Incorporar apresentação
Baixado 176 vezes













































































































































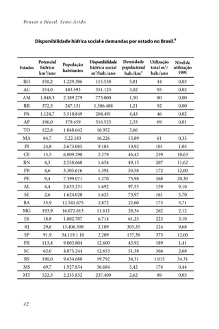
O documento apresenta uma visão holística sobre o Semi-Árido brasileiro, abordando seus aspectos culturais, sociais e econômicos. Discute a importância do rio São Francisco para a região e analisa os principais problemas relacionados à terra e à água. Por fim, reflete sobre as perspectivas de convivência com o Semi-Árido, apresentando tecnologias sociais desenvolvidas pelos habitantes da região.











































































































































