TD 04 - Química I – GABARITO
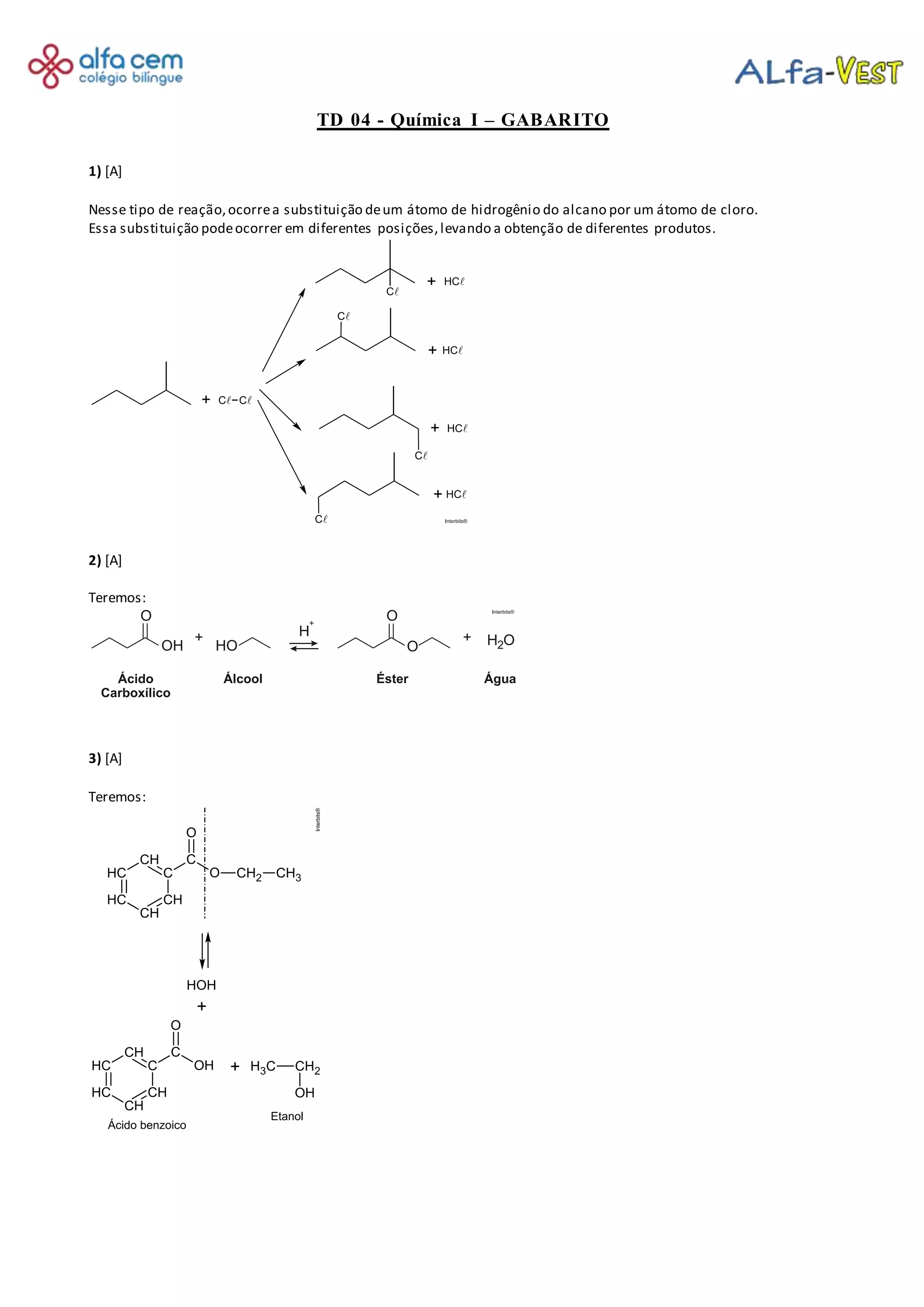
1) [A]
Nesse tipo de reação,ocorrea substituição deum átomo de hidrogênio do alcano por um átomo de cloro.
Essa substituição podeocorrer em diferentes posições,levando a obtenção de diferentes produtos.
2) [A]
Teremos:
3) [A]
Teremos:
4) [C]
Teremos:
Éster mais abundante: 8 16 2C H O (40%).
A reação de hidrólisefornece o ácido eo etanol:
8 16 2 2 2 6 6 12 2
6 12 2
C H O H O C H O C H O
C H O : ácido hexanoico
  
5) [B]
Teremos as seguintes hidrólisesácidas:
     
     
       
    
3 7 2 5 2 3 7 2 5
4 9 2 4 9
3 2 6 5 2 3 6 5 2
3 4 9 2 3
C H COO C H H O C H COOH C H OH
(ácido butanóico ou butírico)
H COO C H H O H COOH C H OH
(ácido metanóico ou fórmico)
CH COO CH C H H O CH COOH C H CH OH
(ácido etanóico ou acético)
CH COO C H H O CH CO  4 9OH C H OH
(ácido etanóico ou acético)
6) [B]

Td 4 química i

  • 1.
    TD 04 -Química I – GABARITO 1) [A] Nesse tipo de reação,ocorrea substituição deum átomo de hidrogênio do alcano por um átomo de cloro. Essa substituição podeocorrer em diferentes posições,levando a obtenção de diferentes produtos. 2) [A] Teremos: 3) [A] Teremos:
  • 2.
    4) [C] Teremos: Éster maisabundante: 8 16 2C H O (40%). A reação de hidrólisefornece o ácido eo etanol: 8 16 2 2 2 6 6 12 2 6 12 2 C H O H O C H O C H O C H O : ácido hexanoico    5) [B] Teremos as seguintes hidrólisesácidas:                          3 7 2 5 2 3 7 2 5 4 9 2 4 9 3 2 6 5 2 3 6 5 2 3 4 9 2 3 C H COO C H H O C H COOH C H OH (ácido butanóico ou butírico) H COO C H H O H COOH C H OH (ácido metanóico ou fórmico) CH COO CH C H H O CH COOH C H CH OH (ácido etanóico ou acético) CH COO C H H O CH CO  4 9OH C H OH (ácido etanóico ou acético) 6) [B]