DROGAS COM ALCALÓIDES
TROPANICOS
Hélio de Mattos Alves
hemattos@gmail.com
Dezembro 2021
FAMÍLIA SOLANACEA
FAMÍLIA
ERITROXILACEA
beladona
estramonio
meimendro
trombeteira
família Solanácea
Chemical Compounds, Pharmacological and Toxicological Activity
of Brugmansia suaveolens: A Review - Plants (Basel). 2020 Sep; 9(9):
1161. Published online 2020 Sep 8
EXTRAÇÃO
Material vegetal
Alcalinização
(NH4OH, Na2CO3, Ca(OH)2)
Solução aquosa ácida
(HCl, H3PO4, CH3COOH)
Bases livres
Extrato orgânico
Solvente orgânico
Extrato aquoso
(sais de alcaloides)
Solução ácida diluída
Alcaloides totais
Alcalinização
Solvente orgânico
MEIO ALCALINO MEIO ÁCIDO
Sais de alcaloides
Bases livres
Alcalinização (NH4OH)
Solvente orgânico
Alcaloides totais
ALCALOIDES TROPÂNICOS
alcaloides TROPÂNICOS
• Derivados da L-ornitina
• Estrutura comum bicíclica: tropano-8-metil-8-azabiciclo[3,2,1]octano
• Anel tropânico: anel pirrolidina + anel piperidina
• Dependendo da posição  ou  da OH em C-3, define-se 2 isômeros
geométricos: tropanol (tropina) e pseudotropanol (pseudotropina)
cocaína
1 2
3
4
5
6
7
8
alcaloides TROPÂNICOS
• Conhecidos cerca de 40 alcaloides tropânicos
• Encontrados nas famílias Solanaceae (tipo atropina) e Erythroxylaceae (tipo
cocaína)
• Protótipos para fármacos anticolinérgicos e anestésicos
• Os principais são atropina (hiosciamina), escopolamina e cocaína
• alcaloides de maior importância farmacêutica possuem esterificação de OH com
ácidos aromáticos
atropina
escopolamina
COCA
Erythroxylum coca var. coca
COCA
família Erythroxylaceae
( Erythroxylum coca)
origem
cocaína atropina
Erythoxylum coca
Coca
A concentração de cocaína na folha de coca é muito baixa (0,1% e 0,8%
ou 0,11 mg a 2,93 mg por saquinho de chá)
Para obter um grama de cocaína da infusão de folhas de cocaína pura
levaria cerca de 500 saquinhos de mate de coca
A temperatura ideal para o crescimento da planta entre 18 -25 graus Celsius
. Temperaturas baixas inibem o crescimento do vegetal e em altas
temperaturas as folhas ficam muito secas e acabam caindo.
A altitude ideal para o crescimento da planta é entre 500 – 2000 metros de
altitude. Nessa faixa de altitude e clima a Erythroxylum coca cresce com
altos teores de cocaína. Em solos pobres em nitrogênio e abaixo do nível do
mar ou em altitudes maiores os níveis de cocaína
A humidade adequada para Erythroxylum é entre 80% e 90%. A humidade é
uma das condições mais importantes e críticos para a planta, que prefere a
crescer em ambientes de umidade muito elevada
Fonte: Química Nova - Print version ISSN 0100-4042 - Quím.
Nova vol.37 no.9 São Paulo 2014 - http://dx.doi.org/10.5935/0100-
4042.20140240
Cobalt thiocyanate reagent revisited for cocaine identification on TLC - New
Journal of Chemistry (RSC Publishing)
IDENTIFICAÇÃO DE COCAÍNA EM AMOSTRAS DE PRODUTO
Reação colorimétrica:
a) Reativo de Tiocianato de cobalto - Colocar uma pequena quantidade (ponta de uma
pequena espátula) do pó suspeito em um eppendorf, ou placa escavada. Adicionar 2 gotas
de tiocianato de cobaltoglicerinado. Coloração azul indica indícios sugestivos da possível
presença de cocaína
b) .b) Reação de Scott - acrescentar 2 gotas de HCl 6N no eppendorf ou placa escavada que
foram utilizados para a reação do tiocianato. Homogeneizar bem até ficar na cor rosa
clara.Adicionar algumas gotas de clorofórmio P.A. Coloração azul indica indícios sugestivos
da possível presença de cocaína.OBS: É importante utilizar sempre as mesmas
quantidades de tiocianato de cobaltoglicerinado 2% e ácido clorídrico 6N.
Reagentes:Reativo de Tiocianato de Cobalto:
pesar 1 g de cloreto de cobalto, mais 1,5 g detiocianato de sódio ou potássio e misturar em
90 mL de água destilada. Adicionar glicerina na mesma proporção do reativo.
Reativo de Scott:
HCl 6N: mistura-se mesmo volume de ácido clorídrico concentrado com água destilada
cocaína
procaína
lidocaína ou xilocaína
alcaloides TROPÂNICOS
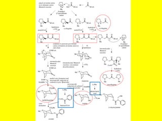
BIOGÊNESE:
• Anel pirrolidina: L-arginina ou L-ornitina formam o sal N-metil-1-pirrolíneo
• O sal, fonte de N dos alcaloides tropânicos, condensa-se com 2 moléculas de
ácido acético ativo (acetoacetato) formando o ácido cetocarbônico N-metil-
pirrolidínico (A), que completa o anel piperidínico, o qual por descarboxilação
forma D-(+)-higrina (B)
• A partir de (A) pode-se formar a ecgonina ou o pseudotropanol, enquanto que a
partir de (B) pode-se formar o tropanol
• A formação de atropina (hiosciamina), escopolamina e cocaína tem a mesma
origem biogenética
Núcleo tropânico esterificados com ácidos aromáticos:
ácidos atrópico, benzoico, cinâmico, isovalérico, d-α-metilbutírico,
tíglico, trópico, truxílico e verátrico
os ácidos aromáticos que são condensados ao núcleo tropânico são
originados a partir da fenilalanina, por meio de desaminação
oxidativa
fenilalanina → ácido trópico
alcaloides TROPÂNICOS
alcaloides TROPÂNICOS
PROPRIEDADES
• hiosciamina= isômero levógiro formado a partir do ácido (-)-trópico
alcaloides TROPÂNICOS
PROPRIEDADES
• atropina= mistura racêmica de R,S-hiosciamina (não existe na planta fresca)
Durante colheita, secagem e extração, R,S-hiosciamina transforma-se facilmente
em atropina
• Sulfato de atropina
alcaloides TROPÂNICOS
PROPRIEDADES
• escopolamina= estereoisômero levorrotatório (S-(-)-escopolamina = hioscina)
→ em meio alcalino, ocorre racemização → mistura atroscina
• Bromidrato ou butilbrometo
CARACTERIZAÇÃO DOS ALCALÓIDES
• Além de reações de precipitação, podem ser analisados preliminarmente por CCD,
usando reveladores gerais (Dragendorff, iodo-iodeto ou iodoplatinato)
alcaloides TROPÂNICOS
EXTRAÇÃO E CARACTERIZAÇÃO
• Extração clássica ácido/base
• Caracterização por reativos gerais para alcaloides
• Reação de Vitali e Morin:
Alcaloides tropânicos → HNO3 conc. → KOH/EtOH → coloração púrpura →
vermelho escuro → incolor
• Reação de Vitali-Morin:
usar KOH/acetona → aumenta sensibilidade
Reação é pouco específica
http://www.sbfgnosia.org.br/Ensino/drogas_com_alcaloides.html
piperina
ALCALOIDES TROPÃNICOS.pptx
ALCALOIDES TROPÃNICOS.pptx

ALCALOIDES TROPÃNICOS.pptx

  • 1.
    DROGAS COM ALCALÓIDES TROPANICOS Héliode Mattos Alves hemattos@gmail.com Dezembro 2021
  • 2.
  • 3.
  • 17.
    Chemical Compounds, Pharmacologicaland Toxicological Activity of Brugmansia suaveolens: A Review - Plants (Basel). 2020 Sep; 9(9): 1161. Published online 2020 Sep 8
  • 19.
    EXTRAÇÃO Material vegetal Alcalinização (NH4OH, Na2CO3,Ca(OH)2) Solução aquosa ácida (HCl, H3PO4, CH3COOH) Bases livres Extrato orgânico Solvente orgânico Extrato aquoso (sais de alcaloides) Solução ácida diluída Alcaloides totais Alcalinização Solvente orgânico MEIO ALCALINO MEIO ÁCIDO Sais de alcaloides Bases livres Alcalinização (NH4OH) Solvente orgânico Alcaloides totais
  • 20.
  • 21.
    alcaloides TROPÂNICOS • Derivadosda L-ornitina • Estrutura comum bicíclica: tropano-8-metil-8-azabiciclo[3,2,1]octano • Anel tropânico: anel pirrolidina + anel piperidina • Dependendo da posição  ou  da OH em C-3, define-se 2 isômeros geométricos: tropanol (tropina) e pseudotropanol (pseudotropina) cocaína 1 2 3 4 5 6 7 8
  • 22.
    alcaloides TROPÂNICOS • Conhecidoscerca de 40 alcaloides tropânicos • Encontrados nas famílias Solanaceae (tipo atropina) e Erythroxylaceae (tipo cocaína) • Protótipos para fármacos anticolinérgicos e anestésicos • Os principais são atropina (hiosciamina), escopolamina e cocaína • alcaloides de maior importância farmacêutica possuem esterificação de OH com ácidos aromáticos atropina escopolamina
  • 23.
  • 24.
    Erythroxylum coca var.coca COCA família Erythroxylaceae ( Erythroxylum coca) origem
  • 25.
  • 28.
  • 29.
    A concentração decocaína na folha de coca é muito baixa (0,1% e 0,8% ou 0,11 mg a 2,93 mg por saquinho de chá) Para obter um grama de cocaína da infusão de folhas de cocaína pura levaria cerca de 500 saquinhos de mate de coca
  • 30.
    A temperatura idealpara o crescimento da planta entre 18 -25 graus Celsius . Temperaturas baixas inibem o crescimento do vegetal e em altas temperaturas as folhas ficam muito secas e acabam caindo. A altitude ideal para o crescimento da planta é entre 500 – 2000 metros de altitude. Nessa faixa de altitude e clima a Erythroxylum coca cresce com altos teores de cocaína. Em solos pobres em nitrogênio e abaixo do nível do mar ou em altitudes maiores os níveis de cocaína A humidade adequada para Erythroxylum é entre 80% e 90%. A humidade é uma das condições mais importantes e críticos para a planta, que prefere a crescer em ambientes de umidade muito elevada
  • 43.
    Fonte: Química Nova- Print version ISSN 0100-4042 - Quím. Nova vol.37 no.9 São Paulo 2014 - http://dx.doi.org/10.5935/0100- 4042.20140240
  • 44.
    Cobalt thiocyanate reagentrevisited for cocaine identification on TLC - New Journal of Chemistry (RSC Publishing)
  • 45.
    IDENTIFICAÇÃO DE COCAÍNAEM AMOSTRAS DE PRODUTO Reação colorimétrica: a) Reativo de Tiocianato de cobalto - Colocar uma pequena quantidade (ponta de uma pequena espátula) do pó suspeito em um eppendorf, ou placa escavada. Adicionar 2 gotas de tiocianato de cobaltoglicerinado. Coloração azul indica indícios sugestivos da possível presença de cocaína b) .b) Reação de Scott - acrescentar 2 gotas de HCl 6N no eppendorf ou placa escavada que foram utilizados para a reação do tiocianato. Homogeneizar bem até ficar na cor rosa clara.Adicionar algumas gotas de clorofórmio P.A. Coloração azul indica indícios sugestivos da possível presença de cocaína.OBS: É importante utilizar sempre as mesmas quantidades de tiocianato de cobaltoglicerinado 2% e ácido clorídrico 6N. Reagentes:Reativo de Tiocianato de Cobalto: pesar 1 g de cloreto de cobalto, mais 1,5 g detiocianato de sódio ou potássio e misturar em 90 mL de água destilada. Adicionar glicerina na mesma proporção do reativo. Reativo de Scott: HCl 6N: mistura-se mesmo volume de ácido clorídrico concentrado com água destilada
  • 49.
  • 50.
    alcaloides TROPÂNICOS BIOGÊNESE: • Anelpirrolidina: L-arginina ou L-ornitina formam o sal N-metil-1-pirrolíneo • O sal, fonte de N dos alcaloides tropânicos, condensa-se com 2 moléculas de ácido acético ativo (acetoacetato) formando o ácido cetocarbônico N-metil- pirrolidínico (A), que completa o anel piperidínico, o qual por descarboxilação forma D-(+)-higrina (B) • A partir de (A) pode-se formar a ecgonina ou o pseudotropanol, enquanto que a partir de (B) pode-se formar o tropanol • A formação de atropina (hiosciamina), escopolamina e cocaína tem a mesma origem biogenética
  • 52.
    Núcleo tropânico esterificadoscom ácidos aromáticos: ácidos atrópico, benzoico, cinâmico, isovalérico, d-α-metilbutírico, tíglico, trópico, truxílico e verátrico os ácidos aromáticos que são condensados ao núcleo tropânico são originados a partir da fenilalanina, por meio de desaminação oxidativa fenilalanina → ácido trópico alcaloides TROPÂNICOS
  • 54.
    alcaloides TROPÂNICOS PROPRIEDADES • hiosciamina=isômero levógiro formado a partir do ácido (-)-trópico
  • 55.
    alcaloides TROPÂNICOS PROPRIEDADES • atropina=mistura racêmica de R,S-hiosciamina (não existe na planta fresca) Durante colheita, secagem e extração, R,S-hiosciamina transforma-se facilmente em atropina • Sulfato de atropina
  • 56.
    alcaloides TROPÂNICOS PROPRIEDADES • escopolamina=estereoisômero levorrotatório (S-(-)-escopolamina = hioscina) → em meio alcalino, ocorre racemização → mistura atroscina • Bromidrato ou butilbrometo
  • 57.
    CARACTERIZAÇÃO DOS ALCALÓIDES •Além de reações de precipitação, podem ser analisados preliminarmente por CCD, usando reveladores gerais (Dragendorff, iodo-iodeto ou iodoplatinato)
  • 58.
    alcaloides TROPÂNICOS EXTRAÇÃO ECARACTERIZAÇÃO • Extração clássica ácido/base • Caracterização por reativos gerais para alcaloides • Reação de Vitali e Morin: Alcaloides tropânicos → HNO3 conc. → KOH/EtOH → coloração púrpura → vermelho escuro → incolor • Reação de Vitali-Morin: usar KOH/acetona → aumenta sensibilidade Reação é pouco específica
  • 60.
  • 66.