http://www.concurseirosocial.com.br

             Grupos de estudo e discussão

            Provas e apostilas para download

                Simulados e comentários

       Vídeo-aulas e compartilhamento de arquivos

                 Notícias de concursos



Venha estudar em grupo, discutir e se atualizar.
                    GRÁTIS!
INTRODUÇÃO

Esta cartilha versa sobre o Regime Geral de Previdência Social. O RGPS é o regime do qual participa
qualquer pessoa que exerça atividade remunerada. Assim, todo trabalhador da iniciativa privada é
obrigatoriamente segurado do RGPS e fará jus aos seguintes benefícios: aposentadoria por tempo de
contribuição, aposentadoria especial, aposentadoria por idade, aposentadoria por invalidez, salário-
maternidade, salário-família, auxílio-doença, auxílio-acidente, auxílio-reclusão, pensão por morte e aos
seguintes serviços: reabilitação profissional e serviço social.


Além dos benefícios, abordaremos nesta cartilha, diversos temas estreitamente relacionados aos benefícios
previdenciários tais como: prazos de carência, perda da qualidade de segurado, forma de cálculo do salário-
de-benefício, renda mensal dos benefícios, documentos necessários ao requerimento de um determinado
benefício, quem são os segurados e os dependentes, entre outros.


Apresentaremos todo o conteúdo em forma de perguntas e respostas, pois assim propicia ao leitor responder
mentalmente a pergunta antes mesmo de sua leitura e se por acaso responder de forma equivocada tem a
chance de aprender e corrigir o erro.


No final disponibilizamos uma seleção de questões de concursos anteriores para que você possa avaliar seu
aprendizado.


Sem dúvida um material para aqueles que querem lograr êxito no próximo concurso do INSS.




                                                                                                         2
AUTORES

Ítalo Romano Eduardo é Auditor Fiscal da Receita Federal do Brasil, tendo ingressado no cargo em 2001,
após obter o 3º lugar na Bahia no concurso do ano 2000. Exerce, atualmente, suas atribuições na Delegacia
da Receita Federal em Salvador/BA. No período de 1997 a 2000, ocupou o cargo de Técnico de Controle
Externo do Tribunal de Contas do Estado da Bahia, realizando auditoria em entidades governamentais.
Formado em Engenharia Química, pela Universidade Federal da Bahia UFBA, possui pós-graduação na
área de Administração Pública. É instrutor oficial da Previdência, da ESAF e é professor em vários cursos
preparatórios para concurso. Autor de vários livros sobre Legislação Previdenciária.


Jeane Tavares Aragão Eduardo foi investida no cargo de Auditora Fiscal da Receita Federal do Brasil, após
obter o 5º lugar na Bahia no concurso efetuado em 2000. Atualmente, desempenha suas atribuições na
Delegacia da Receita Federal em Salvador/BA. Em 1996 e 1997, exerceu o cargo de Técnico de Finanças e
Controle do Ministério da Fazenda. No ano de 1997, foi aprovada em 1º lugar no concurso de Técnico de
Controle Externo do Tribunal de Contas do Estado da Bahia, onde realizava auditoria em orçamentos e
contas públicas. É formada em Engenharia Química pela Universidade Federal da Bahia UFBA. É instrutora
oficial da Previdência, da ESAF. Autora de vários livros sobre Legislação Previdenciária




                                                                                                       3
SUMÁRIO

1. Conhecendo a Previdência Social, 5
2. Beneficiários do RGPS, 10
3. Manutenção da Qualidade de Segurado, 17
4. Perda da Qualidade de Segurado, 19
5. Dependentes, 21
6. Inscrição, 26
7. Carência, 28
8. Salário-de-benefício, 30
9. Fator Previdenciário, 32
10. Renda Mensal do Benefício, 34
11. Aposentadoria por Invalidez, 36
12. Aposentadoria por Idade, 40
13. Aposentadoria por Tempo de Contribuição, 42
14. Aposentadoria Especial, 46
15. Auxílio-doença, 50
16. Salário-família, 53
17. Salário-maternidade, 55
18. Auxílio-acidente, 59
19. Pensão por Morte, 60
20. Auxílio-reclusão, 63
21. Habilitação e Reabilitação Profissional e Serviço Social, 66
22. Justificação Administrativa, 68
23. Regras para Controle da Concessão e Pagamento de Benefícios, 70
24. Quadro resumo dos Benefícios, 72
25. Coletânea de Questões, 73
26. Provas Analista e Técnico Previdenciário Ano 2005, 102




                                                                      4
1. CONHECENDO A PREVI DÊNCIA SOCIAL

1. Quais os regimes de previdência social no Brasil?
A previdência social no Brasil é composta dos seguintes regimes:
                   Regime Geral de Previdência Social RGPS;
                   Regimes próprios de Previdência Social dos servidores públicos e dos militares;
                   Regimes de Previdência Complementar (oficial e privado).

Agora, vamos conhecer em linhas gerais algumas características de cada um deles:

Regime Geral de Previdência Social: é administrado pelo INSS, dele são segurados obrigatórios todos os
trabalhadores da iniciativa privada, empregados públicos regidos pela CLT, servidores temporários, os ocupantes de
cargo em comissão e os ocupantes de cargos efetivos não possuidores de regime próprio.

Regimes próprios de previdência social: são administrados pela União, Estados, Distrito Federal e Municípios e
atendem ao servidor estatutário, que é ocupante de cargo efetivo da esfera federal, estadual, distrital ou municipal.

Regimes de previdência complementar oficiais: quando forem implementados serão administrados pela União,
Estados, Distrito Federal e Municípios e serão obrigatórios para o servidor ocupante de cargo efetivo que ingressar no
serviço público após a criação dos mesmos.

Regimes de previdência complementar privados: são geridos por instituições privadas e são abertos a qualquer
pessoa que queira participar.

Assim, podemos perceber que existem vários regimes previdenciários: um regime específico para os trabalhadores, em
geral, do setor privado, regimes previdenciários próprios para servidores públicos ocupantes de cargo efetivo, um regime
complementar oficial para os servidores públicos que ingressarem no serviço após a criação dos mesmos e, por fim, um
regime complementar privado voltado para todos aqueles que queiram participar. No esquema a seguir, veremos
resumidamente: os regimes, quem administra e seus filiados.




                                                                                                                      5
2. Resumo


                                                                   REGIMES
                                                                     DE
                                                                 PREVIDÊNCIA



                            RGPS                   Regimes              Complementar           Complementar
                                                   Próprios                Oficial               Privado


                           FILIADOS                 FILIADOS                 FILIADOS                FILIADOS
                  - trabalhadores da          Servidores ocupantes     Servidores ocupantes   Qualquer      pessoa
                  iniciativa privada;         de cargo efetivo.        de cargo efetivo.      interessada. Não há
                  - servidores                                                                restrição.
                  comissionados;
                  - servidores temporários;
                  - empregados públicos;
                  - servidores ocupantes      Administrado pela        Administrado pela      Administrado pelos
                  de cargo efetivo não        União,     Estados,      União,     Estados,         fundos de
                  possuidores de regime       Distrito Federal e       Distrito Federal e     previdência privada
                  próprio.                    Municípios      que      Municípios quando       (Banco do Brasil,
                                              possuem.                 criarem.               Unibanco e outros).


                        Administrado
                         pelo INSS




3. Os servidores públicos possuem seu próprio regime?
Nem sempre. A União, os Estados e o Distrito Federal possuem regime próprio de previdência, entretanto alguns
Municípios não o possuem (na verdade a maioria deles), assim os servidores estatutários ocupantes de cargo efetivo
que não estão filiados a um regime próprio de previdência, os servidores temporários, os comissionados e os
empregados públicos devem ser obrigatoriamente filiados ao Regime Geral de Previdência Social. Além disso, o regime
de previdência complementar a ser criado pela União, Estado, Distrito Federal ou Município será facultativo para os
servidores ocupantes de cargo efetivo que tiverem ingressado no serviço público antes da data da publicação do ato de
sua instituição e obrigatória para os que ingressarem após aquela data.
Um regime de previdência social é aquele que garante no mínimo os benefícios aposentadoria e pensão por morte.


4.   Quais os atos normativos que regem os benefícios do RGPS?
     Em primeiro lugar, a Constituição Federal de 1988 norteia as demais normas que versam sobre o assunto,
     estabelecendo as premissas, os objetivos e as diretrizes para a Previdência Social (Título VIII, Da Ordem Social,
     artigos 201 e 202).
     A Lei n. º 8.213/91 que trata dos benefícios da previdência social.

     O Decreto no 3.048/99, também chamado de Regulamento da Previdência Social, em seus artigos 1o a 193
     dispõem sobre o Regime Geral de Previdência Social e seus benefícios, e será a nossa principal referência nesta
     cartilha.

     A Instrução Normativa n. º 11/2006, que detalha tudo que contém no Decreto no 3.048/99, e estabelece os
     procedimentos que devem ser adotados pelos funcionários que trabalham no atendimento aos beneficiários nas
     agências da Previdência Social.



                                                                                                                     6
5.     Quais as características do RGPS?
     O Regime Geral de Previdência Social RGPS é um sistema de caráter contributivo e de filiação obrigatória.


     A organização do RGPS deve observar critérios que preservem o equilíbrio financeiro e atuarial. A ciência atuarial
     baseia-se em técnicas matemáticas, estatísticas e probabilísticas e, no caso de um sistema previdenciário,
     preocupa-se com o equilíbrio de receitas e despesas a longo prazo.
     O Regime Geral de Previdência Social, segundo a Constituição Federal, garante as seguintes situações de risco
     social:
       1.     cobertura de eventos de doença, invalidez, morte e idade avançada;
       2.     proteção à maternidade, especialmente à gestante;
       3.     salário-família e auxílio-reclusão para os dependentes dos segurados de baixa renda;
       4.     pensão por morte do segurado, homem ou mulher, ao cônjuge ou companheiro e dependentes;
       5.     proteção ao trabalhador em situação de desemprego involuntário.


O seguro-desemprego na prática, não está relacionado ao RGPS. A fonte de custeio do seguro-desemprego é o Fundo
de Amparo ao Trabalhador FAT, administrado pelo Ministério do Trabalho.
            O RGPS é um regime de repartição e não de capitalização.


6.   O seguro-desemprego está relacionado de que forma ao RGPS?
A proteção ao trabalhador em situação de desemprego involuntário está garantida no inciso III do artigo 201 da
Constituição Federal pela previdência social, entretanto, na prática, este auxílio não é coberto pelo Regime Geral de
Previdência Social. O seguro-desemprego é financiado por recursos provenientes do Fundo de Amparo ao Trabalhador
(FAT) administrado pelo Ministério do Trabalho. Assim, se você estiver desempregado, dirija-se a Delegacia Regional do
Trabalho mais próxima e informe-se dos seus direitos.


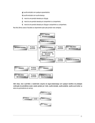
7. Quais os benefícios e serviços oferecidos pelo RGPS?
Como já vimos anteriormente, a Previdência Social é uma forma de proteção social que visa propiciar meios à
manutenção do segurado e de sua família nas situações de maternidade, acidente, doença, incapacidade, invalidez,
prisão, idade avançada, tempo de contribuição, morte, além de reabilitação profissional.


As prestações do Regime Geral de Previdência Social estão divididas em benefícios e serviços, sendo classificadas
relativamente aos seus beneficiários diretos, os segurados e os dependentes, da seguinte forma:




                                                                                                                     7
APOSENTADORIA POR
                                               TEMPO DE CONTRIBUIÇÃO

                                                  APOSENTADORIA
                                                     POR IDADE

                                                  APOSENTADORIA
                                                   POR INVALIDEZ

                                                  APOSENTADORIA
                        QUANTO                       ESPECIAL
                      AO SEGURADO
                                                  AUXÍLIO-DOENÇA



                                                  AUXÍLIO-ACIDENTE



                                                SALÁRIO-MATERNIDADE



                                                  SALÁRIO-FAMÍLIA




                                                  AUXÍLIO-RECLUSÃO

                        QUANTO
                     AO DEPENDENTE

                                                 PENSÃO POR MORTE




                                                   REABILITAÇÃO
                   QUANTO AO SEGURADO              PROFISSIONAL
                    E AO DEPENDENTE
              i.
                                                  SERVIÇO SOCIAL




O RGPS, portanto, abrange um total de dez benefícios previdenciários e dois serviços.


8. O que está garantido na Constituição em relação ao RGPS?
A Constituição Federal estabelece garantias que visam à saúde financeira do sistema e salvaguardam os interesses dos
segurados. Listaremos, a seguir, as principais garantias constitucionais:
1.     Proibição de critérios diferenciados para a concessão de benefícios: Não é permitida a adoção de requisitos
       e critérios diferenciados para a concessão de aposentadoria aos beneficiários do Regime Geral de Previdência
       Social, ressalvados os casos de atividades exercidas sob condições especiais que prejudiquem a saúde ou a
       integridade física e quando se tratar de segurados portadores de deficiência, definidos em lei complementar.
2.     Valor mínimo para os benefícios: Nenhum benefício que substitua o salário de contribuição ou o rendimento do
       trabalho do segurado terá valor mensal inferior ao salário-mínimo.
3.     Atualização do valor dos benefícios: Todos os salários de contribuição considerados para o cálculo de
       benefício deverão ser devidamente atualizados, na forma da lei. Essa atualização se dará pelo INPC.




                                                                                                                  8
4.    Proibição a filiação do participante de regime próprio: É proibida a filiação ao Regime Geral de Previdência
      Social, na qualidade de segurado facultativo, de pessoa participante de regime próprio de previdência.
5.    Décimo-terceiro salário: A legislação denomina de abono anual o que conhecemos por décimo-terceiro salário
      dos trabalhadores que estão em atividade. O abono anual é devido ao segurado que durante o ano recebeu
      auxílio-doença, auxílio-acidente, aposentadoria e salário-maternidade, bem como ao dependente que, no mesmo
      período, fez jus à pensão por morte ou auxílio-reclusão. O único benefício que não enseja pagamento de abono
      anual é o salário-família.
6.    Contagem recíproca do tempo de contribuição: Para efeito de aposentadoria, é assegurada a contagem
      recíproca do tempo de contribuição na administração pública e na atividade privada, rural e urbana, hipótese em
      que os diversos regimes de previdência social se compensarão financeiramente, segundo critérios estabelecidos
      em lei, para que, por exemplo, uma pessoa que contribuiu 10 anos para o RGPS como engenheiro de uma
      indústria e, que posteriormente, passou num concurso de Auditor Federal, tendo pedido demissão do primeiro
      emprego, tenha suas contribuições para o RGPS aproveitadas e contadas como tempo de contribuição pelo
      regime próprio dos servidores públicos federais.
9.    Incorporação dos ganhos habituais do empregado: Os ganhos habituais do empregado, sob qualquer
      denominação, como as gorjetas, por exemplo, serão incorporados ao salário para efeito de contribuição
      previdenciária e conseqüente repercussão em benefícios, na forma da lei.
10.   Cobertura do risco de acidente do trabalho: A Constituição autoriza a criação de uma lei para disciplinar a
      cobertura do risco de acidente do trabalho, a ser atendida concorrentemente pelo Regime Geral de Previdência
      Social e pelo setor privado. Atualmente, o seguro acidente de trabalho é garantido exclusivamente pelo RGPS.




                                                                                                                   9
2. BENEFI CI ÁRI OS DO RGPS


9. Quem são os beneficiários do RGPS?
Os beneficiários do Regime Geral de Previdência Social são divididos em segurados e dependentes. Os segurados são
pessoas físicas com idade mínima de 16 anos, que podem ser obrigatório ou facultativamente filiados ao RGPS. No
primeiro caso, a determinação de ser segurado decorre da lei, no segundo, provém de livre opção do indivíduo. Já os
dependentes são todas as pessoas que dependem do segurado economicamente.



                                                              SEGURADOS
                                    BENEFICIÁRIOS

                                                             DEPENDENTES




10. Existe uma idade mínima para ser segurado do regime?
Sim. Os segurados são pessoas físicas vinculadas à Previdência Social, sendo imprescindível terem no mínimo
dezesseis anos de idade.


11. Existe alguma exceção quanto a idade mínima?
Sim. O menor aprendiz tem como idade mínima 14 anos e não 16 anos. O menor aprendiz é segurado do RGPS na
condição de segurado empregado.


12. Quem são os segurados obrigatórios?
Os segurados obrigatórios são as pessoas maiores de dezesseis anos que exercem atividade remunerada, não
importando se a atividade é de natureza urbana ou rural, exercida de forma contínua ou intermitente, com ou sem
vínculo empregatício.

Os segurados obrigatórios estão divididos nas seguintes categorias:
    empregado;
    empregado doméstico;
    contribuinte individual;
    trabalhador avulso; e
    segurado especial.


13. Resumo dos beneficiários do RGPS
Podemos resumir estas informações através do esquema a seguir:




                                                                                                                10
BENEFICIÁRIOS




                                          SEGURADOS            DEPENDENTES




                           OBRIGATÓRIOS               FACULTATIVOS



                                             EMPREGADO



                                             EMPREGADO
                                             DOMÉSTICO


                                             CONTRIBUINTE
                                              INDIVIDUAL



                                             TRABALHADOR
                                                AVULSO


                                              SEGURADO
                                               ESPECIAL




14. Quem são os segurados facultativos?
Os segurados facultativos são pessoas que se filiam à Previdência Social por livre opção, a fim de garantir, em caso de
contingências futuras (velhice, morte, maternidade, reclusão, acidente, doença), os benefícios previdenciários.


Para ser segurado facultativo, a pessoa não pode exercer atividade remunerada que o enquadre como segurado
obrigatório, além disso, deve contar com a idade mínima de 16 anos e não pode ser participante de regime próprio de
previdência social. A filiação na qualidade de segurado facultativo representa um ato voluntário gerando efeitos somente
a partir da inscrição e do primeiro recolhimento, não podendo retroagir e não sendo permitido o pagamento de
contribuições relativas ao período anterior à data da inscrição.

É proibida a filiação ao Regime Geral de Previdência Social, na qualidade de segurado facultativo, de pessoa
participante de regime próprio de previdência social, exceto na hipótese de afastamento sem vencimento e desde que
não seja permitida, nesta condição, contribuição ao respectivo regime próprio. Dessa forma, um servidor público
ocupante de cargo efetivo que contribui para um regime próprio de previdência, não pode contribuir facultativamente
para o RGPS.

Em resumo, o ato de filiar-se facultativamente pressupõe três requisitos:
                  ter idade mínima de dezesseis anos;
                  não exercer atividade que exija filiação obrigatória;
                  não ser participante de regime próprio de previdência social.


15. Quem pode ser segurado facultativo?
Podem filiar-se facultativamente, entre outros:
     a) a dona-de-casa;
     b) o síndico de condomínio, quando não remunerado;
     c) o estudante;


                                                                                                                     11
d) o brasileiro que acompanha cônjuge que presta serviço no exterior;
       e) o desempregado;
       f) o bolsista e estagiário que prestam serviços a empresa de acordo com a Lei no 6.494, de 1977;
       g) o bolsista que se dedique em tempo integral a pesquisa, curso de especialização, pós-graduação, mestrado ou
       doutorado, no Brasil ou no exterior, desde que não esteja vinculado a qualquer regime de previdência social;
       h) presidiário que não exerce atividade remunerada nem esteja vinculado a qualquer regime de previdência
       social; e
       i) o brasileiro residente ou domiciliado no exterior, salvo se filiado a regime previdenciário de país com o qual o
       Brasil mantenha acordo internacional.


16. Pode alguém ser segurado do RGPS e de outro regime de previdência social?
Pode. Lembre-se de que os servidores públicos com regime próprio de previdência social não estão abrangidos pelo
RGPS, exceto na situação de exercício de uma atividade paralela não ligada a regime próprio, como, por exemplo, o
caso de um Auditor Federal que leciona à noite numa faculdade particular. Observe que, com relação a esta última
atividade, ele é vinculado ao RGPS e deverá contribuir obrigatoriamente para a Previdência Social fazendo jus por
conseqüência aos benefícios, mesmo já contribuindo para um regime próprio.


17. Pode um servidor, participante de regime próprio contribuir facultativamente para o RGPS?
Não. O servidor que possui regime próprio só contribuirá para o RGPS como segurado obrigatório no caso de exercer
uma atividade paralela, conforme respondemos na questão anterior, entretanto existe apenas uma exceção que é o caso
deste servidor se afastar do trabalho através de licença sem vencimento. Nessa situação, ele poderá contribuir
facultativamente para o RGPS, desde que não seja permitida a sua contribuição para o regime próprio ao qual é filiado.


18. Quem exerce atividades concomitantes sujeitas ao RGPS pode escolher para a qual vai
    contribuir?
Não. Se a pessoa exerce, por exemplo, a atividade de engenheiro civil em uma construtora e exerce atividade de ensino
numa escola particular, vai ter contribuir em relação às duas atividades, sendo que vai ser respeitado o valor do teto
máximo do RGPS que atualmente é de R$ 2.894,28 (Valor atualizado pela Portaria MPS n.º 142/2007). Não importa, por
exemplo, se o segurado é empregado em uma empresa e presta serviços em outra na condição de contribuinte
individual, vai contribuir com relação a ambas atividades com observância do limite máximo para contribuição.
O exercício de atividade remunerada torna a filiação ao Regime Geral de Previdência Social obrigatória, assim, aquele
que exerce, concomitantemente, mais de uma atividade remunerada sujeita ao Regime Geral de Previdência Social
RGPS é obrigatoriamente filiado em relação a cada uma dessas atividades.


19. O aposentado pelo RGPS que permanece ou retorna à atividade deve contribuir?
Sim. Uma pessoa aposentada pelo Regime Geral de Previdência Social, se permanecer no trabalho ao voltar a exercer
atividade abrangida por este regime, torna-se, novamente, segurado obrigatório da Previdência Social.


20. O aposentado que permanece ou retorna à atividade tem direito a todos os benefícios
    previdenciários?



                                                                                                                       12
Não. O aposentado que permanece ou retorna à atividade somente tem direito ao salário-família, salário-maternidade e
ao serviço social e de reabilitação profissional.


21. Quem é segurado do RGPS na condição de empregado?
É a pessoa física que presta serviços de natureza urbana ou rural, subordinada às ordens de um empregador e que em
contrapartida recebe uma remuneração.

Pressupostos básicos:
    a) Pessoalidade: Trabalho realizado pelo próprio empregado contratado e não por outro.
    b) Não-Eventualidade: Prestação de serviço de natureza não eventual.
    c) Subordinação: Prestar serviço com obediência às ordens do empregador.
    d) Onerosidade: Receber remuneração pelo serviço prestado.

Veremos a seguir alguns casos de pessoas físicas consideradas empregados pelo Regulamento da Previdência Social:
1. Aquele que presta serviço de natureza urbana ou rural a empresa, em caráter não eventual, sob sua subordinação e
mediante remuneração, inclusive como diretor empregado. O diretor empregado é aquele que, participando ou não do
risco econômico do empreendimento, é contratado ou promovido para cargo de direção das sociedades anônimas,
mantendo as características inerentes à relação de emprego.
Exemplo:
       Serviço de natureza urbana: secretária, engenheiro, administrador.
       Serviço de natureza rural: vaqueiro, tratador de leite numa fazenda que comercializa leite e derivados.

2. O trabalhador temporário, por prazo não superior a três meses, prorrogável, que presta serviço para atender a
necessidade transitória de substituição de pessoal regular e permanente ou a acréscimo extraordinário de serviço de
outras empresas, na forma da legislação própria.
Exemplo:
            Balconistas contratados por lojas no período natalino, funcionários de hotéis contratados no período de
            alta temporada.


3. O bolsista e o estagiário que prestam serviços a empresa, em desacordo com a Lei no 6.494, de 7 de dezembro de
1977.
Exemplo:
            Estudante contratado como estagiário por uma empresa sem a observância de convênio com a
            instituição de ensino.


4. O servidor da União, Estado, Distrito Federal ou Município, incluídas suas autarquias e fundações, ocupante,
exclusivamente, de cargo em comissão declarado em lei de livre nomeação e exoneração.
Exemplo:
            Assessores de deputados e de senadores, ocupantes exclusivamente de cargos comissionados.

5. O servidor do Estado, Distrito Federal ou Município, bem como o das respectivas autarquias e fundações, ocupante de
cargo efetivo, desde que, nessa qualidade, não esteja amparado por regime próprio de previdência social.


                                                                                                                      13
Exemplo:
            Os servidores de uma prefeitura que não possui regime próprio de previdência social são filiados
            obrigatoriamente à Previdência Social.

6. O servidor contratado pela União, Estado, Distrito Federal ou Município, bem como pelas respectivas autarquias e
fundações, por tempo determinado, para atender a necessidade temporária de excepcional interesse público.
Exemplo:
            Pessoas contratadas pela União, Estado ou Prefeitura por um dado período para fazer recenseamento
            ou para o controle de epidemias.

7. O servidor da União, Estado, Distrito Federal ou Município, incluídas suas autarquias e fundações, ocupante de
emprego público.
Exemplo:
            Os servidores das agências nacionais (petróleo, energia, etc.) contratados sob o regime celetista.


22. Quem é empregado doméstico para a previdência social?
É aquele que presta serviço de natureza contínua, sem finalidade lucrativa à pessoa ou à família no âmbito residencial
destas. Dessa forma, a cozinheira, o mordomo, o caseiro, o motorista, são considerados pelo RGPS como empregados
domésticos. Observe que a legislação não considera empregado doméstico a pessoa que executa atividades
relacionadas à manutenção do próprio lar, tais como cozinhar, para o próprio cônjuge ou companheiro, pais ou filhos,
bem como o trabalhador que presta serviço à pessoa ou família, no âmbito residencial destas, eventualmente e sem fins
lucrativos, em atividades de limpeza e conservação, como diaristas, jardineiros, pintores, eletricistas, bombeiros
hidráulicos. Estes são considerados contribuintes individuais, pois nesse caso não há continuidade dos serviços
prestados, característica essencial à caracterização do empregado doméstico.


23. A diarista é considerada empregada doméstica?
Não. A diarista presta serviço de natureza descontínua enquanto o empregado doméstico de natureza contínua. A
diarista também é segurada do RGPS, só que em outra categoria, a de contribuinte individual.


24. Quem é contribuinte individual para a previdência social?
É a pessoa física que recolhe individualmente, por conta própria, suas contribuições, sendo que se o contribuinte
individual prestar serviços a empresas em geral, o desconto e recolhimento da sua contribuição caberá à própria
empresa.
Na categoria de contribuinte individual destacam-se as figuras do empresário e do trabalhador autônomo.

       Empresário: é o segurado contribuinte individual que, na empresa urbana ou rural, exerce a atividade de gestão
       ou administração.


       Trabalhador autônomo: é aquele que presta serviço de natureza urbana ou rural em caráter eventual a uma ou
       mais empresas, sem relação de emprego, ou ainda, é a pessoa que exerce, por conta própria, atividade
       econômica remunerada, de natureza urbana, com fins lucrativos.



                                                                                                                   14
Veremos a seguir alguns exemplos de pessoas físicas consideradas contribuintes individuais pelo Regulamento da
Previdência Social:

       a) o titular de firma individual urbana ou rural;
       b) o diretor não empregado e o membro de conselho de administração na sociedade anônima;
       c) todos os sócios, nas sociedades em nome coletivo e de capital e indústria;
       d) o sócio gerente e o sócio cotista que recebam remuneração decorrente de seu trabalho e o administrador não
       empregado na sociedade por cotas de responsabilidade limitada, urbana ou rural;
       e) o associado eleito para cargo de direção em cooperativa, associação ou entidade de qualquer natureza ou
       finalidade, bem como o síndico ou administrador eleito para exercer atividade de direção condominial, desde que
       recebam remuneração;
       f) quem presta serviço de natureza urbana ou rural, em caráter eventual, a uma ou mais empresas, sem relação
       de emprego;
       g) a pessoa física que exerce, por conta própria, atividade econômica de natureza urbana, com fins lucrativos ou
       não (como, por exemplo, um contador que presta serviços a várias empresas);
       h) o condutor autônomo de veículo rodoviário, assim considerado aquele que exerce atividade profissional sem
       vínculo empregatício, quando proprietário, co-proprietário ou promitente comprador de um só veículo (é o caso,
       por exemplo, do taxista);
       i) o cooperado de cooperativa de produção que, nesta condição, presta serviço à sociedade cooperativa mediante
       remuneração ajustada ao trabalho executado (tanto o cooperado associado à cooperativa de produção ou à
       cooperativa de trabalho, como o dirigente da cooperativa são enquadrados na categoria de contribuintes
       individuais);
       j) aquele que, pessoalmente, por conta própria e a seu risco, exerce pequena atividade comercial em via pública
       ou de porta em porta, como comerciante ambulante;
       l) aquele que presta serviço de natureza não contínua, por conta própria, a pessoa ou família, no âmbito
       residencial desta, sem fins lucrativos.
       Nesta última situação enquadra-se a diarista que presta serviços de limpeza, bem como uma pessoa que prepara
       comida congelada para uma família, sem fins lucrativos e de forma não contínua.


25. Quem é trabalhador avulso para a previdência social?
Entende-se por avulso todo trabalhador sem vínculo empregatício que, sindicalizado ou não, presta serviço de natureza
urbana ou rural a diversas empresas, sem vínculo empregatício, com a intermediação obrigatória do órgão gestor de
mão-de-obra ou do sindicato da categoria.
Portanto, são características do trabalho avulso: a curta duração dos serviços prestados ao tomador dos mesmos,
remuneração paga através de rateio procedido pelo sindicato e a necessidade da participação do sindicato ou do Órgão
Gestor de Mão-de-Obra OGMO na intermediação da mão-de-obra.
       São considerados trabalhadores avulsos:
         trabalhador de estiva de mercadorias de qualquer natureza, inclusive carvão e minério;



                                                                                                                    15
trabalhador que exerce atividade portuária de capatazia, estiva, conferência e conserto de carga, vigilância de
         embarcação e bloco;
         trabalhador em alvarenga (embarcação para carga e descarga de navios);
         amarrador de embarcação;
         ensacador de café, cacau, sal e similares;
         trabalhador na indústria de extração de sal;
         carregador de bagagem em porto;
         prático de barra em porto;
         guindasteiro;
         classificador, movimentador e empacotador de mercadorias em portos.


26. Quem é segurado especial para a previdência social?
A Previdência Social considera segurado especial: "o produtor, o parceiro, o meeiro e o arrendatário rurais, o pescador
artesanal e seus assemelhados, que exerçam suas atividades, individualmente ou em regime de economia familiar, com
ou sem auxílio eventual de terceiros, bem como seus respectivos cônjuges ou companheiros e filhos maiores de
dezesseis anos de idade ou a eles equiparados, desde que trabalhem comprovadamente com o grupo familiar
respectivo."
Por regime de economia familiar se entende a atividade em que o trabalho dos membros da família é indispensável à
própria subsistência e é exercida em condições de mútua dependência e colaboração, sem a utilização de empregados.
Entende-se como auxílio eventual de terceiros, o que é exercido ocasionalmente, em condições de mútua colaboração,
não existindo subordinação nem remuneração, é o conhecido mutirão.
Não se considera segurado especial o membro do grupo familiar que possui outra fonte de rendimento decorrente do
exercício de atividade remunerada, excetuando-se as situações seguintes:
                  remuneração decorrente do exercício de mandato de dirigente sindical;
                  pensão por morte deixada por segurado especial;
                  auxílio-acidente;
                  auxílio-reclusão;
                  pensão por morte, cujo valor seja inferior ou igual ao salário-mínimo.




                                                                                                                     16
3. MANUTENÇÃO DA QUALI DADE DE
SEGURADO

27. Se uma pessoa parar de contribuir, ela automaticamente deixa de ser segurado do RGPS?
Não. Relacionamos a seguir as situações em que uma pessoa filiada à Previdência Social mantém a sua qualidade de
segurado, mesmo não efetuando o recolhimento de contribuições. A depender da situação o segurado preservará seus
direitos para com o INSS durante um certo intervalo temporal. Esse período de tempo durante o qual a pessoa mantém a
qualidade do segurado, mesmo sem estar contribuindo para a Previdência Social, é chamado de período de graça.
1a situação: Gozo de benefício
Quando o segurado está em gozo de benefício, ele mantém a qualidade de segurado sem limite de prazo, enquanto
durar o benefício. Esse é o único caso em que não há prazo definido para a duração do período de graça.
2a situação: Licença sem remuneração ou suspensão do empregado ou cessação de benefício por
incapacidade ou desemprego
Se um segurado obrigatório estiver desempregado, suspenso da empresa onde trabalha, esteja gozando de uma licença
sem remuneração ou caso tenha havido cessação do recebimento de benefício por incapacidade, ele conserva todos os
seus direitos perante o INSS, independentemente de contribuir, por até 12 meses após a cessação das contribuições ou
após a cessação do benefício por incapacidade. Se tiver, pago mais de 120 contribuições à época, este prazo será
dilatado para 24 meses.
Comprovando o segurado estar em situação de desemprego e tendo mais de 120 contribuições o prazo de 24 meses
será aumentado em mais 12 meses, totalizando 36 meses. Entretanto, se tiver menos de 120 contribuições, o prazo
inicial de 12 meses será adicionado em mais 12 meses, totalizando 24 meses. Nessa situação também se enquadra um
segurado que se desvincular de regime próprio de previdência social.
3a situação: Segregação compulsória
O segurado acometido de doença que necessite de isolamento obrigatório conserva sua qualidade de segurado por até
12 meses, após cessar a segregação. Doença de segregação compulsória é o tipo de doença epidemiológica para qual
a vigilância sanitária obriga o isolamento a fim de evitar o contágio. Por exemplo, o portador da gripe aviária.
4a situação: Detenção
O segurado detido ou recluso conserva sua qualidade de segurado por até 12 meses, após o livramento.
5a situação: Forças Armadas
O segurado incorporado às Forças Armadas para prestar serviço militar conserva sua qualidade de segurado por até 3
meses após o licenciamento.
6a situação: Segurado facultativo
O segurado facultativo conserva sua qualidade de segurado por até 6 meses após a cessação das contribuições. Uma
observação importante é que o segurado facultativo, após a cessação do benefício por incapacidade, não terá o período
de graça dilatado para 12 meses.


A tabela a seguir resume essas situações:


                                                                                                                  17
MANUTENÇÃO DA QUALIDADE DE
                     SITUAÇÃO DO SEGURADO
                                                                             SEGURADO

               1. Em gozo de ben efício.                      Sem lim ite de p razo.

               2. O segu rado qu e deixar de exercer
                                                              Até doze m eses ap ós a cessação de
               atividade rem u n erada abran gida p ela
                                                              b en efício p or in cap acidad e ou ap ós a
               p revidên cia social ou estiver su sp en so
                                                              cessação das con tribu ições.
               ou licen ciado sem rem un eração.

               3. O segu rado acom etido de doen ça d e Até doze m eses ap ós cessar a
               segregação com pu lsória.                      segregação.

               4. O segu rado detido ou reclu so.             Até doze m eses ap ós o livram en to.

               5. O segu rado in corp orado às Forças
                                                              Até três m eses ap ós o licen ciam en to.
               Arm adas para p restar serviço m ilitar.

                                                              Até seis m eses ap ós a cessação das
               6. O segu rado facu ltativo.
                                                              con tribu ições.




   Nota: A segunda situação contempla a circunstância de desemprego do segurado, o fluxograma a seguir
   demonstra esse caso de forma simplificada:



                                                                         Menos de 120 contribuições         Estando DEMPREGADO
                                                                             Prazo permanece                  Prazo aumenta para
                                                                                12 MESES                          24 MESES
                                    Qualidade
                     O segurado                    Prazo de
                  na 2ª SITUAÇÃO                 12 MESES

                                    Segurado                             Mais de 120 contribuições          Estando DEMPREGADO
                                                                           Prazo aumenta para                 Prazo aumenta para
                                                                                24 MESES                          36 MESES




28. O segurado facultativo pode recolher contribuições em atraso?
Depende. A filiação na qualidade de segurado facultativo representa um ato voluntário gerando efeitos somente a partir
da inscrição e do primeiro recolhimento, não podendo retroagir e não sendo permitido o pagamento de contribuições
relativas a competências anteriores à data da inscrição. Entretanto, após a inscrição, o segurado facultativo somente
poderá recolher contribuições em atraso quando não tiver ocorrido perda da qualidade de segurado, ou seja, até 6
meses após a cessação das contribuições.


29. Durante o período de graça pode ser concedido algum benefício?
Sim. Durante o período de graça, o segurado conserva os seus direitos perante a previdência social, podendo solicitar
benefícios, à exceção do: auxílio-acidente.



                                                                                                                                   18
4. PERDA DA QUALIDADE DE SEGURADO

30. O que ocorre quando a pessoa perde a qualidade de segurado?
A perda da qualidade de segurado importa na caducidade dos direitos do mesmo. Ou seja, o segurado deixa de ter
direito aos benefícios previdenciários.


31. Em que data ocorre a perda da qualidade de segurado?
A perda da qualidade de segurado ocorrerá no dia seguinte ao do término do prazo fixado para recolhimento da
contribuição do contribuinte individual referente ao mês imediatamente posterior ao final do prazo previsto para
manutenção da referida qualidade. O prazo para o recolhimento da contribuição do contribuinte individual é até o dia 15
do mês posterior ao da prestação de serviços, prorrogando-se o vencimento para o primeiro dia útil após essa data
quando não houver expediente bancário no dia quinze. Vamos visualizar isso através de um exemplo: se um empregado
perdeu a qualidade de segurado, em abril de 2003, a data em que será computada esta perda será o dia de vencimento
para o recolhimento da competência imediatamente posterior a abril de 2003, ou seja, 16 de junho de 2003, que é o dia
seguinte ao vencimento da competência de maio de 2003. Dessa forma, o segurado perde essa qualidade, na prática,
em aproximadamente um mês e dezesseis dias após o esgotamento dos prazos previstos no Capítulo de Manutenção
da Qualidade de Segurado, que elencamos novamente a seguir:
                até 12 meses após a cessação de benefícios por incapacidade ou estiver suspenso ou licenciado sem
                remuneração;
                até 12 meses após a cessação das contribuições, para o segurado que deixar de exercer atividade
                remunerada abrangida pela Previdência Social;
                até 12 meses após cessar a segregação, para o segurado acometido de doença de segregação
                compulsória;
                até 12 meses após o livramento do segurado detido ou recluso;
                até 3 meses após o licenciamento do segurado incorporado às Forças Armadas para prestar serviço
                militar; e
                até 6 meses após a cessação das contribuições do segurado facultativo.


32. Ocorrendo a perda da qualidade de segurado, a pessoa deixa de ter direito a receber todo e
    qualquer benefício?
Não. A perda da qualidade de segurado não prejudica o direito à aposentadoria por tempo de contribuição, especial e
por idade para a qual o segurado tenha preenchido todos os requisitos para a sua concessão, de acordo com a
legislação em vigor à época.


33. No caso de morte da pessoa que perdeu a qualidade de segurado como fica a situação dos
    dependentes quanto à pensão?
Não será concedida pensão por morte aos dependentes do segurado que falecer após a perda desta qualidade, salvo se
antes do falecimento tiverem sido preenchidos todos os requisitos para obtenção de aposentadoria. Em outras palavras,




                                                                                                                    19
se o falecido já tinha cumprido os requisitos para obtenção da aposentadoria, seus dependentes fazem jus ao benefício
pensão por morte.




                                                                                                                  20
5. DEPENDENTES

34. Quem são os dependentes dos segurados do RGPS?
Os dependentes são beneficiários do Regime Geral de Previdência Social que dependem economicamente do segurado.
Os segurados filiados ao RGPS podem ter como dependentes as seguintes pessoas elencadas na tabela a seguir:


                                 CLASSE                            DEPENDENTES

                                            O côn ju ge, a com p an h eira, o com p an h eiro e o filh o n ão
                                    1ª      em an cip ad o de qu alqu er con dição, m en or de vin te e
                                            u m an os ou in válido.

                                    2ª      Os p ais.

                                            O irm ão n ão em an cip ado, de qu alqu er con dição,
                                    3ª
                                            m en or de vin te e u m an os ou in válido.



35. O dependente também pode ser segurado?
Sim. Os dependentes podem, também, ser segurados, que é a situação de serem filiados ao RGPS obrigatoriamente em
razão do exercício de atividade remunerada, ou facultativamente. Assim, a viúva de um segurado, que é aposentada
pelo RGPS, recebe também a pensão deixada pelo marido, na condição de dependente, e o benefício da aposentadoria,
na condição de segurada.


36. Quais são as prestações previdenciárias que os dependentes têm direito?
Os dependentes têm direito, a dois benefícios: pensão por morte e auxílio-reclusão, bem como a dois serviços:
reabilitação profissional e serviço social.


37. O segurado pode eleger dependentes em mais de uma classe?
Não. A existência de dependente numa classe exclui do direito às prestações os das classes seguintes. Isso quer dizer
que, tendo sido concedido um benefício aos dependentes de uma determinada classe, no caso de perda da qualidade de
dependente, este benefício não é transferido para as classes subseqüentes. Os dependentes de uma mesma classe
concorrem em igualdade de condições, ou seja, no caso de recebimento do benefício, este é rateado igualmente entre
os participantes da classe.


38. Os dependentes da primeira classe têm que comprovar dependência econômica?
Não. Existe uma diferença entre os dependentes da primeira classe, que são também denominados de preferenciais,
para os das classes subseqüentes. A dependência econômica dos dependentes da 1a classe é presumida, ou seja, está
implícito que eles necessitam da renda do segurado para o seu sustento, enquanto a dependência das demais classes
deve ser comprovada.




                                                                                                                  21
39. Os enteados podem ser dependentes?
É importante ressaltar que os enteados e o menor sob tutela podem ser equiparados a filhos, desde que sejam
cumpridas algumas condições:
         apresentação de uma declaração escrita do segurado;
         comprovação de dependência econômica;
         não podem ter bens suficientes para o próprio sustento; e
         no caso do menor sob tutela, também é necessária a apresentação do Termo de Tutela.


40. Os dependentes da 2ª e da 3ª classe devem comprovar dependência econômica?
Sim.


41. Como se comprova dependência econômica?
Para comprovação da dependência econômica, devem ser apresentados no mínimo três dos seguintes documentos:
    1) certidão de nascimento de filho havido em comum;
    2) certidão de casamento religioso;
    3) declaração do imposto de renda do segurado, em que conste o interessado como seu dependente;
    4) disposições testamentárias;
    5) anotação constante na Carteira Profissional e/ou na Carteira de Trabalho e Previdência Social, feita pelo órgão
    competente;
    6) declaração especial feita perante tabelião;
    7) prova de mesmo domicílio;
    8) prova de encargos domésticos evidentes e existência de sociedade ou comunhão nos atos da vida civil;
    9) procuração ou fiança reciprocamente outorgada;
    10) conta bancária conjunta;
    11) registro em associação de qualquer natureza, onde conste o interessado como dependente do segurado;
    12) anotação constante de ficha ou livro de registro de empregados;
    13) apólice de seguro da qual conste o segurado como instituidor do seguro e a pessoa interessada como sua
    beneficiária;
    14) ficha de tratamento em instituição de assistência médica, da qual conste o segurado como responsável;
    15) escritura de compra e venda de imóvel pelo segurado em nome de dependente;
    16) declaração de não emancipação do dependente menor de vinte e um anos; ou
    17) quaisquer outros que possam levar à convicção do fato a comprovar.


42. Quem é considerado companheiro(a) para o INSS?


                                                                                                                   22
Companheira ou companheiro é considerado a pessoa que mantenha união estável com o segurado ou segurada. Por
sua vez, união estável é aquela verificada entre o homem e a mulher como entidade familiar, quando forem solteiros,
separados judicialmente, divorciados ou viúvos, ou tenham prole em comum, enquanto não se separarem.


43. Como posso comprovar união estável?
Para comprovação da união estável e dependência econômica devem ser apresentados, no mínimo, três dos seguintes
documentos:
       1)   declaração de Imposto de Renda do segurado, em que conste o interessado como seu dependente;
       2)   disposições testamentárias;
       3)   declaração especial feita perante tabelião (escritura pública declaratória de dependência econômica);
       4)   prova de mesmo domicílio;
       5)   prova de encargos domésticos evidentes e existência de sociedade ou comunhão nos atos da vida civil;
       6)   procuração ou fiança reciprocamente outorgada;
       7)   conta bancária conjunta;
       8)   registro em associação de classe, onde conste o interessado como dependente do segurado;
       9)   anotação constante de ficha ou livro de registro de empregados;
       10) apólice de seguro da qual conste o segurado como instituidor do seguro e a pessoa interessada como sua
           beneficiária;
       11) ficha de tratamento em instituição de assistência médica da qual conste o segurado como responsável;
       12) escritura de compra e venda de imóvel pelo segurado em nome do dependente;
       13) quaisquer outros documentos que possam levar à convicção do fato a comprovar.


44. O INSS reconhece a união entre homossexuais?
Sim, por força de decisão judicial proferida na Ação Civil Pública no 2000.71.00.009347-0 fica reconhecido o direito à
pensão por morte e ao auxílio-reclusão para o companheiro ou companheira homossexual do segurado. Dessa forma, o
companheiro ou a companheira homossexual de segurado inscrito no RGPS passa a integrar o rol dos dependentes e,
desde que comprovada a união estável, concorrem, para fins de pensão por morte e de auxílio-reclusão, com os
dependentes preferenciais.


45. O dependente perde esta qualidade em algum momento?
Sim. Normalmente, a qualidade de dependente é perdida nas seguintes situações em geral:
            alcance da idade máxima de 21 anos, para filho e irmão;
            cessação da invalidez, para o inválido; ou
            falecimento.
Vale ressaltar que o filho e o irmão inválido perderão a qualidade de dependente ao se emanciparem, exceto se a
emancipação provier de colação de grau científico em curso de ensino superior.



                                                                                                                    23
46. Em que casos o dependente pode se emancipar?
O Código Civil Brasileiro estabelece que a menoridade cessa aos dezoito anos completos, ficando a pessoa
habilitada à prática de todos os atos da vida civil. O Código também prevê situações, as quais listamos abaixo, em
que mesmo o menor não tendo completado 18 anos estará habilitado para os atos da vida civil:
                concessão dos pais, ou de um deles na falta do outro, mediante instrumento público,
                independentemente de homologação judicial, ou por sentença do juiz, ouvido o tutor, se o menor tiver
                dezesseis anos completos;
                casamento;
                exercício de emprego público efetivo;
                pela colação de grau em curso de ensino superior;
                pelo estabelecimento civil ou comercial, ou pela existência de relação de emprego, desde que, em
                função deles, o menor com dezesseis anos completos tenha economia própria.


47. Como o cônjuge perde a qualidade de dependente?
Pela anulação do casamento, pelo óbito ou pela separação judicial ou divórcio, enquanto não lhe for assegurada à
prestação de alimentos.


48. Como o companheiro(a) perde a qualidade de dependente?
Pelo óbito ou pela cessação da união estável com o segurado ou segurada, enquanto não lhe for garantida a prestação
de alimentos.


49. O que significa receber prestação de alimentos?
Quer dizer que se um segurado se separa de sua esposa ou de sua companheira e tiver a obrigação de pagar pensão
alimentícia, ela continua sendo sua dependente de 1ª classe, mesmo que ele tenha se casado novamente ou tenha outra
companheira. A pensão alimentícia evidencia a dependência econômica de quem a recebe.


50. Como o filho e o irmão perdem a qualidade de dependente?
Ao completarem vinte e um anos de idade, salvo se inválidos, ou pela emancipação, ainda que inválido, exceto, neste
caso, se a emancipação for decorrente de colação de grau científico em curso de ensino superior.


O novo Código Civil Brasileiro, em vigor a partir de janeiro de 2003, estabelece que a menoridade acaba aos 18 anos
de idade. Entretanto, a Casa Civil da Presidência da República emitiu nota SAJ no 42/2003 MF dispondo a favor da
permanência do direito à pensão para os filhos, bem como as pessoas a eles equiparadas ou os irmãos que não se
emanciparam e que, apesar de já serem maiores, não completaram a idade de vinte e um anos. O novo Código Civil,
portanto, nada alterou neste aspecto a legislação previdenciária. Assim, o filho e o irmão com idade entre 18 e 21
anos, já são maiores de idade, mas mantêm a qualidade de dependentes do segurado para o RGPS.




                                                                                                                       24
51. Um segurado falece, sendo que era casado e deixou dois filhos um com 23 e o outro com 8 anos
    de idade. De que forma o valor da pensão de R$ 1.000,00 será distribuída entre os dependentes?
A pensão no valor de R$ 1.000,00 vai ser distribuída entre seus dependentes da seguinte forma:
                       Dependente             Pensão                           Comentário
                Esposa                         500,00     Esposa é dependente da 1º classe.

                Filho de 23 anos                0,00      Filho maior de 21 anos perde a qualidade de segurado.

                Filho de 8 anos                500,00     Filho menor de 21 anos é dependente da 1º classe.



52. Um segurado falece, sendo que o mesmo era solteiro e sem filhos, entretanto tinha pais vivos e
    irmão. De que forma o valor da pensão de R$ 500,00 será distribuída entre os dependentes?
A pensão no valor de R$ 500,00 vai ser distribuída entre seus dependentes da seguinte forma:
          Dependente               Pensão                                   Comentário
        Irmão                       0,00      Irmão é dependente da 3º classe e só teria direito a pensão se não houvesse
                                              dependentes das classes anteriores e provasse dependência econômica.
        Pai                        250,00     Os pais do segurado são dependentes da 2º classe. Devem provar a
                                              dependência econômica.
        Mãe                        250,00     Os pais do segurado são dependentes da 2º classe. Devem provar a
                                              dependência econômica.



53. Um segurado separou-se de sua esposa, com quem tem um filho de 10 anos e passou a viver com
    outra pessoa mediante união estável, pagando pensão alimentícia mensalmente por determinação
    judicial. O segurado faleceu. De que forma o valor da pensão de R$ 1.200,00 será distribuída entre
    os dependentes?
A pensão no valor de R$ 1.200,00 vai ser distribuída entre seus dependentes da seguinte forma:
              Dependente            Pensão                                  Comentário
              Esposa                 400,00       Ex-esposa, como recebia pensão alimentícia, apesar de separada
                                                  não perdeu a qualidade de dependente de 1º classe.

              Companheira            400,00       Companheira é dependente de 1º classe, não necessitando provar
                                                  sua dependência econômica.

              Filho                  400,00       Filho menor de 21 anos é dependente de 1º classe.




                                                                                                                            25
6. INSCRIÇÃO

54. Como é feita a inscrição do trabalhador no INSS?
No âmbito da previdência social a inscrição de segurado é o ato pelo qual ele é cadastrado no Regime Geral de
Previdência Social, mediante comprovação dos dados pessoais e de outros elementos necessários e úteis a sua
caracterização. Relativamente ao segurado já cadastrado no PIS/PASEP (Programa de Integração Social / Programa de
Assistência ao Servidor Público), não deverá ser feito novo cadastro. Vejamos na tabela abaixo como cada tipo de
segurado é inscrito no sistema.


                      SEGURADO                           FORMA DE INSCRIÇÃO

                     Em p regado       p reen ch im en to dos docu m en tos qu e os h abilitem ao
                                       exercício da atividad e, form alizad o p elo con trato d e
                                       trabalh o.

                     Avu lso           cadastram en to e registro n o sin dicato ou órgão gestor d e
                                       m ão-d e-ob ra.

                     Em p regado       ap resen tação de docu m en to qu e com p rove a existên cia
                     d om éstico       d e con trato de trab alho.

                     Con trib uin te   ap resen tação d e docu m en to qu e caracterize a sua
                     In d ividu al     con dição ou o exercício de atividad e p rofission al, lib eral
                                       ou n ão.

                     Segu rad o        ap resen tação de docu m en to qu e com p rove o exercício d e
                     Esp ecial         ativid ad e ru ral.

                     Facu ltativo      ap resen tação d e d ocu m en to de id en tidad e e d eclaração
                                       exp ressa d e qu e n ão exerce ativid ade qu e o en qu ad re n a
                                       categoria d e segu rad o ob rigatório.




55. O INSS pode exigir outros documentos?
Sim. Além dos documentos necessários à inscrição, poderá ser exigida a comprovação dos dados pessoais e de outros
elementos necessários e úteis à caracterização do segurado quando da concessão do benefício.


56. Pode ocorrer inscrição após a morte do segurado?
Por mais estranho que pareça, pode. Presentes os pressupostos da filiação, admite-se a inscrição post mortem do
segurado especial. É o único caso em que pode ser efetuada a inscrição do segurado após a sua morte.


57. Como é feita a inscrição do dependente?
A inscrição do dependente do segurado será promovida quando do requerimento do benefício a que tiver direito,
mediante a apresentação dos documentos discriminados na tabela a seguir por tipo de dependente:




                                                                                                              26
DEPENDENTE                                              DOCUMENTAÇÃO

           Côn ju ge             Certidão d e casam en to.

           Filh os               Certidões d e n ascim en to.

           Com p an h eiro (a)   Docu m en to de iden tidad e.

                                 Certidão d e casam en to com averb ação d a sep aração ju d icial ou divórcio, qu an do
                                 u m dos com p an h eiros ou am bos já tiverem sido casados, ou d e ób ito, se for o caso.

           Equ ip arad o a       Certidão ju dicial d e tu tela e, em se tratan d o d e en tead o, certidão d e casam en to d o
           filh o                segu rado e d e n ascim en to d o d ep en d en te;

                                 Com p rovação d a dep en d ên cia econ ôm ica e d e qu e n ão p ossu i b en s su ficien tes p ara
                                 o seu próp rio su sten to e ed u cação;

                                 No caso d e falecim en to d o segu rado, a in scrição será feita m ed ian te a com p rovação
                                 d a equ ip aração p or docu m en to escrito d o segu rad o falecid o m an ifestan d o essa
                                 in ten ção, d a d ep en d ên cia econ ôm ica e da declaração d e qu e n ão ten h a sid o
                                 em an cip ado.

           Pais                  Certidão d e n ascim en to d o segu rad o.

                                 Docu m en to de iden tidad e.

           Irm ão                Certidão d e n ascim en to.




Nota 1: No caso de dependente inválido, para fins de inscrição e concessão de benefício, a invalidez será
comprovada mediante exame médico-pericial a cargo do Instituto Nacional do Seguro Social.
Nota 2: No ato de inscrição, o dependente menor de vinte e um anos deverá apresentar declaração de não
emancipação.
Nota 3: Os pais ou irmãos deverão, para fins de concessão de benefícios, comprovar a inexistência de
dependentes preferenciais, mediante declaração firmada perante o Instituto Nacional do Seguro Social, além de
comprovar a dependência econômica.




                                                                                                                                     27
7. CARÊNCIA

58. O que é carência?
Para que o segurado tenha direito a benefícios previdenciários é necessário ter efetuado o pagamento de um
determinado número de contribuições mensais. Essa quantidade de contribuições imprescindível à obtenção de um dado
benefício denomina-se período de carência.


59. Todos os benefícios têm a mesma carência?
Não. O período de carência varia a depender do benefício pleiteado, além disso, existem casos de benefícios isentos de
carência, os quais podem ser gozados desde a filiação do segurado.


60. Cada benefício tem seu período de carência específico?
Sim. O período de carência varia a depender do benefício a ser requerido e, no caso do salário-maternidade, depende
ainda, do tipo de segurado, conforme podemos visualizar na tabela a seguir:


                                  BENEFÍCIO                             CARÊNCIA
               Auxílio-doença (com um )                              12 con tribu ições
               Aposen tadoria por in validez (com u m )              12 con tribu ições
               Aposen tadoria por idade                             180 con tribuições
               Aposen tadoria por tem po de con tribuição           180 con tribuições
               Aposen tadoria especial                              180 con tribuições
               Salário-m atern idade para:                           10 con tribu ições
                   Con tribuin te In dividual               Em caso de p arto antecipado, o
                   Segu rada especial                       período de carên cia será reduzido
                                                            em   n úm ero   de   con tribuições
                   Facu ltativa
                                                            equ ivalen te ao n úm ero de m eses
                                                            em qu e o p arto foi antecip ado.
              i.




61. Existem benefícios que independem de carência?
Sim. Os benefícios a seguir independem de carência para a sua concessão:
                   Auxílio-acidente
                   Auxílio-reclusão
                   Salário-família
                   Pensão por morte
                   Salário-maternidade das seguradas empregada, doméstica e trabalhadora avulsa



                                                                                                                   28
Auxílio-doença (acidentário)
                  Aposentadoria por invalidez (acidentária)
                  Reabilitação Profissional
                  Serviço Social


Independem de carência o auxílio-doença e a aposentadoria por invalidez nos casos de acidente de qualquer natureza
ou causa, bem como no caso do segurado que, após filiar-se ao Regime Geral de Previdência Social, for acometido de
alguma das doenças ou afecções especificadas em lista elaborada pelos Ministérios da Saúde e da Previdência a cada
três anos, de acordo com os critérios de estigma, deformação, mutilação, deficiência ou outro fator que lhe confira
especificidade e gravidade que mereçam tratamento particularizado.


62. Se o segurado implementou todas as condições necessárias para a concessão do benefício e
    após esse fato houve alteração da legislação quanto ao prazo de carência do mesmo, como fica?
Não importa, o segurado não será prejudicado, se a luz da legislação vigente à época ele implementou as condições
para a obtenção de aposentadoria especial, por exemplo, e, posteriormente, ocorreram mudanças na legislação
modificando a carência exigida para este benefício, seu benefício estará garantido.
O direito ao benefício não seria afetado, ainda que após o cumprimento da carência, tivesse ocorrido a perda da
qualidade de segurado.


63. Havendo perda da qualidade de segurado tem alguma forma de aproveitar as contribuições pagas
    antes deste fato?
Sim. Havendo perda da qualidade de segurado, as contribuições anteriores a esse fato somente serão computadas
depois que o segurado contar a partir da data da nova filiação ao RGPS com, no mínimo, um terço do número de
contribuições exigidas para o cumprimento da carência. Assim, se o segurado recolheu dez contribuições mensais, antes
de ter perdido a qualidade de segurado, ao filiar-se novamente ao RGPS, caso necessite de um auxílio-doença comum,
somente após o recolhimento de quatro contribuições (um terço de doze), poderão ser aproveitadas as dez anteriores,
dessa forma, o segurado contará com 14 contribuições e fará jus ao benefício de auxílio-doença comum que exige
apenas 12 contribuições para efeito de carência.




                                                                                                                  29
8. SALÁRIO- DE- BENEFÍCIO

64. Como é calculado o valor dos benefícios?
Antes de calcular o valor dos benefícios deve-se calcular o chamado salário-de-benefício que é o valor base utilizado
para cálculo da renda mensal dos benefícios de prestação continuada.


65. Quer dizer que o salário-de-benefício não é o valor do benefício?
É isso mesmo. O salário-de-benefício é a base para o cálculo do valor do benefício. Veremos adiante, como é feito esse
cálculo, benefício por benefício.


66. Esta base, chamada salário-de-benefício, é utilizada para calcular a renda mensal de todos os
    benefícios?
Não. Os benefícios salário-família e salário-maternidade não utilizam esta base para o cálculo do valor de sua renda
mensal.


67. Quais os benefícios que utilizam o salário-de-benefício como base para o cálculo da renda
    mensal?
         Aposentadoria por idade
         Aposentadoria por tempo de contribuição
         Aposentadoria especial
         Aposentadoria por invalidez
         Auxílio-doença
         Auxílio-acidente
         Auxílio-reclusão
         Pensão por morte


68. Como é feito o cálculo do salário-de-benefício?
A tabela a seguir demonstra de que forma se obtém o valor do salário-de-benefício:


              BENEFÍCIO                                                 CÁLCULO
                                                               SALÁRIO-DE-BENEFÍCIO
Aposentadoria por idade                   Média aritmética simples dos maiores salários-de-contribuição
Aposentadoria por tempo de contribuição   correspondentes a oitenta por cento (80%) de todo o período
                                          contributivo, multiplicada pelo fator previdenciário.




                                                                                                                   30
Nota: O segurado com direito à aposentadoria por idade poderá
                                          optar ou não pela aplicação do fator previdenciário no cálculo de
                                          sua aposentadoria.

Aposentadoria por invalidez               Média aritmética simples dos maiores salários-de-contribuição
Aposentadoria especial                    correspondentes a oitenta por cento (80%) de todo o período
                                          contributivo.
Auxílio-doença
Auxílio-acidente

Aposentadoria por invalidez               No caso do segurado contar com menos de 144 contribuições
Auxílio-doença                            mensais, o salário-de-benefício equivalerá à soma dos salários-de-
                                          contribuição de todo período contributivo dividido pelo número de
                                          contribuições.



O valor mensal da pensão por morte e do auxílio-reclusão será de cem por cento do valor da aposentadoria que o
segurado recebia ou daquela a que teria direito se estivesse aposentado por invalidez na data de seu falecimento. Dessa
forma serão utilizados os cálculos da tabela anterior, a depender da aposentadoria a que o segurado tinha direito.


69. O salário-de-benefício tem algum valor limite?
O valor do salário-de-benefício está sujeito a limites mínimo e máximo, sendo que o limite mínimo é o valor do salário-
mínimo e o limite máximo é estabelecido mediante Portaria do Ministério da Previdência Social. Atualmente o valor do
limite máximo é de R$ 2.894,28 (Valor atualizado pela Portaria MPS n.º 142/2007).


70. No cálculo do salário-de-benefício entra o 13º salário?
Não. O segurado empregado e trabalhador avulso contribuem sobre a remuneração do décimo terceiro
salário. Entretanto, essa contribuição não é considerada para o cálculo do salário-de-benefício.




                                                                                                                    31
9. FATOR PREVIDENCIÁRIO

71. O que é fator previdenciário?
Fator previdenciário é uma variável que leva em conta a idade, a expectativa de sobrevida e o tempo de contribuição do
segurado ao se aposentar.


72. Para que serve o fator previdenciário?
Explicando de forma simples, o fator previdenciário foi uma forma encontrada para retardar os pedidos de
aposentadorias, pois, quanto mais cedo o segurado requerer sua aposentadoria menor será o seu valor.


73. O fator previdenciário é utilizado para cálculo de todos os benefícios ?
Não.


74. Para quais benefícios o fator previdenciário é utilizado?
O fator previdenciário é utilizado para o cálculo do salário-de-benefício dos seguintes benefícios de prestação
continuada:
                  Aposentadoria por idade (facultativamente)
                  Aposentadoria por tempo de contribuição (obrigatoriamente)


75. De que forma é efetuado o cálculo do fator previdenciário?
Como mencionamos anteriormente, o fator previdenciário será calculado mediante a fórmula abaixo, considerando-se a
idade do segurado, o tempo que ele contribuiu para a Previdência Social e sua expectativa de sobrevida, que
corresponde ao tempo estimado de vida do segurado no momento em que ele se aposenta.




onde:
f = fator previdenciário;
Es = expectativa de sobrevida no momento da aposentadoria;
Tc = tempo de contribuição até o momento da aposentadoria;
Id = idade no momento da aposentadoria; e
a = alíquota de contribuição correspondente a 0,31.


76. Onde encontrar o valor da sobrevida do segurado?



                                                                                                                   32
A expectativa de sobrevida do segurado na idade da aposentadoria será obtida a partir da tábua completa de
mortalidade construída pela Fundação Instituto Brasileiro de Geografia e Estatística (IBGE), para toda a população
brasileira, considerando-se a média nacional única para ambos os sexos. Publicada a tábua de mortalidade, os
benefícios previdenciários requeridos a partir dessa data considerarão a nova expectativa de sobrevida.


77. Existe algum ajuste no fator previdenciário relativamente a algum segurado?
Sim. Serão adicionados ao tempo de contribuição:
           5 anos, quando se tratar de mulher;
           5 anos e 10 anos, quando se tratar, respectivamente, de professor e professora que comprovem
           exclusivamente tempo de efetivo exercício das funções de magistério na educação infantil e no ensino
           fundamental e médio.




                                                                                                               33
10. RENDA MENSAL DE BENEFÍCIO

78. O valor dos benefícios obedece a algum limite?
Sim. A renda mensal do benefício de prestação continuada que substituir o salário-de-contribuição ou o rendimento do
trabalho do segurado está sujeita aos seguintes limites:



                                            LIMITE MÍNIMO              SALÁRIO MÍNIMO

                    RENDA MENSAL
                     DO BENEFÍCIO
                                            LIMITE MÁXIMO              LIMITE MÁXIMO DO
                                                                   SALÁRIO-DE-CONTRIBUIÇÃO




O valor do limite máximo do salário-de-contribuição será publicado mediante portaria do Ministério da Previdência Social,
sempre que ocorrer alteração do valor dos benefícios. Atualmente esse valor é de R$ 2.894,28 (Valor atualizado pela
Portaria MPS n.º 142/2007).


79. Há alguma exceção quanto ao limite máximo?
Sim. O valor da aposentadoria por invalidez do segurado que necessitar da assistência permanente de outra pessoa
será acrescido de vinte e cinco por cento, podendo superar o limite máximo do salário-de-contribuição. Existe, também,
uma outra exceção, que é o salário-maternidade, este caso será explicado na resposta da pergunta a seguir.

80. E o salário-maternidade obedece ao limite máximo?

O valor do salário-maternidade da segurada empregada e da trabalhadora avulsa não obedece ao limite máximo do
salário-de-contribuição. Entretanto, o artigo 248 da nossa Carta Magna impõe que os benefícios pagos, a qualquer título,
pelo órgão responsável pelo Regime Geral de Previdência Social não ultrapassem o valor do subsídio mensal do
Ministro do Supremo Tribunal Federal. O salário-maternidade das demais seguradas: empregada doméstica, contribuinte
individual, facultativa e segurada especial, está sujeito ao limite máximo estabelecido.


81. Há alguma exceção quanto ao limite mínimo?
O limite mínimo dos benefícios por determinação constitucional deve ser o valor do salário-mínimo vigente.
Entretanto, aplica-se esta regra para o valor dos benefícios que substituam a remuneração do segurado. No rol dos
benefícios previdenciários existem aqueles que não substituem a remuneração dos segurados e que, portanto
podem ser menores que o salário-mínimo. Os benefícios que podem ser menores que o limite mínimo são: o salário-
família e o auxílio-acidente. Há também um caso específico relativo ao auxílio-doença que poderá ser inferior ao
limite mínimo, desde que somado com outras remunerações do segurado resulte num valor igual ou superior ao
salário-mínimo.


82. Afinal como é feito o cálculo da renda mensal dos benefícios?



                                                                                                                      34
A renda mensal do benefício de prestação continuada será calculada aplicando-se sobre o salário-de-benefício os
seguintes percentuais:


                                        BENEFÍCIO                             RENDA MENSAL DO BENEFÍCIO

                    Au xílio-doen ça                                   91% d o salário-d e-ben efício

                    Ap osen tadoria In validez, Ap osen tad oria       100% d o salário-d e-ben efício
                    Esp ecial, Ap osen tadoria p or tem p o de
                    con tribu ição (in tegral)

                    Ap osen tadoria p or idade                         70% SB + 1% p or gru p o de 12 con tribu ições
                                                                       m en sais até o lim ite de 100% SB

                    Ap osen tadoria p or tem p o de con trib u ição 70% SB + 5% p or gru p o de 12 con tribu ições
                    (p rop orcion al)                                  até o lim ite de 100% SB
                    * válida som en te p ara àqu eles in scritos até
                    16.12.1998

                    Au xílio-aciden te                                 50% d o salário-d e-ben efício
               i.



83. Na tabela acima, não estão incluídos: o salário-família, a pensão por morte e o auxílio-reclusão.
    Esses benefícios têm uma forma diferente de cálculo?
É isso mesmo. O valor mensal da pensão por morte e do auxílio-reclusão será de cem por cento do valor da
aposentadoria que o segurado recebia ou daquela a que teria direito se estivesse aposentado por invalidez na data de
seu falecimento, dessa forma serão utilizados os cálculos da tabela anterior, a depender da aposentadoria a que o
segurado tinha direito. Já o salário-família será de R$ 23,08 para o segurado que receba remuneração até R$ 449,93 e
de R$ 16,26 para os que recebem entre R$ 449,94 e R$ 676,27 por filho ou equiparado.


84. O valor do benefício é reajustado?
Sim. É assegurado pela Constituição Federal o reajustamento dos benefícios para preservar-lhes, em caráter
permanente, o valor real da data de sua concessão. Os valores dos benefícios em manutenção serão reajustados, de
acordo com suas respectivas datas de início, com base na variação integral do índice definido em lei para essa
finalidade, desde a data de concessão do benefício ou do seu último reajustamento.



85. O índice de reajustamento já foi definido?
Já. O índice utilizado para reajustamento dos benefícios é o INPC.




                                                                                                                        35
11. APOSENTADORIA POR INVALIDEZ

86. Em que condições é devido o benefício aposentadoria por invalidez?
A aposentadoria por invalidez será devida ao segurado que, estando ou não em gozo de auxílio-doença, for considerado
incapaz para retornar ao trabalho, com chances remotas de reabilitação para o exercício de atividade que lhe garanta a
subsistência. A concessão da aposentadoria por invalidez está condicionada ao afastamento de todas as atividades.
Esse benefício será pago enquanto o segurado permanecer nessa condição.


87. Quais segurados têm direito a esse benefício?
Todos os segurados:
         empregado;
         empregado doméstico;
         contribuinte individual;
         trabalhador avulso;
         segurado especial; e
         facultativo.


88. Qual a carência exigida ?
Depende, existem duas situações:
         Aposentadoria por invalidez acidentária: não é exigida carência nos casos de acidente de qualquer natureza ou
         causa, bem como no caso do segurado que, após filiar-se ao Regime Geral de Previdência Social, for
         acometido de alguma das doenças ou afecções especificadas em lista elaborada pelos Ministérios da Saúde e
         da Previdência Social a cada três anos, de acordo com os critérios de estigma, deformação, mutilação,
         deficiência ou outro fator que lhe confira especificidade e gravidade que mereçam tratamento particularizado.

         Aposentadoria por invalidez comum: Doze meses de contribuição quando a inabilitação para o exercício de
         atividade não for decorrente de acidente ou das doenças especificadas anteriormente.

Caso ocorra a perda da qualidade de segurado será necessário contribuir com um terço da carência, o que corresponde,
no caso da aposentadoria por invalidez comum a 4 contribuições, a fim de que sejam aproveitadas e computadas as
contribuições referentes ao período anterior àquela perda.


89. Em que momento é verificada a incapacidade do segurado ?
No momento do exame médico-pericial realizado pela Previdência Social. O segurado, desde que arque com as
despesas, pode ser acompanhado por médico de sua confiança.


90. E se o segurado já era portador de uma doença antes de filiar-se ao RGPS?
A doença ou lesão de que o segurado já era portador não lhe conferirá direito à aposentadoria por invalidez, exceto
quando a incapacidade for decorrente de progressão ou agravamento dessa doença ou lesão.




                                                                                                                   36
91. Qual a renda mensal do benefício ?
O valor da renda mensal do benefício corresponderá a 100% do salário-de-benefício.


92. Como é feito o cálculo do valor do salário-de-benefício ?

         Para os inscritos até 28/11/99: é a média aritmética simples dos maiores salários de contribuição
         correspondentes a, no mínimo, 80% de todo o período contributivo, a partir do mês 07/94.
         Para os inscritos a partir de 29/11/99: é a média aritmética simples dos maiores salários de contribuição
         correspondentes a 80% de todo o período contributivo.
         Para o segurado que contar com menos de 144 contribuições mensais: o salário-de-benefício equivalerá à
         soma dos salários-de-contribuição de todo período contributivo dividido pelo número de contribuições.
         Para o segurado especial: desde que não tenha optado por contribuir na condição de contribuinte individual,
         o valor deste benefício será de um salário mínimo.
         Aposentadoria por invalidez precedida do auxílio-doença: corresponderá a 100% do salário-de-benefício
         que serviu de base para o cálculo da renda mensal inicial do auxílio-doença. Ou seja, o auxílio-doença é
         transformado em aposentadoria por invalidez.
         Aposentadoria por invalidez precedida do auxílio-acidente: O valor mensal do auxílio-acidente deverá ser
         somado ao salário-de-contribuição antes da aplicação da correção, não podendo superar o limite máximo do
         salário-de-contribuição.


93. E se o segurado precisar da assistência permanente de outra pessoa ?
Nesse caso, a renda mensal será acrescida de 25%, mesmo que o segurado já receba o valor do benefício no limite
máximo do salário-de-contribuição e terá corrigido o seu valor sempre que os benefícios forem reajustados. Vale
ressaltar que esse acréscimo cessará com a morte do segurado, não sendo incorporado ao valor da pensão por morte
deixada aos dependentes.


94. Em quais casos o INSS admite a necessidade de assistência de outra pessoa?
Nas situações elencadas a seguir que constam no Anexo I do Regulamento da Previdência Social:
    cegueira total
    perder nove dedos das mãos ou quantidade superior a esta
    paralisia dos dois membros superiores ou inferiores
    perda dos membros inferiores, acima dos pés, quando a prótese for impossível
    perda de uma das mãos e de dois pés, ainda que a prótese seja possível
    perda de um membro superior e outro inferior, quando a prótese for impossível
    alteração das faculdades mentais com grave perturbação da vida orgânica e social
    doença que exija permanência contínua no leito
    incapacidade permanente para as atividades da vida diária


95. Quando se inicia o pagamento do benefício?
         Para o segurado empregado: a partir do 16º dia do afastamento da atividade ou a partir da data da entrada
         do requerimento, se entre o afastamento e a entrada do requerimento decorrerem mais de trinta dias. Durante



                                                                                                                 37
os primeiros quinze dias de afastamento consecutivos da atividade por motivo de invalidez, caberá à empresa
         pagar ao segurado empregado o salário.
         Para o segurado empregado doméstico, contribuinte individual, trabalhador avulso, especial ou
         facultativo: a partir da data do início da incapacidade ou da data da entrada do requerimento, se entre essas
         datas decorrerem mais de trinta dias.
         Para o segurado que se encontrar em gozo de auxílio-doença: a partir do dia imediato ao da cessação do
         auxílio-doença.


96. Quais as obrigações do segurado que recebe o benefício da aposentadoria por invalidez?
O segurado aposentado por invalidez está obrigado, a qualquer tempo, independentemente de sua idade e sob pena de
suspensão do benefício, a submeter-se a exame médico a cargo da previdência social, processo de reabilitação
profissional por ela prescrito e custeado e tratamento dispensado gratuitamente, exceto o cirúrgico e a transfusão de
sangue, que são facultativos. Além disso, está obrigado, sob a mesma pena, a submeter-se a exames médico-periciais,
pois a Perícia Médica do INSS deverá rever o benefício de aposentadoria por invalidez, inclusive o decorrente de
acidente do trabalho, a cada dois anos, contados da data de seu início, para avaliar a persistência, atenuação ou o
agravamento da incapacidade para o trabalho, alegada como causa de sua concessão.

97. E se houver a recuperação da capacidade para o trabalho?
O aposentado por invalidez que se julgar apto a retornar à atividade deverá solicitar a realização de nova avaliação
médico-pericial. Se a perícia médica do Instituto Nacional do Seguro Social concluir pela recuperação da capacidade
laborativa, a aposentadoria será cancelada. O efeito desse cancelamento poderá ser imediato ou não, dependendo dos
seguintes fatores: se a recuperação for total ou parcial, se ocorreu num prazo maior ou menor do que 5 anos ou ainda se
o segurado foi declarado apto para exercer atividade diferente da que exercia.

Quando a recuperação for total e ocorrer dentro de 5 anos contados da data do início da aposentadoria por
invalidez ou do auxílio-doença que a antecedeu sem interrupção, o beneficio cessará:
       a) de imediato, para o segurado empregado que tiver direito a retornar à função que desempenhava na
            empresa ao se aposentar, na forma da legislação trabalhista, valendo como documento, para tal fim, o
            certificado de capacidade fornecido pela previdência social; ou
       b) após tantos meses quantos forem os anos de duração do auxílio-doença e da aposentadoria por invalidez,
            para os demais segurados.

Quando a recuperação for parcial ou ocorrer após o período de 5 anos, ou ainda quando o segurado for
declarado apto para o exercício de trabalho diverso do qual habitualmente exercia, a aposentadoria será
mantida, sem prejuízo da volta à atividade:
       a) pelo seu valor integral, durante 6 meses contados da data em que for verificada a recuperação da
           capacidade;
       b) com redução de 50%, no período seguinte de 6 meses; e
       c) com redução de 75%, também por igual período de 6 meses, ao término do qual cessará definitivamente.




                                                                                                                    38
RESUMO

                                                     RECUPERAÇÃO DA CAPACIDADE
                                                          PARA O TRABALHO




                             TOTAL, dentro de 5 anos da data           PARCIAL, ou ocorrer após o
                             do início da aposentadoria por            período de 5 anos, ou quando o
                             invalidez ou do auxílio- doença que       segurado for declarado apto para o
                             a antecedeu sem interrupção.              exercício de trabalho diverso.

                                              Cessa o benefício                          Benefício mantido


                             De imediato, para o segurado              100% do benefício - durante 6
                             empregado que tiver direito a             meses da data da recuperação da
                             retornar à função que desem-              capacidade
                             penhava na empresa.

                                                                       50% do benefício      no período
                             Após     tantos  meses   quantos
                                                                       seguinte de 6 meses
                             forem os anos de duração do
                             auxílio-doença e da aposentadoria
                             por invalidez, para os demais
                                                                       25% do benefício    por mais um
                             segurados.                                período de 6 meses.




98. Se o segurado retornar voluntariamente ao trabalho sem requisitar perícia médica
                                                                                   ?
Terá sua aposentadoria automaticamente cessada, a partir da data do retorno. Além disso, os valores recebidos
indevidamente pelo segurado aposentado por invalidez que retornar à atividade voluntariamente, deverão ser devolvidos
ao INSS.

Após o cancelamento da aposentadoria por invalidez, em razão do retorno voluntário à atividade, não caberá reavaliação
médico-pericial do segurado.




                                                                                                                   39
12. APOSENTADORIA POR IDADE

99. Em que condições é devido o benefício aposentadoria por idade?
A aposentadoria por idade será devida ao segurado que completar 65 anos de idade, se homem, ou 60, se mulher. A
idade fica reduzida em 5 anos para trabalhadores rurais e garimpeiros, ou seja, 60 anos, se homem e 55 anos, se
mulher.


100. Quais segurados têm direito a aposentadoria por idade?
Todos os segurados:
         empregado;
         empregado doméstico;
         contribuinte individual;
         trabalhador avulso;
         segurado especial; e
         facultativo.


101. Qual a carência exigida ?
São exigidos 180 meses de contribuição. Entretanto, é importante mencionar que a perda da qualidade de segurado não
consistirá num impedimento para a concessão da aposentadoria por idade, desde que o segurado conte com, no
mínimo, o número de contribuições mensais exigido para efeito de carência antes de ocorrer a perda da qualidade de
segurado. Isso significa dizer que não será necessário o segurado contribuir adicionalmente com um terço da carência, o
que corresponde, no caso da aposentadoria por idade, a 60 contribuições, a fim de que seja computado o período
anterior à perda da qualidade de segurado.


102. Quais documentos são necessários para que o segurado comprove a idade?
A comprovação da idade do segurado será feita por um dos seguintes documentos:
  a) Carteira de Identidade, Título Eleitoral, Certificado de Reservista, ou qualquer outro documento emitido com base
  no Registro Civil de Nascimento ou Casamento, desde que constem os dados do registro de nascimento ou
  casamento e não deixe dúvida quanto a sua validade para essa prova.
  b) Título Declaratório de Nacionalidade Brasileira, se segurado naturalizado, Certificado de Reservista, Título de
  Eleitor e Carteira ou Cédula de Identidade Policial;

A prova de idade dos segurados estrangeiros será feita por certidão de nascimento, certidão de casamento, passaporte,
certificado ou guia de inscrição consular ou certidão de desembarque, devidamente autenticados ou, ainda, pela carteira
de identidade de estrangeiro tirada na época do desembarque. Se os documentos expedidos estiverem em idioma
estrangeiro devem ser acompanhados da respectiva tradução, efetuada por tradutor público juramentado.



103. Qual a renda mensal do benefício?
O valor da renda mensal do benefício corresponderá a 70% do salário-de-benefício, mais 1% deste por grupo de doze
contribuições mensais, até o máximo de 100% do salário-de-benefício.


                                                                                                                    40
104. É obrigatória a utilização do fator previdenciário quando do cálculo da renda mensal do benefício?
Não. É facultativa a aplicação do fator previdenciário para o cálculo da renda mensal da aposentadoria por idade. Só
será aplicado o fator se for mais vantajoso para o segurado.


105. Como é feito o cálculo do valor do salário-de-benefício?
         O valor do salário-de-benefício da aposentadoria por idade é a média aritmética simples dos maiores salários-
         de-contribuição correspondente a 80% de todo período contributivo multiplicado pelo fator previdenciário,
         facultativamente.
         Para os filiados até 28/11/1999 no Regime Geral da Previdência Social, serão considerados 80% dos maiores
         salários-de-contribuição a partir de julho/94.
         Aposentadoria por idade precedida do auxílio-acidente: O valor mensal do auxílio-acidente deverá ser somado
         ao salário-de-contribuição antes da aplicação da correção, não podendo superar o limite máximo do salário-de-
         contribuição.


106. Quando se inicia o pagamento do benefício?
         Para o segurado empregado, inclusive o doméstico:
         a) a partir da data do desligamento do emprego, quando requerida até 90 dias depois dela; ou
         b) a partir da data do requerimento, quando não houver desligamento do emprego ou quando for requerida
         após o prazo de 90 dias mencionado anteriormente.
         Para os demais segurados: a partir da data da entrada do requerimento.


107. Existe aposentadoria obrigatória em função da idade?
Sim, para o segurado empregado, quando este completar 70 anos de idade, se do sexo masculino, ou 65 anos, se do
sexo feminino e desde que o mesmo tenha cumprido a carência. Observadas essas exigências, a empresa poderá
requerer o benefício. É considerada como data da rescisão do contrato de trabalho a imediatamente anterior à do início
da aposentadoria cabendo indenização prevista na legislação trabalhista


108. A aposentadoria por idade pode ser decorrente da transformação de outro benefício?
Sim. A aposentadoria por idade poderá ser decorrente da transformação de aposentadoria por invalidez ou auxílio-
doença, desde que requerida pelo segurado, observado o cumprimento da carência exigida na data de início do
benefício a ser transformado e o alcance da idade necessária.




                                                                                                                   41
13. APOSENTADORIA POR TEMPO
DE CONTRI BUI ÇÃO

109. Em que condição é devido o benefício aposentadoria por tempo de contribuição?
É o benefício pago aos segurados, homem e mulher, que completarem 35 e 30 anos de contribuição, respectivamente,
para o RGPS, sem limite mínimo de idade.


110. Quer dizer que não tem limite de idade para este benefício?
É isso mesmo. Muita gente confunde. Para aposentar-se por tempo de contribuição, não é exigido idade mínima.


111. Quem tem direito a esse benefício?
Todos os segurados:
         empregado;
         empregado doméstico;
         contribuinte individual;
         trabalhador avulso;
         facultativo; e
         segurado especial, este último desde que tenha contribuído como contribuinte individual.


112. Qual a carência exigida?

A carência exigida é de 180 meses de contribuição. Entretanto, é importante mencionar que a perda da qualidade de
segurado não consistirá num impedimento para a concessão da aposentadoria por tempo de contribuição, desde que o
segurado conte com, no mínimo, o número de contribuições mensais exigido para efeito de carência antes de ocorrer a
perda da qualidade de segurado. Isso significa dizer que não será necessário o segurado contribuir adicionalmente com
um terço da carência, o que corresponde, no caso da aposentadoria por tempo de contribuição, a 60 contribuições, a fim
de que seja computado o período anterior à perda da qualidade de segurado.


Após a publicação da Emenda Constitucional n.º 20, 16.12.1998, é exigido do segurado homem 35 anos de contribuição
e da segurada mulher 30 anos de contribuições mensais, para terem direito ao benefício da aposentadoria por tempo de
contribuição. Um dos requisitos a serem preenchidos é o da carência, além disso, o segurado deverá contar com 420
contribuições mensais para o homem e de 360 contribuições para a mulher.



113. Qual a renda mensal do benefício?

A aposentadoria por tempo de contribuição consiste numa renda mensal correspondente a 100% do salário-de-benefício
aos 35 anos de contribuição, se homem, e aos 30 anos de contribuição, se mulher.




                                                                                                                   42
114. Como é feito o cálculo do valor do salário-de-benefício?
O valor do salário-de-benefício da aposentadoria por tempo de contribuição será a média aritmética simples dos maiores
salários-de-contribuição correspondente a 80% de todo período contributivo multiplicado pelo fator previdenciário. Para
os inscritos até 28/11/199 o período contributivo considerado será a partir de julho/1994. Observe que a utilização do
fator previdenciário é obrigatória para este benefício.


Aposentadoria por tempo de contribuição precedida do auxílio-acidente: O valor mensal do auxílio-acidente deverá
ser somado ao salário-de-contribuição antes da aplicação da correção, não podendo superar o limite máximo do salário-
de-contribuição.



115. Quando se inicia o pagamento do benefício?

         Para o segurado empregado, inclusive o doméstico:
         a) a partir da data do desligamento do emprego, quando requerida até noventa dias depois dela ; ou
         b) a partir da data do requerimento, quando não houver desligamento do emprego ou quando for requerida
         após o prazo de 90 dias.
         Para os demais segurados, a partir da data da entrada do requerimento.


116. Aposentadoria por tempo de serviço é a mesma coisa que aposentadoria por tempo de
    contribuição?

A aposentadoria por tempo de serviço foi extinta após a Emenda Constitucional no 20, de 15 de dezembro de 1998,
tendo sido substituída pela aposentadoria por tempo de contribuição. Porém, para pessoas já filiadas ao RGPS até esta
data, o tempo de serviço será contado como tempo de contribuição. O que acontecia antes era que o segurado
comprovava o tempo de serviço sem, no entanto, comprovar a correspondente contribuição. Como após a Emenda
Constitucional no 20 de 15 de dezembro de 1998 o regime passou obrigatoriamente a ter caráter contributivo, não existe
mais essa possibilidade para os inscritos após a publicação da referida emenda.


117. Ainda existe aposentadoria proporcional?

Não. A Emenda Constitucional no 20/1998, extinguiu a aposentadoria proporcional para os segurados filiados após 16 de
dezembro de 1998.


118. Para os professores as regras são as mesmas?

Não. O professor que comprove, exclusivamente, tempo de efetivo exercício em função de magistério na educação
infantil, no ensino fundamental ou no ensino médio poderá se aposentar por tempo de contribuição aos 30 anos de
contribuição, se homem, ou aos 25 anos de contribuição, se mulher.


119. Como é feita a comprovação de que o segurado é professor?


                                                                                                                    43
A comprovação da condição de professor far-se-á mediante a apresentação dos seguintes documentos:
         respectivo diploma registrado nos órgãos competentes federais e estaduais, ou de qualquer outro documento
         que comprove a habilitação para o exercício do magistério; e
         registros em Carteira Profissional e/ou Carteira de Trabalho e Previdência Social complementados, quando for
         o caso, por declaração do estabelecimento de ensino onde foi exercida a atividade, sempre que necessária
         essa informação, para efeito de caracterização do efetivo exercício da função de magistério e que a atividade
         docente do professor tenha sido exercida exclusivamente em sala de aula.


120. É possível converter tempo de serviço de magistério em tempo de serviço de atividade comum?

Não é permitido.


121. Como fazer prova do tempo de contribuição?

A prova do tempo de contribuição é feita mediante documentos que comprovem o exercício de atividade nos
correspondentes períodos a serem considerados. Esses documentos devem ser contemporâneos aos fatos que se
pretende comprovar e neles devem constar as datas de início e término da prestação do serviço, além disso, quando se
tratar de trabalhador avulso, a duração do trabalho e a condição em que foi prestado. Podem ser utilizados como prova
os seguintes documentos:
           contrato individual de trabalho;
           anotações na Carteira Profissional e/ou a Carteira de Trabalho e Previdência Social, a carteira sanitária, a
           caderneta de matrícula e a caderneta de contribuições dos extintos institutos de aposentadoria e pensões, a
           caderneta de inscrição pessoal visada pela Capitania dos Portos, pela Superintendência do
           Desenvolvimento da Pesca, pelo Departamento Nacional de Obras Contra as Secas e declarações da
           Receita Federal;
           certidão de inscrição em órgão de fiscalização profissional, acompanhada do documento que prove o
           exercício da atividade;
           contrato social e respectivo distrato, quando for o caso, ata de assembléia geral e registro de firma
           individual;
           contrato de arrendamento, parceria ou comodato rural;
           certificado de sindicato ou órgão gestor de mão-de-obra que agrupa trabalhadores avulsos;
           comprovante de cadastro do Instituto Nacional de Colonização e Reforma Agrária, no caso de produtores
           em regime de economia familiar;
           bloco de notas do produtor rural; ou
           declaração de sindicato de trabalhadores rurais ou colônia de pescadores, desde que homologada pelo
           Instituto Nacional do Seguro Social.
Na falta de documento contemporâneo podem ser aceitos declaração do empregador ou seu preposto, atestado de
empresa ainda existente, certificado ou certidão de entidade oficial, desde que extraídos de registros efetivamente
existentes e acessíveis à fiscalização do Instituto Nacional do Seguro Social.




                                                                                                                    44
122. Qual a importância da carteira de trabalho?

Muito grande. A anotação na Carteira Profissional ou na Carteira de Trabalho e Previdência Social vale para todos os
efeitos como prova de filiação à Previdência Social, relação de emprego, tempo de serviço ou de contribuição e salários-
de-contribuição e, quando for o caso, relação de emprego, podendo, em caso de dúvida, ser exigida pelo Instituto
Nacional do Seguro Social a apresentação dos documentos que serviram de base à anotação. As anotações em Carteira
Profissional e/ou Carteira de Trabalho e Previdência Social relativas a férias, alterações de salários e outras que
demonstrem a seqüência do exercício da atividade podem suprir possível falha de registro de admissão ou dispensa.


123. É permitido somar os tempos de contribuição provenientes de regimes diferentes?

Sim. Para efeito de aposentadoria, é assegurada a contagem recíproca do tempo de contribuição na administração
pública e na atividade privada, rural e urbana, hipótese em que os diversos regimes de previdência social se
compensarão financeiramente, segundo critérios estabelecidos em lei. A compensação financeira será feita ao sistema
a que o interessado estiver vinculado quando requerer o benefício pelos demais sistemas, em relação aos respectivos
tempos de contribuição ou de serviço.


124. Existe alguma regra a ser observada na contagem do tempo de contribuição?

Sim. Basicamente existem três regras:
               1. não será admitida a contagem em dobro ou em outras condições especiais;
               2. é vedada a contagem de tempo de contribuição no serviço público com o de contribuição na atividade
                  privada, quando concomitantes;
               4. o tempo de contribuição já utilizado para a concessão de aposentadoria de qualquer regime
                  previdenciário não poderá ser utilizado novamente para a concessão de outra aposentadoria.




                                                                                                                     45
14. APOSENTADORIA ESPECIAL

125. Em que condições é devido o benefício aposentadoria especial?

A aposentadoria especial será devida ao segurado que tenha trabalhado durante quinze, vinte ou vinte e cinco anos,
conforme o caso, sujeito a condições especiais que prejudiquem a saúde ou a integridade física. A concessão do
benefício dependerá de comprovação pelo segurado, perante o Instituto Nacional do Seguro Social, do tempo de
trabalho permanente, não ocasional, nem intermitente, exercido em condições especiais que prejudiquem a saúde ou a
integridade física, durante o período mínimo exigido, conforme a atividade de trabalho.


126. Quais os segurados que têm direito a esse benefício?

         o empregado;
         o trabalhador avulso; e
         o contribuinte individual, este somente quando cooperado filiado a cooperativa de trabalho ou de produção.


127. Qual a carência exigida?

180 meses de contribuição. Entretanto, é importante mencionar que a perda da qualidade de segurado não consistirá
num impedimento para a concessão da aposentadoria especial, desde que o segurado conte com, no mínimo, o número
de contribuições mensais exigido para efeito de carência. Isso significa dizer que não será necessário o segurado
contribuir adicionalmente com um terço da carência, o que corresponde, no caso da aposentadoria especial, a 60
contribuições, a fim de que seja computado o período anterior à perda da qualidade de segurado.


128. Qual a renda mensal do benefício?

O valor da renda mensal do benefício corresponderá a 100% do salário-de-benefício.


129. É utilizado o fator previdenciário quando do cálculo da renda mensal do benefício?

Não.


130. Como é feito o cálculo do valor do salário-de-benefício?
O valor do salário-de-benefício da aposentadoria especial será a média aritmética simples dos maiores salários-de-
contribuição correspondente a 80% de todo período contributivo. Para os inscritos até 28/11/199 o período contributivo
considerado será a partir de julho/1994.


Aposentadoria especial precedida do auxílio-acidente: O valor mensal do auxílio-acidente deverá ser somado ao
salário-de-contribuição antes da aplicação da correção, não podendo superar o limite máximo do salário-de-contribuição.


131. Quando se inicia o pagamento do benefício?

         Para o segurado empregado:



                                                                                                                      46
a) a partir da data do desligamento do emprego, quando requerida até 90 dias depois dela; ou
         b) a partir da data do requerimento, quando não houver desligamento do emprego ou quando for requerida
         após o prazo de 90 dias mencionado anteriormente.
         Para os demais segurados: a partir da data da entrada do requerimento.



132. Quais condições de trabalho são consideradas como prejudiciais à saúde?
São consideradas condições especiais que prejudiquem a saúde ou a integridade física, a exposição a agentes nocivos
químicos, físicos ou biológicos ou a associação desses agentes, em concentração ou intensidade que ultrapasse os
limites de tolerância, ou que, dependendo do agente, torne a simples exposição em condição especial prejudicial à
saúde. A relação desses agentes, bem como a período necessário de exposição para efeito de aposentadoria especial
se encontram no Anexo IV do Regulamento da Previdência Social.


As dúvidas relativas ao enquadramento dos agentes nocivos serão resolvidas pelo Ministério do Trabalho e Emprego e
pelo Ministério da Previdência Social.


133. O que é considerado como tempo de trabalho para fins de concessão da aposentadoria especial?
Os períodos correspondentes ao exercício de atividade permanente e habitual (não ocasional nem intermitente), durante
toda a jornada de trabalho, em cada vínculo, sujeito a condições especiais que prejudiquem a saúde ou a integridade
física, inclusive férias, licença médica, salário-maternidade, auxílio-doença e aposentadoria por invalidez acidentários,
desde que na data do afastamento o segurado estivesse exercendo essas atividades.


134. Há redução do período para o caso de segurada mulher?
Não. Inexiste distinção para tempo de contribuição entre homens e mulheres, todos devem cumprir o período de 15, 20
ou 25 anos, conforme a atividade laborativa.


135. Quais documentos comprovam a efetiva exposição a agentes nocivos que prejudicam à saúde?
A comprovação da efetiva exposição do segurado aos agentes nocivos será feita mediante um documento denominado
Perfil Profissiográfico Previdenciário - PPP, emitido pela empresa ou seu preposto, com base em Laudo Técnico de
Condições Ambientais do Trabalho - LTCAT expedido por médico do trabalho ou engenheiro de segurança do trabalho.
Assim, para fins de concessão do benefício, a perícia médica do Instituto Nacional do Seguro Social deverá analisar o
Perfil Profissiográfico Previdenciário - PPP e o Laudo Técnico de Condições Ambientais do Trabalho - LTCAT, podendo,
se necessário, inspecionar o local de trabalho do segurado para confirmar as informações contidas nos referidos
documentos.


136. O que é o Perfil Profissiográfico Previdenciário? Quem deve elaborar?
Perfil Profissiográfico Previdenciário - PPP é um documento que contém a história laborativa do trabalhador e tem o
objetivo de informar sobre a efetiva exposição do trabalhador a agentes nocivos, devendo ser elaborado segundo
modelo instituído pelo Instituto Nacional do Seguro Social. Entre outras informações, deve conter registros ambientais,
resultados de monitoração biológica e dados administrativos. É um documento individual por trabalhador.




                                                                                                                      47
A empresa tem a obrigação de elaborar e manter atualizado o PPP, abrangendo as atividades desenvolvidas pelo
trabalhador e também de fornecer ao segurado, quando da rescisão do contrato de trabalho, cópia autêntica deste
documento, sob pena de autuação.


137. O que é o Laudo Técnico de Condições Ambientais do Trabalho? Quem deve elaborar?
É uma declaração pericial emitida por engenheiro de segurança ou médico do trabalho, nele deverão constar
informações sobre a existência de tecnologia de proteção coletiva ou individual que diminua a intensidade do agente
agressivo a limites de tolerância e recomendações sobre a sua adoção pelo estabelecimento respectivo. O Laudo
Técnico de Condições Ambientais do Trabalho - LTCAT deverá ser expedido em consonância com as Normas
Reguladoras editadas pelo Ministério do Trabalho e Emprego e demais orientações expedidas pelo Ministério da
Previdência Social.

A empresa que não mantiver laudo técnico atualizado com referência aos agentes nocivos existentes no ambiente de
trabalho de seus trabalhadores ou que emitir documento de comprovação de efetiva exposição em desacordo com o
respectivo laudo, estará sujeita a autuação.

138. O beneficiário de aposentadoria especial pode voltar a exercer atividade sujeita à exposição de agentes
    nocivos?
Não. O beneficiário de aposentadoria especial que retornar ao exercício de atividade ou operações que o sujeitem aos
agentes nocivos ou nele permanecer voluntariamente terá sua aposentadoria automaticamente cessada, a partir da data
do retorno. Entretanto, como aposentadoria é direito adquirido, se o segurado afastar-se das atividades nocivas, o
benefício deverá voltar a ser pago. Trata-se, portanto, de suspensão da aposentadoria.

139. Como fica a situação do segurado que exerceu mais de uma atividade sujeita a agentes nocivos
    com períodos de exposição exigidos para aposentadoria diferentes?
Para o segurado que houver exercido sucessivamente duas ou mais atividades sujeitas a condições especiais
prejudiciais à saúde ou à integridade física, sem completar em qualquer delas o prazo mínimo exigido para a
aposentadoria especial, os respectivos períodos serão somados após conversão, conforme tabela abaixo, considerada a
atividade preponderante:

                        TEMPO                         MULTIPLICADORES
                     A CONVERTER       Para 15 anos     Para 20 anos    Para 25 anos
                       De 15 anos           -              1,33            1,67
                       De 20 anos          0,75              -             1,25
                       De 25 anos          0,60            0,80              -



140. É possível a conversão de tempo de atividade comum em tempo de atividade sob condições
    especiais?
Não é possível.

141. É possível a conversão de tempo de atividade sob condições especiais em tempo de atividade
    comum?
Sim. É possível a conversão de tempo de atividade exercido sob condições especiais em tempo de atividade comum,
sendo permitido a qualquer tempo a conversão sem exigência de tempo mínimo de exposição a condições especiais de
trabalho, observada a seguinte tabela:




                                                                                                                 48
MULTIPLICADORES
 TEMPO A        MULHER                HOMEM
CONVERTER    (para 30 anos)        (para 35 anos)
De 15 anos        2,00                  2,33
De 20 anos        1,50                  1,75
De 25 anos        1,20                  1,40




                                                    49
15. AUXÍLIO- DOENÇA

142. Em que condição é devido o benefício auxílio-doença?

O benefício é devido ao segurado que ficar incapacitado para o seu trabalho ou para a sua atividade habitual por mais de
quinze dias consecutivos. Não será devido o benefício caso o segurado já fosse portador da doença ou lesão, que
constitui a causa do afastamento, exceto se a incapacidade sobrevier por agravamento ou progressão dessa doença ou
lesão.


143. Quem tem direito a esse benefício?

Todos os segurados:
         empregado;
         empregado doméstico;
         contribuinte individual;
         trabalhador avulso;
         segurado especial; e
         facultativo.

Sendo que para o segurado empregado que sofreu acidente do trabalho, ainda, tem garantido a estabilidade provisória
no emprego durante o prazo mínimo de doze meses após a cessação do auxílio-doença acidentário, independentemente
de recebimento do auxílio-acidente. Note que esse caso só se aplica para o empregado que sofreu acidente do trabalho.


144. Qual a carência exigida?

Depende, existem duas situações:
         Auxílio-doença acidentário - Não é exigido carência nos casos de acidente de qualquer natureza ou causa,
         bem como no caso do segurado que, após filiar-se ao Regime Geral de Previdência Social, for acometido de
         alguma das doenças ou afecções especificadas em lista elaborada pelos Ministérios da Saúde e da
         Previdência Social a cada três anos, de acordo com os critérios de estigma, deformação, mutilação, deficiência
         ou outro fator que lhe confira especificidade e gravidade que mereçam tratamento particularizado.

         Auxílio-doença comum - Doze meses de contribuição quando a inabilitação para o exercício de atividade não
         for decorrente de acidente ou das doenças especificadas anteriormente.

Entretanto, caso ocorra a perda da qualidade de segurado será necessário contribuir com um terço da carência, o que
corresponde, no caso do auxílio-doença comum a 4 contribuições, a fim de que sejam aproveitadas e computadas as
contribuições referentes ao período anterior àquela perda.


145. Qual a renda mensal do benefício?

O valor da renda mensal do benefício corresponderá a 91% do salário-de-benefício.




                                                                                                                     50
146. Como é feito o cálculo do valor do salário-de-benefício?
O valor do salário-de-benefício do auxílio-doença será a média aritmética simples dos maiores salários-de-contribuição
correspondente a 80% de todo período contributivo. No caso do segurado contar com menos de 144 contribuições
mensais, o salário-de-benefício equivalerá à soma dos salários-de-contribuição de todo período contributivo dividido pelo
número de contribuições.



147. Quando se inicia o pagamento do benefício?

O benefício será devido:
            a partir do 16º dia do afastamento da atividade para o segurado empregado, exceto o doméstico;
            da data do início da incapacidade, para os demais segurados; ou
            da data de entrada do requerimento, quando requerido após o trigésimo dia do afastamento da atividade,
            para todos os segurados.


148. Nos primeiros quinze dias do afastamento, quem paga ao segurado empregado seu salário?
Durante os primeiros 15 dias consecutivos de afastamento da atividade por motivo de doença, é obrigação da empresa
pagar ao segurado empregado o seu salário. Caso a empresa disponha de serviço médico próprio ou convênio, terá a
obrigação de realizar o exame médico e, posteriormente abonar as faltas correspondentes aos primeiros quinze dias de
afastamento.
O segurado empregado, por motivo de doença, que se afastar da atividade durante um período menor do que de 15
dias, e dela voltar a se afastar dentro de 60 dias desse retorno, fará jus ao auxílio-doença a partir do dia seguinte ao que
completar o período de 15 dias anteriormente iniciado. Além disso, caso o segurado dentro de 60 dias do retorno ao
trabalho, após o recebimento do benefício, volte a se afastar, o benefício será reaberto, sendo considerado uma
continuação do anterior, a empresa, portanto, não pagará os quinze primeiros dias desse novo afastamento.


149. Conta-se os 15 dias a partir de quando?

Quando o acidentado não se afastar do trabalho no dia do acidente, os quinze dias de responsabilidade da empresa pela
sua remuneração integral são contados a partir da data do efetivo afastamento.


150. Depois dos quinze primeiros dias o segurado já recebe o benefício?

Sim. Quando a incapacidade ultrapassar quinze dias consecutivos, o segurado será encaminhado à perícia médica do
Instituto Nacional do Seguro Social. Observe que o benefício só é devido se o segurado afastar-se de suas atividades
por período superior a 15 dias consecutivos.
No caso do segurado empregado, a empresa paga os 15 primeiros dias de afastamento e o benefício previdenciário
somente é devido a partir do 16º dia de afastamento. Para os outros segurados, o benefício será devido a contar da data
de início da incapacidade. Mas observe que o afastamento de 15 dias da atividade é condição para qualquer segurado.


151. E se o segurado exercer várias atividades, como fica a concessão do benefício?



                                                                                                                         51
O auxílio-doença do segurado que exercer mais de uma atividade abrangida pela previdência social será devido mesmo
no caso de incapacidade apenas para o exercício de uma delas, devendo a perícia médica ser conhecedora de todas as
atividades que o mesmo estiver exercendo. Neste caso, o auxílio-doença será concedido em relação à atividade para a
qual o segurado estiver incapacitado, considerando-se para efeito de carência somente as contribuições relativas a essa
atividade. Se nas diversas atividades o segurado exercer a mesma profissão, será exigido de imediato o afastamento de
todas elas.


152. E se o segurado ficar incapacitado para apenas uma das suas atividades?

Quando o segurado que exerce mais de uma atividade se incapacitar definitivamente para uma delas, deverá o auxílio-
doença ser mantido indefinidamente, não cabendo sua transformação em aposentadoria por invalidez, enquanto essa
incapacidade não se estender às demais atividades.


153. E se o segurado ficar incapacitado para apenas uma das suas atividades, o auxílio-doença poderá
    ter valor inferior ao salário-mínimo?
Sim. Desde que somado as demais remunerações do segurado resultar em valor superior ao salário-mínimo.


154. O segurado que recebe auxílio-doença tem obrigações para com o INSS?

Tem. O segurado em gozo de auxílio-doença está obrigado, independentemente de sua idade e sob pena de suspensão
do benefício, a submeter-se a exame médico a cargo da previdência social, processo de reabilitação profissional por ela
prescrito e custeado e tratamento dispensado gratuitamente, exceto o cirúrgico e a transfusão de sangue, que são
facultativos.


155. Quando cessa o benefício?

O auxílio-doença cessa pela recuperação da capacidade para o trabalho, por sua transformação em aposentadoria por
invalidez ou auxílio-acidente de qualquer natureza, neste último caso se resultar seqüela que implique redução da
capacidade para o trabalho que habitualmente exercia.




                                                                                                                    52
16. SALÁRIO- FAMÍLIA

156. Em que condição é devido o benefício salário-família?
O salário-família é devido aos trabalhadores e aposentados de baixa renda para ajudar na manutenção dos seus
dependentes. O salário-família é devido mensalmente na proporção do respectivo número de filhos ou equiparados.


157. Quem tem direito a esse benefício?
Têm direito, desde que estejam enquadrados como trabalhadores de baixa renda:
         o segurado empregado, exceto o doméstico;
         o trabalhador avulso;
         o aposentado.


158. Qual documentação o segurado deve apresentar para ter direito ao benefício?

O segurado deve apresentar a certidão de nascimento do filho ou, no caso do equiparado, a documentação que
comprove dependência econômica. Além disso, deve ser apresentado anualmente, atestado de vacinação obrigatória,
para criança até seis anos de idade e a comprovação semestral de freqüência à escola do filho ou equiparado, a partir
dos sete anos de idade.



159. Qual a carência exigida?

Não é exigida carência.


160. Qual o valor do benefício?

A partir de 1º de maio de 2007, o valor da cota do salário-família por filho ou equiparado de qualquer condição, até
quatorze anos de idade ou inválido de qualquer idade é de:
    R$ 23,08, para o segurado com remuneração mensal não superior a R$ 449,93;
    R$ 16,26, para o segurado com remuneração superior a R$ 449,94 e igual ou inferior a R$ 676,27.


161. Quando se inicia o pagamento do benefício?

A partir da data da apresentação da documentação necessária para obtenção do benefício.


162. Como é feito o pagamento deste benefício?

O salário-família será pago mensalmente:
    1) ao empregado, pela empresa, com o respectivo salário, e ao trabalhador avulso, pelo sindicato ou órgão gestor
    de mão-de-obra (OGMO), mediante convênio;


                                                                                                                  53
2) aos empregado e trabalhadores avulsos aposentados por invalidez ou em gozo de auxílio-doença, pelo Instituto
    Nacional do Seguro Social, juntamente com o benefício;
    3) aos empregados, trabalhadores avulsos e trabalhadores rurais aposentados por idade, juntamente com a
    aposentadoria.
    4) aos demais empregados e trabalhadores avulsos aposentados com idade mínima de 65 anos, se mulher e 70
    anos, se homem.


163. O trabalhador avulso pode receber cota proporcional a depender da quantidade de dias
    trabalhados?

Não. O salário-família do trabalhador avulso independe do número de dias trabalhados no mês, devendo o seu
pagamento corresponder ao valor integral da cota.


164. O salário-família é devido ao pai e a mãe concomitantemente?

Sim. Quando o pai e a mãe são segurados empregados ou trabalhadores avulsos, ambos têm direito ao salário-família.


165. E se trabalharem na mesma empresa, ainda assim é devido para ambos?

Sim, não há restrição alguma.


166. E se os pais se separarem?

Tendo havido divórcio, separação judicial ou de fato dos pais, ou em caso de abandono legalmente caracterizado ou
perda do pátrio-poder, o salário-família passará a ser pago diretamente àquele que ficar com a responsabilidade de
sustentar o menor, ou a outra pessoa, se houver determinação judicial nesse sentido.


167. Quando cessa o direito ao recebimento do benefício?

O direito ao salário-família cessa automaticamente na ocorrência das seguintes situações:

       1) por morte do filho ou equiparado, a contar do mês seguinte ao do óbito;

       2) quando o filho ou equiparado completar quatorze anos de idade, salvo se inválido, a contar do mês seguinte ao
       da data do aniversário;

       3) pela recuperação da capacidade do filho ou equiparado inválido, a contar do mês seguinte ao da cessação da
       incapacidade; ou

       4) pelo desemprego do segurado.

Vale ressaltar que a invalidez do filho ou equiparado maior de quatorze anos de idade deve ser verificada através de
exame médico-pericial a cargo da previdência social.


                                                                                                                    54
17. SALÁRIO- MATERNIDADE

168. Em que condição é devido o benefício salário-maternidade?
O benefício é devido em virtude do nascimento do filho da mulher trabalhadora, sendo pago durante o período de 120
dias podendo ser prorrogado em casos excepcionais.


169. Quem tem direito a esse benefício?

Todas as seguradas: empregada, empregada doméstica, avulsa, contribuinte individual, segurada especial e facultativa,
inclusive a aposentada que retornar a atividade.



170. Qual a carência exigida?

Não há carência exigida para as seguradas empregada, avulsa e a empregada doméstica. Entretanto, para a segurada
especial, contribuinte individual e facultativa deve ser cumprida a carência, conforme explicamos a seguir:
         Segurada Especial: deverá comprovar o exercício de atividade rural nos últimos 10 meses imediatamente
         anteriores ao requerimento do benefício, mesmo que de forma descontínua.
         Contribuinte Individual e Facultativa: devem ter no mínimo 10 meses de contribuição.


171. Qual a renda mensal do benefício?

A renda mensal depende do tipo do segurado:
         Para a segurada empregada consiste numa renda mensal igual à sua remuneração integral, não se
         sujeitando ao teto máximo estabelecido pelo Ministério da Previdência Social para o pagamento de benefícios.
         Entretanto, está sujeito a um limite máximo, que corresponde à remuneração mensal dos Ministros do
         Supremo Tribunal Federal.
         Para a trabalhadora avulsa consiste numa renda mensal igual à sua remuneração integral equivalente a um
         mês de trabalho, não se sujeitando ao teto máximo estabelecido pelo Ministério da Previdência Social para o
         pagamento de benefícios. Entretanto, está sujeito a um limite máximo, que corresponde à remuneração mensal
         dos Ministros do Supremo Tribunal Federal.
         Para a segurada empregada doméstica o valor correspondente ao do seu último salário-de-contribuição,
         sujeitando-se ao limite máximo estabelecido pelo Ministério da Previdência Social para o pagamento de
         benefícios.
         Para a segurada especial é um salário mínimo (àquelas que não contribuíram como contribuinte individual)
         Para as seguradas contribuinte individual e facultativa corresponde a um doze avos da soma dos doze
         últimos salários-de-contribuição, apurados em período não superior a quinze meses, sujeitando-se ao limite
         máximo estabelecido pelo Ministério da Previdência Social para o pagamento de benefícios.


172. Quando se inicia o pagamento do benefício?




                                                                                                                    55
O início do afastamento do trabalho é determinado com base em atestado médico da empresa ou no caso de parto
antecipado, na certidão de nascimento do filho. O salário-maternidade é devido à segurada da previdência social,
durante 120 (cento e vinte) dias, com início 28 (vinte e oito) dias antes e término 91 (noventa e um) dias depois do parto,
determinado com base em atestado médico.



173. O benefício pode ser prorrogado?

Sim. Em casos excepcionais, os períodos de repouso anterior e posterior ao parto podem ser aumentados em mais duas
semanas, mediante atestado médico específico.


174. E no caso de parto antecipado, como fica a duração do benefício e a carência?

Em caso de parto antecipado ou não, a segurada tem direito aos cento e vinte dias. Entretanto, relativamente às
seguradas para as quais é exigida carência, em caso de parto antecipado, o período de carência será reduzido em
número de contribuições equivalente ao número de meses em que o parto foi antecipado.


175. Ocorrendo aborto não criminoso a segurada terá direito ao benefício?

Em caso de aborto não criminoso, comprovado mediante atestado médico, a segurada terá direito ao salário-
maternidade correspondente a duas semanas.


176. E no caso do natimorto?

Em caso de natimorto, desde que seja a partir do 6º mês de gestação, a segurada terá direito a 120 dias. Caso esse fato
ocorra antes do 6º mês de gestação, será o caso de aborto não criminoso, explicado anteriormente, a segurada terá,
portanto, direito a duas semanas. A comprovação deste fato se dará através de atestado médico.


177. Se a segurada tiver dois empregos, ela terá direito ao salário-maternidade em relação a cada
    emprego?
Sim. No caso de empregos concomitantes, a segurada fará jus ao salário-maternidade relativo a cada emprego.


178. Se a segurada empregada perder o emprego prejudica o recebimento do benefício?
Não. Recentemente a legislação previdenciária foi alterada e a segurada desempregada que esteja ainda no período de
graça tem direito ao salário-maternidade.


179. A mãe adotiva tem direito ao salário-maternidade?

A Lei no 10.421, de 15 de abril de 2002, estendeu à mãe adotiva, mesmo que somente obtenha guarda judicial para fins
de adoção, o direito à licença-maternidade e ao salário-maternidade. O período da licença, e por conseqüência a




                                                                                                                        56
duração do recebimento do benefício previdenciário, variará de acordo com a idade da criança. Vejamos na tabela a
seguir como a lei estabelece esta relação:


                                                              Período da licença e do
                                 Idade da criança
                                                               salário-maternidade
                                     Até 1 ano                        120 dias
                                  De 1 até 4 anos                      60 dias
                                  De 4 até 8 anos                      30 dias



Observe que tanto a adotante como a guardiã deverá ser segurada da Previdência Social, devendo, portanto, atender
aos requisitos para a concessão do benefício.


180. Quem deve instruir o requerimento do benefício?

Compete à interessada instruir o requerimento do salário-maternidade com os atestados médicos necessários. Quando o
benefício for requerido após o parto, o documento comprobatório é a Certidão de Nascimento, podendo, no caso de
dúvida, a segurada ser submetida à avaliação pericial junto ao Instituto Nacional do Seguro Social. No caso da guardiã, o
termo de guarda deverá conter o nome da segurada e a observação que é para fins de adoção.


181. Mas, e se a mãe biológica recebeu o salário-maternidade, ainda assim a mãe adotiva terá direito?
Sim. O salário-maternidade é devido à segurada adotante ou à guardiã independentemente de a mãe biológica ter
recebido o mesmo benefício quando do nascimento da criança.


182. Se a segurada adotar ao mesmo tempo duas crianças?

Quando houver adoção ou guarda judicial para adoção de mais de uma criança, é devido um único salário-maternidade
relativo à criança de menor idade. No caso de empregos concomitantes, a segurada fará jus ao salário-maternidade
relativo a cada emprego.


183. Quando a empregada doméstica está de licença-maternidade, quais são as obrigações do
    empregador?
A contribuição do empregador doméstico é de 12% sobre o salário-de-contribuição do empregado doméstico a seu
serviço. O empregador também é o responsável pelo desconto e recolhimento ao INSS do que é devido à previdência
social pelo empregado doméstico. Quando a empregada doméstica está em gozo do salário-maternidade, o benefício
pago pelo INSS já vem descontado do valor da contribuição social que cabe a empregada doméstica, portanto o
empregador deverá, neste período, recolher apenas a contribuição a seu cargo, ou seja, 12% sobre o salário-de-
contribuição da segurada empregada doméstica a seu serviço.


184. O valor do salário-maternidade obedece ao mesmo teto dos demais benefícios previdenciários?

Não. O Supremo Tribunal Federal - STF entendeu que o valor do benefício salário-maternidade da segurada empregada
e da trabalhadora avulsa pode ser superior ao teto imposto aos demais benefícios previdenciários, entretanto, é aplicável



                                                                                                                      57
a este benefício o limite fixado no artigo 37, inciso XI da Constituição Federal, que é a remuneração mensal dos
Ministros do STF.




                                                                                                             58
18. AUXÍLIO- ACIDENTE

185. Em que condição é devido o benefício auxílio-acidente?
O auxílio-acidente é devido, como indenização, ao segurado quando, após a consolidação das lesões decorrentes de
acidente de qualquer natureza, resultar seqüela definitiva que implique redução da capacidade para o trabalho que
habitualmente exercia.

186. Quem tem direito a esse benefício?
Têm direito ao auxílio-acidente o empregado, o segurado especial e o trabalhador avulso. O empregado doméstico e o
contribuinte individual não têm direito.

187. Qual a carência exigida?
Não é exigida carência.

188. Qual a renda mensal do benefício?
Corresponderá a 50% do salário-de-benefício que deu origem ao auxílio-doença do segurado, corrigido até o mês
anterior ao do início do auxílio-acidente.

189. Esse benefício pode ser menor que o salário-mínimo?
Pode sim, pois, ele não substitui a remuneração do segurado. Na verdade o benefício auxílio-acidente é uma
indenização ao segurado.

190. Quando se inicia o pagamento do benefício?
Será devido a contar do dia seguinte ao da cessação do auxílio-doença, independentemente de qualquer remuneração
ou rendimento auferido pelo acidentado.

191. O auxílio-acidente pode ser acumulado com aposentadoria?
Não. Quando o segurado tiver direito a qualquer aposentadoria, o auxílio-acidente será incorporado ao salário-de-
benefício da aposentadoria.

192. O auxílio-acidente pode ser acumulado com algum benefício?
Pode com qualquer benefício, exceto aposentadoria e auxílio-doença acidentário, este quando decorrente da mesma
causa que gerou direito ao auxílio-acidente. Neste último caso, enquanto houver o pagamento do auxílio-doença
acidentário, será suspenso o pagamento do auxílio-acidente.

193. O desempregado tem direito ao auxílio-acidente?
Não há direito ao auxílio-acidente quando o segurado estiver desempregado, podendo ser concedido o auxílio-doença,
desde que atendidas as condições para a sua concessão e o mesmo esteja no período de graça.




                                                                                                               59
19. PENSÃO POR MORTE

194. Em que condição é devido o benefício da pensão por morte?
Será devido o benefício aos dependentes do segurado que falecer, estando aposentado ou não.


195. Quem tem direito a esse benefício?
Os dependentes de qualquer segurado: empregado, empregado doméstico, avulso, contribuinte individual, segurado
especial e facultativo.


196. Qual a carência exigida?
Não é exigida carência.


197. Qual a renda mensal do benefício?
Corresponderá a 100% da renda mensal da aposentadoria que o segurado recebia ou daquela a que teria direito se
estivesse aposentado por invalidez na data de seu falecimento, rateada em partes iguais entre os dependentes.


198. Quando se inicia o pagamento do benefício?
A contar da data do óbito, quando requerida:
    a)   pelo dependente maior de 16 anos de idade, até 30 dias depois do óbito; e
    b)   pelo dependente menor de 16 anos de idade, até 30 dias após completar essa idade.
A contar da data do requerimento, quando requerida após o prazo de 30 dias do óbito.
A contar da data da decisão judicial, no caso de morte presumida.
Nos dois últimos casos a data de início do benefício será a data do óbito apenas para efeito do cálculo do salário-de-
benefício. Sobre este valor serão aplicados os devidos reajustamentos até a data de início do pagamento. Ou seja, a
data do óbito serve como referência para a incidência dos índices de correção, entretanto não será devida qualquer
importância relativa a período anterior à data de entrada do requerimento.
No caso do dependente menor de dezesseis anos que não tiver se habilitado à época, o benefício será pago
retroativamente desde a data de falecimento do segurado até a data em que o dependente completar 16 anos, desde
que requerido até trinta dias após completar essa idade. Entretanto, somente haverá direito ao recebimento do benefício,
de forma retroativa, caso o mesmo não tenha sido pago integralmente a outro dependente habilitado durante esse
período. Ou seja, no caso por exemplo de falecimento de um segurado que tinha como único dependente um filho de 12
anos, que não foi habilitado à época, o dependente terá até 30 dias após completar 16 anos para requerer o montante
retroativo. Se requerer após esse prazo, terá o direito à pensão assegurado a partir da data do requerimento até
completar 21 anos, exceto se inválido.




                                                                                                                     60
199. Havendo mais de um pensionista, como é dividido o benefício?
Havendo mais de um pensionista, a pensão por morte, será rateada entre todos, em partes iguais, e será revertida em
favor dos demais dependentes à parte daquele cujo direito à pensão cessar.


200. O dependente inválido tem direito à pensão em que condições?
A pensão por morte somente será devida ao dependente inválido se for comprovada pela perícia médica a existência de
invalidez na data do óbito do segurado. Entretanto, a lei assegura ao dependente menor de idade que se invalidar antes
de completar vinte e um anos e que for confirmada a invalidez mediante exame médico-pericial, a não extinção da
respectiva cota até enquanto permanecer a condição de invalidez do pensionista.


201. O pensionista inválido tem alguma obrigação para com o INSS?
Sim. O pensionista inválido está obrigado, independentemente de sua idade e sob pena de suspensão do benefício, a
submeter-se a exame médico a cargo da previdência social, processo de reabilitação profissional por ela prescrito e
custeado e tratamento dispensado gratuitamente, exceto o cirúrgico e a transfusão de sangue, que são facultativos.


202. O cônjuge separado tem direito à pensão por morte?
Depende. Se o cônjuge divorciado ou separado judicialmente ou de fato, recebia pensão de alimentos, receberá a
pensão por morte em igualdade de condições com os demais dependentes da 1a classe (o cônjuge, a companheira, o
companheiro e o filho não emancipado de qualquer condição, menor de vinte e um anos ou inválido).


203. Como provar que houve morte presumida?
Através de sentença declaratória de ausência, expedida por um juiz ou em caso de desaparecimento do segurado por
motivo de catástrofe ou acidente. No primeiro caso o benefício contará da data da emissão da sentença e no segundo, a
contar data da ocorrência, mediante apresentação de prova hábil. As duas situações referem-se ao desaparecimento do
segurado, sendo que a sentença declaratória de ausência trata da situação de um segurado que abandonou seu
domicílio sem informar aonde ser encontrado aos seus dependentes e a segunda situação refere-se a uma catástrofe ou
um acidente, onde existem provas de que o segurado teria ido ao local, entretanto o corpo não foi encontrado.


204. Quando ocorre a cessação do benefício?
O pagamento da cota individual da pensão por morte cessa:
           pela morte do pensionista;
           para o pensionista menor de idade, ao completar vinte e um anos, salvo se for inválido, ou pela
           emancipação, ainda que inválido, exceto, neste caso, se a emancipação for decorrente de colação de grau
           científico em curso de ensino superior; ou
           para o pensionista inválido, pela cessação da invalidez, verificada em exame médico-pericial a cargo da
           previdência social.




                                                                                                                   61
Ocorrendo a cessação da pensão para um dos pensionistas, sua cota é revertida para os demais de mesma classe,
sendo intransferível para dependentes pertencentes à outra classe. Com a extinção da cota do último pensionista, a
pensão por morte será encerrada.




                                                                                                               62
20. AUXÍLIO- RECLUSÃO

205. Em que condição é devido o benefício auxílio-reclusão?

O auxílio-reclusão será devido aos dependentes do segurado de baixa renda recolhido à prisão, seja sob regime fechado
ou semi-aberto, desde que o segurado não receba remuneração da empresa, nem esteja em gozo de auxílio-doença ou
de qualquer aposentadoria.



206. Quem tem direito a esse benefício?

Os dependentes de qualquer segurado de baixa renda que for recolhido à prisão.


207. Qual a carência exigida?

Não é exigida carência.


208. Qual a renda mensal do benefício?

Corresponderá a 100% da renda mensal da aposentadoria que o segurado teria direito se estivesse aposentado por
invalidez, rateada em partes iguais entre os dependentes.


209. Havendo mais de um dependente, como é dividido o benefício?

Havendo mais de um dependente, o auxílio-reclusão, será rateado entre todos, em partes iguais, e será revertida em
favor dos demais à parte daquele cujo direito à pensão cessar.



210. Quando se inicia o pagamento do benefício?

Na data do efetivo recolhimento do segurado à prisão, se requerido até trinta dias depois desta, ou na data do
requerimento, se posterior ao referido prazo.


211. Como é feito o pedido do auxílio-reclusão?

O pedido deve ser instruído com a certidão do efetivo recolhimento do segurado à prisão, firmada pela autoridade
competente.



212. Depois de concedido o auxílio-reclusão tem mais alguma obrigação a ser cumprida?




                                                                                                                  63
Sim. O benefício será mantido enquanto o segurado permanecer detido ou recluso. O dependente deve apresentar
trimestralmente atestado firmado pela autoridade competente de que o segurado continua detido ou recluso.



213. E se o segurado fugir da prisão?

No caso de fuga, o benefício será suspenso e, se houver recaptura do segurado, será restabelecido a contar da data em
que esta ocorrer, desde que esteja ainda mantida a qualidade de segurado. Havendo o exercício de atividade dentro do
período de fuga, o mesmo será considerado para a verificação da perda ou não da qualidade de segurado.



214. O segurado pode exercer atividade remunerada enquanto estiver preso?

No caso de o segurado recluso exercer uma atividade remunerada e contribuir na condição de contribuinte individual ou
facultativo, isto não acarretará a perda do direito ao auxílio-reclusão para seus dependentes. Entretanto, o segurado
recluso não terá direito aos benefícios de auxílio-doença e aposentadoria durante a percepção pelos dependentes do
auxílio-reclusão, ainda que nessa condição contribua como contribuinte individual ou facultativo, permitida a opção,
desde que manifestada, também pelos dependentes, ao benefício mais vantajoso.



215. Em qual regime de prisão é devido o auxílio-reclusão?

O auxílio-reclusão é devido enquanto o segurado estiver recolhido à prisão sob o regime fechado ou o semi-aberto.


216. Caso o segurado faleça dentro da prisão, o que acontece?

O auxílio-reclusão que estiver sendo pago será automaticamente convertido em pensão por morte. Além disso, caso os
dependentes não tenham recebido o auxílio-reclusão em função do segurado não ser de baixa renda, terão direito à
pensão. Se o segurado exercia alguma atividade remunerada enquanto estava recluso, será efetuado novo cálculo para
pensão em função da nova atividade, sendo que os dependentes têm a opção de escolher a pensão decorrente da
transformação do auxílio-reclusão, se esta for mais vantajosa.



217. Quando ocorre a cessação do benefício?

O pagamento da cota individual do auxílio-reclusão cessa:

            pela morte do dependente;

            para o dependente menor de idade, ao completar vinte e um anos, salvo se for inválido, ou pela
            emancipação, ainda que inválido, exceto, neste caso, se a emancipação for decorrente de colação de grau
            científico em curso de ensino superior; ou




                                                                                                                    64
para o dependente inválido, pela cessação da invalidez, verificada em exame médico-pericial a cargo da
           previdência social.

Com a extinção da cota do último dependente, o benefício será encerrado.




                                                                                                              65
21. HABILITAÇÃO E REABILITAÇÃO
PROFISSIONAL E SERVIÇO SOCIAL

218. Qual o objetivo da habilitação e reabilitação profissional?

A habilitação e reabilitação profissional visam proporcionar aos beneficiários, incapacitados parcial ou totalmente para o
trabalho, os meios necessários para o reingresso no mercado de trabalho.


219. A habilitação e reabilitação profissional têm caráter obrigatório?

Têm.


220. Qual a carência para esses serviços?

A habilitação e reabilitação profissional, bem como o serviço social independem de carência.


221. Caso o segurado precise de próteses, o INSS as fornece?

Quando, indispensáveis, ao desenvolvimento do processo de reabilitação profissional, o Instituto Nacional do Seguro
Social fornecerá aos segurados, inclusive aposentados, em caráter obrigatório, prótese e órtese, seu reparo ou
substituição, instrumentos de auxílio para locomoção, bem como equipamentos necessários à habilitação e à reabilitação
profissional, transporte urbano e alimentação e, na medida das possibilidades do Instituto, aos seus dependentes.


222. E se o segurado adquirir por conta própria, o INSS reembolsa?

O Instituto Nacional do Seguro Social não reembolsará as despesas realizadas com a aquisição de órtese ou prótese e
outros recursos materiais não prescritos ou não autorizados por suas unidades de reabilitação profissional.


223. No término da reabilitação profissional o INSS emite algum certificado para o segurado?

Concluído o processo de reabilitação profissional, o Instituto Nacional do Seguro Social emitirá certificado individual
indicando a função para a qual o reabilitando foi capacitado profissionalmente, sem prejuízo do exercício de outra para a
qual se julgue capacitado.


224. Depois de finalizado o processo de reabilitação profissional, o segurado tem garantia de
    emprego?
Não. Não constitui obrigação da previdência social a manutenção do segurado no mesmo emprego ou a sua colocação
em outro para o qual foi reabilitado, assim o processo de reabilitação profissional é cessado com a emissão do
certificado individual indicando a função para a qual o reabilitando foi capacitado profissionalmente.


225. As empresas são obrigadas a empregar pessoas reabilitadas?



                                                                                                                       66
Sim. A empresa, com cem ou mais empregados, está obrigada a preencher de dois a cinco por cento de seus cargos
com beneficiários reabilitados ou pessoas portadoras de deficiência, habilitadas, na seguinte proporção:
               a) até duzentos empregados, dois por cento;
               b) de duzentos e um a quinhentos empregados, três por cento;
               c) de quinhentos e um a mil empregados, quatro por cento; ou
               d) mais de mil empregados, cinco por cento.


226. E o serviço social, o que ele faz pelo beneficiário?

O serviço social constitui atividade auxiliar do seguro social e visa prestar ao beneficiário orientação e apoio no que
concerne à solução dos problemas pessoais e familiares e à melhoria da sua inter-relação com a previdência social, para
a solução de questões referentes a benefícios.




                                                                                                                    67
22. J USTI FI CAÇÃO ADMI NI STRATIVA

227. O que é justificação administrativa?

A justificação administrativa é um recurso perante a previdência social utilizado quando o segurado não tem toda a
documentação necessária à comprovação de um fato, ou seja, para:
                   suprir falta ou insuficiência de documento; e
                   produzir prova de fato ou circunstância de interesse dos beneficiários.
Somente será admitido o processamento de justificação administrativa na hipótese de ficar evidenciada a inexistência de
outro meio capaz de configurar a verdade do fato alegado.


228. Em qualquer situação pode ser utilizada?

Não. Existem duas situações que não podem ser comprovadas através da justificação administrativa, quais sejam:
    1.   quando o fato a comprovar exija registro público de casamento, de idade ou de óbito; ou
    2.   caso a lei prescreva forma especial para o ato jurídico.
Além disso, a justificação administrativa, no caso de prova de tempo de contribuição, dependência econômica,
identidade e relação de parentesco, somente produzirá efeito quando baseada em início de prova material, não sendo
admitida prova exclusivamente testemunhal. O início de prova material apresentado deverá levar à convicção do que se
pretende comprovar.


229. Posso utilizar a justificação administrativa somente apresentando prova testemunhal?

Admite-se a prova exclusivamente testemunhal, para se demonstrar o tempo de contribuição, quando ficar comprovada a
ocorrência de força maior ou caso fortuito. Por exemplo, em caso de incêndio, inundação ou desmoronamento, que
tenha atingido a empresa na qual o segurado alegue ter trabalhado.


230. Como comprovar que a empresa que o segurado trabalhava sofreu um sinistro?

Deve-se comprovar o fato através de:
                   registro da ocorrência policial feito em época própria;
                   apresentação de documentos contemporâneos aos fatos; e
                   verificação da correlação entre a atividade da empresa e a profissão do segurado.


231. Se a empresa na qual o segurado trabalhava não existir mais?

Se a empresa não existir mais, deverá o interessado juntar prova oficial de sua existência no período que pretende
comprovar.



                                                                                                                    68
232. Quantas testemunhas o segurado deve apresentar?

O segurado deve indicar testemunhas idôneas, em número não inferior a três nem superior a seis, cujos depoimentos
possam levar à convicção da veracidade do que se pretende comprovar.


233. O beneficiário deve pagar para utilizar este recurso?

Não. A justificação administrativa será processada sem ônus para o interessado.


234. Quem fizer alguma declaração falsa pode ser penalizado?

É crime. Os autores de declarações falsas, prestadas em justificações perante a previdência social, serão processados
penalmente.




                                                                                                                  69
23. REGRAS PARA CONTROLE DA CONCESSÃO
E PAGAMENTO DE BENEFÍCIOS

235. A quem o benefício é pago?

O benefício é pago diretamente ao beneficiário.


236. Outra pessoa, que não o beneficiário, pode receber o benefício?

Sim. Em caso de ausência, moléstia contagiosa ou impossibilidade de locomoção do beneficiário, o benefício será pago
a procurador.


237. Há prazo de validade para a procuração?

Sim. O mandato não terá prazo superior a doze meses, podendo ser renovado ou revalidado pelos setores de benefícios
do Instituto Nacional do Seguro Social.


238. Existe procuração coletiva?

Sim. Entretanto, somente será aceita a constituição de procurador com mais de uma procuração, ou procurações
coletivas, nos casos de representantes credenciados de leprosários, sanatórios, asilos e outros estabelecimentos
congêneres, nos casos de parentes de primeiro grau, ou, em outros casos, a critério do Instituto Nacional do Seguro
Social.


239. O beneficiário pode receber mais de um benefício ao mesmo tempo?

Sim, mas existem alguns benefícios que não podem ser pagos concomitantemente.


240. Quais benefícios não podem ser pagos ao mesmo tempo?

Exceto no caso de direito adquirido, não é permitido o recebimento conjunto dos seguintes benefícios da previdência
social, inclusive quando decorrentes de acidente do trabalho:
               a) aposentadoria com auxílio-doença;
               b) mais de uma aposentadoria;
               c) salário-maternidade com auxílio-doença;
               d) salário-maternidade com benefício por incapacidade;
               e) mais de um auxílio-acidente;
               f) auxílio-acidente com qualquer aposentadoria;



                                                                                                                 70
g) auxílio-reclusão com qualquer aposentadoria;
               h) auxílio-reclusão com auxílio-doença;
               i) mais de uma pensão deixada por cônjuge;
               j) mais de uma pensão deixada por companheiro ou companheira;
               l) mais de uma pensão deixada por cônjuge e companheiro ou companheira.
Nos três últimos casos é facultado ao dependente optar pela pensão mais vantajosa.



                                                        OUTRA
                                                    APOSENTADORIA



                                                   AUXÍLIO-RECLUSÃO



  APOSENTADORIA               Proibido              AUXÍLIO-DOENÇA         Proibido             SALÁRIO-
                              acumular                                     acumular           MATERNIDADE

                                                    Proibido acumular
                                                   (se decorrem da
                                                   mesma causa)


                                                   AUXÍLIO-ACIDENTE        Proibido        AUXÍLIO-ACIDENTE
                                                                           acumular




         PENSÃO                 Proibido              PENSÃO
                                acumular



       SALÁRIO-                 Proibido           BENEFÍCIO POR
     MATERNIDADE                acumular           INCAPACIDADE




Além disso, não é permitido o recebimento conjunto do seguro-desemprego com qualquer benefício de prestação
continuada da previdência social, exceto pensão por morte, auxílio-reclusão, auxílio-acidente, auxílio-suplementar ou
abono de permanência em serviço.

                                                    AUXÍLIO-RECLUSÃO




                    SEGURO-       iv. PermitidoP    AUXÍLIO-ACIDENTE
                   DESEMPREGO          roibido
                                      acumular
                                   v.          a




                                                        PENSÃO




                                                                                                                  71
24. QUADRO RESUMO DOS BENEFÍCIOS

      Benefício                   Condições                Quem tem direito          Carência (1)                          Valor

Auxílio-doença          Incapacidade temporária para     Todos os segurados     12 contribuições        91% do SB
                        o                                                       mensais
                        trabalho.
Aposentadoria por       Incapacidade permanente          Todos os segurados     12 contribuições        100% do SB + 25% caso
invalidez               para o                                                  mensais                 necessite de assistência permanente de
                        trabalho.                                                                       outra pessoa
Auxílio-acidente        Seqüela de acidente que          Empregado, exceto      Sem carência            50% do SB
                        reduza a capacidade para o       o
                        trabalho.                        doméstico,
                                                         trabalhador avulso e
                                                          segurado especial
Aposentadoria por       65 anos de idade, se             Todos os segurados     180 contribuições       70% do SB + 1% por grupo de 12
Idade                   homem, e 60, se mulher,                                 mensais                 contribuições até 100%
                        reduzindo em cinco anos
                        quando for rural.
Aposentadoria por       35 anos de contribuição, se      Todos os segurados     180 contribuições       100% do SB. No cálculo da renda
Tempo de                homem e 30, se mulher.                                  mensais                 mensal é aplicado obrigatoriamente o
Contribuição            Professores têm o tempo                                                         fator previdenciário
                        reduzido em 5 anos.
Aposentadoria           Trabalhadores expostos a         Segurado               180 contribuições       100% do SB
Especial                agentes nocivos que              empregado, avulso      mensais
                        prejudiquem a saúde ou a         e o contribuinte
                        integridade física durante       individual
                        15,20 ou 25 anos.                (cooperado)
Salário-maternidade     Estágio final da gravidez ou     Todas as seguradas     Empregada,              Empregada e avulsa: última
                        nascimento de filho.                                    inclusive a             remuneração sem limite de valor
                                                                                doméstica e a
                                                                                avulsa: sem
                                                                                carência
                                                                                Contribuinte            Doméstica: último salário-de-
                                                                                individual e a          contribuição
                                                                                facultativa: 10
                                                                                contribuições
                                                                                mensais
                                                                                Segurada Especial:      Contribuinte individual e facultativa:
                                                                                efetivo exercício de    média dos 12 últimos salários-de-
                                                                                atividade rural nos     contribuição
                                                                                10 meses anteriores
                                                                                ao início do
                                                                                benefício
Salário-família         Remuneração mensal do            Empregado,             Sem carência, mas       23,08 para remuneração inferior a R$
                        segurado igual ou inferior a     trabalhador avulso,    necessária a            449,93 e 16,26 para remuneração entre
                        valor R$ 676,27 e ter filho ou   aposentado por         apresentação anual      R$ 449,94 e R$ 676,27 por filho ou
                        equiparado de até 14 anos de     invalidez, idade ou    do atestado de          equiparado
                        idade na escola ou inválido      com mais de 65         vacinação para
                        de qualquer idade.               anos, se homem e       crianças até 6 anos
                                                         60, se mulher          e freqüência escolar
                                                                                semestral para
                                                                                crianças a partir dos
                                                                                7 anos
Pensão por Morte        Falecimento do segurado.         Dependentes do         Sem carência            100% do
                                                         segurado                                       valor as aposentadoria do segurado
                                                                                                        falecido ou da aposentadoria por
                                                                                                        invalidez a que teria direito
Auxílio-reclusão        Segurado recluso, com            Dependentes do         Sem carência            100% do
                        rendimento igual ou menor a      segurado                                       valor as aposentadoria por invalidez a
                        R$ 676,27.                                                                      que teria direito

(1) No caso de auxílio-doença e aposentadoria por invalidez concedidos em razão de acidente do trabalho ou de qualquer natureza, não se
exige carência. (2) Valores atualizados Portaria n.º 142 de 04/2007.




                                                                                                                                                 72
73
QUESTÕES DE CONCURSO
                                 SOBRE O ASSUNTO RGPS



Assinale C (certo) ou E (errado) ou a assertiva correta:
1.    (PROCURADOR/INSS/1999) Se Tício, aposentado pela previdência social a partir de 5
      de julho de 1999, passou a perceber proventos de R$ 400,00, terá direito à gratificação
      natalina paga pelo INSS, a qual, mantendo-se inalterados os proventos, equivalerá, em
      dezembro do mesmo ano, a R$ 200,00. ( )
2.    (FISCAL/INSS/2000) O abono anual é devido ao segurado da previdência social ou,
     quando for o caso, ao dependente que, durante o ano, recebeu auxílio-doença, auxílio-
     acidente, aposentadoria, pensão por morte ou auxílio-reclusão. Considerando que o valor
     de um desses benefícios correspondesse, no mês de dezembro de 2000, a R$ 460,00, então
     o beneficiário teria direito ao pagamento do abono nesse mesmo montante,
     independentemente do mês em que o pagamento do benefício houvesse iniciado. ( )
3.   (FISCAL/INSS/1997) O abono anual é uma gratificação paga uma vez por ano, no valor
     correspondente à média dos benefícios pagos durante o ano. ( )
4.   (JUIZ FEDERAL SUBSTITUTO DA 1a REGIÃO/2001) São prestações do Regime Geral
     de Previdência Social, quanto aos dependentes:
     a) Pensão por morte, auxílio-reclusão e aposentadoria por invalidez.
     b) Auxílio-reclusão, aposentadoria por invalidez e aposentadoria por idade.
     c) Pensão por morte e auxílio-reclusão.
     d) Pensão por morte, auxílio-doença e aposentadoria por invalidez.
5.   (JUIZ FEDERAL SUBSTITUTO DA 1a REGIÃO/2001) É correto afirmar, à luz das
     disposições constitucionais que cuidam da previdência social, que:
     a) Todos os salários-de-contribuição considerados para o calculo dos benefícios serão
        devidamente atualizados, na forma da lei.
     b) A gratificação natalina dos aposentados e pensionistas terá por base o valor da média dos
        proventos percebidos durante o ano, atualizados na forma da lei.
     c) O participante de regime próprio de previdência social poderá filiar-se, na qualidade de
        segurado facultativo, ao Regime Geral de Previdência Social.
     d) O reajustamento dos benefícios, para preservar-lhes, em caráter permanente, o valor real,
        não poderá determinar diminuição quanto ao número de salários mínimos a que
        correspondiam as respectivas rendas mensais iniciais.
6.   (JUIZ FEDERAL SUBSTITUTO DA 1a REGIÃO/2001) O segurado e seus dependentes
     têm direito aos mesmos benefícios da previdência social. ( )
7.   Constitui princípio aplicável especificamente à previdência social:
     a) Amparo às crianças e aos adolescentes carentes.
     b) Autonomia da vontade.
     c) Participação da iniciativa privada em caráter concorrente.


                                                                                               74
d) Cálculo dos benefícios,    considerando-se   os   salários-de-contribuição   corrigidos
        monetariamente.
     e) Acesso universal igualitário.
8.   (JUIZ SUBSTITUTO DA 5a REGIÃO/1999) A criação de novos benefícios é vedada e o
     valor dos benefícios deve ser mantido, segundo a data da concessão. ( )


Determinado município previu, por meio de lei municipal, a concessão de aposentadoria e
pensão a seus servidores. Nesse município:
     Aldo, servidor da Fundação de Ensino Médio (FEM), foi aprovado em concurso público,
     para ocupar cargo de provimento efetivo;
     A professora Júlia foi contratada pela FEM pelo período de quatro meses, para
     substituir outra, que estava em gozo de licença-maternidade;
     Os servidores da Companhia Municipal de Águas (CMA) são contratados pelo regime da
     Consolidação das Leis do Trabalho (CLT);
     Alfredo foi designado para ocupar cargo em comissão de livre nomeação e exoneração na
     FEM;
     Adalberto, recém-empossado em cargo público, pretende contar como tempo de
     contribuição aquele em que freqüentou curso superior.
(TÉCNICO PREVIDENCIÁRIO/2003) Com base nessas situações hipotéticas, julgue os itens
    de 9 a 14:
9.   Aldo não faz parte do RGPS, pois é segurado de regime próprio de previdência. ( )
10. A professora Júlia não é segurada do regime de previdência do município. ( )
11. Os servidores da CMA não serão vinculados ao RGPS, pois estão amparados pelo regime
    próprio municipal. ( )
12. O servidor do município que se aposentar pelo RGPS e continuar a trabalhar como
    prestador eventual de serviços à prefeitura sem vínculo empregatício não estará obrigado
    a recolher contribuições ao RGPS, visto que não poderá mais obter novo benefício de
    aposentadoria. ( )
13. Alfredo não será incluído no RGPS por já estar amparado pelo regime de previdência
    municipal. ( )
14. Adalberto poderá inscrever-se e recolher as contribuições ao RGPS, relativas ao período
    de estudante, na qualidade de segurado facultativo. ( )




                                                                                            75
QUESTÕES DE CONCURSO SOBRE O ASSUNTO SEGURADO



Assinale C (certo) ou E (errado) ou a assertiva correta:

15. (FISCAL/INSS/97) O universo de segurados obrigatórios da previdência social inclui o
    brasileiro civil que trabalha para a União, no exterior, em organismos oficiais brasileiros
    ou internacionais dos quais o Brasil é membro efetivo, ainda que lá domiciliado e
    contratado, mesmo que segurado na forma da legislação vigente do país de domicílio. ( )

16. (FISCAL/INSS/97/ADAPTADA) O universo de segurados obrigatórios da previdência
    social inclui o ministro de confissão religiosa e o membro de instituto de vida consagrada
    e de congregação ou de ordem religiosa. ( )

17. (FISCAL/INSS/98) Podem assumir a condição de segurados facultativos: a dona-de-casa,
    o estudante menor de quatorze anos, o síndico de condomínio, o bolsista e o estagiário
    assim definidos em lei, além do presidiário que não exerce atividade remunerada. ( )

18. (FISCAL/INSS/98) Na condição de segurado facultativo, poderão inscrever-se o
    brasileiro que acompanha cônjuge que presta serviços no exterior e aquele que perdeu a
    condição de segurado obrigatório em face do desemprego. ( )

19. (JUIZ FEDERAL SUBSTITUTO DA 1a REGIÃO/2001) O servidor civil da União, dos
    Estados, do Distrito Federal ou dos Municípios, bem como o das respectivas autarquias e
    fundações, sujeito a regime próprio de previdência social:
    a) Fica automaticamente excluído do Regime Geral de Previdência Social, ainda que,
       concomitantemente, venha a exercer uma ou mais atividades abrangidas por esse Regime
       Geral de Previdência Social.
    b) Tornar-se-á segurado obrigatório do Regime Geral de Previdência Social, em relação às
       atividades por ele abrangidas.
    c) Tem a faculdade de vincular-se ao Regime Geral de Previdência Social caso venha a,
       concomitantemente, exercer atividades por ele abrangidas.
    d) Tem a faculdade de vincular-se ao Regime Geral da Previdência Social, desde que requeira
       desligamento do sistema próprio de previdência social.

20. (JUIZ FEDERAL SUBSTITUTO DA 1a REGIÃO/2001) A perda da qualidade de
    segurado não prejudica o direito à aposentadoria para cuja concessão tenham sido
    preenchidos todos os requisitos, segundo a legislação em vigor à época em que tais
    requisitos foram atendidos. ( )

21. (JUIZ FEDERAL SUBSTITUTO DA 1a REGIÃO/2001) A empregada doméstica poderá
    filiar-se, como segurada facultativa, ao Regime Geral de Previdência Social. ( )


                                                                                             76
22. (JUIZ FEDERAL SUBSTITUTO DA 1a REGIÃO/2001) A empregada doméstica é
    segurada obrigatória do Regime Geral de Previdência Social. ( )

23. (JUIZ FEDERAL SUBSTITUTO DA 1a REGIÃO/2001) A empregada doméstica não faz
    jus ao salário-maternidade. ( )

24. (JUIZ FEDERAL SUBSTITUTO DA 1a REGIÃO/2001) Todo aquele que exercer,
    concomitantemente, mais de uma atividade remunerada sujeita ao Regime Geral de
    Previdência Social é obrigatoriamente filiado em relação a cada uma delas. ( )

25. (JUIZ SUBSTITUTO DA 5a REGIÃO/1999) O estudante com quatorze anos pode filiar-
    se como segurado facultativo. ( )

26. (JUIZ SUBSTITUTO DA 5a REGIÃO/1999) O garimpeiro é considerado segurado
    especial para o recebimento de benefícios previdenciários. ( )




                                                                                77
QUESTÕES DE CONCURSO SOBRE O ASSUNTO MANUTENÇÃO E PERDA DA
                     QUALIDADE DE SEGURADO



Assinale C (certo) ou E (errado) ou a assertiva correta:

27. (FISCAL/INSS/2000) Caso um indivíduo completasse, em 1998, todos os requisitos
    definidos na legislação vigente para fruir o benefício da aposentadoria por tempo de
    serviço, então poderia obter a concessão do benefício em 2001, ainda que tivesse perdido
    a qualidade de segurado em 1999. ( )

28. (FISCAL/INSS/1997) O segurado em gozo de benefício mantém a qualidade de segurado,
    independentemente de contribuição e sem limite de prazo. ( )

29. (FISCAL/INSS/1997) O segurado que deixar de exercer atividade abrangida pela
    previdência social conserva essa qualidade, independentemente de contribuição, com
    todos os direitos previdenciários, até doze meses após a cessação das contribuições que
    vinha realizando como segurado obrigatório. Mas, se ele já havia pago mais de cento e
    vinte contribuições para a previdência social, este prazo de doze meses fica aumentado
    para vinte e quatro meses. ( )

30. (JUIZ FEDERAL SUBSTITUTO DA 1a REGIÃO/2001) Mantém a qualidade de
    segurado, independentemente de contribuição:
    a) O segurado retido ou recluso, até dezoito meses após o livramento.
    b) O segurado acometido de doença de segregação compulsória, até doze meses após cessar a
       segregação, desde que já tenha pago mais de sessenta contribuições mensais sem
       interrupção que acarrete a perda da qualidade de segurado.
    c) O segurado facultativo, até doze meses após a cessação das contribuições.
    d) Quem está em gozo de benefício, sem limite de prazo.




                                                                                           78
QUESTÕES DE CONCURSO SOBRE O ASSUNTO DEPENDENTES



Assinale C (certo) ou E (errado) ou a assertiva correta:
31. (PROCURADOR/INSS/1999) Considere a seguinte situação hipotética: Silvio divorciou-
    se de Celina. No acordo de separação, cujas condições foram ratificadas por ocasião da
    conversão da separação judicial em divórcio, houve a dispensa recíproca do pagamento
    de alimentos, já que ambos dispunham de rendimentos próprios. Silvio constituiu, então,
    união estável com Cida, vindo a falecer após vários anos de vida em comum com esta
    companheira. Cida e Celina, cada qual individualmente, requereram, então, pensão por
    morte junto ao INSS.
     Nessa situação, considerando que, em nenhum dos seus relacionamentos, Silvio teve
     filhos, o órgão previdenciário deve conceder a totalidade do benefício a Cida. ( )

32. (JUIZ FEDERAL SUBSTITUTO DA 1a REGIÃO/2001                   ADAPTADA) É presumida a
    dependência econômica:
    a) Do cônjuge, do companheiro ou companheira, e do filho não-emancipado, de qualquer
       condição, menor de vinte e um anos ou inválido.
    b) Dos pais.
    c) Do irmão não-emancipado, de qualquer condição, menor de vinte e um anos ou inválido.
    d) Da mãe, quando viúva, e enquanto durar a viuvez.

33. Equiparam-se aos filhos de qualquer condição, mediante declaração escrita do segurado
    e prova de que sobrevivem às custas deste, na qualidade de dependentes:
    a) A mãe e o pai inválido.
    b) Os irmãos não-emancipados, inválidos, de qualquer condição.
    c) A pessoa que com ele mantenha união estável e seus filhos menores.
    d) Os menores sob tutela.
    e) As pessoas menores de vinte e um anos ou maiores de sessenta anos, ou inválidas.

34. (JUIZ SUBSTITUTO DA 5a REGIÃO/1999) É presumida a dependência econômica dos
    pais do segurado. ( )

35. (JUIZ SUBSTITUTO DA 5a REGIÃO/1999) A separação de fato, a judicial e o divórcio
    não acarretam a perda da qualidade de dependente para o cônjuge, se fixada a prestação
    de alimentos. ( )

36. (JUIZ SUBSTITUTO DA 5a REGIÃO/1999) O benefício é pago à filha solteira menor de
    vinte e um anos, que continuará a recebê-lo após a maioridade, cessando com o
    casamento ou união estável. ( )



                                                                                              79
37. (JUIZ SUBSTITUTO DA 5a REGIÃO/1999) O aposentado do regime que se torna viúvo
    não recebe pensão pela morte da mulher. ( )

38. (TÉCNICO PREVIDENCIÁRIO/2003) Entre as várias situações cobertas pela
    previdência social, está a concessão do salário-família e do auxílio-reclusão para os
    dependentes dos segurados que recebam remuneração até o teto de contribuição do
    INSS. ( )


João, casado com Sônia, é beneficiário da previdência social na condição de segurado. João
tem um filho, José, com vinte anos de idade, de união anterior; um irmão inválido, chamado
Mário, com 23 anos de idade; e um menor sob sua tutela, Luís, com seis anos de idade. Sônia
tem um filho, Pedro, com 20 anos de idade, de pai falecido. Em comum, João e Sônia têm dois
filhos: Josué, com cinco anos de idade, e Paulo, com dezenove anos de idade, que é inválido.
Mário, Luís e Pedro não possuem bens suficientes para seu sustento e educação.


39. (TÉCNICO PREVIDENCIÁRIO/2003) João pode, a qualquer momento, inscrever Sônia,
    os filhos de ambos e seu irmão Mário na previdência social como dependentes. ( )


40. (TÉCNICO PREVIDENCIÁRIO/2003) A condição de dependente de Paulo prescinde de
    comprovação de sua dependência econômica. ( )




                                                                                          80
QUESTÕES DE CONCURSO SOBRE O ASSUNTO INSCRIÇÃO



Assinale C (certo) ou E (errado) ou a assertiva correta:

41. (FISCAL/INSS/2000) Considerando que um indivíduo se vinculasse ao Regime Geral de
    Previdência Social no momento de sua contratação como empregado por uma empresa,
    então não haveria nova filiação desse indivíduo ao mesmo regime, caso viesse a exercer,
    concomitantemente, outra atividade econômica, na condição de trabalhar autônomo. ( )

42. (FISCAL/INSS/2000) Para os efeitos previdenciários, inscrição de segurado é o ato pelo
    qual o segurado é cadastrado no Regime Geral de Previdência Social. No caso de
    segurado empregado, sua inscrição é efetuada diretamente na empresa. ( )

43. (DEFENSOR PÚBLICO DA UNIÃO/2001) Luciano trabalhava há cinco anos em uma
    empresa de informática, sempre realizando sua jornada no período noturno, tendo sido
    regularmente inscrito no Regime Geral de Previdência Social desde o início de sua
    relação laboral. Subseqüentemente, Luciano foi nomeado para exercer cargo
    comissionado no serviço público federal, não mantendo, porém, vínculo efetivo com
    qualquer ente público. Nessa situação, não será necessário proceder-se a nova filiação de
    Luciano no Regime Geral de Previdência Social, em decorrência do exercício da nova
    atividade laboral, exercida concomitantemente com a primeira, uma vez que o trabalho
    já se encontrava inscrito no sistema. ( )


44. (TÉCNICO PREVIDENCIÁRIO/2003) A inscrição é o ato pelo qual o segurado é
    cadastrado no RGPS, por meio de comprovação de dados pessoais e outros elementos. (
    )


45. (TÉCNICO PREVIDENCIÁRIO/2003) Com exceção da opção pelo recolhimento
    trimestral de contribuições, o segurado facultativo não pode retroagir sua filiação,
    estando vedado pagamento de contribuição relativa a competências anteriores à data de
    sua inscrição e do seu primeiro recolhimento. ( )


46. (TÉCNICO PREVIDENCIÁRIO/2003) A filiação materializa a inscrição junto ao RGPS
    e objetiva a identificação pessoal do segurado. ( )


47. (TÉCNICO PREVIDENCIÁRIO/2003) É vedada a inscrição de segurado após sua
    morte, exceto em caso de segurado especial. ( )

48. (ANALISTA PREVIDENCIÁRIO/2003) A inscrição de dependente na previdência social
    não pode ser feita antes do requerimento do benefício a que tiver direito. ( )



                                                                                          81
QUESTÕES DE CONCURSO SOBRE
                              O ASSUNTO CARÊNCIA



Assinale C (certo) ou E (errado) ou a assertiva correta:

49.    (FISCAL/INSS/1997) O auxílio-reclusão e a aposentadoria por idade de segurado
empregado doméstico são benefícios previdenciários que dependem, respectivamente, de
período de carência de doze contribuições mensais e de cento e oitenta contribuições mensais.
( )

50.    (FISCAL/INSS/1997) Para que o segurado tenha direito a certos benefícios
previdenciários, é necessário que tenha pago um determinado número de contribuições
mensais, o que se denomina de período de carência. ( )

51.    (JUIZ FEDERAL SUBSTITUTO DA 1a REGIÃO/2001) Independe de carência a
pensão por morte. ( )

52.    É exigível comprovação do período de carência para concessão de:

a)     Aposentadoria por tempo de contribuição a segurado especial.
b)     Aposentadoria por invalidez a contribuinte individual acometido de AIDS.
c)     Salário-maternidade à empregada, exceto a doméstica.
d)     Pensão por morte ou auxílio-reclusão aos dependentes.
e)     Auxílio-acidente decorrente de incapacidade extralaborativa.

53. (JUIZ SUBSTITUTO DA 5a REGIÃO/1999) Todos os benefícios previstos dependem de
número mínimo de contribuições mensais. ( )

54.    (JUIZ SUBSTITUTO DA 5a REGIÃO/1999) O segurado homem com sessenta e cinco
anos e mulher com sessenta anos têm direito à aposentadoria por idade, independentemente
de número mínimo de contribuições. ( )

55.   (JUIZ SUBSTITUTO DA 5a REGIÃO/1999) A aposentadoria especial não depende de
número de contribuições. ( )

56.    (JUIZ SUBSTITUTO DA 5a REGIÃO/1999) A concessão do auxílio-doença e da
aposentadoria por invalidez depende de doze contribuições mensais, exceção feita a doenças
graves relacionadas na lei. ( )

57.    (DEFENSOR PÚBLICO DA UNIÃO/2001) Tirso foi inscrito no Regime Geral de Pre-
vidência Social em 30/7/2001, por ocasião da celebração do seu primeiro contrato de trabalho,
tendo sido providenciada, igualmente, a inscrição de sua esposa na qualidade de dependente.
No dia 9 do mês subseqüente, contudo, Tirso veio a óbito, vítima de homicídio praticado por
um desafeto. Nessa situação, a dependente do segurado falecido não terá direito ao benefício
de pensão por morte, em virtude de não haver transcorrido o prazo de carência definido em
lei. A dependente faria jus ao benefício, contudo, se o óbito do segurado decorresse de
acidente de trabalho. ( )


                                                                                          82
58.    (TÉCNICO PREVIDENCIÁRIO/2003) Carência é o tempo correspondente ao
número mínimo de contribuições mensais exigíveis para que o beneficiário tenha direito a
usufruir o benefício. ( )

59.    (ANALISTA PREVIDENCIÁRIO/2003) O contribuinte individual pode, desde que
provado o exercício da atividade, recolher contribuições relativas a competências anteriores à
sua primeira contribuição, que serão computadas inclusive para efeito de carência. ( )

60.    (TRF 5 ª REGIÃO ANO 2001) É exigível comprovação do período de carência para
concessão de:

a)      Pensão por morte ou auxílio-reclusão aos dependentes.
b)      Auxílio-acidente decorrente de incapacidade extralaborativa.
c)      Aposentadoria por tempo de contribuição a segurado especial.
d)      Aposentadoria por invalidez a contribuinte individual acometido de AIDS.
e)      Salário-maternidade a empregada, exceto a doméstica.

61.     (JUIZ DO TRABALHO SUBSTITUTO 2003) Assinale a alternativa correta em
relação à carência dos seguintes benefícios previdenciários:

a)      A aposentadoria por invalidez e o auxílio-acidente independem de carência.
b)      O auxílio-acidente e o auxílio-doença independem de carência.
c)      O salário-maternidade para as seguradas empregada, empregada doméstica e trabalhadora
avulsa independe de carência.
d)      O auxílio-reclusão possui a carência de 12 (doze) meses.
e)      A aposentadoria por invalidez e auxílio-acidente possuem a carência de 12 (doze) meses.

62.    (Prova AFPS/2002) A respeito dos períodos de carência, assinale qual dos benefícios
abaixo necessita de período de carência:

a)     Pensão por morte.
b)     Auxílio-reclusão.
c)     Salário-família.
d)     Auxílio-acidente.
e)     Auxílio-doença




                                                                                                  83
QUESTÕES DE CONCURSO SOBRE O ASSUNTO
                            SALÁRIO-DE-BENEFÍCIO



Assinale C (certo) ou E (errado) ou a assertiva correta:


63. (JUIZ FEDERAL SUBSTITUTO DA 1a REGIÃO/2001) O valor do benefício de
    prestação continuada, devido pela previdência social, terá por base o último salário-de-
    contribuição. ( )

64. (JUIZ SUBSTITUTO DA 5a REGIÃO/1999) O salário-de-benefício corresponde à média
    aritmética simples dos últimos vinte e quatro salários-de-contribuição, corrigidos
    monetariamente. ( )

65. (JUIZ SUBSTITUTO DA 5a REGIÃO/1999) O salário-de-benefício corresponde à média
    aritmética simples dos últimos quarenta e oito salários-de-contribuição, corrigidos
    monetariamente. ( )

66. (JUIZ SUBSTITUTO DA 5a REGIÃO/1999) O salário-de-benefício corresponde ao valor
    do salário-de-contribuição da data do afastamento do trabalho. ( )

67. (JUIZ SUBSTITUTO DA 5a REGIÃO/1999) O salário-de-benefício corresponde a dez
    salários-mínimos. ( )

68. (JUIZ SUBSTITUTO DA 5a REGIÃO/1999) O salário-de-benefício corresponde à média
    aritmética simples dos últimos trinta e seis salários-de-contribuição, apurados no período
    máximo de quarenta e oito meses e corrigidos monetariamente. ( )

69. (TÉCNICO PREVIDENCIÁRIO/2003) O segurado empregado terá computados, no
    cálculo do valor da renda mensal do benefício, todos os salários-de-contribuição relativos
    às contribuições devidas, ainda que não tenham sido recolhidas pela empresa. ( )


70. (TÉCNICO PREVIDENCIÁRIO/2003) O fator previdenciário será calculado mediante
    fórmula que considere a idade, a expectativa de sobrevida e o tempo de contribuição do
    segurado ao se aposentar. ( )


71. (JUIZ FEDERAL SUBSTITUTO DA 4ª REGIÃO ANO 2001) Assinalar a alternativa
    correta:




                                                                                            84
O cálculo do fator previdenciário, elemento aplicado na apuração do valor dos benefícios
instituído pela Lei 9.876/99, é elaborado a partir das seguintes variáveis:


    a) O grau de insalubridade ou periculosidade da atividade, o sexo e a idade do segurado ao se
       aposentar.
    b) A idade, o tempo de contribuição e a expectativa de sobrevida do segurado ao se aposentar.
    c) A espécie de segurado, o tempo de contribuição e a idade do segurado ao se aposentar.
    d) A natureza da atividade e a expectativa de sobrevida do segurado ao se aposentar.




                                                                                               85
QUESTÕES DE CONCURSO SOBRE O ASSUNTO APOSENTADORIA POR
                             INVALIDEZ



Assinale C (certo) ou E (errado) ou a assertiva correta:



72. (FISCAL/INSS/2000) Caso um aposentado por invalidez retornasse voluntariamente à
    atividade, teria sua aposentadoria automaticamente cancelada, a partir da data do
    retorno. ( )

73. (FISCAL/INSS/1998) Restando apurada a incapacidade definitiva para o exercício de
    uma das diversas atividades titularizadas pelo segurado acidentado, será cabível a
    conversão do auxílio-doença em aposentadoria especial, independentemente da
    subsistência dos demais vínculos laborais concomitantes por ele mantidos. ( )

74. A aposentadoria por invalidez será cancelada imediatamente, se o segurado recusar
    tratamento cirúrgico gratuito. ( )


75. (TÉCNICO PREVIDENCIÁRIO/2003) Mesmo quando a perícia médica inicial concluir
    pela incapacidade definitiva para o trabalho, a aposentadoria por invalidez deverá ser
    precedida de auxílio-doença. ( )


76. (TÉCNICO PREVIDENCIÁRIO/2003) Considere a seguinte situação hipotética. Lucas,
    que é segurado da previdência social e exerce duas atividades concomitantes, como
    contribuinte individual e como empregado, incapacitou-se definitivamente para aquela
    que exerce como empregado. Nessa situação, Lucas será aposentado por invalidez em
    relação à atividade para a qual se incapacitou, enquanto a incapacidade não se estender à
    outra atividade. ( )


77. (JUIZ DO TRF 4ª REGIÃO/2004) Assinalar a alternativa correta:


Em relação ao segurado contribuinte individual que se aposenta por invalidez no atual regime
da Lei nº 8.213/91, pode-se afirmar que:


    I. pode exercer atividade remunerada sem prejuízo de sua aposentadoria, desde que a
       atividade seja compatível com sua incapacidade, mas fica obrigado a contribuir para a
       Previdência Social e desta atividade não resulta direito a nenhum benefício além daquele
       que já percebe.
    II. deve ter o seu benefício imediatamente cancelado se, em perícia médica realizada pela
        autarquia previdenciária, for constatada a recuperação total da capacidade laboral.




                                                                                            86
III. fica obrigado a se submeter a exames médicos a cargo da Previdência Social enquanto
         estiver percebendo o benefício, independentemente da idade que possua, sob pena de
         suspensão da aposentadoria.


    a) Está correta apenas a assertiva II.
    b) Está correta apenas a assertiva III.
    c) Estão corretas apenas as assertivas I e II.
    d) Estão corretas apenas as assertivas II e III.


78. (AGU 2002       PROCURADOR FEDERAL) Exercendo o segurado duas ou mais
    atividades, a incapacidade definitiva verificada em relação a uma delas autoriza a
    concessão da aposentadoria por invalidez, ainda que a incapacidade não possa ser
    estendida às demais atividades. ( )

79. (Prova Procurador Federal/2004) A aposentadoria por invalidez, decorrente de acidente
    de trabalho, é devida ao acidentado que, estando ou não em gozo de auxílio-doença, foi
    considerado incapaz para o trabalho e insuscetível de reabilitação para o exercício de
    atividade que lhe garanta a subsistência. ( )

80. (Prova AFPS/2002) Com relação à aposentadoria por invalidez e suas características,
    assinale a opção incorreta:

    a)   Benefício de renda mensal.
    b)   Exige, em regra, carência.
    c)   Extinção do benefício com o retorno voluntário à atividade.
    d)   Pode ser acumulado com auxílio-doença.
    e)   Alíquota de 100% do salário-de-benefício.




                                                                                         87
QUESTÕES DE CONCURSO SOBRE O ASSUNTO APOSENTADORIA POR IDADE



Assinale C (certo) ou E (errado) ou a assertiva correta:

81. (FISCAL/INSS/2000) Considerando que, após vinte anos consecutivos de contribuição
    para o Regime Geral de Previdência Social, uma segurada tivesse completado sessenta
    anos de idade, àquela altura com salário-de-benefício equivalente a R$ 800,00, então, se
    pretendesse aposentar-se por idade, o valor do respectivo benefício corresponderia a R$
    720,00. ( )

82. (FISCAL/INSS/1997) A renda mensal inicial do benefício de aposentadoria por idade
    corresponde a 80% do salário-de-benefício do segurado, mais 1% deste por grupo de
    doze contribuições mensais, até o máximo de 20%. ( )

83. (DEFENSOR PÚBLICO DA UNIÃO/2001) Ismael requereu o benefício de aposentadoria
    por idade, ao completar sessenta e cinco anos, após contribuir para a previdência social,
    comprovadamente, por exatos vinte e cinco anos. Demonstrados os valores dos salários-
    de-contribuição de Ismael ao longo do período, o INSS apurou que o seu salário-de-
    benefício correspondia a R$ 900,00. Nessa situação, a renda mensal inicial da
    aposentadoria de Ismael corresponderá a R$ 855,00. ( )



84. (ANALISTA PREVIDENCIÁRIO/2003) Considere a seguinte situação hipotética:
Joana, trabalhadora rural como empregada, acabou de completar 55 anos de idade e está em
gozo de auxílio-doença. Ela já conta com 185 contribuições mensais para a previdência social,
anteriores ao início do auxílio-doença.
Nessa situação, Joana poderá pedir a transformação do benefício em aposentadoria por idade.
( )

85. (ANALISTA PREVIDENCIÁRIO/2003) Suponha que Mariana, com 65 anos de idade,
    seja segurada empregada, e já conte com 190 contribuições mensais à previdência social.
    Nesse caso, a empresa em que ela trabalha poderá, independente da vontade de Mariana,
    requerer a sua aposentadoria compulsória. ( )




                                                                                          88
QUESTÕES DE CONCURSO SOBRE O ASSUNTO APOSENTADORIA POR TEMPO
                         DE CONTRIBUIÇÃO



Assinale C (certo) ou E (errado) ou a assertiva correta:

86. (PROCURADOR/INSS/1999) Considere a seguinte situação hipotética: pretendendo
    aposentar-se por tempo de contribuição, Joana demonstrou haver contribuído por vinte
    e cinco anos e postulou, junto à repartição previdenciária, autorização para efetuar o
    recolhimento antecipado das sessenta contribuições que lhe faltavam para completar os
    trinta anos de contribuição necessários à fruição do benefício.
    Nessa situação, Joana terá direito a proceder conforme requerido. ( )


87. (JUIZ SUBSTITUTO DA 5a REGIÃO/1999) A aposentadoria por tempo de contribuição
    é concedida ao homem com trinta e cinco anos de contribuição e sessenta anos de idade. (
    )

88. (TÉCNICO PREVIDENCIÁRIO/2003) O professor de ensino médio que comprovar,
    como tempo total para fins de aposentadoria, apenas tempo de atividade docente em sala
    de aula e atividades afins poderá aposentar-se com vinte e cinco anos de contribuição. (
    )


89. (ADVOCACIA-GERAL DA UNIÃO 2002 PROCURADOR FEDERAL) Para efeito de
    aposentadoria, é assegurada a contagem recíproca do tempo de contribuição na
    administração pública e na atividade privada, rural e urbana, segundo critérios
    estabelecidos em lei. ( )


90. (ANALISTA PREVIDENCIÁRIO 2005) Quanto à contagem recíproca do tempo de
    contribuição na administração pública e na atividade privada, rural e urbana, assinale a
    afirmativa INCORRETA:


    a) É vedada a contagem de tempo de contribuição no serviço público com o de contribuição
       na atividade privada, quando concomitantes.
    b) Não será contado por um regime o tempo de contribuição utilizado para a concessão de
       aposentadoria por outro regime.
    c) Será admitida a contagem em dobro ou em outras condições especiais, previstas em lei.
    d) A certidão de tempo de contribuição, para fins de averbação do tempo em outros regimes
       de previdência, somente será expedida pelo INSS após a comprovação da quitação de todos
       os valores devidos, inclusive de eventuais parcelamentos de débito.




                                                                                               89
e) O benefício concedido com contagem recíproca de tempo de contribuição, na forma do
   enunciado, será concedido e pago pelo regime a que o interessado estiver vinculado ao
   requerê-lo, e calculado na forma da respectiva legislação.




                                                                                     90
QUESTÕES DE CONCURSO SOBRE O ASSUNTO
                          APOSENTADORIA ESPECIAL



Assinale C (certo) ou E (errado) ou a assertiva correta:


    91. (JUIZ DO TRABALHO SUBSTITUTO 2004) Para a concessão da aposentadoria
    especial, o segurado dependerá de comprovação, perante o INSS, do tempo de trabalho
    permanente ou intermitente, exercido em condições especiais que prejudiquem a saúde
    ou a integridade física ( )


    92. (JUIZ DO TRABALHO SUBSTITUTO 2004) A aposentadoria especial, por motivo
    de condições de trabalho que prejudiquem a saúde ou a integridade física, é concedida ao
    contribuinte individual somente quando cooperado, filiado a cooperativa de trabalho ou
    de produção, que tenha laborado pelo prazo mínimo definido em lei. ( )

93. (Procurador Federal/2004) Considere a seguinte situação hipotética.
    Sérgio, segurado da previdência social na qualidade de contribuinte individual, é
    eletricista e presta serviço de natureza eventual a diversas empresas, sem relação de
    emprego, sendo chamado para trabalhar, principalmente em estabelecimentos de saúde,
    onde já conhecem a qualidade do seu serviço.
    Nessa situação, caso comprove que, em várias oportunidades, esteve exposto a condições
    especiais que prejudicaram sua saúde e sua integridade física, cumprida a carência
    exigida e o tempo de contribuição, conforme o caso, Sérgio fará jus a uma aposentadoria
    especial do INSS. ( )




                                                                                          91
QUESTÕES DE CONCURSO SOBRE O ASSUNTO
                               AUXÍLIO DOENÇA



Assinale C (certo) ou E (errado) ou a assertiva correta:


94. (PROCURADOR/INSS/1999) Considere a seguinte situação hipotética: a inscrição de
    Quintiliano como segurado da previdência social ocorreu em janeiro de 1999. No mês de
    julho seguinte, Quintiliano foi acometido de doença não-relacionada à atividade laboral,
    ficando, por conseguinte, incapacitado para o trabalho por três meses. Quintiliano
    requereu, então, junto ao INSS, o pagamento do auxílio-doença, a partir do décimo sexto
    dia do seu afastamento do trabalho.
     Nessa situação, poderá ser correta a decisão da autarquia previdenciária de negar o
     benefício, sob o fundamento legal de que não se consumara o período de carência que se
     fazia mister. ( )

95. (FISCAL/INSS/1998) O auxílio-doença do segurado que exerce mais de uma atividade
    abrangida pela previdência não será devido, se a incapacidade ocorrer apenas para o
    exercício de uma delas, salvo se as atividades concomitantes forem da mesma natureza. (
    )

96. (JUIZ FEDERAL SUBSTITUTO DA 1a REGIÃO/2001) O auxílio-doença será devido ao
    segurado que, cumprido o período de carência exigido por lei, ficar total e
    permanentemente incapacitado para seu trabalho ou atividade habitual. ( )

97. (JUIZ FEDERAL SUBSTITUTO DA 1a REGIÃO/2001) O auxílio-doença em nenhum
    caso será devido ao segurado que se filiar ao Regime Geral de Previdência Social, já
    portador da doença ou da lesão invocada como causa do benefício. ( )

98. (DEFENSOR PÚBLICO DA UNIÃO/2001) Moisés foi acometido por doença de-
    generativa, decorrente do exercício de sua atividade laboral, em condições insalubres por
    mais de dez anos. Moisés foi, então, afastado do trabalho, para efeito de tratamento de
    saúde, sendo que, na ocasião, percebia remuneração de R$ 3.500,00. Nessa situação,
    Moisés teria o direito a perceber o benefício do auxílio-doença, pago pela previdência
    social, a partir do décimo sexto dia de afastamento do trabalho, o qual não poderá ser
    inferior ao valor da remuneração paga pelo empregador. ( )


99. (JUIZ DO TRF 4ª REGIÃO/2004) Assinalar a alternativa correta:
José propõe ação contra o Instituto Nacional do Seguro Social (INSS), postulando a concessão
de auxílio-doença, alegando ter sido acometido, há cerca de um mês, de doença que o
incapacita temporariamente para exercer suas atividades habituais. Comprova que exerceu
atividade abrangida pela Previdência Social como empregado em empresa de mudanças pelo



                                                                                           92
período de 6 (seis) anos. Contudo, não exerce atividades laborais nem recolhe contribuições
para a Previdência Social há 19 (dezenove) meses.
Nessa perspectiva, pelos termos da Lei nº 8.213/91 (Lei Geral de Planos de Benefícios de
Previdência Social), se ficar comprovada a incapacidade temporária para suas atividades
habituais, José:


    a) Fará jus ao benefício de auxílio-doença se comprovar que as suas contribuições
       previdenciárias foram efetivamente recolhidas pelos empregadores nos 6 (seis) anos em que
       esteve empregado.
    b) Fará jus ao benefício de auxílio-doença se comprovar que esteve desempregado nos últimos
       6 (seis) meses pelo registro no órgão competente.
    c) Não fará jus ao benefício de auxílio-doença se estiver capacitado para o exercício de
       atividades mais leves do que a atividade habitual.
    d) Não fará jus ao benefício de auxílio-doença em nenhuma hipótese, pois perdeu a qualidade
       de segurado da Previdência Social.


100. (JUIZ FEDERAL SUBSTITUTO DA 4ª REGIÃO ANO 2001) Assinalar a alternativa
     correta:
 A inscreve-se na Previdência como contribuinte individual (trabalhador autônomo),
comprovando o exercício da atividade nos últimos cinco anos e recolhendo as respectivas
contribuições retroativamente. Menos de um mês depois da inscrição, é acometido de doença
incapacitante. Nessas circunstâncias, A :


    a) Não faz jus a benefício por incapacidade em qualquer hipótese.
    b) Faz jus a benefício por incapacidade em qualquer hipótese, a auxílio-doença, se a
       incapacidade for temporária, e a aposentadoria por invalidez, se a incapacidade for
       permanente.
    c) Por falta de carência, não faz jus a benefício por incapacidade a não ser que a doença se
       enquadre no rol das enfermidades que a dispensam.
    d) Não faz jus a qualquer benefício por incapacidade, mas tem direito à devolução das
       contribuições sob a forma de pecúlio.


101. (JUIZ FEDERAL SUBSTITUTO DA 4ª REGIÃO ANO 2001) Assinalar a alternativa
     correta:
A incapacidade laboral proveniente de doença de que o segurado já era portador quando se
filiou à Previdência:


    a) Não enseja direito a auxílio-doença ou a aposentadoria por invalidez em nenhuma hipótese.
    b) Somente enseja direito a auxílio-doença ou a aposentadoria por invalidez, se o segurado
       comunicou à Previdência a existência da enfermidade quando da filiação.
    c) Enseja direito a auxílio-doença, mas não a aposentadoria por invalidez.


                                                                                              93
d) Enseja direito a auxilio-doença ou a aposentadoria por invalidez, se a incapacidade for
   posterior à filiação, resultando do agravamento ou progressão da doença.




                                                                                       94
QUESTÕES DE CONCURSO SOBRE O ASSUNTO
                              SALÁRIO-FAMÍLIA



Assinale C (certo) ou E (errado) ou a assertiva correta:

102. (JUIZ SUBSTITUTO DA 5a REGIÃO/1999) O auxílio-reclusão (aos dependentes) e o
     salário-família (aos segurados) são concedidos independentemente da renda mensal do
     trabalhador. ( )

103. (PROCURADOR DO TRABALHO/2000) Perde o segurado o direito ao salário-família
     quando:


    a) O filho menor que mantém chega aos quinze anos de idade.
    b) Cessa a invalidez do filho que mantém, sendo suspenso o benefício no mês em que cessou a
       invalidez.
    c) Perde o emprego.
    d) Morre o filho por ele mantido, sendo suspenso o benefício no mês em que ocorreu a morte
       do dependente.
    e) O filho menor que mantém atinge a maioridade.

104. (PROVA ANALISTA PREVIDENCIÁRIO/2003) Considere a seguinte situação
     hipotética:
O casal Adacir e Ana, ambos segurados da previdência social como empregados, tem cinco
filhos na faixa etária de dois a onze anos de idade. Adacir recebe remuneração mensal de R$
250,00, e Ana de R$ 350,00.
Nessa situação, Adacir e Ana têm direito a receber, cada um, cinco cotas de salário-família.
( )


105. (AGU 2002 PROCURADOR FEDERAL) Salário-família é devido, mensalmente, ao
     segurado empregado, exceto o doméstico, na proporção do respectivo número de filhos,
     independentemente de sua condição econômica. ( )




                                                                                            95
QUESTÕES DE CONCURSO SOBRE O ASSUNTO
                           SALÁRIO-MATERNIDADE



Assinale C (certo) ou E (errado) ou a assertiva correta:


106. (FISCAL/INSS/2000) Considere a seguinte situação hipotética: regularmente empregada,
     há cinco anos, em uma empresa do ramo de confecção, Maria trabalhou até o final do
     expediente. Todavia, como já se completava o nono mês de gestação, naquela mesma
     noite Maria entrou em trabalho de parto e deu a luz a seu filho, vindo, então, a entrar em
     gozo de licença-maternidade.
    Nessa situação, a empresa empregadora deverá assumir o encargo da remuneração de
    Maria por vinte e oito dias, após o que ela receberá, por noventa e dois dias, o benefício
    do salário-maternidade. ( )

107. (FISCAL/INSS/1997) Quando a empregada doméstica estiver em gozo de salário-
     maternidade, o empregador deverá recolher somente a contribuição de 12% sobre o
     salário-de-contribuição dela. ( )

108. (JUIZ FEDERAL SUBSTITUTO DA 1a REGIÃO/2001) A segurada especial tem direito
     a salário-maternidade, no valor de um salário mínimo, desde que comprove o exercício
     de atividades rurais, ainda que de forma descontínua, nos trinta meses imediatamente
     anteriores ao do início do benefício. ( )

109. (JUIZ SUBSTITUTO DA 5a REGIÃO/1999) O salário-maternidade é concedido à
     segurada empregada, empregada doméstica, avulsa e segurada especial. ( )




                                                                                            96
QUESTÕES DE CONCURSO SOBRE O ASSUNTO
                              AUXÍLIO-ACIDENTE



Assinale C (certo) ou E (errado) ou a assertiva correta:

110. (FISCAL/INSS/1997) Todos os segurados terão direito ao auxílio-acidente. ( )

111. (JUIZ DO TRABALHO-PB-Adaptada) Quanto às prestações previdenciárias relativas a
     acidente de trabalho, é correto afirmar que:


    a) São devidas ao empregado doméstico.
    b) São devidas ao contribuinte individual.
    c) O segurado que sofre acidente de trabalho tem garantido, pelo prazo máximo de doze
       meses, a manutenção do seu contrato de trabalho, após a cessação do respectivo auxílio-
       doença e independentemente de percepção de auxílio-acidente.
    d) São devidas ao segurado especial.
    e) Nenhuma das alternativas anteriores é correta.

112. (FISCAL/INSS/2000) Considere a seguinte situação hipotética: no curso do quinto ano de
     vigência regular do contrato de trabalho, João sofreu acidente enquanto realizava sua
     atividade laboral, ficando, em conseqüência, incapacitado, temporariamente, para
     qualquer trabalho. Após dois anos de tratamento e reabilitação profissional, João pôde
     finalmente voltar ao trabalho, mas as seqüelas decorrentes do acidente não mais
     permitiram que ele realizasse as atividades anteriormente desempenhadas na empresa.
    Nessa situação, João receberá o auxílio-doença a partir do décimo sexto dia de
    afastamento do trabalho, até a data em que voltar a trabalhar. Além disso, somente após
    a interrupção do pagamento do auxílio-doença é que João passará a receber o benefício
    do auxílio-acidente, que será pago concomitantemente com a remuneração devida pela
    empregadora. ( )

113. (PROCURADOR/INSS/1999) Considere a seguinte situação hipotética: Gabriel sofreu
     acidente de trabalho, ficando, em conseqüência, afastado do trabalho por dois anos.
     Enquanto se recuperava, Gabriel passou a ser titular do benefício de pensão
     previdenciária, em razão da morte do seu cônjuge. Consolidadas as lesões, constataram-
     se seqüelas que reduziam a capacidade de Gabriel para o trabalho que habitualmente
     exercia. Assim, cessando o auxílio-doença acidentário, e tendo-se readaptado ao trabalho,
     Gabriel prosseguiu com a relação laboral com o seu antigo empregador, voltando a
     receber salário. A par disso, requereu ao INSS o pagamento de auxílio-acidente.
    Nesse caso, será correta a decisão do agente do órgão previdenciário que acolha o pedido
    de Gabriel, sustentando que o recebimento de salário e da pensão não prejudica o direito
    do segurado ao benefício requerido. ( )


                                                                                           97
QUESTÕES DE CONCURSO SOBRE O ASSUNTO
                              PENSÃO POR MORTE



Assinale C (certo) ou E (errado):

114. (PROCURADOR/INSS/1999) Considere a seguinte situação hipotética: quando Helena
     faleceu, em janeiro de 1999, havia quinze anos que entre ela e Ricardo estabelecera-se
     uma união estável. À ocasião, tanto Helena como Ricardo eram segurados da previdência
     social há mais de vinte anos, sendo que a contribuição de Ricardo era recolhida
     mensalmente pelo seu empregador e devidamente repassada ao Instituto Nacional do
     Seguro Social (INSS). Logo, Ricardo tem direito a receber pensão previdenciária, em
     decorrência da morte de sua companheira. ( )

115. (PROCURADOR/INSS/1999) Considere a seguinte situação hipotética: Almeida,
     segurado da previdência social, faleceu subitamente. Seus dependentes, trinta e um dias
     após o óbito, requereram ao INSS o benefício de pensão por morte, apesar de Almeida
     não ser aposentado por ocasião do seu falecimento. Nessa situação, o INSS deverá
     conceder regulamente o benefício solicitado, devendo seu início dar-se, entretanto, a
     partir da data do requerimento, e não da do óbito. ( )

116. (PROCURADOR/INSS/1999) Considere a seguinte situação hipotética: Selma, Mila e
     Heitor, titulares de pensão por morte, em decorrência do falecimento de seu cônjuge e
     genitor, respectivamente, percebem, cada qual, benefício equivalente a R$ 150,00. Nessa
     situação, Mila, ao atingir vinte e um anos de idade, perderá o direito à pensão, mesmo
     sendo solteira e estando desempregada. Dessa forma, a pensão de Selma passará a
     totalizar R$ 300,00. ( )

117. (PROCURADOR/INSS/1999) Considerando que Cássio, aposentado por invalidez, com
     percepção de proventos no valor de R$ 800,00, veio a falecer, deixando como dependente
     apenas o seu cônjuge, então sua esposa terá direito à pensão por morte, equivalente a R$
     640,00. ( )

118. (PROCURADOR/INSS/1999) Considere a seguinte situação hipotética: Maria constituiu
     união estável com João, segurado da previdência social. Sobrevindo o óbito do seu
     companheiro, Maria requereu ao INSS o benefício de pensão por morte, ocasião em que
     informou ao órgão previdenciário ser titular de pensão por morte paga pela seguridade
     dos servidores públicos civis da União, por ser viúva de ex-servidor do INSS. Nesse caso,
     o INSS deve conceder o benefício. ( )




                                                                                           98
119. (FISCAL/INSS/2000) O valor da pensão por morte devida aos dependentes do segurado,
     não estando este em gozo de nenhum benefício previdenciário quando do óbito, é de cem
     por cento do valor da aposentadoria por invalidez a que o segurado teria direito, se
     estivesse aposentado na data do seu falecimento. ( )

120. (DEFENSORIA PÚBLICA DA UNIÃO/2001) Tirso foi inscrito no Regime Geral de
     Previdência Social em 30/7/2001, por ocasião da celebração do seu primeiro contrato de
     trabalho, tendo sido providenciada, igualmente, a inscrição de sua esposa na qualidade
     de dependente. No dia nove do mês subseqüente, contudo, Tirso veio a óbito, vítima de
     homicídio praticado por um desafeto. Nessa situação, a dependente do segurado falecido
     não terá direito ao benefício de pensão por morte, em virtude de não haver transcorrido
     o prazo de carência definido em lei. A dependente faria jus ao benefício, contudo, se o
     óbito do segurado decorresse de acidente de trabalho. ( )

121. (DEFENSOR PÚBLICO DA UNIÃO/2001) Lauro tornou-se pensionista da União em
     julho de 1991, em decorrência do falecimento de sua esposa, a qual, quando do óbito,
     exercia o cargo de procurador autárquico da União. Em 1993, Lauro passou a viver com
     Marta, tendo nascido três filhos dessa união. Marta faleceu em agosto de 2001, de modo
     que Lauro requereu ao INSS o benefício de pensão por morte, na qualidade de
     companheiro da segurada falecida. Nessa situação, a pensão deverá ser concedida
     integralmente aos filhos do casal, haja vista o ordenamento jurídico vedar o recebimento
     conjunto de mais de um benefício de pensão por morte, como requerido por Lauro. ( )




                                                                                          99
QUESTÕES DE CONCURSO SOBRE O ASSUNTO
                              AUXÍLIO-RECLUSÃO



Assinale C (certo) ou E (errado):

122. (PROCURADOR/INSS/1999 ADAPTADA) Se Mévio, segurado da previdência social,
     foi condenado a cinco anos de reclusão e, por ocasião do início do cumprimento da pena,
     em julho de 1999, ele estava empregado e percebia salário equivalente a R$ 800,00, então
     seus dependentes têm direito ao auxílio-reclusão. ( )

123. (FISCAL/INSS/2000) Considere a seguinte situação hipotética: logo que conseguiu o seu
     primeiro emprego, em março de 2000, Júlio foi regularmente inscrito na previdência
     social, na condição de segurado, ocasião em que sua esposa e sua filha foram inscritas
     como suas dependentes. Em maio do mesmo ano, contudo, Júlio veio a ser preso em
     flagrante pela prática de crime, tendo permanecido preso no curso da respectiva ação
     penal, ao cabo da qual veio a ser condenado a cinco anos de reclusão. Nessa situação,
     suas dependentes não terão direito ao auxílio-reclusão, em razão de não se ter
     completado o prazo de carência para recebimento desse benefício. ( )

124. (FISCAL/INSS/1998       Adapatada) O auxílio-reclusão é devido aos dependentes do
     segurado de baixa renda recolhido à prisão que não receber remuneração da empresa
     nem estiver em gozo de auxílio-doença, de aposentadoria ou de abono de permanência,
     durante todo o período de detenção ou reclusão, devendo ser suspenso em caso de fuga e
     convertido em pensão, se sobrevier a morte do segurado detido ou recluso. ( )

125. (Procurador/INSS/Cespe/1998) O auxílio-reclusão tem como fato gerador o recolhimento
     do segurado à prisão, conforme comprovado por certidão e declaração de subsistência da
     condição de presidiário, quando atendida a carência de 12 contribuições mensais, não
     estiver o segurado recebendo remuneração da empresa ou em gozo de auxílio-doença, de
     aposentadoria ou de abono de permanência em serviço. ( )




                                                                                          100
Gabarito

1.     C         27.   C   53.   E   79.    C   105.   E
2.     E         28.   C   54.   E   80.    D   106.   E
3.     E         29.   C   55.   E   81.    C   107.   C
4.     C         30.   D   56.   C   82.    E   108.   E
5.     A         31.   C   57.   E   83.    C   109.   C
6.     E         32.   A   58.   C   84.    C   110.   E
7.     D         33.   D   59.   E   85.    C   111.   D
8.     E         34.   E   60.   C   86.    E   112.   C
       ANULADA
9.               35.   C   61.   C   87.    E   113.   C
10.    C         36.   E   62.   E   88.    E   114.   C
11.    E         37.   E   63.   E   89.    C   115.   C
12.    E         38.   E   64.   E   90.    C   116.   E
       ANULADA
13.              39.   E   65.   E   91.    E   117.   E
14.    E         40.   C   66.   E   92.    C   118.   C
15.    E         41.   E   67.   E   93.    E   119.   C
16.    C         42.   C   68.   E   94.    C   120.   E
17.    E         43.   E   69.   C   95.    E   121.   E
18.    C         44.   C   70.   C   96.    E   122.   E
19.    B         45.   C   71.   B   97.    E   123.   E
20.    C         46.   E   72.   C   98.    E   124.   C
21.    E         47.   C   73.   E   99.    B   125.   E
22.    C         48.   C   74.   E   100.   C
23.    E         49.   E   75.   E   101.   D
24.    C         50.   C   76.   E   102.   E
25.    E         51.   C   77.   B   103.   C
26.    E         52.   A   78.   E   104.   C




                                                           101
102
PROVA ANALISTA PREVIDENCIÁRIO 2005

1.   NÃO está correto afirmar que a Previdência Social rege-se pelo seguinte princípio ou
     objetivo:
     a) Universalidade da cobertura e do atendimento.
     b) Uniformidade e equivalência dos benefícios e serviços a populações urbanas e rurais.
     c) Seletividade e distributividade na prestação dos benefícios.
     d) Sistema contributivo de capitalização.
     e) Irredutibilidade do valor dos benefícios.
2.   É segurado facultativo do Regime Geral de Previdência Social o:
      a) Ministro de confissão religiosa e o membro de instituto de vida consagrada, de congregação
         ou de ordem religiosa.
      b) Pescador artesanal que exerça sua atividade individualmente ou em regime de economia
         familiar.
      c) Estudante.
      d) Prestador de serviço de natureza urbana ou rural, em caráter eventual, a uma ou mais
         empresas, sem relação de emprego.
      e) Síndico de condomínio, desde que receba remuneração.
3.    Tício, marido de Martha, faleceu, em julho de 2004, desempregado. Havia trabalhado
      como empregado, durante 20 (vinte) anos, para a empresa Carro dos Sonhos Ltda ,
     tendo terminado o seu contrato de trabalho com a referida empresa em julho de 1999.
     Em agosto de 2004, Martha formulou requerimento administrativo de pensão por morte
     em uma Agência da Previdência e teve seu pedido indeferido. A correta justificativa para
     o indeferimento da pensão por morte nesse caso é:
     a) O fato de o período de carência fixado por lei para a concessão de pensão por morte não ter
        sido cumprido.
     b) O fato de Martha não ser segurada do Regime Geral de Previdência Social.
     c) O fato de que Martha não comprovou a sua dependência econômica de Tício, requisito este
        indispensável para qualificação de cônjuge como dependente.
     d) Ausência de inscrição de Martha como dependente designada por Tício, antes de seu
        falecimento.
     e) Perda da qualidade de segurado do instituidor da pensão.
4.   A que percentual do salário-de-benefício correspondem, respectivamente, as rendas
     iniciais do auxílio-doença, do auxílio-acidente e da aposentadoria por invalidez?
     a) 100%, 91% e 50%.
     b) 91%, 50% e 70%.
     c) 50%, 91% e 100%.
     d) 91%, 100% e 70%.
     e) 91%, 50% e 100%.
5.   Constitui espécie de prestação da Assistência Social o benefício de prestação continuada
     que garante 01 (um) salário mínimo mensal à pessoa portadora de deficiência e ao idoso


                                                                                                103
que comprovem não possuir meios de prover a própria manutenção e nem de tê-la
     provida por sua família, exigindo-se, ainda:
     a) Não-recebimento de benefício de espécie alguma, salvo o de assistência médica.
     b) Renda familiar mensal per capita inferior a 01 (um) salário mínimo.
     c) Qualidade de segurado do Regime Geral de Previdência Social.
     d) Existência de anomalias ou lesões irreversíveis de natureza hereditária, independente da
        capacidade laborativa.
     e) Idade mínima de 65 (sessenta e cinco) anos, para mulher, e de 70 (setenta) anos, para
        homem.
6.   Salário-maternidade é o benefício previdenciário pago à segurada gestante durante o
     período de afastamento de suas atividades. Consiste em uma renda mensal inicial igual à
     remuneração integral, equivalente a 01 (um) mês de trabalho, para:
     a) Todas as espécies de seguradas.
     b) A trabalhadora avulsa.
     c) A segurada especial.
     d) A empregada doméstica.
     e) A contribuinte individual.
7.   Quanto à contagem recíproca do tempo de contribuição na administração pública e na
     atividade privada, rural e urbana, assinale a afirmativa INCORRETA:
     a) É vedada a contagem de tempo de contribuição no serviço público com o de contribuição
        na atividade privada, quando concomitantes.
     b) Não será contado por um regime o tempo de contribuição utilizado para a concessão de
        aposentadoria por outro regime.
     c) Será admitida a contagem em dobro ou em outras condições especiais, previstas em lei.
     d) A certidão de tempo de contribuição, para fins de averbação do tempo em outros regimes
        de previdência, somente será expedida pelo INSS após a comprovação da quitação de todos
        os valores devidos, inclusive de eventuais parcelamentos de débito.
     e) O benefício concedido com contagem recíproca de tempo de contribuição, na forma do
        enunciado, será concedido e pago pelo regime a que o interessado estiver vinculado ao
        requerê-lo, e calculado na forma da respectiva legislação.
8.   Caio, segurado do Regime Geral de Previdência Social, divorciou-se de Dora, em julho de
     1999, ficando ajustado que pagaria uma pensão alimentícia no valor de 20% do seu
     salário. Em janeiro de 2003, Caio casa-se com Ana e, fruto da relação, nasce Márvio.
     Com o falecimento de Caio em agosto de 2004, quem tem direito ao recebimento de
     pensão por morte, na qualidade de seu dependente?
     a) Dora, Ana e Márvio.               d) Márvio, somente.
     b) Dora e Márvio, somente.           e) Ana, somente.
     c) Ana e Márvio, somente.
9.   Das decisões proferidas pelas Agências da Previdência Social, referentes ao
     reconhecimento de direitos na concessão, na atualização ou na revisão de benefícios, bem
     como na emissão de CTC (Certidão de Tempo de Contribuição), poderão os interessados,


                                                                                                104
quando não conformados, recorrer às Juntas de Recursos ou às Câmaras de Julgamento
     do CRPS (Conselho de Recursos da Previdência Social). Quanto à esta espécie de
     recurso, assinale a afirmativa correta:
     a) A ciência da decisão será efetuada por notificação por edital, quando o interessado estiver
        em local certo.
     b) O prazo para sua interposição não será prorrogado em hipótese alguma, antecipando-se
        para o último dia útil quando o seu vencimento recair em dia em que não haja expediente
        integral no setor responsável pelo recebimento do recurso.
     c) O prazo para a interposição desse recurso pelo segurado ou beneficiário será de 10 (dez)
        dias.
     d) Na contagem do prazo para sua interposição, será incluído o dia do conhecimento da
        decisão, salvo se não for dia útil, ocasião em que o curso do prazo iniciar-se-á no primeiro
        dia útil seguinte ao dia do conhecimento.
     e) Nos casos de conclusão médica contrária, o processo será encaminhado para a Perícia
        Médica da Agência da Previdência Social, a fim de ser realizado exame por junta médica, a
        qual emitirá parecer parecer conclusivo.
10. A respeito das prestações previdenciárias do Regime Geral de Previdência Social,
    assinale a afirmativa correta:
     a) A reabilitação profissional, serviço abrangido pelo Regime Geral de Previdência Social,
        compreende, entre outros serviços, o reembolso das despesas realizadas para a aquisição de
        próteses ou de órteses e outros recursos materiais não-prescritos ou não-autorizados pelas
        unidades de reabilitação profissional do INSS.
     b) A cota do salário-família será incorporada, para qualquer efeito, ao salário ou ao benefício.
     c) O auxílio-reclusão será devido nas mesmas condições da pensão por morte aos dependentes
        do segurado recolhido à prisão, bastando que o detento ou o recluso seja segurado do
        Regime Geral, sendo indiferente se o mesmo estiver em gozo de qualquer benefício
        previdenciário.
     d) Os serviços de habilitação e reabilitação profissional serão prestados pelo INSS aos
        segurados, inclusive aposentados, e, de acordo com as possibilidades administrativas,
        técnicas, financeiras e as condições locais do órgão, aos seus dependentes.
     e) O salário-família será devido, mensalmente, ao segurado empregado, ao segurado
        doméstico e ao segurado trabalhador avulso, na proporção do respectivo número de filhos
        ou equiparados nos termos da legislação previdenciária.


Gabarito:

1.    D

2.    C

3.    E

4.    E

5.    A

6.    B



                                                                                                  105
7.    C

8.    A

9.    E

10.   D




          106
PROVA TÉCNICO PREVIDENCIÁRIO 2005

1.   A seguridade social compreende um conjunto integrado de ações de iniciativa dos
     poderes públicos e da sociedade, destinado a assegurar os direitos relativos a:
     I. saúde;
     II. educação;
     III. habitação;
     IV.                                  assistência social;
     V. previdência social.
Estão corretos os itens:
     a) IV e V, apenas.
     b) I, II e V, apenas.
     c) I, IV e V, apenas.
     d) II, III e IV, apenas.
     e) I, II, III e IV, apenas.
2.   A assistência social é a política social que provê o atendimento das necessidades básicas,
     traduzidas em proteção à família, à maternidade, à infância, à adolescência, à velhice e à
     pessoa portadora de deficiência. A esse respeito, pode-se afirmar corretamente que:
     a) É exigida a comprovação de ao menos 1 (um) recolhimento à seguridade social para ter
        direito à assistência.
     b) É aplicável em caráter exclusivo aos segurados e seus dependentes menores de 21 (vinte e
        um) anos ou maiores de 70 (setenta) anos.
     c) É independente de qualquer contribuição à seguridade social.
     d) São beneficiados apenas os dependentes de segurados que tenham cumprido o período de
        carência previsto em lei.
     e) São beneficiados apenas os segurados em dia com as contribuições previdenciárias.
3.   Antônio Walas, devido a sua notória experiência no mercado financeiro, recebeu
     proposta para ser diretor-empregado de um grande banco de investimento, com direito a
     participação direta nos resultados da empresa. Caso Antônio aceite a proposta, sua
     inscrição no Regime Geral de Previdência Social será:
     a) Obrigatória, como empregado.
     b) Obrigatória, como contribuinte individual.
     c) Obrigatória, como segurado especial.
     d) Facultativa, por ter deixado de ser segurado obrigatório.
     e) Facultativa, como associado eleito para cargo de direção remunerada.




                                                                                            107
4.   Carlos Afonso foi contratado pela esposa de um fazendeiro para ser motorista. Sua
     função é transportá-la da propriedade rural onde mora para os locais que ela desejar,
     cumprindo jornada diária de 6 (seis) horas de trabalho, com uma folga semanal.
A inscrição de Carlos no Regime Geral de Previdência Social será obrigatória, na qualidade
de:
     a) Empregado.
     b) Empregado doméstico.
     c) Trabalhador avulso.
     d) Contribuinte individual.
     e) Segurado especial.
5.   Assinale o único benefício cuja percepção NÃO enseja o pagamento do abono anual:
     a) Auxílio-doença.
     b) Auxílio-acidente.
     c) Auxílio-reclusão.
     d) Salário-maternidade.
     e) Salário-família.
6.   A Previdência Social é o segmento da Seguridade Social que visa a propiciar os meios
     indispensáveis à subsistência da pessoa humana, quando ocorrer certa contingência
     prevista em lei. São beneficiários das prestações previdenciárias:
     a) Somente os segurados.
     b) Segurados e seus dependentes.
     c) Toda e qualquer pessoa que já tiver contribuído para a Previdência Social, pelo menos com
        01 (uma) contribuição mensal, sendo indiferente o período de tal recolhimento.
     d) Aqueles que sofrerem riscos sociais, tais como incapacidade laborativa e idade avançada,
        independente de contribuição à Previdência Social.
     e) Todos os brasileiros, independente de contribuição à Previdência Social.
7.   São dependentes do segurado do Regime Geral de Previdência Social:
     a) todos aqueles que dependam economicamente do segurado, sendo irrelevante o vínculo
        conjugal ou consaguíneo.
     b) Todos aqueles indicados como dependentes, nos termos da legislação tributária do imposto
        de renda.
     c) As pessoas designadas pelo segurado para serem dependentes.
     d) Cônjuge, companheiro(a), filho(a) não emancipado(a), de qualquer condição, menor de 21
        (vinte e um) anos ou inválido(a), pais, irmão(ã) não emancipado(a), de qualquer condição,
        menor de 21 (vinte e um) anos ou inválido(a).
     e) Cônjuge, companheiro(a), filho(a) não emancipado(a), de qualquer condição, menor de 18
        (dezoito) anos ou inválido(a), pais, irmão(ã) não emancipado(a), de qualquer condição,
        menor de 18 (dezoito) anos ou inválido(a).




                                                                                             108
8.    A inscrição do(a) companheiro do segurado no Regime Geral de Previdência Social será
      promovida, na qualidade de dependente, quando do requerimento do benefício a que
      tiver direito. Para a comprovação do vínculo e da dependência econômica do(a)
      companheiro(a), é suficiente e apresentação de:
      a) Certidão de nascimento de filho havido em comum.
      b) Prova testemunhal de que o segurado e o dependente mantêm ou mantiveram união estável.
      c) Disposições testamentárias, prova de mesmo domicílio e conta bancária conjunta.
      d) Declaração do(a) companheiro de que viveu uma relação de companheirismo com o
         segurado, mesmo que esta tenha terminado anos antes do ato de inscrição.
      e) Sentença homologatória em procedimento judicial de justificação que se presta a colher
         prova testemunhal, em juízo, da existência da união estável.
9.    Período de Carência é o número de contribuições mensais indispensáveis para que o
      beneficiário faça jus ao benefício.
O dia de início da contagem do período de carência é o(a):
      a) Primeiro dia do mês de filiação ao Regime Geral de Previdência Social, para o segurado
         empregado doméstico.
      b) Primeiro dia do mês de filiação ao Regime Geral da Previdência Social, para todos os
         segurados, obrigatórios ou facultativos.
      c) Primeiro dia do mês em que se iniciou a execução de atividade remunerada, como segurado
         empregado, sendo presumida a contribuição.
      d) Data do efetivo recolhimento da primeira contribuição sem atraso, para trabalhador avulso.
      e) Data do efetivo recolhimento da primeira contribuição sem atraso, para todos os segurados,
         obrigatórios ou facultativos.
10. 12 (doze) contribuições mensais, 180 (cento e oitenta) contribuições mensais e nenhuma
    contribuição são os períodos de carência, respectivamente, dos seguintes benefícios
    previdenciários:
      a) Auxílio-doença, aposentadoria por idade e pensão por morte.
      b) Auxílio-doença, aposentadoria por invalidez e pensão por morte.
      c) Auxílio-acidente, pensão por morte e serviço social.
      d) Auxílio-acidente, aposentadoria por idade e pensão por morte.
    e) Aposentadoria por invalidez, aposentadoria por tempo de contribuição e aposentadoria por
       idade.
11. A respeito do cálculo do valor do benefício previdenciário, assinale a firmativa
INCORRETA.
     a) Atualmente, o salário-de-benefício da aposentadoria por idade consiste na média aritmética
         simples dos maiores salários-de-contribuição correspondentes a 80% de todo o período
         contributivo, multiplicado pelo fator previdenciário.
     b) Atualmente, o salário-de-benefício da aposentadoria por tempo de contribuição consiste na
         média dos 36 (trinta e seis) últimos salários-de-contribuição, corrigidos monetariamente
         mês a mês.

                                                                                                109
c) O auxílio-doença tem como base de cálculo o salário-de-benefício do segurado.
    d) Atualmente, o salário-de-benefício da aposentadoria por invalidez consiste na média
        aritmética simples dos maiores salários-de-contribuição correspondentes a 80% de todo o
        período contributivo.
    e) O fator previdenciário será calculado considerando-se a idade, a expectativa de sobrevida e
        o tempo de contribuição do segurado.
12. O artigo 201, parágrafo 3 da Constituição Federal de 1988 assim dispõe: É assegurado o
reajustamento dos benefícios para preservar-lhes, em caráter permamente, o valor real,
conforme critérios definidos em lei .
Tal dispositivo disciplina a manutenção do valor real dos benefícios previdenciários, que
consiste em:
    a) assegurar reajustamentos de modo que a renda mensal seja equivalente ao número de
        salários mínimos da renda mensal inicial, na data de início do benefício.
    b) reajustar o benefício de acordo com a variação inflacionária, de modo a evitar diminuição
        injusta do seu poder de compra, variação esta que será fixada em lei.
    c) corrigir, monetariamente, todos os salários-de-contribuição considerados no cálculo do
        benefício.
    d) adotar critérios de reajustamentos dos benefícios previdenciários fixados anualmente pelo
        Poder Judiciário.
    e) aplicar o mesmo índice de reajustamento vigente na data de início do benefício a todo o
        período de reajuste, durante a existência do benefício.
13. Em novembro de 2004, Josué, segurado empregado de 60 (sessenta) anos, faz
requerimento administrativo de aposentadoria em uma das Agências da Previdência Social.
Em anexo ao referido pedido, apresenta cópia da Carteira de Trabalho e Previdência Social
que comprova o vínculo empregatício com a empresa Pães, Doces e Comidas Deliciosas
Ltda. , como balconista, durante 30 (trinta) anos completos, na data de requerimento.
Você, na qualidade de servidor do INSS responsável pela análise do ato de concessão de
benefícios, deve decidir corretamente pela(o):
    a) concessão de aposentadoria por idade.
    b) concessão de aposentadoria proporcional.
    c) concessão de aposentadoria por tempo de contribuição.
    d) concessão de aposentadoria especial.
    e) indeferimento do pedido de aposentadoria.
14. Atualmente, para a concessão de aposentadoria especial, é IMPRESCINDÍVEL que o(a):


                                                                                              110
a) segurado comprove, além do tempo de contribuição, a exposição aos agentes nocivos
            químicos, físicos, biológicos ou associação de agentes prejudiciais à saúde ou à integridade
            física, de modo habitual, permanente e não intermitente.
      b) Segurado comprove que trabalhou durante 15 (quinze), 20 (vinte) ou 25 (vinte e cinco) anos
            sujeito a condições especiais, independente do período de exposição a agentes agressivos
            durante a jornada de trabalho.
      c) Segurado declare que executou atividades sob condições especiais, independente de a
            empresa empregadora emitir ou não laudo técnico.
      d) Segurado tenha, no mínimo, 50 (cinqüenta) anos de idade.
      e) Atividade desempenhada pelo segurado se enquadre na categoria profissional presumida em
            lei como sujeita a condições insalubres, penosas ou perigosas.
15. Caio, em maio de 2000, separou-se, judicialmente, de Maria. Na referida separação,
acordou-se, judicialmente, que Caio não iria pagar pensão alimentícia à ex-esposa e que só
iria pagar tal encargo para Ana, filha do casal, 19 anos. Em agosto de 2002, Caio conhece
Teresa, com a qual vem morar e manter união estável. Em agosto de 2004, Caio falece. Quem
tem direito à pensão por morte, na qualidade de dependente de Caio?
      a) Maria, Ana e Teresa.
      b) Maria e Ana.
      c) Ana e Teresa.
      d) Ana.
      e) Teresa.


Gabarito:

1.      C

2.      C

3.      A

4.      B

5.      E

6.      B

7.      D

8.      C

9.      C

10.     A

11.     B

12.     B



                                                                                                    111
13.   E

14.   A

15.   E




          112

Cartilha inss

  • 1.
    http://www.concurseirosocial.com.br Grupos de estudo e discussão Provas e apostilas para download Simulados e comentários Vídeo-aulas e compartilhamento de arquivos Notícias de concursos Venha estudar em grupo, discutir e se atualizar. GRÁTIS!
  • 2.
    INTRODUÇÃO Esta cartilha versasobre o Regime Geral de Previdência Social. O RGPS é o regime do qual participa qualquer pessoa que exerça atividade remunerada. Assim, todo trabalhador da iniciativa privada é obrigatoriamente segurado do RGPS e fará jus aos seguintes benefícios: aposentadoria por tempo de contribuição, aposentadoria especial, aposentadoria por idade, aposentadoria por invalidez, salário- maternidade, salário-família, auxílio-doença, auxílio-acidente, auxílio-reclusão, pensão por morte e aos seguintes serviços: reabilitação profissional e serviço social. Além dos benefícios, abordaremos nesta cartilha, diversos temas estreitamente relacionados aos benefícios previdenciários tais como: prazos de carência, perda da qualidade de segurado, forma de cálculo do salário- de-benefício, renda mensal dos benefícios, documentos necessários ao requerimento de um determinado benefício, quem são os segurados e os dependentes, entre outros. Apresentaremos todo o conteúdo em forma de perguntas e respostas, pois assim propicia ao leitor responder mentalmente a pergunta antes mesmo de sua leitura e se por acaso responder de forma equivocada tem a chance de aprender e corrigir o erro. No final disponibilizamos uma seleção de questões de concursos anteriores para que você possa avaliar seu aprendizado. Sem dúvida um material para aqueles que querem lograr êxito no próximo concurso do INSS. 2
  • 3.
    AUTORES Ítalo Romano Eduardoé Auditor Fiscal da Receita Federal do Brasil, tendo ingressado no cargo em 2001, após obter o 3º lugar na Bahia no concurso do ano 2000. Exerce, atualmente, suas atribuições na Delegacia da Receita Federal em Salvador/BA. No período de 1997 a 2000, ocupou o cargo de Técnico de Controle Externo do Tribunal de Contas do Estado da Bahia, realizando auditoria em entidades governamentais. Formado em Engenharia Química, pela Universidade Federal da Bahia UFBA, possui pós-graduação na área de Administração Pública. É instrutor oficial da Previdência, da ESAF e é professor em vários cursos preparatórios para concurso. Autor de vários livros sobre Legislação Previdenciária. Jeane Tavares Aragão Eduardo foi investida no cargo de Auditora Fiscal da Receita Federal do Brasil, após obter o 5º lugar na Bahia no concurso efetuado em 2000. Atualmente, desempenha suas atribuições na Delegacia da Receita Federal em Salvador/BA. Em 1996 e 1997, exerceu o cargo de Técnico de Finanças e Controle do Ministério da Fazenda. No ano de 1997, foi aprovada em 1º lugar no concurso de Técnico de Controle Externo do Tribunal de Contas do Estado da Bahia, onde realizava auditoria em orçamentos e contas públicas. É formada em Engenharia Química pela Universidade Federal da Bahia UFBA. É instrutora oficial da Previdência, da ESAF. Autora de vários livros sobre Legislação Previdenciária 3
  • 4.
    SUMÁRIO 1. Conhecendo aPrevidência Social, 5 2. Beneficiários do RGPS, 10 3. Manutenção da Qualidade de Segurado, 17 4. Perda da Qualidade de Segurado, 19 5. Dependentes, 21 6. Inscrição, 26 7. Carência, 28 8. Salário-de-benefício, 30 9. Fator Previdenciário, 32 10. Renda Mensal do Benefício, 34 11. Aposentadoria por Invalidez, 36 12. Aposentadoria por Idade, 40 13. Aposentadoria por Tempo de Contribuição, 42 14. Aposentadoria Especial, 46 15. Auxílio-doença, 50 16. Salário-família, 53 17. Salário-maternidade, 55 18. Auxílio-acidente, 59 19. Pensão por Morte, 60 20. Auxílio-reclusão, 63 21. Habilitação e Reabilitação Profissional e Serviço Social, 66 22. Justificação Administrativa, 68 23. Regras para Controle da Concessão e Pagamento de Benefícios, 70 24. Quadro resumo dos Benefícios, 72 25. Coletânea de Questões, 73 26. Provas Analista e Técnico Previdenciário Ano 2005, 102 4
  • 5.
    1. CONHECENDO APREVI DÊNCIA SOCIAL 1. Quais os regimes de previdência social no Brasil? A previdência social no Brasil é composta dos seguintes regimes: Regime Geral de Previdência Social RGPS; Regimes próprios de Previdência Social dos servidores públicos e dos militares; Regimes de Previdência Complementar (oficial e privado). Agora, vamos conhecer em linhas gerais algumas características de cada um deles: Regime Geral de Previdência Social: é administrado pelo INSS, dele são segurados obrigatórios todos os trabalhadores da iniciativa privada, empregados públicos regidos pela CLT, servidores temporários, os ocupantes de cargo em comissão e os ocupantes de cargos efetivos não possuidores de regime próprio. Regimes próprios de previdência social: são administrados pela União, Estados, Distrito Federal e Municípios e atendem ao servidor estatutário, que é ocupante de cargo efetivo da esfera federal, estadual, distrital ou municipal. Regimes de previdência complementar oficiais: quando forem implementados serão administrados pela União, Estados, Distrito Federal e Municípios e serão obrigatórios para o servidor ocupante de cargo efetivo que ingressar no serviço público após a criação dos mesmos. Regimes de previdência complementar privados: são geridos por instituições privadas e são abertos a qualquer pessoa que queira participar. Assim, podemos perceber que existem vários regimes previdenciários: um regime específico para os trabalhadores, em geral, do setor privado, regimes previdenciários próprios para servidores públicos ocupantes de cargo efetivo, um regime complementar oficial para os servidores públicos que ingressarem no serviço após a criação dos mesmos e, por fim, um regime complementar privado voltado para todos aqueles que queiram participar. No esquema a seguir, veremos resumidamente: os regimes, quem administra e seus filiados. 5
  • 6.
    2. Resumo REGIMES DE PREVIDÊNCIA RGPS Regimes Complementar Complementar Próprios Oficial Privado FILIADOS FILIADOS FILIADOS FILIADOS - trabalhadores da Servidores ocupantes Servidores ocupantes Qualquer pessoa iniciativa privada; de cargo efetivo. de cargo efetivo. interessada. Não há - servidores restrição. comissionados; - servidores temporários; - empregados públicos; - servidores ocupantes Administrado pela Administrado pela Administrado pelos de cargo efetivo não União, Estados, União, Estados, fundos de possuidores de regime Distrito Federal e Distrito Federal e previdência privada próprio. Municípios que Municípios quando (Banco do Brasil, possuem. criarem. Unibanco e outros). Administrado pelo INSS 3. Os servidores públicos possuem seu próprio regime? Nem sempre. A União, os Estados e o Distrito Federal possuem regime próprio de previdência, entretanto alguns Municípios não o possuem (na verdade a maioria deles), assim os servidores estatutários ocupantes de cargo efetivo que não estão filiados a um regime próprio de previdência, os servidores temporários, os comissionados e os empregados públicos devem ser obrigatoriamente filiados ao Regime Geral de Previdência Social. Além disso, o regime de previdência complementar a ser criado pela União, Estado, Distrito Federal ou Município será facultativo para os servidores ocupantes de cargo efetivo que tiverem ingressado no serviço público antes da data da publicação do ato de sua instituição e obrigatória para os que ingressarem após aquela data. Um regime de previdência social é aquele que garante no mínimo os benefícios aposentadoria e pensão por morte. 4. Quais os atos normativos que regem os benefícios do RGPS? Em primeiro lugar, a Constituição Federal de 1988 norteia as demais normas que versam sobre o assunto, estabelecendo as premissas, os objetivos e as diretrizes para a Previdência Social (Título VIII, Da Ordem Social, artigos 201 e 202). A Lei n. º 8.213/91 que trata dos benefícios da previdência social. O Decreto no 3.048/99, também chamado de Regulamento da Previdência Social, em seus artigos 1o a 193 dispõem sobre o Regime Geral de Previdência Social e seus benefícios, e será a nossa principal referência nesta cartilha. A Instrução Normativa n. º 11/2006, que detalha tudo que contém no Decreto no 3.048/99, e estabelece os procedimentos que devem ser adotados pelos funcionários que trabalham no atendimento aos beneficiários nas agências da Previdência Social. 6
  • 7.
    5. Quais as características do RGPS? O Regime Geral de Previdência Social RGPS é um sistema de caráter contributivo e de filiação obrigatória. A organização do RGPS deve observar critérios que preservem o equilíbrio financeiro e atuarial. A ciência atuarial baseia-se em técnicas matemáticas, estatísticas e probabilísticas e, no caso de um sistema previdenciário, preocupa-se com o equilíbrio de receitas e despesas a longo prazo. O Regime Geral de Previdência Social, segundo a Constituição Federal, garante as seguintes situações de risco social: 1. cobertura de eventos de doença, invalidez, morte e idade avançada; 2. proteção à maternidade, especialmente à gestante; 3. salário-família e auxílio-reclusão para os dependentes dos segurados de baixa renda; 4. pensão por morte do segurado, homem ou mulher, ao cônjuge ou companheiro e dependentes; 5. proteção ao trabalhador em situação de desemprego involuntário. O seguro-desemprego na prática, não está relacionado ao RGPS. A fonte de custeio do seguro-desemprego é o Fundo de Amparo ao Trabalhador FAT, administrado pelo Ministério do Trabalho. O RGPS é um regime de repartição e não de capitalização. 6. O seguro-desemprego está relacionado de que forma ao RGPS? A proteção ao trabalhador em situação de desemprego involuntário está garantida no inciso III do artigo 201 da Constituição Federal pela previdência social, entretanto, na prática, este auxílio não é coberto pelo Regime Geral de Previdência Social. O seguro-desemprego é financiado por recursos provenientes do Fundo de Amparo ao Trabalhador (FAT) administrado pelo Ministério do Trabalho. Assim, se você estiver desempregado, dirija-se a Delegacia Regional do Trabalho mais próxima e informe-se dos seus direitos. 7. Quais os benefícios e serviços oferecidos pelo RGPS? Como já vimos anteriormente, a Previdência Social é uma forma de proteção social que visa propiciar meios à manutenção do segurado e de sua família nas situações de maternidade, acidente, doença, incapacidade, invalidez, prisão, idade avançada, tempo de contribuição, morte, além de reabilitação profissional. As prestações do Regime Geral de Previdência Social estão divididas em benefícios e serviços, sendo classificadas relativamente aos seus beneficiários diretos, os segurados e os dependentes, da seguinte forma: 7
  • 8.
    APOSENTADORIA POR TEMPO DE CONTRIBUIÇÃO APOSENTADORIA POR IDADE APOSENTADORIA POR INVALIDEZ APOSENTADORIA QUANTO ESPECIAL AO SEGURADO AUXÍLIO-DOENÇA AUXÍLIO-ACIDENTE SALÁRIO-MATERNIDADE SALÁRIO-FAMÍLIA AUXÍLIO-RECLUSÃO QUANTO AO DEPENDENTE PENSÃO POR MORTE REABILITAÇÃO QUANTO AO SEGURADO PROFISSIONAL E AO DEPENDENTE i. SERVIÇO SOCIAL O RGPS, portanto, abrange um total de dez benefícios previdenciários e dois serviços. 8. O que está garantido na Constituição em relação ao RGPS? A Constituição Federal estabelece garantias que visam à saúde financeira do sistema e salvaguardam os interesses dos segurados. Listaremos, a seguir, as principais garantias constitucionais: 1. Proibição de critérios diferenciados para a concessão de benefícios: Não é permitida a adoção de requisitos e critérios diferenciados para a concessão de aposentadoria aos beneficiários do Regime Geral de Previdência Social, ressalvados os casos de atividades exercidas sob condições especiais que prejudiquem a saúde ou a integridade física e quando se tratar de segurados portadores de deficiência, definidos em lei complementar. 2. Valor mínimo para os benefícios: Nenhum benefício que substitua o salário de contribuição ou o rendimento do trabalho do segurado terá valor mensal inferior ao salário-mínimo. 3. Atualização do valor dos benefícios: Todos os salários de contribuição considerados para o cálculo de benefício deverão ser devidamente atualizados, na forma da lei. Essa atualização se dará pelo INPC. 8
  • 9.
    4. Proibição a filiação do participante de regime próprio: É proibida a filiação ao Regime Geral de Previdência Social, na qualidade de segurado facultativo, de pessoa participante de regime próprio de previdência. 5. Décimo-terceiro salário: A legislação denomina de abono anual o que conhecemos por décimo-terceiro salário dos trabalhadores que estão em atividade. O abono anual é devido ao segurado que durante o ano recebeu auxílio-doença, auxílio-acidente, aposentadoria e salário-maternidade, bem como ao dependente que, no mesmo período, fez jus à pensão por morte ou auxílio-reclusão. O único benefício que não enseja pagamento de abono anual é o salário-família. 6. Contagem recíproca do tempo de contribuição: Para efeito de aposentadoria, é assegurada a contagem recíproca do tempo de contribuição na administração pública e na atividade privada, rural e urbana, hipótese em que os diversos regimes de previdência social se compensarão financeiramente, segundo critérios estabelecidos em lei, para que, por exemplo, uma pessoa que contribuiu 10 anos para o RGPS como engenheiro de uma indústria e, que posteriormente, passou num concurso de Auditor Federal, tendo pedido demissão do primeiro emprego, tenha suas contribuições para o RGPS aproveitadas e contadas como tempo de contribuição pelo regime próprio dos servidores públicos federais. 9. Incorporação dos ganhos habituais do empregado: Os ganhos habituais do empregado, sob qualquer denominação, como as gorjetas, por exemplo, serão incorporados ao salário para efeito de contribuição previdenciária e conseqüente repercussão em benefícios, na forma da lei. 10. Cobertura do risco de acidente do trabalho: A Constituição autoriza a criação de uma lei para disciplinar a cobertura do risco de acidente do trabalho, a ser atendida concorrentemente pelo Regime Geral de Previdência Social e pelo setor privado. Atualmente, o seguro acidente de trabalho é garantido exclusivamente pelo RGPS. 9
  • 10.
    2. BENEFI CIÁRI OS DO RGPS 9. Quem são os beneficiários do RGPS? Os beneficiários do Regime Geral de Previdência Social são divididos em segurados e dependentes. Os segurados são pessoas físicas com idade mínima de 16 anos, que podem ser obrigatório ou facultativamente filiados ao RGPS. No primeiro caso, a determinação de ser segurado decorre da lei, no segundo, provém de livre opção do indivíduo. Já os dependentes são todas as pessoas que dependem do segurado economicamente. SEGURADOS BENEFICIÁRIOS DEPENDENTES 10. Existe uma idade mínima para ser segurado do regime? Sim. Os segurados são pessoas físicas vinculadas à Previdência Social, sendo imprescindível terem no mínimo dezesseis anos de idade. 11. Existe alguma exceção quanto a idade mínima? Sim. O menor aprendiz tem como idade mínima 14 anos e não 16 anos. O menor aprendiz é segurado do RGPS na condição de segurado empregado. 12. Quem são os segurados obrigatórios? Os segurados obrigatórios são as pessoas maiores de dezesseis anos que exercem atividade remunerada, não importando se a atividade é de natureza urbana ou rural, exercida de forma contínua ou intermitente, com ou sem vínculo empregatício. Os segurados obrigatórios estão divididos nas seguintes categorias: empregado; empregado doméstico; contribuinte individual; trabalhador avulso; e segurado especial. 13. Resumo dos beneficiários do RGPS Podemos resumir estas informações através do esquema a seguir: 10
  • 11.
    BENEFICIÁRIOS SEGURADOS DEPENDENTES OBRIGATÓRIOS FACULTATIVOS EMPREGADO EMPREGADO DOMÉSTICO CONTRIBUINTE INDIVIDUAL TRABALHADOR AVULSO SEGURADO ESPECIAL 14. Quem são os segurados facultativos? Os segurados facultativos são pessoas que se filiam à Previdência Social por livre opção, a fim de garantir, em caso de contingências futuras (velhice, morte, maternidade, reclusão, acidente, doença), os benefícios previdenciários. Para ser segurado facultativo, a pessoa não pode exercer atividade remunerada que o enquadre como segurado obrigatório, além disso, deve contar com a idade mínima de 16 anos e não pode ser participante de regime próprio de previdência social. A filiação na qualidade de segurado facultativo representa um ato voluntário gerando efeitos somente a partir da inscrição e do primeiro recolhimento, não podendo retroagir e não sendo permitido o pagamento de contribuições relativas ao período anterior à data da inscrição. É proibida a filiação ao Regime Geral de Previdência Social, na qualidade de segurado facultativo, de pessoa participante de regime próprio de previdência social, exceto na hipótese de afastamento sem vencimento e desde que não seja permitida, nesta condição, contribuição ao respectivo regime próprio. Dessa forma, um servidor público ocupante de cargo efetivo que contribui para um regime próprio de previdência, não pode contribuir facultativamente para o RGPS. Em resumo, o ato de filiar-se facultativamente pressupõe três requisitos: ter idade mínima de dezesseis anos; não exercer atividade que exija filiação obrigatória; não ser participante de regime próprio de previdência social. 15. Quem pode ser segurado facultativo? Podem filiar-se facultativamente, entre outros: a) a dona-de-casa; b) o síndico de condomínio, quando não remunerado; c) o estudante; 11
  • 12.
    d) o brasileiroque acompanha cônjuge que presta serviço no exterior; e) o desempregado; f) o bolsista e estagiário que prestam serviços a empresa de acordo com a Lei no 6.494, de 1977; g) o bolsista que se dedique em tempo integral a pesquisa, curso de especialização, pós-graduação, mestrado ou doutorado, no Brasil ou no exterior, desde que não esteja vinculado a qualquer regime de previdência social; h) presidiário que não exerce atividade remunerada nem esteja vinculado a qualquer regime de previdência social; e i) o brasileiro residente ou domiciliado no exterior, salvo se filiado a regime previdenciário de país com o qual o Brasil mantenha acordo internacional. 16. Pode alguém ser segurado do RGPS e de outro regime de previdência social? Pode. Lembre-se de que os servidores públicos com regime próprio de previdência social não estão abrangidos pelo RGPS, exceto na situação de exercício de uma atividade paralela não ligada a regime próprio, como, por exemplo, o caso de um Auditor Federal que leciona à noite numa faculdade particular. Observe que, com relação a esta última atividade, ele é vinculado ao RGPS e deverá contribuir obrigatoriamente para a Previdência Social fazendo jus por conseqüência aos benefícios, mesmo já contribuindo para um regime próprio. 17. Pode um servidor, participante de regime próprio contribuir facultativamente para o RGPS? Não. O servidor que possui regime próprio só contribuirá para o RGPS como segurado obrigatório no caso de exercer uma atividade paralela, conforme respondemos na questão anterior, entretanto existe apenas uma exceção que é o caso deste servidor se afastar do trabalho através de licença sem vencimento. Nessa situação, ele poderá contribuir facultativamente para o RGPS, desde que não seja permitida a sua contribuição para o regime próprio ao qual é filiado. 18. Quem exerce atividades concomitantes sujeitas ao RGPS pode escolher para a qual vai contribuir? Não. Se a pessoa exerce, por exemplo, a atividade de engenheiro civil em uma construtora e exerce atividade de ensino numa escola particular, vai ter contribuir em relação às duas atividades, sendo que vai ser respeitado o valor do teto máximo do RGPS que atualmente é de R$ 2.894,28 (Valor atualizado pela Portaria MPS n.º 142/2007). Não importa, por exemplo, se o segurado é empregado em uma empresa e presta serviços em outra na condição de contribuinte individual, vai contribuir com relação a ambas atividades com observância do limite máximo para contribuição. O exercício de atividade remunerada torna a filiação ao Regime Geral de Previdência Social obrigatória, assim, aquele que exerce, concomitantemente, mais de uma atividade remunerada sujeita ao Regime Geral de Previdência Social RGPS é obrigatoriamente filiado em relação a cada uma dessas atividades. 19. O aposentado pelo RGPS que permanece ou retorna à atividade deve contribuir? Sim. Uma pessoa aposentada pelo Regime Geral de Previdência Social, se permanecer no trabalho ao voltar a exercer atividade abrangida por este regime, torna-se, novamente, segurado obrigatório da Previdência Social. 20. O aposentado que permanece ou retorna à atividade tem direito a todos os benefícios previdenciários? 12
  • 13.
    Não. O aposentadoque permanece ou retorna à atividade somente tem direito ao salário-família, salário-maternidade e ao serviço social e de reabilitação profissional. 21. Quem é segurado do RGPS na condição de empregado? É a pessoa física que presta serviços de natureza urbana ou rural, subordinada às ordens de um empregador e que em contrapartida recebe uma remuneração. Pressupostos básicos: a) Pessoalidade: Trabalho realizado pelo próprio empregado contratado e não por outro. b) Não-Eventualidade: Prestação de serviço de natureza não eventual. c) Subordinação: Prestar serviço com obediência às ordens do empregador. d) Onerosidade: Receber remuneração pelo serviço prestado. Veremos a seguir alguns casos de pessoas físicas consideradas empregados pelo Regulamento da Previdência Social: 1. Aquele que presta serviço de natureza urbana ou rural a empresa, em caráter não eventual, sob sua subordinação e mediante remuneração, inclusive como diretor empregado. O diretor empregado é aquele que, participando ou não do risco econômico do empreendimento, é contratado ou promovido para cargo de direção das sociedades anônimas, mantendo as características inerentes à relação de emprego. Exemplo: Serviço de natureza urbana: secretária, engenheiro, administrador. Serviço de natureza rural: vaqueiro, tratador de leite numa fazenda que comercializa leite e derivados. 2. O trabalhador temporário, por prazo não superior a três meses, prorrogável, que presta serviço para atender a necessidade transitória de substituição de pessoal regular e permanente ou a acréscimo extraordinário de serviço de outras empresas, na forma da legislação própria. Exemplo: Balconistas contratados por lojas no período natalino, funcionários de hotéis contratados no período de alta temporada. 3. O bolsista e o estagiário que prestam serviços a empresa, em desacordo com a Lei no 6.494, de 7 de dezembro de 1977. Exemplo: Estudante contratado como estagiário por uma empresa sem a observância de convênio com a instituição de ensino. 4. O servidor da União, Estado, Distrito Federal ou Município, incluídas suas autarquias e fundações, ocupante, exclusivamente, de cargo em comissão declarado em lei de livre nomeação e exoneração. Exemplo: Assessores de deputados e de senadores, ocupantes exclusivamente de cargos comissionados. 5. O servidor do Estado, Distrito Federal ou Município, bem como o das respectivas autarquias e fundações, ocupante de cargo efetivo, desde que, nessa qualidade, não esteja amparado por regime próprio de previdência social. 13
  • 14.
    Exemplo: Os servidores de uma prefeitura que não possui regime próprio de previdência social são filiados obrigatoriamente à Previdência Social. 6. O servidor contratado pela União, Estado, Distrito Federal ou Município, bem como pelas respectivas autarquias e fundações, por tempo determinado, para atender a necessidade temporária de excepcional interesse público. Exemplo: Pessoas contratadas pela União, Estado ou Prefeitura por um dado período para fazer recenseamento ou para o controle de epidemias. 7. O servidor da União, Estado, Distrito Federal ou Município, incluídas suas autarquias e fundações, ocupante de emprego público. Exemplo: Os servidores das agências nacionais (petróleo, energia, etc.) contratados sob o regime celetista. 22. Quem é empregado doméstico para a previdência social? É aquele que presta serviço de natureza contínua, sem finalidade lucrativa à pessoa ou à família no âmbito residencial destas. Dessa forma, a cozinheira, o mordomo, o caseiro, o motorista, são considerados pelo RGPS como empregados domésticos. Observe que a legislação não considera empregado doméstico a pessoa que executa atividades relacionadas à manutenção do próprio lar, tais como cozinhar, para o próprio cônjuge ou companheiro, pais ou filhos, bem como o trabalhador que presta serviço à pessoa ou família, no âmbito residencial destas, eventualmente e sem fins lucrativos, em atividades de limpeza e conservação, como diaristas, jardineiros, pintores, eletricistas, bombeiros hidráulicos. Estes são considerados contribuintes individuais, pois nesse caso não há continuidade dos serviços prestados, característica essencial à caracterização do empregado doméstico. 23. A diarista é considerada empregada doméstica? Não. A diarista presta serviço de natureza descontínua enquanto o empregado doméstico de natureza contínua. A diarista também é segurada do RGPS, só que em outra categoria, a de contribuinte individual. 24. Quem é contribuinte individual para a previdência social? É a pessoa física que recolhe individualmente, por conta própria, suas contribuições, sendo que se o contribuinte individual prestar serviços a empresas em geral, o desconto e recolhimento da sua contribuição caberá à própria empresa. Na categoria de contribuinte individual destacam-se as figuras do empresário e do trabalhador autônomo. Empresário: é o segurado contribuinte individual que, na empresa urbana ou rural, exerce a atividade de gestão ou administração. Trabalhador autônomo: é aquele que presta serviço de natureza urbana ou rural em caráter eventual a uma ou mais empresas, sem relação de emprego, ou ainda, é a pessoa que exerce, por conta própria, atividade econômica remunerada, de natureza urbana, com fins lucrativos. 14
  • 15.
    Veremos a seguiralguns exemplos de pessoas físicas consideradas contribuintes individuais pelo Regulamento da Previdência Social: a) o titular de firma individual urbana ou rural; b) o diretor não empregado e o membro de conselho de administração na sociedade anônima; c) todos os sócios, nas sociedades em nome coletivo e de capital e indústria; d) o sócio gerente e o sócio cotista que recebam remuneração decorrente de seu trabalho e o administrador não empregado na sociedade por cotas de responsabilidade limitada, urbana ou rural; e) o associado eleito para cargo de direção em cooperativa, associação ou entidade de qualquer natureza ou finalidade, bem como o síndico ou administrador eleito para exercer atividade de direção condominial, desde que recebam remuneração; f) quem presta serviço de natureza urbana ou rural, em caráter eventual, a uma ou mais empresas, sem relação de emprego; g) a pessoa física que exerce, por conta própria, atividade econômica de natureza urbana, com fins lucrativos ou não (como, por exemplo, um contador que presta serviços a várias empresas); h) o condutor autônomo de veículo rodoviário, assim considerado aquele que exerce atividade profissional sem vínculo empregatício, quando proprietário, co-proprietário ou promitente comprador de um só veículo (é o caso, por exemplo, do taxista); i) o cooperado de cooperativa de produção que, nesta condição, presta serviço à sociedade cooperativa mediante remuneração ajustada ao trabalho executado (tanto o cooperado associado à cooperativa de produção ou à cooperativa de trabalho, como o dirigente da cooperativa são enquadrados na categoria de contribuintes individuais); j) aquele que, pessoalmente, por conta própria e a seu risco, exerce pequena atividade comercial em via pública ou de porta em porta, como comerciante ambulante; l) aquele que presta serviço de natureza não contínua, por conta própria, a pessoa ou família, no âmbito residencial desta, sem fins lucrativos. Nesta última situação enquadra-se a diarista que presta serviços de limpeza, bem como uma pessoa que prepara comida congelada para uma família, sem fins lucrativos e de forma não contínua. 25. Quem é trabalhador avulso para a previdência social? Entende-se por avulso todo trabalhador sem vínculo empregatício que, sindicalizado ou não, presta serviço de natureza urbana ou rural a diversas empresas, sem vínculo empregatício, com a intermediação obrigatória do órgão gestor de mão-de-obra ou do sindicato da categoria. Portanto, são características do trabalho avulso: a curta duração dos serviços prestados ao tomador dos mesmos, remuneração paga através de rateio procedido pelo sindicato e a necessidade da participação do sindicato ou do Órgão Gestor de Mão-de-Obra OGMO na intermediação da mão-de-obra. São considerados trabalhadores avulsos: trabalhador de estiva de mercadorias de qualquer natureza, inclusive carvão e minério; 15
  • 16.
    trabalhador que exerceatividade portuária de capatazia, estiva, conferência e conserto de carga, vigilância de embarcação e bloco; trabalhador em alvarenga (embarcação para carga e descarga de navios); amarrador de embarcação; ensacador de café, cacau, sal e similares; trabalhador na indústria de extração de sal; carregador de bagagem em porto; prático de barra em porto; guindasteiro; classificador, movimentador e empacotador de mercadorias em portos. 26. Quem é segurado especial para a previdência social? A Previdência Social considera segurado especial: "o produtor, o parceiro, o meeiro e o arrendatário rurais, o pescador artesanal e seus assemelhados, que exerçam suas atividades, individualmente ou em regime de economia familiar, com ou sem auxílio eventual de terceiros, bem como seus respectivos cônjuges ou companheiros e filhos maiores de dezesseis anos de idade ou a eles equiparados, desde que trabalhem comprovadamente com o grupo familiar respectivo." Por regime de economia familiar se entende a atividade em que o trabalho dos membros da família é indispensável à própria subsistência e é exercida em condições de mútua dependência e colaboração, sem a utilização de empregados. Entende-se como auxílio eventual de terceiros, o que é exercido ocasionalmente, em condições de mútua colaboração, não existindo subordinação nem remuneração, é o conhecido mutirão. Não se considera segurado especial o membro do grupo familiar que possui outra fonte de rendimento decorrente do exercício de atividade remunerada, excetuando-se as situações seguintes: remuneração decorrente do exercício de mandato de dirigente sindical; pensão por morte deixada por segurado especial; auxílio-acidente; auxílio-reclusão; pensão por morte, cujo valor seja inferior ou igual ao salário-mínimo. 16
  • 17.
    3. MANUTENÇÃO DAQUALI DADE DE SEGURADO 27. Se uma pessoa parar de contribuir, ela automaticamente deixa de ser segurado do RGPS? Não. Relacionamos a seguir as situações em que uma pessoa filiada à Previdência Social mantém a sua qualidade de segurado, mesmo não efetuando o recolhimento de contribuições. A depender da situação o segurado preservará seus direitos para com o INSS durante um certo intervalo temporal. Esse período de tempo durante o qual a pessoa mantém a qualidade do segurado, mesmo sem estar contribuindo para a Previdência Social, é chamado de período de graça. 1a situação: Gozo de benefício Quando o segurado está em gozo de benefício, ele mantém a qualidade de segurado sem limite de prazo, enquanto durar o benefício. Esse é o único caso em que não há prazo definido para a duração do período de graça. 2a situação: Licença sem remuneração ou suspensão do empregado ou cessação de benefício por incapacidade ou desemprego Se um segurado obrigatório estiver desempregado, suspenso da empresa onde trabalha, esteja gozando de uma licença sem remuneração ou caso tenha havido cessação do recebimento de benefício por incapacidade, ele conserva todos os seus direitos perante o INSS, independentemente de contribuir, por até 12 meses após a cessação das contribuições ou após a cessação do benefício por incapacidade. Se tiver, pago mais de 120 contribuições à época, este prazo será dilatado para 24 meses. Comprovando o segurado estar em situação de desemprego e tendo mais de 120 contribuições o prazo de 24 meses será aumentado em mais 12 meses, totalizando 36 meses. Entretanto, se tiver menos de 120 contribuições, o prazo inicial de 12 meses será adicionado em mais 12 meses, totalizando 24 meses. Nessa situação também se enquadra um segurado que se desvincular de regime próprio de previdência social. 3a situação: Segregação compulsória O segurado acometido de doença que necessite de isolamento obrigatório conserva sua qualidade de segurado por até 12 meses, após cessar a segregação. Doença de segregação compulsória é o tipo de doença epidemiológica para qual a vigilância sanitária obriga o isolamento a fim de evitar o contágio. Por exemplo, o portador da gripe aviária. 4a situação: Detenção O segurado detido ou recluso conserva sua qualidade de segurado por até 12 meses, após o livramento. 5a situação: Forças Armadas O segurado incorporado às Forças Armadas para prestar serviço militar conserva sua qualidade de segurado por até 3 meses após o licenciamento. 6a situação: Segurado facultativo O segurado facultativo conserva sua qualidade de segurado por até 6 meses após a cessação das contribuições. Uma observação importante é que o segurado facultativo, após a cessação do benefício por incapacidade, não terá o período de graça dilatado para 12 meses. A tabela a seguir resume essas situações: 17
  • 18.
    MANUTENÇÃO DA QUALIDADEDE SITUAÇÃO DO SEGURADO SEGURADO 1. Em gozo de ben efício. Sem lim ite de p razo. 2. O segu rado qu e deixar de exercer Até doze m eses ap ós a cessação de atividade rem u n erada abran gida p ela b en efício p or in cap acidad e ou ap ós a p revidên cia social ou estiver su sp en so cessação das con tribu ições. ou licen ciado sem rem un eração. 3. O segu rado acom etido de doen ça d e Até doze m eses ap ós cessar a segregação com pu lsória. segregação. 4. O segu rado detido ou reclu so. Até doze m eses ap ós o livram en to. 5. O segu rado in corp orado às Forças Até três m eses ap ós o licen ciam en to. Arm adas para p restar serviço m ilitar. Até seis m eses ap ós a cessação das 6. O segu rado facu ltativo. con tribu ições. Nota: A segunda situação contempla a circunstância de desemprego do segurado, o fluxograma a seguir demonstra esse caso de forma simplificada: Menos de 120 contribuições Estando DEMPREGADO Prazo permanece Prazo aumenta para 12 MESES 24 MESES Qualidade O segurado Prazo de na 2ª SITUAÇÃO 12 MESES Segurado Mais de 120 contribuições Estando DEMPREGADO Prazo aumenta para Prazo aumenta para 24 MESES 36 MESES 28. O segurado facultativo pode recolher contribuições em atraso? Depende. A filiação na qualidade de segurado facultativo representa um ato voluntário gerando efeitos somente a partir da inscrição e do primeiro recolhimento, não podendo retroagir e não sendo permitido o pagamento de contribuições relativas a competências anteriores à data da inscrição. Entretanto, após a inscrição, o segurado facultativo somente poderá recolher contribuições em atraso quando não tiver ocorrido perda da qualidade de segurado, ou seja, até 6 meses após a cessação das contribuições. 29. Durante o período de graça pode ser concedido algum benefício? Sim. Durante o período de graça, o segurado conserva os seus direitos perante a previdência social, podendo solicitar benefícios, à exceção do: auxílio-acidente. 18
  • 19.
    4. PERDA DAQUALIDADE DE SEGURADO 30. O que ocorre quando a pessoa perde a qualidade de segurado? A perda da qualidade de segurado importa na caducidade dos direitos do mesmo. Ou seja, o segurado deixa de ter direito aos benefícios previdenciários. 31. Em que data ocorre a perda da qualidade de segurado? A perda da qualidade de segurado ocorrerá no dia seguinte ao do término do prazo fixado para recolhimento da contribuição do contribuinte individual referente ao mês imediatamente posterior ao final do prazo previsto para manutenção da referida qualidade. O prazo para o recolhimento da contribuição do contribuinte individual é até o dia 15 do mês posterior ao da prestação de serviços, prorrogando-se o vencimento para o primeiro dia útil após essa data quando não houver expediente bancário no dia quinze. Vamos visualizar isso através de um exemplo: se um empregado perdeu a qualidade de segurado, em abril de 2003, a data em que será computada esta perda será o dia de vencimento para o recolhimento da competência imediatamente posterior a abril de 2003, ou seja, 16 de junho de 2003, que é o dia seguinte ao vencimento da competência de maio de 2003. Dessa forma, o segurado perde essa qualidade, na prática, em aproximadamente um mês e dezesseis dias após o esgotamento dos prazos previstos no Capítulo de Manutenção da Qualidade de Segurado, que elencamos novamente a seguir: até 12 meses após a cessação de benefícios por incapacidade ou estiver suspenso ou licenciado sem remuneração; até 12 meses após a cessação das contribuições, para o segurado que deixar de exercer atividade remunerada abrangida pela Previdência Social; até 12 meses após cessar a segregação, para o segurado acometido de doença de segregação compulsória; até 12 meses após o livramento do segurado detido ou recluso; até 3 meses após o licenciamento do segurado incorporado às Forças Armadas para prestar serviço militar; e até 6 meses após a cessação das contribuições do segurado facultativo. 32. Ocorrendo a perda da qualidade de segurado, a pessoa deixa de ter direito a receber todo e qualquer benefício? Não. A perda da qualidade de segurado não prejudica o direito à aposentadoria por tempo de contribuição, especial e por idade para a qual o segurado tenha preenchido todos os requisitos para a sua concessão, de acordo com a legislação em vigor à época. 33. No caso de morte da pessoa que perdeu a qualidade de segurado como fica a situação dos dependentes quanto à pensão? Não será concedida pensão por morte aos dependentes do segurado que falecer após a perda desta qualidade, salvo se antes do falecimento tiverem sido preenchidos todos os requisitos para obtenção de aposentadoria. Em outras palavras, 19
  • 20.
    se o falecidojá tinha cumprido os requisitos para obtenção da aposentadoria, seus dependentes fazem jus ao benefício pensão por morte. 20
  • 21.
    5. DEPENDENTES 34. Quemsão os dependentes dos segurados do RGPS? Os dependentes são beneficiários do Regime Geral de Previdência Social que dependem economicamente do segurado. Os segurados filiados ao RGPS podem ter como dependentes as seguintes pessoas elencadas na tabela a seguir: CLASSE DEPENDENTES O côn ju ge, a com p an h eira, o com p an h eiro e o filh o n ão 1ª em an cip ad o de qu alqu er con dição, m en or de vin te e u m an os ou in válido. 2ª Os p ais. O irm ão n ão em an cip ado, de qu alqu er con dição, 3ª m en or de vin te e u m an os ou in válido. 35. O dependente também pode ser segurado? Sim. Os dependentes podem, também, ser segurados, que é a situação de serem filiados ao RGPS obrigatoriamente em razão do exercício de atividade remunerada, ou facultativamente. Assim, a viúva de um segurado, que é aposentada pelo RGPS, recebe também a pensão deixada pelo marido, na condição de dependente, e o benefício da aposentadoria, na condição de segurada. 36. Quais são as prestações previdenciárias que os dependentes têm direito? Os dependentes têm direito, a dois benefícios: pensão por morte e auxílio-reclusão, bem como a dois serviços: reabilitação profissional e serviço social. 37. O segurado pode eleger dependentes em mais de uma classe? Não. A existência de dependente numa classe exclui do direito às prestações os das classes seguintes. Isso quer dizer que, tendo sido concedido um benefício aos dependentes de uma determinada classe, no caso de perda da qualidade de dependente, este benefício não é transferido para as classes subseqüentes. Os dependentes de uma mesma classe concorrem em igualdade de condições, ou seja, no caso de recebimento do benefício, este é rateado igualmente entre os participantes da classe. 38. Os dependentes da primeira classe têm que comprovar dependência econômica? Não. Existe uma diferença entre os dependentes da primeira classe, que são também denominados de preferenciais, para os das classes subseqüentes. A dependência econômica dos dependentes da 1a classe é presumida, ou seja, está implícito que eles necessitam da renda do segurado para o seu sustento, enquanto a dependência das demais classes deve ser comprovada. 21
  • 22.
    39. Os enteadospodem ser dependentes? É importante ressaltar que os enteados e o menor sob tutela podem ser equiparados a filhos, desde que sejam cumpridas algumas condições: apresentação de uma declaração escrita do segurado; comprovação de dependência econômica; não podem ter bens suficientes para o próprio sustento; e no caso do menor sob tutela, também é necessária a apresentação do Termo de Tutela. 40. Os dependentes da 2ª e da 3ª classe devem comprovar dependência econômica? Sim. 41. Como se comprova dependência econômica? Para comprovação da dependência econômica, devem ser apresentados no mínimo três dos seguintes documentos: 1) certidão de nascimento de filho havido em comum; 2) certidão de casamento religioso; 3) declaração do imposto de renda do segurado, em que conste o interessado como seu dependente; 4) disposições testamentárias; 5) anotação constante na Carteira Profissional e/ou na Carteira de Trabalho e Previdência Social, feita pelo órgão competente; 6) declaração especial feita perante tabelião; 7) prova de mesmo domicílio; 8) prova de encargos domésticos evidentes e existência de sociedade ou comunhão nos atos da vida civil; 9) procuração ou fiança reciprocamente outorgada; 10) conta bancária conjunta; 11) registro em associação de qualquer natureza, onde conste o interessado como dependente do segurado; 12) anotação constante de ficha ou livro de registro de empregados; 13) apólice de seguro da qual conste o segurado como instituidor do seguro e a pessoa interessada como sua beneficiária; 14) ficha de tratamento em instituição de assistência médica, da qual conste o segurado como responsável; 15) escritura de compra e venda de imóvel pelo segurado em nome de dependente; 16) declaração de não emancipação do dependente menor de vinte e um anos; ou 17) quaisquer outros que possam levar à convicção do fato a comprovar. 42. Quem é considerado companheiro(a) para o INSS? 22
  • 23.
    Companheira ou companheiroé considerado a pessoa que mantenha união estável com o segurado ou segurada. Por sua vez, união estável é aquela verificada entre o homem e a mulher como entidade familiar, quando forem solteiros, separados judicialmente, divorciados ou viúvos, ou tenham prole em comum, enquanto não se separarem. 43. Como posso comprovar união estável? Para comprovação da união estável e dependência econômica devem ser apresentados, no mínimo, três dos seguintes documentos: 1) declaração de Imposto de Renda do segurado, em que conste o interessado como seu dependente; 2) disposições testamentárias; 3) declaração especial feita perante tabelião (escritura pública declaratória de dependência econômica); 4) prova de mesmo domicílio; 5) prova de encargos domésticos evidentes e existência de sociedade ou comunhão nos atos da vida civil; 6) procuração ou fiança reciprocamente outorgada; 7) conta bancária conjunta; 8) registro em associação de classe, onde conste o interessado como dependente do segurado; 9) anotação constante de ficha ou livro de registro de empregados; 10) apólice de seguro da qual conste o segurado como instituidor do seguro e a pessoa interessada como sua beneficiária; 11) ficha de tratamento em instituição de assistência médica da qual conste o segurado como responsável; 12) escritura de compra e venda de imóvel pelo segurado em nome do dependente; 13) quaisquer outros documentos que possam levar à convicção do fato a comprovar. 44. O INSS reconhece a união entre homossexuais? Sim, por força de decisão judicial proferida na Ação Civil Pública no 2000.71.00.009347-0 fica reconhecido o direito à pensão por morte e ao auxílio-reclusão para o companheiro ou companheira homossexual do segurado. Dessa forma, o companheiro ou a companheira homossexual de segurado inscrito no RGPS passa a integrar o rol dos dependentes e, desde que comprovada a união estável, concorrem, para fins de pensão por morte e de auxílio-reclusão, com os dependentes preferenciais. 45. O dependente perde esta qualidade em algum momento? Sim. Normalmente, a qualidade de dependente é perdida nas seguintes situações em geral: alcance da idade máxima de 21 anos, para filho e irmão; cessação da invalidez, para o inválido; ou falecimento. Vale ressaltar que o filho e o irmão inválido perderão a qualidade de dependente ao se emanciparem, exceto se a emancipação provier de colação de grau científico em curso de ensino superior. 23
  • 24.
    46. Em quecasos o dependente pode se emancipar? O Código Civil Brasileiro estabelece que a menoridade cessa aos dezoito anos completos, ficando a pessoa habilitada à prática de todos os atos da vida civil. O Código também prevê situações, as quais listamos abaixo, em que mesmo o menor não tendo completado 18 anos estará habilitado para os atos da vida civil: concessão dos pais, ou de um deles na falta do outro, mediante instrumento público, independentemente de homologação judicial, ou por sentença do juiz, ouvido o tutor, se o menor tiver dezesseis anos completos; casamento; exercício de emprego público efetivo; pela colação de grau em curso de ensino superior; pelo estabelecimento civil ou comercial, ou pela existência de relação de emprego, desde que, em função deles, o menor com dezesseis anos completos tenha economia própria. 47. Como o cônjuge perde a qualidade de dependente? Pela anulação do casamento, pelo óbito ou pela separação judicial ou divórcio, enquanto não lhe for assegurada à prestação de alimentos. 48. Como o companheiro(a) perde a qualidade de dependente? Pelo óbito ou pela cessação da união estável com o segurado ou segurada, enquanto não lhe for garantida a prestação de alimentos. 49. O que significa receber prestação de alimentos? Quer dizer que se um segurado se separa de sua esposa ou de sua companheira e tiver a obrigação de pagar pensão alimentícia, ela continua sendo sua dependente de 1ª classe, mesmo que ele tenha se casado novamente ou tenha outra companheira. A pensão alimentícia evidencia a dependência econômica de quem a recebe. 50. Como o filho e o irmão perdem a qualidade de dependente? Ao completarem vinte e um anos de idade, salvo se inválidos, ou pela emancipação, ainda que inválido, exceto, neste caso, se a emancipação for decorrente de colação de grau científico em curso de ensino superior. O novo Código Civil Brasileiro, em vigor a partir de janeiro de 2003, estabelece que a menoridade acaba aos 18 anos de idade. Entretanto, a Casa Civil da Presidência da República emitiu nota SAJ no 42/2003 MF dispondo a favor da permanência do direito à pensão para os filhos, bem como as pessoas a eles equiparadas ou os irmãos que não se emanciparam e que, apesar de já serem maiores, não completaram a idade de vinte e um anos. O novo Código Civil, portanto, nada alterou neste aspecto a legislação previdenciária. Assim, o filho e o irmão com idade entre 18 e 21 anos, já são maiores de idade, mas mantêm a qualidade de dependentes do segurado para o RGPS. 24
  • 25.
    51. Um seguradofalece, sendo que era casado e deixou dois filhos um com 23 e o outro com 8 anos de idade. De que forma o valor da pensão de R$ 1.000,00 será distribuída entre os dependentes? A pensão no valor de R$ 1.000,00 vai ser distribuída entre seus dependentes da seguinte forma: Dependente Pensão Comentário Esposa 500,00 Esposa é dependente da 1º classe. Filho de 23 anos 0,00 Filho maior de 21 anos perde a qualidade de segurado. Filho de 8 anos 500,00 Filho menor de 21 anos é dependente da 1º classe. 52. Um segurado falece, sendo que o mesmo era solteiro e sem filhos, entretanto tinha pais vivos e irmão. De que forma o valor da pensão de R$ 500,00 será distribuída entre os dependentes? A pensão no valor de R$ 500,00 vai ser distribuída entre seus dependentes da seguinte forma: Dependente Pensão Comentário Irmão 0,00 Irmão é dependente da 3º classe e só teria direito a pensão se não houvesse dependentes das classes anteriores e provasse dependência econômica. Pai 250,00 Os pais do segurado são dependentes da 2º classe. Devem provar a dependência econômica. Mãe 250,00 Os pais do segurado são dependentes da 2º classe. Devem provar a dependência econômica. 53. Um segurado separou-se de sua esposa, com quem tem um filho de 10 anos e passou a viver com outra pessoa mediante união estável, pagando pensão alimentícia mensalmente por determinação judicial. O segurado faleceu. De que forma o valor da pensão de R$ 1.200,00 será distribuída entre os dependentes? A pensão no valor de R$ 1.200,00 vai ser distribuída entre seus dependentes da seguinte forma: Dependente Pensão Comentário Esposa 400,00 Ex-esposa, como recebia pensão alimentícia, apesar de separada não perdeu a qualidade de dependente de 1º classe. Companheira 400,00 Companheira é dependente de 1º classe, não necessitando provar sua dependência econômica. Filho 400,00 Filho menor de 21 anos é dependente de 1º classe. 25
  • 26.
    6. INSCRIÇÃO 54. Comoé feita a inscrição do trabalhador no INSS? No âmbito da previdência social a inscrição de segurado é o ato pelo qual ele é cadastrado no Regime Geral de Previdência Social, mediante comprovação dos dados pessoais e de outros elementos necessários e úteis a sua caracterização. Relativamente ao segurado já cadastrado no PIS/PASEP (Programa de Integração Social / Programa de Assistência ao Servidor Público), não deverá ser feito novo cadastro. Vejamos na tabela abaixo como cada tipo de segurado é inscrito no sistema. SEGURADO FORMA DE INSCRIÇÃO Em p regado p reen ch im en to dos docu m en tos qu e os h abilitem ao exercício da atividad e, form alizad o p elo con trato d e trabalh o. Avu lso cadastram en to e registro n o sin dicato ou órgão gestor d e m ão-d e-ob ra. Em p regado ap resen tação de docu m en to qu e com p rove a existên cia d om éstico d e con trato de trab alho. Con trib uin te ap resen tação d e docu m en to qu e caracterize a sua In d ividu al con dição ou o exercício de atividad e p rofission al, lib eral ou n ão. Segu rad o ap resen tação de docu m en to qu e com p rove o exercício d e Esp ecial ativid ad e ru ral. Facu ltativo ap resen tação d e d ocu m en to de id en tidad e e d eclaração exp ressa d e qu e n ão exerce ativid ade qu e o en qu ad re n a categoria d e segu rad o ob rigatório. 55. O INSS pode exigir outros documentos? Sim. Além dos documentos necessários à inscrição, poderá ser exigida a comprovação dos dados pessoais e de outros elementos necessários e úteis à caracterização do segurado quando da concessão do benefício. 56. Pode ocorrer inscrição após a morte do segurado? Por mais estranho que pareça, pode. Presentes os pressupostos da filiação, admite-se a inscrição post mortem do segurado especial. É o único caso em que pode ser efetuada a inscrição do segurado após a sua morte. 57. Como é feita a inscrição do dependente? A inscrição do dependente do segurado será promovida quando do requerimento do benefício a que tiver direito, mediante a apresentação dos documentos discriminados na tabela a seguir por tipo de dependente: 26
  • 27.
    DEPENDENTE DOCUMENTAÇÃO Côn ju ge Certidão d e casam en to. Filh os Certidões d e n ascim en to. Com p an h eiro (a) Docu m en to de iden tidad e. Certidão d e casam en to com averb ação d a sep aração ju d icial ou divórcio, qu an do u m dos com p an h eiros ou am bos já tiverem sido casados, ou d e ób ito, se for o caso. Equ ip arad o a Certidão ju dicial d e tu tela e, em se tratan d o d e en tead o, certidão d e casam en to d o filh o segu rado e d e n ascim en to d o d ep en d en te; Com p rovação d a dep en d ên cia econ ôm ica e d e qu e n ão p ossu i b en s su ficien tes p ara o seu próp rio su sten to e ed u cação; No caso d e falecim en to d o segu rado, a in scrição será feita m ed ian te a com p rovação d a equ ip aração p or docu m en to escrito d o segu rad o falecid o m an ifestan d o essa in ten ção, d a d ep en d ên cia econ ôm ica e da declaração d e qu e n ão ten h a sid o em an cip ado. Pais Certidão d e n ascim en to d o segu rad o. Docu m en to de iden tidad e. Irm ão Certidão d e n ascim en to. Nota 1: No caso de dependente inválido, para fins de inscrição e concessão de benefício, a invalidez será comprovada mediante exame médico-pericial a cargo do Instituto Nacional do Seguro Social. Nota 2: No ato de inscrição, o dependente menor de vinte e um anos deverá apresentar declaração de não emancipação. Nota 3: Os pais ou irmãos deverão, para fins de concessão de benefícios, comprovar a inexistência de dependentes preferenciais, mediante declaração firmada perante o Instituto Nacional do Seguro Social, além de comprovar a dependência econômica. 27
  • 28.
    7. CARÊNCIA 58. Oque é carência? Para que o segurado tenha direito a benefícios previdenciários é necessário ter efetuado o pagamento de um determinado número de contribuições mensais. Essa quantidade de contribuições imprescindível à obtenção de um dado benefício denomina-se período de carência. 59. Todos os benefícios têm a mesma carência? Não. O período de carência varia a depender do benefício pleiteado, além disso, existem casos de benefícios isentos de carência, os quais podem ser gozados desde a filiação do segurado. 60. Cada benefício tem seu período de carência específico? Sim. O período de carência varia a depender do benefício a ser requerido e, no caso do salário-maternidade, depende ainda, do tipo de segurado, conforme podemos visualizar na tabela a seguir: BENEFÍCIO CARÊNCIA Auxílio-doença (com um ) 12 con tribu ições Aposen tadoria por in validez (com u m ) 12 con tribu ições Aposen tadoria por idade 180 con tribuições Aposen tadoria por tem po de con tribuição 180 con tribuições Aposen tadoria especial 180 con tribuições Salário-m atern idade para: 10 con tribu ições Con tribuin te In dividual Em caso de p arto antecipado, o Segu rada especial período de carên cia será reduzido em n úm ero de con tribuições Facu ltativa equ ivalen te ao n úm ero de m eses em qu e o p arto foi antecip ado. i. 61. Existem benefícios que independem de carência? Sim. Os benefícios a seguir independem de carência para a sua concessão: Auxílio-acidente Auxílio-reclusão Salário-família Pensão por morte Salário-maternidade das seguradas empregada, doméstica e trabalhadora avulsa 28
  • 29.
    Auxílio-doença (acidentário) Aposentadoria por invalidez (acidentária) Reabilitação Profissional Serviço Social Independem de carência o auxílio-doença e a aposentadoria por invalidez nos casos de acidente de qualquer natureza ou causa, bem como no caso do segurado que, após filiar-se ao Regime Geral de Previdência Social, for acometido de alguma das doenças ou afecções especificadas em lista elaborada pelos Ministérios da Saúde e da Previdência a cada três anos, de acordo com os critérios de estigma, deformação, mutilação, deficiência ou outro fator que lhe confira especificidade e gravidade que mereçam tratamento particularizado. 62. Se o segurado implementou todas as condições necessárias para a concessão do benefício e após esse fato houve alteração da legislação quanto ao prazo de carência do mesmo, como fica? Não importa, o segurado não será prejudicado, se a luz da legislação vigente à época ele implementou as condições para a obtenção de aposentadoria especial, por exemplo, e, posteriormente, ocorreram mudanças na legislação modificando a carência exigida para este benefício, seu benefício estará garantido. O direito ao benefício não seria afetado, ainda que após o cumprimento da carência, tivesse ocorrido a perda da qualidade de segurado. 63. Havendo perda da qualidade de segurado tem alguma forma de aproveitar as contribuições pagas antes deste fato? Sim. Havendo perda da qualidade de segurado, as contribuições anteriores a esse fato somente serão computadas depois que o segurado contar a partir da data da nova filiação ao RGPS com, no mínimo, um terço do número de contribuições exigidas para o cumprimento da carência. Assim, se o segurado recolheu dez contribuições mensais, antes de ter perdido a qualidade de segurado, ao filiar-se novamente ao RGPS, caso necessite de um auxílio-doença comum, somente após o recolhimento de quatro contribuições (um terço de doze), poderão ser aproveitadas as dez anteriores, dessa forma, o segurado contará com 14 contribuições e fará jus ao benefício de auxílio-doença comum que exige apenas 12 contribuições para efeito de carência. 29
  • 30.
    8. SALÁRIO- DE-BENEFÍCIO 64. Como é calculado o valor dos benefícios? Antes de calcular o valor dos benefícios deve-se calcular o chamado salário-de-benefício que é o valor base utilizado para cálculo da renda mensal dos benefícios de prestação continuada. 65. Quer dizer que o salário-de-benefício não é o valor do benefício? É isso mesmo. O salário-de-benefício é a base para o cálculo do valor do benefício. Veremos adiante, como é feito esse cálculo, benefício por benefício. 66. Esta base, chamada salário-de-benefício, é utilizada para calcular a renda mensal de todos os benefícios? Não. Os benefícios salário-família e salário-maternidade não utilizam esta base para o cálculo do valor de sua renda mensal. 67. Quais os benefícios que utilizam o salário-de-benefício como base para o cálculo da renda mensal? Aposentadoria por idade Aposentadoria por tempo de contribuição Aposentadoria especial Aposentadoria por invalidez Auxílio-doença Auxílio-acidente Auxílio-reclusão Pensão por morte 68. Como é feito o cálculo do salário-de-benefício? A tabela a seguir demonstra de que forma se obtém o valor do salário-de-benefício: BENEFÍCIO CÁLCULO SALÁRIO-DE-BENEFÍCIO Aposentadoria por idade Média aritmética simples dos maiores salários-de-contribuição Aposentadoria por tempo de contribuição correspondentes a oitenta por cento (80%) de todo o período contributivo, multiplicada pelo fator previdenciário. 30
  • 31.
    Nota: O seguradocom direito à aposentadoria por idade poderá optar ou não pela aplicação do fator previdenciário no cálculo de sua aposentadoria. Aposentadoria por invalidez Média aritmética simples dos maiores salários-de-contribuição Aposentadoria especial correspondentes a oitenta por cento (80%) de todo o período contributivo. Auxílio-doença Auxílio-acidente Aposentadoria por invalidez No caso do segurado contar com menos de 144 contribuições Auxílio-doença mensais, o salário-de-benefício equivalerá à soma dos salários-de- contribuição de todo período contributivo dividido pelo número de contribuições. O valor mensal da pensão por morte e do auxílio-reclusão será de cem por cento do valor da aposentadoria que o segurado recebia ou daquela a que teria direito se estivesse aposentado por invalidez na data de seu falecimento. Dessa forma serão utilizados os cálculos da tabela anterior, a depender da aposentadoria a que o segurado tinha direito. 69. O salário-de-benefício tem algum valor limite? O valor do salário-de-benefício está sujeito a limites mínimo e máximo, sendo que o limite mínimo é o valor do salário- mínimo e o limite máximo é estabelecido mediante Portaria do Ministério da Previdência Social. Atualmente o valor do limite máximo é de R$ 2.894,28 (Valor atualizado pela Portaria MPS n.º 142/2007). 70. No cálculo do salário-de-benefício entra o 13º salário? Não. O segurado empregado e trabalhador avulso contribuem sobre a remuneração do décimo terceiro salário. Entretanto, essa contribuição não é considerada para o cálculo do salário-de-benefício. 31
  • 32.
    9. FATOR PREVIDENCIÁRIO 71.O que é fator previdenciário? Fator previdenciário é uma variável que leva em conta a idade, a expectativa de sobrevida e o tempo de contribuição do segurado ao se aposentar. 72. Para que serve o fator previdenciário? Explicando de forma simples, o fator previdenciário foi uma forma encontrada para retardar os pedidos de aposentadorias, pois, quanto mais cedo o segurado requerer sua aposentadoria menor será o seu valor. 73. O fator previdenciário é utilizado para cálculo de todos os benefícios ? Não. 74. Para quais benefícios o fator previdenciário é utilizado? O fator previdenciário é utilizado para o cálculo do salário-de-benefício dos seguintes benefícios de prestação continuada: Aposentadoria por idade (facultativamente) Aposentadoria por tempo de contribuição (obrigatoriamente) 75. De que forma é efetuado o cálculo do fator previdenciário? Como mencionamos anteriormente, o fator previdenciário será calculado mediante a fórmula abaixo, considerando-se a idade do segurado, o tempo que ele contribuiu para a Previdência Social e sua expectativa de sobrevida, que corresponde ao tempo estimado de vida do segurado no momento em que ele se aposenta. onde: f = fator previdenciário; Es = expectativa de sobrevida no momento da aposentadoria; Tc = tempo de contribuição até o momento da aposentadoria; Id = idade no momento da aposentadoria; e a = alíquota de contribuição correspondente a 0,31. 76. Onde encontrar o valor da sobrevida do segurado? 32
  • 33.
    A expectativa desobrevida do segurado na idade da aposentadoria será obtida a partir da tábua completa de mortalidade construída pela Fundação Instituto Brasileiro de Geografia e Estatística (IBGE), para toda a população brasileira, considerando-se a média nacional única para ambos os sexos. Publicada a tábua de mortalidade, os benefícios previdenciários requeridos a partir dessa data considerarão a nova expectativa de sobrevida. 77. Existe algum ajuste no fator previdenciário relativamente a algum segurado? Sim. Serão adicionados ao tempo de contribuição: 5 anos, quando se tratar de mulher; 5 anos e 10 anos, quando se tratar, respectivamente, de professor e professora que comprovem exclusivamente tempo de efetivo exercício das funções de magistério na educação infantil e no ensino fundamental e médio. 33
  • 34.
    10. RENDA MENSALDE BENEFÍCIO 78. O valor dos benefícios obedece a algum limite? Sim. A renda mensal do benefício de prestação continuada que substituir o salário-de-contribuição ou o rendimento do trabalho do segurado está sujeita aos seguintes limites: LIMITE MÍNIMO SALÁRIO MÍNIMO RENDA MENSAL DO BENEFÍCIO LIMITE MÁXIMO LIMITE MÁXIMO DO SALÁRIO-DE-CONTRIBUIÇÃO O valor do limite máximo do salário-de-contribuição será publicado mediante portaria do Ministério da Previdência Social, sempre que ocorrer alteração do valor dos benefícios. Atualmente esse valor é de R$ 2.894,28 (Valor atualizado pela Portaria MPS n.º 142/2007). 79. Há alguma exceção quanto ao limite máximo? Sim. O valor da aposentadoria por invalidez do segurado que necessitar da assistência permanente de outra pessoa será acrescido de vinte e cinco por cento, podendo superar o limite máximo do salário-de-contribuição. Existe, também, uma outra exceção, que é o salário-maternidade, este caso será explicado na resposta da pergunta a seguir. 80. E o salário-maternidade obedece ao limite máximo? O valor do salário-maternidade da segurada empregada e da trabalhadora avulsa não obedece ao limite máximo do salário-de-contribuição. Entretanto, o artigo 248 da nossa Carta Magna impõe que os benefícios pagos, a qualquer título, pelo órgão responsável pelo Regime Geral de Previdência Social não ultrapassem o valor do subsídio mensal do Ministro do Supremo Tribunal Federal. O salário-maternidade das demais seguradas: empregada doméstica, contribuinte individual, facultativa e segurada especial, está sujeito ao limite máximo estabelecido. 81. Há alguma exceção quanto ao limite mínimo? O limite mínimo dos benefícios por determinação constitucional deve ser o valor do salário-mínimo vigente. Entretanto, aplica-se esta regra para o valor dos benefícios que substituam a remuneração do segurado. No rol dos benefícios previdenciários existem aqueles que não substituem a remuneração dos segurados e que, portanto podem ser menores que o salário-mínimo. Os benefícios que podem ser menores que o limite mínimo são: o salário- família e o auxílio-acidente. Há também um caso específico relativo ao auxílio-doença que poderá ser inferior ao limite mínimo, desde que somado com outras remunerações do segurado resulte num valor igual ou superior ao salário-mínimo. 82. Afinal como é feito o cálculo da renda mensal dos benefícios? 34
  • 35.
    A renda mensaldo benefício de prestação continuada será calculada aplicando-se sobre o salário-de-benefício os seguintes percentuais: BENEFÍCIO RENDA MENSAL DO BENEFÍCIO Au xílio-doen ça 91% d o salário-d e-ben efício Ap osen tadoria In validez, Ap osen tad oria 100% d o salário-d e-ben efício Esp ecial, Ap osen tadoria p or tem p o de con tribu ição (in tegral) Ap osen tadoria p or idade 70% SB + 1% p or gru p o de 12 con tribu ições m en sais até o lim ite de 100% SB Ap osen tadoria p or tem p o de con trib u ição 70% SB + 5% p or gru p o de 12 con tribu ições (p rop orcion al) até o lim ite de 100% SB * válida som en te p ara àqu eles in scritos até 16.12.1998 Au xílio-aciden te 50% d o salário-d e-ben efício i. 83. Na tabela acima, não estão incluídos: o salário-família, a pensão por morte e o auxílio-reclusão. Esses benefícios têm uma forma diferente de cálculo? É isso mesmo. O valor mensal da pensão por morte e do auxílio-reclusão será de cem por cento do valor da aposentadoria que o segurado recebia ou daquela a que teria direito se estivesse aposentado por invalidez na data de seu falecimento, dessa forma serão utilizados os cálculos da tabela anterior, a depender da aposentadoria a que o segurado tinha direito. Já o salário-família será de R$ 23,08 para o segurado que receba remuneração até R$ 449,93 e de R$ 16,26 para os que recebem entre R$ 449,94 e R$ 676,27 por filho ou equiparado. 84. O valor do benefício é reajustado? Sim. É assegurado pela Constituição Federal o reajustamento dos benefícios para preservar-lhes, em caráter permanente, o valor real da data de sua concessão. Os valores dos benefícios em manutenção serão reajustados, de acordo com suas respectivas datas de início, com base na variação integral do índice definido em lei para essa finalidade, desde a data de concessão do benefício ou do seu último reajustamento. 85. O índice de reajustamento já foi definido? Já. O índice utilizado para reajustamento dos benefícios é o INPC. 35
  • 36.
    11. APOSENTADORIA PORINVALIDEZ 86. Em que condições é devido o benefício aposentadoria por invalidez? A aposentadoria por invalidez será devida ao segurado que, estando ou não em gozo de auxílio-doença, for considerado incapaz para retornar ao trabalho, com chances remotas de reabilitação para o exercício de atividade que lhe garanta a subsistência. A concessão da aposentadoria por invalidez está condicionada ao afastamento de todas as atividades. Esse benefício será pago enquanto o segurado permanecer nessa condição. 87. Quais segurados têm direito a esse benefício? Todos os segurados: empregado; empregado doméstico; contribuinte individual; trabalhador avulso; segurado especial; e facultativo. 88. Qual a carência exigida ? Depende, existem duas situações: Aposentadoria por invalidez acidentária: não é exigida carência nos casos de acidente de qualquer natureza ou causa, bem como no caso do segurado que, após filiar-se ao Regime Geral de Previdência Social, for acometido de alguma das doenças ou afecções especificadas em lista elaborada pelos Ministérios da Saúde e da Previdência Social a cada três anos, de acordo com os critérios de estigma, deformação, mutilação, deficiência ou outro fator que lhe confira especificidade e gravidade que mereçam tratamento particularizado. Aposentadoria por invalidez comum: Doze meses de contribuição quando a inabilitação para o exercício de atividade não for decorrente de acidente ou das doenças especificadas anteriormente. Caso ocorra a perda da qualidade de segurado será necessário contribuir com um terço da carência, o que corresponde, no caso da aposentadoria por invalidez comum a 4 contribuições, a fim de que sejam aproveitadas e computadas as contribuições referentes ao período anterior àquela perda. 89. Em que momento é verificada a incapacidade do segurado ? No momento do exame médico-pericial realizado pela Previdência Social. O segurado, desde que arque com as despesas, pode ser acompanhado por médico de sua confiança. 90. E se o segurado já era portador de uma doença antes de filiar-se ao RGPS? A doença ou lesão de que o segurado já era portador não lhe conferirá direito à aposentadoria por invalidez, exceto quando a incapacidade for decorrente de progressão ou agravamento dessa doença ou lesão. 36
  • 37.
    91. Qual arenda mensal do benefício ? O valor da renda mensal do benefício corresponderá a 100% do salário-de-benefício. 92. Como é feito o cálculo do valor do salário-de-benefício ? Para os inscritos até 28/11/99: é a média aritmética simples dos maiores salários de contribuição correspondentes a, no mínimo, 80% de todo o período contributivo, a partir do mês 07/94. Para os inscritos a partir de 29/11/99: é a média aritmética simples dos maiores salários de contribuição correspondentes a 80% de todo o período contributivo. Para o segurado que contar com menos de 144 contribuições mensais: o salário-de-benefício equivalerá à soma dos salários-de-contribuição de todo período contributivo dividido pelo número de contribuições. Para o segurado especial: desde que não tenha optado por contribuir na condição de contribuinte individual, o valor deste benefício será de um salário mínimo. Aposentadoria por invalidez precedida do auxílio-doença: corresponderá a 100% do salário-de-benefício que serviu de base para o cálculo da renda mensal inicial do auxílio-doença. Ou seja, o auxílio-doença é transformado em aposentadoria por invalidez. Aposentadoria por invalidez precedida do auxílio-acidente: O valor mensal do auxílio-acidente deverá ser somado ao salário-de-contribuição antes da aplicação da correção, não podendo superar o limite máximo do salário-de-contribuição. 93. E se o segurado precisar da assistência permanente de outra pessoa ? Nesse caso, a renda mensal será acrescida de 25%, mesmo que o segurado já receba o valor do benefício no limite máximo do salário-de-contribuição e terá corrigido o seu valor sempre que os benefícios forem reajustados. Vale ressaltar que esse acréscimo cessará com a morte do segurado, não sendo incorporado ao valor da pensão por morte deixada aos dependentes. 94. Em quais casos o INSS admite a necessidade de assistência de outra pessoa? Nas situações elencadas a seguir que constam no Anexo I do Regulamento da Previdência Social: cegueira total perder nove dedos das mãos ou quantidade superior a esta paralisia dos dois membros superiores ou inferiores perda dos membros inferiores, acima dos pés, quando a prótese for impossível perda de uma das mãos e de dois pés, ainda que a prótese seja possível perda de um membro superior e outro inferior, quando a prótese for impossível alteração das faculdades mentais com grave perturbação da vida orgânica e social doença que exija permanência contínua no leito incapacidade permanente para as atividades da vida diária 95. Quando se inicia o pagamento do benefício? Para o segurado empregado: a partir do 16º dia do afastamento da atividade ou a partir da data da entrada do requerimento, se entre o afastamento e a entrada do requerimento decorrerem mais de trinta dias. Durante 37
  • 38.
    os primeiros quinzedias de afastamento consecutivos da atividade por motivo de invalidez, caberá à empresa pagar ao segurado empregado o salário. Para o segurado empregado doméstico, contribuinte individual, trabalhador avulso, especial ou facultativo: a partir da data do início da incapacidade ou da data da entrada do requerimento, se entre essas datas decorrerem mais de trinta dias. Para o segurado que se encontrar em gozo de auxílio-doença: a partir do dia imediato ao da cessação do auxílio-doença. 96. Quais as obrigações do segurado que recebe o benefício da aposentadoria por invalidez? O segurado aposentado por invalidez está obrigado, a qualquer tempo, independentemente de sua idade e sob pena de suspensão do benefício, a submeter-se a exame médico a cargo da previdência social, processo de reabilitação profissional por ela prescrito e custeado e tratamento dispensado gratuitamente, exceto o cirúrgico e a transfusão de sangue, que são facultativos. Além disso, está obrigado, sob a mesma pena, a submeter-se a exames médico-periciais, pois a Perícia Médica do INSS deverá rever o benefício de aposentadoria por invalidez, inclusive o decorrente de acidente do trabalho, a cada dois anos, contados da data de seu início, para avaliar a persistência, atenuação ou o agravamento da incapacidade para o trabalho, alegada como causa de sua concessão. 97. E se houver a recuperação da capacidade para o trabalho? O aposentado por invalidez que se julgar apto a retornar à atividade deverá solicitar a realização de nova avaliação médico-pericial. Se a perícia médica do Instituto Nacional do Seguro Social concluir pela recuperação da capacidade laborativa, a aposentadoria será cancelada. O efeito desse cancelamento poderá ser imediato ou não, dependendo dos seguintes fatores: se a recuperação for total ou parcial, se ocorreu num prazo maior ou menor do que 5 anos ou ainda se o segurado foi declarado apto para exercer atividade diferente da que exercia. Quando a recuperação for total e ocorrer dentro de 5 anos contados da data do início da aposentadoria por invalidez ou do auxílio-doença que a antecedeu sem interrupção, o beneficio cessará: a) de imediato, para o segurado empregado que tiver direito a retornar à função que desempenhava na empresa ao se aposentar, na forma da legislação trabalhista, valendo como documento, para tal fim, o certificado de capacidade fornecido pela previdência social; ou b) após tantos meses quantos forem os anos de duração do auxílio-doença e da aposentadoria por invalidez, para os demais segurados. Quando a recuperação for parcial ou ocorrer após o período de 5 anos, ou ainda quando o segurado for declarado apto para o exercício de trabalho diverso do qual habitualmente exercia, a aposentadoria será mantida, sem prejuízo da volta à atividade: a) pelo seu valor integral, durante 6 meses contados da data em que for verificada a recuperação da capacidade; b) com redução de 50%, no período seguinte de 6 meses; e c) com redução de 75%, também por igual período de 6 meses, ao término do qual cessará definitivamente. 38
  • 39.
    RESUMO RECUPERAÇÃO DA CAPACIDADE PARA O TRABALHO TOTAL, dentro de 5 anos da data PARCIAL, ou ocorrer após o do início da aposentadoria por período de 5 anos, ou quando o invalidez ou do auxílio- doença que segurado for declarado apto para o a antecedeu sem interrupção. exercício de trabalho diverso. Cessa o benefício Benefício mantido De imediato, para o segurado 100% do benefício - durante 6 empregado que tiver direito a meses da data da recuperação da retornar à função que desem- capacidade penhava na empresa. 50% do benefício no período Após tantos meses quantos seguinte de 6 meses forem os anos de duração do auxílio-doença e da aposentadoria por invalidez, para os demais 25% do benefício por mais um segurados. período de 6 meses. 98. Se o segurado retornar voluntariamente ao trabalho sem requisitar perícia médica ? Terá sua aposentadoria automaticamente cessada, a partir da data do retorno. Além disso, os valores recebidos indevidamente pelo segurado aposentado por invalidez que retornar à atividade voluntariamente, deverão ser devolvidos ao INSS. Após o cancelamento da aposentadoria por invalidez, em razão do retorno voluntário à atividade, não caberá reavaliação médico-pericial do segurado. 39
  • 40.
    12. APOSENTADORIA PORIDADE 99. Em que condições é devido o benefício aposentadoria por idade? A aposentadoria por idade será devida ao segurado que completar 65 anos de idade, se homem, ou 60, se mulher. A idade fica reduzida em 5 anos para trabalhadores rurais e garimpeiros, ou seja, 60 anos, se homem e 55 anos, se mulher. 100. Quais segurados têm direito a aposentadoria por idade? Todos os segurados: empregado; empregado doméstico; contribuinte individual; trabalhador avulso; segurado especial; e facultativo. 101. Qual a carência exigida ? São exigidos 180 meses de contribuição. Entretanto, é importante mencionar que a perda da qualidade de segurado não consistirá num impedimento para a concessão da aposentadoria por idade, desde que o segurado conte com, no mínimo, o número de contribuições mensais exigido para efeito de carência antes de ocorrer a perda da qualidade de segurado. Isso significa dizer que não será necessário o segurado contribuir adicionalmente com um terço da carência, o que corresponde, no caso da aposentadoria por idade, a 60 contribuições, a fim de que seja computado o período anterior à perda da qualidade de segurado. 102. Quais documentos são necessários para que o segurado comprove a idade? A comprovação da idade do segurado será feita por um dos seguintes documentos: a) Carteira de Identidade, Título Eleitoral, Certificado de Reservista, ou qualquer outro documento emitido com base no Registro Civil de Nascimento ou Casamento, desde que constem os dados do registro de nascimento ou casamento e não deixe dúvida quanto a sua validade para essa prova. b) Título Declaratório de Nacionalidade Brasileira, se segurado naturalizado, Certificado de Reservista, Título de Eleitor e Carteira ou Cédula de Identidade Policial; A prova de idade dos segurados estrangeiros será feita por certidão de nascimento, certidão de casamento, passaporte, certificado ou guia de inscrição consular ou certidão de desembarque, devidamente autenticados ou, ainda, pela carteira de identidade de estrangeiro tirada na época do desembarque. Se os documentos expedidos estiverem em idioma estrangeiro devem ser acompanhados da respectiva tradução, efetuada por tradutor público juramentado. 103. Qual a renda mensal do benefício? O valor da renda mensal do benefício corresponderá a 70% do salário-de-benefício, mais 1% deste por grupo de doze contribuições mensais, até o máximo de 100% do salário-de-benefício. 40
  • 41.
    104. É obrigatóriaa utilização do fator previdenciário quando do cálculo da renda mensal do benefício? Não. É facultativa a aplicação do fator previdenciário para o cálculo da renda mensal da aposentadoria por idade. Só será aplicado o fator se for mais vantajoso para o segurado. 105. Como é feito o cálculo do valor do salário-de-benefício? O valor do salário-de-benefício da aposentadoria por idade é a média aritmética simples dos maiores salários- de-contribuição correspondente a 80% de todo período contributivo multiplicado pelo fator previdenciário, facultativamente. Para os filiados até 28/11/1999 no Regime Geral da Previdência Social, serão considerados 80% dos maiores salários-de-contribuição a partir de julho/94. Aposentadoria por idade precedida do auxílio-acidente: O valor mensal do auxílio-acidente deverá ser somado ao salário-de-contribuição antes da aplicação da correção, não podendo superar o limite máximo do salário-de- contribuição. 106. Quando se inicia o pagamento do benefício? Para o segurado empregado, inclusive o doméstico: a) a partir da data do desligamento do emprego, quando requerida até 90 dias depois dela; ou b) a partir da data do requerimento, quando não houver desligamento do emprego ou quando for requerida após o prazo de 90 dias mencionado anteriormente. Para os demais segurados: a partir da data da entrada do requerimento. 107. Existe aposentadoria obrigatória em função da idade? Sim, para o segurado empregado, quando este completar 70 anos de idade, se do sexo masculino, ou 65 anos, se do sexo feminino e desde que o mesmo tenha cumprido a carência. Observadas essas exigências, a empresa poderá requerer o benefício. É considerada como data da rescisão do contrato de trabalho a imediatamente anterior à do início da aposentadoria cabendo indenização prevista na legislação trabalhista 108. A aposentadoria por idade pode ser decorrente da transformação de outro benefício? Sim. A aposentadoria por idade poderá ser decorrente da transformação de aposentadoria por invalidez ou auxílio- doença, desde que requerida pelo segurado, observado o cumprimento da carência exigida na data de início do benefício a ser transformado e o alcance da idade necessária. 41
  • 42.
    13. APOSENTADORIA PORTEMPO DE CONTRI BUI ÇÃO 109. Em que condição é devido o benefício aposentadoria por tempo de contribuição? É o benefício pago aos segurados, homem e mulher, que completarem 35 e 30 anos de contribuição, respectivamente, para o RGPS, sem limite mínimo de idade. 110. Quer dizer que não tem limite de idade para este benefício? É isso mesmo. Muita gente confunde. Para aposentar-se por tempo de contribuição, não é exigido idade mínima. 111. Quem tem direito a esse benefício? Todos os segurados: empregado; empregado doméstico; contribuinte individual; trabalhador avulso; facultativo; e segurado especial, este último desde que tenha contribuído como contribuinte individual. 112. Qual a carência exigida? A carência exigida é de 180 meses de contribuição. Entretanto, é importante mencionar que a perda da qualidade de segurado não consistirá num impedimento para a concessão da aposentadoria por tempo de contribuição, desde que o segurado conte com, no mínimo, o número de contribuições mensais exigido para efeito de carência antes de ocorrer a perda da qualidade de segurado. Isso significa dizer que não será necessário o segurado contribuir adicionalmente com um terço da carência, o que corresponde, no caso da aposentadoria por tempo de contribuição, a 60 contribuições, a fim de que seja computado o período anterior à perda da qualidade de segurado. Após a publicação da Emenda Constitucional n.º 20, 16.12.1998, é exigido do segurado homem 35 anos de contribuição e da segurada mulher 30 anos de contribuições mensais, para terem direito ao benefício da aposentadoria por tempo de contribuição. Um dos requisitos a serem preenchidos é o da carência, além disso, o segurado deverá contar com 420 contribuições mensais para o homem e de 360 contribuições para a mulher. 113. Qual a renda mensal do benefício? A aposentadoria por tempo de contribuição consiste numa renda mensal correspondente a 100% do salário-de-benefício aos 35 anos de contribuição, se homem, e aos 30 anos de contribuição, se mulher. 42
  • 43.
    114. Como éfeito o cálculo do valor do salário-de-benefício? O valor do salário-de-benefício da aposentadoria por tempo de contribuição será a média aritmética simples dos maiores salários-de-contribuição correspondente a 80% de todo período contributivo multiplicado pelo fator previdenciário. Para os inscritos até 28/11/199 o período contributivo considerado será a partir de julho/1994. Observe que a utilização do fator previdenciário é obrigatória para este benefício. Aposentadoria por tempo de contribuição precedida do auxílio-acidente: O valor mensal do auxílio-acidente deverá ser somado ao salário-de-contribuição antes da aplicação da correção, não podendo superar o limite máximo do salário- de-contribuição. 115. Quando se inicia o pagamento do benefício? Para o segurado empregado, inclusive o doméstico: a) a partir da data do desligamento do emprego, quando requerida até noventa dias depois dela ; ou b) a partir da data do requerimento, quando não houver desligamento do emprego ou quando for requerida após o prazo de 90 dias. Para os demais segurados, a partir da data da entrada do requerimento. 116. Aposentadoria por tempo de serviço é a mesma coisa que aposentadoria por tempo de contribuição? A aposentadoria por tempo de serviço foi extinta após a Emenda Constitucional no 20, de 15 de dezembro de 1998, tendo sido substituída pela aposentadoria por tempo de contribuição. Porém, para pessoas já filiadas ao RGPS até esta data, o tempo de serviço será contado como tempo de contribuição. O que acontecia antes era que o segurado comprovava o tempo de serviço sem, no entanto, comprovar a correspondente contribuição. Como após a Emenda Constitucional no 20 de 15 de dezembro de 1998 o regime passou obrigatoriamente a ter caráter contributivo, não existe mais essa possibilidade para os inscritos após a publicação da referida emenda. 117. Ainda existe aposentadoria proporcional? Não. A Emenda Constitucional no 20/1998, extinguiu a aposentadoria proporcional para os segurados filiados após 16 de dezembro de 1998. 118. Para os professores as regras são as mesmas? Não. O professor que comprove, exclusivamente, tempo de efetivo exercício em função de magistério na educação infantil, no ensino fundamental ou no ensino médio poderá se aposentar por tempo de contribuição aos 30 anos de contribuição, se homem, ou aos 25 anos de contribuição, se mulher. 119. Como é feita a comprovação de que o segurado é professor? 43
  • 44.
    A comprovação dacondição de professor far-se-á mediante a apresentação dos seguintes documentos: respectivo diploma registrado nos órgãos competentes federais e estaduais, ou de qualquer outro documento que comprove a habilitação para o exercício do magistério; e registros em Carteira Profissional e/ou Carteira de Trabalho e Previdência Social complementados, quando for o caso, por declaração do estabelecimento de ensino onde foi exercida a atividade, sempre que necessária essa informação, para efeito de caracterização do efetivo exercício da função de magistério e que a atividade docente do professor tenha sido exercida exclusivamente em sala de aula. 120. É possível converter tempo de serviço de magistério em tempo de serviço de atividade comum? Não é permitido. 121. Como fazer prova do tempo de contribuição? A prova do tempo de contribuição é feita mediante documentos que comprovem o exercício de atividade nos correspondentes períodos a serem considerados. Esses documentos devem ser contemporâneos aos fatos que se pretende comprovar e neles devem constar as datas de início e término da prestação do serviço, além disso, quando se tratar de trabalhador avulso, a duração do trabalho e a condição em que foi prestado. Podem ser utilizados como prova os seguintes documentos: contrato individual de trabalho; anotações na Carteira Profissional e/ou a Carteira de Trabalho e Previdência Social, a carteira sanitária, a caderneta de matrícula e a caderneta de contribuições dos extintos institutos de aposentadoria e pensões, a caderneta de inscrição pessoal visada pela Capitania dos Portos, pela Superintendência do Desenvolvimento da Pesca, pelo Departamento Nacional de Obras Contra as Secas e declarações da Receita Federal; certidão de inscrição em órgão de fiscalização profissional, acompanhada do documento que prove o exercício da atividade; contrato social e respectivo distrato, quando for o caso, ata de assembléia geral e registro de firma individual; contrato de arrendamento, parceria ou comodato rural; certificado de sindicato ou órgão gestor de mão-de-obra que agrupa trabalhadores avulsos; comprovante de cadastro do Instituto Nacional de Colonização e Reforma Agrária, no caso de produtores em regime de economia familiar; bloco de notas do produtor rural; ou declaração de sindicato de trabalhadores rurais ou colônia de pescadores, desde que homologada pelo Instituto Nacional do Seguro Social. Na falta de documento contemporâneo podem ser aceitos declaração do empregador ou seu preposto, atestado de empresa ainda existente, certificado ou certidão de entidade oficial, desde que extraídos de registros efetivamente existentes e acessíveis à fiscalização do Instituto Nacional do Seguro Social. 44
  • 45.
    122. Qual aimportância da carteira de trabalho? Muito grande. A anotação na Carteira Profissional ou na Carteira de Trabalho e Previdência Social vale para todos os efeitos como prova de filiação à Previdência Social, relação de emprego, tempo de serviço ou de contribuição e salários- de-contribuição e, quando for o caso, relação de emprego, podendo, em caso de dúvida, ser exigida pelo Instituto Nacional do Seguro Social a apresentação dos documentos que serviram de base à anotação. As anotações em Carteira Profissional e/ou Carteira de Trabalho e Previdência Social relativas a férias, alterações de salários e outras que demonstrem a seqüência do exercício da atividade podem suprir possível falha de registro de admissão ou dispensa. 123. É permitido somar os tempos de contribuição provenientes de regimes diferentes? Sim. Para efeito de aposentadoria, é assegurada a contagem recíproca do tempo de contribuição na administração pública e na atividade privada, rural e urbana, hipótese em que os diversos regimes de previdência social se compensarão financeiramente, segundo critérios estabelecidos em lei. A compensação financeira será feita ao sistema a que o interessado estiver vinculado quando requerer o benefício pelos demais sistemas, em relação aos respectivos tempos de contribuição ou de serviço. 124. Existe alguma regra a ser observada na contagem do tempo de contribuição? Sim. Basicamente existem três regras: 1. não será admitida a contagem em dobro ou em outras condições especiais; 2. é vedada a contagem de tempo de contribuição no serviço público com o de contribuição na atividade privada, quando concomitantes; 4. o tempo de contribuição já utilizado para a concessão de aposentadoria de qualquer regime previdenciário não poderá ser utilizado novamente para a concessão de outra aposentadoria. 45
  • 46.
    14. APOSENTADORIA ESPECIAL 125.Em que condições é devido o benefício aposentadoria especial? A aposentadoria especial será devida ao segurado que tenha trabalhado durante quinze, vinte ou vinte e cinco anos, conforme o caso, sujeito a condições especiais que prejudiquem a saúde ou a integridade física. A concessão do benefício dependerá de comprovação pelo segurado, perante o Instituto Nacional do Seguro Social, do tempo de trabalho permanente, não ocasional, nem intermitente, exercido em condições especiais que prejudiquem a saúde ou a integridade física, durante o período mínimo exigido, conforme a atividade de trabalho. 126. Quais os segurados que têm direito a esse benefício? o empregado; o trabalhador avulso; e o contribuinte individual, este somente quando cooperado filiado a cooperativa de trabalho ou de produção. 127. Qual a carência exigida? 180 meses de contribuição. Entretanto, é importante mencionar que a perda da qualidade de segurado não consistirá num impedimento para a concessão da aposentadoria especial, desde que o segurado conte com, no mínimo, o número de contribuições mensais exigido para efeito de carência. Isso significa dizer que não será necessário o segurado contribuir adicionalmente com um terço da carência, o que corresponde, no caso da aposentadoria especial, a 60 contribuições, a fim de que seja computado o período anterior à perda da qualidade de segurado. 128. Qual a renda mensal do benefício? O valor da renda mensal do benefício corresponderá a 100% do salário-de-benefício. 129. É utilizado o fator previdenciário quando do cálculo da renda mensal do benefício? Não. 130. Como é feito o cálculo do valor do salário-de-benefício? O valor do salário-de-benefício da aposentadoria especial será a média aritmética simples dos maiores salários-de- contribuição correspondente a 80% de todo período contributivo. Para os inscritos até 28/11/199 o período contributivo considerado será a partir de julho/1994. Aposentadoria especial precedida do auxílio-acidente: O valor mensal do auxílio-acidente deverá ser somado ao salário-de-contribuição antes da aplicação da correção, não podendo superar o limite máximo do salário-de-contribuição. 131. Quando se inicia o pagamento do benefício? Para o segurado empregado: 46
  • 47.
    a) a partirda data do desligamento do emprego, quando requerida até 90 dias depois dela; ou b) a partir da data do requerimento, quando não houver desligamento do emprego ou quando for requerida após o prazo de 90 dias mencionado anteriormente. Para os demais segurados: a partir da data da entrada do requerimento. 132. Quais condições de trabalho são consideradas como prejudiciais à saúde? São consideradas condições especiais que prejudiquem a saúde ou a integridade física, a exposição a agentes nocivos químicos, físicos ou biológicos ou a associação desses agentes, em concentração ou intensidade que ultrapasse os limites de tolerância, ou que, dependendo do agente, torne a simples exposição em condição especial prejudicial à saúde. A relação desses agentes, bem como a período necessário de exposição para efeito de aposentadoria especial se encontram no Anexo IV do Regulamento da Previdência Social. As dúvidas relativas ao enquadramento dos agentes nocivos serão resolvidas pelo Ministério do Trabalho e Emprego e pelo Ministério da Previdência Social. 133. O que é considerado como tempo de trabalho para fins de concessão da aposentadoria especial? Os períodos correspondentes ao exercício de atividade permanente e habitual (não ocasional nem intermitente), durante toda a jornada de trabalho, em cada vínculo, sujeito a condições especiais que prejudiquem a saúde ou a integridade física, inclusive férias, licença médica, salário-maternidade, auxílio-doença e aposentadoria por invalidez acidentários, desde que na data do afastamento o segurado estivesse exercendo essas atividades. 134. Há redução do período para o caso de segurada mulher? Não. Inexiste distinção para tempo de contribuição entre homens e mulheres, todos devem cumprir o período de 15, 20 ou 25 anos, conforme a atividade laborativa. 135. Quais documentos comprovam a efetiva exposição a agentes nocivos que prejudicam à saúde? A comprovação da efetiva exposição do segurado aos agentes nocivos será feita mediante um documento denominado Perfil Profissiográfico Previdenciário - PPP, emitido pela empresa ou seu preposto, com base em Laudo Técnico de Condições Ambientais do Trabalho - LTCAT expedido por médico do trabalho ou engenheiro de segurança do trabalho. Assim, para fins de concessão do benefício, a perícia médica do Instituto Nacional do Seguro Social deverá analisar o Perfil Profissiográfico Previdenciário - PPP e o Laudo Técnico de Condições Ambientais do Trabalho - LTCAT, podendo, se necessário, inspecionar o local de trabalho do segurado para confirmar as informações contidas nos referidos documentos. 136. O que é o Perfil Profissiográfico Previdenciário? Quem deve elaborar? Perfil Profissiográfico Previdenciário - PPP é um documento que contém a história laborativa do trabalhador e tem o objetivo de informar sobre a efetiva exposição do trabalhador a agentes nocivos, devendo ser elaborado segundo modelo instituído pelo Instituto Nacional do Seguro Social. Entre outras informações, deve conter registros ambientais, resultados de monitoração biológica e dados administrativos. É um documento individual por trabalhador. 47
  • 48.
    A empresa tema obrigação de elaborar e manter atualizado o PPP, abrangendo as atividades desenvolvidas pelo trabalhador e também de fornecer ao segurado, quando da rescisão do contrato de trabalho, cópia autêntica deste documento, sob pena de autuação. 137. O que é o Laudo Técnico de Condições Ambientais do Trabalho? Quem deve elaborar? É uma declaração pericial emitida por engenheiro de segurança ou médico do trabalho, nele deverão constar informações sobre a existência de tecnologia de proteção coletiva ou individual que diminua a intensidade do agente agressivo a limites de tolerância e recomendações sobre a sua adoção pelo estabelecimento respectivo. O Laudo Técnico de Condições Ambientais do Trabalho - LTCAT deverá ser expedido em consonância com as Normas Reguladoras editadas pelo Ministério do Trabalho e Emprego e demais orientações expedidas pelo Ministério da Previdência Social. A empresa que não mantiver laudo técnico atualizado com referência aos agentes nocivos existentes no ambiente de trabalho de seus trabalhadores ou que emitir documento de comprovação de efetiva exposição em desacordo com o respectivo laudo, estará sujeita a autuação. 138. O beneficiário de aposentadoria especial pode voltar a exercer atividade sujeita à exposição de agentes nocivos? Não. O beneficiário de aposentadoria especial que retornar ao exercício de atividade ou operações que o sujeitem aos agentes nocivos ou nele permanecer voluntariamente terá sua aposentadoria automaticamente cessada, a partir da data do retorno. Entretanto, como aposentadoria é direito adquirido, se o segurado afastar-se das atividades nocivas, o benefício deverá voltar a ser pago. Trata-se, portanto, de suspensão da aposentadoria. 139. Como fica a situação do segurado que exerceu mais de uma atividade sujeita a agentes nocivos com períodos de exposição exigidos para aposentadoria diferentes? Para o segurado que houver exercido sucessivamente duas ou mais atividades sujeitas a condições especiais prejudiciais à saúde ou à integridade física, sem completar em qualquer delas o prazo mínimo exigido para a aposentadoria especial, os respectivos períodos serão somados após conversão, conforme tabela abaixo, considerada a atividade preponderante: TEMPO MULTIPLICADORES A CONVERTER Para 15 anos Para 20 anos Para 25 anos De 15 anos - 1,33 1,67 De 20 anos 0,75 - 1,25 De 25 anos 0,60 0,80 - 140. É possível a conversão de tempo de atividade comum em tempo de atividade sob condições especiais? Não é possível. 141. É possível a conversão de tempo de atividade sob condições especiais em tempo de atividade comum? Sim. É possível a conversão de tempo de atividade exercido sob condições especiais em tempo de atividade comum, sendo permitido a qualquer tempo a conversão sem exigência de tempo mínimo de exposição a condições especiais de trabalho, observada a seguinte tabela: 48
  • 49.
    MULTIPLICADORES TEMPO A MULHER HOMEM CONVERTER (para 30 anos) (para 35 anos) De 15 anos 2,00 2,33 De 20 anos 1,50 1,75 De 25 anos 1,20 1,40 49
  • 50.
    15. AUXÍLIO- DOENÇA 142.Em que condição é devido o benefício auxílio-doença? O benefício é devido ao segurado que ficar incapacitado para o seu trabalho ou para a sua atividade habitual por mais de quinze dias consecutivos. Não será devido o benefício caso o segurado já fosse portador da doença ou lesão, que constitui a causa do afastamento, exceto se a incapacidade sobrevier por agravamento ou progressão dessa doença ou lesão. 143. Quem tem direito a esse benefício? Todos os segurados: empregado; empregado doméstico; contribuinte individual; trabalhador avulso; segurado especial; e facultativo. Sendo que para o segurado empregado que sofreu acidente do trabalho, ainda, tem garantido a estabilidade provisória no emprego durante o prazo mínimo de doze meses após a cessação do auxílio-doença acidentário, independentemente de recebimento do auxílio-acidente. Note que esse caso só se aplica para o empregado que sofreu acidente do trabalho. 144. Qual a carência exigida? Depende, existem duas situações: Auxílio-doença acidentário - Não é exigido carência nos casos de acidente de qualquer natureza ou causa, bem como no caso do segurado que, após filiar-se ao Regime Geral de Previdência Social, for acometido de alguma das doenças ou afecções especificadas em lista elaborada pelos Ministérios da Saúde e da Previdência Social a cada três anos, de acordo com os critérios de estigma, deformação, mutilação, deficiência ou outro fator que lhe confira especificidade e gravidade que mereçam tratamento particularizado. Auxílio-doença comum - Doze meses de contribuição quando a inabilitação para o exercício de atividade não for decorrente de acidente ou das doenças especificadas anteriormente. Entretanto, caso ocorra a perda da qualidade de segurado será necessário contribuir com um terço da carência, o que corresponde, no caso do auxílio-doença comum a 4 contribuições, a fim de que sejam aproveitadas e computadas as contribuições referentes ao período anterior àquela perda. 145. Qual a renda mensal do benefício? O valor da renda mensal do benefício corresponderá a 91% do salário-de-benefício. 50
  • 51.
    146. Como éfeito o cálculo do valor do salário-de-benefício? O valor do salário-de-benefício do auxílio-doença será a média aritmética simples dos maiores salários-de-contribuição correspondente a 80% de todo período contributivo. No caso do segurado contar com menos de 144 contribuições mensais, o salário-de-benefício equivalerá à soma dos salários-de-contribuição de todo período contributivo dividido pelo número de contribuições. 147. Quando se inicia o pagamento do benefício? O benefício será devido: a partir do 16º dia do afastamento da atividade para o segurado empregado, exceto o doméstico; da data do início da incapacidade, para os demais segurados; ou da data de entrada do requerimento, quando requerido após o trigésimo dia do afastamento da atividade, para todos os segurados. 148. Nos primeiros quinze dias do afastamento, quem paga ao segurado empregado seu salário? Durante os primeiros 15 dias consecutivos de afastamento da atividade por motivo de doença, é obrigação da empresa pagar ao segurado empregado o seu salário. Caso a empresa disponha de serviço médico próprio ou convênio, terá a obrigação de realizar o exame médico e, posteriormente abonar as faltas correspondentes aos primeiros quinze dias de afastamento. O segurado empregado, por motivo de doença, que se afastar da atividade durante um período menor do que de 15 dias, e dela voltar a se afastar dentro de 60 dias desse retorno, fará jus ao auxílio-doença a partir do dia seguinte ao que completar o período de 15 dias anteriormente iniciado. Além disso, caso o segurado dentro de 60 dias do retorno ao trabalho, após o recebimento do benefício, volte a se afastar, o benefício será reaberto, sendo considerado uma continuação do anterior, a empresa, portanto, não pagará os quinze primeiros dias desse novo afastamento. 149. Conta-se os 15 dias a partir de quando? Quando o acidentado não se afastar do trabalho no dia do acidente, os quinze dias de responsabilidade da empresa pela sua remuneração integral são contados a partir da data do efetivo afastamento. 150. Depois dos quinze primeiros dias o segurado já recebe o benefício? Sim. Quando a incapacidade ultrapassar quinze dias consecutivos, o segurado será encaminhado à perícia médica do Instituto Nacional do Seguro Social. Observe que o benefício só é devido se o segurado afastar-se de suas atividades por período superior a 15 dias consecutivos. No caso do segurado empregado, a empresa paga os 15 primeiros dias de afastamento e o benefício previdenciário somente é devido a partir do 16º dia de afastamento. Para os outros segurados, o benefício será devido a contar da data de início da incapacidade. Mas observe que o afastamento de 15 dias da atividade é condição para qualquer segurado. 151. E se o segurado exercer várias atividades, como fica a concessão do benefício? 51
  • 52.
    O auxílio-doença dosegurado que exercer mais de uma atividade abrangida pela previdência social será devido mesmo no caso de incapacidade apenas para o exercício de uma delas, devendo a perícia médica ser conhecedora de todas as atividades que o mesmo estiver exercendo. Neste caso, o auxílio-doença será concedido em relação à atividade para a qual o segurado estiver incapacitado, considerando-se para efeito de carência somente as contribuições relativas a essa atividade. Se nas diversas atividades o segurado exercer a mesma profissão, será exigido de imediato o afastamento de todas elas. 152. E se o segurado ficar incapacitado para apenas uma das suas atividades? Quando o segurado que exerce mais de uma atividade se incapacitar definitivamente para uma delas, deverá o auxílio- doença ser mantido indefinidamente, não cabendo sua transformação em aposentadoria por invalidez, enquanto essa incapacidade não se estender às demais atividades. 153. E se o segurado ficar incapacitado para apenas uma das suas atividades, o auxílio-doença poderá ter valor inferior ao salário-mínimo? Sim. Desde que somado as demais remunerações do segurado resultar em valor superior ao salário-mínimo. 154. O segurado que recebe auxílio-doença tem obrigações para com o INSS? Tem. O segurado em gozo de auxílio-doença está obrigado, independentemente de sua idade e sob pena de suspensão do benefício, a submeter-se a exame médico a cargo da previdência social, processo de reabilitação profissional por ela prescrito e custeado e tratamento dispensado gratuitamente, exceto o cirúrgico e a transfusão de sangue, que são facultativos. 155. Quando cessa o benefício? O auxílio-doença cessa pela recuperação da capacidade para o trabalho, por sua transformação em aposentadoria por invalidez ou auxílio-acidente de qualquer natureza, neste último caso se resultar seqüela que implique redução da capacidade para o trabalho que habitualmente exercia. 52
  • 53.
    16. SALÁRIO- FAMÍLIA 156.Em que condição é devido o benefício salário-família? O salário-família é devido aos trabalhadores e aposentados de baixa renda para ajudar na manutenção dos seus dependentes. O salário-família é devido mensalmente na proporção do respectivo número de filhos ou equiparados. 157. Quem tem direito a esse benefício? Têm direito, desde que estejam enquadrados como trabalhadores de baixa renda: o segurado empregado, exceto o doméstico; o trabalhador avulso; o aposentado. 158. Qual documentação o segurado deve apresentar para ter direito ao benefício? O segurado deve apresentar a certidão de nascimento do filho ou, no caso do equiparado, a documentação que comprove dependência econômica. Além disso, deve ser apresentado anualmente, atestado de vacinação obrigatória, para criança até seis anos de idade e a comprovação semestral de freqüência à escola do filho ou equiparado, a partir dos sete anos de idade. 159. Qual a carência exigida? Não é exigida carência. 160. Qual o valor do benefício? A partir de 1º de maio de 2007, o valor da cota do salário-família por filho ou equiparado de qualquer condição, até quatorze anos de idade ou inválido de qualquer idade é de: R$ 23,08, para o segurado com remuneração mensal não superior a R$ 449,93; R$ 16,26, para o segurado com remuneração superior a R$ 449,94 e igual ou inferior a R$ 676,27. 161. Quando se inicia o pagamento do benefício? A partir da data da apresentação da documentação necessária para obtenção do benefício. 162. Como é feito o pagamento deste benefício? O salário-família será pago mensalmente: 1) ao empregado, pela empresa, com o respectivo salário, e ao trabalhador avulso, pelo sindicato ou órgão gestor de mão-de-obra (OGMO), mediante convênio; 53
  • 54.
    2) aos empregadoe trabalhadores avulsos aposentados por invalidez ou em gozo de auxílio-doença, pelo Instituto Nacional do Seguro Social, juntamente com o benefício; 3) aos empregados, trabalhadores avulsos e trabalhadores rurais aposentados por idade, juntamente com a aposentadoria. 4) aos demais empregados e trabalhadores avulsos aposentados com idade mínima de 65 anos, se mulher e 70 anos, se homem. 163. O trabalhador avulso pode receber cota proporcional a depender da quantidade de dias trabalhados? Não. O salário-família do trabalhador avulso independe do número de dias trabalhados no mês, devendo o seu pagamento corresponder ao valor integral da cota. 164. O salário-família é devido ao pai e a mãe concomitantemente? Sim. Quando o pai e a mãe são segurados empregados ou trabalhadores avulsos, ambos têm direito ao salário-família. 165. E se trabalharem na mesma empresa, ainda assim é devido para ambos? Sim, não há restrição alguma. 166. E se os pais se separarem? Tendo havido divórcio, separação judicial ou de fato dos pais, ou em caso de abandono legalmente caracterizado ou perda do pátrio-poder, o salário-família passará a ser pago diretamente àquele que ficar com a responsabilidade de sustentar o menor, ou a outra pessoa, se houver determinação judicial nesse sentido. 167. Quando cessa o direito ao recebimento do benefício? O direito ao salário-família cessa automaticamente na ocorrência das seguintes situações: 1) por morte do filho ou equiparado, a contar do mês seguinte ao do óbito; 2) quando o filho ou equiparado completar quatorze anos de idade, salvo se inválido, a contar do mês seguinte ao da data do aniversário; 3) pela recuperação da capacidade do filho ou equiparado inválido, a contar do mês seguinte ao da cessação da incapacidade; ou 4) pelo desemprego do segurado. Vale ressaltar que a invalidez do filho ou equiparado maior de quatorze anos de idade deve ser verificada através de exame médico-pericial a cargo da previdência social. 54
  • 55.
    17. SALÁRIO- MATERNIDADE 168.Em que condição é devido o benefício salário-maternidade? O benefício é devido em virtude do nascimento do filho da mulher trabalhadora, sendo pago durante o período de 120 dias podendo ser prorrogado em casos excepcionais. 169. Quem tem direito a esse benefício? Todas as seguradas: empregada, empregada doméstica, avulsa, contribuinte individual, segurada especial e facultativa, inclusive a aposentada que retornar a atividade. 170. Qual a carência exigida? Não há carência exigida para as seguradas empregada, avulsa e a empregada doméstica. Entretanto, para a segurada especial, contribuinte individual e facultativa deve ser cumprida a carência, conforme explicamos a seguir: Segurada Especial: deverá comprovar o exercício de atividade rural nos últimos 10 meses imediatamente anteriores ao requerimento do benefício, mesmo que de forma descontínua. Contribuinte Individual e Facultativa: devem ter no mínimo 10 meses de contribuição. 171. Qual a renda mensal do benefício? A renda mensal depende do tipo do segurado: Para a segurada empregada consiste numa renda mensal igual à sua remuneração integral, não se sujeitando ao teto máximo estabelecido pelo Ministério da Previdência Social para o pagamento de benefícios. Entretanto, está sujeito a um limite máximo, que corresponde à remuneração mensal dos Ministros do Supremo Tribunal Federal. Para a trabalhadora avulsa consiste numa renda mensal igual à sua remuneração integral equivalente a um mês de trabalho, não se sujeitando ao teto máximo estabelecido pelo Ministério da Previdência Social para o pagamento de benefícios. Entretanto, está sujeito a um limite máximo, que corresponde à remuneração mensal dos Ministros do Supremo Tribunal Federal. Para a segurada empregada doméstica o valor correspondente ao do seu último salário-de-contribuição, sujeitando-se ao limite máximo estabelecido pelo Ministério da Previdência Social para o pagamento de benefícios. Para a segurada especial é um salário mínimo (àquelas que não contribuíram como contribuinte individual) Para as seguradas contribuinte individual e facultativa corresponde a um doze avos da soma dos doze últimos salários-de-contribuição, apurados em período não superior a quinze meses, sujeitando-se ao limite máximo estabelecido pelo Ministério da Previdência Social para o pagamento de benefícios. 172. Quando se inicia o pagamento do benefício? 55
  • 56.
    O início doafastamento do trabalho é determinado com base em atestado médico da empresa ou no caso de parto antecipado, na certidão de nascimento do filho. O salário-maternidade é devido à segurada da previdência social, durante 120 (cento e vinte) dias, com início 28 (vinte e oito) dias antes e término 91 (noventa e um) dias depois do parto, determinado com base em atestado médico. 173. O benefício pode ser prorrogado? Sim. Em casos excepcionais, os períodos de repouso anterior e posterior ao parto podem ser aumentados em mais duas semanas, mediante atestado médico específico. 174. E no caso de parto antecipado, como fica a duração do benefício e a carência? Em caso de parto antecipado ou não, a segurada tem direito aos cento e vinte dias. Entretanto, relativamente às seguradas para as quais é exigida carência, em caso de parto antecipado, o período de carência será reduzido em número de contribuições equivalente ao número de meses em que o parto foi antecipado. 175. Ocorrendo aborto não criminoso a segurada terá direito ao benefício? Em caso de aborto não criminoso, comprovado mediante atestado médico, a segurada terá direito ao salário- maternidade correspondente a duas semanas. 176. E no caso do natimorto? Em caso de natimorto, desde que seja a partir do 6º mês de gestação, a segurada terá direito a 120 dias. Caso esse fato ocorra antes do 6º mês de gestação, será o caso de aborto não criminoso, explicado anteriormente, a segurada terá, portanto, direito a duas semanas. A comprovação deste fato se dará através de atestado médico. 177. Se a segurada tiver dois empregos, ela terá direito ao salário-maternidade em relação a cada emprego? Sim. No caso de empregos concomitantes, a segurada fará jus ao salário-maternidade relativo a cada emprego. 178. Se a segurada empregada perder o emprego prejudica o recebimento do benefício? Não. Recentemente a legislação previdenciária foi alterada e a segurada desempregada que esteja ainda no período de graça tem direito ao salário-maternidade. 179. A mãe adotiva tem direito ao salário-maternidade? A Lei no 10.421, de 15 de abril de 2002, estendeu à mãe adotiva, mesmo que somente obtenha guarda judicial para fins de adoção, o direito à licença-maternidade e ao salário-maternidade. O período da licença, e por conseqüência a 56
  • 57.
    duração do recebimentodo benefício previdenciário, variará de acordo com a idade da criança. Vejamos na tabela a seguir como a lei estabelece esta relação: Período da licença e do Idade da criança salário-maternidade Até 1 ano 120 dias De 1 até 4 anos 60 dias De 4 até 8 anos 30 dias Observe que tanto a adotante como a guardiã deverá ser segurada da Previdência Social, devendo, portanto, atender aos requisitos para a concessão do benefício. 180. Quem deve instruir o requerimento do benefício? Compete à interessada instruir o requerimento do salário-maternidade com os atestados médicos necessários. Quando o benefício for requerido após o parto, o documento comprobatório é a Certidão de Nascimento, podendo, no caso de dúvida, a segurada ser submetida à avaliação pericial junto ao Instituto Nacional do Seguro Social. No caso da guardiã, o termo de guarda deverá conter o nome da segurada e a observação que é para fins de adoção. 181. Mas, e se a mãe biológica recebeu o salário-maternidade, ainda assim a mãe adotiva terá direito? Sim. O salário-maternidade é devido à segurada adotante ou à guardiã independentemente de a mãe biológica ter recebido o mesmo benefício quando do nascimento da criança. 182. Se a segurada adotar ao mesmo tempo duas crianças? Quando houver adoção ou guarda judicial para adoção de mais de uma criança, é devido um único salário-maternidade relativo à criança de menor idade. No caso de empregos concomitantes, a segurada fará jus ao salário-maternidade relativo a cada emprego. 183. Quando a empregada doméstica está de licença-maternidade, quais são as obrigações do empregador? A contribuição do empregador doméstico é de 12% sobre o salário-de-contribuição do empregado doméstico a seu serviço. O empregador também é o responsável pelo desconto e recolhimento ao INSS do que é devido à previdência social pelo empregado doméstico. Quando a empregada doméstica está em gozo do salário-maternidade, o benefício pago pelo INSS já vem descontado do valor da contribuição social que cabe a empregada doméstica, portanto o empregador deverá, neste período, recolher apenas a contribuição a seu cargo, ou seja, 12% sobre o salário-de- contribuição da segurada empregada doméstica a seu serviço. 184. O valor do salário-maternidade obedece ao mesmo teto dos demais benefícios previdenciários? Não. O Supremo Tribunal Federal - STF entendeu que o valor do benefício salário-maternidade da segurada empregada e da trabalhadora avulsa pode ser superior ao teto imposto aos demais benefícios previdenciários, entretanto, é aplicável 57
  • 58.
    a este benefícioo limite fixado no artigo 37, inciso XI da Constituição Federal, que é a remuneração mensal dos Ministros do STF. 58
  • 59.
    18. AUXÍLIO- ACIDENTE 185.Em que condição é devido o benefício auxílio-acidente? O auxílio-acidente é devido, como indenização, ao segurado quando, após a consolidação das lesões decorrentes de acidente de qualquer natureza, resultar seqüela definitiva que implique redução da capacidade para o trabalho que habitualmente exercia. 186. Quem tem direito a esse benefício? Têm direito ao auxílio-acidente o empregado, o segurado especial e o trabalhador avulso. O empregado doméstico e o contribuinte individual não têm direito. 187. Qual a carência exigida? Não é exigida carência. 188. Qual a renda mensal do benefício? Corresponderá a 50% do salário-de-benefício que deu origem ao auxílio-doença do segurado, corrigido até o mês anterior ao do início do auxílio-acidente. 189. Esse benefício pode ser menor que o salário-mínimo? Pode sim, pois, ele não substitui a remuneração do segurado. Na verdade o benefício auxílio-acidente é uma indenização ao segurado. 190. Quando se inicia o pagamento do benefício? Será devido a contar do dia seguinte ao da cessação do auxílio-doença, independentemente de qualquer remuneração ou rendimento auferido pelo acidentado. 191. O auxílio-acidente pode ser acumulado com aposentadoria? Não. Quando o segurado tiver direito a qualquer aposentadoria, o auxílio-acidente será incorporado ao salário-de- benefício da aposentadoria. 192. O auxílio-acidente pode ser acumulado com algum benefício? Pode com qualquer benefício, exceto aposentadoria e auxílio-doença acidentário, este quando decorrente da mesma causa que gerou direito ao auxílio-acidente. Neste último caso, enquanto houver o pagamento do auxílio-doença acidentário, será suspenso o pagamento do auxílio-acidente. 193. O desempregado tem direito ao auxílio-acidente? Não há direito ao auxílio-acidente quando o segurado estiver desempregado, podendo ser concedido o auxílio-doença, desde que atendidas as condições para a sua concessão e o mesmo esteja no período de graça. 59
  • 60.
    19. PENSÃO PORMORTE 194. Em que condição é devido o benefício da pensão por morte? Será devido o benefício aos dependentes do segurado que falecer, estando aposentado ou não. 195. Quem tem direito a esse benefício? Os dependentes de qualquer segurado: empregado, empregado doméstico, avulso, contribuinte individual, segurado especial e facultativo. 196. Qual a carência exigida? Não é exigida carência. 197. Qual a renda mensal do benefício? Corresponderá a 100% da renda mensal da aposentadoria que o segurado recebia ou daquela a que teria direito se estivesse aposentado por invalidez na data de seu falecimento, rateada em partes iguais entre os dependentes. 198. Quando se inicia o pagamento do benefício? A contar da data do óbito, quando requerida: a) pelo dependente maior de 16 anos de idade, até 30 dias depois do óbito; e b) pelo dependente menor de 16 anos de idade, até 30 dias após completar essa idade. A contar da data do requerimento, quando requerida após o prazo de 30 dias do óbito. A contar da data da decisão judicial, no caso de morte presumida. Nos dois últimos casos a data de início do benefício será a data do óbito apenas para efeito do cálculo do salário-de- benefício. Sobre este valor serão aplicados os devidos reajustamentos até a data de início do pagamento. Ou seja, a data do óbito serve como referência para a incidência dos índices de correção, entretanto não será devida qualquer importância relativa a período anterior à data de entrada do requerimento. No caso do dependente menor de dezesseis anos que não tiver se habilitado à época, o benefício será pago retroativamente desde a data de falecimento do segurado até a data em que o dependente completar 16 anos, desde que requerido até trinta dias após completar essa idade. Entretanto, somente haverá direito ao recebimento do benefício, de forma retroativa, caso o mesmo não tenha sido pago integralmente a outro dependente habilitado durante esse período. Ou seja, no caso por exemplo de falecimento de um segurado que tinha como único dependente um filho de 12 anos, que não foi habilitado à época, o dependente terá até 30 dias após completar 16 anos para requerer o montante retroativo. Se requerer após esse prazo, terá o direito à pensão assegurado a partir da data do requerimento até completar 21 anos, exceto se inválido. 60
  • 61.
    199. Havendo maisde um pensionista, como é dividido o benefício? Havendo mais de um pensionista, a pensão por morte, será rateada entre todos, em partes iguais, e será revertida em favor dos demais dependentes à parte daquele cujo direito à pensão cessar. 200. O dependente inválido tem direito à pensão em que condições? A pensão por morte somente será devida ao dependente inválido se for comprovada pela perícia médica a existência de invalidez na data do óbito do segurado. Entretanto, a lei assegura ao dependente menor de idade que se invalidar antes de completar vinte e um anos e que for confirmada a invalidez mediante exame médico-pericial, a não extinção da respectiva cota até enquanto permanecer a condição de invalidez do pensionista. 201. O pensionista inválido tem alguma obrigação para com o INSS? Sim. O pensionista inválido está obrigado, independentemente de sua idade e sob pena de suspensão do benefício, a submeter-se a exame médico a cargo da previdência social, processo de reabilitação profissional por ela prescrito e custeado e tratamento dispensado gratuitamente, exceto o cirúrgico e a transfusão de sangue, que são facultativos. 202. O cônjuge separado tem direito à pensão por morte? Depende. Se o cônjuge divorciado ou separado judicialmente ou de fato, recebia pensão de alimentos, receberá a pensão por morte em igualdade de condições com os demais dependentes da 1a classe (o cônjuge, a companheira, o companheiro e o filho não emancipado de qualquer condição, menor de vinte e um anos ou inválido). 203. Como provar que houve morte presumida? Através de sentença declaratória de ausência, expedida por um juiz ou em caso de desaparecimento do segurado por motivo de catástrofe ou acidente. No primeiro caso o benefício contará da data da emissão da sentença e no segundo, a contar data da ocorrência, mediante apresentação de prova hábil. As duas situações referem-se ao desaparecimento do segurado, sendo que a sentença declaratória de ausência trata da situação de um segurado que abandonou seu domicílio sem informar aonde ser encontrado aos seus dependentes e a segunda situação refere-se a uma catástrofe ou um acidente, onde existem provas de que o segurado teria ido ao local, entretanto o corpo não foi encontrado. 204. Quando ocorre a cessação do benefício? O pagamento da cota individual da pensão por morte cessa: pela morte do pensionista; para o pensionista menor de idade, ao completar vinte e um anos, salvo se for inválido, ou pela emancipação, ainda que inválido, exceto, neste caso, se a emancipação for decorrente de colação de grau científico em curso de ensino superior; ou para o pensionista inválido, pela cessação da invalidez, verificada em exame médico-pericial a cargo da previdência social. 61
  • 62.
    Ocorrendo a cessaçãoda pensão para um dos pensionistas, sua cota é revertida para os demais de mesma classe, sendo intransferível para dependentes pertencentes à outra classe. Com a extinção da cota do último pensionista, a pensão por morte será encerrada. 62
  • 63.
    20. AUXÍLIO- RECLUSÃO 205.Em que condição é devido o benefício auxílio-reclusão? O auxílio-reclusão será devido aos dependentes do segurado de baixa renda recolhido à prisão, seja sob regime fechado ou semi-aberto, desde que o segurado não receba remuneração da empresa, nem esteja em gozo de auxílio-doença ou de qualquer aposentadoria. 206. Quem tem direito a esse benefício? Os dependentes de qualquer segurado de baixa renda que for recolhido à prisão. 207. Qual a carência exigida? Não é exigida carência. 208. Qual a renda mensal do benefício? Corresponderá a 100% da renda mensal da aposentadoria que o segurado teria direito se estivesse aposentado por invalidez, rateada em partes iguais entre os dependentes. 209. Havendo mais de um dependente, como é dividido o benefício? Havendo mais de um dependente, o auxílio-reclusão, será rateado entre todos, em partes iguais, e será revertida em favor dos demais à parte daquele cujo direito à pensão cessar. 210. Quando se inicia o pagamento do benefício? Na data do efetivo recolhimento do segurado à prisão, se requerido até trinta dias depois desta, ou na data do requerimento, se posterior ao referido prazo. 211. Como é feito o pedido do auxílio-reclusão? O pedido deve ser instruído com a certidão do efetivo recolhimento do segurado à prisão, firmada pela autoridade competente. 212. Depois de concedido o auxílio-reclusão tem mais alguma obrigação a ser cumprida? 63
  • 64.
    Sim. O benefícioserá mantido enquanto o segurado permanecer detido ou recluso. O dependente deve apresentar trimestralmente atestado firmado pela autoridade competente de que o segurado continua detido ou recluso. 213. E se o segurado fugir da prisão? No caso de fuga, o benefício será suspenso e, se houver recaptura do segurado, será restabelecido a contar da data em que esta ocorrer, desde que esteja ainda mantida a qualidade de segurado. Havendo o exercício de atividade dentro do período de fuga, o mesmo será considerado para a verificação da perda ou não da qualidade de segurado. 214. O segurado pode exercer atividade remunerada enquanto estiver preso? No caso de o segurado recluso exercer uma atividade remunerada e contribuir na condição de contribuinte individual ou facultativo, isto não acarretará a perda do direito ao auxílio-reclusão para seus dependentes. Entretanto, o segurado recluso não terá direito aos benefícios de auxílio-doença e aposentadoria durante a percepção pelos dependentes do auxílio-reclusão, ainda que nessa condição contribua como contribuinte individual ou facultativo, permitida a opção, desde que manifestada, também pelos dependentes, ao benefício mais vantajoso. 215. Em qual regime de prisão é devido o auxílio-reclusão? O auxílio-reclusão é devido enquanto o segurado estiver recolhido à prisão sob o regime fechado ou o semi-aberto. 216. Caso o segurado faleça dentro da prisão, o que acontece? O auxílio-reclusão que estiver sendo pago será automaticamente convertido em pensão por morte. Além disso, caso os dependentes não tenham recebido o auxílio-reclusão em função do segurado não ser de baixa renda, terão direito à pensão. Se o segurado exercia alguma atividade remunerada enquanto estava recluso, será efetuado novo cálculo para pensão em função da nova atividade, sendo que os dependentes têm a opção de escolher a pensão decorrente da transformação do auxílio-reclusão, se esta for mais vantajosa. 217. Quando ocorre a cessação do benefício? O pagamento da cota individual do auxílio-reclusão cessa: pela morte do dependente; para o dependente menor de idade, ao completar vinte e um anos, salvo se for inválido, ou pela emancipação, ainda que inválido, exceto, neste caso, se a emancipação for decorrente de colação de grau científico em curso de ensino superior; ou 64
  • 65.
    para o dependenteinválido, pela cessação da invalidez, verificada em exame médico-pericial a cargo da previdência social. Com a extinção da cota do último dependente, o benefício será encerrado. 65
  • 66.
    21. HABILITAÇÃO EREABILITAÇÃO PROFISSIONAL E SERVIÇO SOCIAL 218. Qual o objetivo da habilitação e reabilitação profissional? A habilitação e reabilitação profissional visam proporcionar aos beneficiários, incapacitados parcial ou totalmente para o trabalho, os meios necessários para o reingresso no mercado de trabalho. 219. A habilitação e reabilitação profissional têm caráter obrigatório? Têm. 220. Qual a carência para esses serviços? A habilitação e reabilitação profissional, bem como o serviço social independem de carência. 221. Caso o segurado precise de próteses, o INSS as fornece? Quando, indispensáveis, ao desenvolvimento do processo de reabilitação profissional, o Instituto Nacional do Seguro Social fornecerá aos segurados, inclusive aposentados, em caráter obrigatório, prótese e órtese, seu reparo ou substituição, instrumentos de auxílio para locomoção, bem como equipamentos necessários à habilitação e à reabilitação profissional, transporte urbano e alimentação e, na medida das possibilidades do Instituto, aos seus dependentes. 222. E se o segurado adquirir por conta própria, o INSS reembolsa? O Instituto Nacional do Seguro Social não reembolsará as despesas realizadas com a aquisição de órtese ou prótese e outros recursos materiais não prescritos ou não autorizados por suas unidades de reabilitação profissional. 223. No término da reabilitação profissional o INSS emite algum certificado para o segurado? Concluído o processo de reabilitação profissional, o Instituto Nacional do Seguro Social emitirá certificado individual indicando a função para a qual o reabilitando foi capacitado profissionalmente, sem prejuízo do exercício de outra para a qual se julgue capacitado. 224. Depois de finalizado o processo de reabilitação profissional, o segurado tem garantia de emprego? Não. Não constitui obrigação da previdência social a manutenção do segurado no mesmo emprego ou a sua colocação em outro para o qual foi reabilitado, assim o processo de reabilitação profissional é cessado com a emissão do certificado individual indicando a função para a qual o reabilitando foi capacitado profissionalmente. 225. As empresas são obrigadas a empregar pessoas reabilitadas? 66
  • 67.
    Sim. A empresa,com cem ou mais empregados, está obrigada a preencher de dois a cinco por cento de seus cargos com beneficiários reabilitados ou pessoas portadoras de deficiência, habilitadas, na seguinte proporção: a) até duzentos empregados, dois por cento; b) de duzentos e um a quinhentos empregados, três por cento; c) de quinhentos e um a mil empregados, quatro por cento; ou d) mais de mil empregados, cinco por cento. 226. E o serviço social, o que ele faz pelo beneficiário? O serviço social constitui atividade auxiliar do seguro social e visa prestar ao beneficiário orientação e apoio no que concerne à solução dos problemas pessoais e familiares e à melhoria da sua inter-relação com a previdência social, para a solução de questões referentes a benefícios. 67
  • 68.
    22. J USTIFI CAÇÃO ADMI NI STRATIVA 227. O que é justificação administrativa? A justificação administrativa é um recurso perante a previdência social utilizado quando o segurado não tem toda a documentação necessária à comprovação de um fato, ou seja, para: suprir falta ou insuficiência de documento; e produzir prova de fato ou circunstância de interesse dos beneficiários. Somente será admitido o processamento de justificação administrativa na hipótese de ficar evidenciada a inexistência de outro meio capaz de configurar a verdade do fato alegado. 228. Em qualquer situação pode ser utilizada? Não. Existem duas situações que não podem ser comprovadas através da justificação administrativa, quais sejam: 1. quando o fato a comprovar exija registro público de casamento, de idade ou de óbito; ou 2. caso a lei prescreva forma especial para o ato jurídico. Além disso, a justificação administrativa, no caso de prova de tempo de contribuição, dependência econômica, identidade e relação de parentesco, somente produzirá efeito quando baseada em início de prova material, não sendo admitida prova exclusivamente testemunhal. O início de prova material apresentado deverá levar à convicção do que se pretende comprovar. 229. Posso utilizar a justificação administrativa somente apresentando prova testemunhal? Admite-se a prova exclusivamente testemunhal, para se demonstrar o tempo de contribuição, quando ficar comprovada a ocorrência de força maior ou caso fortuito. Por exemplo, em caso de incêndio, inundação ou desmoronamento, que tenha atingido a empresa na qual o segurado alegue ter trabalhado. 230. Como comprovar que a empresa que o segurado trabalhava sofreu um sinistro? Deve-se comprovar o fato através de: registro da ocorrência policial feito em época própria; apresentação de documentos contemporâneos aos fatos; e verificação da correlação entre a atividade da empresa e a profissão do segurado. 231. Se a empresa na qual o segurado trabalhava não existir mais? Se a empresa não existir mais, deverá o interessado juntar prova oficial de sua existência no período que pretende comprovar. 68
  • 69.
    232. Quantas testemunhaso segurado deve apresentar? O segurado deve indicar testemunhas idôneas, em número não inferior a três nem superior a seis, cujos depoimentos possam levar à convicção da veracidade do que se pretende comprovar. 233. O beneficiário deve pagar para utilizar este recurso? Não. A justificação administrativa será processada sem ônus para o interessado. 234. Quem fizer alguma declaração falsa pode ser penalizado? É crime. Os autores de declarações falsas, prestadas em justificações perante a previdência social, serão processados penalmente. 69
  • 70.
    23. REGRAS PARACONTROLE DA CONCESSÃO E PAGAMENTO DE BENEFÍCIOS 235. A quem o benefício é pago? O benefício é pago diretamente ao beneficiário. 236. Outra pessoa, que não o beneficiário, pode receber o benefício? Sim. Em caso de ausência, moléstia contagiosa ou impossibilidade de locomoção do beneficiário, o benefício será pago a procurador. 237. Há prazo de validade para a procuração? Sim. O mandato não terá prazo superior a doze meses, podendo ser renovado ou revalidado pelos setores de benefícios do Instituto Nacional do Seguro Social. 238. Existe procuração coletiva? Sim. Entretanto, somente será aceita a constituição de procurador com mais de uma procuração, ou procurações coletivas, nos casos de representantes credenciados de leprosários, sanatórios, asilos e outros estabelecimentos congêneres, nos casos de parentes de primeiro grau, ou, em outros casos, a critério do Instituto Nacional do Seguro Social. 239. O beneficiário pode receber mais de um benefício ao mesmo tempo? Sim, mas existem alguns benefícios que não podem ser pagos concomitantemente. 240. Quais benefícios não podem ser pagos ao mesmo tempo? Exceto no caso de direito adquirido, não é permitido o recebimento conjunto dos seguintes benefícios da previdência social, inclusive quando decorrentes de acidente do trabalho: a) aposentadoria com auxílio-doença; b) mais de uma aposentadoria; c) salário-maternidade com auxílio-doença; d) salário-maternidade com benefício por incapacidade; e) mais de um auxílio-acidente; f) auxílio-acidente com qualquer aposentadoria; 70
  • 71.
    g) auxílio-reclusão comqualquer aposentadoria; h) auxílio-reclusão com auxílio-doença; i) mais de uma pensão deixada por cônjuge; j) mais de uma pensão deixada por companheiro ou companheira; l) mais de uma pensão deixada por cônjuge e companheiro ou companheira. Nos três últimos casos é facultado ao dependente optar pela pensão mais vantajosa. OUTRA APOSENTADORIA AUXÍLIO-RECLUSÃO APOSENTADORIA Proibido AUXÍLIO-DOENÇA Proibido SALÁRIO- acumular acumular MATERNIDADE Proibido acumular (se decorrem da mesma causa) AUXÍLIO-ACIDENTE Proibido AUXÍLIO-ACIDENTE acumular PENSÃO Proibido PENSÃO acumular SALÁRIO- Proibido BENEFÍCIO POR MATERNIDADE acumular INCAPACIDADE Além disso, não é permitido o recebimento conjunto do seguro-desemprego com qualquer benefício de prestação continuada da previdência social, exceto pensão por morte, auxílio-reclusão, auxílio-acidente, auxílio-suplementar ou abono de permanência em serviço. AUXÍLIO-RECLUSÃO SEGURO- iv. PermitidoP AUXÍLIO-ACIDENTE DESEMPREGO roibido acumular v. a PENSÃO 71
  • 72.
    24. QUADRO RESUMODOS BENEFÍCIOS Benefício Condições Quem tem direito Carência (1) Valor Auxílio-doença Incapacidade temporária para Todos os segurados 12 contribuições 91% do SB o mensais trabalho. Aposentadoria por Incapacidade permanente Todos os segurados 12 contribuições 100% do SB + 25% caso invalidez para o mensais necessite de assistência permanente de trabalho. outra pessoa Auxílio-acidente Seqüela de acidente que Empregado, exceto Sem carência 50% do SB reduza a capacidade para o o trabalho. doméstico, trabalhador avulso e segurado especial Aposentadoria por 65 anos de idade, se Todos os segurados 180 contribuições 70% do SB + 1% por grupo de 12 Idade homem, e 60, se mulher, mensais contribuições até 100% reduzindo em cinco anos quando for rural. Aposentadoria por 35 anos de contribuição, se Todos os segurados 180 contribuições 100% do SB. No cálculo da renda Tempo de homem e 30, se mulher. mensais mensal é aplicado obrigatoriamente o Contribuição Professores têm o tempo fator previdenciário reduzido em 5 anos. Aposentadoria Trabalhadores expostos a Segurado 180 contribuições 100% do SB Especial agentes nocivos que empregado, avulso mensais prejudiquem a saúde ou a e o contribuinte integridade física durante individual 15,20 ou 25 anos. (cooperado) Salário-maternidade Estágio final da gravidez ou Todas as seguradas Empregada, Empregada e avulsa: última nascimento de filho. inclusive a remuneração sem limite de valor doméstica e a avulsa: sem carência Contribuinte Doméstica: último salário-de- individual e a contribuição facultativa: 10 contribuições mensais Segurada Especial: Contribuinte individual e facultativa: efetivo exercício de média dos 12 últimos salários-de- atividade rural nos contribuição 10 meses anteriores ao início do benefício Salário-família Remuneração mensal do Empregado, Sem carência, mas 23,08 para remuneração inferior a R$ segurado igual ou inferior a trabalhador avulso, necessária a 449,93 e 16,26 para remuneração entre valor R$ 676,27 e ter filho ou aposentado por apresentação anual R$ 449,94 e R$ 676,27 por filho ou equiparado de até 14 anos de invalidez, idade ou do atestado de equiparado idade na escola ou inválido com mais de 65 vacinação para de qualquer idade. anos, se homem e crianças até 6 anos 60, se mulher e freqüência escolar semestral para crianças a partir dos 7 anos Pensão por Morte Falecimento do segurado. Dependentes do Sem carência 100% do segurado valor as aposentadoria do segurado falecido ou da aposentadoria por invalidez a que teria direito Auxílio-reclusão Segurado recluso, com Dependentes do Sem carência 100% do rendimento igual ou menor a segurado valor as aposentadoria por invalidez a R$ 676,27. que teria direito (1) No caso de auxílio-doença e aposentadoria por invalidez concedidos em razão de acidente do trabalho ou de qualquer natureza, não se exige carência. (2) Valores atualizados Portaria n.º 142 de 04/2007. 72
  • 73.
  • 74.
    QUESTÕES DE CONCURSO SOBRE O ASSUNTO RGPS Assinale C (certo) ou E (errado) ou a assertiva correta: 1. (PROCURADOR/INSS/1999) Se Tício, aposentado pela previdência social a partir de 5 de julho de 1999, passou a perceber proventos de R$ 400,00, terá direito à gratificação natalina paga pelo INSS, a qual, mantendo-se inalterados os proventos, equivalerá, em dezembro do mesmo ano, a R$ 200,00. ( ) 2. (FISCAL/INSS/2000) O abono anual é devido ao segurado da previdência social ou, quando for o caso, ao dependente que, durante o ano, recebeu auxílio-doença, auxílio- acidente, aposentadoria, pensão por morte ou auxílio-reclusão. Considerando que o valor de um desses benefícios correspondesse, no mês de dezembro de 2000, a R$ 460,00, então o beneficiário teria direito ao pagamento do abono nesse mesmo montante, independentemente do mês em que o pagamento do benefício houvesse iniciado. ( ) 3. (FISCAL/INSS/1997) O abono anual é uma gratificação paga uma vez por ano, no valor correspondente à média dos benefícios pagos durante o ano. ( ) 4. (JUIZ FEDERAL SUBSTITUTO DA 1a REGIÃO/2001) São prestações do Regime Geral de Previdência Social, quanto aos dependentes: a) Pensão por morte, auxílio-reclusão e aposentadoria por invalidez. b) Auxílio-reclusão, aposentadoria por invalidez e aposentadoria por idade. c) Pensão por morte e auxílio-reclusão. d) Pensão por morte, auxílio-doença e aposentadoria por invalidez. 5. (JUIZ FEDERAL SUBSTITUTO DA 1a REGIÃO/2001) É correto afirmar, à luz das disposições constitucionais que cuidam da previdência social, que: a) Todos os salários-de-contribuição considerados para o calculo dos benefícios serão devidamente atualizados, na forma da lei. b) A gratificação natalina dos aposentados e pensionistas terá por base o valor da média dos proventos percebidos durante o ano, atualizados na forma da lei. c) O participante de regime próprio de previdência social poderá filiar-se, na qualidade de segurado facultativo, ao Regime Geral de Previdência Social. d) O reajustamento dos benefícios, para preservar-lhes, em caráter permanente, o valor real, não poderá determinar diminuição quanto ao número de salários mínimos a que correspondiam as respectivas rendas mensais iniciais. 6. (JUIZ FEDERAL SUBSTITUTO DA 1a REGIÃO/2001) O segurado e seus dependentes têm direito aos mesmos benefícios da previdência social. ( ) 7. Constitui princípio aplicável especificamente à previdência social: a) Amparo às crianças e aos adolescentes carentes. b) Autonomia da vontade. c) Participação da iniciativa privada em caráter concorrente. 74
  • 75.
    d) Cálculo dosbenefícios, considerando-se os salários-de-contribuição corrigidos monetariamente. e) Acesso universal igualitário. 8. (JUIZ SUBSTITUTO DA 5a REGIÃO/1999) A criação de novos benefícios é vedada e o valor dos benefícios deve ser mantido, segundo a data da concessão. ( ) Determinado município previu, por meio de lei municipal, a concessão de aposentadoria e pensão a seus servidores. Nesse município: Aldo, servidor da Fundação de Ensino Médio (FEM), foi aprovado em concurso público, para ocupar cargo de provimento efetivo; A professora Júlia foi contratada pela FEM pelo período de quatro meses, para substituir outra, que estava em gozo de licença-maternidade; Os servidores da Companhia Municipal de Águas (CMA) são contratados pelo regime da Consolidação das Leis do Trabalho (CLT); Alfredo foi designado para ocupar cargo em comissão de livre nomeação e exoneração na FEM; Adalberto, recém-empossado em cargo público, pretende contar como tempo de contribuição aquele em que freqüentou curso superior. (TÉCNICO PREVIDENCIÁRIO/2003) Com base nessas situações hipotéticas, julgue os itens de 9 a 14: 9. Aldo não faz parte do RGPS, pois é segurado de regime próprio de previdência. ( ) 10. A professora Júlia não é segurada do regime de previdência do município. ( ) 11. Os servidores da CMA não serão vinculados ao RGPS, pois estão amparados pelo regime próprio municipal. ( ) 12. O servidor do município que se aposentar pelo RGPS e continuar a trabalhar como prestador eventual de serviços à prefeitura sem vínculo empregatício não estará obrigado a recolher contribuições ao RGPS, visto que não poderá mais obter novo benefício de aposentadoria. ( ) 13. Alfredo não será incluído no RGPS por já estar amparado pelo regime de previdência municipal. ( ) 14. Adalberto poderá inscrever-se e recolher as contribuições ao RGPS, relativas ao período de estudante, na qualidade de segurado facultativo. ( ) 75
  • 76.
    QUESTÕES DE CONCURSOSOBRE O ASSUNTO SEGURADO Assinale C (certo) ou E (errado) ou a assertiva correta: 15. (FISCAL/INSS/97) O universo de segurados obrigatórios da previdência social inclui o brasileiro civil que trabalha para a União, no exterior, em organismos oficiais brasileiros ou internacionais dos quais o Brasil é membro efetivo, ainda que lá domiciliado e contratado, mesmo que segurado na forma da legislação vigente do país de domicílio. ( ) 16. (FISCAL/INSS/97/ADAPTADA) O universo de segurados obrigatórios da previdência social inclui o ministro de confissão religiosa e o membro de instituto de vida consagrada e de congregação ou de ordem religiosa. ( ) 17. (FISCAL/INSS/98) Podem assumir a condição de segurados facultativos: a dona-de-casa, o estudante menor de quatorze anos, o síndico de condomínio, o bolsista e o estagiário assim definidos em lei, além do presidiário que não exerce atividade remunerada. ( ) 18. (FISCAL/INSS/98) Na condição de segurado facultativo, poderão inscrever-se o brasileiro que acompanha cônjuge que presta serviços no exterior e aquele que perdeu a condição de segurado obrigatório em face do desemprego. ( ) 19. (JUIZ FEDERAL SUBSTITUTO DA 1a REGIÃO/2001) O servidor civil da União, dos Estados, do Distrito Federal ou dos Municípios, bem como o das respectivas autarquias e fundações, sujeito a regime próprio de previdência social: a) Fica automaticamente excluído do Regime Geral de Previdência Social, ainda que, concomitantemente, venha a exercer uma ou mais atividades abrangidas por esse Regime Geral de Previdência Social. b) Tornar-se-á segurado obrigatório do Regime Geral de Previdência Social, em relação às atividades por ele abrangidas. c) Tem a faculdade de vincular-se ao Regime Geral de Previdência Social caso venha a, concomitantemente, exercer atividades por ele abrangidas. d) Tem a faculdade de vincular-se ao Regime Geral da Previdência Social, desde que requeira desligamento do sistema próprio de previdência social. 20. (JUIZ FEDERAL SUBSTITUTO DA 1a REGIÃO/2001) A perda da qualidade de segurado não prejudica o direito à aposentadoria para cuja concessão tenham sido preenchidos todos os requisitos, segundo a legislação em vigor à época em que tais requisitos foram atendidos. ( ) 21. (JUIZ FEDERAL SUBSTITUTO DA 1a REGIÃO/2001) A empregada doméstica poderá filiar-se, como segurada facultativa, ao Regime Geral de Previdência Social. ( ) 76
  • 77.
    22. (JUIZ FEDERALSUBSTITUTO DA 1a REGIÃO/2001) A empregada doméstica é segurada obrigatória do Regime Geral de Previdência Social. ( ) 23. (JUIZ FEDERAL SUBSTITUTO DA 1a REGIÃO/2001) A empregada doméstica não faz jus ao salário-maternidade. ( ) 24. (JUIZ FEDERAL SUBSTITUTO DA 1a REGIÃO/2001) Todo aquele que exercer, concomitantemente, mais de uma atividade remunerada sujeita ao Regime Geral de Previdência Social é obrigatoriamente filiado em relação a cada uma delas. ( ) 25. (JUIZ SUBSTITUTO DA 5a REGIÃO/1999) O estudante com quatorze anos pode filiar- se como segurado facultativo. ( ) 26. (JUIZ SUBSTITUTO DA 5a REGIÃO/1999) O garimpeiro é considerado segurado especial para o recebimento de benefícios previdenciários. ( ) 77
  • 78.
    QUESTÕES DE CONCURSOSOBRE O ASSUNTO MANUTENÇÃO E PERDA DA QUALIDADE DE SEGURADO Assinale C (certo) ou E (errado) ou a assertiva correta: 27. (FISCAL/INSS/2000) Caso um indivíduo completasse, em 1998, todos os requisitos definidos na legislação vigente para fruir o benefício da aposentadoria por tempo de serviço, então poderia obter a concessão do benefício em 2001, ainda que tivesse perdido a qualidade de segurado em 1999. ( ) 28. (FISCAL/INSS/1997) O segurado em gozo de benefício mantém a qualidade de segurado, independentemente de contribuição e sem limite de prazo. ( ) 29. (FISCAL/INSS/1997) O segurado que deixar de exercer atividade abrangida pela previdência social conserva essa qualidade, independentemente de contribuição, com todos os direitos previdenciários, até doze meses após a cessação das contribuições que vinha realizando como segurado obrigatório. Mas, se ele já havia pago mais de cento e vinte contribuições para a previdência social, este prazo de doze meses fica aumentado para vinte e quatro meses. ( ) 30. (JUIZ FEDERAL SUBSTITUTO DA 1a REGIÃO/2001) Mantém a qualidade de segurado, independentemente de contribuição: a) O segurado retido ou recluso, até dezoito meses após o livramento. b) O segurado acometido de doença de segregação compulsória, até doze meses após cessar a segregação, desde que já tenha pago mais de sessenta contribuições mensais sem interrupção que acarrete a perda da qualidade de segurado. c) O segurado facultativo, até doze meses após a cessação das contribuições. d) Quem está em gozo de benefício, sem limite de prazo. 78
  • 79.
    QUESTÕES DE CONCURSOSOBRE O ASSUNTO DEPENDENTES Assinale C (certo) ou E (errado) ou a assertiva correta: 31. (PROCURADOR/INSS/1999) Considere a seguinte situação hipotética: Silvio divorciou- se de Celina. No acordo de separação, cujas condições foram ratificadas por ocasião da conversão da separação judicial em divórcio, houve a dispensa recíproca do pagamento de alimentos, já que ambos dispunham de rendimentos próprios. Silvio constituiu, então, união estável com Cida, vindo a falecer após vários anos de vida em comum com esta companheira. Cida e Celina, cada qual individualmente, requereram, então, pensão por morte junto ao INSS. Nessa situação, considerando que, em nenhum dos seus relacionamentos, Silvio teve filhos, o órgão previdenciário deve conceder a totalidade do benefício a Cida. ( ) 32. (JUIZ FEDERAL SUBSTITUTO DA 1a REGIÃO/2001 ADAPTADA) É presumida a dependência econômica: a) Do cônjuge, do companheiro ou companheira, e do filho não-emancipado, de qualquer condição, menor de vinte e um anos ou inválido. b) Dos pais. c) Do irmão não-emancipado, de qualquer condição, menor de vinte e um anos ou inválido. d) Da mãe, quando viúva, e enquanto durar a viuvez. 33. Equiparam-se aos filhos de qualquer condição, mediante declaração escrita do segurado e prova de que sobrevivem às custas deste, na qualidade de dependentes: a) A mãe e o pai inválido. b) Os irmãos não-emancipados, inválidos, de qualquer condição. c) A pessoa que com ele mantenha união estável e seus filhos menores. d) Os menores sob tutela. e) As pessoas menores de vinte e um anos ou maiores de sessenta anos, ou inválidas. 34. (JUIZ SUBSTITUTO DA 5a REGIÃO/1999) É presumida a dependência econômica dos pais do segurado. ( ) 35. (JUIZ SUBSTITUTO DA 5a REGIÃO/1999) A separação de fato, a judicial e o divórcio não acarretam a perda da qualidade de dependente para o cônjuge, se fixada a prestação de alimentos. ( ) 36. (JUIZ SUBSTITUTO DA 5a REGIÃO/1999) O benefício é pago à filha solteira menor de vinte e um anos, que continuará a recebê-lo após a maioridade, cessando com o casamento ou união estável. ( ) 79
  • 80.
    37. (JUIZ SUBSTITUTODA 5a REGIÃO/1999) O aposentado do regime que se torna viúvo não recebe pensão pela morte da mulher. ( ) 38. (TÉCNICO PREVIDENCIÁRIO/2003) Entre as várias situações cobertas pela previdência social, está a concessão do salário-família e do auxílio-reclusão para os dependentes dos segurados que recebam remuneração até o teto de contribuição do INSS. ( ) João, casado com Sônia, é beneficiário da previdência social na condição de segurado. João tem um filho, José, com vinte anos de idade, de união anterior; um irmão inválido, chamado Mário, com 23 anos de idade; e um menor sob sua tutela, Luís, com seis anos de idade. Sônia tem um filho, Pedro, com 20 anos de idade, de pai falecido. Em comum, João e Sônia têm dois filhos: Josué, com cinco anos de idade, e Paulo, com dezenove anos de idade, que é inválido. Mário, Luís e Pedro não possuem bens suficientes para seu sustento e educação. 39. (TÉCNICO PREVIDENCIÁRIO/2003) João pode, a qualquer momento, inscrever Sônia, os filhos de ambos e seu irmão Mário na previdência social como dependentes. ( ) 40. (TÉCNICO PREVIDENCIÁRIO/2003) A condição de dependente de Paulo prescinde de comprovação de sua dependência econômica. ( ) 80
  • 81.
    QUESTÕES DE CONCURSOSOBRE O ASSUNTO INSCRIÇÃO Assinale C (certo) ou E (errado) ou a assertiva correta: 41. (FISCAL/INSS/2000) Considerando que um indivíduo se vinculasse ao Regime Geral de Previdência Social no momento de sua contratação como empregado por uma empresa, então não haveria nova filiação desse indivíduo ao mesmo regime, caso viesse a exercer, concomitantemente, outra atividade econômica, na condição de trabalhar autônomo. ( ) 42. (FISCAL/INSS/2000) Para os efeitos previdenciários, inscrição de segurado é o ato pelo qual o segurado é cadastrado no Regime Geral de Previdência Social. No caso de segurado empregado, sua inscrição é efetuada diretamente na empresa. ( ) 43. (DEFENSOR PÚBLICO DA UNIÃO/2001) Luciano trabalhava há cinco anos em uma empresa de informática, sempre realizando sua jornada no período noturno, tendo sido regularmente inscrito no Regime Geral de Previdência Social desde o início de sua relação laboral. Subseqüentemente, Luciano foi nomeado para exercer cargo comissionado no serviço público federal, não mantendo, porém, vínculo efetivo com qualquer ente público. Nessa situação, não será necessário proceder-se a nova filiação de Luciano no Regime Geral de Previdência Social, em decorrência do exercício da nova atividade laboral, exercida concomitantemente com a primeira, uma vez que o trabalho já se encontrava inscrito no sistema. ( ) 44. (TÉCNICO PREVIDENCIÁRIO/2003) A inscrição é o ato pelo qual o segurado é cadastrado no RGPS, por meio de comprovação de dados pessoais e outros elementos. ( ) 45. (TÉCNICO PREVIDENCIÁRIO/2003) Com exceção da opção pelo recolhimento trimestral de contribuições, o segurado facultativo não pode retroagir sua filiação, estando vedado pagamento de contribuição relativa a competências anteriores à data de sua inscrição e do seu primeiro recolhimento. ( ) 46. (TÉCNICO PREVIDENCIÁRIO/2003) A filiação materializa a inscrição junto ao RGPS e objetiva a identificação pessoal do segurado. ( ) 47. (TÉCNICO PREVIDENCIÁRIO/2003) É vedada a inscrição de segurado após sua morte, exceto em caso de segurado especial. ( ) 48. (ANALISTA PREVIDENCIÁRIO/2003) A inscrição de dependente na previdência social não pode ser feita antes do requerimento do benefício a que tiver direito. ( ) 81
  • 82.
    QUESTÕES DE CONCURSOSOBRE O ASSUNTO CARÊNCIA Assinale C (certo) ou E (errado) ou a assertiva correta: 49. (FISCAL/INSS/1997) O auxílio-reclusão e a aposentadoria por idade de segurado empregado doméstico são benefícios previdenciários que dependem, respectivamente, de período de carência de doze contribuições mensais e de cento e oitenta contribuições mensais. ( ) 50. (FISCAL/INSS/1997) Para que o segurado tenha direito a certos benefícios previdenciários, é necessário que tenha pago um determinado número de contribuições mensais, o que se denomina de período de carência. ( ) 51. (JUIZ FEDERAL SUBSTITUTO DA 1a REGIÃO/2001) Independe de carência a pensão por morte. ( ) 52. É exigível comprovação do período de carência para concessão de: a) Aposentadoria por tempo de contribuição a segurado especial. b) Aposentadoria por invalidez a contribuinte individual acometido de AIDS. c) Salário-maternidade à empregada, exceto a doméstica. d) Pensão por morte ou auxílio-reclusão aos dependentes. e) Auxílio-acidente decorrente de incapacidade extralaborativa. 53. (JUIZ SUBSTITUTO DA 5a REGIÃO/1999) Todos os benefícios previstos dependem de número mínimo de contribuições mensais. ( ) 54. (JUIZ SUBSTITUTO DA 5a REGIÃO/1999) O segurado homem com sessenta e cinco anos e mulher com sessenta anos têm direito à aposentadoria por idade, independentemente de número mínimo de contribuições. ( ) 55. (JUIZ SUBSTITUTO DA 5a REGIÃO/1999) A aposentadoria especial não depende de número de contribuições. ( ) 56. (JUIZ SUBSTITUTO DA 5a REGIÃO/1999) A concessão do auxílio-doença e da aposentadoria por invalidez depende de doze contribuições mensais, exceção feita a doenças graves relacionadas na lei. ( ) 57. (DEFENSOR PÚBLICO DA UNIÃO/2001) Tirso foi inscrito no Regime Geral de Pre- vidência Social em 30/7/2001, por ocasião da celebração do seu primeiro contrato de trabalho, tendo sido providenciada, igualmente, a inscrição de sua esposa na qualidade de dependente. No dia 9 do mês subseqüente, contudo, Tirso veio a óbito, vítima de homicídio praticado por um desafeto. Nessa situação, a dependente do segurado falecido não terá direito ao benefício de pensão por morte, em virtude de não haver transcorrido o prazo de carência definido em lei. A dependente faria jus ao benefício, contudo, se o óbito do segurado decorresse de acidente de trabalho. ( ) 82
  • 83.
    58. (TÉCNICO PREVIDENCIÁRIO/2003) Carência é o tempo correspondente ao número mínimo de contribuições mensais exigíveis para que o beneficiário tenha direito a usufruir o benefício. ( ) 59. (ANALISTA PREVIDENCIÁRIO/2003) O contribuinte individual pode, desde que provado o exercício da atividade, recolher contribuições relativas a competências anteriores à sua primeira contribuição, que serão computadas inclusive para efeito de carência. ( ) 60. (TRF 5 ª REGIÃO ANO 2001) É exigível comprovação do período de carência para concessão de: a) Pensão por morte ou auxílio-reclusão aos dependentes. b) Auxílio-acidente decorrente de incapacidade extralaborativa. c) Aposentadoria por tempo de contribuição a segurado especial. d) Aposentadoria por invalidez a contribuinte individual acometido de AIDS. e) Salário-maternidade a empregada, exceto a doméstica. 61. (JUIZ DO TRABALHO SUBSTITUTO 2003) Assinale a alternativa correta em relação à carência dos seguintes benefícios previdenciários: a) A aposentadoria por invalidez e o auxílio-acidente independem de carência. b) O auxílio-acidente e o auxílio-doença independem de carência. c) O salário-maternidade para as seguradas empregada, empregada doméstica e trabalhadora avulsa independe de carência. d) O auxílio-reclusão possui a carência de 12 (doze) meses. e) A aposentadoria por invalidez e auxílio-acidente possuem a carência de 12 (doze) meses. 62. (Prova AFPS/2002) A respeito dos períodos de carência, assinale qual dos benefícios abaixo necessita de período de carência: a) Pensão por morte. b) Auxílio-reclusão. c) Salário-família. d) Auxílio-acidente. e) Auxílio-doença 83
  • 84.
    QUESTÕES DE CONCURSOSOBRE O ASSUNTO SALÁRIO-DE-BENEFÍCIO Assinale C (certo) ou E (errado) ou a assertiva correta: 63. (JUIZ FEDERAL SUBSTITUTO DA 1a REGIÃO/2001) O valor do benefício de prestação continuada, devido pela previdência social, terá por base o último salário-de- contribuição. ( ) 64. (JUIZ SUBSTITUTO DA 5a REGIÃO/1999) O salário-de-benefício corresponde à média aritmética simples dos últimos vinte e quatro salários-de-contribuição, corrigidos monetariamente. ( ) 65. (JUIZ SUBSTITUTO DA 5a REGIÃO/1999) O salário-de-benefício corresponde à média aritmética simples dos últimos quarenta e oito salários-de-contribuição, corrigidos monetariamente. ( ) 66. (JUIZ SUBSTITUTO DA 5a REGIÃO/1999) O salário-de-benefício corresponde ao valor do salário-de-contribuição da data do afastamento do trabalho. ( ) 67. (JUIZ SUBSTITUTO DA 5a REGIÃO/1999) O salário-de-benefício corresponde a dez salários-mínimos. ( ) 68. (JUIZ SUBSTITUTO DA 5a REGIÃO/1999) O salário-de-benefício corresponde à média aritmética simples dos últimos trinta e seis salários-de-contribuição, apurados no período máximo de quarenta e oito meses e corrigidos monetariamente. ( ) 69. (TÉCNICO PREVIDENCIÁRIO/2003) O segurado empregado terá computados, no cálculo do valor da renda mensal do benefício, todos os salários-de-contribuição relativos às contribuições devidas, ainda que não tenham sido recolhidas pela empresa. ( ) 70. (TÉCNICO PREVIDENCIÁRIO/2003) O fator previdenciário será calculado mediante fórmula que considere a idade, a expectativa de sobrevida e o tempo de contribuição do segurado ao se aposentar. ( ) 71. (JUIZ FEDERAL SUBSTITUTO DA 4ª REGIÃO ANO 2001) Assinalar a alternativa correta: 84
  • 85.
    O cálculo dofator previdenciário, elemento aplicado na apuração do valor dos benefícios instituído pela Lei 9.876/99, é elaborado a partir das seguintes variáveis: a) O grau de insalubridade ou periculosidade da atividade, o sexo e a idade do segurado ao se aposentar. b) A idade, o tempo de contribuição e a expectativa de sobrevida do segurado ao se aposentar. c) A espécie de segurado, o tempo de contribuição e a idade do segurado ao se aposentar. d) A natureza da atividade e a expectativa de sobrevida do segurado ao se aposentar. 85
  • 86.
    QUESTÕES DE CONCURSOSOBRE O ASSUNTO APOSENTADORIA POR INVALIDEZ Assinale C (certo) ou E (errado) ou a assertiva correta: 72. (FISCAL/INSS/2000) Caso um aposentado por invalidez retornasse voluntariamente à atividade, teria sua aposentadoria automaticamente cancelada, a partir da data do retorno. ( ) 73. (FISCAL/INSS/1998) Restando apurada a incapacidade definitiva para o exercício de uma das diversas atividades titularizadas pelo segurado acidentado, será cabível a conversão do auxílio-doença em aposentadoria especial, independentemente da subsistência dos demais vínculos laborais concomitantes por ele mantidos. ( ) 74. A aposentadoria por invalidez será cancelada imediatamente, se o segurado recusar tratamento cirúrgico gratuito. ( ) 75. (TÉCNICO PREVIDENCIÁRIO/2003) Mesmo quando a perícia médica inicial concluir pela incapacidade definitiva para o trabalho, a aposentadoria por invalidez deverá ser precedida de auxílio-doença. ( ) 76. (TÉCNICO PREVIDENCIÁRIO/2003) Considere a seguinte situação hipotética. Lucas, que é segurado da previdência social e exerce duas atividades concomitantes, como contribuinte individual e como empregado, incapacitou-se definitivamente para aquela que exerce como empregado. Nessa situação, Lucas será aposentado por invalidez em relação à atividade para a qual se incapacitou, enquanto a incapacidade não se estender à outra atividade. ( ) 77. (JUIZ DO TRF 4ª REGIÃO/2004) Assinalar a alternativa correta: Em relação ao segurado contribuinte individual que se aposenta por invalidez no atual regime da Lei nº 8.213/91, pode-se afirmar que: I. pode exercer atividade remunerada sem prejuízo de sua aposentadoria, desde que a atividade seja compatível com sua incapacidade, mas fica obrigado a contribuir para a Previdência Social e desta atividade não resulta direito a nenhum benefício além daquele que já percebe. II. deve ter o seu benefício imediatamente cancelado se, em perícia médica realizada pela autarquia previdenciária, for constatada a recuperação total da capacidade laboral. 86
  • 87.
    III. fica obrigadoa se submeter a exames médicos a cargo da Previdência Social enquanto estiver percebendo o benefício, independentemente da idade que possua, sob pena de suspensão da aposentadoria. a) Está correta apenas a assertiva II. b) Está correta apenas a assertiva III. c) Estão corretas apenas as assertivas I e II. d) Estão corretas apenas as assertivas II e III. 78. (AGU 2002 PROCURADOR FEDERAL) Exercendo o segurado duas ou mais atividades, a incapacidade definitiva verificada em relação a uma delas autoriza a concessão da aposentadoria por invalidez, ainda que a incapacidade não possa ser estendida às demais atividades. ( ) 79. (Prova Procurador Federal/2004) A aposentadoria por invalidez, decorrente de acidente de trabalho, é devida ao acidentado que, estando ou não em gozo de auxílio-doença, foi considerado incapaz para o trabalho e insuscetível de reabilitação para o exercício de atividade que lhe garanta a subsistência. ( ) 80. (Prova AFPS/2002) Com relação à aposentadoria por invalidez e suas características, assinale a opção incorreta: a) Benefício de renda mensal. b) Exige, em regra, carência. c) Extinção do benefício com o retorno voluntário à atividade. d) Pode ser acumulado com auxílio-doença. e) Alíquota de 100% do salário-de-benefício. 87
  • 88.
    QUESTÕES DE CONCURSOSOBRE O ASSUNTO APOSENTADORIA POR IDADE Assinale C (certo) ou E (errado) ou a assertiva correta: 81. (FISCAL/INSS/2000) Considerando que, após vinte anos consecutivos de contribuição para o Regime Geral de Previdência Social, uma segurada tivesse completado sessenta anos de idade, àquela altura com salário-de-benefício equivalente a R$ 800,00, então, se pretendesse aposentar-se por idade, o valor do respectivo benefício corresponderia a R$ 720,00. ( ) 82. (FISCAL/INSS/1997) A renda mensal inicial do benefício de aposentadoria por idade corresponde a 80% do salário-de-benefício do segurado, mais 1% deste por grupo de doze contribuições mensais, até o máximo de 20%. ( ) 83. (DEFENSOR PÚBLICO DA UNIÃO/2001) Ismael requereu o benefício de aposentadoria por idade, ao completar sessenta e cinco anos, após contribuir para a previdência social, comprovadamente, por exatos vinte e cinco anos. Demonstrados os valores dos salários- de-contribuição de Ismael ao longo do período, o INSS apurou que o seu salário-de- benefício correspondia a R$ 900,00. Nessa situação, a renda mensal inicial da aposentadoria de Ismael corresponderá a R$ 855,00. ( ) 84. (ANALISTA PREVIDENCIÁRIO/2003) Considere a seguinte situação hipotética: Joana, trabalhadora rural como empregada, acabou de completar 55 anos de idade e está em gozo de auxílio-doença. Ela já conta com 185 contribuições mensais para a previdência social, anteriores ao início do auxílio-doença. Nessa situação, Joana poderá pedir a transformação do benefício em aposentadoria por idade. ( ) 85. (ANALISTA PREVIDENCIÁRIO/2003) Suponha que Mariana, com 65 anos de idade, seja segurada empregada, e já conte com 190 contribuições mensais à previdência social. Nesse caso, a empresa em que ela trabalha poderá, independente da vontade de Mariana, requerer a sua aposentadoria compulsória. ( ) 88
  • 89.
    QUESTÕES DE CONCURSOSOBRE O ASSUNTO APOSENTADORIA POR TEMPO DE CONTRIBUIÇÃO Assinale C (certo) ou E (errado) ou a assertiva correta: 86. (PROCURADOR/INSS/1999) Considere a seguinte situação hipotética: pretendendo aposentar-se por tempo de contribuição, Joana demonstrou haver contribuído por vinte e cinco anos e postulou, junto à repartição previdenciária, autorização para efetuar o recolhimento antecipado das sessenta contribuições que lhe faltavam para completar os trinta anos de contribuição necessários à fruição do benefício. Nessa situação, Joana terá direito a proceder conforme requerido. ( ) 87. (JUIZ SUBSTITUTO DA 5a REGIÃO/1999) A aposentadoria por tempo de contribuição é concedida ao homem com trinta e cinco anos de contribuição e sessenta anos de idade. ( ) 88. (TÉCNICO PREVIDENCIÁRIO/2003) O professor de ensino médio que comprovar, como tempo total para fins de aposentadoria, apenas tempo de atividade docente em sala de aula e atividades afins poderá aposentar-se com vinte e cinco anos de contribuição. ( ) 89. (ADVOCACIA-GERAL DA UNIÃO 2002 PROCURADOR FEDERAL) Para efeito de aposentadoria, é assegurada a contagem recíproca do tempo de contribuição na administração pública e na atividade privada, rural e urbana, segundo critérios estabelecidos em lei. ( ) 90. (ANALISTA PREVIDENCIÁRIO 2005) Quanto à contagem recíproca do tempo de contribuição na administração pública e na atividade privada, rural e urbana, assinale a afirmativa INCORRETA: a) É vedada a contagem de tempo de contribuição no serviço público com o de contribuição na atividade privada, quando concomitantes. b) Não será contado por um regime o tempo de contribuição utilizado para a concessão de aposentadoria por outro regime. c) Será admitida a contagem em dobro ou em outras condições especiais, previstas em lei. d) A certidão de tempo de contribuição, para fins de averbação do tempo em outros regimes de previdência, somente será expedida pelo INSS após a comprovação da quitação de todos os valores devidos, inclusive de eventuais parcelamentos de débito. 89
  • 90.
    e) O benefícioconcedido com contagem recíproca de tempo de contribuição, na forma do enunciado, será concedido e pago pelo regime a que o interessado estiver vinculado ao requerê-lo, e calculado na forma da respectiva legislação. 90
  • 91.
    QUESTÕES DE CONCURSOSOBRE O ASSUNTO APOSENTADORIA ESPECIAL Assinale C (certo) ou E (errado) ou a assertiva correta: 91. (JUIZ DO TRABALHO SUBSTITUTO 2004) Para a concessão da aposentadoria especial, o segurado dependerá de comprovação, perante o INSS, do tempo de trabalho permanente ou intermitente, exercido em condições especiais que prejudiquem a saúde ou a integridade física ( ) 92. (JUIZ DO TRABALHO SUBSTITUTO 2004) A aposentadoria especial, por motivo de condições de trabalho que prejudiquem a saúde ou a integridade física, é concedida ao contribuinte individual somente quando cooperado, filiado a cooperativa de trabalho ou de produção, que tenha laborado pelo prazo mínimo definido em lei. ( ) 93. (Procurador Federal/2004) Considere a seguinte situação hipotética. Sérgio, segurado da previdência social na qualidade de contribuinte individual, é eletricista e presta serviço de natureza eventual a diversas empresas, sem relação de emprego, sendo chamado para trabalhar, principalmente em estabelecimentos de saúde, onde já conhecem a qualidade do seu serviço. Nessa situação, caso comprove que, em várias oportunidades, esteve exposto a condições especiais que prejudicaram sua saúde e sua integridade física, cumprida a carência exigida e o tempo de contribuição, conforme o caso, Sérgio fará jus a uma aposentadoria especial do INSS. ( ) 91
  • 92.
    QUESTÕES DE CONCURSOSOBRE O ASSUNTO AUXÍLIO DOENÇA Assinale C (certo) ou E (errado) ou a assertiva correta: 94. (PROCURADOR/INSS/1999) Considere a seguinte situação hipotética: a inscrição de Quintiliano como segurado da previdência social ocorreu em janeiro de 1999. No mês de julho seguinte, Quintiliano foi acometido de doença não-relacionada à atividade laboral, ficando, por conseguinte, incapacitado para o trabalho por três meses. Quintiliano requereu, então, junto ao INSS, o pagamento do auxílio-doença, a partir do décimo sexto dia do seu afastamento do trabalho. Nessa situação, poderá ser correta a decisão da autarquia previdenciária de negar o benefício, sob o fundamento legal de que não se consumara o período de carência que se fazia mister. ( ) 95. (FISCAL/INSS/1998) O auxílio-doença do segurado que exerce mais de uma atividade abrangida pela previdência não será devido, se a incapacidade ocorrer apenas para o exercício de uma delas, salvo se as atividades concomitantes forem da mesma natureza. ( ) 96. (JUIZ FEDERAL SUBSTITUTO DA 1a REGIÃO/2001) O auxílio-doença será devido ao segurado que, cumprido o período de carência exigido por lei, ficar total e permanentemente incapacitado para seu trabalho ou atividade habitual. ( ) 97. (JUIZ FEDERAL SUBSTITUTO DA 1a REGIÃO/2001) O auxílio-doença em nenhum caso será devido ao segurado que se filiar ao Regime Geral de Previdência Social, já portador da doença ou da lesão invocada como causa do benefício. ( ) 98. (DEFENSOR PÚBLICO DA UNIÃO/2001) Moisés foi acometido por doença de- generativa, decorrente do exercício de sua atividade laboral, em condições insalubres por mais de dez anos. Moisés foi, então, afastado do trabalho, para efeito de tratamento de saúde, sendo que, na ocasião, percebia remuneração de R$ 3.500,00. Nessa situação, Moisés teria o direito a perceber o benefício do auxílio-doença, pago pela previdência social, a partir do décimo sexto dia de afastamento do trabalho, o qual não poderá ser inferior ao valor da remuneração paga pelo empregador. ( ) 99. (JUIZ DO TRF 4ª REGIÃO/2004) Assinalar a alternativa correta: José propõe ação contra o Instituto Nacional do Seguro Social (INSS), postulando a concessão de auxílio-doença, alegando ter sido acometido, há cerca de um mês, de doença que o incapacita temporariamente para exercer suas atividades habituais. Comprova que exerceu atividade abrangida pela Previdência Social como empregado em empresa de mudanças pelo 92
  • 93.
    período de 6(seis) anos. Contudo, não exerce atividades laborais nem recolhe contribuições para a Previdência Social há 19 (dezenove) meses. Nessa perspectiva, pelos termos da Lei nº 8.213/91 (Lei Geral de Planos de Benefícios de Previdência Social), se ficar comprovada a incapacidade temporária para suas atividades habituais, José: a) Fará jus ao benefício de auxílio-doença se comprovar que as suas contribuições previdenciárias foram efetivamente recolhidas pelos empregadores nos 6 (seis) anos em que esteve empregado. b) Fará jus ao benefício de auxílio-doença se comprovar que esteve desempregado nos últimos 6 (seis) meses pelo registro no órgão competente. c) Não fará jus ao benefício de auxílio-doença se estiver capacitado para o exercício de atividades mais leves do que a atividade habitual. d) Não fará jus ao benefício de auxílio-doença em nenhuma hipótese, pois perdeu a qualidade de segurado da Previdência Social. 100. (JUIZ FEDERAL SUBSTITUTO DA 4ª REGIÃO ANO 2001) Assinalar a alternativa correta: A inscreve-se na Previdência como contribuinte individual (trabalhador autônomo), comprovando o exercício da atividade nos últimos cinco anos e recolhendo as respectivas contribuições retroativamente. Menos de um mês depois da inscrição, é acometido de doença incapacitante. Nessas circunstâncias, A : a) Não faz jus a benefício por incapacidade em qualquer hipótese. b) Faz jus a benefício por incapacidade em qualquer hipótese, a auxílio-doença, se a incapacidade for temporária, e a aposentadoria por invalidez, se a incapacidade for permanente. c) Por falta de carência, não faz jus a benefício por incapacidade a não ser que a doença se enquadre no rol das enfermidades que a dispensam. d) Não faz jus a qualquer benefício por incapacidade, mas tem direito à devolução das contribuições sob a forma de pecúlio. 101. (JUIZ FEDERAL SUBSTITUTO DA 4ª REGIÃO ANO 2001) Assinalar a alternativa correta: A incapacidade laboral proveniente de doença de que o segurado já era portador quando se filiou à Previdência: a) Não enseja direito a auxílio-doença ou a aposentadoria por invalidez em nenhuma hipótese. b) Somente enseja direito a auxílio-doença ou a aposentadoria por invalidez, se o segurado comunicou à Previdência a existência da enfermidade quando da filiação. c) Enseja direito a auxílio-doença, mas não a aposentadoria por invalidez. 93
  • 94.
    d) Enseja direitoa auxilio-doença ou a aposentadoria por invalidez, se a incapacidade for posterior à filiação, resultando do agravamento ou progressão da doença. 94
  • 95.
    QUESTÕES DE CONCURSOSOBRE O ASSUNTO SALÁRIO-FAMÍLIA Assinale C (certo) ou E (errado) ou a assertiva correta: 102. (JUIZ SUBSTITUTO DA 5a REGIÃO/1999) O auxílio-reclusão (aos dependentes) e o salário-família (aos segurados) são concedidos independentemente da renda mensal do trabalhador. ( ) 103. (PROCURADOR DO TRABALHO/2000) Perde o segurado o direito ao salário-família quando: a) O filho menor que mantém chega aos quinze anos de idade. b) Cessa a invalidez do filho que mantém, sendo suspenso o benefício no mês em que cessou a invalidez. c) Perde o emprego. d) Morre o filho por ele mantido, sendo suspenso o benefício no mês em que ocorreu a morte do dependente. e) O filho menor que mantém atinge a maioridade. 104. (PROVA ANALISTA PREVIDENCIÁRIO/2003) Considere a seguinte situação hipotética: O casal Adacir e Ana, ambos segurados da previdência social como empregados, tem cinco filhos na faixa etária de dois a onze anos de idade. Adacir recebe remuneração mensal de R$ 250,00, e Ana de R$ 350,00. Nessa situação, Adacir e Ana têm direito a receber, cada um, cinco cotas de salário-família. ( ) 105. (AGU 2002 PROCURADOR FEDERAL) Salário-família é devido, mensalmente, ao segurado empregado, exceto o doméstico, na proporção do respectivo número de filhos, independentemente de sua condição econômica. ( ) 95
  • 96.
    QUESTÕES DE CONCURSOSOBRE O ASSUNTO SALÁRIO-MATERNIDADE Assinale C (certo) ou E (errado) ou a assertiva correta: 106. (FISCAL/INSS/2000) Considere a seguinte situação hipotética: regularmente empregada, há cinco anos, em uma empresa do ramo de confecção, Maria trabalhou até o final do expediente. Todavia, como já se completava o nono mês de gestação, naquela mesma noite Maria entrou em trabalho de parto e deu a luz a seu filho, vindo, então, a entrar em gozo de licença-maternidade. Nessa situação, a empresa empregadora deverá assumir o encargo da remuneração de Maria por vinte e oito dias, após o que ela receberá, por noventa e dois dias, o benefício do salário-maternidade. ( ) 107. (FISCAL/INSS/1997) Quando a empregada doméstica estiver em gozo de salário- maternidade, o empregador deverá recolher somente a contribuição de 12% sobre o salário-de-contribuição dela. ( ) 108. (JUIZ FEDERAL SUBSTITUTO DA 1a REGIÃO/2001) A segurada especial tem direito a salário-maternidade, no valor de um salário mínimo, desde que comprove o exercício de atividades rurais, ainda que de forma descontínua, nos trinta meses imediatamente anteriores ao do início do benefício. ( ) 109. (JUIZ SUBSTITUTO DA 5a REGIÃO/1999) O salário-maternidade é concedido à segurada empregada, empregada doméstica, avulsa e segurada especial. ( ) 96
  • 97.
    QUESTÕES DE CONCURSOSOBRE O ASSUNTO AUXÍLIO-ACIDENTE Assinale C (certo) ou E (errado) ou a assertiva correta: 110. (FISCAL/INSS/1997) Todos os segurados terão direito ao auxílio-acidente. ( ) 111. (JUIZ DO TRABALHO-PB-Adaptada) Quanto às prestações previdenciárias relativas a acidente de trabalho, é correto afirmar que: a) São devidas ao empregado doméstico. b) São devidas ao contribuinte individual. c) O segurado que sofre acidente de trabalho tem garantido, pelo prazo máximo de doze meses, a manutenção do seu contrato de trabalho, após a cessação do respectivo auxílio- doença e independentemente de percepção de auxílio-acidente. d) São devidas ao segurado especial. e) Nenhuma das alternativas anteriores é correta. 112. (FISCAL/INSS/2000) Considere a seguinte situação hipotética: no curso do quinto ano de vigência regular do contrato de trabalho, João sofreu acidente enquanto realizava sua atividade laboral, ficando, em conseqüência, incapacitado, temporariamente, para qualquer trabalho. Após dois anos de tratamento e reabilitação profissional, João pôde finalmente voltar ao trabalho, mas as seqüelas decorrentes do acidente não mais permitiram que ele realizasse as atividades anteriormente desempenhadas na empresa. Nessa situação, João receberá o auxílio-doença a partir do décimo sexto dia de afastamento do trabalho, até a data em que voltar a trabalhar. Além disso, somente após a interrupção do pagamento do auxílio-doença é que João passará a receber o benefício do auxílio-acidente, que será pago concomitantemente com a remuneração devida pela empregadora. ( ) 113. (PROCURADOR/INSS/1999) Considere a seguinte situação hipotética: Gabriel sofreu acidente de trabalho, ficando, em conseqüência, afastado do trabalho por dois anos. Enquanto se recuperava, Gabriel passou a ser titular do benefício de pensão previdenciária, em razão da morte do seu cônjuge. Consolidadas as lesões, constataram- se seqüelas que reduziam a capacidade de Gabriel para o trabalho que habitualmente exercia. Assim, cessando o auxílio-doença acidentário, e tendo-se readaptado ao trabalho, Gabriel prosseguiu com a relação laboral com o seu antigo empregador, voltando a receber salário. A par disso, requereu ao INSS o pagamento de auxílio-acidente. Nesse caso, será correta a decisão do agente do órgão previdenciário que acolha o pedido de Gabriel, sustentando que o recebimento de salário e da pensão não prejudica o direito do segurado ao benefício requerido. ( ) 97
  • 98.
    QUESTÕES DE CONCURSOSOBRE O ASSUNTO PENSÃO POR MORTE Assinale C (certo) ou E (errado): 114. (PROCURADOR/INSS/1999) Considere a seguinte situação hipotética: quando Helena faleceu, em janeiro de 1999, havia quinze anos que entre ela e Ricardo estabelecera-se uma união estável. À ocasião, tanto Helena como Ricardo eram segurados da previdência social há mais de vinte anos, sendo que a contribuição de Ricardo era recolhida mensalmente pelo seu empregador e devidamente repassada ao Instituto Nacional do Seguro Social (INSS). Logo, Ricardo tem direito a receber pensão previdenciária, em decorrência da morte de sua companheira. ( ) 115. (PROCURADOR/INSS/1999) Considere a seguinte situação hipotética: Almeida, segurado da previdência social, faleceu subitamente. Seus dependentes, trinta e um dias após o óbito, requereram ao INSS o benefício de pensão por morte, apesar de Almeida não ser aposentado por ocasião do seu falecimento. Nessa situação, o INSS deverá conceder regulamente o benefício solicitado, devendo seu início dar-se, entretanto, a partir da data do requerimento, e não da do óbito. ( ) 116. (PROCURADOR/INSS/1999) Considere a seguinte situação hipotética: Selma, Mila e Heitor, titulares de pensão por morte, em decorrência do falecimento de seu cônjuge e genitor, respectivamente, percebem, cada qual, benefício equivalente a R$ 150,00. Nessa situação, Mila, ao atingir vinte e um anos de idade, perderá o direito à pensão, mesmo sendo solteira e estando desempregada. Dessa forma, a pensão de Selma passará a totalizar R$ 300,00. ( ) 117. (PROCURADOR/INSS/1999) Considerando que Cássio, aposentado por invalidez, com percepção de proventos no valor de R$ 800,00, veio a falecer, deixando como dependente apenas o seu cônjuge, então sua esposa terá direito à pensão por morte, equivalente a R$ 640,00. ( ) 118. (PROCURADOR/INSS/1999) Considere a seguinte situação hipotética: Maria constituiu união estável com João, segurado da previdência social. Sobrevindo o óbito do seu companheiro, Maria requereu ao INSS o benefício de pensão por morte, ocasião em que informou ao órgão previdenciário ser titular de pensão por morte paga pela seguridade dos servidores públicos civis da União, por ser viúva de ex-servidor do INSS. Nesse caso, o INSS deve conceder o benefício. ( ) 98
  • 99.
    119. (FISCAL/INSS/2000) Ovalor da pensão por morte devida aos dependentes do segurado, não estando este em gozo de nenhum benefício previdenciário quando do óbito, é de cem por cento do valor da aposentadoria por invalidez a que o segurado teria direito, se estivesse aposentado na data do seu falecimento. ( ) 120. (DEFENSORIA PÚBLICA DA UNIÃO/2001) Tirso foi inscrito no Regime Geral de Previdência Social em 30/7/2001, por ocasião da celebração do seu primeiro contrato de trabalho, tendo sido providenciada, igualmente, a inscrição de sua esposa na qualidade de dependente. No dia nove do mês subseqüente, contudo, Tirso veio a óbito, vítima de homicídio praticado por um desafeto. Nessa situação, a dependente do segurado falecido não terá direito ao benefício de pensão por morte, em virtude de não haver transcorrido o prazo de carência definido em lei. A dependente faria jus ao benefício, contudo, se o óbito do segurado decorresse de acidente de trabalho. ( ) 121. (DEFENSOR PÚBLICO DA UNIÃO/2001) Lauro tornou-se pensionista da União em julho de 1991, em decorrência do falecimento de sua esposa, a qual, quando do óbito, exercia o cargo de procurador autárquico da União. Em 1993, Lauro passou a viver com Marta, tendo nascido três filhos dessa união. Marta faleceu em agosto de 2001, de modo que Lauro requereu ao INSS o benefício de pensão por morte, na qualidade de companheiro da segurada falecida. Nessa situação, a pensão deverá ser concedida integralmente aos filhos do casal, haja vista o ordenamento jurídico vedar o recebimento conjunto de mais de um benefício de pensão por morte, como requerido por Lauro. ( ) 99
  • 100.
    QUESTÕES DE CONCURSOSOBRE O ASSUNTO AUXÍLIO-RECLUSÃO Assinale C (certo) ou E (errado): 122. (PROCURADOR/INSS/1999 ADAPTADA) Se Mévio, segurado da previdência social, foi condenado a cinco anos de reclusão e, por ocasião do início do cumprimento da pena, em julho de 1999, ele estava empregado e percebia salário equivalente a R$ 800,00, então seus dependentes têm direito ao auxílio-reclusão. ( ) 123. (FISCAL/INSS/2000) Considere a seguinte situação hipotética: logo que conseguiu o seu primeiro emprego, em março de 2000, Júlio foi regularmente inscrito na previdência social, na condição de segurado, ocasião em que sua esposa e sua filha foram inscritas como suas dependentes. Em maio do mesmo ano, contudo, Júlio veio a ser preso em flagrante pela prática de crime, tendo permanecido preso no curso da respectiva ação penal, ao cabo da qual veio a ser condenado a cinco anos de reclusão. Nessa situação, suas dependentes não terão direito ao auxílio-reclusão, em razão de não se ter completado o prazo de carência para recebimento desse benefício. ( ) 124. (FISCAL/INSS/1998 Adapatada) O auxílio-reclusão é devido aos dependentes do segurado de baixa renda recolhido à prisão que não receber remuneração da empresa nem estiver em gozo de auxílio-doença, de aposentadoria ou de abono de permanência, durante todo o período de detenção ou reclusão, devendo ser suspenso em caso de fuga e convertido em pensão, se sobrevier a morte do segurado detido ou recluso. ( ) 125. (Procurador/INSS/Cespe/1998) O auxílio-reclusão tem como fato gerador o recolhimento do segurado à prisão, conforme comprovado por certidão e declaração de subsistência da condição de presidiário, quando atendida a carência de 12 contribuições mensais, não estiver o segurado recebendo remuneração da empresa ou em gozo de auxílio-doença, de aposentadoria ou de abono de permanência em serviço. ( ) 100
  • 101.
    Gabarito 1. C 27. C 53. E 79. C 105. E 2. E 28. C 54. E 80. D 106. E 3. E 29. C 55. E 81. C 107. C 4. C 30. D 56. C 82. E 108. E 5. A 31. C 57. E 83. C 109. C 6. E 32. A 58. C 84. C 110. E 7. D 33. D 59. E 85. C 111. D 8. E 34. E 60. C 86. E 112. C ANULADA 9. 35. C 61. C 87. E 113. C 10. C 36. E 62. E 88. E 114. C 11. E 37. E 63. E 89. C 115. C 12. E 38. E 64. E 90. C 116. E ANULADA 13. 39. E 65. E 91. E 117. E 14. E 40. C 66. E 92. C 118. C 15. E 41. E 67. E 93. E 119. C 16. C 42. C 68. E 94. C 120. E 17. E 43. E 69. C 95. E 121. E 18. C 44. C 70. C 96. E 122. E 19. B 45. C 71. B 97. E 123. E 20. C 46. E 72. C 98. E 124. C 21. E 47. C 73. E 99. B 125. E 22. C 48. C 74. E 100. C 23. E 49. E 75. E 101. D 24. C 50. C 76. E 102. E 25. E 51. C 77. B 103. C 26. E 52. A 78. E 104. C 101
  • 102.
  • 103.
    PROVA ANALISTA PREVIDENCIÁRIO2005 1. NÃO está correto afirmar que a Previdência Social rege-se pelo seguinte princípio ou objetivo: a) Universalidade da cobertura e do atendimento. b) Uniformidade e equivalência dos benefícios e serviços a populações urbanas e rurais. c) Seletividade e distributividade na prestação dos benefícios. d) Sistema contributivo de capitalização. e) Irredutibilidade do valor dos benefícios. 2. É segurado facultativo do Regime Geral de Previdência Social o: a) Ministro de confissão religiosa e o membro de instituto de vida consagrada, de congregação ou de ordem religiosa. b) Pescador artesanal que exerça sua atividade individualmente ou em regime de economia familiar. c) Estudante. d) Prestador de serviço de natureza urbana ou rural, em caráter eventual, a uma ou mais empresas, sem relação de emprego. e) Síndico de condomínio, desde que receba remuneração. 3. Tício, marido de Martha, faleceu, em julho de 2004, desempregado. Havia trabalhado como empregado, durante 20 (vinte) anos, para a empresa Carro dos Sonhos Ltda , tendo terminado o seu contrato de trabalho com a referida empresa em julho de 1999. Em agosto de 2004, Martha formulou requerimento administrativo de pensão por morte em uma Agência da Previdência e teve seu pedido indeferido. A correta justificativa para o indeferimento da pensão por morte nesse caso é: a) O fato de o período de carência fixado por lei para a concessão de pensão por morte não ter sido cumprido. b) O fato de Martha não ser segurada do Regime Geral de Previdência Social. c) O fato de que Martha não comprovou a sua dependência econômica de Tício, requisito este indispensável para qualificação de cônjuge como dependente. d) Ausência de inscrição de Martha como dependente designada por Tício, antes de seu falecimento. e) Perda da qualidade de segurado do instituidor da pensão. 4. A que percentual do salário-de-benefício correspondem, respectivamente, as rendas iniciais do auxílio-doença, do auxílio-acidente e da aposentadoria por invalidez? a) 100%, 91% e 50%. b) 91%, 50% e 70%. c) 50%, 91% e 100%. d) 91%, 100% e 70%. e) 91%, 50% e 100%. 5. Constitui espécie de prestação da Assistência Social o benefício de prestação continuada que garante 01 (um) salário mínimo mensal à pessoa portadora de deficiência e ao idoso 103
  • 104.
    que comprovem nãopossuir meios de prover a própria manutenção e nem de tê-la provida por sua família, exigindo-se, ainda: a) Não-recebimento de benefício de espécie alguma, salvo o de assistência médica. b) Renda familiar mensal per capita inferior a 01 (um) salário mínimo. c) Qualidade de segurado do Regime Geral de Previdência Social. d) Existência de anomalias ou lesões irreversíveis de natureza hereditária, independente da capacidade laborativa. e) Idade mínima de 65 (sessenta e cinco) anos, para mulher, e de 70 (setenta) anos, para homem. 6. Salário-maternidade é o benefício previdenciário pago à segurada gestante durante o período de afastamento de suas atividades. Consiste em uma renda mensal inicial igual à remuneração integral, equivalente a 01 (um) mês de trabalho, para: a) Todas as espécies de seguradas. b) A trabalhadora avulsa. c) A segurada especial. d) A empregada doméstica. e) A contribuinte individual. 7. Quanto à contagem recíproca do tempo de contribuição na administração pública e na atividade privada, rural e urbana, assinale a afirmativa INCORRETA: a) É vedada a contagem de tempo de contribuição no serviço público com o de contribuição na atividade privada, quando concomitantes. b) Não será contado por um regime o tempo de contribuição utilizado para a concessão de aposentadoria por outro regime. c) Será admitida a contagem em dobro ou em outras condições especiais, previstas em lei. d) A certidão de tempo de contribuição, para fins de averbação do tempo em outros regimes de previdência, somente será expedida pelo INSS após a comprovação da quitação de todos os valores devidos, inclusive de eventuais parcelamentos de débito. e) O benefício concedido com contagem recíproca de tempo de contribuição, na forma do enunciado, será concedido e pago pelo regime a que o interessado estiver vinculado ao requerê-lo, e calculado na forma da respectiva legislação. 8. Caio, segurado do Regime Geral de Previdência Social, divorciou-se de Dora, em julho de 1999, ficando ajustado que pagaria uma pensão alimentícia no valor de 20% do seu salário. Em janeiro de 2003, Caio casa-se com Ana e, fruto da relação, nasce Márvio. Com o falecimento de Caio em agosto de 2004, quem tem direito ao recebimento de pensão por morte, na qualidade de seu dependente? a) Dora, Ana e Márvio. d) Márvio, somente. b) Dora e Márvio, somente. e) Ana, somente. c) Ana e Márvio, somente. 9. Das decisões proferidas pelas Agências da Previdência Social, referentes ao reconhecimento de direitos na concessão, na atualização ou na revisão de benefícios, bem como na emissão de CTC (Certidão de Tempo de Contribuição), poderão os interessados, 104
  • 105.
    quando não conformados,recorrer às Juntas de Recursos ou às Câmaras de Julgamento do CRPS (Conselho de Recursos da Previdência Social). Quanto à esta espécie de recurso, assinale a afirmativa correta: a) A ciência da decisão será efetuada por notificação por edital, quando o interessado estiver em local certo. b) O prazo para sua interposição não será prorrogado em hipótese alguma, antecipando-se para o último dia útil quando o seu vencimento recair em dia em que não haja expediente integral no setor responsável pelo recebimento do recurso. c) O prazo para a interposição desse recurso pelo segurado ou beneficiário será de 10 (dez) dias. d) Na contagem do prazo para sua interposição, será incluído o dia do conhecimento da decisão, salvo se não for dia útil, ocasião em que o curso do prazo iniciar-se-á no primeiro dia útil seguinte ao dia do conhecimento. e) Nos casos de conclusão médica contrária, o processo será encaminhado para a Perícia Médica da Agência da Previdência Social, a fim de ser realizado exame por junta médica, a qual emitirá parecer parecer conclusivo. 10. A respeito das prestações previdenciárias do Regime Geral de Previdência Social, assinale a afirmativa correta: a) A reabilitação profissional, serviço abrangido pelo Regime Geral de Previdência Social, compreende, entre outros serviços, o reembolso das despesas realizadas para a aquisição de próteses ou de órteses e outros recursos materiais não-prescritos ou não-autorizados pelas unidades de reabilitação profissional do INSS. b) A cota do salário-família será incorporada, para qualquer efeito, ao salário ou ao benefício. c) O auxílio-reclusão será devido nas mesmas condições da pensão por morte aos dependentes do segurado recolhido à prisão, bastando que o detento ou o recluso seja segurado do Regime Geral, sendo indiferente se o mesmo estiver em gozo de qualquer benefício previdenciário. d) Os serviços de habilitação e reabilitação profissional serão prestados pelo INSS aos segurados, inclusive aposentados, e, de acordo com as possibilidades administrativas, técnicas, financeiras e as condições locais do órgão, aos seus dependentes. e) O salário-família será devido, mensalmente, ao segurado empregado, ao segurado doméstico e ao segurado trabalhador avulso, na proporção do respectivo número de filhos ou equiparados nos termos da legislação previdenciária. Gabarito: 1. D 2. C 3. E 4. E 5. A 6. B 105
  • 106.
    7. C 8. A 9. E 10. D 106
  • 107.
    PROVA TÉCNICO PREVIDENCIÁRIO2005 1. A seguridade social compreende um conjunto integrado de ações de iniciativa dos poderes públicos e da sociedade, destinado a assegurar os direitos relativos a: I. saúde; II. educação; III. habitação; IV. assistência social; V. previdência social. Estão corretos os itens: a) IV e V, apenas. b) I, II e V, apenas. c) I, IV e V, apenas. d) II, III e IV, apenas. e) I, II, III e IV, apenas. 2. A assistência social é a política social que provê o atendimento das necessidades básicas, traduzidas em proteção à família, à maternidade, à infância, à adolescência, à velhice e à pessoa portadora de deficiência. A esse respeito, pode-se afirmar corretamente que: a) É exigida a comprovação de ao menos 1 (um) recolhimento à seguridade social para ter direito à assistência. b) É aplicável em caráter exclusivo aos segurados e seus dependentes menores de 21 (vinte e um) anos ou maiores de 70 (setenta) anos. c) É independente de qualquer contribuição à seguridade social. d) São beneficiados apenas os dependentes de segurados que tenham cumprido o período de carência previsto em lei. e) São beneficiados apenas os segurados em dia com as contribuições previdenciárias. 3. Antônio Walas, devido a sua notória experiência no mercado financeiro, recebeu proposta para ser diretor-empregado de um grande banco de investimento, com direito a participação direta nos resultados da empresa. Caso Antônio aceite a proposta, sua inscrição no Regime Geral de Previdência Social será: a) Obrigatória, como empregado. b) Obrigatória, como contribuinte individual. c) Obrigatória, como segurado especial. d) Facultativa, por ter deixado de ser segurado obrigatório. e) Facultativa, como associado eleito para cargo de direção remunerada. 107
  • 108.
    4. Carlos Afonso foi contratado pela esposa de um fazendeiro para ser motorista. Sua função é transportá-la da propriedade rural onde mora para os locais que ela desejar, cumprindo jornada diária de 6 (seis) horas de trabalho, com uma folga semanal. A inscrição de Carlos no Regime Geral de Previdência Social será obrigatória, na qualidade de: a) Empregado. b) Empregado doméstico. c) Trabalhador avulso. d) Contribuinte individual. e) Segurado especial. 5. Assinale o único benefício cuja percepção NÃO enseja o pagamento do abono anual: a) Auxílio-doença. b) Auxílio-acidente. c) Auxílio-reclusão. d) Salário-maternidade. e) Salário-família. 6. A Previdência Social é o segmento da Seguridade Social que visa a propiciar os meios indispensáveis à subsistência da pessoa humana, quando ocorrer certa contingência prevista em lei. São beneficiários das prestações previdenciárias: a) Somente os segurados. b) Segurados e seus dependentes. c) Toda e qualquer pessoa que já tiver contribuído para a Previdência Social, pelo menos com 01 (uma) contribuição mensal, sendo indiferente o período de tal recolhimento. d) Aqueles que sofrerem riscos sociais, tais como incapacidade laborativa e idade avançada, independente de contribuição à Previdência Social. e) Todos os brasileiros, independente de contribuição à Previdência Social. 7. São dependentes do segurado do Regime Geral de Previdência Social: a) todos aqueles que dependam economicamente do segurado, sendo irrelevante o vínculo conjugal ou consaguíneo. b) Todos aqueles indicados como dependentes, nos termos da legislação tributária do imposto de renda. c) As pessoas designadas pelo segurado para serem dependentes. d) Cônjuge, companheiro(a), filho(a) não emancipado(a), de qualquer condição, menor de 21 (vinte e um) anos ou inválido(a), pais, irmão(ã) não emancipado(a), de qualquer condição, menor de 21 (vinte e um) anos ou inválido(a). e) Cônjuge, companheiro(a), filho(a) não emancipado(a), de qualquer condição, menor de 18 (dezoito) anos ou inválido(a), pais, irmão(ã) não emancipado(a), de qualquer condição, menor de 18 (dezoito) anos ou inválido(a). 108
  • 109.
    8. A inscrição do(a) companheiro do segurado no Regime Geral de Previdência Social será promovida, na qualidade de dependente, quando do requerimento do benefício a que tiver direito. Para a comprovação do vínculo e da dependência econômica do(a) companheiro(a), é suficiente e apresentação de: a) Certidão de nascimento de filho havido em comum. b) Prova testemunhal de que o segurado e o dependente mantêm ou mantiveram união estável. c) Disposições testamentárias, prova de mesmo domicílio e conta bancária conjunta. d) Declaração do(a) companheiro de que viveu uma relação de companheirismo com o segurado, mesmo que esta tenha terminado anos antes do ato de inscrição. e) Sentença homologatória em procedimento judicial de justificação que se presta a colher prova testemunhal, em juízo, da existência da união estável. 9. Período de Carência é o número de contribuições mensais indispensáveis para que o beneficiário faça jus ao benefício. O dia de início da contagem do período de carência é o(a): a) Primeiro dia do mês de filiação ao Regime Geral de Previdência Social, para o segurado empregado doméstico. b) Primeiro dia do mês de filiação ao Regime Geral da Previdência Social, para todos os segurados, obrigatórios ou facultativos. c) Primeiro dia do mês em que se iniciou a execução de atividade remunerada, como segurado empregado, sendo presumida a contribuição. d) Data do efetivo recolhimento da primeira contribuição sem atraso, para trabalhador avulso. e) Data do efetivo recolhimento da primeira contribuição sem atraso, para todos os segurados, obrigatórios ou facultativos. 10. 12 (doze) contribuições mensais, 180 (cento e oitenta) contribuições mensais e nenhuma contribuição são os períodos de carência, respectivamente, dos seguintes benefícios previdenciários: a) Auxílio-doença, aposentadoria por idade e pensão por morte. b) Auxílio-doença, aposentadoria por invalidez e pensão por morte. c) Auxílio-acidente, pensão por morte e serviço social. d) Auxílio-acidente, aposentadoria por idade e pensão por morte. e) Aposentadoria por invalidez, aposentadoria por tempo de contribuição e aposentadoria por idade. 11. A respeito do cálculo do valor do benefício previdenciário, assinale a firmativa INCORRETA. a) Atualmente, o salário-de-benefício da aposentadoria por idade consiste na média aritmética simples dos maiores salários-de-contribuição correspondentes a 80% de todo o período contributivo, multiplicado pelo fator previdenciário. b) Atualmente, o salário-de-benefício da aposentadoria por tempo de contribuição consiste na média dos 36 (trinta e seis) últimos salários-de-contribuição, corrigidos monetariamente mês a mês. 109
  • 110.
    c) O auxílio-doençatem como base de cálculo o salário-de-benefício do segurado. d) Atualmente, o salário-de-benefício da aposentadoria por invalidez consiste na média aritmética simples dos maiores salários-de-contribuição correspondentes a 80% de todo o período contributivo. e) O fator previdenciário será calculado considerando-se a idade, a expectativa de sobrevida e o tempo de contribuição do segurado. 12. O artigo 201, parágrafo 3 da Constituição Federal de 1988 assim dispõe: É assegurado o reajustamento dos benefícios para preservar-lhes, em caráter permamente, o valor real, conforme critérios definidos em lei . Tal dispositivo disciplina a manutenção do valor real dos benefícios previdenciários, que consiste em: a) assegurar reajustamentos de modo que a renda mensal seja equivalente ao número de salários mínimos da renda mensal inicial, na data de início do benefício. b) reajustar o benefício de acordo com a variação inflacionária, de modo a evitar diminuição injusta do seu poder de compra, variação esta que será fixada em lei. c) corrigir, monetariamente, todos os salários-de-contribuição considerados no cálculo do benefício. d) adotar critérios de reajustamentos dos benefícios previdenciários fixados anualmente pelo Poder Judiciário. e) aplicar o mesmo índice de reajustamento vigente na data de início do benefício a todo o período de reajuste, durante a existência do benefício. 13. Em novembro de 2004, Josué, segurado empregado de 60 (sessenta) anos, faz requerimento administrativo de aposentadoria em uma das Agências da Previdência Social. Em anexo ao referido pedido, apresenta cópia da Carteira de Trabalho e Previdência Social que comprova o vínculo empregatício com a empresa Pães, Doces e Comidas Deliciosas Ltda. , como balconista, durante 30 (trinta) anos completos, na data de requerimento. Você, na qualidade de servidor do INSS responsável pela análise do ato de concessão de benefícios, deve decidir corretamente pela(o): a) concessão de aposentadoria por idade. b) concessão de aposentadoria proporcional. c) concessão de aposentadoria por tempo de contribuição. d) concessão de aposentadoria especial. e) indeferimento do pedido de aposentadoria. 14. Atualmente, para a concessão de aposentadoria especial, é IMPRESCINDÍVEL que o(a): 110
  • 111.
    a) segurado comprove,além do tempo de contribuição, a exposição aos agentes nocivos químicos, físicos, biológicos ou associação de agentes prejudiciais à saúde ou à integridade física, de modo habitual, permanente e não intermitente. b) Segurado comprove que trabalhou durante 15 (quinze), 20 (vinte) ou 25 (vinte e cinco) anos sujeito a condições especiais, independente do período de exposição a agentes agressivos durante a jornada de trabalho. c) Segurado declare que executou atividades sob condições especiais, independente de a empresa empregadora emitir ou não laudo técnico. d) Segurado tenha, no mínimo, 50 (cinqüenta) anos de idade. e) Atividade desempenhada pelo segurado se enquadre na categoria profissional presumida em lei como sujeita a condições insalubres, penosas ou perigosas. 15. Caio, em maio de 2000, separou-se, judicialmente, de Maria. Na referida separação, acordou-se, judicialmente, que Caio não iria pagar pensão alimentícia à ex-esposa e que só iria pagar tal encargo para Ana, filha do casal, 19 anos. Em agosto de 2002, Caio conhece Teresa, com a qual vem morar e manter união estável. Em agosto de 2004, Caio falece. Quem tem direito à pensão por morte, na qualidade de dependente de Caio? a) Maria, Ana e Teresa. b) Maria e Ana. c) Ana e Teresa. d) Ana. e) Teresa. Gabarito: 1. C 2. C 3. A 4. B 5. E 6. B 7. D 8. C 9. C 10. A 11. B 12. B 111
  • 112.
    13. E 14. A 15. E 112