Incorporar apresentação
Baixar para ler offline

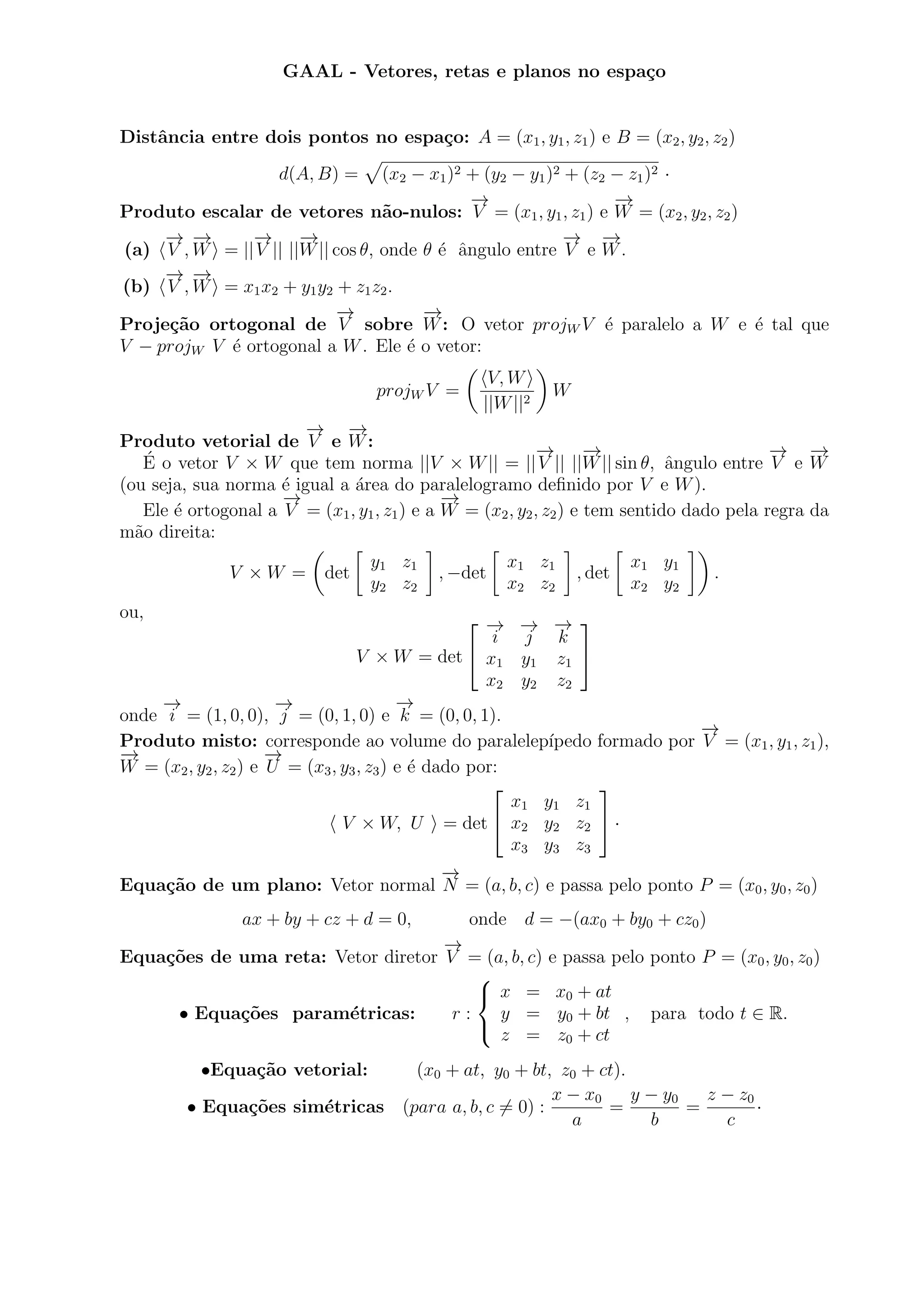
O documento discute conceitos geométricos como distância entre pontos no espaço, produto escalar e vetorial de vetores, projeção ortogonal de vetores, e equações que representam planos e retas no espaço tridimensional.
