Tecnologia do Petróleo e Gás
Prof. Anderson Pontes
Introdução
 A origem da palavra petróleo é latina.
 petra (pedra) ; oleum (óleo).
 Há diversas referências históricas sobre a utilização do
petróleo;
 Noé utilizou o piche na Arca.
 A mãe de Moisés utilizou o piche para untar a arca que salvou
seu filho.
 Os romanos utilizavam o petróleo como óleo para lamparina,
no templo de Júpiter.
 Os índios da América do Norte utilizavam o petróleo como
“remédio” para as mais diversas enfermidades.
Histórico
 O primeiro poço de petróleo é datado de 27 de agosto
de 1859 e a pessoa que é responsável por esse poço, é o
americano Edwin L. Drake. O poço tinha 21 metros de
profundidade e tinha uma produção diária de 840 galões.
 Primeiramente, o petróleo substitui o óleo de baleia para
iluminar as noites americanas.
 No início do século XX o mercado petrolífero explodiu.
As primeiras perfurações no mar foram realizadas e foi
descoberto petróleo em grande quantidade nas arábias,
fato que determinou o preço do petróleo.
 Em 1960, surge a OPEP (Organização dos Países
Exportadores de Petróleo)
O petróleo no Brasil
 Em 1858, na Bahia, foram concedidas as primeiras
concessões para pesquisa e lavra. Essa região próxima a
Ilhéus é conhecida como Bacia de Caramuru.
 Em 1938, o governo brasileiro criou a CNP, o Conselho
Nacional do Petróleo.
 Em 1953, GetúlioVargas institui o monopólio estatal para
exploração e produção de petróleo, com a criação da
Petrobrás.
 Em sua criação, a Petrobrás é responsável pela pesquisa,
lavra, transporte, refino, importação e exportação de
petróleo e seus derivados.
 A lei 9.748/97, a Lei do Petróleo foi sancionada pelo
Presidente Fernando Henrique Cardoso. A lei reafirma
o monopólio estatal do petróleo da União nas atividades
relacionadas à exploração, produção, refino e transporte
do petróleo no Brasil, mas também passa a permitir que,
além da Petrobrás, outras empresas constituídas sob as
leis brasileiras e com sede no Brasil passem a atuar em
todos os elos da cadeia do petróleo.
 Até o advento desta lei, outras empresas só podiam atuar
no downstream isto é, apenas na venda dos derivados do
petróleo.
 A lei também previu a criação de dois órgãos:
 O Conselho Nacional de Política Energética (CNPE),
órgão de assessoria e consulta da Presidência da
República, com a atribuição de propor políticas para o
setor petrolífero;
 A Agência Nacional do Petróleo (ANP), órgão regulador
da indústria do petróleo e responsável pela definição
de diretrizes para a participação do setor privado na
pesquisa, exploração, refino, exportação e importação de
petróleo e derivados.
Subsidiárias da Petrobrás
 Petrobras Distribuidora:A Petrobras Distribuidora atua
na distribuição, comercialização e industrialização de
produtos de petróleo e derivados, além de atividades de
importação e exportação.
 Petrobras Biocombustível: Tem a missão de produzir
biocombustíveis com responsabilidade social e ambiental,
contribuindo para a diversificação da matriz energética
brasileira e a redução da emissão dos gases de efeito
estufa, promovendo o desenvolvimento das regiões em
que atua.
 Transpetro: A Petrobras Transporte S.A atende às
atividades de transporte e armazenamento de petróleo e
derivados, álcool, biocombustíveis e gás natural. É
responsável por mais de 14 mil km de dutos – entre
oleodutos e gasodutos – que interligam todas as regiões
brasileiras e abastecem os mais distantes pontos do país.
 Liquigás:A Liquigás Distribuidora atua no engarrafamento,
distribuição e comercialização de gás liquefeito de
petróleo (GLP).
O petróleo
 É definido como uma mistura complexa de
hidrocarbonetos e quantidade variável de outros
compostos. Quando ocorre no estado líquido, é chamado
de óleo cru, e quando no estado gasoso é chamado de
condensado.
O petróleo
Petróleo
C H S N
Ouros
elementos
Ni
Vn
Cr
O petróleo
 A composição do petróleo é descrita, geralmente, em
termos de proporção de hidrocarbonetos saturados,
hidrocarbonetos aromáticos e não-hidrocarbonetos.
 Hidrocarbonetos saturados:
 Alcanos normais (parafinas normais ou n-alcanos).
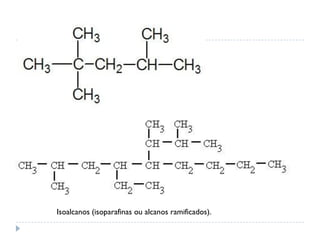
 Isoalcanos (isoparafinas ou alcanos ramificados).
 Cicloalcanos (Alcanos cíclicos ou naftênicos).
Alcanos normais (parafinas normais ou n-alcanos).
Isoalcanos (isoparafinas ou alcanos ramificados).
Cicloalcanos (Alcanos cíclicos ou naftênicos).
Fração do Petróleo Número de Carbonos
Gás Residual 1 – 2
GLP 3 – 4
Gasolina 5 – 10
Querosene 11 – 12
Gasóleo leve 13 – 17
Gasóleo pesado 18 – 25
Lubrificantes gerais 26 – 38
Asfalto, piche,
impermeabilizante
38 +
* A medida que a quantidade de átomos de C aumenta
na cadeia, o estado físico do composto varia.
 Hidrocarbonetos aromáticos:
 Benzeno.
 Naftaleno.
 Antraceno
 Fenatreno
 Tolueno
 Xileno
 Outros compostos:
 Compostos NSO.
 Metais pesados.
 Compostos organometálicos.
 * A proporção de resinas e asfaltenos no petróleo está
inteiramente ligada a viscosidade do óleo crú.
 Asfaltenos e resinas são frações pesadas de fluidos de
petróleos, com atividade superficial e comportamento coloidal,
e podem causar sérios problemas durante a produção de
petróleo.
Classificação do petróleo
 Existem basicamente dois tipos de classificações de óleo.
 A primeira baseia-se na composição e propriedades
fisico-quimicas do óleo (densidade, viscosidade, etc.) e são
voltadas para a área de produção e refino.
 Densidade: Relação existente entre a massa de petróleo e o
volume ocupado por essa massa. Geralmente é comparada
com a densidade da água.
 Viscosidade: Capacidade que um fluido tem de se opor ao
escoamento.
Classificação do petróleo
 A segunda, baseia-se na composição do óleo cru,
sendo voltada para a área de origem e evolução
do petróleo.
 Parafínicos (>70% parafinas)
 Parafínicos-Naftênicos (50-70% parafinas, >20?
Naftênicos)
 Naftênicos (>70% naftênicos)
 Aromáticos intermediários (>50% aromáticos)
 Aromático-asfálticos (>35% asfaltenos e resinas, > 60%
aromáticos
 Aromático-naftênicos. (>35% naftênicos, >60%
aromáticos)
Parafínicos Naftênicos Aromáticos
QAV Gasolina Gasolina
Diesel Nafta Petroquímica Solventes
Lubrificantes QAV Asfaltos
Parafinas Lubrificantes Coque
Classificação do petróleo
 Os óleo também são chamados de leves ou pesados.
 Óleo leve: menos denso que a água
 Òleo pesado: mais denso que a água.
O gás natural
 “Gás natural é todo hidrocarboneto que permaneça em
estado gasoso nas condições atmosféricas normais,
extraído diretamente de reservatórios petrolíferos ou
gaseíferos, incluindo gases secos, úmidos, residuais e gases
raros.” - lei nº 8.478/97
 Mistura de hidrocarbonetos leves encontrada no subsolo,
no qual o metano tem uma participação superior a 70%
em volume e contém outros gases como nitrogênio,
etano, gás carbônico ou restos de propano e butano.
 Densidade < 1, e poder calorífico alto, cerca de 8.000 a
10.000 kcal/m³.
 O poder calorífico é a quantidade de energia por unidade de massa (ou
de volume, no caso dos gases) liberada na oxidação de um determinado
combustível.
 Na indústria, é largamente utilizado como combustível
para fornecimento de calor, geração de eletricidade e de
força motriz, como matéria-prima nos setores químico,
petroquímico e de fertilizantes, e como redutor
siderúrgico na fabricação do aço. Na área de transportes
é utilizado como combustíveis para carros e ônibus, em
substituição ao álcool, gasolina e diesel.
Classificação do Gás Natural
 Os gases são classificados como gás seco ou gás úmido.
 Gás seco: Composto essencialmente por metano
 Gás úmido: Além do metano, possuem etano, propano e butano
em proporção variável.
 Os gases também são classificados como associados e
não-associados.
 Associados: Gás que está dissolvido no óleo e precisa ser
separado. Ex: CO2, H2S, He, H.
 Não-associado: Gás que ocorre naturalmente no reservatório.
Ex:Vapor d’água, H.
Origem do petróleo
 A teoria de formação do petróleo mais aceita é a
chamada “Teoria orgânica”.
 “Materiais orgânicos teriam sido cobertos por uma
camada de material impermeável, com o ar sendo
excluído, sobreveio a fermentação e a lenta deterioração
durante centenas de milhares de anos que transformou a
matéria orgânica em petróleo.”
Geologia
 Geologia é a ciência natural que, através das ciências
exatas e básicas e de todas as suas ferramentas, investiga
o meio natural do planeta.
 Estudo das características do interior e da superfície da Terra
 Compreensão dos processos físicos, químicos e físico-químicos
que levaram a Terra a ser como é hoje.
 Utilizar os materiais e fenômenos geológicos como fonte de
matéria prima e energia para melhoria da qualidade de vida da
sociedade.
Bacia Sedimentar e Rochas principais
 Bacia Sedimentar são depressões existentes abaixo da
superfície que com o tempo foram sendo preenchidas
por substâncias como resto de animais, materiais
referentes a ação da erosão e materiais depositados nos
corpos d’água.
 Rochas Sedimentares se formam a partir do acúmulo de
materiais provenientes de outras rochas que existiram
antes delas.
Geologia do Petróleo
 A formação de uma acumulação de petróleo em uma
bacia sedimentar requer uma associação de diversos
fatores:
 Existência de rochas ricas em matéria orgânica, chamada de
rocha geradora.
 As rochas geradoras devem ser submetidas a condições
adequadas para geração do petróleo.
 Existência de rochas com porosidade e permeabilidade
necessárias á acumulação e produção do petróleo, denominada
de rochas reservatório.
 Presença de condições favoráveis á migração do petróleo da
rocha geradora até a rocha reservatório.
 A existência de uma rocha impermeável que retenha o
petróleo, denominada de rocha selante.
 Arranjo geométrico das rochas reservatório e selante que
favoreça a acumulação de um volume significativo de petróleo.
Rocha Geradora
 Uma rocha geradora deve possuir matéria orgânica
(chamada de querogênio) em quantidade e qualidade
adequadas e submetidas ao estado de evolução térmica
necessário para degradação da matéria orgânica.
 Uma rocha geradora deve conter entre 0,5 a 1,0% de teor de
carbono orgânico total (COT).
 A medida que a bacia sedimentar aumenta seu tamanho o
o querogênio é soterrado a maiores profundidades. O
aumento da temperatura acarreta na degradação térmica
do querogênio em petróleo.
 Com a degradação térmica, o petróleo recém formado, é
expulso da rocha geradora, (processo conhecido como
migração primária) e se desloca através do meio poroso
até as trapas (processo conhecido como migração
secundária).
 * As substâncias contaminantes do petróleo são formadas
através da degradação térmica do querogênio.
 [imagem de exemplo]
Rocha Reservatório
 Rocha que possui porosidade e permeabilidade adequadas
a acumulação de petróleo.
 Porosidade: porcentagem em volume de espaços vazios em
uma rocha. Uma rocha que tem de 15 a 20% possui uma boa
porosidade.
 Permeabilidade: Capacidade da rocha de transmitir fluido. É
controlada principalmente pela quantidade, geometria e o grau
de conectividade dos poros. A maior parte dos reservatórios
possui uma permeabilidade considerada boa.
 A maior parte das reservas conhecidas encontram-se em
arenitos e rochas carbonáticas.
 * a definição da estratégia de produção, bem como o
cálculo das reservas de uma jazida, requerem um
conhecimento detalhado da qualidade e continuidade do
reservatório em três dimensões.
Trapas
 Trapas são situações geológicas em que o arranjo espacial
das rochas reservatório e selante possibilita a acumulação
de petróleo.
 As rochas selantes são as responsáveis pela retenção do
petróleo nas trapas. Devem apresentar baixa
permeabilidade e alta pressão, de modo a impedir a
migração vertical do petróleo.
 * A composição do petróleo pode sofrer variação na
trapa, devido a uma série de fatores de alteração.

Introdução a Tecnologia do Petróleo e Gás

  • 1.
    Tecnologia do Petróleoe Gás Prof. Anderson Pontes
  • 2.
    Introdução  A origemda palavra petróleo é latina.  petra (pedra) ; oleum (óleo).  Há diversas referências históricas sobre a utilização do petróleo;  Noé utilizou o piche na Arca.  A mãe de Moisés utilizou o piche para untar a arca que salvou seu filho.  Os romanos utilizavam o petróleo como óleo para lamparina, no templo de Júpiter.  Os índios da América do Norte utilizavam o petróleo como “remédio” para as mais diversas enfermidades.
  • 3.
    Histórico  O primeiropoço de petróleo é datado de 27 de agosto de 1859 e a pessoa que é responsável por esse poço, é o americano Edwin L. Drake. O poço tinha 21 metros de profundidade e tinha uma produção diária de 840 galões.  Primeiramente, o petróleo substitui o óleo de baleia para iluminar as noites americanas.  No início do século XX o mercado petrolífero explodiu. As primeiras perfurações no mar foram realizadas e foi descoberto petróleo em grande quantidade nas arábias, fato que determinou o preço do petróleo.
  • 4.
     Em 1960,surge a OPEP (Organização dos Países Exportadores de Petróleo)
  • 5.
    O petróleo noBrasil  Em 1858, na Bahia, foram concedidas as primeiras concessões para pesquisa e lavra. Essa região próxima a Ilhéus é conhecida como Bacia de Caramuru.  Em 1938, o governo brasileiro criou a CNP, o Conselho Nacional do Petróleo.  Em 1953, GetúlioVargas institui o monopólio estatal para exploração e produção de petróleo, com a criação da Petrobrás.  Em sua criação, a Petrobrás é responsável pela pesquisa, lavra, transporte, refino, importação e exportação de petróleo e seus derivados.
  • 6.
     A lei9.748/97, a Lei do Petróleo foi sancionada pelo Presidente Fernando Henrique Cardoso. A lei reafirma o monopólio estatal do petróleo da União nas atividades relacionadas à exploração, produção, refino e transporte do petróleo no Brasil, mas também passa a permitir que, além da Petrobrás, outras empresas constituídas sob as leis brasileiras e com sede no Brasil passem a atuar em todos os elos da cadeia do petróleo.  Até o advento desta lei, outras empresas só podiam atuar no downstream isto é, apenas na venda dos derivados do petróleo.
  • 7.
     A leitambém previu a criação de dois órgãos:  O Conselho Nacional de Política Energética (CNPE), órgão de assessoria e consulta da Presidência da República, com a atribuição de propor políticas para o setor petrolífero;  A Agência Nacional do Petróleo (ANP), órgão regulador da indústria do petróleo e responsável pela definição de diretrizes para a participação do setor privado na pesquisa, exploração, refino, exportação e importação de petróleo e derivados.
  • 8.
    Subsidiárias da Petrobrás Petrobras Distribuidora:A Petrobras Distribuidora atua na distribuição, comercialização e industrialização de produtos de petróleo e derivados, além de atividades de importação e exportação.
  • 9.
     Petrobras Biocombustível:Tem a missão de produzir biocombustíveis com responsabilidade social e ambiental, contribuindo para a diversificação da matriz energética brasileira e a redução da emissão dos gases de efeito estufa, promovendo o desenvolvimento das regiões em que atua.
  • 10.
     Transpetro: APetrobras Transporte S.A atende às atividades de transporte e armazenamento de petróleo e derivados, álcool, biocombustíveis e gás natural. É responsável por mais de 14 mil km de dutos – entre oleodutos e gasodutos – que interligam todas as regiões brasileiras e abastecem os mais distantes pontos do país.
  • 11.
     Liquigás:A LiquigásDistribuidora atua no engarrafamento, distribuição e comercialização de gás liquefeito de petróleo (GLP).
  • 12.
    O petróleo  Édefinido como uma mistura complexa de hidrocarbonetos e quantidade variável de outros compostos. Quando ocorre no estado líquido, é chamado de óleo cru, e quando no estado gasoso é chamado de condensado.
  • 13.
    O petróleo Petróleo C HS N Ouros elementos Ni Vn Cr
  • 14.
    O petróleo  Acomposição do petróleo é descrita, geralmente, em termos de proporção de hidrocarbonetos saturados, hidrocarbonetos aromáticos e não-hidrocarbonetos.  Hidrocarbonetos saturados:  Alcanos normais (parafinas normais ou n-alcanos).  Isoalcanos (isoparafinas ou alcanos ramificados).  Cicloalcanos (Alcanos cíclicos ou naftênicos).
  • 15.
    Alcanos normais (parafinasnormais ou n-alcanos).
  • 16.
    Isoalcanos (isoparafinas oualcanos ramificados).
  • 17.
  • 18.
    Fração do PetróleoNúmero de Carbonos Gás Residual 1 – 2 GLP 3 – 4 Gasolina 5 – 10 Querosene 11 – 12 Gasóleo leve 13 – 17 Gasóleo pesado 18 – 25 Lubrificantes gerais 26 – 38 Asfalto, piche, impermeabilizante 38 + * A medida que a quantidade de átomos de C aumenta na cadeia, o estado físico do composto varia.
  • 19.
     Hidrocarbonetos aromáticos: Benzeno.  Naftaleno.  Antraceno  Fenatreno  Tolueno  Xileno
  • 20.
     Outros compostos: Compostos NSO.  Metais pesados.  Compostos organometálicos.
  • 21.
     * Aproporção de resinas e asfaltenos no petróleo está inteiramente ligada a viscosidade do óleo crú.  Asfaltenos e resinas são frações pesadas de fluidos de petróleos, com atividade superficial e comportamento coloidal, e podem causar sérios problemas durante a produção de petróleo.
  • 22.
    Classificação do petróleo Existem basicamente dois tipos de classificações de óleo.  A primeira baseia-se na composição e propriedades fisico-quimicas do óleo (densidade, viscosidade, etc.) e são voltadas para a área de produção e refino.  Densidade: Relação existente entre a massa de petróleo e o volume ocupado por essa massa. Geralmente é comparada com a densidade da água.  Viscosidade: Capacidade que um fluido tem de se opor ao escoamento.
  • 23.
    Classificação do petróleo A segunda, baseia-se na composição do óleo cru, sendo voltada para a área de origem e evolução do petróleo.  Parafínicos (>70% parafinas)  Parafínicos-Naftênicos (50-70% parafinas, >20? Naftênicos)  Naftênicos (>70% naftênicos)  Aromáticos intermediários (>50% aromáticos)  Aromático-asfálticos (>35% asfaltenos e resinas, > 60% aromáticos  Aromático-naftênicos. (>35% naftênicos, >60% aromáticos)
  • 24.
    Parafínicos Naftênicos Aromáticos QAVGasolina Gasolina Diesel Nafta Petroquímica Solventes Lubrificantes QAV Asfaltos Parafinas Lubrificantes Coque
  • 25.
    Classificação do petróleo Os óleo também são chamados de leves ou pesados.  Óleo leve: menos denso que a água  Òleo pesado: mais denso que a água.
  • 26.
    O gás natural “Gás natural é todo hidrocarboneto que permaneça em estado gasoso nas condições atmosféricas normais, extraído diretamente de reservatórios petrolíferos ou gaseíferos, incluindo gases secos, úmidos, residuais e gases raros.” - lei nº 8.478/97  Mistura de hidrocarbonetos leves encontrada no subsolo, no qual o metano tem uma participação superior a 70% em volume e contém outros gases como nitrogênio, etano, gás carbônico ou restos de propano e butano.  Densidade < 1, e poder calorífico alto, cerca de 8.000 a 10.000 kcal/m³.  O poder calorífico é a quantidade de energia por unidade de massa (ou de volume, no caso dos gases) liberada na oxidação de um determinado combustível.
  • 27.
     Na indústria,é largamente utilizado como combustível para fornecimento de calor, geração de eletricidade e de força motriz, como matéria-prima nos setores químico, petroquímico e de fertilizantes, e como redutor siderúrgico na fabricação do aço. Na área de transportes é utilizado como combustíveis para carros e ônibus, em substituição ao álcool, gasolina e diesel.
  • 28.
    Classificação do GásNatural  Os gases são classificados como gás seco ou gás úmido.  Gás seco: Composto essencialmente por metano  Gás úmido: Além do metano, possuem etano, propano e butano em proporção variável.  Os gases também são classificados como associados e não-associados.  Associados: Gás que está dissolvido no óleo e precisa ser separado. Ex: CO2, H2S, He, H.  Não-associado: Gás que ocorre naturalmente no reservatório. Ex:Vapor d’água, H.
  • 29.
    Origem do petróleo A teoria de formação do petróleo mais aceita é a chamada “Teoria orgânica”.  “Materiais orgânicos teriam sido cobertos por uma camada de material impermeável, com o ar sendo excluído, sobreveio a fermentação e a lenta deterioração durante centenas de milhares de anos que transformou a matéria orgânica em petróleo.”
  • 31.
    Geologia  Geologia éa ciência natural que, através das ciências exatas e básicas e de todas as suas ferramentas, investiga o meio natural do planeta.  Estudo das características do interior e da superfície da Terra  Compreensão dos processos físicos, químicos e físico-químicos que levaram a Terra a ser como é hoje.  Utilizar os materiais e fenômenos geológicos como fonte de matéria prima e energia para melhoria da qualidade de vida da sociedade.
  • 32.
    Bacia Sedimentar eRochas principais  Bacia Sedimentar são depressões existentes abaixo da superfície que com o tempo foram sendo preenchidas por substâncias como resto de animais, materiais referentes a ação da erosão e materiais depositados nos corpos d’água.  Rochas Sedimentares se formam a partir do acúmulo de materiais provenientes de outras rochas que existiram antes delas.
  • 34.
    Geologia do Petróleo A formação de uma acumulação de petróleo em uma bacia sedimentar requer uma associação de diversos fatores:  Existência de rochas ricas em matéria orgânica, chamada de rocha geradora.  As rochas geradoras devem ser submetidas a condições adequadas para geração do petróleo.  Existência de rochas com porosidade e permeabilidade necessárias á acumulação e produção do petróleo, denominada de rochas reservatório.  Presença de condições favoráveis á migração do petróleo da rocha geradora até a rocha reservatório.
  • 35.
     A existênciade uma rocha impermeável que retenha o petróleo, denominada de rocha selante.  Arranjo geométrico das rochas reservatório e selante que favoreça a acumulação de um volume significativo de petróleo.
  • 37.
    Rocha Geradora  Umarocha geradora deve possuir matéria orgânica (chamada de querogênio) em quantidade e qualidade adequadas e submetidas ao estado de evolução térmica necessário para degradação da matéria orgânica.  Uma rocha geradora deve conter entre 0,5 a 1,0% de teor de carbono orgânico total (COT).  A medida que a bacia sedimentar aumenta seu tamanho o o querogênio é soterrado a maiores profundidades. O aumento da temperatura acarreta na degradação térmica do querogênio em petróleo.
  • 38.
     Com adegradação térmica, o petróleo recém formado, é expulso da rocha geradora, (processo conhecido como migração primária) e se desloca através do meio poroso até as trapas (processo conhecido como migração secundária).  * As substâncias contaminantes do petróleo são formadas através da degradação térmica do querogênio.
  • 39.
  • 40.
    Rocha Reservatório  Rochaque possui porosidade e permeabilidade adequadas a acumulação de petróleo.  Porosidade: porcentagem em volume de espaços vazios em uma rocha. Uma rocha que tem de 15 a 20% possui uma boa porosidade.  Permeabilidade: Capacidade da rocha de transmitir fluido. É controlada principalmente pela quantidade, geometria e o grau de conectividade dos poros. A maior parte dos reservatórios possui uma permeabilidade considerada boa.  A maior parte das reservas conhecidas encontram-se em arenitos e rochas carbonáticas.
  • 42.
     * adefinição da estratégia de produção, bem como o cálculo das reservas de uma jazida, requerem um conhecimento detalhado da qualidade e continuidade do reservatório em três dimensões.
  • 43.
    Trapas  Trapas sãosituações geológicas em que o arranjo espacial das rochas reservatório e selante possibilita a acumulação de petróleo.  As rochas selantes são as responsáveis pela retenção do petróleo nas trapas. Devem apresentar baixa permeabilidade e alta pressão, de modo a impedir a migração vertical do petróleo.  * A composição do petróleo pode sofrer variação na trapa, devido a uma série de fatores de alteração.