Universidade Federal Rural do Semi-Árido

     Lista de Exercícios 04 – Nomenclatura de Compostos Orgânicos Oxigenados e

                                        Compostos Orgânicos Nitrogenados.

        1- Dê o nome dos compostos abaixo:

a)                    O                 H                 b)                                                              O
                                                                                                    H2
                               H2                                                 H3C               C            C
        H 3C          C        C        C           CH3
                                                                                                                          H
                                        CH3




c)                                          O             d)                                                                              O
                                                                                                            H2           H
                  H2C               C                           H3 C              C            C            C            C        C
                                                                                               H
                                                                                                                                              H
                                                                                  CH3                                    C 2H 5
                  H2C               CH2



e)                                                        f)          O                                                           O
                                                O
                                                                                        H2          H2           H
                                                                          C             C           C            C            C

                                                                      H                                                               H
                                                                                                                 C 2H 5
               H 3C



g)                                              O         h)                                                         O
                          H2    H2                                                    H2           H2
         H3 C             C     C           C                     H3 C                C            C         C
                                                    OH                                                                   O        CH3




i)                                              O         j)                                                O
                          H     H                                             H            H
         H3 C             C     C           C                  H3 C           C            C            C

                                                    OH                                                           O            CH2CH2 CH 3
                          C 2H 5 CH3                                          C 2H 5 CH3




                                                                                                                                          1
     Prof. Ms. Zilvam Melo – Química Orgânica
Universidade Federal Rural do Semi-Árido

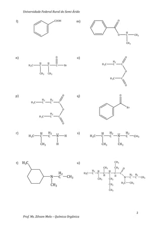
l)                                    COOH                  m)                                      O



                                                                                                                H
                                                                                                    O           C          CH3


                                                                                                                CH3




n)                                    O                     o)                                                  O
                                                                                              H2
                    H        H                                                    H 3C        C         C
           H3 C     C        C        C        Br

                                                                                                                O
                    CH3      CH3
                                                                                          H 3C          C

                                                                                                                O



p)                                            O             q)                                          O
                        H2       H2
             H 3C       C        C        C
                                                                                                                Br
                                              O
                                 H2
                    H 3C         C        C

                                              O


r)                  H        H2                             s)                    H       H2                    H2
           H3 C     C        C         N          H                    H3 C       C       C         N           C         CH 3


                     CH3               H                                          CH3               CH3




t)   H3C                                                    u)                                  CH3

                                                                                    CH3         CH2         O
                                                                        H2    H           H
                                          H2                     H3C    C     C     C     C     C       C
                                                                                                                     H2    H2
                                                                                    H           H
                                 N        C           CH3                     CH3         CH2
                                                                                                            N        C     C     CH3

                                                                                                        H2C          CH3
                                 CH3                                                      CH2

                                                                                          CH3




                                                                                                                            2
     Prof. Ms. Zilvam Melo – Química Orgânica
Universidade Federal Rural do Semi-Árido

v)                       CH3                  x)               CH3 CH3        H2C   CH3
                   H                                                      H
          H3C      C     C     CN                      H3C     C     C    C     C   CN
                         H                                     H     H          H
                   CH3                                             H3 C   CH2




        2- Represente as fórmulas estruturais dos seguintes compostos:

           a) 3-metilbutanal

           b) 4-metilpentan-2-ona

           c) Dietilcetona

           d) 5-Ciclobutil-heptan-2-ona

           e) Ácido 2,3,4-trimetil-hexanóico

           f) Ácido 2,4-Dietil-3,5-difenil-6-metil-octanóico

           g) Anidrido butanóicoetanóico

           h) Cloreto de 2,2-dietil-3,3-dimetil-pentanoila

           i) 2-Metil-butanoato de isopropila

           j) Benzoato de 2-metil-pentila

           k) N-Etil, N-propil-heptanamina

           l) N-Butil, N-isopropil-3-etil-5-metil-octanamina

           m) N,N-Dietil-3,4-dimetil-decanamida

           n) 2,3,4,5-Tetraetil-6,7,8-trimetil-nonanamida

           o) 2-Etil-3-metil-hexano nitrila

           p) 2,3-Dietil-2,3-dimetil-pentano nitrila




                                                                                     3
     Prof. Ms. Zilvam Melo – Química Orgânica

Exercícios

  • 1.
    Universidade Federal Ruraldo Semi-Árido Lista de Exercícios 04 – Nomenclatura de Compostos Orgânicos Oxigenados e Compostos Orgânicos Nitrogenados. 1- Dê o nome dos compostos abaixo: a) O H b) O H2 H2 H3C C C H 3C C C C CH3 H CH3 c) O d) O H2 H H2C C H3 C C C C C C H H CH3 C 2H 5 H2C CH2 e) f) O O O H2 H2 H C C C C C H H C 2H 5 H 3C g) O h) O H2 H2 H2 H2 H3 C C C C H3 C C C C OH O CH3 i) O j) O H H H H H3 C C C C H3 C C C C OH O CH2CH2 CH 3 C 2H 5 CH3 C 2H 5 CH3 1 Prof. Ms. Zilvam Melo – Química Orgânica
  • 2.
    Universidade Federal Ruraldo Semi-Árido l) COOH m) O H O C CH3 CH3 n) O o) O H2 H H H 3C C C H3 C C C C Br O CH3 CH3 H 3C C O p) O q) O H2 H2 H 3C C C C Br O H2 H 3C C C O r) H H2 s) H H2 H2 H3 C C C N H H3 C C C N C CH 3 CH3 H CH3 CH3 t) H3C u) CH3 CH3 CH2 O H2 H H H2 H3C C C C C C C H2 H2 H H N C CH3 CH3 CH2 N C C CH3 H2C CH3 CH3 CH2 CH3 2 Prof. Ms. Zilvam Melo – Química Orgânica
  • 3.
    Universidade Federal Ruraldo Semi-Árido v) CH3 x) CH3 CH3 H2C CH3 H H H3C C C CN H3C C C C C CN H H H H CH3 H3 C CH2 2- Represente as fórmulas estruturais dos seguintes compostos: a) 3-metilbutanal b) 4-metilpentan-2-ona c) Dietilcetona d) 5-Ciclobutil-heptan-2-ona e) Ácido 2,3,4-trimetil-hexanóico f) Ácido 2,4-Dietil-3,5-difenil-6-metil-octanóico g) Anidrido butanóicoetanóico h) Cloreto de 2,2-dietil-3,3-dimetil-pentanoila i) 2-Metil-butanoato de isopropila j) Benzoato de 2-metil-pentila k) N-Etil, N-propil-heptanamina l) N-Butil, N-isopropil-3-etil-5-metil-octanamina m) N,N-Dietil-3,4-dimetil-decanamida n) 2,3,4,5-Tetraetil-6,7,8-trimetil-nonanamida o) 2-Etil-3-metil-hexano nitrila p) 2,3-Dietil-2,3-dimetil-pentano nitrila 3 Prof. Ms. Zilvam Melo – Química Orgânica