Defesa Civil de Minas Gerais – Relatório Anual de Chuvas 2008-2009.
ESTADO DE MINAS GERAIS
                            GABINETE MILITAR DO GOVERNADOR
                        COORDENADORIA ESTADUAL DE DEFESA CIVIL




Coordenador Estadual de Defesa Civil
Eduardo Mendes de Sousa, Cel PM
Secretário Executivo de Defesa Civil
Alexandre Lucas Alves, Ten Cel PM




Gabinete Militar do Governador
Coordenadoria Estadual de Defesa Civil
Rua Manaus, 467, 6º Andar, São Lucas, Belo Horizonte - MG
Cep: 30.150-350
(31) 3236-2100


MINAS GERAIS. Gabinete Militar do Governador. Coordenadoria Estadual de Defesa Civil


Relatório Anual de Chuvas: Período 01 de outubro de 2008 a 30 de abril de 2009 /
CEDEC/MG – Minas Gerais: GMG. 2009.


.95.p.;A4


1. MINAS GERAIS – Defesa Civil – Relatório de Chuvas 2008/2009

Defesa Civil de Minas Gerais – Relatório Anual de Chuvas 2008-2009.                    2
APRESENTAÇÃO

              O governo de Minas criou, em 2007, o Estado para Resultados ou Choque de Gestão
de Segunda Geração, que, na prática, alterou a organização das ações da administração pública. A
partir da adoção desse modelo, as secretarias e demais órgãos do Estado passaram a formar um
sistema coordenado, onde não existem mais processos realizados de forma autônoma, sem conexão
com a estratégia geral.

             Alinhados a esta estratégia de Estado, o Gabinete Militar do Governador, através da
Coordenadoria Estadual de Defesa Civil (CEDEC) apresenta o Relatório Anual de Chuvas do período
2008/2009.

               O relatório contemplará as ações de defesa civil no período de 01 de outubro de 2008
a 30 de abril de 2009, tempo da ocorrência de eventos adversos relacionados às chuvas.

                A busca da garantia da dignidade da pessoa humana das comunidades vulneráveis,
melhorando a qualidade de vida, através de ações preventivas e de preparação para os desastres
norteou os trabalhos da CEDEC, sendo um eixo estratégico para alcançar os destinatários das
políticas públicas, que é “Cidades seguras e bem cuidadas”.

               Visando ainda aumentar a percepção do risco a desastres, as pessoas foram
instruídas e qualificadas em cursos de defesa civil, através de programas de educação, voltados para
ampliar o capital humano, fator fundamental para o desenvolvimento econômico e social do povo
mineiro.

               As ações de resposta aos desastres foram implementadas para socorrer com agilidade
as vítimas de calamidades públicas, assistí-las com condições de dignidade social e qualidade de
vida, para o alcance efetivo da normalidade e restabelecimento do moral da população.

              Para a execução das diversas missões foi necessário o envolvimento e articulação de
vários órgãos e instituições, que de forma sinérgica se interagiram como força do Estado de Minas
integrada para atender a comunidade.

                A integração somente foi alcançada pelo envolvimento de todos, através de um apoio
irrestrito na busca do bem comum.

               Tiveram um trabalho fundamental e de destaque para o sucesso das operações a
Polícia Militar e Corpo de Bombeiros Militar de Minas Gerais, que atuaram com empenho e
profissionalismo.

              Agradecemos o apoio do Exmo Sr Governador do Estado, através de investimentos no
Gabinete Militar do Governador, que possibilitou a realização de todas as missões necessárias ao
atendimento da comunidade.

               Alinhados ao Governo do Estado, a CEDEC busca um futuro de crescimento
sustentável e sem desigualdades sociais, em prol da vida saudável e qualidade ambiental.



                                                                      Belo Horizonte, 03 de junho de 2009.


                           ALEXANDRE LUCAS ALVES TEN CEL PM
                          SECRETÁRIO EXECUTIVO DA CEDEC (MG)


Defesa Civil de Minas Gerais – Relatório Anual de Chuvas 2008-2009.                                     3
EQUIPE RESPONSÁVEL:




                             DORALICE LORENTZ LEAL, MAJ PM
                      CHEFE DO CENTRO DE CONTROLE DE EMERGÊNCIAS



                              SÍLVIO JOSÉ DE SOUSA FILHO, MAJ PM
                                    DIRETOR ADMINISTRATIVO




                               EDYLAN ARRUDA DE ABREU, MAJ PM
                               DIRETOR DE COMUNICAÇÃO SOCIAL



                       FRANCISCO CARLOS RAMALHO FERREIRA, CAP PM
                                   CHEFE DO DEPÓSITO



                                 ANDERSON DE OLIVEIRA, CAP PM
                                   DIRETOR DE PLANEJAMENTO



                              ANDERSON PASSOS DE SOUZA, CAP BM
                                     SUBCHEFE DO CCE


                          ANDRÉA DANIELLE JANHSEN MENDES, CAP PM
                                        SECRETÁRIA




Defesa Civil de Minas Gerais – Relatório Anual de Chuvas 2008-2009.   4
Página

1 DIAGNÓSTICO DAS CHUVAS EM MINAS GERAIS 2008/2009                              06
2 DANOS E PREJUÍZOS                                                             12
2.1 Registro de Vítimas fatais                                                  13
2.2 Registro de Feridos                                                         20
2.3 Registro de Desabrigados                                                    21
2.4 Registro de Desalojados                                                     22
2.5 Registro de Pontes Danificadas                                              24
2.6 Registro de Pontes Destruídas                                               25
2.7 Registro de Casas Danificadas e Destruídas                                  26
2.8 Detalhamento Residências                                                    27

3 AÇÕES DE DEFESA CIVIL                                                         28
3.1 A Segurança Global da População                                             31

4 AÇÕES DE PREVENÇÃO                                                            32
4.1 Avaliação de Riscos de Desastres                                            32
4.2 Redução de Riscos de Desastres                                              32
4.3 A Importância das Comdec                                                    33
-

5 AÇÕES DE PREPARAÇÃO                                                           35
5.1 Cursos Básicos de Defesa Civil Ministrados pela Cedec em 2008               39
5.2 Ações de Preparação de Comunicação Social                                   40

6 AÇÕES DE RESPOSTA                                                             45
6.1 Municípios Afetados pelas Chuvas que a Cedec Solicitou Apoio Órgãos Setoriais
                                                                                 49
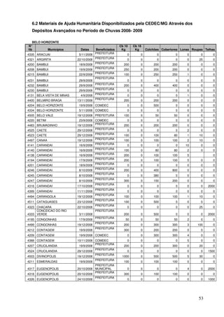
6.2 Materiais de Ajuda Humanitária Disponibilizados pela Cedec através Depósitos 53
6.3 Enchentes e Inundações em Ponte Nova (MG)                                    60
6.4 Ações de Resposta de Comunicação Social                                      63

7 AÇÕES DE RECONSTRUÇÃO                                                         68
7.1 Municípios que Decretaram Situação Emergência ou Comunicaram Chuvas         69
7.2 Os Processos de Decretação, Homologação e Reconhecimento de Sit. Emerg.     69

8 PRINCIPAIS NOTÍCIAS VEICULADAS                                                74




Defesa Civil de Minas Gerais – Relatório Anual de Chuvas 2008-2009.                   5
1 DIAGNÓSTICO DAS CHUVAS EM MINAS GERAIS
2008/2009
                                                            tempestade ocorreu no dia 30 de agosto, e a
                                                            partir de meado de setembro, houve a
   Climatologicamente o período chuvoso em
                                                            ocorrência de tempestades em várias cidades
Minas Gerais se inicia na primeira quinzena de
                                                            do Estado.
outubro nas regiões Sul, Oeste, Triângulo,
Zona da Mata e Metropolitana de Belo                            A estação chuvosa 2008/2009 iniciou
Horizonte e, nas demais regiões a estação                   conforme previsto, em outubro, apenas nas
chuvosa      começa    na        segunda    quinzena.       regiões Sul, Zona da Mata e Triângulo. As
Entretanto, antes de começar a estação                      chuvas ficaram abaixo da média histórica em
chuvosa no Estado, houve a ocorrência de                    todo o estado de Minas Gerais neste primeiro
fortes chuvas, acompanhadas de ventos e                     mês, com chuvas abaixo de 150 mm do valor
chuvas      de   granizos.   A     primeira    grande       esperado.




  Fig.1 Precipitação acumulada em Outubro                 Fig.2 Anomalia de precipitação em Outubro


   Em novembro, as chuvas foram mal                             Nas       regiões        do      Jequitinhonha,
distribuídas em todo Estado. No Triângulo,                  Metropolitana de Belo Horizonte e parte da
Vale   do    Rio   Doce      e    extremo     Sul,   as     região       Norte,     as        chuvas   ficaram
precipitações ficaram em média 150 mm                       consideravelmente acima da média histórica.
abaixo do esperado, isto porque a frente fria               Em alguns municípios foram registrados 200
ficou estacionária na região Norte do Estado.               mm acima do esperado para todo o mês.




Defesa Civil de Minas Gerais – Relatório Anual de Chuvas 2008-2009.                                          6
Fig.3 Precipitação acumulada em Novembro              Fig.4 Anomalia de precipitação em Novembro



   Em dezembro, as chuvas se concentraram                da média histórica. Entretanto, em algumas
principalmente      nas      regiões      Oeste,         localidades do Noroeste e Triângulo as chuvas
Metropolitana de Belo Horizonte, Zona da Mata            ficaram muito abaixo do esperado, em alguns
e em algumas áreas da região Norte. Na                   municípios a chuva acumulada ficou abaixo de
capital mineira, por exemplo, as chuvas                  50 mm.
ficaram aproximadamente 300 mm, 50% acima




 Fig.5 Precipitação acumulada em Dezembro             Fig.6 Anomalia de precipitação em Dezembro


   No mês de janeiro as chuvas ficaram                   na   região   Metropolitana   e   em      alguns
abaixo da média histórica em grande parte do             municípios das regiões Leste e Zona da Mata,
Estado. Os menores índices de chuva foram                onde as chuvas ficaram em média 100 mm
registrados no Triângulo e Noroeste. Os                  acima do esperado para o mês.
maiores valores acumulados foram registrados



Defesa Civil de Minas Gerais – Relatório Anual de Chuvas 2008-2009.                                    7
Fig.7 Precipitação acumulada em Janeiro               Fig.8 Anomalia de precipitação em Janeiro


   As chuvas no mês de fevereiro ficaram                 chuvas ficaram em torno da média histórica,
mais concentradas na primeira quinzena e, os             nas demais regiões houve um déficit de
maiores valores acumulados foram observados              precipitação.   O   déficit   hídrico    foi   mais
nas regiões Sul, Zona da Mata, Metropolitana,            acentuado nas regiões Norte e Leste, onde
Oeste, parte do Triangulo e Noroeste. Pode-se            praticamente não se observou chuva no mês
observar na figura abaixo que somente nas                de fevereiro.
regiões Metropolitana e Zona da Mata é que as




 Fig.9 Precipitação acumulada em Fevereiro            Fig.10 Anomalia de precipitação em Fevereiro


   Em    março    as   chuvas    tiveram     maior       Triângulo, Noroeste, Jequitinhonha e parte do
distribuição nas regiões Sul, Zona da Mata,              Norte do Estado, as chuvas continuaram
Metropolitana, Oeste e Vale do Rio Doce. Em              abaixo do esperado para o mês.
alguns municípios como Viçosa e Três Marias,                 No pontal do Triângulo, por exemplo,
as chuvas chegaram a ficar mais de 150 mm                choveu apenas 20% do esperado.
acima da média histórica. Nas regiões do

Defesa Civil de Minas Gerais – Relatório Anual de Chuvas 2008-2009.                                       8
Fig.11 Precipitação acumulada em Março                Fig.12 Anomalia de precipitação em Março



   O período chuvoso 2008/2009 foi marcado               Norte, Nordeste e Leste. Os meses mais
pela atuação do fenômeno La Niña, que atuou              chuvosos no Estado foram dezembro e janeiro,
com fraca intensidade, organizando pancadas              sendo que as precipitações ficaram muito
de chuvas com forte intensidade, com raios,              acima da média histórica nas regiões Oeste,
em algumas regiões do Estado. As chuvas no               Zona da Mata e RMBH. Uma forte onda de
mês de outubro ficaram abaixo da média                   calor marcou a segunda quinzena de fevereiro
histórica em todas as regiões. No mês de                 e primeira quinzena de março. Houve recorde
novembro, uma frente fria chegou em Minas                histórico de temperaturas nas regiões do
Gerais, onde ficou estacionária nas regiões              Jequitinhonha e RMBH.




Fig.13 Precipitação acumulada de Outubro a Março        Fig.14 Anomalia de precipitação de Outubro a Março




Defesa Civil de Minas Gerais – Relatório Anual de Chuvas 2008-2009.                                      9
Pode-se observar nas figuras da chuva          Mucuri. As precipitações ficaram abaixo da
acumulada do período e da anomalia, que as        média histórica no Triângulo, Noroeste e em
chuvas ficaram acima da média histórica nas       alguns   municípios   das   regiões   Norte   e
regiões da Zona da Mata, RMBH e Vale do           Nordeste.


       Fig. 15 - Precipitação acumulada em Belo Horizonte de Outubro de 2008 a Abril de 2009




            Fig. 16 Precipitação acumulada em Viçosa de Outubro de 2008 a Abril de 2009
Fig. 17 Precipitação acumulada em Três Marias de Outubro de 2008 a Abril de 2009




Fig. 18 Precipitação acumulada em Formiga de Outubro de 2008 a Abril de 2009




                                                                                    11
2 DANOS E PREJUÍZOS
                                                   industriais e comerciais, além de estradas,
   Em se tratando de Defesa Civil, os              obras de arte e pavimentação de vias
danos causados por desastres podem ser             urbanas que sofreram avarias devido ao
classificados como humanos, materiais e            excesso de chuvas.
ambientais. Já os prejuízos podem ser
econômicos      ou   sociais.     Nos   eventos
adversos    originados    pelas    chuvas,    os
danos e prejuízos causados, estão mais
relacionados à vulnerabilidade dos cenários
do que com o evento adverso em si, apesar
dos índices pluviométricos terem atingido
valores elevados em quase todo o território
do Estado neste último período.
                                                    Deslizamento de terra sobre Centro de Saúde
   Para melhor entendimento da extensão
                                                    em Ponte Nova/MG.
dos danos e prejuízos abordados neste
                                                      c) Os danos ambientais são aqueles
relatório é importante salientar que:
                                                   que se referem à poluição e contaminação
   a) Os danos Humanos serão medidos
                                                   do ar, da água ou do solo; degradação,
através de indicadores tais como número
                                                   perda de solo cultivado por erosão ou
de mortos, gravemente feridos, levemente
                                                   desertificação; desmatamento, queimada e
feridos,        enfermos,          desalojados,
                                                   riscos   de   redução   da   biodiversidade
desabrigados, desaparecidos, deslocados e
                                                   representada pela flora e pela fauna.
afetados de uma forma geral pelas chuvas.




 Vítima desabrigada pela chuva           no         Área degradada por rompimento de barragem
 município de Cataguases/MG.                        em Congonhas/MG.

   b)      Os    danos      materiais     serão
                                                            d) Os prejuízos econômicos são
mensurados      através     do     número     de
                                                   medidos através dos relatórios que indicam
residências, edificações públicas e privadas
de saúde, de ensino, comunitárias, rurais,


                                                                                                12
perdas nos setores da agricultura, pecuária,       desde que decorrentes do evento adverso
indústria e serviços.                              causado pela chuva.
                                                      No    período        aqui    abordado,    esta
   e) Os prejuízos sociais se referem à
                                                   Coordenadoria registrou 274 (duzentos e
interrupção temporária de serviços básicos,
                                                   setenta e quatro) comunicados de eventos
essenciais à normalidade social para a
                                                   pelos municípios afetados pelas chuvas.
população afetada e têm sua medida
                                                   Deste   total,    213    (duzentos      e   treze)
através da avaliação do abastecimento de
                                                   decretaram       situação      de   anormalidade,
água,      energia      elétrica,    transporte,
                                                   todos caracterizados como Situação de
comunicações, esgoto, gás, lixo, acesso à
                                                   Emergência.
saúde, educação e alimentos básicos,

   2.1 Registro de Vítimas Fatais

   O considerável aumento do volume de chuva
em todo o Estado, aliado à vulnerabilidade dos
cenários afetados, contribuíram para a elevação
do número de óbitos em Minas Gerais.

   Neste      último       período    chuvoso,
compreendido entre os meses de outubro
                                                    Além de suportar a perda de entes
de 2008 e abril de 2009, registramos o              queridos, as famílias têm de conviver com
maior número de vítimas fatais dos últimos          a perda dos bens materiais.

cinco anos, totalizando 44 (quarenta e
quatro)     falecimentos      decorrentes    de
eventos de chuva, conforme descrito nos
gráficos que veremos a seguir.

   Apesar do número elevado de mortes,
salienta-se que as ações de prevenção,
conscientização da população ao longo do
ano e a instalação de sistemas de alertas e
alarmes em alguns municípios de Minas,
contribuíram para que este índice não               Sepultamento de vítimas em decorrência de
                                                    evento adverso.
atingisse um patamar ainda mais alto.




                                                                                                  13
2.1.1 Detalhamento dos Óbitos
2.1.1.1 Quadro-resumo dos óbitos no atual período chuvoso:
                            MUNICÍPIO                 Data     ÓBITOS
                 BETIM                              17Set08       02
                 SALINAS                            12Nov08       01
                 ITAMBACURI                         29Nov08       01
                 ERVÁLIA                            16Dez08       04
                 ITABIRA                            16Dez08       01
                 JOÃO MONLEVADE                     17Dez08       01
                 CARMO DA MATA                      18Dez08       01
                 CATAGUASES                         18Dez08       01
                 BRUMADINHO                         19Dez08       01
                 MURIAÉ                             26Dez08       02
                 PRATA                              28Dez08       03
                 CONTAGEM                           29Dez08       01
                 BELO HORIZONTE                     31Dez08       03
                 BELO HORIZONTE                     31Dez08       01
                 BELO HORIZONTE                     03Jan09       01
                 ESPERA FELIZ                       07Jan09       01
                 BELO HORIZONTE                     22Jan09       01
                 TIROS                              22Jan09       01
                 NOVA BELÉM                         27Jan09       01
                 UBERABA                            05Fev09       01
                 SÃO PEDRO DOS FERROS               10Fev09       01
                 CRUZEIRO DA FORTALEZA              26Fev09       01
                 CRISTINA                           07Mar09       01
                 BELO HORIZONTE                     16Mar09       02
                 SARZEDO                            25Mar09       01
                 SÃO SEBASTIÃO DO RIO PRETO         27Mar09       04
                 DOM CAVATI                         31Mar09       01
                 VIÇOSA                             31Mar09       01
                 CAETÉ                              04Abr09       01
                 NOVA UNIÃO                         15Abr09       02
                                   TOTAL                          44
                Fonte: Centro de Controle de Emergências – CCE/CEDEC




                                                                        14
2.1.1.2 Quadro cronológico dos óbitos ocorridos no atual período chuvoso:

   MUNICÍPIO         Data     ÓBITOS                              HISTÓRICO
                                        Vítimas: 01) Jésus Leocárdio Teixeira Filho, de 34 anos, e
                                        02) Deise Raquel Nunes, de 18 anos, arrastados pelas
     BETIM          17Set08      02
                                        águas de uma galeria pluvial que transbordou com o
                                        excesso de chuvas.
                                        Vítima: Maria Cely dos Santos, 26 anos, atingida por
   SALINAS          12Nov08      01
                                        descarga atmosférica (raio) durante tempestade.
                                        Vítima: Salete Alves de Oliveira, 61 anos, desmoronamento
  ITAMBACURI        29Nov08      01
                                        de residência.
                                        Vítimas: 1) José Silvério de Souza, 60 anos; 2) Maria da
                                        Consolação Souza, 47 anos; 3) Lindomar Silvério de Souza,
   ERVÁLIA          16Dez08      04
                                        4 anos;       4) Josemar Silvério de Souza,               6 anos.
                                        Soterramento de residência por encosta.
                                        Vítima: Ana Jorge Rodrigues, 66 anos, desmoronamento de
    ITABIRA         16Dez08      01
                                        residência.
                                        Vítima: João Paulo Bruno, 21 anos; soterramento de
JOÃO MONLEVADE      17Dez08      01
                                        residência.
                                        Vítima: José Alberto da Silva, 62 anos; arrastada pela
                    18Dez08      01
CARMO DA MATA                           correnteza dentro do veículo particular.
                                        Vítima: Walter Resende de Oliveira, 57 anos; vitima de
                    18Dez08      01
 CATAGUASES                             afogamento pela enxurrada.
                                        Vítima: Custódio Pereira da Silva, 64 anos; vitima arrastado
 BRUMADINHO         19Dez08      01     pela correnteza do Rio Paraopeba quando atravessava uma
                                        ponte.
                                        Vítimas: 1) Carlos Alberto de Souza Júnior, 02 anos; 2)
    MURIAÉ          26Dez08      02     Lorran Aparecido de Souza 06 anos; soterramento de
                                        residência.
                                        Vítimas: 1) João Cândido Fagundes, 80 anos; 2) Gledes
                                        Almeida Fagundes, 50 anos; 3) Maria Almeida Fagundes, 78
    PRATA           28Dez08      03
                                        anos;     arrastados   pelas   águas     de   um      córrego     que
                                        transbordou devido ao excesso de chuvas.
                                        Vítima:     Henrique    de     Almeida     Pereira,     21      anos,
  CONTAGEM          29Dez08      01
                                        desmoronamento de residência.
                                        Vítimas: 1) Ronaldo Emílio Vieira, 51 anos; 2) Maria das
                                        Graças Santos Ribeiro, 51 anos; 3) Bianca Gabriela
BELO HORIZONTE      31Dez08      03     Antunes, 03 anos. As três vítimas de afogamento foram
                                        arrastadas pelas águas do Rio Arrudas durante a enchente
                                        ocorrida em 31/12/2008.


                                                                                                     15
MUNICÍPIO            Data     ÓBITOS                              HISTÓRICO
                                           Vítima: Leonardo de Souza Ângelo, 31. O IML (Instituto
                                           Médico Legal) de Belo Horizonte informou que o corpo de foi
BELO HORIZONTE          31Dez08     01     reconhecido por exames de arcada dentária. Ângelo teria
                                           sido arrastado pelas enxurradas e caído dentro do rio
                                           Arrudas, durante temporal ocorrido no dia 31/12/2008.
                                           Vítima: Maria do Rosário Ferreira, 41 anos. foi arrastada
BELO HORIZONTE          03Jan09     01     pelas águas do Rio Arrudas durante a enchente ocorrida em
                                           31/12/2008.
                                           Vítima: Mateus José Martins, 79 anos. Deslizamento de terra
  ESPERA FELIZ          07Jan09     01
                                           sobre residência.
                                           Vítima: Maria Margareth Rodrigues, 43 anos, foi arrastada
   Belo Horizonte       22Jan09     01     pelas águas do Rio Arrudas durante a enchente ocorrida em
                                           22/01/2009.
                                           Vítima: Bruno Barbosa Coutinho, 5 anos. Arrastado pela
        Tiros           22Jan09     01
                                           enxurrada caindo em um bueiro.
                                           Vítima: Gênison Romualdo Ventura, 4 anos. Deslizamento
    Nova Belém          27Jan09     01
                                           de terra sobre residência, deixou o menor soterrado.
                                           Vítima: Suelane Silva Sousa, 14 anos. Vítima de descarga
      Uberaba           05Fev09     01
                                           atmosférica.
                                           Vítima: Maria Helena Firmino, 52 anos. Deslizamento de
São Pedro dos Ferros    10Fev09     01
                                           terra sobre residência.
                                           Vítima: Altair Henriques Siqueira Sobrinho, 16 anos. Vítima
Cruzeiro da Fortaleza   26Fev09     01
                                           de descarga elétrica.
                                           Vítima: José Carlos Diniz, 50 anos, foi arrastado pelas águas
      Cristina          07Mar09     01
                                           do Rio Lambari durante a enchente ocorrida em 07/03/2009.
                                           Vítimas: Aloísio Carlos de Paula, 86 anos e Dalva Rocha de
                                           Paula, 86 anos (falecida no dia 18Mar09 – após período de
   Belo Horizonte       16Mar09     02     internação no hospital São Lucas) - ambas encontravam-se
                                           dentro   do    veículo    quando   o   nível   de   águas    pela
                                           enxurrada/alagamento cobriu o automóvel.
                                           Vítima: Juliana Helena Cardoso, 26 anos, foi arrastada pelas

      Sarzedo           25Mar09     01     águas do Córrego Engenho Seco, durante as intensas
                                           chuvas ocorrida no dia 24Mar09.
                                           Vítimas: 1) Geraldo da Silva Araújo de 38 anos; 2) Imária
                                           Marinho Ferreira de18 anos; 3) Alessandra dos Santos Silva
São Sebastião do Rio
                        25Mar09     04     Oliveira de 21 anos e 4) Daniela Marinho Ferreira de 16
       Preto
                                           anos. Foram arrastadas pelas águas da enxurrada na tarde
                                           do dia 25Mar09.
                                           Vítima: Mariana Vitória da Silva, 17 dias. Deslizamento de
    Dom Cavati          31Mar09     01
                                           terra sobre residência.


                                                                                                   16
MUNICÍPIO                 Data       ÓBITOS                                    HISTÓRICO
                                                         Vítima: Luiz Miguel Silveira Gandra, 8 meses. Deslizamento
      Viçosa           31Mar09               01
                                                         de terra sobre residência.
                                                         Vítima: Sérgio da Conceição, 21 anos, foi arrastado pelas
      Caeté            04Abr09               01
                                                         águas da enxurrada do dia 01Abr09.
                                                         Vítimas: Carlos Alexandre Dias da Silva, 15 anos, e Valter
  Nova União           15Abr09               02          Lages Dias, de 30 anos, ambos atingidos por descarga
                                                         atmosférica (raio) durante tempestade.
Fonte: Centro de Controle de Emergências - CCE/CEDEC


2.1.2 Causas dos óbitos ocorridos em consequência das chuvas:
Causa         Enxurradas      Desmoronamentos               Descarga atmosférica          Afogamento         Total
Óbitos           21                     15                             5                         3            44
Fonte: Centro de Controle de Emergências - CCE/CEDEC


2.1.3 Gráfico demonstrativo das causas dos óbitos ocorridos em conseqüência das
chuvas, no atual período chuvoso:
                                                    3
                                5                 (7%)
                              (11%)                                                 21
                                                                                  (48%)




                                                                                      Enxurradas
                                                                                      Desmoronamento
                        15                                                            Desc. Atmosférica
                      (34%)                                                           Afogamento




                           Fonte: Centro de Controle de Emergências - CCE/CEDEC




Análise dos dados:                                               algumas      ações      públicas         podem    influir
A soma dos percentuais dos óbitos relativos                      decisivamente na sua redução, seja através
às causas sobre as quais o poder público                         da intervenção nos ambientes urbanos,
tem pouca ou nenhuma capacidade de                               através de obras de contenção de encostas
intervenção      (descargas        atmosféricas      e           e outras, quer seja pela retirada preventiva
afogamentos), que correspondem a apenas                          das       pessoas      dos      locais      de    risco
18%, pode-se concluir que nos restantes                          previamente mapeados.
82%     (enxurradas    e      desmoronamentos)

                                                                                                                      17
2.1.4    Faixa etária dos óbitos ocorridos em conseqüência das chuvas:
           Faixa etária           0 a 14         15 a 65           Acima de 65            Total
             Vítimas                10              28                   6                 44
        Fonte: Centro de Controle de Emergências - CCE/CEDEC


2.1.5 Gráfico demonstrativo da faixa etária dos óbitos ocorridos em conseqüência das
chuvas:                                             De 0 a 14
                            Vítim as;
                                                       (10)
                           Acim a de 65
                               (6)




                             De 15 a 65
                                (28)




                          Fonte: Centro de Controle de Emergências - CCE/CEDEC
Análise dos dados:                                       que    esta   faixa   de   pessoas       possui
 Predominaram como vítimas as pessoas                    capacidade de reagir adequadamente a
com idade entre 15 e 65 anos (63%), faixa                eventuais alertas, alarmes e campanhas de
que engloba a população economicamente                   conscientização, o que poderá nortear
ativa e que por isso, traz prejuízos sociais             políticas preventivas futuras.
relevantes. Também se pode interpretar


2.1.6 Mapa demonstrativo dos municípios onde ocorreram os óbitos no Estado de
      Minas Gerais, em decorrência das chuvas.




                Fonte: Centro de Controle de Emergências - CCE/CEDEC


                                                                                                      18
Análise do mapa temático:                                             que, doravante, este levantamento seja
 Observa-se uma coincidência entre as                                  atualizado periodicamente para análise de
 regiões de elevada pluviosidade e as áreas                            eventuais reincidências e direcionamento
 de ocorrências de óbitos. Recomenda-se                                de ações preventivas.


 2.1.7    Quadro demonstrativo do número de óbitos, por período chuvoso:


Período    2002/2003       2003/2004              2004/2005          2005/2006          2006/2007           2007/2008   2008/2009
Óbitos           50              20                  18                    16                26                20           44
             Fonte: Centro de Controle de Emergências - CCE/CEDEC




 2.1.8 Gráfico demonstrativo da quantidade de óbitos, por período chuvoso:


                          60
                                 50
                          50                                                                      44
                          40

                          30                                                26
                                             20          18                            20
                          20                                     16

                          10

                           0
                               03



                                         04


                                                     05



                                                                 06



                                                                            07


                                                                                      08



                                                                                                  09
                              20



                                        20


                                                    20



                                                               20



                                                                           20


                                                                                      20



                                                                                                 20
                             /



                                         /


                                                     /



                                                                 /



                                                                         /


                                                                                    /



                                                                                               /
                          02



                                      03


                                                  04



                                                              05



                                                                      06


                                                                                 07



                                                                                            08
                         20



                                   20


                                              20



                                                          20



                                                                      20


                                                                                 20



                                                                                            20




                           Fonte: Centro de Controle de Emergências - CCE/CEDEC




 Análise dos dados:                                                    ultrapassou em muito a média histórica em
             A        quantidade         de         óbitos             alguns          meses.          Em     Cataguases,    por
 aumentou        sensivelmente          (120%)            em           exemplo, ocorreram chuvas 50% além do
 relação ao último período chuvoso. Um                                 habitual no mês de Dezembro/2008 e Ponte
 interessante ponto de vista é a associação                            Nova com 150 mm                        acima da média
 deste número aos índices pluviométricos de                            histórica para aquela região, no mês de
 determinadas regiões e especificamente em                             outubro.
 algumas     cidades,      onde         este        índice




                                                                                                                             19
2.2      Registro de Feridos

          O número de pessoas feridas no
 atual período chuvoso chegou a 483
 (quatrocentos e oitenta e três) pessoas.
 Um       aumento         considerável          quando
 comparamos este mesmo indicativo do
 período passado (2007/2008), que foi de
 apenas 45 (quarenta e cinco) pessoas em
 decorrência de índices menores de chuvas
                                                                    Vítima ferida sendo atendida.
 que atingiram o Estado.

          Este indicativo também se destacou                  Belo Horizonte, Contagem e Betim. Para
 sobre os números dos últimos cinco anos,                     melhor      avaliação    deste     indicador        e
 conforme      relatado        nos     gráficos    que        avaliação da magnitude de um desastre,
 compõem este relatório.                                      cabe-nos ressaltar que:

          Conforme se verificou na análise                                feridos graves exigem internação
 meteorológica           do     período         chuvoso       em hospitais;
 2008/2009 anexo a este relatório, as
                                                                             feridos   leves     podem        ser
 chuvas mais intensas ocorreram nos meses
                                                              atendidos em regime ambulatorial e não
 de      outubro     e    dezembro         de     2008.
                                                              demandam         cuidados     médicos          mais
 Consequentemente             observamos        que     o
                                                              importantes,     sendo   um      critério    pouco
 número de feridos nestes dois meses
                                                              significativo para definir a severidade de um
 mostrou-se mais acentuado, considerando
                                                              desastre.
 principalmente,         que     as     precipitações
 atingiram grandes centros urbanos, como




 2.2.1    Quadro demonstrativo do número de feridos, por período chuvoso:


Período     2002/2003          2003/2004    2004/2005       2005/2006     2006/2007    2007/2008          2008/2009
Vítimas        292               629              298         153            301            45              483
       Fonte: Centro de Controle de Emergências - CCE/CEDEC




                                                                                                                  20
2.2.2 Gráfico demonstrativo da quantidade de feridos, por período chuvoso:

                     700
                                      629
                     600
                                                                                               482
                     500
                     400
                           292                   298                   301
                     300
                                                            153
                     200
                     100                                                             45

                       0
                           3



                                      4



                                                 5



                                                            6



                                                                       7



                                                                                  8



                                                                                               9
                           00



                                     00



                                               00



                                                          00



                                                                    00



                                                                                00



                                                                                           00
                          /2



                                     /2



                                               /2



                                                          /2



                                                                    /2



                                                                                /2



                                                                                           /2
                      02



                                 03



                                            04



                                                       05



                                                                  06



                                                                             07



                                                                                          08
                     20



                                20



                                          20



                                                     20



                                                               20



                                                                           20



                                                                                      20
                     Fonte: Centro de Controle de Emergências - CCE/CEDEC




Análise dos dados:                                                atual temporada chuvosa encerrou-se em
      Observa-se um aumento abrupto                               abril, enquanto que na anterior isto ocorreu
(1.071%) da quantidade de feridos em                              em março, como de costume. Outro fato
relação ao último período chuvoso. Este                           que colaborou para o baixo índice do último
número deve ser avaliado em associação                            período foi o longo tempo de estiagem que
aos números dos índices pluviométricos                            afetou o Estado nos últimos dez anos.
dos períodos anteriores. Ressalte-se que a



2.3   Registro de Desabrigados
                                                                  áreas de risco iminente de serem afetadas,
      Desabrigados são pessoas cujas
                                                                  e que necessitam de abrigos temporários
habitações foram destruídas ou danificadas
                                                                  para serem alojadas.
por desastres, ou estão localizadas em

                                                                  O número de desabrigados é um critério
                                                                  preponderante para mensurar o porte de
                                                                  um desastre, tendo em vista que a criação.

                                                                  de abrigos temporários ou instalações
                                                                  similares, geralmente geram ônus para a
                                                                  administração pública, que fica responsável
                                                                  pelo acolhimento das vítimas e pela guarda
                                                                  de seus bens.

 Vítimas desabrigadas pela chuva, sendo
 atendidas por integrantes da Defesa Civil.



                                                                                                           21
O cadastramento correto e idôneo                                            Neste    período      chuvoso      de
 das      pessoas    desabrigadas                 irá       definir            2008/2009 registrou-se um total de 11.630
 também a demanda para a necessidade de                                        (onze mil seiscentos e trinta) pessoas
 instalações,       de           recursos             humanos,                 desabrigadas.
 institucionais e materiais necessários para
 assistir à população afetada.

 2.3.1 Detalhamento de desabrigados
 2.3.1.1 Quadro comparativo da quantidade de pessoas desabrigadas:


Período     2002/2003             2003/2004           2004/2005            2005/2006     2006/2007   2007/2008    2008/2009
Vítimas       12.500                   7.495             9.090                 6.100      14.771          4.345        11.630
       Fonte: Centro de Controle de Emergências - CCE/CEDEC


 2.3.1.2 Gráfico comparativo do número de pessoas desabrigadas:

                16.000                                     14.771
                14.000         12.500
                                                                        11.630
                12.000
                10.000                 9.090
                                   7.495
                 8.000
                                                    6.100
                 6.000                                             4.345
                 4.000
                 2.000
                         0
                             3

                                   4

                                            5

                                                    6

                                                            7

                                                                    8

                                                                           9
                         00

                                  00

                                          00

                                                 00

                                                         00

                                                                 00

                                                                        00
                         /2

                                  /2

                                         /2

                                                 /2

                                                         /2

                                                                 /2

                                                                        /2
                     02

                              03

                                       04

                                               05

                                                      06

                                                              07

                                                                      08
                    20

                             20

                                   20

                                            20

                                                    20

                                                            20

                                                                   20




                 Fonte: Centro de Controle de Emergências - CCE/CEDEC


 Análise dos dados                                                             ambos. Pode-se estabelecer uma relação
 O acréscimo de desabrigados no atual                                          de ascensão e queda da quantidade de
 período (267%) em relação ao anterior está                                    desabrigados com o índice pluviométrico do
 relacionado com o índice pluviométrico de                                     período em análise.


 2.4      Registro de Desalojados

          Podemos considerar como pessoas
 “desalojadas”, aquelas cujas habitações
 foram      danificadas           ou        destruídas           ou
 afetadas de alguma forma, mas que, não
 necessariamente              precisam          de       abrigos
                                                                                 Bairro da cidade de Senador Firmino/MG
 temporários.                                                                    atingido por enchentes.

                                                                                                                          22
Podemos considerar que quando o
              Em algumas situações, nem todas
                                                                            número de desabrigados é maior que o
    as pessoas que foram retiradas de suas
                                                                            número de desalojados, decorrentes de
    habitações,       em        circunstâncias              de
                                                                            desastre de chuva, existe uma maior
    desastres, optam por ficar em abrigos
                                                                            vulnerabilidade na comunidade afetada.
    temporários, por isto são classificadas
    como “desalojadas”.                                                              No último período chuvoso, o Estado
                                                                            registrou 113.548 pessoas desalojadas.
              O acolhimento das famílias afetadas
    em casas de amigos e parentes reduz
    sobremaneira a demanda para a criação de
    abrigos temporários.


    2.4.1 Detalhamento Desalojados
    2.4.1.1 Quadro demonstrativo do número de pessoas desalojadas, por período chuvoso:
  Período       2002/2003       2003/2004              2004/2005       2005/2006         2006/2007        2007/2008        2008/2009
Desalojados       31.028             22.942             42.993              14.600         54.331            1.875          113.548
       Fonte: Centro de Controle de Emergências - CCE/CEDEC


    2.4.1.2 Gráfico demonstrativo da quantidade de desalojadas, por período chuvoso:
                           120.000                                113.548

                           100.000

                            80.000

                            60.000                       54.331
                                              42.993
                                     31.028
                            40.000
                                       22.942     14.600
                            20.000
                                                              1.875
                                0
                              20 003

                              20 004


                                 05 5

                                 06 6
                              20 007


                                 08 8

                                       9
                              20 00

                              20 00



                              20 00

                                     00
                                   /2

                                   /2

                                   /2

                                   /2

                                   /2

                                   /2

                                   /2
                                 02

                                 03

                                 04




                                 07
                              20




                     Fonte: Centro de Controle de Emergências - CCE/CEDEC

    Análise dos dados
              Este indicativo está correlacionado                           de centenas de famílias das áreas afetadas.
    com o número de moradias afetadas pela                                  Portanto, concluímos que as chuvas que
    chuva. Conforme analisado neste relatório, as                           atingiram      estas         três        localidades,
    precipitações com índices acima de 100                                  principalmente nos meses de outubro e
    mm/dia foram registradas em grandes centros                             dezembro       de        2008,        contribuíram
    urbanos,      atingindo      principalmente             os              sobremaneira    para     o    alto   índice    deste
    municípios de Belo Horizonte, Contagem e                                indicativo neste último período.
    Betim, onde houve a necessidade de retirada


                                                                                                                               23
2.5 Registro de Pontes Danificadas
Neste período em questão, a CEDEC/MG
registrou 609 (seiscentos e nove) pontes
danificadas,        de         acordo            com         a
documentação enviada pelas prefeituras do
Estado.
O excesso de chuva e a precariedade das
estruturas das construções das obras de
arte, principalmente nas zonas rurais dos
                                                                              Ponte destruída pela ação das chuvas do
municípios, contribuíram para o aumento                                       município de Natércia/MG.
deste indicador de danos materiais.


2. 5.1 Detalhamento de Pontes Danificadas
2.5.1.1 Quadro comparativo do número de pontes danificadas:

     Mês          2002/2003      2003/2004         2004/2005           2005/2006   2006/2007   2007/2008   2008/2009
    Pontes          977                599              499                 201       943          54          609
        Fonte: Centro de Controle de Emergências - CCE/CEDEC

2.5.1.2 Gráfico comparativo de pontes danificadas:

                     1.200
                               977                     943
                     1.000

                         800
                                                                      609
                                     599
                         600               499

                         400
                                                 201
                         200                                     54

                          0
                     20 003

                     20 004

                     20 005

                     20 006

                     20 007

                     20 008

                              9
                            00
                          /2

                          /2

                          /2

                          /2

                          /2

                          /2

                          /2
                        02

                        03

                        04

                        05

                        06

                        07

                        08
                     20




                  Fonte: Centro de Controle de Emergências - CCE/CEDEC

Análise dos dados                                                       O fato de o período atual ter sido encerrado
O    indicativo     do     número          de      pontes               no mês de abril, e não no mês de março
danificadas ficou dentro da média dos anos                              deste ano, contribuiu para uma pequena
anteriores, com exceção do último período.                              elevação do número deste indicativo.




                                                                                                                     24
pavimentação       urbana    nos     municípios
2.6       REGISTRO                  DE              PONTES
                                                                                  afetados pelas intensas precipitações.
         DESTRUÍDAS

         No      último                 período             esta
Coordenadoria                     registrou                  419
(quatrocentos            e        dezenove)             pontes
destruídas pela ação das chuvas.

         O grande volume de chuva que
afetou todo o Estado de Minas, desde o
mês     de    setembro             de        2008,        incidiu
diretamente para o aumento dos danos
causados, não somente nas pontes, como                                               Ponte destruída na área rural de Novo
                                                                                     Cruzeiro/MG.
também        nas        galerias,             bueiros            e

2.6.1 Detalhamento de pontes destruídas
2.6.1.1 Quadro comparativo do número de pontes:

  MESES             2002/2003           2003/2004           2004/2005             2005/2006    2006/2007   2007/2008     2008/2009
Nº de Pontes             709                  259                 306                212            710         24          419
      Fonte: Centro de Controle de Emergências - CCE/CEDEC

2.6.1.2 Gráfico comparativo de pontes destruídas:

                800                                       710
                         709
                700
                600
                500                                                         419
                400                      306
                300               259
                                                  212
                200
                100                                               24
                    0
                        3


                               4


                                        5


                                               6


                                                        7

                                                                8


                                                                        9
                    00


                             00


                                        00


                                               00


                                                     00


                                                                00


                                                                       00
                    /2


                             /2


                                    /2


                                             /2


                                                     /2


                                                             /2


                                                                       /2
                02


                         03


                                   04


                                          05


                                                  06

                                                          07


                                                                  08
               20


                        20


                               20


                                        20


                                               20


                                                        20


                                                                20




               Fonte: Centro de Controle de Emergências - CCE/CEDEC

Análise dos dados                                                                 comparativa com os dados do último
O número de pontes destruídas ficou                                               período 2007/2008, já foi afetado pela
proporcional ao número de municípios                                              diminuição    extrema       das    precipitações
afetados. Como descrito nos indicadores                                           pluviométricas.
anteriores, não há como fazer uma análise


                                                                                                                                  25
2.7 Registro de Casas Danificadas e Destruídas


                                                                   No    que    se     refere       às    residências
                                                              danificadas e destruídas verifica-se que um
                                                              fator      determinante           é        ainda,       a
                                                              vulnerabilidade das residências face às
                                                              precipitações hídricas.
        Residência danificada no município de
        Ervália/MG.


    Observa-se          que        as      ocupações               Fica evidente que a vulnerabilidade das
 habitacionais          em        áreas      urbanas          edificações,      a     ocupação           irregular    e
 permanecem desordenadas e cada vez                           desordenada do solo, cada vez maior, e o
 mais a população se instala em áreas de                      aumento          contínuo         da        população,
 risco, sem infra-estrutura e com moradias                    associados       com     a     intensificação          das
 erguidas sem nenhum acompanhamento                           precipitações hídricas do último período,
 técnico.                                                     constituem       fatores       que         contribuíram
                                                              sobremaneira          para    este     aumento         do
    Neste último período, os indicadores de
                                                              número de edificações afetadas.
 residências      danificadas          e   destruídas
 apresentaram os números mais elevados
 se comparado aos últimos cinco anos.
 2.7.1 Detalhamento de Residências Danificadas pela Chuva:
 2.7.1.1 Quadro comparativo do número de residências danificadas:
Mês         2002/2003        2003/2004     2004/2005     2005/2006       2006/2007         2007/2008        2008 / 2009
Casas         9.842            9.594         13.107        6.050           9.568             2.101            29.523
      Fonte: Centro de Controle de Emergências - CCE/CEDEC

 2.7.1.2 Gráfico comparativo do número de residências danificadas:

                        35.000
                                                                29.523
                        30.000
                        25.000
                        20.000 9.842
                        15.000           13.107
                                   9.594            9.568
                        10.000                6.050
                         5.000                            2.101
                             0
                                      03


                                        4

                                        5

                                        6

                              20 007


                                        8

                                        9
                                     00

                                     00

                                     00




                                     00

                                     00
                                    20

                                   /2

                                   /2

                                   /2

                                   /2

                                   /2

                                   /2
                              /
                           02

                                03

                                04

                                05

                                06

                                07

                                08
                         20

                              20

                              20

                              20

                              20




                              20




                                                                                                                      26
Fonte: Centro de Controle de Emergências - CCE/CEDEC
   Análise dos dados                                                          Horizonte,    Betim       e   Contagem),         foram
   O aumento significativo do número de                                       severamente castigados pelas chuvas no
   residências danificadas, em comparação                                     período em questão. Com grande parte dos
   aos    períodos      anteriores,           pode           ser              grandes centros atingidos pela força das
   compreendido principalmente pelo fato de                                   águas,     este      indicativo      apresentou        o
   que, alguns municípios da RMBH (Belo                                       acréscimo      descrito       no    gráfico     acima.


      2.8 Detalhamento de Residências Destruídas
   Mês        2002/2003      2003/2004             2004/2005            2005/2006       2006/2007       2007/2008      2008/2009
Residências     1.766             1.130                685                 1.211           1.521            94              1.100
      Fonte: Centro de Controle de Emergências - CCE/CEDEC


      2.8.1 Gráfico comparativo do número de residências destruídas:

                      2.000
                      1.800 1.766              1.521
                      1.600
                      1.400              1.211                                  1.100
                               1.130
                      1.200
                      1.000          685
                        800
                        600
                        400                          94
                        200
                          0
                             03

                                      04

                                              05

                                                       06

                                                               07

                                                                        08

                                                                                09
                             0

                                     0

                                              0

                                                      0

                                                               0

                                                                       0

                                                                                0
                          /2

                                  /2

                                           /2

                                                   /2

                                                            /2

                                                                    /2

                                                                             /2
                        02

                                 03

                                         04

                                                  05

                                                          06

                                                                   07

                                                                           08
                      20

                             20

                                      20

                                              20

                                                       20

                                                               20

                                                                        20




                     Fonte: Centro de Controle de Emergências – CCE/CEDEC


      Análise dos dados
      O número de residências destruídas, não                                   sofreram         danos       que       pudessem
      foi tão alarmante quanto o das edificações                                comprometer a estrutura dos imóveis. Os
      danificadas.      Apesar        da          chuva        ter              dados computados neste indicador, são
      castigado a Capital Mineira e municípios                                  em      grande     parte,        observados         nos
      circunvizinhos, a estrutura das residências                               municípios do interior do Estado.
      construídas nas áreas afetadas, não




                                                                                                                                    27
3 AÇÕES DE DEFESA CIVIL NO PERÍODO
CHUVOSO




                                        Chuvas em Ponte Nova/MG.

     No Estado de Minas Gerais o período           de rios, córregos, lagos e açudes.
chuvoso     ocorre   entre os       meses    de
                                                      Em    função      da     magnitude,     as
outubro do ano anterior até o mês de abril
                                                   inundações,       através      de       dados
do    ano   seguinte,    situação     que    há
                                                   comparativos    de    longo    prazo,     são
precipitação    significativa   a    ponto   de
                                                   classificadas em:
tornar-se um evento adverso causador de
um desastre. No relatório em pauta serão              - inundações excepcionais;
avaliadas as ações de defesa civil de                 - inundações de grande magnitude;
01Out08 a 30Abr09.                                    - inundações normais ou regulares;
                                                      - inundações de pequena magnitude.
     Como      conseqüência     de     chuvas
intensas, aliadas à vulnerabilidade das               Tal classificação apresentada permite a
áreas atingidas, ocorrem as inundações,            identificação do tamanho da área atingida
estas são definidas pela doutrina como             e seu potencial destrutivo em causar
um transbordamento de água proveniente             danos humanos, materiais e ambientais.


                                                                                              28
Em função da tipologia, as inundações         As inundações ocorrem em todas as
são classificadas em:                        regiões com todos os padrões de clima,
  - enchentes ou inundações graduais;        inclusive regiões semi-áridas, como o
  - enxurradas ou inundações bruscas;        norte do Estado, quando recebem chuvas
  - alagamentos.                             concentradas.

  As inundações têm como causa a
precipitação anormal de água que, ao
transbordar dos leitos nos rios, lagos,
canais e áreas represadas, invadem os
terrenos adjacentes, provocando danos e
prejuízos.

  O incremento dos caudais superficiais,
na maioria das vezes, é provocado por         Inundação Rio Arrudas – Belo Horizonte.
precipitações intensas e concentradas,
                                                Com intuito de prestar assistência e
mas também, pode ter outras causas
                                             defesa permanente contra as calamidades
imediatas e/ou concorrentes, como:
                                             públicas, a Defesa Civil se organiza de
  - elevação dos leitos dos rios por
                                             forma sistêmica, se articulando nos níveis
assoreamento;
                                             de governo federal, estadual e municipal
  - redução da capacidade de infiltração
                                             em estreita interação com os órgãos
do solo,     causada por     ressecamento,
                                             setoriais e de apoio, bem como os
compactação      e/ou    impermeabilização
                                             Núcleos Comunitários de Defesa Civil
(asfalto por exemplo);
                                             (Nudec), denominado Sistema Nacional
  - saturação do lençol freático por
                                             de Defesa Civil (Sindec).
antecedentes próximos, de precipitações
continuadas;                                    A Secretaria Nacional de Defesa Civil
  - rompimento de barragens construídas      (Sedec), no âmbito do Ministério da
com tecnologia inadequada;                   Integração Nacional, é o órgão central
  - drenagem deficiente de terrenos          deste Sistema, responsável por articular,
situados à montante de aterros, em           coordenar, supervisionar tecnicamente e
estradas que cortem transversalmente         promover as ações de defesa civil, em
vales de riachos;                            todo o território nacional.
  - estrangulamento de leitos de rios,
                                                A atuação da defesa civil visa melhorar
provocado       por      desmoronamentos
                                             e dinamizar o pronto atendimento à
causados        por      terremotos     ou
                                             população local em caso de emergências
deslizamentos         relacionados    com
                                             e desastres, para garantir a dignidade das
intemperismo.

                                                                                        29
pessoas. Dessa forma, possibilita que os             - propor à autoridade competente a
órgãos       de      defesa       civil   atuem    decretação ou homologação de situação
imediatamente no socorro e assistência             de emergência e de estado de calamidade
das populações atingidas por desastres             pública,     observando              os      critérios
em qualquer região do Estado.                      estabelecidos pelo Conselho Nacional de
                                                   Defesa Civil (Condec);
   O Sindec se articula nos três níveis de
                                                     - executar a distribuição e o controle
governo, tendo como responsabilidade:
                                                   dos    suprimentos             necessários         ao
   -     planejar   e    promover     a   defesa   abastecimento,         e,     em     situações     de
permanente contra os desastres naturais,           desastres, administrar recursos humanos
aqueles que são causados pelo homem e              e logísticos para resposta aos desastres.
mistos, de maior prevalência no país;
                                                     O desastre ocorre no município, desta
   - prevenir e minimizar danos, socorrer e
                                                   forma, a implantação e operacionalização
assistir as populações afetadas, reabilitar
                                                   das Coordenadorias Municipais de Defesa
e reconstruir os cenários deteriorados
                                                   Civil (Comdec) é muito importante para o
pelos desastres;
                                                   fortalecimento do Sistema Estadual de
   - atuar na iminência ou em situação de
                                                   Defesa Civil.
desastres.
                                                     Há diversidade de desastres naturais,
   Incluída no Sindec, a Coordenadoria
                                                   humanos      e       mistos    que        afetam   os
Estadual de Defesa Civil (CEDEC) tem
                                                   municípios       e    estes        precisam      estar
destacada as seguintes atribuições:
                                                   preparados para otimizar as ações de
   - coordenar e executar as ações de              resposta     para      atender       a     população
defesa civil no Estado de Minas Gerais;            afetada, reduzindo danos e prejuízos.
   - manter atualizadas e disponíveis as
                                                   O Decreto nº 5.376, de 17 de fevereiro de
informações relacionadas           com    defesa
                                                   2005, regulamenta o Sistema Nacional de
civil;
                                                   Defesa Civil.
   - elaborar e implementar planos e
programas;
   -     prever     recursos      orçamentários
próprios     para   as    ações     preventivas,
assistenciais ou de recuperação;
   - capacitar recursos humanos para as
ações de defesa civil;
   - manter o órgão central do Sindec
informado      sobre     as    ocorrências   de
                                                     Viatura da CEDEC em resposta a desastre.
desastres e atividades de defesa civil;

                                                                                                        30
3.1 A Segurança Global da População:                     – prevenção de desastres;
                                                         – preparação para emergências e
   O conceito de segurança global da
                                                               desastres;
população caracteriza a redução dos
                                                         – resposta aos desastres;
desastres como um importante objetivo
                                                         – reconstrução.
nacional.
                                                         Também             ficou     claramente
   Elegeu-se internacionalmente a ação
                                                      estabelecido, em nível internacional, que
reduzir, porque as ações “eliminar e
                                                      existem profundas relações interativas
erradicar desastres” definem objetivos
                                                      entre:
inatingíveis.
                                                         1. o desenvolvimento sustentado e
   Também internacionalmente definiu-se
                                                      responsável
que a redução dos desastres abrange os
                                                         2. a proteção ambiental
seguintes aspectos globais:
                                                         3. a redução dos desastres
                                                         4. o bem-estar social




Figura 19 – Ciclo de ações de defesa civil




                                     PREVENÇÃO




                                             AÇÕES
   RECONSTRUÇÃO                              DEFESA                    PREPARAÇÃO
                                              CIVIL




                                         RESPOSTA


Fonte: Secretaria Nacional de Defesa Civil




                                                                                               31
4 AÇÕES DE PREVENÇÃO
      As   atividades            desenvolvidas         pela        Neste     contexto,        o     planejamento
CEDEC no período de normalidade estão                         preventivo tem a finalidade de reduzir as
voltadas       para          a     minimização         dos    possibilidades       de        desastres        e    a
desastres, com atividades na área de                          intensidade dos mesmos, através de
prevenção            e           preparação            para   ações de prevenção que identificam os
emergências:                                                  riscos,      ameaças       e        vulnerabilidades
                                                              existentes     no    município,           através   do
      - através da Diretoria de Comunicação
                                                              mapeamento das áreas com probabilidade
Social     (DCS)         a       CEDEC      realiza      a
                                                              da ocorrência de eventos adversos.
conscientização da população sobre a
gravidade        dos         desastres,     sobretudo              A realidade nos mostra que os recursos
através da mídia;                                             utilizados com as ações de resposta e
      -    o     Centro           de    Controle        de    reconstrução de áreas degradadas por
Emergências              (CCE)           realiza         o    desastres são muito altos e desviam
acompanhamento dos riscos do Estado,                          recursos que poderiam ser investidos em
através do controle em planilhas e análise                    programas de desenvolvimento social da
dos        desastres              notificados      pelas      população.
Coordenadorias Municipais de Defesa
                                                                   As atividades de prevenção estão
Civil e outros órgãos componentes do
                                                              relacionadas à avaliação e redução de
Sindec;
                                                              riscos de desastres.
      - a Diretoria Técnica cadastra e
organiza um banco de dados sobre as                           4.1 Avaliação de Risco de Desastres:
decretações de situação de emergência e
                                                                   Compreende ao estudo das ameaças
estado de calamidade pública;
                                                              de     desastres,    estudo          do     grau    de
      - através de uma parceria com o MG
                                                              vulnerabilidade do sistema e dos corpos
Tempo / Cemig Puc Minas o CCE
                                                              receptores     e    síntese      conclusiva         que
acompanha            a           monitorização         dos
                                                              permite hierarquizar os riscos e definir as
fenômenos climáticos e envia alertas para
                                                              áreas de maior risco.
os municípios, relativos à previsão de
desastres;                                                    4.2 Redução de Riscos de Desastres:
      - a Diretoria Administrativa realiza a
                                                                   Caracteriza-se, através medidas não-
revisão        dos       recursos        institucionais,
                                                              estruturais e medidas estruturais que
humanos e materiais para o emprego em
                                                              possibilitem a proteção da população e do
apoio      aos    municípios           em       caso    de
                                                              seu patrimônio.
desastres.

                                                                                                                    32
– Medidas não-estruturais, dentre as              acontecem          e         a       ajuda      externa
quais   destaca-se o planejamento             da    normalmente         demora            a    chegar,      é
ocupação e da utilização do espaço                  importante        que    a       comunidade       e     o
geográfico, em função da definição de               Governo Municipal estejam conscientes
áreas de risco, e o aperfeiçoamento da              da      necessidade              de        um     órgão
legislação      sobre     segurança       contra    governamental            e       de        associações
desastres;                                          comunitárias que visem à segurança da
                                                    comunidade.
  – Medidas         estruturais,      também
chamadas de medidas de “pedra-e-cal”,                    É de suma importância a criação de um
que têm por finalidade aumentar o nível de          órgão responsável pela proteção global da
segurança       intrínseca    dos     biótopos      população, a Comdec ou órgão similar,
humanos,        através      de     atividades      sendo        de    competência             do     Poder
construtivas.                                       Executivo Municipal incentivar                   a sua
                                                    criação e implantação no município.

                                                         É necessário que a população esteja
                                                    organizada, preparada e orientada sobre o
                                                    que fazer e como fazer, pois somente,
                                                    assim, a comunidade poderá prevenir e
                                                    dar resposta eficiente aos desastres.

                                                         As ações mais importantes a serem
  Exemplo de medida estrutural.                     desenvolvidas          pela      Comdec         são    as
                                                    preventivas e de preparação, que têm por
  As medidas não-estruturais devem ser
                                                    objetivo evitar que o desastre ocorra.
consideradas prioritariamente uma vez
que são economicamente mais viáveis.                     A principal atribuição da Comdec é
                                                    conhecer      e    identificar        os     riscos    de
  Seus objetivos são:
                                                    desastres no município. A partir deste
  – minimizar       a     magnitude       e    a    conhecimento é possível preparar-se para
prevalência das ameaças de acidentes ou             enfrentá-los, com a elaboração de planos
eventos adversos;                                   específicos onde é estabelecido o que
  – minimizar      a    vulnerabilidade       dos   fazer, quem faz, como fazer, e quando
cenários e das comunidades em risco aos             dever ser feito.
efeitos desses eventos.
                                                         Desta    maneira,           a    CEDEC           atua
4.3 A importância das Comdec:                       conforme      as       orientações         da   Política
                                                    Nacional de Defesa Civil, dando ênfase no
  Como é no município que os desastres

                                                                                                             33
apoio e capacitação das Coordenadorias               que   podem         ocorrer   nos     cenários
Municipais de Defesa Civil (Comdec).                 estudados.

   O Estado de Minas Gerais possui                     A Coordenadoria Estadual de Defesa
atualmente 618 Comdec, ou seja, 235                  Civil distribuiu o Ofício Governamental nr
municípios mineiros ainda não possuem                58/09 aos Prefeitos dos 853 municípios e
Defesa Civil e estão mais vulneráveis,               todas as Associações Microrregionais do
assim a CEDEC busca a conscientização                Estado de Minas Gerais, objetivando a
do poder público municipal.                          criação     de   Comdec       atuante,    com
                                                     visibilidade, autoridade e capacidade de
   Os Núcleos de Defesa Civil (Nudec)
                                                     congregar todos os órgãos disponíveis no
podem ser organizados em diferentes
                                                     município    para    resposta    oportuna   e
Grupos Comunitários que constituem os
                                                     eficiente na administração dos eventos,
distritos,     vilas,    povoados,    bairros,
                                                     visando à adoção de medidas preventivas
quarteirões, edificações de grande porte e
                                                     por parte das cidades, para evitar ou
distritos industriais. Funcionam como elos
                                                     minimizar as conseqüências de possíveis
entre a comunidade e o governo municipal
                                                     desastres    provenientes       das   chuvas.
através da Comdec, com o objetivo de
                                                     Foram distribuídas também, cartilhas de
reduzir      desastres   e   de   promover   a
                                                     “Orientações sobre atividades de Defesa
segurança da população contra desastres,
                                                     Civil” nos cursos realizados pela CEDEC.




          Fonte: Diretoria de Planejamento / CEDEC




                                                                                                  34
5 AÇÕES DE PREPARAÇÃO

     A preparação para emergências e                                Planejar e selecionar os locais
desastres            objetiva         otimizar         o    para abrigos provisórios;
funcionamento do Sistema Nacional de                                Confeccionar        o      Plano     de
Defesa              Civil         (Sindec)             e,   Contingência para os principais desastres.
conseqüentemente, as ações preventivas
de       resposta      aos       desastres       e    de         Neste sentido, a CEDEC programa e
reconstrução.                                               executa o treinamento de sua equipe para
                                                            se     capacitarem     e        atenderem    os
     Dentre    as        ações      de     preparação
                                                            municípios e a comunidade com maior
destaca-se:
                                                            efetividade.
          Realizar e manter atualizado o
                                                                 Para maximizar a aprendizagem é
cadastramento da população das áreas de
                                                            realizado         intercâmbio               com
risco;
                                                            Coordenadorias de Defesa Civil de outros
          Coordenar os órgãos e instituições
                                                            Estados da Federação, bem como cursos
que compõem o Sindec, no município;
                                                            em parceria com a Secretaria Nacional de
          Organizar as brigadas ou equipes
                                                            Defesa Civil.
por áreas de atuação;
          Planejar, programar e executar
treinamento         de      pessoal       para       cada
atividade das áreas de atuação;
          Selecionar, organizar e realizar
treinamento para voluntários;
          Realizar       práticas     e    simulados,
periodicamente;
          Aplicar recursos para desenvolver
projetos de medidas estruturais e não-
                                                                 Curso Incident Command System
estruturais;
          Estabelecer         um         sistema      de
                                                                 Dentre estes cursos destaca-se o
captação de informações e indicadores
                                                            Incident Command System (ICS) realizado
para análise diária (monitorização);
                                                            em Belo Horizonte, pela Guarda Costeira
          Estabelecer e divulgar o sistema
                                                            Americana, no período de 10 a 14 de
de captação para emissão de alerta e
                                                            março de 2008. O curso é de nível
alarme;
                                                            gerencial, destinado a preparar técnicos e
                                                            gestores com elementos teóricos, práticos


                                                                                                          35
e com metodologia para a utilização no                              Os dois cursos têm duração de três
comando de crises, com o envolvimento                         dias e são ministrados regularmente na
de múltiplas agências.                                        sede da CEDEC/MG, em Belo Horizonte.

         A CEDEC ainda planejou, programou                      O     CBDC       possui        atualmente   a
e executou o treinamento de pessoal das                       seguinte grade curricular:
Coordenadorias Municipais de Defesa
                                                                     Estrutura do Sistema Nacional de
Civil, dando seqüência aos trabalhos da
                                                              Defesa Civil (Sindec) – Conceitos Básicos;
Escola        Permanente            de   Defesa      Civil,
                                                                     Instalação e funcionamento das
incentivando a criação das Comdec e a
                                                              Coordenadorias Municipais de Defesa
capacitação de recursos humanos para a
                                                              Civil (Comdec);
prática das ações de defesa civil.
                                                                     Missões das Comdec nas Ações
         A    CEDEC/MG              oferece    o     Curso    de Defesa Civil: Prevenção, Preparação,
Básico        de        Defesa      Civil     (CBDC)     e    Resposta e Reconstrução;
disponibiliza o Curso Básico de Sistema                              Mapeamento e Gerenciamento de
de Comando em Operações (CBSCO) aos                           Áreas de Risco;
profissionais de nível médio e superior,                             Administração             de      Abrigo
civis        ou       militares   dos       órgãos     que    Temporário;
compõem o Sistema Nacional de Defesa                                 Monitorização, Alerta e Alarme;
Civil;        prefeitos;          Coordenadores          e           Plano de Contingência;
funcionários de Defesa Civil – Municipais                            Codificação          de        Desastres,
e Estaduais. Para participar do CBSCO é                       Ameaças e Riscos (Codar);
preciso ter concluído o CBDC.                                        Notificação          Preliminar        de
                                                              Desastres (Nopred) e Avaliação de Danos
         O CBDC tem como principal objetivo                   (Avadan);
o incentivo à criação e manutenção de                                Critérios     para    Decretação       de
Coordenadorias Municipais de Defesa                           Situação de Anormalidade e Montagem do
Civil (Comdec), já existentes em cerca de                     Processo;
618 municípios mineiros até o momento.                               Projetos de Atuação da Comdec,
O CBSCO é destinado à preparação de                           realizada em parceria com a Defesa Civil
técnicos          e     gestores,     com      elementos      de Belo Horizonte;
teóricos, práticos e metodologia para a                              Palestra Meteorologia – ministrada
utilização do Sistema de Comando em                           por funcionário do MG Tempo.
Operações,                   destacando-se               a
implementação do Comando Unificado na
resposta a situações críticas envolvendo
múltiplas agências.

                                                                                                             36
Curso Básico de Sistema de Comando em Operações realizado na CEDEC/MG.


  O     CBSCO     possui     atualmente   a
seguinte grade curricular:
      Conhecimentos Básicos de Defesa
      Civil;
      Apresentação      do    Sistema     de
      Comando em Operações (SCO);
      Estudo das Funções do SCO;
      Comando Unificado;
      Áreas e Instalações;
      Controle de Recursos Operacionais;
      Instalando o SCO;
      Planos de Ação;
      Atividades de Preparação;
      Simulado de Mesa.




                                                                                   37
Quantidade de Alunos que Frequentaram
                    Cursos da Defesa Civil Estadual em 2008
            140
                                               120
            120                                                                       113
            100

             80

             60                   52                               53
                            38           39          41
             40                                                          31                  33
                                                                               23
             20
                   0                                        0
              0
                  Jan Fev Mar Abr Mai Jun                  Jul Ago Set Out Nov Dez

            Fonte: Diretoria de Planejamento - DPlan/CEDEC

    Para orientação e auxílio às Prefeituras                       Os     cursos      iniciaram   no    mês   de
na criação das Comdec, bem como na                               fevereiro de 2008, buscando assim a
capacitação dos agentes municipais para                          preparação         antecipada    dos   recursos
o   desempenho         de       suas    funções,     a           humanos que atuam na defesa civil para
CEDEC       através         de         sua     Escola            as ações de minimização dos desastres
Permanente de Defesa Civil ministrou 21                          provocados pela chuva no período de 01
cursos em 2008, realizando o treinamento                         de outubro de 2008 a 30 de abril de 2009.
de 543 pessoas e de 216 municípios
mineiros.

                       Municípios que Participaram de Cursos da Defesa Civil
                                        Estadual em 2008

             70
                                               58
             60

             50

             40

             30                          27                                          28
                                  20                 22
                                                                  19
             20                                                                             15
                                                                        13
             10             7                                                 7
                   0                                       0
              0
                  Jan       Fev   Mar    Abr   Mai   Jun   Jul    Ago   Set   Out    Nov    Dez



            Fonte: Diretoria de Planejamento


                                                                                                               38
5.1 Cursos Básicos de Defesa Civil Ministrados pela CEDEC/MG em 2008:



                 DATA                        LOCAL              Nº DE MUNICÍPIOS   Nº DE ALUNOS


   13, 14 e 15

   19, 20 e 21      Fevereiro/08        SODC_CEDEC/MG                 01                22

   26, 27 e 28

    27 e 28         Fevereiro/08     Curso Terremoto_Januária         06                16

  04, 05 e 06           Março/08        CBDC_CEDEC/MG                 09                15

  25, 26 e 27           Março/08       CBSCO_CEDEC/MG                 11                14

    10 a 14             Março/08         ICS_CEDEC/MG                  ---              23

  08, 09 e 10            Abril/08       CBDC_CEDEC/MG                 09                13

  22, 23 e 24            Abril/08      CBSCO_CEDEC/MG                 07                12

  15, 16 e 17            Abril/08        CBDC_Varginha                20                27

  27, 28 e 29            Maio/08       CBSCO_CEDEC/MG                 07                13

  13, 14 e 15            Maio/08          CBDC_Viçosa                 51               107

  10, 11 e 12           Junho/08        CBDC_CEDEC/MG                 07                10

  24, 25 e 26           Junho/08       CBSCO_CEDEC/MG                 04                09

    23 a 27             Junho/08        CODC_Fervedouro               11                22

    06 e 07             Agosto/08    Sem. Depostos Avançados          11                22

    25 a 29             Agosto/08       CODC_CEDEC/MG                 08                31

  23, 24 e 25       Setembro/08        CBSCO_CEDEC/MG                 13                31

  14, 15 e 16           Outubro/08      CBDC_CEDEC/MG                 07                23

    24 e 25        Novembro/08          Seminário Granbel             28               113

  10, 11 e 12       Dezembro/08            CCDC_Tauá                   15               33
                          TOTAL                                       216              543
Fonte: Diretoria de Planejamento - DPlan/CEDEC.




                                                                                             39
5.2 Ações de Preparação de Comunicação Social


        As        medidas           preparativas     de Sousa e pelo Secretário-Executivo
implementadas         pela        Diretoria    de    da   CEDEC/MG,          Tenente           Coronel
Comunicação          Social        (DCS)       da    Alexandre      Lucas        Alves,        com   a
CEDEC/MG, objetivando a preparação                   participação    do     meteorologista           do
para    os    desastres       deste      período     MGTempo/Cemig/PUC Minas professor
chuvoso, de 17Set08 a 17Abr09, foram:                Ruibran Januário dos Reis e com
                                                     representantes         da       Setop,          do
1. Relacionamento com a imprensa                     Departamento de Estradas e Rodagem
com     divulgação         de       informações      (DER) e da Secretaria de Estado de
preventivas       para       os        municípios    Saúde (SES). O PEP foi apresentado
mineiros. A CEDEC/MG                   conseguiu     aos órgãos estaduais envolvidos, direta
espaço para divulgar ações de defesa                 ou indiretamente com a CEDEC e às
civil, tais como:                                    prefeituras municipais e à imprensa da
                                                     Região       Metropolitana           de     Belo
                                                     Horizonte,      que         possibilitou         a
                                                     preservação da vida e minimização de
                                                     estragos e prejuízos em todo Estado.




  Apresentação do Plano de Emergência
          Pluviométrica (PEP)



- A divulgação do Plano de Emergência
Pluviométrica        (PEP)        em     17    de             Entrevistas com a imprensa
setembro de 2008, no auditório da
Secretaria de Estado de Transportes e                - Produção de pautas, matérias, notas,
Obras    Públicas        (Setop),      em     Belo   releases e fotos sobre os cursos e
Horizonte/MG.        A    apresentação         foi   seminários ministrados na sede da
realizada pelo Coordenador Estadual                  CEDEC/MG e nos municípios, e a
de Defesa Civil de Minas Gerais e                    divulgação destes em todo o Estado.
Chefe        do     Gabinete        Militar    do
Governador, Coronel Eduardo Mendes

                                                                                                     40
posturas preventivas de minimização
                                                     das conseqüências dos desastres do
                                                     período       chuvoso.        Além       dos
                                                     informativos “CEDEC alerta” e “Proteja-
                                                     se dos perigos da chuva”, o “CEDEC
                                                     Notícias” também alcançou espaço em
                                                     todo o território estadual sendo também
                                                     enviado para a Secretaria Nacional de
Cobertura da imprensa em um curso na                 Defesa Civil e para todos os Estados
           sede da CEDEC
                                                     da    república.     Para     reforçar    as
                                                     campanhas de preparação, também
2. Confecção de cartilhas e folderes
                                                     foram     produzidos     e   encaminhados
informativos      distribuídos    para     as
                                                     ofícios aos municípios alertando sobre
Associações Microrregionais, Mundo
                                                     o período chuvoso e solicitando a
oficial, Comdecs e para todos os 853
                                                     realização de ações preventivas e
municípios       mineiros.       Com     esse
                                                     preparativas.
material,    a     CEDEC/MG            almejou
preparar as pessoas para a adoção de




   Figura 20 - Folder (frente e verso) sobre alertas de proteção dos perigos das chuvas, enviados
                                            aos municípios.

                                                                                               41
Figura 21 - Cartaz com dicas de chuva




                                        42
Figura 22 - Informativo bimestral da CEDEC - "CEDEC Notícias"




                                                                43
3.       Apoio        da         imprensa           com
divulgação de editoriais – textos que
expressam a opinião da direção do
veículo - a respeito das ações da
Defesa     Civil      no     âmbito        estadual,
principalmente nos municípios. Um dos
apoiadores foi o diretor de jornalismo
da Rádio Itatiaia, Márcio Doti, sempre
ajudando a CEDEC/MG a reforçar a
importância das atividades de defesa
civil,    através          da        criação           das
Coordenadorias Municipais de Defesa
Civil (Comdec).


     •   Jornal da Itatiaia - Itatiaia
         Data       Horário Duração
     10|01|2009 7:28 4 min | 15 seg
     Comentário            Márcio       Doti       -    A
importância da presença do governante
em um local de tragédia
     “Aqui em BH parece ser assim. No
tempo do prefeito Fernando Pimentel
era visível a presença da Defesa Civil
representada         pelo        Coronel        Walter
Lucas. E nunca pareceu importante a
presença dele. No Estado, a mesma
coisa. A presença do governador Aécio
parece não ser fundamental. Basta a
presença do Major Edylan Arruda ou do
Coronel     Alexandre            Lucas         e       dos
recursos       e    do     apoio que           ambos
Alexandre          Lucas     e       Walter        Lucas
sempre         afirmaram             receber           do
governador          Aécio        e    do       prefeito
Fernando Pimentel. Isso é muito mais
forte    que       sapatos       enlameados             e
tapinha nas costas”.

                                                             44
6 AÇÕES DE RESPOSTA

   Conforme dados registrados nesta                    que provoca óbitos e desaloja muitas

CEDEC, os eventos adversos que deram                   pessoas, destrói propriedades e paralisa

causa aos desastres, estão relacionados                sistemas de produção e serviços.

não somente aos eventos calamitosos                          Diante disto, a CEDEC precisa manter-
(deslizamentos, inundações, enxurradas,                se preparada para as ações de resposta,
tempestades,            vendavais,         granizo,    que socorram os afetados e lhes garanta
estiagem, seca, etc), mas sobretudo pela               um mínimo de dignidade e humanidade. A
vulnerabilidade dos municípios; e este                 atuação complementar da CEDEC se volta
despreparo advém da ausência de ações                  nestes momentos para a normalização do
efetivas, de prevenção e preparação, das               cenário do desastre, possibilitando às
Coordenadorias Municipais de Defesa                    pessoas atingidas o retorno breve e
Civil, as Comdec.                                      seguro para suas residências. Isto envolve

   Segundo a terminologia adotada pela                 um conjunto de ações de socorrimento e

Política    Nacional       de   Defesa        Civil,   auxílio,      mormente          ancoradas        na

“desastre    é       o resultado     de    eventos     manutenção             das        necessidades

adversos, naturais ou provocados pelo                  fundamentais da comunidade.

homem, sobre um ecossistema vulnerável,                           A grande dificuldade apresentada
causando danos humanos, materiais e/ou                 pelos municípios é a ausência, entre seus
ambientais       e    conseqüentes        prejuízos    servidores,       de   pessoas        tecnicamente
econômicos e sociais.”                                 capacitadas, treinadas e preparadas para
                                                       agir nas ações de prevenção, preparação,
                                                       resposta e reconstrução.

                                                                  Cada         catástrofe          possui
                                                       características específicas        e a resposta
                                                       deve ser adequada a cada caso. Alguns
                                                       eventos adversos podem ser previstos
                                                       com várias semanas, enquanto outros
                                                       ocorrem subitamente. De qualquer forma,
                                                       nas     primeiras      horas,    os     municípios
  Ipuiúna / MG – 13Abr09
                                                       poderão apenas valer-se dos recursos
   Por esta definição observamos que,
                                                       próprios da comunidade ou do município,
divergindo do senso comum da população,
                                                       antes da chegada de qualquer assistência
o desastre não ocorre apenas quando há
                                                       externa. Para que os esforços somados
um fenômeno de origem natural, ou um
                                                       pela comunidade mobilizada produzam
acidente súbito de grandes proporções
                                                                                                   45
efeitos eficazes, o poder público municipal                         A    Coordenadoria         Estadual    de
deve     disponibilizar       de   imediato        uma     Defesa       Civil   de       Minas    Gerais    –
equipe para atender, socorrer e avaliar as                 CEDEC/MG, com o intuito de minimizar os
conseqüências do desastre.                                 impactos do desastre e de dar assistência

         Devem         ainda,         cuidar        dos    aos municípios afetados pelos eventos

problemas          essenciais,        verificar      as    adversos durante o período chuvoso,

necessidades para minimizar os impactos,                   disponibilizou 20 (vinte) equipes técnicas,

atender     as     comunidades          afetadas      e    compostas por integrantes da Polícia

solicitar o apoio dos órgãos externos. Em                  Militar e do Corpo de Bombeiros Militar,

síntese,      as      ações        de      resposta,       além de funcionários civis da CEDEC,

compreendem as ações (principalmente)                      objetivando as ações de resposta no mais

dos órgãos públicos, após o impacto do                     curto prazo para atendimento às pessoas

desastre (socorro e assistência às vítimas                 afetadas.      As principais tarefas destas

do evento, bem como a reabilitação dos                     equipes são o apoio na gestão da

serviços essenciais para a comunidade).                    resposta ao desastre, a liberação de

O Estado ou a União podem apoiar e                         materiais      de     ajuda     humanitária,     o

enviar     alimentos,         água,      cobertores,       acionamento dos órgãos com vocação

colchões, roupas, telhas, lonas plásticas,                 para auxilio na resposta e o auxílio aos

abrigos provisórios, equipes para vistorias,               Prefeitos e Coordenadores Municipais de

remoção e reconstrução dos cenários                        Defesa Civil na elaboração e confecção

afetados ou para auxílio na confecção de                   dos   diversos        tipos    de     documentos

documentação de liberação de recursos                      necessários para comunicar o evento

junto ao Governo Estadual e/ou Federal.                    adverso.      Dependendo         do    grau     da
                                                           intensidade e magnitude do desastre,
                                                           poderá ocorrer decretação de situação de
                                                           anormalidade (Situação de Emergência -
                                                           SE ou Estado de Calamidade Pública –
                                                           ECP), além do acionamento “in loco” de
                                                           qualquer      órgão       governamental        para
                                                           prestar socorro ao município afetado. As
                                                           equipes são compostas por pelo menos
                                                           dois agentes/técnicos e ficam de prontidão
Equipe     Multidisciplinar    envolvendo         vários   durante o período chuvoso, em condições
órgãos – na foto, o Corpo de Bombeiros Militar             de deslocarem para qualquer ponto do
auxilia na distribuição de água para as famílias
                                                           Estado.
de Ponte Nova (MG) afetadas pelas chuvas,
em 20Dez08.




                                                                                                           46
Município          Data           evento

                                               Ponte Nova           18Dez08    Inundação

                                               Guaraciaba           18Dez08    Inundação

                                               Congonhas            02Jan09    Inundação

                                               Alto Jequitibá       05Jan09    Inundação

                                               Carangola            06Jan09    Inundação

                                               Cataguases           07Jan09    Inundação

Equipe da Defesa Civil em deslocamento para    Manhuaçu             07Jan09    Inundação

apoio emergencial ao município de Santana de   Manhumirim           08Jan09    Inundação
Cataguases – 18Dez08.                          Perdões              21Jan09    Inundação

                                               José Raydan          09Fev09    Enxurradas

 1) O quadro a seguir detalha o envio          Aimorés              09Mar09    Enxurradas

      de equipes para apoio técnico:           Dom Silvério         16Abr09    Deslizamento


  Município         Data         evento        Fonte:Diretoria Administrativa/CEDEC

Carandaí           16Set08   Granizo
                                                   Compreende apoio técnico as ações
Bambuí             27Set08   Granizo
                                               de respostas aos desastres objetivando
Perdões            28Set08   Granizo
                                               auxiliar o executivo municipal em diversos
Belmiro Braga      14Nov08   Inundação         assuntos relativos ao desastre.
Simão Pereira      14Nov08   Inundação
                                                   No final do ano de 2008, devido ao
São João Del       17Nov08   Granizo           grande volume de precipitações ocorrido
Rei                                            no Estado de Santa Catarina, grande
Piranga            16Dez08   Inundação         parte daquele Estado ficou destruído. Uma

Senador            16Dez08   Inundação         grande Calamidade se instalou e foi
Firmino                                        necessário       o   empenho    de     equipes
                                               multidisciplinares de várias partes do
Guidoval           16Dez08   Inundação
                                               Brasil, inclusive de MG.
Ervália            16Dez08   Inundação
                                                         Na ocasião, o Governador de
Congonhas          16Dez08   Granizo
                                               Minas Gerais, Aécio Neves, determinou o
Jeceaba            16Dez08   Inundação
                                               deslocamento a Santa Catarina de uma
Carangola          17Dez08   Inundação         equipe da CEDEC/MG, chefiada pelo
Cataguases         18Dez08   Inundação         próprio Secretário Executivo. A equipe

Santana       de   18Dez08   Inundação         atuou primordialmente na aplicação da
Cataguases                                     ferramenta       gerencial     “Sistema       de

                                                                                             47
Comando em Operações (SCO)”, que é
utilizada por nossos profissionais em todo         2) O        quadro        abaixo     exibe      os
Estado    de   Minas      Gerais,   diante   de           deslocamentos de equipes da CEDEC
desastres mais complexos que contam                       para atender as vítimas afetadas
com       o     esforço        de     equipes             pelos desastres provocados pelas
multidisciplinares.                                       chuvas.
         Esta experiência foi de grande
importância para todos integrantes do                        Modalidade               Nº de Diligências

Gabinete Militar      e   da   Coordenadoria      Apoio Complementar
Estadual de Defesa Civil de Minas Gerais,         (Avadan)                                    27
pois aprendemos muito e tivemos a                 Vistoria Técnica                            07
oportunidade de dividir e levar um pouco
                                                  Apoio Humanitário                           36
de nossas habilidades e conhecimento
                                                  Apoio Aéreo                                 11
sobre gerenciamento e resposta aos
desastres para outros Estados.                    Total                                       81

                                                   Fonte: Diretoria Administrativa CEDEC

                                                   Compreendem          as     ações     de     apoio
                                                   humanitário o envio de cestas básicas,
                                                   colchões, cobertores e lonas plásticas, etc.




Foto: participação da CEDEC no desastre em
Santa Catarina (SC). Na foto, o Governador de
Santa Catarina, Luiz Henrique (esquerda);
Governador de Minas Gerais, Aécio Neves; o
Vice-Governador de Santa Catarina, Leonel
                                                   Equipe da CEDEC em resposta a desastres.
Pavan;   o CEDEC/MG,        Cel PM     Eduardo
Mendes de Souza, o CEDEC/SC, Maj PM
Márcio Luiz Alves e o Secretário Executivo da
CEDEC/MG,      Ten Cel PM Alexandre Lucas
Alves.




                                                                                                   48
6.1 ÓRGÃOS SETORIAIS APOIARAM A CEDEC NO ATENDIMENTO ÀS
CIDADES AFETADAS POR DESASTRES

   Registro       de     apoio    de       órgãos    atendimento às solicitações da CEDEC,

governamentais:                                      principalmente nas demandas relativas à
                                                     cessão     de    pessoal,       equipamentos     e
   A Coordenadoria Estadual de Defesa
                                                     transportes     para    o     cumprimento       das
Civil objetivando as ações de resposta aos
                                                     missões, visando o restabelecimento da
desastres e com base no ofício circular
                                                     normalidade no mais curto prazo.
1348/2008     –        Gabinete       Militar   do
Governador, datado de 17 de setembro de                 O envolvimento das diversas agências

2008, obteve o apoio de diversos órgãos              indica a importância dada pelo Governo do

do Estado.                                           Estado na priorização do atendimento aos
                                                     municípios que foram afetados pelas
   O ofício mencionado é assinado pelo
                                                     intensas chuvas no período. É importante
Governador    do        Estado    e     conforme
                                                     registrar que houve o atendimento a todos
preconiza o artigo 2º, inciso XI da lei
                                                     os municípios que solicitaram apoio e que
Delegada 132, relata da necessidade de
                                                     estavam         munidos         da     necessária
implantação de medidas preventivas e de
                                                     documentação e projetos específicos.
socorro, envolvendo todos os órgãos da
administração direta e indireta do Estado,              A Secretaria de Transporte e Obras

com o objetivo de minimizar os efeitos dos           Públicas      atendeu        prioritariamente    os

danos causados pelas chuvas.                         municípios      que     se     encontravam      em
                                                     situação de anormalidade, que tiveram os
   No documento o Governo Estadual
                                                     decretos homologados pelo Governo do
recomendou aos órgãos Estaduais o
                                                     Estado.



                                                     DEFESA CIVIL - SEMPRE PRESENTE




 Fotos das equipes da CEDEC em socorro a
 municípios atingidos por desastres


                                                                                                     49
Fonte: Diretoria de Planejamento – CEDEC/MG



O quadro abaixo detalha os municípios para os quais foram solicitados apoios de órgãos
setoriais:

                                                            ATENDIMENTO DOS ÓRGÃOS
                                                DIA DO
 ORDEM                  MUNICÍPIO                                  SETORIAIS

                                               EVENTO      DER   SETOP   SES    COPASA

    01       ÁGUAS VERMELHAS                   26 Jan 09           X

    02       ALTO JEQUITIBÁ                    05 Jan 09    X

    03       ALVARENGA                         07 Jan 09           X

    04       ALVINÓPOLIS                       02 Jan 09           X               X

    05       ANTÔNIO DIAS                      16 Dez 08           X

    06       ANTÔNIO PRADO DE MINAS            05 Jan 09           X

    07       CARAÍ                             23 Jan 09           X

    08       CARANDAÍ                          15 Jan 08           X

    09       CARANGOLA                         16 Dez 08           X




                                                                                   50
ATENDIMENTO DOS ÓRGÃOS
                                  DIA DO
ORDEM              MUNICÍPIO                         SETORIAIS

                                 EVENTO      DER   SETOP   SES   COPASA

 10     CATAGUASES               16 Dez 08                         X

 11     CONCEIÇÃO DO RIO VERDE   15 Set 08           X

 12     CRISÓLITA                07 Jan 09           X

 13     DIVINÓPOLIS              17 Dez 08    X

 14     DOM SILVÉRIO             16 Abr 09    X

 15     DONA EUZÉBIA             16 Dez 08                         X

 16     DURANDÉ                  07 Jan 09           X

 17     ERVÁLIA                  16 Dez 08           X

 18     ESMERALDAS               15 Set 08    X

 19     ESPERA FELIZ             02 Jan 09           X

 20     EUGENÓPOLIS              18 Out 08           X

 21     FERVEDOURO               06 Jan 09           X

 22     FORMIGA                  16 Dez 08           X

 23     FREI GASPAR              03 Jan 09           X

 24     GOIABEIRA                17 Nov 08           X

 25     GUARACIABA               18 Dez 08    X                    X

 26     GUARANI                  16 Dez 08           X

 27     GUIDOVAL                 16 Dez 08           X

 28     ITAGUARA                 17 Set 08           X

 29     JECEABA                  19 Dez 08                         X

 30     JEQUITAÍ                 19 Dez 08    X

 31     MANHUMIRIM               05 Jan 09           X

 32     MIRADOURO                16 Dez 08           X

 33     MONTES CLAROS            05 Jan 09    X      X      X

 34     NOVO CRUZEIRO            20 Jan 09           X

 35     PALMA                    17 Dez 08           X

 36     PATROCÍNIO DO MURIAÉ     02 Jan 09                         X

 37     PAVÃO                    07 Jan 09           X

 38     PIEDADE DOS GERAIS       20 Dez 09           X



                                                                   51
ATENDIMENTO DOS ÓRGÃOS
                                               DIA DO
ORDEM                MUNICÍPIO                                          SETORIAIS

                                              EVENTO        DER      SETOP      SES     COPASA

   39     PONTE NOVA                          17 Dez 08       X         X                   X

   40     REDUTO                              10 Fev 09                 X

   41     RIO CASCA                           18 Dez 09                                     X

   42     RIO PIRACICABA                      27 Jan 09                                     X

   43     ROCHEDO DE MINAS                    30 Jan 09                 X

   44     SANTA EFIGÊNIA DE MINAS             23 Jan 09                 X

   45     SANTANA DE CATAGUASES               03 Jan 09                 X

   46     SANTO ANTÔNIO DO MONTE              20 Jan 09                 X

   47     SÃO MIGUEL DO ANTA                  07 Jan 09                 X

   48     SÃO PEDRO DOS FERROS                06 Jan 09                                     X

   49     SARDOÁ                              22 Jan 09                 X

   50     SETUBINHA                           12 Jan 09                 X

   51     TABULEIRO                           29 Dez 08                 X

   52     TOMBOS                              17 Dez 08                 X                   X

Fonte: CCE/CEDEC-MG

É importante salientar o apoio imprescindível da Secretaria de Desenvolvimento Social, SEDESE,
que apoio CEDEC adquirindo cestas básicas e kits higiênicos que foram distribuídos a municípios
afetados por enchentes e inundações.


                        Apoio dos Órgãos Setoriais aos
                       Municípios Afetados por Desastres


                                         2%                  19%



                                                                         14%
                65%

                               Copasa     DER      Setop    SES

             Fonte: CCE/CEDEC-MG



                                                                                            52
6.2 Materiais de Ajuda Humanitária Disponibilizados pela CEDEC/MG Através dos
  Depósitos Avançados no Período de Chuvas 2008- 2009

   BELO HORIZONTE
N°                                                   Cb 10   Cb 18
lib        Municípios        Datas    Beneficiados    Kg      Kg     Colchões Cobertores Lonas Roupas Telhas
4335 ARACUAI                5/11/2008 PREFEITURA         0       0         0          0     0       0      0
4321 ARGIRITA              22/10/2008 PREFEITURA         0       0         0          0     0      25      0
4200 BAMBUI                 18/9/2008 PREFEITURA       200       0       200        200     0       0      0
4208 BAMBUI                 19/9/2008 PREFEITURA       250       0       200        200     0       0      0
4215 BAMBUI                 22/9/2008 PREFEITURA       100       0       250        250     1       0      0
                                      PREFEITURA
4231 BAMBUI                 29/9/2008                    0       0         0          0     0       0      0
4232 BAMBUI                 29/9/2008 PREFEITURA       200       0       400        400     0       0      0
4230 BAMBUI                 29/9/2008 PREFEITURA         0       0         0          0     0       0      0
4131 BELA VISTA DE MINAS     4/9/2008 PREFEITURA         0       0         0          0     1       0      0
4400 BELMIRO BRAGA         13/11/2008 PREFEITURA       200       0       200        200     0       0      0
4204 BELO HORIZONTE         19/9/2008 COMDEC             0       0       500          0     0       0      0
4334 BELO HORIZONTE         5/11/2008 COMDEC             0       0         0          0     0       0      0
4505 BELO VALE             19/12/2008 PREFEITURA       100       0        50         50     0       0      0
4220 BETIM                  23/9/2008 COMDEC             0       0         0          0     0       0      0
4483 BRUMADINHO            19/12/2008 PREFEITURA       200       0       200        200     0       0      0
4525 CAETE                 29/12/2008 PREFEITURA         0       0         0          0     2       0      0
4523 CAETE                 29/12/2008 PREFEITURA       100       0       100         80     1      10      0
4497 CANAA                 19/12/2008 PREFEITURA       100       0       100        100     2      10      0
4141 CARANDAI               16/9/2008 PREFEITURA         0       0         0          0    10       0      0
4140 CARANDAI               16/9/2008 PREFEITURA       100       0        80         80     2       0      0
4138 CARANDAI               16/9/2008 PREFEITURA       200       0       100        100     5              0
4194 CARANDAI               17/9/2008 PREFEITURA       200       0       100        100     5       0      0
4201 CARANDAI               18/9/2008 PREFEITURA         0       0         0          0     0       0      0
4246 CARANDAI               8/10/2008 PREFEITURA       200       0       400        800     0       0      0
                                      PREFEITURA
4245 CARANDAI               8/10/2008                    0       0       380          0     0       0      0
                                      PREFEITURA
4247 CARANDAI               8/10/2008                  300       0       150        200     0       0      0
                                      PREFEITURA
4316 CARANDAI              17/10/2008                    0       0         0          0     0       0   2000
                                      PREFEITURA
4399 CARANDAI              11/11/2008                    0       0         0          0     0       0      0
                                      PREFEITURA
4494 CARANGOLA             19/12/2008                  100       0       100        100     1      10      0
                                      PREFEITURA
4511 CATAGUASES            23/12/2008                  100       0       500          0     0       0      0
                                      PREFEITURA
4323 CHACARA               22/10/2008                    0       0         0          0     0      25      0
     CONCEICAO DO RIO                 PREFEITURA
4333 VERDE                  3/11/2008                  200       0       500          0     0       0   2000
                                      PREFEITURA
4195 CONGONHAS              17/9/2008                   50       0        50         50     2       0      0
                                      PREFEITURA
4499 CONGONHAS             19/12/2008                  200       0       300        300     3     100      0
                                      PREFEITURA
4212 CONTAGEM               19/9/2008                  300       0       200        200     0       0      0
4209 CONTAGEM               19/9/2008 COMDEC             0       0       300        300     4       0      0
4388 CONTAGEM              10/11/2008 COMDEC             0       0         0          0     5       0      0
                                      PREFEITURA
4207 CRUCILANDIA            19/9/2008                  200       0       200        300     0      20      0
                                      PREFEITURA
4524 CRUCILANDIA           29/12/2008                    0       0         0          0     0       0   1500
                                      PREFEITURA
4503 DIVINOPOLIS           19/12/2008                 1000       0       500        500     5      30      0
                                      PREFEITURA
4211 ESMERALDAS             19/9/2008                  100       0       100        100     0       0      0
                                      PREFEITURA
4317 EUGENOPOLIS           20/10/2008 MUNICIPAL          0       0         0          0     4       0   2000
                                      PREFEITURA
4318 EUGENOPOLIS           20/10/2008                  300       0       100        100     0       0      0
                                      PREFEITURA
4326 EUGENOPOLIS           24/10/2008                    0       0         0          0     0       0   1000




                                                                                                   53
N°                                                      Cb 10   Cb 18
lib        Municípios         Datas      Beneficiados    Kg      Kg     Colchões Cobertores Lonas Roupas Telhas
                                         PREFEITURA
3334 FELISBURGO               8/1/2008                    100       0         0          0     0       0      0
                                         PREFEITURA
4518 FORMIGA                23/12/2008                      0       0        40          0     1       0      0
                                         PREFEITURA
4502 GUARACIABA             19/12/2008                    100       0       100        100     0       0      0
                                         PREFEITURA
4510 GUARACIABA             22/12/2008                    200       0       200        150     0       0      0
                                         PREFEITURA
4218 ITAGUARA                23/9/2008                      0       0         0          0     0       0      0
                                         PREFEITURA
4234 ITAGUARA                29/9/2008                      0       0         0          0     0       0      0
                                         PREFEITURA
4315 ITAGUARA               16/10/2008                      0       0         0          0     0       0   1500
                                         PREFEITURA
4398 ITAGUARA               11/11/2008                      0       0         0          0     0       0      0
4471 ITANHANDU               9/12/2008 COMDEC               0       0       200          0     0      80      0
                                       PREFEITURA
4507 ITAPECERICA            19/12/2008                    250       0       200        200     0       0      0
                                         PREFEITURA
4500 JECEABA                19/12/2008                    200       0       200        200     0      50      0
                                         PREFEITURA
4389 LAGOA SANTA            10/11/2008                      0       0         0          0     0       0    300
                                         PREFEITURA
4407 LAGOA SANTA            14/11/2008                      0       0         0          0     0       0      0
                                         PREFEITURA
4406 LAGOA SANTA            14/11/2008                    100       0        40         50     0       0      0
                                         PREFEITURA
4405 LAGOA SANTA            14/11/2008                    100       0        40         50     0       0      0
                                         PREFEITURA
4513 MIRADOURO              23/12/2008                     50       0         0          0     3       0    100
                                         PREFEITURA
4432 MOEMA                   1/12/2008                      0       0         0          0     0      20      0
                                         PREFEITURA
4493 MURIAE                 19/12/2008                   4000       0      1000       1000     5       0      0
                                         PREFEITURA
4522 MURIAE                 29/12/2008                      0       0       500          0    20       0      0
                                         PREFEITURA
4528 MURIAE                 30/12/2008                      0       0         0          0     0       0   3000
                                         PREFEITURA
4498 NOVA LIMA              19/12/2008                    100       0       100        100     0       0      0
                                         PREFEITURA
4495 PATROCINIO DO MURIAE   19/12/2008                    500       0       200        200     3       0      0
                                         PREFEITURA
4501 PONTE NOVA             19/12/2008                    400       0       100        300     5      30      0
     PRESIDENTE                          PREFEITURA
4210 BERNARDES               19/9/2008                    100       0       100        100     0       0      0
4527 RIO ACIMA              30/12/2008 COMDEC             100       0       100        100     0       0      0
                                       PREFEITURA
4509 RIO CASCA              21/12/2008                    200       0       150        150     0      10      0
                                       PREFEITURA
4515 RIO CASCA              23/12/2008                     50       0         0          0     0       0      0
                                       PREFEITURA
4504 SABARA                 19/12/2008                      0       0         0          0    10       0      0
     SANTA CRUZ DO                     PREFEITURA
4520 ESCALVADO              23/12/2008                     50       0        50         50     0       0      0
     SANTO ANTONIO DO                  PREFEITURA
4322 AVENTUREIRO            22/10/2008                      0       0         0          0     0      25      0
                                       PREFEITURA
4206 SANTOS DUMONT           19/9/2008                     50       0        50         50     0       0      0
                                       PREFEITURA
4409 SAO JOAO DEL REI       14/11/2008                      0       0         0          0     0       0   1200
                                       PREFEITURA
4431 SAO JOAO DEL REI       27/11/2008                    150       0       100        100     2       0      0
                                       PREFEITURA
4336 SAO ROMAO               6/11/2008                      0       0         0          0     0      30      0
                                       PREFEITURA
4214 SEM PEIXE               22/9/2008                    100       0       100        100     0      20      0
                                       PREFEITURA
4530 SENADOR FIRMINO        30/12/2008                    100       0       100        100     0       0      0
                                       PREFEITURA
4324 SIMAO PEREIRA          22/10/2008                      0       0         0          0     0      25      0
                                       PREFEITURA
4410 SIMAO PEREIRA          14/11/2008                     30       0        30         30     0       0      0
                                       PREFEITURA
4417 TUPACIGUARA            20/11/2008                     30       0         0          0     0       0    500
     VISCONDE DO RIO                   PREFEITURA
4205 BRANCO                  19/9/2008                    100       0       100        150     0       0      0
4538                                   PREFEITURA
     ALTO JEQUITIBA           5/1/2009                     50       0        50         50     3       0    100
                                       PREFEITURA
4630 ALVINOPOLIS             28/1/2009                    150       0       150        150     0       0      0
                                       PREFEITURA
4634 ALVINOPOLIS             28/1/2009                      0       0         0          0     0       0      0
                                       PREFEITURA
4647 ALVINOPOLIS              5/2/2009                      0       0         0          0    12       0      0
                                       PREFEITURA
4750 AMPARO DA SERRA         13/4/2009                    100       0         0          0     0       0      0
                                       PREFEITURA
4654 ARACUAI                 10/2/2009                      0       0         0          0     0       0      0
                                       PREFEITURA
4812 ARACUAI                  6/5/2009                     10       0         0          0     0       0      0
                                       PREFEITURA
4651 BAMBUI                   9/2/2009                      0       0         0          0     0       0   1000
                                       PREFEITURA
4776 BANDEIRA                15/4/2009                    200       0       100        100     0      50    700




                                                                                                      54
N°                                                     Cb 10   Cb 18
lib            Municípios    Datas      Beneficiados    Kg      Kg     Colchões Cobertores Lonas Roupas Telhas
                                        PREFEITURA
4625 BARBACENA              23/1/2009                    500       0       300        300     0       0      0
                                        PREFEITURA
4540 BELO HORIZONTE          5/1/2009                      0       0         0          0     0       0      0
                                        PREFEITURA
4547 BELO HORIZONTE          6/1/2009                      0       0      1000       1000    10       0      0
                                        PREFEITURA
4555 BELO HORIZONTE          6/1/2009                      0       0         0          0     0       0      0
                                        PREFEITURA
4580 BELO HORIZONTE          9/1/2009                      0       0         0          0     0       0      0
                                        PREFEITURA
4613 BETIM                  21/1/2009                      0       0         0          0     2       0      0
                                        PREFEITURA
4722 BETIM                   1/4/2009                    100       0       100          0     0       0      0
                                        PREFEITURA
4743 BETIM                   7/4/2009                      0       0         0          0     0       0    500
                                        PREFEITURA
4761 BUENOPOLIS             13/4/2009                    100       0         0          0     0       0      0
                                        PREFEITURA
4705 CAMPO AZUL             12/3/2009                     50       0         0          0     0      20      0
                                        PREFEITURA
4586 CARAI                  13/1/2009                      0       0         0          0     0      15      0
                                        PREFEITURA
4784 CARAI                  22/4/2009                    100       0         0          0     0       0      0
                                        PREFEITURA
4691 CARANDAI               27/2/2009                      0       0         0          0     0       0   1000
                                        PREFEITURA
4627 CARANGOLA              26/1/2009                    100       0       100        100    10       0   2000
     CATAS ALTAS DA                     PREFEITURA
4790 NORUEGA                22/4/2009                    100       0         0          0     0       0      0
                                        PREFEITURA
4686 CLARO DOS POCOES       27/2/2009                    200       0         0          0     0      50      0
                                        PREFEITURA
4793 CLAUDIO                22/4/2009                      0       0        40          0     0       0      0
                                        PREFEITURA
4667 CONGONHAS              12/2/2009                      0       0         0          0     2       0      0
                                        PREFEITURA
4537 CONTAGEM                5/1/2009                      0       0       400        400     0       0      0
                                        PREFEITURA
4542 CONTAGEM                6/1/2009                      0       0       700        700     0       0      0
                                        PREFEITURA
4596 CONTAGEM               16/1/2009                      0       0         0          0     0       0      0
                                        PREFEITURA
4624 CONTAGEM               23/1/2009                      0       0       500        500     0       0      0
                                        PREFEITURA
4626 CONTAGEM               23/1/2009                      0       0         0          0     0       0      0
                                        PREFEITURA
4666 COROACI                12/2/2009                     50       0        50         50     0       0      0
                                        PREFEITURA
4777 COROACI                16/4/2009                    100       0         0          0     0       0    500
     DIOGO DE                           PREFEITURA
4785 VASCONCELOS            22/4/2009                    100       0         0          0     0       0      0
                                        PREFEITURA
4734 DOM CAVATI              2/4/2009                      0       0         0          0     0       0      0
                                        PREFEITURA
4729 DOM CAVATI              2/4/2009                    100       0       100        100     0       0      0
                                        PREFEITURA
4740 DOM CAVATI              3/4/2009                    250       0       200        200     0       0      0
                                        PREFEITURA
4741 DOM CAVATI              3/4/2009                      0       0         0          0     0       0      0
                                        PREFEITURA
4684 ENGENHEIRO NAVARRO     20/2/2009                    100       0         0          0     0       0      0
                                        PREFEITURA
4697 ENGENHEIRO NAVARRO      9/3/2009                      0       0         0          0     0     100      0
                                        PREFEITURA
4600 ERVALIA                20/1/2009                      0       0         0          0     3       0      0
                                        PREFEITURA
4783 FRANCISCOPOLIS         22/4/2009                    100       0         0          0     0       0      0
                                        PREFEITURA
4693 GOIABEIRA               3/3/2009                      0       0         0          0     0      30      0
     GOVERNADOR                         PREFEITURA
4711 VALADARES              16/3/2009                    520       0         0          0     0       0      0
                                        PREFEITURA
4564 GUARACIABA              7/1/2009                    100       0         0          0     0       0      0
                                        PREFEITURA
4675 IAPU                   17/2/2009                    100       0         0          0     0       0      0
                                        PREFEITURA
4622 IBIRITE                23/1/2009                    100       0       100        100    10       0      0
                                        PREFEITURA
4669 IBIRITE                12/2/2009                     50       0        80         80     5       0      0
                                        PREFEITURA
4674 IGARAPE                17/2/2009                     30       0        30         30     2      10      0
                                        PREFEITURA
4725 IMBE DE MINAS           1/4/2009                    100       0       100        100     0       0      0
                                        PREFEITURA
4733 INHAPIM                 2/4/2009                      0       0         0          0     0       0      0
                                        PREFEITURA
4727 INHAPIM                 2/4/2009                    200       0       200        200     0       0      0
                                        PREFEITURA
4732 INHAPIM                 2/4/2009                      0       0         0          0     0       0      0
                                        PREFEITURA
4550 ITAGUARA                6/1/2009                     20       0        30         40     2       0      0
                                        PREFEITURA
4803 ITAMARANDIBA           24/4/2009                    100       0       100        100     0      50    700
                                        PREFEITURA
4789 ITAVERAVA              22/4/2009                    100       0         0          0     0       0      0
                                        PREFEITURA
4680 JOAO MONLEVADE         19/2/2009                    300       0       250        250     0      50      0
                                        PREFEITURA
4618 LAGOA DOS PATOS        22/1/2009                      0       0         0          0     0      20      0




                                                                                                     55
N°                                                     Cb 10   Cb 18
lib          Municípios      Datas      Beneficiados    Kg      Kg     Colchões Cobertores Lonas Roupas Telhas
                                        PREFEITURA
4786 LAMIM                  22/4/2009                    100       0         0          0     0       0      0
                                        PREFEITURA
4598 LAVRAS                 19/1/2009                      0       0         0          0     2       0      0
                                        PREFEITURA
4694 MALACACHETA             3/3/2009                      0       0         0          0     0       0      0
                                        PREFEITURA
4638 MANHUMIRIM             29/1/2009                    200       0        50         50    10       0    200
                                        PREFEITURA
4692 MAR DE ESPANHA          2/3/2009                     50       0         0          0     0       0    100
                                        PREFEITURA
4678 MARAVILHAS             19/2/2009                    100       0        50         50     0      50      0
                                        PREFEITURA
4584 MONTE SIAO             12/1/2009                     50       0        50         50     0       0      0
                                        PREFEITURA
4645 MURIAE                  5/2/2009                   1900       0         0          0     0       0      0
                                        PREFEITURA
4751 NEPOMUCENO             13/4/2009                    150       0         0          0     0       0      0
                                        PREFEITURA
4792 NOVA PORTEIRINHA       22/4/2009                      0       0         0          0     3       0      0
                                        PREFEITURA
4611 PALMA                  20/1/2009                     30       0         0          0     0       0      0
                                        PREFEITURA
4641 PALMA                   2/2/2009                      0       0       100        100     0       0    500
                                        PREFEITURA
4649 PALMA                   6/2/2009                     50       0         0          0     0       0      0
                                        PREFEITURA
4563 PATROCINIO DO MURIAE    7/1/2009                      0       0       250        300     0       0      0
                                        PREFEITURA
4731 PEDRA BONITA            2/4/2009                      0       0        75          0     0      50      0
                                        PREFEITURA
4677 PEQUI                  19/2/2009                    100       0        50         50     0      50      0
                                        PREFEITURA
4791 PERDIGAO               22/4/2009                    100       0         0          0     0       0      0
                                        PREFEITURA
4665 PERDOES                12/2/2009                      0       0         0          0     0      50      0
                                        PREFEITURA
4739 PIAU                    3/4/2009                      0       0         0          0     0      30      0
                                        PREFEITURA
4752 PONTE NOVA             13/4/2009                    130       0         0          0     0       0      0
                                        PREFEITURA
4690 POUSO ALEGRE           27/2/2009                      0       0         0          0     0       0      0
                                        PREFEITURA
4689 POUSO ALEGRE           27/2/2009                    700       0         0          0     0       0      0
     PRESIDENTE                         PREFEITURA
4737 BERNARDES               3/4/2009                     50       0        50         50     0       0      0
     PRESIDENTE                         PREFEITURA
4738 BERNARDES               3/4/2009                      0       0         0          0     0       0      0
                                        PREFEITURA
4787 QUELUZITO              22/4/2009                    100       0         0          0     0       0      0
                                        PREFEITURA
4539 RIBEIRAO DAS NEVES      5/1/2009                      0       0         0          0     3       0      0
                                        PREFEITURA
4723 RIO ACIMA               1/4/2009                    100       0         0          0     0       0      0
                                        PREFEITURA
4562 RIO CASCA               7/1/2009                    200       0       200        200     5       0      0
                                        PREFEITURA
4635 RIO PIRACICABA         28/1/2009                      0       0         0          0     0       0      0
                                        PREFEITURA
4631 RIO PIRACICABA         28/1/2009                    300       0       500        500     2      50      0
                                        PREFEITURA
4636 RIO PIRACICABA         29/1/2009                    300       0         0          0     0       0      0
                                        PREFEITURA
4593 RIO PRETO              16/1/2009                      0       0         0          0     0       0      0
                                        PREFEITURA
4623 RIO PRETO              23/1/2009                    100       0       100        100     3       0      0
                                        PREFEITURA
4628 RIO PRETO              26/1/2009                      0       0         0          0     0       0      0
                                        PREFEITURA
4795 RIO PRETO              22/4/2009                    100       0       100        100     0       0      0
                                        PREFEITURA
4560 SABARA                  7/1/2009                      0       0         0          0     5       0      0
                                        PREFEITURA
4591 SABARA                 14/1/2009                     30       0        30         30     3       0      0
                                        PREFEITURA
4713 SABARA                 23/3/2009                      0       0         0          0     0       0    500
     SANTA CRUZ DO                      PREFEITURA
4541 ESCALVADO               5/1/2009                      0       0         0          0     2       0      0
     SANTA CRUZ DO                      PREFEITURA
4561 ESCALVADO               7/1/2009                      0       0         0          0     2       0      0
     SAO DOMINGOS DAS                   PREFEITURA
4726 DORES                   1/4/2009                    100       0       100        100     0       0      0
                                        PREFEITURA
4676 SAO GERALDO            18/2/2009                    200       0       100        100     0      10    500
                                        PREFEITURA
4698 SAO JOAQUIM DE BICAS    9/3/2009                     30       0         0         40     0       0     80
                                        PREFEITURA
4720 SAO JOAQUIM DE BICAS   30/3/2009                      4       0         0          0     1       0     48
     SAO PEDRO DOS                      PREFEITURA
4579 FERROS                  9/1/2009                    200       0       200        200     2       0      0
     SAO SEBASTIAO DO RIO               PREFEITURA
4717 PRETO                  26/3/2009                    100       0       100        100     0      30      0
                                        PREFEITURA
4730 SERICITA                2/4/2009                      0       0        75          0     0      50      0
                                        PREFEITURA
4753 TOCANTINS              13/4/2009                    110       0         0          0     0       0      0
                                        PREFEITURA
4754 TURMALINA              13/4/2009                    130       0         0          0     0       0      0




                                                                                                     56
N°                                                    Cb 10       Cb 18
 lib         Municípios      Datas      Beneficiados    Kg          Kg         Colchões Cobertores Lonas Roupas Telhas
                                        PREFEITURA
4695 URUCUIA                 4/3/2009                     200              0        200       200      0     50   1000
                                        PREFEITURA
4788 VARGEM BONITA         22/4/2009                      100              0          0         0      0      0      0
                                        PREFEITURA
4712 VARZEA DA PALMA       17/3/2009                      100              0          0         0      0      0      0
                                        PREFEITURA
4716 VESPASIANO            26/3/2009                       30              0         40         0      0      0      0
                                        PREFEITURA
4755 VICOSA                13/4/2009                      120              0          0         0      0      0      0
     VISCONDE DO RIO                    PREFEITURA
4629 BRANCO                27/1/2009                           0           0          0         0      0      0   5000



    BARBACENA
                                                       Cb 10       Cb 18
N° lib       Municípios      Datas    Beneficiados      Kg          Kg         Colchões Cobertores Lonas Roupas Telhas
4476 ERVALIA               16/12/2008 PREFEITURA         200           0           100        100     0       0      0
4482 ERVALIA               19/12/2008 PREFEITURA         100           0             0        400     3      10      0
4481 GUARANI               19/12/2008 PREFEITURA         100           0           100        100     0       0      0
4583 ALTO RIO DOCE          12/1/2009 PREFEITURA         100           0             0          0     0       0      0
4735 ERVALIA                 2/4/2009 PREFEITURA           0           0             0          0     5       0      0
4704 MIRAI                  11/3/2009 PREFEITURA         200           0             0          0     0      30      0
4744 PALMA                   7/4/2009 PREFEITURA          99           0             0          0     0       0      0
4663 SANTOS DUMONT          11/2/2009 PREFEITURA         100           0           100        100     2       0      0
4714 TABULEIRO              25/3/2009 PREFEITURA         100           0             0          0     0       0      0



    BOM DESPACHO
                                                       Cb 10       Cb 18
N° lib       Municípios      Datas    Beneficiados      Kg          Kg         Colchões Cobertores Lonas Roupas Telhas
4391 BAMBUI                11/11/2008 PREFEITURA           0           0             0          0     0       0   1000
                                      PREFEITURA
4516 DIVINOPOLIS           23/12/2008                    400           0           192        200     3       5      0
                                      PREFEITURA
4487 FORMIGA               19/12/2008                    100           0             0        100     1       0      0
                                      PREFEITURA
4514 FORMIGA               23/12/2008                     50           0             0         50     0       0      0

    DIAMANTINA
                                                       Cb 10       Cb 18
N° lib       Municípios      Datas    Beneficiados      Kg          Kg         Colchões Cobertores Lonas Roupas Telhas
4223 BAMBUI                 25/9/2008 PREFEITURA         500           0             0          0     0       0      0
                                      PREFEITURA
4225 JENIPAPO DE MINAS      25/9/2008                    100           0             0          0     0       0      0
                                      PREFEITURA
4226 VIRGEM DA LAPA         25/9/2008                    200           0             0          0     0       0      0
                                      PREFEITURA
4657 GLAUCILANDIA           11/2/2009                    100           0             0          0     0       0      0
                                      PREFEITURA
4658 ITACAMBIRA             11/2/2009                    100           0             0          0     0       0      0
                                      PREFEITURA
4679 JENIPAPO DE MINAS      19/2/2009                    200           0             0          0     0       0      0

    GOVERNADOR VALADARES
                                                       Cb 10       Cb 18
N° lib       Municípios      Datas    Beneficiados      Kg          Kg         Colchões Cobertores Lonas Roupas Telhas
4412 AIMORES               18/11/2008 PREFEITURA         200           0           200          0     1       0   4412
4529 ANTONIO DIAS          30/12/2008 PREFEITURA          50           0             0          0     2       0   4529
     GOVERNADOR                         PREFEITURA
4337 VALADARES              7/11/2008                     25           0             0         25     1       0   4337
     GOVERNADOR                         PREFEITURA
4415 VALADARES             19/11/2008                      0           0            26          0     0       0   4415
                                        PREFEITURA
4384 RESPLENDOR             7/11/2008                    100           0             0          0     0       0   4384
                                        PREFEITURA
4519 TUMIRITINGA           23/12/2008                     50           0            50          0     2       0   4519
4595 ACUCENA                16/1/2009 PREFEITURA         100           0           200        200     3       0      0
4632 GONZAGA                28/1/2009 PREFEITURA         100           0           100        100     0       0      0
     GOVERNADOR
4557 VALADARES               6/1/2009 COMDEC             200           0           100        100     0       0      0
     SANTA EFIGENIA DE
4621 MINAS                  23/1/2009 PREFEITURA          50           0           100        100     0       0      0




                                                                                                             57
JUIZ DE FORA
                                                    Cb 10   Cb 18
N° lib       Municípios     Datas    Beneficiados    Kg      Kg     Colchões Cobertores Lonas Roupas Telhas
4403 BELMIRO BRAGA        13/11/2008 PREFEITURA         0       0        50          0     0       0      0
                                     PREFEITURA
4408 BELMIRO BRAGA        14/11/2008                    0       0         0          0     1       0      0

    LAVRAS
                                                    Cb 10   Cb 18
N° lib       Municípios     Datas    Beneficiados    Kg      Kg     Colchões Cobertores Lonas Roupas Telhas
4202 CAMPOS GERAIS         18/9/2008 PREFEITURA       100       0       100        100     3       0      0
                                     PREFEITURA
4325 CAMPOS GERAIS        23/10/2008                    0       0         0          0     0       0   1500
     CONCEICAO DO RIO                PREFEITURA
4139 VERDE                 16/9/2008                  300       0       300        300     5              0
                                     PREFEITURA
4203 ITAGUARA              18/9/2008                  200       0       100        150     4      10      0
                                     PREFEITURA
4526 MARIA DA FE          29/12/2008                   50       0       100        100     0       0      0
                                     PREFEITURA
4521 NAZARENO             23/12/2008                    0       0         0          0     0       0   1000
                                     PREFEITURA
4227 PERDOES               26/9/2008                  100       0        50        100     3       0      0
                                     PREFEITURA
4517 SANTANA DO JACARE    23/12/2008                   50       0        50         50     1       3      0
                                     PREFEITURA
4386 SAO LOURENCO         10/11/2008                    0       0         0          0     0       0    130
                                     PREFEITURA
4339 TIRADENTES            7/11/2008                    0       0       100        100     0       0   1368
                                     PREFEITURA
4668 ARANTINA              12/2/2009                   50       0        50         50     2       0      0
                                     PREFEITURA
4685 CAMANDUCAIA           26/2/2009                  100       0       100        200     2       0      0
                                     PREFEITURA
4701 CRISTINA              10/3/2009                  100       0        50          0     0       3      0
                                     PREFEITURA
4767 IPUIUNA               14/4/2009                  200       0         0          0     2      14      0
                                     PREFEITURA
4703 LAVRAS                11/3/2009                    0       0         0          0     0       0    100
                                     PREFEITURA
4766 LAVRAS                14/4/2009                   10       0        10          0     0       0      0
                                     PREFEITURA
4652 MACHADO                9/2/2009                   50       0        50         50     0       0      0
                                     PREFEITURA
4582 MARIA DA FE            9/1/2009                  100       0         0          0     0       0      0
                                     PREFEITURA
4612 PERDOES               21/1/2009                  400       0       930        998     0      47      0
                                     PREFEITURA
4670 POUSO ALEGRE          13/2/2009                   50       0        50         50     1       0      0
                                     PREFEITURA
4673 POUSO ALEGRE          17/2/2009                    0       0        50         50     2       0      0
                                     PREFEITURA
4599 SAO JOAO DEL REI      19/1/2009                  100       0         0          0     0       0    500



    MANHUAÇU
                                                    Cb 10   Cb 18
N° lib       Municípios     Datas    Beneficiados    Kg      Kg     Colchões Cobertores Lonas Roupas Telhas
4319 ARGIRITA             22/10/2008 PREFEITURA         0       0         0          0     0       0      0
4496 MANHUACU             19/12/2008 COMDEC             0       0         0          0     1       0      0
4559 ALTO JEQUITIBA         7/1/2009 PREFEITURA       200       0       200        200     0       0      0
4558 CARANGOLA              7/1/2009 PREFEITURA       300       0       278        200     2       0      0
4592 CARANGOLA             15/1/2009 PREFEITURA         0       0         0         50     0       0      0
4683 CARANGOLA             20/2/2009 PREFEITURA       100       0       100        100     0       0      0
4576 ESPERA FELIZ           9/1/2009 PREFEITURA         0       0       150        150     0       0      0
4644 ESPERA FELIZ           5/2/2009 PREFEITURA       150       0       100        100     0       0      0
4709 ESPERA FELIZ          13/3/2009 PREFEITURA       100       0         0          0     0       0      0
4610 JEQUERI               20/1/2009 PREFEITURA         0       0         0          0     5       0      0
4575 MANHUACU               9/1/2009 PREFEITURA         0       0       200        200    10      41      0
4590 MUTUM                 14/1/2009 PREFEITURA        50       0        50         50     3       0      0
4585 REDUTO                13/1/2009 PREFEITURA        50       0        50         50     0       0      0
4642 SIMONESIA              3/2/2009 PREFEITURA        50       0         0          0     0       0      0
4546 TOMBOS                 6/1/2009 PREFEITURA       100       0       100        100     1       0      0
4724 UBAPORANGA             1/4/2009 PREFEITURA       100       0       165        200     3      10      0
4559 ALTO JEQUITIBA         7/1/2009 PREFEITURA       200       0       200        200     0       0      0




                                                                                                  58
MONTES CLAROS
                                                        Cb 10   Cb 18
N° lib       Municípios       Datas      Beneficiados    Kg      Kg      Colchões Cobertores Lonas Roupas Telhas
4568 CAPITAO ENEAS            8/1/2009 PREFEITURA         108        0       100        150      2      0       0

    PASSOS
                                                        Cb 10   Cb 18
N° lib       Municípios       Datas      Beneficiados    Kg      Kg      Colchões Cobertores Lonas Roupas Telhas
4768 IPUIUNA                 14/4/2009 PREFEITURA           0        0       200        200      0      0       0

    TEÓFILO OTONI
                                                        Cb 10   Cb 18
N° lib       Municípios       Datas      Beneficiados    Kg      Kg      Colchões Cobertores Lonas Roupas Telhas
                                         PREFEITURA
4470 CARLOS CHAGAS           5/12/2008                      0        0         0           0     1      0       0
                                         PREFEITURA
4421 TEOFILO OTONI          25/11/2008                    500        0       250        220      4      30      0
                                         PREFEITURA
4569 CARLOS CHAGAS            8/1/2009                    100        0        80        100      1      10      0
                                         PREFEITURA
4615 CRISOLITA               21/1/2009                     50        0        50         50      0      0       0
                                         PREFEITURA
4578 PAVAO                    9/1/2009                      0        0       100        100      0      0       0

    UBÁ
                                                        Cb 10   Cb 18
N° lib       Municípios       Datas      Beneficiados    Kg      Kg      Colchões Cobertores Lonas Roupas Telhas
                                         PREFEITURA
4484 CATAGUASES             19/12/2008                    500        0       200        300      2      40      0
                                         PREFEITURA
4508 DIVINESIA              20/12/2008                     50        0        50         50      0      0       0
                                         PREFEITURA
4486 DONA EUZEBIA           19/12/2008                     50        0        50         50      0      30      0
                                         PREFEITURA
4488 GUIDOVAL               19/12/2008                     50        0        50         50      1      30      0
                                         PREFEITURA
4533 SANTOS DUMONT          30/12/2008                     50        0        50         50      1      0       0
                                         PREFEITURA
4485 SENADOR FIRMINO        19/12/2008                    100        0       100        100      1      10      0
                                         PREFEITURA
4633 DONA EUZEBIA            28/1/2009                     50        0        50         50      0      30      0
                                         PREFEITURA
4637 ESTRELA DALVA           29/1/2009                    100        0       100        100      0      0       0
                                         PREFEITURA
4646 MURIAE                   5/2/2009                    600        0         0           0     0      0       0
                                         PREFEITURA
4650 PAIVA                    6/2/2009                    100        0         0           0     0      0       0
                                         PREFEITURA
4639 PEDRA DO ANTA           29/1/2009                     50        0        50         50      0      0       0




                    TOTAL GERAL                         32246    0       23641     22153       293   1688    61722




                                                                                                        59
6.3 Enchentes e inundações em Ponte Nova
                                              grande    número             de     desabrigados         e
   O município de PONTE NOVA/MG               desalojados.
localiza-se na zona da mata mineira, sua         Na noite do dia 18 de dezembro de
sede dista 180 km da capital, possui uma      2008, desabou sobre a cidade uma chuva
população de 57.033 habitantes e faz          forte, com índice de 410,2 mm num
limite com as localidades de Guaraciaba,      período     de      7         dias        (fonte        MG
Amparo do Serra e Oratórios (fonte IBGE).     Tempo/CEMIG/Puc                   Minas),     o     que
   O município integra a bacia do rio         provocou elevação das águas do Rio
Doce, sendo banhado por um de seus            Piranga em cerca de 8 metros acima do
principais formadores, o rio Piranga.         nível normal, o que inundou terras em
   Sua área territorial é formada por         ambas as margens e em toda a sua
encostas e possui várias construções          extensão urbana, além do deslizamento
irregulares,   erguidas   sem    orientação   de terra em alguns bairros residenciais e
técnica, o que potencializa o risco. Foram    algumas comunidades rurais.                  O evento
observados vários pontos com risco de         afetou    4.697     pessoas,          deixou       4.070
deslizamento de terra e pontos suscetíveis    desalojadas e outras 544 desabrigadas.
de inundação, haja vista que o curso do       Estas ficaram instaladas em 05 (cinco)
Rio Piranga passa pelo Centro da cidade.      abrigos temporários.
                                                 Houve          prejuízo           material           nas
                                              residências e empresas situadas em toda
                                              a extensão do Rio, além dos bairros
                                              Copacabana, Centro, Vila Alvarenga, Vila
                                              Centenário,       Vila        Oliveira,      Triângulo,
                                              Palmeiras, Anna Florência, Santo Antônio,
                                              Santa     Tereza         e        Rasa,     além        das
                                              localidades de Vão Grande, Brito, Rio
 Fig. 23 - Localização da cidade de           Acima, Ilha da Garça, Sesmaria e Distrito
 Ponte Nova.                                  Rosário do Pontal.

   O desastre em Ponte Nova não foi um           Segunda a COMDEC, a chuva ainda

fato isolado no período chuvoso, porém        danificou 651 (seiscentos e cinqüenta e

diferenciou-se dos demais pelas suas          uma) residências populares, 04 (quatro)

enormes proporções. A soma dos fatores        prédios públicos da Barrinha
                                                         Ponte e 06 (seis) pontes

adversos à precipitação hídrica acima da      danificadas, além de destruir 15 (quinze)

média histórica provocou inundação em         residências e 02 (duas) pontes.

toda sua extensão urbana,         deixando


                                                                                                 60
pelas chuvas. Na oportunidade o Exmo.
                                                     Sr. Governador do Estado pôde constatar
                                                     a vulnerabilidade do município face às
                                                     grandes    precipitações    hídricas,     que
                                                     levaram às inundações. Foi discutida a
                                                     necessidade de obras estruturais para
                                                     contenção de encostas, recuperação de
                                                     pontes e da pavimentação asfáltica de
                                                     alguns trechos. Na mesma visita ele
                                                     homologou os Decretos Municipais que
                                                     declaravam Situação de Emergência em




           Ponte da Barrinha

      Houve interrupção do fornecimento de
energia elétrica por avarias causadas na
rede e queda de árvores e também
suspensão do abastecimento de água
devido a danos nas instalações.
      As pontes de acesso à cidade ficaram
submersas, deixando todos ilhados por
três dias. Somente após a baixa das                   Rua Dr. João Pinheiro (em destaque o prédio
                                                      da antiga Fundição Progresso)
águas foi possível calcular a extensão dos
danos causados pelo desastre.
      A   Polícia   Militar   e   o    Corpo    de   Ponte Nova e nos demais municípios
Bombeiros Militar atuaram na retirada dos            vizinhos   afetados    pelas   chuvas.       A
moradores       das     áreas     de   risco.   O    intensidade do desastre foi dimensionada
COMDEC         e    o    CBMMG         realizaram    como nível III, de grande porte.
vistorias nos locais mais críticos afetados             A equipe de apoio complementar da
pelo desastre.                                       CEDEC orientou o executivo municipal
      No dia 20 de dezembro de 2008, o               sobre a importância da confecção do
Governador do Estado, Aécio Neves, e o               formulário de Avaliação de Danos -
Secretário Executivo de Defesa Civil, Ten            AVADAN (documento de embasamento
Cel       PM    Alexandre         Lucas    Alves,    para   possíveis    isenções       de   tarifas
sobrevoaram e visitaram a região afetada             públicas, linhas de créditos para os



                                                                                                 61
comerciantes atingidos e liberação do              do desastre (cestas básicas, colchões,
FGTS para os moradores das áreas                   cobertores, roupas e lona plástica).
afetadas) e sugeriu a implantação do                      Seguindo     essa     premissa,       o
Sistema de Comando em Operações                    Governo do Estado viabilizou a liberação
(SCO) para que o município pudesse                 de recursos em caráter emergencial para
controlar   efetivamente      as    ações     de   a   recuperação    das     áreas    afetadas,
resposta, já que a cidade possui muitas            restabelecendo a normalidade para as
áreas de risco (encostas) e os efeitos             comunidades instaladas naqueles setores.
secundários      do        desastre      devem     Uma equipe de engenheiros e técnicos da
permanecer por um longo período.                   Secretaria Estadual de Transportes e
                                                   Obras Públicas – SETOP esteve no
                                                   município executando obras estruturais
                                                   para recuperação da infra-estrutura local.
                                                   Segundo informações da COMDEC, o
                                                   Ministério da Integração liberou recursos
                                                   para reconstrução e recuperação das
                                                   áreas afetadas.




     Vista geral da cidade.

 A     equipe   orientou     e     auxiliou   na
confecção da documentação necessária
para     decretação    de        Situação     de
Emergência.
                                                   Rua danificada na cidade.




Ponte Ferroviária CEDEC aaajuda
Foi disponibilizada pela entre rua                  Detalhe de       danos     no     Bairro
                                                    Barrinha.
humanitária para rua Antônio Ozanan
Copacabana e aminimização dos efeitos


                                                                                               62
6.4 Ações de Resposta de Comunicação Social

       Dentre       as    ações        de    resposta   Fantástico.      No     programa,    foram
implementadas            pela      Diretoria       de   ressaltadas as ações e coordenações da
Comunicação Social (DCS), objetivando o                 CEDEC no Estado. Abaixo, algumas
pronto atendimento à imprensa e à                       reportagens que usaram a Defesa Civil
comunidade, estão;                                      como fonte.

                                                           •   Bom Dia Minas - Rede Globo
1. Estreito     relacionamento              com    os
                                                                  Data    Horário Duração
   veículos da imprensa com o objetivo
                                                               17|12|2008 6:25 3 min | 54 seg
   de esclarecer dúvidas ou questões
                                                               Defesa Civil monitora áreas de
   levantadas        pelos      jornalistas,      bem
                                                               risco
   como prestar informações solicitadas.
                                                               Entrevista:
   A DCS disponibilizou-se para o pronto
                                                                  Eduardo Mendes de Sousa -
   atendimento às entrevistas para os
                                                                  Coordenador Defesa Civil/MG
   veículos de rádio, tv e impresso. Nas
                                                                  – diz que as pessoas devem
   ocasiões mais críticas do período, o
                                                                  sair imediatamente das casas.
   atendimento foi feito diariamente, com
   total disponibilidade de gravação de
   áudio      e/ou        vídeo.       Dentre      as      •   Em cima da hora - Globo News

   entrevistas, destacam-se as de nível                           Data        Horário Duração

   de abrangência nacional e uma, de                           17|12|2008 10:00 8 min | 55 seg

   nível   internacional.          O    Diretor    de          Enchentes em Minas Gerais

   Comunicação Social da CEDEC, Major                          causam prejuízos

   Edylan Arruda, foi entrevistado por                         Entrevistado: Ao vivo por telefone o

   uma rádio portuguesa para falar da                          Capitão Edylan Arruda, da

   situação     das       chuvas        no    Estado           Defesa Civil, faz um balanço da

   mineiro.     A     Defesa       Civil     também            situação do Estado com as chuvas

   participou de reportagens de rádios,                        e diz que muitas cidades ainda não

   sites e impressos de outros Estados,                        têm Defesa Civil o que prejudica o

   como a Jovem Pan, de São Paulo, o                           trabalho de ajuda.

   portal Terra, do Rio de Janeiro e os
   impressos, Folha de São Paulo e o
   Estado de São Paulo, ambos da                           •   Jornal da Record - Rede Record

   capital paulista.                                           Data       Horário Duração

       Pela     primeira        vez,    a    CEDEC             17|11|2008 20:15 2 min |

conseguiu um espaço na mídia nacional,                         Balanço dos estragos da chuva

através da revista eletrônica dominical,                       em Minas



                                                                                            63
Entrevistado:                                "A CEDEC tem uma escola de
    Eduardo Mendes - Defesa Civil -              Defesa Civil que oferece cursos
    comenta que o que preocupa são               para capacitar as pessoas que vão
    as tempestades, os ventos e as               trabalhar com Defesa Civil nos
    chuvas de granizos.                          municípios para que elas possam,
                                                 preparar       ações        para     evitar
•   Panorama - TV Assembléia                     tragédias           nas            cidades.
      Data     Horário Duração                   Normalmente, a mais comum é por
    16|12|2008 8:30 31 min |                     causa da chuva. Mas é preciso
    MG está preparada para enfrentar             ficar atento por causa da seca, que
    as chuvas?                                   já     vem     causando        problema
    Entrevistas:                                 também       em    algumas         cidades.
                                                 Então, nós estamos alertando aos
    - Capitão Edylan Arruda / Coord.             prefeitos     da     importância        da
    Comunicação Defesa Civil de                  Comdec para evitar problemas nos
    MG: fala que o Estado com uma                períodos      de   chuva.      Dos     853
    grande integração entre a PM,                municípios      mineiros,      603     têm
    Corpo de Bombeiros e a Defesa                Comdec, mas no entanto pouco
    Civil para ajudar prejudicados com           mais de 153 têm uma Defesa Civil
    as chuvas.                                   atuante. Então, estamos aí através
    - Cel. Célio Novaes / Coord.                 de      uma        determinação         do
    Operacional dos Bombeiros de                 governador Aécio Neves de que se
    MG: fala sobre o trabalho dos                um município precisar de recursos
    bombeiros no período chuvoso.                ele precisará comprovar que tem a
                                                 Comdec. Isso vai pressionar os
•   José Lino - Itatiaia                         prefeitos a criar a Comdec em seus
    Data Horário Duração                         municípios".
    28|01|2009 11:07 9 min |
    As ações da CEDEC para a                 •   CBN Brasil - CBN
    prevenção contra acidentes no                     Data     Horário Duração
    período da chuva em Minas                    22|12|2008 13:23 40 seg
    Entrevista:                                  Menos de 150 dos 853 municípios
                                                 do Estado têm uma Defesa Civil
    - Major Edylan Arruda/ assessor              atuante e preparada
    de comunicação da CEDEC: Ele                 Em Minas Gerais, menos de 150
    afirma que neste ano a CEDEC                 dos 853 municípios do Estado têm
    tem     trabalhado     muito   porque,       uma     Defesa      Civil    atuante     e
    desde     setembro,      as    chuvas        preparada para enfrentar desastres
    acontecem no Estado.                         provocados por chuva. Segundo o



                                                                                         64
diretor       de      Comunicação                da           Chuvas      continuam        provocando
    CEDEC,            o    Capitão             Edylan             estragos em Minas
    Arruda, as ações de defesa civil
                                                                  Desde setembro de 2008,                96
    são      de       responsabilidade               das
                                                                  municípios foram atingidos pelas
    prefeituras,          mas       a        falta   de
                                                                  chuvas.     Vinte    e     três   pessoas
    preparação                atrapalha               o
                                                                  morreram no Estado e 56 cidades
    atendimento nos municípios.
                                                                  decretaram estado de emergência.
                                                                  No        momento,         encontram-se
•   Jornal da Itatiaia - Itatiaia
                                                                  desabrigadas        5996     pessoas   e
        Data          Horário Duração
                                                                  5668 estão desalojadas em Minas.
    30|12|2008 7:24 3 min |
                                                                  Um prédio na Região Oeste de BH
    Secretário-executivo                da      Defesa
                                                                  ameaça desabar.
    Civil Estadual comenta os estragos
                                                                  Os bombeiros isolaram o local e
    provocados pela chuva em Minas
                                                                  notificaram os moradores de casas
    O secretário-executivo da Defesa
                                                                  vizinhas.
    Civil Estadual, Tenente Coronel
                                                                  A chuva também preocupa os
    Alexandre Lucas, comenta os
                                                                  moradores da Vila São João.
    estragos provocados pela chuva
                                                                  Na Zona da Mata, os moradores de
    em Minas.
                                                                  Manhuaçu foram atingidos pelas
    Entrevista:
                                                                  enchentes do rio que corta a
    -   Tenente Coronel Alexandre
                                                                  cidade.
    Lucas / Secretário-Executivo da
    Defesa Civil Estadual
                                                           Entrevistas:
    Ele afirma que, mesmo com a
    redução das chuvas, a CEDEC vai
    manter o plantão de 24 horas para
    atender as vítimas das chuvas. Ele
    alerta        para          o       risco        de
    desabamentos              de        residências
    porque        o    solo     continua muito
    molhado. O Coronel Alexandre
    Lucas disse que a ocorrência mais
                                                            Secretário-Executivo da CEDEC em coletiva de
    grave que ocorreu nas últimas                                             imprensa

    horas foi a morte de uma pessoa
                                                                  -Ten Cel Alexandre Lucas / Sec.
    soterrada em Contagem.
                                                                  Exec. Defesa Civil – Explica que é
                                                                  preciso perceber o aumento brusco
•   Notícias de Minas - Rede TV!
                                                                  no nível do rio na cabeceira e, por
    Data Horário Duração
    05|01|2009 19:36 2 min | 2 seg



                                                                                                         65
isso, as pessoas devem deixar as
casas ribeirinhas.                                 3. Apoio        a    Subsecretaria          de
                                                        Comunicação Social (Secom),
2. Manutenção constante do site                         da Secretaria de Estado de
      www.defesacivil.mg.gov.br.                        Governo         (Segov).         Foram
    O link “Destaque – Balanço das                      produzidas                      matérias
chuvas 2008/2009” de acesso às                          jornalísticas         específicas       a
informações                sobre             as         respeito        das         ações      da
conseqüências das chuvas, citou                         CEDEC/MG,            tais    como:      a
quais        os       municípios           que          divulgação de cursos, ações de
decretaram                situação           de         prevenção         e         preparação,
emergência, os que comunicaram                          alertas               meteorológicos,
ocorrência de precipitações, bem                        boletins, entre outros. Os textos
como       as       últimas       ocorrências           foram repassados a todas as
registradas         devido      às    chuvas,           emissoras       de     rádio,    TV     e
sempre em conjunto com o Centro                         impressos              da           região
de Controle de Emergência (CCE).                        metropolitana e interior.
Informações sobre a existência de                  4.       Apoio na distribuição de
Comdec          e    os    telefones        das         cartilhas da Secretaria de
                                                        Estado de Saúde (SES). A
prefeituras foram disponibilizadas                      CEDEC/MG, em conjunto com
no tópico;                                              a SES, tem apoiado na
                                                        distribuição da cartilha “Vamos
•     Outro tópico atualizado pela                      nos proteger das enchentes” às
      equipe da DCS, foi o de                           vítimas das chuvas no Estado.
                                                        A cartilha traz dicas sobre o
      “Notícias”. Sempre na página                      que a população pode fazer
      principal       do        portal       da         após      ser   atingida    pela
                                                        enchente.
      CEDEC/MG,              estavam         as
      matérias de destaque do órgão,
      sendo também reproduzidas e
      divulgadas           pela       Secom,
      através              do             portal
      www.agenciaminas.mg.gov.br;
•     A seção “Fale Conosco” do
      portal da CEDEC/MG, também
      demandou esforços da equipe.
      As        perguntas,           enviadas
      diariamente pela comunidade,
      eram      respondidas          em    uma
      média de 24h.




                                                                                               66
Figura 24 - Atualização do               Figura 25 - Notícias                 Figura 26 - Fale Conosco
   Balanço de Chuvas




                             Figura 27 - Frente da cartilha sobre enchentes




                             Figura 28 - Verso da cartilha sobre enchentes

                                                                                                     67
7 AÇÕES DE RECONSTRUÇÃO
   A quarta fase da administração de                       - recuperar os ecossistemas afetados;
desastres      denomina-se          reconstrução,          - reduzir a vulnerabilidade dos cenários
promovendo      a     reabilitação    de       áreas       dos desastres e das populações em
atingidas pelos desastres, comprovadas                     risco;
por meio do formulário de avaliação de                     - racionalizar e adequar o uso do solo e
danos       confeccionado        pelos        órgãos       do espaço geográfico,
municipais de defesa civil.                                - realocar as populações, em áreas
   Esta ação destina-se ao atendimento                     seguras       e   isentas       de   riscos
da população com a implantação de infra-                   intensificados de desastres;
estrutura    urbana     e   rural     objetivando          - modernizar as edificações e obras de
atender famílias de baixa-renda, com a                     arte e reforçar as fundações e as
reconstrução     e    recuperação        da    infra-      estruturas.
estrutura    danificada     ou   destruída       por           Necessário    se    faz,    diante   da
desastre ou sem condições de segurança                  ocorrência de um desastre cujos danos e
em conseqüência do desastre.                            prejuízos    comprometam       a    vida    da
   A reconstrução tem por finalidade                    população, que todos os esforços sejam
restabelecer, em sua plenitude:                         envidados no sentido de se minimizar a
   - os serviços públicos essenciais;                   repercussão negativa registrada.
   - a economia da área afetada;
   - o moral social;
   - o bem estar da população afetada.
   A recuperação de áreas atingidas por
desastre, como ação de Defesa Civil, de
certa forma confunde-se com a prevenção,
na medida em que busca:




                                                                                                    68
7.1 Municípios que Decretaram Situação de Emergência ou Comunicaram Evento de Chuva.
                                                                                                               DUAS    TOTAL
            SITUAÇÃO            ago/08    set/08 out/08 nov/08 dez/08 jan/09 fev/09 mar/09 abr/09 Mai/09 TOTAL VEZES CORRIGIDO

SITUAÇÃO DE EMERGÊNCIA            3         20    6     13        42   106      25   6       12         1   234        17    217

COMUNICADO                         1        4     0      2        13    21      11   09      11         0   72         13     59
 Fonte: Diretoria Técnica da CEDEC/MG


7.2 Os Processos de Decretação, Homologação e Reconhecimento de Situação de Emergência
                                                                                            PORTARIA
                                                      DECRETO            DECRETO
       NR                                                                                 RECONHECIME
                                                      MUNICIPAL        HOMOLOGAÇÃO
NR                 CIDADE               EVENTO                                                NTO
     PROCES
                                                         Nº                  Data           Data Dec.         Data Publ.      Nr      Data
       SO
 1     38      AÇUCENA            ENXURRADAS              4              07-jan-09          04-mar-09         05-mar-09
 2      3      AGUANIL                ENCHENTE           669             28-jan-09          31-mar-09         01-abr-09
 3     14      ALTO JEQUITIBÁ         ENCHENTE           660             05-jan-09          27-jan-09            28-jan-09   266    31/3/2009
 4     51      ALVINÓPOLIS        ENXURRADAS            2095             27-jan-09          04-mar-09         05-mar-09      345    16/4/2009
               AMPARO DO
 5     30                         ENXURRADAS              1              05-jan-09          17-fev-09            18-fev-09
               SERRA                                                                                                         267    31/3/2009
 6    1441     ANTÔNIO DIAS      ESCORREGAMENTO          29              18-dez-08          10-fev-09            11-fev-09   208    23/3/2009
               ANTÔNIO PRADO
 7     75                         ENXURRADAS              1              05-jan-09          04-mar-09         05-mar-09
               DE MINAS
 8     73      ARAPONGA          ESCORREGAMENTO         1834             02-jan-09          20-mar-09         21-mar-09
 9     47      ASTOLFO DUTRA     ESCORREGAMENTO           1              01-jan-09          10-fev-09            11-fev-09
10    1362     BAMBUÍ                   GRANIZO         1454             17-set-08          15-out-08            16-out-08   1772   11/11/2008
               BELA VISTA DE
11    1346                              GRANIZO          103             30-ago-08          15-out-08            16-out-08
               MINAS                                                                                                         1721   30/10/2008
12    1402     BELMIRO BRAGA          ENCHENTES          444             13-nov-08          01-dez-08         02-dez-08       36    19/1/2009
               BELO
13     43                         ENXURRADAS            13485            09-jan-09          10-fev-09            11-fev-09
               HORIZONTE
14    1428     BELO VALE              ENCHENTE           38              17-dez-08          27-jan-09            28-jan-09   346    16/4/2009
15     50      BRÁS PIRES             ENCHENTES           4              14-jan-09          17-fev-09            18-fev-09   356    28/4/2009

                                                                                                                                        69
16   1430   BRUMADINHO         ENCHENTE        4     17-dez-08   15-abr-09   16-abr-09
17    1     CAETÉ             ENXURRADAS      205    26-dez-08   04-mar-09   05-mar-09
18   1363   CAMPOS GERAIS       GRANIZO       1313   17-set-08   12-nov-08   13-nov-08
19    41    CANAÃ              ENCHENTE        20    22-dez-08   19-jan-09   20-jan-09   195    17/3/2009
20    99    CARAÍ              ENCHENTE        9     26-jan-09   06-mai-09   07-mai-09
21   1358   CARANDAÍ            GRANIZO       2418   17-set-08   17-set-08   18-set-08   1613   25/9/2008
22   1443   CARANGOLA          ENCHENTE       4343   07-jan-09   27-jan-09   28-jan-09   392    28/4/2009
23    34    CARLOS CHAGAS      ENCHENTE        5     12-jan-09   04-mar-09   05-mar-09
24   1425   CATAGUASES         ENCHENTE       3437   17-dez-08   23-dez-08   24-dez-09   127     3/3/2009
            CLARO DOS
25   117                      ENXURRADAS       15    15-fev-09   15-abr-09   16-abr-09
            POÇÕES
            CONCEIÇÃO DO
26   129                      ENXURRADAS       1     27-jan-09   15-abr-09   16-abr-09
            MATO DENTRO
            CONCEIÇÃO DO
27   1356                       GRANIZO       1204   16-set-08   15-out-08   16-out-08
            RIO VERDE                                                                    1724   30/10/2008
28   1361   CONGONHAS          ENCHENTE       4815   05-jan-09   28-jan-09   29-jan-09   327     7/4/2009
     1369   CONTAGEM            GRANIZO       1011   23-set-08   15-out-08   16-out-08   1725   30/10/2008
29
      16    CONTAGEM           ENCHENTE       1078   05-jan-09   27-jan-09   28-jan-09   209    23/3/2009
     1368   CRUCILÂNDIA         GRANIZO        10    18-set-08   15-out-08   16-out-08   1727   30/10/2008
30
      28    CRUCILÂNDIA        ENCHENTE        1     12-jan-09   27-jan-09   28-jan-09   268    31/3/2009
31    74    CUPARAQUE          ENCHENTE        7     09-jan-09   10-fev-09   11-fev-09   269    31/3/2009
32    80    DIVINO            ENXURRADAS       1     02-jan-09   04-mar-09   05-mar-09
33   1422   DIVINÓPOLIS        ENCHENTE       8699   23-dez-08   23-dez-08   24-dez-08
34   164    DOM SILVÉRIO     ESCORREGAMENTO    13    15-abr-09   24-abr-09   25-abr-09
35   1427   DONA EUZÉBIA       ENCHENTE        4     16-dez-08   10-fev-09   11-fev-09   304     1/4/2009
36   1417   ERVÁLIA          ESCORREGAMENTO    42    16-dez-08   28-jan-09   29-jan-09   210    23/3/2009
37    6     ESPERA FELIZ     ESCORREGAMENTO   703A   09-jan-09   20-mar-09   21-mar-09
38   1419   FORMIGA            ENCHENTE       4087   17-dez-08   23-dez-08   24-dez-08   211    23/3/2009
39   103    FREI GASPAR        ENCHENTE        5     05-jan-09   15-abr-09   16-abr-09
40    36    FREI INOCÊNCIO     ENCHENTE        8     09-jan-09   15-abr-09   16-abr-09
            GOVERNADOR
41    4                        ENCHENTE       8967   12-jan-09   20-mar-09   21-mar-09
            VALADARES
                                                                                                    70
42   1435   GUARACIABA        ENCHENTE        370     23-dez-08   15-abr-09   16-abr-09
43   1432   GUIDOVAL          ENCHENTE        489     18-dez-08   28-jan-09   29-jan-09   270    31/3/2009
44    25    IAPU              ENCHENTE         2      07-jan-09   04-mar-09   05-mar-09
45   1410   IBIRITÉ          ENXURRADAS      2400-A   12-fev-09   15-abr-09   16-abr-09
46    94    IGARAPÉ           ENCHENTE       1356     03-fev-09   15-abr-09   16-abr-09
47    17    ITABIRINHA        ENCHENTE        395     07-jan-09   27-jan-09   28-jan-09   212    23/3/2009
     1366   ITAGUARA           GRANIZO        901     18-set-08   15-out-08   16-out-08   1778   8/12/2008
48
     1452   ITAGUARA          ENCHENTE        923     29-dez-08   27-jan-09   28-jan-09   271    31/3/2009
49    44    ITAMARANDIBA      ENCHENTE       2081     02-jan-09   20-mar-09   21-mar-09
50   1421   ITAPECERICA       ENCHENTE         4      17-dez-08   27-jan-09   28-jan-09   272    31/3/2009
51   146    ITAPEVA          ENXURRADAS       18      14-fev-09   06-mai-09   07-mai-09
52   1424   JECEABA           ENCHENTE         1      20-dez-08   20-mar-09   21-mar-09
53    11    JEQUERI         ESCORREGAMENTO   1523     06-jan-09   27-jan-09   28-jan-09   128    3/3/2009
54   114    JOSÉ RAYDAN      ENXURRADAS        1      10-fev-09   31-mar-09   01-abr-09
55   1397   LAGOA SANTA       VENDAVAL        881     07-nov-08   01-dez-08   02-dez-08
56   105    MALACACHETA       ENCHENTE         6      12-jan-09   06-mai-09   07-mai-09
57    24    MANHUAÇU          ENCHENTE        915     07-jan-09   04-mar-09   05-mar-09
58    23    MANHUMIRIM        ENCHENTE       1921     09-jan-09   04-mar-09   05-mar-09
59    2     MARIA DA FÉ       ENCHENTE       2422     29-dez-08   27-jan-09   28-jan-09   273    31/3/2009
60   1438   MIRADOURO         ENCHENTES       797     18-dez-08   17-fev-09   18-fev-09   274    31/3/2009
61   1444   MURIAÉ           ENXURRADAS      3541     17-dez-08   23-dez-08   24-dez-08   107    11/2/2009
62   1449   MUTUM             ENCHENTE       2771     18-dez-08   28-jan-09   29-jan-09   275    31/3/2009
63    54    NOVO CRUZEIRO     ENCHENTE         2      20-jan-09   20-mar-09   21-mar-09
64   1420   PALMA           ESCORREGAMENTO    912     17-jan-09   04-mar-09   05-mar-09
            PATROCÍNIO DO
65   1423                    ENXURRADAS        4      02-jan-09   31-mar-09   01-abr-09
            MURIAÉ
66    10    PAVÃO             ENCHENTE        66      08-jan-09   31-mar-09   01-abr-09
67    53    PEDRA DO ANTA     ENCHENTE         1      02-jan-09   10-fev-09   11-fev-09
68    65    PERDÕES          ENXURRADAS      2.346    21-jan-09   17-fev-09   18-fev-09   357    28/4/2009


                                                                                                    71
PIEDADE DOS
69    70                       ENCHENTE        4      02-jan-09   15-abr-09   16-abr-09
            GERAIS
70   1431   PIRANGA            ENCHENTE       1.675   17-dez-08   23-dez-08   24-dez-08
71   1446   PONTE NOVA         ENCHENTE       6993    18-dez-08   23-dez-08   24-dez-08   102     9/2/2009
72   1436   PORTO FIRME        ENCHENTE        31     17-dez-08   23-dez-08   24-dez-08
73   169    POUSO ALEGRE       ENCHENTE       3211    13-fev-09   06-mai-09   07-mai-09
            PRESIDENTE
     1371                       GRANIZO       682     17-set-08   15-out-08   16-out-08
            BERNARDES                                                                     1731   30/10/2008
74
            PRESIDENTE
     1445                      ENCHENTE       694     17-dez-08   23-dez-08   24-dez-08
            BERNARDES                                                                     305     1/4/2009
75   1437   RAUL SOARES        ENCHENTE        33     18-dez-08   23-dez-08   24-dez-08   213    23/3/2009
76   120    REDUTO             ENCHENTE        25     11-fev-09   15-abr-09   16-abr-09
77   1439   RIO CASCA          ENCHENTE       250     18-dez-08   23-dez-08   24-dez-08
78    67    RIO PIRACICABA     ENCHENTE        64     28-jan-09   06-mai-09   07-mai-09
            ROSÁRIO DA
79    84                       ENCHENTE        2      05-jan-09   15-abr-09   16-abr-09
            LIMEIRA
            SANTA EFIGÊNIA
80    55                      ENXURRADAS       2      23-jan-09   10-fev-09   11-fev-09
            DE MINAS                                                                      276    31/3/2009
            SANTA
81    69                     ESCORREGAMENTO   481     05-jan-09   20-mar-09   21-mar-09
            MARGARIDA
            SANTANA DE
82    33                      ENXURRADAS       2      05-jan-09   27-jan-09   28-jan-09
            CATAGUASES                                                                    277    31/3/2009
            SANTANA DO
83   151                       ENCHENTE        8      06-jan-09   06-mai-09   07-mai-09
            MANHUAÇU
            SANTO ANTÔNIO
84    91                       ENCHENTE       162     21-jan-09   20-mar-09   21-mar-09
            DO MONTE
85   100    SÃO FRANCISCO      ENCHENTE        10     12-jan-09   15-abr-09   16-abr-09
            SÃO FRANCISCO
86   100                       ENCHENTES      708     26-jan-09   17-fev-09   18-fev-09
            DO GLÓRIA                                                                     278    31/3/2009
87    92    SÃO GERALDO        ENCHENTE        4      16-jan-09   04-mar-09   05-mar-09
            SÃO JOÃO DA
88    62                      ENXURRADAS       1      05-jan-09   17-fev-09   18-fev-09
            PONTE
            SÃO MIGUEL DO
89    22                       ENCHENTES       82     17-dez-08   17-fev-09   18-fev-09
            ANTA                                                                          279    31/3/2009
            SÃO PEDRO DOS
90    95                       ENCHENTE        2      05-jan-09   20-mar-09   21-mar-09
            FERROS
91   131    SAPUCAÍ-MIRIM     ENXURRADAS      1252    16-fev-09   15-abr-09   16-abr-09


                                                                                                     72
92    85     SARDOÁ              ENXURRADAS       22    23-jan-09   04-mar-09   05-mar-09
             SENADOR
93   1433                          ENCHENTE       49    17-dez-08   27-jan-09   28-jan-09
             FIRMINO
94    26     SERRO                 ENCHENTE      2615   25-jan-09   31-mar-09   01-abr-09
95    87     SETUBINHA             ENCHENTE       1     12-jan-09   10-fev-09   11-fev-09   280    31/3/2009
96     5     TABULEIRO             ENCHENTE       2     02-jan-09   17-fev-09   18-fev-09   281    31/3/2009
             TAQUARAÇU DE
97   1373                              GRANIZO    24    22-set-08   15-out-08   16-out-08
             MINAS                                                                          1733   30/10/2008
98   1450    TOMBOS               ENCHENTES       55    18-dez-08   17-fev-09   18-fev-09   282    31/3/2009
99    147    TUPACIGUARA           VENDAVAL      250    23-mar-09   06-mai-09   07-mai-09
             VISCONDE DO
      118                        ENXURRADAS       98    17-dez-08   20-mar-09   21-mar-09
10           RIO BANCO
0            VISCONDE DO
     1357                              GRANIZO    66    15-set-08   15-out-08   16-out-08
             RIO BRANCO                                                                     1734   30/10/2008
Fonte: Diretoria Técnica da CEDEC/MG




                                                                                                       73
Principais notícias veiculadas




                                 74
Aécio Neves determina envio de coordenadores da Defesa Civil
        de MG em auxílio aos trabalhos de recuperação de Santa Catarina



     Profissionais da CEDEC/MG já estão no Sul do País em apoio irrestrito à
                           Defesa Civil catarinense
 Aécio Neves se reuniu, em Florianópolis, com o governador de Santa Catarina,
                                 Luiz Henrique

     O governador Aécio Neves apresentou, na segunda-feira (1/12), ao governador
                                     de Santa Catarina, Luiz Henrique da
                                     Silveira, os coordenadores e técnicos da
                                     Coordenadoria Estadual de Defesa Civil de
                                     Minas Gerais (Cedec-MG) que darão apoio
                                     irrestrito à Defesa Civil catarinense nas
                                     ações de resposta às fortes chuvas que têm
                                     castigado o Estado da região Sul do país. O
                                     chefe do Gabinete Militar e coordenador da
                                     Cedec-MG, coronel Eduardo Mendes, o
                                     secretrrio-executivo do órgão, coronel
                                     Alexandre Lucas Alves, e técnicos já estão
                                     em Santa Catarina e permanecerão por
                                     período indeterminado no Estado.

      Em entrevista, Aécio Neves destacou o apoio que o Governo de Minas já vem
prestando à Defesa Civil, com envio de helicópteros e água potável, desde o início da
tragédia que já provocou a morte de 114 pessoas em Santa Catarina. Ele também
detalhou o trabalho que os profissionais da Cedec-MG desenvolverão no Sul do país.
"Estamos, por solicitação do governador
Luiz Henrique, transferindo para Santa
Catarina os nossos melhores técnicos da
Defesa Civil, que se incorporarão ao
trabalho de inteligência, principalmente,
que aqui está sendo feito, não apenas
para sanar os problemas existentes, mas
para diagnosticar futuros problemas. É
hora tanto de agir nas conseqüências do
que aconteceu, mas também para evitar
outros danos em razão de outras chuvas
que podem vir. Temos um grupo de
oficiais reconhecido internacionalmente como dos mais qualificados do país, que
estará a partir de hoje à disposição do Governo de Santa Catarina, morando em
Santa Catarina, para ajudar no enfrentamento da crise", disse Aécio Neves, em
entrevista.

     O coordenadores e técnicos da Cedec-MG acumulam experiências em trabalhos
de resposta em desastres ocorridos em Minas, como a chuva de granizo em Carandaí,
ocorrida em setembro passado, o tremor de terra no final de 2007, de 4,9 graus na
escala Ricthter, em Itacarambi, Norte de Minas, a resposta à contaminação do Rio das
Velhas e Rio São Francisco pela cianobactérias e o rompimento da barragem de Miraí,
em janeiro de 2007, além de outros desastres ocorridos em municípios mineiros que
foram atingidos pelas chuvas.


                                                                                        75
Apoio econômico

      Aécio Neves também destacou a necessidade de apoio dos brasileiros à
                                         economia do Estado de Santa Catarina.
                                         Segundo ele, os recursos vindos do turismo
                                         são significativos na base de arrecadação
                                         catarinense e, para isso, fez o apelo para
                                         que os mineiros e brasileiros mantenham
                                         suas programações de férias de verão nas
                                         praias de Santa Catarina, que não foram
                                         atingidas pelas chuvas. "Uma das atividades
                                         econômicas mais importantes de Santa
                                         Catarina é o turismo. Estamos no início do
                                         verão e é preciso que fique muito claro que
                                         a região turística mais forte, que são as
                                         praias catarinenses, não foram atingidas.
Quero aqui me dirigir principalmente aos mineiros, para dizer que venham para Santa
Catarina, mantenham sua programação nessas regiões, onde estavam programados
de ir, porque a renda advinda da atividade turística será muito importante para que o
Estado de Santa Catarina sofra menos", disse Aécio Neves.

Doações

     A Defesa Civil de Minas Gerais está atenta ao cenário do desastre e, por
orientação da Defesa Civil de SC, recomenda que a ajuda às vítimas seja prestada
por meio de contribuições financeiras em contas bancárias.




                              Diretoria de Comunicação Social – CEDEC/MG




                                                                                        76
Ministério reconhece situação de emergência de Carandaí
Veículo: O Tempo - Belo Horizonte - MG - Caderno: 1º Caderno
Página: 34
Sábado, 04 de Outubro de 2008




                                                               77
Temporal arrasa município na Zona da Mata
Veículo: O Tempo - Belo Horizonte - MG - Caderno: 1º Caderno
Página: 31
Sexta-feira, 14 de Novembro de 2008




                                                               78
Minas refém das chuvas
Veículo: Hoje em Dia - Belo Horizonte - MG - Caderno: 1º Caderno
Página: 4
Sábado, 15 de Novembro de 2008




                                                                   79
Vítimas recebem doações da CEDEC
Veículo: Gazeta de São João Del Rei - MG
Página: 3
Sábado, 22 de Novembro de 2008




                                           80
Chuva deixa municípios da Grande BH em alerta
Veículo: O Tempo - Belo Horizonte - MG
Página: 36
Terça-feira, 25 de Novembro de 2008




                                                81
Chuva destrói casas em Novo Cruzeiro
Veículo: Super Notícia - Belo Horizonte - MG
Página: Capa e página 8
Terça-feira, 02 de Dezembro de 2008




                                               82
Minas tem 38 cidades em risco
Veículo: Hoje em Dia - Belo Horizonte - MG - Caderno: Minas
Página: 24
Terça-feira, 02 de Dezembro de 2008




                                                              83
Definidas ações para chuva
Veículo: Estado de Minas - Belo Horizonte - MG
Página: 23
Terça-feira, 23 de Dezembro de 2008




                                                 84
Mais tempo para pagar água e luz
Veículo: O Tempo - Belo Horizonte - MG
Página: 24
Quarta-feira, 24 de Dezembro de 2008




                                         85
Municípios sem prevenção
Veículo: Estado de Minas - Belo Horizonte - MG
Página: 21
Quinta-feira, 01 de Janeiro de 2009




                                                 86
Arrudas transborda, invade, arrasta, destroí e mata
Veículo: O Tempo - Belo Horizonte - MG
Página: 22
Sexta-feira, 02 de Janeiro de 2009




                                                      87
Chuvas continuam a provocar danos
Veículo: O Tempo - Belo Horizonte - MG
Página: 25
Quarta-feira, 07 de Janeiro de 2009




                                         88
Raio cai em lavoura e mata jovem de 14 anos
Veículo: O Tempo - Belo Horizonte - MG
Página: 28
Sábado, 07 de Fevereiro de 2009




                                              89
Mortes por causa da chuva aumentam 50% em Minas
Veículo: O Tempo - Belo Horizonte - MG
Página: 27
Quinta-feira, 12 de Fevereiro de 2009




                                                  90
Defesa Civil destaca papel das Comdec
Veículo: Minas Gerais - Belo Horizonte - MG
Página: 04
Terça-feira, 24 de Março de 2009




                                              91
Cidade chora mortos pela tromba-d'água
Veículo: Estado de Minas - Belo Horizonte - MG
Página: 27
Domingo, 29 de Março de 2009




                                                 92
Morre a 40ª vítima das chuvas em MG
Veículo: Estado de Minas - Belo Horizonte - MG
Página: 23
Quinta-feira, 02 de Abril de 2009




                                                 93
Conclusão




             As mudanças climáticas, a vulnerabilidades dos centros urbanos e a ausência
de uma cultura de percepção e prevenção a riscos, tem causado muitos danos às
comunidades não só no Estado de Minas Gerais, mas no Brasil e no mundo.

               O período chuvoso 2008/2009 se caracterizou por uma considerável
instabilidade histórica, quando as precipitações não observaram uma previsibilidade natural
dos anos anteriores. Os meses de janeiro e fevereiro, historicamente mais chuvosos tiveram
menos chuvas que outros meses do período.

               Chuvas de granizo, onde nunca havia sido registrado qualquer desastre deste
tipo, provocaram desastres de grave complexidade, como o acontecido na cidade de Carandaí
e outros municípios da Zona da Mata.

              Na região do semi-árido mineiro, também tivemos um regime de chuvas
diferenciado quando em algumas cidades, choveu acima da média histórica e por um tempo
mais prolongado, estendendo-se as precipitações até o início do mês de maio.

              Todas essas manifestações da natureza nos indicam um grande desafio: as
comunidades, sobretudo as urbanas têm de se preparar para os desastres de modo a
minimizar seus danos humanos e materiais.

             Comunidades que nunca tinham sofrido com qualquer intempérie da natureza,
estão sendo assoladas com violência, contribuindo para o aumento do número de mortes a
cada ano.

             Tanto as esferas do poder público quanto as instituições privadas têm de
compreender a responsabilidade social que determina comportamentos de percepção de risco



                                                                                        94
e consequentemente adoção de medidas de prevenção e preparação para a resposta aos
desastres.

              O cidadão comum, indivíduo integrante da comunidade, também deve
reconhecer seu papel neste complexo contexto, a partir da adoção de comportamentos
preventivos óbvios, como não ultrapassar alagamentos ou enxurradas a pé ou motorizados,
evitando-se assim tantas mortes absurdas e completamente evitáveis.

                Ao encerrarmos mais um período chuvoso, dois sentimentos ocupam nosso
coração institucional! O primeiro, de orgulho, de satisfação pelo dever cumprido e pelo
respeito e reconhecimento que tem se estendido além das fronteiras de nosso Estado. O
padrão de trabalho da Defesa Civil de Minas Gerais é reconhecido em todo o país como
referência e exemplo e não foi por acaso que nossos profissionais foram convocados para
auxiliar outros estados na administração de grandes calamidades.

              Mas o sentimento mais importante é o que indica que ainda há um grande
caminho a ser percorrido! Enquanto crianças estiverem morrendo soterradas por
deslizamentos perfeitamente previsíveis, nossa excelência profissional ficará distante da
realidade almejada.

               Enquanto vidas estiverem sendo ceifadas por comportamentos inadequados em
áreas de risco, nossos esforços terão sido insuficientes!

                Resta-nos prosseguir! Almejando conjugar a excelência do conhecimento com a
força do entusiasmo e da abnegação de uma equipe extraordinária! Buscando no passado
apenas o incentivo de que avançamos muito, mas olhando para frente, com os olhos fixos no
ideal de servir as pessoas que sofrem, contribuindo a cada dia para a construção de um novo
tempo em Minas Gerais.




                      ALEXANDRE LUCAS ALVES TEN CEL PM
                     SECRETÁRIO EXECUTIVO DA CEDEC (MG)




                                                                                        95

RelatóRio De Chuvas.08 09

  • 1.
    Defesa Civil deMinas Gerais – Relatório Anual de Chuvas 2008-2009.
  • 2.
    ESTADO DE MINASGERAIS GABINETE MILITAR DO GOVERNADOR COORDENADORIA ESTADUAL DE DEFESA CIVIL Coordenador Estadual de Defesa Civil Eduardo Mendes de Sousa, Cel PM Secretário Executivo de Defesa Civil Alexandre Lucas Alves, Ten Cel PM Gabinete Militar do Governador Coordenadoria Estadual de Defesa Civil Rua Manaus, 467, 6º Andar, São Lucas, Belo Horizonte - MG Cep: 30.150-350 (31) 3236-2100 MINAS GERAIS. Gabinete Militar do Governador. Coordenadoria Estadual de Defesa Civil Relatório Anual de Chuvas: Período 01 de outubro de 2008 a 30 de abril de 2009 / CEDEC/MG – Minas Gerais: GMG. 2009. .95.p.;A4 1. MINAS GERAIS – Defesa Civil – Relatório de Chuvas 2008/2009 Defesa Civil de Minas Gerais – Relatório Anual de Chuvas 2008-2009. 2
  • 3.
    APRESENTAÇÃO O governo de Minas criou, em 2007, o Estado para Resultados ou Choque de Gestão de Segunda Geração, que, na prática, alterou a organização das ações da administração pública. A partir da adoção desse modelo, as secretarias e demais órgãos do Estado passaram a formar um sistema coordenado, onde não existem mais processos realizados de forma autônoma, sem conexão com a estratégia geral. Alinhados a esta estratégia de Estado, o Gabinete Militar do Governador, através da Coordenadoria Estadual de Defesa Civil (CEDEC) apresenta o Relatório Anual de Chuvas do período 2008/2009. O relatório contemplará as ações de defesa civil no período de 01 de outubro de 2008 a 30 de abril de 2009, tempo da ocorrência de eventos adversos relacionados às chuvas. A busca da garantia da dignidade da pessoa humana das comunidades vulneráveis, melhorando a qualidade de vida, através de ações preventivas e de preparação para os desastres norteou os trabalhos da CEDEC, sendo um eixo estratégico para alcançar os destinatários das políticas públicas, que é “Cidades seguras e bem cuidadas”. Visando ainda aumentar a percepção do risco a desastres, as pessoas foram instruídas e qualificadas em cursos de defesa civil, através de programas de educação, voltados para ampliar o capital humano, fator fundamental para o desenvolvimento econômico e social do povo mineiro. As ações de resposta aos desastres foram implementadas para socorrer com agilidade as vítimas de calamidades públicas, assistí-las com condições de dignidade social e qualidade de vida, para o alcance efetivo da normalidade e restabelecimento do moral da população. Para a execução das diversas missões foi necessário o envolvimento e articulação de vários órgãos e instituições, que de forma sinérgica se interagiram como força do Estado de Minas integrada para atender a comunidade. A integração somente foi alcançada pelo envolvimento de todos, através de um apoio irrestrito na busca do bem comum. Tiveram um trabalho fundamental e de destaque para o sucesso das operações a Polícia Militar e Corpo de Bombeiros Militar de Minas Gerais, que atuaram com empenho e profissionalismo. Agradecemos o apoio do Exmo Sr Governador do Estado, através de investimentos no Gabinete Militar do Governador, que possibilitou a realização de todas as missões necessárias ao atendimento da comunidade. Alinhados ao Governo do Estado, a CEDEC busca um futuro de crescimento sustentável e sem desigualdades sociais, em prol da vida saudável e qualidade ambiental. Belo Horizonte, 03 de junho de 2009. ALEXANDRE LUCAS ALVES TEN CEL PM SECRETÁRIO EXECUTIVO DA CEDEC (MG) Defesa Civil de Minas Gerais – Relatório Anual de Chuvas 2008-2009. 3
  • 4.
    EQUIPE RESPONSÁVEL: DORALICE LORENTZ LEAL, MAJ PM CHEFE DO CENTRO DE CONTROLE DE EMERGÊNCIAS SÍLVIO JOSÉ DE SOUSA FILHO, MAJ PM DIRETOR ADMINISTRATIVO EDYLAN ARRUDA DE ABREU, MAJ PM DIRETOR DE COMUNICAÇÃO SOCIAL FRANCISCO CARLOS RAMALHO FERREIRA, CAP PM CHEFE DO DEPÓSITO ANDERSON DE OLIVEIRA, CAP PM DIRETOR DE PLANEJAMENTO ANDERSON PASSOS DE SOUZA, CAP BM SUBCHEFE DO CCE ANDRÉA DANIELLE JANHSEN MENDES, CAP PM SECRETÁRIA Defesa Civil de Minas Gerais – Relatório Anual de Chuvas 2008-2009. 4
  • 5.
    Página 1 DIAGNÓSTICO DASCHUVAS EM MINAS GERAIS 2008/2009 06 2 DANOS E PREJUÍZOS 12 2.1 Registro de Vítimas fatais 13 2.2 Registro de Feridos 20 2.3 Registro de Desabrigados 21 2.4 Registro de Desalojados 22 2.5 Registro de Pontes Danificadas 24 2.6 Registro de Pontes Destruídas 25 2.7 Registro de Casas Danificadas e Destruídas 26 2.8 Detalhamento Residências 27 3 AÇÕES DE DEFESA CIVIL 28 3.1 A Segurança Global da População 31 4 AÇÕES DE PREVENÇÃO 32 4.1 Avaliação de Riscos de Desastres 32 4.2 Redução de Riscos de Desastres 32 4.3 A Importância das Comdec 33 - 5 AÇÕES DE PREPARAÇÃO 35 5.1 Cursos Básicos de Defesa Civil Ministrados pela Cedec em 2008 39 5.2 Ações de Preparação de Comunicação Social 40 6 AÇÕES DE RESPOSTA 45 6.1 Municípios Afetados pelas Chuvas que a Cedec Solicitou Apoio Órgãos Setoriais 49 6.2 Materiais de Ajuda Humanitária Disponibilizados pela Cedec através Depósitos 53 6.3 Enchentes e Inundações em Ponte Nova (MG) 60 6.4 Ações de Resposta de Comunicação Social 63 7 AÇÕES DE RECONSTRUÇÃO 68 7.1 Municípios que Decretaram Situação Emergência ou Comunicaram Chuvas 69 7.2 Os Processos de Decretação, Homologação e Reconhecimento de Sit. Emerg. 69 8 PRINCIPAIS NOTÍCIAS VEICULADAS 74 Defesa Civil de Minas Gerais – Relatório Anual de Chuvas 2008-2009. 5
  • 6.
    1 DIAGNÓSTICO DASCHUVAS EM MINAS GERAIS 2008/2009 tempestade ocorreu no dia 30 de agosto, e a partir de meado de setembro, houve a Climatologicamente o período chuvoso em ocorrência de tempestades em várias cidades Minas Gerais se inicia na primeira quinzena de do Estado. outubro nas regiões Sul, Oeste, Triângulo, Zona da Mata e Metropolitana de Belo A estação chuvosa 2008/2009 iniciou Horizonte e, nas demais regiões a estação conforme previsto, em outubro, apenas nas chuvosa começa na segunda quinzena. regiões Sul, Zona da Mata e Triângulo. As Entretanto, antes de começar a estação chuvas ficaram abaixo da média histórica em chuvosa no Estado, houve a ocorrência de todo o estado de Minas Gerais neste primeiro fortes chuvas, acompanhadas de ventos e mês, com chuvas abaixo de 150 mm do valor chuvas de granizos. A primeira grande esperado. Fig.1 Precipitação acumulada em Outubro Fig.2 Anomalia de precipitação em Outubro Em novembro, as chuvas foram mal Nas regiões do Jequitinhonha, distribuídas em todo Estado. No Triângulo, Metropolitana de Belo Horizonte e parte da Vale do Rio Doce e extremo Sul, as região Norte, as chuvas ficaram precipitações ficaram em média 150 mm consideravelmente acima da média histórica. abaixo do esperado, isto porque a frente fria Em alguns municípios foram registrados 200 ficou estacionária na região Norte do Estado. mm acima do esperado para todo o mês. Defesa Civil de Minas Gerais – Relatório Anual de Chuvas 2008-2009. 6
  • 7.
    Fig.3 Precipitação acumuladaem Novembro Fig.4 Anomalia de precipitação em Novembro Em dezembro, as chuvas se concentraram da média histórica. Entretanto, em algumas principalmente nas regiões Oeste, localidades do Noroeste e Triângulo as chuvas Metropolitana de Belo Horizonte, Zona da Mata ficaram muito abaixo do esperado, em alguns e em algumas áreas da região Norte. Na municípios a chuva acumulada ficou abaixo de capital mineira, por exemplo, as chuvas 50 mm. ficaram aproximadamente 300 mm, 50% acima Fig.5 Precipitação acumulada em Dezembro Fig.6 Anomalia de precipitação em Dezembro No mês de janeiro as chuvas ficaram na região Metropolitana e em alguns abaixo da média histórica em grande parte do municípios das regiões Leste e Zona da Mata, Estado. Os menores índices de chuva foram onde as chuvas ficaram em média 100 mm registrados no Triângulo e Noroeste. Os acima do esperado para o mês. maiores valores acumulados foram registrados Defesa Civil de Minas Gerais – Relatório Anual de Chuvas 2008-2009. 7
  • 8.
    Fig.7 Precipitação acumuladaem Janeiro Fig.8 Anomalia de precipitação em Janeiro As chuvas no mês de fevereiro ficaram chuvas ficaram em torno da média histórica, mais concentradas na primeira quinzena e, os nas demais regiões houve um déficit de maiores valores acumulados foram observados precipitação. O déficit hídrico foi mais nas regiões Sul, Zona da Mata, Metropolitana, acentuado nas regiões Norte e Leste, onde Oeste, parte do Triangulo e Noroeste. Pode-se praticamente não se observou chuva no mês observar na figura abaixo que somente nas de fevereiro. regiões Metropolitana e Zona da Mata é que as Fig.9 Precipitação acumulada em Fevereiro Fig.10 Anomalia de precipitação em Fevereiro Em março as chuvas tiveram maior Triângulo, Noroeste, Jequitinhonha e parte do distribuição nas regiões Sul, Zona da Mata, Norte do Estado, as chuvas continuaram Metropolitana, Oeste e Vale do Rio Doce. Em abaixo do esperado para o mês. alguns municípios como Viçosa e Três Marias, No pontal do Triângulo, por exemplo, as chuvas chegaram a ficar mais de 150 mm choveu apenas 20% do esperado. acima da média histórica. Nas regiões do Defesa Civil de Minas Gerais – Relatório Anual de Chuvas 2008-2009. 8
  • 9.
    Fig.11 Precipitação acumuladaem Março Fig.12 Anomalia de precipitação em Março O período chuvoso 2008/2009 foi marcado Norte, Nordeste e Leste. Os meses mais pela atuação do fenômeno La Niña, que atuou chuvosos no Estado foram dezembro e janeiro, com fraca intensidade, organizando pancadas sendo que as precipitações ficaram muito de chuvas com forte intensidade, com raios, acima da média histórica nas regiões Oeste, em algumas regiões do Estado. As chuvas no Zona da Mata e RMBH. Uma forte onda de mês de outubro ficaram abaixo da média calor marcou a segunda quinzena de fevereiro histórica em todas as regiões. No mês de e primeira quinzena de março. Houve recorde novembro, uma frente fria chegou em Minas histórico de temperaturas nas regiões do Gerais, onde ficou estacionária nas regiões Jequitinhonha e RMBH. Fig.13 Precipitação acumulada de Outubro a Março Fig.14 Anomalia de precipitação de Outubro a Março Defesa Civil de Minas Gerais – Relatório Anual de Chuvas 2008-2009. 9
  • 10.
    Pode-se observar nasfiguras da chuva Mucuri. As precipitações ficaram abaixo da acumulada do período e da anomalia, que as média histórica no Triângulo, Noroeste e em chuvas ficaram acima da média histórica nas alguns municípios das regiões Norte e regiões da Zona da Mata, RMBH e Vale do Nordeste. Fig. 15 - Precipitação acumulada em Belo Horizonte de Outubro de 2008 a Abril de 2009 Fig. 16 Precipitação acumulada em Viçosa de Outubro de 2008 a Abril de 2009
  • 11.
    Fig. 17 Precipitaçãoacumulada em Três Marias de Outubro de 2008 a Abril de 2009 Fig. 18 Precipitação acumulada em Formiga de Outubro de 2008 a Abril de 2009 11
  • 12.
    2 DANOS EPREJUÍZOS industriais e comerciais, além de estradas, Em se tratando de Defesa Civil, os obras de arte e pavimentação de vias danos causados por desastres podem ser urbanas que sofreram avarias devido ao classificados como humanos, materiais e excesso de chuvas. ambientais. Já os prejuízos podem ser econômicos ou sociais. Nos eventos adversos originados pelas chuvas, os danos e prejuízos causados, estão mais relacionados à vulnerabilidade dos cenários do que com o evento adverso em si, apesar dos índices pluviométricos terem atingido valores elevados em quase todo o território do Estado neste último período. Deslizamento de terra sobre Centro de Saúde Para melhor entendimento da extensão em Ponte Nova/MG. dos danos e prejuízos abordados neste c) Os danos ambientais são aqueles relatório é importante salientar que: que se referem à poluição e contaminação a) Os danos Humanos serão medidos do ar, da água ou do solo; degradação, através de indicadores tais como número perda de solo cultivado por erosão ou de mortos, gravemente feridos, levemente desertificação; desmatamento, queimada e feridos, enfermos, desalojados, riscos de redução da biodiversidade desabrigados, desaparecidos, deslocados e representada pela flora e pela fauna. afetados de uma forma geral pelas chuvas. Vítima desabrigada pela chuva no Área degradada por rompimento de barragem município de Cataguases/MG. em Congonhas/MG. b) Os danos materiais serão d) Os prejuízos econômicos são mensurados através do número de medidos através dos relatórios que indicam residências, edificações públicas e privadas de saúde, de ensino, comunitárias, rurais, 12
  • 13.
    perdas nos setoresda agricultura, pecuária, desde que decorrentes do evento adverso indústria e serviços. causado pela chuva. No período aqui abordado, esta e) Os prejuízos sociais se referem à Coordenadoria registrou 274 (duzentos e interrupção temporária de serviços básicos, setenta e quatro) comunicados de eventos essenciais à normalidade social para a pelos municípios afetados pelas chuvas. população afetada e têm sua medida Deste total, 213 (duzentos e treze) através da avaliação do abastecimento de decretaram situação de anormalidade, água, energia elétrica, transporte, todos caracterizados como Situação de comunicações, esgoto, gás, lixo, acesso à Emergência. saúde, educação e alimentos básicos, 2.1 Registro de Vítimas Fatais O considerável aumento do volume de chuva em todo o Estado, aliado à vulnerabilidade dos cenários afetados, contribuíram para a elevação do número de óbitos em Minas Gerais. Neste último período chuvoso, compreendido entre os meses de outubro Além de suportar a perda de entes de 2008 e abril de 2009, registramos o queridos, as famílias têm de conviver com maior número de vítimas fatais dos últimos a perda dos bens materiais. cinco anos, totalizando 44 (quarenta e quatro) falecimentos decorrentes de eventos de chuva, conforme descrito nos gráficos que veremos a seguir. Apesar do número elevado de mortes, salienta-se que as ações de prevenção, conscientização da população ao longo do ano e a instalação de sistemas de alertas e alarmes em alguns municípios de Minas, contribuíram para que este índice não Sepultamento de vítimas em decorrência de evento adverso. atingisse um patamar ainda mais alto. 13
  • 14.
    2.1.1 Detalhamento dosÓbitos 2.1.1.1 Quadro-resumo dos óbitos no atual período chuvoso: MUNICÍPIO Data ÓBITOS BETIM 17Set08 02 SALINAS 12Nov08 01 ITAMBACURI 29Nov08 01 ERVÁLIA 16Dez08 04 ITABIRA 16Dez08 01 JOÃO MONLEVADE 17Dez08 01 CARMO DA MATA 18Dez08 01 CATAGUASES 18Dez08 01 BRUMADINHO 19Dez08 01 MURIAÉ 26Dez08 02 PRATA 28Dez08 03 CONTAGEM 29Dez08 01 BELO HORIZONTE 31Dez08 03 BELO HORIZONTE 31Dez08 01 BELO HORIZONTE 03Jan09 01 ESPERA FELIZ 07Jan09 01 BELO HORIZONTE 22Jan09 01 TIROS 22Jan09 01 NOVA BELÉM 27Jan09 01 UBERABA 05Fev09 01 SÃO PEDRO DOS FERROS 10Fev09 01 CRUZEIRO DA FORTALEZA 26Fev09 01 CRISTINA 07Mar09 01 BELO HORIZONTE 16Mar09 02 SARZEDO 25Mar09 01 SÃO SEBASTIÃO DO RIO PRETO 27Mar09 04 DOM CAVATI 31Mar09 01 VIÇOSA 31Mar09 01 CAETÉ 04Abr09 01 NOVA UNIÃO 15Abr09 02 TOTAL 44 Fonte: Centro de Controle de Emergências – CCE/CEDEC 14
  • 15.
    2.1.1.2 Quadro cronológicodos óbitos ocorridos no atual período chuvoso: MUNICÍPIO Data ÓBITOS HISTÓRICO Vítimas: 01) Jésus Leocárdio Teixeira Filho, de 34 anos, e 02) Deise Raquel Nunes, de 18 anos, arrastados pelas BETIM 17Set08 02 águas de uma galeria pluvial que transbordou com o excesso de chuvas. Vítima: Maria Cely dos Santos, 26 anos, atingida por SALINAS 12Nov08 01 descarga atmosférica (raio) durante tempestade. Vítima: Salete Alves de Oliveira, 61 anos, desmoronamento ITAMBACURI 29Nov08 01 de residência. Vítimas: 1) José Silvério de Souza, 60 anos; 2) Maria da Consolação Souza, 47 anos; 3) Lindomar Silvério de Souza, ERVÁLIA 16Dez08 04 4 anos; 4) Josemar Silvério de Souza, 6 anos. Soterramento de residência por encosta. Vítima: Ana Jorge Rodrigues, 66 anos, desmoronamento de ITABIRA 16Dez08 01 residência. Vítima: João Paulo Bruno, 21 anos; soterramento de JOÃO MONLEVADE 17Dez08 01 residência. Vítima: José Alberto da Silva, 62 anos; arrastada pela 18Dez08 01 CARMO DA MATA correnteza dentro do veículo particular. Vítima: Walter Resende de Oliveira, 57 anos; vitima de 18Dez08 01 CATAGUASES afogamento pela enxurrada. Vítima: Custódio Pereira da Silva, 64 anos; vitima arrastado BRUMADINHO 19Dez08 01 pela correnteza do Rio Paraopeba quando atravessava uma ponte. Vítimas: 1) Carlos Alberto de Souza Júnior, 02 anos; 2) MURIAÉ 26Dez08 02 Lorran Aparecido de Souza 06 anos; soterramento de residência. Vítimas: 1) João Cândido Fagundes, 80 anos; 2) Gledes Almeida Fagundes, 50 anos; 3) Maria Almeida Fagundes, 78 PRATA 28Dez08 03 anos; arrastados pelas águas de um córrego que transbordou devido ao excesso de chuvas. Vítima: Henrique de Almeida Pereira, 21 anos, CONTAGEM 29Dez08 01 desmoronamento de residência. Vítimas: 1) Ronaldo Emílio Vieira, 51 anos; 2) Maria das Graças Santos Ribeiro, 51 anos; 3) Bianca Gabriela BELO HORIZONTE 31Dez08 03 Antunes, 03 anos. As três vítimas de afogamento foram arrastadas pelas águas do Rio Arrudas durante a enchente ocorrida em 31/12/2008. 15
  • 16.
    MUNICÍPIO Data ÓBITOS HISTÓRICO Vítima: Leonardo de Souza Ângelo, 31. O IML (Instituto Médico Legal) de Belo Horizonte informou que o corpo de foi BELO HORIZONTE 31Dez08 01 reconhecido por exames de arcada dentária. Ângelo teria sido arrastado pelas enxurradas e caído dentro do rio Arrudas, durante temporal ocorrido no dia 31/12/2008. Vítima: Maria do Rosário Ferreira, 41 anos. foi arrastada BELO HORIZONTE 03Jan09 01 pelas águas do Rio Arrudas durante a enchente ocorrida em 31/12/2008. Vítima: Mateus José Martins, 79 anos. Deslizamento de terra ESPERA FELIZ 07Jan09 01 sobre residência. Vítima: Maria Margareth Rodrigues, 43 anos, foi arrastada Belo Horizonte 22Jan09 01 pelas águas do Rio Arrudas durante a enchente ocorrida em 22/01/2009. Vítima: Bruno Barbosa Coutinho, 5 anos. Arrastado pela Tiros 22Jan09 01 enxurrada caindo em um bueiro. Vítima: Gênison Romualdo Ventura, 4 anos. Deslizamento Nova Belém 27Jan09 01 de terra sobre residência, deixou o menor soterrado. Vítima: Suelane Silva Sousa, 14 anos. Vítima de descarga Uberaba 05Fev09 01 atmosférica. Vítima: Maria Helena Firmino, 52 anos. Deslizamento de São Pedro dos Ferros 10Fev09 01 terra sobre residência. Vítima: Altair Henriques Siqueira Sobrinho, 16 anos. Vítima Cruzeiro da Fortaleza 26Fev09 01 de descarga elétrica. Vítima: José Carlos Diniz, 50 anos, foi arrastado pelas águas Cristina 07Mar09 01 do Rio Lambari durante a enchente ocorrida em 07/03/2009. Vítimas: Aloísio Carlos de Paula, 86 anos e Dalva Rocha de Paula, 86 anos (falecida no dia 18Mar09 – após período de Belo Horizonte 16Mar09 02 internação no hospital São Lucas) - ambas encontravam-se dentro do veículo quando o nível de águas pela enxurrada/alagamento cobriu o automóvel. Vítima: Juliana Helena Cardoso, 26 anos, foi arrastada pelas Sarzedo 25Mar09 01 águas do Córrego Engenho Seco, durante as intensas chuvas ocorrida no dia 24Mar09. Vítimas: 1) Geraldo da Silva Araújo de 38 anos; 2) Imária Marinho Ferreira de18 anos; 3) Alessandra dos Santos Silva São Sebastião do Rio 25Mar09 04 Oliveira de 21 anos e 4) Daniela Marinho Ferreira de 16 Preto anos. Foram arrastadas pelas águas da enxurrada na tarde do dia 25Mar09. Vítima: Mariana Vitória da Silva, 17 dias. Deslizamento de Dom Cavati 31Mar09 01 terra sobre residência. 16
  • 17.
    MUNICÍPIO Data ÓBITOS HISTÓRICO Vítima: Luiz Miguel Silveira Gandra, 8 meses. Deslizamento Viçosa 31Mar09 01 de terra sobre residência. Vítima: Sérgio da Conceição, 21 anos, foi arrastado pelas Caeté 04Abr09 01 águas da enxurrada do dia 01Abr09. Vítimas: Carlos Alexandre Dias da Silva, 15 anos, e Valter Nova União 15Abr09 02 Lages Dias, de 30 anos, ambos atingidos por descarga atmosférica (raio) durante tempestade. Fonte: Centro de Controle de Emergências - CCE/CEDEC 2.1.2 Causas dos óbitos ocorridos em consequência das chuvas: Causa Enxurradas Desmoronamentos Descarga atmosférica Afogamento Total Óbitos 21 15 5 3 44 Fonte: Centro de Controle de Emergências - CCE/CEDEC 2.1.3 Gráfico demonstrativo das causas dos óbitos ocorridos em conseqüência das chuvas, no atual período chuvoso: 3 5 (7%) (11%) 21 (48%) Enxurradas Desmoronamento 15 Desc. Atmosférica (34%) Afogamento Fonte: Centro de Controle de Emergências - CCE/CEDEC Análise dos dados: algumas ações públicas podem influir A soma dos percentuais dos óbitos relativos decisivamente na sua redução, seja através às causas sobre as quais o poder público da intervenção nos ambientes urbanos, tem pouca ou nenhuma capacidade de através de obras de contenção de encostas intervenção (descargas atmosféricas e e outras, quer seja pela retirada preventiva afogamentos), que correspondem a apenas das pessoas dos locais de risco 18%, pode-se concluir que nos restantes previamente mapeados. 82% (enxurradas e desmoronamentos) 17
  • 18.
    2.1.4 Faixa etária dos óbitos ocorridos em conseqüência das chuvas: Faixa etária 0 a 14 15 a 65 Acima de 65 Total Vítimas 10 28 6 44 Fonte: Centro de Controle de Emergências - CCE/CEDEC 2.1.5 Gráfico demonstrativo da faixa etária dos óbitos ocorridos em conseqüência das chuvas: De 0 a 14 Vítim as; (10) Acim a de 65 (6) De 15 a 65 (28) Fonte: Centro de Controle de Emergências - CCE/CEDEC Análise dos dados: que esta faixa de pessoas possui Predominaram como vítimas as pessoas capacidade de reagir adequadamente a com idade entre 15 e 65 anos (63%), faixa eventuais alertas, alarmes e campanhas de que engloba a população economicamente conscientização, o que poderá nortear ativa e que por isso, traz prejuízos sociais políticas preventivas futuras. relevantes. Também se pode interpretar 2.1.6 Mapa demonstrativo dos municípios onde ocorreram os óbitos no Estado de Minas Gerais, em decorrência das chuvas. Fonte: Centro de Controle de Emergências - CCE/CEDEC 18
  • 19.
    Análise do mapatemático: que, doravante, este levantamento seja Observa-se uma coincidência entre as atualizado periodicamente para análise de regiões de elevada pluviosidade e as áreas eventuais reincidências e direcionamento de ocorrências de óbitos. Recomenda-se de ações preventivas. 2.1.7 Quadro demonstrativo do número de óbitos, por período chuvoso: Período 2002/2003 2003/2004 2004/2005 2005/2006 2006/2007 2007/2008 2008/2009 Óbitos 50 20 18 16 26 20 44 Fonte: Centro de Controle de Emergências - CCE/CEDEC 2.1.8 Gráfico demonstrativo da quantidade de óbitos, por período chuvoso: 60 50 50 44 40 30 26 20 18 20 20 16 10 0 03 04 05 06 07 08 09 20 20 20 20 20 20 20 / / / / / / / 02 03 04 05 06 07 08 20 20 20 20 20 20 20 Fonte: Centro de Controle de Emergências - CCE/CEDEC Análise dos dados: ultrapassou em muito a média histórica em A quantidade de óbitos alguns meses. Em Cataguases, por aumentou sensivelmente (120%) em exemplo, ocorreram chuvas 50% além do relação ao último período chuvoso. Um habitual no mês de Dezembro/2008 e Ponte interessante ponto de vista é a associação Nova com 150 mm acima da média deste número aos índices pluviométricos de histórica para aquela região, no mês de determinadas regiões e especificamente em outubro. algumas cidades, onde este índice 19
  • 20.
    2.2 Registro de Feridos O número de pessoas feridas no atual período chuvoso chegou a 483 (quatrocentos e oitenta e três) pessoas. Um aumento considerável quando comparamos este mesmo indicativo do período passado (2007/2008), que foi de apenas 45 (quarenta e cinco) pessoas em decorrência de índices menores de chuvas Vítima ferida sendo atendida. que atingiram o Estado. Este indicativo também se destacou Belo Horizonte, Contagem e Betim. Para sobre os números dos últimos cinco anos, melhor avaliação deste indicador e conforme relatado nos gráficos que avaliação da magnitude de um desastre, compõem este relatório. cabe-nos ressaltar que: Conforme se verificou na análise feridos graves exigem internação meteorológica do período chuvoso em hospitais; 2008/2009 anexo a este relatório, as feridos leves podem ser chuvas mais intensas ocorreram nos meses atendidos em regime ambulatorial e não de outubro e dezembro de 2008. demandam cuidados médicos mais Consequentemente observamos que o importantes, sendo um critério pouco número de feridos nestes dois meses significativo para definir a severidade de um mostrou-se mais acentuado, considerando desastre. principalmente, que as precipitações atingiram grandes centros urbanos, como 2.2.1 Quadro demonstrativo do número de feridos, por período chuvoso: Período 2002/2003 2003/2004 2004/2005 2005/2006 2006/2007 2007/2008 2008/2009 Vítimas 292 629 298 153 301 45 483 Fonte: Centro de Controle de Emergências - CCE/CEDEC 20
  • 21.
    2.2.2 Gráfico demonstrativoda quantidade de feridos, por período chuvoso: 700 629 600 482 500 400 292 298 301 300 153 200 100 45 0 3 4 5 6 7 8 9 00 00 00 00 00 00 00 /2 /2 /2 /2 /2 /2 /2 02 03 04 05 06 07 08 20 20 20 20 20 20 20 Fonte: Centro de Controle de Emergências - CCE/CEDEC Análise dos dados: atual temporada chuvosa encerrou-se em Observa-se um aumento abrupto abril, enquanto que na anterior isto ocorreu (1.071%) da quantidade de feridos em em março, como de costume. Outro fato relação ao último período chuvoso. Este que colaborou para o baixo índice do último número deve ser avaliado em associação período foi o longo tempo de estiagem que aos números dos índices pluviométricos afetou o Estado nos últimos dez anos. dos períodos anteriores. Ressalte-se que a 2.3 Registro de Desabrigados áreas de risco iminente de serem afetadas, Desabrigados são pessoas cujas e que necessitam de abrigos temporários habitações foram destruídas ou danificadas para serem alojadas. por desastres, ou estão localizadas em O número de desabrigados é um critério preponderante para mensurar o porte de um desastre, tendo em vista que a criação. de abrigos temporários ou instalações similares, geralmente geram ônus para a administração pública, que fica responsável pelo acolhimento das vítimas e pela guarda de seus bens. Vítimas desabrigadas pela chuva, sendo atendidas por integrantes da Defesa Civil. 21
  • 22.
    O cadastramento corretoe idôneo Neste período chuvoso de das pessoas desabrigadas irá definir 2008/2009 registrou-se um total de 11.630 também a demanda para a necessidade de (onze mil seiscentos e trinta) pessoas instalações, de recursos humanos, desabrigadas. institucionais e materiais necessários para assistir à população afetada. 2.3.1 Detalhamento de desabrigados 2.3.1.1 Quadro comparativo da quantidade de pessoas desabrigadas: Período 2002/2003 2003/2004 2004/2005 2005/2006 2006/2007 2007/2008 2008/2009 Vítimas 12.500 7.495 9.090 6.100 14.771 4.345 11.630 Fonte: Centro de Controle de Emergências - CCE/CEDEC 2.3.1.2 Gráfico comparativo do número de pessoas desabrigadas: 16.000 14.771 14.000 12.500 11.630 12.000 10.000 9.090 7.495 8.000 6.100 6.000 4.345 4.000 2.000 0 3 4 5 6 7 8 9 00 00 00 00 00 00 00 /2 /2 /2 /2 /2 /2 /2 02 03 04 05 06 07 08 20 20 20 20 20 20 20 Fonte: Centro de Controle de Emergências - CCE/CEDEC Análise dos dados ambos. Pode-se estabelecer uma relação O acréscimo de desabrigados no atual de ascensão e queda da quantidade de período (267%) em relação ao anterior está desabrigados com o índice pluviométrico do relacionado com o índice pluviométrico de período em análise. 2.4 Registro de Desalojados Podemos considerar como pessoas “desalojadas”, aquelas cujas habitações foram danificadas ou destruídas ou afetadas de alguma forma, mas que, não necessariamente precisam de abrigos Bairro da cidade de Senador Firmino/MG temporários. atingido por enchentes. 22
  • 23.
    Podemos considerar quequando o Em algumas situações, nem todas número de desabrigados é maior que o as pessoas que foram retiradas de suas número de desalojados, decorrentes de habitações, em circunstâncias de desastre de chuva, existe uma maior desastres, optam por ficar em abrigos vulnerabilidade na comunidade afetada. temporários, por isto são classificadas como “desalojadas”. No último período chuvoso, o Estado registrou 113.548 pessoas desalojadas. O acolhimento das famílias afetadas em casas de amigos e parentes reduz sobremaneira a demanda para a criação de abrigos temporários. 2.4.1 Detalhamento Desalojados 2.4.1.1 Quadro demonstrativo do número de pessoas desalojadas, por período chuvoso: Período 2002/2003 2003/2004 2004/2005 2005/2006 2006/2007 2007/2008 2008/2009 Desalojados 31.028 22.942 42.993 14.600 54.331 1.875 113.548 Fonte: Centro de Controle de Emergências - CCE/CEDEC 2.4.1.2 Gráfico demonstrativo da quantidade de desalojadas, por período chuvoso: 120.000 113.548 100.000 80.000 60.000 54.331 42.993 31.028 40.000 22.942 14.600 20.000 1.875 0 20 003 20 004 05 5 06 6 20 007 08 8 9 20 00 20 00 20 00 00 /2 /2 /2 /2 /2 /2 /2 02 03 04 07 20 Fonte: Centro de Controle de Emergências - CCE/CEDEC Análise dos dados Este indicativo está correlacionado de centenas de famílias das áreas afetadas. com o número de moradias afetadas pela Portanto, concluímos que as chuvas que chuva. Conforme analisado neste relatório, as atingiram estas três localidades, precipitações com índices acima de 100 principalmente nos meses de outubro e mm/dia foram registradas em grandes centros dezembro de 2008, contribuíram urbanos, atingindo principalmente os sobremaneira para o alto índice deste municípios de Belo Horizonte, Contagem e indicativo neste último período. Betim, onde houve a necessidade de retirada 23
  • 24.
    2.5 Registro dePontes Danificadas Neste período em questão, a CEDEC/MG registrou 609 (seiscentos e nove) pontes danificadas, de acordo com a documentação enviada pelas prefeituras do Estado. O excesso de chuva e a precariedade das estruturas das construções das obras de arte, principalmente nas zonas rurais dos Ponte destruída pela ação das chuvas do municípios, contribuíram para o aumento município de Natércia/MG. deste indicador de danos materiais. 2. 5.1 Detalhamento de Pontes Danificadas 2.5.1.1 Quadro comparativo do número de pontes danificadas: Mês 2002/2003 2003/2004 2004/2005 2005/2006 2006/2007 2007/2008 2008/2009 Pontes 977 599 499 201 943 54 609 Fonte: Centro de Controle de Emergências - CCE/CEDEC 2.5.1.2 Gráfico comparativo de pontes danificadas: 1.200 977 943 1.000 800 609 599 600 499 400 201 200 54 0 20 003 20 004 20 005 20 006 20 007 20 008 9 00 /2 /2 /2 /2 /2 /2 /2 02 03 04 05 06 07 08 20 Fonte: Centro de Controle de Emergências - CCE/CEDEC Análise dos dados O fato de o período atual ter sido encerrado O indicativo do número de pontes no mês de abril, e não no mês de março danificadas ficou dentro da média dos anos deste ano, contribuiu para uma pequena anteriores, com exceção do último período. elevação do número deste indicativo. 24
  • 25.
    pavimentação urbana nos municípios 2.6 REGISTRO DE PONTES afetados pelas intensas precipitações. DESTRUÍDAS No último período esta Coordenadoria registrou 419 (quatrocentos e dezenove) pontes destruídas pela ação das chuvas. O grande volume de chuva que afetou todo o Estado de Minas, desde o mês de setembro de 2008, incidiu diretamente para o aumento dos danos causados, não somente nas pontes, como Ponte destruída na área rural de Novo Cruzeiro/MG. também nas galerias, bueiros e 2.6.1 Detalhamento de pontes destruídas 2.6.1.1 Quadro comparativo do número de pontes: MESES 2002/2003 2003/2004 2004/2005 2005/2006 2006/2007 2007/2008 2008/2009 Nº de Pontes 709 259 306 212 710 24 419 Fonte: Centro de Controle de Emergências - CCE/CEDEC 2.6.1.2 Gráfico comparativo de pontes destruídas: 800 710 709 700 600 500 419 400 306 300 259 212 200 100 24 0 3 4 5 6 7 8 9 00 00 00 00 00 00 00 /2 /2 /2 /2 /2 /2 /2 02 03 04 05 06 07 08 20 20 20 20 20 20 20 Fonte: Centro de Controle de Emergências - CCE/CEDEC Análise dos dados comparativa com os dados do último O número de pontes destruídas ficou período 2007/2008, já foi afetado pela proporcional ao número de municípios diminuição extrema das precipitações afetados. Como descrito nos indicadores pluviométricas. anteriores, não há como fazer uma análise 25
  • 26.
    2.7 Registro deCasas Danificadas e Destruídas No que se refere às residências danificadas e destruídas verifica-se que um fator determinante é ainda, a vulnerabilidade das residências face às precipitações hídricas. Residência danificada no município de Ervália/MG. Observa-se que as ocupações Fica evidente que a vulnerabilidade das habitacionais em áreas urbanas edificações, a ocupação irregular e permanecem desordenadas e cada vez desordenada do solo, cada vez maior, e o mais a população se instala em áreas de aumento contínuo da população, risco, sem infra-estrutura e com moradias associados com a intensificação das erguidas sem nenhum acompanhamento precipitações hídricas do último período, técnico. constituem fatores que contribuíram sobremaneira para este aumento do Neste último período, os indicadores de número de edificações afetadas. residências danificadas e destruídas apresentaram os números mais elevados se comparado aos últimos cinco anos. 2.7.1 Detalhamento de Residências Danificadas pela Chuva: 2.7.1.1 Quadro comparativo do número de residências danificadas: Mês 2002/2003 2003/2004 2004/2005 2005/2006 2006/2007 2007/2008 2008 / 2009 Casas 9.842 9.594 13.107 6.050 9.568 2.101 29.523 Fonte: Centro de Controle de Emergências - CCE/CEDEC 2.7.1.2 Gráfico comparativo do número de residências danificadas: 35.000 29.523 30.000 25.000 20.000 9.842 15.000 13.107 9.594 9.568 10.000 6.050 5.000 2.101 0 03 4 5 6 20 007 8 9 00 00 00 00 00 20 /2 /2 /2 /2 /2 /2 / 02 03 04 05 06 07 08 20 20 20 20 20 20 26
  • 27.
    Fonte: Centro deControle de Emergências - CCE/CEDEC Análise dos dados Horizonte, Betim e Contagem), foram O aumento significativo do número de severamente castigados pelas chuvas no residências danificadas, em comparação período em questão. Com grande parte dos aos períodos anteriores, pode ser grandes centros atingidos pela força das compreendido principalmente pelo fato de águas, este indicativo apresentou o que, alguns municípios da RMBH (Belo acréscimo descrito no gráfico acima. 2.8 Detalhamento de Residências Destruídas Mês 2002/2003 2003/2004 2004/2005 2005/2006 2006/2007 2007/2008 2008/2009 Residências 1.766 1.130 685 1.211 1.521 94 1.100 Fonte: Centro de Controle de Emergências - CCE/CEDEC 2.8.1 Gráfico comparativo do número de residências destruídas: 2.000 1.800 1.766 1.521 1.600 1.400 1.211 1.100 1.130 1.200 1.000 685 800 600 400 94 200 0 03 04 05 06 07 08 09 0 0 0 0 0 0 0 /2 /2 /2 /2 /2 /2 /2 02 03 04 05 06 07 08 20 20 20 20 20 20 20 Fonte: Centro de Controle de Emergências – CCE/CEDEC Análise dos dados O número de residências destruídas, não sofreram danos que pudessem foi tão alarmante quanto o das edificações comprometer a estrutura dos imóveis. Os danificadas. Apesar da chuva ter dados computados neste indicador, são castigado a Capital Mineira e municípios em grande parte, observados nos circunvizinhos, a estrutura das residências municípios do interior do Estado. construídas nas áreas afetadas, não 27
  • 28.
    3 AÇÕES DEDEFESA CIVIL NO PERÍODO CHUVOSO Chuvas em Ponte Nova/MG. No Estado de Minas Gerais o período de rios, córregos, lagos e açudes. chuvoso ocorre entre os meses de Em função da magnitude, as outubro do ano anterior até o mês de abril inundações, através de dados do ano seguinte, situação que há comparativos de longo prazo, são precipitação significativa a ponto de classificadas em: tornar-se um evento adverso causador de um desastre. No relatório em pauta serão - inundações excepcionais; avaliadas as ações de defesa civil de - inundações de grande magnitude; 01Out08 a 30Abr09. - inundações normais ou regulares; - inundações de pequena magnitude. Como conseqüência de chuvas intensas, aliadas à vulnerabilidade das Tal classificação apresentada permite a áreas atingidas, ocorrem as inundações, identificação do tamanho da área atingida estas são definidas pela doutrina como e seu potencial destrutivo em causar um transbordamento de água proveniente danos humanos, materiais e ambientais. 28
  • 29.
    Em função datipologia, as inundações As inundações ocorrem em todas as são classificadas em: regiões com todos os padrões de clima, - enchentes ou inundações graduais; inclusive regiões semi-áridas, como o - enxurradas ou inundações bruscas; norte do Estado, quando recebem chuvas - alagamentos. concentradas. As inundações têm como causa a precipitação anormal de água que, ao transbordar dos leitos nos rios, lagos, canais e áreas represadas, invadem os terrenos adjacentes, provocando danos e prejuízos. O incremento dos caudais superficiais, na maioria das vezes, é provocado por Inundação Rio Arrudas – Belo Horizonte. precipitações intensas e concentradas, Com intuito de prestar assistência e mas também, pode ter outras causas defesa permanente contra as calamidades imediatas e/ou concorrentes, como: públicas, a Defesa Civil se organiza de - elevação dos leitos dos rios por forma sistêmica, se articulando nos níveis assoreamento; de governo federal, estadual e municipal - redução da capacidade de infiltração em estreita interação com os órgãos do solo, causada por ressecamento, setoriais e de apoio, bem como os compactação e/ou impermeabilização Núcleos Comunitários de Defesa Civil (asfalto por exemplo); (Nudec), denominado Sistema Nacional - saturação do lençol freático por de Defesa Civil (Sindec). antecedentes próximos, de precipitações continuadas; A Secretaria Nacional de Defesa Civil - rompimento de barragens construídas (Sedec), no âmbito do Ministério da com tecnologia inadequada; Integração Nacional, é o órgão central - drenagem deficiente de terrenos deste Sistema, responsável por articular, situados à montante de aterros, em coordenar, supervisionar tecnicamente e estradas que cortem transversalmente promover as ações de defesa civil, em vales de riachos; todo o território nacional. - estrangulamento de leitos de rios, A atuação da defesa civil visa melhorar provocado por desmoronamentos e dinamizar o pronto atendimento à causados por terremotos ou população local em caso de emergências deslizamentos relacionados com e desastres, para garantir a dignidade das intemperismo. 29
  • 30.
    pessoas. Dessa forma,possibilita que os - propor à autoridade competente a órgãos de defesa civil atuem decretação ou homologação de situação imediatamente no socorro e assistência de emergência e de estado de calamidade das populações atingidas por desastres pública, observando os critérios em qualquer região do Estado. estabelecidos pelo Conselho Nacional de Defesa Civil (Condec); O Sindec se articula nos três níveis de - executar a distribuição e o controle governo, tendo como responsabilidade: dos suprimentos necessários ao - planejar e promover a defesa abastecimento, e, em situações de permanente contra os desastres naturais, desastres, administrar recursos humanos aqueles que são causados pelo homem e e logísticos para resposta aos desastres. mistos, de maior prevalência no país; O desastre ocorre no município, desta - prevenir e minimizar danos, socorrer e forma, a implantação e operacionalização assistir as populações afetadas, reabilitar das Coordenadorias Municipais de Defesa e reconstruir os cenários deteriorados Civil (Comdec) é muito importante para o pelos desastres; fortalecimento do Sistema Estadual de - atuar na iminência ou em situação de Defesa Civil. desastres. Há diversidade de desastres naturais, Incluída no Sindec, a Coordenadoria humanos e mistos que afetam os Estadual de Defesa Civil (CEDEC) tem municípios e estes precisam estar destacada as seguintes atribuições: preparados para otimizar as ações de - coordenar e executar as ações de resposta para atender a população defesa civil no Estado de Minas Gerais; afetada, reduzindo danos e prejuízos. - manter atualizadas e disponíveis as O Decreto nº 5.376, de 17 de fevereiro de informações relacionadas com defesa 2005, regulamenta o Sistema Nacional de civil; Defesa Civil. - elaborar e implementar planos e programas; - prever recursos orçamentários próprios para as ações preventivas, assistenciais ou de recuperação; - capacitar recursos humanos para as ações de defesa civil; - manter o órgão central do Sindec informado sobre as ocorrências de Viatura da CEDEC em resposta a desastre. desastres e atividades de defesa civil; 30
  • 31.
    3.1 A SegurançaGlobal da População: – prevenção de desastres; – preparação para emergências e O conceito de segurança global da desastres; população caracteriza a redução dos – resposta aos desastres; desastres como um importante objetivo – reconstrução. nacional. Também ficou claramente Elegeu-se internacionalmente a ação estabelecido, em nível internacional, que reduzir, porque as ações “eliminar e existem profundas relações interativas erradicar desastres” definem objetivos entre: inatingíveis. 1. o desenvolvimento sustentado e Também internacionalmente definiu-se responsável que a redução dos desastres abrange os 2. a proteção ambiental seguintes aspectos globais: 3. a redução dos desastres 4. o bem-estar social Figura 19 – Ciclo de ações de defesa civil PREVENÇÃO AÇÕES RECONSTRUÇÃO DEFESA PREPARAÇÃO CIVIL RESPOSTA Fonte: Secretaria Nacional de Defesa Civil 31
  • 32.
    4 AÇÕES DEPREVENÇÃO As atividades desenvolvidas pela Neste contexto, o planejamento CEDEC no período de normalidade estão preventivo tem a finalidade de reduzir as voltadas para a minimização dos possibilidades de desastres e a desastres, com atividades na área de intensidade dos mesmos, através de prevenção e preparação para ações de prevenção que identificam os emergências: riscos, ameaças e vulnerabilidades existentes no município, através do - através da Diretoria de Comunicação mapeamento das áreas com probabilidade Social (DCS) a CEDEC realiza a da ocorrência de eventos adversos. conscientização da população sobre a gravidade dos desastres, sobretudo A realidade nos mostra que os recursos através da mídia; utilizados com as ações de resposta e - o Centro de Controle de reconstrução de áreas degradadas por Emergências (CCE) realiza o desastres são muito altos e desviam acompanhamento dos riscos do Estado, recursos que poderiam ser investidos em através do controle em planilhas e análise programas de desenvolvimento social da dos desastres notificados pelas população. Coordenadorias Municipais de Defesa As atividades de prevenção estão Civil e outros órgãos componentes do relacionadas à avaliação e redução de Sindec; riscos de desastres. - a Diretoria Técnica cadastra e organiza um banco de dados sobre as 4.1 Avaliação de Risco de Desastres: decretações de situação de emergência e Compreende ao estudo das ameaças estado de calamidade pública; de desastres, estudo do grau de - através de uma parceria com o MG vulnerabilidade do sistema e dos corpos Tempo / Cemig Puc Minas o CCE receptores e síntese conclusiva que acompanha a monitorização dos permite hierarquizar os riscos e definir as fenômenos climáticos e envia alertas para áreas de maior risco. os municípios, relativos à previsão de desastres; 4.2 Redução de Riscos de Desastres: - a Diretoria Administrativa realiza a Caracteriza-se, através medidas não- revisão dos recursos institucionais, estruturais e medidas estruturais que humanos e materiais para o emprego em possibilitem a proteção da população e do apoio aos municípios em caso de seu patrimônio. desastres. 32
  • 33.
    – Medidas não-estruturais,dentre as acontecem e a ajuda externa quais destaca-se o planejamento da normalmente demora a chegar, é ocupação e da utilização do espaço importante que a comunidade e o geográfico, em função da definição de Governo Municipal estejam conscientes áreas de risco, e o aperfeiçoamento da da necessidade de um órgão legislação sobre segurança contra governamental e de associações desastres; comunitárias que visem à segurança da comunidade. – Medidas estruturais, também chamadas de medidas de “pedra-e-cal”, É de suma importância a criação de um que têm por finalidade aumentar o nível de órgão responsável pela proteção global da segurança intrínseca dos biótopos população, a Comdec ou órgão similar, humanos, através de atividades sendo de competência do Poder construtivas. Executivo Municipal incentivar a sua criação e implantação no município. É necessário que a população esteja organizada, preparada e orientada sobre o que fazer e como fazer, pois somente, assim, a comunidade poderá prevenir e dar resposta eficiente aos desastres. As ações mais importantes a serem Exemplo de medida estrutural. desenvolvidas pela Comdec são as preventivas e de preparação, que têm por As medidas não-estruturais devem ser objetivo evitar que o desastre ocorra. consideradas prioritariamente uma vez que são economicamente mais viáveis. A principal atribuição da Comdec é conhecer e identificar os riscos de Seus objetivos são: desastres no município. A partir deste – minimizar a magnitude e a conhecimento é possível preparar-se para prevalência das ameaças de acidentes ou enfrentá-los, com a elaboração de planos eventos adversos; específicos onde é estabelecido o que – minimizar a vulnerabilidade dos fazer, quem faz, como fazer, e quando cenários e das comunidades em risco aos dever ser feito. efeitos desses eventos. Desta maneira, a CEDEC atua 4.3 A importância das Comdec: conforme as orientações da Política Nacional de Defesa Civil, dando ênfase no Como é no município que os desastres 33
  • 34.
    apoio e capacitaçãodas Coordenadorias que podem ocorrer nos cenários Municipais de Defesa Civil (Comdec). estudados. O Estado de Minas Gerais possui A Coordenadoria Estadual de Defesa atualmente 618 Comdec, ou seja, 235 Civil distribuiu o Ofício Governamental nr municípios mineiros ainda não possuem 58/09 aos Prefeitos dos 853 municípios e Defesa Civil e estão mais vulneráveis, todas as Associações Microrregionais do assim a CEDEC busca a conscientização Estado de Minas Gerais, objetivando a do poder público municipal. criação de Comdec atuante, com visibilidade, autoridade e capacidade de Os Núcleos de Defesa Civil (Nudec) congregar todos os órgãos disponíveis no podem ser organizados em diferentes município para resposta oportuna e Grupos Comunitários que constituem os eficiente na administração dos eventos, distritos, vilas, povoados, bairros, visando à adoção de medidas preventivas quarteirões, edificações de grande porte e por parte das cidades, para evitar ou distritos industriais. Funcionam como elos minimizar as conseqüências de possíveis entre a comunidade e o governo municipal desastres provenientes das chuvas. através da Comdec, com o objetivo de Foram distribuídas também, cartilhas de reduzir desastres e de promover a “Orientações sobre atividades de Defesa segurança da população contra desastres, Civil” nos cursos realizados pela CEDEC. Fonte: Diretoria de Planejamento / CEDEC 34
  • 35.
    5 AÇÕES DEPREPARAÇÃO A preparação para emergências e Planejar e selecionar os locais desastres objetiva otimizar o para abrigos provisórios; funcionamento do Sistema Nacional de Confeccionar o Plano de Defesa Civil (Sindec) e, Contingência para os principais desastres. conseqüentemente, as ações preventivas de resposta aos desastres e de Neste sentido, a CEDEC programa e reconstrução. executa o treinamento de sua equipe para se capacitarem e atenderem os Dentre as ações de preparação municípios e a comunidade com maior destaca-se: efetividade. Realizar e manter atualizado o Para maximizar a aprendizagem é cadastramento da população das áreas de realizado intercâmbio com risco; Coordenadorias de Defesa Civil de outros Coordenar os órgãos e instituições Estados da Federação, bem como cursos que compõem o Sindec, no município; em parceria com a Secretaria Nacional de Organizar as brigadas ou equipes Defesa Civil. por áreas de atuação; Planejar, programar e executar treinamento de pessoal para cada atividade das áreas de atuação; Selecionar, organizar e realizar treinamento para voluntários; Realizar práticas e simulados, periodicamente; Aplicar recursos para desenvolver projetos de medidas estruturais e não- Curso Incident Command System estruturais; Estabelecer um sistema de Dentre estes cursos destaca-se o captação de informações e indicadores Incident Command System (ICS) realizado para análise diária (monitorização); em Belo Horizonte, pela Guarda Costeira Estabelecer e divulgar o sistema Americana, no período de 10 a 14 de de captação para emissão de alerta e março de 2008. O curso é de nível alarme; gerencial, destinado a preparar técnicos e gestores com elementos teóricos, práticos 35
  • 36.
    e com metodologiapara a utilização no Os dois cursos têm duração de três comando de crises, com o envolvimento dias e são ministrados regularmente na de múltiplas agências. sede da CEDEC/MG, em Belo Horizonte. A CEDEC ainda planejou, programou O CBDC possui atualmente a e executou o treinamento de pessoal das seguinte grade curricular: Coordenadorias Municipais de Defesa Estrutura do Sistema Nacional de Civil, dando seqüência aos trabalhos da Defesa Civil (Sindec) – Conceitos Básicos; Escola Permanente de Defesa Civil, Instalação e funcionamento das incentivando a criação das Comdec e a Coordenadorias Municipais de Defesa capacitação de recursos humanos para a Civil (Comdec); prática das ações de defesa civil. Missões das Comdec nas Ações A CEDEC/MG oferece o Curso de Defesa Civil: Prevenção, Preparação, Básico de Defesa Civil (CBDC) e Resposta e Reconstrução; disponibiliza o Curso Básico de Sistema Mapeamento e Gerenciamento de de Comando em Operações (CBSCO) aos Áreas de Risco; profissionais de nível médio e superior, Administração de Abrigo civis ou militares dos órgãos que Temporário; compõem o Sistema Nacional de Defesa Monitorização, Alerta e Alarme; Civil; prefeitos; Coordenadores e Plano de Contingência; funcionários de Defesa Civil – Municipais Codificação de Desastres, e Estaduais. Para participar do CBSCO é Ameaças e Riscos (Codar); preciso ter concluído o CBDC. Notificação Preliminar de Desastres (Nopred) e Avaliação de Danos O CBDC tem como principal objetivo (Avadan); o incentivo à criação e manutenção de Critérios para Decretação de Coordenadorias Municipais de Defesa Situação de Anormalidade e Montagem do Civil (Comdec), já existentes em cerca de Processo; 618 municípios mineiros até o momento. Projetos de Atuação da Comdec, O CBSCO é destinado à preparação de realizada em parceria com a Defesa Civil técnicos e gestores, com elementos de Belo Horizonte; teóricos, práticos e metodologia para a Palestra Meteorologia – ministrada utilização do Sistema de Comando em por funcionário do MG Tempo. Operações, destacando-se a implementação do Comando Unificado na resposta a situações críticas envolvendo múltiplas agências. 36
  • 37.
    Curso Básico deSistema de Comando em Operações realizado na CEDEC/MG. O CBSCO possui atualmente a seguinte grade curricular: Conhecimentos Básicos de Defesa Civil; Apresentação do Sistema de Comando em Operações (SCO); Estudo das Funções do SCO; Comando Unificado; Áreas e Instalações; Controle de Recursos Operacionais; Instalando o SCO; Planos de Ação; Atividades de Preparação; Simulado de Mesa. 37
  • 38.
    Quantidade de Alunosque Frequentaram Cursos da Defesa Civil Estadual em 2008 140 120 120 113 100 80 60 52 53 38 39 41 40 31 33 23 20 0 0 0 Jan Fev Mar Abr Mai Jun Jul Ago Set Out Nov Dez Fonte: Diretoria de Planejamento - DPlan/CEDEC Para orientação e auxílio às Prefeituras Os cursos iniciaram no mês de na criação das Comdec, bem como na fevereiro de 2008, buscando assim a capacitação dos agentes municipais para preparação antecipada dos recursos o desempenho de suas funções, a humanos que atuam na defesa civil para CEDEC através de sua Escola as ações de minimização dos desastres Permanente de Defesa Civil ministrou 21 provocados pela chuva no período de 01 cursos em 2008, realizando o treinamento de outubro de 2008 a 30 de abril de 2009. de 543 pessoas e de 216 municípios mineiros. Municípios que Participaram de Cursos da Defesa Civil Estadual em 2008 70 58 60 50 40 30 27 28 20 22 19 20 15 13 10 7 7 0 0 0 Jan Fev Mar Abr Mai Jun Jul Ago Set Out Nov Dez Fonte: Diretoria de Planejamento 38
  • 39.
    5.1 Cursos Básicosde Defesa Civil Ministrados pela CEDEC/MG em 2008: DATA LOCAL Nº DE MUNICÍPIOS Nº DE ALUNOS 13, 14 e 15 19, 20 e 21 Fevereiro/08 SODC_CEDEC/MG 01 22 26, 27 e 28 27 e 28 Fevereiro/08 Curso Terremoto_Januária 06 16 04, 05 e 06 Março/08 CBDC_CEDEC/MG 09 15 25, 26 e 27 Março/08 CBSCO_CEDEC/MG 11 14 10 a 14 Março/08 ICS_CEDEC/MG --- 23 08, 09 e 10 Abril/08 CBDC_CEDEC/MG 09 13 22, 23 e 24 Abril/08 CBSCO_CEDEC/MG 07 12 15, 16 e 17 Abril/08 CBDC_Varginha 20 27 27, 28 e 29 Maio/08 CBSCO_CEDEC/MG 07 13 13, 14 e 15 Maio/08 CBDC_Viçosa 51 107 10, 11 e 12 Junho/08 CBDC_CEDEC/MG 07 10 24, 25 e 26 Junho/08 CBSCO_CEDEC/MG 04 09 23 a 27 Junho/08 CODC_Fervedouro 11 22 06 e 07 Agosto/08 Sem. Depostos Avançados 11 22 25 a 29 Agosto/08 CODC_CEDEC/MG 08 31 23, 24 e 25 Setembro/08 CBSCO_CEDEC/MG 13 31 14, 15 e 16 Outubro/08 CBDC_CEDEC/MG 07 23 24 e 25 Novembro/08 Seminário Granbel 28 113 10, 11 e 12 Dezembro/08 CCDC_Tauá 15 33 TOTAL 216 543 Fonte: Diretoria de Planejamento - DPlan/CEDEC. 39
  • 40.
    5.2 Ações dePreparação de Comunicação Social As medidas preparativas de Sousa e pelo Secretário-Executivo implementadas pela Diretoria de da CEDEC/MG, Tenente Coronel Comunicação Social (DCS) da Alexandre Lucas Alves, com a CEDEC/MG, objetivando a preparação participação do meteorologista do para os desastres deste período MGTempo/Cemig/PUC Minas professor chuvoso, de 17Set08 a 17Abr09, foram: Ruibran Januário dos Reis e com representantes da Setop, do 1. Relacionamento com a imprensa Departamento de Estradas e Rodagem com divulgação de informações (DER) e da Secretaria de Estado de preventivas para os municípios Saúde (SES). O PEP foi apresentado mineiros. A CEDEC/MG conseguiu aos órgãos estaduais envolvidos, direta espaço para divulgar ações de defesa ou indiretamente com a CEDEC e às civil, tais como: prefeituras municipais e à imprensa da Região Metropolitana de Belo Horizonte, que possibilitou a preservação da vida e minimização de estragos e prejuízos em todo Estado. Apresentação do Plano de Emergência Pluviométrica (PEP) - A divulgação do Plano de Emergência Pluviométrica (PEP) em 17 de Entrevistas com a imprensa setembro de 2008, no auditório da Secretaria de Estado de Transportes e - Produção de pautas, matérias, notas, Obras Públicas (Setop), em Belo releases e fotos sobre os cursos e Horizonte/MG. A apresentação foi seminários ministrados na sede da realizada pelo Coordenador Estadual CEDEC/MG e nos municípios, e a de Defesa Civil de Minas Gerais e divulgação destes em todo o Estado. Chefe do Gabinete Militar do Governador, Coronel Eduardo Mendes 40
  • 41.
    posturas preventivas deminimização das conseqüências dos desastres do período chuvoso. Além dos informativos “CEDEC alerta” e “Proteja- se dos perigos da chuva”, o “CEDEC Notícias” também alcançou espaço em todo o território estadual sendo também enviado para a Secretaria Nacional de Cobertura da imprensa em um curso na Defesa Civil e para todos os Estados sede da CEDEC da república. Para reforçar as campanhas de preparação, também 2. Confecção de cartilhas e folderes foram produzidos e encaminhados informativos distribuídos para as ofícios aos municípios alertando sobre Associações Microrregionais, Mundo o período chuvoso e solicitando a oficial, Comdecs e para todos os 853 realização de ações preventivas e municípios mineiros. Com esse preparativas. material, a CEDEC/MG almejou preparar as pessoas para a adoção de Figura 20 - Folder (frente e verso) sobre alertas de proteção dos perigos das chuvas, enviados aos municípios. 41
  • 42.
    Figura 21 -Cartaz com dicas de chuva 42
  • 43.
    Figura 22 -Informativo bimestral da CEDEC - "CEDEC Notícias" 43
  • 44.
    3. Apoio da imprensa com divulgação de editoriais – textos que expressam a opinião da direção do veículo - a respeito das ações da Defesa Civil no âmbito estadual, principalmente nos municípios. Um dos apoiadores foi o diretor de jornalismo da Rádio Itatiaia, Márcio Doti, sempre ajudando a CEDEC/MG a reforçar a importância das atividades de defesa civil, através da criação das Coordenadorias Municipais de Defesa Civil (Comdec). • Jornal da Itatiaia - Itatiaia Data Horário Duração 10|01|2009 7:28 4 min | 15 seg Comentário Márcio Doti - A importância da presença do governante em um local de tragédia “Aqui em BH parece ser assim. No tempo do prefeito Fernando Pimentel era visível a presença da Defesa Civil representada pelo Coronel Walter Lucas. E nunca pareceu importante a presença dele. No Estado, a mesma coisa. A presença do governador Aécio parece não ser fundamental. Basta a presença do Major Edylan Arruda ou do Coronel Alexandre Lucas e dos recursos e do apoio que ambos Alexandre Lucas e Walter Lucas sempre afirmaram receber do governador Aécio e do prefeito Fernando Pimentel. Isso é muito mais forte que sapatos enlameados e tapinha nas costas”. 44
  • 45.
    6 AÇÕES DERESPOSTA Conforme dados registrados nesta que provoca óbitos e desaloja muitas CEDEC, os eventos adversos que deram pessoas, destrói propriedades e paralisa causa aos desastres, estão relacionados sistemas de produção e serviços. não somente aos eventos calamitosos Diante disto, a CEDEC precisa manter- (deslizamentos, inundações, enxurradas, se preparada para as ações de resposta, tempestades, vendavais, granizo, que socorram os afetados e lhes garanta estiagem, seca, etc), mas sobretudo pela um mínimo de dignidade e humanidade. A vulnerabilidade dos municípios; e este atuação complementar da CEDEC se volta despreparo advém da ausência de ações nestes momentos para a normalização do efetivas, de prevenção e preparação, das cenário do desastre, possibilitando às Coordenadorias Municipais de Defesa pessoas atingidas o retorno breve e Civil, as Comdec. seguro para suas residências. Isto envolve Segundo a terminologia adotada pela um conjunto de ações de socorrimento e Política Nacional de Defesa Civil, auxílio, mormente ancoradas na “desastre é o resultado de eventos manutenção das necessidades adversos, naturais ou provocados pelo fundamentais da comunidade. homem, sobre um ecossistema vulnerável, A grande dificuldade apresentada causando danos humanos, materiais e/ou pelos municípios é a ausência, entre seus ambientais e conseqüentes prejuízos servidores, de pessoas tecnicamente econômicos e sociais.” capacitadas, treinadas e preparadas para agir nas ações de prevenção, preparação, resposta e reconstrução. Cada catástrofe possui características específicas e a resposta deve ser adequada a cada caso. Alguns eventos adversos podem ser previstos com várias semanas, enquanto outros ocorrem subitamente. De qualquer forma, nas primeiras horas, os municípios Ipuiúna / MG – 13Abr09 poderão apenas valer-se dos recursos Por esta definição observamos que, próprios da comunidade ou do município, divergindo do senso comum da população, antes da chegada de qualquer assistência o desastre não ocorre apenas quando há externa. Para que os esforços somados um fenômeno de origem natural, ou um pela comunidade mobilizada produzam acidente súbito de grandes proporções 45
  • 46.
    efeitos eficazes, opoder público municipal A Coordenadoria Estadual de deve disponibilizar de imediato uma Defesa Civil de Minas Gerais – equipe para atender, socorrer e avaliar as CEDEC/MG, com o intuito de minimizar os conseqüências do desastre. impactos do desastre e de dar assistência Devem ainda, cuidar dos aos municípios afetados pelos eventos problemas essenciais, verificar as adversos durante o período chuvoso, necessidades para minimizar os impactos, disponibilizou 20 (vinte) equipes técnicas, atender as comunidades afetadas e compostas por integrantes da Polícia solicitar o apoio dos órgãos externos. Em Militar e do Corpo de Bombeiros Militar, síntese, as ações de resposta, além de funcionários civis da CEDEC, compreendem as ações (principalmente) objetivando as ações de resposta no mais dos órgãos públicos, após o impacto do curto prazo para atendimento às pessoas desastre (socorro e assistência às vítimas afetadas. As principais tarefas destas do evento, bem como a reabilitação dos equipes são o apoio na gestão da serviços essenciais para a comunidade). resposta ao desastre, a liberação de O Estado ou a União podem apoiar e materiais de ajuda humanitária, o enviar alimentos, água, cobertores, acionamento dos órgãos com vocação colchões, roupas, telhas, lonas plásticas, para auxilio na resposta e o auxílio aos abrigos provisórios, equipes para vistorias, Prefeitos e Coordenadores Municipais de remoção e reconstrução dos cenários Defesa Civil na elaboração e confecção afetados ou para auxílio na confecção de dos diversos tipos de documentos documentação de liberação de recursos necessários para comunicar o evento junto ao Governo Estadual e/ou Federal. adverso. Dependendo do grau da intensidade e magnitude do desastre, poderá ocorrer decretação de situação de anormalidade (Situação de Emergência - SE ou Estado de Calamidade Pública – ECP), além do acionamento “in loco” de qualquer órgão governamental para prestar socorro ao município afetado. As equipes são compostas por pelo menos dois agentes/técnicos e ficam de prontidão Equipe Multidisciplinar envolvendo vários durante o período chuvoso, em condições órgãos – na foto, o Corpo de Bombeiros Militar de deslocarem para qualquer ponto do auxilia na distribuição de água para as famílias Estado. de Ponte Nova (MG) afetadas pelas chuvas, em 20Dez08. 46
  • 47.
    Município Data evento Ponte Nova 18Dez08 Inundação Guaraciaba 18Dez08 Inundação Congonhas 02Jan09 Inundação Alto Jequitibá 05Jan09 Inundação Carangola 06Jan09 Inundação Cataguases 07Jan09 Inundação Equipe da Defesa Civil em deslocamento para Manhuaçu 07Jan09 Inundação apoio emergencial ao município de Santana de Manhumirim 08Jan09 Inundação Cataguases – 18Dez08. Perdões 21Jan09 Inundação José Raydan 09Fev09 Enxurradas 1) O quadro a seguir detalha o envio Aimorés 09Mar09 Enxurradas de equipes para apoio técnico: Dom Silvério 16Abr09 Deslizamento Município Data evento Fonte:Diretoria Administrativa/CEDEC Carandaí 16Set08 Granizo Compreende apoio técnico as ações Bambuí 27Set08 Granizo de respostas aos desastres objetivando Perdões 28Set08 Granizo auxiliar o executivo municipal em diversos Belmiro Braga 14Nov08 Inundação assuntos relativos ao desastre. Simão Pereira 14Nov08 Inundação No final do ano de 2008, devido ao São João Del 17Nov08 Granizo grande volume de precipitações ocorrido Rei no Estado de Santa Catarina, grande Piranga 16Dez08 Inundação parte daquele Estado ficou destruído. Uma Senador 16Dez08 Inundação grande Calamidade se instalou e foi Firmino necessário o empenho de equipes multidisciplinares de várias partes do Guidoval 16Dez08 Inundação Brasil, inclusive de MG. Ervália 16Dez08 Inundação Na ocasião, o Governador de Congonhas 16Dez08 Granizo Minas Gerais, Aécio Neves, determinou o Jeceaba 16Dez08 Inundação deslocamento a Santa Catarina de uma Carangola 17Dez08 Inundação equipe da CEDEC/MG, chefiada pelo Cataguases 18Dez08 Inundação próprio Secretário Executivo. A equipe Santana de 18Dez08 Inundação atuou primordialmente na aplicação da Cataguases ferramenta gerencial “Sistema de 47
  • 48.
    Comando em Operações(SCO)”, que é utilizada por nossos profissionais em todo 2) O quadro abaixo exibe os Estado de Minas Gerais, diante de deslocamentos de equipes da CEDEC desastres mais complexos que contam para atender as vítimas afetadas com o esforço de equipes pelos desastres provocados pelas multidisciplinares. chuvas. Esta experiência foi de grande importância para todos integrantes do Modalidade Nº de Diligências Gabinete Militar e da Coordenadoria Apoio Complementar Estadual de Defesa Civil de Minas Gerais, (Avadan) 27 pois aprendemos muito e tivemos a Vistoria Técnica 07 oportunidade de dividir e levar um pouco Apoio Humanitário 36 de nossas habilidades e conhecimento Apoio Aéreo 11 sobre gerenciamento e resposta aos desastres para outros Estados. Total 81 Fonte: Diretoria Administrativa CEDEC Compreendem as ações de apoio humanitário o envio de cestas básicas, colchões, cobertores e lonas plásticas, etc. Foto: participação da CEDEC no desastre em Santa Catarina (SC). Na foto, o Governador de Santa Catarina, Luiz Henrique (esquerda); Governador de Minas Gerais, Aécio Neves; o Vice-Governador de Santa Catarina, Leonel Equipe da CEDEC em resposta a desastres. Pavan; o CEDEC/MG, Cel PM Eduardo Mendes de Souza, o CEDEC/SC, Maj PM Márcio Luiz Alves e o Secretário Executivo da CEDEC/MG, Ten Cel PM Alexandre Lucas Alves. 48
  • 49.
    6.1 ÓRGÃOS SETORIAISAPOIARAM A CEDEC NO ATENDIMENTO ÀS CIDADES AFETADAS POR DESASTRES Registro de apoio de órgãos atendimento às solicitações da CEDEC, governamentais: principalmente nas demandas relativas à cessão de pessoal, equipamentos e A Coordenadoria Estadual de Defesa transportes para o cumprimento das Civil objetivando as ações de resposta aos missões, visando o restabelecimento da desastres e com base no ofício circular normalidade no mais curto prazo. 1348/2008 – Gabinete Militar do Governador, datado de 17 de setembro de O envolvimento das diversas agências 2008, obteve o apoio de diversos órgãos indica a importância dada pelo Governo do do Estado. Estado na priorização do atendimento aos municípios que foram afetados pelas O ofício mencionado é assinado pelo intensas chuvas no período. É importante Governador do Estado e conforme registrar que houve o atendimento a todos preconiza o artigo 2º, inciso XI da lei os municípios que solicitaram apoio e que Delegada 132, relata da necessidade de estavam munidos da necessária implantação de medidas preventivas e de documentação e projetos específicos. socorro, envolvendo todos os órgãos da administração direta e indireta do Estado, A Secretaria de Transporte e Obras com o objetivo de minimizar os efeitos dos Públicas atendeu prioritariamente os danos causados pelas chuvas. municípios que se encontravam em situação de anormalidade, que tiveram os No documento o Governo Estadual decretos homologados pelo Governo do recomendou aos órgãos Estaduais o Estado. DEFESA CIVIL - SEMPRE PRESENTE Fotos das equipes da CEDEC em socorro a municípios atingidos por desastres 49
  • 50.
    Fonte: Diretoria dePlanejamento – CEDEC/MG O quadro abaixo detalha os municípios para os quais foram solicitados apoios de órgãos setoriais: ATENDIMENTO DOS ÓRGÃOS DIA DO ORDEM MUNICÍPIO SETORIAIS EVENTO DER SETOP SES COPASA 01 ÁGUAS VERMELHAS 26 Jan 09 X 02 ALTO JEQUITIBÁ 05 Jan 09 X 03 ALVARENGA 07 Jan 09 X 04 ALVINÓPOLIS 02 Jan 09 X X 05 ANTÔNIO DIAS 16 Dez 08 X 06 ANTÔNIO PRADO DE MINAS 05 Jan 09 X 07 CARAÍ 23 Jan 09 X 08 CARANDAÍ 15 Jan 08 X 09 CARANGOLA 16 Dez 08 X 50
  • 51.
    ATENDIMENTO DOS ÓRGÃOS DIA DO ORDEM MUNICÍPIO SETORIAIS EVENTO DER SETOP SES COPASA 10 CATAGUASES 16 Dez 08 X 11 CONCEIÇÃO DO RIO VERDE 15 Set 08 X 12 CRISÓLITA 07 Jan 09 X 13 DIVINÓPOLIS 17 Dez 08 X 14 DOM SILVÉRIO 16 Abr 09 X 15 DONA EUZÉBIA 16 Dez 08 X 16 DURANDÉ 07 Jan 09 X 17 ERVÁLIA 16 Dez 08 X 18 ESMERALDAS 15 Set 08 X 19 ESPERA FELIZ 02 Jan 09 X 20 EUGENÓPOLIS 18 Out 08 X 21 FERVEDOURO 06 Jan 09 X 22 FORMIGA 16 Dez 08 X 23 FREI GASPAR 03 Jan 09 X 24 GOIABEIRA 17 Nov 08 X 25 GUARACIABA 18 Dez 08 X X 26 GUARANI 16 Dez 08 X 27 GUIDOVAL 16 Dez 08 X 28 ITAGUARA 17 Set 08 X 29 JECEABA 19 Dez 08 X 30 JEQUITAÍ 19 Dez 08 X 31 MANHUMIRIM 05 Jan 09 X 32 MIRADOURO 16 Dez 08 X 33 MONTES CLAROS 05 Jan 09 X X X 34 NOVO CRUZEIRO 20 Jan 09 X 35 PALMA 17 Dez 08 X 36 PATROCÍNIO DO MURIAÉ 02 Jan 09 X 37 PAVÃO 07 Jan 09 X 38 PIEDADE DOS GERAIS 20 Dez 09 X 51
  • 52.
    ATENDIMENTO DOS ÓRGÃOS DIA DO ORDEM MUNICÍPIO SETORIAIS EVENTO DER SETOP SES COPASA 39 PONTE NOVA 17 Dez 08 X X X 40 REDUTO 10 Fev 09 X 41 RIO CASCA 18 Dez 09 X 42 RIO PIRACICABA 27 Jan 09 X 43 ROCHEDO DE MINAS 30 Jan 09 X 44 SANTA EFIGÊNIA DE MINAS 23 Jan 09 X 45 SANTANA DE CATAGUASES 03 Jan 09 X 46 SANTO ANTÔNIO DO MONTE 20 Jan 09 X 47 SÃO MIGUEL DO ANTA 07 Jan 09 X 48 SÃO PEDRO DOS FERROS 06 Jan 09 X 49 SARDOÁ 22 Jan 09 X 50 SETUBINHA 12 Jan 09 X 51 TABULEIRO 29 Dez 08 X 52 TOMBOS 17 Dez 08 X X Fonte: CCE/CEDEC-MG É importante salientar o apoio imprescindível da Secretaria de Desenvolvimento Social, SEDESE, que apoio CEDEC adquirindo cestas básicas e kits higiênicos que foram distribuídos a municípios afetados por enchentes e inundações. Apoio dos Órgãos Setoriais aos Municípios Afetados por Desastres 2% 19% 14% 65% Copasa DER Setop SES Fonte: CCE/CEDEC-MG 52
  • 53.
    6.2 Materiais deAjuda Humanitária Disponibilizados pela CEDEC/MG Através dos Depósitos Avançados no Período de Chuvas 2008- 2009 BELO HORIZONTE N° Cb 10 Cb 18 lib Municípios Datas Beneficiados Kg Kg Colchões Cobertores Lonas Roupas Telhas 4335 ARACUAI 5/11/2008 PREFEITURA 0 0 0 0 0 0 0 4321 ARGIRITA 22/10/2008 PREFEITURA 0 0 0 0 0 25 0 4200 BAMBUI 18/9/2008 PREFEITURA 200 0 200 200 0 0 0 4208 BAMBUI 19/9/2008 PREFEITURA 250 0 200 200 0 0 0 4215 BAMBUI 22/9/2008 PREFEITURA 100 0 250 250 1 0 0 PREFEITURA 4231 BAMBUI 29/9/2008 0 0 0 0 0 0 0 4232 BAMBUI 29/9/2008 PREFEITURA 200 0 400 400 0 0 0 4230 BAMBUI 29/9/2008 PREFEITURA 0 0 0 0 0 0 0 4131 BELA VISTA DE MINAS 4/9/2008 PREFEITURA 0 0 0 0 1 0 0 4400 BELMIRO BRAGA 13/11/2008 PREFEITURA 200 0 200 200 0 0 0 4204 BELO HORIZONTE 19/9/2008 COMDEC 0 0 500 0 0 0 0 4334 BELO HORIZONTE 5/11/2008 COMDEC 0 0 0 0 0 0 0 4505 BELO VALE 19/12/2008 PREFEITURA 100 0 50 50 0 0 0 4220 BETIM 23/9/2008 COMDEC 0 0 0 0 0 0 0 4483 BRUMADINHO 19/12/2008 PREFEITURA 200 0 200 200 0 0 0 4525 CAETE 29/12/2008 PREFEITURA 0 0 0 0 2 0 0 4523 CAETE 29/12/2008 PREFEITURA 100 0 100 80 1 10 0 4497 CANAA 19/12/2008 PREFEITURA 100 0 100 100 2 10 0 4141 CARANDAI 16/9/2008 PREFEITURA 0 0 0 0 10 0 0 4140 CARANDAI 16/9/2008 PREFEITURA 100 0 80 80 2 0 0 4138 CARANDAI 16/9/2008 PREFEITURA 200 0 100 100 5 0 4194 CARANDAI 17/9/2008 PREFEITURA 200 0 100 100 5 0 0 4201 CARANDAI 18/9/2008 PREFEITURA 0 0 0 0 0 0 0 4246 CARANDAI 8/10/2008 PREFEITURA 200 0 400 800 0 0 0 PREFEITURA 4245 CARANDAI 8/10/2008 0 0 380 0 0 0 0 PREFEITURA 4247 CARANDAI 8/10/2008 300 0 150 200 0 0 0 PREFEITURA 4316 CARANDAI 17/10/2008 0 0 0 0 0 0 2000 PREFEITURA 4399 CARANDAI 11/11/2008 0 0 0 0 0 0 0 PREFEITURA 4494 CARANGOLA 19/12/2008 100 0 100 100 1 10 0 PREFEITURA 4511 CATAGUASES 23/12/2008 100 0 500 0 0 0 0 PREFEITURA 4323 CHACARA 22/10/2008 0 0 0 0 0 25 0 CONCEICAO DO RIO PREFEITURA 4333 VERDE 3/11/2008 200 0 500 0 0 0 2000 PREFEITURA 4195 CONGONHAS 17/9/2008 50 0 50 50 2 0 0 PREFEITURA 4499 CONGONHAS 19/12/2008 200 0 300 300 3 100 0 PREFEITURA 4212 CONTAGEM 19/9/2008 300 0 200 200 0 0 0 4209 CONTAGEM 19/9/2008 COMDEC 0 0 300 300 4 0 0 4388 CONTAGEM 10/11/2008 COMDEC 0 0 0 0 5 0 0 PREFEITURA 4207 CRUCILANDIA 19/9/2008 200 0 200 300 0 20 0 PREFEITURA 4524 CRUCILANDIA 29/12/2008 0 0 0 0 0 0 1500 PREFEITURA 4503 DIVINOPOLIS 19/12/2008 1000 0 500 500 5 30 0 PREFEITURA 4211 ESMERALDAS 19/9/2008 100 0 100 100 0 0 0 PREFEITURA 4317 EUGENOPOLIS 20/10/2008 MUNICIPAL 0 0 0 0 4 0 2000 PREFEITURA 4318 EUGENOPOLIS 20/10/2008 300 0 100 100 0 0 0 PREFEITURA 4326 EUGENOPOLIS 24/10/2008 0 0 0 0 0 0 1000 53
  • 54.
    Cb 10 Cb 18 lib Municípios Datas Beneficiados Kg Kg Colchões Cobertores Lonas Roupas Telhas PREFEITURA 3334 FELISBURGO 8/1/2008 100 0 0 0 0 0 0 PREFEITURA 4518 FORMIGA 23/12/2008 0 0 40 0 1 0 0 PREFEITURA 4502 GUARACIABA 19/12/2008 100 0 100 100 0 0 0 PREFEITURA 4510 GUARACIABA 22/12/2008 200 0 200 150 0 0 0 PREFEITURA 4218 ITAGUARA 23/9/2008 0 0 0 0 0 0 0 PREFEITURA 4234 ITAGUARA 29/9/2008 0 0 0 0 0 0 0 PREFEITURA 4315 ITAGUARA 16/10/2008 0 0 0 0 0 0 1500 PREFEITURA 4398 ITAGUARA 11/11/2008 0 0 0 0 0 0 0 4471 ITANHANDU 9/12/2008 COMDEC 0 0 200 0 0 80 0 PREFEITURA 4507 ITAPECERICA 19/12/2008 250 0 200 200 0 0 0 PREFEITURA 4500 JECEABA 19/12/2008 200 0 200 200 0 50 0 PREFEITURA 4389 LAGOA SANTA 10/11/2008 0 0 0 0 0 0 300 PREFEITURA 4407 LAGOA SANTA 14/11/2008 0 0 0 0 0 0 0 PREFEITURA 4406 LAGOA SANTA 14/11/2008 100 0 40 50 0 0 0 PREFEITURA 4405 LAGOA SANTA 14/11/2008 100 0 40 50 0 0 0 PREFEITURA 4513 MIRADOURO 23/12/2008 50 0 0 0 3 0 100 PREFEITURA 4432 MOEMA 1/12/2008 0 0 0 0 0 20 0 PREFEITURA 4493 MURIAE 19/12/2008 4000 0 1000 1000 5 0 0 PREFEITURA 4522 MURIAE 29/12/2008 0 0 500 0 20 0 0 PREFEITURA 4528 MURIAE 30/12/2008 0 0 0 0 0 0 3000 PREFEITURA 4498 NOVA LIMA 19/12/2008 100 0 100 100 0 0 0 PREFEITURA 4495 PATROCINIO DO MURIAE 19/12/2008 500 0 200 200 3 0 0 PREFEITURA 4501 PONTE NOVA 19/12/2008 400 0 100 300 5 30 0 PRESIDENTE PREFEITURA 4210 BERNARDES 19/9/2008 100 0 100 100 0 0 0 4527 RIO ACIMA 30/12/2008 COMDEC 100 0 100 100 0 0 0 PREFEITURA 4509 RIO CASCA 21/12/2008 200 0 150 150 0 10 0 PREFEITURA 4515 RIO CASCA 23/12/2008 50 0 0 0 0 0 0 PREFEITURA 4504 SABARA 19/12/2008 0 0 0 0 10 0 0 SANTA CRUZ DO PREFEITURA 4520 ESCALVADO 23/12/2008 50 0 50 50 0 0 0 SANTO ANTONIO DO PREFEITURA 4322 AVENTUREIRO 22/10/2008 0 0 0 0 0 25 0 PREFEITURA 4206 SANTOS DUMONT 19/9/2008 50 0 50 50 0 0 0 PREFEITURA 4409 SAO JOAO DEL REI 14/11/2008 0 0 0 0 0 0 1200 PREFEITURA 4431 SAO JOAO DEL REI 27/11/2008 150 0 100 100 2 0 0 PREFEITURA 4336 SAO ROMAO 6/11/2008 0 0 0 0 0 30 0 PREFEITURA 4214 SEM PEIXE 22/9/2008 100 0 100 100 0 20 0 PREFEITURA 4530 SENADOR FIRMINO 30/12/2008 100 0 100 100 0 0 0 PREFEITURA 4324 SIMAO PEREIRA 22/10/2008 0 0 0 0 0 25 0 PREFEITURA 4410 SIMAO PEREIRA 14/11/2008 30 0 30 30 0 0 0 PREFEITURA 4417 TUPACIGUARA 20/11/2008 30 0 0 0 0 0 500 VISCONDE DO RIO PREFEITURA 4205 BRANCO 19/9/2008 100 0 100 150 0 0 0 4538 PREFEITURA ALTO JEQUITIBA 5/1/2009 50 0 50 50 3 0 100 PREFEITURA 4630 ALVINOPOLIS 28/1/2009 150 0 150 150 0 0 0 PREFEITURA 4634 ALVINOPOLIS 28/1/2009 0 0 0 0 0 0 0 PREFEITURA 4647 ALVINOPOLIS 5/2/2009 0 0 0 0 12 0 0 PREFEITURA 4750 AMPARO DA SERRA 13/4/2009 100 0 0 0 0 0 0 PREFEITURA 4654 ARACUAI 10/2/2009 0 0 0 0 0 0 0 PREFEITURA 4812 ARACUAI 6/5/2009 10 0 0 0 0 0 0 PREFEITURA 4651 BAMBUI 9/2/2009 0 0 0 0 0 0 1000 PREFEITURA 4776 BANDEIRA 15/4/2009 200 0 100 100 0 50 700 54
  • 55.
    Cb 10 Cb 18 lib Municípios Datas Beneficiados Kg Kg Colchões Cobertores Lonas Roupas Telhas PREFEITURA 4625 BARBACENA 23/1/2009 500 0 300 300 0 0 0 PREFEITURA 4540 BELO HORIZONTE 5/1/2009 0 0 0 0 0 0 0 PREFEITURA 4547 BELO HORIZONTE 6/1/2009 0 0 1000 1000 10 0 0 PREFEITURA 4555 BELO HORIZONTE 6/1/2009 0 0 0 0 0 0 0 PREFEITURA 4580 BELO HORIZONTE 9/1/2009 0 0 0 0 0 0 0 PREFEITURA 4613 BETIM 21/1/2009 0 0 0 0 2 0 0 PREFEITURA 4722 BETIM 1/4/2009 100 0 100 0 0 0 0 PREFEITURA 4743 BETIM 7/4/2009 0 0 0 0 0 0 500 PREFEITURA 4761 BUENOPOLIS 13/4/2009 100 0 0 0 0 0 0 PREFEITURA 4705 CAMPO AZUL 12/3/2009 50 0 0 0 0 20 0 PREFEITURA 4586 CARAI 13/1/2009 0 0 0 0 0 15 0 PREFEITURA 4784 CARAI 22/4/2009 100 0 0 0 0 0 0 PREFEITURA 4691 CARANDAI 27/2/2009 0 0 0 0 0 0 1000 PREFEITURA 4627 CARANGOLA 26/1/2009 100 0 100 100 10 0 2000 CATAS ALTAS DA PREFEITURA 4790 NORUEGA 22/4/2009 100 0 0 0 0 0 0 PREFEITURA 4686 CLARO DOS POCOES 27/2/2009 200 0 0 0 0 50 0 PREFEITURA 4793 CLAUDIO 22/4/2009 0 0 40 0 0 0 0 PREFEITURA 4667 CONGONHAS 12/2/2009 0 0 0 0 2 0 0 PREFEITURA 4537 CONTAGEM 5/1/2009 0 0 400 400 0 0 0 PREFEITURA 4542 CONTAGEM 6/1/2009 0 0 700 700 0 0 0 PREFEITURA 4596 CONTAGEM 16/1/2009 0 0 0 0 0 0 0 PREFEITURA 4624 CONTAGEM 23/1/2009 0 0 500 500 0 0 0 PREFEITURA 4626 CONTAGEM 23/1/2009 0 0 0 0 0 0 0 PREFEITURA 4666 COROACI 12/2/2009 50 0 50 50 0 0 0 PREFEITURA 4777 COROACI 16/4/2009 100 0 0 0 0 0 500 DIOGO DE PREFEITURA 4785 VASCONCELOS 22/4/2009 100 0 0 0 0 0 0 PREFEITURA 4734 DOM CAVATI 2/4/2009 0 0 0 0 0 0 0 PREFEITURA 4729 DOM CAVATI 2/4/2009 100 0 100 100 0 0 0 PREFEITURA 4740 DOM CAVATI 3/4/2009 250 0 200 200 0 0 0 PREFEITURA 4741 DOM CAVATI 3/4/2009 0 0 0 0 0 0 0 PREFEITURA 4684 ENGENHEIRO NAVARRO 20/2/2009 100 0 0 0 0 0 0 PREFEITURA 4697 ENGENHEIRO NAVARRO 9/3/2009 0 0 0 0 0 100 0 PREFEITURA 4600 ERVALIA 20/1/2009 0 0 0 0 3 0 0 PREFEITURA 4783 FRANCISCOPOLIS 22/4/2009 100 0 0 0 0 0 0 PREFEITURA 4693 GOIABEIRA 3/3/2009 0 0 0 0 0 30 0 GOVERNADOR PREFEITURA 4711 VALADARES 16/3/2009 520 0 0 0 0 0 0 PREFEITURA 4564 GUARACIABA 7/1/2009 100 0 0 0 0 0 0 PREFEITURA 4675 IAPU 17/2/2009 100 0 0 0 0 0 0 PREFEITURA 4622 IBIRITE 23/1/2009 100 0 100 100 10 0 0 PREFEITURA 4669 IBIRITE 12/2/2009 50 0 80 80 5 0 0 PREFEITURA 4674 IGARAPE 17/2/2009 30 0 30 30 2 10 0 PREFEITURA 4725 IMBE DE MINAS 1/4/2009 100 0 100 100 0 0 0 PREFEITURA 4733 INHAPIM 2/4/2009 0 0 0 0 0 0 0 PREFEITURA 4727 INHAPIM 2/4/2009 200 0 200 200 0 0 0 PREFEITURA 4732 INHAPIM 2/4/2009 0 0 0 0 0 0 0 PREFEITURA 4550 ITAGUARA 6/1/2009 20 0 30 40 2 0 0 PREFEITURA 4803 ITAMARANDIBA 24/4/2009 100 0 100 100 0 50 700 PREFEITURA 4789 ITAVERAVA 22/4/2009 100 0 0 0 0 0 0 PREFEITURA 4680 JOAO MONLEVADE 19/2/2009 300 0 250 250 0 50 0 PREFEITURA 4618 LAGOA DOS PATOS 22/1/2009 0 0 0 0 0 20 0 55
  • 56.
    Cb 10 Cb 18 lib Municípios Datas Beneficiados Kg Kg Colchões Cobertores Lonas Roupas Telhas PREFEITURA 4786 LAMIM 22/4/2009 100 0 0 0 0 0 0 PREFEITURA 4598 LAVRAS 19/1/2009 0 0 0 0 2 0 0 PREFEITURA 4694 MALACACHETA 3/3/2009 0 0 0 0 0 0 0 PREFEITURA 4638 MANHUMIRIM 29/1/2009 200 0 50 50 10 0 200 PREFEITURA 4692 MAR DE ESPANHA 2/3/2009 50 0 0 0 0 0 100 PREFEITURA 4678 MARAVILHAS 19/2/2009 100 0 50 50 0 50 0 PREFEITURA 4584 MONTE SIAO 12/1/2009 50 0 50 50 0 0 0 PREFEITURA 4645 MURIAE 5/2/2009 1900 0 0 0 0 0 0 PREFEITURA 4751 NEPOMUCENO 13/4/2009 150 0 0 0 0 0 0 PREFEITURA 4792 NOVA PORTEIRINHA 22/4/2009 0 0 0 0 3 0 0 PREFEITURA 4611 PALMA 20/1/2009 30 0 0 0 0 0 0 PREFEITURA 4641 PALMA 2/2/2009 0 0 100 100 0 0 500 PREFEITURA 4649 PALMA 6/2/2009 50 0 0 0 0 0 0 PREFEITURA 4563 PATROCINIO DO MURIAE 7/1/2009 0 0 250 300 0 0 0 PREFEITURA 4731 PEDRA BONITA 2/4/2009 0 0 75 0 0 50 0 PREFEITURA 4677 PEQUI 19/2/2009 100 0 50 50 0 50 0 PREFEITURA 4791 PERDIGAO 22/4/2009 100 0 0 0 0 0 0 PREFEITURA 4665 PERDOES 12/2/2009 0 0 0 0 0 50 0 PREFEITURA 4739 PIAU 3/4/2009 0 0 0 0 0 30 0 PREFEITURA 4752 PONTE NOVA 13/4/2009 130 0 0 0 0 0 0 PREFEITURA 4690 POUSO ALEGRE 27/2/2009 0 0 0 0 0 0 0 PREFEITURA 4689 POUSO ALEGRE 27/2/2009 700 0 0 0 0 0 0 PRESIDENTE PREFEITURA 4737 BERNARDES 3/4/2009 50 0 50 50 0 0 0 PRESIDENTE PREFEITURA 4738 BERNARDES 3/4/2009 0 0 0 0 0 0 0 PREFEITURA 4787 QUELUZITO 22/4/2009 100 0 0 0 0 0 0 PREFEITURA 4539 RIBEIRAO DAS NEVES 5/1/2009 0 0 0 0 3 0 0 PREFEITURA 4723 RIO ACIMA 1/4/2009 100 0 0 0 0 0 0 PREFEITURA 4562 RIO CASCA 7/1/2009 200 0 200 200 5 0 0 PREFEITURA 4635 RIO PIRACICABA 28/1/2009 0 0 0 0 0 0 0 PREFEITURA 4631 RIO PIRACICABA 28/1/2009 300 0 500 500 2 50 0 PREFEITURA 4636 RIO PIRACICABA 29/1/2009 300 0 0 0 0 0 0 PREFEITURA 4593 RIO PRETO 16/1/2009 0 0 0 0 0 0 0 PREFEITURA 4623 RIO PRETO 23/1/2009 100 0 100 100 3 0 0 PREFEITURA 4628 RIO PRETO 26/1/2009 0 0 0 0 0 0 0 PREFEITURA 4795 RIO PRETO 22/4/2009 100 0 100 100 0 0 0 PREFEITURA 4560 SABARA 7/1/2009 0 0 0 0 5 0 0 PREFEITURA 4591 SABARA 14/1/2009 30 0 30 30 3 0 0 PREFEITURA 4713 SABARA 23/3/2009 0 0 0 0 0 0 500 SANTA CRUZ DO PREFEITURA 4541 ESCALVADO 5/1/2009 0 0 0 0 2 0 0 SANTA CRUZ DO PREFEITURA 4561 ESCALVADO 7/1/2009 0 0 0 0 2 0 0 SAO DOMINGOS DAS PREFEITURA 4726 DORES 1/4/2009 100 0 100 100 0 0 0 PREFEITURA 4676 SAO GERALDO 18/2/2009 200 0 100 100 0 10 500 PREFEITURA 4698 SAO JOAQUIM DE BICAS 9/3/2009 30 0 0 40 0 0 80 PREFEITURA 4720 SAO JOAQUIM DE BICAS 30/3/2009 4 0 0 0 1 0 48 SAO PEDRO DOS PREFEITURA 4579 FERROS 9/1/2009 200 0 200 200 2 0 0 SAO SEBASTIAO DO RIO PREFEITURA 4717 PRETO 26/3/2009 100 0 100 100 0 30 0 PREFEITURA 4730 SERICITA 2/4/2009 0 0 75 0 0 50 0 PREFEITURA 4753 TOCANTINS 13/4/2009 110 0 0 0 0 0 0 PREFEITURA 4754 TURMALINA 13/4/2009 130 0 0 0 0 0 0 56
  • 57.
    Cb 10 Cb 18 lib Municípios Datas Beneficiados Kg Kg Colchões Cobertores Lonas Roupas Telhas PREFEITURA 4695 URUCUIA 4/3/2009 200 0 200 200 0 50 1000 PREFEITURA 4788 VARGEM BONITA 22/4/2009 100 0 0 0 0 0 0 PREFEITURA 4712 VARZEA DA PALMA 17/3/2009 100 0 0 0 0 0 0 PREFEITURA 4716 VESPASIANO 26/3/2009 30 0 40 0 0 0 0 PREFEITURA 4755 VICOSA 13/4/2009 120 0 0 0 0 0 0 VISCONDE DO RIO PREFEITURA 4629 BRANCO 27/1/2009 0 0 0 0 0 0 5000 BARBACENA Cb 10 Cb 18 N° lib Municípios Datas Beneficiados Kg Kg Colchões Cobertores Lonas Roupas Telhas 4476 ERVALIA 16/12/2008 PREFEITURA 200 0 100 100 0 0 0 4482 ERVALIA 19/12/2008 PREFEITURA 100 0 0 400 3 10 0 4481 GUARANI 19/12/2008 PREFEITURA 100 0 100 100 0 0 0 4583 ALTO RIO DOCE 12/1/2009 PREFEITURA 100 0 0 0 0 0 0 4735 ERVALIA 2/4/2009 PREFEITURA 0 0 0 0 5 0 0 4704 MIRAI 11/3/2009 PREFEITURA 200 0 0 0 0 30 0 4744 PALMA 7/4/2009 PREFEITURA 99 0 0 0 0 0 0 4663 SANTOS DUMONT 11/2/2009 PREFEITURA 100 0 100 100 2 0 0 4714 TABULEIRO 25/3/2009 PREFEITURA 100 0 0 0 0 0 0 BOM DESPACHO Cb 10 Cb 18 N° lib Municípios Datas Beneficiados Kg Kg Colchões Cobertores Lonas Roupas Telhas 4391 BAMBUI 11/11/2008 PREFEITURA 0 0 0 0 0 0 1000 PREFEITURA 4516 DIVINOPOLIS 23/12/2008 400 0 192 200 3 5 0 PREFEITURA 4487 FORMIGA 19/12/2008 100 0 0 100 1 0 0 PREFEITURA 4514 FORMIGA 23/12/2008 50 0 0 50 0 0 0 DIAMANTINA Cb 10 Cb 18 N° lib Municípios Datas Beneficiados Kg Kg Colchões Cobertores Lonas Roupas Telhas 4223 BAMBUI 25/9/2008 PREFEITURA 500 0 0 0 0 0 0 PREFEITURA 4225 JENIPAPO DE MINAS 25/9/2008 100 0 0 0 0 0 0 PREFEITURA 4226 VIRGEM DA LAPA 25/9/2008 200 0 0 0 0 0 0 PREFEITURA 4657 GLAUCILANDIA 11/2/2009 100 0 0 0 0 0 0 PREFEITURA 4658 ITACAMBIRA 11/2/2009 100 0 0 0 0 0 0 PREFEITURA 4679 JENIPAPO DE MINAS 19/2/2009 200 0 0 0 0 0 0 GOVERNADOR VALADARES Cb 10 Cb 18 N° lib Municípios Datas Beneficiados Kg Kg Colchões Cobertores Lonas Roupas Telhas 4412 AIMORES 18/11/2008 PREFEITURA 200 0 200 0 1 0 4412 4529 ANTONIO DIAS 30/12/2008 PREFEITURA 50 0 0 0 2 0 4529 GOVERNADOR PREFEITURA 4337 VALADARES 7/11/2008 25 0 0 25 1 0 4337 GOVERNADOR PREFEITURA 4415 VALADARES 19/11/2008 0 0 26 0 0 0 4415 PREFEITURA 4384 RESPLENDOR 7/11/2008 100 0 0 0 0 0 4384 PREFEITURA 4519 TUMIRITINGA 23/12/2008 50 0 50 0 2 0 4519 4595 ACUCENA 16/1/2009 PREFEITURA 100 0 200 200 3 0 0 4632 GONZAGA 28/1/2009 PREFEITURA 100 0 100 100 0 0 0 GOVERNADOR 4557 VALADARES 6/1/2009 COMDEC 200 0 100 100 0 0 0 SANTA EFIGENIA DE 4621 MINAS 23/1/2009 PREFEITURA 50 0 100 100 0 0 0 57
  • 58.
    JUIZ DE FORA Cb 10 Cb 18 N° lib Municípios Datas Beneficiados Kg Kg Colchões Cobertores Lonas Roupas Telhas 4403 BELMIRO BRAGA 13/11/2008 PREFEITURA 0 0 50 0 0 0 0 PREFEITURA 4408 BELMIRO BRAGA 14/11/2008 0 0 0 0 1 0 0 LAVRAS Cb 10 Cb 18 N° lib Municípios Datas Beneficiados Kg Kg Colchões Cobertores Lonas Roupas Telhas 4202 CAMPOS GERAIS 18/9/2008 PREFEITURA 100 0 100 100 3 0 0 PREFEITURA 4325 CAMPOS GERAIS 23/10/2008 0 0 0 0 0 0 1500 CONCEICAO DO RIO PREFEITURA 4139 VERDE 16/9/2008 300 0 300 300 5 0 PREFEITURA 4203 ITAGUARA 18/9/2008 200 0 100 150 4 10 0 PREFEITURA 4526 MARIA DA FE 29/12/2008 50 0 100 100 0 0 0 PREFEITURA 4521 NAZARENO 23/12/2008 0 0 0 0 0 0 1000 PREFEITURA 4227 PERDOES 26/9/2008 100 0 50 100 3 0 0 PREFEITURA 4517 SANTANA DO JACARE 23/12/2008 50 0 50 50 1 3 0 PREFEITURA 4386 SAO LOURENCO 10/11/2008 0 0 0 0 0 0 130 PREFEITURA 4339 TIRADENTES 7/11/2008 0 0 100 100 0 0 1368 PREFEITURA 4668 ARANTINA 12/2/2009 50 0 50 50 2 0 0 PREFEITURA 4685 CAMANDUCAIA 26/2/2009 100 0 100 200 2 0 0 PREFEITURA 4701 CRISTINA 10/3/2009 100 0 50 0 0 3 0 PREFEITURA 4767 IPUIUNA 14/4/2009 200 0 0 0 2 14 0 PREFEITURA 4703 LAVRAS 11/3/2009 0 0 0 0 0 0 100 PREFEITURA 4766 LAVRAS 14/4/2009 10 0 10 0 0 0 0 PREFEITURA 4652 MACHADO 9/2/2009 50 0 50 50 0 0 0 PREFEITURA 4582 MARIA DA FE 9/1/2009 100 0 0 0 0 0 0 PREFEITURA 4612 PERDOES 21/1/2009 400 0 930 998 0 47 0 PREFEITURA 4670 POUSO ALEGRE 13/2/2009 50 0 50 50 1 0 0 PREFEITURA 4673 POUSO ALEGRE 17/2/2009 0 0 50 50 2 0 0 PREFEITURA 4599 SAO JOAO DEL REI 19/1/2009 100 0 0 0 0 0 500 MANHUAÇU Cb 10 Cb 18 N° lib Municípios Datas Beneficiados Kg Kg Colchões Cobertores Lonas Roupas Telhas 4319 ARGIRITA 22/10/2008 PREFEITURA 0 0 0 0 0 0 0 4496 MANHUACU 19/12/2008 COMDEC 0 0 0 0 1 0 0 4559 ALTO JEQUITIBA 7/1/2009 PREFEITURA 200 0 200 200 0 0 0 4558 CARANGOLA 7/1/2009 PREFEITURA 300 0 278 200 2 0 0 4592 CARANGOLA 15/1/2009 PREFEITURA 0 0 0 50 0 0 0 4683 CARANGOLA 20/2/2009 PREFEITURA 100 0 100 100 0 0 0 4576 ESPERA FELIZ 9/1/2009 PREFEITURA 0 0 150 150 0 0 0 4644 ESPERA FELIZ 5/2/2009 PREFEITURA 150 0 100 100 0 0 0 4709 ESPERA FELIZ 13/3/2009 PREFEITURA 100 0 0 0 0 0 0 4610 JEQUERI 20/1/2009 PREFEITURA 0 0 0 0 5 0 0 4575 MANHUACU 9/1/2009 PREFEITURA 0 0 200 200 10 41 0 4590 MUTUM 14/1/2009 PREFEITURA 50 0 50 50 3 0 0 4585 REDUTO 13/1/2009 PREFEITURA 50 0 50 50 0 0 0 4642 SIMONESIA 3/2/2009 PREFEITURA 50 0 0 0 0 0 0 4546 TOMBOS 6/1/2009 PREFEITURA 100 0 100 100 1 0 0 4724 UBAPORANGA 1/4/2009 PREFEITURA 100 0 165 200 3 10 0 4559 ALTO JEQUITIBA 7/1/2009 PREFEITURA 200 0 200 200 0 0 0 58
  • 59.
    MONTES CLAROS Cb 10 Cb 18 N° lib Municípios Datas Beneficiados Kg Kg Colchões Cobertores Lonas Roupas Telhas 4568 CAPITAO ENEAS 8/1/2009 PREFEITURA 108 0 100 150 2 0 0 PASSOS Cb 10 Cb 18 N° lib Municípios Datas Beneficiados Kg Kg Colchões Cobertores Lonas Roupas Telhas 4768 IPUIUNA 14/4/2009 PREFEITURA 0 0 200 200 0 0 0 TEÓFILO OTONI Cb 10 Cb 18 N° lib Municípios Datas Beneficiados Kg Kg Colchões Cobertores Lonas Roupas Telhas PREFEITURA 4470 CARLOS CHAGAS 5/12/2008 0 0 0 0 1 0 0 PREFEITURA 4421 TEOFILO OTONI 25/11/2008 500 0 250 220 4 30 0 PREFEITURA 4569 CARLOS CHAGAS 8/1/2009 100 0 80 100 1 10 0 PREFEITURA 4615 CRISOLITA 21/1/2009 50 0 50 50 0 0 0 PREFEITURA 4578 PAVAO 9/1/2009 0 0 100 100 0 0 0 UBÁ Cb 10 Cb 18 N° lib Municípios Datas Beneficiados Kg Kg Colchões Cobertores Lonas Roupas Telhas PREFEITURA 4484 CATAGUASES 19/12/2008 500 0 200 300 2 40 0 PREFEITURA 4508 DIVINESIA 20/12/2008 50 0 50 50 0 0 0 PREFEITURA 4486 DONA EUZEBIA 19/12/2008 50 0 50 50 0 30 0 PREFEITURA 4488 GUIDOVAL 19/12/2008 50 0 50 50 1 30 0 PREFEITURA 4533 SANTOS DUMONT 30/12/2008 50 0 50 50 1 0 0 PREFEITURA 4485 SENADOR FIRMINO 19/12/2008 100 0 100 100 1 10 0 PREFEITURA 4633 DONA EUZEBIA 28/1/2009 50 0 50 50 0 30 0 PREFEITURA 4637 ESTRELA DALVA 29/1/2009 100 0 100 100 0 0 0 PREFEITURA 4646 MURIAE 5/2/2009 600 0 0 0 0 0 0 PREFEITURA 4650 PAIVA 6/2/2009 100 0 0 0 0 0 0 PREFEITURA 4639 PEDRA DO ANTA 29/1/2009 50 0 50 50 0 0 0 TOTAL GERAL 32246 0 23641 22153 293 1688 61722 59
  • 60.
    6.3 Enchentes einundações em Ponte Nova grande número de desabrigados e O município de PONTE NOVA/MG desalojados. localiza-se na zona da mata mineira, sua Na noite do dia 18 de dezembro de sede dista 180 km da capital, possui uma 2008, desabou sobre a cidade uma chuva população de 57.033 habitantes e faz forte, com índice de 410,2 mm num limite com as localidades de Guaraciaba, período de 7 dias (fonte MG Amparo do Serra e Oratórios (fonte IBGE). Tempo/CEMIG/Puc Minas), o que O município integra a bacia do rio provocou elevação das águas do Rio Doce, sendo banhado por um de seus Piranga em cerca de 8 metros acima do principais formadores, o rio Piranga. nível normal, o que inundou terras em Sua área territorial é formada por ambas as margens e em toda a sua encostas e possui várias construções extensão urbana, além do deslizamento irregulares, erguidas sem orientação de terra em alguns bairros residenciais e técnica, o que potencializa o risco. Foram algumas comunidades rurais. O evento observados vários pontos com risco de afetou 4.697 pessoas, deixou 4.070 deslizamento de terra e pontos suscetíveis desalojadas e outras 544 desabrigadas. de inundação, haja vista que o curso do Estas ficaram instaladas em 05 (cinco) Rio Piranga passa pelo Centro da cidade. abrigos temporários. Houve prejuízo material nas residências e empresas situadas em toda a extensão do Rio, além dos bairros Copacabana, Centro, Vila Alvarenga, Vila Centenário, Vila Oliveira, Triângulo, Palmeiras, Anna Florência, Santo Antônio, Santa Tereza e Rasa, além das localidades de Vão Grande, Brito, Rio Fig. 23 - Localização da cidade de Acima, Ilha da Garça, Sesmaria e Distrito Ponte Nova. Rosário do Pontal. O desastre em Ponte Nova não foi um Segunda a COMDEC, a chuva ainda fato isolado no período chuvoso, porém danificou 651 (seiscentos e cinqüenta e diferenciou-se dos demais pelas suas uma) residências populares, 04 (quatro) enormes proporções. A soma dos fatores prédios públicos da Barrinha Ponte e 06 (seis) pontes adversos à precipitação hídrica acima da danificadas, além de destruir 15 (quinze) média histórica provocou inundação em residências e 02 (duas) pontes. toda sua extensão urbana, deixando 60
  • 61.
    pelas chuvas. Naoportunidade o Exmo. Sr. Governador do Estado pôde constatar a vulnerabilidade do município face às grandes precipitações hídricas, que levaram às inundações. Foi discutida a necessidade de obras estruturais para contenção de encostas, recuperação de pontes e da pavimentação asfáltica de alguns trechos. Na mesma visita ele homologou os Decretos Municipais que declaravam Situação de Emergência em Ponte da Barrinha Houve interrupção do fornecimento de energia elétrica por avarias causadas na rede e queda de árvores e também suspensão do abastecimento de água devido a danos nas instalações. As pontes de acesso à cidade ficaram submersas, deixando todos ilhados por três dias. Somente após a baixa das Rua Dr. João Pinheiro (em destaque o prédio da antiga Fundição Progresso) águas foi possível calcular a extensão dos danos causados pelo desastre. A Polícia Militar e o Corpo de Ponte Nova e nos demais municípios Bombeiros Militar atuaram na retirada dos vizinhos afetados pelas chuvas. A moradores das áreas de risco. O intensidade do desastre foi dimensionada COMDEC e o CBMMG realizaram como nível III, de grande porte. vistorias nos locais mais críticos afetados A equipe de apoio complementar da pelo desastre. CEDEC orientou o executivo municipal No dia 20 de dezembro de 2008, o sobre a importância da confecção do Governador do Estado, Aécio Neves, e o formulário de Avaliação de Danos - Secretário Executivo de Defesa Civil, Ten AVADAN (documento de embasamento Cel PM Alexandre Lucas Alves, para possíveis isenções de tarifas sobrevoaram e visitaram a região afetada públicas, linhas de créditos para os 61
  • 62.
    comerciantes atingidos eliberação do do desastre (cestas básicas, colchões, FGTS para os moradores das áreas cobertores, roupas e lona plástica). afetadas) e sugeriu a implantação do Seguindo essa premissa, o Sistema de Comando em Operações Governo do Estado viabilizou a liberação (SCO) para que o município pudesse de recursos em caráter emergencial para controlar efetivamente as ações de a recuperação das áreas afetadas, resposta, já que a cidade possui muitas restabelecendo a normalidade para as áreas de risco (encostas) e os efeitos comunidades instaladas naqueles setores. secundários do desastre devem Uma equipe de engenheiros e técnicos da permanecer por um longo período. Secretaria Estadual de Transportes e Obras Públicas – SETOP esteve no município executando obras estruturais para recuperação da infra-estrutura local. Segundo informações da COMDEC, o Ministério da Integração liberou recursos para reconstrução e recuperação das áreas afetadas. Vista geral da cidade. A equipe orientou e auxiliou na confecção da documentação necessária para decretação de Situação de Emergência. Rua danificada na cidade. Ponte Ferroviária CEDEC aaajuda Foi disponibilizada pela entre rua Detalhe de danos no Bairro Barrinha. humanitária para rua Antônio Ozanan Copacabana e aminimização dos efeitos 62
  • 63.
    6.4 Ações deResposta de Comunicação Social Dentre as ações de resposta Fantástico. No programa, foram implementadas pela Diretoria de ressaltadas as ações e coordenações da Comunicação Social (DCS), objetivando o CEDEC no Estado. Abaixo, algumas pronto atendimento à imprensa e à reportagens que usaram a Defesa Civil comunidade, estão; como fonte. • Bom Dia Minas - Rede Globo 1. Estreito relacionamento com os Data Horário Duração veículos da imprensa com o objetivo 17|12|2008 6:25 3 min | 54 seg de esclarecer dúvidas ou questões Defesa Civil monitora áreas de levantadas pelos jornalistas, bem risco como prestar informações solicitadas. Entrevista: A DCS disponibilizou-se para o pronto Eduardo Mendes de Sousa - atendimento às entrevistas para os Coordenador Defesa Civil/MG veículos de rádio, tv e impresso. Nas – diz que as pessoas devem ocasiões mais críticas do período, o sair imediatamente das casas. atendimento foi feito diariamente, com total disponibilidade de gravação de áudio e/ou vídeo. Dentre as • Em cima da hora - Globo News entrevistas, destacam-se as de nível Data Horário Duração de abrangência nacional e uma, de 17|12|2008 10:00 8 min | 55 seg nível internacional. O Diretor de Enchentes em Minas Gerais Comunicação Social da CEDEC, Major causam prejuízos Edylan Arruda, foi entrevistado por Entrevistado: Ao vivo por telefone o uma rádio portuguesa para falar da Capitão Edylan Arruda, da situação das chuvas no Estado Defesa Civil, faz um balanço da mineiro. A Defesa Civil também situação do Estado com as chuvas participou de reportagens de rádios, e diz que muitas cidades ainda não sites e impressos de outros Estados, têm Defesa Civil o que prejudica o como a Jovem Pan, de São Paulo, o trabalho de ajuda. portal Terra, do Rio de Janeiro e os impressos, Folha de São Paulo e o Estado de São Paulo, ambos da • Jornal da Record - Rede Record capital paulista. Data Horário Duração Pela primeira vez, a CEDEC 17|11|2008 20:15 2 min | conseguiu um espaço na mídia nacional, Balanço dos estragos da chuva através da revista eletrônica dominical, em Minas 63
  • 64.
    Entrevistado: "A CEDEC tem uma escola de Eduardo Mendes - Defesa Civil - Defesa Civil que oferece cursos comenta que o que preocupa são para capacitar as pessoas que vão as tempestades, os ventos e as trabalhar com Defesa Civil nos chuvas de granizos. municípios para que elas possam, preparar ações para evitar • Panorama - TV Assembléia tragédias nas cidades. Data Horário Duração Normalmente, a mais comum é por 16|12|2008 8:30 31 min | causa da chuva. Mas é preciso MG está preparada para enfrentar ficar atento por causa da seca, que as chuvas? já vem causando problema Entrevistas: também em algumas cidades. Então, nós estamos alertando aos - Capitão Edylan Arruda / Coord. prefeitos da importância da Comunicação Defesa Civil de Comdec para evitar problemas nos MG: fala que o Estado com uma períodos de chuva. Dos 853 grande integração entre a PM, municípios mineiros, 603 têm Corpo de Bombeiros e a Defesa Comdec, mas no entanto pouco Civil para ajudar prejudicados com mais de 153 têm uma Defesa Civil as chuvas. atuante. Então, estamos aí através - Cel. Célio Novaes / Coord. de uma determinação do Operacional dos Bombeiros de governador Aécio Neves de que se MG: fala sobre o trabalho dos um município precisar de recursos bombeiros no período chuvoso. ele precisará comprovar que tem a Comdec. Isso vai pressionar os • José Lino - Itatiaia prefeitos a criar a Comdec em seus Data Horário Duração municípios". 28|01|2009 11:07 9 min | As ações da CEDEC para a • CBN Brasil - CBN prevenção contra acidentes no Data Horário Duração período da chuva em Minas 22|12|2008 13:23 40 seg Entrevista: Menos de 150 dos 853 municípios do Estado têm uma Defesa Civil - Major Edylan Arruda/ assessor atuante e preparada de comunicação da CEDEC: Ele Em Minas Gerais, menos de 150 afirma que neste ano a CEDEC dos 853 municípios do Estado têm tem trabalhado muito porque, uma Defesa Civil atuante e desde setembro, as chuvas preparada para enfrentar desastres acontecem no Estado. provocados por chuva. Segundo o 64
  • 65.
    diretor de Comunicação da Chuvas continuam provocando CEDEC, o Capitão Edylan estragos em Minas Arruda, as ações de defesa civil Desde setembro de 2008, 96 são de responsabilidade das municípios foram atingidos pelas prefeituras, mas a falta de chuvas. Vinte e três pessoas preparação atrapalha o morreram no Estado e 56 cidades atendimento nos municípios. decretaram estado de emergência. No momento, encontram-se • Jornal da Itatiaia - Itatiaia desabrigadas 5996 pessoas e Data Horário Duração 5668 estão desalojadas em Minas. 30|12|2008 7:24 3 min | Um prédio na Região Oeste de BH Secretário-executivo da Defesa ameaça desabar. Civil Estadual comenta os estragos Os bombeiros isolaram o local e provocados pela chuva em Minas notificaram os moradores de casas O secretário-executivo da Defesa vizinhas. Civil Estadual, Tenente Coronel A chuva também preocupa os Alexandre Lucas, comenta os moradores da Vila São João. estragos provocados pela chuva Na Zona da Mata, os moradores de em Minas. Manhuaçu foram atingidos pelas Entrevista: enchentes do rio que corta a - Tenente Coronel Alexandre cidade. Lucas / Secretário-Executivo da Defesa Civil Estadual Entrevistas: Ele afirma que, mesmo com a redução das chuvas, a CEDEC vai manter o plantão de 24 horas para atender as vítimas das chuvas. Ele alerta para o risco de desabamentos de residências porque o solo continua muito molhado. O Coronel Alexandre Lucas disse que a ocorrência mais Secretário-Executivo da CEDEC em coletiva de grave que ocorreu nas últimas imprensa horas foi a morte de uma pessoa -Ten Cel Alexandre Lucas / Sec. soterrada em Contagem. Exec. Defesa Civil – Explica que é preciso perceber o aumento brusco • Notícias de Minas - Rede TV! no nível do rio na cabeceira e, por Data Horário Duração 05|01|2009 19:36 2 min | 2 seg 65
  • 66.
    isso, as pessoasdevem deixar as casas ribeirinhas. 3. Apoio a Subsecretaria de Comunicação Social (Secom), 2. Manutenção constante do site da Secretaria de Estado de www.defesacivil.mg.gov.br. Governo (Segov). Foram O link “Destaque – Balanço das produzidas matérias chuvas 2008/2009” de acesso às jornalísticas específicas a informações sobre as respeito das ações da conseqüências das chuvas, citou CEDEC/MG, tais como: a quais os municípios que divulgação de cursos, ações de decretaram situação de prevenção e preparação, emergência, os que comunicaram alertas meteorológicos, ocorrência de precipitações, bem boletins, entre outros. Os textos como as últimas ocorrências foram repassados a todas as registradas devido às chuvas, emissoras de rádio, TV e sempre em conjunto com o Centro impressos da região de Controle de Emergência (CCE). metropolitana e interior. Informações sobre a existência de 4. Apoio na distribuição de Comdec e os telefones das cartilhas da Secretaria de Estado de Saúde (SES). A prefeituras foram disponibilizadas CEDEC/MG, em conjunto com no tópico; a SES, tem apoiado na distribuição da cartilha “Vamos • Outro tópico atualizado pela nos proteger das enchentes” às equipe da DCS, foi o de vítimas das chuvas no Estado. A cartilha traz dicas sobre o “Notícias”. Sempre na página que a população pode fazer principal do portal da após ser atingida pela enchente. CEDEC/MG, estavam as matérias de destaque do órgão, sendo também reproduzidas e divulgadas pela Secom, através do portal www.agenciaminas.mg.gov.br; • A seção “Fale Conosco” do portal da CEDEC/MG, também demandou esforços da equipe. As perguntas, enviadas diariamente pela comunidade, eram respondidas em uma média de 24h. 66
  • 67.
    Figura 24 -Atualização do Figura 25 - Notícias Figura 26 - Fale Conosco Balanço de Chuvas Figura 27 - Frente da cartilha sobre enchentes Figura 28 - Verso da cartilha sobre enchentes 67
  • 68.
    7 AÇÕES DERECONSTRUÇÃO A quarta fase da administração de - recuperar os ecossistemas afetados; desastres denomina-se reconstrução, - reduzir a vulnerabilidade dos cenários promovendo a reabilitação de áreas dos desastres e das populações em atingidas pelos desastres, comprovadas risco; por meio do formulário de avaliação de - racionalizar e adequar o uso do solo e danos confeccionado pelos órgãos do espaço geográfico, municipais de defesa civil. - realocar as populações, em áreas Esta ação destina-se ao atendimento seguras e isentas de riscos da população com a implantação de infra- intensificados de desastres; estrutura urbana e rural objetivando - modernizar as edificações e obras de atender famílias de baixa-renda, com a arte e reforçar as fundações e as reconstrução e recuperação da infra- estruturas. estrutura danificada ou destruída por Necessário se faz, diante da desastre ou sem condições de segurança ocorrência de um desastre cujos danos e em conseqüência do desastre. prejuízos comprometam a vida da A reconstrução tem por finalidade população, que todos os esforços sejam restabelecer, em sua plenitude: envidados no sentido de se minimizar a - os serviços públicos essenciais; repercussão negativa registrada. - a economia da área afetada; - o moral social; - o bem estar da população afetada. A recuperação de áreas atingidas por desastre, como ação de Defesa Civil, de certa forma confunde-se com a prevenção, na medida em que busca: 68
  • 69.
    7.1 Municípios queDecretaram Situação de Emergência ou Comunicaram Evento de Chuva. DUAS TOTAL SITUAÇÃO ago/08 set/08 out/08 nov/08 dez/08 jan/09 fev/09 mar/09 abr/09 Mai/09 TOTAL VEZES CORRIGIDO SITUAÇÃO DE EMERGÊNCIA 3 20 6 13 42 106 25 6 12 1 234 17 217 COMUNICADO 1 4 0 2 13 21 11 09 11 0 72 13 59 Fonte: Diretoria Técnica da CEDEC/MG 7.2 Os Processos de Decretação, Homologação e Reconhecimento de Situação de Emergência PORTARIA DECRETO DECRETO NR RECONHECIME MUNICIPAL HOMOLOGAÇÃO NR CIDADE EVENTO NTO PROCES Nº Data Data Dec. Data Publ. Nr Data SO 1 38 AÇUCENA ENXURRADAS 4 07-jan-09 04-mar-09 05-mar-09 2 3 AGUANIL ENCHENTE 669 28-jan-09 31-mar-09 01-abr-09 3 14 ALTO JEQUITIBÁ ENCHENTE 660 05-jan-09 27-jan-09 28-jan-09 266 31/3/2009 4 51 ALVINÓPOLIS ENXURRADAS 2095 27-jan-09 04-mar-09 05-mar-09 345 16/4/2009 AMPARO DO 5 30 ENXURRADAS 1 05-jan-09 17-fev-09 18-fev-09 SERRA 267 31/3/2009 6 1441 ANTÔNIO DIAS ESCORREGAMENTO 29 18-dez-08 10-fev-09 11-fev-09 208 23/3/2009 ANTÔNIO PRADO 7 75 ENXURRADAS 1 05-jan-09 04-mar-09 05-mar-09 DE MINAS 8 73 ARAPONGA ESCORREGAMENTO 1834 02-jan-09 20-mar-09 21-mar-09 9 47 ASTOLFO DUTRA ESCORREGAMENTO 1 01-jan-09 10-fev-09 11-fev-09 10 1362 BAMBUÍ GRANIZO 1454 17-set-08 15-out-08 16-out-08 1772 11/11/2008 BELA VISTA DE 11 1346 GRANIZO 103 30-ago-08 15-out-08 16-out-08 MINAS 1721 30/10/2008 12 1402 BELMIRO BRAGA ENCHENTES 444 13-nov-08 01-dez-08 02-dez-08 36 19/1/2009 BELO 13 43 ENXURRADAS 13485 09-jan-09 10-fev-09 11-fev-09 HORIZONTE 14 1428 BELO VALE ENCHENTE 38 17-dez-08 27-jan-09 28-jan-09 346 16/4/2009 15 50 BRÁS PIRES ENCHENTES 4 14-jan-09 17-fev-09 18-fev-09 356 28/4/2009 69
  • 70.
    16 1430 BRUMADINHO ENCHENTE 4 17-dez-08 15-abr-09 16-abr-09 17 1 CAETÉ ENXURRADAS 205 26-dez-08 04-mar-09 05-mar-09 18 1363 CAMPOS GERAIS GRANIZO 1313 17-set-08 12-nov-08 13-nov-08 19 41 CANAÃ ENCHENTE 20 22-dez-08 19-jan-09 20-jan-09 195 17/3/2009 20 99 CARAÍ ENCHENTE 9 26-jan-09 06-mai-09 07-mai-09 21 1358 CARANDAÍ GRANIZO 2418 17-set-08 17-set-08 18-set-08 1613 25/9/2008 22 1443 CARANGOLA ENCHENTE 4343 07-jan-09 27-jan-09 28-jan-09 392 28/4/2009 23 34 CARLOS CHAGAS ENCHENTE 5 12-jan-09 04-mar-09 05-mar-09 24 1425 CATAGUASES ENCHENTE 3437 17-dez-08 23-dez-08 24-dez-09 127 3/3/2009 CLARO DOS 25 117 ENXURRADAS 15 15-fev-09 15-abr-09 16-abr-09 POÇÕES CONCEIÇÃO DO 26 129 ENXURRADAS 1 27-jan-09 15-abr-09 16-abr-09 MATO DENTRO CONCEIÇÃO DO 27 1356 GRANIZO 1204 16-set-08 15-out-08 16-out-08 RIO VERDE 1724 30/10/2008 28 1361 CONGONHAS ENCHENTE 4815 05-jan-09 28-jan-09 29-jan-09 327 7/4/2009 1369 CONTAGEM GRANIZO 1011 23-set-08 15-out-08 16-out-08 1725 30/10/2008 29 16 CONTAGEM ENCHENTE 1078 05-jan-09 27-jan-09 28-jan-09 209 23/3/2009 1368 CRUCILÂNDIA GRANIZO 10 18-set-08 15-out-08 16-out-08 1727 30/10/2008 30 28 CRUCILÂNDIA ENCHENTE 1 12-jan-09 27-jan-09 28-jan-09 268 31/3/2009 31 74 CUPARAQUE ENCHENTE 7 09-jan-09 10-fev-09 11-fev-09 269 31/3/2009 32 80 DIVINO ENXURRADAS 1 02-jan-09 04-mar-09 05-mar-09 33 1422 DIVINÓPOLIS ENCHENTE 8699 23-dez-08 23-dez-08 24-dez-08 34 164 DOM SILVÉRIO ESCORREGAMENTO 13 15-abr-09 24-abr-09 25-abr-09 35 1427 DONA EUZÉBIA ENCHENTE 4 16-dez-08 10-fev-09 11-fev-09 304 1/4/2009 36 1417 ERVÁLIA ESCORREGAMENTO 42 16-dez-08 28-jan-09 29-jan-09 210 23/3/2009 37 6 ESPERA FELIZ ESCORREGAMENTO 703A 09-jan-09 20-mar-09 21-mar-09 38 1419 FORMIGA ENCHENTE 4087 17-dez-08 23-dez-08 24-dez-08 211 23/3/2009 39 103 FREI GASPAR ENCHENTE 5 05-jan-09 15-abr-09 16-abr-09 40 36 FREI INOCÊNCIO ENCHENTE 8 09-jan-09 15-abr-09 16-abr-09 GOVERNADOR 41 4 ENCHENTE 8967 12-jan-09 20-mar-09 21-mar-09 VALADARES 70
  • 71.
    42 1435 GUARACIABA ENCHENTE 370 23-dez-08 15-abr-09 16-abr-09 43 1432 GUIDOVAL ENCHENTE 489 18-dez-08 28-jan-09 29-jan-09 270 31/3/2009 44 25 IAPU ENCHENTE 2 07-jan-09 04-mar-09 05-mar-09 45 1410 IBIRITÉ ENXURRADAS 2400-A 12-fev-09 15-abr-09 16-abr-09 46 94 IGARAPÉ ENCHENTE 1356 03-fev-09 15-abr-09 16-abr-09 47 17 ITABIRINHA ENCHENTE 395 07-jan-09 27-jan-09 28-jan-09 212 23/3/2009 1366 ITAGUARA GRANIZO 901 18-set-08 15-out-08 16-out-08 1778 8/12/2008 48 1452 ITAGUARA ENCHENTE 923 29-dez-08 27-jan-09 28-jan-09 271 31/3/2009 49 44 ITAMARANDIBA ENCHENTE 2081 02-jan-09 20-mar-09 21-mar-09 50 1421 ITAPECERICA ENCHENTE 4 17-dez-08 27-jan-09 28-jan-09 272 31/3/2009 51 146 ITAPEVA ENXURRADAS 18 14-fev-09 06-mai-09 07-mai-09 52 1424 JECEABA ENCHENTE 1 20-dez-08 20-mar-09 21-mar-09 53 11 JEQUERI ESCORREGAMENTO 1523 06-jan-09 27-jan-09 28-jan-09 128 3/3/2009 54 114 JOSÉ RAYDAN ENXURRADAS 1 10-fev-09 31-mar-09 01-abr-09 55 1397 LAGOA SANTA VENDAVAL 881 07-nov-08 01-dez-08 02-dez-08 56 105 MALACACHETA ENCHENTE 6 12-jan-09 06-mai-09 07-mai-09 57 24 MANHUAÇU ENCHENTE 915 07-jan-09 04-mar-09 05-mar-09 58 23 MANHUMIRIM ENCHENTE 1921 09-jan-09 04-mar-09 05-mar-09 59 2 MARIA DA FÉ ENCHENTE 2422 29-dez-08 27-jan-09 28-jan-09 273 31/3/2009 60 1438 MIRADOURO ENCHENTES 797 18-dez-08 17-fev-09 18-fev-09 274 31/3/2009 61 1444 MURIAÉ ENXURRADAS 3541 17-dez-08 23-dez-08 24-dez-08 107 11/2/2009 62 1449 MUTUM ENCHENTE 2771 18-dez-08 28-jan-09 29-jan-09 275 31/3/2009 63 54 NOVO CRUZEIRO ENCHENTE 2 20-jan-09 20-mar-09 21-mar-09 64 1420 PALMA ESCORREGAMENTO 912 17-jan-09 04-mar-09 05-mar-09 PATROCÍNIO DO 65 1423 ENXURRADAS 4 02-jan-09 31-mar-09 01-abr-09 MURIAÉ 66 10 PAVÃO ENCHENTE 66 08-jan-09 31-mar-09 01-abr-09 67 53 PEDRA DO ANTA ENCHENTE 1 02-jan-09 10-fev-09 11-fev-09 68 65 PERDÕES ENXURRADAS 2.346 21-jan-09 17-fev-09 18-fev-09 357 28/4/2009 71
  • 72.
    PIEDADE DOS 69 70 ENCHENTE 4 02-jan-09 15-abr-09 16-abr-09 GERAIS 70 1431 PIRANGA ENCHENTE 1.675 17-dez-08 23-dez-08 24-dez-08 71 1446 PONTE NOVA ENCHENTE 6993 18-dez-08 23-dez-08 24-dez-08 102 9/2/2009 72 1436 PORTO FIRME ENCHENTE 31 17-dez-08 23-dez-08 24-dez-08 73 169 POUSO ALEGRE ENCHENTE 3211 13-fev-09 06-mai-09 07-mai-09 PRESIDENTE 1371 GRANIZO 682 17-set-08 15-out-08 16-out-08 BERNARDES 1731 30/10/2008 74 PRESIDENTE 1445 ENCHENTE 694 17-dez-08 23-dez-08 24-dez-08 BERNARDES 305 1/4/2009 75 1437 RAUL SOARES ENCHENTE 33 18-dez-08 23-dez-08 24-dez-08 213 23/3/2009 76 120 REDUTO ENCHENTE 25 11-fev-09 15-abr-09 16-abr-09 77 1439 RIO CASCA ENCHENTE 250 18-dez-08 23-dez-08 24-dez-08 78 67 RIO PIRACICABA ENCHENTE 64 28-jan-09 06-mai-09 07-mai-09 ROSÁRIO DA 79 84 ENCHENTE 2 05-jan-09 15-abr-09 16-abr-09 LIMEIRA SANTA EFIGÊNIA 80 55 ENXURRADAS 2 23-jan-09 10-fev-09 11-fev-09 DE MINAS 276 31/3/2009 SANTA 81 69 ESCORREGAMENTO 481 05-jan-09 20-mar-09 21-mar-09 MARGARIDA SANTANA DE 82 33 ENXURRADAS 2 05-jan-09 27-jan-09 28-jan-09 CATAGUASES 277 31/3/2009 SANTANA DO 83 151 ENCHENTE 8 06-jan-09 06-mai-09 07-mai-09 MANHUAÇU SANTO ANTÔNIO 84 91 ENCHENTE 162 21-jan-09 20-mar-09 21-mar-09 DO MONTE 85 100 SÃO FRANCISCO ENCHENTE 10 12-jan-09 15-abr-09 16-abr-09 SÃO FRANCISCO 86 100 ENCHENTES 708 26-jan-09 17-fev-09 18-fev-09 DO GLÓRIA 278 31/3/2009 87 92 SÃO GERALDO ENCHENTE 4 16-jan-09 04-mar-09 05-mar-09 SÃO JOÃO DA 88 62 ENXURRADAS 1 05-jan-09 17-fev-09 18-fev-09 PONTE SÃO MIGUEL DO 89 22 ENCHENTES 82 17-dez-08 17-fev-09 18-fev-09 ANTA 279 31/3/2009 SÃO PEDRO DOS 90 95 ENCHENTE 2 05-jan-09 20-mar-09 21-mar-09 FERROS 91 131 SAPUCAÍ-MIRIM ENXURRADAS 1252 16-fev-09 15-abr-09 16-abr-09 72
  • 73.
    92 85 SARDOÁ ENXURRADAS 22 23-jan-09 04-mar-09 05-mar-09 SENADOR 93 1433 ENCHENTE 49 17-dez-08 27-jan-09 28-jan-09 FIRMINO 94 26 SERRO ENCHENTE 2615 25-jan-09 31-mar-09 01-abr-09 95 87 SETUBINHA ENCHENTE 1 12-jan-09 10-fev-09 11-fev-09 280 31/3/2009 96 5 TABULEIRO ENCHENTE 2 02-jan-09 17-fev-09 18-fev-09 281 31/3/2009 TAQUARAÇU DE 97 1373 GRANIZO 24 22-set-08 15-out-08 16-out-08 MINAS 1733 30/10/2008 98 1450 TOMBOS ENCHENTES 55 18-dez-08 17-fev-09 18-fev-09 282 31/3/2009 99 147 TUPACIGUARA VENDAVAL 250 23-mar-09 06-mai-09 07-mai-09 VISCONDE DO 118 ENXURRADAS 98 17-dez-08 20-mar-09 21-mar-09 10 RIO BANCO 0 VISCONDE DO 1357 GRANIZO 66 15-set-08 15-out-08 16-out-08 RIO BRANCO 1734 30/10/2008 Fonte: Diretoria Técnica da CEDEC/MG 73
  • 74.
  • 75.
    Aécio Neves determinaenvio de coordenadores da Defesa Civil de MG em auxílio aos trabalhos de recuperação de Santa Catarina Profissionais da CEDEC/MG já estão no Sul do País em apoio irrestrito à Defesa Civil catarinense Aécio Neves se reuniu, em Florianópolis, com o governador de Santa Catarina, Luiz Henrique O governador Aécio Neves apresentou, na segunda-feira (1/12), ao governador de Santa Catarina, Luiz Henrique da Silveira, os coordenadores e técnicos da Coordenadoria Estadual de Defesa Civil de Minas Gerais (Cedec-MG) que darão apoio irrestrito à Defesa Civil catarinense nas ações de resposta às fortes chuvas que têm castigado o Estado da região Sul do país. O chefe do Gabinete Militar e coordenador da Cedec-MG, coronel Eduardo Mendes, o secretrrio-executivo do órgão, coronel Alexandre Lucas Alves, e técnicos já estão em Santa Catarina e permanecerão por período indeterminado no Estado. Em entrevista, Aécio Neves destacou o apoio que o Governo de Minas já vem prestando à Defesa Civil, com envio de helicópteros e água potável, desde o início da tragédia que já provocou a morte de 114 pessoas em Santa Catarina. Ele também detalhou o trabalho que os profissionais da Cedec-MG desenvolverão no Sul do país. "Estamos, por solicitação do governador Luiz Henrique, transferindo para Santa Catarina os nossos melhores técnicos da Defesa Civil, que se incorporarão ao trabalho de inteligência, principalmente, que aqui está sendo feito, não apenas para sanar os problemas existentes, mas para diagnosticar futuros problemas. É hora tanto de agir nas conseqüências do que aconteceu, mas também para evitar outros danos em razão de outras chuvas que podem vir. Temos um grupo de oficiais reconhecido internacionalmente como dos mais qualificados do país, que estará a partir de hoje à disposição do Governo de Santa Catarina, morando em Santa Catarina, para ajudar no enfrentamento da crise", disse Aécio Neves, em entrevista. O coordenadores e técnicos da Cedec-MG acumulam experiências em trabalhos de resposta em desastres ocorridos em Minas, como a chuva de granizo em Carandaí, ocorrida em setembro passado, o tremor de terra no final de 2007, de 4,9 graus na escala Ricthter, em Itacarambi, Norte de Minas, a resposta à contaminação do Rio das Velhas e Rio São Francisco pela cianobactérias e o rompimento da barragem de Miraí, em janeiro de 2007, além de outros desastres ocorridos em municípios mineiros que foram atingidos pelas chuvas. 75
  • 76.
    Apoio econômico Aécio Neves também destacou a necessidade de apoio dos brasileiros à economia do Estado de Santa Catarina. Segundo ele, os recursos vindos do turismo são significativos na base de arrecadação catarinense e, para isso, fez o apelo para que os mineiros e brasileiros mantenham suas programações de férias de verão nas praias de Santa Catarina, que não foram atingidas pelas chuvas. "Uma das atividades econômicas mais importantes de Santa Catarina é o turismo. Estamos no início do verão e é preciso que fique muito claro que a região turística mais forte, que são as praias catarinenses, não foram atingidas. Quero aqui me dirigir principalmente aos mineiros, para dizer que venham para Santa Catarina, mantenham sua programação nessas regiões, onde estavam programados de ir, porque a renda advinda da atividade turística será muito importante para que o Estado de Santa Catarina sofra menos", disse Aécio Neves. Doações A Defesa Civil de Minas Gerais está atenta ao cenário do desastre e, por orientação da Defesa Civil de SC, recomenda que a ajuda às vítimas seja prestada por meio de contribuições financeiras em contas bancárias. Diretoria de Comunicação Social – CEDEC/MG 76
  • 77.
    Ministério reconhece situaçãode emergência de Carandaí Veículo: O Tempo - Belo Horizonte - MG - Caderno: 1º Caderno Página: 34 Sábado, 04 de Outubro de 2008 77
  • 78.
    Temporal arrasa municípiona Zona da Mata Veículo: O Tempo - Belo Horizonte - MG - Caderno: 1º Caderno Página: 31 Sexta-feira, 14 de Novembro de 2008 78
  • 79.
    Minas refém daschuvas Veículo: Hoje em Dia - Belo Horizonte - MG - Caderno: 1º Caderno Página: 4 Sábado, 15 de Novembro de 2008 79
  • 80.
    Vítimas recebem doaçõesda CEDEC Veículo: Gazeta de São João Del Rei - MG Página: 3 Sábado, 22 de Novembro de 2008 80
  • 81.
    Chuva deixa municípiosda Grande BH em alerta Veículo: O Tempo - Belo Horizonte - MG Página: 36 Terça-feira, 25 de Novembro de 2008 81
  • 82.
    Chuva destrói casasem Novo Cruzeiro Veículo: Super Notícia - Belo Horizonte - MG Página: Capa e página 8 Terça-feira, 02 de Dezembro de 2008 82
  • 83.
    Minas tem 38cidades em risco Veículo: Hoje em Dia - Belo Horizonte - MG - Caderno: Minas Página: 24 Terça-feira, 02 de Dezembro de 2008 83
  • 84.
    Definidas ações parachuva Veículo: Estado de Minas - Belo Horizonte - MG Página: 23 Terça-feira, 23 de Dezembro de 2008 84
  • 85.
    Mais tempo parapagar água e luz Veículo: O Tempo - Belo Horizonte - MG Página: 24 Quarta-feira, 24 de Dezembro de 2008 85
  • 86.
    Municípios sem prevenção Veículo:Estado de Minas - Belo Horizonte - MG Página: 21 Quinta-feira, 01 de Janeiro de 2009 86
  • 87.
    Arrudas transborda, invade,arrasta, destroí e mata Veículo: O Tempo - Belo Horizonte - MG Página: 22 Sexta-feira, 02 de Janeiro de 2009 87
  • 88.
    Chuvas continuam aprovocar danos Veículo: O Tempo - Belo Horizonte - MG Página: 25 Quarta-feira, 07 de Janeiro de 2009 88
  • 89.
    Raio cai emlavoura e mata jovem de 14 anos Veículo: O Tempo - Belo Horizonte - MG Página: 28 Sábado, 07 de Fevereiro de 2009 89
  • 90.
    Mortes por causada chuva aumentam 50% em Minas Veículo: O Tempo - Belo Horizonte - MG Página: 27 Quinta-feira, 12 de Fevereiro de 2009 90
  • 91.
    Defesa Civil destacapapel das Comdec Veículo: Minas Gerais - Belo Horizonte - MG Página: 04 Terça-feira, 24 de Março de 2009 91
  • 92.
    Cidade chora mortospela tromba-d'água Veículo: Estado de Minas - Belo Horizonte - MG Página: 27 Domingo, 29 de Março de 2009 92
  • 93.
    Morre a 40ªvítima das chuvas em MG Veículo: Estado de Minas - Belo Horizonte - MG Página: 23 Quinta-feira, 02 de Abril de 2009 93
  • 94.
    Conclusão As mudanças climáticas, a vulnerabilidades dos centros urbanos e a ausência de uma cultura de percepção e prevenção a riscos, tem causado muitos danos às comunidades não só no Estado de Minas Gerais, mas no Brasil e no mundo. O período chuvoso 2008/2009 se caracterizou por uma considerável instabilidade histórica, quando as precipitações não observaram uma previsibilidade natural dos anos anteriores. Os meses de janeiro e fevereiro, historicamente mais chuvosos tiveram menos chuvas que outros meses do período. Chuvas de granizo, onde nunca havia sido registrado qualquer desastre deste tipo, provocaram desastres de grave complexidade, como o acontecido na cidade de Carandaí e outros municípios da Zona da Mata. Na região do semi-árido mineiro, também tivemos um regime de chuvas diferenciado quando em algumas cidades, choveu acima da média histórica e por um tempo mais prolongado, estendendo-se as precipitações até o início do mês de maio. Todas essas manifestações da natureza nos indicam um grande desafio: as comunidades, sobretudo as urbanas têm de se preparar para os desastres de modo a minimizar seus danos humanos e materiais. Comunidades que nunca tinham sofrido com qualquer intempérie da natureza, estão sendo assoladas com violência, contribuindo para o aumento do número de mortes a cada ano. Tanto as esferas do poder público quanto as instituições privadas têm de compreender a responsabilidade social que determina comportamentos de percepção de risco 94
  • 95.
    e consequentemente adoçãode medidas de prevenção e preparação para a resposta aos desastres. O cidadão comum, indivíduo integrante da comunidade, também deve reconhecer seu papel neste complexo contexto, a partir da adoção de comportamentos preventivos óbvios, como não ultrapassar alagamentos ou enxurradas a pé ou motorizados, evitando-se assim tantas mortes absurdas e completamente evitáveis. Ao encerrarmos mais um período chuvoso, dois sentimentos ocupam nosso coração institucional! O primeiro, de orgulho, de satisfação pelo dever cumprido e pelo respeito e reconhecimento que tem se estendido além das fronteiras de nosso Estado. O padrão de trabalho da Defesa Civil de Minas Gerais é reconhecido em todo o país como referência e exemplo e não foi por acaso que nossos profissionais foram convocados para auxiliar outros estados na administração de grandes calamidades. Mas o sentimento mais importante é o que indica que ainda há um grande caminho a ser percorrido! Enquanto crianças estiverem morrendo soterradas por deslizamentos perfeitamente previsíveis, nossa excelência profissional ficará distante da realidade almejada. Enquanto vidas estiverem sendo ceifadas por comportamentos inadequados em áreas de risco, nossos esforços terão sido insuficientes! Resta-nos prosseguir! Almejando conjugar a excelência do conhecimento com a força do entusiasmo e da abnegação de uma equipe extraordinária! Buscando no passado apenas o incentivo de que avançamos muito, mas olhando para frente, com os olhos fixos no ideal de servir as pessoas que sofrem, contribuindo a cada dia para a construção de um novo tempo em Minas Gerais. ALEXANDRE LUCAS ALVES TEN CEL PM SECRETÁRIO EXECUTIVO DA CEDEC (MG) 95