POP-002- PROCEDIMENTO OPERACIONAL Página 01/02
Processo: Gerenciamento de Projetos e Vendas Revisão 00
Responsável: Gestor de projetos e Gerente operacional Data 14/06/2013
Elaboração: Graciele dos Reis Soares Aprovação: GAMA Montagens Industriais LTDA
RESPONSÁVEL AUXILIAR COMO
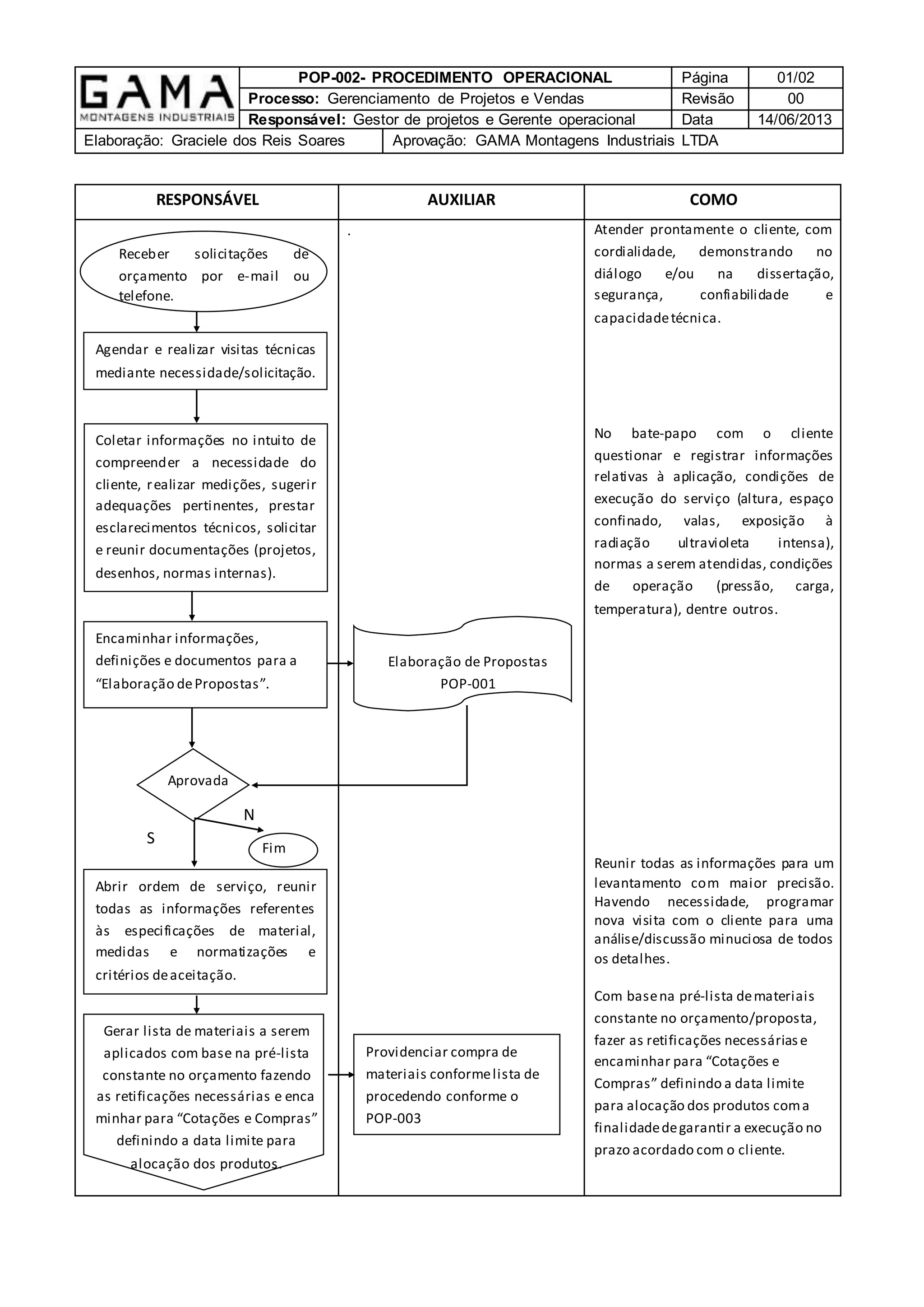
. Atender prontamente o cliente, com
cordialidade, demonstrando no
diálogo e/ou na dissertação,
segurança, confiabilidade e
capacidadetécnica.
No bate-papo com o cliente
questionar e registrar informações
relativas à aplicação, condições de
execução do serviço (altura, espaço
confinado, valas, exposição à
radiação ultravioleta intensa),
normas a serem atendidas, condições
de operação (pressão, carga,
temperatura), dentre outros.
Reunir todas as informações para um
levantamento com maior precisão.
Havendo necessidade, programar
nova visita com o cliente para uma
análise/discussão minuciosa de todos
os detalhes.
Com basena pré-lista demateriais
constante no orçamento/proposta,
fazer as retificações necessáriase
encaminhar para “Cotações e
Compras” definindo a data limite
para alocação dos produtos coma
finalidadedegarantir a execução no
prazo acordado com o cliente.
Aprovada
Pr
?
N
S
Gerar lista de materiais a serem
aplicados com base na pré-lista
constante no orçamento fazendo
as retificações necessárias e enca
minhar para “Cotações e Compras”
definindo a data limite para
alocação dos produtos.
Coletar informações no intuito de
compreender a necessidade do
cliente, realizar medições, sugerir
adequações pertinentes, prestar
esclarecimentos técnicos, solicitar
e reunir documentações (projetos,
desenhos, normas internas).
Receber solicitações de
orçamento por e-mail ou
telefone.
Providenciar compra de
materiais conformelista de
procedendo conforme o
POP-003
Encaminhar informações,
definições e documentos para a
“Elaboração dePropostas”.
Elaboração de Propostas
POP-001
?
Fim
Abrir ordem de serviço, reunir
todas as informações referentes
às especificações de material,
medidas e normatizações e
critérios deaceitação.
Agendar e realizar visitas técnicas
mediante necessidade/solicitação.
POP-002- GERENCIAMENTO DE PROJETOSE VENDAS – R00 – PÁGINA 02/02
Reunir com a validação e a equipe
envolvida na execução, em
periodicidade definida de acordo com
às exigências do projeto, para
garantia do cumprimento dos
parâmetros dimensionais e técnicos
dentro do prazo acordado com o
cliente.
Não
conformidade?
Pr
?
S
N
Acompanhar periodicamente juntamente com a “Validação” as etapas de
execução para averiguação de critérios de aceitação e análise do
planejamento (atividades planejadasx atividades executadas).
A validação toma as
medidas necessárias
conforme POP-006
Programar entrega e solicitar
emissão de nota Fiscal ao
“faturamento” assimquereceber
da “Validação”a informação de
finalização do serviço em
conformidadecom o projeto.
Enviar data book ao cliente.
.
Produzir desenho técnico e/ou
ficha de instrução construtiva
referenciando os POP’s e manuais
específicos de execução e
tolerâncias normativas.
?
Encaminhar projeto para o
encarregado de produção ou
gerente operacional para
planejamento e elaboração de
cronograma de execução.
Recebe projeto, planeja e
elabora cronograma de acordo
com o POP-005
Compor data-book.

Pop 002-gerenciamento de projetos e vendas

  • 1.
    POP-002- PROCEDIMENTO OPERACIONALPágina 01/02 Processo: Gerenciamento de Projetos e Vendas Revisão 00 Responsável: Gestor de projetos e Gerente operacional Data 14/06/2013 Elaboração: Graciele dos Reis Soares Aprovação: GAMA Montagens Industriais LTDA RESPONSÁVEL AUXILIAR COMO . Atender prontamente o cliente, com cordialidade, demonstrando no diálogo e/ou na dissertação, segurança, confiabilidade e capacidadetécnica. No bate-papo com o cliente questionar e registrar informações relativas à aplicação, condições de execução do serviço (altura, espaço confinado, valas, exposição à radiação ultravioleta intensa), normas a serem atendidas, condições de operação (pressão, carga, temperatura), dentre outros. Reunir todas as informações para um levantamento com maior precisão. Havendo necessidade, programar nova visita com o cliente para uma análise/discussão minuciosa de todos os detalhes. Com basena pré-lista demateriais constante no orçamento/proposta, fazer as retificações necessáriase encaminhar para “Cotações e Compras” definindo a data limite para alocação dos produtos coma finalidadedegarantir a execução no prazo acordado com o cliente. Aprovada Pr ? N S Gerar lista de materiais a serem aplicados com base na pré-lista constante no orçamento fazendo as retificações necessárias e enca minhar para “Cotações e Compras” definindo a data limite para alocação dos produtos. Coletar informações no intuito de compreender a necessidade do cliente, realizar medições, sugerir adequações pertinentes, prestar esclarecimentos técnicos, solicitar e reunir documentações (projetos, desenhos, normas internas). Receber solicitações de orçamento por e-mail ou telefone. Providenciar compra de materiais conformelista de procedendo conforme o POP-003 Encaminhar informações, definições e documentos para a “Elaboração dePropostas”. Elaboração de Propostas POP-001 ? Fim Abrir ordem de serviço, reunir todas as informações referentes às especificações de material, medidas e normatizações e critérios deaceitação. Agendar e realizar visitas técnicas mediante necessidade/solicitação.
  • 2.
    POP-002- GERENCIAMENTO DEPROJETOSE VENDAS – R00 – PÁGINA 02/02 Reunir com a validação e a equipe envolvida na execução, em periodicidade definida de acordo com às exigências do projeto, para garantia do cumprimento dos parâmetros dimensionais e técnicos dentro do prazo acordado com o cliente. Não conformidade? Pr ? S N Acompanhar periodicamente juntamente com a “Validação” as etapas de execução para averiguação de critérios de aceitação e análise do planejamento (atividades planejadasx atividades executadas). A validação toma as medidas necessárias conforme POP-006 Programar entrega e solicitar emissão de nota Fiscal ao “faturamento” assimquereceber da “Validação”a informação de finalização do serviço em conformidadecom o projeto. Enviar data book ao cliente. . Produzir desenho técnico e/ou ficha de instrução construtiva referenciando os POP’s e manuais específicos de execução e tolerâncias normativas. ? Encaminhar projeto para o encarregado de produção ou gerente operacional para planejamento e elaboração de cronograma de execução. Recebe projeto, planeja e elabora cronograma de acordo com o POP-005 Compor data-book.