1




       OS IMPACTOS DA INFLAÇÃO E DA INADIMPLÊNCIA DA OBRIGAÇÃO
              CONTRATUAL NA CORREÇÃO MONETÁRIA E JUROS

THE IMPACT OF INFLATION AND BREACH OF COVENANT ON MONETARY AND
                            INTEREST

                                                                 Mário Ferreira Neto, netoferreiramario@hotmail.com1
                                           Orientador: Prof. Ms. Cárbio Almeida Waqued; carbiowaqued@uol.com.br2
                                                            MBA em Perícia Judicial e Auditoria: IPECON – PUC/GO

RESUMO
         O presente artigo tem a finalidade de elucidar os impactos causados pela inflação e
seus reflexos em relação à inadimplência da obrigação contratual refletida na aplicação dos
consectários legais: correção monetária, juros moratórios e multa moratória, entre outros. Não
se tem o objetivo de pacificar o assunto, por ter limitações, mas como tema que interessa aos
operadores de administração, contábeis e direito.
         Faz uma abordagem de toda análise econômica, utilizando-se de equações algébricas
matemáticas, dados numéricos e estatísticos para viabilizar, uma melhor compreensão a
respeito dos impactos causados pela inflação em relação à correção monetária.
         Correlaciona os efeitos provocados pelo descontrole da inflação sobre a correção
monetária e os juros, ressaltando-se os planos econômicos editados pelas autoridades
governamentais brasileira, a época, para que pudessem combater e controlá-la, já que essas
autoridades deveriam manter sob controle, se não fosse possível combatê-la.
         Faz explicação geral matemática dos principais índices e institutos que calculam e
divulgam a taxa de inflação. Para entender a funcionalidade prática, demonstra-a com
exemplos de situações concretas. Avaliar os efeitos do aumento da inflação sobre os índices
de preços.

PALAVRAS CHAVES: Inflação. Economia. Correção.

ABSTRACT
         This paper aims to elucidate the impacts of inflation and its effects in relation to
default Covenant reflected in the application of legal consectários: restatement, default
interest and fines, among others. Not aims to pacify the matter, to have limitations, but as a
subject that matters to operators of administration, accounting and law.
         Makes a whole approach to economic analysis, using algebraic equations of
mathematical, statistical and numerical data to enable a better understanding about the
impacts of inflation relative to the restatement.
         Correlates the effects caused by the lack of inflation on monetary correction and
interest, emphasizing the economic plans by the Brazilian government authorities, the
season so they could fight and control it, since these authorities should keep under control
if was not possible to fight it.
         Makes general explanation of the mathematics major indexes and institutes that
calculate and disclose the rate of inflation. To understand the practical functionality,
demonstrates it with examples of concrete situations. To evaluate the effects of increasing
inflation on the price indices.
1
  Licenciado em Matemática pela Fundação Universidade do Tocantins: Data de Colação de Grau: 5.2.1999 - Especialista em Matemática e
Estatística pela Universidade Federal de Lavras do Estado de Minas Gerais: Data da Conclusão: 5.7.2002 - Acadêmico de pós-graduação do
Curso de MBA em Perícia Judicial e Auditoria pela Pontifícia Católica de Goiás em convênio com Instituto de Organização de Eventos,
Ensino e Consultora S/A LTDA (PUC-GO/IPECON).
2
  Graduado em Administração de Empresas, Pós-graduado em Administração de Marketing, Mestre em Engenharia de Produção. Professor
de Orientador da Pontifícia Católica de Goiás – PUC-GO para graduação e pós-graduação.
2




KEY WORDS: Inflation. Economics. Correction.

1. INTRODUÇÃO
          O presente artigo, primeiramente, objetiva contribuir com os profissionais das
Ciências Contábeis, Econômicas, Exatas, Humanas e Sociais, especialmente aos operadores
de Contábeis e de Direito que atuam na área Cível, Consumerista, Fiscal-Tributária e
Trabalhista sobre alguns pontos relevantes que concerne à correção monetária, juros e multa
moratória.
          Um dos males mais discutidos na economia mundial, por qualquer país, é a inflação,
tem sua origem na economia de mercado. A inflação está ligada diretamente ao poder de
compra do consumidor e no poder do Estado de combater ou controlá-la. Os efeitos da
inflação, considerada como male econômico para qualquer indivíduo ou governo, são
devastadores para a economia, principalmente quando uma sociedade procura se fortalecer
para evitar as desigualdades sociais de distribuição de renda e controle econômico.
          Neste artigo ainda se busca demonstrar os efeitos concretos e reflexos que os planos
econômicos: Cruzado, Bresser, Verão, Collor I, Collor II e Real, trouxeram para a economia
brasileira, em suas respectivas épocas e as conseqüências deixadas até os dias atuais.
          Nos planos econômicos impostos aos cidadãos brasileiros, através de Leis, Decretos-
Leis, Medidas Provisórias e outras normas jurídicas, editadas anteriormente à Constituição
Federal de 5 de outubro de 1988, causaram prejuízos econômicos e sociais incomensuráveis à
sociedade.
          As autoridades governamentais, insultando a inteligência do povo brasileiro
procuraram como se fosse possível, através de normas jurídicas e não por trabalho, produção
e circulação, como parece à lógica aconselhar, independente de fatos econômicos
preexistentes, combaterem, controlar e reduzir, até mesmo, zerar a inflação, mas não se logrou
êxito.
          A inflação vem perseguindo a sociedade brasileira desde a época da política de
industrialização promovida por Juscelino Kubitschek de Oliveira, quando os índices
começaram a aumentar descontroladamente, atingindo percentuais altíssimos no ano de 1980.
          Os governos sucessores de Juscelino Kubitschek criaram alguns planos econômicos
com a finalidade de combater a inflação, mas não surtiram efeitos, logo o “fantasma” voltou a
causar medo à população, isto a aumentar descontrolada e sucessivamente.
          As histórias dos planos econômicos, principalmente a partir do Plano Cruzado de
1986 determinaram mudanças da moeda; congelamento de preços, salários e tentativas de
desindexação da economia.
          A partir da conversão da moeda de Cruzeiro Real para Real, no dia 30 de junho de
1994, houve uma paridade entre a moeda Real e Cruzeiro Real, a partir do dia 1 de julho de
1994. Igualmente, houve à paridade entre a URV - Unidade Real de Valor com a moeda,
Cruzeiro Real fixada pelo Banco Central do Brasil.
          A conversão do padrão da moeda Cruzeiro Real para Real deve ser feita mediante o
quociente (divisão) do valor em CR$ pelo valor da URV de 2.750. Assim, CR$2.750,00 é
igual a R$1,00. Assim, desde que houve essa mudança na moeda, o povo brasileiro vem
passando por uma calmaria, mas vez ou outra abalada por uma ou outra crise internacional.
Os atuais índices inflacionários aferidos, calculados e divulgados pelos institutos oficiais,
credenciados e confiáveis, têm demonstrado essa questão.
          A cobrança de correção monetária e juros sempre foi meta de discussões, desde a
Idade Média. A Igreja Apostólica Católica Romana repelia sua cobrança ao argumento de que
a cobrança de juros constituía um pecado, uma vez que não se concebia a remuneração do
tempo que se passava desocupado - ociosidade, como os cristãos denominavam de
“remuneração ócio”. Depois do surgimento do Protestantismo com Martin Lutero, os juros
3




passaram a não constituir pecado, mas a maioria dos Estados sempre tivera uma tendência em
limitar à sua cobrança, a fim de evitar abusos, arbitrariedades e ilegalidades do mercado para
se evitar concentração de renda.
          Neste trabalho será abordado o tema a respeito da correção monetária, em que a
inflação se caracteriza pela elevação contínua e generalizada nos preços dos bens e serviços
de uma economia. Não se deve confundir a inflação com a variação específica de preços que
ocorre mesmo quando o nível geral médio de preços não se altera.

1.1.  TEMA
        Os impactos causados pela inflação e inadimplência da obrigação contratual de
empréstimos e/ou financiamentos refletidos na correção monetária, juros moratórios e multa
moratória.

1.2.   JUSTIFICATIVA
         A ocorrência da inflação aliada ao não-pagamento regular da obrigação contratual
ajustada e pactuada, sujeitar-se-á o devedor ao pagamento de encargos financeiros de correção
monetária, juros moratórios e multa moratória, de acordo com as normas jurídicas aplicáveis
ao caso, calculados, conforme as equações matemáticas financeiras.

1.3.   PROBLEMA
         Quais os impactos econômicos causados pela inflação e inadimplência de obrigação
contratual de empréstimo e/ou financiamento nos consectários legais?

1.4.    HIPÓTESES
         H0- Não constituição de obrigação contratual de empréstimo e/ou financiamento;
         H1- Pagamento regular da obrigação contratual de empréstimo e/ou financiamento;
         H2- Realização de aplicação financeira para posteriormente aquisição do bem ou do
produto de sua pretensão;
         H3- Sujeição da correção monetária, calculada mensalmente, no mesmo percentual
da inflação;
         H4- Incidência dos juros moratórios, capitalizados linearmente, no mesmo percentual
da caderneta de poupança.

1.5.  OBJETIVO GERAL
      O objetivo geral da pesquisa-estudo é analisar e distinguir os impactos da inflação e da
inadimplência da obrigação contratual resultante na cobrança da correção monetária, juros
moratórios e multa moratória.

1.6. OBJETIVOS ESPECÍFICOS
     Analisar a importância da correção monetária mesmo em período de baixa inflação;
     Aplicar a correção monetária, os juros moratórios e a multa moratória em caso de
      inadimplência da obrigação contratual;
     Assinalar as normas jurídicas aplicáveis à correção monetária, juros moratórios e
      multa moratória em face da obrigação contratual inadimplida;
     Calcular a correção monetária, os juros moratórios e a multa moratória, em caso do
      não-pagamento da obrigação contratual;
     Distinguir os principais métodos e técnicas de correção monetária nas demonstrações
      financeiras da obrigação contratual;
     Reconhecer os impactos e as conseqüências causados pela inflação e inadimplência da
      obrigação contratual nos consectários legais.
4




2. REFERENCIAL TEÓRICO
          Inicialmente, é importante abordar certos conceitos relacionados com a inflação,
tendo em vista a relevância deste fenômeno sobre as operações financeiras realizadas no
Brasil. Em contextos inflacionários, deve-se atentar para a denominada ilusão da correção
monetária ou rendimento aparente, isto porque a correção monetária não se efetiva no mesmo
percentual da inflação, haja vista que cada instituto de pesquisa que mede e calcula a inflação,
possui métodos, regras e técnicas distintas entre si.
          Nesta situação deve-se determinar a taxa real de juros, os custos e os rendimentos
reais de um empréstimo e/ou financiamento.
          Os índices de inflação são utilizados para medir a variação dos preços dos bens e
serviços de certo setor da economia.
          A inflação consiste no aumento seguido, perseverante e geral dos preços dos bens e
serviços disponíveis à sociedade, fazendo-os com que percam seu poder de compra. Portanto,
os índices de inflação calculam as variações desses preços e serviços para mais ou para menos
(para cima ou para baixo).
          Caso contrário, a diminuição ou redução dos preços dos bens e serviços consistirá, no
oposto da inflação, qual seja a deflação.
          Existem várias definições a respeito da inflação, porém a mais simplória define-a
como o acréscimo contínuo e generalizado do nível de preços dos bens e serviços, isto é, uma
taxa contínua de crescimento dos preços dos bens e serviços em determinado período.
          Ressalta-se que um aumento dos preços dos bens e serviços, por uma única vez, não
poderá ser considerada inflação. Necessita-se de um aumento contínuo, mesmo que este não
seja de igual magnitude ao longo do tempo.
          Dentre os inúmeros conceitos de inflação, considera-se o mais comum: aumento
contínuo e persistente dos preços dos bens e serviços em geral que abrangem à economia de
um país, produzindo uma ininterrupta perda do poder aquisitivo da moeda, isto é, perda do
poder de compra do mesmo produto em determinado período que se comprava anteriormente.
          Segundo Aurélio (2008), define-se inflação como: “Aumento geral dos preços, com
conseqüente perda do poder aquisitivo do dinheiro”.
          A inflação se originou de diversas teorias, porém as mais aceitas são quatro,
consideradas principais: a quantitativa, a keynesiana, a de custos e a estrutural.
          Teoria quantitativa, a mais antiga das teorias sobre a inflação é a quantidade de
dinheiro circulante no sistema econômico - base monetária, que determina o nível dos preços.
          A razão entre a quantidade de dinheiro e as transações anuais do sistema, cuja
inversa é a velocidade de circulação da moeda, depende da freqüência com que se pagam
salários, da estrutura da economia e dos hábitos de poupança e consumo da população.
          Na medida em que esses fatores permaneçam constantes, o nível de preços será
diretamente proporcional ao fluxo de dinheiro e inversamente proporcional ao volume físico
da produção.
          Essa teoria, formulada por David Hume no Século XVIII, supõe que toda a
capacidade produtiva de um sistema se encontre aproveitada. No intervalo entre as duas
guerras mundiais, a teoria quantitativa caiu em descrédito, ao se comprovar que a utilização
da capacidade produtiva do sistema econômico variava mais e com maior freqüência do que o
nível de preços.
          Teoria keynesiana é a teoria econômica de Keynes, afirma que a inflação deriva das
tentativas de consumir mais bens e serviços do que o sistema econômico pode produzir. Se os
gastos do governo são maiores do que a diferença entre a produção e o consumo, diz-se que
há uma lacuna inflacionária.
5




         O mercado preenche essa lacuna aumentando os preços até um patamar em que a
diferença entre a renda e o consumo, em valor monetário, seja suficiente para acomodar os
gastos públicos.
         Essa teoria foi invalidada pela prática, nas décadas posteriores à segunda guerra
mundial, quando o processo inflacionário se instalou em vários países, sem prévia existência
de lacunas inflacionárias.
         Inflação de custos é o terceiro enfoque do problema inflacionário, supõe que os
preços das mercadorias são determinados por seus custos, ao passo que a provisão de dinheiro
é responsável pela demanda. Nessas circunstâncias, o aumento dos custos pode gerar uma
pressão inflacionária que se perpetua por meio da "espiral preço-salário".
         Admite-se que os assalariados e os capitalistas aspiram a parcelas do produto
nacional que, somadas, ultrapassam o total anualmente produzido, em situação de pleno
emprego. Da impossibilidade de satisfazer os dois grupos ao mesmo tempo surgem o embate
entre eles, que é a origem da “espiral preço-salário”. Os assalariados, quando insatisfeitos,
demandam aumentos salariais. Os capitalistas atendem a essas exigências, pelo menos em
parte, geralmente depois de longa negociação, diminuem seus lucros, em um primeiro
momento.
         Em seguida, porém, aumentam os preços, para neles embutir o aumento de custos da
produção. Com isso, diminui o poder de compra dos assalariados, que irão, novamente,
reivindicar aumento de remuneração.
         Um recurso para reduzir a inflação, segundo essa teoria, seria a manutenção de uma
porcentagem constante de desemprego. O recurso é, porém, invalidado na prática pelo
fenômeno chamado estagflação3.
         Teoria estrutural é o enfoque estrutural, não é totalmente independente das três
teorias anteriores. Sua característica principal é a ênfase no desajuste da economia como
causa do processo inflacionário. Esse desajuste é ocasionado, por exemplo, pela resistência
em reduzir os salários, mesmo nas épocas de baixa produtividade ou pelo desequilíbrio da
balança comercial do país.
         Inflação e a pobreza, tanto a inflação quanto os recursos que geralmente se utilizam
para combatê-la prejudicam os mais fracos - classe baixa renda. A política monetária, de
controle inflacionário, age provocando desemprego e deprimindo os preços dos que exercem
menos controle sob seus rendimentos. A política tributária é um pouco mais eqüitativa do que
a monetária, mas também restringe a produção e o nível de empregos. Assim, o fardo do
controle da inflação sempre fica nas costas dos mais fracos e nas costas dos que perdem o
emprego.
         A inflação brasileira é apurada, calculada e medida por diversas formas, maneiras,
métodos e técnicas por vários institutos de pesquisa. Muitos são os índices de preços
existentes na economia brasileira, porém todos têm a mesma finalidade e pretensão, investigar
e calcular a variação monetária, isto é, a taxa inflacionária de determinado período de tempo.
         O Brasil por possuir características complexas com dimensões continentais e
geográficas, em razão das diferenças e peculiaridades regionais e metodológicas, verificar e
calcular a inflação é uma tarefa mais do que complexa, extremamente difícil. Essa situação se
agrava em razão da incredulidade da população nacional que acusam os institutos de
pesquisas de manipularem os índices inflacionários, mas não é verdade.
         Os índices inflacionários calculados e divulgados pelos institutos de pesquisas, todos
medem a perda do poder aquisitivo do dinheiro de setores diferentes da sociedade. Os índices
econômicos mais conhecidos são: Índice de Preços ao Consumidor – IPC/FIPE-USP que

3
 Conjuntura econômica em que a estagnação ou declínio do nível de produção e emprego se combinam com uma inflação
acelerada, fenômeno típico do período que se seguiu à segunda guerra mundial, que se tem acentuado em quase todas as
economias capitalistas desenvolvidas depois da crise do petróleo de 1973 a 1979.
6




mede a variação de preços de consumidores com rendas familiares de um a vinte salários
mínimos; Índice Geral de Preços de Mercado – IGP-M/FGV que mede índice geral de preços
de consumidor, incorporado e correlacionado a uma população maior, de unidades familiares
até empresas em geral; Índice de Preços ao Consumidor – IPC/IBGE que correlaciona à
evolução dos preços de um pacote de produtos e serviços padrão que as famílias no Brasil
adquirem para o consumo; Índice Nacional de Preços ao Consumidor – INPC/IBGE aplicado
às famílias de baixa renda; Índice Nacional de Preços ao Consumidor Amplo – IPCA/IBGE
aplicado para as famílias que recebem de um até quarenta salários mínimos.
          Há diversos índices que se utilizam para aferir e mensurar a inflação. Para aferir a
variação dos preços dos produtos finais consumidos pela população, utiliza-se o Índice de
Custo de Vida – ICV/DIEESE ou o Índice de Preços ao Consumidor – IPC/FIPE-USP,
tomando por base os produtos de consumo de uma família-padrão para toda a sociedade ou
certa classe social. Para medir a variação nos preços dos insumos e fatores de produção,
demais produtos intermediários, usam-se índices de preços ao produtor, isto é, o Índice de
Preços no Atacado – IPA/FGV. As variações entre os índices, quando são mais acentuadas
nos anos em que há mudanças econômicas com edições de planos financeiros ou com
variações específicas, conforme vivenciado pelo povo brasileiro, durante as
institucionalizações dos planos econômicos no período de 31 de janeiro de 1956 a 30 de junho
de 1994.
          Por exemplo, no mês de março de 1990 (Plano Collor II), o Governo Federal veio a
editar um plano econômico com objetivo de estabilizar a economia, ocasião que reduziu a
inflação - média, de 90% ao mês para 1% ao mês. No mencionado ano a inflação, segundo o
ICV/DIEESE atingiu variação de 1.849,68%, porém, de acordo o IGP-M/FGV a variação foi
de 1.476,56%. Assim, a variação da inflação, nesse ano, medida pelo ICV/DIEESE foi de
23,67% maior do que a variação calculada pelo IGP-M/FGV.
          A equação algébrica matemática para calcular a inflação-variação de certo período:
                            1  iICV          
               ivar/ inf  
                                           1.100
                                              
                            1  iIGPM 
                                                 
                                                   
        ivar/inf → taxa de variação da inflação no período; i ICV→ índice de inflação do ICV;
iIGPM→ índice de inflação do IGP-M. Lembrete: a taxa4.
                             1  18,4968        
                ivar/ inf  
                              1  14,7656  1.100 = 23,67%
                                                
                                                  
         Neste momento, não cabe explicar as razões econômicas destas variações, somente
apresentar a relação entre os índices, mesmo por se tratar de metodologias de cálculos e de
populações distintas, apresentam semelhanças de valores.
         Segundo Antonik (2004): “metodologia de cálculo ou medição da inflação é muito
sofisticada”. O índice de inflação é calculado pela média ponderada da “cesta básica” de
consumo de determinado segmento da sociedade (construção civil, produção industrial,
serviços de telecomunicações, entre outros) ou da renda familiar, variando de 1 a 40 salários
mínimos.
         No Brasil existem vários índices para calcular e medir a inflação. Todavia, a inflação
no Brasil é calculada (medida ou mensurada), por quatro institutos de pesquisa:
         1- A Fundação Getulio Vargas – FGV, a mais antiga. Calcula três índices: Índice
Geral de Preços do Mercado – IGP-M; Índice Geral de Preço ao Mercado – IGP-10 (os dados
são coletados nos dez primeiros dias de cada mês); Índice Geral de Preços – Disponibilidade
Interna – IGP-DI é composto por três outros índices: Índice de Preços por Atacado – IPA,
representando 60%; Índice de Preços ao Consumidor – IPC, representando 30% e Índice

4
    A taxa deve ser usada na forma unitária, isto é, a taxa tem que ser dividida por 100.
7




Nacional da Construção Civil – INCC, representando 10%. Mas estes índices diferem entre si,
somente pelo período de coleta (pesquisa) dos dados.
          2- O Instituto Brasileiro de Geografia e Estatística – IBGE - Autarquia Federal,
Órgão responsável pelo cálculo do índice de inflação usado pelo Governo, considerado como
Índice Oficial: Índice de Preços ao Consumidor Ampliado – IPCA; Índice Nacional de Preços
as Consumidor – INPC. Estes índices são calculados com dados coletados nas regiões do Rio
de Janeiro, Porto Alegre, Belo Horizonte, Recife, São Paulo, Belém, Fortaleza, Salvador,
Goiânia, Distrito Federal e Curitiba.
          3- A Fundação Instituto de Pesquisas Econômicas – FIPE ligada a Universidade de
São Paulo é a responsável pelo índice de inflação da capital paulista, servindo-se de base para
todo o Brasil: Índice de Preços ao Consumidor – IPC do Município de São Paulo mede a
inflação de famílias paulistanas que ganham de uma a vinte salários mínimos, pesquisando-se
duzentos e sessenta produtos, comparando-os à medida do mês anterior.
          4- O Departamento Intersindical de Estatística e Estudos Socioeconômicos –
DIEESE se difere dos outros institutos por incluir, em seu índice os itens essenciais, os gastos
com recreação, cultura e lazer, relações do universo dos trabalhadores ou relações de capital e
trabalho: Índice de Custo de Vida – ICV, que é medido entre os grupos de três classes de
renda: de um a três salários mínimos; de um a cinco salários mínimos; de um a 30 trinta
salários mínimos do Município de São Paulo que representa o custo de vida das famílias
paulistanas.
          Para melhor compreensão e visualização a respeito dos índices, instituições e órgãos
responsáveis, período de coleta dos dados, data de divulgação, faixa de renda, início da
criação e finalidade da indexação, encontra-se no Anexo I - Quadro dos principais índices
econômicos e suas aplicações.
          A inflação é controlada pelo Banco Central do Brasil através do Comitê de Política
Monetária – COPOM que segue o regime de metas de inflação, causando ao povo brasileiro
expectativa em relação ao mercado financeiro, a qual poderá conduzi-lo do pânico ao êxtase.
          Desde o Regime Militar até o dia 30 de junho de 1994, o Brasil teve cinco espécies
de moedas, porém por duas vezes, retornou a adotar à mesma moeda; cinco congelamentos de
preços; nove planos de estabilização econômica; onze índices para calcular e medir a inflação;
dezesseis políticas salariais distintas; vinte e uma propostas de pagamento da dívida externa e
cinqüenta e quatro mudanças na política de preços.
          A economia brasileira sofreu um processo de hiperinflação, no período de 1980 até
30 de junho de 1994, ano em que foi criado o Plano Real e a moeda converteu-se de Cruzeiro
Real – CR$ para Real - R$ (atual moeda do país), isto é, a moeda anterior fora dividida por
2750, para converter-se a moeda atual, conforme visualizado no Anexo II - Unidade do
Sistema Monetário Brasileiro.
          No período compreendido entre 1995 a 2000, a média anual de inflação foi de 8,6%.
Nos últimos anos, entre 2001 a 2011, os dados registrados pelo Instituto Brasileiro de
Geografia e Estatística – IBGE do quadro inflacionário pelo IPCA são: 2001: 7,67%; 2002:
12,53%; 2003: 9,3%; 2004: 7,6%; 2005: 5,69%; 2006: 3,14%; 2007: 4,46%; 2008: 5,90%;
2009: 4,31%; 2010: 5,91%; 2011: 6,50%, consoante Anexo III - Inflação do período de 1830
a 2011.
          A inflação no Brasil levou à criação de mais de trinta índices diferentes para calcular
e aferir a inflação, todos com a finalidade única de corrigir a desvalorização da moeda.
          Um aspecto a respeito à determinação da magnitude, a partir da qual uma taxa de
expansão geral dos preços realmente caracteriza um processo inflacionário típico, diz-se que
toda vez que a taxa de aumento dos preços seja “contínua”, isto é, sustenido em um período
específico de tempo, estar-se-á frente de uma taxa inflacionária.
8




          A inflação na sua essência constitui um desequilíbrio entre a procura e a oferta que,
cria uma tensão nas estruturas produtivas. Muitas definições e explicações se podem ser dadas
pela Teoria Econômica, o que varia de autor para autor. A inflação não é um simples aumento
dos preços dos bens e serviços, conceito errado que muitos consumidores têm da inflação. O
aumento deve ser contínuo e generalizado dos preços dos bens e serviços. O racionamento e o
tabelamento dos preços não são mais do que sintomas e conseqüências da tensão inflacionária
provocada pelo desequilíbrio entre a procura (demanda) e a oferta.
          A Teoria Econômica define que o valor da moeda é dado pelo inverso do nível geral
de preços dos bens e serviços. Essa definição implica que alterações no referido nível
provoquem variações no valor real da moeda. Define-se que a inflação é aumento sustenido e
contínuo do nível geral de preços dos bens e serviços. Por oposição, a deflação é entendida
como uma descida contínua desse mesmo nível. Demonstram-se quando o valor da moeda
aumenta – deflação ou diminui – inflação ao longo do período de capitalização, a taxa real do
processo será superior ou inferior, respectivamente, à taxa que foi acordada.
          Em períodos monetariamente estáveis, entende-se como inflação nula, a taxa de juro
corrente ou convencionada, a real serão coincidentes. Se a taxa de inflação for superior à taxa
de juro corrente, o valor acumulado, em termos, de valor real será inferior ao valor inicial.
Alguns economistas chamam a esta taxa de juro, taxa negativa devido ao fato de o capital
inicial "diminuir", em poder aquisitivo.
          No fundo o que se verifica é que a taxa de juro não é suficiente para compensar a
desvalorização da moeda provocada pelo efeito da inflação.
          Em economia, inflação é a queda do valor de mercado ou do poder de compra do
dinheiro. Essa queda do poder aquisitivo da moeda é equivalente ao aumento no nível geral de
preços dos bens e serviços, basicamente estimulados pela lei da oferta e da procura.
          Econômica e matematicamente, quanto maior é a procura por um determinado
produto ou serviço, maior é seu preço. Analisando o mercado externamente, a inflação se
traduz mais por uma desvalorização da moeda frente à outra.
          Outro processo que envolve a inflação é a deflação. A deflação é caracterizada pela
baixa nos preços de alguns produtos no mercado e/ou de serviços. Pode ser gerada pela baixa
procura ou pela maior oferta e menor demanda. Mas não se pode confundir deflação com
desinflação, que é a redução no ritmo da alta dos preços em um processo inflacionário.
          Deflação é quando os preços recuam e a taxa se torna negativa. Esse processo pode
até parecer bom em um primeiro momento para a economia, mas isso acontece porque muitas
empresas têm que reduzir os preços para poder vender. Essa situação se ocorrer, poderá
conduzir uma empresa a falência.
          A inflação não é um fenômeno econômico ou monetário. Sua raiz está na questão
distributiva dentre os grupos sociais da economia de um país.
          A inflação de preços é o meio pelo quais os grupos sociais ligados às atividades
produtivas dispõem para ampliar a sua apropriação do acréscimo de renda criado no processo
de crescimento econômico, levando a economia para novos equilíbrios distributivos entre
esses grupos. Se a inflação fosse um efeito monetário e neutro em relação ao lado real da
economia, analisando-se bens e serviço, sem afetar a distribuição de renda, o aumento
generalizado de preços deveria ocorrer de forma simétrica em todos os setores da economia,
mas não é isso que acontece.
          A inflação também é conceituada como um desequilíbrio entre a procura e a oferta.
Quando a procura for maior do que a oferta, isso culminará com a geração de inflação.
Quanto maior a inflação, menor será o valor da moeda, porque, nesta situação é preciso se ter
mais dinheiro para se ter o mesmo poder de comprar do produto, tendo em vista que a
inflação causa a conseqüência da perda do poder aquisitivo da moeda (dinheiro).
9




          Inflação é um conceito econômico que representa o aumento de preços dos produtos
em um determinado país ou região, durante um período. Em um processo inflacionário o
poder de compra da moeda se reduz.
          Exemplo: Em um país com inflação, em média, de 0,75% ao mês, um trabalhador
compra 5 kg de arroz em um mês e paga R$7,50. No mês seguinte, para comprar a mesma
quantidade de arroz terá que desembolsar R$7,56, no outro mês, R$7,62 e assim por diante.
Como o salário deste trabalhador não é reajustado mensalmente, o poder de compra diminui.
Depois de um ano, o salário deste trabalhador perdeu 9,00% do valor de compra.
          A inflação é uma neoplasia maléfica para a economia de um país, se não controlada,
causará a morte – falência. Quem geralmente perde mais são os trabalhadores mais pobres que
não conseguem investir o dinheiro em aplicações que lhe garantam a correção inflacionária.
          Quando estes aumentos se derem de forma linear, em taxa inferior a 1,00% ao mês,
por exemplo, o Índice Nacional de Preços ao Consumidor divulgado mensalmente pelo
Instituto Brasileiro de Geografia e Estatística - INPC/IBGE, desde o mês de agosto de 1996 a
janeiro de 2000 se manteve no padrão inferior a 1,00% ao mês, inclusive em alguns meses
houve a deflação (índice negativo). Posteriormente, no período de maio de 2003 até presente
data, tem-se mantido inferior a 1,00% ao mês, exceto no mês de novembro de 2010 (índice:
1,03%), inclusive tem superado o padrão de estabilidade. Também em alguns meses neste
período tem havido deflação, conforme Anexo IV - Tabela de Índices do INPC/IBGE.
          A inflação obriga uma quantidade cada vez maior de moeda no pagamento de um
bem ou serviço. Esse aumento da quantidade de moeda conduz a perda do poder aquisitivo da
moeda. Para se manter o poder de compra da moeda, necessária e indispensável à correção
monetária do valor monetário, resgatando-se o poder aquisitivo.
          Vários fenômenos podem causar a inflação, dentre alguns: taxa alta de juros;
escassez de produtos ou serviços; desequilíbrio da balança de pagamentos; emissão de moeda
para cobrir déficit público; aumento de preços, serviços ou salários sem melhoria da qualidade
ou da produção, entre outros.
          O processo inflacionário, dificilmente pode ser controlado, como já ocorreu na
história brasileira, relembrando-se no período compreendido de 31 de janeiro de 1956 a 30 de
junho de 1994, o Governo Federal instituiu nove planos de estabilização econômica, porém
entre 1985 a 1994 as taxas da inflação no Brasil foram altas. Para os mais ricos, a política da
correção monetária ajudou a suavizar a situação.
          A correção monetária tem a finalidade precípua de minimizar ou mesmo de
neutralizar as distorções causadas pela inflação. Com a inflação os valores monetários: preços
dos bens e serviços; salários; aplicações financeiras; empréstimos; financiamentos, impostos,
dentre outros, são reajustados com base na inflação do período anterior, aferida e mensurada
por índice de preços que mede a mudança que ocorre nos níveis de preços dos bens e serviços
de certo período para outro.
          Para comparações específicas e obtenção de taxas reais de crescimento em
determinados setores, devem ser utilizados índices de preços particulares de cada setor, por
exemplo: construção civil; produtos agropecuários; preços; entre outros.
          O índice geral e disponível mais indicado na mensuração da inflação no país é o
Índice Geral de Preço - Disponibilidade Interna da Fundação Getúlio Vargas – IGP-DI.
          Determinado índice de preços é resultante de um procedimento estatístico que, entre
outras aplicações, permite aferir e mensurar as variações ocorridas nos níveis gerais de preços
de certo período para outro. O índice de preços representa uma média global das variações de
preços que se verificam em um conjunto de determinados bens pelas quantidades respectivas.
          No Brasil são utilizados inúmeros índices de preços, originados de amostragem e
critérios desiguais, elaborados por diferentes instituições de pesquisa governamental e/ou
privada. Antes de ser selecionado um índice para correção de uma série de valores
10




monetários, deve-se proceder a uma análise de sua representatividade em relação aos
propósitos em consideração.
         Alguns índices: ICV/DIESSE, IGP-DI/FGV, IGP-M/FGV, INCC-DI/FGV, INCC-
M/FGV, IPA-DI/FGV, IPA-M/FGV, IPC-Br-DI/FGV, INPC/IBGE, IPAC/IBGE, IPCA-
15/IBGE, IPCA-E/IBGE, IPC/FIPE, TR/BCB, TJLP/CMN, SELIC/RF-MF, entre outros.
         A moeda perde a qualidade da reserva de valor, isto é, perde seu poder aquisitivo –
poder de compra do dinheiro.
         As conseqüências da inflação: a diminuição do poder de compra (perda do poder
aquisitivo da moeda); a instabilidade social; o aumento dos salários nominais, entre outras.
         A equação algébrica matemática para calcular a taxa de inflação:
                P        
         i p   f  1.100
                 P    
                i
                          
                            
          ip → taxa de inflação no período; Pf→ Valor do preço final (período ou mês
seguinte); Pi→ Valor do preço inicial (período ou mês anterior).
         Exemplo: No mês de janeiro de 2011, o preço do pacote de 2 kg de açúcar cristal era
de R$2,79. No mês de janeiro de 2012, o preço do mesmo produto passou a custar R$4,39.
Qual a taxa de inflação do período?
         Solução:
         Pf = R$4,39; Pi = R$2,79; ip = ?
         ip = [(4,39/2,79 – 1] . 100 = 57,35% a.p.
         A equação algébrica matemática para calcular a taxa acumulada de inflação:
          i AC  1  i1 1  i2 ...1  in   1.100
                             .
          iAC → taxa de inflação acumulada no período; i1→ taxa de inflação no primeiro
período; i2→ taxa de inflação no segundo período; in→ taxa de inflação no enésimo período.
         Exemplo: A taxa de inflação no Brasil no ano de 2010 foi de 6,29%. No ano de 2011
foi de 5,92%, de acordo com o índice do INPC/IBGE. Qual a inflação acumulada nesses dois
anos?
         Solução:
         i1 = 6,29% → 0,0629; i2 = 5,92% → 0,0592; iAC = ?
         iAC = {[(1 + 0,0629) . (1 + 0,0592) – 1] . 100} = 12,58% a.p.
         Diante do conceito de dinheiro no tempo pode extrair inúmeras aplicações práticas
para a construção de um número índice como ferramenta para diversas aplicações de correção
monetária e análises de valores.
         i AC    i1   i2   1.100
                   1      .1
         Exemplo: Índice do IGP-M/FGV do ano de 2010, conforme Anexo V - Tabela de
Índices do IGP-M/FGV, em percentual (%). Acumular as variações mensais do índice obter-
se-á a inflação acumulada no período de janeiro a dezembro de 2010, porém não se calcula o
mês de janeiro, por servir-se como base, conforme cálculo exposto no Anexo VI - Índice de
inflação mensal e índice de inflação acumulada.
         A correção monetária foi introduzida no Brasil pela Lei 3.470/1958, porém a partir
da Lei 4.357/1964, a legislação pátria tem permitido a correção monetária do imobilizado
como base para o cálculo da quota de depreciação dedutível. A correção monetária,
matematicamente, surgiu através do índice da variação das Obrigações Reajustáveis do
Tesouro Nacional – ORTN utilizada como indexador econômico (outubro/1964 a
fevereiro/1986).
         A partir da edição da Lei 6.404/1964 - Lei das Sociedades Anônimas vieram os
Decretos-Lei 1.598/1977, 2.341/1987 e Lei 7.799/1989 que regularam a correção monetária
do ativo permanente e do patrimônio líquido, com a finalidade de expressar em valores atuais
as demonstrações financeiras.
11




          A legislação do imposto de renda, editada pelo Decreto-Lei 1.598/1977,
posteriormente pela Lei 7.799/1989, seguindo os padrões da lei societária, instituíram os
procedimentos específicos de correção monetária. Estendeu os critérios dessa correção a todas
as pessoas jurídicas tributadas com base no lucro real.
          O índice básico para correção monetária definida pelo Decreto-Lei era a variação no
valor nominal de uma Obrigação Reajustável do Tesouro Nacional  ORTN. Esse índice foi
substituído pela Obrigação do Tesouro Nacional – OTN, por sua vez foi substituído pelo
Bônus do Tesouro Nacional – BTN. Com a extinção desse índice da BTN pela Lei
8.177/1991. O índice de correção que passou a ser utilizado, a partir do mês de fevereiro de
1991, de acordo com a Lei 8.200/1991 foi o Índice Nacional de Preços ao Consumidor 
INPC/IBGE.
          No final de 1980 e no início de 1990, a exemplo da Lei 7.777/1989, em seu § 2º, do
art. 5º, determinou que o valor da BTN fosse atualizado mensalmente pelo IPC/IBGE. Os
índices da ORTN, OTN e BTN eram Títulos da Dívida Pública, que correspondiam à correção
monetária, enquanto o IPC refletia a inflação efetivamente apurada, corresponderia a juros,
uma vez que, permitiu-se que o índice da BTN fosse atualizado pelo IPC.
          A correção monetária foi instituída por lei para correções de débitos fiscais, de saldos
de financiamentos de imóveis, de FGTS, de aluguéis, entre outros.
          O Governo Federal editou alguns planos econômicos com objetivo de combater ou
controlar a inflação, começando-se pelo Plano Cruzado, Bresser, Verão, Collor I, Collor II e
Real. Também foram institucionalizados vários indexadores financeiros: Obrigação do
Tesouro Nacional – OTN (março/1986 a dezembro/1988), Índice de Preços ao Consumidor –
IPC/IBGE (janeiro e fevereiro/1989); Bônus do Tesouro Nacional – BTN (março/1989 a
fevereiro/1990); Índice de Preços ao Consumidor – IPC/IBGE (março/1990 a fevereiro/1991);
Taxa Referencial – TR (março/1991 a junho/1994); Índice de Preços ao Consumidor – IPC-
r/IBGE (julho/1994 a junho/1995) e Índice Nacional de Preços ao Consumidor – INPC/IBGE
(julho/1994 até a presente data).
          A partir de 1º de fevereiro de 1991, depois da edição do Plano Collor I, foi criada a
Taxa Referencial – TR, visando instituir uma medida para a expectativa de inflação. Assim, a
partir de taxas médias de aplicações econômicas prefixadas excluídas a taxa real incorporada
ao índice, obtém-se a Taxa Referencial – TR. Esta taxa real é determinada pelas autoridades
monetárias, não é um valor constante para todos os meses, mas variável de acordo com uma
série de circunstâncias.
          Atualmente, os indexadores mais utilizados para correção monetária como
mecanismo de resgate do poder de compra da moeda, são: INPC/IBGE, IPC/IBGE,
IPCA/IBGE, IGP-M/FGV, IGP-DI/FGV, IPC/FIPE-USP, ICV/DIEESE, TR/BCB.
          A correção monetária foi introduzida no Brasil como uma compensação para
desvalorização sistemática da nossa moeda, em função dos índices crescentes de inflação.
          A equação algébrica matemática para se calcular a correção monetária em relação à
inflação:
           CM  PV   i1   i2    in 
                             1        .1        ... 1
          CM → Correção monetária; PV → Valor Presente; i1→ taxa de inflação no primeiro
período; i2→ taxa de inflação no segundo período; in→ taxa de inflação no enésimo período.
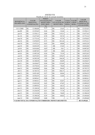
          Exemplo5: A indenização deverá ser corrigida monetariamente pela variação do
índice oficial do INPC/IBGE, a partir do dia 15 de novembro de 2009 até a presente data, com
as taxas de correção monetária. Qual o valor da condenação corrigida monetariamente?

5
  “Ante o exposto, julgo parcialmente procedentes os pedidos constantes da inicial para condenar o requerido a pagar aos
requerentes, Júlio César Botelho, Juliana Almeida Botelho e Daniela Almeida Botelho, em partes iguais, a título de indenização
de seguro obrigatório, o valor de R$13.500,00 (treze mil e quinhentos reais), corrigidos monetariamente a partir da data do
sinistro (15/11/2009) e incidindo juros de mora contados da data da citação (18.07.2011)..., a pagar honorários advocatícios, no
12




         Observação: O índice oficial de correção monetária do mês de novembro de 2009 foi
aplicado proporcionalmente à quantidade de dias, isto é, metade do valor do índice, em razão
da correção monetária, iniciar-se no dia 15 de novembro de 2009.
         Solução:
         CM = 13.500,00 x [(1 + 0,0019). (1 + 0,0024). (1 + 0,0088). (1 + 0,0070). (1 +
0,0071). (1 + 0,0073). (1 + 0,0043). (1 + (-0,0011)). (1 + (-0,0007)). (1 + (-0,0007)). (1 +
0,0054). (1 + 0,0092). (1 + 0,0103). (1 + 0,0060). (1 + 0,0094). (1 + 0,0054). (1 + 0,0066). (1
+ 0,0072). (1 + 0,0057). (1 + 0,0022). (1 + 0,0000). (1 + 0,0042). (1 + 0,0045). (1 + 0,0032).
(1 + 0,0057). (1 + 0,0051). (1 + 0,0051). (1 + 0,0039)] = R$15.450,40, conforme Anexo VII -
Planilha de cálculo de correção monetária.
         O processo inflacionário obriga a quem faz cálculo financeiro ou toma decisões de
empréstimos, financiamento ou investimentos a ter muita cautelar e prestar bastante atenção
ao significado financeiro dos lucros e contas nominais apresentadas pelas empresas, ao
impacto da inflação na avaliação dos empréstimos, financiamentos e investimentos, haja vista
para que se perceba como é afetado o processo decisório.
         Em virtude do resultado da inflação, os significados das medidas contábeis e
econômicas de rentabilidades, lucros e custos, divergem. Esta divergência é maior à medida
que a inflação se acelera, isto é, aumenta continuamente.
         No Brasil, diversos mecanismos já foram instituídos e desenvolvidos com a
finalidade precípua de atenuar, minimizar ou neutralizar o impacto da inflação na correção
monetária como mecanismo de resgate do poder aquisitivo da moeda, reflexivamente nos
encargos legais de juros moratórios e multa moratória em razão da inadimplência de
obrigação contratual.
         A correção monetária é um mecanismo imperfeito que somente alivia,
momentaneamente, mas não cura o mal gerado pela inflação. Assim, enquanto a inflação se
mantiver presente na economia, qualquer tomador de decisões tem que saber lidar com este
câncer. As pessoas que lidam no mercado econômico com empréstimos, financiamentos e
investimentos devem compreender e reconhecer os significados dos valores nominais; taxas
de juros aparentes e reais; custos efetivos aparentes e reais dos empréstimos, financiamentos e
investimentos; rentabilidade efetiva e real das aplicações financeiras; taxas de crescimento
nominal e real; correção monetária de débitos em geral e cambial; etc.
         A inflação é a aumento contínuo e generalizado dos preços dos bens e serviços. A
inflação desvaloriza o dinheiro no tempo. Portanto, diminui o poder de compra, por isso,
torna-se necessário fazer uma correção monetária, a fim de recuperar o poder de compra de
um determinado quantum.
         Para tanto é necessário conhecer algumas variações da taxa de juros: mercado,
inflação e a derivada taxa real:




          As equações algébricas matemáticas para taxa real:




valor de 10% do valor da condenação,...” (Processo nº 2011.0006.6656-0 – AÇÃO INDENIZATÓRIA DE DANO – SEGURO
OBRIGATÓRIO – COMARCA DE MIRANORTE – ESTADO DO TOCANTINS).
13




         Exemplo: Enoque Fernandes contraiu empréstimo de R$16.500,00, à taxa nominal de
3,00% ao mês e efetiva de 42,58% ao ano para pagá-lo em quatro anos, isto é, em 48 meses.
Por ocasião do pagamento, a inflação do período da primeira prestação à última prestação foi
de 26,48%. Qual foi a taxa de juros reais dessa operação?
         PV = R$16.500,00; i = 3,00% a.m., equivale a 42,58% a.a.; n = 48 meses; inflação =
26,48%; r = ?
         r = {[(1 + 0,4258) / (1 + 0,2648)] – 1}.100 = 12,73% a.a.
         A correção monetária obrigatoriamente deve corresponder ao resgate do poder
aquisitivo da moeda em função da desvalorização provocada pela inflação, por essa razão, a
correção monetária deve corresponder à taxa de inflação. Portanto, CM = PV . r (Correção
Monetária é igual ao produto do Valor Presente pela taxa real de juros).
         A atualização monetária é calculada pela seguinte equação algébrica matemática:
         AM = PV . (1 + r . n)
         AM → Atualização monetária; PV → Valor Presente; r→ taxa real de juros; n→
número de períodos.
         Exemplo-1: A empresa EHL assumiu obrigação contratual de pagar a quantia de
R$120.000,00 à taxa de juros efetivos de 14,72% ao ano, durante cinco anos. Qual a correção
monetária e a atualização monetária?
         CM = PV . r = 120.000,00 x 0,1472 = R$17.664,00
         AM = PV . (1+ r. n) = 120.000,00 x (1 + 0,1472 . 5) = R$208.320,00
         Exemplo-2: A empresa JL assumiu obrigação contratual de pagar a quantia de
R$120.000,00 durante cinco anos, sabendo-se que as taxas anuais da inflação foram: 5,04%;
6,30%; 4,04%; 6,29%; 5,92%. Qual a atualização monetária?
         AM = PV . [(1+ i1) . (1+ i2) . (1+ i3) . (1+ i4) . (1+ i5)]
         AM = 120.000,00 x [(1+ 0,0504). (1+ 0,0630). (1+ 0,0404). (1+ 0,0629). (1+
0,0592)] = R$ 156.942,28
         Exemplo-3: A empresa ENSA assumiu obrigação contratual de pagar a quantia de
R$150.000,00 à taxa de juros efetivos de 14,72% ao ano, em seis prestações anuais, a partir
do ano de 2006 ao ano de 2011. Elabore a planilha de cálculo desse empréstimo.
         Planilha de cálculo da atualização monetária:
         PV = 150.000,00; r = 14,72% a.a.; n = 6 prestações anuais.
         PMT1 = 28.680,00; PMT2 = 32.360,00; PMT3 = 36.040,00; PMT4 = 39.720,00;
PMT5 = 43.400,00; PMT6 = 47.080,00, conforme Anexo VIII - Planilha de cálculo de
correção monetária do valor das prestações do empréstimo.
         Para melhor compreensão da situação fática, indispensável proceder à atualização
monetária das prestações desse empréstimo, considerando as taxas anuais de inflação, dos
últimos cinco anos: 3,14%; 4,46%; 5,90%; 4,31%; 5,91%; 6,50% são resgatar o poder de
compra da moeda.
         Observação: o fator de atualização acumulado corresponde ao fator do período
anterior multiplicado pela percentual do período seguinte somado a unidade (elemento neutro
da multiplicação e divisão).
         Na esfera patrimonial e obrigacional, o contrato é instrumento fundamental para a
circulação de riquezas e para fomentar a economia. Através deste instrumento, centrado na
autonomia de vontade das partes, elas se manifestam, constituindo, modificando,
regulamentando e extinguindo relação jurídica.
         Nos negócios jurídicos, as obrigações pecuniárias imperam em face da autonomia de
vontade que constitui no instrumento do contrato, faz-se necessária a estipulação de índice de
correção monetária para estabelecer e fixar reajustes de preços e acrescer encargos moratórios
(juros e multa) decorrentes do inadimplemento da obrigação, independente da correção
monetária.
14




          A correção monetária não é acréscimo do valor principal da obrigação, mas um
mecanismo de manter o poder de compra da moeda em razão de sua desvalorização, em
virtude da inflação. Trata-se de ajuste econômico-financeiro periódico que visa à
recomposição do valor monetário diante da inflação ocorrida no período em que o valor
principal devido não foi adimplido. Assim, através de fórmula aritmética, aplica-se o índice
estabelecido no contrato divulgado por instituição econômica renomada, dentre essas
instituições cita-se: Instituto Brasileiro de Geografia e Estatística, Fundação Getúlio Vargas,
Nacional, Fundação Instituto de Pesquisas Econômicas da Universidade de São Paulo e
Departamento Intersindical de Estudos Estatísticas e Socioeconômica, resultando na correção
monetária do valor principal do débito e/ou obrigação.
          A correção monetária constitui providência que visa apenas corrigir o valor real do
débito, não objetivando exacerbar o quantum principal, mas evitar sua deterioração e
desvalorização. Constitui fundamento da segurança jurídica em sua faceta econômica, a
incidência dos expurgos inflacionários, referentes aos planos econômicos de Governo, em
todas as situações experimentadas pelo cidadão no período, envolvendo o crediário, as contas
correntes bancárias, aplicações financeiras, empréstimos, financiamentos, pagamentos de
contas, entre outros, porquanto poderá se caracterizar a real correção do valor da moeda.
          O resgate do valor monetário faz com que a relação contratual se mantenha
equilibrada, de modo a evitar o enriquecimento de uma e o empobrecimento da outra parte
que figurarem no contrato.
          Os contratantes podem renunciar ao direito de recebimento de correção monetária,
em face da autonomia de vontade, princípio que rege os Direitos das Obrigações. Contudo,
não havendo a renúncia, a correção monetária é devida mesmo que não esteja prevista no
contrato, por meio de índice oficial. Neste caso, o Poder Judiciário suprirá a omissão,
definindo o índice, para depois, proceder à correção monetária.
          No Brasil, a inflação é calculada e medida por meio de diversos índices divulgados
por instituições de credibilidade, tais como: Instituto Brasileiro de Geográfica e Estatística,
Fundação Getúlio Vargas, Fundação Instituto de Pesquisas Econômicas e Departamento
Intersindical de Estatística e Estudos Socioeconômicos, dentre outros.
          Alguns negócios jurídicos se valem de índices específicos de determinados setores,
como ocorre nos contratos para aquisição de imóvel a ser construído que, utilizam o Índice
Nacional de Custos da Construção – INCC, enquanto o imóvel se encontra em fase de
construção.
          O Índice Nacional do Custo da Construção é um dos componentes das três versões
do Índice Geral de Preços, o de menor peso. Reflete diretamente na economia o ritmo dos
preços de materiais de construção e da mão-de-obra no setor, utilizado nos empréstimos e
financiamentos diretos das construtoras e incorporadoras.
          Portanto, não há índices setoriais para todos os negócios jurídicos possíveis de se
realizarem, pois é cediço que os contratos podem ser atípicos, isto é, não enquadrados na lei,
decorrente da autonomia da vontade das partes.
          Em virtude destas situações, as partes elegem o índice de uso múltiplo que melhor
alcança o equilíbrio econômico da relação contratual.
          É certo que os índices oficiais não refletem a exata desvalorização da moeda,
tornando a relação desequilibrada. Neste caso, as partes podem socorrer-se do Poder
Judiciário para revisar o contrato e alterar ou modificar o índice, se assim entender necessário.
          Dentre os negócios jurídicos que não possuem índice específico encontra-se o
contrato de locação.
          A Lei do Inquilinato – Lei 8.245/1991 não restringiu, não especificou o índice a ser
aplicado para correção monetária, mas em seu artigo 17 previu a livre convenção do aluguel,
15




veda somente a estipulação do valor da locação em moeda estrangeira e a sua vinculação à
variação cambial e ao salário mínimo.
         No parágrafo único do citado artigo, previu a livre escolha de critérios de reajustes,
desde que observada à legislação específica, isto quer dizer, uma parte não pode exigir da
outra, correção monetária, juros moratórios e multa moratória, que não sejam permitidas por
lei. Neste aspecto, cita-se que a correção monetária é prevista na Lei 6.899/1981 (art. 1º); os
juros moratórios são definidos no Código Civil de 2002 – Lei 10.406/2002 (art. 406),
combinado com o Código Tributário Nacional – Lei 5.172/1966 (§1º, art. 161) à base de
1,00% ao mês; a multa moratória está prevista no Código de Defesa do Consumidor – Lei
8.078/1990 (§1º, art. 52) à base de 2,00% sobre o valor da prestação inadimplida.
         Assim, no contrato de locação é válida a fixação de qualquer índice oficial, desde
que não esteja restrito a um setor da economia, diverso como é o caso da Taxa Referencial -
TR que é critério específico do mercado de capitais e configura coeficiente de remuneração
do capital.
         A correção monetária foi definida como uma:
         “técnica adequada para neutralizar os efeitos perniciosos da inflação e nenhuma dúvida temos quanto
         à sua necessidade de sua incidência, especialmente quando se trata de restabelecer o status quo ante,
         rompido por um ato do devedor, que pode ser lícito ou ilícito” (WALD).
        Os juros moratórios são a remuneração do valor principal em face da inadimplência
da obrigação contratual. De acordo com economista Keynes: “juro é o preço mediante o qual
o desejo de manter a riqueza em forma líquida se concilia coma quantidade de moeda
disponível”.
        O conceito jurídico de juros:
         “é bem jurídico de natureza econômica, integrante ao patrimônio. É ganho obtido por sujeitos de
         direitos. Não existem juros em abstrato. O conceito jurídico de juros exige que exista uma relação
         jurídica concreta, da qual flua, para uma ou mais partes a pretensão de exigir da outra, ou outras, o
         preço do dinheiro” (OLIVEIRA).
          Portanto, juros são remunerações de dinheiro derivados de uma relação jurídica. Não
é lógico pensar que pode aplicar juros moratórios sobre o valor principal bruto, sem antes
realizar a devida correção monetária, estaria a remunerar um montante corroído pela inflação.
Em período de inflação elevada, a ausência da correção monetária reduziria,
significativamente, o patrimônio do credor.
          Os efeitos da perda ou ganho do poder aquisitivo da moeda nacional podem ser
reconhecidos nos registros contábeis, nos cálculos de liquidações de sentenças judiciais e nos
cálculos de apurações de débitos e de revisões de contratos.
          A correção monetária não concebe nova avaliação, mas apenas a adequação dos
valores originais para determinado período, de acordo com a aplicação de indexadores
econômicos – índices financeiros oficiais divulgados por instituições credenciadas, para que
se possa traduzir o ganho ou a perda do poder aquisitivo da moeda nacional em certo período
de tempo.
          A moeda não representa unidade constante de poder aquisitivo. Por isso, sua
expressão formal deve ser ajustada, a fim de que permaneçam substantivamente corretos. Em
algumas oportunidades no passado, o princípio foi cognominado de “correção monetária”,
expressão segundo a norma, inadequada, pois não constitui qualquer “correção” do valor, mas
apenas atualiza monetariamente o que, não deveria ter alterado o poder de compra da moeda.
          Esta é a razão pela qual o princípio, quando aplicado à prática, se revela por meio de
índice oficial que divulga a mudança do poder aquisitivo de compra da moeda, não da
alteração particular do preço de um determinado bem.
          Os indexadores da atualização monetária devem ser construídos de acordo com o
emprego de índices, moedas referenciais reais, desde que reflitam a variação verificada por
Índice Geral de Preços da economia brasileira.
16




          Deve-se utilizar, somente, único e exclusivo critério de maneira geral, de forma
uniforme por todas as Entidades ou Instituições Públicas ou Privadas, embora o uso de
indexador único, ainda que indispensável, não determina inteiramente o problema da
atualização monetária, pois não se consegue resolver a questão da fidedignidade de que se
proponha o dito indexador, na expressão do poder aquisitivo da moeda para manter-se o poder
de compra.
          Através da Lei 6.899/1981, a correção monetária foi definitivamente admitida na
liquidação dos débitos decorrentes de decisão judicial. A partir de então se percorreu uma
verdadeira panacéia de planos econômicos, desindexações, expurgos inflacionários, não se
dedicando o legislador em deixar claros os critérios para as liquidações de sentença de forma
a satisfazer da maneira mais justa possível as pretensões deduzidas em juízo.
          Há que se salientar que a determinação dos critérios de cálculo de liquidação de
sentença é matéria jurisdicional, afeta ao Poder Judiciário, que não precisa ficar adstrito às
normas monetárias que movimentam os indexadores. A manifestação mais precisa da
legislação, diminuiria as intermináveis discussões em matéria de correção monetária, que
abarrotam as prateleiras do Judiciário com milhares de processos.

3. CONCLUSÃO
           Na atual conjuntura da política monetária brasileira se percebe uma relativa
estabilidade da inflação em face do Plano Real, haja vista os índices existentes anteriores ao
plano econômico editado pelo Governo, estabilidade que não fez parte da economia do país
nos períodos anteriores a instituição da moeda real.
           A sociedade brasileira foi exposta aos elevados índices inflacionários, com isso,
surgiu-se a correção monetária de valores para resgatar a parcela perdida com a
desvalorização do poder aquisitivo da moeda, em caso de inadimplência de obrigação
contratual, aplicação da penalidade de pagar o débito com juros moratórios, dependendo do
contrato, se previsto a obrigação, pagar multa moratória. Os juros moratórios constituem pena
imposta ao devedor pelo atraso no adimplemento da obrigação contratual (art. 406, CC/2002 e
§ 1º, art. 161, CTN).
           A falta de correção monetária em percentual igual à inflação pode causar impactos na
análise da real condição patrimonial e financeira das pessoas físicas e jurídicas.
           Através de teste de hipóteses constata-se que a inflação medida pelos institutos de
pesquisas, serve-se com base para a correção monetária de valores para que se possa recuperar
a parte desvalorizada do poder de compra da moeda e, as elevadas taxas de inflação causam
graves impactos em relação à correção monetária.
           As altas taxas de inflação provocam distorções na estrutura produtiva do país. A
distribuição de renda é afetada com a redução do poder aquisitivo do dinheiro da população,
os assalariados têm seus orçamentos reduzidos e os trabalhadores de baixa renda, sem
aplicações financeiras, consomem praticamente toda a sua renda.
           As elevadas taxas de inflação também causam majoração nos preços dos produtos
nacionais, aumentando a demanda por importações, reduzem as exportações, desequilibra a
balança comercial. Para evitar uma crise econômica, o Governo adota medidas para
desvalorizar a moeda e frear as importações. Mas, as importações essenciais (petróleo e seus
derivados, fertilizantes, equipamentos sem similar nacional, entre outros) ficam com preços
majorados, aumentando o custo de produção dos setores que dependem desse produto. Assim,
há nova elevação de preços, criando círculo vicioso que só termina com a queda real da
inflação.
           Com a desvalorização da moeda durante um processo inflacionário contínuo e
intenso, os aplicadores e/ou investidores não se sentem estimulados a aplicar no mercado de
17




capitais. Os investimentos em poupança e títulos sofrem retração. Por outro lado, esses
recursos são normalmente aplicados em bens imóveis que costumam ser mais valorizados.
          As exageradas taxas de inflação e de juros são provocadas pelo déficit público, com
dispêndios relacionados: incidência de correção monetária e juros; correções cambiais pagos
pelo Governo Federal à caderneta de poupança, ao FGTS, a Dívida Pública, aos depósitos em
moeda estrangeira no Banco Central do Brasil; política de redesconto levada a efeito pelo
Banco Central do Brasil. A queda dos juros e o combate à inflação exigem a erradicação do
déficit público.
          Os efeitos da inflação não devem ser desprezados, mesmo em períodos com taxas
reduzidas, quando da análise de rentabilidade e adequação de capital para mantê-lo com poder
de compra.
          As conseqüências da inflação são: transferência de renda entre agentes econômicos
com a obtenção das atividades meio e melhores informações; prejuízos dos salários e
poupadores, com menos informações; desequilíbrios nos preços relativos; aumento da
corrupção; qualidade dos gastos do Governo sofre queda, provocando mais inflação; aumento
da renda das atividades improdutivas, mais consumo do que produção, provocando mais
inflação; afastamento de capitais para o exterior.
          A eliminação do problema compreende a aplicação da correção monetária no mesmo
percentual da inflação ou deflação, mesmo sem qualquer previsão de lei, não só as instituições
financeiras, mas a todas as empresas dos demais setores da economia que tiveram crédito não
adimplido, porém respeitando-se as normas legais existentes.
          A correção monetária deve incidir a partir do momento em que era possível ao
devedor realizar o pagamento e não o fez, gerando prejuízo ao credor. Os índices aplicáveis à
correção monetária devem ser os índices oficiais de remuneração básica. Os juros moratórios
devem ser no mesmo patamar dos juros aplicados à caderneta de poupança.
          A inflação é causada pelo aumento de um único item básico de consumo, acarretando
um aumento generalizado no preço dos produtos e serviços. Exemplo, aumento dos
combustíveis e consumo excessivo de um produto, pois o restante fica mais caro e o produto
fica escasso no mercado.
          O processo inflacionário tem atormentado e sido doloroso à sociedade brasileira,
comovendo-a indiscriminadamente, principalmente os administradores, gestores públicos e a
classe assalariada, os quais não conseguem escapar ou desvincular-se deste “fantasma”.
          Os indexadores são enérgicas ferramentas para a correção monetária de valores nas
obrigações contratuais em geral e nos processos judiciais de débitos, sobretudo, quando
ocorre a inadimplência de obrigação contratual.
          A correção monetária de valores é levada a efeito através de cálculos simplório e
simplificado da multiplicação do valor do débito pelo índice. Na correção monetária utilizam-
se os índices e as tabelas de formatação destes índices. A correção monetária consiste no
método simplificado de reconhecimento dos efeitos da inflação, aplicando-se um índice geral
de preços para correção dos valores ativos e do patrimônio líquido, por objetivar a
recuperação da parcela corroída e destruída pela desvalorização do poder de compra da
moeda.
          A correção monetária deve conciliar as técnicas existentes com a escolha dos índices
de preços, em razão dos efeitos das variações dos preços, pois deve entender que a inflação é
benéfica ao devedor e lesiva ao credor, em função de que os passivos monetários produzem
ganhos e os ativos monetários prejuízos.
          A taxa real de juros e a utilização de indexadores em cálculos financeiros, em
contratos em geral, a correção monetária de valores são pontos de elevada relevância para a
manutenção do poder de compra da moeda.
18




          A elevada taxa de juros no Brasil atenta contra o princípio constitucional da
dignidade da pessoa humana.
          Pelo estudo realizado tem-se que o processo inflacionário causa os seguintes
impactos: lucros fascinados se não for realizados os efeitos da inflação nas contas; redução
dos valores das ações das pessoas, físicas ou jurídicas, pois se os custos e a taxa de juros
aumentarem, isso reduzem os lucros, por sua vez, reduzem os valores das ações;
imprevisibilidade da taxa de inflação torna difícil, constituir provisões para acautelar riscos
futuros; provoca à redução do poder de compra da moeda das classes assalariadas que
dependem de rendimentos fixos, assim na população de baixa renda, a inflação é como um
“imposto” por extorquir do trabalhador parcela do rendimento mensal; balança comercial
majora (subir) o preço do produto nacional, estimulando a importação, o que poderá aumentar
o déficit na balança; desgaste da arrecadação do Governo torna-se necessária a indexação dos
tributos; expectativas dos agentes econômicos, pois o setor empresarial é sensível às
distorções dos preços causados pela inflação, comprometendo as expectativas futuras, isto é,
as decisões empresariais são postecipadas; aumento do preço do petróleo conduz aumentos de
seus derivados contribuindo com a inflação; emissão exagerada e descontrolada de dinheiro
por parte do Governo; demanda por produtos (aumentos no consumo), maior do que a
capacidade de produção do país; aumento nos custos de produção (máquinas, matéria-prima,
mão-de-obra) dos produtos.

4. REFERÊNCIAS

ASSAF NETO, ALEXANDRE. Matemática Financeira e suas Aplicações. 11.ed. São
Paulo: Atlas, 2009.
BARBOSA, Fernando de Holanda. O Valor da Moeda e a Teoria de Preços dos Ativos.
São Paulo, RBE 21, 2005.
FERREIRA, AURÉLIO BUARQUE DE HOLANDA. Mini Aurélio – O Dicionário da
Língua Portuguesa. 6.ed. Curitiba: Positivo, 2008.
HAZZAN, SAMUEL. Matemática Financeira. 6.ed. São Paulo: Saraiva, 2007.
KEYNES, John Maynard. A Teoria Geral do Emprego, do Juro e da Moeda. Tradução
para o português de Mário R. Da Cruz. São Paulo: Atlas, 1992.
MARTINS, Ives Gandra da Silva. Questões de Direito Econômico. São Paulo: Revistas dos
Tribunais, 1999.
MILONE, Giuseppe. Matemática Financeira. São Paulo: Thomson Learning, 2006.
OLIVEIRA, Marcos Cavalcante de. Moeda, Juros e Instituições Financeiras - Regime
Jurídico. Rio de Janeiro: Forense, 2006.
PARENTE, EDUARDO AFONSO DE MEDEIROS. Matemática Comercial e Financeira.
São Paulo: FTD, 1996.
WALD, Arnold. O Novo Direito Monetário - Os Planos Econômicos e a Justiça. Belo
Horizonte: Ciências Jurídicas, 1996.
______www.portalbrasil.net.
______www.ibge.gov.br.
______www.fgv.com.br/dados.
19




                                      ANEXO I
               QUADRO: PRINCIPAIS ÍNDICES ECONÔMICOS E SUAS APLICAÇÕES
ÍNDICE     INSTITUIÇÃO      PERÍODO         DATA      FAIXA    INÍCIO  FINALIDADE
          RESPONSÁVEL        COLETA      DIVULGAÇÃO RENDA CRIAÇÃO INDEXAÇÃO
                          APURAÇÃO
                                                      De 1-8             Contratos e
 INPC          IBGE      1º a 30 do mês    Até dia 15 Salários  1979    negócios em
                                                      Mínimos                geral
                                                      De 1-40    ----    Contratos e
 IPCA          IBGE      1º a 30 do mês    Até dia 15 Salários   ----   negócios em
                                                      Mínimos    ----        geral
                         16 do mês                    De 1-40            Contratos e
IPCA-15        IBGE      anterior a 15     Até dia 25 Salários  2000    negócios em
                         mês referência               Mínimos                geral
                         21 de um mês                                    Contratos e
                         a 20 do mês       Até dia 30   ----    1989     negócios do
IGP-M          FGV       referência                     ----               mercado
                                                        ----              financeiro
                                                                          Contratos
                                                        ----    1944    empresariais,
IGP-DI         FGV        1º a 30 do mês   Até dia 15   ----               aluguéis,
                                                        ----             negócios no
                                                                            atacado
                                                                          Contratos
                                                        ----    1944    industriais e
 IPA           FGV        1º a 30 do mês   Até dia 15   ----             negócios no
                                                        ----                atacado
                                                        ----              Contratos
 INCC          FGV        1º a 30 do mês   Até dia 15   ----    1944     imobiliários
                                                      De 1-33    ----     Contratos,
IPC-Br         FGV        1º a 30 do mês   Até dia 15 Salários   ----   negócios em
                                                      Mínimos    ----  geral e salários
                                                      De 1-33             Contratos,
 IPC         FIPE-USP     1º a 30 do mês   Até dia 15 Salários  1939    negócios em
                                                      Mínimos          geral e salários
                                                      De 1-8            Contratos de
 ICV          DIEESE      1º a 30 do mês   Até dia 10 Salários  1959      trabalho e
                                                      Mínimos               salário
20




                                                   ANEXO II
                           UNIDADES DO SISTEMA MONETÁRIO BRASILEIRO
UNIDADE MONETÁRIA            PERÍODO DE VIGÊNCIA             SÍMBOLO        CORRESPONDÊNCIA
Real (Plural = Réis)        Período colonial até 7/10/1833     R       R 1$2000 = 1/8 de ouro de 22 k
Mil Réis                    8/10/1833 a 31/10/1942             R$      Rs 2$500 = 1/8 de ouro de 22 k.
Cruzeiro                    1/11/1942 a 30/11/1964             Cr$     Cr$ 1,00 = Rs 1$000
                                                                       (um cruzeiro corresponde a mil-
                                                                       réis)
Cruzeiro (eliminados os     1/12/1964 a 12/2/1967              Cr$     Cr$ 1 = Cr$ 1,00
centavos)
Cruzeiro Novo (volta dos    13/2/1967 a 14/5/1970             NCr$     NCr$ 1,00 = Cr$ 1.000
centavos)
Cruzeiro                    15/5/1970 a 14/8/1984              Cr$     Cr$ 1,00 = NCr$ 1,00
Cruzeiro (eliminados os     15/8/1984 a 27/2/1986              Cr$     Cr$ 1 = Cr$ 1,00
centavos)
Cruzado (volta dos          28/2/1986 a 15/1/1989              Cz$     Cz$ 1,00 = Cr$ 1.000
centavos)
Cruzado Novo                16/1/1989 a 15/3/1990             NCz$     NCz$ 1,00 = Cz$ 1.000,00
Cruzeiro                    16/03/1990 a 31/7/1993             Cr$     Cr $ 1,00 = NCz$ 1,00
Cruzeiro Real               1/8/1993 a 30/6/1994               CR$     CR$ 1,00 = Cr$ 1.000,00
Real (plural = Reais)       A partir de 1/7/1994               R$      R$ 1,00 = Cr$ 2.750,00
21




                                                           ANEXO III
                        INFLAÇÃO BRASILEIRA NO PERÍODO DE 1830 A 2011
  Período          Variação Anual  Período Variação Anual Período     Variação Anual
 1830-1834               0,8%       1941       10,9%       1979            77,2%
 1835-1844               2,7%       1942       12,0%       1980            97,9%
 1845-1857               0,9%       1943       14,9%       1981            95,2%
 1858-1860              -0,9%       1944       27,3%       1982            99,7%
 1861-1874               1,2%       1945       16,7%       1983           211,0%
 1875-1881               1,0%       1946       16,5%       1984           223,8%
 1882-1887               3,3%       1947        6,3%       1985           235,1%
 1888-1896               8,9%       1948        9,2%       1986            65,0%
 1897-1900              -1,9%       1949        9,0%       1987           415,8%
 1901-1912              -0,1%       1950       13,4%       1988          1037,6%
   1913                  2,0%       1951       19,8%       1989          1782,9%
   1914                 -5,0%       1952       10,3%       1990          1476,6%
   1915                  3,6%       1953       15,1%       1991           480,2%
   1916                  6,3%       1954       30,3%       1992          1157,9%
   1917                 10,2%       1955       13,1%       1993          2708,6%
   1918                -10,8%       1956       19,2%       1994          1092,7%
   1919                 30,5%       1957       12,5%       1995            14,7%
   1920                 10,1%       1958       12,2%       1996            9,19%
   1921                  3,3%       1959       37,7%       1997            5,22%
   1922                  9,5%       1960       30,9%       1998            1,65%
   1923                 10,3%       1961       38,1%       1999            8,94%
   1924                 16,6%       1962       53,2%       2000            5,97%
   1925                  6,7%       1963       78,0%       2001            7,67%
   1926                  2,7%       1964       87,8%       2002           12,53%
   1927                  2,7%       1965       55,4%       2003            9,30%
   1928                 -1,5%       1966       38,2%       2004            7,60%
   1929                -0,07%       1967       25,0%       2005            5,69%
   1930                 -9,2%       1968       25,5%       2006            3,14%
   1931                 -3,3%       1969       20,1%       2007            4,46%
   1932                  0,0%       1970       19,3%       2008            5,90%
   1933                  0,0%       1971       19,5%       2009            4,31%
   1934                  7,4%       1972       15,7%       2010            5,91%
   1935                  5,2%       1973       15,5%       2011            6,50%
   1936                 12,8%       1974       34,5%       2012              ---
   1937                  9,6%       1975       29,4%       2013              ---
   1938                  4,0%       1976       46,3%       2014              ---
   1939                  2,7%       1977       38,8%       2015              ---
   1940                  4,9%       1978       40,8%       2016              ---
Fonte Almanaque (Folha de São Paulo), a partir de 1913 com divulgação do índice de inflação anual a partir de 1980 pelo IPCA/IBGE.

                                                     Inflação Anual
Período          Variação Anual           Período        Variação Anual          Período Variação Anual
1921                    3,0%                 1922              9,3%                1923          10,1%
1924                   16,9%                 1925              7,0%                1926            2,7%
1927                    2,6%                 1928              -1,5%               1929           -0,7%
1930                   -9,0%                 1931              -3,7%               1932            0,4%
1933                   -0,9%                 1934              7,7%                1935            5,6%
1936                   14,7%                 1937              7,6%                1938            4,3%
Nesse período a inflação era medida anualmente, não sendo divulgadas as variações mensais, até 1939, quando foi criado o IPC/FIPE-USP.
22




                                                                ANEXO IV
                                         ÍNDICE OFICIAL DO INPC/IBGE - [%]
 ANO/MÊS             JAN       FEV      MAR ABR             MAI        JUN     JUL     AGO     SET     OUT    NOV     DEZ
     1990           68,19 73,99 82,18 14,67                     7,31   11,64 12,62 12,18 14,26 14,43 16,92 19,14
     1991           20,95 20,20 11,79              5,01         6,68   10,83 12,14 15,62 15,62 21,08 26,48 24,15
     1992           25,92 24,48 21,62 20,84 24,50 20,85 22,08 22,38 23,98 26,07 22,89 25,58
     1993           28,77 24,79 27,58 28,37 26,78 30,37 31,01 33,34 35,63 34,12 36,00 37,73
     1994           41,32 40,57 43,08 42,86 42,73 48,24                        7,75    1,85    1,40    2,82   2,96    1,70
     1995            1,44      1,01      1,62      2,49         2,10   2,18    2,46    1,02    1,17    1,40   1,51    1,65
     1996            1,46      0,71      0,29      0,93         1,28   1,33    1,20    0,50    0,02    0,38   0,34    0,33
     1997            0,81      0,45      0,68      0,60         0,11   0,35    0,18    -0,03   0,10    0,29   0,15    0,57
     1998            0,85      0,54      0,49      0,45         0,72   0,15    -0,28   -0,49   -0,31   0,11   -0,18   0,42
     1999            0,65      1,29      1,28      0,47         0,05   0,07    0,74    0,55    0,39    0,96   0,94    0,74
     2000            0,61      0,05      0,13      0,09     -0,05      0,30    1,39    1,21    0,43    0,16   0,29    0,55
     2001            0,77      0,49      0,48      0,84         0,57   0,60    1,11    0,79    0,44    0,94   1,29    0,74
     2002            1,07      0,31      0,62      0,68         0,09   0,61    1,15    0,86    0,83    1,57   3,39    2,70
     2003            2,47      1,46      1,37      1,38         0,99   -0,06   0,04    0,18    0,82    0,39   0,37    0,54
     2004            0,83      0,39      0,57      0,41         0,40   0,50    0,73    0,50    0,17    0,17   0,44    0,86
     2005            0,57      0,44      0,73      0,91         0,70   -0,11   0,03    0,00    0,15    0,58   0,54    0,40
     2006            0,38      0,23      0,27      0,12         0,13   -0,07   0,11    -0,02   0,16    0,43   0,42    0,62
     2007            0,49      0,42      0,44      0,26         0,26   0,31    0,32    0,59    0,25    0,30   0,43    0,97
     2008            0,69      0,48      0,51      0,64         0,96   0,91    0,58    0,21    0,15    0,50   0,38    0,29
     2009            0,64      0,31      0,20      0,55         0,60   0,42    0,23    0,08    0,16    0,24   0,37    0,24
     2010            0,88      0,70      0,71      0,73         0,43   -0,11   -0,07   -0,07   0,54    0,92   1,03    0,60
     2011            0,94      0,54      0,66      0,72         0,57   0,22    0,00    0,42    0,45    0,32   0,57    0,51
     2012            0,51      0,39        -         -           -       -       -       -       -      -       -      -
Fonte: Instituto Brasileiro de Geografia e Estatística – IBGE
23




                                                           ANEXO V
                                   ÍNDICE OFICIAL DO IGP-M/FGV - [%]
  ANO/MÊS          JAN     FEV MAR ABR MAI                   JUN    JUL    AGO SET         OUT NOV DEZ
      1989           -       -          -      -       -     19,68 35,91 36,91 39,92 40,64 40,48 47,13
      1990        61,46 81,29 83,95 28,35 5,93               9,94 12,01 13,62 12,80 12,97 16,86 18,00
      1991        17,70 21,02 9,19            7,81   7,48    8,48 13,22 15,25 14,93 22,63 25,62 23,63
      1992        23,56 27,86 21,39 19,94 20,43 23,61 21,84 24,63 25,27 26,76 23,43 25,08
      1993        25,83 28,42 26,25 28,83 29,70 31,49 31,25 31,79 35,28 35,04 36,15 38,32
      1994        39,07 40,78 45,71 40,91 42,58 45,21 4,33                 3,94    1,75    1,82   2,85    0,84
      1995         0,92    1,39        1,12   2,10   0,58    2,46   1,82   2,20    -0,71   0,52   1,20    0,71
      1996         1,73    0,97        0,40   0,32   1,55    1,02   1,35   0,28    0,10    0,19   0,20    0,73
      1997         1,77    0,43        1,15   0,68   0,21    0,74   0,09   0,09    0,48    0,37   0,64    0,84
      1998         0,96    0,18        0,19   0,13   0,14    0,38   -0,17 -0,16 -0,08      0,08   -0,32   0,45
      1999         0,84    3,61        2,83   0,71   -0,29   0,36   1,55   1,56    1,45    1,70   2,39    1,81
      2000         1,24    0,35        0,15   0,23   0,31    0,85   1,57   2,39    1,16    0,38   0,29    0,63
      2001         0,62    0,23        0,56   1,00   0,86    0,98   1,48   1,38    0,31    1,18   1,10    0,22
      2002         0,36    0,06        0,09   0,56   0,83    1,54   1,95   2,32    2,40    3,87   5,19    3,75
      2003         2,33    2,28        1,53   0,92   -0,26 -1,00 -0,42     0,38    1,18    0,38   0,49    0,61
      2004         0,88    0,69        1,13   1,21   1,31    1,38   1,31   1,22    0,69    0,39   0,82    0,74
      2005         0,39    0,30        0,85   0,86   -0,22 -0,44 -0,34 -0,65 -0,53         0,60   0,40    -0,01
      2006         0,92    0,01    -0,23 -0,42       0,38    0,75   0,18   0,37    0,29    0,47   0,75    0,32
      2007         0,50    0,27        0,34   0,04   0,04    0,26   0,28   0,98    1,29    1,05   0,69    1,76
      2008         1,09    0,53        0,74   0,69   1,61    1,98   1,76   -0,32   0,11    0,98   0,38    -0,13
      2009         -0,44   0,26    -0,74 -0,15 -0,07 -0,10 -0,43 -0,36             0,42    0,05   0,10    -0,26
      2010         0,63    1,18        0,94   0,77   1,19    0,85   0,15   0,77    1,15    1,01   1,45    0,69
      2011         0,79    1,00        0,62   0,45   0,43    -0,18 -0,12   0,44    0,65    0,53   0,50    -0,12
      2012         0,25    -0,06        -      -       -      -      -       -       -      -       -       -
Fonte: Fundação Getúlio Vargas – FGV
24




                                       ANEXO VI
                       ÍNDICE DE INFLAÇÃO MENSAL – IGP-M/FGV (%)
 ANO/M
   ÊS       JAN    FEV    MAR      ABR     MAI     JUN      JUL    AGO    SET    OUT    NOV     DEZ
  2010      0,63   1,18    0,94    0,77    1,19    0,85     0,15   0,77   1,15   1,01   1,45    0,69

iAC = {[(1 + 0,0063) . (1 + 0,0118) – 1] . 100} = 1,82%;
iAC = {[(1 + 0,0182) . (1 + 0,0094) – 1] . 100} = 2,78%;
iAC = {[(1 + 0,0278) . (1 + 0,0077) – 1] . 100} = 3,57%;
iAC = {[(1 + 0,0357) . (1 + 0,0119) – 1] . 100} = 4,80%;
iAC = {[(1 + 0,0480) . (1 + 0,0085) – 1] . 100} = 5,69%;
iAC = {[(1 + 0,0569) . (1 + 0,0015) – 1] . 100} = 5,85%;
iAC = {[(1 + 0,0585) . (1 + 0,0077) – 1] . 100} = 6,67%;
iAC = {[(1 + 0,0667) . (1 + 0,0115) – 1] . 100} = 7,90%;
iAC = {[(1 + 0,0790) . (1 + 0,0101) – 1] . 100} = 8,99%;
iAC = {[(1 + 0,0899) . (1 + 0,0145) – 1] . 100} = 10,57%;
iAC = {[(1 + 0,1057) . (1 + 0,0069) – 1] . 100} = 11,33%;

                       ÍNDICE DE INFLAÇÃO MENSAL ACUMULADA (%)
 ANO/M
   ÊS       JAN    FEV    MAR      ABR     MAI     JUN      JUL    AGO    SET    OUT    NOV     DEZ
  2010      0,63   1,82    2,78    3,57    4,80    5,69     5,85   6,67   7,90   8,99   10,57   11,33
25




                                     ANEXO VII
                          Planilha de cálculo de correção monetária
                                    ÍNDICE
                                                                                  VALOR
                  VALOR         ATUALIZAÇÃO             VALOR       TAXA VALOR
REFERÊNCIA                                                                      PRINCIPAL
                 PRINCIPAL       MONETÁRIA ATUALIZAÇÃO JUROS JUROS
DIA/MÊS/ANO                                                                    CONDENAÇÃO
               CONDENAÇÃO        [INPC/IBGE -        MONETÁRIA MORA MORA
                                                                               ATUALIZADO
                                       %]
 15/11/2009   R$     13.500,00        0,19         R$         25,65  ---   --- R$   13.525,65
   dez/09     R$     13.525,65      0,24      R$        32,46   ---     ---   R$    13.558,11
   jan/10     R$     13.558,11      0,88      R$       119,31   ---     ---   R$    13.677,42
   fev/10     R$     13.677,42      0,70      R$        95,74   ---     ---   R$    13.773,16
   mar/10     R$     13.773,16      0,71      R$        97,79   ---     ---   R$    13.870,95
   abr/10     R$     13.870,95      0,73      R$       101,26   ---     ---   R$    13.972,21
   mai/10     R$     13.972,21      0,43      R$        60,08   ---     ---   R$    14.032,29
   jun/10     R$     14.032,29      -0,11      -R$      15,44   ---     ---   R$    14.016,86
   jul/10     R$     14.016,86      -0,07      -R$       9,81   ---     ---   R$    14.007,05
   ago/10     R$     14.007,05      -0,07      -R$       9,80   ---     ---   R$    13.997,24
   set/10     R$     13.997,24      0,54      R$        75,59   ---     ---   R$    14.072,83
   out/10     R$     14.072,83      0,92      R$       129,47   ---     ---   R$    14.202,30
   nov/10     R$     14.202,30      1,03      R$       146,28   ---     ---   R$    14.348,58
   dez/10     R$     14.348,58      0,60      R$        86,09   ---     ---   R$    14.434,67
   jan/11     R$     14.434,67      0,94      R$       135,69   ---     ---   R$    14.570,36
   fev/11     R$     14.570,36      0,54      R$        78,68   ---     ---   R$    14.649,04
   mar/11     R$     14.649,04      0,66      R$        96,68   ---     ---   R$    14.745,72
   abr/11     R$     14.745,72      0,72      R$       106,17   ---     ---   R$    14.851,89
   mai/11     R$     14.851,89      0,57      R$        84,66   ---     ---   R$    14.936,55
   jun/11     R$     14.936,55      0,22      R$        32,86   ---     ---   R$    14.969,41
   jul/11     R$     14.969,41      0,00       R$           -   ---     ---   R$    14.969,41
   ago/11     R$     14.969,41      0,42      R$        62,87   ---     ---   R$    15.032,28
   set/11     R$     15.032,28      0,45      R$        67,65   ---     ---   R$    15.099,92
   out/11     R$     15.099,92      0,32      R$        48,32   ---     ---   R$    15.148,24
   nov/11     R$     15.148,24      0,57      R$        86,34   ---     ---   R$    15.234,59
   dez/11     R$     15.234,59      0,51      R$        77,70   ---     ---   R$    15.312,28
   jan/12     R$     15.312,28      0,51      R$        78,09   ---     ---   R$    15.390,38
   fev/12     R$     15.390,38      0,39      R$        60,02   ---     ---   R$    15.450,40
   mar/12     R$     15.450,40      0,00       R$           -   ---     ---   R$    15.450,40
VALOR TOTAL DA CONDENAÇÃO CORRIGIDA MONETARIAMENTE                              R$ 15.450,40
26




                                      ANEXO VIII
                   Planilha de cálculo de correção monetária de prestações
                                          FATOR      VALOR     VALOR
                  INFLAÇÃO    FATOR
ANO   INFLAÇÃO                         ATUALIZAÇÃO PRESTAÇÃO PRESTAÇÃO
                 ACUMULADA ATUALIZAÇÃO
                                        ACUMULADA   NOMINAL ATUALIZADA

 1      3,14%       3,14%            1,0314000           1,0314000       R$   28.680,00 R$   29.580,55
 2      4,46%       7,60%            1,0446000           1,0774004       R$   32.360,00 R$   33.803,26
 3      5,90%      13,50%            1,0590000           1,1409670       R$   36.040,00 R$   38.166,36
 4      4,31%      17,81%            1,0431000           1,1901427       R$   39.720,00 R$   41.431,93
 5      5,91%      23,72%            1,0591000           1,2694801       R$   43.400,00 R$   45.964,94
 6      6,50%      30,22%            1,0650000           1,3519963       R$   47.080,00 R$   50.140,20
VALOR TOTAL DAS PRESTAÇÕES CORRIGIDAS                                    R$ 227.280,00   R$ 239.087,24

Artigo impacto - cm - jm - mm

  • 1.
    1 OS IMPACTOS DA INFLAÇÃO E DA INADIMPLÊNCIA DA OBRIGAÇÃO CONTRATUAL NA CORREÇÃO MONETÁRIA E JUROS THE IMPACT OF INFLATION AND BREACH OF COVENANT ON MONETARY AND INTEREST Mário Ferreira Neto, netoferreiramario@hotmail.com1 Orientador: Prof. Ms. Cárbio Almeida Waqued; carbiowaqued@uol.com.br2 MBA em Perícia Judicial e Auditoria: IPECON – PUC/GO RESUMO O presente artigo tem a finalidade de elucidar os impactos causados pela inflação e seus reflexos em relação à inadimplência da obrigação contratual refletida na aplicação dos consectários legais: correção monetária, juros moratórios e multa moratória, entre outros. Não se tem o objetivo de pacificar o assunto, por ter limitações, mas como tema que interessa aos operadores de administração, contábeis e direito. Faz uma abordagem de toda análise econômica, utilizando-se de equações algébricas matemáticas, dados numéricos e estatísticos para viabilizar, uma melhor compreensão a respeito dos impactos causados pela inflação em relação à correção monetária. Correlaciona os efeitos provocados pelo descontrole da inflação sobre a correção monetária e os juros, ressaltando-se os planos econômicos editados pelas autoridades governamentais brasileira, a época, para que pudessem combater e controlá-la, já que essas autoridades deveriam manter sob controle, se não fosse possível combatê-la. Faz explicação geral matemática dos principais índices e institutos que calculam e divulgam a taxa de inflação. Para entender a funcionalidade prática, demonstra-a com exemplos de situações concretas. Avaliar os efeitos do aumento da inflação sobre os índices de preços. PALAVRAS CHAVES: Inflação. Economia. Correção. ABSTRACT This paper aims to elucidate the impacts of inflation and its effects in relation to default Covenant reflected in the application of legal consectários: restatement, default interest and fines, among others. Not aims to pacify the matter, to have limitations, but as a subject that matters to operators of administration, accounting and law. Makes a whole approach to economic analysis, using algebraic equations of mathematical, statistical and numerical data to enable a better understanding about the impacts of inflation relative to the restatement. Correlates the effects caused by the lack of inflation on monetary correction and interest, emphasizing the economic plans by the Brazilian government authorities, the season so they could fight and control it, since these authorities should keep under control if was not possible to fight it. Makes general explanation of the mathematics major indexes and institutes that calculate and disclose the rate of inflation. To understand the practical functionality, demonstrates it with examples of concrete situations. To evaluate the effects of increasing inflation on the price indices. 1 Licenciado em Matemática pela Fundação Universidade do Tocantins: Data de Colação de Grau: 5.2.1999 - Especialista em Matemática e Estatística pela Universidade Federal de Lavras do Estado de Minas Gerais: Data da Conclusão: 5.7.2002 - Acadêmico de pós-graduação do Curso de MBA em Perícia Judicial e Auditoria pela Pontifícia Católica de Goiás em convênio com Instituto de Organização de Eventos, Ensino e Consultora S/A LTDA (PUC-GO/IPECON). 2 Graduado em Administração de Empresas, Pós-graduado em Administração de Marketing, Mestre em Engenharia de Produção. Professor de Orientador da Pontifícia Católica de Goiás – PUC-GO para graduação e pós-graduação.
  • 2.
    2 KEY WORDS: Inflation.Economics. Correction. 1. INTRODUÇÃO O presente artigo, primeiramente, objetiva contribuir com os profissionais das Ciências Contábeis, Econômicas, Exatas, Humanas e Sociais, especialmente aos operadores de Contábeis e de Direito que atuam na área Cível, Consumerista, Fiscal-Tributária e Trabalhista sobre alguns pontos relevantes que concerne à correção monetária, juros e multa moratória. Um dos males mais discutidos na economia mundial, por qualquer país, é a inflação, tem sua origem na economia de mercado. A inflação está ligada diretamente ao poder de compra do consumidor e no poder do Estado de combater ou controlá-la. Os efeitos da inflação, considerada como male econômico para qualquer indivíduo ou governo, são devastadores para a economia, principalmente quando uma sociedade procura se fortalecer para evitar as desigualdades sociais de distribuição de renda e controle econômico. Neste artigo ainda se busca demonstrar os efeitos concretos e reflexos que os planos econômicos: Cruzado, Bresser, Verão, Collor I, Collor II e Real, trouxeram para a economia brasileira, em suas respectivas épocas e as conseqüências deixadas até os dias atuais. Nos planos econômicos impostos aos cidadãos brasileiros, através de Leis, Decretos- Leis, Medidas Provisórias e outras normas jurídicas, editadas anteriormente à Constituição Federal de 5 de outubro de 1988, causaram prejuízos econômicos e sociais incomensuráveis à sociedade. As autoridades governamentais, insultando a inteligência do povo brasileiro procuraram como se fosse possível, através de normas jurídicas e não por trabalho, produção e circulação, como parece à lógica aconselhar, independente de fatos econômicos preexistentes, combaterem, controlar e reduzir, até mesmo, zerar a inflação, mas não se logrou êxito. A inflação vem perseguindo a sociedade brasileira desde a época da política de industrialização promovida por Juscelino Kubitschek de Oliveira, quando os índices começaram a aumentar descontroladamente, atingindo percentuais altíssimos no ano de 1980. Os governos sucessores de Juscelino Kubitschek criaram alguns planos econômicos com a finalidade de combater a inflação, mas não surtiram efeitos, logo o “fantasma” voltou a causar medo à população, isto a aumentar descontrolada e sucessivamente. As histórias dos planos econômicos, principalmente a partir do Plano Cruzado de 1986 determinaram mudanças da moeda; congelamento de preços, salários e tentativas de desindexação da economia. A partir da conversão da moeda de Cruzeiro Real para Real, no dia 30 de junho de 1994, houve uma paridade entre a moeda Real e Cruzeiro Real, a partir do dia 1 de julho de 1994. Igualmente, houve à paridade entre a URV - Unidade Real de Valor com a moeda, Cruzeiro Real fixada pelo Banco Central do Brasil. A conversão do padrão da moeda Cruzeiro Real para Real deve ser feita mediante o quociente (divisão) do valor em CR$ pelo valor da URV de 2.750. Assim, CR$2.750,00 é igual a R$1,00. Assim, desde que houve essa mudança na moeda, o povo brasileiro vem passando por uma calmaria, mas vez ou outra abalada por uma ou outra crise internacional. Os atuais índices inflacionários aferidos, calculados e divulgados pelos institutos oficiais, credenciados e confiáveis, têm demonstrado essa questão. A cobrança de correção monetária e juros sempre foi meta de discussões, desde a Idade Média. A Igreja Apostólica Católica Romana repelia sua cobrança ao argumento de que a cobrança de juros constituía um pecado, uma vez que não se concebia a remuneração do tempo que se passava desocupado - ociosidade, como os cristãos denominavam de “remuneração ócio”. Depois do surgimento do Protestantismo com Martin Lutero, os juros
  • 3.
    3 passaram a nãoconstituir pecado, mas a maioria dos Estados sempre tivera uma tendência em limitar à sua cobrança, a fim de evitar abusos, arbitrariedades e ilegalidades do mercado para se evitar concentração de renda. Neste trabalho será abordado o tema a respeito da correção monetária, em que a inflação se caracteriza pela elevação contínua e generalizada nos preços dos bens e serviços de uma economia. Não se deve confundir a inflação com a variação específica de preços que ocorre mesmo quando o nível geral médio de preços não se altera. 1.1. TEMA Os impactos causados pela inflação e inadimplência da obrigação contratual de empréstimos e/ou financiamentos refletidos na correção monetária, juros moratórios e multa moratória. 1.2. JUSTIFICATIVA A ocorrência da inflação aliada ao não-pagamento regular da obrigação contratual ajustada e pactuada, sujeitar-se-á o devedor ao pagamento de encargos financeiros de correção monetária, juros moratórios e multa moratória, de acordo com as normas jurídicas aplicáveis ao caso, calculados, conforme as equações matemáticas financeiras. 1.3. PROBLEMA Quais os impactos econômicos causados pela inflação e inadimplência de obrigação contratual de empréstimo e/ou financiamento nos consectários legais? 1.4. HIPÓTESES H0- Não constituição de obrigação contratual de empréstimo e/ou financiamento; H1- Pagamento regular da obrigação contratual de empréstimo e/ou financiamento; H2- Realização de aplicação financeira para posteriormente aquisição do bem ou do produto de sua pretensão; H3- Sujeição da correção monetária, calculada mensalmente, no mesmo percentual da inflação; H4- Incidência dos juros moratórios, capitalizados linearmente, no mesmo percentual da caderneta de poupança. 1.5. OBJETIVO GERAL O objetivo geral da pesquisa-estudo é analisar e distinguir os impactos da inflação e da inadimplência da obrigação contratual resultante na cobrança da correção monetária, juros moratórios e multa moratória. 1.6. OBJETIVOS ESPECÍFICOS  Analisar a importância da correção monetária mesmo em período de baixa inflação;  Aplicar a correção monetária, os juros moratórios e a multa moratória em caso de inadimplência da obrigação contratual;  Assinalar as normas jurídicas aplicáveis à correção monetária, juros moratórios e multa moratória em face da obrigação contratual inadimplida;  Calcular a correção monetária, os juros moratórios e a multa moratória, em caso do não-pagamento da obrigação contratual;  Distinguir os principais métodos e técnicas de correção monetária nas demonstrações financeiras da obrigação contratual;  Reconhecer os impactos e as conseqüências causados pela inflação e inadimplência da obrigação contratual nos consectários legais.
  • 4.
    4 2. REFERENCIAL TEÓRICO Inicialmente, é importante abordar certos conceitos relacionados com a inflação, tendo em vista a relevância deste fenômeno sobre as operações financeiras realizadas no Brasil. Em contextos inflacionários, deve-se atentar para a denominada ilusão da correção monetária ou rendimento aparente, isto porque a correção monetária não se efetiva no mesmo percentual da inflação, haja vista que cada instituto de pesquisa que mede e calcula a inflação, possui métodos, regras e técnicas distintas entre si. Nesta situação deve-se determinar a taxa real de juros, os custos e os rendimentos reais de um empréstimo e/ou financiamento. Os índices de inflação são utilizados para medir a variação dos preços dos bens e serviços de certo setor da economia. A inflação consiste no aumento seguido, perseverante e geral dos preços dos bens e serviços disponíveis à sociedade, fazendo-os com que percam seu poder de compra. Portanto, os índices de inflação calculam as variações desses preços e serviços para mais ou para menos (para cima ou para baixo). Caso contrário, a diminuição ou redução dos preços dos bens e serviços consistirá, no oposto da inflação, qual seja a deflação. Existem várias definições a respeito da inflação, porém a mais simplória define-a como o acréscimo contínuo e generalizado do nível de preços dos bens e serviços, isto é, uma taxa contínua de crescimento dos preços dos bens e serviços em determinado período. Ressalta-se que um aumento dos preços dos bens e serviços, por uma única vez, não poderá ser considerada inflação. Necessita-se de um aumento contínuo, mesmo que este não seja de igual magnitude ao longo do tempo. Dentre os inúmeros conceitos de inflação, considera-se o mais comum: aumento contínuo e persistente dos preços dos bens e serviços em geral que abrangem à economia de um país, produzindo uma ininterrupta perda do poder aquisitivo da moeda, isto é, perda do poder de compra do mesmo produto em determinado período que se comprava anteriormente. Segundo Aurélio (2008), define-se inflação como: “Aumento geral dos preços, com conseqüente perda do poder aquisitivo do dinheiro”. A inflação se originou de diversas teorias, porém as mais aceitas são quatro, consideradas principais: a quantitativa, a keynesiana, a de custos e a estrutural. Teoria quantitativa, a mais antiga das teorias sobre a inflação é a quantidade de dinheiro circulante no sistema econômico - base monetária, que determina o nível dos preços. A razão entre a quantidade de dinheiro e as transações anuais do sistema, cuja inversa é a velocidade de circulação da moeda, depende da freqüência com que se pagam salários, da estrutura da economia e dos hábitos de poupança e consumo da população. Na medida em que esses fatores permaneçam constantes, o nível de preços será diretamente proporcional ao fluxo de dinheiro e inversamente proporcional ao volume físico da produção. Essa teoria, formulada por David Hume no Século XVIII, supõe que toda a capacidade produtiva de um sistema se encontre aproveitada. No intervalo entre as duas guerras mundiais, a teoria quantitativa caiu em descrédito, ao se comprovar que a utilização da capacidade produtiva do sistema econômico variava mais e com maior freqüência do que o nível de preços. Teoria keynesiana é a teoria econômica de Keynes, afirma que a inflação deriva das tentativas de consumir mais bens e serviços do que o sistema econômico pode produzir. Se os gastos do governo são maiores do que a diferença entre a produção e o consumo, diz-se que há uma lacuna inflacionária.
  • 5.
    5 O mercado preenche essa lacuna aumentando os preços até um patamar em que a diferença entre a renda e o consumo, em valor monetário, seja suficiente para acomodar os gastos públicos. Essa teoria foi invalidada pela prática, nas décadas posteriores à segunda guerra mundial, quando o processo inflacionário se instalou em vários países, sem prévia existência de lacunas inflacionárias. Inflação de custos é o terceiro enfoque do problema inflacionário, supõe que os preços das mercadorias são determinados por seus custos, ao passo que a provisão de dinheiro é responsável pela demanda. Nessas circunstâncias, o aumento dos custos pode gerar uma pressão inflacionária que se perpetua por meio da "espiral preço-salário". Admite-se que os assalariados e os capitalistas aspiram a parcelas do produto nacional que, somadas, ultrapassam o total anualmente produzido, em situação de pleno emprego. Da impossibilidade de satisfazer os dois grupos ao mesmo tempo surgem o embate entre eles, que é a origem da “espiral preço-salário”. Os assalariados, quando insatisfeitos, demandam aumentos salariais. Os capitalistas atendem a essas exigências, pelo menos em parte, geralmente depois de longa negociação, diminuem seus lucros, em um primeiro momento. Em seguida, porém, aumentam os preços, para neles embutir o aumento de custos da produção. Com isso, diminui o poder de compra dos assalariados, que irão, novamente, reivindicar aumento de remuneração. Um recurso para reduzir a inflação, segundo essa teoria, seria a manutenção de uma porcentagem constante de desemprego. O recurso é, porém, invalidado na prática pelo fenômeno chamado estagflação3. Teoria estrutural é o enfoque estrutural, não é totalmente independente das três teorias anteriores. Sua característica principal é a ênfase no desajuste da economia como causa do processo inflacionário. Esse desajuste é ocasionado, por exemplo, pela resistência em reduzir os salários, mesmo nas épocas de baixa produtividade ou pelo desequilíbrio da balança comercial do país. Inflação e a pobreza, tanto a inflação quanto os recursos que geralmente se utilizam para combatê-la prejudicam os mais fracos - classe baixa renda. A política monetária, de controle inflacionário, age provocando desemprego e deprimindo os preços dos que exercem menos controle sob seus rendimentos. A política tributária é um pouco mais eqüitativa do que a monetária, mas também restringe a produção e o nível de empregos. Assim, o fardo do controle da inflação sempre fica nas costas dos mais fracos e nas costas dos que perdem o emprego. A inflação brasileira é apurada, calculada e medida por diversas formas, maneiras, métodos e técnicas por vários institutos de pesquisa. Muitos são os índices de preços existentes na economia brasileira, porém todos têm a mesma finalidade e pretensão, investigar e calcular a variação monetária, isto é, a taxa inflacionária de determinado período de tempo. O Brasil por possuir características complexas com dimensões continentais e geográficas, em razão das diferenças e peculiaridades regionais e metodológicas, verificar e calcular a inflação é uma tarefa mais do que complexa, extremamente difícil. Essa situação se agrava em razão da incredulidade da população nacional que acusam os institutos de pesquisas de manipularem os índices inflacionários, mas não é verdade. Os índices inflacionários calculados e divulgados pelos institutos de pesquisas, todos medem a perda do poder aquisitivo do dinheiro de setores diferentes da sociedade. Os índices econômicos mais conhecidos são: Índice de Preços ao Consumidor – IPC/FIPE-USP que 3 Conjuntura econômica em que a estagnação ou declínio do nível de produção e emprego se combinam com uma inflação acelerada, fenômeno típico do período que se seguiu à segunda guerra mundial, que se tem acentuado em quase todas as economias capitalistas desenvolvidas depois da crise do petróleo de 1973 a 1979.
  • 6.
    6 mede a variaçãode preços de consumidores com rendas familiares de um a vinte salários mínimos; Índice Geral de Preços de Mercado – IGP-M/FGV que mede índice geral de preços de consumidor, incorporado e correlacionado a uma população maior, de unidades familiares até empresas em geral; Índice de Preços ao Consumidor – IPC/IBGE que correlaciona à evolução dos preços de um pacote de produtos e serviços padrão que as famílias no Brasil adquirem para o consumo; Índice Nacional de Preços ao Consumidor – INPC/IBGE aplicado às famílias de baixa renda; Índice Nacional de Preços ao Consumidor Amplo – IPCA/IBGE aplicado para as famílias que recebem de um até quarenta salários mínimos. Há diversos índices que se utilizam para aferir e mensurar a inflação. Para aferir a variação dos preços dos produtos finais consumidos pela população, utiliza-se o Índice de Custo de Vida – ICV/DIEESE ou o Índice de Preços ao Consumidor – IPC/FIPE-USP, tomando por base os produtos de consumo de uma família-padrão para toda a sociedade ou certa classe social. Para medir a variação nos preços dos insumos e fatores de produção, demais produtos intermediários, usam-se índices de preços ao produtor, isto é, o Índice de Preços no Atacado – IPA/FGV. As variações entre os índices, quando são mais acentuadas nos anos em que há mudanças econômicas com edições de planos financeiros ou com variações específicas, conforme vivenciado pelo povo brasileiro, durante as institucionalizações dos planos econômicos no período de 31 de janeiro de 1956 a 30 de junho de 1994. Por exemplo, no mês de março de 1990 (Plano Collor II), o Governo Federal veio a editar um plano econômico com objetivo de estabilizar a economia, ocasião que reduziu a inflação - média, de 90% ao mês para 1% ao mês. No mencionado ano a inflação, segundo o ICV/DIEESE atingiu variação de 1.849,68%, porém, de acordo o IGP-M/FGV a variação foi de 1.476,56%. Assim, a variação da inflação, nesse ano, medida pelo ICV/DIEESE foi de 23,67% maior do que a variação calculada pelo IGP-M/FGV. A equação algébrica matemática para calcular a inflação-variação de certo período:  1  iICV    ivar/ inf     1.100   1  iIGPM      ivar/inf → taxa de variação da inflação no período; i ICV→ índice de inflação do ICV; iIGPM→ índice de inflação do IGP-M. Lembrete: a taxa4.  1  18,4968   ivar/ inf    1  14,7656  1.100 = 23,67%     Neste momento, não cabe explicar as razões econômicas destas variações, somente apresentar a relação entre os índices, mesmo por se tratar de metodologias de cálculos e de populações distintas, apresentam semelhanças de valores. Segundo Antonik (2004): “metodologia de cálculo ou medição da inflação é muito sofisticada”. O índice de inflação é calculado pela média ponderada da “cesta básica” de consumo de determinado segmento da sociedade (construção civil, produção industrial, serviços de telecomunicações, entre outros) ou da renda familiar, variando de 1 a 40 salários mínimos. No Brasil existem vários índices para calcular e medir a inflação. Todavia, a inflação no Brasil é calculada (medida ou mensurada), por quatro institutos de pesquisa: 1- A Fundação Getulio Vargas – FGV, a mais antiga. Calcula três índices: Índice Geral de Preços do Mercado – IGP-M; Índice Geral de Preço ao Mercado – IGP-10 (os dados são coletados nos dez primeiros dias de cada mês); Índice Geral de Preços – Disponibilidade Interna – IGP-DI é composto por três outros índices: Índice de Preços por Atacado – IPA, representando 60%; Índice de Preços ao Consumidor – IPC, representando 30% e Índice 4 A taxa deve ser usada na forma unitária, isto é, a taxa tem que ser dividida por 100.
  • 7.
    7 Nacional da ConstruçãoCivil – INCC, representando 10%. Mas estes índices diferem entre si, somente pelo período de coleta (pesquisa) dos dados. 2- O Instituto Brasileiro de Geografia e Estatística – IBGE - Autarquia Federal, Órgão responsável pelo cálculo do índice de inflação usado pelo Governo, considerado como Índice Oficial: Índice de Preços ao Consumidor Ampliado – IPCA; Índice Nacional de Preços as Consumidor – INPC. Estes índices são calculados com dados coletados nas regiões do Rio de Janeiro, Porto Alegre, Belo Horizonte, Recife, São Paulo, Belém, Fortaleza, Salvador, Goiânia, Distrito Federal e Curitiba. 3- A Fundação Instituto de Pesquisas Econômicas – FIPE ligada a Universidade de São Paulo é a responsável pelo índice de inflação da capital paulista, servindo-se de base para todo o Brasil: Índice de Preços ao Consumidor – IPC do Município de São Paulo mede a inflação de famílias paulistanas que ganham de uma a vinte salários mínimos, pesquisando-se duzentos e sessenta produtos, comparando-os à medida do mês anterior. 4- O Departamento Intersindical de Estatística e Estudos Socioeconômicos – DIEESE se difere dos outros institutos por incluir, em seu índice os itens essenciais, os gastos com recreação, cultura e lazer, relações do universo dos trabalhadores ou relações de capital e trabalho: Índice de Custo de Vida – ICV, que é medido entre os grupos de três classes de renda: de um a três salários mínimos; de um a cinco salários mínimos; de um a 30 trinta salários mínimos do Município de São Paulo que representa o custo de vida das famílias paulistanas. Para melhor compreensão e visualização a respeito dos índices, instituições e órgãos responsáveis, período de coleta dos dados, data de divulgação, faixa de renda, início da criação e finalidade da indexação, encontra-se no Anexo I - Quadro dos principais índices econômicos e suas aplicações. A inflação é controlada pelo Banco Central do Brasil através do Comitê de Política Monetária – COPOM que segue o regime de metas de inflação, causando ao povo brasileiro expectativa em relação ao mercado financeiro, a qual poderá conduzi-lo do pânico ao êxtase. Desde o Regime Militar até o dia 30 de junho de 1994, o Brasil teve cinco espécies de moedas, porém por duas vezes, retornou a adotar à mesma moeda; cinco congelamentos de preços; nove planos de estabilização econômica; onze índices para calcular e medir a inflação; dezesseis políticas salariais distintas; vinte e uma propostas de pagamento da dívida externa e cinqüenta e quatro mudanças na política de preços. A economia brasileira sofreu um processo de hiperinflação, no período de 1980 até 30 de junho de 1994, ano em que foi criado o Plano Real e a moeda converteu-se de Cruzeiro Real – CR$ para Real - R$ (atual moeda do país), isto é, a moeda anterior fora dividida por 2750, para converter-se a moeda atual, conforme visualizado no Anexo II - Unidade do Sistema Monetário Brasileiro. No período compreendido entre 1995 a 2000, a média anual de inflação foi de 8,6%. Nos últimos anos, entre 2001 a 2011, os dados registrados pelo Instituto Brasileiro de Geografia e Estatística – IBGE do quadro inflacionário pelo IPCA são: 2001: 7,67%; 2002: 12,53%; 2003: 9,3%; 2004: 7,6%; 2005: 5,69%; 2006: 3,14%; 2007: 4,46%; 2008: 5,90%; 2009: 4,31%; 2010: 5,91%; 2011: 6,50%, consoante Anexo III - Inflação do período de 1830 a 2011. A inflação no Brasil levou à criação de mais de trinta índices diferentes para calcular e aferir a inflação, todos com a finalidade única de corrigir a desvalorização da moeda. Um aspecto a respeito à determinação da magnitude, a partir da qual uma taxa de expansão geral dos preços realmente caracteriza um processo inflacionário típico, diz-se que toda vez que a taxa de aumento dos preços seja “contínua”, isto é, sustenido em um período específico de tempo, estar-se-á frente de uma taxa inflacionária.
  • 8.
    8 A inflação na sua essência constitui um desequilíbrio entre a procura e a oferta que, cria uma tensão nas estruturas produtivas. Muitas definições e explicações se podem ser dadas pela Teoria Econômica, o que varia de autor para autor. A inflação não é um simples aumento dos preços dos bens e serviços, conceito errado que muitos consumidores têm da inflação. O aumento deve ser contínuo e generalizado dos preços dos bens e serviços. O racionamento e o tabelamento dos preços não são mais do que sintomas e conseqüências da tensão inflacionária provocada pelo desequilíbrio entre a procura (demanda) e a oferta. A Teoria Econômica define que o valor da moeda é dado pelo inverso do nível geral de preços dos bens e serviços. Essa definição implica que alterações no referido nível provoquem variações no valor real da moeda. Define-se que a inflação é aumento sustenido e contínuo do nível geral de preços dos bens e serviços. Por oposição, a deflação é entendida como uma descida contínua desse mesmo nível. Demonstram-se quando o valor da moeda aumenta – deflação ou diminui – inflação ao longo do período de capitalização, a taxa real do processo será superior ou inferior, respectivamente, à taxa que foi acordada. Em períodos monetariamente estáveis, entende-se como inflação nula, a taxa de juro corrente ou convencionada, a real serão coincidentes. Se a taxa de inflação for superior à taxa de juro corrente, o valor acumulado, em termos, de valor real será inferior ao valor inicial. Alguns economistas chamam a esta taxa de juro, taxa negativa devido ao fato de o capital inicial "diminuir", em poder aquisitivo. No fundo o que se verifica é que a taxa de juro não é suficiente para compensar a desvalorização da moeda provocada pelo efeito da inflação. Em economia, inflação é a queda do valor de mercado ou do poder de compra do dinheiro. Essa queda do poder aquisitivo da moeda é equivalente ao aumento no nível geral de preços dos bens e serviços, basicamente estimulados pela lei da oferta e da procura. Econômica e matematicamente, quanto maior é a procura por um determinado produto ou serviço, maior é seu preço. Analisando o mercado externamente, a inflação se traduz mais por uma desvalorização da moeda frente à outra. Outro processo que envolve a inflação é a deflação. A deflação é caracterizada pela baixa nos preços de alguns produtos no mercado e/ou de serviços. Pode ser gerada pela baixa procura ou pela maior oferta e menor demanda. Mas não se pode confundir deflação com desinflação, que é a redução no ritmo da alta dos preços em um processo inflacionário. Deflação é quando os preços recuam e a taxa se torna negativa. Esse processo pode até parecer bom em um primeiro momento para a economia, mas isso acontece porque muitas empresas têm que reduzir os preços para poder vender. Essa situação se ocorrer, poderá conduzir uma empresa a falência. A inflação não é um fenômeno econômico ou monetário. Sua raiz está na questão distributiva dentre os grupos sociais da economia de um país. A inflação de preços é o meio pelo quais os grupos sociais ligados às atividades produtivas dispõem para ampliar a sua apropriação do acréscimo de renda criado no processo de crescimento econômico, levando a economia para novos equilíbrios distributivos entre esses grupos. Se a inflação fosse um efeito monetário e neutro em relação ao lado real da economia, analisando-se bens e serviço, sem afetar a distribuição de renda, o aumento generalizado de preços deveria ocorrer de forma simétrica em todos os setores da economia, mas não é isso que acontece. A inflação também é conceituada como um desequilíbrio entre a procura e a oferta. Quando a procura for maior do que a oferta, isso culminará com a geração de inflação. Quanto maior a inflação, menor será o valor da moeda, porque, nesta situação é preciso se ter mais dinheiro para se ter o mesmo poder de comprar do produto, tendo em vista que a inflação causa a conseqüência da perda do poder aquisitivo da moeda (dinheiro).
  • 9.
    9 Inflação é um conceito econômico que representa o aumento de preços dos produtos em um determinado país ou região, durante um período. Em um processo inflacionário o poder de compra da moeda se reduz. Exemplo: Em um país com inflação, em média, de 0,75% ao mês, um trabalhador compra 5 kg de arroz em um mês e paga R$7,50. No mês seguinte, para comprar a mesma quantidade de arroz terá que desembolsar R$7,56, no outro mês, R$7,62 e assim por diante. Como o salário deste trabalhador não é reajustado mensalmente, o poder de compra diminui. Depois de um ano, o salário deste trabalhador perdeu 9,00% do valor de compra. A inflação é uma neoplasia maléfica para a economia de um país, se não controlada, causará a morte – falência. Quem geralmente perde mais são os trabalhadores mais pobres que não conseguem investir o dinheiro em aplicações que lhe garantam a correção inflacionária. Quando estes aumentos se derem de forma linear, em taxa inferior a 1,00% ao mês, por exemplo, o Índice Nacional de Preços ao Consumidor divulgado mensalmente pelo Instituto Brasileiro de Geografia e Estatística - INPC/IBGE, desde o mês de agosto de 1996 a janeiro de 2000 se manteve no padrão inferior a 1,00% ao mês, inclusive em alguns meses houve a deflação (índice negativo). Posteriormente, no período de maio de 2003 até presente data, tem-se mantido inferior a 1,00% ao mês, exceto no mês de novembro de 2010 (índice: 1,03%), inclusive tem superado o padrão de estabilidade. Também em alguns meses neste período tem havido deflação, conforme Anexo IV - Tabela de Índices do INPC/IBGE. A inflação obriga uma quantidade cada vez maior de moeda no pagamento de um bem ou serviço. Esse aumento da quantidade de moeda conduz a perda do poder aquisitivo da moeda. Para se manter o poder de compra da moeda, necessária e indispensável à correção monetária do valor monetário, resgatando-se o poder aquisitivo. Vários fenômenos podem causar a inflação, dentre alguns: taxa alta de juros; escassez de produtos ou serviços; desequilíbrio da balança de pagamentos; emissão de moeda para cobrir déficit público; aumento de preços, serviços ou salários sem melhoria da qualidade ou da produção, entre outros. O processo inflacionário, dificilmente pode ser controlado, como já ocorreu na história brasileira, relembrando-se no período compreendido de 31 de janeiro de 1956 a 30 de junho de 1994, o Governo Federal instituiu nove planos de estabilização econômica, porém entre 1985 a 1994 as taxas da inflação no Brasil foram altas. Para os mais ricos, a política da correção monetária ajudou a suavizar a situação. A correção monetária tem a finalidade precípua de minimizar ou mesmo de neutralizar as distorções causadas pela inflação. Com a inflação os valores monetários: preços dos bens e serviços; salários; aplicações financeiras; empréstimos; financiamentos, impostos, dentre outros, são reajustados com base na inflação do período anterior, aferida e mensurada por índice de preços que mede a mudança que ocorre nos níveis de preços dos bens e serviços de certo período para outro. Para comparações específicas e obtenção de taxas reais de crescimento em determinados setores, devem ser utilizados índices de preços particulares de cada setor, por exemplo: construção civil; produtos agropecuários; preços; entre outros. O índice geral e disponível mais indicado na mensuração da inflação no país é o Índice Geral de Preço - Disponibilidade Interna da Fundação Getúlio Vargas – IGP-DI. Determinado índice de preços é resultante de um procedimento estatístico que, entre outras aplicações, permite aferir e mensurar as variações ocorridas nos níveis gerais de preços de certo período para outro. O índice de preços representa uma média global das variações de preços que se verificam em um conjunto de determinados bens pelas quantidades respectivas. No Brasil são utilizados inúmeros índices de preços, originados de amostragem e critérios desiguais, elaborados por diferentes instituições de pesquisa governamental e/ou privada. Antes de ser selecionado um índice para correção de uma série de valores
  • 10.
    10 monetários, deve-se procedera uma análise de sua representatividade em relação aos propósitos em consideração. Alguns índices: ICV/DIESSE, IGP-DI/FGV, IGP-M/FGV, INCC-DI/FGV, INCC- M/FGV, IPA-DI/FGV, IPA-M/FGV, IPC-Br-DI/FGV, INPC/IBGE, IPAC/IBGE, IPCA- 15/IBGE, IPCA-E/IBGE, IPC/FIPE, TR/BCB, TJLP/CMN, SELIC/RF-MF, entre outros. A moeda perde a qualidade da reserva de valor, isto é, perde seu poder aquisitivo – poder de compra do dinheiro. As conseqüências da inflação: a diminuição do poder de compra (perda do poder aquisitivo da moeda); a instabilidade social; o aumento dos salários nominais, entre outras. A equação algébrica matemática para calcular a taxa de inflação:  P   i p   f  1.100  P   i     ip → taxa de inflação no período; Pf→ Valor do preço final (período ou mês seguinte); Pi→ Valor do preço inicial (período ou mês anterior). Exemplo: No mês de janeiro de 2011, o preço do pacote de 2 kg de açúcar cristal era de R$2,79. No mês de janeiro de 2012, o preço do mesmo produto passou a custar R$4,39. Qual a taxa de inflação do período? Solução: Pf = R$4,39; Pi = R$2,79; ip = ? ip = [(4,39/2,79 – 1] . 100 = 57,35% a.p. A equação algébrica matemática para calcular a taxa acumulada de inflação: i AC  1  i1 1  i2 ...1  in   1.100 . iAC → taxa de inflação acumulada no período; i1→ taxa de inflação no primeiro período; i2→ taxa de inflação no segundo período; in→ taxa de inflação no enésimo período. Exemplo: A taxa de inflação no Brasil no ano de 2010 foi de 6,29%. No ano de 2011 foi de 5,92%, de acordo com o índice do INPC/IBGE. Qual a inflação acumulada nesses dois anos? Solução: i1 = 6,29% → 0,0629; i2 = 5,92% → 0,0592; iAC = ? iAC = {[(1 + 0,0629) . (1 + 0,0592) – 1] . 100} = 12,58% a.p. Diante do conceito de dinheiro no tempo pode extrair inúmeras aplicações práticas para a construção de um número índice como ferramenta para diversas aplicações de correção monetária e análises de valores. i AC    i1   i2   1.100 1 .1 Exemplo: Índice do IGP-M/FGV do ano de 2010, conforme Anexo V - Tabela de Índices do IGP-M/FGV, em percentual (%). Acumular as variações mensais do índice obter- se-á a inflação acumulada no período de janeiro a dezembro de 2010, porém não se calcula o mês de janeiro, por servir-se como base, conforme cálculo exposto no Anexo VI - Índice de inflação mensal e índice de inflação acumulada. A correção monetária foi introduzida no Brasil pela Lei 3.470/1958, porém a partir da Lei 4.357/1964, a legislação pátria tem permitido a correção monetária do imobilizado como base para o cálculo da quota de depreciação dedutível. A correção monetária, matematicamente, surgiu através do índice da variação das Obrigações Reajustáveis do Tesouro Nacional – ORTN utilizada como indexador econômico (outubro/1964 a fevereiro/1986). A partir da edição da Lei 6.404/1964 - Lei das Sociedades Anônimas vieram os Decretos-Lei 1.598/1977, 2.341/1987 e Lei 7.799/1989 que regularam a correção monetária do ativo permanente e do patrimônio líquido, com a finalidade de expressar em valores atuais as demonstrações financeiras.
  • 11.
    11 A legislação do imposto de renda, editada pelo Decreto-Lei 1.598/1977, posteriormente pela Lei 7.799/1989, seguindo os padrões da lei societária, instituíram os procedimentos específicos de correção monetária. Estendeu os critérios dessa correção a todas as pessoas jurídicas tributadas com base no lucro real. O índice básico para correção monetária definida pelo Decreto-Lei era a variação no valor nominal de uma Obrigação Reajustável do Tesouro Nacional  ORTN. Esse índice foi substituído pela Obrigação do Tesouro Nacional – OTN, por sua vez foi substituído pelo Bônus do Tesouro Nacional – BTN. Com a extinção desse índice da BTN pela Lei 8.177/1991. O índice de correção que passou a ser utilizado, a partir do mês de fevereiro de 1991, de acordo com a Lei 8.200/1991 foi o Índice Nacional de Preços ao Consumidor  INPC/IBGE. No final de 1980 e no início de 1990, a exemplo da Lei 7.777/1989, em seu § 2º, do art. 5º, determinou que o valor da BTN fosse atualizado mensalmente pelo IPC/IBGE. Os índices da ORTN, OTN e BTN eram Títulos da Dívida Pública, que correspondiam à correção monetária, enquanto o IPC refletia a inflação efetivamente apurada, corresponderia a juros, uma vez que, permitiu-se que o índice da BTN fosse atualizado pelo IPC. A correção monetária foi instituída por lei para correções de débitos fiscais, de saldos de financiamentos de imóveis, de FGTS, de aluguéis, entre outros. O Governo Federal editou alguns planos econômicos com objetivo de combater ou controlar a inflação, começando-se pelo Plano Cruzado, Bresser, Verão, Collor I, Collor II e Real. Também foram institucionalizados vários indexadores financeiros: Obrigação do Tesouro Nacional – OTN (março/1986 a dezembro/1988), Índice de Preços ao Consumidor – IPC/IBGE (janeiro e fevereiro/1989); Bônus do Tesouro Nacional – BTN (março/1989 a fevereiro/1990); Índice de Preços ao Consumidor – IPC/IBGE (março/1990 a fevereiro/1991); Taxa Referencial – TR (março/1991 a junho/1994); Índice de Preços ao Consumidor – IPC- r/IBGE (julho/1994 a junho/1995) e Índice Nacional de Preços ao Consumidor – INPC/IBGE (julho/1994 até a presente data). A partir de 1º de fevereiro de 1991, depois da edição do Plano Collor I, foi criada a Taxa Referencial – TR, visando instituir uma medida para a expectativa de inflação. Assim, a partir de taxas médias de aplicações econômicas prefixadas excluídas a taxa real incorporada ao índice, obtém-se a Taxa Referencial – TR. Esta taxa real é determinada pelas autoridades monetárias, não é um valor constante para todos os meses, mas variável de acordo com uma série de circunstâncias. Atualmente, os indexadores mais utilizados para correção monetária como mecanismo de resgate do poder de compra da moeda, são: INPC/IBGE, IPC/IBGE, IPCA/IBGE, IGP-M/FGV, IGP-DI/FGV, IPC/FIPE-USP, ICV/DIEESE, TR/BCB. A correção monetária foi introduzida no Brasil como uma compensação para desvalorização sistemática da nossa moeda, em função dos índices crescentes de inflação. A equação algébrica matemática para se calcular a correção monetária em relação à inflação: CM  PV   i1   i2    in  1 .1 ... 1 CM → Correção monetária; PV → Valor Presente; i1→ taxa de inflação no primeiro período; i2→ taxa de inflação no segundo período; in→ taxa de inflação no enésimo período. Exemplo5: A indenização deverá ser corrigida monetariamente pela variação do índice oficial do INPC/IBGE, a partir do dia 15 de novembro de 2009 até a presente data, com as taxas de correção monetária. Qual o valor da condenação corrigida monetariamente? 5 “Ante o exposto, julgo parcialmente procedentes os pedidos constantes da inicial para condenar o requerido a pagar aos requerentes, Júlio César Botelho, Juliana Almeida Botelho e Daniela Almeida Botelho, em partes iguais, a título de indenização de seguro obrigatório, o valor de R$13.500,00 (treze mil e quinhentos reais), corrigidos monetariamente a partir da data do sinistro (15/11/2009) e incidindo juros de mora contados da data da citação (18.07.2011)..., a pagar honorários advocatícios, no
  • 12.
    12 Observação: O índice oficial de correção monetária do mês de novembro de 2009 foi aplicado proporcionalmente à quantidade de dias, isto é, metade do valor do índice, em razão da correção monetária, iniciar-se no dia 15 de novembro de 2009. Solução: CM = 13.500,00 x [(1 + 0,0019). (1 + 0,0024). (1 + 0,0088). (1 + 0,0070). (1 + 0,0071). (1 + 0,0073). (1 + 0,0043). (1 + (-0,0011)). (1 + (-0,0007)). (1 + (-0,0007)). (1 + 0,0054). (1 + 0,0092). (1 + 0,0103). (1 + 0,0060). (1 + 0,0094). (1 + 0,0054). (1 + 0,0066). (1 + 0,0072). (1 + 0,0057). (1 + 0,0022). (1 + 0,0000). (1 + 0,0042). (1 + 0,0045). (1 + 0,0032). (1 + 0,0057). (1 + 0,0051). (1 + 0,0051). (1 + 0,0039)] = R$15.450,40, conforme Anexo VII - Planilha de cálculo de correção monetária. O processo inflacionário obriga a quem faz cálculo financeiro ou toma decisões de empréstimos, financiamento ou investimentos a ter muita cautelar e prestar bastante atenção ao significado financeiro dos lucros e contas nominais apresentadas pelas empresas, ao impacto da inflação na avaliação dos empréstimos, financiamentos e investimentos, haja vista para que se perceba como é afetado o processo decisório. Em virtude do resultado da inflação, os significados das medidas contábeis e econômicas de rentabilidades, lucros e custos, divergem. Esta divergência é maior à medida que a inflação se acelera, isto é, aumenta continuamente. No Brasil, diversos mecanismos já foram instituídos e desenvolvidos com a finalidade precípua de atenuar, minimizar ou neutralizar o impacto da inflação na correção monetária como mecanismo de resgate do poder aquisitivo da moeda, reflexivamente nos encargos legais de juros moratórios e multa moratória em razão da inadimplência de obrigação contratual. A correção monetária é um mecanismo imperfeito que somente alivia, momentaneamente, mas não cura o mal gerado pela inflação. Assim, enquanto a inflação se mantiver presente na economia, qualquer tomador de decisões tem que saber lidar com este câncer. As pessoas que lidam no mercado econômico com empréstimos, financiamentos e investimentos devem compreender e reconhecer os significados dos valores nominais; taxas de juros aparentes e reais; custos efetivos aparentes e reais dos empréstimos, financiamentos e investimentos; rentabilidade efetiva e real das aplicações financeiras; taxas de crescimento nominal e real; correção monetária de débitos em geral e cambial; etc. A inflação é a aumento contínuo e generalizado dos preços dos bens e serviços. A inflação desvaloriza o dinheiro no tempo. Portanto, diminui o poder de compra, por isso, torna-se necessário fazer uma correção monetária, a fim de recuperar o poder de compra de um determinado quantum. Para tanto é necessário conhecer algumas variações da taxa de juros: mercado, inflação e a derivada taxa real: As equações algébricas matemáticas para taxa real: valor de 10% do valor da condenação,...” (Processo nº 2011.0006.6656-0 – AÇÃO INDENIZATÓRIA DE DANO – SEGURO OBRIGATÓRIO – COMARCA DE MIRANORTE – ESTADO DO TOCANTINS).
  • 13.
    13 Exemplo: Enoque Fernandes contraiu empréstimo de R$16.500,00, à taxa nominal de 3,00% ao mês e efetiva de 42,58% ao ano para pagá-lo em quatro anos, isto é, em 48 meses. Por ocasião do pagamento, a inflação do período da primeira prestação à última prestação foi de 26,48%. Qual foi a taxa de juros reais dessa operação? PV = R$16.500,00; i = 3,00% a.m., equivale a 42,58% a.a.; n = 48 meses; inflação = 26,48%; r = ? r = {[(1 + 0,4258) / (1 + 0,2648)] – 1}.100 = 12,73% a.a. A correção monetária obrigatoriamente deve corresponder ao resgate do poder aquisitivo da moeda em função da desvalorização provocada pela inflação, por essa razão, a correção monetária deve corresponder à taxa de inflação. Portanto, CM = PV . r (Correção Monetária é igual ao produto do Valor Presente pela taxa real de juros). A atualização monetária é calculada pela seguinte equação algébrica matemática: AM = PV . (1 + r . n) AM → Atualização monetária; PV → Valor Presente; r→ taxa real de juros; n→ número de períodos. Exemplo-1: A empresa EHL assumiu obrigação contratual de pagar a quantia de R$120.000,00 à taxa de juros efetivos de 14,72% ao ano, durante cinco anos. Qual a correção monetária e a atualização monetária? CM = PV . r = 120.000,00 x 0,1472 = R$17.664,00 AM = PV . (1+ r. n) = 120.000,00 x (1 + 0,1472 . 5) = R$208.320,00 Exemplo-2: A empresa JL assumiu obrigação contratual de pagar a quantia de R$120.000,00 durante cinco anos, sabendo-se que as taxas anuais da inflação foram: 5,04%; 6,30%; 4,04%; 6,29%; 5,92%. Qual a atualização monetária? AM = PV . [(1+ i1) . (1+ i2) . (1+ i3) . (1+ i4) . (1+ i5)] AM = 120.000,00 x [(1+ 0,0504). (1+ 0,0630). (1+ 0,0404). (1+ 0,0629). (1+ 0,0592)] = R$ 156.942,28 Exemplo-3: A empresa ENSA assumiu obrigação contratual de pagar a quantia de R$150.000,00 à taxa de juros efetivos de 14,72% ao ano, em seis prestações anuais, a partir do ano de 2006 ao ano de 2011. Elabore a planilha de cálculo desse empréstimo. Planilha de cálculo da atualização monetária: PV = 150.000,00; r = 14,72% a.a.; n = 6 prestações anuais. PMT1 = 28.680,00; PMT2 = 32.360,00; PMT3 = 36.040,00; PMT4 = 39.720,00; PMT5 = 43.400,00; PMT6 = 47.080,00, conforme Anexo VIII - Planilha de cálculo de correção monetária do valor das prestações do empréstimo. Para melhor compreensão da situação fática, indispensável proceder à atualização monetária das prestações desse empréstimo, considerando as taxas anuais de inflação, dos últimos cinco anos: 3,14%; 4,46%; 5,90%; 4,31%; 5,91%; 6,50% são resgatar o poder de compra da moeda. Observação: o fator de atualização acumulado corresponde ao fator do período anterior multiplicado pela percentual do período seguinte somado a unidade (elemento neutro da multiplicação e divisão). Na esfera patrimonial e obrigacional, o contrato é instrumento fundamental para a circulação de riquezas e para fomentar a economia. Através deste instrumento, centrado na autonomia de vontade das partes, elas se manifestam, constituindo, modificando, regulamentando e extinguindo relação jurídica. Nos negócios jurídicos, as obrigações pecuniárias imperam em face da autonomia de vontade que constitui no instrumento do contrato, faz-se necessária a estipulação de índice de correção monetária para estabelecer e fixar reajustes de preços e acrescer encargos moratórios (juros e multa) decorrentes do inadimplemento da obrigação, independente da correção monetária.
  • 14.
    14 A correção monetária não é acréscimo do valor principal da obrigação, mas um mecanismo de manter o poder de compra da moeda em razão de sua desvalorização, em virtude da inflação. Trata-se de ajuste econômico-financeiro periódico que visa à recomposição do valor monetário diante da inflação ocorrida no período em que o valor principal devido não foi adimplido. Assim, através de fórmula aritmética, aplica-se o índice estabelecido no contrato divulgado por instituição econômica renomada, dentre essas instituições cita-se: Instituto Brasileiro de Geografia e Estatística, Fundação Getúlio Vargas, Nacional, Fundação Instituto de Pesquisas Econômicas da Universidade de São Paulo e Departamento Intersindical de Estudos Estatísticas e Socioeconômica, resultando na correção monetária do valor principal do débito e/ou obrigação. A correção monetária constitui providência que visa apenas corrigir o valor real do débito, não objetivando exacerbar o quantum principal, mas evitar sua deterioração e desvalorização. Constitui fundamento da segurança jurídica em sua faceta econômica, a incidência dos expurgos inflacionários, referentes aos planos econômicos de Governo, em todas as situações experimentadas pelo cidadão no período, envolvendo o crediário, as contas correntes bancárias, aplicações financeiras, empréstimos, financiamentos, pagamentos de contas, entre outros, porquanto poderá se caracterizar a real correção do valor da moeda. O resgate do valor monetário faz com que a relação contratual se mantenha equilibrada, de modo a evitar o enriquecimento de uma e o empobrecimento da outra parte que figurarem no contrato. Os contratantes podem renunciar ao direito de recebimento de correção monetária, em face da autonomia de vontade, princípio que rege os Direitos das Obrigações. Contudo, não havendo a renúncia, a correção monetária é devida mesmo que não esteja prevista no contrato, por meio de índice oficial. Neste caso, o Poder Judiciário suprirá a omissão, definindo o índice, para depois, proceder à correção monetária. No Brasil, a inflação é calculada e medida por meio de diversos índices divulgados por instituições de credibilidade, tais como: Instituto Brasileiro de Geográfica e Estatística, Fundação Getúlio Vargas, Fundação Instituto de Pesquisas Econômicas e Departamento Intersindical de Estatística e Estudos Socioeconômicos, dentre outros. Alguns negócios jurídicos se valem de índices específicos de determinados setores, como ocorre nos contratos para aquisição de imóvel a ser construído que, utilizam o Índice Nacional de Custos da Construção – INCC, enquanto o imóvel se encontra em fase de construção. O Índice Nacional do Custo da Construção é um dos componentes das três versões do Índice Geral de Preços, o de menor peso. Reflete diretamente na economia o ritmo dos preços de materiais de construção e da mão-de-obra no setor, utilizado nos empréstimos e financiamentos diretos das construtoras e incorporadoras. Portanto, não há índices setoriais para todos os negócios jurídicos possíveis de se realizarem, pois é cediço que os contratos podem ser atípicos, isto é, não enquadrados na lei, decorrente da autonomia da vontade das partes. Em virtude destas situações, as partes elegem o índice de uso múltiplo que melhor alcança o equilíbrio econômico da relação contratual. É certo que os índices oficiais não refletem a exata desvalorização da moeda, tornando a relação desequilibrada. Neste caso, as partes podem socorrer-se do Poder Judiciário para revisar o contrato e alterar ou modificar o índice, se assim entender necessário. Dentre os negócios jurídicos que não possuem índice específico encontra-se o contrato de locação. A Lei do Inquilinato – Lei 8.245/1991 não restringiu, não especificou o índice a ser aplicado para correção monetária, mas em seu artigo 17 previu a livre convenção do aluguel,
  • 15.
    15 veda somente aestipulação do valor da locação em moeda estrangeira e a sua vinculação à variação cambial e ao salário mínimo. No parágrafo único do citado artigo, previu a livre escolha de critérios de reajustes, desde que observada à legislação específica, isto quer dizer, uma parte não pode exigir da outra, correção monetária, juros moratórios e multa moratória, que não sejam permitidas por lei. Neste aspecto, cita-se que a correção monetária é prevista na Lei 6.899/1981 (art. 1º); os juros moratórios são definidos no Código Civil de 2002 – Lei 10.406/2002 (art. 406), combinado com o Código Tributário Nacional – Lei 5.172/1966 (§1º, art. 161) à base de 1,00% ao mês; a multa moratória está prevista no Código de Defesa do Consumidor – Lei 8.078/1990 (§1º, art. 52) à base de 2,00% sobre o valor da prestação inadimplida. Assim, no contrato de locação é válida a fixação de qualquer índice oficial, desde que não esteja restrito a um setor da economia, diverso como é o caso da Taxa Referencial - TR que é critério específico do mercado de capitais e configura coeficiente de remuneração do capital. A correção monetária foi definida como uma: “técnica adequada para neutralizar os efeitos perniciosos da inflação e nenhuma dúvida temos quanto à sua necessidade de sua incidência, especialmente quando se trata de restabelecer o status quo ante, rompido por um ato do devedor, que pode ser lícito ou ilícito” (WALD). Os juros moratórios são a remuneração do valor principal em face da inadimplência da obrigação contratual. De acordo com economista Keynes: “juro é o preço mediante o qual o desejo de manter a riqueza em forma líquida se concilia coma quantidade de moeda disponível”. O conceito jurídico de juros: “é bem jurídico de natureza econômica, integrante ao patrimônio. É ganho obtido por sujeitos de direitos. Não existem juros em abstrato. O conceito jurídico de juros exige que exista uma relação jurídica concreta, da qual flua, para uma ou mais partes a pretensão de exigir da outra, ou outras, o preço do dinheiro” (OLIVEIRA). Portanto, juros são remunerações de dinheiro derivados de uma relação jurídica. Não é lógico pensar que pode aplicar juros moratórios sobre o valor principal bruto, sem antes realizar a devida correção monetária, estaria a remunerar um montante corroído pela inflação. Em período de inflação elevada, a ausência da correção monetária reduziria, significativamente, o patrimônio do credor. Os efeitos da perda ou ganho do poder aquisitivo da moeda nacional podem ser reconhecidos nos registros contábeis, nos cálculos de liquidações de sentenças judiciais e nos cálculos de apurações de débitos e de revisões de contratos. A correção monetária não concebe nova avaliação, mas apenas a adequação dos valores originais para determinado período, de acordo com a aplicação de indexadores econômicos – índices financeiros oficiais divulgados por instituições credenciadas, para que se possa traduzir o ganho ou a perda do poder aquisitivo da moeda nacional em certo período de tempo. A moeda não representa unidade constante de poder aquisitivo. Por isso, sua expressão formal deve ser ajustada, a fim de que permaneçam substantivamente corretos. Em algumas oportunidades no passado, o princípio foi cognominado de “correção monetária”, expressão segundo a norma, inadequada, pois não constitui qualquer “correção” do valor, mas apenas atualiza monetariamente o que, não deveria ter alterado o poder de compra da moeda. Esta é a razão pela qual o princípio, quando aplicado à prática, se revela por meio de índice oficial que divulga a mudança do poder aquisitivo de compra da moeda, não da alteração particular do preço de um determinado bem. Os indexadores da atualização monetária devem ser construídos de acordo com o emprego de índices, moedas referenciais reais, desde que reflitam a variação verificada por Índice Geral de Preços da economia brasileira.
  • 16.
    16 Deve-se utilizar, somente, único e exclusivo critério de maneira geral, de forma uniforme por todas as Entidades ou Instituições Públicas ou Privadas, embora o uso de indexador único, ainda que indispensável, não determina inteiramente o problema da atualização monetária, pois não se consegue resolver a questão da fidedignidade de que se proponha o dito indexador, na expressão do poder aquisitivo da moeda para manter-se o poder de compra. Através da Lei 6.899/1981, a correção monetária foi definitivamente admitida na liquidação dos débitos decorrentes de decisão judicial. A partir de então se percorreu uma verdadeira panacéia de planos econômicos, desindexações, expurgos inflacionários, não se dedicando o legislador em deixar claros os critérios para as liquidações de sentença de forma a satisfazer da maneira mais justa possível as pretensões deduzidas em juízo. Há que se salientar que a determinação dos critérios de cálculo de liquidação de sentença é matéria jurisdicional, afeta ao Poder Judiciário, que não precisa ficar adstrito às normas monetárias que movimentam os indexadores. A manifestação mais precisa da legislação, diminuiria as intermináveis discussões em matéria de correção monetária, que abarrotam as prateleiras do Judiciário com milhares de processos. 3. CONCLUSÃO Na atual conjuntura da política monetária brasileira se percebe uma relativa estabilidade da inflação em face do Plano Real, haja vista os índices existentes anteriores ao plano econômico editado pelo Governo, estabilidade que não fez parte da economia do país nos períodos anteriores a instituição da moeda real. A sociedade brasileira foi exposta aos elevados índices inflacionários, com isso, surgiu-se a correção monetária de valores para resgatar a parcela perdida com a desvalorização do poder aquisitivo da moeda, em caso de inadimplência de obrigação contratual, aplicação da penalidade de pagar o débito com juros moratórios, dependendo do contrato, se previsto a obrigação, pagar multa moratória. Os juros moratórios constituem pena imposta ao devedor pelo atraso no adimplemento da obrigação contratual (art. 406, CC/2002 e § 1º, art. 161, CTN). A falta de correção monetária em percentual igual à inflação pode causar impactos na análise da real condição patrimonial e financeira das pessoas físicas e jurídicas. Através de teste de hipóteses constata-se que a inflação medida pelos institutos de pesquisas, serve-se com base para a correção monetária de valores para que se possa recuperar a parte desvalorizada do poder de compra da moeda e, as elevadas taxas de inflação causam graves impactos em relação à correção monetária. As altas taxas de inflação provocam distorções na estrutura produtiva do país. A distribuição de renda é afetada com a redução do poder aquisitivo do dinheiro da população, os assalariados têm seus orçamentos reduzidos e os trabalhadores de baixa renda, sem aplicações financeiras, consomem praticamente toda a sua renda. As elevadas taxas de inflação também causam majoração nos preços dos produtos nacionais, aumentando a demanda por importações, reduzem as exportações, desequilibra a balança comercial. Para evitar uma crise econômica, o Governo adota medidas para desvalorizar a moeda e frear as importações. Mas, as importações essenciais (petróleo e seus derivados, fertilizantes, equipamentos sem similar nacional, entre outros) ficam com preços majorados, aumentando o custo de produção dos setores que dependem desse produto. Assim, há nova elevação de preços, criando círculo vicioso que só termina com a queda real da inflação. Com a desvalorização da moeda durante um processo inflacionário contínuo e intenso, os aplicadores e/ou investidores não se sentem estimulados a aplicar no mercado de
  • 17.
    17 capitais. Os investimentosem poupança e títulos sofrem retração. Por outro lado, esses recursos são normalmente aplicados em bens imóveis que costumam ser mais valorizados. As exageradas taxas de inflação e de juros são provocadas pelo déficit público, com dispêndios relacionados: incidência de correção monetária e juros; correções cambiais pagos pelo Governo Federal à caderneta de poupança, ao FGTS, a Dívida Pública, aos depósitos em moeda estrangeira no Banco Central do Brasil; política de redesconto levada a efeito pelo Banco Central do Brasil. A queda dos juros e o combate à inflação exigem a erradicação do déficit público. Os efeitos da inflação não devem ser desprezados, mesmo em períodos com taxas reduzidas, quando da análise de rentabilidade e adequação de capital para mantê-lo com poder de compra. As conseqüências da inflação são: transferência de renda entre agentes econômicos com a obtenção das atividades meio e melhores informações; prejuízos dos salários e poupadores, com menos informações; desequilíbrios nos preços relativos; aumento da corrupção; qualidade dos gastos do Governo sofre queda, provocando mais inflação; aumento da renda das atividades improdutivas, mais consumo do que produção, provocando mais inflação; afastamento de capitais para o exterior. A eliminação do problema compreende a aplicação da correção monetária no mesmo percentual da inflação ou deflação, mesmo sem qualquer previsão de lei, não só as instituições financeiras, mas a todas as empresas dos demais setores da economia que tiveram crédito não adimplido, porém respeitando-se as normas legais existentes. A correção monetária deve incidir a partir do momento em que era possível ao devedor realizar o pagamento e não o fez, gerando prejuízo ao credor. Os índices aplicáveis à correção monetária devem ser os índices oficiais de remuneração básica. Os juros moratórios devem ser no mesmo patamar dos juros aplicados à caderneta de poupança. A inflação é causada pelo aumento de um único item básico de consumo, acarretando um aumento generalizado no preço dos produtos e serviços. Exemplo, aumento dos combustíveis e consumo excessivo de um produto, pois o restante fica mais caro e o produto fica escasso no mercado. O processo inflacionário tem atormentado e sido doloroso à sociedade brasileira, comovendo-a indiscriminadamente, principalmente os administradores, gestores públicos e a classe assalariada, os quais não conseguem escapar ou desvincular-se deste “fantasma”. Os indexadores são enérgicas ferramentas para a correção monetária de valores nas obrigações contratuais em geral e nos processos judiciais de débitos, sobretudo, quando ocorre a inadimplência de obrigação contratual. A correção monetária de valores é levada a efeito através de cálculos simplório e simplificado da multiplicação do valor do débito pelo índice. Na correção monetária utilizam- se os índices e as tabelas de formatação destes índices. A correção monetária consiste no método simplificado de reconhecimento dos efeitos da inflação, aplicando-se um índice geral de preços para correção dos valores ativos e do patrimônio líquido, por objetivar a recuperação da parcela corroída e destruída pela desvalorização do poder de compra da moeda. A correção monetária deve conciliar as técnicas existentes com a escolha dos índices de preços, em razão dos efeitos das variações dos preços, pois deve entender que a inflação é benéfica ao devedor e lesiva ao credor, em função de que os passivos monetários produzem ganhos e os ativos monetários prejuízos. A taxa real de juros e a utilização de indexadores em cálculos financeiros, em contratos em geral, a correção monetária de valores são pontos de elevada relevância para a manutenção do poder de compra da moeda.
  • 18.
    18 A elevada taxa de juros no Brasil atenta contra o princípio constitucional da dignidade da pessoa humana. Pelo estudo realizado tem-se que o processo inflacionário causa os seguintes impactos: lucros fascinados se não for realizados os efeitos da inflação nas contas; redução dos valores das ações das pessoas, físicas ou jurídicas, pois se os custos e a taxa de juros aumentarem, isso reduzem os lucros, por sua vez, reduzem os valores das ações; imprevisibilidade da taxa de inflação torna difícil, constituir provisões para acautelar riscos futuros; provoca à redução do poder de compra da moeda das classes assalariadas que dependem de rendimentos fixos, assim na população de baixa renda, a inflação é como um “imposto” por extorquir do trabalhador parcela do rendimento mensal; balança comercial majora (subir) o preço do produto nacional, estimulando a importação, o que poderá aumentar o déficit na balança; desgaste da arrecadação do Governo torna-se necessária a indexação dos tributos; expectativas dos agentes econômicos, pois o setor empresarial é sensível às distorções dos preços causados pela inflação, comprometendo as expectativas futuras, isto é, as decisões empresariais são postecipadas; aumento do preço do petróleo conduz aumentos de seus derivados contribuindo com a inflação; emissão exagerada e descontrolada de dinheiro por parte do Governo; demanda por produtos (aumentos no consumo), maior do que a capacidade de produção do país; aumento nos custos de produção (máquinas, matéria-prima, mão-de-obra) dos produtos. 4. REFERÊNCIAS ASSAF NETO, ALEXANDRE. Matemática Financeira e suas Aplicações. 11.ed. São Paulo: Atlas, 2009. BARBOSA, Fernando de Holanda. O Valor da Moeda e a Teoria de Preços dos Ativos. São Paulo, RBE 21, 2005. FERREIRA, AURÉLIO BUARQUE DE HOLANDA. Mini Aurélio – O Dicionário da Língua Portuguesa. 6.ed. Curitiba: Positivo, 2008. HAZZAN, SAMUEL. Matemática Financeira. 6.ed. São Paulo: Saraiva, 2007. KEYNES, John Maynard. A Teoria Geral do Emprego, do Juro e da Moeda. Tradução para o português de Mário R. Da Cruz. São Paulo: Atlas, 1992. MARTINS, Ives Gandra da Silva. Questões de Direito Econômico. São Paulo: Revistas dos Tribunais, 1999. MILONE, Giuseppe. Matemática Financeira. São Paulo: Thomson Learning, 2006. OLIVEIRA, Marcos Cavalcante de. Moeda, Juros e Instituições Financeiras - Regime Jurídico. Rio de Janeiro: Forense, 2006. PARENTE, EDUARDO AFONSO DE MEDEIROS. Matemática Comercial e Financeira. São Paulo: FTD, 1996. WALD, Arnold. O Novo Direito Monetário - Os Planos Econômicos e a Justiça. Belo Horizonte: Ciências Jurídicas, 1996. ______www.portalbrasil.net. ______www.ibge.gov.br. ______www.fgv.com.br/dados.
  • 19.
    19 ANEXO I QUADRO: PRINCIPAIS ÍNDICES ECONÔMICOS E SUAS APLICAÇÕES ÍNDICE INSTITUIÇÃO PERÍODO DATA FAIXA INÍCIO FINALIDADE RESPONSÁVEL COLETA DIVULGAÇÃO RENDA CRIAÇÃO INDEXAÇÃO APURAÇÃO De 1-8 Contratos e INPC IBGE 1º a 30 do mês Até dia 15 Salários 1979 negócios em Mínimos geral De 1-40 ---- Contratos e IPCA IBGE 1º a 30 do mês Até dia 15 Salários ---- negócios em Mínimos ---- geral 16 do mês De 1-40 Contratos e IPCA-15 IBGE anterior a 15 Até dia 25 Salários 2000 negócios em mês referência Mínimos geral 21 de um mês Contratos e a 20 do mês Até dia 30 ---- 1989 negócios do IGP-M FGV referência ---- mercado ---- financeiro Contratos ---- 1944 empresariais, IGP-DI FGV 1º a 30 do mês Até dia 15 ---- aluguéis, ---- negócios no atacado Contratos ---- 1944 industriais e IPA FGV 1º a 30 do mês Até dia 15 ---- negócios no ---- atacado ---- Contratos INCC FGV 1º a 30 do mês Até dia 15 ---- 1944 imobiliários De 1-33 ---- Contratos, IPC-Br FGV 1º a 30 do mês Até dia 15 Salários ---- negócios em Mínimos ---- geral e salários De 1-33 Contratos, IPC FIPE-USP 1º a 30 do mês Até dia 15 Salários 1939 negócios em Mínimos geral e salários De 1-8 Contratos de ICV DIEESE 1º a 30 do mês Até dia 10 Salários 1959 trabalho e Mínimos salário
  • 20.
    20 ANEXO II UNIDADES DO SISTEMA MONETÁRIO BRASILEIRO UNIDADE MONETÁRIA PERÍODO DE VIGÊNCIA SÍMBOLO CORRESPONDÊNCIA Real (Plural = Réis) Período colonial até 7/10/1833 R R 1$2000 = 1/8 de ouro de 22 k Mil Réis 8/10/1833 a 31/10/1942 R$ Rs 2$500 = 1/8 de ouro de 22 k. Cruzeiro 1/11/1942 a 30/11/1964 Cr$ Cr$ 1,00 = Rs 1$000 (um cruzeiro corresponde a mil- réis) Cruzeiro (eliminados os 1/12/1964 a 12/2/1967 Cr$ Cr$ 1 = Cr$ 1,00 centavos) Cruzeiro Novo (volta dos 13/2/1967 a 14/5/1970 NCr$ NCr$ 1,00 = Cr$ 1.000 centavos) Cruzeiro 15/5/1970 a 14/8/1984 Cr$ Cr$ 1,00 = NCr$ 1,00 Cruzeiro (eliminados os 15/8/1984 a 27/2/1986 Cr$ Cr$ 1 = Cr$ 1,00 centavos) Cruzado (volta dos 28/2/1986 a 15/1/1989 Cz$ Cz$ 1,00 = Cr$ 1.000 centavos) Cruzado Novo 16/1/1989 a 15/3/1990 NCz$ NCz$ 1,00 = Cz$ 1.000,00 Cruzeiro 16/03/1990 a 31/7/1993 Cr$ Cr $ 1,00 = NCz$ 1,00 Cruzeiro Real 1/8/1993 a 30/6/1994 CR$ CR$ 1,00 = Cr$ 1.000,00 Real (plural = Reais) A partir de 1/7/1994 R$ R$ 1,00 = Cr$ 2.750,00
  • 21.
    21 ANEXO III INFLAÇÃO BRASILEIRA NO PERÍODO DE 1830 A 2011 Período Variação Anual Período Variação Anual Período Variação Anual 1830-1834 0,8% 1941 10,9% 1979 77,2% 1835-1844 2,7% 1942 12,0% 1980 97,9% 1845-1857 0,9% 1943 14,9% 1981 95,2% 1858-1860 -0,9% 1944 27,3% 1982 99,7% 1861-1874 1,2% 1945 16,7% 1983 211,0% 1875-1881 1,0% 1946 16,5% 1984 223,8% 1882-1887 3,3% 1947 6,3% 1985 235,1% 1888-1896 8,9% 1948 9,2% 1986 65,0% 1897-1900 -1,9% 1949 9,0% 1987 415,8% 1901-1912 -0,1% 1950 13,4% 1988 1037,6% 1913 2,0% 1951 19,8% 1989 1782,9% 1914 -5,0% 1952 10,3% 1990 1476,6% 1915 3,6% 1953 15,1% 1991 480,2% 1916 6,3% 1954 30,3% 1992 1157,9% 1917 10,2% 1955 13,1% 1993 2708,6% 1918 -10,8% 1956 19,2% 1994 1092,7% 1919 30,5% 1957 12,5% 1995 14,7% 1920 10,1% 1958 12,2% 1996 9,19% 1921 3,3% 1959 37,7% 1997 5,22% 1922 9,5% 1960 30,9% 1998 1,65% 1923 10,3% 1961 38,1% 1999 8,94% 1924 16,6% 1962 53,2% 2000 5,97% 1925 6,7% 1963 78,0% 2001 7,67% 1926 2,7% 1964 87,8% 2002 12,53% 1927 2,7% 1965 55,4% 2003 9,30% 1928 -1,5% 1966 38,2% 2004 7,60% 1929 -0,07% 1967 25,0% 2005 5,69% 1930 -9,2% 1968 25,5% 2006 3,14% 1931 -3,3% 1969 20,1% 2007 4,46% 1932 0,0% 1970 19,3% 2008 5,90% 1933 0,0% 1971 19,5% 2009 4,31% 1934 7,4% 1972 15,7% 2010 5,91% 1935 5,2% 1973 15,5% 2011 6,50% 1936 12,8% 1974 34,5% 2012 --- 1937 9,6% 1975 29,4% 2013 --- 1938 4,0% 1976 46,3% 2014 --- 1939 2,7% 1977 38,8% 2015 --- 1940 4,9% 1978 40,8% 2016 --- Fonte Almanaque (Folha de São Paulo), a partir de 1913 com divulgação do índice de inflação anual a partir de 1980 pelo IPCA/IBGE. Inflação Anual Período Variação Anual Período Variação Anual Período Variação Anual 1921 3,0% 1922 9,3% 1923 10,1% 1924 16,9% 1925 7,0% 1926 2,7% 1927 2,6% 1928 -1,5% 1929 -0,7% 1930 -9,0% 1931 -3,7% 1932 0,4% 1933 -0,9% 1934 7,7% 1935 5,6% 1936 14,7% 1937 7,6% 1938 4,3% Nesse período a inflação era medida anualmente, não sendo divulgadas as variações mensais, até 1939, quando foi criado o IPC/FIPE-USP.
  • 22.
    22 ANEXO IV ÍNDICE OFICIAL DO INPC/IBGE - [%] ANO/MÊS JAN FEV MAR ABR MAI JUN JUL AGO SET OUT NOV DEZ 1990 68,19 73,99 82,18 14,67 7,31 11,64 12,62 12,18 14,26 14,43 16,92 19,14 1991 20,95 20,20 11,79 5,01 6,68 10,83 12,14 15,62 15,62 21,08 26,48 24,15 1992 25,92 24,48 21,62 20,84 24,50 20,85 22,08 22,38 23,98 26,07 22,89 25,58 1993 28,77 24,79 27,58 28,37 26,78 30,37 31,01 33,34 35,63 34,12 36,00 37,73 1994 41,32 40,57 43,08 42,86 42,73 48,24 7,75 1,85 1,40 2,82 2,96 1,70 1995 1,44 1,01 1,62 2,49 2,10 2,18 2,46 1,02 1,17 1,40 1,51 1,65 1996 1,46 0,71 0,29 0,93 1,28 1,33 1,20 0,50 0,02 0,38 0,34 0,33 1997 0,81 0,45 0,68 0,60 0,11 0,35 0,18 -0,03 0,10 0,29 0,15 0,57 1998 0,85 0,54 0,49 0,45 0,72 0,15 -0,28 -0,49 -0,31 0,11 -0,18 0,42 1999 0,65 1,29 1,28 0,47 0,05 0,07 0,74 0,55 0,39 0,96 0,94 0,74 2000 0,61 0,05 0,13 0,09 -0,05 0,30 1,39 1,21 0,43 0,16 0,29 0,55 2001 0,77 0,49 0,48 0,84 0,57 0,60 1,11 0,79 0,44 0,94 1,29 0,74 2002 1,07 0,31 0,62 0,68 0,09 0,61 1,15 0,86 0,83 1,57 3,39 2,70 2003 2,47 1,46 1,37 1,38 0,99 -0,06 0,04 0,18 0,82 0,39 0,37 0,54 2004 0,83 0,39 0,57 0,41 0,40 0,50 0,73 0,50 0,17 0,17 0,44 0,86 2005 0,57 0,44 0,73 0,91 0,70 -0,11 0,03 0,00 0,15 0,58 0,54 0,40 2006 0,38 0,23 0,27 0,12 0,13 -0,07 0,11 -0,02 0,16 0,43 0,42 0,62 2007 0,49 0,42 0,44 0,26 0,26 0,31 0,32 0,59 0,25 0,30 0,43 0,97 2008 0,69 0,48 0,51 0,64 0,96 0,91 0,58 0,21 0,15 0,50 0,38 0,29 2009 0,64 0,31 0,20 0,55 0,60 0,42 0,23 0,08 0,16 0,24 0,37 0,24 2010 0,88 0,70 0,71 0,73 0,43 -0,11 -0,07 -0,07 0,54 0,92 1,03 0,60 2011 0,94 0,54 0,66 0,72 0,57 0,22 0,00 0,42 0,45 0,32 0,57 0,51 2012 0,51 0,39 - - - - - - - - - - Fonte: Instituto Brasileiro de Geografia e Estatística – IBGE
  • 23.
    23 ANEXO V ÍNDICE OFICIAL DO IGP-M/FGV - [%] ANO/MÊS JAN FEV MAR ABR MAI JUN JUL AGO SET OUT NOV DEZ 1989 - - - - - 19,68 35,91 36,91 39,92 40,64 40,48 47,13 1990 61,46 81,29 83,95 28,35 5,93 9,94 12,01 13,62 12,80 12,97 16,86 18,00 1991 17,70 21,02 9,19 7,81 7,48 8,48 13,22 15,25 14,93 22,63 25,62 23,63 1992 23,56 27,86 21,39 19,94 20,43 23,61 21,84 24,63 25,27 26,76 23,43 25,08 1993 25,83 28,42 26,25 28,83 29,70 31,49 31,25 31,79 35,28 35,04 36,15 38,32 1994 39,07 40,78 45,71 40,91 42,58 45,21 4,33 3,94 1,75 1,82 2,85 0,84 1995 0,92 1,39 1,12 2,10 0,58 2,46 1,82 2,20 -0,71 0,52 1,20 0,71 1996 1,73 0,97 0,40 0,32 1,55 1,02 1,35 0,28 0,10 0,19 0,20 0,73 1997 1,77 0,43 1,15 0,68 0,21 0,74 0,09 0,09 0,48 0,37 0,64 0,84 1998 0,96 0,18 0,19 0,13 0,14 0,38 -0,17 -0,16 -0,08 0,08 -0,32 0,45 1999 0,84 3,61 2,83 0,71 -0,29 0,36 1,55 1,56 1,45 1,70 2,39 1,81 2000 1,24 0,35 0,15 0,23 0,31 0,85 1,57 2,39 1,16 0,38 0,29 0,63 2001 0,62 0,23 0,56 1,00 0,86 0,98 1,48 1,38 0,31 1,18 1,10 0,22 2002 0,36 0,06 0,09 0,56 0,83 1,54 1,95 2,32 2,40 3,87 5,19 3,75 2003 2,33 2,28 1,53 0,92 -0,26 -1,00 -0,42 0,38 1,18 0,38 0,49 0,61 2004 0,88 0,69 1,13 1,21 1,31 1,38 1,31 1,22 0,69 0,39 0,82 0,74 2005 0,39 0,30 0,85 0,86 -0,22 -0,44 -0,34 -0,65 -0,53 0,60 0,40 -0,01 2006 0,92 0,01 -0,23 -0,42 0,38 0,75 0,18 0,37 0,29 0,47 0,75 0,32 2007 0,50 0,27 0,34 0,04 0,04 0,26 0,28 0,98 1,29 1,05 0,69 1,76 2008 1,09 0,53 0,74 0,69 1,61 1,98 1,76 -0,32 0,11 0,98 0,38 -0,13 2009 -0,44 0,26 -0,74 -0,15 -0,07 -0,10 -0,43 -0,36 0,42 0,05 0,10 -0,26 2010 0,63 1,18 0,94 0,77 1,19 0,85 0,15 0,77 1,15 1,01 1,45 0,69 2011 0,79 1,00 0,62 0,45 0,43 -0,18 -0,12 0,44 0,65 0,53 0,50 -0,12 2012 0,25 -0,06 - - - - - - - - - - Fonte: Fundação Getúlio Vargas – FGV
  • 24.
    24 ANEXO VI ÍNDICE DE INFLAÇÃO MENSAL – IGP-M/FGV (%) ANO/M ÊS JAN FEV MAR ABR MAI JUN JUL AGO SET OUT NOV DEZ 2010 0,63 1,18 0,94 0,77 1,19 0,85 0,15 0,77 1,15 1,01 1,45 0,69 iAC = {[(1 + 0,0063) . (1 + 0,0118) – 1] . 100} = 1,82%; iAC = {[(1 + 0,0182) . (1 + 0,0094) – 1] . 100} = 2,78%; iAC = {[(1 + 0,0278) . (1 + 0,0077) – 1] . 100} = 3,57%; iAC = {[(1 + 0,0357) . (1 + 0,0119) – 1] . 100} = 4,80%; iAC = {[(1 + 0,0480) . (1 + 0,0085) – 1] . 100} = 5,69%; iAC = {[(1 + 0,0569) . (1 + 0,0015) – 1] . 100} = 5,85%; iAC = {[(1 + 0,0585) . (1 + 0,0077) – 1] . 100} = 6,67%; iAC = {[(1 + 0,0667) . (1 + 0,0115) – 1] . 100} = 7,90%; iAC = {[(1 + 0,0790) . (1 + 0,0101) – 1] . 100} = 8,99%; iAC = {[(1 + 0,0899) . (1 + 0,0145) – 1] . 100} = 10,57%; iAC = {[(1 + 0,1057) . (1 + 0,0069) – 1] . 100} = 11,33%; ÍNDICE DE INFLAÇÃO MENSAL ACUMULADA (%) ANO/M ÊS JAN FEV MAR ABR MAI JUN JUL AGO SET OUT NOV DEZ 2010 0,63 1,82 2,78 3,57 4,80 5,69 5,85 6,67 7,90 8,99 10,57 11,33
  • 25.
    25 ANEXO VII Planilha de cálculo de correção monetária ÍNDICE VALOR VALOR ATUALIZAÇÃO VALOR TAXA VALOR REFERÊNCIA PRINCIPAL PRINCIPAL MONETÁRIA ATUALIZAÇÃO JUROS JUROS DIA/MÊS/ANO CONDENAÇÃO CONDENAÇÃO [INPC/IBGE - MONETÁRIA MORA MORA ATUALIZADO %] 15/11/2009 R$ 13.500,00 0,19 R$ 25,65 --- --- R$ 13.525,65 dez/09 R$ 13.525,65 0,24 R$ 32,46 --- --- R$ 13.558,11 jan/10 R$ 13.558,11 0,88 R$ 119,31 --- --- R$ 13.677,42 fev/10 R$ 13.677,42 0,70 R$ 95,74 --- --- R$ 13.773,16 mar/10 R$ 13.773,16 0,71 R$ 97,79 --- --- R$ 13.870,95 abr/10 R$ 13.870,95 0,73 R$ 101,26 --- --- R$ 13.972,21 mai/10 R$ 13.972,21 0,43 R$ 60,08 --- --- R$ 14.032,29 jun/10 R$ 14.032,29 -0,11 -R$ 15,44 --- --- R$ 14.016,86 jul/10 R$ 14.016,86 -0,07 -R$ 9,81 --- --- R$ 14.007,05 ago/10 R$ 14.007,05 -0,07 -R$ 9,80 --- --- R$ 13.997,24 set/10 R$ 13.997,24 0,54 R$ 75,59 --- --- R$ 14.072,83 out/10 R$ 14.072,83 0,92 R$ 129,47 --- --- R$ 14.202,30 nov/10 R$ 14.202,30 1,03 R$ 146,28 --- --- R$ 14.348,58 dez/10 R$ 14.348,58 0,60 R$ 86,09 --- --- R$ 14.434,67 jan/11 R$ 14.434,67 0,94 R$ 135,69 --- --- R$ 14.570,36 fev/11 R$ 14.570,36 0,54 R$ 78,68 --- --- R$ 14.649,04 mar/11 R$ 14.649,04 0,66 R$ 96,68 --- --- R$ 14.745,72 abr/11 R$ 14.745,72 0,72 R$ 106,17 --- --- R$ 14.851,89 mai/11 R$ 14.851,89 0,57 R$ 84,66 --- --- R$ 14.936,55 jun/11 R$ 14.936,55 0,22 R$ 32,86 --- --- R$ 14.969,41 jul/11 R$ 14.969,41 0,00 R$ - --- --- R$ 14.969,41 ago/11 R$ 14.969,41 0,42 R$ 62,87 --- --- R$ 15.032,28 set/11 R$ 15.032,28 0,45 R$ 67,65 --- --- R$ 15.099,92 out/11 R$ 15.099,92 0,32 R$ 48,32 --- --- R$ 15.148,24 nov/11 R$ 15.148,24 0,57 R$ 86,34 --- --- R$ 15.234,59 dez/11 R$ 15.234,59 0,51 R$ 77,70 --- --- R$ 15.312,28 jan/12 R$ 15.312,28 0,51 R$ 78,09 --- --- R$ 15.390,38 fev/12 R$ 15.390,38 0,39 R$ 60,02 --- --- R$ 15.450,40 mar/12 R$ 15.450,40 0,00 R$ - --- --- R$ 15.450,40 VALOR TOTAL DA CONDENAÇÃO CORRIGIDA MONETARIAMENTE R$ 15.450,40
  • 26.
    26 ANEXO VIII Planilha de cálculo de correção monetária de prestações FATOR VALOR VALOR INFLAÇÃO FATOR ANO INFLAÇÃO ATUALIZAÇÃO PRESTAÇÃO PRESTAÇÃO ACUMULADA ATUALIZAÇÃO ACUMULADA NOMINAL ATUALIZADA 1 3,14% 3,14% 1,0314000 1,0314000 R$ 28.680,00 R$ 29.580,55 2 4,46% 7,60% 1,0446000 1,0774004 R$ 32.360,00 R$ 33.803,26 3 5,90% 13,50% 1,0590000 1,1409670 R$ 36.040,00 R$ 38.166,36 4 4,31% 17,81% 1,0431000 1,1901427 R$ 39.720,00 R$ 41.431,93 5 5,91% 23,72% 1,0591000 1,2694801 R$ 43.400,00 R$ 45.964,94 6 6,50% 30,22% 1,0650000 1,3519963 R$ 47.080,00 R$ 50.140,20 VALOR TOTAL DAS PRESTAÇÕES CORRIGIDAS R$ 227.280,00 R$ 239.087,24