UNIVERSIDADE FEDERAL DO PARÁ
   INSTITUTO DE CIÊNCIAS EXATAS E NATURAIS




INTRODUÇÃO A FÍSICA QUÂNTICA




                 BELÉM-PA
INTRODUÇÃO


     Veremos como mais detalhe nesse trabalho sobre a Introdução a Mecânica
Quântica é uma teoria baseada no uso do conceito de uma unidade quantum para
descrever as propriedades dinâmicas de partículas subatômicas e as suas interações.
Começaremos a falar sobre a radiação do corpo Negro, efeito fotoelétrico e o efeito
Compton. E como a mecânica quântica foi importante para suas explicações como foi
iniciado pelo físico alemão Max Planck que postulou em 1900 que a energia só pode ser
emitida ou absorvida em pequenas unidades chamadas quanta. Também fundamental ao
desenvolvimento de Teoria Quântica é o Princípio de Incerteza formulado pelo físico
alemão Werner Heisenberg em 1927: é impossível determinar com precisão absoluta, no
mesmo instante, a posição e o momento de uma partícula. Quanto mais precisão
buscarmos em um aspecto, mais prejudicado vai ficar outro.

     Nos 18o e 19o séculos, a mecânica clássica (Newtoniana) parecia descrever
precisamente o movimento dos corpos. No final do 19o e início do 20o séculos, porém,
achados experimentais elevaram dúvidas sobre a perfeição de teoria Newtoniana. Entre
as observações mais novas estavam as linhas que aparecem nos espectros de luz
emitidas por gases aquecidos, ou gases nos quais descargas elétricas acontecem.

     Um dos aspectos principais da mecânica quântica é o seu caráter probabilístico,
que contrasta fortemente com o determinismo da física clássica. A impossibilidade de se
obter uma informação exata e completa a respeito de um sistema impressionou muito
quando a mecânica quântica foi descoberta.
Radiação Térmica.
     A radiação emitida por um corpo devido à sua temperatura é chamada radiação
térmica. Todo corpo emite esse tipo de radiação para o meio que o cerca, e dele o
absorve.
     A matéria em estado condensado emite um espectro contínuo de radiação, que é
praticamente independente do material particular do qual o corpo é composto, mas
dependem bastante da temperatura.
     Determinado tipo de corpo quente que emite espectros térmicos de caráter
universal, onde suas superfícies absorvem toda radiação térmica incidem sobre ele é
denominado corpo negro.
     A distribuição espectral da radiação do corpo negro é especificada pela quantidade
RT (ν) chamada radiância espectral, que é definida de forma que RT (ν) d ν seja igual à
energia emitida por unidade de tempo em radiação de freqüência compreendida no
intervalo de ν a ν + d ν por unidade de área de uma superfície a temperatura absoluta
T.
     Um exemplo de corpo negro pode ser considerado como um objeto que contém
uma cavidade ligada ao exterior por um pequeno orifício. A radiação térmica que incide
sobre o orifício vindo do exterior entra na cavidade e é refletida repetida vezes pela suas
paredes e eventualmente por elas absorvidas.
     Define-se densidade de energia ρT(ν), proporcional a radiância espectral RT (ν),
como a energia contida em um volume unitário da cavidade a temperatura T no
intervalo de freqüência ν a ν + d ν.
     No início do século XX, Rayleigh e jeans, fizeram o cálculo da densidade de
energia da radiação do corpo negro, que mostrou uma série divergência entre a física
clássica e física Moderna os resultados experimentais obtiveram a equação:


                     ρT(ν)dν = 8.π. ν2 . K. T dν / C3             (1)

     O gráfico abaixo representa (Linha pontilhada) previsão de Rayleig – Jeans e os
resultados experimentais.
Fig.1 Resultado experimental e clássico.

     O físico Max Planck apresentou seu artigo no ano de 1900, intitulado “Sobre a
teoria da Lei de distribuição de energia do espectro Normal”. Com ele, deu sua grande
contribuição, inaugurando à quântica. Para resolver este problema da radiação, do corpo
negro, considerou a energia como se ele fosse uma variável discreta em vez de uma
variável contínua. Com isso, verificou a proporcionalidade entre a variação de energia
∆E e a sua freqüência ν da radiação de acordo com a equação.
                               ∆E = h. ν              (2)
     Onde h é a constante de proporcionalidade denominada de constante de Planck,
cujo valor experimental vale h = 6,63 x 1034 J.s.
      A equação obtida por Planck para energia total média:


                             Ē = h.ν / eh.ν/ kT – 1     (3)

     E para densidade de energia:

              ρT(ν)dν = 8.π. ν2 .h. ν. Dν / C3. (eh.ν/ kT – 1)       (4)
     Que estão em total acordo com os dados experimentais.
Efeito Fotoelétrico.
        O efeito fotoelétrico é caracterizado pela emissão de elétrons pelas superfícies
livres de determinado metais, quando sujeitos à radiação de certos comprimentos de
onda.




                                  Fig.2 Efeito Fotoelétrico.


        Ao incidirmos um feixe de luz no catodo, os elétrons são liberados pela lâmina e
atraídos pelo anodo, é proporcional à intensidade da radiação monocromática que atinge
o catodo.
        O gráfico abaixo representa a variação de corrente fotoelétrica em função do
potencial V do catodo.
Fig3. Variação de corrente fotoelétrica em função do potencial V


     Einstein deu uma interpretação das leis do efeito fotoelétrico, supondo uma
estrutura corpuscular de energia h.ν, os fótons ou quanta de luz, que podem ser
completamente absorvidos pelos átomos da lâmina metálica. A energia de cada fóton
absorvido por um átomo é transformada em energia interna deste. Se h.ν for muito
grande, um elétron pode ser libertar do átomo, havendo emissão fotoelétrica. O
potencial Vo corresponde ao limiar da emissão fotoelétrica e permite determinara
energia cinética máxima dos elétrons emitidos pelo metal. A equação abaixo é
interpretada, então, supondo uma estrutura corpuscular da luz.


                              e.Vo = h.ν – W          (5)


     A energia cinética K = e.Vo com qual um elétron escapa do metal deve ser a
energia do fóton, h.ν, diminuída do trabalho necessário para que o elétron escape do seu
meio.
     Einstein, então, generalizou a idéia de Planck. Já que a quantização é necessária
para levar em conta a radiação do corpo negro e os calores específicos dos sólidos.




Efeito Compton.
     Uma confirmação do conceito do fóton como um pacote concentrada foi fornecida
em 1923 por A.H Compton, que recebeu em 1927 o prêmio Nobel por esse trabalho.
Compton fez incidir um feixe de luz monocromática de raios-X, de comprimento de
onda λ bem definida, em um bloco de grafita e mediu a intensidade dos raios-X em
função do seu comprimento de onda em diversos ângulos de espalhamento.
     A figura mostra o dispositivo experimental usado por Compton. Os comprimentos
de onda são medidos, observando-se as reflexões de Bragg. Sua intensidade são
medidas por meio de um detector, como, por exemplo, uma câmera de ionização.
Fig.4 Efeito Compton.


     Nota-se que embora o feixe incidente consista, essencialmente, de um único
comprimento de onda     λ, os raios X espalhados pela grafita apresentam picos de
intensidade em dois comprimentos de onda; um deles coincide com o feixe incidente; o
outro λ’ supera o primeiro de um valor ∆λ, chamada desvio de Compton, varia com o
ângulo segundo o qual se observam os raios X espalhados e é fornecido pela seguinte
equação:




     Logo, o desvio de Compton, ∆λ, depende apenas do ângulo de espalhamento θ e,
não do comprimento de onda inicia λ.
     A existência de uma onda espalhada, de comprimento de onda λ’, não poderá ser
explicada se os raios X incidentes forem considerados como ondas eletromagnéticas da
teoria de Maxwell.
     Compton conseguiu explicar os seus resultados experimentais, postulando que o
feixe incidente de raios X não se comportava como uma onda, mas como um conjunto
de fótons de energia E = h.ν e que esses fótons sofriam colisões, do tipo das bolas de
bilhar, com os elétrons livres do bloco de espalhamento. Os fótons “de recuo”,
emergentes do bloco constituíam a radiação espalhada. Como o fóton incidente transfere
parte de sua energia ao elétron com que colide, o fóton espalhado terá uma menor E’.
Deverá ter, portando, uma freqüência menor ν´ = E’/ h, o que implica apresentar um
maior comprimento de onda λ´= c / ν´. Essa explicação nos conduz, então, a diferença
entre os comprimentos de onda ∆λ.
     A figura a seguir, mostra um fóton, de comprimento de onda λ chocando-se com
um elétron em repouso. Na colisão, o fóton é espalhado de um ângulo θ e adquire um
comprimento de onda maior de λ´, enquanto o elétron se desloca com uma velocidade V
na direção dada pelo ângulo φ




                                Fig5. Colisão do fóton.


Postulado de de Broglie e Dualidade Onda Partícula.
     Broglie foi um físico experimental Frances que apoiou o ponto de vista de
Compton em relação à natureza corpuscular da radiação. Em sua tese de doutorado,
propôs a existência de ondas de matéria, onde cinco anos mais tarde recebeu o Prêmio
Nobel em Física.
     A hipótese de de Broglie era do que o comportamento dual, isto é, onda-partícula
da radiação também se aplicava à matéria. Assim como um fóton tem associado a ele
uma onda luminosa que governa seu movimento, também uma partícula material (um
elétron, por exemplo) tem associada uma onda de matéria que governa seu movimento.
     Ele propôs que os aspectos ondulatórios de matéria fossem relacionados com seus
aspetos corpuscular, exatamente de forma quantitativa com que esses aspectos são
relacionados para a radiação Então, a energia total E está relacionada à freqüência ν,
tanto para matéria quanto para a radiação, dada pela equação:


                                 E = h.ν           (7)
     E o momento p está associado do comprimento de onda λ, de acordo com:
P=h/λ            (8)
       A natureza ondulatória da matéria pode ser verificada pelos fiscos Elasser,
Thomson, Davisson e Gernir.
       Niels   Bohr   resumiu    a    situação   onda-partícula   em   seu   princípio   da
complementaridade. Os modelos corpusculares e ondulatórios são complementares, se
uma medida prova o caráter ondulatório da radiação onda matéria, então é impossível
provar o caráter corpuscular na mesma medida, vice-versa. A escolha de que modelo
usar é determinado pela natureza medida. Além disso, nossa compreensão da radiação
onda matéria está incompleta a menos que levemos em consideração tanto as medidas
que revelem os aspectos ondulatórios quanto os que revelem os corpusculares. Portanto,
a radiação e matéria não são apenas ondas ou apenas partículas.
       A complementaridade implica então em compreender a dualidade onda-partícula
como a necessidade do recurso as duas representações, excludentes em uma dada
experiência, para descrever exaustivamente as ações pode detecções da radiação e da
matéria.


O princípio da Incerteza.
       Heisenberg e Bohr mostraram que a interpretação probabilística é fundamental em
mecânica quântica e deve-se abandonar o determinismo.
Este princípio também chamado princípio de indeterminação afirma que uma
experiência não pode determinar simultaneamente o valor exato de uma componente de
momento (px, por exemplo) de uma partícula e também o valor exato da coordenada
correspondente, x. Em vez disso, a precisão de nossa medida está em si, de tal forma
que:


                                ∆px .∆x ≥ ħ / 2             (9)
       Logo, nenhuma componente de movimento de um elétron (partícula), livre ou
ligado, poderá ser avaliado com precisão ilimitado.
       A constante de Planck, h, provavelmente não apareceu em qualquer outra fórmula
de com um significado mais profundo do que a equação acima. Se fosse igual a zero, em
vez de h, estariam corretas as noções clássicas sobre a partícula e órbitas. Seria possível,
então, medir-se com precisão ilimitada a posição e o momento. O aparecimento de h
significa que as idéias clássicas são incorretas; o valor de h informa sob que
circunstâncias devem ser substituídas os conceitos clássicos pelos quânticos.
   A relação de incerteza revela por que e possível, tanto para a luz quanto para a
matéria, possuir uma natureza dualística de onda e corpuscular. E porque ambos os
conceitos, tão obviamente contraditórios, nunca poderão ser confrontados em uma
mesma experiência. Se criar uma situação que obrigue o elétron a revelar fortemente o
seu caráter ondulatório, a sua natureza corpuscular tornar-se-á inerentemente indistintas.
Modificando – se as condições, de modo a evidenciar mais fortemente seu caráter
corpuscular, a sua natureza ondulatório ficará necessariamente distintas. A matéria e a
luz comportam-se como moedas, capazes que são de mostrar uma face de cada vez, mas
não as duas ao mesmo tempo.




Modelos Atômicos.

i) Modelo de Thomson.

     J.J Thomson, por volta de 1910, propôs uma tentativa de descrição, ou modelo, de
um átomo, segundo o qual os elétrons carregados negativamente estariam localizados no
interior de uma distribuição contínua de carga positiva, conhecida como “pudim com
passas”.
     Em um átomo que esteja em seu estado de energia possível, os elétrons estariam
fixos em suas posições de equilíbrio. Em átomos excitados, os elétrons vibrariam em
torno de suas posições de equilíbrio. Como a teoria do eletromagnetismo prevê um
corpo carregado acelerado, como um elétron vibrando, emite radiação eletromagnética,
era possível entender qualitativamente a emissão de radiação por átomos excitados. No
entanto, esse modelo não estava em concordância quantitativa como os dados
experimentais.

ii) Modelo de Rutherford

     Na estrutura do átomo, todas as cargas positivas, e conseqüentemente toda sua
massa, são suposta concentradas em uma pequena região no centro chamado núcleo
com elétrons girando ao seu redor.
Criou esse modelo através de sua experiência do espalhamento de partículas α em
uma lâmina de ouro.



iii) Modelo de Bohr

       Em 1913, Niels Bohr, baseado em investigações do espectro do átomo de
hidrogênio, desenvolveu um modelo que apresentava concordância qualitativa com os
dados espectroscópios.
       Elaborou quatro postulados para explicar seu modelo atômico. Estes postulados
são:

   1- Um elétron em uma átomo se move em uma órbita circular em torno de um
        núcleo sob influencia da atração colombiana entre o elétron e o núcleo,
        obedecendo às leis da mecânica clássica L = n. ħ        n=1,2,3 ...
   2- Em vez da infinidade de órbita que seriam possíveis, segunda a mecânica
        clássica, um elétron só pode se mover em uma órbita na qual seu momento
        angular orbital L é um múltiplo inteiro de ħ.
   3- Apesar de estar constantemente acelerado, um elétron que se move em uma
        dessas órbitas possíveis não emite radiação eletromagnética. Portando sua
        energia total E permanece constante.
   4- É emitida radiação eletromagnética se um elétron, que se move inicialmente
        sobre uma órbita total Ei, muda seu movimento descontinuamente de forma a se
        mover em uma órbita de energia total Ef. A freqüência da radiação emitida ν é
        igual à quantidade (Ei   –   Ef ) devida a constante de Planck h.


Logo,




       A freqüência ν é função dos estados quânticos inicia (ni) e final (nf ).
O modelo de Bohr consegue prever as séries espectrais de Lymon (nf = 1), Balmer
(nf = 2) e Paschen (nf = 3 ).




                                   Fig.6 Séries Espectrais.




O Princípio da correspondência.


Estes princípios enunciados por Bohr em 1923 constituem.


    1- As previsões da teoria quântica para o comportamento de qualquer sistema físico
        devem corresponder às previsões da física clássica no limite no qual os números
        quânticos que especificam o estado de um sistema se tornam muito grandes.
    2- Uma regra e seleção são validas para todos números quânticos possíveis.
        Portando, todas as regras de seleção que são necessárias para obter a
        correspondência exigida no limite clássico (n grande) também se aplicam no
        limite quântico (n pequeno).
Teoria de SchrÖdinger da Mecânica Quântica.


     A teoria Schrödinger propõe um método para a descrição em um caso mais geral,
do comportamento de partículas em qualquer sistema microscópico, através da idéia dos
estados estacionária dos átomos correspondentes a onda, estacionário de matéria.
     A grandeza mais importante na descrição de Schrödinger (Mecânica Ondulatória)
é a função de onda Ψ, que mede a “perturbação” ondulatória das ondas matéria.
     A função Ψ = Ψ(x,t) em uma dimensão é a solução da equação de Schrödinger,
descrita abaixo.




     Onde V(x,t) é a energia potencial da partícula. Devido a solução de a equação ser
imaginária, Max Born em 1926 foi o primeiro a sugerir que , o valor da probabilidade
P(x,t) = Ψ*(x,t) Ψ(x,t) = Ψ2 (x,t) exprimiria a probabilidade de partícula estar nesse
ponto, pois no leva a um número real. Mas exatamente, considerando- se um elemento
de volume dV que contenha esse ponto. Esta interpretação de Ψ fornece uma relação
estatística entre a partícula e a onda associada, diz-nos onde a partícula provavelmente
estará e não onde de fato está.


     O colapso do pacote de onda e o gato de Scrödinger.
     Desde 1927, Heisenberg e Born tinha introduzida a idéia do que se tornamos uma
partícula descrita quanticamente por um “pacote de onda”, durante um processo de
medição de posição dessa partícula ocorre uma redução deste “pacote de onda”.
     O matemático Jhon Von Neuman realizou um estudo sobre as estruturas
matemática mais geral compatíveis com os diversos formalismos da teoria quântica.
Com isso ele evidenciou o problema do espalhamento do “pacote de onda”.
      Ele analisou o processo da medição na nova teoria, tratando o aparelho de
medição como um objeto descrito pela teoria quântica e obteve o acoplamento entre os
estados do aparelho e do sistema-acoplamento descrito por uma superposição de autos-
estado e mostrou a necessidade de admitir que, durante um processo de medição o
processo sofre uma evolução descontinua, logo não descrita pela equação de
Schrödinger, sendo reduzido “colapso” a um dos autos estados.
     A experiência conhecida como “O gato de Schrödinger” descrever a situação de
colapso proposta anteriormente. Imaginemos uma caixa fechada, onde um sistema
quântico (um átomo radioativo, por exemplo) com 50% de chance de emitir, ou não,
após um certo intervalo de tempo, uma determinação da partícula, é acoplada (através
de um contador Geiger, por exemplo) a um disparador capaz de deflagrar a quebra de
um frasco onde há uma substância letal. Dentro da caixa temos também um gato, que ali
foi colocado vivo. Schrödinger então nos pergunta pelo estado do sistema macroscópico
(caixa,gato, substância letal e sistema quântica), decorrido aquele certo intervalo de
tempo. A solução de Von Nwmann descrever o estado como a combinação linear “gato
vivo” e “gato morto”. Este estado quântico será reduzido (colapso) a uma das hipóteses
quando um observador abrir a caixa.




                            Fig7. O gato de Schrödinger.
Conclusão.


      Concluímos, portanto, que a Mecânica Quântica, é uma teoria usada em casos que
envolvem corpos microscópicos e velocidades altas, como os elétrons e prótons. Suas
principais conclusões são que, em estados ligados, a energia se troca de modo
descontínuo; e que é impossível atribuir ao mesmo tempo uma posição e uma
velocidade exatas a uma partícula. E que a participação de Albert Einstein, Max Planck,
Louis de Broglie e Thomas Young, entre outros físicos, foram expressivas para o
desenvolvimento da Física Quântica, uma teoria que representou uma revolução na
maneira de ver o mundo.
APÊNDICE



Equação do Efeito Compton

     A energia de um fóton incidente de raio-X vale:


                                       E = h.ν         (1)



     A energia total relativística de uma partícula (elétron) em termos da massa de
repouso mo e sua velocidade v é:

                            E = mo. c2 / (1- v2/c2 )1/2         (2)


      O momento do fóton pode ser calculado da relação geral de energia relativística
total E.

                          E2 = c2. p2 + (mo .c2 )2           (3)

     Para o fóton mo = 0, então a equação (3) reduz-se a:c =


                                p = E / c = h.ν / c       (4)
                                          Ou

                                    p=h/λ              (5)
A conservação do momento para a colisão do fóton e do elétron, conforme a figura
vale:




                           po = p1.cosθ + p.cosφ               (6)

                           p1.senθ = p.senφ                         (7)

        Elevando (6) e (7) ao quadrado, temos:

                            (po - p1.cosθ)2 = p2.cos2φ        (8)

                                 p12.sen2θ = p2.sen2φ (9)


        Desenvolvendo e somando (8) e (9):

                      po2 - p12.cos2 θ – 2. po.p1cosθ = p2.cos2φ           +

                                 p1 - p1.cos2 θ = p2 - p2cos2φ

        Então:


                             po2 - p12 – 2. po.p1cosθ = p2 (10)


        Pela figura, a energia do fóton Eo antes da colisão pode ser escrita como:


                                        Eo = k + E1

                                        k = Eo - E1
ou


                       k = c ( po - p1)        (11)


                          2
Aplicando E = k + mo.c        em (3), temos:


                    ( k + mo. c2 )2 = c2 . p2 + (mo. c2 )2

                 k2 + mo .c4 + 2.k.mo .c2 = c2 .p2 + mo .c4

p2 = k2 / c2 + 2. k. mo = [c (po – p1 )]2 / c2 + 2.c.( (po – p1 ). mo   (12)




Comparando (12) e (10), obtemos.


    po2 - p12 – 2. po.p1cosθ = po2 + p12 – 2. po.p1 + 2.c. ( po - p1 ).mo

             - 2. mo.c.( po - p1 ) = - 2. po - p1 + 2. po.p1cosθ

                 - 2. mo.c.( po - p1 ) = 2. po p1 (1 – cosθ)

                     po - p1 / po .p1 = (1 - cosθ)/ mo.c

                 1/p1 – 1/p0 = (1 - cosθ)/ mo.c          xh

                     h/p1 – h/p0 = h.(1 - cosθ)/ mo.c

                     ∆λ = λ1 – λo = h.(1 - cosθ)/ mo.c          CQD
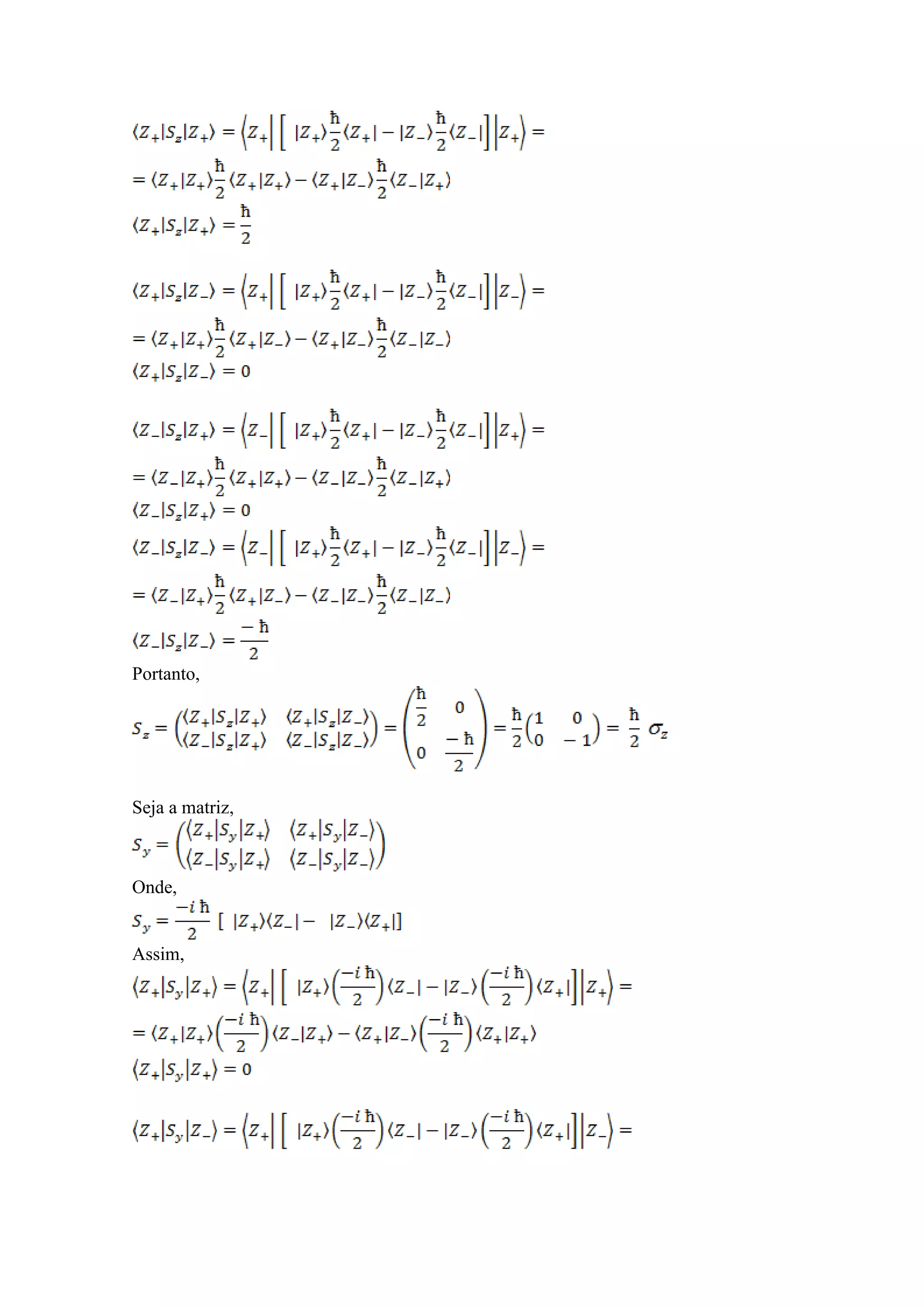
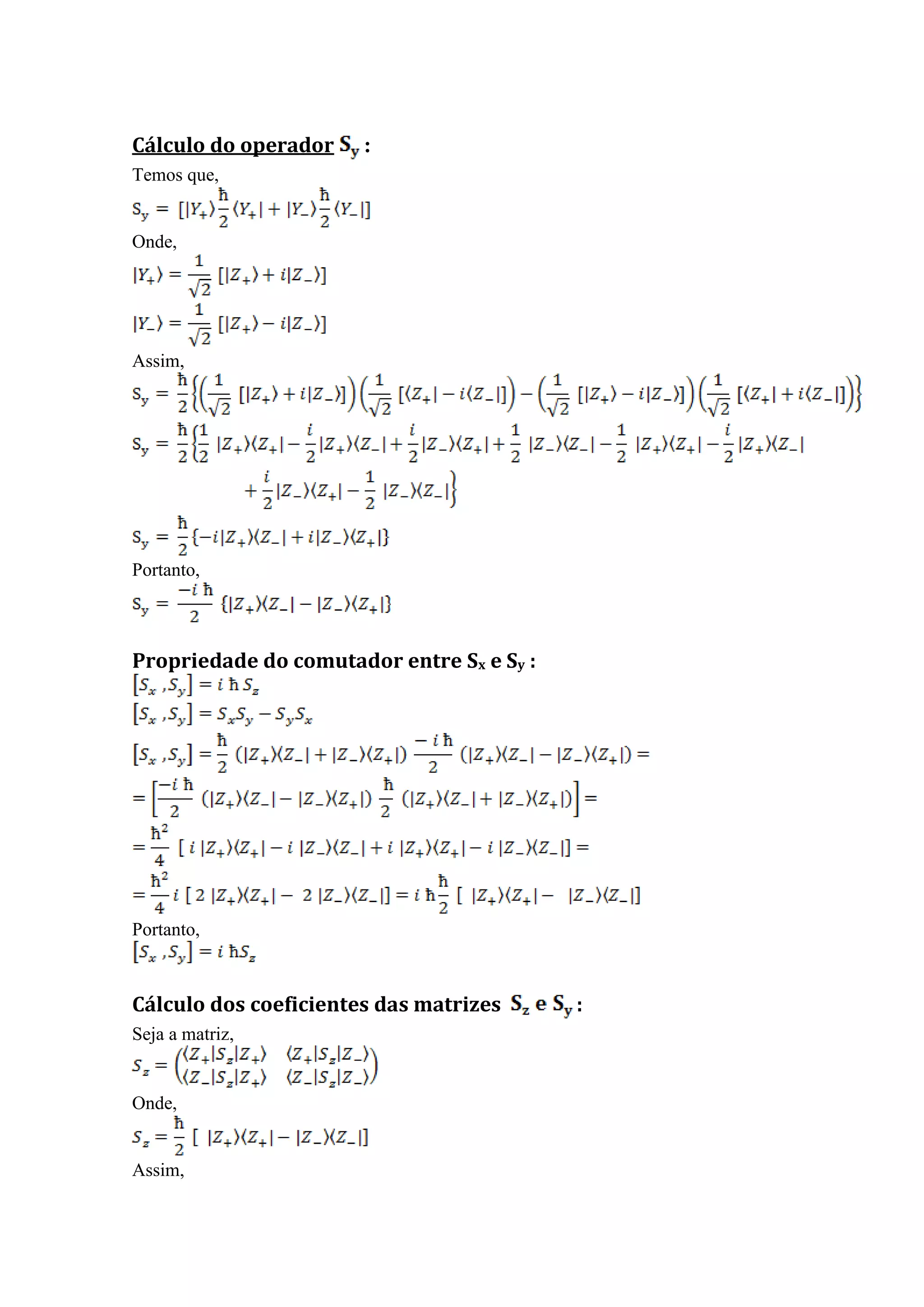
Cálculo do operador    :
Temos que,


Onde,




Assim,




Portanto,



Propriedade do comutador entre Sx e Sy :




Portanto,



Cálculo dos coeficientes das matrizes      :
Seja a matriz,


Onde,


Assim,
Portanto,




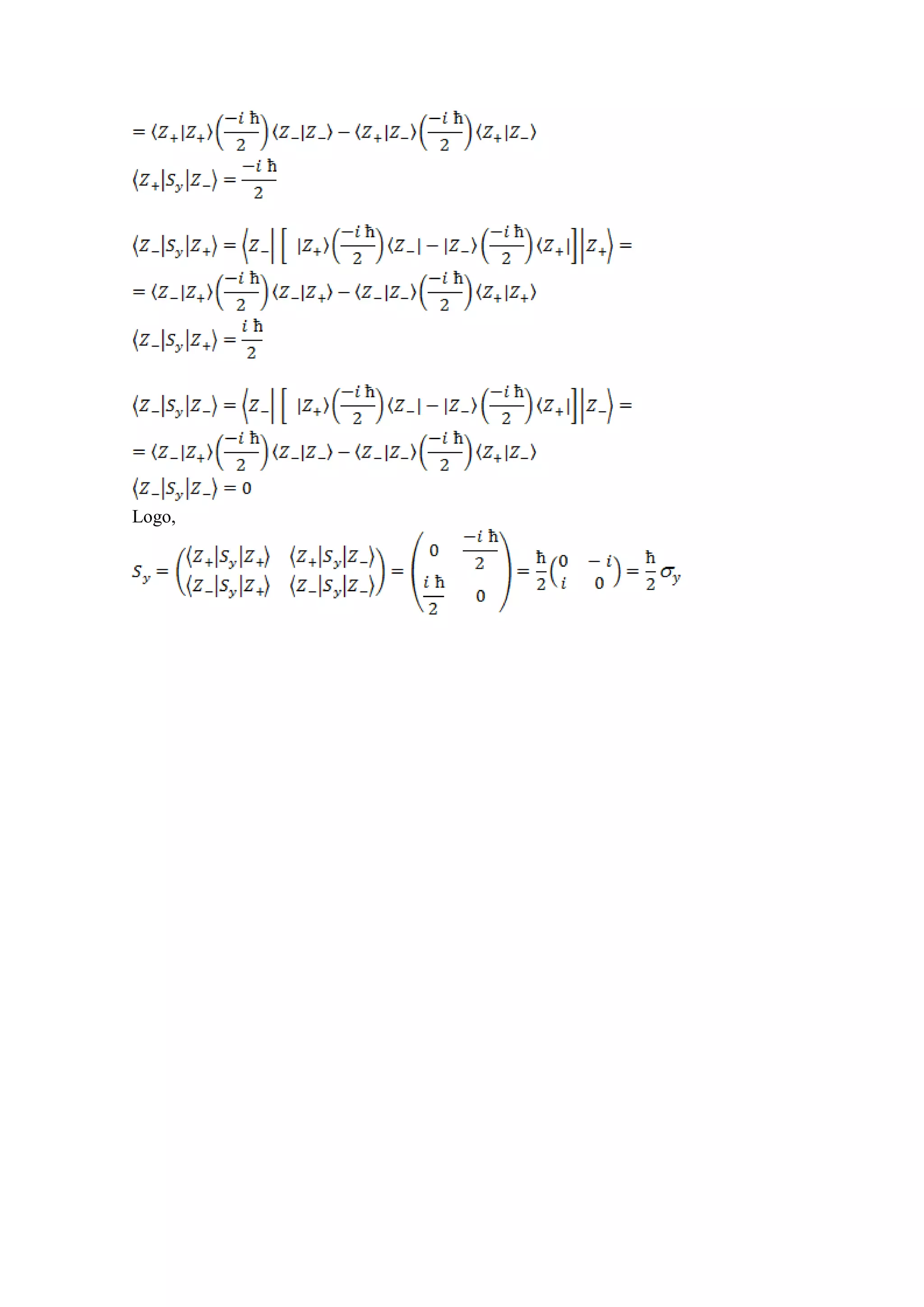
Seja a matriz,



Onde,


Assim,
Logo,

Fisica moderna2

  • 1.
    UNIVERSIDADE FEDERAL DOPARÁ INSTITUTO DE CIÊNCIAS EXATAS E NATURAIS INTRODUÇÃO A FÍSICA QUÂNTICA BELÉM-PA
  • 2.
    INTRODUÇÃO Veremos como mais detalhe nesse trabalho sobre a Introdução a Mecânica Quântica é uma teoria baseada no uso do conceito de uma unidade quantum para descrever as propriedades dinâmicas de partículas subatômicas e as suas interações. Começaremos a falar sobre a radiação do corpo Negro, efeito fotoelétrico e o efeito Compton. E como a mecânica quântica foi importante para suas explicações como foi iniciado pelo físico alemão Max Planck que postulou em 1900 que a energia só pode ser emitida ou absorvida em pequenas unidades chamadas quanta. Também fundamental ao desenvolvimento de Teoria Quântica é o Princípio de Incerteza formulado pelo físico alemão Werner Heisenberg em 1927: é impossível determinar com precisão absoluta, no mesmo instante, a posição e o momento de uma partícula. Quanto mais precisão buscarmos em um aspecto, mais prejudicado vai ficar outro. Nos 18o e 19o séculos, a mecânica clássica (Newtoniana) parecia descrever precisamente o movimento dos corpos. No final do 19o e início do 20o séculos, porém, achados experimentais elevaram dúvidas sobre a perfeição de teoria Newtoniana. Entre as observações mais novas estavam as linhas que aparecem nos espectros de luz emitidas por gases aquecidos, ou gases nos quais descargas elétricas acontecem. Um dos aspectos principais da mecânica quântica é o seu caráter probabilístico, que contrasta fortemente com o determinismo da física clássica. A impossibilidade de se obter uma informação exata e completa a respeito de um sistema impressionou muito quando a mecânica quântica foi descoberta.
  • 3.
    Radiação Térmica. A radiação emitida por um corpo devido à sua temperatura é chamada radiação térmica. Todo corpo emite esse tipo de radiação para o meio que o cerca, e dele o absorve. A matéria em estado condensado emite um espectro contínuo de radiação, que é praticamente independente do material particular do qual o corpo é composto, mas dependem bastante da temperatura. Determinado tipo de corpo quente que emite espectros térmicos de caráter universal, onde suas superfícies absorvem toda radiação térmica incidem sobre ele é denominado corpo negro. A distribuição espectral da radiação do corpo negro é especificada pela quantidade RT (ν) chamada radiância espectral, que é definida de forma que RT (ν) d ν seja igual à energia emitida por unidade de tempo em radiação de freqüência compreendida no intervalo de ν a ν + d ν por unidade de área de uma superfície a temperatura absoluta T. Um exemplo de corpo negro pode ser considerado como um objeto que contém uma cavidade ligada ao exterior por um pequeno orifício. A radiação térmica que incide sobre o orifício vindo do exterior entra na cavidade e é refletida repetida vezes pela suas paredes e eventualmente por elas absorvidas. Define-se densidade de energia ρT(ν), proporcional a radiância espectral RT (ν), como a energia contida em um volume unitário da cavidade a temperatura T no intervalo de freqüência ν a ν + d ν. No início do século XX, Rayleigh e jeans, fizeram o cálculo da densidade de energia da radiação do corpo negro, que mostrou uma série divergência entre a física clássica e física Moderna os resultados experimentais obtiveram a equação: ρT(ν)dν = 8.π. ν2 . K. T dν / C3 (1) O gráfico abaixo representa (Linha pontilhada) previsão de Rayleig – Jeans e os resultados experimentais.
  • 4.
    Fig.1 Resultado experimentale clássico. O físico Max Planck apresentou seu artigo no ano de 1900, intitulado “Sobre a teoria da Lei de distribuição de energia do espectro Normal”. Com ele, deu sua grande contribuição, inaugurando à quântica. Para resolver este problema da radiação, do corpo negro, considerou a energia como se ele fosse uma variável discreta em vez de uma variável contínua. Com isso, verificou a proporcionalidade entre a variação de energia ∆E e a sua freqüência ν da radiação de acordo com a equação. ∆E = h. ν (2) Onde h é a constante de proporcionalidade denominada de constante de Planck, cujo valor experimental vale h = 6,63 x 1034 J.s. A equação obtida por Planck para energia total média: Ē = h.ν / eh.ν/ kT – 1 (3) E para densidade de energia: ρT(ν)dν = 8.π. ν2 .h. ν. Dν / C3. (eh.ν/ kT – 1) (4) Que estão em total acordo com os dados experimentais.
  • 5.
    Efeito Fotoelétrico. O efeito fotoelétrico é caracterizado pela emissão de elétrons pelas superfícies livres de determinado metais, quando sujeitos à radiação de certos comprimentos de onda. Fig.2 Efeito Fotoelétrico. Ao incidirmos um feixe de luz no catodo, os elétrons são liberados pela lâmina e atraídos pelo anodo, é proporcional à intensidade da radiação monocromática que atinge o catodo. O gráfico abaixo representa a variação de corrente fotoelétrica em função do potencial V do catodo.
  • 6.
    Fig3. Variação decorrente fotoelétrica em função do potencial V Einstein deu uma interpretação das leis do efeito fotoelétrico, supondo uma estrutura corpuscular de energia h.ν, os fótons ou quanta de luz, que podem ser completamente absorvidos pelos átomos da lâmina metálica. A energia de cada fóton absorvido por um átomo é transformada em energia interna deste. Se h.ν for muito grande, um elétron pode ser libertar do átomo, havendo emissão fotoelétrica. O potencial Vo corresponde ao limiar da emissão fotoelétrica e permite determinara energia cinética máxima dos elétrons emitidos pelo metal. A equação abaixo é interpretada, então, supondo uma estrutura corpuscular da luz. e.Vo = h.ν – W (5) A energia cinética K = e.Vo com qual um elétron escapa do metal deve ser a energia do fóton, h.ν, diminuída do trabalho necessário para que o elétron escape do seu meio. Einstein, então, generalizou a idéia de Planck. Já que a quantização é necessária para levar em conta a radiação do corpo negro e os calores específicos dos sólidos. Efeito Compton. Uma confirmação do conceito do fóton como um pacote concentrada foi fornecida em 1923 por A.H Compton, que recebeu em 1927 o prêmio Nobel por esse trabalho. Compton fez incidir um feixe de luz monocromática de raios-X, de comprimento de onda λ bem definida, em um bloco de grafita e mediu a intensidade dos raios-X em função do seu comprimento de onda em diversos ângulos de espalhamento. A figura mostra o dispositivo experimental usado por Compton. Os comprimentos de onda são medidos, observando-se as reflexões de Bragg. Sua intensidade são medidas por meio de um detector, como, por exemplo, uma câmera de ionização.
  • 7.
    Fig.4 Efeito Compton. Nota-se que embora o feixe incidente consista, essencialmente, de um único comprimento de onda λ, os raios X espalhados pela grafita apresentam picos de intensidade em dois comprimentos de onda; um deles coincide com o feixe incidente; o outro λ’ supera o primeiro de um valor ∆λ, chamada desvio de Compton, varia com o ângulo segundo o qual se observam os raios X espalhados e é fornecido pela seguinte equação: Logo, o desvio de Compton, ∆λ, depende apenas do ângulo de espalhamento θ e, não do comprimento de onda inicia λ. A existência de uma onda espalhada, de comprimento de onda λ’, não poderá ser explicada se os raios X incidentes forem considerados como ondas eletromagnéticas da teoria de Maxwell. Compton conseguiu explicar os seus resultados experimentais, postulando que o feixe incidente de raios X não se comportava como uma onda, mas como um conjunto de fótons de energia E = h.ν e que esses fótons sofriam colisões, do tipo das bolas de bilhar, com os elétrons livres do bloco de espalhamento. Os fótons “de recuo”, emergentes do bloco constituíam a radiação espalhada. Como o fóton incidente transfere parte de sua energia ao elétron com que colide, o fóton espalhado terá uma menor E’. Deverá ter, portando, uma freqüência menor ν´ = E’/ h, o que implica apresentar um
  • 8.
    maior comprimento deonda λ´= c / ν´. Essa explicação nos conduz, então, a diferença entre os comprimentos de onda ∆λ. A figura a seguir, mostra um fóton, de comprimento de onda λ chocando-se com um elétron em repouso. Na colisão, o fóton é espalhado de um ângulo θ e adquire um comprimento de onda maior de λ´, enquanto o elétron se desloca com uma velocidade V na direção dada pelo ângulo φ Fig5. Colisão do fóton. Postulado de de Broglie e Dualidade Onda Partícula. Broglie foi um físico experimental Frances que apoiou o ponto de vista de Compton em relação à natureza corpuscular da radiação. Em sua tese de doutorado, propôs a existência de ondas de matéria, onde cinco anos mais tarde recebeu o Prêmio Nobel em Física. A hipótese de de Broglie era do que o comportamento dual, isto é, onda-partícula da radiação também se aplicava à matéria. Assim como um fóton tem associado a ele uma onda luminosa que governa seu movimento, também uma partícula material (um elétron, por exemplo) tem associada uma onda de matéria que governa seu movimento. Ele propôs que os aspectos ondulatórios de matéria fossem relacionados com seus aspetos corpuscular, exatamente de forma quantitativa com que esses aspectos são relacionados para a radiação Então, a energia total E está relacionada à freqüência ν, tanto para matéria quanto para a radiação, dada pela equação: E = h.ν (7) E o momento p está associado do comprimento de onda λ, de acordo com:
  • 9.
    P=h/λ (8) A natureza ondulatória da matéria pode ser verificada pelos fiscos Elasser, Thomson, Davisson e Gernir. Niels Bohr resumiu a situação onda-partícula em seu princípio da complementaridade. Os modelos corpusculares e ondulatórios são complementares, se uma medida prova o caráter ondulatório da radiação onda matéria, então é impossível provar o caráter corpuscular na mesma medida, vice-versa. A escolha de que modelo usar é determinado pela natureza medida. Além disso, nossa compreensão da radiação onda matéria está incompleta a menos que levemos em consideração tanto as medidas que revelem os aspectos ondulatórios quanto os que revelem os corpusculares. Portanto, a radiação e matéria não são apenas ondas ou apenas partículas. A complementaridade implica então em compreender a dualidade onda-partícula como a necessidade do recurso as duas representações, excludentes em uma dada experiência, para descrever exaustivamente as ações pode detecções da radiação e da matéria. O princípio da Incerteza. Heisenberg e Bohr mostraram que a interpretação probabilística é fundamental em mecânica quântica e deve-se abandonar o determinismo. Este princípio também chamado princípio de indeterminação afirma que uma experiência não pode determinar simultaneamente o valor exato de uma componente de momento (px, por exemplo) de uma partícula e também o valor exato da coordenada correspondente, x. Em vez disso, a precisão de nossa medida está em si, de tal forma que: ∆px .∆x ≥ ħ / 2 (9) Logo, nenhuma componente de movimento de um elétron (partícula), livre ou ligado, poderá ser avaliado com precisão ilimitado. A constante de Planck, h, provavelmente não apareceu em qualquer outra fórmula de com um significado mais profundo do que a equação acima. Se fosse igual a zero, em vez de h, estariam corretas as noções clássicas sobre a partícula e órbitas. Seria possível, então, medir-se com precisão ilimitada a posição e o momento. O aparecimento de h
  • 10.
    significa que asidéias clássicas são incorretas; o valor de h informa sob que circunstâncias devem ser substituídas os conceitos clássicos pelos quânticos. A relação de incerteza revela por que e possível, tanto para a luz quanto para a matéria, possuir uma natureza dualística de onda e corpuscular. E porque ambos os conceitos, tão obviamente contraditórios, nunca poderão ser confrontados em uma mesma experiência. Se criar uma situação que obrigue o elétron a revelar fortemente o seu caráter ondulatório, a sua natureza corpuscular tornar-se-á inerentemente indistintas. Modificando – se as condições, de modo a evidenciar mais fortemente seu caráter corpuscular, a sua natureza ondulatório ficará necessariamente distintas. A matéria e a luz comportam-se como moedas, capazes que são de mostrar uma face de cada vez, mas não as duas ao mesmo tempo. Modelos Atômicos. i) Modelo de Thomson. J.J Thomson, por volta de 1910, propôs uma tentativa de descrição, ou modelo, de um átomo, segundo o qual os elétrons carregados negativamente estariam localizados no interior de uma distribuição contínua de carga positiva, conhecida como “pudim com passas”. Em um átomo que esteja em seu estado de energia possível, os elétrons estariam fixos em suas posições de equilíbrio. Em átomos excitados, os elétrons vibrariam em torno de suas posições de equilíbrio. Como a teoria do eletromagnetismo prevê um corpo carregado acelerado, como um elétron vibrando, emite radiação eletromagnética, era possível entender qualitativamente a emissão de radiação por átomos excitados. No entanto, esse modelo não estava em concordância quantitativa como os dados experimentais. ii) Modelo de Rutherford Na estrutura do átomo, todas as cargas positivas, e conseqüentemente toda sua massa, são suposta concentradas em uma pequena região no centro chamado núcleo com elétrons girando ao seu redor.
  • 11.
    Criou esse modeloatravés de sua experiência do espalhamento de partículas α em uma lâmina de ouro. iii) Modelo de Bohr Em 1913, Niels Bohr, baseado em investigações do espectro do átomo de hidrogênio, desenvolveu um modelo que apresentava concordância qualitativa com os dados espectroscópios. Elaborou quatro postulados para explicar seu modelo atômico. Estes postulados são: 1- Um elétron em uma átomo se move em uma órbita circular em torno de um núcleo sob influencia da atração colombiana entre o elétron e o núcleo, obedecendo às leis da mecânica clássica L = n. ħ n=1,2,3 ... 2- Em vez da infinidade de órbita que seriam possíveis, segunda a mecânica clássica, um elétron só pode se mover em uma órbita na qual seu momento angular orbital L é um múltiplo inteiro de ħ. 3- Apesar de estar constantemente acelerado, um elétron que se move em uma dessas órbitas possíveis não emite radiação eletromagnética. Portando sua energia total E permanece constante. 4- É emitida radiação eletromagnética se um elétron, que se move inicialmente sobre uma órbita total Ei, muda seu movimento descontinuamente de forma a se mover em uma órbita de energia total Ef. A freqüência da radiação emitida ν é igual à quantidade (Ei – Ef ) devida a constante de Planck h. Logo, A freqüência ν é função dos estados quânticos inicia (ni) e final (nf ).
  • 12.
    O modelo deBohr consegue prever as séries espectrais de Lymon (nf = 1), Balmer (nf = 2) e Paschen (nf = 3 ). Fig.6 Séries Espectrais. O Princípio da correspondência. Estes princípios enunciados por Bohr em 1923 constituem. 1- As previsões da teoria quântica para o comportamento de qualquer sistema físico devem corresponder às previsões da física clássica no limite no qual os números quânticos que especificam o estado de um sistema se tornam muito grandes. 2- Uma regra e seleção são validas para todos números quânticos possíveis. Portando, todas as regras de seleção que são necessárias para obter a correspondência exigida no limite clássico (n grande) também se aplicam no limite quântico (n pequeno).
  • 13.
    Teoria de SchrÖdingerda Mecânica Quântica. A teoria Schrödinger propõe um método para a descrição em um caso mais geral, do comportamento de partículas em qualquer sistema microscópico, através da idéia dos estados estacionária dos átomos correspondentes a onda, estacionário de matéria. A grandeza mais importante na descrição de Schrödinger (Mecânica Ondulatória) é a função de onda Ψ, que mede a “perturbação” ondulatória das ondas matéria. A função Ψ = Ψ(x,t) em uma dimensão é a solução da equação de Schrödinger, descrita abaixo. Onde V(x,t) é a energia potencial da partícula. Devido a solução de a equação ser imaginária, Max Born em 1926 foi o primeiro a sugerir que , o valor da probabilidade P(x,t) = Ψ*(x,t) Ψ(x,t) = Ψ2 (x,t) exprimiria a probabilidade de partícula estar nesse ponto, pois no leva a um número real. Mas exatamente, considerando- se um elemento de volume dV que contenha esse ponto. Esta interpretação de Ψ fornece uma relação estatística entre a partícula e a onda associada, diz-nos onde a partícula provavelmente estará e não onde de fato está. O colapso do pacote de onda e o gato de Scrödinger. Desde 1927, Heisenberg e Born tinha introduzida a idéia do que se tornamos uma partícula descrita quanticamente por um “pacote de onda”, durante um processo de medição de posição dessa partícula ocorre uma redução deste “pacote de onda”. O matemático Jhon Von Neuman realizou um estudo sobre as estruturas matemática mais geral compatíveis com os diversos formalismos da teoria quântica. Com isso ele evidenciou o problema do espalhamento do “pacote de onda”. Ele analisou o processo da medição na nova teoria, tratando o aparelho de medição como um objeto descrito pela teoria quântica e obteve o acoplamento entre os estados do aparelho e do sistema-acoplamento descrito por uma superposição de autos- estado e mostrou a necessidade de admitir que, durante um processo de medição o
  • 14.
    processo sofre umaevolução descontinua, logo não descrita pela equação de Schrödinger, sendo reduzido “colapso” a um dos autos estados. A experiência conhecida como “O gato de Schrödinger” descrever a situação de colapso proposta anteriormente. Imaginemos uma caixa fechada, onde um sistema quântico (um átomo radioativo, por exemplo) com 50% de chance de emitir, ou não, após um certo intervalo de tempo, uma determinação da partícula, é acoplada (através de um contador Geiger, por exemplo) a um disparador capaz de deflagrar a quebra de um frasco onde há uma substância letal. Dentro da caixa temos também um gato, que ali foi colocado vivo. Schrödinger então nos pergunta pelo estado do sistema macroscópico (caixa,gato, substância letal e sistema quântica), decorrido aquele certo intervalo de tempo. A solução de Von Nwmann descrever o estado como a combinação linear “gato vivo” e “gato morto”. Este estado quântico será reduzido (colapso) a uma das hipóteses quando um observador abrir a caixa. Fig7. O gato de Schrödinger.
  • 15.
    Conclusão. Concluímos, portanto, que a Mecânica Quântica, é uma teoria usada em casos que envolvem corpos microscópicos e velocidades altas, como os elétrons e prótons. Suas principais conclusões são que, em estados ligados, a energia se troca de modo descontínuo; e que é impossível atribuir ao mesmo tempo uma posição e uma velocidade exatas a uma partícula. E que a participação de Albert Einstein, Max Planck, Louis de Broglie e Thomas Young, entre outros físicos, foram expressivas para o desenvolvimento da Física Quântica, uma teoria que representou uma revolução na maneira de ver o mundo.
  • 16.
    APÊNDICE Equação do EfeitoCompton A energia de um fóton incidente de raio-X vale: E = h.ν (1) A energia total relativística de uma partícula (elétron) em termos da massa de repouso mo e sua velocidade v é: E = mo. c2 / (1- v2/c2 )1/2 (2) O momento do fóton pode ser calculado da relação geral de energia relativística total E. E2 = c2. p2 + (mo .c2 )2 (3) Para o fóton mo = 0, então a equação (3) reduz-se a:c = p = E / c = h.ν / c (4) Ou p=h/λ (5)
  • 17.
    A conservação domomento para a colisão do fóton e do elétron, conforme a figura vale: po = p1.cosθ + p.cosφ (6) p1.senθ = p.senφ (7) Elevando (6) e (7) ao quadrado, temos: (po - p1.cosθ)2 = p2.cos2φ (8) p12.sen2θ = p2.sen2φ (9) Desenvolvendo e somando (8) e (9): po2 - p12.cos2 θ – 2. po.p1cosθ = p2.cos2φ + p1 - p1.cos2 θ = p2 - p2cos2φ Então: po2 - p12 – 2. po.p1cosθ = p2 (10) Pela figura, a energia do fóton Eo antes da colisão pode ser escrita como: Eo = k + E1 k = Eo - E1
  • 18.
    ou k = c ( po - p1) (11) 2 Aplicando E = k + mo.c em (3), temos: ( k + mo. c2 )2 = c2 . p2 + (mo. c2 )2 k2 + mo .c4 + 2.k.mo .c2 = c2 .p2 + mo .c4 p2 = k2 / c2 + 2. k. mo = [c (po – p1 )]2 / c2 + 2.c.( (po – p1 ). mo (12) Comparando (12) e (10), obtemos. po2 - p12 – 2. po.p1cosθ = po2 + p12 – 2. po.p1 + 2.c. ( po - p1 ).mo - 2. mo.c.( po - p1 ) = - 2. po - p1 + 2. po.p1cosθ - 2. mo.c.( po - p1 ) = 2. po p1 (1 – cosθ) po - p1 / po .p1 = (1 - cosθ)/ mo.c 1/p1 – 1/p0 = (1 - cosθ)/ mo.c xh h/p1 – h/p0 = h.(1 - cosθ)/ mo.c ∆λ = λ1 – λo = h.(1 - cosθ)/ mo.c CQD
  • 19.
    Cálculo do operador : Temos que, Onde, Assim, Portanto, Propriedade do comutador entre Sx e Sy : Portanto, Cálculo dos coeficientes das matrizes : Seja a matriz, Onde, Assim,
  • 20.
  • 21.