Moléculas envolvidas no
metabolismo
• Carboidratos
• Lipídeos
• Proteínas
• Sais minerais
• Vitaminas
• Água
Polissacarídeos
Hexoses
Pentoses
Fotossíntese
Biosíntese de
Lípídeos
Degradação de
Lipídeos
d
Fosfolipídeos
Isoprenóides
Esteróides
Porfirinas
Aminoácidos
Aromáticos
Catecolaminas
Purinas
Pirimidinas
Aminoácidos
ALGUNS CONCEITOS
INICIAIS
Anabolismo
• A fase do metabolismo (requerente de energia)
que concerne a biossíntese dos componentes
celulares a partir de precursores pequenos.
Catabolismo
• A fase do metabolismo que envolve a produção
de energia por meio da degradação das
moléculas dos nutrientes.
A alimentação e o jejum alternam o metabolismo
entre os estados Anabólico e Catabólico
Complexa rede de interações entre as vias bioquímicas
Metabólitos originados de uma via de degradação podem ser utilizados para a
síntese de compostos
Reversibilidade parcial das principais vias do metabolismo de carboidratos e
lipídeos – o catabolismo é substituído pelo anabolismo em resposta à ingestão do
alimento
No estado alimentado: vias ativas são a glicólise, síntese de glicogênio,
lipogênese e síntese de proteínas
No estado de jejum (poucas horas após a alimentação): glicogênio e lipídeos
armazenados são degradados, a proteína é convertida em glicólise
(gliconeogênese), outros processos biossintéticos se tornam lentos.
Visão Geral dos Processos CatabólicosVisão Geral dos Processos Catabólicos
• Na antiguidade sabia-se que a comida
exposta ao ar apodrecia (liberava bolhas).
Deram o nome de fermentação por analogia
com a fervura – que também liberava bolhas
• Séc XIX – Napoleão – Mr. Appert
• Adicionar grandes quantidades de açúcar às
frutas e ferver os alimentos, que deveriam ser
imediatamente tampados e selados com
parafina
• Livro: “A arte de preservar os alimentos de
origem vegetal e animal” – 10
Livro de
Bioquimica
FERMENTAÇÃO
Gay – Lussac vai pesquisar a
fermentação ...
Para isso testa “os experimentos” de Mr.
Appert.
O ar era necessário para a fermentação
Interação entre O2 e nitrogênio dos
alimentos liberava “as bolhas” (CO2 e N2)
– Ligação desistabilizante – Reação
Química
“As substâncias em contato com
o ar, adquirem prontamente uma tendência
para a putrefação ou fermentação mas
quando submetidas a temperatura de água
fervida em vasos bem fechados, o oxigênio
absorvido produz uma nova combinação
que não é mais capaz de exitar
fermentação ou putrefação, ou se torna
coagulada pelo calor da mesma maneira
que a albumina”
• Uma fábrica vinícula contrata Louis Pasteur
• Estudava a capacidade dos ácidos orgânicos de
desviar o plano de luz
• Centrifugação – Amostra concentrada –
Microscópio
• Teoria Vitalista
• Fermentação pode ser utilizada pelos seres
vivos ...
• “Eu acredito que não há fermentação alcoólica
sem que, ao mesmo tempo haja organização,
desenvolvimento e multiplicação dos glóbulos”
Louis Pasteur
• Por volta de 1850 os vinhos da França estavam muito ruins. Na
quela época já se sabia que a qualidade do vinho dependia
essencialmente da qualidade da uva e do repique
Pasteur ...
•Derruba a Teoria da ligação desistabilizante
•Para fermentar precisa-se de vida organizada ...
•Seres vivos podem viver sem oxigênio
Hans e Edward Buchner
•Derrubam a Teoria Vitalista
•Cunham o termo Zimases
•Nasce a Bioquímica ....
Glicólise
Por que iniciar o estudo do metabolismo dos compostos combustíveis
pela glicólise?
Via metabólica universal (passos idênticos nas nossas células cerebrais
e nas bactérias anaeróbicas) para metabolizar a glicose e produzir
energia.
Permite introduzir os mecanismos de regulação das vias metabólicas por
pequenos efetores alostéricos, por modificações químicas reversíveis de
enzimas e pelo controle da expressão gênica.
Glicose
Principal carboidrato combustível; forma de
carboidrato circulante no sangue
Finamente regulado: manutenção de uma concentração
normal de 5 mmol/L é essencial para sobrevivência
< 2,5 mmol/L → coma hipoglicêmico
> 7 mmol/L → diabetes e riscos de doenças renais, vasculares e
oculares.
Nos vegetais superiores e nos animais tem 3 destinos principais:
Oxidação completa a CO2 e água ocorre com uma variação de energia
livre padrão de -2.840 kJ/mol!!!
Glicólise
Primeira via metabólica a ser elucidada e, provavelmente, a melhor compreendida.
Ocorre no citoplasma
Primeiro estágio do catabolismo de carboidratos
Açúcares simples são metabolisados a piruvato
Processo anaeróbico – não necessita de oxigênio
Fase preparatória
Fase de produção de
energia
(fase de pagamento)
Fase preparatória da Glicólise
de Glicose a Gliceraldeído-3- P
Aumenta o conteúdo de energia livre dos intermediários
Requer o investimento de duas moléculas de ATP e resulta na clivagem
da cadeia de hexose em duas trioses fosfato.
Ocorrem duas reações de fosforilação. Isto é importante para que a célula
não perca nenhum intermediário do ciclo após já ter investido energia na
glicose, pois os compostos fosforilados (como o são todos os
intermediários da glicólise) não atravessam as membranas livremente.
Fase de produção de energia
de Gliceraldeído-3-P a Piruvato
Produção de 4 moléculas de ATP (ganho líquido de 2 ATP)
Recuperação do “investimento” tem mais de 60% de eficiência
Ocorrem duas reações de fosforilação em nível de substrato, assim
denominadas porque a reação transfere não só energia livre ao ADP, mas
também o próprio fosfato necessário à síntese de 1ATP.
É importante notar que apenas 5,2% da energia de oxidação da glicose
foram liberados ao fim da glicólise, permanecendo todo o restante na
forma de piruvato
São formados dois NADH
Reações da Glicólise
Balanço
Saldo de energia = 02 ATPs
1. Fosforilação da Glicose1. Fosforilação da Glicose
GlicoseGlicose
ATPATP
hexoquinasehexoquinase
glicoquinaseglicoquinase
ADPADP
Glicose-6-Glicose-6-PP
Glicólise – FASE PREPARATÓRIA
2. Conversão G6P a F6P
3. Fosforilação da F6P
Inibida por ATP
Ativada por ADP e Pi
Reação que torna o açúcar comprometido com a glicólise.
Reação altamente exergônica e irreversível. ∆G0
’= -13,8 kJ/mol =
3. Fosforilação da F6P
Glicólise – FASE PREPARATÓRIA
4. Quebra da F1,6P
5. Interconversão DHAP e G3P
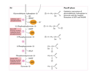
Glicólise – FASE PAYOFF
6. Oxidação do G3P a 1,3BPG
7. Transferência de PO3
2-
para
ADP
Glicólise – FASE PAYOFF
8. Conversão 3-PG para 2-PG
9. Desidratação do 2-PG para PEP
Glicólise – FASE PAYOFF
10. Transferência de PO4 para ADP
O destino do piruvato pode variar significativamente
Em nossas células, sob condições aeróbias, o
piruvato é convertido a acetil-CoA nas
mitocôndrias
Destinos do Piruvato
Destinos do Piruvato
Fermentação – termo geral que denota a degradação
anaeróbica da glicose ou de outros nutrientes
orgânicos em vários produtos
Em nosso organismo é usada para produzir NAD+ quando
não há oxigênio suficiente
NAD+ deve ser regenerado a NADH, caso contrário a
glicólise é interrompida
Vejamos rapidamente 02 tipos de fermentação
Lactato Etanol
Células animais sob
condições anaeróbicas
utilizam o Piruvato como
aceptor final de elétrons para
fazer a regeneração de
NAD+
, formando Lactato
Fermentação a Lactato
O fígado pode converter o lactato a uma “nova glicose” e reenviá-la para outro ciclo
da glicólise no músculo, chamada gliconeogênese. Pode também ser sintetizada a
partir do piruvato combinado com moléculas do ciclo do ácido cítrico.
A gliconeogênese é importante para suprir o cérebro, que possui poucas reservas.
Destinos do Piruvato
Fermentação Alcoólica
Regulação
Ex: inibição por feedback
Enzima possui um sítio
alostérico ao qual se liga
o produto final da via
A B C D E
Enzimas Alostéricas
Regulação
Fosfofrutoquinase-1
Sítio AtivoSítio Ativo
Sítio AlosteriaSítio Alosteria
Aspectos clínicos - glicólise
1) Isquemia (Infarto do miocárdio):
2) Células tumorais: Otto Warburg – 1920
Células tumores Ascites convertem glicose equivalente a 30%
do peso seco em lactato/h.
(Músculo esquelético humano = 6% do peso seco em lactato/h)
Glicólise e fermentação   1

Glicólise e fermentação 1

  • 1.
    Moléculas envolvidas no metabolismo •Carboidratos • Lipídeos • Proteínas • Sais minerais • Vitaminas • Água
  • 2.
  • 3.
  • 4.
    Anabolismo • A fasedo metabolismo (requerente de energia) que concerne a biossíntese dos componentes celulares a partir de precursores pequenos. Catabolismo • A fase do metabolismo que envolve a produção de energia por meio da degradação das moléculas dos nutrientes.
  • 5.
    A alimentação eo jejum alternam o metabolismo entre os estados Anabólico e Catabólico Complexa rede de interações entre as vias bioquímicas Metabólitos originados de uma via de degradação podem ser utilizados para a síntese de compostos Reversibilidade parcial das principais vias do metabolismo de carboidratos e lipídeos – o catabolismo é substituído pelo anabolismo em resposta à ingestão do alimento No estado alimentado: vias ativas são a glicólise, síntese de glicogênio, lipogênese e síntese de proteínas No estado de jejum (poucas horas após a alimentação): glicogênio e lipídeos armazenados são degradados, a proteína é convertida em glicólise (gliconeogênese), outros processos biossintéticos se tornam lentos.
  • 6.
    Visão Geral dosProcessos CatabólicosVisão Geral dos Processos Catabólicos
  • 7.
    • Na antiguidadesabia-se que a comida exposta ao ar apodrecia (liberava bolhas). Deram o nome de fermentação por analogia com a fervura – que também liberava bolhas • Séc XIX – Napoleão – Mr. Appert • Adicionar grandes quantidades de açúcar às frutas e ferver os alimentos, que deveriam ser imediatamente tampados e selados com parafina • Livro: “A arte de preservar os alimentos de origem vegetal e animal” – 10 Livro de Bioquimica FERMENTAÇÃO
  • 8.
    Gay – Lussacvai pesquisar a fermentação ... Para isso testa “os experimentos” de Mr. Appert. O ar era necessário para a fermentação Interação entre O2 e nitrogênio dos alimentos liberava “as bolhas” (CO2 e N2) – Ligação desistabilizante – Reação Química “As substâncias em contato com o ar, adquirem prontamente uma tendência para a putrefação ou fermentação mas quando submetidas a temperatura de água fervida em vasos bem fechados, o oxigênio absorvido produz uma nova combinação que não é mais capaz de exitar fermentação ou putrefação, ou se torna coagulada pelo calor da mesma maneira que a albumina”
  • 9.
    • Uma fábricavinícula contrata Louis Pasteur • Estudava a capacidade dos ácidos orgânicos de desviar o plano de luz • Centrifugação – Amostra concentrada – Microscópio • Teoria Vitalista • Fermentação pode ser utilizada pelos seres vivos ... • “Eu acredito que não há fermentação alcoólica sem que, ao mesmo tempo haja organização, desenvolvimento e multiplicação dos glóbulos” Louis Pasteur • Por volta de 1850 os vinhos da França estavam muito ruins. Na quela época já se sabia que a qualidade do vinho dependia essencialmente da qualidade da uva e do repique
  • 10.
    Pasteur ... •Derruba aTeoria da ligação desistabilizante •Para fermentar precisa-se de vida organizada ... •Seres vivos podem viver sem oxigênio
  • 11.
    Hans e EdwardBuchner •Derrubam a Teoria Vitalista •Cunham o termo Zimases •Nasce a Bioquímica ....
  • 12.
    Glicólise Por que iniciaro estudo do metabolismo dos compostos combustíveis pela glicólise? Via metabólica universal (passos idênticos nas nossas células cerebrais e nas bactérias anaeróbicas) para metabolizar a glicose e produzir energia. Permite introduzir os mecanismos de regulação das vias metabólicas por pequenos efetores alostéricos, por modificações químicas reversíveis de enzimas e pelo controle da expressão gênica.
  • 13.
    Glicose Principal carboidrato combustível;forma de carboidrato circulante no sangue Finamente regulado: manutenção de uma concentração normal de 5 mmol/L é essencial para sobrevivência < 2,5 mmol/L → coma hipoglicêmico > 7 mmol/L → diabetes e riscos de doenças renais, vasculares e oculares. Nos vegetais superiores e nos animais tem 3 destinos principais: Oxidação completa a CO2 e água ocorre com uma variação de energia livre padrão de -2.840 kJ/mol!!!
  • 15.
    Glicólise Primeira via metabólicaa ser elucidada e, provavelmente, a melhor compreendida. Ocorre no citoplasma Primeiro estágio do catabolismo de carboidratos Açúcares simples são metabolisados a piruvato Processo anaeróbico – não necessita de oxigênio
  • 16.
    Fase preparatória Fase deprodução de energia (fase de pagamento)
  • 17.
    Fase preparatória daGlicólise de Glicose a Gliceraldeído-3- P Aumenta o conteúdo de energia livre dos intermediários Requer o investimento de duas moléculas de ATP e resulta na clivagem da cadeia de hexose em duas trioses fosfato. Ocorrem duas reações de fosforilação. Isto é importante para que a célula não perca nenhum intermediário do ciclo após já ter investido energia na glicose, pois os compostos fosforilados (como o são todos os intermediários da glicólise) não atravessam as membranas livremente.
  • 19.
    Fase de produçãode energia de Gliceraldeído-3-P a Piruvato Produção de 4 moléculas de ATP (ganho líquido de 2 ATP) Recuperação do “investimento” tem mais de 60% de eficiência Ocorrem duas reações de fosforilação em nível de substrato, assim denominadas porque a reação transfere não só energia livre ao ADP, mas também o próprio fosfato necessário à síntese de 1ATP. É importante notar que apenas 5,2% da energia de oxidação da glicose foram liberados ao fim da glicólise, permanecendo todo o restante na forma de piruvato São formados dois NADH
  • 21.
  • 22.
    1. Fosforilação daGlicose1. Fosforilação da Glicose GlicoseGlicose ATPATP hexoquinasehexoquinase glicoquinaseglicoquinase ADPADP Glicose-6-Glicose-6-PP
  • 23.
    Glicólise – FASEPREPARATÓRIA 2. Conversão G6P a F6P 3. Fosforilação da F6P Inibida por ATP Ativada por ADP e Pi
  • 24.
    Reação que tornao açúcar comprometido com a glicólise. Reação altamente exergônica e irreversível. ∆G0 ’= -13,8 kJ/mol = 3. Fosforilação da F6P
  • 25.
    Glicólise – FASEPREPARATÓRIA 4. Quebra da F1,6P 5. Interconversão DHAP e G3P
  • 26.
    Glicólise – FASEPAYOFF 6. Oxidação do G3P a 1,3BPG 7. Transferência de PO3 2- para ADP
  • 27.
    Glicólise – FASEPAYOFF 8. Conversão 3-PG para 2-PG 9. Desidratação do 2-PG para PEP
  • 28.
    Glicólise – FASEPAYOFF 10. Transferência de PO4 para ADP
  • 29.
    O destino dopiruvato pode variar significativamente Em nossas células, sob condições aeróbias, o piruvato é convertido a acetil-CoA nas mitocôndrias Destinos do Piruvato
  • 31.
    Destinos do Piruvato Fermentação– termo geral que denota a degradação anaeróbica da glicose ou de outros nutrientes orgânicos em vários produtos Em nosso organismo é usada para produzir NAD+ quando não há oxigênio suficiente NAD+ deve ser regenerado a NADH, caso contrário a glicólise é interrompida Vejamos rapidamente 02 tipos de fermentação Lactato Etanol
  • 32.
    Células animais sob condiçõesanaeróbicas utilizam o Piruvato como aceptor final de elétrons para fazer a regeneração de NAD+ , formando Lactato Fermentação a Lactato
  • 33.
    O fígado podeconverter o lactato a uma “nova glicose” e reenviá-la para outro ciclo da glicólise no músculo, chamada gliconeogênese. Pode também ser sintetizada a partir do piruvato combinado com moléculas do ciclo do ácido cítrico. A gliconeogênese é importante para suprir o cérebro, que possui poucas reservas.
  • 34.
  • 35.
  • 36.
    Ex: inibição porfeedback Enzima possui um sítio alostérico ao qual se liga o produto final da via A B C D E Enzimas Alostéricas
  • 37.
  • 38.
    Aspectos clínicos -glicólise 1) Isquemia (Infarto do miocárdio):
  • 39.
    2) Células tumorais:Otto Warburg – 1920 Células tumores Ascites convertem glicose equivalente a 30% do peso seco em lactato/h. (Músculo esquelético humano = 6% do peso seco em lactato/h)