Transfira gratuitamente durante 30 dias
Fazer login
Carregar
Idioma (PT)
Suporte
Negócios
Celular
Mídias sociais
Marketing
Tecnologia
Arte e fotografia
Carreiras
Design
Educação
Apresentações e oratória
Governo e ONGs
Saúde
Internet
Direito
Liderança e gerenciamento
Indústria automotiva
Engenharia
Software
Recrutamento e RH
Varejo
Vendas
Serviços
Ciências
Pequenos negócios e empreendedorismo
Alimentos
Meio ambiente
Economia e finanças
Dados e análise
Relação com investidores
Esportes
Espiritual
Notícias e política
Turismo
Aperfeiçoamento pessoal
Imóveis
Diversão e humor
Saúde e medicina
Dispositivos e hardware
Estilo de vida
Mudar o idioma
Idioma
English
Español
Português
Français
Deutsche
Cancelar
Salvar
PT
Carregado por
luisresponde
1,062 visualizações
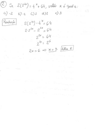
Questões de matemática - Conjuntos Numéricos
Resolução de questões para olimpíada de matemática
Educação
◦
Leia mais
1
Salvar
Compartilhar
Incorporar
Incorporar apresentação
Baixar
Baixar para ler offline
1
/ 2
2
/ 2
Mais conteúdo relacionado
PDF
Lista de exercícios ii 8º ano resolução ii trimestre 2017
por
luisresponde
DOC
Lista de exercícios i
por
luisresponde
PDF
Resolução da l ista iii do ii trimestre de 2017
por
luisresponde
DOCX
Roteiro de atividade no programa geogebra
por
luisresponde
PDF
Resposta dos exercícios de sala
por
luisresponde
PDF
Resolução da página 237 do livro athos matemática 9º ano
por
luisresponde
PDF
V lista de exercícios (resolução)
por
luisresponde
PDF
Iv lista de exercícios ii trimestre 8° ano matemática 2017
por
luisresponde
Lista de exercícios ii 8º ano resolução ii trimestre 2017
por
luisresponde
Lista de exercícios i
por
luisresponde
Resolução da l ista iii do ii trimestre de 2017
por
luisresponde
Roteiro de atividade no programa geogebra
por
luisresponde
Resposta dos exercícios de sala
por
luisresponde
Resolução da página 237 do livro athos matemática 9º ano
por
luisresponde
V lista de exercícios (resolução)
por
luisresponde
Iv lista de exercícios ii trimestre 8° ano matemática 2017
por
luisresponde
Destaque
PDF
V lista de exercícios ii trimestre 8° ano matemática 2017
por
luisresponde
PDF
IV Lista de Exercícios
por
luisresponde
PPT
Estatística para publicação
por
luisresponde
PDF
Iii lista de exercícios publicação estatística
por
luisresponde
PDF
Lista de exercícios publicação inequações
por
luisresponde
PDF
Iv lista de exercícios iii trimestre publicação Circunferência e Círculo
por
luisresponde
PDF
Resolução da lista iii med de tendencia central e gráficos
por
luisresponde
PDF
Resolução da lista ii inequações e sistema de inequações
por
luisresponde
PDF
I lista de exercícios frações algébricas para publicação
por
luisresponde
PDF
Projeto Estatística 2017 - 8º ano
por
luisresponde
PDF
Resolução produtos notáveis e fatoração
por
luisresponde
DOCX
Produtos notáveis e fatoração
por
luisresponde
PDF
Operações com polinômios resolução
por
luisresponde
DOCX
Operações com polinômios
por
luisresponde
PDF
Resolução caderno de atividades 8º ano pags 05 a 13
por
luisresponde
PDF
Atividade 9 ano
por
luisresponde
PDF
Como elaborar poster_unesp
por
Luis
PDF
Projeto adolescer 2016 matemática
por
luisresponde
PDF
I lista de exercícios resolucao para o blog
por
luisresponde
PDF
Resolução de exercícios do Livro Tudo é Matemática 8° ano página195
por
Luis
V lista de exercícios ii trimestre 8° ano matemática 2017
por
luisresponde
IV Lista de Exercícios
por
luisresponde
Estatística para publicação
por
luisresponde
Iii lista de exercícios publicação estatística
por
luisresponde
Lista de exercícios publicação inequações
por
luisresponde
Iv lista de exercícios iii trimestre publicação Circunferência e Círculo
por
luisresponde
Resolução da lista iii med de tendencia central e gráficos
por
luisresponde
Resolução da lista ii inequações e sistema de inequações
por
luisresponde
I lista de exercícios frações algébricas para publicação
por
luisresponde
Projeto Estatística 2017 - 8º ano
por
luisresponde
Resolução produtos notáveis e fatoração
por
luisresponde
Produtos notáveis e fatoração
por
luisresponde
Operações com polinômios resolução
por
luisresponde
Operações com polinômios
por
luisresponde
Resolução caderno de atividades 8º ano pags 05 a 13
por
luisresponde
Atividade 9 ano
por
luisresponde
Como elaborar poster_unesp
por
Luis
Projeto adolescer 2016 matemática
por
luisresponde
I lista de exercícios resolucao para o blog
por
luisresponde
Resolução de exercícios do Livro Tudo é Matemática 8° ano página195
por
Luis
Mais de luisresponde
PPTX
Teoria dos jogos P1.pptx
por
luisresponde
PDF
Simulado av2 i trimestre de 2018 8 ano Matemática
por
luisresponde
DOC
Lista de exercícios 2 RESOLUÇÃO
por
luisresponde
DOC
Lista de exercícios 2
por
luisresponde
PDF
Lista
por
luisresponde
PDF
Lista
por
luisresponde
PDF
Iii trimestre 2016 av2 8º ano
por
luisresponde
PDF
Lista de exercícios equações fracionárias e sistema de inequações
por
luisresponde
Teoria dos jogos P1.pptx
por
luisresponde
Simulado av2 i trimestre de 2018 8 ano Matemática
por
luisresponde
Lista de exercícios 2 RESOLUÇÃO
por
luisresponde
Lista de exercícios 2
por
luisresponde
Lista
por
luisresponde
Lista
por
luisresponde
Iii trimestre 2016 av2 8º ano
por
luisresponde
Lista de exercícios equações fracionárias e sistema de inequações
por
luisresponde
Último
PPTX
Slide_Regras de Convivência na Escola.pptx.pptx
por
ChristianeDoniOlivei
PPTX
NR35 - Treinamento - Trabalho em Altura_Set_2022.pptx
por
jmsstrabalho
PPTX
ppt_sobre a _farsa_de__ines_pereira.pptx
por
kikinha26
PPTX
temas transversais - documentos currículares
por
CarolMiranda58
PDF
odis11_bio_ppt_cap5_Evolução Biológica.pdf
por
MariaManuelBotelho
PDF
Descubra a Profissão: Desenvolvedor Salesforce 04
por
Mauricio Alexandre Silva
PPTX
cultura digital: tecnologia e sociedade no mundo contemporaneo
por
lilianamachadoprof
PPTX
Introdução à Metodologia Científica.pptx
por
ThasLeal7
PDF
O_Retrato_Oswaldo_Peralva.pdf que fala sobre política
por
RmuloMartins21
PDF
SISTEMA ESQUELÉTICO ESCOLA IRMA DULCE 26
por
yanvittordealmeidama
PDF
3a-SERIE-LINGUA-PORTUGUESA- atividades de leitura e interpretação de textos e...
por
mariza ferreira
PDF
Jogos expressao dramtica................
por
VeronicaNeto1
PDF
TRÍADE CAR, AVALIACÃO E AUTORIA mediadas pela IA
por
Enilton Ferreira Rocha
PPTX
Palestra_Respeito_Empatia_Inclusao_Bullying.pptx
por
AlexandreRibeiroDaSi12
PDF
Caderno-1°-ano-3-trimestre-AVA-Linguagens.docx.pdf atividades diversas.
por
profecellnazario
PPTX
8k6FBNWbJPliEALG979 aula expositiva.pptx
por
TailsonSantos1
PPTX
Campanha da Fraternidade 2026 slides.pptx
por
BrazPaulo
PDF
BNCC ARTE - Ensino Fundamental I (1° ao 5° ano) habilidade 02 linha.pdf
por
Sheila de Souza
PPTX
MAIORES TERREMOTOS JÁ REGISTRADOS NA HISTÓRIA
por
Henrique Pontes
PDF
Manual_ClimaEscolar_2021.pdf para profs.
por
DiegoOliveiradeLemos
Slide_Regras de Convivência na Escola.pptx.pptx
por
ChristianeDoniOlivei
NR35 - Treinamento - Trabalho em Altura_Set_2022.pptx
por
jmsstrabalho
ppt_sobre a _farsa_de__ines_pereira.pptx
por
kikinha26
temas transversais - documentos currículares
por
CarolMiranda58
odis11_bio_ppt_cap5_Evolução Biológica.pdf
por
MariaManuelBotelho
Descubra a Profissão: Desenvolvedor Salesforce 04
por
Mauricio Alexandre Silva
cultura digital: tecnologia e sociedade no mundo contemporaneo
por
lilianamachadoprof
Introdução à Metodologia Científica.pptx
por
ThasLeal7
O_Retrato_Oswaldo_Peralva.pdf que fala sobre política
por
RmuloMartins21
SISTEMA ESQUELÉTICO ESCOLA IRMA DULCE 26
por
yanvittordealmeidama
3a-SERIE-LINGUA-PORTUGUESA- atividades de leitura e interpretação de textos e...
por
mariza ferreira
Jogos expressao dramtica................
por
VeronicaNeto1
TRÍADE CAR, AVALIACÃO E AUTORIA mediadas pela IA
por
Enilton Ferreira Rocha
Palestra_Respeito_Empatia_Inclusao_Bullying.pptx
por
AlexandreRibeiroDaSi12
Caderno-1°-ano-3-trimestre-AVA-Linguagens.docx.pdf atividades diversas.
por
profecellnazario
8k6FBNWbJPliEALG979 aula expositiva.pptx
por
TailsonSantos1
Campanha da Fraternidade 2026 slides.pptx
por
BrazPaulo
BNCC ARTE - Ensino Fundamental I (1° ao 5° ano) habilidade 02 linha.pdf
por
Sheila de Souza
MAIORES TERREMOTOS JÁ REGISTRADOS NA HISTÓRIA
por
Henrique Pontes
Manual_ClimaEscolar_2021.pdf para profs.
por
DiegoOliveiradeLemos
Baixar