
A hiperbilirrubinemia indireta denominada “fisiológica” caracteriza-se na população de termo por início
tardio (após 24 horas) com pico entre o 3º e 4º dias de vida e bilirrubinemia total (BT) máxima de 12 mg/dL.
Hiperbilirrubinemia é definida como a concentração sérica de bilirrubina indireta (BI) maior que
1,5mg/dL ou de bilirrubina direta (BD) maior que 1,5mg/dL, desde que esta represente mais que
10% do valor de bilirrubina total (BT)1.
A presença de icterícia antes de 24 horas de vida ou de valores de BT > 12 mg/dL,
independentemente da idade pós-natal, alerta para a investigação de processos patológicos.
Alexandre Barbosa Pontes - 717.370.062-00
13
Atualmente, a maioria dos casos de hiperbilirrubinemia indireta é controlada pela fototerapia quando
aplicada de maneira adequada, sendo a doença hemolítica grave por incompatibilidade Rh a principal
indicação de exsanguíneotransfusão (EST). Como a EST acompanha-se de elevada morbidade e mortalidade,
deve ser indicada com precisão e praticada exclusivamente por equipe habilitada em cuidados intensivos
neonatais.
A fototerapia é a modalidade terapêutica mais utilizada mundialmente para o tratamento da
hiperbilirrubinemia neonatal. O sucesso da fototerapia depende da transformação fotoquímica da bilirrubina
nas áreas expostas à luz. Essas reações alteram a estrutura da molécula de bilirrubina e permitem que os
fotoprodutos sejam eliminados pelos rins ou pelo fígado, sem sofrerem modificações metabólicas. Portanto, o
mecanismo de ação básico da fototerapia é a utilização de energia luminosa na transformação da bilirrubina
em produtos mais hidrossolúveis.
Não há consenso quanto aos níveis séricos de BT para indicação de fototerapia e exsanguineotransfusão
em RN a termo e pré-termo. Com base em evidências limitadas, leva-se em conta a avaliação periódica da BT,
as idades gestacional e pós-natal, além dos fatores agravantes da lesão bilirrubínica neuronal para indicar
fototerapia e exsanguineotransfusão. De maneira simplificada, a tabela abaixo mostra os valores para RN com
35 ou mais semanas de gestação.
Fonte: Ministério da Saúde1
1
Disponível em: http://bvsms.saude.gov.br/bvs/publicacoes/atencao_saude_recem_nascido_v2.pdf
Indicação de fototerapia
Alexandre Barbosa Pontes - 717.370.062-00
14
De acordo com o Ministério da Saúde2
, são recomendados os seguintes cuidados durante a
realização da fototerapia:
• Verificar a temperatura corporal a cada três horas para detectar hipotermia ou hipertermia, e o peso
diariamente.
• Aumentar a oferta hídrica, pois a fototerapia com lâmpada fluorescente ou halógena pode provocar
elevação da temperatura, com consequente aumento do consumo de oxigênio, da frequência respiratória e do
fluxo sanguíneo na pele, culminando em maior perda insensível de água.
• Proteger os olhos com cobertura radiopaca por meio de camadas de veludo negro ou papel carbono
negro envolto em gaze.
• Não utilizar ou suspender a fototerapia se os níveis de BD estiverem elevados ou se houver colestase,
para evitar o aparecimento da síndrome do bebê bronzeado, que se caracteriza pelo depósito de derivados de
cobreporfirina no plasma, urina e pele.
• Cobrir a solução parenteral e o equipo com papel alumínio ou usar extensores impermeáveis à luz, pois a
exposição de soluções de aminoácidos ou multivitamínicas ao comprimento de luz azul reduz a quantidade de
triptofano, metionina e histidina. Adicionalmente, a solução de lipídeos é altamente susceptível à oxidação
quando exposta à luz, originando hidroperóxidos de triglicérides citotóxicos.
• A prática da descontinuidade da fototerapia durante a alimentação, inclusive com a retirada da cobertura
dos olhos, desde que a bilirrubinemia não esteja muito elevada.
2
Disponível em: http://bvsms.saude.gov.br/bvs/publicacoes/atencao_saude_recem_nascido_v2.pdf
Cuidados durante a fototerapia
Ao final deste curso, acesse o menu Certificados na área do aluno para você
fazer download e imprimir seu certificado, com código de autenticidade.
Sempre que for estudar, utilize o filtro inteligente do site, afim de ter o
direcionamento para cada concurso e não perder tempo estudando o que não
será cobrado no concurso almejado.
Os temas na enfermagem e SUS são atualizados rapidamente. Por isso, fique
atento (a) às atualizações do site. Isso é uma rotina nossa!
Alexandre Barbosa Pontes - 717.370.062-00
15
CARACTERÍSTICAS ANATÔMICAS E FISIOLÓGICAS - RN a termo
CARACTERÍSTICAS ANATÔMICAS E FISIOLÓGICAS DO RECÉM-NASCIDO PRÉ-TERMO
“A sua aprovação chegará. Lute!”
CLASSIFICAÇÃO Limítrofe: 35-36s Moderado: 31-34s Extremo: <31s
Postura: inativo, flácido e
relaxado, extremidades
mantidas em extensão.
Alexandre Barbosa Pontes - 717.370.062-00
16
CABEÇA
Grande,
desproporcional,
achatada dos lados e
longa na frente
FACE
Senil e
envelhecida
CABELOS
Finos e Ralos
OLHOS
Fechados, grandes
em relação a face e
proeminente
PESCOÇO
Curto e repousa
sobre a caixa
torácica
FONTANELAS
Amplas
CAIXA TORÁCICA
Deprimida
ABDOME
Distendido
PELE
Coloração pálida
e coberta por
lanugem
SISTEMA
RESPIRATÓRIO
Imaturo.
Episódios de
apneia
SISTEMA
TERMORREGULAR
Incapacidade de
manutenção de
temperatura
corpórea, pois, não
possui gordura para
isolamento térmico
SISTEMA
DIGESTÓRIO
Dificuldade de
Absorção
PESO
Perda de peso
PELE
Enrugada, sem
lanugem e verniz
caseoso
UNHAS
Ultrapassam a
Polpa digital
MÃOS
Secas,
descamadas
Alexandre Barbosa Pontes - 717.370.062-00
17
EXAMES
 Teste do Pezinho
Fonte: Manual Técnico de Triagem Neonatal Biológica - Disponível em:
http://bvsms.saude.gov.br/bvs/publicacoes/triagem_neonatal_biologica_manual_tecnico.pdf (página 19).
Detecta precocemente 6 doenças congênitas:
• Recomenda-se que o período ideal de coleta da
primeira amostra esteja compreendido entre o 3º
e o 5º dia de vida do bebê devido às
especificidades das doenças diagnosticadas
atualmente.
• Punção da face lateral ou média do calcanhar do
bebê para obtenção de amostras de sangue
colhidas em papel filtro.
• Obs.: Deve ser considerada como uma condição
de exceção toda coleta realizada após o 28º dia
de vida, mesmo que não recomendada, por se
tratar de um exame fora do período neonatal.
Alexandre Barbosa Pontes - 717.370.062-00
18
Desde a década de 60, a Organização Mundial da Saúde (OMS) preconiza a importância dos programas
populacionais de Triagem Neonatal – para a prevenção de deficiência mental e agravos à saúde do recém-
nascido – e recomenda sua implementação, especialmente nos países em desenvolvimento.
Segundo estimativa da OMS, 10% da população brasileira é portadora de algum tipo de deficiência e,
dentre elas a deficiência mental representa um sério problema de Saúde Pública.
Fonte: Manual de triagem neonatal: http://bvsms.saude.gov.br/bvs/publicacoes/triagem_neonatal_biologica_manual_tecnico.pdf
Exame do reflexo Vermelho
O Teste do Reflexo Vermelho (TRV), também conhecido como “Teste do Olhinho”, é um exame capaz
de identificar a presença de diversas enfermidades visuais como a catarata congênita e o retinoblastoma.
Diversas outras doenças também podem ser triadas por aplicação do TRV e confirmadas através de
diagnóstico diferencial de leucocorias, como a Retinopatia da Prematuridade, o Glaucoma Congênito, o
Retinoblastoma, a Doença de Coats, a Persistência Primária do Vítreo Hiperplásico – PVPH, Descolamento de
Retina, Hemorragia Vítrea, Uveíte (Toxoplasmose, Toxocaríase), Leucoma e até mesmo Altas Ametropias.
De acordo com o Ministério da Saúde (2016), todos os recém-nascidos devem ser submetidos ao TRV
antes da alta da maternidade e pelo menos de 2 a 3 vezes por ano nos 3 primeiros anos de vida. Se nessa fase
for detectada qualquer alteração, o neonato precisa ser encaminhado para esclarecimento diagnóstico e
conduta precoce em serviço oftalmológico especializado de referência. O TRV é um método não invasivo, de
simples realização com apenas o uso de um oftalmoscópio direto, equipamento portátil e de baixo custo;
sendo um procedimento extremamente barato, de fácil realização e rápido.
O teste consiste na emissão de luz através de um oftalmoscópio, nos olhos do recém-nascido; o reflexo
desta luz incidida sobre os olhos da criança produz uma cor avermelhada e contínua nos olhos saudáveis, que
consideramos reflexo vermelho normal (em tons de vermelho, laranja ou amarelo) e significa que as principais
estruturas internas do olho (córnea, câmara anterior, íris, pupila, cristalino, humor vítreo e retina) estão
transparentes, permitindo que a retina seja atingida de forma normal. Na presença de alguma anomalia que
impeça a chegada da luz à retina e a sua reflexão característica, o reflexo luminoso sofre alterações que
interferem em sua coloração, homogeneidade e simetria binocular. Além do reflexo vermelho, é recomendado
o rastreamento da acuidade visual da criança menor de 5 anos em consultas de rotina por meio de exames de
avaliação, como inspeção externa do olho e das pálpebras, verificação da mobilidade ocular, pupilas, avaliação
de estrabismo por meio do teste de Hirschberg e do teste de cobertura alternada e a avaliação da acuidade
visual por meio do Snellen. Percebendo alguma alteração nos resultados dos exames, a equipe de atenção
básica deverá encaminhar para avaliação em consulta especializada com oftalmologista.
Teste do Reflexo Vermelho –TRV
Alexandre Barbosa Pontes - 717.370.062-00
19
“A aula é importante. Mantenha a concentração!”
Alexandre Barbosa Pontes - 717.370.062-00
20
Triagem Auditiva Neonatal
A Triagem Auditiva Neonatal (TAN), conhecida como “teste da orelhinha”, tem por finalidade a
identificação o mais precocemente possível da deficiência auditiva nos neonatos e lactentes. Consiste no teste
e reteste, com medidas fisiológicas e eletrofisiológicas da audição, com o objetivo de encaminhá-los para
diagnóstico dessa deficiência, e intervenções adequadas à criança e sua família.
No caso de deficiência auditiva permanente, o diagnóstico funcional e a intervenção iniciados antes dos
seis meses de vida da criança possibilitam, em geral, melhores resultados para o desenvolvimento da função
auditiva, da linguagem, da fala, do processo de aprendizagem e, consequentemente, a inclusão no mercado de
trabalho e melhor qualidade de vida.
A TAN deve ser realizada, preferencialmente, nos primeiros dias de vida (24h a 48h) na maternidade, e,
no máximo, durante o primeiro mês de vida, a não ser em casos quando a saúde da criança não permita a
realização dos exames.
Ressaltamos que o Teste da Orelhinha é um exame simples para saber se está tudo bem com a audição
do seu filho. Um aparelho eletrônico com fone é colocado no ouvido do bebê, o que permite ao médico ou
fonoaudiólogo verificar se a criança ouve normalmente. O exame não tem contraindicações e pode ser feito
com o bebê dormindo. Recomenda-se que o teste seja feito no primeiro mês de vida, mas todos os bebês
devem passar pelo exame.
Deve ser organizada em duas etapas (teste e reteste), no primeiro mês de vida. A presença ou ausência
de indicadores de risco para a deficiência auditiva (Irda) deve orientar o protocolo a ser utilizado:
• Para os neonatos e lactentes sem indicador de risco, utiliza-se o exame de Emissões Otoacústicas
Evocadas (EOAE). Caso não se obtenha resposta satisfatória (falha), repetir o teste de EOAE, ainda nesta etapa
de teste. Caso a falha persista, realizar de imediato o Potencial Evocado Auditivo de Tronco Encefálico (Peate-
Automático ou em modo triagem).
• Para os neonatos e lactentes com indicador de risco, utiliza-se o teste de Peate-Automático ou em
modo triagem.
• Exame de Emissões Otoacústicas Evocadas, um
procedimento não invasivo (não usa agulhas ou
qualquer objeto perfurante - não causa dor ao
bebê);
• Deve ser feito com o bebê em sono natural, com
duração de aproximadamente 5 a 10 minutos;
• Não tem qualquer contra indicação, não acorda
nem incomoda o bebê.
• O objetivo deste teste não é avaliar o grau de
perda auditiva, mas detectar possíveis alterações
que, se diagnosticadas a tempo, aumentam as
chances de intervenção.
Alexandre Barbosa Pontes - 717.370.062-00
21
O registro das EOAE é recomendado na realização da TAN em crianças sem Irda, pois é um teste rápido,
simples, não invasivo, com alta sensibilidade e especificidade, capaz de identificar a maioria das perdas
auditivas cocleares em torno de 30-35 dB. O registro das EOAE não possibilita a identificação de perdas
auditivas retrococleares, que, no entanto, são mais prevalentes na população com Irda. Para a realização do
registro das EOAE é necessária a integridade anatômica da orelha externa e média.
O segundo teste, com Peate nos neonatos e lactentes com baixo risco, nos casos de falha em dois
exames de EOAE, é indicado, pois diminui os índices de falso-positivos devido às alterações de orelha média,
ou presença de vérnix nos condutos auditivos. Consequentemente, há diminuição de encaminhamentos
desnecessários para reteste e diagnóstico.
Nos casos dos neonatos e lactentes com Irda, justifica-se a realização do Peate como primeira escolha
devido à maior prevalência de perdas auditivas retrococleares não identificáveis por meio do exame de EOAE.
Aqueles neonatos e lactentes com malformação de orelha, mesmo que em apenas uma delas, deverão
ser encaminhados diretamente para diagnóstico otorrinolaringológico e audiológico.
Para gravar:
“Planeje os seus estudos!”
Para os neonatos e
lactentes SEM indicador
de risco
Utiliza-se o exame de Emissões Otoacústicas
Evocadas (EOAE).
Utiliza-se o teste de Peate-Automático ou em
modo triagem (Potencial Evocado Auditivo de
Tronco Encefálico).
Para os neonatos e
lactentes COM indicador
de risco
Caso não se obtenha resposta satisfatória (falha) em neonatos e lactentes sem
indicador de risco, repetir o teste de EOAE, ainda nesta etapa de teste. Caso a falha
persista, realizar de imediato o Potencial Evocado Auditivo de Tronco Encefálico (Peate-
Automático ou em modo triagem).
Alexandre Barbosa Pontes - 717.370.062-00
22
Triagem do Frênulo Lingual – Teste da Linguinha
Nota Técnica nº 09/2016 - MS
Considerando que a triagem na maternidade tem como objetivo a identificação de casos graves de
anquiloglossia, sugere-se a utilização do protocolo Bristol Tongue Assessment Tool (BTAT).
Esse protocolo fornece uma medida objetiva e de execução simples da severidade da anquiloglossia,
para selecionar os lactentes para frenotomia e monitorizar o efeito do procedimento.
Alexandre Barbosa Pontes - 717.370.062-00
23
Em relação aos quatro aspectos para avaliação do frêmito:
 A aparência da ponta da língua é considerada uma das principais formas de avaliar a anquiloglossia. É
frequentemente notada pelos pais e por isso pode ser útil para explicar a presença de anquiloglossia.
 A fixação no alvéolo inferior permite avaliar a presença de anquiloglossia nos casos em que a
aparência pode não ser tão óbvia. Em geral, tem reflexo na aparência da língua com a boca bem
aberta.
 A fixação no alvéolo inferior permite avaliar a presença de anquiloglossia nos casos em que a
aparência pode não ser tão óbvia. Em geral, tem reflexo na aparência da língua com a boca bem
aberta.
 A fixação no alvéolo inferior permite avaliar a presença de anquiloglossia nos casos em que a
aparência pode não ser tão óbvia. Em geral, tem reflexo na aparência da língua com a boca bem
aberta.
Alexandre Barbosa Pontes - 717.370.062-00
24
Teste da Oximetria de Pulso - Teste do Coraçãozinho
De acordo com a Portaria do MS nº 20/2014, deve-se realizar a aferição da oximetria de pulso (teste
do coraçãozinho), em todo recém-nascido aparentemente saudável com idade gestacional > 34 semanas,
antes da alta da Unidade Neonatal.
Alexandre Barbosa Pontes - 717.370.062-00
25
CONSULTAS DO RECÉM-NASCIDO
O Ministério da Saúde recomenda SETE consultas de rotina no primeiro ano de vida (na 1ª semana, no
1º mês, 2º mês, 4º mês, 6º mês, 9º mês e 12º mês), além de duas consultas no 2º ano de vida (no 18º e no 24º
mês) e, a partir do 2º ano de vida, consultas anuais, próximas ao mês do aniversário.
Essas faixas etárias são selecionadas porque representam momentos de oferta de imunizações e de
orientações de promoção de saúde e prevenção de doenças. As crianças que necessitem de maior atenção
devem ser vistas com maior frequência.
A ADMINISTRAÇÃO DE MEDICAÇÃO INTRAMUSCULAR EM RECÉM-NASCIDOS
A administração de medicação intramuscular em recém-nascidos, na região anterolateral da coxa,
dependerá do peso da criança:
- Recém-nascidos com peso inferior a 1kg: o volume máximo é de 0,25
ml.
- Recém-nascidos com peso maior a 1kg: o volume máximo é de 0,5ml.
PREVENÇÃO DE MORTE SÚBITA EM RECÉM-NASCIDOS
A Pastoral da Criança lidera uma campanha no sentido de informar a
população sobre a importância de colocar os bebês para dormirem de
barriga para cima (posição supina) – o que contraria uma antiga crença
popular, mas pode evitar a morte súbita, considerada a maior causa de
mortes entre bebês de 1 a 12 meses nos países desenvolvidos.
Com o apoio do Ministério da Saúde, Sociedade Brasileira de Pediatria, Unicef, Criança Esperança e
outros organismos internacionais, a campanha é baseada em estudos brasileiros e na publicação Sudden infant
death syndrome, de Rachel Y Moon, Rosemary S C Horne, Fern R Hauck (Lancet 2007; 370: 1578–87).
Campanhas semelhantes a “Dormir de barriga para cima é mais seguro” já foram divulgadas nos
Estados Unidos e na Inglaterra e segundo Cesar Victora, doutor em Epidemiologia pela London School of
Hygiene and Tropical Medicine, pesquisador da UFPel e coordenador do Comitê de Mortalidade Infantil da
cidade de Pelotas-RS, há formas de reduzir o risco de morte súbita em bebês e uma delas é deixá-los
dormindo de barriga para cima. No entanto, isso ainda é pouco usado pelas mães brasileiras.
Segundo o pesquisador, a informação de que ao dormir de barriga para cima o bebê vai aspirar ao
vômito e se afogar não passa de uma crença popular incorreta. Ao deitar de lado ou com a barriga para baixo o
bebê respira um ar viciado, ou seja, o ar que ele próprio expira e os riscos de dormir de barriga para baixo são
semelhantes a dormir de lado, já que essa posição é instável e muitos bebês rolam e ficam de barriga para
baixo. Se uma criança está deitada de barriga para cima e se afoga, sua tendência, por instinto, é tossir e com
Figura - Posição Supina (Pastoral da Criança).
Alexandre Barbosa Pontes - 717.370.062-00
26
isso chamar a atenção dos pais. No caso da morte súbita, essa reação não acontece e a morte se dá de forma
“silenciosa”.
“A aula está acabando, mas a sua luta continua.
NÃO PARE!”
Alexandre Barbosa Pontes - 717.370.062-00
27
QUESTÕES COMENTADAS
VAMOS ABORDAR QUESTÕES SOBRE O TEMA PARA FACILITAR A SUA
COMPREENSÃO A RESPEITO DO TEMA ESTUDADO!
1. (Instituto Federal de Santa Catarina - IF-SC/IESES/2014/CM) É importante para o enfermeiro conhecer as
condições de vida que podem interferir negativamente no peso de nascimento. De acordo com a idade
gestacional, ao nascer, o peso considerado adequado é:
a) Entre 2500 e 4000g.
b) Entre 4000 e 5000g.
c) Menor que 2500g.
d) Maior que 2500g.
COMENTÁRIOS:
De acordo com o Ministério da Saúde, o peso considerado adequado para o recém-nascido é >2.500g e
<4.000g, o peso é considerado de risco quando estiver <2.000g ou >4.000g.
2. (MPE-RS/2014) Assinale a alternativa que preenche corretamente a lacuna do enunciado abaixo.
No Alojamento Conjunto, um enfermeiro, ao atender um recém-nascido, com doze horas de vida, que está
ativo, verifica a frequência cardíaca do bebê. Nessa situação, é correto afirmar que a frequência cardíaca
________ indica débito cardíaco adequado.
a) entre 60 e 80 bpm
b) entre 80 e 100 bpm
c) entre 120 e 140 bpm
d) abaixo de 100 bpm
e) acima de 180 bpm
COMENTÁRIOS:
De acordo com o Manual do Ministério da Saúde, a frequência cardíaca adequada para recém-nascido
(RN) varia, em média, de 120 a 140 bpm. No recém-nascido em repouso com frequência cardíaca abaixo de
100bpm (bradicardia) ou acima de 160bpm (taquicardia) devem ser avaliados.
Conforme explicações, o gabarito é a letra A.
Logo, o gabarito é a letra C.
Alexandre Barbosa Pontes - 717.370.062-00
28
3. (Prefeitura de Vila Velha-ES/FUNCAB/2012) Um bebê que nasceu completamente rosado, com 120 de
frequência cardíaca, choro forte, movimentos ativos e espirrou quando estimulado com sonda, apresenta um
índice de apgar correspondente a:
a) 7
b) 8
c) 10
d) 11
e) 12
COMENTÁRIOS:
O método mais frequentemente usado para avaliar o ajuste imediato do recém-nascido à vida
extrauterina é através do Índice de Apgar.
De acordo com o caso apresentado na questão, o bebê nasceu apresentado os seguintes achados:
- Frequência cardíaca (FC): 120 bp/min (apgar 2);
- Esforço respiratório: choro forte (apgar 2);
- Tônus muscular: movimentos ativos (apgar 2);
- Cor: completamente rosado (apgar 2);
- Irritabilidade reflexa: espirrou quando estimulado com sonda (apgar 2).
já que o bebê apresentou um índice de apgar correspondente a 10.
O gabarito da questão é a letra C,
Alexandre Barbosa Pontes - 717.370.062-00
29
4. (Prefeitura de Valença-RJ/FUNCAB/2012) O método utilizado para avaliação do RN foi criado em 1952 por
Virgínia Apgar. Realiza-se a avaliação aos 60 segundos e aos 5 minutos, atribuindo-se, para cada sinal avaliado,
notas de zero a dois e no final faz-se o somatório, que dará um total de zero a dez:
Analise e compare o quadro abaixo de acordo com as alternativas e assinale a que contem a classificação
correta de acordo com o método de Apgar.
a) 0 a 3: asfixia leve.
b) 4 a 6: asfixia grave.
c) 1 a 5: asfixia moderada.
d) 7 a 10: boa vitalidade, boa adaptação à vida extrauterina.
e) 2 a 6: vitalidade ruim, duvidosa adaptação à vida extrauterina.
COMENTÁRIOS:
As avaliações de todas as cinco categorias são feitas em 1 e 5 minutos após o nascimento e repetidas
até a condição do recém nascido estabilizar.
- Escores totais de 0 a 3 representam sofrimento grave;
- Escores de 4 a 6 significam dificuldade moderada (intermediário);
- Escores de 7 a 10 indicam ausência de dificuldade de ajuste à vida extrauterina (normal).
Vamos, agora, analisar cada alternativa:
Item A. 0 a 3: asfixia grave.
Itens B e C. 4 a 6: asfixia moderada (intermediária).
Item D. 7 a 10: boa vitalidade, boa adaptação à vida extrauterina.
5. (Prefeitura de Linhares-ES/FUNCAB/2011) O índice de Apgar é uma maneira fácil e eficaz de avaliar a
vitalidade do recém-nascido. Logo que o bebê nasce inicia-se a contagem do tempo e o índice de Apgar é
avaliado no primeiro e quinto minuto de vida da criança. São medidos os seguintes itens:
a) frequência cardíaca, respiração, paralisia cerebral e asfixia.
b) frequência cardíaca, respiração, tônus muscular, cor da pele e irritabilidade reflexa.
c) frequência cardíaca, cor da pele, choro, tônus muscular e anomalias congênitas.
d) frequência cardíaca, respiração, síndromes inespecíficas e dor.
e) frequência cardíaca, respiração, cor da pele, dilatação da pupila e dor.
O gabarito, portanto, é a letra D.
Alexandre Barbosa Pontes - 717.370.062-00
30
COMENTÁRIOS:
O índice baseia-se na observação de frequência cardíaca, esforço respiratório, tônus muscular,
irritabilidade reflexa e cor. A cada item atribui-se um escore de 0, 1 ou 2.
As avaliações de todas as cinco categorias são feitas em 1 e 5 minutos após o nascimento e repetidas
até a condição do recém nascido estabilizar.
6. (HU- UFRN/EBSERH/IADES/2014/CM) A vitamina K, aplicada 1 mg via IM no RN, tem a finalidade de
prevenir a (o):
a) xeroftalmia.
b) escorbuto.
c) anemia falciforme.
d) doença hemorrágica do RN.
e) hepatite B
COMENTÁRIOS:
As manifestações clínicas predominantes da carência da vitamina K são as hemorragias, decorrentes da
não ativação das proteínas dependentes da vitamina. Apesar de ocorrer em qualquer faixa etária, o recém-
nascido é mais susceptível à doença, por apresentar níveis mais baixos de fatores da coagulação, menores
reservas de vitamina K.
Assim, o Ministério da Saúde recomenda, que seja administrado uma dose de 1 mg de vitamina K, por
via intramuscular logo após o nascimento, como uma forma efetiva de prevenir a doença hemorrágica do
recém-nascido, causada pela deficiência de vitamina K.
7. (HU-UFPI/EBSERH/2011) O teste do pezinho é um exame laboratorial simples que pode ser realizado pelo
enfermeiro, e que tem como objetivo detectar precocemente doenças metabólicas, genéticas ou infecciosas.
Sobre o tema, assinale a alternativa correta.
a) A punção deve ser realizada no centro do calcanhar.
b) A punção deve ser realizada na face lateral ou média do calcanhar.
c) Em caso de hipotermia o sangue pode ser exprimido.
d) Este procedimento não tem risco de complicações.
e) Este procedimento está em desuso.
COMENTÁRIOS:
Em relação ao teste do pezinho, vamos analisar:
Item A. A punção deve ser realizada na face lateral ou média, e não no centro do calcanhar.
Item B. A punção deve ser realizada na face lateral ou média do calcanhar.
Conforme explicações anteriores, verificamos que o gabarito é a letra B.
Portanto, o gabarito é a letra D.
Alexandre Barbosa Pontes - 717.370.062-00
31
Item C. O aquecimento prévio do pé do bebê deve ser considerado, pois leva à vasodilatação e,
consequentemente, a um aumento do fluxo sanguíneo, que favorece a boa coleta. Por isso, é recomendado
fazer a coleta do teste do pezinho após a cessação da hipotermia.
Item D. Este procedimento tem baixo risco de complicações.
Item E. É óbvio que este procedimento não está em desuso.
8. (Prefeitura de Guarda Mor-MG/REIS & REIS/2014) Sobre o teste do pezinho é INCORRETO afirmar:
a) É o nome popular para a triagem neonatal;
b) Iniciado pelo Ministro José Serra, em 6 de junho de 2001, criando o Programa Nacional de Triagem Neonatal
(PNTN);
c) Tem por objetivo detectar doenças;
d) É ideal a sua realização após o 1º mês de vida.
COMENTÁRIOS:
De acordo com o Manual Técnico de Triagem Neonatal Biológica do Ministério da Saúde (BRASIL, 2016),
recomenda-se que o período ideal de coleta da primeira amostra esteja compreendido entre o 3º e o 5º dia de
vida do bebê devido às especificidades das doenças diagnosticadas atualmente.
Deve ser considerada como uma condição de exceção toda coleta realizada após o 28º dia de vida,
mesmo que não recomendada, por se tratar de um exame fora do período neonatal.
9. (Hospital Guilherme Álvaro-Santos-SP/CETRO/2012/CM) São doenças detectadas através do Teste de
Triagem Neonatal (Teste do Pezinho), exceto:
a) hipotireoidismo congênito.
b) fenilcetonúria.
c) anemia falciforme.
d) oftalmia neonatal gonocócica.
e) fibrose cística.
COMENTÁRIOS:
Entre os principais objetivos do Programa Nacional de Triagem Neonatal (PNTN), destaca-se
a ampliação da gama de patologias triadas (Fenilcetonúria, Hipotireoidismo congênito, Doença falciforme e
outras hemoglobinopatias, Fibrose cística, Deficiência de biotinidase e Hiperplasia adrenal congênita), busca
da cobertura de 100% dos nascidos vivos e a definição de uma abordagem mais ampla da questão,
determinando que o processo de Triagem Neonatal envolva várias etapas como: a realização do exame
laboratorial, a busca ativa dos casos suspeitos, a confirmação diagnóstica, o tratamento e o acompanhamento
multidisciplinar especializado dos pacientes.
O gabarito da questão, portanto, é a letra B.
Assim, o gabarito é a letra D.
Portanto, o gabarito é a letra D.
Alexandre Barbosa Pontes - 717.370.062-00
32
10. (Secretaria Estadual de Pernambuco-PE/UPENET/2014) O Teste da Orelhinha ou Triagem Auditiva
Neonatal é um exame importante para detectar se o recém-nascido tem problemas de audição, que podem
influenciar no aprendizado da linguagem. Geralmente, o exame é realizado no berçário em sono natural, de
preferência no 2º ou 3º dia de vida. Em relação à triagem auditiva (Emissões Otoacústicas Evocadas) dos
recém-nascidos, assinale V nas afirmativas Verdadeiras e F nas Falsas.
( ) O tempo de duração do exame varia entre 5 e 10 minutos; não tem qualquer contraindicação, não acorda
nem incomoda o bebê.
( ) Não exige nenhum tipo de intervenção invasiva (uso de agulhas ou qualquer objeto perfurante) e é
absolutamente nocivo devido ao tempo de duração.
( ) Na triagem auditiva em recém-nascido de risco, utilizam-se o potencial evocado auditivo transiente de
curta latência e a audiometria de tronco cerebral.
( ) A Lei Federal nº 12.303/2010 tornou obrigatória e gratuita a realização do exame, e acredita-se que todos
os hospitais e as maternidades do Brasil ofereçam o teste.
Assinale a alternativa que contém a sequência CORRETA.
a) V-V-V-V
b) V-F-V-V
c) F-V-V-V
d) V-F-F-V
e) V-V-F-F
COMENTÁRIOS:
A Triagem Auditiva Neonatal (TAN), conhecida como “teste da orelhinha”, tem por finalidade a
identificação o mais precocemente possível da deficiência auditiva nos neonatos e lactentes. Consiste no teste
e reteste, com medidas fisiológicas e eletrofisiológicas da audição, com o objetivo de encaminhá-los para
diagnóstico dessa deficiência, e intervenções adequadas à criança e sua família.
A TAN deve ser realizada, preferencialmente, nos primeiros dias de vida (24h a 48h) na maternidade, e,
no máximo, durante o primeiro mês de vida, a não ser em casos quando a saúde da criança não permita a
realização dos exames.
Ressaltamos que o Teste da Orelhinha é um exame simples para saber se está tudo bem com a audição
do seu filho. Um aparelho eletrônico com fone é colocado no ouvido do bebê, o que permite ao médico ou
fonoaudiólogo verificar se a criança ouve normalmente. O exame não tem contraindicações e pode ser feito
com o bebê dormindo. Recomenda-se que o teste seja feito no primeiro mês de vida, mas todos os bebês
devem passar pelo exame.
Deve ser organizada em duas etapas (teste e reteste), no primeiro mês de vida. A presença ou ausência
de indicadores de risco para a deficiência auditiva (Irda) deve orientar o protocolo a ser utilizado:
Para os neonatos e
lactentes SEM indicador
de risco
Utiliza-se o exame de Emissões Otoacústicas
Evocadas (EOAE).
Utiliza-se o teste de Peate-Automático ou em
modo triagem (Potencial Evocado Auditivo de
Tronco Encefálico).
Para os neonatos e
lactentes COM indicador
de risco
Alexandre Barbosa Pontes - 717.370.062-00
33
Após exposição do tema, constatamos que o único item errado é o II, já que o Teste da
Orelhinha NÃO é nocivo devido ao tempo de duração.
11. (Prefeitura de Criciuma-SC/FEPESE/2014) De acordo com o Ministério da Saúde, a primeira consulta do
recém-nascido deve ocorrer:
a) na primeira semana de vida.
b) na segunda semana de vida.
c) no primeiro mês de vida.
d) nos primeiros 6 meses de vida.
e) no primeiro ano de vida.
COMENTÁRIOS:
O Ministério da Saúde recomenda SETE consultas de rotina no primeiro ano de vida, sendo a primeira
na 1ª semana de vida.
12. (Prefeitura de Silvânia-GO/NOROESTE/2014/CM) Na administração de medicação intramuscular em
recém-nato (RN), o local mais apropriado é a região da face anterolateral da coxa. Qual volume máximo
recomendado para essa via, em RN com peso maior de 1.000g?
a) 1,5 ml. c) 0,25 ml.
b) 0,5 ml. d) 1,0 ml.
COMENTÁRIOS:
A administração de medicação intramuscular em recém-nascidos, na região anterolateral da coxa,
dependerá do peso da criança:
- Recém-nascidos com peso inferior a 1kg: o volume máximo é de 0,25 ml.
- Recém-nascidos com peso maior a 1kg: o volume máximo é de 0,5ml.
Após exposição do tema, verificamos que o gabarito é a letra B.
Caso não se obtenha resposta satisfatória (falha) em neonatos e lactentes sem
indicador de risco, repetir o teste de EOAE, ainda nesta etapa de teste. Caso a falha
persista, realizar de imediato o Potencial Evocado Auditivo de Tronco Encefálico
(Peate- Automático ou em modo triagem).
Nesses termos, o gabarito é letra B.
Por conseguinte, o gabarito é a letra A.
Após exposição do tema, verificamos que o gabarito é a letra B.
Alexandre Barbosa Pontes - 717.370.062-00
34
13. (HU-UFES/EBSERH/AOCP/2014/CM) Para evitar a morte súbita, a Pastoral da Criança, com o apoio do
Ministério da Saúde, Sociedade Brasileira de Pediatria, UNICEF e Criança Esperança, lançou em 2009 a
campanha que preconiza colocar os bebês para dormirem em posição:
a) prona.
b) lateral esquerdo.
c) lateral direito.
d) ventral.
e) supina.
COMENTÁRIOS:
A Pastoral da Criança lidera uma campanha no sentido de informar a população sobre a importância de
colocar os bebês para dormirem de barriga para cima (posição supina) – o que contraria uma antiga crença
popular, mas pode evitar a morte súbita, considerada a maior causa de mortes entre bebês de 1 a 12 meses
nos países desenvolvidos.
Campanhas semelhantes a “Dormir de barriga para cima é mais
seguro” já foram divulgadas nos Estados Unidos e na Inglaterra e segundo
Cesar Victora, doutor em Epidemiologia pela London School of Hygiene and
Tropical Medicine, pesquisador da UFPel e coordenador do Comitê de
Mortalidade Infantil da cidade de Pelotas-RS, há formas de reduzir o risco de
morte súbita em bebês e uma delas é deixá-los dormindo de barriga para
cima. No entanto, isso ainda é pouco usado pelas mães brasileiras.
Segundo o pesquisador, a informação de que ao dormir de barriga para
cima o bebê vai aspirar ao vômito e se afogar não passa de uma crença
popular incorreta. Ao deitar de lado ou com a barriga para baixo o bebê respira um ar viciado, ou seja, o ar que
ele próprio expira e os riscos de dormir de barriga para baixo são semelhantes a dormir de lado, já que essa
posição é instável e muitos bebês rolam e ficam de barriga para baixo. Se uma criança está deitada de barriga
para cima e se afoga, sua tendência, por instinto, é tossir e com isso chamar a atenção dos pais. No caso da
morte súbita, essa reação não acontece e a morte se dá de forma “silenciosa”.
.
14. (HU-UFPI/EBSERH/IADES/2012/CM) No Brasil nascem cerca de três milhões de crianças ao ano, das quais
98% são em hospitais. O adequado acompanhamento pré-natal possibilita a identificação de problemas e
riscos em tempo oportuno para intervenção.
Neste contexto, julgue os itens a seguir.
I - A Organização Mundial de Saúde - OMS recomenda que o aleitamento materno inicie na primeira hora após
o parto.
II - O boletim de Apgar não deve ser utilizado para determinar o início da reanimação, nem as manobras a
serem instituídas no decorrer do procedimento.
III - Os sinais de Escore de Apgar ampliado são: freqüência cardíaca, esforço respiratório, tônus muscular,
irritabilidade reflexa e cor.
Figura - Posição Supina (Pastoral da
Criança).
Portanto, o gabarito da questão é a letra E.
Alexandre Barbosa Pontes - 717.370.062-00
35
IV - Os parâmetros utilizados para determinar a necessidade de reanimar um RN recém-nascido são: coloração
de pele e mucosas, frequência cardíaca e frequência respiratória.
A quantidade de itens certos é igual a
a) 0.
b) 1.
c) 2.
d) 3.
e) 4.
COMENTÁRIOS:
Vamos analisar cada uma das assertivas:
Item I. CORRETA. A Organização Mundial de Saúde - OMS recomenda que o aleitamento materno inicie
na primeira hora após o parto. De acordo com as recomendações da OMS em relação ao aleitamento
materno, são as seguintes:
- Ter uma norma escrita sobre aleitamento materno, a qual deve ser rotineiramente transmitida a toda a
equipe de cuidados de saúde.
- Treinar toda a equipe de cuidados de saúde, capacitando-a para implementar esta norma.
- Informar todas as grávidas atendidas sobre as vantagens e a pratica da amamentação.
- Ajudar as mães a iniciar a amamentação na primeira meia hora após o parto.
- Mostrar às mães como amamentar e como manter a lactação, mesmo que tenham de ser separadas de
seus filhos.
- Não dar ao recém-nascido nenhum outro alimento ou bebida além do leite materno, a não ser que seja
por indicação médica.
- Praticar o alojamento conjunto - permitir que mães e os bebés permaneçam juntos 24 horas por dia.
- Encorajar a amamentação sob livre demanda (sempre que o bebé quiser).
- Não dar bicos artificiais (tetinas) ou chupetas a crianças amamentadas.
- Encorajar a criação de grupos de apoio à amamentação, para onde as mães devem ser encaminhadas
por ocasião da alta hospitalar.
Item II. CORRETO. Conforme o Ministério da Saúde, o boletim de Apgar não deve ser utilizado para
determinar o início da reanimação nem as manobras a serem instituídas no decorrer do procedimento. No
entanto, sua aferição longitudinal permite avaliar a resposta do RN às manobras realizadas e a eficácia dessas
manobras. Assim, se o escore é inferior a 7 no 5º minuto, recomenda-se realizá-lo a cada cinco minutos, até 20
minutos de vida. É necessário documentar o escore de Apgar de maneira concomitante à dos procedimentos de
reanimação executados
Item III. CORRETO. Os sinais de Escore de Apgar ampliado são: freqüência cardíaca, esforço
respiratório, tônus muscular, irritabilidade reflexa e cor. A Escala de Apgar é o método criado em 1952 por
Virginia Apgar, na qual é utilizado para avaliar o ajuste imediato do recém-nascido à vida extrauterina.
Fundamentando-se na observação frequência cardíaca, esforço respiratório, tônus muscular, irritabilidade
reflexa e cor. A cada item atribui-se um escore de 0, 1, 2 e as avaliações de todas as cincos categorias são
feitas em 1 e 5 minutos após o nascimento e repetidas até a condição do recém nascido estabilizar.
Alexandre Barbosa Pontes - 717.370.062-00
36
Item IV. INCORRETO. Os parâmetros utilizados para determinar a necessidade de reanimar um RN
recém-nascido são: coloração de pele e mucosas, frequência cardíaca e frequência respiratória.
Imediatamente após o nascimento, a necessidade de reanimação depende da avaliação rápida de quatro
situações referentes à vitalidade do concepto, sendo feitas as seguintes perguntas: - Gestação a termo? -
Ausência de mecônio? - Respirando ou chorando? - Tônus muscular bom? Se a resposta é sim a todas as
perguntas, considera-se que o RN está com boa vitalidade e não necessita de manobras de reanimação.
A reanimação depende da avaliação simultânea da respiração e da frequência cardíaca (FC). A FC é o
principal determinante da decisão de indicar as diversas manobras de reanimação. Logo após o nascimento,
o RN deve respirar de maneira regular, suficiente para manter a FC acima de 100 bpm. A FC deve ser avaliada
por meio da ausculta do precórdio com estetoscópio, podendo eventualmente ser verificada pela palpação do
pulso na base do cordão umbilical. Tanto a ausculta precordial quanto a palpação do cordão podem
subestimar a FC. A avaliação da coloração da pele e mucosas do RN não é mais utilizada para decidir
procedimentos na sala de parto. Estudos recentes têm mostrado que a avaliação da cor das extremidades,
tronco e mucosas, rósea ou cianótica, é subjetiva e não tem relação com a saturação de oxigênio ao
nascimento. Além disso, recém-nascidos com respiração regular e FC >100 bpm podem demorar minutos para
ficar rosados. Naqueles que não precisam de procedimentos de reanimação ao nascer, a saturação de oxigênio
com 1 minuto de vida se situa ao redor de 60-65%, só atingindo valores entre 87-92% no quinto minuto. Assim,
o processo de transição normal para alcançar uma saturação de oxigênio acima de 90% requer 5 minutos ou
mais em recém-nascidos saudáveis que respiram ar ambiente. Com base nesses dados, conclui-se que a
avaliação da vitalidade do neonato logo após o nascimento não deve incluir a cor.
Mas essa questão foi anulada, pois ao analisarmos cada assertivas, verificamos que a I, II e III estão
corretas e a letra B afirma que existe apenas uma assertiva correta.
Amigo (a), o gabarito da banca foi a letra B,
Alexandre Barbosa Pontes - 717.370.062-00
37
15. (Prefeitura de Teresina-PI/ NUCEPE/2015) O “Teste do Pezinho” faz parte do Programa Nacional de
Triagem Neonatal (PNTN), um programa de saúde publica que foi implantado em 2001, através da Portaria
Ministerial Nº 822, de 06/06/01 do Ministério de Saúde e que determina a gratuidade e obrigatoriedade da
realização dos testes. Segundo o tema, assinale a alternativa INCORRETA.
a) A punção deve ser executada numa das laterais da região plantar do calcanhar.
b) A punção de ser realizado no centro do calcanhar.
c) Evite o uso de agulhas, pois elas podem atingir estruturas mais profundas do pé como ossos ou vasos de
maior calibre.
d) O sangramento abundante dificulta a absorção pelo papel, sendo este outro motivo muito frequente de
devolução de amostras por coleta inadequada.
e) Segure o pé e o tornozelo da criança, envolvendo com o dedo indicador e o polegar todo o calcanhar, de
forma a imobilizar, mas não prender a circulação.
COMENTÁRIOS:
Procedimento de coleta: etapas
Luvas de procedimento:
Para dar início à coleta da amostra de cada criança, o profissional deve lavar as mãos antes de calçar as
luvas de procedimento. As mãos devem ser lavadas e as luvas trocadas novamente a cada novo procedimento
de coleta. As luvas devem ser retiradas pelo avesso e desprezadas em recipientes apropriados. Quando estiver
portando luvas, não toque outras superfícies como maçanetas, telefones, etc. Não se esqueça, luvas são
equipamentos de proteção individual de biossegurança.
Posição da criança:
Para que haja uma boa circulação de sangue nos pés da criança, suficiente para a coleta, o calcanhar
deve sempre estar abaixo do nível do coração. A mãe, o pai ou o acompanhante da criança deverá ficar de pé,
segurando a criança na posição de arroto. O profissional que vai executar a coleta deve estar sentado, ao lado
da bancada, de frente para o adulto que está segurando a criança.
Assepsia:
 Realizar a assepsia do calcanhar com algodão ou gaze levemente umedecida com álcool 70%.
 Massagear bem o local, ativando a circulação.
 Certificar-se de que o calcanhar esteja avermelhado.
 Aguardar a secagem completa do álcool. Nunca realizar a punção enquanto existir álcool, porque sua
mistura com o sangue leva à diluição da amostra e rompimento dos glóbulos sanguíneos (hemólise).
 Nunca utilizar álcool iodado ou antisséptico colorido, porque eles interferem nos resultados de algumas
das análises.
Punção:
A escolha do local adequado da punção é muito importante. Um procedimento seguro evita
complicações. A punção deve ser executada numa das laterais da região plantar do calcanhar, locais com
pouca possibilidade de se atingir o osso, que caso fosse atingido, poderia levar às complicações mencionadas.
Evite o uso de agulhas, pois elas podem atingir estruturas mais profundas do pé como ossos ou vasos
de maior calibre, além de provocarem um sangramento abundante que dificulta a absorção pelo papel,
sendo este outro motivo muito frequente de devolução de amostras por coleta inadequada.
É necessário que a punção seja realizada de forma segura e tranquila. Tenha em mente que um
Alexandre Barbosa Pontes - 717.370.062-00
38
procedimento eficiente irá prevenir recoleta por devolução de amostra inadequada e, consequentemente,
evitar transtornos de localização da família para agendamento de nova coleta.
Segure o pé e o tornozelo da criança, envolvendo com o dedo indicador e o polegar todo o calcanhar,
de forma a imobilizar, mas não prender a circulação.
Após a assepsia e secagem do álcool, penetrar num único movimento rápido toda a ponta da lanceta (porção
triangular) no local escolhido, fazendo em seguida um leve movimento da mão para a direita e esquerda, para
garantir um corte suficiente para o sangramento necessário.
Uma punção superficial não produzirá sangramento suficiente para preencher todos os círculos
necessários à realização dos testes. Material insuficiente é outra causa frequente de devolução de amostras.
Coleta de sangue:
Coletas de repetição ou novas punções trazem mais dor e incômodo ao bebê e à família, do que o
procedimento eficiente de uma única coleta.
 Aguarde a formação de uma grande gota de sangue.
 Retire com algodão seco ou gaze esterilizada a primeira gota que se formou. Ela pode conter outros
fluidos teciduais que podem interferir nos resultados dos testes.
 Encoste o verso do papel filtro na nova gota que se forma na região demarcada para a coleta (círculos)
e faça movimentos circulares com o papel, até o preenchimento de todo o círculo.
 Deixe o sangue fluir naturalmente e de maneira homogênea no papel, evitando concentração de
sangue.
 Não permita que ele coagule nem no papel nem no pezinho.
 Só desencoste o papel do pezinho quando todo o círculo estiver preenchido.
 Não toque com os dedos a superfície do papel na região dos círculos. Qualquer pressão poderá
comprimir o papel, absorver menor quantidade de sangue e alterar os resultados dos testes.
 Encoste o outro círculo do papel novamente no local do sangramento. Repita o movimento circular até
o preenchimento total do novo círculo.
 Repita a mesma operação até que todos os círculos estejam totalmente preenchidos.
 Jamais retorne um círculo já coletado no sangramento para completar áreas mal preenchidas.
 A superposição de camadas de sangue interfere nos resultados dos testes.
 Os movimentos circulares com o papel, enquanto o círculo está sendo preenchido, irão permitir a
distribuição do sangue por toda a superfície do círculo.
 Se houver interrupção no sangramento, aproveite o momento de troca de círculo para massagear
novamente a região do calcanhar com algodão levemente umedecido com álcool para ativar
novamente a circulação.
 Não se esqueça de esperar a secagem completa do álcool do calcanhar do bebê, antes de reiniciar a
coleta no outro círculo do papel filtro.
 Jamais vire o papel para fazer a coleta dos dois lados.
 É necessário que o sangue atravesse toda a camada do papel até que todo o círculo esteja preenchido
com sangue de forma homogênea.
Fonte: Manual de triagem neonatal. Disponível em: http://bvsms.saude.gov.br/bvs/publicacoes/triagem_neonatal.pdf (página 18-20).
De acordo com as informações supracitadas, o gabarito da questão é a letra B.
Alexandre Barbosa Pontes - 717.370.062-00
39
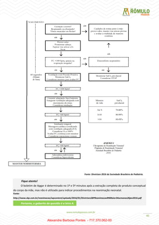
16. (UNIRIO/CESGRANRIO/2016) Imediatamente após o nascimento, a necessidade de reanimação neonatal
deve ser avaliada, considerando as seguintes perguntas norteadoras:
a) Gestação a termo?; Respirando ou Chorando?; Tônus em flexão?
b) Gestação a termo?; Respirando ou Chorando?; Apgar > 7?
c) Gestação a termo?; Apgar < 7?; Tônus em flexão?
d) Gestação a termo?; Apgar < 5?; Tônus em extensão?
e) Gestação a termo?; Presença de mecônio?; Respirando ou Chorando?
COMENTÁRIOS:
Meu amigo (a) concurseiro, de acordo com a Sociedade Brasileira de Pediatria (2016) se, ao nascimento,
o RN é de termo (idade gestacional 37-41 semanas), está respirando ou chorando e com tônus muscular em
flexão, independentemente do aspecto do líquido amniótico, ele apresenta boa vitalidade e deve continuar
junto de sua mãe depois do clampeamento do cordão umbilical.
Dessa forma, as questões acima são de extrema importância nos primeiros segundos após o parto
porque as decisões quanto à estabilização/reanimação, se necessário, dependem da avaliação simultânea da
respiração e da FC. A avaliação da respiração é feita por meio da observação da expansão torácica do RN ou
da presença de choro. A respiração espontânea está adequada se os movimentos são regulares e suficientes
para manter a FC >100 bpm.
Já se o paciente não apresentar movimentos respiratórios, se eles forem irregulares ou o padrão for do
tipo gasping (suspiros profundos entremeados por apneias), a respiração está inadequada, logo deve-se
realizar a Ventilação em Pressão Positiva (VPP). Esta precisa ser iniciada nos primeiros 60 segundos de vida
considerados (“Minuto de Ouro”), pois a ventilação pulmonar é o procedimento mais importante e efetivo na
reanimação do RN em sala de parto, e o risco de morte ou morbidade aumenta em 16% a cada 30 segundos de
demora para iniciar a VPP até o 6º minuto após o nascimento, de modo independente do peso ao nascer, da
idade gestacional ou de complicações na gravidez ou no parto. Segue um esquema abaixo para facilitar o seu
entendimento em relação ao conteúdo que aborda a questão:
Está estudando?
Deixa o celular no silencioso
E concentre-se!
Alexandre Barbosa Pontes - 717.370.062-00
40
Fique atento!
O boletim de Apgar é determinado no 1º e 5º minutos após a extração completa do produto conceptual
do corpo da mãe, mas não é utilizado para indicar procedimentos na reanimação neonatal.
Fonte:
http://www.sbp.com.br/reanimacao/wpcontent/uploads/2016/01/DiretrizesSBPReanimacaoRNMaior34semanas26jan2016.pdf
Fonte: Diretrizes 2016 da Sociedade Brasileira de Pediatria.
Portanto, o gabarito da questão é a letra A.
Alexandre Barbosa Pontes - 717.370.062-00
41
17. (UNIRIO/CESGRANRIO/2016) Define-se como síndrome da morte súbita do lactente o óbito com menos de
1 ano de idade que não for esclarecido por laudo de necropsia, investigação da cena do óbito e revisão do
histórico do caso. São fatores de risco para a morte súbita do lactente:
a) dormir em decúbito dorsal e em colchão macio.
b) usar chupeta e ser do sexo masculino.
c) dormir em decúbito dorsal e ser do sexo feminino.
d) dormir em decúbito ventral e usar chupeta.
e) dormir em decúbito ventral e ter histórico de tabagismo materno.
COMENTÁRIOS:
Meu amigo concurseiro (a), a banca AOCP utilizou uma questão bem parecida com essa no ano de 2014
no concurso da EBSERH do Hospital Universitário Cassiano Antônio Morais do Espírito Santo, por isso a
importância de você estar sempre respondendo questões sobre os conteúdos da prova . Fique atento!
A respeito da síndrome da morte súbita infantil, ou síndrome da morte súbita do lactente, que ocorre em
crianças menores de 1 ano de idade, dormir em decúbito dorsal - com a barriga voltada para cima - é a
posição mais indicada para os bebês de até um ano, recomendada pela
Academia Americana de Pediatria (AAP) e pelo Ministério da Saúde brasileiro -
que desde 2007 passou a publicar a orientação na caderneta da criança. Além
de permitir que o bebê respire melhor, a posição diminui o risco de engasgo,
já que permite girar a cabeça para o lado em caso de vômito.
Campanhas semelhantes a “Dormir de barriga para cima é mais seguro” já
foram divulgadas nos Estados Unidos e na Inglaterra e segundo Cesar Victora,
doutor em Epidemiologia pela London School of Hygiene and Tropical
Medicine, pesquisador da UFPEL e coordenador do Comitê de Mortalidade
Infantil da cidade de Pelotas-RS, há formas de reduzir o risco de morte súbita
em bebês e uma delas é deixá-los dormindo de barriga para cima. No entanto, isso ainda é pouco usado pelas
mães brasileiras.
Fatores de risco que podem contribuir para a morte súbita em lactentes.
Com isso, usar chupeta e ser do sexo feminino não são considerados fatores de risco para morte súbita.
Fonte: http://www.sbp.com.br/img/documentos/doc_sindrome_msl.pdf
Figura - Posição Supina (Pastoral da
Criança).
Colchões macios ou superfícies
moles
Posição Ventral
Idade da criança entre 2 e 4
meses
Sexo masculino
Mães com baixa escolaridade Mães tabagistas
Pré-natal tardio ou inexistente Mães adolescentes
Logo o gabarito da questão é a letra E.
Alexandre Barbosa Pontes - 717.370.062-00
42
18. (UNIRIO/CESGRANRIO/2016) A Triagem Neonatal de Cardiopatia Congênita Crítica, conhecida como Teste
do Coraçãozinho, consiste na análise dos valores de oximetria de pulso do membro superior direito e em um
dos membros inferiores. O teste deve ser realizado com a participação do enfermeiro, entre 24 e 48 horas
antes da alta hospitalar do recém-nascido. A conduta a ser tomada caso o recém-nascido apresente saturação
de oxigênio de 90% no primeiro teste é:
a) encaminhar para o seguimento neonatal de rotina.
b) encaminhar para a UTI neonatal.
c) rastrear fatores de risco familiares.
d) repetir o teste em 1 hora.
e) realizar ultrassonografia.
COMENTÁRIOS:
Concurseiro (a), o teste do coraçãozinho é a forma simples e rápida de detectar algumas cardiopatias
congênitas críticas que não tenham se manifestado.
É feito pelo enfermeiro ou pelo médico, antes da alta da maternidade, nos neonatos com mais de 34
semanas de idade gestacional. Consiste em medir a oximetria de pulso no braço direito e em um dos pés. As
extremidades precisam estar aquecidas e a onda de plestimografia (relacionada ao pulso) boa e regular. Esse
teste não dispensa o exame físico acurado do neonato, que também é eficaz para detectar a maioria das
cardiopatias. Se a saturação for maior ou igual a 95% no braço direito e com menos de 3% de diferença na
perna, o teste é normal. Anotar o resultado no prontuário e na Caderneta de Saúde da Criança. Se a saturação
no braço direito for menor que 95% ou a diferença entre o braço e a perna for maior que 3%, repetir o teste
dentro de 1 hora e, se persistir a alteração, o teste é considerado positivo (0,23% dos recém-nascidos) e deve
ser solicitado um ecocardiograma nas 24 horas seguintes para afastar cardiopatia.
Segue um esquema para fortalecer o seu entendimento:
19. (EBSERH/HU-UFPA/ AOCP/2016) Durante o exame físico do RN pelo enfermeiro do serviço de saúde, na
avaliação da boca, foi observada a presença de macroglossia. Qual é o significado desse termo?
a) Alteração na coloração do palato.
b) Formato irregular da úvula.
c) Alteração no formato do freio lingual.
Dessa forma, o gabarito da questão é a letra D.
Alexandre Barbosa Pontes - 717.370.062-00
43
d) Crescimento anormal da língua.
e) Formato irregular dos lábios superiores.
COMENTÁRIOS:
Macroglossia é uma condição relativamente incomum, que ocorre em pacientes pediátricos e contribui
para uma variedade de problemas funcionais. Mais comumente, a macroglossia decorre do crescimento
exagerado do tecido muscular e hipertrofia da língua. Tal condição é vista com frequência na síndrome de
Beckwith-Wiedemann. Essa síndrome é uma desordem de crescimento caracterizada pela macrossomia,
macroglossia, visceromegalia, tumores embriogênicos (como tumor de Wilms, hepatoblastoma,
neuroblastoma e rabdomioblastoma), onfalocele, hiperglicemia neonatal, fístulas auriculares, citomegalia
adrenocortical e anormalidades renais. Tem índice de mortalidade ao redor de 20%, principalmente pela
prematuridade. A macrossomia e a macroglossia podem estar presente ao nascimento ou aparecerem com o
desenvolvimento.
Fonte: http://www.abccmf.org.br/Revi/2010/junho/09Macroglossia%20revis%C3%A3o%20da%20literatura.pdf
20. (EBSERH/HU-UFPA/ AOCP/2016) Durante a primeira consulta de puericultura do recém-nascido, o
enfermeiro, ao examinar a pele do RN, notou a presença do sinal de arlequim. O que esse achado significa?
a) Iatrogenia por uso de coloides ou cristaloides em excesso.
b) Presença de doença hemolítica perinatal.
c) Palidez em um hemicorpo e eritema do lado oposto, por alteração vasomotora.
d) Indicativo de doença cardiorrespiratória grave.
e) Possível trauma no momento do parto.
COMENTÁRIOS:
Meu amigo (a), a coloração em “Arlequin” ou “sinal de Arlequin” é um fenômeno fisiológico que afeta os
recém- nascidos nas primeiras 2 a 3 semanas de vida. Resulta da ausência transitória de regulação central do
tónus vascular periférico. Traduz-se pelo aparecimento de eritema no hemicorpo e palidez no outro
hemicorpo, separados pela linha média. É uma divisão no corpo, da testa até o púbis, onde uma metade
torna-se rosada e a outra com palidez. É um fenômeno vasomotor transitório, como já foi dito anteriormente, e
não traduz dano ao RN.
Esta situação pode ser difícil de visualizar já que os episódios têm curta duração (de alguns segundos a
20 minutos) e desaparecem rapidamente após aquecimento ou mudança de posição. Mas
ATENÇÃO: para você não confundir com "feto de arlequim", que é uma situação muito grave de
descamação cutânea, por isso vamos relembrar que é um distúrbio genético hereditário autossômico
recessivo que afeta a pele e também pode ser denominada de “Ictiose Arlequim” e a sua principal
característica é o engrossamento da camada de queratina na pele fetal. O recém-nascido é coberto por placas
de uma pele grossa que racha e se parte. As finas placas podem esticar e repuxar a pele do rosto e distorcer as
suas características faciais, bem como restringir a capacidade de respiração e alimentação. As fissuras
facilitam a entradas de agentes contaminantes levando a maior risco de infeções. Geralmente, os bebês que
nascem com ictiose arlequim morrem poucas semanas após o nascimento ou sobrevivem no máximo até os 3
Portanto, o gabarito da questão é a letra D.
Alexandre Barbosa Pontes - 717.370.062-00
44
anos de idade. E o nome da doença vem da expressão facial do bebé e da forma de diamante das escamas que
lembra as fantasias de arlequim.
Fonte: http://repositorio.chporto.pt/bitstream/10400.16/1231/1/AlteracoesCutaneas_18-1.pdf
Bebê com “Ictiose Arlequim”.
Fonte: http://asdoencasraras.blogspot.com/2012/10/blog-post_24.html
Dessa forma, o gabarito da questão é a letra C.
Alexandre Barbosa Pontes - 717.370.062-00
45
“Estudar em grupo pode ser uma estratégia importante, mas precisamos
desenvolvê-la com prudência, pois o estudo individualizado a nossas necessidades
deve ser a base. Podemos estudar alguns temas complexos ou revisões em grupo
em um horário que não comprometa nosso planejamento individual.”
_______________________________
Chegamos ao final de mais uma aula!
Mantenha o foco em seus objetivos!
Até a próxima aula.
Profº. Rômulo Passos
Profª. Cássia Moésia
Profª. Joanna Mello
Profª. Raiane Ribeiro
Profª. Sthephanie Abreu
Alexandre Barbosa Pontes - 717.370.062-00
46
GABARITO
1. A
2. C
3. C
4. D
5. B
6. D
7. B
8. D
9. D
10. B
11. A
12. B
13. E
14. N ULA
15. B
16. A
17. E
18. D
19. D
20. C
Alexandre Barbosa Pontes - 717.370.062-00
1
REFERÊNCIAS
http://189.28.128.100/dab/docs/publicacoes/cadernos_ab/caderno_33.pdf
http://www.redeblh.fiocruz.br/media/arn_v2.pdf
http://bvsms.saude.gov.br/bvs/publicacoes/triagem_neonatal.pdf
http://bvsms.saude.gov.br/bvs/publicacoes/triagem_neonatal_biologica_manual_tecnico.pdf
http://bvsms.saude.gov.br/bvs/publicacoes/atencao_saude_recem_nascido_profissionais_v1.pdf
http://bvsms.saude.gov.br/bvs/publicacoes/atencao_saude_recem_nascido_profissionais_v2.pdf
http://bvsms.saude.gov.br/bvs/publicacoes/atencao_saude_recem_nascido_profissionais_v3.pdf
http://bvsms.saude.gov.br/bvs/publicacoes/atencao_saude_recem_nascido_profissionais_v4.pdf
http://www.saude.gov.br/editora/produtos/livros/pdf/04_0808_M1.pdf
http://bvsms.saude.gov.br/bvs/publicacoes/crescimento_desenvolvimento.pdf
http://bvsms.saude.gov.br/bvs/publicacoes/caderneta_saude_crianca_menino.pdf
http://189.28.128.100/nutricao/docs/geral/manual_desnutricao_criancas.pdf
http://bvsms.saude.gov.br/bvs/publicacoes/diretrizes_atencao_triagem_auditiva_neonatal.pdf
http://www.sbp.com.br/reanimacao/wpcontent/uploads/2016/01/DiretrizesSBPReanimacaoRNMaior34
semanas26jan2016.pdf
http://bvsms.saude.gov.br/bvs/publicacoes/diretrizes_estimulacao_criancas_0a3anos_neuropsicomotor.
pdf
http://bvsms.saude.gov.br/bvs/publicacoes/diretrizes_atencao_saude_ocular_infancia.pdf
Alexandre Barbosa Pontes - 717.370.062-00

Assist. ao rn

  • 1.
    Alexandre Barbosa Pontes- 717.370.062-00
  • 2.
  • 3.
    2 Olá, Amigo (a)! Daremosinício a mais uma aula do Curso Completo de Enfermagem para Concursos. Nesta aula, exploraremos a teoria e questões cobradas em concursos anteriores referentes ao tema Assistência ao Recém-Nascido. Boa aula. Mantenha o foco e a fé! Profº. Rômulo Passos Profª. Cássia Moésia Profª. Joanna Mello Profª. Raiane Ribeiro Profª. Sthephanie Abreu Aula atualizada em 06/10/2017. www.romulopassos.com.br Alexandre Barbosa Pontes - 717.370.062-00
  • 4.
    3 ASSISTÊNCIA AO RECÉM-NASCIDO Deacordo com o Ministério da Saúde, o peso considerado adequado para o recém-nascido é >2.500g e <4.000g, o peso é considerado de risco quando estiver <2.000g ou >4.000g. Cuidados na Hora do Nascimento Avaliação da Vitalidade ao Nascer De acordo com o Manual do Ministério da Saúde, a frequência cardíaca adequada para recém-nascido (RN) varia, em média, de 120 a 140 bpm. RN em repouso com frequência cardíaca abaixo de 100bpm (bradicardia) ou acima de 160bpm (taquicardia) devem ser avaliados. “Meu amigo (a), tenha determinação para vencer!” Alexandre Barbosa Pontes - 717.370.062-00
  • 5.
    4 Assistência Imediata aoRN Assistência Imediata ao RN O método mais frequentemente usado para avaliar o ajuste imediato do recém-nascido à vida extrauterina é o sistema de índice de Apgar. O índice baseia-se na observação de frequência cardíaca, esforço respiratório, tônus muscular, irritabilidade reflexa e cor. A cada item atribui-se um escore de 0, 1 ou 2. As avaliações de todas as cinco categorias são feitas em 1 e 5 minutos após o nascimento e repetidas até a condição do recém nascido estabilizar. Os escores totais de 0 a 3 representam sofrimento grave, escores de 4 a 6 significam dificuldade moderada (intermediário), escores de 7 a 10 indicam ausência de dificuldade de ajuste à vida extrauterina (normal). O índice do Apgar é influenciado pelo grau de imaturidade fisiológica, infecção, malformações congênitas, sedação ou analgesia materna e distúrbios neuromusculares. Secar e Aquecer o RN Estabelecer a permeabilidade das vias aéreas Alexandre Barbosa Pontes - 717.370.062-00
  • 6.
    5 Índices do Apgarde 0 a 3 no quinto minuto relacionam-se a maior risco de mortalidade e leve aumento de risco para paralisia cerebral. No entanto, um baixo índice de Apgar, isoladamente, não prediz disfunção neurológica tardia. Em síntese:  As avaliações de todas as cinco categorias são feitas em 1 e 5 minutos após o nascimento e repetidas até a condição do recém nascido estabilizar;  Escores totais de 0 a 3 representam sofrimento grave;  Escores de 4 a 6 significam dificuldade moderada (intermediário);  Escores de 7 a 10 indicam ausência de dificuldade de ajuste à vida extrauterina (normal). Assistência Imediata ao RN Avaliar o Apgar no 1º e 5º minuto Pinçamento e secção do cordão umbilical Alexandre Barbosa Pontes - 717.370.062-00
  • 7.
    6 Identificação do RN Essasaulas escritas (PDF) são atualizadas mensalmente - se for imprimir, faça isso apenas das aulas que estiver acompanhando, pois o material é atualizado e ampliado mensalmente. Administrar Vitamina K1 Nitrato de Prata 1% Determinar medidas antropométricas Alexandre Barbosa Pontes - 717.370.062-00
  • 8.
    7 “O concurseiro vencedorsabe dizer não sempre que necessário, sem se culpar, não podemos agradar a todos e prejudicar nossa preparação, nossos sonhos, sem desgaste.” As manifestações clínicas predominantes da carência da vitamina K são as hemorragias, decorrentes da não ativação das proteínas dependentes da vitamina. Apesar de ocorrer em qualquer faixa etária, o recém- nascido é mais susceptível à doença, por apresentar níveis mais baixos de fatores da coagulação, menores reservas de vitamina K. Assim, o Ministério da Saúde recomenda, que seja administrado uma dose de 1 mg de vitamina K, por via intramuscular logo após o nascimento, como uma forma efetiva de prevenir a doença hemorrágica do recém-nascido, causada pela deficiência de vitamina K. O uso do Nitrato de prata a 1% é para prevenção da oftalmia gonocócica pelo método de Credé, o qual deve ser feito da seguinte forma: retirar o vérnix da região ocular com gaze seca ou umedecida com água, sendo contraindicado o uso de soro fisiológico ou qualquer outra solução salina. Afastar as pálpebras e instilar uma gota de nitrato de prata a 1% no fundo do saco lacrimal inferior de cada olho. A seguir, massagear suavemente as pálpebras deslizando-as sobre o globo ocular para fazer com que o nitrato de prata banhe toda a conjuntiva. Se o nitrato cair fora do globo ocular ou se houver dúvida, repetir o procedimento. Limpar com gaze seca o excesso que ficar na pele das pálpebras. A profilaxia deve ser realizada na primeira hora após o nascimento, tanto no parto vaginal quanto cesáreo. Fonte: http://bvsms.saude.gov.br/bvs/publicacoes/atencao_saude_recem_nascido_v1.pdf (página, 48). Assistência mediata ao RN Alexandre Barbosa Pontes - 717.370.062-00
  • 9.
    8 Conceito e Classificaçãodo RN Características Anatômicas e Fisiológicas Todos os dias são inseridos novos vídeos potenciais nas disciplinas deste curso Completo de Enfermagem para Concursos. As questões online estão sendo ampliadas diariamente (todas comentadas em vídeo) estude por elas para ser aprovado (a). Alexandre Barbosa Pontes - 717.370.062-00
  • 10.
    9 Fonte: elaboração dosite www.romulopassos.com.br ] Alexandre Barbosa Pontes - 717.370.062-00
  • 11.
    10 Postura encurvado com membros inferiorese superiores fletidos. Face edemaciada; manchas Pele rósea após o nascimento e extremidades cianóticas. “Está estudando? Deixe o celular no silencioso. Concentre-se! Alexandre Barbosa Pontes - 717.370.062-00
  • 12.
    11 Características Tegumentares Vérnix caseoso Secreçãobranca, gordurosa e pegajosa Lanugem protetora Fina penugem na orelha MMSS/II e fonte Millium facial ou sebáceo Pequenas pápulas brancas Alexandre Barbosa Pontes - 717.370.062-00
  • 13.
    12 A icterícia constitui-seem um dos problemas mais frequentes no período neonatal e corresponde à expressão clínica da hiperbilirrubinemia. Na maioria das vezes, a icterícia reflete uma adaptação neonatal ao metabolismo da bilirrubina e é denominada de “fisiológica”. Por outras vezes decorre de um processo patológico, podendo alcançar concentrações elevadas e ser lesiva ao cérebro, instalando-se o quadro de encefalopatia bilirrubínica aguda com letargia, hipotonia e sucção débil nos primeiros dias de vida. Esta condição pode ocasionalmente ser reversível, desde que haja uma intervenção terapêutica imediata e agressiva, mas na maioria das vezes evolui para a forma crônica da doença com sequelas neurológica permanente denominada kernicterus ou para óbito. A hiperbilirrubinemia significante presente na primeira semana de vida é um problema preocupante em RN a termo e prematuros tardios e com frequência está associada à oferta láctea inadequada, perda elevada de peso e desidratação, muitas vezes decorrente da alta hospitalar antes de 48 horas de vida e da falta do retorno ambulatorial em 1 a 2 dias após a alta hospitalar. A hiperbilirrubinemia indireta denominada “fisiológica” caracteriza-se na população de termo por início tardio (após 24 horas) com pico entre o 3º e 4º dias de vida e bilirrubinemia total (BT) máxima de 12 mg/dL. Hiperbilirrubinemia é definida como a concentração sérica de bilirrubina indireta (BI) maior que 1,5mg/dL ou de bilirrubina direta (BD) maior que 1,5mg/dL, desde que esta represente mais que 10% do valor de bilirrubina total (BT)1. A presença de icterícia antes de 24 horas de vida ou de valores de BT > 12 mg/dL, independentemente da idade pós-natal, alerta para a investigação de processos patológicos. Alexandre Barbosa Pontes - 717.370.062-00
  • 14.
    13 Atualmente, a maioriados casos de hiperbilirrubinemia indireta é controlada pela fototerapia quando aplicada de maneira adequada, sendo a doença hemolítica grave por incompatibilidade Rh a principal indicação de exsanguíneotransfusão (EST). Como a EST acompanha-se de elevada morbidade e mortalidade, deve ser indicada com precisão e praticada exclusivamente por equipe habilitada em cuidados intensivos neonatais. A fototerapia é a modalidade terapêutica mais utilizada mundialmente para o tratamento da hiperbilirrubinemia neonatal. O sucesso da fototerapia depende da transformação fotoquímica da bilirrubina nas áreas expostas à luz. Essas reações alteram a estrutura da molécula de bilirrubina e permitem que os fotoprodutos sejam eliminados pelos rins ou pelo fígado, sem sofrerem modificações metabólicas. Portanto, o mecanismo de ação básico da fototerapia é a utilização de energia luminosa na transformação da bilirrubina em produtos mais hidrossolúveis. Não há consenso quanto aos níveis séricos de BT para indicação de fototerapia e exsanguineotransfusão em RN a termo e pré-termo. Com base em evidências limitadas, leva-se em conta a avaliação periódica da BT, as idades gestacional e pós-natal, além dos fatores agravantes da lesão bilirrubínica neuronal para indicar fototerapia e exsanguineotransfusão. De maneira simplificada, a tabela abaixo mostra os valores para RN com 35 ou mais semanas de gestação. Fonte: Ministério da Saúde1 1 Disponível em: http://bvsms.saude.gov.br/bvs/publicacoes/atencao_saude_recem_nascido_v2.pdf Indicação de fototerapia Alexandre Barbosa Pontes - 717.370.062-00
  • 15.
    14 De acordo como Ministério da Saúde2 , são recomendados os seguintes cuidados durante a realização da fototerapia: • Verificar a temperatura corporal a cada três horas para detectar hipotermia ou hipertermia, e o peso diariamente. • Aumentar a oferta hídrica, pois a fototerapia com lâmpada fluorescente ou halógena pode provocar elevação da temperatura, com consequente aumento do consumo de oxigênio, da frequência respiratória e do fluxo sanguíneo na pele, culminando em maior perda insensível de água. • Proteger os olhos com cobertura radiopaca por meio de camadas de veludo negro ou papel carbono negro envolto em gaze. • Não utilizar ou suspender a fototerapia se os níveis de BD estiverem elevados ou se houver colestase, para evitar o aparecimento da síndrome do bebê bronzeado, que se caracteriza pelo depósito de derivados de cobreporfirina no plasma, urina e pele. • Cobrir a solução parenteral e o equipo com papel alumínio ou usar extensores impermeáveis à luz, pois a exposição de soluções de aminoácidos ou multivitamínicas ao comprimento de luz azul reduz a quantidade de triptofano, metionina e histidina. Adicionalmente, a solução de lipídeos é altamente susceptível à oxidação quando exposta à luz, originando hidroperóxidos de triglicérides citotóxicos. • A prática da descontinuidade da fototerapia durante a alimentação, inclusive com a retirada da cobertura dos olhos, desde que a bilirrubinemia não esteja muito elevada. 2 Disponível em: http://bvsms.saude.gov.br/bvs/publicacoes/atencao_saude_recem_nascido_v2.pdf Cuidados durante a fototerapia Ao final deste curso, acesse o menu Certificados na área do aluno para você fazer download e imprimir seu certificado, com código de autenticidade. Sempre que for estudar, utilize o filtro inteligente do site, afim de ter o direcionamento para cada concurso e não perder tempo estudando o que não será cobrado no concurso almejado. Os temas na enfermagem e SUS são atualizados rapidamente. Por isso, fique atento (a) às atualizações do site. Isso é uma rotina nossa! Alexandre Barbosa Pontes - 717.370.062-00
  • 16.
    15 CARACTERÍSTICAS ANATÔMICAS EFISIOLÓGICAS - RN a termo CARACTERÍSTICAS ANATÔMICAS E FISIOLÓGICAS DO RECÉM-NASCIDO PRÉ-TERMO “A sua aprovação chegará. Lute!” CLASSIFICAÇÃO Limítrofe: 35-36s Moderado: 31-34s Extremo: <31s Postura: inativo, flácido e relaxado, extremidades mantidas em extensão. Alexandre Barbosa Pontes - 717.370.062-00
  • 17.
    16 CABEÇA Grande, desproporcional, achatada dos ladose longa na frente FACE Senil e envelhecida CABELOS Finos e Ralos OLHOS Fechados, grandes em relação a face e proeminente PESCOÇO Curto e repousa sobre a caixa torácica FONTANELAS Amplas CAIXA TORÁCICA Deprimida ABDOME Distendido PELE Coloração pálida e coberta por lanugem SISTEMA RESPIRATÓRIO Imaturo. Episódios de apneia SISTEMA TERMORREGULAR Incapacidade de manutenção de temperatura corpórea, pois, não possui gordura para isolamento térmico SISTEMA DIGESTÓRIO Dificuldade de Absorção PESO Perda de peso PELE Enrugada, sem lanugem e verniz caseoso UNHAS Ultrapassam a Polpa digital MÃOS Secas, descamadas Alexandre Barbosa Pontes - 717.370.062-00
  • 18.
    17 EXAMES  Teste doPezinho Fonte: Manual Técnico de Triagem Neonatal Biológica - Disponível em: http://bvsms.saude.gov.br/bvs/publicacoes/triagem_neonatal_biologica_manual_tecnico.pdf (página 19). Detecta precocemente 6 doenças congênitas: • Recomenda-se que o período ideal de coleta da primeira amostra esteja compreendido entre o 3º e o 5º dia de vida do bebê devido às especificidades das doenças diagnosticadas atualmente. • Punção da face lateral ou média do calcanhar do bebê para obtenção de amostras de sangue colhidas em papel filtro. • Obs.: Deve ser considerada como uma condição de exceção toda coleta realizada após o 28º dia de vida, mesmo que não recomendada, por se tratar de um exame fora do período neonatal. Alexandre Barbosa Pontes - 717.370.062-00
  • 19.
    18 Desde a décadade 60, a Organização Mundial da Saúde (OMS) preconiza a importância dos programas populacionais de Triagem Neonatal – para a prevenção de deficiência mental e agravos à saúde do recém- nascido – e recomenda sua implementação, especialmente nos países em desenvolvimento. Segundo estimativa da OMS, 10% da população brasileira é portadora de algum tipo de deficiência e, dentre elas a deficiência mental representa um sério problema de Saúde Pública. Fonte: Manual de triagem neonatal: http://bvsms.saude.gov.br/bvs/publicacoes/triagem_neonatal_biologica_manual_tecnico.pdf Exame do reflexo Vermelho O Teste do Reflexo Vermelho (TRV), também conhecido como “Teste do Olhinho”, é um exame capaz de identificar a presença de diversas enfermidades visuais como a catarata congênita e o retinoblastoma. Diversas outras doenças também podem ser triadas por aplicação do TRV e confirmadas através de diagnóstico diferencial de leucocorias, como a Retinopatia da Prematuridade, o Glaucoma Congênito, o Retinoblastoma, a Doença de Coats, a Persistência Primária do Vítreo Hiperplásico – PVPH, Descolamento de Retina, Hemorragia Vítrea, Uveíte (Toxoplasmose, Toxocaríase), Leucoma e até mesmo Altas Ametropias. De acordo com o Ministério da Saúde (2016), todos os recém-nascidos devem ser submetidos ao TRV antes da alta da maternidade e pelo menos de 2 a 3 vezes por ano nos 3 primeiros anos de vida. Se nessa fase for detectada qualquer alteração, o neonato precisa ser encaminhado para esclarecimento diagnóstico e conduta precoce em serviço oftalmológico especializado de referência. O TRV é um método não invasivo, de simples realização com apenas o uso de um oftalmoscópio direto, equipamento portátil e de baixo custo; sendo um procedimento extremamente barato, de fácil realização e rápido. O teste consiste na emissão de luz através de um oftalmoscópio, nos olhos do recém-nascido; o reflexo desta luz incidida sobre os olhos da criança produz uma cor avermelhada e contínua nos olhos saudáveis, que consideramos reflexo vermelho normal (em tons de vermelho, laranja ou amarelo) e significa que as principais estruturas internas do olho (córnea, câmara anterior, íris, pupila, cristalino, humor vítreo e retina) estão transparentes, permitindo que a retina seja atingida de forma normal. Na presença de alguma anomalia que impeça a chegada da luz à retina e a sua reflexão característica, o reflexo luminoso sofre alterações que interferem em sua coloração, homogeneidade e simetria binocular. Além do reflexo vermelho, é recomendado o rastreamento da acuidade visual da criança menor de 5 anos em consultas de rotina por meio de exames de avaliação, como inspeção externa do olho e das pálpebras, verificação da mobilidade ocular, pupilas, avaliação de estrabismo por meio do teste de Hirschberg e do teste de cobertura alternada e a avaliação da acuidade visual por meio do Snellen. Percebendo alguma alteração nos resultados dos exames, a equipe de atenção básica deverá encaminhar para avaliação em consulta especializada com oftalmologista. Teste do Reflexo Vermelho –TRV Alexandre Barbosa Pontes - 717.370.062-00
  • 20.
    19 “A aula éimportante. Mantenha a concentração!” Alexandre Barbosa Pontes - 717.370.062-00
  • 21.
    20 Triagem Auditiva Neonatal ATriagem Auditiva Neonatal (TAN), conhecida como “teste da orelhinha”, tem por finalidade a identificação o mais precocemente possível da deficiência auditiva nos neonatos e lactentes. Consiste no teste e reteste, com medidas fisiológicas e eletrofisiológicas da audição, com o objetivo de encaminhá-los para diagnóstico dessa deficiência, e intervenções adequadas à criança e sua família. No caso de deficiência auditiva permanente, o diagnóstico funcional e a intervenção iniciados antes dos seis meses de vida da criança possibilitam, em geral, melhores resultados para o desenvolvimento da função auditiva, da linguagem, da fala, do processo de aprendizagem e, consequentemente, a inclusão no mercado de trabalho e melhor qualidade de vida. A TAN deve ser realizada, preferencialmente, nos primeiros dias de vida (24h a 48h) na maternidade, e, no máximo, durante o primeiro mês de vida, a não ser em casos quando a saúde da criança não permita a realização dos exames. Ressaltamos que o Teste da Orelhinha é um exame simples para saber se está tudo bem com a audição do seu filho. Um aparelho eletrônico com fone é colocado no ouvido do bebê, o que permite ao médico ou fonoaudiólogo verificar se a criança ouve normalmente. O exame não tem contraindicações e pode ser feito com o bebê dormindo. Recomenda-se que o teste seja feito no primeiro mês de vida, mas todos os bebês devem passar pelo exame. Deve ser organizada em duas etapas (teste e reteste), no primeiro mês de vida. A presença ou ausência de indicadores de risco para a deficiência auditiva (Irda) deve orientar o protocolo a ser utilizado: • Para os neonatos e lactentes sem indicador de risco, utiliza-se o exame de Emissões Otoacústicas Evocadas (EOAE). Caso não se obtenha resposta satisfatória (falha), repetir o teste de EOAE, ainda nesta etapa de teste. Caso a falha persista, realizar de imediato o Potencial Evocado Auditivo de Tronco Encefálico (Peate- Automático ou em modo triagem). • Para os neonatos e lactentes com indicador de risco, utiliza-se o teste de Peate-Automático ou em modo triagem. • Exame de Emissões Otoacústicas Evocadas, um procedimento não invasivo (não usa agulhas ou qualquer objeto perfurante - não causa dor ao bebê); • Deve ser feito com o bebê em sono natural, com duração de aproximadamente 5 a 10 minutos; • Não tem qualquer contra indicação, não acorda nem incomoda o bebê. • O objetivo deste teste não é avaliar o grau de perda auditiva, mas detectar possíveis alterações que, se diagnosticadas a tempo, aumentam as chances de intervenção. Alexandre Barbosa Pontes - 717.370.062-00
  • 22.
    21 O registro dasEOAE é recomendado na realização da TAN em crianças sem Irda, pois é um teste rápido, simples, não invasivo, com alta sensibilidade e especificidade, capaz de identificar a maioria das perdas auditivas cocleares em torno de 30-35 dB. O registro das EOAE não possibilita a identificação de perdas auditivas retrococleares, que, no entanto, são mais prevalentes na população com Irda. Para a realização do registro das EOAE é necessária a integridade anatômica da orelha externa e média. O segundo teste, com Peate nos neonatos e lactentes com baixo risco, nos casos de falha em dois exames de EOAE, é indicado, pois diminui os índices de falso-positivos devido às alterações de orelha média, ou presença de vérnix nos condutos auditivos. Consequentemente, há diminuição de encaminhamentos desnecessários para reteste e diagnóstico. Nos casos dos neonatos e lactentes com Irda, justifica-se a realização do Peate como primeira escolha devido à maior prevalência de perdas auditivas retrococleares não identificáveis por meio do exame de EOAE. Aqueles neonatos e lactentes com malformação de orelha, mesmo que em apenas uma delas, deverão ser encaminhados diretamente para diagnóstico otorrinolaringológico e audiológico. Para gravar: “Planeje os seus estudos!” Para os neonatos e lactentes SEM indicador de risco Utiliza-se o exame de Emissões Otoacústicas Evocadas (EOAE). Utiliza-se o teste de Peate-Automático ou em modo triagem (Potencial Evocado Auditivo de Tronco Encefálico). Para os neonatos e lactentes COM indicador de risco Caso não se obtenha resposta satisfatória (falha) em neonatos e lactentes sem indicador de risco, repetir o teste de EOAE, ainda nesta etapa de teste. Caso a falha persista, realizar de imediato o Potencial Evocado Auditivo de Tronco Encefálico (Peate- Automático ou em modo triagem). Alexandre Barbosa Pontes - 717.370.062-00
  • 23.
    22 Triagem do FrênuloLingual – Teste da Linguinha Nota Técnica nº 09/2016 - MS Considerando que a triagem na maternidade tem como objetivo a identificação de casos graves de anquiloglossia, sugere-se a utilização do protocolo Bristol Tongue Assessment Tool (BTAT). Esse protocolo fornece uma medida objetiva e de execução simples da severidade da anquiloglossia, para selecionar os lactentes para frenotomia e monitorizar o efeito do procedimento. Alexandre Barbosa Pontes - 717.370.062-00
  • 24.
    23 Em relação aosquatro aspectos para avaliação do frêmito:  A aparência da ponta da língua é considerada uma das principais formas de avaliar a anquiloglossia. É frequentemente notada pelos pais e por isso pode ser útil para explicar a presença de anquiloglossia.  A fixação no alvéolo inferior permite avaliar a presença de anquiloglossia nos casos em que a aparência pode não ser tão óbvia. Em geral, tem reflexo na aparência da língua com a boca bem aberta.  A fixação no alvéolo inferior permite avaliar a presença de anquiloglossia nos casos em que a aparência pode não ser tão óbvia. Em geral, tem reflexo na aparência da língua com a boca bem aberta.  A fixação no alvéolo inferior permite avaliar a presença de anquiloglossia nos casos em que a aparência pode não ser tão óbvia. Em geral, tem reflexo na aparência da língua com a boca bem aberta. Alexandre Barbosa Pontes - 717.370.062-00
  • 25.
    24 Teste da Oximetriade Pulso - Teste do Coraçãozinho De acordo com a Portaria do MS nº 20/2014, deve-se realizar a aferição da oximetria de pulso (teste do coraçãozinho), em todo recém-nascido aparentemente saudável com idade gestacional > 34 semanas, antes da alta da Unidade Neonatal. Alexandre Barbosa Pontes - 717.370.062-00
  • 26.
    25 CONSULTAS DO RECÉM-NASCIDO OMinistério da Saúde recomenda SETE consultas de rotina no primeiro ano de vida (na 1ª semana, no 1º mês, 2º mês, 4º mês, 6º mês, 9º mês e 12º mês), além de duas consultas no 2º ano de vida (no 18º e no 24º mês) e, a partir do 2º ano de vida, consultas anuais, próximas ao mês do aniversário. Essas faixas etárias são selecionadas porque representam momentos de oferta de imunizações e de orientações de promoção de saúde e prevenção de doenças. As crianças que necessitem de maior atenção devem ser vistas com maior frequência. A ADMINISTRAÇÃO DE MEDICAÇÃO INTRAMUSCULAR EM RECÉM-NASCIDOS A administração de medicação intramuscular em recém-nascidos, na região anterolateral da coxa, dependerá do peso da criança: - Recém-nascidos com peso inferior a 1kg: o volume máximo é de 0,25 ml. - Recém-nascidos com peso maior a 1kg: o volume máximo é de 0,5ml. PREVENÇÃO DE MORTE SÚBITA EM RECÉM-NASCIDOS A Pastoral da Criança lidera uma campanha no sentido de informar a população sobre a importância de colocar os bebês para dormirem de barriga para cima (posição supina) – o que contraria uma antiga crença popular, mas pode evitar a morte súbita, considerada a maior causa de mortes entre bebês de 1 a 12 meses nos países desenvolvidos. Com o apoio do Ministério da Saúde, Sociedade Brasileira de Pediatria, Unicef, Criança Esperança e outros organismos internacionais, a campanha é baseada em estudos brasileiros e na publicação Sudden infant death syndrome, de Rachel Y Moon, Rosemary S C Horne, Fern R Hauck (Lancet 2007; 370: 1578–87). Campanhas semelhantes a “Dormir de barriga para cima é mais seguro” já foram divulgadas nos Estados Unidos e na Inglaterra e segundo Cesar Victora, doutor em Epidemiologia pela London School of Hygiene and Tropical Medicine, pesquisador da UFPel e coordenador do Comitê de Mortalidade Infantil da cidade de Pelotas-RS, há formas de reduzir o risco de morte súbita em bebês e uma delas é deixá-los dormindo de barriga para cima. No entanto, isso ainda é pouco usado pelas mães brasileiras. Segundo o pesquisador, a informação de que ao dormir de barriga para cima o bebê vai aspirar ao vômito e se afogar não passa de uma crença popular incorreta. Ao deitar de lado ou com a barriga para baixo o bebê respira um ar viciado, ou seja, o ar que ele próprio expira e os riscos de dormir de barriga para baixo são semelhantes a dormir de lado, já que essa posição é instável e muitos bebês rolam e ficam de barriga para baixo. Se uma criança está deitada de barriga para cima e se afoga, sua tendência, por instinto, é tossir e com Figura - Posição Supina (Pastoral da Criança). Alexandre Barbosa Pontes - 717.370.062-00
  • 27.
    26 isso chamar aatenção dos pais. No caso da morte súbita, essa reação não acontece e a morte se dá de forma “silenciosa”. “A aula está acabando, mas a sua luta continua. NÃO PARE!” Alexandre Barbosa Pontes - 717.370.062-00
  • 28.
    27 QUESTÕES COMENTADAS VAMOS ABORDARQUESTÕES SOBRE O TEMA PARA FACILITAR A SUA COMPREENSÃO A RESPEITO DO TEMA ESTUDADO! 1. (Instituto Federal de Santa Catarina - IF-SC/IESES/2014/CM) É importante para o enfermeiro conhecer as condições de vida que podem interferir negativamente no peso de nascimento. De acordo com a idade gestacional, ao nascer, o peso considerado adequado é: a) Entre 2500 e 4000g. b) Entre 4000 e 5000g. c) Menor que 2500g. d) Maior que 2500g. COMENTÁRIOS: De acordo com o Ministério da Saúde, o peso considerado adequado para o recém-nascido é >2.500g e <4.000g, o peso é considerado de risco quando estiver <2.000g ou >4.000g. 2. (MPE-RS/2014) Assinale a alternativa que preenche corretamente a lacuna do enunciado abaixo. No Alojamento Conjunto, um enfermeiro, ao atender um recém-nascido, com doze horas de vida, que está ativo, verifica a frequência cardíaca do bebê. Nessa situação, é correto afirmar que a frequência cardíaca ________ indica débito cardíaco adequado. a) entre 60 e 80 bpm b) entre 80 e 100 bpm c) entre 120 e 140 bpm d) abaixo de 100 bpm e) acima de 180 bpm COMENTÁRIOS: De acordo com o Manual do Ministério da Saúde, a frequência cardíaca adequada para recém-nascido (RN) varia, em média, de 120 a 140 bpm. No recém-nascido em repouso com frequência cardíaca abaixo de 100bpm (bradicardia) ou acima de 160bpm (taquicardia) devem ser avaliados. Conforme explicações, o gabarito é a letra A. Logo, o gabarito é a letra C. Alexandre Barbosa Pontes - 717.370.062-00
  • 29.
    28 3. (Prefeitura deVila Velha-ES/FUNCAB/2012) Um bebê que nasceu completamente rosado, com 120 de frequência cardíaca, choro forte, movimentos ativos e espirrou quando estimulado com sonda, apresenta um índice de apgar correspondente a: a) 7 b) 8 c) 10 d) 11 e) 12 COMENTÁRIOS: O método mais frequentemente usado para avaliar o ajuste imediato do recém-nascido à vida extrauterina é através do Índice de Apgar. De acordo com o caso apresentado na questão, o bebê nasceu apresentado os seguintes achados: - Frequência cardíaca (FC): 120 bp/min (apgar 2); - Esforço respiratório: choro forte (apgar 2); - Tônus muscular: movimentos ativos (apgar 2); - Cor: completamente rosado (apgar 2); - Irritabilidade reflexa: espirrou quando estimulado com sonda (apgar 2). já que o bebê apresentou um índice de apgar correspondente a 10. O gabarito da questão é a letra C, Alexandre Barbosa Pontes - 717.370.062-00
  • 30.
    29 4. (Prefeitura deValença-RJ/FUNCAB/2012) O método utilizado para avaliação do RN foi criado em 1952 por Virgínia Apgar. Realiza-se a avaliação aos 60 segundos e aos 5 minutos, atribuindo-se, para cada sinal avaliado, notas de zero a dois e no final faz-se o somatório, que dará um total de zero a dez: Analise e compare o quadro abaixo de acordo com as alternativas e assinale a que contem a classificação correta de acordo com o método de Apgar. a) 0 a 3: asfixia leve. b) 4 a 6: asfixia grave. c) 1 a 5: asfixia moderada. d) 7 a 10: boa vitalidade, boa adaptação à vida extrauterina. e) 2 a 6: vitalidade ruim, duvidosa adaptação à vida extrauterina. COMENTÁRIOS: As avaliações de todas as cinco categorias são feitas em 1 e 5 minutos após o nascimento e repetidas até a condição do recém nascido estabilizar. - Escores totais de 0 a 3 representam sofrimento grave; - Escores de 4 a 6 significam dificuldade moderada (intermediário); - Escores de 7 a 10 indicam ausência de dificuldade de ajuste à vida extrauterina (normal). Vamos, agora, analisar cada alternativa: Item A. 0 a 3: asfixia grave. Itens B e C. 4 a 6: asfixia moderada (intermediária). Item D. 7 a 10: boa vitalidade, boa adaptação à vida extrauterina. 5. (Prefeitura de Linhares-ES/FUNCAB/2011) O índice de Apgar é uma maneira fácil e eficaz de avaliar a vitalidade do recém-nascido. Logo que o bebê nasce inicia-se a contagem do tempo e o índice de Apgar é avaliado no primeiro e quinto minuto de vida da criança. São medidos os seguintes itens: a) frequência cardíaca, respiração, paralisia cerebral e asfixia. b) frequência cardíaca, respiração, tônus muscular, cor da pele e irritabilidade reflexa. c) frequência cardíaca, cor da pele, choro, tônus muscular e anomalias congênitas. d) frequência cardíaca, respiração, síndromes inespecíficas e dor. e) frequência cardíaca, respiração, cor da pele, dilatação da pupila e dor. O gabarito, portanto, é a letra D. Alexandre Barbosa Pontes - 717.370.062-00
  • 31.
    30 COMENTÁRIOS: O índice baseia-sena observação de frequência cardíaca, esforço respiratório, tônus muscular, irritabilidade reflexa e cor. A cada item atribui-se um escore de 0, 1 ou 2. As avaliações de todas as cinco categorias são feitas em 1 e 5 minutos após o nascimento e repetidas até a condição do recém nascido estabilizar. 6. (HU- UFRN/EBSERH/IADES/2014/CM) A vitamina K, aplicada 1 mg via IM no RN, tem a finalidade de prevenir a (o): a) xeroftalmia. b) escorbuto. c) anemia falciforme. d) doença hemorrágica do RN. e) hepatite B COMENTÁRIOS: As manifestações clínicas predominantes da carência da vitamina K são as hemorragias, decorrentes da não ativação das proteínas dependentes da vitamina. Apesar de ocorrer em qualquer faixa etária, o recém- nascido é mais susceptível à doença, por apresentar níveis mais baixos de fatores da coagulação, menores reservas de vitamina K. Assim, o Ministério da Saúde recomenda, que seja administrado uma dose de 1 mg de vitamina K, por via intramuscular logo após o nascimento, como uma forma efetiva de prevenir a doença hemorrágica do recém-nascido, causada pela deficiência de vitamina K. 7. (HU-UFPI/EBSERH/2011) O teste do pezinho é um exame laboratorial simples que pode ser realizado pelo enfermeiro, e que tem como objetivo detectar precocemente doenças metabólicas, genéticas ou infecciosas. Sobre o tema, assinale a alternativa correta. a) A punção deve ser realizada no centro do calcanhar. b) A punção deve ser realizada na face lateral ou média do calcanhar. c) Em caso de hipotermia o sangue pode ser exprimido. d) Este procedimento não tem risco de complicações. e) Este procedimento está em desuso. COMENTÁRIOS: Em relação ao teste do pezinho, vamos analisar: Item A. A punção deve ser realizada na face lateral ou média, e não no centro do calcanhar. Item B. A punção deve ser realizada na face lateral ou média do calcanhar. Conforme explicações anteriores, verificamos que o gabarito é a letra B. Portanto, o gabarito é a letra D. Alexandre Barbosa Pontes - 717.370.062-00
  • 32.
    31 Item C. Oaquecimento prévio do pé do bebê deve ser considerado, pois leva à vasodilatação e, consequentemente, a um aumento do fluxo sanguíneo, que favorece a boa coleta. Por isso, é recomendado fazer a coleta do teste do pezinho após a cessação da hipotermia. Item D. Este procedimento tem baixo risco de complicações. Item E. É óbvio que este procedimento não está em desuso. 8. (Prefeitura de Guarda Mor-MG/REIS & REIS/2014) Sobre o teste do pezinho é INCORRETO afirmar: a) É o nome popular para a triagem neonatal; b) Iniciado pelo Ministro José Serra, em 6 de junho de 2001, criando o Programa Nacional de Triagem Neonatal (PNTN); c) Tem por objetivo detectar doenças; d) É ideal a sua realização após o 1º mês de vida. COMENTÁRIOS: De acordo com o Manual Técnico de Triagem Neonatal Biológica do Ministério da Saúde (BRASIL, 2016), recomenda-se que o período ideal de coleta da primeira amostra esteja compreendido entre o 3º e o 5º dia de vida do bebê devido às especificidades das doenças diagnosticadas atualmente. Deve ser considerada como uma condição de exceção toda coleta realizada após o 28º dia de vida, mesmo que não recomendada, por se tratar de um exame fora do período neonatal. 9. (Hospital Guilherme Álvaro-Santos-SP/CETRO/2012/CM) São doenças detectadas através do Teste de Triagem Neonatal (Teste do Pezinho), exceto: a) hipotireoidismo congênito. b) fenilcetonúria. c) anemia falciforme. d) oftalmia neonatal gonocócica. e) fibrose cística. COMENTÁRIOS: Entre os principais objetivos do Programa Nacional de Triagem Neonatal (PNTN), destaca-se a ampliação da gama de patologias triadas (Fenilcetonúria, Hipotireoidismo congênito, Doença falciforme e outras hemoglobinopatias, Fibrose cística, Deficiência de biotinidase e Hiperplasia adrenal congênita), busca da cobertura de 100% dos nascidos vivos e a definição de uma abordagem mais ampla da questão, determinando que o processo de Triagem Neonatal envolva várias etapas como: a realização do exame laboratorial, a busca ativa dos casos suspeitos, a confirmação diagnóstica, o tratamento e o acompanhamento multidisciplinar especializado dos pacientes. O gabarito da questão, portanto, é a letra B. Assim, o gabarito é a letra D. Portanto, o gabarito é a letra D. Alexandre Barbosa Pontes - 717.370.062-00
  • 33.
    32 10. (Secretaria Estadualde Pernambuco-PE/UPENET/2014) O Teste da Orelhinha ou Triagem Auditiva Neonatal é um exame importante para detectar se o recém-nascido tem problemas de audição, que podem influenciar no aprendizado da linguagem. Geralmente, o exame é realizado no berçário em sono natural, de preferência no 2º ou 3º dia de vida. Em relação à triagem auditiva (Emissões Otoacústicas Evocadas) dos recém-nascidos, assinale V nas afirmativas Verdadeiras e F nas Falsas. ( ) O tempo de duração do exame varia entre 5 e 10 minutos; não tem qualquer contraindicação, não acorda nem incomoda o bebê. ( ) Não exige nenhum tipo de intervenção invasiva (uso de agulhas ou qualquer objeto perfurante) e é absolutamente nocivo devido ao tempo de duração. ( ) Na triagem auditiva em recém-nascido de risco, utilizam-se o potencial evocado auditivo transiente de curta latência e a audiometria de tronco cerebral. ( ) A Lei Federal nº 12.303/2010 tornou obrigatória e gratuita a realização do exame, e acredita-se que todos os hospitais e as maternidades do Brasil ofereçam o teste. Assinale a alternativa que contém a sequência CORRETA. a) V-V-V-V b) V-F-V-V c) F-V-V-V d) V-F-F-V e) V-V-F-F COMENTÁRIOS: A Triagem Auditiva Neonatal (TAN), conhecida como “teste da orelhinha”, tem por finalidade a identificação o mais precocemente possível da deficiência auditiva nos neonatos e lactentes. Consiste no teste e reteste, com medidas fisiológicas e eletrofisiológicas da audição, com o objetivo de encaminhá-los para diagnóstico dessa deficiência, e intervenções adequadas à criança e sua família. A TAN deve ser realizada, preferencialmente, nos primeiros dias de vida (24h a 48h) na maternidade, e, no máximo, durante o primeiro mês de vida, a não ser em casos quando a saúde da criança não permita a realização dos exames. Ressaltamos que o Teste da Orelhinha é um exame simples para saber se está tudo bem com a audição do seu filho. Um aparelho eletrônico com fone é colocado no ouvido do bebê, o que permite ao médico ou fonoaudiólogo verificar se a criança ouve normalmente. O exame não tem contraindicações e pode ser feito com o bebê dormindo. Recomenda-se que o teste seja feito no primeiro mês de vida, mas todos os bebês devem passar pelo exame. Deve ser organizada em duas etapas (teste e reteste), no primeiro mês de vida. A presença ou ausência de indicadores de risco para a deficiência auditiva (Irda) deve orientar o protocolo a ser utilizado: Para os neonatos e lactentes SEM indicador de risco Utiliza-se o exame de Emissões Otoacústicas Evocadas (EOAE). Utiliza-se o teste de Peate-Automático ou em modo triagem (Potencial Evocado Auditivo de Tronco Encefálico). Para os neonatos e lactentes COM indicador de risco Alexandre Barbosa Pontes - 717.370.062-00
  • 34.
    33 Após exposição dotema, constatamos que o único item errado é o II, já que o Teste da Orelhinha NÃO é nocivo devido ao tempo de duração. 11. (Prefeitura de Criciuma-SC/FEPESE/2014) De acordo com o Ministério da Saúde, a primeira consulta do recém-nascido deve ocorrer: a) na primeira semana de vida. b) na segunda semana de vida. c) no primeiro mês de vida. d) nos primeiros 6 meses de vida. e) no primeiro ano de vida. COMENTÁRIOS: O Ministério da Saúde recomenda SETE consultas de rotina no primeiro ano de vida, sendo a primeira na 1ª semana de vida. 12. (Prefeitura de Silvânia-GO/NOROESTE/2014/CM) Na administração de medicação intramuscular em recém-nato (RN), o local mais apropriado é a região da face anterolateral da coxa. Qual volume máximo recomendado para essa via, em RN com peso maior de 1.000g? a) 1,5 ml. c) 0,25 ml. b) 0,5 ml. d) 1,0 ml. COMENTÁRIOS: A administração de medicação intramuscular em recém-nascidos, na região anterolateral da coxa, dependerá do peso da criança: - Recém-nascidos com peso inferior a 1kg: o volume máximo é de 0,25 ml. - Recém-nascidos com peso maior a 1kg: o volume máximo é de 0,5ml. Após exposição do tema, verificamos que o gabarito é a letra B. Caso não se obtenha resposta satisfatória (falha) em neonatos e lactentes sem indicador de risco, repetir o teste de EOAE, ainda nesta etapa de teste. Caso a falha persista, realizar de imediato o Potencial Evocado Auditivo de Tronco Encefálico (Peate- Automático ou em modo triagem). Nesses termos, o gabarito é letra B. Por conseguinte, o gabarito é a letra A. Após exposição do tema, verificamos que o gabarito é a letra B. Alexandre Barbosa Pontes - 717.370.062-00
  • 35.
    34 13. (HU-UFES/EBSERH/AOCP/2014/CM) Paraevitar a morte súbita, a Pastoral da Criança, com o apoio do Ministério da Saúde, Sociedade Brasileira de Pediatria, UNICEF e Criança Esperança, lançou em 2009 a campanha que preconiza colocar os bebês para dormirem em posição: a) prona. b) lateral esquerdo. c) lateral direito. d) ventral. e) supina. COMENTÁRIOS: A Pastoral da Criança lidera uma campanha no sentido de informar a população sobre a importância de colocar os bebês para dormirem de barriga para cima (posição supina) – o que contraria uma antiga crença popular, mas pode evitar a morte súbita, considerada a maior causa de mortes entre bebês de 1 a 12 meses nos países desenvolvidos. Campanhas semelhantes a “Dormir de barriga para cima é mais seguro” já foram divulgadas nos Estados Unidos e na Inglaterra e segundo Cesar Victora, doutor em Epidemiologia pela London School of Hygiene and Tropical Medicine, pesquisador da UFPel e coordenador do Comitê de Mortalidade Infantil da cidade de Pelotas-RS, há formas de reduzir o risco de morte súbita em bebês e uma delas é deixá-los dormindo de barriga para cima. No entanto, isso ainda é pouco usado pelas mães brasileiras. Segundo o pesquisador, a informação de que ao dormir de barriga para cima o bebê vai aspirar ao vômito e se afogar não passa de uma crença popular incorreta. Ao deitar de lado ou com a barriga para baixo o bebê respira um ar viciado, ou seja, o ar que ele próprio expira e os riscos de dormir de barriga para baixo são semelhantes a dormir de lado, já que essa posição é instável e muitos bebês rolam e ficam de barriga para baixo. Se uma criança está deitada de barriga para cima e se afoga, sua tendência, por instinto, é tossir e com isso chamar a atenção dos pais. No caso da morte súbita, essa reação não acontece e a morte se dá de forma “silenciosa”. . 14. (HU-UFPI/EBSERH/IADES/2012/CM) No Brasil nascem cerca de três milhões de crianças ao ano, das quais 98% são em hospitais. O adequado acompanhamento pré-natal possibilita a identificação de problemas e riscos em tempo oportuno para intervenção. Neste contexto, julgue os itens a seguir. I - A Organização Mundial de Saúde - OMS recomenda que o aleitamento materno inicie na primeira hora após o parto. II - O boletim de Apgar não deve ser utilizado para determinar o início da reanimação, nem as manobras a serem instituídas no decorrer do procedimento. III - Os sinais de Escore de Apgar ampliado são: freqüência cardíaca, esforço respiratório, tônus muscular, irritabilidade reflexa e cor. Figura - Posição Supina (Pastoral da Criança). Portanto, o gabarito da questão é a letra E. Alexandre Barbosa Pontes - 717.370.062-00
  • 36.
    35 IV - Osparâmetros utilizados para determinar a necessidade de reanimar um RN recém-nascido são: coloração de pele e mucosas, frequência cardíaca e frequência respiratória. A quantidade de itens certos é igual a a) 0. b) 1. c) 2. d) 3. e) 4. COMENTÁRIOS: Vamos analisar cada uma das assertivas: Item I. CORRETA. A Organização Mundial de Saúde - OMS recomenda que o aleitamento materno inicie na primeira hora após o parto. De acordo com as recomendações da OMS em relação ao aleitamento materno, são as seguintes: - Ter uma norma escrita sobre aleitamento materno, a qual deve ser rotineiramente transmitida a toda a equipe de cuidados de saúde. - Treinar toda a equipe de cuidados de saúde, capacitando-a para implementar esta norma. - Informar todas as grávidas atendidas sobre as vantagens e a pratica da amamentação. - Ajudar as mães a iniciar a amamentação na primeira meia hora após o parto. - Mostrar às mães como amamentar e como manter a lactação, mesmo que tenham de ser separadas de seus filhos. - Não dar ao recém-nascido nenhum outro alimento ou bebida além do leite materno, a não ser que seja por indicação médica. - Praticar o alojamento conjunto - permitir que mães e os bebés permaneçam juntos 24 horas por dia. - Encorajar a amamentação sob livre demanda (sempre que o bebé quiser). - Não dar bicos artificiais (tetinas) ou chupetas a crianças amamentadas. - Encorajar a criação de grupos de apoio à amamentação, para onde as mães devem ser encaminhadas por ocasião da alta hospitalar. Item II. CORRETO. Conforme o Ministério da Saúde, o boletim de Apgar não deve ser utilizado para determinar o início da reanimação nem as manobras a serem instituídas no decorrer do procedimento. No entanto, sua aferição longitudinal permite avaliar a resposta do RN às manobras realizadas e a eficácia dessas manobras. Assim, se o escore é inferior a 7 no 5º minuto, recomenda-se realizá-lo a cada cinco minutos, até 20 minutos de vida. É necessário documentar o escore de Apgar de maneira concomitante à dos procedimentos de reanimação executados Item III. CORRETO. Os sinais de Escore de Apgar ampliado são: freqüência cardíaca, esforço respiratório, tônus muscular, irritabilidade reflexa e cor. A Escala de Apgar é o método criado em 1952 por Virginia Apgar, na qual é utilizado para avaliar o ajuste imediato do recém-nascido à vida extrauterina. Fundamentando-se na observação frequência cardíaca, esforço respiratório, tônus muscular, irritabilidade reflexa e cor. A cada item atribui-se um escore de 0, 1, 2 e as avaliações de todas as cincos categorias são feitas em 1 e 5 minutos após o nascimento e repetidas até a condição do recém nascido estabilizar. Alexandre Barbosa Pontes - 717.370.062-00
  • 37.
    36 Item IV. INCORRETO.Os parâmetros utilizados para determinar a necessidade de reanimar um RN recém-nascido são: coloração de pele e mucosas, frequência cardíaca e frequência respiratória. Imediatamente após o nascimento, a necessidade de reanimação depende da avaliação rápida de quatro situações referentes à vitalidade do concepto, sendo feitas as seguintes perguntas: - Gestação a termo? - Ausência de mecônio? - Respirando ou chorando? - Tônus muscular bom? Se a resposta é sim a todas as perguntas, considera-se que o RN está com boa vitalidade e não necessita de manobras de reanimação. A reanimação depende da avaliação simultânea da respiração e da frequência cardíaca (FC). A FC é o principal determinante da decisão de indicar as diversas manobras de reanimação. Logo após o nascimento, o RN deve respirar de maneira regular, suficiente para manter a FC acima de 100 bpm. A FC deve ser avaliada por meio da ausculta do precórdio com estetoscópio, podendo eventualmente ser verificada pela palpação do pulso na base do cordão umbilical. Tanto a ausculta precordial quanto a palpação do cordão podem subestimar a FC. A avaliação da coloração da pele e mucosas do RN não é mais utilizada para decidir procedimentos na sala de parto. Estudos recentes têm mostrado que a avaliação da cor das extremidades, tronco e mucosas, rósea ou cianótica, é subjetiva e não tem relação com a saturação de oxigênio ao nascimento. Além disso, recém-nascidos com respiração regular e FC >100 bpm podem demorar minutos para ficar rosados. Naqueles que não precisam de procedimentos de reanimação ao nascer, a saturação de oxigênio com 1 minuto de vida se situa ao redor de 60-65%, só atingindo valores entre 87-92% no quinto minuto. Assim, o processo de transição normal para alcançar uma saturação de oxigênio acima de 90% requer 5 minutos ou mais em recém-nascidos saudáveis que respiram ar ambiente. Com base nesses dados, conclui-se que a avaliação da vitalidade do neonato logo após o nascimento não deve incluir a cor. Mas essa questão foi anulada, pois ao analisarmos cada assertivas, verificamos que a I, II e III estão corretas e a letra B afirma que existe apenas uma assertiva correta. Amigo (a), o gabarito da banca foi a letra B, Alexandre Barbosa Pontes - 717.370.062-00
  • 38.
    37 15. (Prefeitura deTeresina-PI/ NUCEPE/2015) O “Teste do Pezinho” faz parte do Programa Nacional de Triagem Neonatal (PNTN), um programa de saúde publica que foi implantado em 2001, através da Portaria Ministerial Nº 822, de 06/06/01 do Ministério de Saúde e que determina a gratuidade e obrigatoriedade da realização dos testes. Segundo o tema, assinale a alternativa INCORRETA. a) A punção deve ser executada numa das laterais da região plantar do calcanhar. b) A punção de ser realizado no centro do calcanhar. c) Evite o uso de agulhas, pois elas podem atingir estruturas mais profundas do pé como ossos ou vasos de maior calibre. d) O sangramento abundante dificulta a absorção pelo papel, sendo este outro motivo muito frequente de devolução de amostras por coleta inadequada. e) Segure o pé e o tornozelo da criança, envolvendo com o dedo indicador e o polegar todo o calcanhar, de forma a imobilizar, mas não prender a circulação. COMENTÁRIOS: Procedimento de coleta: etapas Luvas de procedimento: Para dar início à coleta da amostra de cada criança, o profissional deve lavar as mãos antes de calçar as luvas de procedimento. As mãos devem ser lavadas e as luvas trocadas novamente a cada novo procedimento de coleta. As luvas devem ser retiradas pelo avesso e desprezadas em recipientes apropriados. Quando estiver portando luvas, não toque outras superfícies como maçanetas, telefones, etc. Não se esqueça, luvas são equipamentos de proteção individual de biossegurança. Posição da criança: Para que haja uma boa circulação de sangue nos pés da criança, suficiente para a coleta, o calcanhar deve sempre estar abaixo do nível do coração. A mãe, o pai ou o acompanhante da criança deverá ficar de pé, segurando a criança na posição de arroto. O profissional que vai executar a coleta deve estar sentado, ao lado da bancada, de frente para o adulto que está segurando a criança. Assepsia:  Realizar a assepsia do calcanhar com algodão ou gaze levemente umedecida com álcool 70%.  Massagear bem o local, ativando a circulação.  Certificar-se de que o calcanhar esteja avermelhado.  Aguardar a secagem completa do álcool. Nunca realizar a punção enquanto existir álcool, porque sua mistura com o sangue leva à diluição da amostra e rompimento dos glóbulos sanguíneos (hemólise).  Nunca utilizar álcool iodado ou antisséptico colorido, porque eles interferem nos resultados de algumas das análises. Punção: A escolha do local adequado da punção é muito importante. Um procedimento seguro evita complicações. A punção deve ser executada numa das laterais da região plantar do calcanhar, locais com pouca possibilidade de se atingir o osso, que caso fosse atingido, poderia levar às complicações mencionadas. Evite o uso de agulhas, pois elas podem atingir estruturas mais profundas do pé como ossos ou vasos de maior calibre, além de provocarem um sangramento abundante que dificulta a absorção pelo papel, sendo este outro motivo muito frequente de devolução de amostras por coleta inadequada. É necessário que a punção seja realizada de forma segura e tranquila. Tenha em mente que um Alexandre Barbosa Pontes - 717.370.062-00
  • 39.
    38 procedimento eficiente iráprevenir recoleta por devolução de amostra inadequada e, consequentemente, evitar transtornos de localização da família para agendamento de nova coleta. Segure o pé e o tornozelo da criança, envolvendo com o dedo indicador e o polegar todo o calcanhar, de forma a imobilizar, mas não prender a circulação. Após a assepsia e secagem do álcool, penetrar num único movimento rápido toda a ponta da lanceta (porção triangular) no local escolhido, fazendo em seguida um leve movimento da mão para a direita e esquerda, para garantir um corte suficiente para o sangramento necessário. Uma punção superficial não produzirá sangramento suficiente para preencher todos os círculos necessários à realização dos testes. Material insuficiente é outra causa frequente de devolução de amostras. Coleta de sangue: Coletas de repetição ou novas punções trazem mais dor e incômodo ao bebê e à família, do que o procedimento eficiente de uma única coleta.  Aguarde a formação de uma grande gota de sangue.  Retire com algodão seco ou gaze esterilizada a primeira gota que se formou. Ela pode conter outros fluidos teciduais que podem interferir nos resultados dos testes.  Encoste o verso do papel filtro na nova gota que se forma na região demarcada para a coleta (círculos) e faça movimentos circulares com o papel, até o preenchimento de todo o círculo.  Deixe o sangue fluir naturalmente e de maneira homogênea no papel, evitando concentração de sangue.  Não permita que ele coagule nem no papel nem no pezinho.  Só desencoste o papel do pezinho quando todo o círculo estiver preenchido.  Não toque com os dedos a superfície do papel na região dos círculos. Qualquer pressão poderá comprimir o papel, absorver menor quantidade de sangue e alterar os resultados dos testes.  Encoste o outro círculo do papel novamente no local do sangramento. Repita o movimento circular até o preenchimento total do novo círculo.  Repita a mesma operação até que todos os círculos estejam totalmente preenchidos.  Jamais retorne um círculo já coletado no sangramento para completar áreas mal preenchidas.  A superposição de camadas de sangue interfere nos resultados dos testes.  Os movimentos circulares com o papel, enquanto o círculo está sendo preenchido, irão permitir a distribuição do sangue por toda a superfície do círculo.  Se houver interrupção no sangramento, aproveite o momento de troca de círculo para massagear novamente a região do calcanhar com algodão levemente umedecido com álcool para ativar novamente a circulação.  Não se esqueça de esperar a secagem completa do álcool do calcanhar do bebê, antes de reiniciar a coleta no outro círculo do papel filtro.  Jamais vire o papel para fazer a coleta dos dois lados.  É necessário que o sangue atravesse toda a camada do papel até que todo o círculo esteja preenchido com sangue de forma homogênea. Fonte: Manual de triagem neonatal. Disponível em: http://bvsms.saude.gov.br/bvs/publicacoes/triagem_neonatal.pdf (página 18-20). De acordo com as informações supracitadas, o gabarito da questão é a letra B. Alexandre Barbosa Pontes - 717.370.062-00
  • 40.
    39 16. (UNIRIO/CESGRANRIO/2016) Imediatamenteapós o nascimento, a necessidade de reanimação neonatal deve ser avaliada, considerando as seguintes perguntas norteadoras: a) Gestação a termo?; Respirando ou Chorando?; Tônus em flexão? b) Gestação a termo?; Respirando ou Chorando?; Apgar > 7? c) Gestação a termo?; Apgar < 7?; Tônus em flexão? d) Gestação a termo?; Apgar < 5?; Tônus em extensão? e) Gestação a termo?; Presença de mecônio?; Respirando ou Chorando? COMENTÁRIOS: Meu amigo (a) concurseiro, de acordo com a Sociedade Brasileira de Pediatria (2016) se, ao nascimento, o RN é de termo (idade gestacional 37-41 semanas), está respirando ou chorando e com tônus muscular em flexão, independentemente do aspecto do líquido amniótico, ele apresenta boa vitalidade e deve continuar junto de sua mãe depois do clampeamento do cordão umbilical. Dessa forma, as questões acima são de extrema importância nos primeiros segundos após o parto porque as decisões quanto à estabilização/reanimação, se necessário, dependem da avaliação simultânea da respiração e da FC. A avaliação da respiração é feita por meio da observação da expansão torácica do RN ou da presença de choro. A respiração espontânea está adequada se os movimentos são regulares e suficientes para manter a FC >100 bpm. Já se o paciente não apresentar movimentos respiratórios, se eles forem irregulares ou o padrão for do tipo gasping (suspiros profundos entremeados por apneias), a respiração está inadequada, logo deve-se realizar a Ventilação em Pressão Positiva (VPP). Esta precisa ser iniciada nos primeiros 60 segundos de vida considerados (“Minuto de Ouro”), pois a ventilação pulmonar é o procedimento mais importante e efetivo na reanimação do RN em sala de parto, e o risco de morte ou morbidade aumenta em 16% a cada 30 segundos de demora para iniciar a VPP até o 6º minuto após o nascimento, de modo independente do peso ao nascer, da idade gestacional ou de complicações na gravidez ou no parto. Segue um esquema abaixo para facilitar o seu entendimento em relação ao conteúdo que aborda a questão: Está estudando? Deixa o celular no silencioso E concentre-se! Alexandre Barbosa Pontes - 717.370.062-00
  • 41.
    40 Fique atento! O boletimde Apgar é determinado no 1º e 5º minutos após a extração completa do produto conceptual do corpo da mãe, mas não é utilizado para indicar procedimentos na reanimação neonatal. Fonte: http://www.sbp.com.br/reanimacao/wpcontent/uploads/2016/01/DiretrizesSBPReanimacaoRNMaior34semanas26jan2016.pdf Fonte: Diretrizes 2016 da Sociedade Brasileira de Pediatria. Portanto, o gabarito da questão é a letra A. Alexandre Barbosa Pontes - 717.370.062-00
  • 42.
    41 17. (UNIRIO/CESGRANRIO/2016) Define-secomo síndrome da morte súbita do lactente o óbito com menos de 1 ano de idade que não for esclarecido por laudo de necropsia, investigação da cena do óbito e revisão do histórico do caso. São fatores de risco para a morte súbita do lactente: a) dormir em decúbito dorsal e em colchão macio. b) usar chupeta e ser do sexo masculino. c) dormir em decúbito dorsal e ser do sexo feminino. d) dormir em decúbito ventral e usar chupeta. e) dormir em decúbito ventral e ter histórico de tabagismo materno. COMENTÁRIOS: Meu amigo concurseiro (a), a banca AOCP utilizou uma questão bem parecida com essa no ano de 2014 no concurso da EBSERH do Hospital Universitário Cassiano Antônio Morais do Espírito Santo, por isso a importância de você estar sempre respondendo questões sobre os conteúdos da prova . Fique atento! A respeito da síndrome da morte súbita infantil, ou síndrome da morte súbita do lactente, que ocorre em crianças menores de 1 ano de idade, dormir em decúbito dorsal - com a barriga voltada para cima - é a posição mais indicada para os bebês de até um ano, recomendada pela Academia Americana de Pediatria (AAP) e pelo Ministério da Saúde brasileiro - que desde 2007 passou a publicar a orientação na caderneta da criança. Além de permitir que o bebê respire melhor, a posição diminui o risco de engasgo, já que permite girar a cabeça para o lado em caso de vômito. Campanhas semelhantes a “Dormir de barriga para cima é mais seguro” já foram divulgadas nos Estados Unidos e na Inglaterra e segundo Cesar Victora, doutor em Epidemiologia pela London School of Hygiene and Tropical Medicine, pesquisador da UFPEL e coordenador do Comitê de Mortalidade Infantil da cidade de Pelotas-RS, há formas de reduzir o risco de morte súbita em bebês e uma delas é deixá-los dormindo de barriga para cima. No entanto, isso ainda é pouco usado pelas mães brasileiras. Fatores de risco que podem contribuir para a morte súbita em lactentes. Com isso, usar chupeta e ser do sexo feminino não são considerados fatores de risco para morte súbita. Fonte: http://www.sbp.com.br/img/documentos/doc_sindrome_msl.pdf Figura - Posição Supina (Pastoral da Criança). Colchões macios ou superfícies moles Posição Ventral Idade da criança entre 2 e 4 meses Sexo masculino Mães com baixa escolaridade Mães tabagistas Pré-natal tardio ou inexistente Mães adolescentes Logo o gabarito da questão é a letra E. Alexandre Barbosa Pontes - 717.370.062-00
  • 43.
    42 18. (UNIRIO/CESGRANRIO/2016) ATriagem Neonatal de Cardiopatia Congênita Crítica, conhecida como Teste do Coraçãozinho, consiste na análise dos valores de oximetria de pulso do membro superior direito e em um dos membros inferiores. O teste deve ser realizado com a participação do enfermeiro, entre 24 e 48 horas antes da alta hospitalar do recém-nascido. A conduta a ser tomada caso o recém-nascido apresente saturação de oxigênio de 90% no primeiro teste é: a) encaminhar para o seguimento neonatal de rotina. b) encaminhar para a UTI neonatal. c) rastrear fatores de risco familiares. d) repetir o teste em 1 hora. e) realizar ultrassonografia. COMENTÁRIOS: Concurseiro (a), o teste do coraçãozinho é a forma simples e rápida de detectar algumas cardiopatias congênitas críticas que não tenham se manifestado. É feito pelo enfermeiro ou pelo médico, antes da alta da maternidade, nos neonatos com mais de 34 semanas de idade gestacional. Consiste em medir a oximetria de pulso no braço direito e em um dos pés. As extremidades precisam estar aquecidas e a onda de plestimografia (relacionada ao pulso) boa e regular. Esse teste não dispensa o exame físico acurado do neonato, que também é eficaz para detectar a maioria das cardiopatias. Se a saturação for maior ou igual a 95% no braço direito e com menos de 3% de diferença na perna, o teste é normal. Anotar o resultado no prontuário e na Caderneta de Saúde da Criança. Se a saturação no braço direito for menor que 95% ou a diferença entre o braço e a perna for maior que 3%, repetir o teste dentro de 1 hora e, se persistir a alteração, o teste é considerado positivo (0,23% dos recém-nascidos) e deve ser solicitado um ecocardiograma nas 24 horas seguintes para afastar cardiopatia. Segue um esquema para fortalecer o seu entendimento: 19. (EBSERH/HU-UFPA/ AOCP/2016) Durante o exame físico do RN pelo enfermeiro do serviço de saúde, na avaliação da boca, foi observada a presença de macroglossia. Qual é o significado desse termo? a) Alteração na coloração do palato. b) Formato irregular da úvula. c) Alteração no formato do freio lingual. Dessa forma, o gabarito da questão é a letra D. Alexandre Barbosa Pontes - 717.370.062-00
  • 44.
    43 d) Crescimento anormalda língua. e) Formato irregular dos lábios superiores. COMENTÁRIOS: Macroglossia é uma condição relativamente incomum, que ocorre em pacientes pediátricos e contribui para uma variedade de problemas funcionais. Mais comumente, a macroglossia decorre do crescimento exagerado do tecido muscular e hipertrofia da língua. Tal condição é vista com frequência na síndrome de Beckwith-Wiedemann. Essa síndrome é uma desordem de crescimento caracterizada pela macrossomia, macroglossia, visceromegalia, tumores embriogênicos (como tumor de Wilms, hepatoblastoma, neuroblastoma e rabdomioblastoma), onfalocele, hiperglicemia neonatal, fístulas auriculares, citomegalia adrenocortical e anormalidades renais. Tem índice de mortalidade ao redor de 20%, principalmente pela prematuridade. A macrossomia e a macroglossia podem estar presente ao nascimento ou aparecerem com o desenvolvimento. Fonte: http://www.abccmf.org.br/Revi/2010/junho/09Macroglossia%20revis%C3%A3o%20da%20literatura.pdf 20. (EBSERH/HU-UFPA/ AOCP/2016) Durante a primeira consulta de puericultura do recém-nascido, o enfermeiro, ao examinar a pele do RN, notou a presença do sinal de arlequim. O que esse achado significa? a) Iatrogenia por uso de coloides ou cristaloides em excesso. b) Presença de doença hemolítica perinatal. c) Palidez em um hemicorpo e eritema do lado oposto, por alteração vasomotora. d) Indicativo de doença cardiorrespiratória grave. e) Possível trauma no momento do parto. COMENTÁRIOS: Meu amigo (a), a coloração em “Arlequin” ou “sinal de Arlequin” é um fenômeno fisiológico que afeta os recém- nascidos nas primeiras 2 a 3 semanas de vida. Resulta da ausência transitória de regulação central do tónus vascular periférico. Traduz-se pelo aparecimento de eritema no hemicorpo e palidez no outro hemicorpo, separados pela linha média. É uma divisão no corpo, da testa até o púbis, onde uma metade torna-se rosada e a outra com palidez. É um fenômeno vasomotor transitório, como já foi dito anteriormente, e não traduz dano ao RN. Esta situação pode ser difícil de visualizar já que os episódios têm curta duração (de alguns segundos a 20 minutos) e desaparecem rapidamente após aquecimento ou mudança de posição. Mas ATENÇÃO: para você não confundir com "feto de arlequim", que é uma situação muito grave de descamação cutânea, por isso vamos relembrar que é um distúrbio genético hereditário autossômico recessivo que afeta a pele e também pode ser denominada de “Ictiose Arlequim” e a sua principal característica é o engrossamento da camada de queratina na pele fetal. O recém-nascido é coberto por placas de uma pele grossa que racha e se parte. As finas placas podem esticar e repuxar a pele do rosto e distorcer as suas características faciais, bem como restringir a capacidade de respiração e alimentação. As fissuras facilitam a entradas de agentes contaminantes levando a maior risco de infeções. Geralmente, os bebês que nascem com ictiose arlequim morrem poucas semanas após o nascimento ou sobrevivem no máximo até os 3 Portanto, o gabarito da questão é a letra D. Alexandre Barbosa Pontes - 717.370.062-00
  • 45.
    44 anos de idade.E o nome da doença vem da expressão facial do bebé e da forma de diamante das escamas que lembra as fantasias de arlequim. Fonte: http://repositorio.chporto.pt/bitstream/10400.16/1231/1/AlteracoesCutaneas_18-1.pdf Bebê com “Ictiose Arlequim”. Fonte: http://asdoencasraras.blogspot.com/2012/10/blog-post_24.html Dessa forma, o gabarito da questão é a letra C. Alexandre Barbosa Pontes - 717.370.062-00
  • 46.
    45 “Estudar em grupopode ser uma estratégia importante, mas precisamos desenvolvê-la com prudência, pois o estudo individualizado a nossas necessidades deve ser a base. Podemos estudar alguns temas complexos ou revisões em grupo em um horário que não comprometa nosso planejamento individual.” _______________________________ Chegamos ao final de mais uma aula! Mantenha o foco em seus objetivos! Até a próxima aula. Profº. Rômulo Passos Profª. Cássia Moésia Profª. Joanna Mello Profª. Raiane Ribeiro Profª. Sthephanie Abreu Alexandre Barbosa Pontes - 717.370.062-00
  • 47.
    46 GABARITO 1. A 2. C 3.C 4. D 5. B 6. D 7. B 8. D 9. D 10. B 11. A 12. B 13. E 14. N ULA 15. B 16. A 17. E 18. D 19. D 20. C Alexandre Barbosa Pontes - 717.370.062-00
  • 48.
    1 REFERÊNCIAS http://189.28.128.100/dab/docs/publicacoes/cadernos_ab/caderno_33.pdf http://www.redeblh.fiocruz.br/media/arn_v2.pdf http://bvsms.saude.gov.br/bvs/publicacoes/triagem_neonatal.pdf http://bvsms.saude.gov.br/bvs/publicacoes/triagem_neonatal_biologica_manual_tecnico.pdf http://bvsms.saude.gov.br/bvs/publicacoes/atencao_saude_recem_nascido_profissionais_v1.pdf http://bvsms.saude.gov.br/bvs/publicacoes/atencao_saude_recem_nascido_profissionais_v2.pdf http://bvsms.saude.gov.br/bvs/publicacoes/atencao_saude_recem_nascido_profissionais_v3.pdf http://bvsms.saude.gov.br/bvs/publicacoes/atencao_saude_recem_nascido_profissionais_v4.pdf http://www.saude.gov.br/editora/produtos/livros/pdf/04_0808_M1.pdf http://bvsms.saude.gov.br/bvs/publicacoes/crescimento_desenvolvimento.pdf http://bvsms.saude.gov.br/bvs/publicacoes/caderneta_saude_crianca_menino.pdf http://189.28.128.100/nutricao/docs/geral/manual_desnutricao_criancas.pdf http://bvsms.saude.gov.br/bvs/publicacoes/diretrizes_atencao_triagem_auditiva_neonatal.pdf http://www.sbp.com.br/reanimacao/wpcontent/uploads/2016/01/DiretrizesSBPReanimacaoRNMaior34 semanas26jan2016.pdf http://bvsms.saude.gov.br/bvs/publicacoes/diretrizes_estimulacao_criancas_0a3anos_neuropsicomotor. pdf http://bvsms.saude.gov.br/bvs/publicacoes/diretrizes_atencao_saude_ocular_infancia.pdf Alexandre Barbosa Pontes- 717.370.062-00