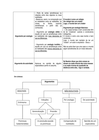
1) O documento descreve e define vários tipos de argumentos, incluindo entimemas, induções, analogias e de autoridade.
2) Um entimema é um argumento dedutivo incompleto que pode faltar uma premissa ou conclusão.
3) Uma indução baseia-se em casos passados para prever casos futuros e pode ser uma generalização ou previsão válida dependendo de evidências representativas e ausência de contra-exemplos.