RELATÓRIO FINAL – MONITORAMENTO DA PESCA, ESTUDO DOS ASPECTOS
REPRODUTIVOS E BIOMASSA DO ROBALO-FLECHA Centropomus undecimalis
(Bloch 1972) NA ILHA DAS CANÁRIAS
PROGRAMA PESCA PARA SEMPRE BRASIL_RESEX DELTA DO PARNAÍBA
UNIVERSIDADE FEDERAL DO PIAUÍ- UFPI
Dr. Cezar A. F. Fernandes
[Lab. de Bioecologia Pesqueira]
Dra. Francisca Edna de A. Cunha
[Lab. de Ictiologia]
10/07/2017
APRESENTAÇÃO
A proposta do presente projeto teve iniciativa através da
parceria entre a UFPI, Comissão Ilha Ativa, ICMBio e Rare através
do Programa Pesca para Sempre, desenvolvido no âmbito desta última
instituição, que visa contribuir na gestão da RESEX Marinha do
Delta do Parnaíba. Sabendo-se da importância dos recursos
pesqueiros capturados por estas comunidades tradicionais de pesca
que vivem nesta localidade, especialmente a pesca do robalo-flecha
(Centropomus undecimalis) com rede de emalhe na Ilha das Canárias,
teve-se com objetivo principal garantir a sustentabilidade da pesca
e preservação das populações naturais. Desta maneira, assegurando
subsequentemente a longevidade das pescarias e a obtenção de fonte
de alimento e renda.
Para atender os principais objetivos do programa, algumas
metas centrais foram estabelecidas, entre elas se incluem: (1) O
acesso exclusivo concedido às comunidades pesqueiras tradicionais;
(2) Áreas sem pesca onde a pesca é proibida; (3) Sistema de
fiscalização local através da ferramenta de comunidade vigilante;
(4) Monitoramento e avaliação através dos estudos de gerenciamento
da pesca e perfil biológico das populações naturais; (5) Apoio
comunitário; (6) Gestão da pesca; (7) Acesso aos mercados e (8)
Políticas pesqueiras.
Sendo assim, para contemplar um dos objetivos do programa
estabelecido, foram acomphandos um maior volume possível dos
desembarques (1.482 entrevistas) através de um programa de
monitoramento diário e de fluxo contínuo (durante 14 meses), que
permitiu avaliar o efeito da sazonalidade destas pescarias.
Incluindo-se também a coleta de amostras biológicas, tais como as
gônadas para se conhecer os aspectos reprodutivos da espécie alvo
da pesca.
Os dados de monitoramento pesqueiro e parâmetros biológicos
obtidos, tais como sazonalidade da pesca, esforço de pesca,
produtividade, período reprodutivo, estruturas de comprimento e
sexo, além do comprimento de primeira maturidade sexual, incluindo
a biomassa (recrutamento nas lagoas e igarapés) são informações
cruciais para adoção de um plano de manejo da pesca na RESEX Delta
do Parnaíba.
1. Área de estudo e perfil da pesca local
O Delta do rio Parnaíba é o único delta nas Américas e um dos
únicos que desemboca em mar aberto no mundo. Está localizado em uma
Área de Proteção Ambiental (APA) do Delta do Parnaíba, que
compreende todo o litoral do Piauí e porções dos litorais do Ceará
e do Maranhão onde são formadas aproximadamente 90 ilhas
continentais, sendo um sistema geologicamente jovem (Guzzi, 2012).
Dentro da APA, foi criada a Reserva Extrativista Marinha do
Delta do Parnaíba (RESEX) com aproximadamente 27.000 hectares, que
abrange o Piauí e o Maranhão. Essa é uma região que vem ganhando
crescente atenção do ponto de vista turístico e reconhecida
localmente por sua tradição pesqueira. Dentre as ilhas formadas no
Delta, destaca-se a Ilha das Canárias, localizada na porção
Maranhense do Delta, sofre influência da água doce e marinha. Essa
pequena ilha abriga áreas de nascentes que formam pequenos igarapés
envoltos por vegetação típica de mangue e deságuam no rio Parnaíba
(Guzzi, 2012).
A pesca do robalo-flecha com rede de emalhe vem sendo
praticada por décadas, sendo passada de geração para geração, e
também é a principal fonte de alimento e renda de aproximadamente
2.500 famílias em torno da RESEX. São utilizadas embarcações de
pequeno porte (tripuladas por dois ou mais pescadores), redes de
emalhe confeccionadas com náilon de monofilamento, podendo ser
utilizada de modo fixo ou de deriva ao sabor das correntes, e que
permitem uma captura diária média em torno de 6 kg por embarcação-
dia (Farias et al., 2015).
2. O robalo-flecha Centropomus undecimalis
No Brasil são registradas quatro espécies de robalo:
Centropomus undecimalis, Centropomus parallelus, Centropomus
ensiferus, Centropomus pectinatus, embora na região as duas
primeiras espécies dominam a produção pesqueira (Rodrigues, 2005).
A região do delta tem como suas principais espécies capturadas, os
robalos da família Centropomidae (robalo flecha – Centropomus
undecimalis e robalo peva - C. parallelus), a pescada amarela
(Cynoscion acoupa) e o caranguejo Uçá (Ucides cordatus) (Guzzi,
2012).
Os robalos são peixes marinhos e costeiros que utilizam os
rios e estuários durante todas as fases do seu ciclo de vida para
alimentação, crescimento e reprodução (Bittencourt, 2009). Segundo
Farias (2012) destaca-se como um importante recurso pesqueiro na
região nordeste, gerando renda para as comunidades extrativistas. O
robalo-flecha pode alcançar 1,2 m de comprimento total e 25 kg,
apresenta coloração acinzentada no dorso, com reflexos esverdeados,
e ventre esbranquiçado; linha lateral formada por uma listra
longitudinal negra que se estende ao longo do corpo até o final da
nadadeira caudal. E tem uma maior importância econômica que o
robalo-peva Centropomus parallelus, devido ao seu tamanho e rápido
crescimento (Machado, 2011).
De acordo com Menezes et al. (2012) são peixes migratórios,
que procuram principalmente os estuários em época de reprodução,
são carnívoros se alimentando de peixes e crustáceos. Segundo Souza
(2011) uma das características sexuais mais notáveis entre robalos
é o fato de consistirem em espécies hermafroditas protândricas, que
maturam primeiramente como machos e posteriormente, mudam de sexo e
permanecem, em sua maioria, como fêmeas pelo resto de suas vidas.
Ainda de acordo com Souza (2011) todas as fêmeas de Centropomus
undecimalis tornam-se sexualmente maduras com três anos de idade.
Barroso (2007) reportou que a reprodução dos robalos é externa,
suas larvas eclodem em 36 horas e em três dias já consumiram toda a
reserva vitelínica, iniciando-se a alimentação exógena. Segundo
Soligo (2007) apresentam comportamento pouco ativo e tem hábito de
formar cardumes.
Nogueira (2009) destaca sua importância como recurso alimentar
e para pesca recreativa, considerando que informações atuais sobre
a reprodução da espécie são necessárias, tais como estudos do
desenvolvimento gonadal, período de reprodução, comprimentos de
maturação gonadal e fecundidade.
O Brasil e o México são os maiores produtores de robalo,
representando mais de 70% das capturas mundiais (Souza 2011). No
Brasil, esta produção provém essencialmente da pesca artesanal, e
os números se mantiveram relativamente estáveis ao longo de várias
décadas, atingindo cerca de 3.000 t (Cerqueira, 2002). A
estratégia reprodutiva desta espécie, associada ao aumento pressão
de pesca, além da redução de habitat por degradação ambiental e
poluição são potenciais riscos a conservação e manutenção das
populações naturais.
3. Estudo da reprodução em peixes
Os ambientes estuarinos, como o complexo do estuário do Delta
do Rio Parnaíba, são habitats essenciais para desempenho das
funções da grande maioria dos peixes. Conhecidos por berçários
naturais, devido à alta variedade das condições ambientais,
principalmente salinidade e temperatura, que permitem a um grande
número de espécies aproveitarem conjuntamente diferentes áreas
dentro destes micros habitats e otimizar suas estratégias de
alimentação e reprodução (Odum, 1988).
O ciclo de vida das espécies de peixes, de uma maneira geral,
se restringe basicamente na alternância entre alimentação e
reprodução, sendo estes comportamentos desencadeadores de
movimentos migratórios sazonais e circadianos durante sua história
de vida (Wallace & Selman, 1981). Os peixes se alimentam e usam
energia para crescimento somático em um determinado período de
vida, quando atingem a maturidade sexual, investem toda energia em
desenvolvimento e amadurecimento das gônadas (Murua et al., 2003).
As atividades de pesca, mesmo em caráter artesanal, podem por
sua vez desequilibrar a biomassa de populações de muitas espécies
de peixes, levando-se principalmente em consideração o
comportamento dos peixes. Algumas espécies exibem, por exemplo, um
comportamento sazonal de migração para áreas de reprodução, e
também fidelidade a estes locais, sendo presa fácil para as artes
de pesca. Este tipo de estratégia reprodutiva, por muitas vezes
limita a condição de dispersão da população. Sendo assim, o emprego
de artes de pesca, em que os petrechos ficam imersos dia e noite,
caso da rede de emalhe e covo são potencialmente danosos ao
equilíbrio populacional da biomassa dos peixes. É muito comum ouvir
dos pescadores artesanais, a redução na produção e nos comprimentos
das principais espécies de peixes capturadas (Anderson et al.,
2008, Begossi et al., 2011).
O efeito em médio e longo prazo da incidência de algumas
pescarias, e mesmo quando de caráter artesanal, tem mostrado
reduções significativas nas populações naturais (Cullis-Suzuki et
al. 2012). Vários novos conceitos têm sido formulados em relação ao
efeito da pesca no comportamento dos peixes (Allee effect,
Fisheries-induced evolution, Reaction norms), indicados através da
redução do tamanho de primeira maturidade sexual, redução do
tamanho assintótico, dispersão, omissão de desovas, etc.) (Lowerre-
Barbieri et al., 2011). As altas longevidades, taxas de crescimento
lento, mortalidade natural baixa, as agregações reprodutivas,
fidelidade à área de reprodução são algumas das condições que
implicam a muitas espécies de peixes que ocupam zonas estuarinas a
uma situação de maior vulnerabilidade (Newman et al., 2000; Fredóu
et al., 2009).
Influências de variações climáticas e de propriedades físico-
químicas, alteram padrões cíclicos de temperatura da água e também
algumas outras variáveis abióticas (salinidade, pH, condutividade
elétrica, foto período, etc.)(Ganias, 2009). Isto implica também em
um curto período de tempo favorável no ajuste das estratégias dos
peixes entre o ciclo reprodutivo e alimentar (Brown-Peterson et
al., 2011).
Conhecer aspectos da ecologia reprodutiva dos peixes, e de
suas estratégias durante o ciclo reprodutivo, é crucial para gestão
e manejo de populações (Brown-Peterson et al., 2011). O tamanho
estimado de primeira maturidade sexual (L50) permite por sua vez,
limitar a atuação de alguns aparelhos de pesca, livrando-se nesse
sentido, os indivíduos que não atingiram a maturidade sexual e que
ainda irão se reproduzir (Lowerre-Barbieri et al., 2011). Sabendo-
se o período da estação reprodutiva permite proibir o esforço de
pesca durante os meses de maior atividade, garantindo dessa forma,
reposição de biomassa (Brown-Peterson et al., 2011). A estimativa
da fecundidade, também permite projeções de biomassa do estoque
desovante, e a obtenção do potencial reprodutivo das populações
naturais (Hunter & Macevicz et al., 1985).
As análises obtidas através de procedimentos de histologia
garantem maior acurácia e precisão para os modelos de manejo de
populações que se baseiam no percentual relativo da população que
contribui com biomassa de ovos. Erros de interpretações e
classificações de fases de maturidade sexual, podem também causar
danos irreparáveis aos modelos de manejo populacional,
principalmente no sentido de misturar indivíduos que já
participaram de um evento reprodutivo com indivíduos jovens que não
atingiram sequer a maturidade sexual. Levando-se subsequentemente a
estimativas enviesadas (sobre-estimadas) para tamanhos mínimos de
capturas usados em medidas de manejo empregados para algumas artes
de pesca (Lowerre-Barbieri et al., 2011; Fernandes et al., 2012).
Nesse contexto, sabendo-se os aspectos reprodutivos das
espécies de peixes, e seus respectivos indicadores, são ferramentas
substanciais para gestão e manejo sustentável dos recursos
pesqueiros, garantindo por sua vez, o equilíbrio do ecossistema
como um todo e a preservação dos estoques, e consequentemente a
longevidade de atividades tradicionais de pesca praticadas por
comunidades pesqueiras.
4. Justificativa
Os poucos estudos realizados na RESEX Marinha do Delta do
Parnaíba estão relacionados à taxonomia das espécies dos ambientes
estuarinos e de água doce daquela região (especialmente lagoas). O
desenvolvimento deste trabalho permitiu obter dados acerca da
sazonalidade da pesca, incluindo os métodos de capturas e materiais
utilizados, dimensionamento dos aparelhos de pesca, volume de
produção além de todo fluxograma da cadeia produtiva. Os aspectos
biológicos associados ao comportamento reprodutivo, entre eles
principalmente o período de reprodução e o comprimento de primeira
maturidade sexual, identificação de áreas de berçário e
recrutamento irão sem sombra de dúvidas auxiliar na adoção de um
plano de manejo da pesca local.
5. Objetivo geral
Acompanhar os desembarques da pesca do robalo através de um
programa de monitoramento diário da pesca e obter amostras
biológicas para avaliar os aspectos reprodutivos e recrutamento
(biomassa).
5.1. Objetivos específicos
 Obter dados da produção pesqueira local.
 Caracterizar a frota pesqueira local
 Obter o volume de produção da espécie alvo e fauna
acompanhante e sua variação sazonal.
 Obter o esforço de pesca.
 Avaliar o potencial de pesca (produtividade em Captura
por Unidade de Esforço- CPUE).
 Caracterizar os aparelhos de pesca utilizados e a
composição dos seus materiais
 Caracterizar a técnica de pesca empregada
 Obter a distribuição espaço-temporal das pescarias
 Avaliar a estrutura populacional espécie alvo
 Conhecer o período reprodutivo
 Estimar o comprimento de primeira maturidade sexual
 Avaliar o potencial reprodutivo
 Conhecer o padrão de comportamento e estratégias
reprodutivas
 Estimar a biomassa (Nº de indivíduos e peso) e estrutura
de comprimento da população de robalos (C. undecimalis)
que ocorrerem na área aberta e fechada à pesca na RESEX
Marinha do Delta do Parnaíba
 Analisar a composição, diversidade e similaridade da
estrutura das comunidades peixes entre a área fechada e
aberta à pesca na RESEX Marinha do Delta do Parnaíba
 Estimar a biomassa (Nº de indivíduos e peso) e estrutura
de comprimento da população de robalos (C. undecimalis)
que ocorrerem na RESEX Marinha do Delta do Parnaíba;
 Analisar a composição, diversidade e similaridade da
estrutura das comunidades peixes;
 Caracterização dos hábitats presentes nas duas áreas
através dos parâmetros físico-químicos da água, regime
pluviométrico e tipo de substrato e vegetação
predominante na área;
 Identificar as relações entre estrutura populacional do
robalo-flecha e características espaciais do habitat
(físico-químicos da água, substrato e vegetação, etc.);
 Determinar como o regime pluviométrico influencia
sazonalmente a estrutura populacional do robalo-flecha na
RESEX Marinha do Delta do Parnaíba.
6. Metodologia
O estudo foi realizado entre o período de fevereiro 2016 e
abril 2017 na comunidade Ilha das Canárias, situada próxima à
desembocadura do estuário do rio das Canárias, um dos braços do rio
Parnaíba no Delta do Parnaíba (02°45’55”S e 041°50’41’’W), na
divisa dos estados do Piauí e Maranhão. Estando localizada numa
área de proteção ambiental do delta do Parnaíba (APA).
6.1. Coleta de dados de pesca
Para obtenção dos dados de monitoramento do desembarque
pesqueiro, foram realizadas coletas de dados diários através da
aplicação de planilhas de desembarques (diários de bordo) nos
principais pontos de auxílio ao escoamento da produção. Entre o
período de fevereiro de 2016 e março de 2017 sendo obtidas
informações sobre toda atividade de pesca: (I) dados da produção em
número de indivíduos capturados por espécie (n) e peso (kg); (II)
arte de pesca utilizada (rede de emalhe) e sua configuração e
materiais utilizados (comprimento, largura e altura da rede,
tamanho de abertura das malhas entre nós opostos e diâmetro do
nylon, além do tipo de material); (III) O modo de operação do
aparelho de pesca (deriva ou fixo, superfície ou fundo, número de
lances, tempo de imersão, horário de captura ou despesca, fase
lunar, e outras informações acerca da técnica de pesca empregada);
(IV) Local de pesca; (V) Número de embarcações e número de
tripulantes; (VI) Porto de Desembarque e (VII) Destino da produção
(REVIZEE, 2004).
6.2. Amostras biológicas para estudo da reprodução
As amostras de gônadas (testículos e ovários) dos peixes foram
obtidas através dos desembarques pesqueiros (compra dos peixes
inteiros diretamente aos pescadores) entre o período de abril 2016
e março 2017, conservadas em gelo e armazenadas no Laboratório de
Bioecologia Pesqueira (Biopesca) da Universidade Federal do Piauí
(Campus Parnaíba). Uma média mensal de 30 indivíduos foi obtida de
forma aleatória aos comprimentos e sexos, pesqueiros, fase lunares,
e durante um período contínuo de 12 meses. Paralelamente, também
forma obtidas amostras de indivíduos provenientes de lagoas e
gamboas cujos são comumente capturados por outros aparelhos de
pesca de forma não comercial (subsistência ou isca), levando em
consideração toda estrutura populacional em comprimento e peso, e
sua ontogenia.
Em laboratório foram aferidos os comprimentos: total (CT),
padrão (CP) e peso total (PT). Em seguida os indivíduos foram
seccionados na região ventral para retirada dos ovários e
testículos, e posteriormente medidos e pesados, aferindo-se os
comprimentos e largura das gônadas direita e esquerda. Ao final
desta etapa, os indivíduos tiveram seus pesos eviscerados (PE)
aferidos. Neste procedimento foram também avaliados os sexos e as
fases de desenvolvimento gonadal macroscopicamente, seguindo
metodologia de (Hunter, 1985) e Murua et al. (2003), sendo as
gônadas posteriormente fixadas em formol a 10 % e mantidas em potes
plásticos.
Para obtenção das análises através de cortes histológicos das
gônadas, a amostras foram processadas em procedimento padrão,
bateria de desidratação em álcool, diafanização em xilol,
impregnação em parafina, corte em micrótomo rotativo (5 µm) e
coloração em Hematoxilina-Eosina. As fases de maturidade sexual
foram classificadas para machos e fêmeas de acordo com a chave
proposta por Brown-Peterson et al. (2011): (I) imaturo, (II) em
desenvolvimento, (III) capaz de desovar, (IV) ativamente desovando,
(V) em regressão e (VI) em regeneração. E os estágios de
desenvolvimento ovocitário como seguem: (a) pré-vitelogênico, (b)
cortical alveoli, (c) vitelogênese primária, (d) vitelogênese
secundária, (e) vitelogênese terciária, (f) ovócito hidratado, (g)
folículo pós-ovulatório e (h) folículo atrésico.
6.3. Análise dos dados da pesca
Os dados de produção pesqueira foram analisados com relação a
sua distribuição espacial (locais de pesca) e temporal
(sazonalidade), incluindo a variação associada à configuração da
arte pesca (comprimento de abertura das malhas, diâmetro do nylon,
material e aparelho de pesca), rede de fixa ou deriva, horário de
captura (dia e noite), fase lunar e regime de chuvas (precipitação
em mm).
O esforço de pesca foi obtido pelo número de pescadores,
número de embarcações, número de viagens. A Captura por Unidade de
Esforço (CPUE) foi estimada pelo volume em peso (kg) dividido por
número de dias, ou hora para cada arte de pesca, e comprimento da
rede (padronizada para cada 100m2
de rede).
6.4. Análise dos dados biológicos da reprodução
Para análise das amostras biológicas, foram avaliados os
comprimento e pesos dos indivíduos, sexo, fase de maturidade sexual
e sua variação sazonal. A proporção sexual foi testada através do
teste de Chi-quadrado (P < 0,05).
Para determinação do Índice Gonadossomático (IGS) foi usada à
equação: IGS=PG/PE*100 propostas e modificada de Shaeffer e Orange
(1956) e adaptada por Maddock e Burton (1998), onde PG=peso da
gônada em gramas (g) e PE=peso eviscerado em gramas (g).
O comprimento de primeira maturação sexual (L50) foi estimado
por meio de uma curva logística à frequência relativa de indivíduos
em cada classe de comprimento (CP), de acordo com a fórmula Mf=
1/[1+exp (a+b*100*CP) ], onde MF é a fração dos indivíduos que se
encontram aptos a se reproduzirem (Beverton & Holt, 1956;
Shinozaki-Mendes et al., 2007). O ajuste dos pontos será realizado
através do método de máxima verossimilhança (maximun likelihood).
Para classificar o tipo de desenvolvimento ovocitário e o
padrão de regulação de fecundidade foram obtidas as frequências de
diâmetros dos ovócitos para cada estágio de desenvolvimento dos
ovócitos e para cada fase de maturidade sexual (Kjesbu et al.,
2003).
Para fecundidade foi adotada a metodologia adaptada de Hunter
(1985), Murua et al. (2003), Kjesbu et al. (2003) e Evans et al.
(2007), fecundidade por lote “Batch fecundity” através do método
gravimétrico, onde se retira 3 amostras de 0,01 g para cada fêmea
ativamente desovando, se conta os ovócitos hidratados e se usa a
seguinte fórmula abaixo:
F= ∑
Onde:
F= produto do peso da gônada e densidade dos ovócitos
Oi= número de ovócitos de cada porção
Wi= peso de cada porção do ovário
n= número de repetições de cada porção
Wovário= peso de cada ovário
6.5. Aplicação da análise estatística para dados da pesca e de
reprodução
A análise estatística se procedeu da seguinte forma, tanto
para os dados de pesca quanto para as amostras biológicas. Os dados
foram testados para verificar a homocedasticidade e normalidade
(Shapiro-Wilk, P < 0,05). Quando os dados apresentaram distribuição
simétrica e homocedasticidade foram usados os testes paramétricos,
Teste t de Student (P < 0,05) e ANOVA (P < 0,05). Uma vez que os
dados não apresentaram distribuição simétrica e
heterocedasticidade, em seguida, foram aplicados os testes não
paramétricos de Mann-Whitney (P < 0,05) e Kruskall-Wallis (P <
0,05) (Zar 2009).
6.6. Caracterização espacial e sazonal dos habitats para estudo de
biomassa
Os pontos de amostragens foram amostrados mensalmente ao longo
do período, entre o período abril de 2016 e abril de 2017,
totalizando 15 amostras. As amostragens foram diurnas durante as
marés de quadratura em função das correntezas na área que dificulta
as operações de pesca com redes de arrasto (picaré) e redes de
emalhar no interior do Delta.
Para caracterização do hábitat foram coletadas amostras de
substrato e vegetação para identificar sua composição. Além disso,
os registros fotográficos também auxiliaram nesta descrição. As
variáveis físico-químicas (temperatura, pH, salinidade e
condutividade elétrica, Oxigênio dissolvido) da água foram medidos
in situ usando uma multisonda da marca HANNA, modelo HI 9828 v 2.1.
Os dados sobre a Pluviosidade Média foram obtidos na Estação
Meteorológica da Embrapa Meio Norte, localizada na BR 343, km 35,
Zona Rural, Parnaíba-PI.
6.6.1. Coleta dos peixes para estudo de biomassa
Para coleta dos peixes adotou-se o uso de um picaré com funil
medindo 25 m de comprimento e 2 m de altura e tamanho de malha com
2 cm entre nós. As expedições foram realizadas com embarcação da
Universidade Federal do Piauí ou alugada, no qual durou em torno de
6 a 8 horas. Em cada estação de amostra realizou-se, em média 3
arrastos. Durante a execução do arrasto 3 pessoas conduziam a rede,
sendo 2 posicionadas na extremidade da rede e 1 na porção do funil
para soltar a rede no caso de ficar presa no fundo e também
contabilizar a área arrastada. Na embarcação, uma quarta pessoa
ficava responsável pelo Georeferenciamento das estações de amostra
com GPS, anotações em etiquetas para identificar as amostras, bem
como o armazenamento em caixas térmicas.
Os exemplares coletados foram levados para o Laboratório de
Ictiologia da Universidade Federal do Piauí (LABIC), em Parnaíba.
Primeiramente, realizamos taxonomia para identificação dos
espécimes em menor nível taxonômico possível, seguido de biometria
para obtenção de medidas zoológicas como peso, comprimento total e
padrão.
6.7. Análise de dados de biomassa
6.7. 1. Biomassa e estrutura populacional
A análise estatística para os dados coletados acerca da
biomassa e abundância, bem como, das variáveis ambientais foram
testados inicialmente para se verificar se atenderão a premissa de
Normalidade e Homocedasticidade (Levene test, P < 0,05). Nos casos
positivos, os dados foram submetidos ao teste paramétricos de
Análise de Variância (P < 0,05) unifatorial e bifatorial entre
áreas (aberta e fechada à pesca) e estações seca e chuvosa com
auxílio do programa STATISTICA.
7. Resultados
7.1. Monitoramento da Pesca
Entre o período de 25 de fevereiro de 2016 e 25 de março de
2017, foram realizadas 1.482 entrevistas com pescadores através da
aplicação direta de questionários semiestruturados durante o momento
do desembarque pesqueiro, incluindo as mensurações dos comprimentos
e pesos dos peixes.
Desta maneira foi possível se obter informações sobre a
produção diária por embarcação e recurso pesqueiro (especialmente o
robalo flecha), esforço de pesca (tripulação, número de embarcações,
número de lances), técnica de pesca empregada (rede de emalhe fixa
ou deriva) além da especificação do material utilizado (tipo de
náilon, medidas, e etc.), área de pesca, sazonalidade, além de
outras informações necessárias ao entendimento da dinâmica das
pescarias locais.
As embarcações de pesca são na grande maioria de pequeno porte
e caráter artesanal (< 10 TBA), com capacidade de apenas 3
tripulantes durante operação de pesca, autonomia de pescarias de ida
e volta, propulsão principal a vela e motor de baixa potência (~ 12
HP). Durante o período de acompanhamento foram registradas 45
embarcações com frequência de pesca em trono de 3-5 dias por semana.
Foram produzidos entre fevereiro de 2016 a março de 2017, 7.263
kg do robalo flecha (C. undecimalis) pela comunidade pesqueira da
Ilha das Canárias, Delta do Rio Parnaíba, com uma produção média por
viagem de pesca de 4,9 kg (1.482 viagens de pesca-ano) (Fig. 1A). No
período chuvoso (1º semestre) foram capturados 4.673 kg (778 kg-mês
ou 24,92 kg-dia) de robalo flecha (Fig. 1B). Enquanto no período
seco (2º semestre) foi produzido 2.590 kg (431 kg-mês ou 13,81 kg-
dia) (Fig. 2).
Fig.1. (A) Produção mensal (eixo Y1) e número de viagens da
pesca (eixo Y2) do Robalo flecha C. undecimalis no Delta do
Parnaíba entre o período de fevereiro 2016 e março 2017. (B)
Produção mensal (eixo Y1) e Variação mensal do índice
pluviométrico (eixo Y2) no Delta do Parnaíba (INMEP EMBRAPA
Meio-Norte).
Em relação ao esforço de pesca, no período chuvoso foram
registradas 883 viagens de pesca (média de 4,7 embarcações-dia) com
uma produção média de 5,2 kg ±7,1 DP por viagem, enquanto no período
0
20
40
60
80
100
120
140
160
180
200
0
200
400
600
800
1000
1200
N.deviagensdepesca(n)
Produção(kg)
Robalo flecha (C. undecimalis)
Produção Esforço
0
50
100
150
200
250
300
350
0
200
400
600
800
1000
1200
Índicepluviométrico(mm)
Produção(kg)
Robalo flecha (C. undecimalis)
Produção Índice Pluviométrico
seco foram 599 viagens de pesca (3,19 embarcações-dia) com 4,3 kg
±7,1 DP por viagem de pesca (Fig. 3). Quando avaliada a produção
sazonal por embarcação-dia, no período chuvoso se obteve média de
5,3 kg por embarcação-dia, enquanto no período seco se observa uma
média de 4,3 kg por embarcação-dia. Portanto o período chuvoso foi
mais produtivo para pesca do robalo no Delta apresentando também
diferença estatística significativa (Mann-Whitney; P < 0,05; P=
0,0010).
Fig.2. Produção média por viagem de pesca do Robalo flecha C.
undecimalis no Delta do Parnaíba entre o período de fevereiro
2016 e março 2017.
Robalo flecha (C. undecimalis)
Delta do Parnaíba
(n= 1.482)
Median
25%-75%
Non-Outlier Range
Outliers
ExtremesFev/16
Abr/16
Jun/16
Ago/16
Out/16
Dez/16
Fev/17
0
10
20
30
40
50
60
70
Produção(kg-viagemdepesca)
Fig.3. Produção média por viagem de pesca do Robalo flecha C.
undecimalis no Delta do Parnaíba entre o período chuvoso e
seco.
Em relação a atividade de pesca no Delta, quando avaliado
o valor do robalo flecha (~15 reais/kg) e a produção anual com
7.263 kg, foi obtido um valor total de 108.945,0 reais pelo
valor direto de venda da produção.
Foram identificados 8 portos de desembarques na Ilha das
Canárias, com produção variando de 155,3 kg/ano (Porto do
Carioca) e 4.162,7 kg/ano (Porto dos Santos). Em relação ao
número de viagens de pesca para cada porto, as viagens variaram
entre 16 (Porto do Trapiche) e 903 (Porto dos Santos) (Fig. 4).
No entanto a produção média do Porto do Trapiche foi a maior
com 13,9 kg-viagem de pesca devido o menor esforço empregado
para captura (Fig. 5).
Robalo flecha (C. undecimalis)
Delta do Parnaíba
(n= 1.482)
Median
25%-75%
Non-Outlier Range
Outliers
Extremes
Chuvoso Seco
0
10
20
30
40
50
60
70
Produção(kg-viagemdepesca)
Fig.4. Produção por Porto de desembarque (eixo Y1) e número de
viagens (eixo Y2) da pesca do Robalo flecha C. undecimalis no
Delta do Parnaíba entre fevereiro 2016 e março 2017.
Fig.5. Produção média por número de viagens para o Porto de
desembarque da pesca do Robalo flecha C. undecimalis no Delta
do Parnaíba entre fevereiro 2016 e março 2017.
0
100
200
300
400
500
600
700
800
900
1000
0
500
1.000
1.500
2.000
2.500
3.000
3.500
4.000
4.500
Porto da
Vovó
Porto do
Assis
Porto do
Carioca
Porto do
Gledson
Porto do
Raimundão
Porto do
Trapiche
Porto dos
Santos
Nºdeviagensdepesca(n)
Produção(kg)
Porto de desembarque
Produção Esforço
Robalo flecha (C. undecimalis)
Delta do Parnaíba
(n= 1.482)
Median
25%-75%
Non-Outlier Range
Outliers
Extremes
PortodaVovó
PortodoAssis
PortodoCarioca
PortodoGledson
PortodoRaimundão
PortodoTrapiche
PortodosSantos
Var8
Var9
0
10
20
30
40
50
60
70
Produção(kg-viagemdepesca)
Entre os locais de pesca (pesqueiros) foram identificados
7 pesqueiros, com produção variando entre 15,4 kg-ano (Pontal)
e 2.794 kg-ano (Canal) (Fig.6). Em relação ao esforço (número
de viagens de pesca), variou entre 1 viagem (Canto da Barraca)
e 761 viagens (Canal). O pesqueiro Canto do Navio apresentou a
maior produção média por viagem com 16,9 kg, devido ao menor
esforço em número de viagens com apenas 34 (Fig. 7).
Fig.6. Produção por Porto de local de pesca (eixo Y1) e número
de viagens (eixo Y2) da pesca do Robalo flecha C. undecimalis
no Delta do Parnaíba entre fevereiro 2016 e março 2017.
0
100
200
300
400
500
600
700
800
0
500
1.000
1.500
2.000
2.500
3.000
Nºdeviagensdepesca(n)
Produção(kg)
Local de pesca
Produção Esforço
Fig.7. Produção média por número de viagens para o Local de
pesca do Robalo flecha C. undecimalis no Delta do Parnaíba
entre fevereiro 2016 e março 2017.
Foram observadas duas principais artes de pesca
utilizadas, rede de emalhe de deriva (4.763 kg-ano) e rede de
emalhe fixa (2.500 kg-ano). As pescarias com redes de deriva
realizaram 1.041 viagens de pesca, enquanto para rede de fixa
foram realizadas 441 viagens de pesca (Fig. 8). A produção
média da rede de deriva foi de 4,57±7,0 DP (kg-viagem de pesca)
e a rede fixa 5,6±7,4 DP (kg-viagem de pesca), sendo a rede
fixa mais produtiva (Mann-Whitney; P < 0,05; P= 0,007) (Fig.9).
Robalo flecha (C. undecimalis)
Delta do Parnaíba
(n= 1.842)
Median
25%-75%
Non-Outlier Range
Outliers
Extremes
BocadaBarra
Canal
Cantodabarraca
CantodoNavio
Lembrança
Pontal
PraiadoBernardo
PraiadoPontal
0
10
20
30
40
50
60
70
Produção(kg-viagemdepesca)
Fig.8. Produção por tipo de rede de pesca (eixo Y1) e número de
viagens (eixo Y2) da pesca do Robalo flecha C. undecimalis no
Delta do Parnaíba entre fevereiro 2016 e março 2017.
Fig.9. Produção média por tipo de rede de pesca do Robalo
flecha C. undecimalis no Delta do Parnaíba entre fevereiro 2016
e março 2017.
0
200
400
600
800
1000
1200
0
1000
2000
3000
4000
5000
6000
Rede Deriva Rede Fixa
Nºdeviagensdepesca(n)
Produção(kg)
Tipo de rede
Produção Esforço
Robalo flecha (C. undecimalis)
Delta do Parnaíba
(n= 1.482)
Median
25%-75%
Non-Outlier Range
Outliers
Extremes
Rede deriva Rede fixa
0
10
20
30
40
50
60
70
Produção(kg-viagemdepesca)
A relação da produção com rede de deriva mostrou que os
pesqueiros Canal (2.794 kg-ano) e Boca da Barra (1.253,2 kg-
ano) representam a maior parte do volume das capturas. O
pesqueiro Boca da Barra foi mais produtivo, com 6,4 kg-viagem
de pesca (n=193), enquanto o pesqueiro Canal teve um maior
número de viagens (n=761) e uma produção média de 3,6 kg-viagem
de pesca (Fig.10).
Fig.10. Produção por local de pesca (eixo Y1) e número de
viagens (eixo Y2) da pesca com rede de emalhe de deriva do
Robalo flecha C. undecimalis no Delta do Parnaíba entre
fevereiro 2016 e março 2017.
Para a pesca com rede fixa e sua produção por local de
pesca (pesqueiros) se observa uma disparidade do pesqueiro
Bernardo com 2.077 kg-ano. Entretanto o pesqueiro Boca da Barra
foi mais produtivo (9,8 kg-viagem de pesca), devido apresentar
menor número de viagens (n=25), enquanto foram necessárias 354
viagens de pesca para o Bernardo, que resultou numa produção
média de 5,8 kg-viagem de pesca (Fig.11).
0
100
200
300
400
500
600
700
800
0
500
1000
1500
2000
2500
3000
Boca da
Barra
Canal Canto da
Barraca
Canto do
Navio
Lembrança Pontal
Nºdeviagensdepesca(n)
Produção(kg)
Rede de deriva
Produção Esforço
Fig.11. Produção por local de pesca (eixo Y1) e número de
viagens (eixo Y2) da pesca com rede de emalhe fixa do Robalo
flecha C. undecimalis no Delta do Parnaíba entre fevereiro 2016
e março 2017.
Foram encontradas 21 espécies que fazem parte da composição
capturada pelas redes de emalhes de deriva e fixa empregadas no
Delta (malhas 9-16 cm entre nós opostos). Entre as principais
espécies capturadas o robalo flecha se destaca com uma produção
anual de 7.263 kg, seguido pela pescada amarela (Cynoscion acoupa)
com 928 kg-ano, o robalo peva (Centropomus paralelus) com 261 kg-
ano, enquanto os somatórios das espécies restantes equivalem a
apenas 680 kg-ano (18 espécies) (Fig. 12).
Foi registrada a captura também do Camurupim ou pema (Megalops
atlânticus) com 32,6 kg-ano. A Captura por Unidade de Esforço (CPUE)
também mostra maior prevalência do robalo flecha (72,6 kg-100m2
-rede-
ano), seguido pela pescada amarela (9,2 kg-100m2
-rede-ano) e o robalo
peva (2,6 kg-100m2
-rede-ano) (Fig. 12).
0
50
100
150
200
250
300
350
400
0
500
1000
1500
2000
2500
Boca da Barra Canto do Navio Bernardo Praia do Pontal
Nºdeviagensdepesca(n)
Produção(kg)
Rede fixa
Produção Esforço
Fig.12. Produção por espécie (eixo Y1) e Captura por Unidade de
Esforço (CPUE, kg-100m2
-rede-ano) (eixo Y2) da pesca do Robalo
flecha C. undecimalis no Delta do Parnaíba entre fevereiro 2016
e março 2017.
Os comprimentos dos robalos capturados variaram entre 25 e 112
cm CT (média 71±10,3DP) e peso total (PT) entre 180 g e 13,2 kg
(média 3,2±1,4DP) (Fig. 13-14).
Fig.13. Comprimento total (CT) do robalo flecha capturado no
Delta do Parnaíba.
0
10
20
30
40
50
60
70
80
0
1000
2000
3000
4000
5000
6000
7000
8000
CPUE(kg-100m2-rede-ano)
Produção(kg)
Produção CPUE
0
200
400
600
800
1000
1200
Numerodeindividuos(n)
Comprimento Total ( cm)
Centropomus undecimalis
(n= 2.268)
Fig.14. Relação comprimento-peso do robalo flecha capturado no
Delta do Parnaíba.
Em relação a variação temporal dos comprimentos dos robalos
flecha capturados no Delta ao longo dos meses do ano, se observa que
a média é próxima aos 70 cm para maioria dos peixes capturados (Fig.
15).
Fig.15. Comprimento médio do robalo flecha capturado no Delta
do Parnaíba entre fevereiro 2016 e março 2017.
0
5
10
15
20
0 20 40 60 80 100 120
Peso(kg)
Comprimento Total ( cm)
Centropomus undecimalis
(n= 2.268)
Robalo flecha (C. undecimalis)
Delta do Parnaíba
(n= 2.268)
Median
25%-75%
Non-Outlier Range
Outliers
ExtremesFev/16
Abr/16
Jun/16
Ago/16
Out/16
Dez/16
Fev/17
20
30
40
50
60
70
80
90
100
110
120
Comprimentototal(mm)
O peso médio dos robalos ao longo dos meses foi superior
aos 3 kg, com raros peixes ultrapassando os 10 kg (Fig. 16).
Fig.16. Peso médio do robalo flecha capturado no Delta do
Parnaíba entre fevereiro 2016 e março 2017.
Em relação aos comprimentos do robalo flecha para os
locais de pesca (pesqueiros), se observa que a média está acima
de 70 cm CT, porém o pesqueiro Lembrança apresentou média de 50
cm, e muitos peixes abaixo dessa faixa de comprimento (Fig.
17).
Robalo flecha (C. undecimalis)
Delta do Parnaíba
(n= 2.268)
Median
25%-75%
Non-Outlier Range
Outliers
ExtremesFev/16
Abr/16
Jun/16
Ago/16
Out/16
Dez/16
Fev/17
0
2
4
6
8
10
12
14
Pesototal(kg)
Fig.17. Comprimento médio do robalo flecha capturado no Delta
do Parnaíba entre fevereiro 2016 e março 2017.
Robalo flecha (C. undecimalis)
Delta do Parnaíba
(n= 2.268)
Median
25%-75%
Non-Outlier Range
Outliers
Extremes
BocadaBarra
Canal
CantodaBarraca
CantodoNavio
Lembrança
Pontal
Bernardo
20
30
40
50
60
70
80
90
100
110
120
Comprimentototal(cm)
7.2. Biologia reprodutiva
No período de abril de 2016 a março de 2017 foram coletados 467
espécimes do robalo-flecha Centropomus undecimalis na Ilha das
Canárias. Os comprimentos variaram entre 42 e 112 cm (CT), com as
fêmeas variando entre 58 e 110 cm (CT) e os machos entre 42 e 97 cm
(CT) (Fig. 18-19).
Fig.18. Frequência numérica (n) de indivíduos por classe de
comprimento e sexo do robalo flecha capturado no Delta do
Parnaíba entre fevereiro 2016 e março 2017.
Fig.19. Frequência relativa (%) de indivíduos por classe de
comprimento e sexo do robalo flecha capturado no Delta do
Parnaíba entre fevereiro 2016 e março 2017.
0
50
100
150
200
Nºdeindivíduos(n)
Comprimento Total (cm)
(n= 467)
Fêmeas Machos
0%
20%
40%
60%
80%
100%
Nºdeindivíduos(n)
Comprimento Total (cm)
(n= 467)
Fêmeas Machos
A relação peso-comprimento para fêmeas e machos apresentou em
ambos os casos, alometria negativa (b<3) de 2,97 para fêmeas e 2,59
para machos, determinando um aumento do comprimento em relação à
massa corpórea. Os pesos variaram entre 750 g a 10,31 kg, sendo
para as fêmeas entre 1,49 e 10,31 kg (PT) e os machos entre 750 g e
7,22 kg (PT) (Fig. 20 A-B).
Fig.20. (A) Relação Peso-Comprimento para as fêmeas do C.
undecimalis capturado na rede de emalhe na pesca no Delta do Rio
Parnaíba. (B) Relação Peso-Comprimento para os machos do C.
undecimalis capturado na rede de emalhe na pesca no Delta do Rio
Parnaíba.
y = 0,0095x2,9768
R² = 0,8036
0
2000
4000
6000
8000
10000
12000
0 20 40 60 80 100 120
PesoTotal(g)
Comprimento Total (cm)
Fêmeas
y = 0,0448x2,5976
R² = 0,8309
0
1000
2000
3000
4000
5000
6000
7000
8000
0 20 40 60 80 100 120
PesoTotal(g)
Comprimento Total (cm)
Machos
A proporção sexual encontrada no total de peixes coletados foi
de 1,6: 1 (machos:fêmeas), sendo significante estatisticamente
(Teste de Qui-quadrado, ϰ2
=3,92, GL=1, P < 0,05) (Tabela 1).
Ao longo dos meses apresentou proporção igual entre ambos os
sexos (1:1), exceto nos meses de agosto (ϰ2
=10,0) e novembro
(ϰ2
=19,6) em que os machos foram mais abundantes (Fig. 21).
Tabela 1. Proporção sexual de fêmeas e machos de C.
undecimalis capturados no Delta do Parnaíba por meses.
Mês Fêmeas Machos Média Quí. Quadrado
Abril/16 15 16 15,5 0,03
Maio/16 16 15 15,5 0,03
Junho/16 16 24 20 1,6
Julho/16 18 23 20,5 0,61
Agosto/16 10 30 20 10,00*
Setembro/16 15 25 20 2,5
Outubro/16 11 31 21 9,52*
Novembro/16 6 34 20 19,6*
Dezembro/16 21 21 21 0
Janeiro/17 20 20 20 0
Fevereiro/17 16 24 20 1,6
Março/17 16 24 20 1,6
Total 180 287 19,45833333 3,92*
*diferença estatística significativa (ϰ2
> 3,87)
A proporção sexual em relação à classe de comprimento
apresentou um maior número de machos em relação às fêmeas entre 42
e 71 cm, com 185 machos e 76 fêmeas. Sendo estatisticamente
significante nas classes 42-51 cm e 52-61 cm (Teste de Qui-
quadrado, ϰ2
= 29; ϰ2
= 42,3; GL=1; P < 0,05). A partir de 72 cm as
fêmeas são mais abundantes em relação aos machos, 252 fêmeas e 78
machos (Tabela 2).
Figura 21. Proporção sexual ao longo dos meses para o C.
undecimalis capturado na rede de emalhe na pesca no Delta do Rio
Parnaíba.
Tabela 2. Proporção sexual por classe de comprimento para
fêmeas e machos do robalo-flecha capturado na Ilha das
Canárias no Delta do Rio Parnaíba
Comprimento Total (cm)
Limite de
classe
Fêmeas
(n)
Machos
(n)
Média Quí. Quadrado
42 |-- 52 0 29 14,5 29*
52 |-- 62 9 65 37 42,37837838*
62 |-- 72 67 91 79 3,65
72 |-- 82 159 70 114,5 34,590*
82 |-- 92 79 5 42 65,19*
92 |-- 102 14 3 8,5 7,117647059*
102 |-- 112 10 0 5 10*
Total 338 263 300,5 27,42
*diferença estatística significativa (ϰ2
> 3,87)
0%
10%
20%
30%
40%
50%
60%
70%
80%
90%
100%
ProporçãoSexual
Fêmeas Machos
Em relação a maturidade sexual foram analisadas macro e
microscopicamente 467 gônadas para fêmeas (n=180) e machos (n=287)
respectivamente. Entre as fêmeas foram observados 3 espécimes na
fase imatura, 59 em desenvolvimento, 66 capazes de desovar, 17
ativamente desovando, 18 em regressão e 16 em regeneração. Entre os
machos, 66 estavam na fase imaturo, 129 em desenvolvimento, 31
capazes de desovar, 13 ativamente desovando, 33 em regressão e 0 em
regeneração.
As fêmeas imaturas foram caracterizadas pela presença apenas
de ovócitos pré-vitelogênicos ou em crescimento primário (CP), com
gônadas apresentando aspecto translúcido, finas e alongadas (< 13 g
em peso). Na fase desenvolvimento se observam ovócitos a partir do
estágio cortical alveolar, vitelogênese primária (Vtg1) e
secundária (Vtg2), gônadas com pouca ou nenhuma vascularização
visível e peso menor que 100 g. As fêmeas capazes de desovar
apresentam ovócitos em vitelogênese terciária (Vtg3) em maior
abundância nos cortes histológicos, gônadas com maior peso (entre
101 e 321 g), aspecto amarelo-alaranjado e bastante vascularização.
Ativamente desovando foi caracterizada principalmente pela presença
de ovócitos hidratados (OH) em conjunto com ovócitos Vtg3 e
folículos pós-ovulatórios (FPO), gônadas visualmente apresentando
grande volume devido a hidratação (> 260 g). As fêmeas em regressão
apresentam ovócitos Vtg3 remanescentes em alfa ou beta atresia, com
alta atividade de reabsorção dos ovócitos. Enquanto as fêmeas em
regeneração exibem apenas ovócitos pré-vitelogênicos e atresia
generalizada nos últimos estágios (gama e delta atresia), além da
parede do ovário mais larga, o que a difere também das fêmeas
imaturas. Ambas as gônadas, nas fases regressão e regeneração
externamente exibem estrutura flácida com característica de
hemorragia, e coloração roxo-avermelhado, pesando menos de 140 g
(Fig. 22 A-D).
Figura 22. Secções transversais histológicas dos ovários corados com H&E em
diferentes fases de maturação. (A) imaturo (B) desenvolvimento, (C) capaz de
desovar, (D) regeneração. Onde PG = ovócito de crescimento primário, OW =
parede do ovócito, POF = folículo pós-ovulatório, CA = cortical alveolar,
Vtg1 = ovócito vitelogênico primário, Vtg2 = ovócito vitelogênico
secundário, Vtg3 = ovócito vitelogênico terciário, A = atresia, MB = feixe
muscular. Em (A, B e C) barra = 40 μm; (D) barra = 100 μm.
Os machos, diferentemente das fêmeas, exibem gônadas
lobuladas e textura leitosa com coloração esbranquiçada
externamente, variando apenas em ganho de peso à medida em que se
desenvolvem durante a espermatogênese. Em nível histológico, os
machos imaturos apresentam apenas os estágios iniciais
espermatócitos e espermátides, gônadas com peso menor do que 5 g.
OW
PG
MB
A PG
A
CAVtg3
Vtg2
Vtg1
PG
A B
C D
CA
PG
Em desenvolvimento começam a aparecer também as espermatogônias,
que se tornam mais numerosas e ocupam a maior parte dos espaços
entre os túbulos seminíferos (5,1 -27 g em peso do testículo). Nas
fases capazes de desovar e ativamente desovando surgem de forma
mais abundante os espermatozoides nos túbulos seminíferos,
diferenciando-se basicamente devido a abertura do epitélio
germinal, no caso do testículo ativo (27,1 – 90 g em peso do
testículo). Enquanto regressão e regeneração são observadas devido
ao esvaziamento parcial e total dos túbulos seminíferos, com rápida
absorção dos espermatozoides remanescentes (< 36 g) (Fig. 23 A-F).
Figura 23. Secções histológicas de testículos corados com H&E
em diferentes fases de maturação. (A) e (B) Desenvolvimento,
(C) e (D) Capaz de desovar. Onde L= lúmen, ST = espermátide,
Sc1= espermatócito primário, SPTZ = espermatozóide, VD = vaso
deferente, CGE = epitélio germinal contínuo, Sg1=
espermatogônia primária. Em (A, C e E) barra = 40 μm; (B, D, F
e G) barra = 100 μm.
Figura 23. Secções histológicas de testículos corados com H&E
em diferentes fases de maturação. (E) e (F) Regressão, (G)
Regeneração. Onde L= lúmen, ST = espermátide, Sc1=
espermatócito primário, SPTZ = espermatozóide, VD = vaso
deferente, CGE = epitélio germinal contínuo, Sg1=
espermatogônia primária. Em (A, C e E) barra = 40 μm; (B, D, F
e G) barra = 100 μm.
0%
10%
20%
30%
40%
50%
60%
70%
80%
90%
100%
Fêmeas (n=180)
Regeneração
Regressão
Ativamente desovando
Capaz de desovar
Desenvolvimento
Imaturo
Foram observados, ambos fêmeas e machos em condições
reprodutivas (fase capaz de desovar) ao longo de todos os
meses do ano, exceto entre agosto e setembro devido também a
presença em maior número de indivíduos na fase de regressão e
regeneração, indicando um período de menor atividade
reprodutiva ou inatividade. O período reprodutivo indicado
principalmente pela presença de indivíduos na fase ativamente
desovando ocorre entre outubro e maio, quando observado o
maior percentual de fêmeas com ovócitos hidratados e machos
repletos de espermatozoides nos túbulos seminíferos (Fig. 24 e
25). Mesmo período em que o valores do Índice Gonadossomático
(IGS) se encontram acima de 2% (IGS > 2,0) para as fêmeas. O
que também é observado para agosto e setembro com valores
menores de 2% (IGS < 2,0), período de repouso. E para os
machos, atividade reprodutiva (IGS> 0,5) e menor atividade
(IGS< 0,5) (Fig. 26).
Figura 24. Proporção por fases de maturidade sexual para fêmeas
ao longo dos meses para o C. undecimalis capturado na rede de
emalhe na pesca no Delta do Rio Parnaíba.
Figura 25. Proporção por fases de maturidade sexual para machos
ao longo dos meses para o C. undecimalis capturado na rede de
emalhe na pesca no Delta do Rio Parnaíba.
0%
10%
20%
30%
40%
50%
60%
70%
80%
90%
100%
Machos (n= 287)
Regeneração
Regressão
Ativamente desovando
Capaz de desovar
Desenvolvimento
Imaturo
Figura
26.
Variação
do
Índice
Gonadoss
omático
(IGS)
para
fêmeas e
machos
ao longo
dos meses para o C. undecimalis capturado na rede de emalhe na
pesca no Delta do Rio Parnaíba.
O comprimento médio de primeira maturação sexual (L50) para
Centropomus undecimalis capturados no Delta do Parnaíba, foi
estimado em 47,27 cm CT para fêmeas e 46,96 cm CT para os machos.
Enquanto o L100 para ambos os sexos foi de 65 cm CT (Fig. 27).
0
0,5
1
1,5
2
2,5
3
3,5
4
4,5
IGS
Robalo Flecha (Centropomus undecimalis)
Delta do Parnaíba
20 40 60 80 100
Comprimento total (cm)
0,00
0,25
0,50
0,75
1,00
(%)
L50 Comb=47,58 cm
L50 Fêmeas=47,27 cm
L50 Machos=46,96 cm
Figura 27. Comprimento na primeira maturidade para fêmeas e
machos de C. undecimalis capturados no Delta do Rio Parnaíba
entre abril de 2016 a março de 2017 (n = 467).
A fecundidade variou entre 896.000 mil ovócitos para
uma fêmea com 63 cm de comprimento total (CT) para 7,6
milhões de ovócitos para uma fêmea com 102 cm CT, indicando
incremento em fecundidade em relação ao crescimento em
comprimento, em torno de 100% a cada 10 cm, ou 8 vezes
superior em indivíduos acima de 100 cm (Fig. 28).
Figura 28. Relação comprimento total por número de ovócitos
produzidos durante a desova para fêmeas de C. undecimalis
capturados no Delta do Rio Parnaíba entre abril de 2016 a
março de 2017 (n = 10).
8. Comentários gerais pesca e biologia reprodutiva
Analisando alguns pontos dos dados coletados, pode-se dizer
que o robalo é o produto com maior produção (~90%) na atividade
de pesca da comunidade das Ilhas Canárias, quando comparado com
as outras espécies. Levando-se em consideração ainda uma
y = 144462x - 8E+06
R² = 0,6353
0
1000000
2000000
3000000
4000000
5000000
6000000
7000000
8000000
9000000
0 20 40 60 80 100 120
N°deovócitos
Comprimento total (cm)
FECUNDIDADE
produtividade próxima aos 10 kg-dia para o robalo-flecha,
enquanto as outras espécies não ultrapassam os 2 kg-dia, mesmo
quando incluindo o robalo-peva na análise.
Em relação a sazonalidade das pescarias, é possível observar
uma maior produção em volume total ao longo dos meses chuvosos.
Isso tem uma implicação muito importante na estratégia de um
possível período de defeso, e ou de restrição a pesca.
Um dado importante identificado, está diretamente ligado aos
comprimentos dos robalos capturados nos diversos pesqueiros. É
claramente visível que o local de pesca Lembrança exerce um
grande impacto de pesca em robalos pequenos, abaixo de 50 cm.
Mas, vale ressaltar que embora as médias de comprimento dos
peixes sejam acima de 70 cm para os outros pesqueiros, alguns
destes apresentam alta incidência de captura em faixas de
comprimento pequenos. Esta informação permitirá pensar numa
estratégia de fechamento de área de pesca com impactos nos jovens
ou sub-adultos. A fêmeas são mais abundantes em comprimento médio
maior do que 80 cm, enquanto os machos geralmente se categorizam
abaixo dos 70 cm, o que é observado também nas pescarias.
Os pesqueiros de uma maneira geral, apresentam a mesma
produtividade em kg-dia, variando próximo a 8 kg-dia, porém o
Canal e a Boca da Barra forma mais produtivos.
O período reprodutivo do robalo ocorre mais frequentemente
na transição do período seco-chuvoso, com os valores mais
elevados para o IGS (> 2) nestes meses respectivamente. Além da
identificação de grande número de exemplares nas fases de
maturidade capaz de desovar ou ativamente desovando. O L50
estimado para ambos os sexos se encontra próximo aos 47 cm, o que
é relativamente pequeno e sugere um reflexo de um impacto sobre a
população devido a intensidade de pesca.
A fecundidade de indivíduos maiores do que 100 cm é
aproximadamente 7 vezes maior do que um robalo entre 60 e 70 cm,
o que indica a necessidade de preservar também os peixes grandes.
9. Sugestões para medidas de manejo pesca e biologia
reprodutiva
 Restringir o uso de malhas menores do que 6 cm entre
nós opostos na RESEX Delta do Parnaíba
 Proibir a pescarias no pesqueiro Lembrança devido ao
elevado número de captura de robalos menores do que 50
cm.
 Adotar a estratégia de área de direito exclusivo de
pesca (TURF) e cadastrar os pescadores com licença
especificas para estas áreas.
 Adotar áreas de exclusão de pesca, que poderia ser
selecionado um dos pesqueiros na entrada da
desembocadura do Rio Parnaíba.
 Adotar um período de defeso ou descanso reprodutivo.
 Adotar a estratégia de liberação dos grandes
reprodutores (mega-spawners) quando possível.
 Limitar o comprimento de captura dos robalos superior a
65 cm.
 Proibir as pescarias dos jovens nas lagoas da RESEX.
10. Biomassa
10.1 – Área de estudo
As atividades de coleta ocorreram em quinze expedições
realizadas entre os meses de fevereiro de 2016 a abril de 2017
procurando explorar os diversos habitats do Ecossistema
estuarino, como igarapés e lagoas. As três primeiras saídas foram
reservadas para testes piloto objetivando-se a escolha do
aparelho de pesca e técnica a ser adotada, bem como conhecimento
das áreas onde seriam realizadas as coletas. Em função da sua
topografia e tipo de circulação o Rio Parnaíba apresenta uma
formação Deltáica formado por diversos habitats como ilhas,
bahias, canais ou igarapés, lagoas marginais e áreas alagadas
(FARIAS et al, 2015). Para o estudo de C. undecimalis foram
escolhidos três tipos de habitats com diferentes características,
descritos a seguir:
Lagoas marginais - Esses corpos d´água formam um dos
principais componentes característicos do sistema rio-zona de
inundação podendo ser heterogêneas em relação à forma, área
superficial, profundidade média e grau de conexão com o rio
principal (ARAUJO, 2008). No rio Parnaíba menor volume de água
ocorre nos meses de julho a outubro, mas a partir de
janeiro/fevereiro aumenta rapidamente, enchendo as muitas lagoas
marginais existente (FARIAS et al., 2015).
Igarapés – constituído por um braço longo de rio ou canal.
Caracterizam-se pela pouca profundidade e por correrem quase no
interior da floresta de mangue. Apenas pequenas embarcações, como
canoas e pequenos barcos, podem navegar devido a sua baixa
profundidade e por ser estreito.
Margem do canal principal do rio Parnaíba – foram escolhidas
áreas rasas e planas, com profundidades inferiores a 2 metros
associada a vegetação de baixo porte como as gramíneas.
A figura 29 apresenta um mapa com diferentes pontos de
amostragens sinalizados no mapa (quadrados vermelho) foram
georeferenciados durante as coletas.
Figura 29 – Área de estudo destacando os pontos de
amostragens (em vermelho) no estuário do delta do Rio Parnaíba no
período de fevereiro de 2016 a maio de 2017.
10.2 - Estrutura da população de Robalos
O comprimento total dos indivíduos de robalo C. undecimalis
variou entre 8 a 32,6 cm, com média de 15,16 cm (Fig. 2). O maior
número de indivíduos ocorreu na classe de 11,5-15,03 com 66
indivíduos, seguido das classes que variaram entre 15,03 a 22,06
cm com 28 e 23 indivíduos, respectivamente, embora a classe entre
8-11,5 registrou 24 (Fig. 30).
Figura 30 - Classes de comprimentos (médias + desv. pad.) dos
robalos C. undecimalis no Delta do Parnaíba entre abril de 2016 a
abril de 2017.
O Peso total dos indivíduos de C. undecimalis totalizou
4.435 g e variou entre 3,6 a 134,8 g, média de 29,17. O maior
número de indivíduos encontra-se na classe 3,6-24,1 g com 89
indivíduos, seguidos da classe 24,1-44,6 com 32 indivíduos (Fig.
31).
Figura 31 - Classes de peso (médias + desv. pad.) dos robalos C.
undecimalis no Delta do Parnaíba entre abril de 2016 a abril de
2017.
0
10
20
30
40
50
60
70
80
Nºdeindivíduos
Classes de comprimentos
0
20
40
60
80
100
120
Nºdeindivíduos
Classes de pesos
A figura 32 mostra a relação peso-comprimento dos 151
indivíduos de Centropomus undecimalis. Através da Equação desta
relação foi possível calcular o coeficiente de alometria,
representado por b que foi de 2,8469. Indicando um crescimento do
tipo alométrico negativo (b<3), pois o valor foi menor que 3,
significando que houve maior incremento no comprimento do que em
peso para esta espécie no período estudado.
Figura 32 - Relação peso-comprimento dos robalos Centropomus
undecimalis no delta do Parnaíba-Piauí entre abril de 2016 a
abril de 2017.
10.3- Variação espacial na estrutura da população
Espacialmente foram considerados três habitats distintos,
portanto será analisado a estrutura populacional considerando-os.
O maior número de indivíduos de C. undecimalis ocorreu na classe
de comprimento entre 11,51-15,03 cm para os três habitats
amostrados (Fig. 33).
Os robalos dos igarapés apresentaram ocorrência entre as
classes de comprimento 8 a 29 cm, apresentando maior número de
indivíduos nas classes de comprimento entre 11 a 22 cm. Os
indivíduos coletados nas margens do Rio apresentaram ocorrência
apenas nas 3 primeiras classes entre 8 a 18 cm (Fig. 33).
y = 0,0104x2,8469
R² = 0,938
0
20
40
60
80
100
120
140
160
180
200
0 5 10 15 20 25 30 35
Peso(g)
Comprimento (cm)
Os indivíduos registrados nas lagoas apresentaram ocorrência
em todas as classes de comprimentos, sendo mais abundante nas
classes de menor comprimento entre 8 e 15 cm, embora também
registrou-se neste habitat os maiores exemplares capturados neste
estudo (Fig. 33).
Figura 33 - Classes de comprimentos dos indivíduos coletados nos
diferentes habitats no Delta do Parnaíba entre abril de 2016 a
abril de 2017.
Quanto ao peso dos indivíduos de C. undecimalis verificou-se
que nos três habitats, a maioria dos indivíduos apresentaram
pesos entre 3,6 a 24,1 g, sendo que o maior número de indivíduos
desta classe foi oriundo das Lagoas. Os indivíduos dos Igarapés
apresentaram maiores pesos nas classes entre 24 a 85 gramas (Fig.
34).
0
5
10
15
20
25
30
35
Nºdeindivíduos
Classes de comprimentos (cm)
Lagoa
Igarapé
Rio Parnaíba
0
5
10
15
20
25
30
35
40
45
50
N°deindivíduos
Classes de peso (g)
Lagoa
Igarapé
Rio Parnaíba
Figura 34 - Classes de pesos dos indivíduos coletados nos
diferentes habitats no Delta do Parnaíba entre abril de 2016 a
abril de 2017.
Os maiores comprimentos e pesos médios foram
significativamente maiores (ANOVA, p < 0,05; Teste LSD) nos
indivíduos dos Igarapés com 16,2 cm e 34,9 g, respectivamente
(Fig. 35) do que os outros habitats amostrados. Nas Lagoas os
robalos apresentam peso médio de 24,62 g e comprimento médio de
14,36 menor que nos igarapés (ANOVA, p < 0,05; Teste LSD). Nas
margens do rio Parnaíba os robalos apresentaram os menores pesos
e comprimentos médios com 17,03 g e 12,94 cm, respectivamente
(ANOVA, p < 0,05; Teste LSD) (Fig. 35).
Igarapé Lagoa Rio Parnaíba
Habitats
5
10
15
20
25
30
35
40
45
Pesototal(g),Comp.total(cm)
Peso
Comprimento
Figura 35 - Comprimento (cm) e Peso (g) (médias + desv. pad.) dos
indivíduos coletados nos 3 tipos de habitats no Delta do Parnaíba
entre abril de 2016 a abril de 2017.
Em relação à biomassa e abundância, os igarapés apresentaram
a maior abundância (16,19) e biomassa (629,42 g) dentre os
habitats amostrados (ANOVA, p < 0,05; Teste LSD) (Fig. 36).
Nas Lagoas, a abundância (6,93) e biomassa (178,26 g) não
foram significativamente diferentes das margens do rio em
abundância (3,15) e biomassa (55,77 g), porém estes dois habitats
apresentaram o mesmo padrão com valores significativamente
menores que os igarapés (ANOVA, p < 0,05; Teste LSD) (Fig. 36).
Igarapé Lagoa Rio Parnaíba
Habitats
0
100
200
300
400
500
600
700
800
Biomassa(g)
0
2
4
6
8
10
12
14
16
18
20
22
Abundância(Nºind.)
Biomassa
Abundância
Figura 36 - Biomassa e Abundância (médias +desv.pad.) dos
indivíduos coletados nos 3 tipos de habitats no Delta do Parnaíba
entre abril de 2016 a abril de 2017.
A densidade de indivíduos nos igarapés (0,025 ind/m²) foi
maior apenas que nas margens do rio (0,0015 ind/m²) (ANOVA, p <
0,05; Teste LSD) (Fig. 37) Nas Lagoas, a densidade (0,016 ind/m²)
não foi significativamente diferentes das margens do rio e também
dos igarapés (ANOVA, p < 0,05; Teste LSD) (Fig. 37).
Igarapé Lagoa Rio Parnaíba
Habitats
0,000
0,005
0,010
0,015
0,020
0,025
0,030
0,035
Densidade(ind./m²)
médias médias (+ desv. pad.)
Figura 37 - Densidade (médias + desv. pad.) de indivíduos
coletados nos 3 tipos de habitats no Delta do Parnaíba entre
abril de 2016 a abril de 2017.
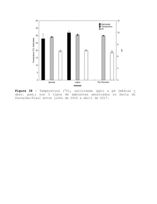
O pH apresentou valores médios de 7,3; 7,5; 7,1 em igarapés,
lagoas e margens do rio, respectivamente, não sendo
significativamente diferente para os três habitats (ANOVA, p =
0,215) (Fig.38).
A salinidade nos 3 ambientes amostrados foram
significativamente diferentes entre si apresentando-se em ordem
decrescente nas lagoas (31,97), igarapés (27,92) e muito inferior
nas margens do rio (0,0031)(ANOVA, p < 0,01; Teste LSD) (Fig.38).
Em relação a temperatura nos 3 ambientes amostrados foi possível
observar que nas lagoas a temperatura média (30,50 °C) foi
significativamente maior que os outros ambientes que apresentaram
valores de temperatura de 29,02 e 29,92 (°C) nos igarapés e
margem do rio, respectivamente, que foram semelhantes entre si
(ANOVA, p < 0,01; Teste LSD) (Fig.38).
Igarapé Lagoa Rio Parnaíba
Habitats
0
5
10
15
20
25
30
35
40
Temperatura(ºC),Salinidade
0
3
6
9
12
15
pH
Salinidade
Temperatura
pH
Figura 38 - Temperatura (°C), salinidade (ppt) e pH (médias +
desv. pad.) nos 3 tipos de ambientes amostrados no Delta do
Parnaíba-Piauí entre julho de 2016 a abril de 2017.
10.4- Variação sazonal na estrutura da população
O período de amostragem considerado efetivo,
desconsiderando-se o período detestes pilotos e treinamento,
ocorreu entre abril de 2016 a abril de 2017. Destacando que nos
primeiros meses de amostragens não conseguimos coletar C.
undecimalis, embora o método empregado tenha capturado outras
espécies de peixes. Nas análises a seguir apresentaremos os dados
agrupados em semestres, sendo o primeiro semestre compreendido
entre os meses de janeiro a junho e o segundo de julho a
dezembro.
Os espécimes de C. undecimalis apresentaram peso de 32,41 g
e comprimento 15,71 cm que foram significativamente maiores no
primeiro semestre do ano (p <0,05, Testes de Mann-Whitney ((U)).
No segundo semestre os indivíduos apresentarem peso de 25,38 g e
comprimento de 14,53 cm (Fig. 39).
jan-jun jul-dez
Semestres
0
5
10
15
20
25
30
35
40
45
50
Pesototal(g)
0
2
4
6
8
10
12
14
16
18
20
Comprimentototal(cm)
Peso
Comprimento
Figura 39 – Pesos e Comprimentos (mediana) por semestres dos
indivíduos coletado no Delta do Rio Parnaíba entre abril de 2016
a abril de 2017.
A biomassa dos robalos foi maior no primeiro semestre com
valor de 578,23 g, enquanto no segundo foi de 183,26 g (p <0,05,
teste de Mann-Whitney (U)) (Fig. 40). A abundância não foi
significativamente diferente entre semestres, embora apresentasse
valor de 14,78 para o primeiro semestre e de 7,23 ind. no segundo
(p <0,05, Teste de Mann-Whitney (U)) (Fig. 40).
jan-jun jul-dez
Semestres
0
100
200
300
400
500
600
700
800
Biomassa(g)
0
2
4
6
8
10
12
14
16
18
20
Abundância(Nºind.)
Biomassa
Abundância
Figura 40 – Abundância e Biomassa (mediana) por semestres de C.
undecimalis no Rio Parnaíba entre abril de 2016 a abril de 2017.
A maior densidade de robalos por área durante os arrastos
foi registrada no primeiro semestre com 0,023 ind/m² enquanto no
segundo foi de 0,014 ind/m² (p <0,05, teste de Mann-Whitney (U))
(Fig. 41).
jan-jun jul-dez
Semestres
0,000
0,005
0,010
0,015
0,020
0,025
0,030
0,035
0,040
Densidade(ind/m²)
Figura 41 – Densidades (mediana) por semestres de C. undecimalis
no Rio Parnaíba entre julho de 2016 a abril de 2017.
A pluviosidade média mensal apresentou maiores valores
durante o primeiro semestre, janeiro a junho, com, medias de
147,3 mm e 32,5 no segundo semestre (Teste t, p< 0,01)(Fig. 42).
jan-jun jul-dez
Semestres
-20
0
20
40
60
80
100
120
140
160
180
200
Pluviosidade(mm)
média Média±EP Média±DP
Figura 42 - Pluviosidade média por semestres no Rio Parnaíba
entre abril de 2016 a abril de 2017.
11.CONCLUSÕES E RECOMENDAÇÕES DO ESTUDO DE BIOMASSA
 O comprimento dos indivíduos da espécie C. undecimalis na
área de estudo variou entre 8 a 32,6 cm, média de 15,2,
sendo que o maior número de indivíduos ocorreu na classe de
comprimento entre 11 a 15 cm, isto indica que estes
indivíduos encontram-se na fase de juvenis que usam o
estuário do rio Parnaíba como área de recrutamento em função
do abrigo pela complexidade do habitat.
 O coeficiente de alometria negativo apresenta-se dentro
padrão esperado para indivíduos com formato de corpo
fusiforme se encontrando na fase juvenil em função da
elevada taxa de crescimento.
 Dentre os três tipos de habitats estudados no estuário do
Rio Parnaíba, o maior número de indivíduos ocorreu na classe
de comprimento entre 11,51-15,03 cm indicando que estes
habitats são áreas de recrutamento dentro do estuário e
merecem prioridade para conservação da espécie nesta fase do
ciclo de vida.
Portanto, recomendamos que as lagoas localizadas na Ilha das
Canárias, Ilhas dos Poldros e Ilha do Caju seja consideradas
como áreas de exclusão à pesca, pois são apenas três lagoas
que desempenham este papel tão importante. Estas se
apresentam fortemente alteradas, sobretudo nos canais de
conexão com o rio e os igarapés. Observamos que nestas ilhas
as lagoas sofrem fechamento temporário, inclusive com canais
de alvenaria. Outro tipo de impacto identificado foi
desmatamento das margens (mata ciliar), baixa profundidade
devido ao assoreamento e pesca com aparelhos de pesca de
baixa seletividade (malhas pequenas).
 Comparativamente, os igarapés mostraram-se mais importante
como habitats para os juvenis de robalos, pois os parâmetros
de estrutura populacional como biomassa, abundância e
densidade foram superiores aos valores encontrados nas
lagoas. Embora estas lagoas sejam secundárias em importância
encontramos indivíduos com os menores e maiores comprimentos
registrados no estudo. Isto sugere que os espécimes entram
nas lagoas quando juvenis e permanecem até a fase jovem
quando retornam para os igarapés. Vale salientar que as duas
áreas mostraram-se como habitats preferenciais para abrigo e
alimentação de juvenis de robalos, mas para outros jovens de
espécies de valor econômico como a tainha (Mugil spp., media
de 11 cm) e o camurupim (Megalops atlanticus, média de 25
cm).
Portanto, recomendamos que haja a criação de legislação e
sua respectiva fiscalização nestes igarapés do Estuário do
Rio Parnaíba, regulamentando a pesca com a técnica de
“TAPAGEM”. Esta técnica consiste no fechamento do igarapé
com redes de malhas muito pequenas para fechar um
determinado trecho do igarapé para impedir a passagem dos
peixes e forçar seu emalhamento. Isto se faz necessário em
função da forte pressão de pesca sobre parcelas de juvenis e
jovens presentes neste habitat.
 Algumas hipóteses sobre o papel ecológico das lagoas como
área de berçário deverão ser comprovadas através de um
experimento planejado, pois observamos que localmente,
existem lagoas com conectividade com o rio e algumas têm sua
conexão interrompida pelo homem, causando impedimento do
fluxo de água, matéria e organismos. As características
físico-químicas das águas das lagoas com temperatura e
salinidade superior aos outros habitats reforçam o quanto
esta prática é prejudicial.
 Sazonalmente, todas as medidas de estrutura populacional de
peso e comprimento total, abundância, biomassa e densidade
de robalos apresentou-se maior no período de junho a julho,
coincidindo com período de maior pluviosidade média na
região, desta forma reforça uma relação causa-efeito na
estrutura da população desta espécie que usa o ambiente
estuarino como área de recrutamento neste período pelo
incremento de nutrientes e alimento.
12.DESCRIÇÃO SOBRE DESAFIOS ENFRENTADOS NO ESTUDO DE BIOMSSA
 O maior desafio encontrado ainda continua sendo
abranger uma área com grande extensão, por isso, as
amostragens neste projeto buscaram caracterizar
espacialmente a população de Robalos (Centropomus spp.)
no estuário do Delta do Parnaíba.
 No entanto medida que seja identificada a distribuição
e habitats preferenciais da espécie, as amostragens
serão repetidas nos mesmos pontos de forma a ter pelo
menos uma amostragem na estação seca e outra na estação
chuvosa.
 Outro grande desafio é realizar arrastos dentro de um
ecossistema com elevado hidro dinamismo que hora
apresenta muita correnteza em movimentos alternados de
enchente e vazante, mas sempre com correntezas. As
intensidades destas correntes são maiores durante as
marés de sizígias, mas em função das menores
profundidades registradas neste período precisamos
realizar as amostragens.
 Nesta área de estudo, o substrato lamoso, com presença
de galhos, ostras também dificulta o uso de arrasto com
qualquer tipo de rede podendo danificar a rede e causar
ferimentos nos coletores, mas a partir do conhecimento
destas características dos habitats mais rasos está
sendo possível realizar as coletas.
12. Referências bibliográficas
Anderson, C. N. K., C. Hsieh, S. A. Sandin, R. Hewiit, A.
Hollowed, J. Beddington, R. M. May, and G. Sugihara. 2008.
Why fishing magnifies fluctuations in fish abundance. Nature
(London) 452:835–839.
AGOSTINHO, A. A. et al. Estraficación espacial y
comportamiento de Prochilodus scrofa en distintas fases del
ciclo de vida, en la planicie de inundación del alto río
Paraná y embalse de Itaipu, Paraná, Brasil. Revue
D'Hydrobiologie Tropicale, v. 26, n. 1, p. 79-90, 1993.
Barroso, M.V; SOUZA, G. A; THOMÉ, J. C. A; LEITE JÚNIOR,
N.O; MOREIRA, L. M.P; SANGALIA, C; SALES, E. F; DURÃO, J.N.
2007. Estratégias de conservação das populações de robalos
Centropomus spp. na foz do Rio Doce, Linhares, Espírito
Santo, Brasil. Rev. Bras. de Agroecologia, Vol.2, No.2.
Begossi, A., Salivonchyk S.V., Araujo, L.G., Andreoli T.B.,
Clauzet, M. Martinelli C.M., Ferreira A.G.L., Oliveira
L.E.C., Silvano R.A.M. 2011. Ethnobiology of snappers
(Lutjanidae): target species and suggestions for management.
Journal of Ethnobiology and Ethnomedicine, 7:11.
Bittencourt, V. F. N. 2009. Proteção a Pesca do Robalo
(Centropomus parallelus) na Foz do Rio Mambucaba, Angra do
Reis-RJ. REVISTA - Educação Ambiental BE-597 / Volume 2,
38-43.
Brown-Peterson, N. J., D. M. Wyanski, F. Saborido-Rey, B. J.
Macewicz, & S. K. Lowerre-Barbieri. 2011. A standardized
terminology for describing reproductive development in
fishes. Marine and Coastal Fisheries: Dynamics, Management,
and Ecosystem Science [online serial], 3:52–70.
CAVALCANTE, C. C.: O uso de habitats costeiros como berçário
de peixes no Ceará. 2014. 71f.: Dissertação (mestrado) –
Universidade Federal do Ceará, Instituto de Ciências do Mar,
Programa de Pós-Graduação em Ciências Marinhas Tropicais.
Fortaleza, 2014.
Cerqueira, V. R. Cultivo de robalo: aspectos de reprodução,
larvicultura e engorda. Editora Autor, 94 p., Florianópolis,
2002.
Cullis-suzuki, Sarika; Mcallister, M.; Baker, P.;
Carruthers, T.; Tate, T.J. 2012. Red snapper discards in the
Gulf of Mexico: Fishermen’s perceptions following the
implementation of Individual Fishing Quotas. Marine Policy
36: 583–591.
DE MENDONÇA, Maisa Clari Farias Barbalho. Autoecologia do
camorim, Centropomus undecimalis (Bloch, 1792),(Perciformes:
Centropomidae) em ambiente hipersalino em Galinhos, RN,
Brasil. 2010.
Fernandes, C. A. F., Oliveira, P. G. V. de, Travassos, P. E.
P. F. & F. H. V. Hazin. 2012. Reproduction of the Brazilian
snapper, Lutjanus alexandrei (Moura & Lindeman, 2007)
(Perciformes: Lutjanidae), off the northern coast of
Pernambuco, Brazil. Neotropical Ichthyology, 10 (3): 587-
592.
Frédou, T., Ferreira, B.P., Letourneur, Y., 2009. Assessing
the stocks of the primary snappers caught in Northeastern
Brazilian reefs systems. 1: Traditional modeling approaches.
Fisheries Research. 99 (2009) 90-96.
Ganias, K. 2009. Linking sardine spawning dynamics to
environmental variability. Estuarine, Coastal, and Shelf
Science 84:402–408.
Guzzi, A . Biodiversidade do Delta do Parnaíba: litoral
piauiense. / Anderson Guzzi. – org. Parnaíba: EDUFPI, 2012.
466p.
Hardardottir, K., Kjesbu, O.S., & G. Marteinsdottir. 2001.
Relationship between atresia, fish size and condition in
Icelandic cod (Gadus morhua L.). ICES CM2001/J:19.
HUBER, C. G. Habitat preferences of juvenile Common Snook in
the lower Rio Grande, Texas. 2007. Tese de Doutorado.
Master’s thesis. Texas Tech University, Lubbock.
Hunter. J. R. & B. Macewicz. 1985c. Measurement of spawning
frequency in multiple spawning fishes. In: Lasker, R. (Ed).
An egg production method for estimating spawning biomass of
pelagic fish: application to the Northern Anchovy, Engraulis
mordax. NOAA Technical Report NMFS, 36: 79-93.
Lowerre-Barbieri, S. K., K. Ganias, F. Saborido-Rey, H.
Murua, & J. R. Hunter. 2011b. Reproductive timing in marine
fishes: variability, temporal scales, and methods. Marine
and Coastal Fisheries: Dynamics, Management, and Ecosystem
Science [online serial], 3:71–91.
Machado, M. R. F. 2011. Caracterização Morfológica e
Bioquímica do Sistema Digestório e Identificação por
Isótopos Estáveis de Robalo Peva e Flexa Selvagens e de
Cativeiro. Tese apresentada ao Programa de Pós - graduação
em Aquicultura da UNESP – Campus de Jaboticabal, como parte
das exigências para obtenção do título de Doutor(a) em
Aquicultura. Jaboticabal São Paulo – Brasil 2011.
Maddock, D. M. & M. P. Burton. 1998. Gross and histological
of ovarian development and related condition changes in
American plaice. Journal of Fish Biology, 53: 928-944.
Murua, H., G. Kraus, F. Saborido-Rey, P. R. Witthames, A.
Thorsen & S. Junquera. 2003. Procedures to estimate
fecundity in fishes. Journal of Northwest Atlantic Fishery
Science, 33: 33-54.
Newman, S. J.; Cappo, M.; Williams, D. McB. 2000a. Age,
growth, mortality rates and corresponding yield estimates
using otoliths of the tropical red snappers, Lutjanus
erythropterus, L. malabaricus and L. sebae, from the central
Great Barrier Reef. Fisheries Research, 48: 1-14.
Nogueira, A. B. 2009. Biologia de Centropomus parallelus
POEY, 1860 no Sistema Baía de Guaratuba, Paraná, Brasil.
Dissertação apresentada Programa de Pós-Graduação em
Ciências Biológicas – Zoologia, Setor de Ciências Biológicas
da Universidade Federal do Paraná, como requisito parcial à
obtenção do título de Mestre em Ciências Biológicas área de
concentração Zoologia.
Odum, E.P. Ecologia. Rio de janeiro: Guanabara, 1988. 434 p.
Rodrigues, P. P. R. Aspectos Reprodutivos do Robalo peba,
Centropomus parallelus, na Foz do Rio Doce, Linhares/ES.
Universidade Federal do Espírito Santo Centro de Ciências
Humanas e Naturais Departamento de Ecologia e Recursos
Naturais Curso de Graduação em Oceanografia, 2005.
Soligo, T. A. 2007. Primeiras Experiências com a Reprodução,
Larvicultura e Demame do Robalo Flexa, Centropomus
undecimalis no Brasil. Dissertação apresentada ao curso de
pós- graduação de aquicultura do centro de ciências agrárias
da Universidade Federal de Santa Catarina, como requisito
parcial a obtenção do titulo de mestre em aquicultura.
Florianópolis. 2007.
Sousa, M. L. N. M. 2011. Caracterização Morfológica de
Gônadas de Machos do Robalo, Centropomus undecimalis (block,
1790) Oriundos de Cultivo e de Ambiente Natural. Dissertação
apresentada ao Programa de Pós- Graduação em Ciências
Veterinárias da Faculdade de Veterinária da Universidade
Estadual do Ceará, como requisito parcial para a obtenção do
grau de Mestre em Ciências Veterinárias. FORTALEZA-CE. 2011.
Wallace, R. A. & K. Selman. 1981. Cellular and dynamic
aspects of oocyte growth in teleosts. American Zoologist,
21:325–343.
Zuur, A. F., Ieno, E. N. & Smith, G. M. 2007. Analysing
ecological data. Statistics for biology and health.
Heidelberg, Germany: Springer.

Relatório Final Robalo 2017

  • 1.
    RELATÓRIO FINAL –MONITORAMENTO DA PESCA, ESTUDO DOS ASPECTOS REPRODUTIVOS E BIOMASSA DO ROBALO-FLECHA Centropomus undecimalis (Bloch 1972) NA ILHA DAS CANÁRIAS PROGRAMA PESCA PARA SEMPRE BRASIL_RESEX DELTA DO PARNAÍBA UNIVERSIDADE FEDERAL DO PIAUÍ- UFPI Dr. Cezar A. F. Fernandes [Lab. de Bioecologia Pesqueira] Dra. Francisca Edna de A. Cunha [Lab. de Ictiologia] 10/07/2017
  • 2.
    APRESENTAÇÃO A proposta dopresente projeto teve iniciativa através da parceria entre a UFPI, Comissão Ilha Ativa, ICMBio e Rare através do Programa Pesca para Sempre, desenvolvido no âmbito desta última instituição, que visa contribuir na gestão da RESEX Marinha do Delta do Parnaíba. Sabendo-se da importância dos recursos pesqueiros capturados por estas comunidades tradicionais de pesca que vivem nesta localidade, especialmente a pesca do robalo-flecha (Centropomus undecimalis) com rede de emalhe na Ilha das Canárias, teve-se com objetivo principal garantir a sustentabilidade da pesca e preservação das populações naturais. Desta maneira, assegurando subsequentemente a longevidade das pescarias e a obtenção de fonte de alimento e renda. Para atender os principais objetivos do programa, algumas metas centrais foram estabelecidas, entre elas se incluem: (1) O acesso exclusivo concedido às comunidades pesqueiras tradicionais; (2) Áreas sem pesca onde a pesca é proibida; (3) Sistema de fiscalização local através da ferramenta de comunidade vigilante; (4) Monitoramento e avaliação através dos estudos de gerenciamento da pesca e perfil biológico das populações naturais; (5) Apoio comunitário; (6) Gestão da pesca; (7) Acesso aos mercados e (8) Políticas pesqueiras. Sendo assim, para contemplar um dos objetivos do programa estabelecido, foram acomphandos um maior volume possível dos desembarques (1.482 entrevistas) através de um programa de monitoramento diário e de fluxo contínuo (durante 14 meses), que permitiu avaliar o efeito da sazonalidade destas pescarias. Incluindo-se também a coleta de amostras biológicas, tais como as
  • 3.
    gônadas para seconhecer os aspectos reprodutivos da espécie alvo da pesca. Os dados de monitoramento pesqueiro e parâmetros biológicos obtidos, tais como sazonalidade da pesca, esforço de pesca, produtividade, período reprodutivo, estruturas de comprimento e sexo, além do comprimento de primeira maturidade sexual, incluindo a biomassa (recrutamento nas lagoas e igarapés) são informações cruciais para adoção de um plano de manejo da pesca na RESEX Delta do Parnaíba. 1. Área de estudo e perfil da pesca local O Delta do rio Parnaíba é o único delta nas Américas e um dos únicos que desemboca em mar aberto no mundo. Está localizado em uma Área de Proteção Ambiental (APA) do Delta do Parnaíba, que compreende todo o litoral do Piauí e porções dos litorais do Ceará e do Maranhão onde são formadas aproximadamente 90 ilhas continentais, sendo um sistema geologicamente jovem (Guzzi, 2012). Dentro da APA, foi criada a Reserva Extrativista Marinha do Delta do Parnaíba (RESEX) com aproximadamente 27.000 hectares, que abrange o Piauí e o Maranhão. Essa é uma região que vem ganhando crescente atenção do ponto de vista turístico e reconhecida localmente por sua tradição pesqueira. Dentre as ilhas formadas no Delta, destaca-se a Ilha das Canárias, localizada na porção Maranhense do Delta, sofre influência da água doce e marinha. Essa pequena ilha abriga áreas de nascentes que formam pequenos igarapés envoltos por vegetação típica de mangue e deságuam no rio Parnaíba (Guzzi, 2012). A pesca do robalo-flecha com rede de emalhe vem sendo praticada por décadas, sendo passada de geração para geração, e
  • 4.
    também é aprincipal fonte de alimento e renda de aproximadamente 2.500 famílias em torno da RESEX. São utilizadas embarcações de pequeno porte (tripuladas por dois ou mais pescadores), redes de emalhe confeccionadas com náilon de monofilamento, podendo ser utilizada de modo fixo ou de deriva ao sabor das correntes, e que permitem uma captura diária média em torno de 6 kg por embarcação- dia (Farias et al., 2015). 2. O robalo-flecha Centropomus undecimalis No Brasil são registradas quatro espécies de robalo: Centropomus undecimalis, Centropomus parallelus, Centropomus ensiferus, Centropomus pectinatus, embora na região as duas primeiras espécies dominam a produção pesqueira (Rodrigues, 2005). A região do delta tem como suas principais espécies capturadas, os robalos da família Centropomidae (robalo flecha – Centropomus undecimalis e robalo peva - C. parallelus), a pescada amarela (Cynoscion acoupa) e o caranguejo Uçá (Ucides cordatus) (Guzzi, 2012). Os robalos são peixes marinhos e costeiros que utilizam os rios e estuários durante todas as fases do seu ciclo de vida para alimentação, crescimento e reprodução (Bittencourt, 2009). Segundo Farias (2012) destaca-se como um importante recurso pesqueiro na região nordeste, gerando renda para as comunidades extrativistas. O robalo-flecha pode alcançar 1,2 m de comprimento total e 25 kg, apresenta coloração acinzentada no dorso, com reflexos esverdeados, e ventre esbranquiçado; linha lateral formada por uma listra longitudinal negra que se estende ao longo do corpo até o final da nadadeira caudal. E tem uma maior importância econômica que o robalo-peva Centropomus parallelus, devido ao seu tamanho e rápido crescimento (Machado, 2011).
  • 5.
    De acordo comMenezes et al. (2012) são peixes migratórios, que procuram principalmente os estuários em época de reprodução, são carnívoros se alimentando de peixes e crustáceos. Segundo Souza (2011) uma das características sexuais mais notáveis entre robalos é o fato de consistirem em espécies hermafroditas protândricas, que maturam primeiramente como machos e posteriormente, mudam de sexo e permanecem, em sua maioria, como fêmeas pelo resto de suas vidas. Ainda de acordo com Souza (2011) todas as fêmeas de Centropomus undecimalis tornam-se sexualmente maduras com três anos de idade. Barroso (2007) reportou que a reprodução dos robalos é externa, suas larvas eclodem em 36 horas e em três dias já consumiram toda a reserva vitelínica, iniciando-se a alimentação exógena. Segundo Soligo (2007) apresentam comportamento pouco ativo e tem hábito de formar cardumes. Nogueira (2009) destaca sua importância como recurso alimentar e para pesca recreativa, considerando que informações atuais sobre a reprodução da espécie são necessárias, tais como estudos do desenvolvimento gonadal, período de reprodução, comprimentos de maturação gonadal e fecundidade. O Brasil e o México são os maiores produtores de robalo, representando mais de 70% das capturas mundiais (Souza 2011). No Brasil, esta produção provém essencialmente da pesca artesanal, e os números se mantiveram relativamente estáveis ao longo de várias décadas, atingindo cerca de 3.000 t (Cerqueira, 2002). A estratégia reprodutiva desta espécie, associada ao aumento pressão de pesca, além da redução de habitat por degradação ambiental e poluição são potenciais riscos a conservação e manutenção das populações naturais. 3. Estudo da reprodução em peixes
  • 6.
    Os ambientes estuarinos,como o complexo do estuário do Delta do Rio Parnaíba, são habitats essenciais para desempenho das funções da grande maioria dos peixes. Conhecidos por berçários naturais, devido à alta variedade das condições ambientais, principalmente salinidade e temperatura, que permitem a um grande número de espécies aproveitarem conjuntamente diferentes áreas dentro destes micros habitats e otimizar suas estratégias de alimentação e reprodução (Odum, 1988). O ciclo de vida das espécies de peixes, de uma maneira geral, se restringe basicamente na alternância entre alimentação e reprodução, sendo estes comportamentos desencadeadores de movimentos migratórios sazonais e circadianos durante sua história de vida (Wallace & Selman, 1981). Os peixes se alimentam e usam energia para crescimento somático em um determinado período de vida, quando atingem a maturidade sexual, investem toda energia em desenvolvimento e amadurecimento das gônadas (Murua et al., 2003). As atividades de pesca, mesmo em caráter artesanal, podem por sua vez desequilibrar a biomassa de populações de muitas espécies de peixes, levando-se principalmente em consideração o comportamento dos peixes. Algumas espécies exibem, por exemplo, um comportamento sazonal de migração para áreas de reprodução, e também fidelidade a estes locais, sendo presa fácil para as artes de pesca. Este tipo de estratégia reprodutiva, por muitas vezes limita a condição de dispersão da população. Sendo assim, o emprego de artes de pesca, em que os petrechos ficam imersos dia e noite, caso da rede de emalhe e covo são potencialmente danosos ao equilíbrio populacional da biomassa dos peixes. É muito comum ouvir dos pescadores artesanais, a redução na produção e nos comprimentos das principais espécies de peixes capturadas (Anderson et al., 2008, Begossi et al., 2011).
  • 7.
    O efeito emmédio e longo prazo da incidência de algumas pescarias, e mesmo quando de caráter artesanal, tem mostrado reduções significativas nas populações naturais (Cullis-Suzuki et al. 2012). Vários novos conceitos têm sido formulados em relação ao efeito da pesca no comportamento dos peixes (Allee effect, Fisheries-induced evolution, Reaction norms), indicados através da redução do tamanho de primeira maturidade sexual, redução do tamanho assintótico, dispersão, omissão de desovas, etc.) (Lowerre- Barbieri et al., 2011). As altas longevidades, taxas de crescimento lento, mortalidade natural baixa, as agregações reprodutivas, fidelidade à área de reprodução são algumas das condições que implicam a muitas espécies de peixes que ocupam zonas estuarinas a uma situação de maior vulnerabilidade (Newman et al., 2000; Fredóu et al., 2009). Influências de variações climáticas e de propriedades físico- químicas, alteram padrões cíclicos de temperatura da água e também algumas outras variáveis abióticas (salinidade, pH, condutividade elétrica, foto período, etc.)(Ganias, 2009). Isto implica também em um curto período de tempo favorável no ajuste das estratégias dos peixes entre o ciclo reprodutivo e alimentar (Brown-Peterson et al., 2011). Conhecer aspectos da ecologia reprodutiva dos peixes, e de suas estratégias durante o ciclo reprodutivo, é crucial para gestão e manejo de populações (Brown-Peterson et al., 2011). O tamanho estimado de primeira maturidade sexual (L50) permite por sua vez, limitar a atuação de alguns aparelhos de pesca, livrando-se nesse sentido, os indivíduos que não atingiram a maturidade sexual e que ainda irão se reproduzir (Lowerre-Barbieri et al., 2011). Sabendo- se o período da estação reprodutiva permite proibir o esforço de pesca durante os meses de maior atividade, garantindo dessa forma, reposição de biomassa (Brown-Peterson et al., 2011). A estimativa
  • 8.
    da fecundidade, tambémpermite projeções de biomassa do estoque desovante, e a obtenção do potencial reprodutivo das populações naturais (Hunter & Macevicz et al., 1985). As análises obtidas através de procedimentos de histologia garantem maior acurácia e precisão para os modelos de manejo de populações que se baseiam no percentual relativo da população que contribui com biomassa de ovos. Erros de interpretações e classificações de fases de maturidade sexual, podem também causar danos irreparáveis aos modelos de manejo populacional, principalmente no sentido de misturar indivíduos que já participaram de um evento reprodutivo com indivíduos jovens que não atingiram sequer a maturidade sexual. Levando-se subsequentemente a estimativas enviesadas (sobre-estimadas) para tamanhos mínimos de capturas usados em medidas de manejo empregados para algumas artes de pesca (Lowerre-Barbieri et al., 2011; Fernandes et al., 2012). Nesse contexto, sabendo-se os aspectos reprodutivos das espécies de peixes, e seus respectivos indicadores, são ferramentas substanciais para gestão e manejo sustentável dos recursos pesqueiros, garantindo por sua vez, o equilíbrio do ecossistema como um todo e a preservação dos estoques, e consequentemente a longevidade de atividades tradicionais de pesca praticadas por comunidades pesqueiras. 4. Justificativa Os poucos estudos realizados na RESEX Marinha do Delta do Parnaíba estão relacionados à taxonomia das espécies dos ambientes estuarinos e de água doce daquela região (especialmente lagoas). O desenvolvimento deste trabalho permitiu obter dados acerca da sazonalidade da pesca, incluindo os métodos de capturas e materiais utilizados, dimensionamento dos aparelhos de pesca, volume de produção além de todo fluxograma da cadeia produtiva. Os aspectos
  • 9.
    biológicos associados aocomportamento reprodutivo, entre eles principalmente o período de reprodução e o comprimento de primeira maturidade sexual, identificação de áreas de berçário e recrutamento irão sem sombra de dúvidas auxiliar na adoção de um plano de manejo da pesca local. 5. Objetivo geral Acompanhar os desembarques da pesca do robalo através de um programa de monitoramento diário da pesca e obter amostras biológicas para avaliar os aspectos reprodutivos e recrutamento (biomassa). 5.1. Objetivos específicos  Obter dados da produção pesqueira local.  Caracterizar a frota pesqueira local  Obter o volume de produção da espécie alvo e fauna acompanhante e sua variação sazonal.  Obter o esforço de pesca.  Avaliar o potencial de pesca (produtividade em Captura por Unidade de Esforço- CPUE).  Caracterizar os aparelhos de pesca utilizados e a composição dos seus materiais  Caracterizar a técnica de pesca empregada  Obter a distribuição espaço-temporal das pescarias  Avaliar a estrutura populacional espécie alvo  Conhecer o período reprodutivo  Estimar o comprimento de primeira maturidade sexual  Avaliar o potencial reprodutivo
  • 10.
     Conhecer opadrão de comportamento e estratégias reprodutivas  Estimar a biomassa (Nº de indivíduos e peso) e estrutura de comprimento da população de robalos (C. undecimalis) que ocorrerem na área aberta e fechada à pesca na RESEX Marinha do Delta do Parnaíba  Analisar a composição, diversidade e similaridade da estrutura das comunidades peixes entre a área fechada e aberta à pesca na RESEX Marinha do Delta do Parnaíba  Estimar a biomassa (Nº de indivíduos e peso) e estrutura de comprimento da população de robalos (C. undecimalis) que ocorrerem na RESEX Marinha do Delta do Parnaíba;  Analisar a composição, diversidade e similaridade da estrutura das comunidades peixes;  Caracterização dos hábitats presentes nas duas áreas através dos parâmetros físico-químicos da água, regime pluviométrico e tipo de substrato e vegetação predominante na área;  Identificar as relações entre estrutura populacional do robalo-flecha e características espaciais do habitat (físico-químicos da água, substrato e vegetação, etc.);  Determinar como o regime pluviométrico influencia sazonalmente a estrutura populacional do robalo-flecha na RESEX Marinha do Delta do Parnaíba. 6. Metodologia
  • 11.
    O estudo foirealizado entre o período de fevereiro 2016 e abril 2017 na comunidade Ilha das Canárias, situada próxima à desembocadura do estuário do rio das Canárias, um dos braços do rio Parnaíba no Delta do Parnaíba (02°45’55”S e 041°50’41’’W), na divisa dos estados do Piauí e Maranhão. Estando localizada numa área de proteção ambiental do delta do Parnaíba (APA). 6.1. Coleta de dados de pesca Para obtenção dos dados de monitoramento do desembarque pesqueiro, foram realizadas coletas de dados diários através da aplicação de planilhas de desembarques (diários de bordo) nos principais pontos de auxílio ao escoamento da produção. Entre o período de fevereiro de 2016 e março de 2017 sendo obtidas informações sobre toda atividade de pesca: (I) dados da produção em número de indivíduos capturados por espécie (n) e peso (kg); (II) arte de pesca utilizada (rede de emalhe) e sua configuração e materiais utilizados (comprimento, largura e altura da rede, tamanho de abertura das malhas entre nós opostos e diâmetro do nylon, além do tipo de material); (III) O modo de operação do aparelho de pesca (deriva ou fixo, superfície ou fundo, número de lances, tempo de imersão, horário de captura ou despesca, fase lunar, e outras informações acerca da técnica de pesca empregada); (IV) Local de pesca; (V) Número de embarcações e número de tripulantes; (VI) Porto de Desembarque e (VII) Destino da produção (REVIZEE, 2004). 6.2. Amostras biológicas para estudo da reprodução As amostras de gônadas (testículos e ovários) dos peixes foram obtidas através dos desembarques pesqueiros (compra dos peixes inteiros diretamente aos pescadores) entre o período de abril 2016 e março 2017, conservadas em gelo e armazenadas no Laboratório de Bioecologia Pesqueira (Biopesca) da Universidade Federal do Piauí
  • 12.
    (Campus Parnaíba). Umamédia mensal de 30 indivíduos foi obtida de forma aleatória aos comprimentos e sexos, pesqueiros, fase lunares, e durante um período contínuo de 12 meses. Paralelamente, também forma obtidas amostras de indivíduos provenientes de lagoas e gamboas cujos são comumente capturados por outros aparelhos de pesca de forma não comercial (subsistência ou isca), levando em consideração toda estrutura populacional em comprimento e peso, e sua ontogenia. Em laboratório foram aferidos os comprimentos: total (CT), padrão (CP) e peso total (PT). Em seguida os indivíduos foram seccionados na região ventral para retirada dos ovários e testículos, e posteriormente medidos e pesados, aferindo-se os comprimentos e largura das gônadas direita e esquerda. Ao final desta etapa, os indivíduos tiveram seus pesos eviscerados (PE) aferidos. Neste procedimento foram também avaliados os sexos e as fases de desenvolvimento gonadal macroscopicamente, seguindo metodologia de (Hunter, 1985) e Murua et al. (2003), sendo as gônadas posteriormente fixadas em formol a 10 % e mantidas em potes plásticos. Para obtenção das análises através de cortes histológicos das gônadas, a amostras foram processadas em procedimento padrão, bateria de desidratação em álcool, diafanização em xilol, impregnação em parafina, corte em micrótomo rotativo (5 µm) e coloração em Hematoxilina-Eosina. As fases de maturidade sexual foram classificadas para machos e fêmeas de acordo com a chave proposta por Brown-Peterson et al. (2011): (I) imaturo, (II) em desenvolvimento, (III) capaz de desovar, (IV) ativamente desovando, (V) em regressão e (VI) em regeneração. E os estágios de desenvolvimento ovocitário como seguem: (a) pré-vitelogênico, (b) cortical alveoli, (c) vitelogênese primária, (d) vitelogênese
  • 13.
    secundária, (e) vitelogêneseterciária, (f) ovócito hidratado, (g) folículo pós-ovulatório e (h) folículo atrésico. 6.3. Análise dos dados da pesca Os dados de produção pesqueira foram analisados com relação a sua distribuição espacial (locais de pesca) e temporal (sazonalidade), incluindo a variação associada à configuração da arte pesca (comprimento de abertura das malhas, diâmetro do nylon, material e aparelho de pesca), rede de fixa ou deriva, horário de captura (dia e noite), fase lunar e regime de chuvas (precipitação em mm). O esforço de pesca foi obtido pelo número de pescadores, número de embarcações, número de viagens. A Captura por Unidade de Esforço (CPUE) foi estimada pelo volume em peso (kg) dividido por número de dias, ou hora para cada arte de pesca, e comprimento da rede (padronizada para cada 100m2 de rede). 6.4. Análise dos dados biológicos da reprodução Para análise das amostras biológicas, foram avaliados os comprimento e pesos dos indivíduos, sexo, fase de maturidade sexual e sua variação sazonal. A proporção sexual foi testada através do teste de Chi-quadrado (P < 0,05). Para determinação do Índice Gonadossomático (IGS) foi usada à equação: IGS=PG/PE*100 propostas e modificada de Shaeffer e Orange (1956) e adaptada por Maddock e Burton (1998), onde PG=peso da gônada em gramas (g) e PE=peso eviscerado em gramas (g). O comprimento de primeira maturação sexual (L50) foi estimado por meio de uma curva logística à frequência relativa de indivíduos em cada classe de comprimento (CP), de acordo com a fórmula Mf=
  • 14.
    1/[1+exp (a+b*100*CP) ],onde MF é a fração dos indivíduos que se encontram aptos a se reproduzirem (Beverton & Holt, 1956; Shinozaki-Mendes et al., 2007). O ajuste dos pontos será realizado através do método de máxima verossimilhança (maximun likelihood). Para classificar o tipo de desenvolvimento ovocitário e o padrão de regulação de fecundidade foram obtidas as frequências de diâmetros dos ovócitos para cada estágio de desenvolvimento dos ovócitos e para cada fase de maturidade sexual (Kjesbu et al., 2003). Para fecundidade foi adotada a metodologia adaptada de Hunter (1985), Murua et al. (2003), Kjesbu et al. (2003) e Evans et al. (2007), fecundidade por lote “Batch fecundity” através do método gravimétrico, onde se retira 3 amostras de 0,01 g para cada fêmea ativamente desovando, se conta os ovócitos hidratados e se usa a seguinte fórmula abaixo: F= ∑ Onde: F= produto do peso da gônada e densidade dos ovócitos Oi= número de ovócitos de cada porção Wi= peso de cada porção do ovário n= número de repetições de cada porção Wovário= peso de cada ovário 6.5. Aplicação da análise estatística para dados da pesca e de reprodução
  • 15.
    A análise estatísticase procedeu da seguinte forma, tanto para os dados de pesca quanto para as amostras biológicas. Os dados foram testados para verificar a homocedasticidade e normalidade (Shapiro-Wilk, P < 0,05). Quando os dados apresentaram distribuição simétrica e homocedasticidade foram usados os testes paramétricos, Teste t de Student (P < 0,05) e ANOVA (P < 0,05). Uma vez que os dados não apresentaram distribuição simétrica e heterocedasticidade, em seguida, foram aplicados os testes não paramétricos de Mann-Whitney (P < 0,05) e Kruskall-Wallis (P < 0,05) (Zar 2009). 6.6. Caracterização espacial e sazonal dos habitats para estudo de biomassa Os pontos de amostragens foram amostrados mensalmente ao longo do período, entre o período abril de 2016 e abril de 2017, totalizando 15 amostras. As amostragens foram diurnas durante as marés de quadratura em função das correntezas na área que dificulta as operações de pesca com redes de arrasto (picaré) e redes de emalhar no interior do Delta. Para caracterização do hábitat foram coletadas amostras de substrato e vegetação para identificar sua composição. Além disso, os registros fotográficos também auxiliaram nesta descrição. As variáveis físico-químicas (temperatura, pH, salinidade e condutividade elétrica, Oxigênio dissolvido) da água foram medidos in situ usando uma multisonda da marca HANNA, modelo HI 9828 v 2.1. Os dados sobre a Pluviosidade Média foram obtidos na Estação Meteorológica da Embrapa Meio Norte, localizada na BR 343, km 35, Zona Rural, Parnaíba-PI. 6.6.1. Coleta dos peixes para estudo de biomassa
  • 16.
    Para coleta dospeixes adotou-se o uso de um picaré com funil medindo 25 m de comprimento e 2 m de altura e tamanho de malha com 2 cm entre nós. As expedições foram realizadas com embarcação da Universidade Federal do Piauí ou alugada, no qual durou em torno de 6 a 8 horas. Em cada estação de amostra realizou-se, em média 3 arrastos. Durante a execução do arrasto 3 pessoas conduziam a rede, sendo 2 posicionadas na extremidade da rede e 1 na porção do funil para soltar a rede no caso de ficar presa no fundo e também contabilizar a área arrastada. Na embarcação, uma quarta pessoa ficava responsável pelo Georeferenciamento das estações de amostra com GPS, anotações em etiquetas para identificar as amostras, bem como o armazenamento em caixas térmicas. Os exemplares coletados foram levados para o Laboratório de Ictiologia da Universidade Federal do Piauí (LABIC), em Parnaíba. Primeiramente, realizamos taxonomia para identificação dos espécimes em menor nível taxonômico possível, seguido de biometria para obtenção de medidas zoológicas como peso, comprimento total e padrão. 6.7. Análise de dados de biomassa 6.7. 1. Biomassa e estrutura populacional A análise estatística para os dados coletados acerca da biomassa e abundância, bem como, das variáveis ambientais foram testados inicialmente para se verificar se atenderão a premissa de Normalidade e Homocedasticidade (Levene test, P < 0,05). Nos casos positivos, os dados foram submetidos ao teste paramétricos de Análise de Variância (P < 0,05) unifatorial e bifatorial entre
  • 17.
    áreas (aberta efechada à pesca) e estações seca e chuvosa com auxílio do programa STATISTICA. 7. Resultados 7.1. Monitoramento da Pesca Entre o período de 25 de fevereiro de 2016 e 25 de março de 2017, foram realizadas 1.482 entrevistas com pescadores através da aplicação direta de questionários semiestruturados durante o momento do desembarque pesqueiro, incluindo as mensurações dos comprimentos e pesos dos peixes.
  • 18.
    Desta maneira foipossível se obter informações sobre a produção diária por embarcação e recurso pesqueiro (especialmente o robalo flecha), esforço de pesca (tripulação, número de embarcações, número de lances), técnica de pesca empregada (rede de emalhe fixa ou deriva) além da especificação do material utilizado (tipo de náilon, medidas, e etc.), área de pesca, sazonalidade, além de outras informações necessárias ao entendimento da dinâmica das pescarias locais. As embarcações de pesca são na grande maioria de pequeno porte e caráter artesanal (< 10 TBA), com capacidade de apenas 3 tripulantes durante operação de pesca, autonomia de pescarias de ida e volta, propulsão principal a vela e motor de baixa potência (~ 12 HP). Durante o período de acompanhamento foram registradas 45 embarcações com frequência de pesca em trono de 3-5 dias por semana. Foram produzidos entre fevereiro de 2016 a março de 2017, 7.263 kg do robalo flecha (C. undecimalis) pela comunidade pesqueira da Ilha das Canárias, Delta do Rio Parnaíba, com uma produção média por viagem de pesca de 4,9 kg (1.482 viagens de pesca-ano) (Fig. 1A). No período chuvoso (1º semestre) foram capturados 4.673 kg (778 kg-mês ou 24,92 kg-dia) de robalo flecha (Fig. 1B). Enquanto no período seco (2º semestre) foi produzido 2.590 kg (431 kg-mês ou 13,81 kg- dia) (Fig. 2).
  • 19.
    Fig.1. (A) Produçãomensal (eixo Y1) e número de viagens da pesca (eixo Y2) do Robalo flecha C. undecimalis no Delta do Parnaíba entre o período de fevereiro 2016 e março 2017. (B) Produção mensal (eixo Y1) e Variação mensal do índice pluviométrico (eixo Y2) no Delta do Parnaíba (INMEP EMBRAPA Meio-Norte). Em relação ao esforço de pesca, no período chuvoso foram registradas 883 viagens de pesca (média de 4,7 embarcações-dia) com uma produção média de 5,2 kg ±7,1 DP por viagem, enquanto no período 0 20 40 60 80 100 120 140 160 180 200 0 200 400 600 800 1000 1200 N.deviagensdepesca(n) Produção(kg) Robalo flecha (C. undecimalis) Produção Esforço 0 50 100 150 200 250 300 350 0 200 400 600 800 1000 1200 Índicepluviométrico(mm) Produção(kg) Robalo flecha (C. undecimalis) Produção Índice Pluviométrico
  • 20.
    seco foram 599viagens de pesca (3,19 embarcações-dia) com 4,3 kg ±7,1 DP por viagem de pesca (Fig. 3). Quando avaliada a produção sazonal por embarcação-dia, no período chuvoso se obteve média de 5,3 kg por embarcação-dia, enquanto no período seco se observa uma média de 4,3 kg por embarcação-dia. Portanto o período chuvoso foi mais produtivo para pesca do robalo no Delta apresentando também diferença estatística significativa (Mann-Whitney; P < 0,05; P= 0,0010). Fig.2. Produção média por viagem de pesca do Robalo flecha C. undecimalis no Delta do Parnaíba entre o período de fevereiro 2016 e março 2017. Robalo flecha (C. undecimalis) Delta do Parnaíba (n= 1.482) Median 25%-75% Non-Outlier Range Outliers ExtremesFev/16 Abr/16 Jun/16 Ago/16 Out/16 Dez/16 Fev/17 0 10 20 30 40 50 60 70 Produção(kg-viagemdepesca)
  • 21.
    Fig.3. Produção médiapor viagem de pesca do Robalo flecha C. undecimalis no Delta do Parnaíba entre o período chuvoso e seco. Em relação a atividade de pesca no Delta, quando avaliado o valor do robalo flecha (~15 reais/kg) e a produção anual com 7.263 kg, foi obtido um valor total de 108.945,0 reais pelo valor direto de venda da produção. Foram identificados 8 portos de desembarques na Ilha das Canárias, com produção variando de 155,3 kg/ano (Porto do Carioca) e 4.162,7 kg/ano (Porto dos Santos). Em relação ao número de viagens de pesca para cada porto, as viagens variaram entre 16 (Porto do Trapiche) e 903 (Porto dos Santos) (Fig. 4). No entanto a produção média do Porto do Trapiche foi a maior com 13,9 kg-viagem de pesca devido o menor esforço empregado para captura (Fig. 5). Robalo flecha (C. undecimalis) Delta do Parnaíba (n= 1.482) Median 25%-75% Non-Outlier Range Outliers Extremes Chuvoso Seco 0 10 20 30 40 50 60 70 Produção(kg-viagemdepesca)
  • 22.
    Fig.4. Produção porPorto de desembarque (eixo Y1) e número de viagens (eixo Y2) da pesca do Robalo flecha C. undecimalis no Delta do Parnaíba entre fevereiro 2016 e março 2017. Fig.5. Produção média por número de viagens para o Porto de desembarque da pesca do Robalo flecha C. undecimalis no Delta do Parnaíba entre fevereiro 2016 e março 2017. 0 100 200 300 400 500 600 700 800 900 1000 0 500 1.000 1.500 2.000 2.500 3.000 3.500 4.000 4.500 Porto da Vovó Porto do Assis Porto do Carioca Porto do Gledson Porto do Raimundão Porto do Trapiche Porto dos Santos Nºdeviagensdepesca(n) Produção(kg) Porto de desembarque Produção Esforço Robalo flecha (C. undecimalis) Delta do Parnaíba (n= 1.482) Median 25%-75% Non-Outlier Range Outliers Extremes PortodaVovó PortodoAssis PortodoCarioca PortodoGledson PortodoRaimundão PortodoTrapiche PortodosSantos Var8 Var9 0 10 20 30 40 50 60 70 Produção(kg-viagemdepesca)
  • 23.
    Entre os locaisde pesca (pesqueiros) foram identificados 7 pesqueiros, com produção variando entre 15,4 kg-ano (Pontal) e 2.794 kg-ano (Canal) (Fig.6). Em relação ao esforço (número de viagens de pesca), variou entre 1 viagem (Canto da Barraca) e 761 viagens (Canal). O pesqueiro Canto do Navio apresentou a maior produção média por viagem com 16,9 kg, devido ao menor esforço em número de viagens com apenas 34 (Fig. 7). Fig.6. Produção por Porto de local de pesca (eixo Y1) e número de viagens (eixo Y2) da pesca do Robalo flecha C. undecimalis no Delta do Parnaíba entre fevereiro 2016 e março 2017. 0 100 200 300 400 500 600 700 800 0 500 1.000 1.500 2.000 2.500 3.000 Nºdeviagensdepesca(n) Produção(kg) Local de pesca Produção Esforço
  • 24.
    Fig.7. Produção médiapor número de viagens para o Local de pesca do Robalo flecha C. undecimalis no Delta do Parnaíba entre fevereiro 2016 e março 2017. Foram observadas duas principais artes de pesca utilizadas, rede de emalhe de deriva (4.763 kg-ano) e rede de emalhe fixa (2.500 kg-ano). As pescarias com redes de deriva realizaram 1.041 viagens de pesca, enquanto para rede de fixa foram realizadas 441 viagens de pesca (Fig. 8). A produção média da rede de deriva foi de 4,57±7,0 DP (kg-viagem de pesca) e a rede fixa 5,6±7,4 DP (kg-viagem de pesca), sendo a rede fixa mais produtiva (Mann-Whitney; P < 0,05; P= 0,007) (Fig.9). Robalo flecha (C. undecimalis) Delta do Parnaíba (n= 1.842) Median 25%-75% Non-Outlier Range Outliers Extremes BocadaBarra Canal Cantodabarraca CantodoNavio Lembrança Pontal PraiadoBernardo PraiadoPontal 0 10 20 30 40 50 60 70 Produção(kg-viagemdepesca)
  • 25.
    Fig.8. Produção portipo de rede de pesca (eixo Y1) e número de viagens (eixo Y2) da pesca do Robalo flecha C. undecimalis no Delta do Parnaíba entre fevereiro 2016 e março 2017. Fig.9. Produção média por tipo de rede de pesca do Robalo flecha C. undecimalis no Delta do Parnaíba entre fevereiro 2016 e março 2017. 0 200 400 600 800 1000 1200 0 1000 2000 3000 4000 5000 6000 Rede Deriva Rede Fixa Nºdeviagensdepesca(n) Produção(kg) Tipo de rede Produção Esforço Robalo flecha (C. undecimalis) Delta do Parnaíba (n= 1.482) Median 25%-75% Non-Outlier Range Outliers Extremes Rede deriva Rede fixa 0 10 20 30 40 50 60 70 Produção(kg-viagemdepesca)
  • 26.
    A relação daprodução com rede de deriva mostrou que os pesqueiros Canal (2.794 kg-ano) e Boca da Barra (1.253,2 kg- ano) representam a maior parte do volume das capturas. O pesqueiro Boca da Barra foi mais produtivo, com 6,4 kg-viagem de pesca (n=193), enquanto o pesqueiro Canal teve um maior número de viagens (n=761) e uma produção média de 3,6 kg-viagem de pesca (Fig.10). Fig.10. Produção por local de pesca (eixo Y1) e número de viagens (eixo Y2) da pesca com rede de emalhe de deriva do Robalo flecha C. undecimalis no Delta do Parnaíba entre fevereiro 2016 e março 2017. Para a pesca com rede fixa e sua produção por local de pesca (pesqueiros) se observa uma disparidade do pesqueiro Bernardo com 2.077 kg-ano. Entretanto o pesqueiro Boca da Barra foi mais produtivo (9,8 kg-viagem de pesca), devido apresentar menor número de viagens (n=25), enquanto foram necessárias 354 viagens de pesca para o Bernardo, que resultou numa produção média de 5,8 kg-viagem de pesca (Fig.11). 0 100 200 300 400 500 600 700 800 0 500 1000 1500 2000 2500 3000 Boca da Barra Canal Canto da Barraca Canto do Navio Lembrança Pontal Nºdeviagensdepesca(n) Produção(kg) Rede de deriva Produção Esforço
  • 27.
    Fig.11. Produção porlocal de pesca (eixo Y1) e número de viagens (eixo Y2) da pesca com rede de emalhe fixa do Robalo flecha C. undecimalis no Delta do Parnaíba entre fevereiro 2016 e março 2017. Foram encontradas 21 espécies que fazem parte da composição capturada pelas redes de emalhes de deriva e fixa empregadas no Delta (malhas 9-16 cm entre nós opostos). Entre as principais espécies capturadas o robalo flecha se destaca com uma produção anual de 7.263 kg, seguido pela pescada amarela (Cynoscion acoupa) com 928 kg-ano, o robalo peva (Centropomus paralelus) com 261 kg- ano, enquanto os somatórios das espécies restantes equivalem a apenas 680 kg-ano (18 espécies) (Fig. 12). Foi registrada a captura também do Camurupim ou pema (Megalops atlânticus) com 32,6 kg-ano. A Captura por Unidade de Esforço (CPUE) também mostra maior prevalência do robalo flecha (72,6 kg-100m2 -rede- ano), seguido pela pescada amarela (9,2 kg-100m2 -rede-ano) e o robalo peva (2,6 kg-100m2 -rede-ano) (Fig. 12). 0 50 100 150 200 250 300 350 400 0 500 1000 1500 2000 2500 Boca da Barra Canto do Navio Bernardo Praia do Pontal Nºdeviagensdepesca(n) Produção(kg) Rede fixa Produção Esforço
  • 28.
    Fig.12. Produção porespécie (eixo Y1) e Captura por Unidade de Esforço (CPUE, kg-100m2 -rede-ano) (eixo Y2) da pesca do Robalo flecha C. undecimalis no Delta do Parnaíba entre fevereiro 2016 e março 2017. Os comprimentos dos robalos capturados variaram entre 25 e 112 cm CT (média 71±10,3DP) e peso total (PT) entre 180 g e 13,2 kg (média 3,2±1,4DP) (Fig. 13-14). Fig.13. Comprimento total (CT) do robalo flecha capturado no Delta do Parnaíba. 0 10 20 30 40 50 60 70 80 0 1000 2000 3000 4000 5000 6000 7000 8000 CPUE(kg-100m2-rede-ano) Produção(kg) Produção CPUE 0 200 400 600 800 1000 1200 Numerodeindividuos(n) Comprimento Total ( cm) Centropomus undecimalis (n= 2.268)
  • 29.
    Fig.14. Relação comprimento-pesodo robalo flecha capturado no Delta do Parnaíba. Em relação a variação temporal dos comprimentos dos robalos flecha capturados no Delta ao longo dos meses do ano, se observa que a média é próxima aos 70 cm para maioria dos peixes capturados (Fig. 15). Fig.15. Comprimento médio do robalo flecha capturado no Delta do Parnaíba entre fevereiro 2016 e março 2017. 0 5 10 15 20 0 20 40 60 80 100 120 Peso(kg) Comprimento Total ( cm) Centropomus undecimalis (n= 2.268) Robalo flecha (C. undecimalis) Delta do Parnaíba (n= 2.268) Median 25%-75% Non-Outlier Range Outliers ExtremesFev/16 Abr/16 Jun/16 Ago/16 Out/16 Dez/16 Fev/17 20 30 40 50 60 70 80 90 100 110 120 Comprimentototal(mm)
  • 30.
    O peso médiodos robalos ao longo dos meses foi superior aos 3 kg, com raros peixes ultrapassando os 10 kg (Fig. 16). Fig.16. Peso médio do robalo flecha capturado no Delta do Parnaíba entre fevereiro 2016 e março 2017. Em relação aos comprimentos do robalo flecha para os locais de pesca (pesqueiros), se observa que a média está acima de 70 cm CT, porém o pesqueiro Lembrança apresentou média de 50 cm, e muitos peixes abaixo dessa faixa de comprimento (Fig. 17). Robalo flecha (C. undecimalis) Delta do Parnaíba (n= 2.268) Median 25%-75% Non-Outlier Range Outliers ExtremesFev/16 Abr/16 Jun/16 Ago/16 Out/16 Dez/16 Fev/17 0 2 4 6 8 10 12 14 Pesototal(kg)
  • 31.
    Fig.17. Comprimento médiodo robalo flecha capturado no Delta do Parnaíba entre fevereiro 2016 e março 2017. Robalo flecha (C. undecimalis) Delta do Parnaíba (n= 2.268) Median 25%-75% Non-Outlier Range Outliers Extremes BocadaBarra Canal CantodaBarraca CantodoNavio Lembrança Pontal Bernardo 20 30 40 50 60 70 80 90 100 110 120 Comprimentototal(cm)
  • 32.
    7.2. Biologia reprodutiva Noperíodo de abril de 2016 a março de 2017 foram coletados 467 espécimes do robalo-flecha Centropomus undecimalis na Ilha das Canárias. Os comprimentos variaram entre 42 e 112 cm (CT), com as fêmeas variando entre 58 e 110 cm (CT) e os machos entre 42 e 97 cm (CT) (Fig. 18-19). Fig.18. Frequência numérica (n) de indivíduos por classe de comprimento e sexo do robalo flecha capturado no Delta do Parnaíba entre fevereiro 2016 e março 2017. Fig.19. Frequência relativa (%) de indivíduos por classe de comprimento e sexo do robalo flecha capturado no Delta do Parnaíba entre fevereiro 2016 e março 2017. 0 50 100 150 200 Nºdeindivíduos(n) Comprimento Total (cm) (n= 467) Fêmeas Machos 0% 20% 40% 60% 80% 100% Nºdeindivíduos(n) Comprimento Total (cm) (n= 467) Fêmeas Machos
  • 33.
    A relação peso-comprimentopara fêmeas e machos apresentou em ambos os casos, alometria negativa (b<3) de 2,97 para fêmeas e 2,59 para machos, determinando um aumento do comprimento em relação à massa corpórea. Os pesos variaram entre 750 g a 10,31 kg, sendo para as fêmeas entre 1,49 e 10,31 kg (PT) e os machos entre 750 g e 7,22 kg (PT) (Fig. 20 A-B). Fig.20. (A) Relação Peso-Comprimento para as fêmeas do C. undecimalis capturado na rede de emalhe na pesca no Delta do Rio Parnaíba. (B) Relação Peso-Comprimento para os machos do C. undecimalis capturado na rede de emalhe na pesca no Delta do Rio Parnaíba. y = 0,0095x2,9768 R² = 0,8036 0 2000 4000 6000 8000 10000 12000 0 20 40 60 80 100 120 PesoTotal(g) Comprimento Total (cm) Fêmeas y = 0,0448x2,5976 R² = 0,8309 0 1000 2000 3000 4000 5000 6000 7000 8000 0 20 40 60 80 100 120 PesoTotal(g) Comprimento Total (cm) Machos
  • 34.
    A proporção sexualencontrada no total de peixes coletados foi de 1,6: 1 (machos:fêmeas), sendo significante estatisticamente (Teste de Qui-quadrado, ϰ2 =3,92, GL=1, P < 0,05) (Tabela 1). Ao longo dos meses apresentou proporção igual entre ambos os sexos (1:1), exceto nos meses de agosto (ϰ2 =10,0) e novembro (ϰ2 =19,6) em que os machos foram mais abundantes (Fig. 21). Tabela 1. Proporção sexual de fêmeas e machos de C. undecimalis capturados no Delta do Parnaíba por meses. Mês Fêmeas Machos Média Quí. Quadrado Abril/16 15 16 15,5 0,03 Maio/16 16 15 15,5 0,03 Junho/16 16 24 20 1,6 Julho/16 18 23 20,5 0,61 Agosto/16 10 30 20 10,00* Setembro/16 15 25 20 2,5 Outubro/16 11 31 21 9,52* Novembro/16 6 34 20 19,6* Dezembro/16 21 21 21 0 Janeiro/17 20 20 20 0 Fevereiro/17 16 24 20 1,6 Março/17 16 24 20 1,6 Total 180 287 19,45833333 3,92* *diferença estatística significativa (ϰ2 > 3,87) A proporção sexual em relação à classe de comprimento apresentou um maior número de machos em relação às fêmeas entre 42 e 71 cm, com 185 machos e 76 fêmeas. Sendo estatisticamente significante nas classes 42-51 cm e 52-61 cm (Teste de Qui- quadrado, ϰ2 = 29; ϰ2 = 42,3; GL=1; P < 0,05). A partir de 72 cm as fêmeas são mais abundantes em relação aos machos, 252 fêmeas e 78 machos (Tabela 2).
  • 35.
    Figura 21. Proporçãosexual ao longo dos meses para o C. undecimalis capturado na rede de emalhe na pesca no Delta do Rio Parnaíba. Tabela 2. Proporção sexual por classe de comprimento para fêmeas e machos do robalo-flecha capturado na Ilha das Canárias no Delta do Rio Parnaíba Comprimento Total (cm) Limite de classe Fêmeas (n) Machos (n) Média Quí. Quadrado 42 |-- 52 0 29 14,5 29* 52 |-- 62 9 65 37 42,37837838* 62 |-- 72 67 91 79 3,65 72 |-- 82 159 70 114,5 34,590* 82 |-- 92 79 5 42 65,19* 92 |-- 102 14 3 8,5 7,117647059* 102 |-- 112 10 0 5 10* Total 338 263 300,5 27,42 *diferença estatística significativa (ϰ2 > 3,87) 0% 10% 20% 30% 40% 50% 60% 70% 80% 90% 100% ProporçãoSexual Fêmeas Machos
  • 36.
    Em relação amaturidade sexual foram analisadas macro e microscopicamente 467 gônadas para fêmeas (n=180) e machos (n=287) respectivamente. Entre as fêmeas foram observados 3 espécimes na fase imatura, 59 em desenvolvimento, 66 capazes de desovar, 17 ativamente desovando, 18 em regressão e 16 em regeneração. Entre os machos, 66 estavam na fase imaturo, 129 em desenvolvimento, 31 capazes de desovar, 13 ativamente desovando, 33 em regressão e 0 em regeneração. As fêmeas imaturas foram caracterizadas pela presença apenas de ovócitos pré-vitelogênicos ou em crescimento primário (CP), com gônadas apresentando aspecto translúcido, finas e alongadas (< 13 g em peso). Na fase desenvolvimento se observam ovócitos a partir do estágio cortical alveolar, vitelogênese primária (Vtg1) e secundária (Vtg2), gônadas com pouca ou nenhuma vascularização visível e peso menor que 100 g. As fêmeas capazes de desovar apresentam ovócitos em vitelogênese terciária (Vtg3) em maior abundância nos cortes histológicos, gônadas com maior peso (entre 101 e 321 g), aspecto amarelo-alaranjado e bastante vascularização. Ativamente desovando foi caracterizada principalmente pela presença de ovócitos hidratados (OH) em conjunto com ovócitos Vtg3 e folículos pós-ovulatórios (FPO), gônadas visualmente apresentando grande volume devido a hidratação (> 260 g). As fêmeas em regressão apresentam ovócitos Vtg3 remanescentes em alfa ou beta atresia, com alta atividade de reabsorção dos ovócitos. Enquanto as fêmeas em regeneração exibem apenas ovócitos pré-vitelogênicos e atresia generalizada nos últimos estágios (gama e delta atresia), além da parede do ovário mais larga, o que a difere também das fêmeas imaturas. Ambas as gônadas, nas fases regressão e regeneração externamente exibem estrutura flácida com característica de hemorragia, e coloração roxo-avermelhado, pesando menos de 140 g (Fig. 22 A-D).
  • 37.
    Figura 22. Secçõestransversais histológicas dos ovários corados com H&E em diferentes fases de maturação. (A) imaturo (B) desenvolvimento, (C) capaz de desovar, (D) regeneração. Onde PG = ovócito de crescimento primário, OW = parede do ovócito, POF = folículo pós-ovulatório, CA = cortical alveolar, Vtg1 = ovócito vitelogênico primário, Vtg2 = ovócito vitelogênico secundário, Vtg3 = ovócito vitelogênico terciário, A = atresia, MB = feixe muscular. Em (A, B e C) barra = 40 μm; (D) barra = 100 μm. Os machos, diferentemente das fêmeas, exibem gônadas lobuladas e textura leitosa com coloração esbranquiçada externamente, variando apenas em ganho de peso à medida em que se desenvolvem durante a espermatogênese. Em nível histológico, os machos imaturos apresentam apenas os estágios iniciais espermatócitos e espermátides, gônadas com peso menor do que 5 g. OW PG MB A PG A CAVtg3 Vtg2 Vtg1 PG A B C D CA PG
  • 38.
    Em desenvolvimento começama aparecer também as espermatogônias, que se tornam mais numerosas e ocupam a maior parte dos espaços entre os túbulos seminíferos (5,1 -27 g em peso do testículo). Nas fases capazes de desovar e ativamente desovando surgem de forma mais abundante os espermatozoides nos túbulos seminíferos, diferenciando-se basicamente devido a abertura do epitélio germinal, no caso do testículo ativo (27,1 – 90 g em peso do testículo). Enquanto regressão e regeneração são observadas devido ao esvaziamento parcial e total dos túbulos seminíferos, com rápida absorção dos espermatozoides remanescentes (< 36 g) (Fig. 23 A-F). Figura 23. Secções histológicas de testículos corados com H&E em diferentes fases de maturação. (A) e (B) Desenvolvimento, (C) e (D) Capaz de desovar. Onde L= lúmen, ST = espermátide, Sc1= espermatócito primário, SPTZ = espermatozóide, VD = vaso
  • 39.
    deferente, CGE =epitélio germinal contínuo, Sg1= espermatogônia primária. Em (A, C e E) barra = 40 μm; (B, D, F e G) barra = 100 μm. Figura 23. Secções histológicas de testículos corados com H&E em diferentes fases de maturação. (E) e (F) Regressão, (G) Regeneração. Onde L= lúmen, ST = espermátide, Sc1= espermatócito primário, SPTZ = espermatozóide, VD = vaso deferente, CGE = epitélio germinal contínuo, Sg1= espermatogônia primária. Em (A, C e E) barra = 40 μm; (B, D, F e G) barra = 100 μm.
  • 40.
    0% 10% 20% 30% 40% 50% 60% 70% 80% 90% 100% Fêmeas (n=180) Regeneração Regressão Ativamente desovando Capazde desovar Desenvolvimento Imaturo Foram observados, ambos fêmeas e machos em condições reprodutivas (fase capaz de desovar) ao longo de todos os meses do ano, exceto entre agosto e setembro devido também a presença em maior número de indivíduos na fase de regressão e regeneração, indicando um período de menor atividade reprodutiva ou inatividade. O período reprodutivo indicado principalmente pela presença de indivíduos na fase ativamente desovando ocorre entre outubro e maio, quando observado o maior percentual de fêmeas com ovócitos hidratados e machos repletos de espermatozoides nos túbulos seminíferos (Fig. 24 e 25). Mesmo período em que o valores do Índice Gonadossomático (IGS) se encontram acima de 2% (IGS > 2,0) para as fêmeas. O que também é observado para agosto e setembro com valores menores de 2% (IGS < 2,0), período de repouso. E para os machos, atividade reprodutiva (IGS> 0,5) e menor atividade (IGS< 0,5) (Fig. 26).
  • 41.
    Figura 24. Proporçãopor fases de maturidade sexual para fêmeas ao longo dos meses para o C. undecimalis capturado na rede de emalhe na pesca no Delta do Rio Parnaíba. Figura 25. Proporção por fases de maturidade sexual para machos ao longo dos meses para o C. undecimalis capturado na rede de emalhe na pesca no Delta do Rio Parnaíba. 0% 10% 20% 30% 40% 50% 60% 70% 80% 90% 100% Machos (n= 287) Regeneração Regressão Ativamente desovando Capaz de desovar Desenvolvimento Imaturo
  • 42.
    Figura 26. Variação do Índice Gonadoss omático (IGS) para fêmeas e machos ao longo dosmeses para o C. undecimalis capturado na rede de emalhe na pesca no Delta do Rio Parnaíba. O comprimento médio de primeira maturação sexual (L50) para Centropomus undecimalis capturados no Delta do Parnaíba, foi estimado em 47,27 cm CT para fêmeas e 46,96 cm CT para os machos. Enquanto o L100 para ambos os sexos foi de 65 cm CT (Fig. 27). 0 0,5 1 1,5 2 2,5 3 3,5 4 4,5 IGS Robalo Flecha (Centropomus undecimalis) Delta do Parnaíba 20 40 60 80 100 Comprimento total (cm) 0,00 0,25 0,50 0,75 1,00 (%) L50 Comb=47,58 cm L50 Fêmeas=47,27 cm L50 Machos=46,96 cm
  • 43.
    Figura 27. Comprimentona primeira maturidade para fêmeas e machos de C. undecimalis capturados no Delta do Rio Parnaíba entre abril de 2016 a março de 2017 (n = 467). A fecundidade variou entre 896.000 mil ovócitos para uma fêmea com 63 cm de comprimento total (CT) para 7,6 milhões de ovócitos para uma fêmea com 102 cm CT, indicando incremento em fecundidade em relação ao crescimento em comprimento, em torno de 100% a cada 10 cm, ou 8 vezes superior em indivíduos acima de 100 cm (Fig. 28).
  • 44.
    Figura 28. Relaçãocomprimento total por número de ovócitos produzidos durante a desova para fêmeas de C. undecimalis capturados no Delta do Rio Parnaíba entre abril de 2016 a março de 2017 (n = 10). 8. Comentários gerais pesca e biologia reprodutiva Analisando alguns pontos dos dados coletados, pode-se dizer que o robalo é o produto com maior produção (~90%) na atividade de pesca da comunidade das Ilhas Canárias, quando comparado com as outras espécies. Levando-se em consideração ainda uma y = 144462x - 8E+06 R² = 0,6353 0 1000000 2000000 3000000 4000000 5000000 6000000 7000000 8000000 9000000 0 20 40 60 80 100 120 N°deovócitos Comprimento total (cm) FECUNDIDADE
  • 45.
    produtividade próxima aos10 kg-dia para o robalo-flecha, enquanto as outras espécies não ultrapassam os 2 kg-dia, mesmo quando incluindo o robalo-peva na análise. Em relação a sazonalidade das pescarias, é possível observar uma maior produção em volume total ao longo dos meses chuvosos. Isso tem uma implicação muito importante na estratégia de um possível período de defeso, e ou de restrição a pesca. Um dado importante identificado, está diretamente ligado aos comprimentos dos robalos capturados nos diversos pesqueiros. É claramente visível que o local de pesca Lembrança exerce um grande impacto de pesca em robalos pequenos, abaixo de 50 cm. Mas, vale ressaltar que embora as médias de comprimento dos peixes sejam acima de 70 cm para os outros pesqueiros, alguns destes apresentam alta incidência de captura em faixas de comprimento pequenos. Esta informação permitirá pensar numa estratégia de fechamento de área de pesca com impactos nos jovens ou sub-adultos. A fêmeas são mais abundantes em comprimento médio maior do que 80 cm, enquanto os machos geralmente se categorizam abaixo dos 70 cm, o que é observado também nas pescarias. Os pesqueiros de uma maneira geral, apresentam a mesma produtividade em kg-dia, variando próximo a 8 kg-dia, porém o Canal e a Boca da Barra forma mais produtivos. O período reprodutivo do robalo ocorre mais frequentemente na transição do período seco-chuvoso, com os valores mais
  • 46.
    elevados para oIGS (> 2) nestes meses respectivamente. Além da identificação de grande número de exemplares nas fases de maturidade capaz de desovar ou ativamente desovando. O L50 estimado para ambos os sexos se encontra próximo aos 47 cm, o que é relativamente pequeno e sugere um reflexo de um impacto sobre a população devido a intensidade de pesca. A fecundidade de indivíduos maiores do que 100 cm é aproximadamente 7 vezes maior do que um robalo entre 60 e 70 cm, o que indica a necessidade de preservar também os peixes grandes. 9. Sugestões para medidas de manejo pesca e biologia reprodutiva  Restringir o uso de malhas menores do que 6 cm entre nós opostos na RESEX Delta do Parnaíba  Proibir a pescarias no pesqueiro Lembrança devido ao elevado número de captura de robalos menores do que 50 cm.  Adotar a estratégia de área de direito exclusivo de pesca (TURF) e cadastrar os pescadores com licença especificas para estas áreas.
  • 47.
     Adotar áreasde exclusão de pesca, que poderia ser selecionado um dos pesqueiros na entrada da desembocadura do Rio Parnaíba.  Adotar um período de defeso ou descanso reprodutivo.  Adotar a estratégia de liberação dos grandes reprodutores (mega-spawners) quando possível.  Limitar o comprimento de captura dos robalos superior a 65 cm.  Proibir as pescarias dos jovens nas lagoas da RESEX. 10. Biomassa 10.1 – Área de estudo As atividades de coleta ocorreram em quinze expedições realizadas entre os meses de fevereiro de 2016 a abril de 2017 procurando explorar os diversos habitats do Ecossistema estuarino, como igarapés e lagoas. As três primeiras saídas foram reservadas para testes piloto objetivando-se a escolha do aparelho de pesca e técnica a ser adotada, bem como conhecimento das áreas onde seriam realizadas as coletas. Em função da sua
  • 48.
    topografia e tipode circulação o Rio Parnaíba apresenta uma formação Deltáica formado por diversos habitats como ilhas, bahias, canais ou igarapés, lagoas marginais e áreas alagadas (FARIAS et al, 2015). Para o estudo de C. undecimalis foram escolhidos três tipos de habitats com diferentes características, descritos a seguir: Lagoas marginais - Esses corpos d´água formam um dos principais componentes característicos do sistema rio-zona de inundação podendo ser heterogêneas em relação à forma, área superficial, profundidade média e grau de conexão com o rio principal (ARAUJO, 2008). No rio Parnaíba menor volume de água ocorre nos meses de julho a outubro, mas a partir de janeiro/fevereiro aumenta rapidamente, enchendo as muitas lagoas marginais existente (FARIAS et al., 2015). Igarapés – constituído por um braço longo de rio ou canal. Caracterizam-se pela pouca profundidade e por correrem quase no interior da floresta de mangue. Apenas pequenas embarcações, como canoas e pequenos barcos, podem navegar devido a sua baixa profundidade e por ser estreito. Margem do canal principal do rio Parnaíba – foram escolhidas áreas rasas e planas, com profundidades inferiores a 2 metros associada a vegetação de baixo porte como as gramíneas. A figura 29 apresenta um mapa com diferentes pontos de amostragens sinalizados no mapa (quadrados vermelho) foram georeferenciados durante as coletas.
  • 49.
    Figura 29 –Área de estudo destacando os pontos de amostragens (em vermelho) no estuário do delta do Rio Parnaíba no período de fevereiro de 2016 a maio de 2017. 10.2 - Estrutura da população de Robalos O comprimento total dos indivíduos de robalo C. undecimalis variou entre 8 a 32,6 cm, com média de 15,16 cm (Fig. 2). O maior número de indivíduos ocorreu na classe de 11,5-15,03 com 66 indivíduos, seguido das classes que variaram entre 15,03 a 22,06 cm com 28 e 23 indivíduos, respectivamente, embora a classe entre 8-11,5 registrou 24 (Fig. 30).
  • 50.
    Figura 30 -Classes de comprimentos (médias + desv. pad.) dos robalos C. undecimalis no Delta do Parnaíba entre abril de 2016 a abril de 2017. O Peso total dos indivíduos de C. undecimalis totalizou 4.435 g e variou entre 3,6 a 134,8 g, média de 29,17. O maior número de indivíduos encontra-se na classe 3,6-24,1 g com 89 indivíduos, seguidos da classe 24,1-44,6 com 32 indivíduos (Fig. 31). Figura 31 - Classes de peso (médias + desv. pad.) dos robalos C. undecimalis no Delta do Parnaíba entre abril de 2016 a abril de 2017. 0 10 20 30 40 50 60 70 80 Nºdeindivíduos Classes de comprimentos 0 20 40 60 80 100 120 Nºdeindivíduos Classes de pesos
  • 51.
    A figura 32mostra a relação peso-comprimento dos 151 indivíduos de Centropomus undecimalis. Através da Equação desta relação foi possível calcular o coeficiente de alometria, representado por b que foi de 2,8469. Indicando um crescimento do tipo alométrico negativo (b<3), pois o valor foi menor que 3, significando que houve maior incremento no comprimento do que em peso para esta espécie no período estudado. Figura 32 - Relação peso-comprimento dos robalos Centropomus undecimalis no delta do Parnaíba-Piauí entre abril de 2016 a abril de 2017. 10.3- Variação espacial na estrutura da população Espacialmente foram considerados três habitats distintos, portanto será analisado a estrutura populacional considerando-os. O maior número de indivíduos de C. undecimalis ocorreu na classe de comprimento entre 11,51-15,03 cm para os três habitats amostrados (Fig. 33). Os robalos dos igarapés apresentaram ocorrência entre as classes de comprimento 8 a 29 cm, apresentando maior número de indivíduos nas classes de comprimento entre 11 a 22 cm. Os indivíduos coletados nas margens do Rio apresentaram ocorrência apenas nas 3 primeiras classes entre 8 a 18 cm (Fig. 33). y = 0,0104x2,8469 R² = 0,938 0 20 40 60 80 100 120 140 160 180 200 0 5 10 15 20 25 30 35 Peso(g) Comprimento (cm)
  • 52.
    Os indivíduos registradosnas lagoas apresentaram ocorrência em todas as classes de comprimentos, sendo mais abundante nas classes de menor comprimento entre 8 e 15 cm, embora também registrou-se neste habitat os maiores exemplares capturados neste estudo (Fig. 33). Figura 33 - Classes de comprimentos dos indivíduos coletados nos diferentes habitats no Delta do Parnaíba entre abril de 2016 a abril de 2017. Quanto ao peso dos indivíduos de C. undecimalis verificou-se que nos três habitats, a maioria dos indivíduos apresentaram pesos entre 3,6 a 24,1 g, sendo que o maior número de indivíduos desta classe foi oriundo das Lagoas. Os indivíduos dos Igarapés apresentaram maiores pesos nas classes entre 24 a 85 gramas (Fig. 34). 0 5 10 15 20 25 30 35 Nºdeindivíduos Classes de comprimentos (cm) Lagoa Igarapé Rio Parnaíba 0 5 10 15 20 25 30 35 40 45 50 N°deindivíduos Classes de peso (g) Lagoa Igarapé Rio Parnaíba
  • 53.
    Figura 34 -Classes de pesos dos indivíduos coletados nos diferentes habitats no Delta do Parnaíba entre abril de 2016 a abril de 2017. Os maiores comprimentos e pesos médios foram significativamente maiores (ANOVA, p < 0,05; Teste LSD) nos indivíduos dos Igarapés com 16,2 cm e 34,9 g, respectivamente (Fig. 35) do que os outros habitats amostrados. Nas Lagoas os robalos apresentam peso médio de 24,62 g e comprimento médio de 14,36 menor que nos igarapés (ANOVA, p < 0,05; Teste LSD). Nas margens do rio Parnaíba os robalos apresentaram os menores pesos e comprimentos médios com 17,03 g e 12,94 cm, respectivamente (ANOVA, p < 0,05; Teste LSD) (Fig. 35). Igarapé Lagoa Rio Parnaíba Habitats 5 10 15 20 25 30 35 40 45 Pesototal(g),Comp.total(cm) Peso Comprimento Figura 35 - Comprimento (cm) e Peso (g) (médias + desv. pad.) dos indivíduos coletados nos 3 tipos de habitats no Delta do Parnaíba entre abril de 2016 a abril de 2017. Em relação à biomassa e abundância, os igarapés apresentaram a maior abundância (16,19) e biomassa (629,42 g) dentre os habitats amostrados (ANOVA, p < 0,05; Teste LSD) (Fig. 36). Nas Lagoas, a abundância (6,93) e biomassa (178,26 g) não foram significativamente diferentes das margens do rio em
  • 54.
    abundância (3,15) ebiomassa (55,77 g), porém estes dois habitats apresentaram o mesmo padrão com valores significativamente menores que os igarapés (ANOVA, p < 0,05; Teste LSD) (Fig. 36). Igarapé Lagoa Rio Parnaíba Habitats 0 100 200 300 400 500 600 700 800 Biomassa(g) 0 2 4 6 8 10 12 14 16 18 20 22 Abundância(Nºind.) Biomassa Abundância Figura 36 - Biomassa e Abundância (médias +desv.pad.) dos indivíduos coletados nos 3 tipos de habitats no Delta do Parnaíba entre abril de 2016 a abril de 2017. A densidade de indivíduos nos igarapés (0,025 ind/m²) foi maior apenas que nas margens do rio (0,0015 ind/m²) (ANOVA, p < 0,05; Teste LSD) (Fig. 37) Nas Lagoas, a densidade (0,016 ind/m²) não foi significativamente diferentes das margens do rio e também dos igarapés (ANOVA, p < 0,05; Teste LSD) (Fig. 37).
  • 55.
    Igarapé Lagoa RioParnaíba Habitats 0,000 0,005 0,010 0,015 0,020 0,025 0,030 0,035 Densidade(ind./m²) médias médias (+ desv. pad.) Figura 37 - Densidade (médias + desv. pad.) de indivíduos coletados nos 3 tipos de habitats no Delta do Parnaíba entre abril de 2016 a abril de 2017. O pH apresentou valores médios de 7,3; 7,5; 7,1 em igarapés, lagoas e margens do rio, respectivamente, não sendo significativamente diferente para os três habitats (ANOVA, p = 0,215) (Fig.38). A salinidade nos 3 ambientes amostrados foram significativamente diferentes entre si apresentando-se em ordem decrescente nas lagoas (31,97), igarapés (27,92) e muito inferior nas margens do rio (0,0031)(ANOVA, p < 0,01; Teste LSD) (Fig.38). Em relação a temperatura nos 3 ambientes amostrados foi possível observar que nas lagoas a temperatura média (30,50 °C) foi significativamente maior que os outros ambientes que apresentaram valores de temperatura de 29,02 e 29,92 (°C) nos igarapés e margem do rio, respectivamente, que foram semelhantes entre si (ANOVA, p < 0,01; Teste LSD) (Fig.38).
  • 56.
    Igarapé Lagoa RioParnaíba Habitats 0 5 10 15 20 25 30 35 40 Temperatura(ºC),Salinidade 0 3 6 9 12 15 pH Salinidade Temperatura pH Figura 38 - Temperatura (°C), salinidade (ppt) e pH (médias + desv. pad.) nos 3 tipos de ambientes amostrados no Delta do Parnaíba-Piauí entre julho de 2016 a abril de 2017.
  • 57.
    10.4- Variação sazonalna estrutura da população O período de amostragem considerado efetivo, desconsiderando-se o período detestes pilotos e treinamento, ocorreu entre abril de 2016 a abril de 2017. Destacando que nos primeiros meses de amostragens não conseguimos coletar C. undecimalis, embora o método empregado tenha capturado outras espécies de peixes. Nas análises a seguir apresentaremos os dados agrupados em semestres, sendo o primeiro semestre compreendido entre os meses de janeiro a junho e o segundo de julho a dezembro. Os espécimes de C. undecimalis apresentaram peso de 32,41 g e comprimento 15,71 cm que foram significativamente maiores no primeiro semestre do ano (p <0,05, Testes de Mann-Whitney ((U)). No segundo semestre os indivíduos apresentarem peso de 25,38 g e comprimento de 14,53 cm (Fig. 39). jan-jun jul-dez Semestres 0 5 10 15 20 25 30 35 40 45 50 Pesototal(g) 0 2 4 6 8 10 12 14 16 18 20 Comprimentototal(cm) Peso Comprimento Figura 39 – Pesos e Comprimentos (mediana) por semestres dos indivíduos coletado no Delta do Rio Parnaíba entre abril de 2016 a abril de 2017.
  • 58.
    A biomassa dosrobalos foi maior no primeiro semestre com valor de 578,23 g, enquanto no segundo foi de 183,26 g (p <0,05, teste de Mann-Whitney (U)) (Fig. 40). A abundância não foi significativamente diferente entre semestres, embora apresentasse valor de 14,78 para o primeiro semestre e de 7,23 ind. no segundo (p <0,05, Teste de Mann-Whitney (U)) (Fig. 40). jan-jun jul-dez Semestres 0 100 200 300 400 500 600 700 800 Biomassa(g) 0 2 4 6 8 10 12 14 16 18 20 Abundância(Nºind.) Biomassa Abundância Figura 40 – Abundância e Biomassa (mediana) por semestres de C. undecimalis no Rio Parnaíba entre abril de 2016 a abril de 2017. A maior densidade de robalos por área durante os arrastos foi registrada no primeiro semestre com 0,023 ind/m² enquanto no segundo foi de 0,014 ind/m² (p <0,05, teste de Mann-Whitney (U)) (Fig. 41).
  • 59.
    jan-jun jul-dez Semestres 0,000 0,005 0,010 0,015 0,020 0,025 0,030 0,035 0,040 Densidade(ind/m²) Figura 41– Densidades (mediana) por semestres de C. undecimalis no Rio Parnaíba entre julho de 2016 a abril de 2017. A pluviosidade média mensal apresentou maiores valores durante o primeiro semestre, janeiro a junho, com, medias de 147,3 mm e 32,5 no segundo semestre (Teste t, p< 0,01)(Fig. 42). jan-jun jul-dez Semestres -20 0 20 40 60 80 100 120 140 160 180 200 Pluviosidade(mm) média Média±EP Média±DP Figura 42 - Pluviosidade média por semestres no Rio Parnaíba entre abril de 2016 a abril de 2017.
  • 60.
    11.CONCLUSÕES E RECOMENDAÇÕESDO ESTUDO DE BIOMASSA  O comprimento dos indivíduos da espécie C. undecimalis na área de estudo variou entre 8 a 32,6 cm, média de 15,2, sendo que o maior número de indivíduos ocorreu na classe de comprimento entre 11 a 15 cm, isto indica que estes indivíduos encontram-se na fase de juvenis que usam o estuário do rio Parnaíba como área de recrutamento em função do abrigo pela complexidade do habitat.  O coeficiente de alometria negativo apresenta-se dentro padrão esperado para indivíduos com formato de corpo fusiforme se encontrando na fase juvenil em função da elevada taxa de crescimento.  Dentre os três tipos de habitats estudados no estuário do Rio Parnaíba, o maior número de indivíduos ocorreu na classe de comprimento entre 11,51-15,03 cm indicando que estes habitats são áreas de recrutamento dentro do estuário e merecem prioridade para conservação da espécie nesta fase do ciclo de vida. Portanto, recomendamos que as lagoas localizadas na Ilha das Canárias, Ilhas dos Poldros e Ilha do Caju seja consideradas como áreas de exclusão à pesca, pois são apenas três lagoas que desempenham este papel tão importante. Estas se apresentam fortemente alteradas, sobretudo nos canais de conexão com o rio e os igarapés. Observamos que nestas ilhas as lagoas sofrem fechamento temporário, inclusive com canais de alvenaria. Outro tipo de impacto identificado foi desmatamento das margens (mata ciliar), baixa profundidade devido ao assoreamento e pesca com aparelhos de pesca de baixa seletividade (malhas pequenas).
  • 61.
     Comparativamente, osigarapés mostraram-se mais importante como habitats para os juvenis de robalos, pois os parâmetros de estrutura populacional como biomassa, abundância e densidade foram superiores aos valores encontrados nas lagoas. Embora estas lagoas sejam secundárias em importância encontramos indivíduos com os menores e maiores comprimentos registrados no estudo. Isto sugere que os espécimes entram nas lagoas quando juvenis e permanecem até a fase jovem quando retornam para os igarapés. Vale salientar que as duas áreas mostraram-se como habitats preferenciais para abrigo e alimentação de juvenis de robalos, mas para outros jovens de espécies de valor econômico como a tainha (Mugil spp., media de 11 cm) e o camurupim (Megalops atlanticus, média de 25 cm). Portanto, recomendamos que haja a criação de legislação e sua respectiva fiscalização nestes igarapés do Estuário do Rio Parnaíba, regulamentando a pesca com a técnica de “TAPAGEM”. Esta técnica consiste no fechamento do igarapé com redes de malhas muito pequenas para fechar um determinado trecho do igarapé para impedir a passagem dos peixes e forçar seu emalhamento. Isto se faz necessário em função da forte pressão de pesca sobre parcelas de juvenis e jovens presentes neste habitat.  Algumas hipóteses sobre o papel ecológico das lagoas como área de berçário deverão ser comprovadas através de um experimento planejado, pois observamos que localmente, existem lagoas com conectividade com o rio e algumas têm sua conexão interrompida pelo homem, causando impedimento do fluxo de água, matéria e organismos. As características físico-químicas das águas das lagoas com temperatura e
  • 62.
    salinidade superior aosoutros habitats reforçam o quanto esta prática é prejudicial.  Sazonalmente, todas as medidas de estrutura populacional de peso e comprimento total, abundância, biomassa e densidade de robalos apresentou-se maior no período de junho a julho, coincidindo com período de maior pluviosidade média na região, desta forma reforça uma relação causa-efeito na estrutura da população desta espécie que usa o ambiente estuarino como área de recrutamento neste período pelo incremento de nutrientes e alimento. 12.DESCRIÇÃO SOBRE DESAFIOS ENFRENTADOS NO ESTUDO DE BIOMSSA  O maior desafio encontrado ainda continua sendo abranger uma área com grande extensão, por isso, as amostragens neste projeto buscaram caracterizar espacialmente a população de Robalos (Centropomus spp.) no estuário do Delta do Parnaíba.  No entanto medida que seja identificada a distribuição e habitats preferenciais da espécie, as amostragens serão repetidas nos mesmos pontos de forma a ter pelo menos uma amostragem na estação seca e outra na estação chuvosa.  Outro grande desafio é realizar arrastos dentro de um ecossistema com elevado hidro dinamismo que hora apresenta muita correnteza em movimentos alternados de enchente e vazante, mas sempre com correntezas. As intensidades destas correntes são maiores durante as marés de sizígias, mas em função das menores profundidades registradas neste período precisamos realizar as amostragens.
  • 63.
     Nesta áreade estudo, o substrato lamoso, com presença de galhos, ostras também dificulta o uso de arrasto com qualquer tipo de rede podendo danificar a rede e causar ferimentos nos coletores, mas a partir do conhecimento destas características dos habitats mais rasos está sendo possível realizar as coletas. 12. Referências bibliográficas Anderson, C. N. K., C. Hsieh, S. A. Sandin, R. Hewiit, A. Hollowed, J. Beddington, R. M. May, and G. Sugihara. 2008. Why fishing magnifies fluctuations in fish abundance. Nature (London) 452:835–839. AGOSTINHO, A. A. et al. Estraficación espacial y comportamiento de Prochilodus scrofa en distintas fases del ciclo de vida, en la planicie de inundación del alto río Paraná y embalse de Itaipu, Paraná, Brasil. Revue D'Hydrobiologie Tropicale, v. 26, n. 1, p. 79-90, 1993.
  • 64.
    Barroso, M.V; SOUZA,G. A; THOMÉ, J. C. A; LEITE JÚNIOR, N.O; MOREIRA, L. M.P; SANGALIA, C; SALES, E. F; DURÃO, J.N. 2007. Estratégias de conservação das populações de robalos Centropomus spp. na foz do Rio Doce, Linhares, Espírito Santo, Brasil. Rev. Bras. de Agroecologia, Vol.2, No.2. Begossi, A., Salivonchyk S.V., Araujo, L.G., Andreoli T.B., Clauzet, M. Martinelli C.M., Ferreira A.G.L., Oliveira L.E.C., Silvano R.A.M. 2011. Ethnobiology of snappers (Lutjanidae): target species and suggestions for management. Journal of Ethnobiology and Ethnomedicine, 7:11. Bittencourt, V. F. N. 2009. Proteção a Pesca do Robalo (Centropomus parallelus) na Foz do Rio Mambucaba, Angra do Reis-RJ. REVISTA - Educação Ambiental BE-597 / Volume 2, 38-43. Brown-Peterson, N. J., D. M. Wyanski, F. Saborido-Rey, B. J. Macewicz, & S. K. Lowerre-Barbieri. 2011. A standardized terminology for describing reproductive development in fishes. Marine and Coastal Fisheries: Dynamics, Management, and Ecosystem Science [online serial], 3:52–70. CAVALCANTE, C. C.: O uso de habitats costeiros como berçário de peixes no Ceará. 2014. 71f.: Dissertação (mestrado) – Universidade Federal do Ceará, Instituto de Ciências do Mar, Programa de Pós-Graduação em Ciências Marinhas Tropicais. Fortaleza, 2014. Cerqueira, V. R. Cultivo de robalo: aspectos de reprodução, larvicultura e engorda. Editora Autor, 94 p., Florianópolis, 2002. Cullis-suzuki, Sarika; Mcallister, M.; Baker, P.; Carruthers, T.; Tate, T.J. 2012. Red snapper discards in the Gulf of Mexico: Fishermen’s perceptions following the implementation of Individual Fishing Quotas. Marine Policy 36: 583–591. DE MENDONÇA, Maisa Clari Farias Barbalho. Autoecologia do camorim, Centropomus undecimalis (Bloch, 1792),(Perciformes: Centropomidae) em ambiente hipersalino em Galinhos, RN, Brasil. 2010. Fernandes, C. A. F., Oliveira, P. G. V. de, Travassos, P. E. P. F. & F. H. V. Hazin. 2012. Reproduction of the Brazilian snapper, Lutjanus alexandrei (Moura & Lindeman, 2007) (Perciformes: Lutjanidae), off the northern coast of
  • 65.
    Pernambuco, Brazil. NeotropicalIchthyology, 10 (3): 587- 592. Frédou, T., Ferreira, B.P., Letourneur, Y., 2009. Assessing the stocks of the primary snappers caught in Northeastern Brazilian reefs systems. 1: Traditional modeling approaches. Fisheries Research. 99 (2009) 90-96. Ganias, K. 2009. Linking sardine spawning dynamics to environmental variability. Estuarine, Coastal, and Shelf Science 84:402–408. Guzzi, A . Biodiversidade do Delta do Parnaíba: litoral piauiense. / Anderson Guzzi. – org. Parnaíba: EDUFPI, 2012. 466p. Hardardottir, K., Kjesbu, O.S., & G. Marteinsdottir. 2001. Relationship between atresia, fish size and condition in Icelandic cod (Gadus morhua L.). ICES CM2001/J:19. HUBER, C. G. Habitat preferences of juvenile Common Snook in the lower Rio Grande, Texas. 2007. Tese de Doutorado. Master’s thesis. Texas Tech University, Lubbock. Hunter. J. R. & B. Macewicz. 1985c. Measurement of spawning frequency in multiple spawning fishes. In: Lasker, R. (Ed). An egg production method for estimating spawning biomass of pelagic fish: application to the Northern Anchovy, Engraulis mordax. NOAA Technical Report NMFS, 36: 79-93. Lowerre-Barbieri, S. K., K. Ganias, F. Saborido-Rey, H. Murua, & J. R. Hunter. 2011b. Reproductive timing in marine fishes: variability, temporal scales, and methods. Marine and Coastal Fisheries: Dynamics, Management, and Ecosystem Science [online serial], 3:71–91. Machado, M. R. F. 2011. Caracterização Morfológica e Bioquímica do Sistema Digestório e Identificação por Isótopos Estáveis de Robalo Peva e Flexa Selvagens e de Cativeiro. Tese apresentada ao Programa de Pós - graduação em Aquicultura da UNESP – Campus de Jaboticabal, como parte das exigências para obtenção do título de Doutor(a) em Aquicultura. Jaboticabal São Paulo – Brasil 2011.
  • 66.
    Maddock, D. M.& M. P. Burton. 1998. Gross and histological of ovarian development and related condition changes in American plaice. Journal of Fish Biology, 53: 928-944. Murua, H., G. Kraus, F. Saborido-Rey, P. R. Witthames, A. Thorsen & S. Junquera. 2003. Procedures to estimate fecundity in fishes. Journal of Northwest Atlantic Fishery Science, 33: 33-54. Newman, S. J.; Cappo, M.; Williams, D. McB. 2000a. Age, growth, mortality rates and corresponding yield estimates using otoliths of the tropical red snappers, Lutjanus erythropterus, L. malabaricus and L. sebae, from the central Great Barrier Reef. Fisheries Research, 48: 1-14. Nogueira, A. B. 2009. Biologia de Centropomus parallelus POEY, 1860 no Sistema Baía de Guaratuba, Paraná, Brasil. Dissertação apresentada Programa de Pós-Graduação em Ciências Biológicas – Zoologia, Setor de Ciências Biológicas da Universidade Federal do Paraná, como requisito parcial à obtenção do título de Mestre em Ciências Biológicas área de concentração Zoologia. Odum, E.P. Ecologia. Rio de janeiro: Guanabara, 1988. 434 p. Rodrigues, P. P. R. Aspectos Reprodutivos do Robalo peba, Centropomus parallelus, na Foz do Rio Doce, Linhares/ES. Universidade Federal do Espírito Santo Centro de Ciências Humanas e Naturais Departamento de Ecologia e Recursos Naturais Curso de Graduação em Oceanografia, 2005. Soligo, T. A. 2007. Primeiras Experiências com a Reprodução, Larvicultura e Demame do Robalo Flexa, Centropomus undecimalis no Brasil. Dissertação apresentada ao curso de pós- graduação de aquicultura do centro de ciências agrárias da Universidade Federal de Santa Catarina, como requisito parcial a obtenção do titulo de mestre em aquicultura. Florianópolis. 2007. Sousa, M. L. N. M. 2011. Caracterização Morfológica de Gônadas de Machos do Robalo, Centropomus undecimalis (block, 1790) Oriundos de Cultivo e de Ambiente Natural. Dissertação apresentada ao Programa de Pós- Graduação em Ciências Veterinárias da Faculdade de Veterinária da Universidade Estadual do Ceará, como requisito parcial para a obtenção do grau de Mestre em Ciências Veterinárias. FORTALEZA-CE. 2011.
  • 67.
    Wallace, R. A.& K. Selman. 1981. Cellular and dynamic aspects of oocyte growth in teleosts. American Zoologist, 21:325–343. Zuur, A. F., Ieno, E. N. & Smith, G. M. 2007. Analysing ecological data. Statistics for biology and health. Heidelberg, Germany: Springer.