CARACTERIZAÇÃO DE CARBOIDRATOS
Marcelo costa dos Santos
Teresina – PI, 2019
RESUMO
Os carboidratos são biomoléculas mais abundante na terra. A cada ano, a
fotossíntese converte bilhões de toneladas de CO2 e H2O em celulose e outros produtos
INSTITUTO FEDERAL DE ENSINO, CIÊNCIA E TECNOLOGIA DO PIAUÍ
CAMPUS TERESINA-CENTRAL
Disciplina: Bioquímica
vegetais. Em laboratório foram realizados a identificação e caracterização de alguns
carboidratos utilizando os seguintes testes: teste de molish, reação de seliwanoff, reação
de Benedict e reação de lugol.
SUMÁRIO
INTRODUÇÃO..................................................................................................................1
PARTE EXPERIMENTAL................................................................................................2
RESULTADOS DE DISCUSSÃO.......................................................................................6
CONCLUSÃO..................................................................................................................13
REFERÊNCIAS...............................................................................................................13
1
INTRODUÇÃO
Os carboidratos são biomoléculas mais abundante na terra. A cada ano, a
fotossíntese converte bilhões de toneladas de CO2 e H2O em celulose e outros produtos
vegetais. Alguns carboidratos são o principal alimento em muitas partes do mundo e a
sua oxidação é a principal via de produção de energia das células. (LEHNINGER,2011)
Os carboidratos, desde o açúcar comum (sacarose) até compostos muito
complexos como, por exemplo, o amido, são compostos que contem átomos de C, H e O,
um grupo aldeído ou cetona e grupos hidroxila. Eles podem ser classificados como
monossacarídeos, oligossacarídeos e polissacarídeos. Para determinar se a substancia é
um carboidrato podemos determinar pelo Teste de Molish, depois de confirmado se a
substância é um carboidrato, podemos diferenciar entre açúcares redutores e não
redutores pelos testes de Fehling, Benedict e Tollens. Os carboidratos também podem ser
separados em aldoses e cetoses pelos testes de bromo e de Seliwanoff. (BRUICE, P.
Y,2006).
O teste de Molish é um teste que se baseia na desidratação do carboidrato pelo
ácido sulfurico concentrado, formando furfural no caso das pentoses, ou 5-(hidroximetil)-
furfural para as hexoses. Em seguida o derivado do furfural condensa com duas moléculas
de α-naftol produzindo um pigmento violeta. O teste de Fehling foi desenvolvido para
diferenciar aldeídos de cetonas. Entretanto acabou tornando-se um reagente geral para
açúcares redutores, pois as cetoses sofrem rearranjo e também dão teste (BRUICE, P.
Y,2006).
O teste de Benedict é uma modificação do teste de Fehling e usada para detectar
a presença de açúcares redutores. Neste teste o tartarato é substituído pelo citrato, o que
gera um complexo mais estável, fazendo com que uma única solução possa ser
armazenada sem se deteriorar. Além disto, o teste de Benedict é muito mais sensível que
o de Fehling, podendo detectar a presença de carboidratos em menores concentrações e
apresentando uma graduação de cores do azul (negativo), passando pelo verde, amarelo,
laranja e vermelho para as mais concentradas (Ed,.PAVIA, D. L. et al , 2006).
O experimento tem como objetivo a caracterização de carboidratos utilizando
as reações de identificação de carboidratos, tais como: teste de molish, reação de
sseliwanoff, reação de Benedict e reação de lugol .
2
PARTE EXPERIMENTAL
1. TESTE DE MOLISH
MATERIAIS E REAGENTES:
Vidrarias
 4 pipetas de vidro de 5ml
 1 pipeta de vidro de 1 ml
 3 tubos de ensaio
Reagentes
 Solução alcoólica de alfa-naftol a 5%
 Ácido sulfúrico concentrado
 Solução de glicose 1%
 Solução de frutose a 1%
Acessórios
 Estante para tubos de ensaio
 Pêra borracha
 Papel toalha
 Descarte para pipetas
 Frasco com água destilada
PROCEDIMENTO:
Os tubos de ensaio foram identificados como glicose (Tubo- 1), frutose ( Tubo-2) e água
( Tubo-3). Pipetou-se para o primeiro tubo 2mL de glicose, para o segundo tubo 2mL de
frutose e no terceiro tubo 3mL de água destilada que serviu para controle negativo. Em
seguida acrescentou-se 5 gotas da solução de alfa-naftol e agitados. Posteriormente foram
pipetados 2ml de ácido sulfúrico concentrado, deixando escorrer pelas paredes do tubo
de ensaio.
2. REAÇÃO DE SELIWANOFF
MATERIAIS E REAGENTES:
Vidrarias
 1 pipeta vidro de 5ml
 4 pipetas de vidro de 1 ml
 3 tubos de ensaio
3
Reagentes
 Reagente de Seliwanoff
 Ácido clorídrico concentrado
 Solução de glicose 1%
 Solução de frutose a 1%
 Mel de abelha
Acessórios
 Estante para tubos de ensaio
 Pêra borracha
 Pinça
 Papel toalha
 Descarte para pipetas
 Frasco com água destilada
PROCEDIMENTO:
Os tubos de ensaio foram identificados como glicose ( Tubo- 1), frutose ( Tubo-2) e água
( Tubo-3). Pipetou-se para o primeiro tubo 1 mL de glicose, para o segundo tubo 1mL de
frutose e no terceiro tubo 1mL de água destilada que serviu para controle negativo. Em
seguida foram acrescentou-se 1,5mL da solução de ácido clorídrico. Posteriormente
foram pipetados 0,5mL de reativo de Seliwanoff. Em seguida, foram deixados em banho-
maria fervente até completar a reação.
3. REAÇÃO DE BENEDICT
MATERIAIS E REAGENTES:
Vidrarias
 1 pipeta vidro de 5ml
 3 pipetas de vidro de 1 ml
 3 tubos de ensaio
Reagentes
 Reagente de Benedict
 Solução de glicose 1%
 Solução de sacarose a 1%
4
Equipamentos :
 Banho- Maria
Acessórios
 Estante para tubos de ensaio
 Pêra borracha
 Pinça
 Papel toalha
 Descarte para pipetas
 Frasco com água destilada
PROCEDIMENTO:
Os tubos de ensaio foram identificados como glicose ( Tubo- 1), frutose ( Tubo-2) e água
( Tubo-3). Pipetou-se 5mL de cada reagente em cada tubo de ensaio e 5mL de reativo de
Benedict. Em seguida foram agitados até completa homogeneização e deixados em
banho-maria fervente por cinco minutos.
4. REAÇÃO DE LUGOL
MATERIAIS E REAGENTES:
Vidrarias
 2 pipetas de vidro de 1 ml
 2 tubos de ensaio
Reagentes
 Lugol
 Solução de amido 1%
Acessórios
 Estante para tubos de ensaio
 Pêra borracha
 Papel toalha
 Descarte para pipetas
 Frasco com água destilada
5
PROCEDIMENTO:
Em um tubo de ensaio identificado adicionou-se 1mL de solução de amido e em outro
tubo 1mL de água destilada. Em seguida, adicionou-se 5 gotas de lugol e observados os
resultados.
6
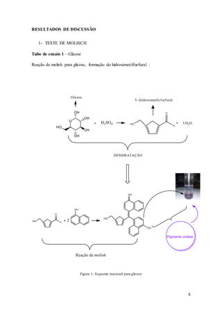
RESULTADOS DE DISCUSSÃO
1- TESTE DE MOLISCH
Tubo de ensaio 1 – Glicose
Reação de molish para glicose, formação do hidroximetilfurfural :
Figura 1- Esquema reacional para glicose
7
Tubo de ensaio 2 – Frutose
Reação de molish para frutose , formação do hidroximetilfurfural :
Figura 2-Esquema reacional para frutose
8
Os carboidratos são as biomoléculas mais abundantes na terra. Os mais
simples dos carboidratos, os monossacarídeos, são aldeídos ou cetonas com dois ou mais
grupos hidroxilas, os monossacarídeos glicose e frutose, que apresentam seis carbonos,
apresentam 5 grupos hidroxilas (LEHNINGER,2011).
Ambos os teste apresentaram-se positivos , é importante ressaltar que tanto a
glicose quanto frutose são hexoses , dessa forma como mostrado nos esquemas 1 e 2
acima , o processo de desidratação da origem ao 5- (hidroximetil)- Funrural , que por sua
fez reage com o α-naftol dando origem ao pigmento “violeta” , indicando o resultado
positivo na detecção de carboidratos.
A seguir o mecanismo da reação de molish:
Figura 3- Mecanismo reacional teste de molish
9
2- TESTE DE SELIWANOFF
O teste de Seliwanoff é uma variação do teste de Molish que consegue
diferenciar aldoses de cetoses devido a diferenças na velocidade e intensidade da reação.
Tratando-se de hexoses ouve uma pequena diferença na velocidade da reação, a frutose
por se tratar de uma cetose apresentou uma variação de cor mais acentuada e maneira
mais rápida, uma vez que sua estrutura furanosídica proporciona a formação do
hidroximetilfurfural de maneira mais rápida, justificando assim a velocidade e cor mais
acentuada. Por outro lado, a glicose pôr a glicose é uma aldoses e encontram-se na forma
piranosídica, e tem que rearranjar para a forma furanosídica para desidratar, o que torna
a reação mais lenta e menos eficaz., justificando assim sua cor e velocidade de reação.
A seguir a reação de de Seliwanoff com mecanismo e imagem dos resultados obtidos:
10
Figura 4-Mecanismo reacional seliwanoff
3- REAÇÃO DE BENEDICT
O teste de Benedict é uma modificação do teste de Fehling desenvolvida pelo
químico americano Stanley Rossiter Benedict e usada para detectar a presença de
açúcares redutores. Neste teste o tartarato é substituído pelo citrato, o que gera um
complexo mais estável, fazendo com que uma única solução possa ser armazenada sem
se deteriorar como pode ser observado na figura (5) .Além disto, o teste de Benedict é
muito mais sensível que o de Fehling, podendo detectar a presença de carboidratos em
menores concentrações e apresentando uma graduação de cores do azul (negativo),
passando pelo verde, amarelo, laranja e vermelho para as mais concentradas.
11
Figura 5- Reagente de Benedict
Ao efetuar o teste utilizando a glicose e a sacarose , observou-se que ao se
colocar no banho maria rapidamente o tubo ensaio contendo glicose foi mudando de cor
, até chegar em um precipitado vermelho tijolo , indicando sua função de agente redutor
, enquanto que o tubo de ensaio contendo sacarose permaneceu com a cor característica
do reagente de Benedict , ou seja azul. Isso ocorre em decorrência de que a sacarose não
possui um carbono anomérico, uma vez que ela é a junção de 2 monossacarídeos a frutose
e a glicose. Por outro a glicose como monossacarídeo possui um carbono anomérico que
dar-lhe a capacidade de ser um açúcar redutor. A figura seguir mostra o resultado obtido
no teste:
12
Figura 6- Esquema reacional da reação de Benedict
4- Reação de Lugol
Ao se adicionar lugol no tubo de ensaio contendo amido, observou-se uma mudança
de cor, ou seja, a saiu do transparente e foi para um roxo escuro. O tubo de ensaio
contendo apenas água permaneceu incolor, desta forma podemos atribuir tal fenômeno
devido a presença de amido. O iodo metálico presente no lugol forma complexos com
cadeia de alfa-amilose do amido que é um polissacarídeo formando um composto de cor
escura (roxo).Observe o esquema reacional na figura a seguir :
13
Figura 7- Esquema reacional reação de Lugol
CONCLUSÃO
Os testes efetuados na identificação dos carboidratos apresentaram resultados
que obedeceram ao previsto na literatura, mostrando assim a eficácia das reações para
identificação de carboidratos utilizando técnicas laboratoriais.
REFERÊNCIAS
 BRUICE, P. Y. Química Orgânica. 4ª. Ed. Pearson Prentice e Hall, São Paolo –
SP, 2006. Vol. 2.
 LEHNINGER, A. L.; NELSON, D. L.; COX, M. M. Princípios de Bioquímica,
4ª.
14
 Ed,.PAVIA, D. L., LAMPMAN, G. M., KRIZ, G. S., ENGEL, R. G. Química
Orgânica Experimental: Técnicas de escala pequena. 2ª. Ed., Bookman, Porto
Alegre - RS, 2009. Editora Sarvier, 2006, capítulo 7.

Carboidratos

  • 1.
    CARACTERIZAÇÃO DE CARBOIDRATOS Marcelocosta dos Santos Teresina – PI, 2019 RESUMO Os carboidratos são biomoléculas mais abundante na terra. A cada ano, a fotossíntese converte bilhões de toneladas de CO2 e H2O em celulose e outros produtos INSTITUTO FEDERAL DE ENSINO, CIÊNCIA E TECNOLOGIA DO PIAUÍ CAMPUS TERESINA-CENTRAL Disciplina: Bioquímica
  • 2.
    vegetais. Em laboratórioforam realizados a identificação e caracterização de alguns carboidratos utilizando os seguintes testes: teste de molish, reação de seliwanoff, reação de Benedict e reação de lugol. SUMÁRIO
  • 3.
    INTRODUÇÃO..................................................................................................................1 PARTE EXPERIMENTAL................................................................................................2 RESULTADOS DEDISCUSSÃO.......................................................................................6 CONCLUSÃO..................................................................................................................13 REFERÊNCIAS...............................................................................................................13
  • 5.
    1 INTRODUÇÃO Os carboidratos sãobiomoléculas mais abundante na terra. A cada ano, a fotossíntese converte bilhões de toneladas de CO2 e H2O em celulose e outros produtos vegetais. Alguns carboidratos são o principal alimento em muitas partes do mundo e a sua oxidação é a principal via de produção de energia das células. (LEHNINGER,2011) Os carboidratos, desde o açúcar comum (sacarose) até compostos muito complexos como, por exemplo, o amido, são compostos que contem átomos de C, H e O, um grupo aldeído ou cetona e grupos hidroxila. Eles podem ser classificados como monossacarídeos, oligossacarídeos e polissacarídeos. Para determinar se a substancia é um carboidrato podemos determinar pelo Teste de Molish, depois de confirmado se a substância é um carboidrato, podemos diferenciar entre açúcares redutores e não redutores pelos testes de Fehling, Benedict e Tollens. Os carboidratos também podem ser separados em aldoses e cetoses pelos testes de bromo e de Seliwanoff. (BRUICE, P. Y,2006). O teste de Molish é um teste que se baseia na desidratação do carboidrato pelo ácido sulfurico concentrado, formando furfural no caso das pentoses, ou 5-(hidroximetil)- furfural para as hexoses. Em seguida o derivado do furfural condensa com duas moléculas de α-naftol produzindo um pigmento violeta. O teste de Fehling foi desenvolvido para diferenciar aldeídos de cetonas. Entretanto acabou tornando-se um reagente geral para açúcares redutores, pois as cetoses sofrem rearranjo e também dão teste (BRUICE, P. Y,2006). O teste de Benedict é uma modificação do teste de Fehling e usada para detectar a presença de açúcares redutores. Neste teste o tartarato é substituído pelo citrato, o que gera um complexo mais estável, fazendo com que uma única solução possa ser armazenada sem se deteriorar. Além disto, o teste de Benedict é muito mais sensível que o de Fehling, podendo detectar a presença de carboidratos em menores concentrações e apresentando uma graduação de cores do azul (negativo), passando pelo verde, amarelo, laranja e vermelho para as mais concentradas (Ed,.PAVIA, D. L. et al , 2006). O experimento tem como objetivo a caracterização de carboidratos utilizando as reações de identificação de carboidratos, tais como: teste de molish, reação de sseliwanoff, reação de Benedict e reação de lugol .
  • 6.
    2 PARTE EXPERIMENTAL 1. TESTEDE MOLISH MATERIAIS E REAGENTES: Vidrarias  4 pipetas de vidro de 5ml  1 pipeta de vidro de 1 ml  3 tubos de ensaio Reagentes  Solução alcoólica de alfa-naftol a 5%  Ácido sulfúrico concentrado  Solução de glicose 1%  Solução de frutose a 1% Acessórios  Estante para tubos de ensaio  Pêra borracha  Papel toalha  Descarte para pipetas  Frasco com água destilada PROCEDIMENTO: Os tubos de ensaio foram identificados como glicose (Tubo- 1), frutose ( Tubo-2) e água ( Tubo-3). Pipetou-se para o primeiro tubo 2mL de glicose, para o segundo tubo 2mL de frutose e no terceiro tubo 3mL de água destilada que serviu para controle negativo. Em seguida acrescentou-se 5 gotas da solução de alfa-naftol e agitados. Posteriormente foram pipetados 2ml de ácido sulfúrico concentrado, deixando escorrer pelas paredes do tubo de ensaio. 2. REAÇÃO DE SELIWANOFF MATERIAIS E REAGENTES: Vidrarias  1 pipeta vidro de 5ml  4 pipetas de vidro de 1 ml  3 tubos de ensaio
  • 7.
    3 Reagentes  Reagente deSeliwanoff  Ácido clorídrico concentrado  Solução de glicose 1%  Solução de frutose a 1%  Mel de abelha Acessórios  Estante para tubos de ensaio  Pêra borracha  Pinça  Papel toalha  Descarte para pipetas  Frasco com água destilada PROCEDIMENTO: Os tubos de ensaio foram identificados como glicose ( Tubo- 1), frutose ( Tubo-2) e água ( Tubo-3). Pipetou-se para o primeiro tubo 1 mL de glicose, para o segundo tubo 1mL de frutose e no terceiro tubo 1mL de água destilada que serviu para controle negativo. Em seguida foram acrescentou-se 1,5mL da solução de ácido clorídrico. Posteriormente foram pipetados 0,5mL de reativo de Seliwanoff. Em seguida, foram deixados em banho- maria fervente até completar a reação. 3. REAÇÃO DE BENEDICT MATERIAIS E REAGENTES: Vidrarias  1 pipeta vidro de 5ml  3 pipetas de vidro de 1 ml  3 tubos de ensaio Reagentes  Reagente de Benedict  Solução de glicose 1%  Solução de sacarose a 1%
  • 8.
    4 Equipamentos :  Banho-Maria Acessórios  Estante para tubos de ensaio  Pêra borracha  Pinça  Papel toalha  Descarte para pipetas  Frasco com água destilada PROCEDIMENTO: Os tubos de ensaio foram identificados como glicose ( Tubo- 1), frutose ( Tubo-2) e água ( Tubo-3). Pipetou-se 5mL de cada reagente em cada tubo de ensaio e 5mL de reativo de Benedict. Em seguida foram agitados até completa homogeneização e deixados em banho-maria fervente por cinco minutos. 4. REAÇÃO DE LUGOL MATERIAIS E REAGENTES: Vidrarias  2 pipetas de vidro de 1 ml  2 tubos de ensaio Reagentes  Lugol  Solução de amido 1% Acessórios  Estante para tubos de ensaio  Pêra borracha  Papel toalha  Descarte para pipetas  Frasco com água destilada
  • 9.
    5 PROCEDIMENTO: Em um tubode ensaio identificado adicionou-se 1mL de solução de amido e em outro tubo 1mL de água destilada. Em seguida, adicionou-se 5 gotas de lugol e observados os resultados.
  • 10.
    6 RESULTADOS DE DISCUSSÃO 1-TESTE DE MOLISCH Tubo de ensaio 1 – Glicose Reação de molish para glicose, formação do hidroximetilfurfural : Figura 1- Esquema reacional para glicose
  • 11.
    7 Tubo de ensaio2 – Frutose Reação de molish para frutose , formação do hidroximetilfurfural : Figura 2-Esquema reacional para frutose
  • 12.
    8 Os carboidratos sãoas biomoléculas mais abundantes na terra. Os mais simples dos carboidratos, os monossacarídeos, são aldeídos ou cetonas com dois ou mais grupos hidroxilas, os monossacarídeos glicose e frutose, que apresentam seis carbonos, apresentam 5 grupos hidroxilas (LEHNINGER,2011). Ambos os teste apresentaram-se positivos , é importante ressaltar que tanto a glicose quanto frutose são hexoses , dessa forma como mostrado nos esquemas 1 e 2 acima , o processo de desidratação da origem ao 5- (hidroximetil)- Funrural , que por sua fez reage com o α-naftol dando origem ao pigmento “violeta” , indicando o resultado positivo na detecção de carboidratos. A seguir o mecanismo da reação de molish: Figura 3- Mecanismo reacional teste de molish
  • 13.
    9 2- TESTE DESELIWANOFF O teste de Seliwanoff é uma variação do teste de Molish que consegue diferenciar aldoses de cetoses devido a diferenças na velocidade e intensidade da reação. Tratando-se de hexoses ouve uma pequena diferença na velocidade da reação, a frutose por se tratar de uma cetose apresentou uma variação de cor mais acentuada e maneira mais rápida, uma vez que sua estrutura furanosídica proporciona a formação do hidroximetilfurfural de maneira mais rápida, justificando assim a velocidade e cor mais acentuada. Por outro lado, a glicose pôr a glicose é uma aldoses e encontram-se na forma piranosídica, e tem que rearranjar para a forma furanosídica para desidratar, o que torna a reação mais lenta e menos eficaz., justificando assim sua cor e velocidade de reação. A seguir a reação de de Seliwanoff com mecanismo e imagem dos resultados obtidos:
  • 14.
    10 Figura 4-Mecanismo reacionalseliwanoff 3- REAÇÃO DE BENEDICT O teste de Benedict é uma modificação do teste de Fehling desenvolvida pelo químico americano Stanley Rossiter Benedict e usada para detectar a presença de açúcares redutores. Neste teste o tartarato é substituído pelo citrato, o que gera um complexo mais estável, fazendo com que uma única solução possa ser armazenada sem se deteriorar como pode ser observado na figura (5) .Além disto, o teste de Benedict é muito mais sensível que o de Fehling, podendo detectar a presença de carboidratos em menores concentrações e apresentando uma graduação de cores do azul (negativo), passando pelo verde, amarelo, laranja e vermelho para as mais concentradas.
  • 15.
    11 Figura 5- Reagentede Benedict Ao efetuar o teste utilizando a glicose e a sacarose , observou-se que ao se colocar no banho maria rapidamente o tubo ensaio contendo glicose foi mudando de cor , até chegar em um precipitado vermelho tijolo , indicando sua função de agente redutor , enquanto que o tubo de ensaio contendo sacarose permaneceu com a cor característica do reagente de Benedict , ou seja azul. Isso ocorre em decorrência de que a sacarose não possui um carbono anomérico, uma vez que ela é a junção de 2 monossacarídeos a frutose e a glicose. Por outro a glicose como monossacarídeo possui um carbono anomérico que dar-lhe a capacidade de ser um açúcar redutor. A figura seguir mostra o resultado obtido no teste:
  • 16.
    12 Figura 6- Esquemareacional da reação de Benedict 4- Reação de Lugol Ao se adicionar lugol no tubo de ensaio contendo amido, observou-se uma mudança de cor, ou seja, a saiu do transparente e foi para um roxo escuro. O tubo de ensaio contendo apenas água permaneceu incolor, desta forma podemos atribuir tal fenômeno devido a presença de amido. O iodo metálico presente no lugol forma complexos com cadeia de alfa-amilose do amido que é um polissacarídeo formando um composto de cor escura (roxo).Observe o esquema reacional na figura a seguir :
  • 17.
    13 Figura 7- Esquemareacional reação de Lugol CONCLUSÃO Os testes efetuados na identificação dos carboidratos apresentaram resultados que obedeceram ao previsto na literatura, mostrando assim a eficácia das reações para identificação de carboidratos utilizando técnicas laboratoriais. REFERÊNCIAS  BRUICE, P. Y. Química Orgânica. 4ª. Ed. Pearson Prentice e Hall, São Paolo – SP, 2006. Vol. 2.  LEHNINGER, A. L.; NELSON, D. L.; COX, M. M. Princípios de Bioquímica, 4ª.
  • 18.
    14  Ed,.PAVIA, D.L., LAMPMAN, G. M., KRIZ, G. S., ENGEL, R. G. Química Orgânica Experimental: Técnicas de escala pequena. 2ª. Ed., Bookman, Porto Alegre - RS, 2009. Editora Sarvier, 2006, capítulo 7.