PEA2290
Transformadores
Lei de Ampére:
conc
C
i
dl
H 


conc
i
H = vetor campo magnético ou intensidade magnética [A/m]
= corrente concatenada com o contorno C
Revisão de conceitos de eletromagnetismo
Ni
dl
H
C



Bobina com N
espiras, corrente i
Vetor indução magnética ou densidade de fluxo :
B
H
B 

= indução magnética [T]
 = permeabilidade magnética [H/m]
0 (vácuo) = 410-7 H/m
Fluxo magnético  :
 

S
dS
B

 = fluxo magnético [Wb=Tm2], valor escalar
= vetor normal à superfície S, com módulo igual a dS
B
dS











 Ni
S
Ni
Ni
B
Ni
H




,
, B
H
Núcleo de material
ferromagnético
: comprimento
médio do percurso
S: seção reta do
núcleo

sentido definido pela regra da mão direita
Número
de espiras N,
corrente i
: relutância magnética



Ni
Ni também é chamada de “força
magnetomotriz” (fmm)

Ni E
i
R
Circuito elétrico análogo
i
R
E
i
S
i
S
E




 

Circuito magnético Circuito elétrico análogo
Relutância: Resistência:
Fluxo magnético  Corrente elétrica i
fmm = Ni fem = E
S


1


S
S
R




1


E também é chamada de “força
eletromotriz” da fonte (fem)
Transformadores
• Dispositivo que converte um nível de tensão
em outro nível de tensão pela ação da
variação do fluxo magnético
• A possibilidade de elevação e redução
eficiente do nível de tensão viabilizou a
transmissão de energia por distâncias
consideráveis em corrente alternada
– Maior tensão -> menor corrente -> menos perdas
Lei de Faraday:
Fluxo magnético variável induz uma tensão:
dt
d
N
dt
d
eind




   
dt
di
L
dt
Li
d
dt
N
Li
d
N
e
i
N
L ind 





Indutância:
Corrente senoidal -> fluxo magnético senoidal ->
variável no tempo
Transformador ideal
• Permeabilidade magnética  
–  (relutância) = 0
– Não há dispersão no fluxo magnético: todo o fluxo
é confinado ao núcleo
• Corrente de magnetização = 0
• Perdas no núcleo = 0
• Perdas Joule nos enrolamentos = 0
ep(t)
 (t)
es(t)
ip(t)
Enrolamento
primário,
Np espiras
Enrolamento
secundário,
Ns espiras
p
p
p
p
p
p
N
t
e
dt
d
dt
d
N
t
e
)
(
)
(




s
s
s
s
s
s
N
t
e
dt
d
dt
d
N
t
e
)
(
)
(




s
p 
 
a
N
N
t
e
t
e
s
p
s
p


)
(
)
(
Circuito secundário com carga (is  0)
)
(
)
(
)
(
)
(
t
i
N
t
i
N
B
t
i
N
t
i
N
H
Ni
d
H
s
s
p
p
m
s
s
p
p
m













Transformador ideal : 
0

 s
s
p
p i
N
i
N
a
N
N
t
i
t
i
p
s
s
p 1
)
(
)
(


↑tensão, ↓corrente ↓ tensão, ↑ corrente
Relações de tensão, corrente e potência em um transformador ideal
a
N
N
t
e
t
e
s
p
s
p


)
(
)
(
a
N
N
t
i
t
i
p
s
s
p 1
)
(
)
(


)
(
)
(
)
(
)
(
)
(
)
( t
i
t
e
N
N
t
i
N
N
t
e
t
i
t
e p
p
s
p
p
p
s
p
s
s 



potências
correntes
tensões
a
N
N
E
E
s
p
S
P




a
N
N
I
I
s
p
S
P 1




S
S
S
P
P
P S
I
E
I
E
S 

 *
* 



Convenção de polaridades
Transformador real
• Permeabilidade magnética finita
–  (relutância)  0
– Existe certa dispersão no fluxo magnético pelo ar,
percorrendo um caminho de alta relutância (baixa
permeabilidade)
• Corrente de magnetização  0
• Perdas no núcleo  0
• Perdas Joule nos enrolamentos  0
Transformador real: corrente de
magnetização
• Circuito secundário em aberto (sem carga)
– Corrente no primário: corrente de magnetização
= corrente necessária para produzir o fluxo no
núcleo magnético, através da orientação dos
domínios do material.
Perdas no núcleo
• Curva de magnetização
• Alguns domínios magnéticos
ainda ficam alinhados após H=0
• A área interna da curva de
magnetização é um indicativo
das perdas por histerese
Perdas no núcleo (cont.)
• Correntes de Foucault (ou
correntes parasitas) 
correntes induzidas no núcleo,
ocasionando perdas por Ri2
• Núcleo laminado resulta em
um caminho de alta
resistência para as correntes
de Foucault
Modelo equivalente de um transformador real
RP , RS: resistências dos enrolamentos primário e secundário
XP , XS: reatâncias de dispersão dos enrolamentos primário e
secundário
RC: resistência que representa as perdas ôhmicas no núcleo
XM: indutância que representa a curva de magnetização do núcleo
RC // XM: ramo de magnetização do transformador
IM: corrente de magnetização
•
RP XP XS RS
RC XM
NP NS
VP
.
IP
.
IM
.
EP
.
ES
.
VS
.
IS
.
transformador ideal
    
S
S
M
P
P
S
S
S
S
S jX
R
I
I
a
a
E
jX
R
I
E
V 






 





 








 M
P
S
P
S I
I
a
I
a
E
E 



 ,
  
S
S
M
P
P
S X
ja
R
a
I
I
E
V
a 2
2



 



No secundário do transformador,
Modelo equivalente de um transformador real
(cont.)
  
a
X
ja
R
a
I
I
E
V S
S
M
P
P
S
2
2








Modelo equivalente de um transformador real com o
secundário refletido no primário
  
S
S
M
P
P
S X
ja
R
a
I
I
E
V
a 2
2



 


  
'
'
'
' S
S
S
P
S jX
R
I
E
V 

 


S
S
S
S
M
P
S
S
S
S X
a
X
R
a
R
I
I
a
I
I
V
a
V 2
2
'
'
'
' 




 





ou
onde os valores refletidos são:
Esta expressão é satisfeita pelo circuito equivalente a seguir, onde o
transformador ideal pode ser omitido. Notar que os valores reais no
secundário são Vs e Is.
• •
Impedância de carga no secundário refletida ao
primário
IS
.
VS
.
Zcarga
IS/a
.
aVS
.
a2
Zcarga=Zcarga
Modelo equivalente de um transformador real com o
secundário refletido no primário
Valores nominais de transformadores
(dados de placa)
• Tensões nominais
– Valores eficazes (rms)
– ex. 110 V/220 V, 13,8 kV/440 V
– Vnom1/Vnom2=anominal
• Potência nominal
– Potência aparente [VA]
– Correntes nominais obtidas a partir de Snom e Vnom
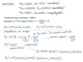
Tensão nominal no primário = 2400 V
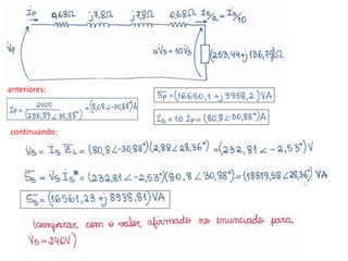
anteriores:
continuando:
Transformadores elétricos corrente alternada.pptx
Transformadores elétricos corrente alternada.pptx
Transformadores elétricos corrente alternada.pptx

Transformadores elétricos corrente alternada.pptx

  • 1.
  • 2.
    Lei de Ampére: conc C i dl H   conc i H = vetor campo magnético ou intensidade magnética [A/m] = corrente concatenada com o contorno C Revisão de conceitos de eletromagnetismo Ni dl H C    Bobina com N espiras, corrente i
  • 3.
    Vetor indução magnéticaou densidade de fluxo : B H B   = indução magnética [T]  = permeabilidade magnética [H/m] 0 (vácuo) = 410-7 H/m Fluxo magnético  :    S dS B   = fluxo magnético [Wb=Tm2], valor escalar = vetor normal à superfície S, com módulo igual a dS B dS
  • 4.
                Ni S Ni Ni B Ni H     , , B H Núcleode material ferromagnético : comprimento médio do percurso S: seção reta do núcleo  sentido definido pela regra da mão direita Número de espiras N, corrente i : relutância magnética
  • 5.
       Ni Ni também échamada de “força magnetomotriz” (fmm)  Ni E i R Circuito elétrico análogo i R E i S i S E        Circuito magnético Circuito elétrico análogo Relutância: Resistência: Fluxo magnético  Corrente elétrica i fmm = Ni fem = E S   1   S S R     1   E também é chamada de “força eletromotriz” da fonte (fem)
  • 6.
    Transformadores • Dispositivo queconverte um nível de tensão em outro nível de tensão pela ação da variação do fluxo magnético • A possibilidade de elevação e redução eficiente do nível de tensão viabilizou a transmissão de energia por distâncias consideráveis em corrente alternada – Maior tensão -> menor corrente -> menos perdas
  • 7.
    Lei de Faraday: Fluxomagnético variável induz uma tensão: dt d N dt d eind         dt di L dt Li d dt N Li d N e i N L ind       Indutância: Corrente senoidal -> fluxo magnético senoidal -> variável no tempo
  • 8.
    Transformador ideal • Permeabilidademagnética   –  (relutância) = 0 – Não há dispersão no fluxo magnético: todo o fluxo é confinado ao núcleo • Corrente de magnetização = 0 • Perdas no núcleo = 0 • Perdas Joule nos enrolamentos = 0
  • 9.
    ep(t)  (t) es(t) ip(t) Enrolamento primário, Np espiras Enrolamento secundário, Nsespiras p p p p p p N t e dt d dt d N t e ) ( ) (     s s s s s s N t e dt d dt d N t e ) ( ) (     s p    a N N t e t e s p s p   ) ( ) (
  • 10.
    Circuito secundário comcarga (is  0) ) ( ) ( ) ( ) ( t i N t i N B t i N t i N H Ni d H s s p p m s s p p m              Transformador ideal :  0   s s p p i N i N a N N t i t i p s s p 1 ) ( ) (   ↑tensão, ↓corrente ↓ tensão, ↑ corrente
  • 11.
    Relações de tensão,corrente e potência em um transformador ideal a N N t e t e s p s p   ) ( ) ( a N N t i t i p s s p 1 ) ( ) (   ) ( ) ( ) ( ) ( ) ( ) ( t i t e N N t i N N t e t i t e p p s p p p s p s s     potências correntes tensões a N N E E s p S P     a N N I I s p S P 1     S S S P P P S I E I E S    * *    
  • 12.
  • 13.
    Transformador real • Permeabilidademagnética finita –  (relutância)  0 – Existe certa dispersão no fluxo magnético pelo ar, percorrendo um caminho de alta relutância (baixa permeabilidade) • Corrente de magnetização  0 • Perdas no núcleo  0 • Perdas Joule nos enrolamentos  0
  • 14.
    Transformador real: correntede magnetização • Circuito secundário em aberto (sem carga) – Corrente no primário: corrente de magnetização = corrente necessária para produzir o fluxo no núcleo magnético, através da orientação dos domínios do material.
  • 15.
    Perdas no núcleo •Curva de magnetização • Alguns domínios magnéticos ainda ficam alinhados após H=0 • A área interna da curva de magnetização é um indicativo das perdas por histerese
  • 16.
    Perdas no núcleo(cont.) • Correntes de Foucault (ou correntes parasitas)  correntes induzidas no núcleo, ocasionando perdas por Ri2 • Núcleo laminado resulta em um caminho de alta resistência para as correntes de Foucault
  • 17.
    Modelo equivalente deum transformador real RP , RS: resistências dos enrolamentos primário e secundário XP , XS: reatâncias de dispersão dos enrolamentos primário e secundário RC: resistência que representa as perdas ôhmicas no núcleo XM: indutância que representa a curva de magnetização do núcleo RC // XM: ramo de magnetização do transformador IM: corrente de magnetização • RP XP XS RS RC XM NP NS VP . IP . IM . EP . ES . VS . IS . transformador ideal
  • 18.
        S S M P P S S S S S jX R I I a a E jX R I E V                          M P S P S I I a I a E E      ,    S S M P P S X ja R a I I E V a 2 2         No secundário do transformador, Modelo equivalente de um transformador real (cont.)    a X ja R a I I E V S S M P P S 2 2        
  • 19.
    Modelo equivalente deum transformador real com o secundário refletido no primário    S S M P P S X ja R a I I E V a 2 2           ' ' ' ' S S S P S jX R I E V       S S S S M P S S S S X a X R a R I I a I I V a V 2 2 ' ' ' '             ou onde os valores refletidos são: Esta expressão é satisfeita pelo circuito equivalente a seguir, onde o transformador ideal pode ser omitido. Notar que os valores reais no secundário são Vs e Is. • •
  • 20.
    Impedância de cargano secundário refletida ao primário IS . VS . Zcarga IS/a . aVS . a2 Zcarga=Zcarga
  • 21.
    Modelo equivalente deum transformador real com o secundário refletido no primário
  • 22.
    Valores nominais detransformadores (dados de placa) • Tensões nominais – Valores eficazes (rms) – ex. 110 V/220 V, 13,8 kV/440 V – Vnom1/Vnom2=anominal • Potência nominal – Potência aparente [VA] – Correntes nominais obtidas a partir de Snom e Vnom
  • 24.
    Tensão nominal noprimário = 2400 V
  • 26.