Máquinas Elétricas
Eletrotécnica
Definições
• Máquinas elétricas são dispositivos
capazes de converter energia elétrica em
energia mecânica e vice-versa.
• Geradores: convertem energia mecânica
em elétrica.
• Motores: convertem energia elétrica em
mecânica.
Motores Elétricos
Motor de InduçãoMotor de Indução
Motor de indução
Máquina Assíncrona
Enrolamento de estator trifásico
Rotor tipo gaiola de esquilo
Rotor gaiola de esquilo
Rotor tipo bobinado
Pacote magnético do estator
• A máquina de indução é, dentre as
máquinas elétricas, a mais utilizada na
indústria.
Máquina Assíncrona
Na máquina assíncrona tanto o rotor quanto
o estator conduzem corrente alternada.
• A corrente que circula pelo rotor é uma
corrente induzida devido a um campo
variável devido à diferença de velocidade
de rotação do rotor e do campo girante.
Por isso a nomenclatura máquina de
indução.
Máquina Assíncrona
Campo magnético girante
• Os enrolamentos trifásicos localizados no estator e
representados pelos enrolamentos aa’, bb’ e cc’ estão
deslocados de 120 graus entre si. Quando uma corrente
alternada senoidal circula por um enrolamento ela
produz uma força magneto motriz senoidal centrada no
eixo do enrolamento.
• A força magneto motriz resultante é a
composição vetorial das três
componentes de força magneto motriz.
Campo magnético girante
• Devido a corrente na fase A está em um
instante de máximo, a força magneto motriz
produzida por este enrolamento é máxima.
• O vetor resultante força magneto motriz F possui
a mesma amplitude em todos os instantes de
tempo, girando em sentido anti-horário.
No instante de
tempo to, a corrente
na fase A passa por
um máximo positivo
e as corrente nas
fases B e C por
metade da
amplitude máxima
negativa.
Campo magnético girante
Princípio de funcionamento
Tensões induzidas
• O campo magnético girante induz tensões
nas fases do estator. As expressões para
as tensões induzidas podem ser obtidas
utilizando a lei de Faraday
wp KNfE ⋅⋅⋅⋅= ϕ11 44,4
Escorregamento
• É óbvio que a velocidade do rotor não pode ser
igual à velocidade síncrona, pois assim,
nenhuma corrente seria induzida no
enrolamento do rotor e consequentemente
nenhum torque seria produzido.
s
s
n
nn
s
−
=
Circuito do rotor
wp KNfE ⋅⋅⋅⋅= ϕ212 44,4 Rotor parado
22 EsE s ⋅= Rotor girando
snsn ⋅−= )1(
Freqüência da corrente
induzida no Rotor12 fsf ⋅=
Velocidade do Rotor
Circuito equivalente
• O circuito equivalente pode ser utilizado
para estudar e antecipar o desempenho
da máquina de indução com apreciável
proximidade da realidade.
Ensaio a vazio
Ensaio com rotor bloqueado
Equações para determinação dos
parâmetros
sc
asemcfase
sc
I
V
Z
)arg(
=2
3 sc
sc
sc
I
P
R
⋅
= 22
scscsc RZX −=
2
3 rb
rb
rb
I
P
R
⋅
=
rb
bloqueadorotorfase
rb
I
V
Z
)_(
=
22
rbrbrb RZX −=
msc XXX += 1
21 XXX rb +≅
2
21
rbX
XX ==
Curva conjugado x rotação para
o motor assíncrono
Classificação por categorias
São caracterizados por possuírem um
conjugado de partida normal, corrente de
partida normal e pequeno valor de
escorregamento em regime permanente.
Constituem a maioria dos motores
encontrados no mercado e prestam-se ao
acionamento de cargas normais, com
baixo conjugado de partida como: bombas
e máquinas operatrizes.
Categoria N
Os motores dessa categoria são
caracterizados por possuírem um
conjugado de partida elevado, corrente de
partida normal e baixo valor para o
escorregamento em regime permanente.
Esta categoria de motores é utilizada para
acionamento de cargas que exigem maior
conjugado de partida, como peneiras,
transportadores carregados, cargas com
alta inércia, etc.
Categoria H
São caracterizados por conjugado de
partida elevado, corrente de partida
normal e alto escorregamento. Utilizados
para acionamento de cargas como:
prensas excêntricas e máquinas
semelhantes, em que a carga apresenta
picos periódicos e cargas que necessitam
de conjugado de partida elevado e
corrente de partida limitada.
Categoria D
Controle de velocidade
• Um motor de indução possui velocidade
aproximadamente constante quando
conectado a uma fonte de tensão
constante com uma freqüência fixa. A
velocidade em regime permanente é
muito próxima da velocidade síncrona.
Quando o torque solicitado aumenta, a
velocidade diminui.
Variação da velocidade em
função da carga
• Em muitas aplicações industriais,
velocidades variáveis ou continuamente
ajustáveis são necessárias.
Controle de velocidade
• Tradicionalmente, motores de corrente
contínua sempre foram utilizados em
aplicações onde era necessário variar a
velocidade da máquina.
• Entretanto, motores de corrente contínua
são caros, requerem manutenção das
escovas e dos comutadores e são
proibitivos em ambientes agressivos.
Controle de velocidade
• Em contrapartida, motores de indução são
baratos, não requerem manutenção,
estão aptos a funcionar em ambientes
agressivos e estão disponíveis para
velocidades elevadas.
Controle de velocidade através
da variação da freqüência.
Métodos de partida dos motores
de indução
• Além de causar uma queda de tensão
apreciável, pode afetar outras cargas
conectadas à rede de alimentação. Além disso,
se uma corrente elevada circular no motor por
um longo intervalo de tempo, poderá aquecê-lo,
danificando o isolamento do enrolamento.
• Uma corrente de partida de 500 a 800 %
maior que a corrente nominal pode
circular pela rede de alimentação.
Autotransformador abaixador
Partida estrela-triângulo
Fase dividida
Conversor de estado sólido
• É importante ressaltar que embora
tensões menores reduzam a corrente
durante a partida dos motores, o torque
de partida decresce porque o torque é
proporcional ao quadrado da tensão
aplicada.
Métodos de partida dos
motores de indução
Influência da rede elétrica na
operação do MIT
• A operação eficiente dos motores de
indução trifásicos depende, entre outras
coisas, da qualidade da rede elétrica de
alimentação. O ideal é que esta rede seja
equilibrada e com suas tensões
apresentando amplitudes e freqüência
constantes.
• A eficiência e o fator de potência dos motores
de indução trifásicos variam segundo o valor da
tensão de alimentação. Estes motores são
projetados para suportarem variações de ±10%
da tensão nominal.
• Os motores devem suportar variações de
freqüência de -5% a até +3%. Uma variação
simultânea da amplitude e da freqüência pode
ser prejudicial para o motor.
Influência da rede elétrica na
operação do MIT
• Uma tensão de alimentação abaixo do
valor nominal do motor provoca aumento
da corrente e da temperatura e ainda
redução dos torques de partida e de
regime. Por outro lado, um valor de
tensão acima do nominal acarreta
redução do fator de potência e aumento
da corrente de partida.
Influência da rede elétrica na
operação do MIT
Influência da carga mecânica na
operação do MIT
• As principais conseqüências do
superdimensionamento são:
• Maior custo, volume e peso do motor.
• Redução do fator de potência.
• Redução da eficiência, embora muito motores
apresentem sua eficiência máxima a,
aproximadamente, 75% da sua carga nominal.
• Maior corrente de partida, acarretando maior
custo da instalação e proteção.
Fator de serviço
• A norma ABNT NBR 7094/1996, define
fator de serviço como um multiplicador
que, quando aplicado à potência nominal
do motor, indica a carga que pode ser
acionada continuamente sob tensão e
freqüência nominais. Entretanto, a
utilização do fator de serviço implica em
vida útil inferior àquela do motor com
carga nominal.
Influência do ambiente na
operação do MIT
• As condições ambientais onde está instalado
um motor têm influência na sua operação.
Poeiras que se depositam na sua carcaça, ao
absorverem umidade ou partículas de óleo,
formam uma crosta que dificulta a liberação do
calor. Por causa disso, a temperatura interna do
motor se eleva. Uma das conseqüências é
aumentar o valor da resistência do enrolamento
e diminuir a eficiência do motor.
Grau de proteção - IP
• Motores que trabalham em ambientes
desfavoráveis ou mesmo agressivos
devem ser providos de um grau de
proteção. A norma brasileira NBR 6146
define os vários graus de proteção que os
motores elétricos podem apresentar, por
meio das letras características IP, seguida
por dois algarismos. As tabelas 2.1 e 2.2
apresentam os critérios de proteção.
Tabela 2.1 – Indica grau de proteção contra penetração
de corpos sólidos estranhos e contato acidental.
1o
Algarismo
Algarismo Indicação
0 Sem proteção
1 Corpos estranhos acima de 50mm
2 Corpos estranhos acima de 12mm
3 Corpos estranhos acima de 2,5mm
4 Corpos estranhos acima de 1,0mm
5 Proteção contra acúmulo de poeiras prejudiciais ao
motor.
6 Totalmente protegido contra poeira.
Tabela 2.2 – Indica grau de proteção contra penetração
de água no interior do motor.
2o
Algarismo
Algarismo Indicação
0 Sem proteção
1 Pingos de água na vertical.
2 Pingos de água até a inclinação de 15o
com a vertical.
3 Pingos de água até a inclinação de 60o
com a vertical.
4 Respingos em todas as direções.
5 Jatos de água em todas as direções.
6 Água de vagalhões.
7 Imersão temporária.
8 Imersão permanente.
Classes de Isolação
• Classe A – 105 graus
• Classe E – 120 graus
• Classe B – 130 graus
• Classe F – 155 graus
• Classe H – 180 graus
Motor de alto rendimento
Motores de alto
rendimento => custo de
aquisição inicial maior
Entretanto, sua
utilização pode trazer
grande economia em um
curto prazo.
Especificação de motores
motorac
acac
motor
n
Cn
C
⋅
⋅
=
η
argarg
motormotormotor CnP ⋅⋅⋅= π2
Relação de transmissão
motor
ac
n
n
R
arg
=
Inércia da carga referida ao eixo
do motor
2
arg RJJ ace ⋅=
Conjugado motor médio
81,945,0 max
⋅⋅





+⋅= n
nn
p
mmed C
C
C
C
C
C
Conjugado resistente médio
cmedrmed CRC ⋅=
Tempo de aceleração
• É necessário que o tempo de aceleração
do motor seja menor que 80% do tempo
de rotor bloqueado






−
+
⋅⋅⋅=
rmedmmed
m
a
CC
JeJ
nt π2
Exemplo: Considere o sistema abaixo utilizado para
levantamento de peso com capacidade para levantamento
de 50kg, com uma velocidade de içamento igual a 0,5m/s.
Se o raio da polia é igual a 90mm, a redução de 1:32, o
rendimento da talha é igual a 97%, a inércia das partes
girantes é igual a 0,0005Kgm2.
W
vgm
P
talha
252
97,0
5,081,950
=
⋅⋅
=
⋅⋅
=
η
mN
R
v
PP
C
polia
cc
c ⋅==== 36,45
09,0
5,0
252
ω
rpmrps
R
n
n
ac
motor 16993,28
32
1
09,02
5,0
arg
==
⋅
==
π
Tipo do motor Motor de alto rendimento plus
Potência 0,5 CV
Número de pólos 4 pólos
Rotação 1720 rpm
Conjugado nominal (Cn
) 0,21 Kgfm
Cp
/Cn
2,7
Cmax
/Cn
3
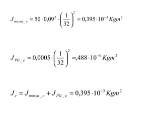
J 0,00079
Tempo de rotor bloqueado 10 s
In 2,07 A
23
2
2
_ 10395,0
32
1
09,050 KgmJ emassa
−
⋅=





⋅⋅=
26
2
_ 10488,
32
1
0005,0 KgmJ ePG
−
⋅=





⋅=
23
__ 10395,0 KgmJJJ ePGemassae
−
⋅=+=
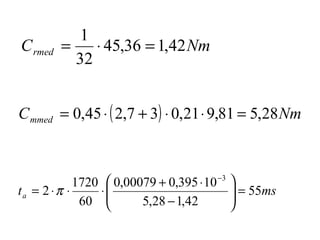
NmCrmed 42,136,45
32
1
=⋅=
( ) NmCmmed 28,581,921,037,245,0 =⋅⋅+⋅=
msta 55
42,128,5
10395,000079,0
60
1720
2
3
=





−
⋅+
⋅⋅⋅=
−
π
Gerador Assíncrono
• O escorregamento
no gerador
assíncrono é
negativo:
• O gerador de
indução é acionado
a uma velocidade
maior do que a
velocidade
síncrona.
s
s
n
nn
s
−
=
Corrente de excitação
• Uma corrente de
excitação deve ser
fornecida ao
enrolamento de
armadura para
indução no rotor. A
amplitude da
corrente de
excitação irá
determinar a
amplitude da tensão
nos terminais do
gerador.
Gerador assíncrono com capacitor
para excitação da máquina
• Nesta configuração é
necessário utilizar
capacitores para
fornecer os reativos
de que a máquina
necessita.
Gerador assíncrono com conversor
para excitação da máquina
• Nesta configuração não
é necessário utilizar
capacitores pois a
demanda de reativos de
que a máquina
necessita é fornecida
pelo conversor.
• O conversor onera o
sistema uma vez que toda
a potência gerada circula
através do mesmo.
Gerador assíncrono alimentado
através de escovas
• Nesta configuração a
excitação é proveniente da
rede, através de um
conversor, que é
conectado ao enrolamento
do rotor através de anéis
coletores e de escovas. A
vantagem é que o
conversor não necessita
processar a potência
nominal do gerador.
Gerador assíncrono duplamente
alimentado sem escovas (GATDASE)
• Nesta configuração a
máquina possui dois
enrolamentos no estator, um
principal, de potência, e um
auxiliar. O enrolamento
auxiliar, ou de controle, é
ligado à rede através de um
conversor que permite
controlar o torque, a
velocidade e o fator de
potência da máquina.
Curva Torque x velocidade
Curva Torque x velocidade
Motor
Gerador

Maquinas eletricas

  • 1.
  • 2.
    Definições • Máquinas elétricassão dispositivos capazes de converter energia elétrica em energia mecânica e vice-versa. • Geradores: convertem energia mecânica em elétrica. • Motores: convertem energia elétrica em mecânica.
  • 3.
  • 5.
  • 6.
  • 7.
  • 8.
  • 9.
  • 10.
  • 11.
  • 12.
    • A máquinade indução é, dentre as máquinas elétricas, a mais utilizada na indústria. Máquina Assíncrona Na máquina assíncrona tanto o rotor quanto o estator conduzem corrente alternada.
  • 13.
    • A correnteque circula pelo rotor é uma corrente induzida devido a um campo variável devido à diferença de velocidade de rotação do rotor e do campo girante. Por isso a nomenclatura máquina de indução. Máquina Assíncrona
  • 14.
    Campo magnético girante •Os enrolamentos trifásicos localizados no estator e representados pelos enrolamentos aa’, bb’ e cc’ estão deslocados de 120 graus entre si. Quando uma corrente alternada senoidal circula por um enrolamento ela produz uma força magneto motriz senoidal centrada no eixo do enrolamento.
  • 15.
    • A forçamagneto motriz resultante é a composição vetorial das três componentes de força magneto motriz. Campo magnético girante • Devido a corrente na fase A está em um instante de máximo, a força magneto motriz produzida por este enrolamento é máxima. • O vetor resultante força magneto motriz F possui a mesma amplitude em todos os instantes de tempo, girando em sentido anti-horário.
  • 16.
    No instante de tempoto, a corrente na fase A passa por um máximo positivo e as corrente nas fases B e C por metade da amplitude máxima negativa. Campo magnético girante
  • 17.
  • 18.
    Tensões induzidas • Ocampo magnético girante induz tensões nas fases do estator. As expressões para as tensões induzidas podem ser obtidas utilizando a lei de Faraday wp KNfE ⋅⋅⋅⋅= ϕ11 44,4
  • 19.
    Escorregamento • É óbvioque a velocidade do rotor não pode ser igual à velocidade síncrona, pois assim, nenhuma corrente seria induzida no enrolamento do rotor e consequentemente nenhum torque seria produzido. s s n nn s − =
  • 20.
    Circuito do rotor wpKNfE ⋅⋅⋅⋅= ϕ212 44,4 Rotor parado 22 EsE s ⋅= Rotor girando snsn ⋅−= )1( Freqüência da corrente induzida no Rotor12 fsf ⋅= Velocidade do Rotor
  • 21.
    Circuito equivalente • Ocircuito equivalente pode ser utilizado para estudar e antecipar o desempenho da máquina de indução com apreciável proximidade da realidade.
  • 22.
  • 23.
  • 24.
    Equações para determinaçãodos parâmetros sc asemcfase sc I V Z )arg( =2 3 sc sc sc I P R ⋅ = 22 scscsc RZX −= 2 3 rb rb rb I P R ⋅ = rb bloqueadorotorfase rb I V Z )_( = 22 rbrbrb RZX −= msc XXX += 1 21 XXX rb +≅ 2 21 rbX XX ==
  • 25.
    Curva conjugado xrotação para o motor assíncrono
  • 26.
  • 27.
    São caracterizados porpossuírem um conjugado de partida normal, corrente de partida normal e pequeno valor de escorregamento em regime permanente. Constituem a maioria dos motores encontrados no mercado e prestam-se ao acionamento de cargas normais, com baixo conjugado de partida como: bombas e máquinas operatrizes. Categoria N
  • 28.
    Os motores dessacategoria são caracterizados por possuírem um conjugado de partida elevado, corrente de partida normal e baixo valor para o escorregamento em regime permanente. Esta categoria de motores é utilizada para acionamento de cargas que exigem maior conjugado de partida, como peneiras, transportadores carregados, cargas com alta inércia, etc. Categoria H
  • 29.
    São caracterizados porconjugado de partida elevado, corrente de partida normal e alto escorregamento. Utilizados para acionamento de cargas como: prensas excêntricas e máquinas semelhantes, em que a carga apresenta picos periódicos e cargas que necessitam de conjugado de partida elevado e corrente de partida limitada. Categoria D
  • 30.
    Controle de velocidade •Um motor de indução possui velocidade aproximadamente constante quando conectado a uma fonte de tensão constante com uma freqüência fixa. A velocidade em regime permanente é muito próxima da velocidade síncrona. Quando o torque solicitado aumenta, a velocidade diminui.
  • 31.
    Variação da velocidadeem função da carga
  • 32.
    • Em muitasaplicações industriais, velocidades variáveis ou continuamente ajustáveis são necessárias. Controle de velocidade • Tradicionalmente, motores de corrente contínua sempre foram utilizados em aplicações onde era necessário variar a velocidade da máquina.
  • 33.
    • Entretanto, motoresde corrente contínua são caros, requerem manutenção das escovas e dos comutadores e são proibitivos em ambientes agressivos. Controle de velocidade • Em contrapartida, motores de indução são baratos, não requerem manutenção, estão aptos a funcionar em ambientes agressivos e estão disponíveis para velocidades elevadas.
  • 34.
    Controle de velocidadeatravés da variação da freqüência.
  • 35.
    Métodos de partidados motores de indução • Além de causar uma queda de tensão apreciável, pode afetar outras cargas conectadas à rede de alimentação. Além disso, se uma corrente elevada circular no motor por um longo intervalo de tempo, poderá aquecê-lo, danificando o isolamento do enrolamento. • Uma corrente de partida de 500 a 800 % maior que a corrente nominal pode circular pela rede de alimentação.
  • 36.
  • 37.
  • 38.
  • 39.
  • 40.
    • É importanteressaltar que embora tensões menores reduzam a corrente durante a partida dos motores, o torque de partida decresce porque o torque é proporcional ao quadrado da tensão aplicada. Métodos de partida dos motores de indução
  • 41.
    Influência da redeelétrica na operação do MIT • A operação eficiente dos motores de indução trifásicos depende, entre outras coisas, da qualidade da rede elétrica de alimentação. O ideal é que esta rede seja equilibrada e com suas tensões apresentando amplitudes e freqüência constantes.
  • 42.
    • A eficiênciae o fator de potência dos motores de indução trifásicos variam segundo o valor da tensão de alimentação. Estes motores são projetados para suportarem variações de ±10% da tensão nominal. • Os motores devem suportar variações de freqüência de -5% a até +3%. Uma variação simultânea da amplitude e da freqüência pode ser prejudicial para o motor. Influência da rede elétrica na operação do MIT
  • 43.
    • Uma tensãode alimentação abaixo do valor nominal do motor provoca aumento da corrente e da temperatura e ainda redução dos torques de partida e de regime. Por outro lado, um valor de tensão acima do nominal acarreta redução do fator de potência e aumento da corrente de partida. Influência da rede elétrica na operação do MIT
  • 44.
    Influência da cargamecânica na operação do MIT • As principais conseqüências do superdimensionamento são: • Maior custo, volume e peso do motor. • Redução do fator de potência. • Redução da eficiência, embora muito motores apresentem sua eficiência máxima a, aproximadamente, 75% da sua carga nominal. • Maior corrente de partida, acarretando maior custo da instalação e proteção.
  • 45.
    Fator de serviço •A norma ABNT NBR 7094/1996, define fator de serviço como um multiplicador que, quando aplicado à potência nominal do motor, indica a carga que pode ser acionada continuamente sob tensão e freqüência nominais. Entretanto, a utilização do fator de serviço implica em vida útil inferior àquela do motor com carga nominal.
  • 46.
    Influência do ambientena operação do MIT • As condições ambientais onde está instalado um motor têm influência na sua operação. Poeiras que se depositam na sua carcaça, ao absorverem umidade ou partículas de óleo, formam uma crosta que dificulta a liberação do calor. Por causa disso, a temperatura interna do motor se eleva. Uma das conseqüências é aumentar o valor da resistência do enrolamento e diminuir a eficiência do motor.
  • 47.
    Grau de proteção- IP • Motores que trabalham em ambientes desfavoráveis ou mesmo agressivos devem ser providos de um grau de proteção. A norma brasileira NBR 6146 define os vários graus de proteção que os motores elétricos podem apresentar, por meio das letras características IP, seguida por dois algarismos. As tabelas 2.1 e 2.2 apresentam os critérios de proteção.
  • 48.
    Tabela 2.1 –Indica grau de proteção contra penetração de corpos sólidos estranhos e contato acidental. 1o Algarismo Algarismo Indicação 0 Sem proteção 1 Corpos estranhos acima de 50mm 2 Corpos estranhos acima de 12mm 3 Corpos estranhos acima de 2,5mm 4 Corpos estranhos acima de 1,0mm 5 Proteção contra acúmulo de poeiras prejudiciais ao motor. 6 Totalmente protegido contra poeira.
  • 49.
    Tabela 2.2 –Indica grau de proteção contra penetração de água no interior do motor. 2o Algarismo Algarismo Indicação 0 Sem proteção 1 Pingos de água na vertical. 2 Pingos de água até a inclinação de 15o com a vertical. 3 Pingos de água até a inclinação de 60o com a vertical. 4 Respingos em todas as direções. 5 Jatos de água em todas as direções. 6 Água de vagalhões. 7 Imersão temporária. 8 Imersão permanente.
  • 50.
    Classes de Isolação •Classe A – 105 graus • Classe E – 120 graus • Classe B – 130 graus • Classe F – 155 graus • Classe H – 180 graus
  • 51.
    Motor de altorendimento Motores de alto rendimento => custo de aquisição inicial maior Entretanto, sua utilização pode trazer grande economia em um curto prazo.
  • 52.
  • 53.
  • 54.
    Inércia da cargareferida ao eixo do motor 2 arg RJJ ace ⋅=
  • 55.
    Conjugado motor médio 81,945,0max ⋅⋅      +⋅= n nn p mmed C C C C C C
  • 56.
  • 57.
    Tempo de aceleração •É necessário que o tempo de aceleração do motor seja menor que 80% do tempo de rotor bloqueado       − + ⋅⋅⋅= rmedmmed m a CC JeJ nt π2
  • 58.
    Exemplo: Considere osistema abaixo utilizado para levantamento de peso com capacidade para levantamento de 50kg, com uma velocidade de içamento igual a 0,5m/s. Se o raio da polia é igual a 90mm, a redução de 1:32, o rendimento da talha é igual a 97%, a inércia das partes girantes é igual a 0,0005Kgm2.
  • 59.
  • 60.
    Tipo do motorMotor de alto rendimento plus Potência 0,5 CV Número de pólos 4 pólos Rotação 1720 rpm Conjugado nominal (Cn ) 0,21 Kgfm Cp /Cn 2,7 Cmax /Cn 3 J 0,00079 Tempo de rotor bloqueado 10 s In 2,07 A
  • 61.
    23 2 2 _ 10395,0 32 1 09,050 KgmJemassa − ⋅=      ⋅⋅= 26 2 _ 10488, 32 1 0005,0 KgmJ ePG − ⋅=      ⋅= 23 __ 10395,0 KgmJJJ ePGemassae − ⋅=+=
  • 62.
    NmCrmed 42,136,45 32 1 =⋅= ( )NmCmmed 28,581,921,037,245,0 =⋅⋅+⋅= msta 55 42,128,5 10395,000079,0 60 1720 2 3 =      − ⋅+ ⋅⋅⋅= − π
  • 63.
    Gerador Assíncrono • Oescorregamento no gerador assíncrono é negativo: • O gerador de indução é acionado a uma velocidade maior do que a velocidade síncrona. s s n nn s − =
  • 64.
    Corrente de excitação •Uma corrente de excitação deve ser fornecida ao enrolamento de armadura para indução no rotor. A amplitude da corrente de excitação irá determinar a amplitude da tensão nos terminais do gerador.
  • 65.
    Gerador assíncrono comcapacitor para excitação da máquina • Nesta configuração é necessário utilizar capacitores para fornecer os reativos de que a máquina necessita.
  • 66.
    Gerador assíncrono comconversor para excitação da máquina • Nesta configuração não é necessário utilizar capacitores pois a demanda de reativos de que a máquina necessita é fornecida pelo conversor. • O conversor onera o sistema uma vez que toda a potência gerada circula através do mesmo.
  • 67.
    Gerador assíncrono alimentado atravésde escovas • Nesta configuração a excitação é proveniente da rede, através de um conversor, que é conectado ao enrolamento do rotor através de anéis coletores e de escovas. A vantagem é que o conversor não necessita processar a potência nominal do gerador.
  • 68.
    Gerador assíncrono duplamente alimentadosem escovas (GATDASE) • Nesta configuração a máquina possui dois enrolamentos no estator, um principal, de potência, e um auxiliar. O enrolamento auxiliar, ou de controle, é ligado à rede através de um conversor que permite controlar o torque, a velocidade e o fator de potência da máquina.
  • 69.
    Curva Torque xvelocidade
  • 70.
    Curva Torque xvelocidade Motor Gerador