OPERAÇÕES COM FRAÇÕES ALGÉBRICAS
ADIÇÃO ALGÉBRICA DE FRAÇÕESDENOMINADORES IGUAIS Simplificando:
DENOMINADORES DIFERENTES 2º compor as frações( MMC :Denominador x Numerador)1º Tira o MMC dosdenominadoresMMC
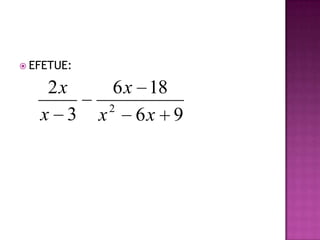
EFETUE:
MULTIPLICAÇÃO ALGÉBRICA DE FRAÇÕES
DIVISÃO ALGÉBRICA DE FRAÇÕES

Operações com frações algébricas