Afonso Miguel Pelletier Sequeira Alves Severino
Licenciado em Ciências da Engenharia e Gestão Industrial
Estudo de Implementação da Metodologia Lean na
FARAME S.A. num Contexto ProdutivoHigh Mix
Dissertação para obtenção do Grau de Mestre em
Engenharia e Gestão Industrial
Orientadora: Prof.ª Doutora Helena Víctorovna Guitiss
Navas, Professora Auxiliar, FCT/UNL
Setembro, 2016
ii
iii
Afonso Miguel Pelletier Sequeira Alves Severino
Licenciado em Ciências da Engenharia e Gestão Industrial
Estudo de Implementação da Metodologia Lean na
FARAME S.A. num Contexto ProdutivoHigh Mix
Dissertação para obtenção do Grau de Mestre em
Engenharia e Gestão Industrial
Orientadora: Prof.ª Doutora Helena Víctorovna Guitiss Navas, Professora
Auxiliar, FCT/UNL
Setembro, 2016
iv
v
Estudo de Implementação da Metodologias Lean na FARAME S.A -num contexto produtivo High
Mix
Copyright © Afonso Miguel Pelletier Sequeira Alves Severino, Faculdade de Ciências e Tecnologia,
Universidade Nova de Lisboa.
A Faculdade de Ciências e Tecnologia e a Universidade Nova de Lisboa tem o direito, perpétuo e sem
limites geográficos, de arquivar e publicar esta dissertação através de exemplares impressos
reproduzidos em papel ou de forma digital, ou por qualquer outro meio conhecido ou que venha a ser
inventado, e de a divulgar através de repositórios científicos e de admitir a sua cópia e distribuição com
objetivos educacionais ou de investigação, não comerciais, desde que seja dado crédito ao autor e editor.
vi
vii
AGRADECIMENTOS
À faculdade e a todos os professores que, apesar de terem proporcionado momentos de algum desespero,
contribuíram, também, em grande escala para o meu desenvolvimento profissional e intelectual.
À professora Helena Navas que sempre demonstrou disponibilidade, flexibilidade e empenho durante a
realização da dissertação, contribuindo com conselhos extremamente importantes e desenvolvendo uma
relação bastante positiva e cooperante.
Ao Eng.º Eduardo Coelho que proporcionou o estágio curricular, tendo demonstrado sempre
disponibilidade para colaboração, esclarecimento de qualquer dúvida e interesse no estudo efetuado.
À Carolina Setúbal pela ajuda que proporcionou em alguns momentos.
À minha família pelo interesse demonstrado no estudo durante este período e pelo apoio que me foi
garantido.
viii
ix
RESUMO
A crescente pressão sobre as empresas decorrente da globalização dos mercados tem determinado a
necessidade de estas adotarem modelos de gestão e funcionamento destinadas a aumentar a sua
competitividade, nomeadamente adotando o pensamento Lean para melhorar a sua produtividade,
eliminando desperdícios e reduzindo custos. A FARAME S.A., empresa de média dimensão do sector
metalúrgico, acolheu o presente estudo na perspetiva de beneficiar da introdução de um sistema de
melhoria contínua e da implementação de metodologias Lean para reforçar a sua competitividade no
mercado.
Depois de um diagnóstico inicial efetuado à empresa, verificou-se que em diversas áreas da empresa se
justificaria a adoção desta abordagem e que o sistema produtivo que a caracteriza, qualificável como
High Mix (grande variedade e customização), colocava desafios à aplicação exclusiva de algumas
ferramentas de trabalho caracteristicamente adotadas em Lean. A análise ao sistema produtivo foi
efetuada utilizando a ferramenta Value Stream Mapping (VSM) permitindo, através do mapeamento da
cadeia de valor, detetar os desperdícios, as suas fontes e os problemas daí resultantes.
Foi proposta a introdução, na cadeia de valor dos componentes estudados, de alguns princípios Lean e
a adaptação destes conceitos ao ambiente High Mix. As propostas consideradas consistiram,
essencialmente, na definição e calendarização da produção no Pacemaker (PM), no balanceamento da
produção e na criação de células de trabalho em alguns pontos, na utilização da metodologia First In-
First Out (FIFO) para a priorização da produção em locais específicos e na adoção de um sistema de
Paired-cell Overlapping Loops of Cards with Authorization (POLCA) para responder ao elevado mix
de produtos e à dificuldade em criar um sistema Pull.
Estimou-se que a introdução dos princípios e medidas referidos na cadeia de valor de dois componentes
estudados permitiria reduzir o seu Lead Time em 6,5% e 17,4% e eliminar o Work-in-Process (WIP) em
determinados pontos no sistema. Estabeleceu-se que o correspondente fluxo produtivo passaria a
funcionar de acordo com uma metodologia combinada Pull/Push que permitiria lidar com a grande
variedade de produtos.
Por último, foi analisada a possibilidade de proceder à transposição dos princípios e medidas relativas
ao caso estudado à generalidade dos produtos produzidos na FARAME, concluindo-se ser viável
recorrendo a um sistema de planeamento que assenta na padronização dos trabalhos para qualquer
encomenda.
Palavras-chave: Lean, VSM, High Mix, Pacemaker, FIFO; Balanceamento, Lead Time, WIP.
x
xi
ABSTRACT
The growing pressure on businesses caused by the markets globalization has determined the need to
adopt management models to increase competitiveness, namely adopting the Lean thinking to improve
productivity by eliminating waste and reducing costs. FARAME S.A, a medium-sized company in the
metallurgical sector, welcomed the present study in perspective to benefit from the introduction of a
continuous improvement system and the implementation of Lean methodologies to enhance its market
competitiveness.
After an inicial diagnosis of the installation, it became clear that in several domains of the company it
would be justifiable to adopt this approach and that the production system, qualified has High Mix
(variety and customization), introduced challenges in the direct application of some work tools typically
adopted in the Lean thinking. The production system analysis was made using the Value Stream
Mapping tool (VSM) allowing, via the construction of the current value stream map, to detect the wastes,
their sources and the resulting problems.
It was proposed the introduction of some Lean principles and the adaptation of these concepts to the
High Mix environment in the value stream of the studied components. These proposals consisted,
essentially, of the definition of production in the Pacemaker process (PM), the leveling of production
and creation of work cells in some points, the use of the methodology First in-First out (FIFO) for
prioritizing production in specific locations and the adoption of Paired-cell Overlapping Loops of Cards
with Authorization (POLCA) system to meet the High Mix production and the difficulty in creating a
Pull system.
It was estimated that the introduction of the principles and measures referred in the value stream of the
studied components can reduce their Lead Time by 6.5% and 17.4% and eliminate Work-in-Process
(WIP) at certain points of the system. It was determined that the corresponding production flow will
operate according to a combined method Pull/Push that serves the practical case studied and enables
dealing with the great variety of products.
Finally, it was analyzed the possibility of transposing the principles and measures of the case study to
the majority of products produced in FARAME, that lead to the conclusion that it viable using a planning
system based on standardization of work for any order.
Keywords: Lean, VSM, High Mix, Pacemaker; FIFO; Balancing; Lead Time; WIP.
xii
xiii
ÍNDICE
1 INTRODUÇÃO .................................................................................................................... 1
1.1 ENQUADRAMENTO E JUSTIFICAÇÃO DO TEMA ................................................ 1
1.2 OBJETIVOS.............................................................................................................. 3
1.3 METODOLOGIA e atividades realizadas .................................................................... 3
1.4 Conteúdo da dissertação ............................................................................................. 5
2 MELHORIA CONTÍNUA E PENSAMENTO LEAN............................................................... 7
2.1 O SISTEMA DE PRODUÇÃO TOYOTA - TPS.......................................................... 7
2.1.1 História e evolução do pensamento.............................................................................. 7
2.1.2 Descrição geral do TPS .............................................................................................. 8
2.1.3 Constituição do TPS................................................................................................... 9
2.2 LEAN MANUFACTURING .....................................................................................13
2.2.1 Definição de Lean Manufacturing ..............................................................................13
2.2.2 Lean nos dias de hoje ................................................................................................14
2.2.3 Princípios do Lean Manufacturing..............................................................................14
2.2.4 Benefícios e constrangimentos da implementação do Lean nas empresas ......................16
2.3 A FERRAMENTA VALUE STREAM MAPPING (VSM) ..........................................19
2.3.1 Finalidade e definição................................................................................................19
2.3.2 Principais símbolos, representações e definições do VSM ............................................21
2.3.3 Metodologia teórica do mapeamento ..........................................................................24
2.3.4 Desenvolvimento do VSM .........................................................................................24
2.3.5 Etapa 4 - Mapeamento do estado futuro ......................................................................35
2.3.6 Etapa 5 - Plano de implementação ..............................................................................35
2.4 LEAN em contextos High Mix....................................................................................36
2.4.1 Made-To-Order Lean ................................................................................................36
2.4.2 Quick Response Manufacturing (QRM)......................................................................38
3 DESCRIÇÃO DA FARAME S.A. .........................................................................................42
3.1 CARACTERIZAÇÃO GERAL E ETAPAS PRODUTIVAS........................................42
3.2 SERVIÇOS E PRODUTOS ESPECÍFICOS................................................................45
xiv
3.3 SISTEMA DE PRODUÇÃO......................................................................................46
4 ANÁLISE DO PROCESSO PRODUTIVO, IDENTIFICAÇAO DE PROBLEMAS E
PROPOSTAS DE MELHORIA ....................................................................................................48
4.1 MODELO DE ESTUDO PROPOSTO........................................................................48
4.2 SELEÇÃO E DESCRIÇÃO DA FAMÍLIA DE PRODUTOS ......................................49
4.2.1 Análise das vendas ....................................................................................................49
4.2.2 Seleção da família de produtos ...................................................................................52
4.2.3 Descrição da família de produtos D ............................................................................52
4.3 MAPEAMENTO DO ESTADO ATUAL ...................................................................60
4.3.1 Componentes mapeados ............................................................................................60
4.3.2 Aspetos metodológicos..............................................................................................60
4.3.3 Identificação do cliente e da procura do caso estudado.................................................63
4.3.4 Apresentação dos mapas ............................................................................................64
4.3.5 Valores observados e medidas de desempenho ............................................................70
4.4 Análise dos desperdícios e eventos Kaizen ..................................................................73
4.4.1 Caraterísticas dos processos da cadeia de valor dos componentes estudados ..................73
4.4.2 AnÁlise dos Desperdícios ..........................................................................................75
4.4.3 Eventos Kaizen .........................................................................................................82
4.4.4 Kaizen em ambientes HM ........................................................................................106
4.5 Mapeamento do estado futuro ..................................................................................113
4.5.1 Descrição e apresentação dos mapas.........................................................................113
4.5.2 Resultados esperados para o caso prático em estudo ..................................................114
5 TRANSPOSIÇÃO DO CASO PARTICULAR ESTUDADO PARA A GLOBALIDADE DA
EMPRESA................................................................................................................................120
5.1 Aplicabilidade das sugestões propostas nas restantes famílias de produtos...................120
5.1.1 PM nas restantes famílias de produtos.......................................................................120
5.1.2 Balanceamento da produção.....................................................................................121
5.1.3 POLCA a montante do PM ......................................................................................123
5.2 SISTEMATIZAÇÃO DO SISTEMA SUGERIDO ....................................................126
5.2.1 Conceção geral do sistema .......................................................................................126
xv
5.2.2 criação de trabalho estandardizado ...........................................................................127
5.2.3 Documentação padrão para apoio ao trabalho estandardizado.....................................128
5.3 ALTERAÇÕES A EFETUAR NA EMPRESA PARA ATINGIR O SISTEMA
PRETENDIDO ......................................................................................................................129
5.3.1 Aquisição de um sistema MRPII ..............................................................................129
5.3.2 Trabalho sobre cada encomenda para balanceamento.................................................129
5.3.3 Chefe de linha para cada secção ...............................................................................129
5.3.4 Instalação do quadro FIFO.......................................................................................130
5.3.5 Designação de um responsável para 5S.....................................................................130
5.4 PLANO DE IMPLEMENTAÇÃO DE MELHORIAS NA FARAME .........................130
5.4.1 etapas previstas .......................................................................................................131
5.4.2 Objetivos e metas ....................................................................................................133
5.4.3 Programa de implementação ....................................................................................134
5.4.4 Método PDCA para a implementação do PIM...........................................................136
5.5 Implicações para a empresa......................................................................................137
6 CONCLUSÕES..................................................................................................................140
6.1 Conclusões gerais....................................................................................................140
6.2 Limitações do estudo...............................................................................................143
6.3 Trabalhos futuros ....................................................................................................143
xvi
xvii
ÍNDICE DE FIGURAS
Figura 2.1 - Constituição do TPS - Fonte: Lean Thinking, Pinto 2008............................................... 9
Figura 2.2 - Princípios do Lean Manufacturing ..............................................................................15
Figura 2.3 - Processo típico para implementação do pensamento Lean - Adaptado de (RIVERA &
FRANK CHEN, 2007...................................................................................................................21
Figura 2.4 - Método para utilização da ferramenta VSM - Adaptado de (ROTHER & SHOOK 1998)25
Figura 2.5 - Diferenciação entre família de produtos e família de processos - Adaptado de Duggan (2014
...................................................................................................................................................27
Figura 2.6 - Resultados padrão da análise ABC ..............................................................................28
Figura 2.7 - Exemplo de representação de uma caixa de dados de um cliente ...................................29
Figura 2.8 - Exemplo de dois processos distintos com acumulação de stock entre si .........................30
Figura 2.9 - Exemplo de transmissão de informação manual ...........................................................30
Figura 2.10 - Exemplo de movimentação de material entre dois processos de acordo com a metodologia
Push............................................................................................................................................31
Figura 2.11 - Linhas orientadoras para implementação do Made-to-Order Lean em ambientes HM....37
Figura 2.12 - Ícone utilizado para representar a utilização do Sistema POLCA em VSM ...................40
Figura 3.1- Sequência de etapas desde a encomenda do cliente até ao produto acabado .....................44
Figura 3.2 - Exemplo de produtos fabricados na FARAME e respetivos segmentos ..........................46
Figura 4.1 - Integração das abordagens e recursos de conhecimento no modelo de estudo proposto ...49
Figura 4.2 - Contentor para vinhos e champanhe da família D de contentores de arame ....................53
Figura 4.3 - Constituição do contentor para garrafas de vinho e Champanhe ....................................54
Figura 4.4 - Etapas produtivas na empresa e foco nos processos industriais......................................61
Figura 4.5 - Mapa do estado atual da Porta Inferior do contentor de arame .......................................66
Figura 4.6 - Mapa do estado atual da Traseira do contentor de arame...............................................68
Figura 4.7 - Tipos de produção mais comuns .................................................................................83
Figura 4.8 - Mapa resultante da definição do PM para a Porta Inferior .............................................86
Figura 4.9 - Mapa resultante da definição do PM para a Traseira .....................................................88
Figura 4.10 - Seguimento da produção a partir do PM e sequenciação FIFO.....................................91
Figura 4.11 - Tempos de ciclo para a Porta inferior (segundos) .......................................................92
xviii
Figura 4.12 - Nivelamento da produção para a Porta inferior (segundos) ..........................................93
Figura 4.13 - Célula de trabalho resultante do balanceamento para Porta inferior (T/C = 13,2 min/9
peças)..........................................................................................................................................94
Figura 4.14 - Tempos de ciclo para a Traseira (segundos) ...............................................................95
Figura 4.15 - Balanceamento da produção para a Traseira (segundos)..............................................95
Figura 4.16 - Célula de trabalho resultante do balanceamento para Traseira (T/C = 3,6 min/3 peças) .96
Figura 4.17 - Sequenciação FIFO no processo de Zincagem............................................................97
Figura 4.18 - Funcionamento do Sistema com Kanban para matéria-prima.......................................98
Figura 4.19 - Exemplo de balanceamento da produção na IDEAL ...................................................99
Figura 4.20 - Explicitação de alguns aspetos identificados na análise 5S ........................................104
Figura 4.21 - Funcionamento do quadro FIFO/trabalho em espera .................................................108
Figura 4.22 - Nivelamento da produção Porta inferior...................................................................108
Figura 4.22 - Exemplo de funcionamento do quadro FIFO (trabalho em espera) .............................109
Figura 4.24 - Exemplo de funcionamento do quadro FIFO (trabalho em curso) ..............................109
Figura 4.25 - Exemplo de funcionamento do quadro FIFO (trabalho completo) ..............................110
Figura 4.26 - Células de trabalho e movimentações possíveis ........................................................112
Figura 4.27 - Cartões POLCA estabelecidos para o caso estudado .................................................112
Figura 4.28 - Mapa do estado futuro ideal da Porta Inferior do contentor de arame .........................115
Figura 4.28 - Mapa do estado futuro ideal da Traseira do contentor de arame .................................116
Figura 5.1 - Modelo da célula-tipo para produção balanceada a partir do PM .................................122
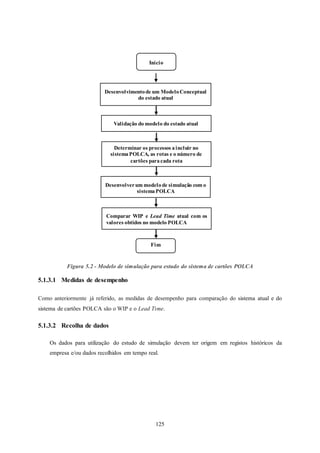
Figura 5.2 - Modelo de simulação para estudo do sistema de cartões POLCA.................................125
Figura 5.3 - Representação do modelo de funcionamento sugerido para implementação na FARAME
.................................................................................................................................................127
Figura 5.4 - Faseamento do Plano de Implementação de Melhorias proposto para a FARAME ........132
Figura 5.5 - Cronograma para o plano de implementação proposto para a FARAME ......................135
Figura 5.6 - Método PCDA para implementação do PIM proposto para a FARAME.......................137
xix
ÍNDICE DE QUADROS
Quadro 2.1 - Principais símbolos e representações utilizados nas ferramentas VSM e respetivo
significado...................................................................................................................................23
Quadro 2.2 - Exemplos típicos de medidas de desempenho e informações a recolher para caracterizar o
estado atual (adaptado de: Lean Six Sigma Metrics: How to measure improvements within a process)
...................................................................................................................................................29
Quadro 2.3 - Os sete desperdícios em Lean (adaptado de: Parihar et all, 2014) .................................32
Quadro 2.4 - Princípios em QRM em contraste com o pensamento Lean tradicional .........................38
Quadro 4.1 - Faturação respeitante a artigos de Classe A para o período 10/2015 a 03/2016 ..............50
Quadro 4.2 - Agregação dos artigos de Classe A em famílias e indicação da respetiva importância em
termos de faturação ......................................................................................................................51
Quadro 4.3 - Operações incluídas no fluxo de valor do produto, nº de máquinas disponíveis e nº
trabalhadores por máquina ............................................................................................................55
Quadro 4.4 - Descrição e representação das operações efetuadas para a produção do contentor de vinhos
e champanhe (cont.) .....................................................................................................................56
Quadro 4.5 - Número mínimo de malhas produzidas na Shllater para cada componente ....................63
Quadro 4.6 - Datas de expedição e respetivas quantidades prevista para a encomenda do produto
selecionado..................................................................................................................................64
Quadro 4.7 - Tempos de espera observados entre etapas produtivas e seleção do caminho crítico para
Porta inferior ...............................................................................................................................70
Quadro 4.8 - Tempos de espera observados entre etapas produtivas e seleção do caminho crítico para
Traseira .......................................................................................................................................71
Quadro 4.9 - Etapas produtivas observados e seleção do caminho crítico para Porta inferior .............71
Quadro 4.10 - Etapas produtivas observados e seleção do caminho crítico para Traseira ...................72
Quadro 4.11 - Up Time dos processos para a Porta Inferior.............................................................73
Quadro 4.12 - Up Time dos processos para a Traseira.....................................................................73
Quadro 4.13 - Importância relativa do tempo despendido em atividades VA e NVA .........................75
Quadro 4.14 - Relação entre problemas encontrados e desperdícios e abordagem Lean para melhoria 80
Quadro 4.15 - Questões para definir o mapa futuro.........................................................................83
Quadro 4.16 - Redução do Lead Time com balanceamento .............................................................97
xx
Quadro 4.17 - Avaliação das questões consideradas para definição do mapa futuro ........................100
Quadro 4.18 - Princípios 5S ........................................................................................................103
Quadro 4.19 - Resultados quantitativos da análise 5S ...................................................................103
Quadro 4.20 - Fontes de desperdícios e abordagem Made-to-Order Lean .......................................106
Quadro 4.21 - Fontes de desperdícios e abordagem Made-to-Order Lean .......................................117
Quadro 5.1 - Objetivos e metas relativas às etapas do PIM proposto para a FARAME ....................133
xxi
LISTA DE ACRÓNIMOS
BN – Bottleneck
CAD - Computer-aided Design
CNC - Computer Numeric Control
FIFO - First In-First Out
HM - High Mix
JIT - Just-In-Time
MRP - Manufactoring Resource Planning
MTO - Made-To-Stock
NNVA – Necessary Non-Value-Added
NVA - Non-Value-Added
MTS - Made-To-Order
ODP - Order Decoupling Point
PDCA - Plan-Do-Check-Act
PIM - Plano de Implementação de Melhorias
PM - Pacemaker
QRM - Quick Response Manufacturing
S.A – Sociedade Anónima
SCM - Supply Chain Management
SMED - Single-Minute Exchange of Dies
TPM - Total Produtive Maintenance
TPS - Toyota Production System
TQM - Total quality management
VA - Value-Added
VSM - Value Stream Mapping
WIP - Work in Process
TMC - Toyota Motor Corporation
xxii
xxiii
1
1 INTRODUÇÃO
O presente documento consiste na dissertação que visa a obtenção do grau de mestre em Engenharia e
Gestão Industrial, na Faculdade de Ciências e Tecnologias da Universidade Nova de Lisboa, intitulada
Estudo de Implementação da Metodologia Lean na FARAME S.A. num contexto produtivo High Mix.
Neste primeiro capítulo é explicitado o tema abordado e feito o enquadramento da dissertação no
contexto curricular e na empresa objeto de estudo, são definidos os objetivos que se pretendem atingir
e as questões a que se pretende responder, é apresentada a metodologia utilizada para ir ao encontro dos
objetivos delineados e, por fim, é indicada a estrutura da dissertação.
1.1 ENQUADRAMENTO E JUSTIFICAÇÃO DO TEMA
Lean Manufacturing, comumente designado de forma abreviada por “Lean” consiste numa filosofia de
gestão que tem essencialmente como objetivo a eliminação dos designados desperdícios que se
considera serem quaisquer atividades respeitantes a um processo que absorva recursos (em sentido lato)
e que não crie valor. Esta filosofia de gestão resultou da aprendizagem prática e dinâmica dos processos
produtivos originários dos sectores têxtil e, sobretudo, automobilístico, tendo sido determinada pela
ambição do mercado Japonês em destacar-se dos concorrentes ocidentais garantindo variedade dos
produtos, mantendo a elevada qualidade e o baixo custo num contexto competitivo.
Este sistema foi sendo adotado, progressivamente, de forma extensiva em diversos setores de atividade,
sobretudo industriais, devido ao seu potencial para melhorar, de forma efetiva, a produtividade e a
eficiência dos processos e das empresas e, assim, responder às exigências crescentes de um mercado em
rápida evolução. Para atingir os objetivos que se propõe, a abordagem Lean recorre à utilização de
diversas ferramentas e conceitos adaptados aos vários contextos produtivos, tais como por exemplo o
Value Stream Mapping (VSM), o sistema Pull, Single-Minute Exchange of Dies (SMED), 5S, Kanban,
entre outros.
A presente dissertação de âmbito curricular, foi desenvolvida na empresa FARAME S.A. (doravante
abreviadamente designada por FARAME) localizada no concelho de Sintra. Trata-se de uma empresa
de média dimensão, fundada em 1983, que se dedica à produção e comercialização, para vários
segmentos de mercado, de diversos artigos metálicos tais como carros de supermercado, contentores,
cestos de supermercado, carros de transporte de bagagem, entre outros produtos. O esquema de produção
geral compreende, sumariamente, a etapa de transformação, que inclui diversas operações mecânicas, a
etapa de acabamento, que inclui operações de revestimento de superfícies como a zincagem e pintura, e
a etapa final de montagem dos artigos.
Previamente à definição do tema concreto a abordar na dissertação procedeu-se à análise aprofundada
do funcionamento da empresa, com vista a identificar eventuais áreas de interesse para a investigação,
2
quer no contexto curricular em questão quer para a empresa objeto de estudo. Esta fase inicial permitiu
identificar deficiências, insuficiências e oportunidades de melhoria em vários domínios do
funcionamento da empresa, nomeadamente no aprovisionamento, no planeamento, no sistema
produtivo, na expedição, na manutenção e na organização que justificariam considerar uma abordagem
centrada na racionalização e otimização de operações ou fluxos.
Entendeu-se, assim, estar-se perante um caso em que se poderia abordar o tema Lean Manufacturing,
devido à sua generalizada aplicabilidade ao setor industrial e ao potencial para obter benefícios para a
empresa em questão. Acrescenta-se que não havia evidências de implementação prévia de metodologias
Lean na FARAME o que tornava o tema inovador para a empresa. Embora, como já referido, o Lean
tenha uma aplicação difundida em vários setores industriais, o facto de se testar a sua aplicação nesta
empresa tinha, à partida, algumas especificidades, devido aos seguintes aspetos:
 A atividade produtiva da empresa estar orientada para a produção de uma vasta gama de
produtos customizados e sem previsibilidade da procura;
 A atividade produtiva envolver uma multiplicidade de operações e equipamentos;
 Os processos de produção requererem operações de Setup sistemáticas e demoradas dos
equipamentos;
 Todos os recursos produtivos serem partilhados e não existirem linhas dedicadas.
Por estes motivos, foi analisado o sistema produtivo da empresa, tendo sido concluído que, devido à
grande variedade e customização de produtos produzidos, este se caracterizava como um sistema
High Mix (HM), o que requereria a considerar algumas alterações à abordagem Lean tradicional.
Assim, pretendeu-se testar e avaliar de que modo a abordagem Lean e as ferramentas de suporte à sua
aplicação poderiam ser adotadas e que eventuais limitações teriam no contexto em estudo que
justificassem proceder a adaptações nas mesmas.
Para o efeito recorreu-se, concretamente, à ferramenta VSM para estudar a cadeia de valor de um
produto selecionado a partir de uma família de produtos representativos e para obter uma visualização
clara do sistema produtivo atual. Esta ferramenta é vulgarmente conhecida por constituir uma das etapas
iniciais do desenvolvimento do Lean Manufacturing. Diversos autores nesta área, nomeadamente Rother
e Shook, defendem que o VSM é um dos pilares para a implementação do pensamento Lean por consistir
numa ferramenta de diagnóstico que expõe, por princípio, alguns dos exemplos mais visíveis de
desperdícios em que as empresas incorrem, por ajudar a criar as bases para a implementação de outras
ferramentas e por facilitar a introdução de melhorias.
3
1.2 OBJETIVOS
A análise da situação atual da empresa FARAME permitiu constatar os desafios com que esta tem sido
confrontada, nomeadamente com a necessidade de reduzir o Lead Time dos produtos, de diminuir o WIP
no sistema e de garantir uma melhor qualidade nos seus produtos, existindo, portanto, a necessidade de
melhorar a produtividade, com qualidade e redução de custos. Por este motivo, a presente dissertação
tem como principal objetivo o estudo de implementação de metodologia Lean na FARAME.
Por outro lado, considerando as particularidades da empresa atrás indicadas e o tema abordado, as
questões específicas a que se pretendeu responder foram as seguintes:
 Que eventuais limitações encerra a abordagem Lean e que adaptações pode ser necessário fazer
com vista à sua aplicação num ambiente de produção HM?
 De que modo a aplicação da abordagem Lean a um produto representativo num ambiente HM
pode ser transposta e generalizada a todos os produtos?
1.3 METODOLOGIA E ATIVIDADES REALIZADAS
O estudo foi iniciado com a pesquisa, análise e discussão da informação considerada relevante no
contexto do tema em análise e para a fundamentação das abordagens e atividades a desenvolver. Para
este efeito procedeu-se à revisão da literatura na área para aprofundar o âmbito do tema abordado na
dissertação, nomeadamente relativa às metodologias Lean e, especificamente, à ferramenta VSM.
Paralelamente procedeu-se ao reconhecimento e caracterização inicial da empresa e recolheram-se
opiniões junto de elementos ao nível da gestão e da operação para avaliar a relevância do tema
selecionado. Debateu-se o tema e o seu modo de abordagem com os professores orientadores e da
especialidade, para formular um plano de ação credível e exequível.
Para dispor de informação de base relativa à cadeia de valor do produto representativo selecionado
considerou-se ser necessário reunir os elementos relativos ao planeamento e produção relacionados com
as instruções de trabalho, com a capacidade e modo de processamento dos equipamentos, com os tempos
e modo de programação e operação dos mesmos, com o transporte de materiais, entre outros. De seguida
observaram-se todos os processos industriais existentes na fábrica, e mais profundamente aqueles
correspondentes à família de produtos selecionada, analisando as rotinas de trabalho na fábrica, as
ferramentas e equipamentos necessários para o desempenho do trabalho e o layout das instalações.
Devido à inexistência de registos sistemáticos que pudessem ser utilizados para estudar a cadeia de valor
do produto selecionado, foi estabelecido um programa de recolha de dados documentais e de campo.
Recorreu-se a diversas técnicas e instrumentos de recolha e tratamento de dados, através da análise de
registos relativos a operações e equipamentos, realização de inquéritos/entrevistas, preenchimento de
checklists, análise estatística de dados e observação direta do fluxo de valor do produto.
4
Para documentar os aspetos mais relevantes utilizaram-se formulários concebidos para o efeito ou
fornecidos por outras entidades e recolheram-se dados através de um cronómetro digital e/ou de
cronómetro analógico existente em algumas máquinas. As variáveis registadas nos formulários
dependeram do estudo que se pretendeu efetuar e das medidas de desempenho a calcular e foram
divididos por:
 Formulário para registo de operações VSM (que se se apresenta no Anexo I);
 Formulário para registo de operações de Setup (que se se apresenta no Anexo II);
 Formulário 5S/Visual Workplace Handbook - Production Automation Corporation VSM (que
se apresenta no Anexo III).
A recolha de dados de campo/experimentais para construção dos mapas teve início no processamento
da encomenda de um cliente e tendo terminado quando foi expedido o primeiro lote de entrega. Os
restantes dados utilizados, nomeadamente no contexto de aplicação de outras ferramentas foram
recolhidos durante todo o período do estágio curricular.
Pretendeu-se que o tratamento dos resultados a obter pudesse estabelecer um diagnóstico fundamentado
da situação atual para o produto selecionado, sistematizando as eventuais insuficiências ou deficiências
dos processos analisados, prever e quantificar os impactes e os ganhos estimados com a implementação
de uma abordagem Lean no produto selecionado e avaliar os requisitos a considerar para implementação
generalizada da abordagem Lean ao setor produtivo da empresa.
Considerando o contexto anteriormente apresentado e as características da empresa FARAME em que
decorreu o estágio, estabeleceram-se as seguintes atividades principais para presente dissertação:
1. Compreender o estado atual do fluxo de valor de uma família de produtos recorrendo à
ferramenta VSM e utilizar os princípios inerentes ao Lean Manufacturing para elaborar um
estado futuro ideal para essa mesma família de produtos e estimar o impacto na empresa das
modificações efetuadas;
2. Adaptar conceitos respeitantes a ambientes de produção HM ao caso prático estudado, quando a
metodologia Lean demonstrar limitações;
3. Definir em que condições e com que ferramentas pode ser ampliado o alcance do estudo do fluxo
de valor atual na empresa de uma família de produtos à globalidade do setor produtivo da
empresa, tendo em consideração o ambiente HM que a carateriza;
4. Estabelecer um plano de implementação das melhorias sugeridas;
5. Determinar qualitativamente e/ou quantitativamente os ganhos esperados para a empresa;
6. Produzir informação esclarecedora que possa promover uma mudança de paradigma na empresa
na medida em que, com a adesão à proposta de plano de implementação proposto se abrem novas
5
possibilidades de aplicação de metodologias Lean que poderá trazer benefícios associados quer
à redução de desperdícios quer à adoção de um pensamento de melhoria contínua, sem que a
empresa tenha que realizar investimentos consideráveis.
1.4 CONTEÚDO DA DISSERTAÇÃO
Para além do presente capítulo introdutório, esta dissertação foi estruturada nos seguintes capítulos
principais:
 Capítulo 2 - Revisão da literatura, no qual se resumem os principais elementos da bibliografia
atual consultada relacionados com o tema geral selecionado para estudo e com os temas mais
específicos correlacionados.
 Capítulo 3 - Descrição da empresa, em que se apresentam os principais dados de funcionamento
da empresa e em que se descreve, de forma sumária, a organização da empresa, o modo de
produção implantado e os artigos produzidos.
 Capítulo 4 - Análise do processo produtivo, identificação de problemas e de propostas melhoria,
em que se descrevem os aspetos metodológicos específicos inerentes às ferramentas de trabalho
adotadas, em que se descreve o trabalho preparatório e de recolha de dados efetuado, em que se
apresentam e analisam os dados e resultados obtidos, em que se elaboram propostas para
melhoria do estado atual e se estimam os ganhos esperados.
 Capítulo 5 - Transposição do caso particular estudado para a globalidade da empresa, em que se
efetuou uma análise global do sistema produtivo para entender a aplicabilidade e o impacte das
sugestões propostas na empresa como um todo.
 Capítulo 6 - Conclusões, em que se apresentam as principais conclusões e recomendações do
estudo.
6
7
2 MELHORIA CONTÍNUA E PENSAMENTO LEAN
A revisão da literatura do presente estudo visa apresentar a evolução histórica e científica do assunto
abordado e o aprofundamento de alguns temas considerados relevantes para a investigação. Trata-se de
uma análise e síntese de diversas obras e artigos científicos publicados no domínio em estudo, quer para
sustentação do desenvolvimento do trabalho e obtenção de uma visão geral na investigação, quer para
facilitar a pesquisa no contexto académico.
2.1 O SISTEMA DE PRODUÇÃO TOYOTA - TPS
2.1.1 HISTÓRIA E EVOLUÇÃO DO PENSAMENTO
Embora existam registos rigorosos de conceção de processos de fabrico que remontam a meados do
século XV, a primeira pessoa a integrar verdadeiramente todo um processo de produção foi Henry Ford.
Em 1913, Henry Ford criou, em Highland Park o que denominou por “produção em fluxo”. Para este
efeito, Ford alinhou as etapas de fabrico de automóveis em processos sequenciais, sempre que possível,
utilizando máquinas para fins especiais de forma a conseguir fabricar e montar os componentes que
constituem os veículos em poucos minutos e a entregar componentes, que encaixassem de forma
perfeita, diretamente para a linha de produção.
Este método foi revolucionário em comparação com as fábricas congéneres do sistema Americano, que
assentavam na utilização de máquinas de uso geral, agrupadas por processo, para produzir peças que se
destinavam a fazer parte de um produto acabado. Embora esta mudança tenha vindo permitir ao
consumidor obter produtos a preços mais baixos, em detrimento da sua variedade e qualidade, a
produção em massa deixava, no entanto, muito a desejar em termos de competitividade e satisfação
(WOMACK ET ALL, 1992).
O problema do sistema de Ford não residia no fluxo de produção, uma vez que as linhas de montagem
tinham capacidade para processar a quantidade requerida. Aquilo que era censurado ao modelo de
produção criado era a sua incapacidade para fornecer variedade, de que é exemplo a produção do
automóvel Modelo T, em 1926. A produção deste modelo foi, não só, limitada apenas a uma cor como,
também, a uma especificação, de tal modo que todos os chassis do Modelo T eram essencialmente
idênticos desde o início ao fim da produção.
Com a evolução das exigências dos consumidores no sentido de estes disporem de mais variedade,
incluindo ciclos de modelo mais curtos do que os 19 anos que caraterizaram o Modelo T, o sistema de
Ford perdeu alguma utilidade. Outros fabricantes de automóveis responderam à necessidade de
produção de modelos diversificados, e cada um com muitas opções, embora recorrendo a sistemas de
produção, cujo projeto e respetivas etapas de produção regrediram novamente para processos com
tempos de processamento muito mais longos.
8
Na década de 30 do século passado, e mais intensamente logo após a Segunda Guerra Mundial, Kiichiro
Toyoda e Taiichi Ohno, entre outros, analisaram o sistema de produção na Toyota, tendo concluído que,
realizando uma série de inovações simples, seria possível produzir continuamente através do processo
em fluxo e assegurar, simultaneamente, o fornecimento de uma grande variedade de produtos. O
pensamento original de Ford foi, de certa forma, revisitado e reinventado com o designado Sistema de
Produção Toyota (TPS). Este sistema transferiu, essencialmente, o foco da produção que se centrava
nas máquinas individuais, e na sua utilização, para o fluxo do produto, através do processo total. A sua
filosofia assentava no desejo de produzir através de um fluxo contínuo e no reconhecimento de que
apenas uma pequena fração do tempo total e do esforço despendidos para processar um produto
constituíam atividades de valor acrescentado (VA) (WOMACK ET ALL, 1992).
Taiichi Ohno, engenheiro e chefe de produção da Toyota Motor Corporation (TMC), definiu a base do
TPS como consistindo na eliminação absoluta de desperdícios, na redução de custos, na produção de
alta qualidade e, posteriormente, na obtenção da quantidade exata. Quando estes aspetos são
considerados de forma integrada, o TPS caracteriza-se como um controlo de quantidade, cujo objetivo
é a redução de custos através da absoluta eliminação de desperdícios. Estes pontos-chave formam um
sistema totalmente integrado que deve estar em constante evolução, e deram lugar a uma nova filosofia
organizacional, o Lean Manufacuring (WILSON, 2010).
2.1.2 DESCRIÇÃO GERAL DO TPS
Taiichi Ohno descreveu este sistema como um conjunto de técnicas com vista a reduzir os custos de
produção, com implicação na eliminação dos desperdícios. A definição especifica de desperdícios é uma
contribuição do TPS porque estes foram descritos e caracterizados de uma forma única (WILSON 2010).
Estes são entendidos como atividades que não acrescentam valor em negócios ou processos de fabrico
e que foram definidos da seguinte forma (LIKER ET ALL. 2006):
 Excesso de produção: Produção de componentes antes do necessário ou em quantidades
superiores ao desejado; gera outros desperdícios tais como excesso de pessoal, requisitos de
armazenamento e custos de transporte devido ao excesso de stocks;
 Esperas: Trabalhadores em espera pelo fim da operação numa máquina automatizada, falta de
ferramentas ou peças, atrasos de processamento anteriores, entre outros;
 Transporte: Movimentação de material entre processos ou produtos acabados para dentro ou
para fora da zona de armazenamento;
 Processamento incorreto: Ineficiências devido à utilização de ferramentas incorretas e do
design do produto; causam movimentos desnecessários e defeitos.
 Excesso de stock: Matéria-prima, WIP ou produtos acabados em excesso conduzem a
obsolescência, mercadorias danificadas, transporte, armazenamento e custos desnecessários.
9
Ocultam problemas na produção tais como atrasos nas entregas de fornecedores, defeitos e
tempos de inatividade;
 Movimentos desnecessários: Qualquer movimento executado durante o turno de trabalho que
não acrescenta valor;
 Defeitos: Produção de peças defeituosas, correções, reparações, operações de inspeção;
significam desperdício de tempo e esforço.
Taiichi Ohno considerou que, de entre os desperdícios enunciados, o excesso de produção é o mais
significativo por provocar a maior parte dos restantes desperdícios.
2.1.3 CONSTITUIÇÃO DO TPS
Na Figura 2.1 pode observar-se o conjunto de elementos fundamentais que formam a estrutura do TPS
e que se descrevem mais adiante. A base de todos os elementos é a estabilidade, essencial para que se
possam estabelecer objetivos, e na qual se enquadram o Heijunka (programação nivelada), o trabalho
uniformizado e a gestão visual. Uma vez obtida a estabilidade erguem-se os pilares deste sistema que
são a produção Just in Time (JIT) e Jidoka (modo de utilização de máquinas e mão-de-obra) que
suportam os objetivos cruciais que consistem na obtenção de uma elevada qualidade a um baixo custo,
com flexibilidade e agilidade (PINTO 2008).
Figura 2.1 - Constituição do TPS - Fonte: Lean Thinking, Pinto (2008)
10
2.1.3.1 Estabilidade dos processos
O objetivo principal de garantir a estabilidade dos processos é a criação de uma base de consistência
para que a realidade possa ser evidenciada e as atividades aleatórias eliminadas, estabelecendo uma
fundação para a melhoria contínua, assentes na redução da variabilidade da taxa da procura e na criação
de um nivelamento básico diário. Este facto é de extrema importância para a criação de um fluxo
produtivo contínuo e para garantir um maior grau de flexibilidade e capacidade de responder aos
requisitos dos clientes (LIKER ET ALL. 2006).
Existem, para esse fim, estratégias e ferramentas que podem ser utilizadas em maior ou menor extensão
dependendo das condições, dos objetivos e das estratégias da empresa sendo, no entanto, sempre
aplicáveis. Para atingir a estabilidade são sugeridas as seguintes abordagens (WILSON, 2010):
 Heijunka - Significa a obtenção de uma programação nivelada, sem grandes oscilações. Cria
condições para manter um fluxo contínuo de fabrico, para reduzir stocks e para assegurar uma
maior estabilidade dos processos (PINTO 2008);
 Trabalho uniformizado - Trata-se de uma ferramenta para análise e compreensão dos
desperdícios no processo e para o estabelecimento de um fluxo de trabalho equilibrado durante
a criação de um fluxo contínuo, sendo mais do que apenas um conjunto de instruções para o
operador. Como ferramenta de análise, o trabalho uniformizado serve, primeiramente, para
auxiliar a identificação de movimentos e esperas desnecessárias, não se destinando a prescrever
como o trabalho deve ser realizado, mas, pelo contrário, descrever o que está a acontecer. Este
conceito engloba três elementos: o tempo de ciclo, a sequência de trabalho e o stock padrão
(LIKER ET ALL. 2006);
 Simplificação de Processos - É um conceito básico que passa por eliminar e simplificar etapas
no processo de produção com vista à redução da sua variação;
 5S - Conjunto de técnicas utilizadas para melhorar práticas de trabalho que facilitam o controlo
visual e implementação da metodologia Lean. Os 5S são:
1. Seiri...............Separação
2. Seiton.............Ordem
3. Seiso..............Brilho
4. Seiketsu..........Estandardização
5. Shitsuke..........Sustentação
 Sustentação dos ganhos - Depois de atingida a melhoria dos processos, a sustentação é o passo
necessário para a padronizar, institucionalizando os ganhos para poder “construir” sobre os
mesmos;
 Total Produtive Maintenance (TPM) - É uma abordagem revolucionária para a gestão de
máquinas/equipamentos constituída por atividades que são projetados para evitar avarias, para
11
minimizar ajustes de equipamento que causam perdas de produção e para tornar as máquinas
mais seguras e fáceis de operar, melhorando, assim, o desempenho geral das fábricas ao incidir
sobre a disponibilidade das máquinas;
 Transparência - Conceito que estabelece que o desempenho do processo ou da linha inteira de
produção deve ser "visto”, recorrendo a um conjunto de controlos visuais, tais como “andons”,
placas Heijunka e marcações de espaço, que tornam o desempenho do processo "transparente".
2.1.3.2 Just-In-Time (JIT)
Esta técnica de controlo da produção consiste no fornecimento da quantidade exata material no momento
certo e no local necessário; tratando-se, objetivamente, de um controlo de quantidade. Permite efetuar o
controlo dos stocks de forma mais eficaz e resulta numa melhor compreensão da sua variação (WILSON
2010). No entanto, produzir desta forma requer um fluxo contínuo e coordenado de materiais e
informação a funcionar com um sistema Pull e a trabalhar com um tempo de ciclo próximo do Talk Time
(PINTO 2008). Esta técnica assenta, principalmente, nos seguintes conceitos (WILSON 2010):
 Takt time - Representa o tempo de ciclo do processo para responder à procura do cliente,
normalizado de tal forma que assenta no plano de produção da empresa. É calculado dividindo
(1) o tempo de trabalho disponível para a produção pela (2) procura do produto, sendo o sistema
concebido para produzir a esta taxa. Se a produção for efetuada com um tempo de ciclo mais
elevado que o Takt não será possível cumprir os prazos estipulados; se o tempo de ciclo for
menor do que o Takt, serão constituídos stocks, considerados desperdícios;
 Balanceamento das operações - Técnica que consiste em ter todos os passos da operação de
uma “célula” com o mesmo tempo de ciclo para se atingir a sincronização da produção, servindo,
essencialmente, para evitar o desperdício de espera;
 Sistemas Pull - São sistemas projetados para minimizar o excesso de produção e caracterizam-
se por limitar o volume de stocks utilizando o sistema de Kanbans (conceito descrito adiante que
assenta na utilização de cartões) e pelo facto de a produção ser iniciada apenas quando é dado
um sinal a partir do cliente/processo seguinte. Neste caso, quando um componente do processo
é utilizado a jusante, usa-se um sinal que indica ao processo a montante que pode iniciar a sua
produção até um limite máximo definido;
 Lead Time - Representa o tempo que decorre entre uma encomenda e a entrega do produto ao
cliente. A sua redução resulta na diminuição de desperdícios na medida em que melhora a
flexibilidade e a capacidade de resposta a mudanças na procura, seja em quantidade, ou seja, no
tipo de produto;
12
 Fluxo - É o conceito no qual os componentes param apenas para ser processados e, portanto,
todas as atividades são de valor acrescentado (VA) e o Lead-Time é menor. Este conceito assenta
na conceção dos processos de modo a que estes estejam sincronizados, tanto quanto possível, e
que se constitua o mínimo de stock viável entre si;
 Kanban - Prática de usar, por exemplo, cartões para indicar o andamento dos fluxos e criar um
sistema Pull. Estes cartões, que representam e são responsáveis por todos os stocks no sistema,
ao serem monitorizados permitem uma melhor visualização dos stocks totais existentes e a
minimização do excesso de produção. Esta técnica torna o sistema mais sensível à procura dos
clientes e permite encurtar os prazos de entrega porque a ordem de produção vem diretamente
dos mesmos. A utilização de Kanbans segue regras criteriosas que devem ser necessariamente
seguidas para que tenham resultado no Sistema;
 Lote mínimo - Ao diminuir o tamanho dos lotes obtém-se um processo mais rápido pelo fato de
ser possível reduzir o Lead Time do primeiro componente, aliado à melhoria da capacidade de
resposta da qualidade uma vez que se detetam não-conformidades de forma antecipada. Por outro
lado, o primeiro lote do produto global será concluído mais rapidamente;
 Sistema por células - Sistema que assenta na criação de áreas de trabalho que estão dispostas de
tal modo que as etapas de processamento estão imediatamente adjacentes umas às outras,
permitindo que as partes sejam processadas quase continuamente, quer em lotes reduzidos quer
em fluxos unitários;
 Stock de ciclo, de buffer e de segurança - O stock de ciclo é aquele que se forma entre duas
entregas a clientes; o stock de buffer é aquele que é mantido para cobrir as variações associadas
a causas externas, incluindo mudanças na procura; o stock de segurança é útil para cobrir as
variações internas incluindo paragens na linha produtiva ou qualquer outra situação que dificulta
a capacidade de entrega ao cliente. Estes stocks dizem respeito a produtos acabados, mas também
a WIP e são revistos periodicamente para avaliar possíveis oportunidades de redução de
desperdícios. Cada um dos três tipos de stock é calculado e marcado separadamente. A forma
mais comum de o fazer é utilizar Kanbans codificados por cores;
 SMED (Single-Minute Exchange of Dies) - Sistema projetado para reduzir, tanto quanto
possível, os tempos de Setup dos processos, o que se traduz na redução do excesso de
capitalização e de produção. A sua aplicação é a chave da “destruição” dos lotes e um dos
principais esforços que devem ser iniciados para a implementação do Lean.
13
2.1.3.3 Jidoka
Jidoka significa um conjunto de questões culturais e técnicas que dizem respeito à utilização de
máquinas e mão-de-obra em conjunto, atribuindo a trabalhadores tarefas exclusivas que estes sejam
capazes de realizar, e dotando as máquinas de sistemas capazes de “auto-regular” a qualidade. Trata-se
de um conceito que assenta no princípio que nenhum componente não conforme pode prosseguir na
linha de produção. Esta técnica, não só, protege o cliente e reduz custos inerentes à não qualidade como,
também, constitui uma base para a melhoria contínua que assenta na adoção de um conjunto de técnicas,
designadamente (WILSON 2010):
 Poka-Yoke - Consiste numa série de formas, ilimitadas, que se destinam a conseguir que um
processo se torne “à prova de erros”, tornando-o mais robusto, nomeadamente
encerrando/interrompendo o processo ou isolando o componente quando é detetado um defeito
ou avisando o operador da irregularidade através de andons (sinais visuais);
 5 Porquês - Trata-se de uma técnica simples, ao nível do seu conceito, que consiste na
interrogação iterativa com vista a conhecer a sucessão das relações de causa e efeito de um
determinado problema. Para que as questões sejam corretamente analisadas, a sua aplicação
exige conhecimento e experiência na área do problema que se propõe analisar;
 Kaizen - Respeita ao processo de melhoria contínua com vista a obter resultados em termos de
eficiência e qualidade, através da adoção sistemática, e envolvendo todos os intervenientes, de
uma série de pequenas medidas de melhoria. Embora estas melhorias sejam, por vezes,
aparentemente pouco significativas e difíceis de quantificar, o seu efeito cumulativo e sinergético
é/ significativo.
2.2 LEAN MANUFACTURING
2.2.1 DEFINIÇÃO DE LEAN MANUFACTURING
O conceito de Lean Manufacturing, como evolução do TPS, consiste numa abordagem com vista a
produzir mais com menos esforço humano, menos equipamento, menos tempo e menos espaço,
oferecendo simultaneamente aos clientes exatamente o que eles querem. Esta abordagem pretende,
ainda, que o trabalho se torne mais satisfatório e que proporcione feedback imediato sobre os esforços
efetuados para converter desperdícios em valor (WOMACK ET ALL, 1992). Está geralmente associado a
departamentos mais específicas, tais como o fabrico e desenvolvimento de produtos, tendo sido
“formalizado” para ser aplicado através de ferramentas e técnicas específicas. No entanto, JEFFREY K.
LIKER E DAVID MEIER (2006) conferem um sentido filosófico a esta abordagem, por comparação com
um organismo que trabalha para crescer e se desenvolver, e que permite criar um modelo de alinhamento
de pessoas na direção de um propósito comum. Os autores reforçam que esta é, portanto, uma
14
metodologia que pode ser aplicada a vários departamentos de qualquer indústria que pretenda eliminar
desperdícios a longo prazo.
De uma forma genérica pode-se compreender o pensamento Lean através da sua comparação com a
abordagem tradicional, se se focar no objetivo primordial que as organizações pretendem atingir. Assim,
enquanto que na abordagem tradicional o objetivo numa indústria passa por atingir um número aceitável
de defeitos, um valor máximo aceitável de stocks e um leque de produtos limitados standard, na
abordagem Lean procura-se alcançar a perfeição continuamente, reduzir custos, obter zero defeitos, zero
stocks e uma grande variedade de produtos. Trata-se de um processo que procura empregar equipas de
trabalhadores multifacetados a todos os níveis da empresa e que utiliza máquinas automatizadas e
flexíveis para produzir grandes volumes de uma grande variedade de produtos (WOMACK ET ALL, 1992).
2.2.2 LEAN NOS DIAS DE HOJE
A Toyota é um líder exemplar na aplicação deste conceito e uma grande empresa em termos de vendas
globais. Este sucesso contínuo ao longo das últimas duas décadas criou uma enorme procura pelo
conhecimento sobre a estrutura da empresa. Existe por esse motivo uma crescente vontade das
organizações em explorar o assunto e inúmeros recursos disponíveis para esse público crescente. Como
o pensamento Lean continua a ganhar seguidores em todos os países do mundo e nas mais diversas
organizações, os gestores também estão a adaptar as suas ferramentas e princípios, não só, à produção
como, também, à logística e distribuição, serviços, construção, manutenção, entre outros. A consciência
e os métodos Lean estão a começar a criar raízes em todos os setores nos dias de hoje.
2.2.3 PRINCÍPIOS DO LEAN MANUFACTURING
A palavra japonesa “Muda”, que traduzida para português significa "desperdício", pode ser utilizada
sempre que exista uma atividade humana que absorva recursos, mas que não crie nenhum valor. Taiichi
Ohno identificou sete tipos de desperdícios na indústria e lutou para que a Toyota se libertasse deles.
Utilizou para esse efeito, o pensamento Lean, definindo uma sequencia lógica e uma abordagem cíclica
às questões assente em vários princípios, tal como representado na Figura 2.2: 1) especificação de um
valor para determinado produto; 2) alinhamento das ações de criação de valor na melhor sequência; 3)
realização dessas atividades sem interrupção quando solicitadas; 4) estabelecimento de um sistema Pull;
5) procurar a melhoria contínua (WOMACK & JONES 1996).
15
Figura 2.2 - Princípios do Lean Manufacturing; Fonte: Lean Enterprise Institute
2.2.3.1 Especificação do valor
O ponto de partida fundamental para o pensamento Lean é a noção de valor. O valor só pode ser definido
pelo cliente final e apenas se torna significativo se for expresso em termos de um produto específico que
satisfaz as necessidades do cliente, a um preço específico num determinado momento. No entanto, o
valor é criado pelo produtor e, por esse motivo, a sua definição deve visar produtos específicos, com
recursos específicos e oferecidos a preços específicos a determinados clientes.
2.2.3.2 Mapeamento da cadeia de valor
A cadeia de valor é o conjunto de todas as etapas necessárias para trazer um produto desde a sua
encomenda até ao cliente, partindo da sua conceção, evoluindo com o desenvolvimento do projeto
detalhado e engenharia para lançamento na produção e prosseguindo com a transformação de matérias-
primas em produto acabado.
Identificar toda a cadeia de valor para cada produto (ou em alguns casos, para cada família de produtos)
é um passo essencial do Lean Manufacturing e que, quase sempre, expõe desperdícios. Especificamente,
a análise do fluxo de valor identifica as atividades que criam, de forma inequívoca, valor e também as
atividades que não criam qualquer valor para o cliente, podendo as mesmas ser ou não ser evitáveis.
2.2.3.3 Criação de fluxo
Uma vez especificado o valor com precisão e mapeada a cadeia de valor torna-se crucial criar o fluxo
de etapas de criação de valor. As etapas podem ser realizadas de forma mais eficiente e precisa quando
o produto é trabalhado continuamente, desde a matéria-prima ao produto acabado. Por outras palavras,
o processo funciona melhor se o foco estiver no produto e nas suas necessidades, em vez de se centrar
nos equipamentos, de modo que todas as atividades necessárias para a conceção e fornecimento de um
Identificar
valor
desejado
Mapear
cadeia de
valor
Criar fluxo
de etapas
produtivas
Estabelecer
um sistema
"Pull"
Procurar a
melhoria
contínua
16
produto ocorram em fluxo contínuo, destacando-se a criação de pequenos lotes produzidos
continuamente porque estes representam, de uma maneira mais realista, as necessidades.
2.2.3.4 Estabelecimento de um sistema Pull
Com a conversão dos departamentos em equipas de produto e da movimentação dos lotes em fluxo,
reduz-se o tempo necessário entre a conceção e o lançamento de um produto e torna-se possível reagir
à procura de uma forma mais rápida. Significa isto, a capacidade de projetar, programar e fazer
exatamente o que o cliente precisa apenas quando o mesmo o deseja pode implicar ignorar as previsões
da procura e fazer simplesmente o que os clientes precisam, introduzindo um sistema em que o cliente
“puxa” o produto, conforme as suas necessidades, em vez de ser a empresa a “empurrar” produtos para
o cliente.
2.2.3.5 Implementação de melhoria Contínua
Quando as organizações são capazes de identificar e especificar com precisão o valor de um produto, de
estabelecer um fluxo contínuo e de permitir que sejam os clientes a “puxar” valor da empresa, começa
a existir um envolvimento de todos os intervenientes de tal forma que, naturalmente, se desenvolve um
processo de redução do esforço, do tempo, do espaço, de custos e de erros e de aproximação à perfeição.
Porque os quatro anteriores princípios do Lean Manufacturing interagem de forma que produzem um
“ciclo”; ao permitir que o valor flua mais rápido, ao expor desperdícios existentes, ao implementar um
sistema de produção Pull que revela impedimentos.
Neste processo, é, também, de extrema importância que exista transparência para que todos os
intervenientes na cadeia de valor, incluindo fornecedores, distribuidores e os próprios trabalhadores,
possam “ver” melhor e descobrir formas de criar valor e para que haja um estímulo, por parte de todos,
na procura da melhoria contínua.
2.2.4 BENEFÍCIOS E CONSTRANGIMENTOS DA IMPLEMENTAÇÃO DO LEAN NAS EMPRESAS
Em qualquer indústria o peso da estratégia de produção e a sua envolvente são de extrema importância
para que a organização seja competitiva. Desta forma, torna-se fulcral verificar em que medida a adoção
do pensamento Lean influencia as organizações no curto, médio e longo prazo, analisando as vantagens
competitivas que daí advêm bem como os prováveis constrangimentos decorrentes para entender os
contornos desta estratégia e verificar a sua adaptabilidade a diferentes contextos. Significa isto, analisar
e entender que existe uma relação custo-benefício associada à implementação do Lean que vai depender
de inúmeros fatores que podem influenciar quer a redução de custos quer a geração de benefícios. Por
outro lado, existem circunstâncias diferentes, conforme a empresa, que podem implicar resultados
diferentes e metodologias de implementação que não serão necessariamente iguais.
17
2.2.4.1 Benefícios da implementação
A implementação do Lean permite produzir com mais qualidade, velocidade e eficácia, sendo possível,
paralelamente, aumentar a flexibilidade e reduzir os custos operacionais. Para alcançar a qualidade é
proposto o conceito de stocks mínimos. A partir da redução dos stocks, torna-se mais acessível detetar
onde estão as falhas na atividade produtiva e, consequentemente, combater as suas causas de forma a
alcançar uma eficiência operacional que permita obter qualidade desde a primeira peça.
Esta filosofia é suportada, em parte, pela melhoria contínua dos processos que tem como meta atingir
“zero defeitos” (WOMACK & JONES 1996). Pode-se subentender que os conceitos inerentes ao Total
Quality Management (TQM) são intrínsecos ao pensamento Lean e dão suporte à sua implementação.
A vantagem do Lean face à abordagem TQM (através de controlos estatísticos do processo) decorre de
o controlo ser realizado pelos operadores no momento da produção, bem como através do sistema Pull
com a utilização de Kanbans do produto e do processo, podendo ser detetadas antes que as
consequências cheguem aos clientes (MORAIS 2006).
Outro ponto crucial que possibilita uma produção mais ágil, diz respeito à delegação de maiores
responsabilidades aos trabalhadores para as operações. Essa delegação tem como pressuposto uma maior
capacidade dos operadores aos quais se agregam novas funções e que passam a conhecer todo, ou quase
todo, o processo no qual estão inseridos, tendo responsabilidade sobre as falhas e as soluções decorrentes
do trabalho. Essa delegação permite que sejam tomadas decisões mais prontamente, reduzindo o tempo
em que um processo está parado devido à deteção de uma falha (Jidoka). Por outro lado, a redução do
tempo de Setup dos equipamentos, pressupondo a transformação do tempo de Setup interno (com o
processo parado) em tempo de Setup externo (com o processo a decorrer), permite que o processo seja
acelerado.
No sentido da redução de custos, a abordagem Lean pode proporcionar ganhos indiretos a partir da
redução dos tempos de Setup e do menor número de peças defeituosas, consideradas desperdícios, e
ainda com a melhoria na qualidade. A maior “redução de custos” está associada aos stocks, uma vez que
permite que a empresa financie, apenas ou sobretudo, produtos com retorno a curto prazo, não
constituindo grandes quantidades de capital empatado (WOMACK & JONES 1996).
Quantitativamente, ao converter a produção num fluxo contínuo com um sistema eficaz de Pull, é
possível duplicar a produtividade do trabalho em todas as etapas ao cortar tempos em 90% e ao reduzir
os stocks no sistema também em 90%. O número de erros e desperdícios no sistema de produção são
normalmente cortados para metade bem como questões relacionadas com a segurança e saúde no
trabalho. O tempo que os produtos permanecem no sistema pode ser reduzido para metade e pode ser
oferecida uma variedade mais ampla de produtos a um custo adicional modesto.
18
O pensamento Lean apresenta, ainda, a vantagem de incentivar a melhoria continua, por meio de Kaizen,
para atingir a perfeição. Apesar de, por vezes, existir a perceção de que um processo produtivo já é
eficiente e que não existe espaço para a melhoria uma vez que já se atingiu a perfeição dentro das
possibilidades, a aplicação desta metodologia revela, no entanto, ineficiências que não se esperariam
(MELTON 2005).
Existem, portanto, diversos motivos para a implementação desta abordagem por a mesma contribuir
para a melhoria da competitividade, estando provado que a sua correta implementação pode reduzir o
tempo entre o pedido do cliente e a sua entrega, pode reduzir e eliminar atividades de valor não-
acrescentado (NVA), permite obter processos que proporcionam uma alta qualidade aos clientes a um
custo reduzido e sem exigir a constituição de grandes quantidades de stock (Jeffrey K. Liker e David
Meier).
2.2.4.2 Constrangimentos à implementação
Não obstante as vantagens inerentes à implementação do Lean, deve ter-se presente que existem
limitações e requisitos que esta abordagem implica, bem como alguns constrangimentos que podem, por
vezes, gerar o efeito contrário ao esperado, acarretando a ineficiência organizacional. Por outro lado,
para a sua correta implementação torna-se necessário criar alguns desperdícios no curto prazo, a fim de
os eliminar a longo prazo (LIKER ET ALL 2006).
Em primeiro lugar, é necessário considerar as questões referentes aos recursos humanos da organização,
na medida em que se aumenta o nível de exigência e de participação dos mesmos, sendo necessária uma
maior cooperação e confiança entre os trabalhadores e os elementos da gestão/administração da
organização. Caso contrário, a adoção deste sistema, para além de não gerar resultados, será responsável
pelo enfraquecimento destas relações, tendo como principal consequência o aumento do stress, tanto
dos funcionários como da administração, piorando os resultados (MORAIS 2006). Só será possível
implementar esta abordagem se todos os elementos da organização acreditarem que o novo sistema trata
todos de forma justa e que a mudança vai resultar em benefícios para todos (WOMACK E JONES 1996).
Em segundo lugar é importante que existam planos de produção estáveis sem a perspetiva de grandes
alterações, com reduzidos tempos de Setup. Isto significa dispor de uma instalação relativamente rígida,
preparada para uma certa família de produtos, não havendo capacidade para atender a grandes alterações
na procura, razão pela qual não é indicado a determinados tipos de mercado (MORAIS 2006). Tendo
presente que a disposição dos equipamentos é permanente, prevê-se uma diminuição nos tempos de
Setup das máquinas para agilizar a troca entre produtos, para que seja necessário efetuar apenas uma
ligeira adaptação para produtos diferentes da mesma família. Poderá, por esse motivo, ser necessário
alterar muitas ferramentas e equipamentos na fábrica, incorrendo em custos adicionais de investimento.
Caso a organização não consiga reduzir este tempo de Setup (devido a diversos fatores) será impossível
19
garantir o aumento da flexibilidade produtiva, perdendo-se assim uma das principais características
diferenciadoras da produção em massa (LIKER ET ALL 2006).
A adoção deste sistema exige, também, alguns custos de investimento no rearranjo físico das linhas
produtivas uma vez que se baseia no formato de “células”, caracterizando-se por se apresentar bastante
rígido e pré-estabelecido para uma determinada família de produtos. Isto pode implicar a reconstrução
ou reformulação das linhas, sendo extremamente importante realizar um estudo quanto aos impactos
financeiros destes investimentos (MORAIS 2006).
Por ultimo, este sistema exige uma participação integrada de todos os membros da cadeia de
abastecimento uma vez que o aumento da velocidade de produção combinada com a redução de stocks,
implica que os fornecedores estejam coordenados para garantir que não existe uma paralisação da
produção devido a falta de matéria-prima.
2.3 A FERRAMENTA VALUE STREAM MAPPING (VSM)
2.3.1 FINALIDADE E DEFINIÇÃO
A ferramenta Value Stream Mapping (VSM) pode ser definida como uma representação visual de todas
as atividades de fabrico e dos fluxos de materiais e informações que ocorrem ao longo do fluxo de valor
para um determinado produto ou família de produtos (TAPPING, 2002). Este fluxo de valor é constituído
pelas atividades VA e NVA que trazem um produto, ou um grupo de produtos, que utilizam os mesmos
recursos, desde as matérias-primas até ao consumidor final (GARG ET AL. 2010).
Como pressuposto, sempre que existe desenvolvimento de produtos para um cliente existe, também,
fluxo de valor que, representado através do VSM, permite compreender as condições operacionais atuais
e oferece oportunidades para melhorar o seu desempenho. Trata-se, portanto, de uma ferramenta de
melhoria aplicável a qualquer processo numa indústria, que permite a visualização dos seguintes
aspetos: 1) do processo de produção destacando, também, o fluxo de informações dentro do sistema; 2)
dos locais produção e estagnação do WIP e respetivos tempos; 3) das ações que desencadeiam o
movimento do material de um processo de para outro (WOMACK E JONES 1996).
A perspetiva da utilização da VSM é de trabalhar com todo o contexto que envolve o produto, em vez
de se focar nos processos individualmente, e de melhorar globalmente esse contexto não se atendo à
otimização das partes que o compõem. Cobre vários aspetos do fluxo de valor desde a receção das
matérias-primas até ao envio da encomenda para o cliente final, passando pelos processos de fabrico e
componentes do produto, com o objetivo de o tornar mais eficiente e de obter uma especificação do
modo como deve ser o processo no futuro e de como implementar as alterações (ROTHER & SHOOK
1998).
Em qualquer indústria de transformação, as operações podem ser classificadas em três grupos principais
(JASTI ET ALL 2013):
20
 Atividades NVA, que não acrescentam qualquer valor ao produto nem à organização e, como
tal, devem ser erradicadas - estas incluem desperdícios com o manuseamento desnecessário de
material, tempos de espera, etc.;
 Atividades necessárias, mas de valor não acrescentado (NNVA), que se tratam de atividades
consideradas desperdício pelo cliente sendo, no entanto, necessários para a organização - estas
dizem respeito, geralmente, a rotinas operacionais, sendo dificilmente eliminadas por exigirem
grandes alterações aos processos internos;
 Atividades VA, que incluem atividades que os clientes reconhecem como valiosas e, portanto,
estão dispostos a pagar por elas.
A aplicação desta ferramenta visa, principalmente, expor as atividades NVA que estão presentes nos
processos atuais das empresas e que estão, na realidade, a consumir recursos financeiros e humanos
devendo ser eliminadas. No entanto, pode-se verificar que algumas destas atividades são realmente
necessárias no processo devido a limitações da empresa, pretendendo-se, nestes casos, minimizar o seu
impacto. Por outro lado, esta ferramenta permite mais do que visualizar as atividades NVA, ajudando,
também, a detetar as suas fontes através de uma linguagem comum em processos de fabrico, para que
posteriormente seja possível analisar o processo e discuti-lo (PATEL ET ALL 2015).
Desenvolvida durante o trabalho realizado por Taiichi Ohno na Toyota nos anos 60 e 70 do século XX
a um nível mais elementar, o sucesso que a empresa tem tido desde 1980 foi atribuído, em grande parte,
ao uso do VSM.
Nas palavras de Taiichi Ohno - "Tudo o que estamos a fazer é olhar para a linha do tempo a partir do
momento em que o cliente nos dá uma ordem de compra, até ao ponto em que recolhemos o dinheiro.
E estamos a reduzir essa linha do tempo, removendo os resíduos que não acrescentam valor.”
Com a utilização da VSM torna-se possível identificar a forma de os materiais e de as informações
fluírem sem interrupção com a finalidade de melhorar a produtividade e competitividade e de ajudar as
empresas a implementar sistemas de melhoria, em vez de terem processos a funcionar isoladamente.
Com o apoio desta ferramenta clarifica-se os desperdícios no sistema, classificados como atividades
NVA, que implicam custos e que não agregam valor, para que estes sejam eliminados e se possa
concentrar o esforço na criação atividades que os clientes desejam (WOMACK E JONES, 2003).
Os mesmos autores sugerem, no seu plano de ação Lean a seguinte linha de pensamento: 1) em primeiro
lugar, o estabelecimento de um agente de mudança; 2) em segundo lugar, a compreensão teórica inicial
dos princípios Lean; 3) em terceiro lugar, a identificação de fluxos de valor e o mapeamento por família
de produtos.
Desta forma, pode considerar-se o VSM como a ferramenta inicial para a implementação de um
pensamento Lean, sendo utilizada como forma de diagnóstico para a identificação de problemas e de
melhorias. Na Figura 2.3 pode-se observar um processo típico de implementação do pensamento Lean
21
assente na construção do VSM como ferramenta de diagnóstico e na aplicação posterior de outras
ferramentas (RIVERA ET ALL, 2007).
Figura 2.3 - Processo típico para implementação do pensamento Lean - Adaptado
de (RIVERA & FRANK CHEN, 2007)
2.3.2 PRINCIPAIS SÍMBOLOS, REPRESENTAÇÕES E DEFINIÇÕES DO VSM
O principal objetivo da VSM é conseguir uma visualização clara dos processos de produção e dos seus
desperdícios, para proporcionar uma análise que permita a otimização do fluxo de valor (MAIA 2006).
Para desenvolver a representação de processos em "mapas", a ferramenta utiliza símbolos padrão para
representar produtos, operações e fluxos. Dentro dos fluxos pode-se destacar a matéria-prima ou o WIP,
que estabelece qual o percurso que estes seguem dentro das instalações, e a informação, que determina
o que cada processo irá produzir na etapa seguinte, sendo ambos de extrema importância no
enquadramento da ferramenta (ROTHER E SHOOK, 1998). No Quadro 2.1 estão ilustrados os principais
símbolos e representações utilizados na ferramenta VSM.
Para representação do processo são utilizadas “process box”. A definição acerca do que se considera
ser um processo individual pode ser feita recorrendo tanto a observação das instalações como recorrendo
a algum critério definido. Cada processo deve estar devidamente nomeado, conter a representação do
número de operadores que lá atuam e ser acompanhado por uma tabela de dados que pode conter
qualquer tipo de informação relevante que se deseje, tal como o tempo de ciclo, o tempo de Setup, o
rendimento da máquina, o tamanho do lote, etc.
Value
Stream
Mapping
Sistemas
Flexíveis
5S
Trabalho
Estandardizado
SMED
Jidoka
Total
Produtive
Maintenance
JIT
Heijunka
Visualizar o
processo
Organizar
instalações
Desenhar e implementar melhorias
nos processosinternos
Conectar com
abastecimento e
procura
22
No que respeita ao fluxo de material, a seta com cores intercaladas significa que este se dá de acordo
com uma metodologia Push, ou seja, que é iniciado por incentivo do processo anterior. Geralmente
significa que um processo produz um componente independentemente das necessidades do processo
seguinte, seguindo uma calendarização ou plano de produção, e estando desconectado das etapas a
jusante e a funcionar isoladamente. Esta situação origina a produção regularmente para stock, no curto
prazo, uma vez que os diversos processos não estão totalmente coordenados. A seta de cor única
significa que o fluxo material se dá de acordo com a metodologia Pull, ou seja, é iniciado por incentivo
do processo seguinte. Geralmente significa produzir exatamente o que o processo seguinte necessita no
momento em que é necessário.
No que respeita ao fluxo de informação, a seta regular representa informação que é passada
manualmente, isto é, que é transmitida pessoalmente ou através de papel ou símbolos de qualquer tipo.
A seta irregular representa informação que é passada eletronicamente, isto é, transmitida através de um
sistema informático.
23
Quadro 2.1 - Principais símbolos e representações utilizados nas ferramentas VSM e respetivo
significado
Fluxo de material - Paramapear o fluxo de material utilizam-se setas no sentidodaesquerdapara a direitaque
representam o caminho seguido pela matéria-prima dentro da instalação, entre processos oucom origem no
fornecedore destino no cliente.
Metodologia Push
Metodologia Pull
Fluxo de informação - Para mapear o fluxo de informação utilizam-se setas no sentido da direita para a
esquerdaque representam como cadaprocesso sabe o que produzir e quando produzir, especificando aorigem
dessainformação.
Informação manual
Informação eletrónica
Clientesefornecedores -Pararepresentarclientesefornecedoresutiliza-seoíconedeuma fábrica. Se setratar
de um fornecedor coloca-se o ícone no topo superior esquerdo, se for um cliente coloca-se no topo superior
direito. Deve ser acompanhado da especificação do respetivo nome e eventualmente das quantidades a receber
ou expedir.
Processos- Pararepresentar processosprodutivos utiliza-se uma“process box”que indicapor onde o fluxo de
material passa. A sua utilização destina-se ademonstraro que se consideraumaáreado processoprodutivo que
não estádiretamente ligada à áreaseguinte, sendo por esse motivo um processoindividual, com a utilização de
máquinas distintas e com acumulação de stock entre si.
Stock - Entre cada processoprodutivo geralmente existe acumulação de stocks que representam pontos onde o
fluxo pára, oupor outras palavras, é interrompido.Nestassituaçõesé utilizado um triângulo que determinauma
localização para cada ponto de acumulação de stock e a sua respetiva quantidade, podendo ser acompanhado
de informação relativaao tempo de espera.
Linha de tempo - A linha de tempo é utilizada para sumarizar as condições atuais da cadeia de valor,
representando o Lead-Time da produção que indica o tempo que um produto leva desde a receção da matéria-
prima até ser expedido para o cliente. A linha de tempo serve para comparar o Lead-Time da produção com o
tempo de valor acrescentado de cada produto.
24
2.3.3 METODOLOGIA TEÓRICA DO MAPEAMENTO
A construção de um mapa inicia-se por observação do funcionamento do sistema de produção atual ao
nível mais elementar possível, de forma a compreender o fluxo do produto e todas as suas etapas. Para
um correto mapeamento ROTHER E SHOOK (1998) sugerem a realização do seguinte conjunto de
procedimentos padrão que facilitam essa tarefa e a tornam mais flexível:
 A recolha da informação deve ser efetuada pelo responsável pela construção do mapa e deve ser
proveniente da observação direta dos fluxos de material e informação, percorrendo os caminhos
que os mesmos efetuam;
 O processo de recolha de informação deve ser antecedido de um conhecimento prévio do fluxo
do produto;
 A recolha de informação deve ser efetuada no sentido de jusante a montante, iniciando-se com o
envio do produto para o cliente e terminando na receção da matéria-prima. Desta forma a recolha
de dados começa nos processos mais ligados diretamente ao cliente;
 Devem ser recolhidos tempos por cronometragem e não tempos estandardizados uma vez que
estes últimos raramente refletem, com exatidão, a realidade do processo, sendo apenas viáveis
quando este ocorre totalmente bem;
 O mapeamento deve ser efetuado exclusivamente por uma pessoa, embora possam existir outros
envolvidos no processo, uma vez que o propósito passa por entender o fluxo e não os diferentes
segmentos do mesmo;
 O mapeamento deve ser efetuado manualmente, ou seja, a lápis numa folha branca simples
durante a observação das ocorrências, evitando deixar esta tarefa para mais tarde utilizando um
computador. Desta forma o mapeamento é feito sem atrasos e permite que o envolvido pense em
outras informações pertinentes durante o processo.
2.3.4 DESENVOLVIMENTO DO VSM
A utilização desta técnica consiste essencialmente em cinco grandes etapas distintas para que se torne
uma ferramenta de comunicação, de gestão do processo e, acima de tudo, uma ferramenta de mudança
dentro da empresa (ROTHER & SHOOK 1998). Estas cinco etapas podem ser observadas na Figura 2.4
que ilustra o método a seguir na utilização da ferramenta, onde se destaca o mapeamento do estado
futuro constituir o principal objetivo desta técnica, de conceber uma situação ideal para o fluxo produtivo
estudado e onde estão representadas as principais características do novo fluxo com as alterações
propostas.
25
Figura 2.4 - Método para utilização da ferramenta VSM - Adaptado de (Rother e Shook, 1998)
O desenvolvimento do mapa inicia-se com a determinação do fluxo de valor a ser melhorado e foca-se,
geralmente, nos produtos que se considera gerarem mais benefícios para a empresa. Para este(s)
produto(s) ou família de produtos inicia-se a construção do mapa do estado atual que explicita o seu
processo produtivo no momento e o seu modo real de funcionamento, assentando, fundamentalmente,
numa descrição clara do que é observado pelo responsável da tarefa.
Depois de o mapa estar construído procede-se à análise da situação atual, nomeadamente das atividades
NVA, incidindo, sobretudo, na identificação de desperdícios no sistema e das suas causas e
procurando soluções de melhoria (eventos Kaizen) com vista à construção de um mapa futuro. Este
inclui as alterações que se considera que melhorarão o fluxo de valor do produto e que reduzirão os
desperdícios, atendendo aos requisitos do cliente e eliminando a raiz das causas dos desperdícios
identificados no estado atual.
A projeção do mapa futuro deve sempre ser aplicável no objeto de estudo da empresa e a sua
implementação deve necessariamente ter como objetivo gerar benefícios. Esta última etapa passa pelo
desenvolvimento um plano de implementação detalhado que descreve as melhorias necessárias para
se alcançar o estado futuro. O esforço de mapeamento é simplesmente uma ferramenta enquanto a
implementação do plano é a chave para obter os efeitos desejados (THORSEN, 2004).
2.3.4.1 Etapa 1 - Seleçãoda família de produtos
Seleção da família de
produtos
Mapeamento do estado atual
Análise de desperdícios e eventos
Kaizen
Mapeamento do estado futuro
Plano de
implementação
26
Como anteriormente referido, o primeiro passo do desenvolvimento do VSM consiste em identificar as
famílias de produtos relevantes (ROTHER & SHOOK 1998), devendo a ferramenta ser aplicada onde se
espera que a sua utilização gere mais benefícios para a organização, centrando os esforços nos fluxos de
valor que exigem melhorias substanciais (XAVIER & SARMENTO, 2006).
Uma família de produtos pode, no entanto, ser composta por muitos produtos distintos e, por esse
motivo, é aconselhável que se considere a estrutura do produto mais representativa da família a ser
mapeada, cujo critério de seleção pode ser aquele que o investigador considerar mais correto no contexto
em estudo. A título de exemplo, poderá ser o produto que contenha o maior número de componentes, o
produto que represente a maior frequência e/ou volume de produção ou que seja responsável pela maior
parte da faturação da empresa, entre outros.
Quando se pretende utilizar esta ferramenta torna-se importante compreender a importância de focar a
atenção apenas numa família de produtos, uma vez que, do ponto de vista do cliente, este está interessado
em um produto específico e não em todos. Significa que é mais vantajoso mapear uma família de
produtos de uma forma detalhada de cada vez e retirar conclusões concretas para cada uma das mesmas
(ROTHER & SHOOK 1998).
A este respeito importa referir a diferença entre família de produtos e família de processos estabelecida
por KEVIN J. DUGGAN (2014):
 Família de produtos - é um grupo de produtos que passam por processos a jusante semelhantes
ou processos de montagem semelhantes;
 Família de processos - é um grupo de produtos que passam por processos compartilhados a
montante semelhantes.
Como se pode observar na Figura 2.5, os diferentes produtos estudados podem ser separados em famílias
de produtos ou famílias de processos conforme o seu percurso. O que se pretende na aplicação do VSM
é determinar famílias de produtos e, por esse motivo, a separação deve ter em conta os caminhos
seguidos nos processos a jusante, mas a forma como se efetua a separação dos produtos está, no entanto,
à escolha do investigador e este pode utilizar as técnicas que considerar mais adequadas.
27
Figura 2.5 - Diferenciação entre família de produtos e família de processos - Adaptado de Duggan
(2014)
Geralmente, e de acordo com a maioria dos autores na área, devem ser seguidos determinados passos
que passam pelo seguinte: 1) análise dos dados relativos às vendas da empresa utilizando, portanto, um
critério relativo à faturação para separação dos produtos em classes e seleção dos produtos da classe
mais relevante - classe A (análise ABC); 2) posteriormente, recorrendo a uma matriz do produto para
análise dos processos, efetuar para os produtos de classe A respetiva agregação em famílias, em função
da partilha de recursos a montante. Estas duas ferramentas para separação dos produtos em famílias
consistem essencialmente no seguinte (DUGGAN, 2014):
 Análise ABC - Esta ferramenta destina-se a determinar quais são os problemas que justificam a
realização de esforços e onde estão verdadeiramente as causas dos problemas a resolver. Assim,
os benefícios de focar os esforços em determinados produtos, concretamente em produtos de
classe A são mais evidentes, nomeadamente porque, muitas vezes, a forma de resolução dos
problemas para as diferentes classes não é a mesma. Por outro lado, as classes de produtos têm
diferentes métodos de alocação de custos (engenharia, supervisão, planeamento, contabilidade,
compras, etc.) e torna-se mais complexo efetuar a comparação dos mesmos. O processo de
análise ABC, cujos resultados padrão se apresentam na Figura 2.6, consiste em ordenar os
produtos por ordem decrescente de importância relativa em termos de faturação e em seguida
FamíliaA
FamíliaB
Recursos partilhados ajusanteRecursos partilhados amontante
28
determinar quais são aqueles que cumulativamente representam 80% da faturação. Estes
produtos são englobados na classe A e abrangem, tipicamente, 20% dos artigos vendidos. As
classes B e C englobam os produtos que representam, respectivamente, cerca de 15% e 5% da
faturação restante e abrangem, tipicamente, 30% (classe B) e 50% (classe C) dos artigos
vendidos. Depois de feita esta análise selecionam-se os artigos de classe A para utilização no
modelo;
 Matriz do produto (para os artigos de classe A) - Esta ferramenta é bastante útil e resulta da
análise das diferentes operações a que são submetidos os produtos para os separar em famílias
em função da sua cadeia de valor. A obtenção da matriz do produto faz-se pela observação do
fluxograma do processo, que mostra as relações entre os processos de fabrico, para estabelecer
prováveis produtos candidatos a cada família. A matriz consiste, fundamentalmente, numa tabela
que lista os produtos em linhas e os processos nas colunas e em que em cada célula na intersecção
se indica se existe uma relação de processo/produto (LEONE & RAHN 2014). Embora esta análise
não inclua vários fatores que podem ter impacto na decisão de incluir produtos dentro de famílias
(nomeadamente tempos de ciclo em cada etapa ou as rotas que o produto segue dentro da
instalação), para uma análise mais detalhada da possibilidade de um produto estar inserido na
cadeia de valor de uma determinada família, estes fatores podem, no entanto, ser incluídos numa
segunda iteração da matriz.
Figura 2.6 - Resultados padrão da análise ABC
2.3.4.2 Etapa 2 - Mapeamento do estado atual
O passo inicial para desenvolver um mapa do fluxo de valor é reunir os dados que refletem, de forma
explícita, a situação atual do processo (JASTI ET ALL 2013). Torna-se importante perceber que tipo de
informação se deve recolher sobre o processo e o que acontece no interior e entre cada etapa do processo
(SONDALINI). Este passo inclui a recolha de dados relativos ao fluxo de informação e ao fluxo físico do
produto escolhido (material e processos), bem como às medidas de desempenho ou indicadores, sendo
a sua documentação realizada para todo o fluxo de valor do produto (PATEL ET ALL 2015). No
0
80
95 100
0% 20% 50% 100%
Pesonafaturação(%)
Quantidade de artigos acumulada (%)
29
Quadro 2.2 listam-se vários exemplos típicos de medidas/indicadores de desempenho utilizados na
ferramenta VSM e outras informações passíveis de serem recolhidas para caracterizar o estado atual.
Neste processo de recolha de informação deve optar-se por selecionar as informações que, de entre um
conjunto de possibilidades, descrevem melhor o processo ou que são mais importantes no âmbito da
análise que cada empresa pretenda efetuar.
Depois de recolhida a informação que foi considerada pertinente procede-se à construção do mapa do
estado atual seguindo as seguintes etapas (PATEL ET ALL 2015) que serão seguidamente descritas:
1. Identificar o cliente e a procura;
2. Mapear o fluxo de processo;
3. Mapear o fluxo de informação;
4. Mapear o fluxo de material.
Quadro 2.2 - Exemplos típicos de medidas de desempenho e informações a recolher para
caracterizar o estado atual (adaptado de: LeanSix Sigma Metrics - How to measure improvementswithin
a process)
Medidas de desempenho
Lead Time
Tempo de ciclo
Tempo de atividades VA
Tempo de atividades NVA
Número de componentes em stock
Fluxo de informação
Informação que vem do cliente
Departamentos onde circulaa informação
Como é passada a informação entre etapas
Quanto tempo permanece a informação no sistemaantes de ser
processada
Fluxo de material
Onde são requeridos os produtos
Metodologia Pull/Push
Priorização First In - First Out (FIFO)
2.3.4.2.1 Identificação do cliente e da procura
Nesta etapa identificam-se o cliente e a suas necessidades, podendo ser detalhados alguns aspetos como
as datas de entrega requeridas, algumas especificações do produto, o tamanho dos lotes a enviar e o seu
conteúdo, etc. O cliente é identificado por um símbolo específico, tal como ilustrado no Quadro 2.1 e
na Figura 2.7 fazendo-se acompanhar de uma caixa de dados onde são inseridas as informações
necessárias (ROTHER E SHOOK, 1998).
Figura 2.7 - Exemplo de representação de uma caixa de dados de um cliente
30
2.3.4.2.2 Mapeamento do fluxo de processo
Este passo consiste na identificação e na representação dos processos básicos de fabrico que podem ser
definidos como os locais por onde o material flui e que terminam quando o material pára/fica retido.
Isto significa que sempre que existem esperas de material entre dois locais, então estes são considerados
processos básicos diferentes. A separação entre processos básicos pode, ainda, ser efetuada por
observação e de acordo com a intuição do responsável pelo mapeamento.
Cada processo é representado por uma “process box” tal como representada no Quadro 2.1 (ROTHER E
SHOOK, 1998). Por baixo de cada ícone de processo estão representadas caixas de dados onde são
registadas as medidas de desempenho previamente definidas, e entre cada processo estabelecidos os
locais de permanência do WIP, com informação acerca do componente produzido, da localização dos
stocks e da sua quantidade (NAZARENO ET ALL 2013). Na Figura 2.8 ilustra-se um exemplo de
representação de dois processos distintos com acumulação de stock entre eles.
Figura 2.8 - Exemplo de dois processos distintos com acumulação de stock entre si
2.3.4.2.3 Mapeamento do fluxo de informação
A terceira etapa do mapeamento do estado atual passa por entender de que forma cada processo sabe o
que produzir, quando produzir e em que quantidade. Desta forma torna-se necessário ilustrar de onde
provém essa informação e se é de origem eletrónica ou manual, especificando se é fornecida por algum
tipo de planeamento, a sua periocidade, etc. Na Figura 2.9 ilustra-se o modo de representação de
transmissão manual de informação por parte do planeamento e do controlo de produção, com base num
sistema de Manufacturing Resource Planning (MRP).
Figura 2.9 - Exemplo de transmissão de informação manual
MRP
Planeamento e controlo
da produção
31
2.3.4.2.4 Mapeamento do fluxo de material
Depois de se representar como cada processo obtém informação acerca do modo de produção, torna-se
necessário representar os movimentos de material no interior da instalação. Estes movimentos podem
ser diferenciados em “Pull” ou “Push” e distinguem-se pelo tipo de ícone utilizado para a sua
representação. Esta etapa de movimentação de material entre os processos finaliza a representação
básica do mapeamento do estado atual que descreve a situação do produto de uma forma compreensível
do ponto de vista da cadeia de valor e do ponto de vista do cliente. Na Figura 2.10 representa-se a
movimentação de material entre dois processos de acordo com uma metodologia Push.
Figura 2.10 - Exemplo de movimentação de material entre dois processos de acordo com a
metodologia Push
2.3.4.3 Etapa 3 - Análise dos desperdícios e eventos Kaizen
Na terceira etapa do VSM é efetuada uma análise do mapa de estado atual, são identificados os
desperdícios no sistema e, mais importante ainda, as causas desses mesmos desperdícios. Uma vez que
os desperdícios são apenas sintomas que apontam para a existência de problemas no fluxo de valor, é
apenas a identificação das causas profundas dos mesmos que conduz à eliminação de problemas e à
prevenção da sua recorrência (THORSEN, 2004). Sinteticamente, o propósito desta etapa consiste em
analisar o mapa do estado atual e identificar melhorias para a redução de desperdícios utilizando, para
o efeito, princípios inerentes ao pensamento Lean (PARIHAR ET ALL, 2014).
2.3.4.3.1 O que torna uma cadeia de valor “Lean”
Um dos pilares do pensamento Lean é o conceito associado à quantidade que um determinado
processo deve produzir e quando o deve produzir, de tal forma que o processo seguinte obtenha
exatamente aquilo que necessita e quando necessita (JIT). Este conceito, quando implementado, resulta
numa ligação perfeita entre todos os processos, desde o cliente final até à matéria-prima, através de um
fluxo que permite obter, de uma forma generalizada, valores de Lead Time mais reduzidos, melhor
qualidade e menores custos.
32
A forma de entender como se pode aplicar este conceito na cadeia de valor analisando o mapa do estado
atual é sustentada por um conjunto de conceitos e linhas orientadoras a analisar durante a etapa Kaizen
que proporcionam uma forma de aproximar a cadeia de valor aos princípios Lean e ajudar na definição
de melhorias. A um nível elementar existem dois conceitos que merecem especial atenção durante esta
etapa da ferramenta VSM (ROTHER E SHOOK, 1998):
 Processos da cadeia de valor que atuam isoladamente - quando um processo produz um
determinado componente e funciona de acordo com a metodologia Push, seguindo as ordens de
um plano de produção em vez das necessidades a jusante; esta forma de atuar origina stocks
excessivos de produtos em vias de fabrico e tempos de espera elevados;
 Desperdícios - material em espera, stocks intermédios, excesso de produção, entre outros; são
considerados desperdícios do ponto de vista da cadeia de valor e ajudam a esconder defeitos que
serão detetados apenas nas fases finais da cadeia, para além de adicionarem custos elevados ao
produto e de aumentarem, em grande escala, o seu Lead Time (no Quadro 2.3 estão listados os
sete desperdícios em Lean).
Quadro 2.3 - Os sete desperdícios em Lean (adaptado de: Parihar et all, 2014)
Os sete desperdícios em Lean
Excesso de produção
Esperas
Transporte
Processamentoincorreto
Excesso de stock
Movimentos desnecessários
Defeitos
Para tornar uma cadeia de valor “Lean” é sugerida uma análise dos dois pontos atrás referidos e um
conjunto de linhas orientadores padronizadas (explicitadas a seguir) para conseguir, em primeiro lugar,
interligar os processos da cadeia de valor e, em segundo lugar, eliminar desperdícios indesejados
2.3.4.3.2 Produzir de acordo com o Takt time
A produção ao ritmo do Takt time significa definir um tempo de ciclo máximo que deve ocorrer entre
dois produtos acabados com o objetivo de corresponder à procura do cliente. Desta forma consegue-se
sincronizar o ritmo de produção com o ritmo das vendas, especialmente no processo definido como
Pacemaker (PM).
33
A definição do Takt time fornece uma noção clara da taxa de produção ideal em cada processo, para
além de tornar possível demonstrar quais são os pontos em que se devem introduzir melhorias por
comparação com o ritmo de produção atual. Este valor e dado por:
𝑻𝒂𝒌𝒕 𝑻𝒊𝒎𝒆 =
𝑻𝒆𝒎𝒑𝒐 𝒅𝒊𝒔𝒑𝒐𝒏í𝒗𝒆𝒍 𝒑𝒐𝒓 𝒕𝒖𝒓𝒏𝒐
𝑵𝒆𝒄𝒆𝒔𝒔𝒊𝒅𝒂𝒅𝒆𝒔 𝒑𝒐𝒓 𝒕𝒖𝒓𝒏𝒐
2.3.4.3.3 Introduzir fluxo contínuo sempre que possível
Este conceito refere-se à produção de um componente que passa para o processo seguinte o mais
rapidamente possível, ou seja, com o mínimo tempo de estagnação possível. Com a introdução de
medidas que atendam a este conceito obtém-se a redução do Lead Time do produto, nomeadamente com
a aplicação da metodologia Pull e FIFO.
2.3.4.3.4 Utilizar supermercados Pull para controlar a produção em locais onde o fluxo contínuo
não se estende
Existem alguns locais no fluxo em que não é possível estabelecer continuidade e a produção para lotes
é mais indicada pelos seguintes motivos:
 Os processos estão projetados para operar a uma determinada velocidade e a existência de várias
famílias de produtos complica o fluxo;
 Pode ser irrealista libertar apenas um componente para o processo seguinte;
 O Lead Time de um processo pode ser substancialmente diferente do seguinte, o que levaria à
sua conjugação em fluxo inviável.
A solução para estas situações passa pelo controlo da produção através implementação de
supermercados com sistemas Pull. Estes sistemas providenciam uma instrução de produção mais correta
aos processos a montante através de diversas ferramentas simples:
 Sistema de cartões Kanban;
 Sistema de produção FIFO (alternativa aos supermercados Pull);
 “Sequenced Pull ball”.
2.3.4.3.5 Disponibilizar o plano de produção ao mínimo de processos possível
Com a utilização de supermercados Pull torna-se necessário disponibilizar o plano de produção a apenas
um processo do fluxo (Pacemaker), no qual se determina a produção nos processos a montante e onde
as flutuações nas necessidades afetam as etapas anteriores. A partir deste ponto (Pacemaker), a produção
ocorre em fluxo com a utilização da metodologia FIFO.
34
2.3.4.3.6 Nivelar o mix de produtos
De uma forma geral, parece ser mais eficiente produzir grandes quantidades de cada produto de cada
vez, de forma a evitar as operações de Setup, o que, no entanto, pode revelar-se um problema do ponto
de vista da cadeia de valor. É neste contexto que surge o conceito de nivelamento do mix de produtos,
que significa reduzir o tamanho dos lotes alternando entre diferentes produtos no PM, tendo como
consequência garantir uma maior flexibilidade e um menor Lead Time, bem como reduzir o WIP em
toda a cadeia. As noções básicas do nivelamento consistem em reduzir, tanto quanto possível, o tempo
de Setup para reduzir o tamanho dos lotes.
2.3.4.3.7 Criar um sistema inicial Pull com ritmos de trabalho definidos no Pacemaker
Ao estabelecer um ritmo de trabalho consistente torna-se mais simples criar fluxo. A criação de um
sistema inicial Pull com ritmos de trabalho definidos no PM consegue-se instruindo o processo para
produzir durante um determinado tempo e retirando, simultaneamente, os componentes produzidos
durante esse tempo para o processo seguinte. A quantidade a produzir (Pitch), pode ser calculada, por
exemplo, a partir da quantidade máxima que uma palete pode suportar e, posteriormente, transportar e
é dada pela seguinte equação:
𝑷𝒊𝒕𝒄𝒉 = 𝑻𝒂𝒌𝒕 𝑻𝒊𝒎𝒆 ∗ 𝑪𝒂𝒑𝒂𝒄𝒊𝒅𝒂𝒅𝒆 𝒑𝒂𝒍𝒆𝒕𝒆
Assim, para cada Pitch é dada uma instrução de produção ao processo e uma instrução de retirada do
lote ao operador. Esta é, também, uma forma de garantir o controlo mais eficiente da produção porque
as avaliações ao desempenho do processo podem ser feitas de acordo com o ritmo Pitch, mantendo a
noção do grau de aproximação dos processos ao Takt time.
2.3.4.3.8 Determinação do processo Pacemaker
O PM consiste no processo que é definido por marcar o ritmo do fluxo de valor e por determinar a
velocidade a que a cadeia irá operar, representando, por vezes, o “gargalo” do processo. Este deve ser o
único ponto de calendarização no sistema de produção e o processo que determina o ritmo de produção
para o resto do sistema.
Numa situação em que se baseie a calendarização num único ponto, é exigida alta flexibilidade de
produção e, geralmente, este ponto localiza-se no processo de montagem final, o que constitui uma boa
prática por ser relativamente fácil de controlar e porque a linha deve produzir produtos acabados à taxa
do tempo do ciclo (Takt time). Por outro lado, cada sistema tem o seu próprio PM que pode ser definido
como o recurso mais carregado ou o centro de trabalho do sistema que limita o rendimento global da
produção (Bottleneck Process - BN). Embora de acordo com a Teoria das Restrições este processo deva
ser aquele que define o ritmo de produção, a mesma teoria considera que, num ambiente de
implementação da metodologia Lean, o PM e o BN não têm que ser coincidentes.
35
Outro conceito importante que se relaciona com o PM e que é relevante neste contexto é o Order
Decoupling Point (ODP), que é um conceito-chave na conceção de sistemas de produção e que é
definido como o ponto no qual o sistema cruza a fronteira entre Made-To-Stock (MTS) e Made-To-
Order (MTO). Deste ponto em diante, o produto será marcado a uma ordem específica de venda. O que
precisa de ser especificamente identificado são os fatores que afetam o posicionamento deste ponto
devido à procura, do volume e da variabilidade da produção.
No entanto, se o enquadramento existente for um ambiente de produção HM está-se perante uma
filosofia de produção com base em pedidos de clientes e, desta forma, a localização do ODP mais a
montante do fluxo produtivo implica tempos de entrega mais longos embora, tenha a vantagem de
reduzir ou eliminar stocks intermédios. Neste sistema torna-se lógico colocar o PM à direita do ODP
para que, quando é lançada uma encomenda com base em pedidos de clientes, a produção, a montante,
seja desencadeada através de sistemas de supermercado Pull e, a jusante, através da filosofia FIFO até
envio para o cliente (Serrano et all, 2009).
2.3.5 ETAPA 4 - MAPEAMENTO DO ESTADO FUTURO
O mapeamento do estado futuro representa a forma como o fluxo de valor deve ocorrer após a
implementação das melhorias sugeridas. Resulta da análise do fluxo de valor atual e da conceção de
várias propostas para redução das atividades NVA que foram identificadas (PARIHAR ET ALL 2014).
Trata-se, portanto, de um mapa que sugere um fluxo de valor Lean (GORIWONDO ET ALL 2011).
Este mapa é o projeto de um estado ideal que deve poder tornar-se uma realidade no curto prazo e que
permite uma cadeia de valor onde os processos individuais estejam mais conectados com o cliente
através de um fluxo contínuo ou sistema Pull e que cada um deste processo se aproxime mais das
necessidades reais de produção. É necessário, por estes motivos, elaborar um mapa que esteja ao alcance
das possibilidades existentes e que permita, efetivamente, o estabelecimento de objetivos atingíveis
(ROTHER E SHOOK, 1998).
2.3.6 ETAPA 5 - PLANO DE IMPLEMENTAÇÃO
A representação da cadeia de valor é apenas uma ferramenta que deve permitir a sua implementação
num curto espaço de tempo, caso contrário, torna-se obsoleta. Por esse motivo, o plano para atingir os
objetivos futuros deve estar documentado e fundamentado, sendo dividido em três etapas distintas
(ROTHER E SHOOK, 1998).
Etapa 1 - Divisão da implementação em fases: As propostas de melhoria podem por vezes ser extensas
no sentido em que cobrem grande parte das instalações ou processos e por esse motivo devem ser
divididas em fases. Cada uma destas fases deve estar devidamente definida e sinalizada, sendo
estabelecidos objetivos e metas para cada uma. Estas compreendem essencialmente dois grupos:
36
 Fase PM - Compreende o fluxo de material e informação entre o PM e o cliente final.
 Fases a montante - Compreende geralmente várias etapas, cada uma representando um sistema
de Supermercados Pull.
Etapa 2 - Plano para a cadeia de valor: O mapa futuro demonstra claramente o que se pretende obter,
mas torna-se necessário definir como se pretende obter as melhorias através de um documento de
demonstre alguns aspetos que tornam credível o plano de implementação nomeadamente contendo as
seguintes informações.
 O que se pretende fazer com exatidão;
 Objetivos propostos;
 Datas e metas concretas.
Etapa 3 - Avaliação de desempenho: Desenvolvimento de um método para a valiação das
implementações
2.4 LEAN EM CONTEXTOS HIGH MIX
2.4.1 MADE-TO-ORDER LEAN
Atualmente as empresas são confrontadas com grandes oscilações na procura e com a necessidade de os
clientes adquirirem bens personalizados e diversificados, o que obriga as empresas a adaptar-se a este
contexto e a adequarem o seu sistema produtivo. Os sistemas produtivos que procuram dar resposta a
estas solicitações são característicos de empresas que produzem produtos de engenharia personalizada,
em pequenos lotes e/ou que têm uma ampla variedade de opções e combinações de especificações, não
podendo constituir stocks para todos eles. Nestes sistemas que se caracterizam por possuir uma grande
flexibilidade para fornecer um elevado mix de produtos, os problemas surgem no controlo da produção
e dos fluxos e nem todas as estratégias de controlo são aplicáveis a este tipo de ambiente (KUAN ET ALL
2015).
Por este motivo, como extensão da metodologia tradicional Lean, surgiu um conceito inovador e
adaptado a contextos HM designado por Made-To-Order Lean (LANE, 2007) que se apoia num conjunto
de ferramentas práticas que auxiliam à eliminação de desperdícios nestes ambientes. As ferramentas
adaptadas incluem uma visão diferente da aplicação dos eventos Kaizen no contexto de uma análise com
a ferramenta VSM, configurando-se como uma série alternativa de linhas orientadoras para definir um
mapa futuro com características “Lean” que é mais correto do ponto de vista da sua adequação a um
ambiente HM.
Estas linhas orientadoras consistem num método sequencial de aplicação de medidas de controlo da
produção (que se indicam na Figura 2.11) e baseiam-se na utilização de gráficos de implementação HM,
seguidos da introdução de um sistema de gestão visual, da associação de um tempo a cada trabalho e da
utilização de quadros FIFO ou Day-by-Hour (PARIHAR ET ALL).
37
Figura 2.11 - Linhas orientadoras para implementação do Made-to-Order Lean em ambientes HM
Os conceitos e objetivos dessas linhas orientadoras são os seguintes:
 Gráfico de implementação HM - Trata-se de uma ferramenta personalizada utilizada para a
implementação do Lean em atividades de fabrico em ambientes HM que fornece informações
úteis tais como a priorização de tarefas e requisitos de qualidade dos produtos e sugere diferentes
orientações para lidar com situações de decisão, fornece feedback para muitas das questões, entre
outros;
 Sistema de gestão visual - Embora este sistema possa ser considerado excluído do âmbito da
utilização da ferramenta VSM, o mesmo é importante para a gestão em tempo real, tanto para os
processos industriais como para o planeamento, porque permite compreender, de forma clara e
rápida, o estado do sistema num ambiente HM em que existem grandes dificuldades em priorizar
a alocação dos recursos (limitados). Pressupõe a utilização de cores para a compreensão imediata
do sistema, podendo a gestão visual ser dividida em três áreas: métricas, gráficos e quadros de
fluxo de valor;
 Associação de um tempo a cada trabalho - Cada trabalho deve ser medido, controlado e
melhorado para aumentar a eficiência neste tipo de ambiente e para obter um melhor
planeamento;
 Utilização de quadros FIFO e Day-by-Hour - Trata-se do método mais adequado para gerir
processos compartilhados por muitos produtos diferentes onde, geralmente, é difícil trabalhar
com previsões. Indicam o estado do sistema, nomeadamente o contraste entre o plano de
produção e a situação atual, e constituem, também, uma forma de incentivar os operadores a
registar os problemas que causam atrasos.
Utilização de quadros FIFO ou Day-
by-Hour
Gráfico de implementação HM
Introdução de sistemade gestão
visual
Associação de um tempo a cada
trabalho
38
2.4.2 QUICK RESPONSE MANUFACTURING (QRM)
Na nova abordagem Made-to-Order Lean nasce um outro conceito como estratégia competitiva
alternativa ao Lean tradicional que serve os mercados do século XXI. Este conceito é Quick Response
Manufacturing (QRM), que consiste numa estratégia que engloba toda a organização e que procura a
redução do Lead Time dos produtos. Especificamente, do ponto de vista do cliente, significa responder
às necessidades do mesmo através da rápida conceção e fabrico de produtos personalizados; do ponto
de vista operacional centra-se na redução dos Lead Times entre todos os processos, resultando em melhor
qualidade, custo inferior e, naturalmente, um tempo de resposta rápida. Estes objetivos são perseguidos
e atingidos através de uma metodologia faseada e de uma gestão detalhada e de métodos de fabrico, de
técnicas de análise e de ferramentas que usam conceitos básicos de dinâmica de sistemas (SURI, 1998).
2.4.2.1 Diferenças entre Lean e QRM
Existem algumas diferenças substanciais entre o conceito inerente ao Lean Manufacturing e ao QRM,
salientando-se, desde logo, o seu objetivo: em Lean o principal objetivo consiste na redução dos
desperdícios através da utilização de um sistema Pull, com foco nos processos industriais; em QRM o
principal objetivo passa pela redução do Lead Time, utilizando-se sistemas que incluem as vantagens de
ambas as metodologias Pull/Push, extravasando as estratégias inerentes apenas ao sistema produtivo.
Existem, também, outros princípios que diferenciam estas abordagens que se explicitam no Quadro 2.4
(SURI, 2003).
Quadro 2.4 - Princípios em QRM em contraste com o pensamento Lean tradicional
QRM Pensamento Lean
Determinar formas totalmente novas de concluir um
trabalho com o foco na minimização do Lead Time.
Trabalhar mais rápido, durante mais horas para
concluir o trabalho mais cedo.
Estrategicamente planear um nível de trabalho a
70/80%.
Para concluir trabalhos o mais rapidamente
possível devem-se manter as máquinas e as
pessoas ocupadas todo o tempo.
Medir a redução Lead Time e fazer desta a principal
medida de desempenho.
Para reduzir o Lead Time a eficiênciatem de ser
melhorada.
Medir e premiar a redução dos Lead Times. Grande importânciadas entregas a tempo entre
cada departamento.
Utilizar MRP para o planeamento de alto nível e
coordenação de materiais. Reestruturar os processos em
células orientadas para o produto. Complementar este
sistemacom cartõesPOLCA.
Instalar um MRP para ajudar na redução do Lead
Time.
Motivar os fornecedores paraimplementar QRM
resultando em pequenas entregas e prazos de entrega
curtos.
Produtos com Lead Time elevado devem ser
encomendados em grandes quantidades e com
desconto de quantidade.
2.4.2.2 Alternativa ao sistema Pull
39
A utilização num ambiente HM de um sistema Pull puro, tal como abordado em metodologias Lean,
através da criação de um fluxo sincronizando entre todos os processos na empresa para o Takt time nem
sempre funciona porque num ambiente de elevada variabilidade não é possível equilibrar este indicador.
Com o objetivo de controlar o WIP e, ao mesmo tempo, utilizar uma metodologia Pull, pode ser utilizado
o sistema de cartões POLCA em detrimento do Kanban.
O sistema de cartões POLCA que apoia a abordagem global QRM para as empresas que servem
ambientes HM, consiste num método de controlo de material. Este sistema, apesar de ter um âmbito de
aplicação diferente, tem algumas semelhanças com o Kanban tradicional uma vez que exige rotas
estáveis de produtos e a utilização de um cartão. É um sistema de células de trabalho emparelhadas,
contendo cartões de autorização de produção, que funciona num mix de Pull/Push e que pretende
controlar o WIP entre dois processos da seguinte forma (SURI, 2003):
 A calendarização da produção é efetuada através de uma autorização de produção a um
determinado processo; esta autorização não significa uma ordem de fabrico, tratando-se
simplesmente de uma especificação do produto a efetuar, nomeadamente as suas quantidades,
especificações, etc.;
 Cada par de células de trabalho sequenciais (processo 1 e 2) tem um número determinado de
cartões POLCA destinados ao seu emparelhamento (na Figura 2.12 apresenta-se um exemplo da
representação de um cartão POLCA no âmbito da utilização da ferramenta VSM));
 No processo 1 tem de existir um cartão POLCA 1/2 disponível para que o trabalho se inicie e
seja expedido para o processo 2, cujas especificações foram dadas pela autorização de fabrico;
se existir um cartão 1/2 disponível no processo 1, significa que a operação seguinte tem
capacidade de processar um pedido momentaneamente;
 Após o trabalho no processo 1 estar completo este é transportado para o processo 2 e o cartão
POLCA acompanha este movimento;
 No processo 2, o trabalho apenas pode começar se existir um cartão POLCA correspondente ao
emparelhamento 2/3 e se existir uma autorização de fabrico;
 Cada cartão viaja com o lote de fabrico durante três processos e após o trabalho estar efetuado
no processo 3, o cartão é devolvido ao processo 1.
1/2
40
Figura 2.12 - Ícone utilizado para representar a utilização do Sistema POLCA em VSM
2.4.2.3 Vantagens do sistema POLCA em detrimento da metodologia Push (MRP) e Pull
(Kanban)
A utilização de células de trabalho é um pré-requisito para o fabrico competitivo e este sistema baseia-
se na estrutura celular dentro das instalações para proporcionar um mecanismo simples e permitir que
estas trabalhem em conjunto de forma eficaz.
Em primeiro lugar, o sistema POLCA auxilia na gestão das flutuações de curto prazo e na redução do
WIP, assegurando que cada processo só funciona para produtos que são destinadas a processos a jusante
e que serão capazes de trabalhar proximamente no mesmo produto. Por outras palavras, se não estiver
disponível um cartão POLCA de um processo a jusante, significa que este processo ainda está ocupado
e estará durante algum tempo. Neste caso, produzir para esse mesmo processo apenas irá aumentar o
WIP no sistema.
Em segundo lugar, a utilização de um sistema MRP em combinação permite realizar uma variedade de
especificações de produtos através de rotas específicas, e garante que a empresa não produz apenas
porque esses produtos têm um sinal Pull, mas porque existe uma procura explícita dos mesmos.
Em terceiro lugar, estes cartões não estão ligados a tipos de peças. Este conceito assegura que não há
proliferação de stocks em empresas que fazem uma grande variedade de produtos ou componentes.
Essencialmente o Kanban é um sistema de reabastecimento, que exige um nível de stock base de cada
componente, que é reabastecida quando a peça é usada. Num ambiente HM poderia resultar numa
enorme quantidade de stock (Suri, 2003).
Tal como no sistema de cartões Kanban, existe um valor ótimo para o número de cartões POLCA em
cada emparelhamento de forma a controlar o WIP.
A fórmula utilizada para o efeito, determina o número de cartões que devem existir entre dois processos,
A e B, baseando-se em registos históricos da empresa respeitantes ao Lead Time médio de ambos os
processos, ao horizonte de planeamento da empresa, e à quantidade de obras que fluem entre A e B
durante esse horizonte de planeamento, sendo definida da seguinte forma:
𝑵º 𝑨𝑩 =
𝑳𝒆𝒂𝒅 𝑻𝒊𝒎𝒆 𝑨 + 𝑳𝒆𝒂𝒅 𝑻𝒊𝒎𝒆 𝑩 ∗ 𝒏
𝒕
 n - Quantidade de obras através do fluxo AB durante t
 t - Horizonte de planeamento
 Lead Time - valor médio do Lead Time para os processos
41
42
3 DESCRIÇÃO DA FARAME S.A.
No presente capítulo apresenta-se a empresa onde foi efetuado o estágio curricular, a FARAME S.A.
(doravante abreviadamente designada por FARAME), e descrevem-se os principais aspetos do seu
funcionamento com relevância para o objeto de estudo.
3.1 CARACTERIZAÇÃO GERAL E ETAPAS PRODUTIVAS
A FARAME é uma empresa portuguesa com 30 anos de existência que pertence ao grupo francês
Phoenix e que se dedica ao desenvolvimento, fabrico e comercialização de produtos metálicos para
utilização na grande distribuição e logística. Fundada em 1983 no concelho de Sintra, possui uma
unidade fabril com cerca de 8 mil metros quadrados de área coberta, de um total de 20 mil metros
quadrados, empregando atualmente cerca de 160 colaboradores e possuindo uma faturação anual que se
situa na ordem dos 7,5/8 milhões de euros anuais.
O esquema geral de produção compreende, sumariamente, a etapa de transformação que inclui diversas
operações mecânicas, a etapa de acabamento, que inclui operações de revestimento de superfícies como
a zincagem e pintura, e a etapa final de montagem dos artigos.
Apostando em elevados padrões de exigência em vários domínios, a FARAME obteve, ainda durante
os anos 90 do século passado, diversas certificações dos sistemas de gestão integrada de qualidade,
ambiente e segurança que foram sendo implementados na empresa (ISO 9001, ISO 14001 e OHSAS
18001).
Com vista a tornar-se competitiva e a crescer, a FARAME dotou-se de uma capacidade produtiva e de
meios que lhe permitiram tornar-se uma referência nesta indústria. Um dos grandes trunfos desta
organização passa, essencialmente, pela engenharia de desenho e de desenvolvimento, altamente
competitiva e especializada, que é aplicada na criação de produtos inovadores com características
sofisticadas. A este aspeto, acresce a capacidade de personalização de produtos da empresa em conjunto
com os seus clientes, tornando possível, desta forma, encontrar soluções concebidas à medida. Mais
recentemente, com a preferência de alguns clientes em utilizar produtos de origem plástica, a FARAME
passou também a integrar produtos metálicos com outros de outra natureza.
Dispõe de dois departamentos comerciais, um exclusivamente orientado para o seu maior mercado, o
de exportação, e outro orientado para o mercado ibérico.
A empresa procurou, desde a sua criação, dispor de tecnologias modernas para a indústria
metalomecânica e, particularmente, para o trabalho com arame. Presentemente possui diversos tipos de
maquinaria automatizada e células robotizadas de soldadura por resistência elétrica ou por MIG-MAG.
Dispõe, também, de uma linha de pintura completamente automática e de duas linhas de zincagem
eletrolítica que permitem realizar três tipos diferentes de passivação (azul, amarela e verde) e,
opcionalmente, uma camada final de selante.
43
A diversificação dos mercados e a flexibilidade produtiva disponível permitiram à FARAME apostar
em diversos segmentos de mercado, designadamente os seguintes:
 Distribuição - o segmento da distribuição abarca todos os equipamentos para supermercado
tais como os carros de supermercado, cash &carry, cestos para estantes, expositores, etc.;
 Automóvel - no segmento automóvel inserem-se produtos utilizados exclusivamente para a
indústria automóvel, nomeadamente contentores standard e específicos;
 Logística e transporte - no segmento da logística e transporte geral estão contemplados os
contentores e Roll (contentores com rodas) em arame utilizados para o transporte e
armazenamento de todo o tipo de produtos;
 Logística dedicada - no segmento da logística dedicada inserem-se os produtos utilizados para
a logística dirigidos para as necessidades específicas dos clientes; a título de exemplo podem
referir-se produtos como os contentores para a vitivinicultura, contentores para os correios
portugueses, franceses e suíços, contentores para a distribuição de cartas e encomendas, entre
outros.
Para a sua gestão e planeamento, a empresa utiliza um sistema informático denominado por Movex.
Trata-se de uma base de dados e de um sistema Manufacturing Resource Planning (MRP) que serve,
simultaneamente, como forma de comunicação entre os processos e como forma de controlo dos
trabalhos. Este sistema informático emite ordens de fabrico manuais aos diversos processos que seguem
a sequência que lhes foi atribuída apesar de, em diversas circunstâncias, este plano produtivo poder ser
alterado pessoalmente. Este sistema de gestão está dividido em módulos, cada um com seu propósito
específico, e cuja aplicação em conjunto permite obter ferramentas fundamentais de gestão do negócio
e de processos industriais, sendo possível, também, no sistema estabelecer objetivos, indicadores,
monitorizar resultados, controlar a produção, verificar a eficiência de processos e dados, o desempenho,
a satisfação dos clientes, entre outros.
Em termos gerais, qualquer produto que seja encomendado à empresa passa por cinco etapas distintas
(à exceção de produtos standard) que, em conjunto, se designam por fluxo da produção. Estas etapas
que poderão variar consoante o produto, ou não existir, e que se encontram representadas na Figura 3.1,
são de um modo geral as seguintes:
1. Conceção e desenvolvimento - após a encomenda de um cliente são efetuados desenhos e
protótipos do produto para testes;
2. Preparação/programação - inclui, se necessário, encomenda de matéria-prima, planeamento da
produção e programação/Setup das máquinas;
3. Receção de matéria-prima - quando as encomendas o justificam;
4. Processamento industrial - englobam todo o fluxo de valor do produto/componente no que diz
respeito à sua transformação;
44
5. Montagem - diz respeito à junção dos componentes fabricados na empresa por processos
industriais ou encomendados ao exterior como, por exemplo, parafusos ou rodas.
Figura 3.1- Sequência de etapas desde a encomenda do cliente até ao produto acabado
Em cada uma das etapas são utilizados diferentes meios para obtenção do produto final, destacando-se
em seguida alguns métodos, ferramentas e máquinas que são mais relevantes:
 Conceção e desenvolvimento - Nesta desta etapa utilizam-se, essencialmente, dois métodos:
1. Engenharia de conceção;
2. CAD (SOLID WORKS) e sector de protótipos, com interface para receber desenhos ou
diagramas detalhados;
 Preparação e programação - Comunicação do projeto e utilização do sistema informático da
empresa, designadamente:
1. MRP;
2. Programação informática ou manual das máquinas;
 Receção de matérias-primas;
 Processos industriais - Para a realização dos processos industriais a empresa dispõe dos
seguintes equipamentos:
1. Corte ................................................3 máquinas
2. Dobragem .........................................3 máquinas CNC LATOUR
3. Soldadura..........................................5 Robots ABB;
5 Máquinas semiautomáticas
2 Células robotizadas ABB
4. Soldadura elétrica ..............................Máquina CNC
5. Soldadura por resistência....................2 máquinas IDEAL CNC
6. Soldadura elétrica por resistência ........23 Máquinas
7. Pintura..............................................2 instalações automáticas
Conceção e
desenvolvimento
Preparação/
programação
Receção de
materiais
Processos
industriaisMontagem
Encomenda
Peças
encomendadas
Produto acabado
45
8. Zincagem..........................................2 instalações automáticas
 Montagem - Montagem manual dos componentes e embalamento para expedição.
3.2 SERVIÇOS E PRODUTOS ESPECÍFICOS
Como anteriormente referido a FARAME produz um conjunto muito diversificado de produtos
metálicos para utilização na grande distribuição e logística, de que apresentam alguns exemplos
representativos na Figura 3.2, e que se podem agrupar por tipologia de utilização ou por segmento de
mercado, tal como se descreve em seguida.
 Carros de supermercado - A FARAME dispõe de uma vasta oferta de Carros de Supermercado
e de Carros de Mercadorias, com maior ou menor especificidade. São desenvolvidos com
particular atenção às questões de segurança, de ergonomia e de durabilidade e são concebidos
para apresentarem elevados níveis de qualidade e oferecer um design exclusivo;
 Rolls ou contentores rolantes - Os Rolls ou Contentores Rolantes são especialmente indicados
para o transporte manual de mercadorias no Comércio e na Indústria pelo auxílio que prestam
nas tarefas relacionadas com os aprovisionamentos. Na empresa são produzidos, uma vasta de
gama de Rolls com diferentes dimensões, capacidades de carga e sistemas de funcionamento,
sendo ainda fabricados modelos específicos por encomenda dos clientes;
 Contentores - Os Contentores produzidos destinam-se a várias aplicações, sendo utilizados,
especialmente, para fins logísticos, desde o armazenamento ao transporte, passando pela
exposição de produtos. Estes Contentores, maioritariamente produzidos em arame, oferecem
uma excelente robustez e capacidade de carga, elevada funcionalidade, otimização de espaço e
fácil monitorização visual das mercadorias;
 Bases - A FARAME fabrica Bases para o armazenamento e transporte de mercadorias, sendo
especialmente indicadas para a movimentação de lotes de produtos pré-embalados. A escolha
pode ser feita consoante a dimensão e capacidade de carga mais adequada, podendo possuir, ou
não, rodízios ou, ainda, ser dotados de sistema de atrelagem;
 Expositores - Os Expositores destinam-se à exposição de produtos, particularmente contentores
de pequena dimensão, mesas, estantes e cestos sobreponíveis.
 Serviço postal - Os Contentores para Serviço Postal são concebidos e fabricados de raiz ou
partindo de modelos pré-concebidos. São especialmente indicados para o transporte e o
armazenamento de correio postal sendo-lhes dada grande atenção no que respeita aos fatores da
segurança, ergonomia e funcionalidade.
 Produtos para a Indústria vinícola - Os Contentores para a indústria vinícola são específicos
para acondicionamento de garrafas de vinho e champanhe.
 Produtos para a Indústria automóvel - Para a indústria automóvel são produzidos
Contentores standard e outros produtos de apoio à logística e produção, contando a FARAME
46
entre os seus clientes alguns dos maiores fabricantes mundiais neste domínio, tais como a PSA,
a Renault e a Nissan. A empresa desenvolve ainda Contentores Específicos para este sector,
recorrendo ao seu Departamento de Desenvolvimento e Engenharia, em colaboração com os
clientes.
Carros de supermercado Contentores Expositores
Bases Indústriavinícola Rolls ou contentores rolantes
Figura 3.2 - Exemplo de produtos fabricados na FARAME e respetivos segmentos
3.3 SISTEMA DE PRODUÇÃO
O sistema de produção da empresa é acionado pelo cliente, o que significa que o processo produtivo é
iniciado com base nas necessidades reais de encomendas, tratando-se, teoricamente, de um sistema Pull.
Neste tipo de sistema a produção está organizada e orientada para produzir exatamente o que o cliente
precisa, ao ritmo exigido e determinado pela capacidade e disponibilidade dos equipamentos, não
existindo por este motivo constituição de stocks.
Num sistema puro de Pull (teoricamente), cada processo “puxa” o antecedente, num efeito em cadeia,
que se repercute até ao início sem que seja necessária a troca de informação entre o planeamento e os
processos. Destacam-se, desde logo, algumas características que podem caracterizar este sistema tais
como o melhor controlo do WIP e a redução dos níveis de stocks, que geram custos elevados. Com a
utilização do princípio de Pull não só a produção como também a logística só são ativados na cadeia de
valor quando a encomenda do cliente é efetuada para, assim, se conseguir sincronizar a produção com
a logística e com o “ritmo” do cliente. Uma vez que os produtos são fabricados de uma forma
completamente sequencial para responder ao pedido do cliente, este sistema cria uma pressão elevada
para manter os lead-times reduzidos, o que, se por um lado, pode ser interessante na medida em que
47
promove o aumento da produtividade, mas por outro lado, requer um padrão de procura estável e uma
liderança forte, tanto para manter a eficácia do processo como para o melhorar.
Ora esta não é verdadeiramente a situação no caso da FARAME uma vez que não existe um fluxo Pull
puro e existe comunicação direta entre o planeamento e todos os postos de trabalho, sendo as atividades
coordenadas posteriormente entre si. A empresa não consegue operar da forma teoricamente mais
eficiente sobretudo devido ao facto de a maioria das encomendas ter requisitos específicos por parte do
cliente o que torna necessário alterar o desenho base dos produtos constantemente e não permite planear
um sistema Pull. para uma enorme variedade de produtos. Como consequência deste sistema, cada
processo funciona de uma forma isolada e não existe um fluxo eficaz e eficiente ao longo do processo
produtivo. Por outro lado, existe uma grande dificuldade em garantir uma sequência produtiva estável
(FIFO), sem a ocorrência de atrasos, o que tem originado diversos problemas relacionados com a
satisfação do cliente e resulta por vezes na não conformidade do produto devido à necessidade de rapidez
exigida.
Os grandes desafios com que a empresa tem sido confrontada são reduzir o Lead Time dos produtos para
valores mais aceitáveis (redução em 15/20%), de diminuir o WIP no sistema que tem originado
desorganização e perdas de material (quando em elevada quantidade é exposto ao ar livre resultando na
sua oxidação), e de garantir uma melhor qualidade nos seus produtos. De uma forma mais simples,
existe a necessidade de reduzir custos e melhorar o nível de serviço com qualidade.
48
4 ANÁLISE DO PROCESSO PRODUTIVO, IDENTIFICAÇAO DE
PROBLEMAS E PROPOSTAS DE MELHORIA
O presente capítulo descreve a aplicação que foi efetuada da ferramenta VSM no estudo da cadeia de
valor de um produto na empresa FARAME, estando dividido essencialmente nas seguintes etapas
sequenciais:
 Definição do âmbito de análise do estudo através da identificação das famílias de produtos
produzidos pela empresa e posterior seleção de uma família representativa;
 Mapeamento do estado atual do produto selecionado que representa, graficamente, a cadeia de
valor do produto à data da recolha dos dados;
 Análise dos desperdícios e eventos Kaizen, no qual são analisados criticamente os mapas
obtidos para determinação dos desperdícios e das suas fontes, são identificados os problemas e
são sugeridas propostas de melhoria;
 Mapeamento do estado futuro que representa o estado futuro ideal que se pretende obter para o
produto selecionado, considerando a implementação das melhorias propostas.
O âmbito de aplicação da ferramenta VSM como sugerido em metodologias Lean, incidiu
exclusivamente nas etapas respeitantes aos processos industriais da empresa do produto selecionado,
tendo sido excluídas as restantes etapas que não envolvem processamento, nomeadamente as etapas de
conceção e desenvolvimento do produto e montagem.
4.1 MODELO DE ESTUDO PROPOSTO
A base do estudo efetuado consistiu na abordagem Lean e na utilização do método proposto em VSM
para estudar e melhorar a cadeia de valor do produto representativo selecionado, obtendo um diagnóstico
e elaborando propostas especificas.
Tendo em consideração o sistema de produção característico da FARAME, foram também adaptados
ao contexto da empresa os conceitos inerentes ao Made-to-Order Lean, como alternativa ao Lean
tradicional, quando se verificou que os mesmos teriam uma melhor aplicabilidade na abordagem aos
problemas em questão. Complementarmente, recorreu-se à utilização dos princípios inerentes do
Sistema de Produção da Toyota e do Quick Response Manufacturing, consideradas extensões do
pensamento Lean, essencialmente em contextos e em conceitos mais específicos.
Na Figura 4.1 representa-se esquematicamente a integração das abordagens e recursos de conhecimento
a que se recorreu para apoiar o desenvolvimento do estudo proposto.
49
Figura 4.1 - Integração das abordagens e recursos de conhecimento no modelo de estudo proposto
4.2 SELEÇÃO E DESCRIÇÃO DA FAMÍLIA DE PRODUTOS
4.2.1 ANÁLISE DAS VENDAS
Para suportar a seleção de uma família de produtos foi efetuada uma análise das vendas da empresa nos
últimos seis meses, para separar os artigos em classes através da análise ABC. Esta técnica é utilizada
no contexto de estudos da cadeia de valor para determinar quais são as situações em que se deve
concentrar a realização de esforços e diagnosticar as causas dos problemas a resolver, uma vez que os
benefícios resultantes de esforços dirigidos para produtos de classe A são mais evidentes.
No Quadro 4.1 listam-se os artigos apenas da classe A, ou seja, aqueles cuja percentagem acumulada
em termos de faturação da empresa representou 80%.
Uma vez que os produtos da classe A indicados pertencem a famílias distintas, para prosseguir com a
seleção de um produto representativo, foi feita sua agregação em famílias utilizando o critério que
estabelece que uma família de produtos é constituída por um grupo de produtos que passam por
processos a jusante semelhantes ou processos de montagem semelhantes.
De acordo com este critério foram analisados os processos produtivos de cada um dos produtos listados
no Quadro 4.1 e estes foram enquadrados em oito famílias distintas de produtos que se indicam no
Quadro 4.2. Para cada família de Classe A estabelecida foi calculada a respetiva faturação para
identificar qual foi a família mais representativa, em termos de peso na faturação, no horizonte temporal
estudado.
Lean
Made-
to-Order
Lean
VSM
TPS
QRM
50
Quadro 4.1 - Faturação respeitante a artigos de Classe A para o período 10/2015 a 03/2016
Designação do produto
Faturação por
produto (€)
Faturação
acumulada (€)
Importância da
faturação acumulada
(%)
CONTENTOR CP 660 U 989.040 989.040 25,9
CARRO DELTA II-180L 163.564 1.152.604 30,2
CONTENTOR 121869-IMUSTER 130.809 1.283.413 33,6
50532 129.600 1.413.013 37,0
CHARIOT ROL H1700 AVEC PLAQUE 98.077 1.511.089 39,5
CARRO DE AUTO-SERVIÇO P175 97.862 1.608.951 42,1
CARRO TIPO BRICOLAGE 95.979 1.704.930 44,6
CONT.P/ RECICLAGEM 1.1M3 90.687 1.795.616 47,0
CONT. MFM 0059 AMAR.SHORT SKI 85.116 1.880.732 49,2
50532+10313HTC 75.600 1.956.332 51,2
CONT.REF.1200X800X800 ZN S/CH 70.822 2.027.154 53,0
CONTENTOR 00124 ECO 69.090 2.096.244 54,8
CONTENTOR REBATÍVEL (STD) 65.825 2.162.069 56,6
CARRO HYBRID C. C+S. VD S/SP 65.372 2.227.441 58,3
STOCKB STOCØ88,2EZ DEM.COMPLET 64.320 2.291.761 60,0
CONTENTOR TIPO 0085 HT930 64.102 2.355.864 61,6
CONT.P/GARRAFAS DE VINHO 54.985 2.410.849 63,1
STOCB OCØ88,2 DESM S/OPÇÕES 51.200 2.462.049 64,4
ROLL BLANX CABRI 48.134 2.510.183 65,7
CARRO 110 LTS 47.693 2.557.876 66,9
CONTENTOR PDGP 47.450 2.605.326 68,2
CONT.RECICLAGEM 1.1 VERSÃO PM 43.992 2.649.318 69,3
CARRO AUTO-SERVIÇO NEO 180 L 41.615 2.690.933 70,4
CARRO C/B C/CH+2L C/CH+2P+1PR 39.867 2.730.800 71,4
STOCKBOX BL-CC Ø85,9 EZ 39.780 2.770.580 72,5
10313HTC - CONJUNTOS DE PORTAS 38.400 2.808.980 73,5
CONT.P/ RECICLAGEM 1.4 M3 34.992 2.843.972 74,4
STOCKBOXBL-CCØ85,9-EZ DEMONTÉ 34.880 2.878.852 75,3
ARAME 0172-2 28.699 2.907.550 76,1
TRANSPORTE 28.618 2.936.169 76,8
CONT. CHAMPANHE Ø90 REBATÍVEL 27.370 2.963.539 77,5
CONT. C/ 2 SEPARAD. +1 MONDEGO 26.911 2.990.450 78,2
CONT.P/GARRAFAS DE VINHO 26.796 3.017.246 78,9
C.REPOSIÇÃO ENCAIXÁVEL 300 LTS 26.531 3.043.777 79,6
CONTENTOR PARA AIRBAGS 24.714 3.068.491 80,3
51
Quadro 4.2 - Agregação dos artigos de Classe A em famílias e indicação da respetiva importância
em termos de faturação
Famíliade
produtos
Designação
Faturação por
famíliade produtos
(€)
Importânciada
faturação
acumulada (%)
A - Roll
CHARRIOT ROL H1700 AVEC PLAQUE
129.706 4,2
ROLL BLANX CABRI
B - Contentores
Remuage
Champanhe
50532
460.691 15,1
STOCKB STOCØ88,2EZ DEM.COMPLET
STOCB OCØ88,2 DESM S/OPÇÕES
STOCKBOX BL-CC Ø85,9 EZ
STOCKBOXBL-CCØ85,9-EZ DEMONTÉ
CONT. C/ 2 SEPARAD.+1 MONDEGO
C - Contentores
indústria
automóvel
CONTENTOR 121869-IMUSTER
373.832 12,2
CONT. MFM 0059 AMAR.SHORT SKI
CONTENTOR 00124 ECO
CONTENTOR TIPO 0085 HT930
CONTENTOR PARA AIRBAGS
D - Contentores
de arame
CONT.P/ RECICLAGEM 1.1M3
462.919 15,2
CONT.REF.1200X800X800 ZN S/CH
CONTENTOR REBATÍVEL (STD)
CONT.P/GARRAFAS DE VINHO
CONTENTOR PDGP
CONT.RECICLAGEM 1.1 VERSÃO PM
CONT.P/ RECICLAGEM 1.4 M3
CONT. CHAMPANHE Ø90 REBATÍVEL
CONT.P/GARRAFAS DE VINHO
E - Carros cash
CARRO TIPO BRICOLAGE
162.377 5,3CARRO C/B C/CH+2L C/CH+2P+1PR
C.REPOSIÇÃO ENCAIXÁVEL 300 LTS
F- Carros
supermercado
CARRO DELTA II-180L
416.105 13,6
CARRO DE AUTO-SERVIÇO P175
CARRO HYBRID C. C+S. VD S/SP
CARRO 110 LTS
CARRO AUTO-SERVIÇO NEO 180 L
G - Contentor
correios
CONTENTOR CP 660 U 989.040 32,4
H - Produtos
pontuais
ARAME 0172-2
57.317 1,9
TRANSPORTE
52
4.2.2 SELEÇÃO DA FAMÍLIA DE PRODUTOS
Após efetuar a análise das vendas, e juntamente com o diretor de produção, foi possível chegar às
seguintes conclusões:
 A família H é constituída por produtos produzidos pontualmente que apresentam uma
importância relativa muito reduzida dentro da Classe A;
 As famílias A e E englobam produtos produzidos regularmente embora possuam pouca
relevância no contexto das vendas (em torno de 4-5%);
 A família G, apesar de ser aquela que apresenta a maior percentagem de faturação dos últimos
6 meses, respeitou a uma encomenda pontual, não tendo havido nos últimos anos registo de
encomendas semelhantes nem se perspetivam encomendas futuras, não representado, portanto,
o dia-a-dia da empresa;
 As famílias B, C, D e F apresentam importâncias relativas semelhantes na faturação da empresa,
devendo, portanto, o produto a analisar ser aquele cuja análise da sua cadeia de valor
proporcionar maiores ganhos.
Considerando estes aspetos e a opinião de alguns membros da empresa foi escolhida a família de
produtos D, designada por Contentores de arame.
4.2.3 DESCRIÇÃO DA FAMÍLIA DE PRODUTOS D
A família de produtos D diz respeito a contentores de arame que possuem uma infinidade de
aplicações, sendo utilizados especialmente para fins logísticos, desde o armazenamento ao transporte,
passando pela exposição de produtos. Estes contentores são maioritariamente produzidos em arame,
oferecendo uma boa robustez e capacidade de carga, elevada funcionalidade, otimização de espaço e
fácil monitorização visual das mercadorias.
O segmento dos contentores de arame inclui algumas variações de produto determinadas pelas
especificações do cliente no que diz respeito a robustez, logística de arrumação, cor, entre outros, e,
também, componentes opcionais que podem ser adicionados, tais como prateleiras.
O produto que foi estudado (e que seria o próximo da família selecionada em produção enquanto
decorreu o estágio) consiste num contentor que a FARAME desenvolve especificamente para garrafas
de vinho e champanhe que é considerado uma das variações dentro da família de produtos D. No entanto,
qualquer contentor para garrafas de vinho e champanhe é constituído por cinco componentes principais
produzidos na FARAME e outras peças que são compradas ao exterior; todos estes componentes são
53
tratados individualmente e depois montados na secção destinada a esse efeito. Na Figura 4.2 está
ilustrado um contentor para vinhos e champanhe.
Figura 4.2 - Contentor para vinhos e champanhe da família D de contentores de arame
Cada um dos cinco componentes que é parte integrante deste contentor pode ser estudado isoladamente
pois os mesmos são produzidos separadamente, os seus percursos são totalmente independentes (embora
existam muitas semelhanças nos processos produtivos, que são maioritariamente os mesmos), a matéria-
prima é muito semelhante (arame) e a sua constituição apresenta, também, subcomponentes equivalentes
(por exemplo todos têm malha, variando apenas nas suas dimensões, tal como pode ser consultado no
Anexo IV).
Na Figura 4.3 estão representados o esquema da constituição do contentor para garrafas de vinho e
champanhe e os seus principais componentes. Cada um destes componentes é produzido e
posteriormente enviado para montagem onde será acoplado aos restantes componentes, juntamente com
outras peças compradas ao exterior.
Importa salientar no contexto da presente análise os conceitos seguidamente utilizados:
 Componente - conjunto de subcomponentes que já sofreram todas as operações necessárias até
ao processo de montagem;
 Subcomponente - qualquer peça ou conjunto de peças que foram sujeitas ou que serão sujeitas
a uma operação até originarem um componente.
54
1.0
Base
2.0
Laterais
3.0
Traseira
4.0
Porta
superior
5.0
Porta
inferior
Dobradiças
Parafusos
Porca
Montagem
Saída
Chapa
Rebite
Figura 4.3 - Constituição do contentor para garrafas de vinho e Champanhe
Legenda
Componente Operação
4.2.3.1 Descrição geral das operações e equipamentos utilizados
Para a produção do contentor para garrafas de vinho e champanhe existem várias etapas pelas quais os
diversos componentes têm de fluir, não sendo necessariamente as mesmas para todos. No Quadro 4.3
indicam-se os centros de trabalho que operam na produção do contentor estudado e o número de
máquinas disponíveis com as mesmas características, bem como o número de operadores necessários
por máquina. As operações indicadas são todas aquelas que intervêm na produção do produto escolhido
da família de produtos D.
55
Quadro 4.3 - Operações incluídas no fluxo de valor do produto, nº de máquinas disponíveis e nº
trabalhadores por máquina
Cada operação tem uma finalidade definida, que pode ser alimentada por matéria-prima bruta ou
subcomponentes de outros processos anteriores, dividindo-se, fundamentalmente, em processos de
quinagem, soldadura, corte e dobragem. Dependendo do tipo de máquina utilizada e do efeito desejado,
cada uma destas operações pode ser mais ou menos complexa, pode exigir operações manuais e pode
necessitar de tempos de Setup que variam em função da complexidade do subcomponente e do nível de
automação da máquina. Seguidamente no Quadro 4.4 estão descritas as operações e representadas as
máquinas envolvidas no processo de produção.
Listade operações Número de máquinas disponíveis
Número de operadores por
máquina
Vinco CNC 3 1
Vinco manual 4 1
Corte 3 1
Shlatter 2 1
Balancé 2 1
IDEAL 2 2
Quinadeira 2 1
Tico-Tico 4 1
Soldadura por pontos 5 1
Soldadura CO2 8 1
Zincagem 2 2
Montagem - 3 (total de operadores)
56
Quadro 4.4 - Descrição e representação das operações efetuadas para a produção do contentor de
vinhos e champanhe (cont.)
Vincagem CNC
Máquina automática que recebe matéria-
prima em forma de rolo (arame) com
capacidade para dobrar e cortar, originando
peças geralmente de pequena dimensão e
com pormenores detalhados.
Vincagem manual
Máquina semiautomática cuja função se
assemelha à da Vinco CNC embora só
execute a operação de dobragem e tenha
menorcapacidade para conferirpormenoresà
peça.
Corte
Máquina automática que recebe matéria-
prima em forma de rolo (arame) com
capacidade para a cortar em componentes
lineares com diferentes comprimentos.
57
Shlatter
Máquina semiautomática programável que
recebe apenas componentes lineares da
operação de corte e, através de soldadura
elétrica por resistência, produz malhas de
diferentes comprimentose larguras.
Balancé
(1) Prensa semiautomática que confere a
componentes de arame ou perfis
metálicos uma forma ou pormenor
desejado.
(2) Neste centro de trabalho encontra-se
também uma máquina que efetua a
marcação de chapas ou perfis.
(1)
(2)
IDEAL
Máquina semiautomática programável que
recebe componentes lineares e/ou dobrados,
produzindo componentes mais complexos
que a Shlatter através de soldadura por
resistência, trabalhando apenas no plano
horizontal.
58
Quinadeira
Máquina semiautomática que recebe
componentes em forma de malha ou mais
complexos e confereumadobra aos mesmos.
Tico-Tico
Máquina que permite a remoção de rebarbas
ou arestas de componentes.
Soldadurapor pontos
Máquina semiautomáticaque permite a
soldadura elétricapor resistênciaem pontos
específicas e que é utilizada, geralmente,
para reforçooupara subcomponentes que
tenham poucos pontos de soldadura.
59
SoldaduraCO2
Soldadura manual química que permite a
aplicação de cordões em locais de difícil
acesso pelas máquinas e que exijam uma
maior resistência. Pode também ser utilizada
para reforçodaresistência.
Zincagem
Linha de zincagem eletrolíticaque permite a
realização de três tipos diferentes de
passivação (azul, amarela e verde) e,
opcionalmente, a deposição de uma camada
final de selante. Confere proteção e
embelezamento aos componentes.
Espaço para montagem
Processo final manual que junta diversos
componentes num produto final.
60
4.3 MAPEAMENTO DO ESTADO ATUAL
4.3.1 COMPONENTES MAPEADOS
Na fase inicial do trabalho de recolha de dados de campo foi considerado proceder à realização do
mapeamento dos cinco componentes que constituem o contentor da família de produtos selecionada. No
entanto, após a sua recolha e análise foi possível constatar que estes eram muito semelhantes entre si;
devido a essas semelhanças decidiu-se mapear apenas dois dos cinco componentes que constituem o
contentor. Os dois componentes selecionados foram a Porta inferior e a Traseira do contentor, que
correspondem aos itens 3.0 e 5.0 da Figura 4.3, porque se considerou que representavam adequadamente
o fluxo de valor.
4.3.2 ASPETOS METODOLÓGICOS
A aplicação da ferramenta VSM ao caso prático em estudo seguiu a metodologia proposta em Lean
embora, devido a diversas circunstâncias que serão oportunamente referidas, houve necessidade de fazer
adaptações a alguns aspetos metodológicos do modelo teórico sugerido por Rother e Shook (1998).
Estes autores sugerem que a recolha de informação seja feita no sentido de jusante para montante
iniciando-se com o envio do produto para o cliente e terminando na receção da matéria-prima,
começando, portanto, a recolha de dados nos processos mais ligados diretamente ao cliente.
No caso em estudo a recolha de informação foi efetuada no sentido contrário, ou seja, de montante a
jusante, o que decorreu do facto de se ter analisado o primeiro lote de produção, razão pela qual não
existia, ainda, um fluxo e, portanto, a recolha dos dados teria de se fazer no sentido inverso ao
habitualmente realizado.
Os autores sugerem, também, que o mapeamento seja efetuado manualmente, a lápis numa folha branca
simples durante a observação das ocorrências, permitindo que seja feito sem atrasos e que o envolvido
efetue uma análise crítica no momento de recolha de dados. No caso em estudo o registo das informações
foi efetuado num formulário desenvolvido especialmente para o efeito, constante do Anexo I ao presente
documento, porque o conhecimento prévio do fluxo do produto permitiu concluir que a recolha de dados
se tornaria demasiado complexa se não fosse previamente preparada, nomeadamente pelo facto de
existirem muitas operações a decorrer em simultâneo para os vários componentes.
Por último, é relevante referir que estes e outros autores na área realizam o mapeamento do produto
numa única folha. No entanto, uma vez que o produto selecionado é bastante complexo por ser
constituído por cinco componentes independentes que exigem diversas operações, optou-se por recolher
os dados e fazer o mapeamento individualmente para cada um dos dois componentes estudados (Porta
inferior e Traseira).
4.3.2.1 Ponto inicial e final de mapeamento
61
Como foi discutido anteriormente na introdução ao Capítulo 4, pretenderam-se essencialmente
caracterizar etapas produtivas, como assinalado na Figura 4.4, excluindo as restantes etapas de conceção
e desenvolvimento e montagem.
A representação da cadeia de valor do produto inicia-se na ordem de fabrico emitida pelo planeamento
da produção e termina no processo de montagem. Significa, portanto, que o cliente final no mapa do
estado atual é o processo de montagem.
Figura 4.4 - Etapas produtivas na empresa e foco nos processos industriais
4.3.2.2 Constituição e modo de elaboração dos Mapas
Os mapas são constituídos essencialmente por quatro tipos de elementos distintos tendo cada elemento
critérios definidos para a sua representação. Seguidamente define-se cada um destes elementos e
explicitam-se os critérios utilizados na sua representação.
 Fluxo do processo - O mapeamento foi efetuado segundo o conceito de que um processo é um
local/operação por onde o material flui e que termina quando o mesmo pára e fica em espera
pelo processo seguinte. Os fluxos foram identificados com o respetivo nome da máquina e com
o número de operadores que atuam, sendo acompanhados por uma caixa de dados para os
registos necessários;
 Fluxo de informação - O mapeamento foi efetuado pela observação da proveniência e destino
da informação e da sua tipologia (manual ou eletrónica);
 Fluxo de material - O mapeamento foi efetuado tendo em consideração se as movimentações
de material observadas tinham origem num planeamento prévio ou por necessidades a jusante;
Encomenda
Conceção e
desenvolvimento
Processos
industriaisMontagemProduto acabado
Preparação/
programação
Receção de
matérias-primas
62
 Medidas de desempenho - As medidas de desempenho observadas e registadas foram
escolhidas de acordo com os aspetos considerados mais relevantes e podem ser divididas em
duas categorias:
1 Ao nível do fluxo (determinam o tempo das atividades de VA e NVA no fluxo do
produto; visível na linha de tempo):
I. Lead Time
II. Tempo total de processamento
2 Ao nível do processo (determinam o tempo das atividades de VA e NVA no processo
produtivo; visível na caixa de dados do processo)
I. Up Time = (Tempo estimado de produção/Tempo real de produção);
II. Tempo de ciclo
4.3.2.3 Critérios particulares considerados na elaboração dos mapas
4.3.2.3.1 Identificação dos componentes do caminho crítico
Como cada componente é constituído por várias partes (subcomponentes), é essencial identificar quais
são aqueles que definem o caminho crítico porque determinam o tempo de espera e de fabrico mínimo
requerido para todo o projeto/lote. Desta forma, quando existem atividades a serem executadas em
paralelo e cujos subcomponentes seguem posteriormente um processo comum, então o tempo de espera
para as atividades em paralelo é dado pelo maior valor observado. Seguindo a mesma lógica, o tempo
de ciclo para essas atividades é dado pelo maior valor observado.
4.3.2.3.2 Matéria-prima e armazém
No caso em estudo não foram consideradas as esperas de matéria-prima em armazém pelo facto de não
ser possível contabilizá-las corretamente uma vez que a empresa efetua encomendas em grande
quantidade para obter descontos no preço e o mesmo tipo de matéria-prima poder ser destinado ao
processamento de muitos produtos diferentes.
4.3.2.3.3 O caso particular da Shlatter
No fluxo produtivo existe um caso específico que deve ser considerado com especial atenção que diz
respeito ao processo que executa a soldadura das malhas para os diversos componentes do contentor, na
máquina designada Shllater. Este processo tem a particularidade de a produção das malhas ser feita
sempre com um número mínimo de malhas por ciclo, não sendo possível produzir apenas uma unidade.
No Quadro 4.5 indica-se o número mínimo de malhas a produzir na Shllater para os dois componentes
escolhidos. Por este motivo, no mapeamento do fluxo de valor, os tempos de ciclo para cada processo
terão em consideração a produção do número de peças igual ao mínimo que a Shlatter produz para cada
componente.
63
Quadro 4.5 - Número mínimo de malhas produzidas na Shllater para cada componente
4.3.2.4 Microsoft Visio
O VSM sendo uma ferramenta para mapeamento dos fluxos de informação e material dentro de uma
organização, pode implicar alguma complexidade. Embora diversos autores sugiram a utilização de um
papel e uma caneta para esta tarefa existem, no entanto, uma série de softwares no mercado que podem
ser utilizados para este efeito, para construir o mapa de uma forma simplificada e interativa, permitindo
alterações de uma forma simples e disponibilizando configurações que são uma mais valia para o
utilizador.
Por este motivo foi utilizado o software Microsoft Viso que contém um separador proposto para a
construção do VSM. Este separador inclui uma variedade de ícones necessários para a construção do
mapa e diversas funcionalidades que facilitam este processo. Tendo em consideração a quantidade de
informação a recolher prevista e a duração prevista para a realização do estudo, considerou-se
justificável proceder à utilização deste software. Outro aspeto a salientar diz respeito à facilidade em
efetuar o download do programa e, assim, permitir que outros interessados visualizem o mapa
facilmente.
Versão utilizada: Visio 2016
4.3.3 IDENTIFICAÇÃO DO CLIENTE E DA PROCURA DO CASO ESTUDADO
A FARAME foi confrontada com uma encomenda de 1632 unidades do contentor em arame para
garrafas de vinho e Champanhe já descrito anteriormente, das quais 1540 unidades seriam encaminhadas
para França e 92 teriam como destino o mercado Nacional. Esta encomenda seria entregue em cinco
momentos distintos uma vez que a capacidade de transporte por camião não permite transportar mais de
308 unidades de cada vez. As datas de expedição e as respetivas quantidades estão listadas no Quadro
4.6. A primeira expedição foi marcada para dia 19 de maio e consistia nas 92 unidades para o mercado
Nacional e em 308 unidades destinadas a França. Nos mapas elaborados o cliente final de cada
componente é o processo de montagem uma vez que apenas nesse ponto todos os componentes são
agrupados num produto final.
Componente Nº de malhas por ciclo
Traseira 3
Portainferior 9
64
A análise do fluxo de valor deste produto, que se apresenta em seguida, foi efetuada seguindo o percurso
do primeiro lote a entregar no dia 19 de maio pelos seguintes motivos:
 A observação do fluxo de valor para o primeiro lote permite, também, a análise do processo de
preparação e programação do produto;
 No caso de se verificar que haveria dados mal recolhidos na primeira observação, seria possível
analisar o segundo lote de produção e efetuar as devidas correções;
 A conceção do produto inclui sempre um período de reuniões para comunicação do projeto e
prototipagem, o que permite ter uma melhor noção de como decorre todo o processo produtivo;
 O timing do primeiro lote é mais favorável para o estudo;
Quadro 4.6 - Datas de expedição e respetivas quantidades prevista para a encomenda do produto
selecionado
4.3.4 APRESENTAÇÃO DOS MAPAS
As Figuras 4.5 e 4.6 representam, respetivamente, os mapas do estado atual da Porta inferior e da
Traseira do contentor de arame
Quantidade a expedir Dia
400 22 de maio
308 25 de maio
308 27 de maio
308 01 de junho
308 03 de junho
65
.
66
Figura 4.5 - Mapa do estado atual da Porta Inferior do contentor de arame
Montagem
400 19/mai
308 25/mai
308 27/mai
308 01/jun
308 03/jun
Soldadura PontosIdealShlatter
Corte
Corte
Componente: Porta inferior
D = Porta inferior
T/C = 65 s/peça
Up Time = 100%
Componente: Porta inferior
D = (Batente; Malha; Aro;
Fecho; Guia fecho; Batente
quinado)
T/C =72 s/peça
Up Time = 49%
Componente: Malha
9D =57 h; 9 v
T/C =113,5 s/9 peças
Up time = 100%
Componente: Arame h
D = Rolo arame
T/C = 1,2 s/peça
Up time = 100%
Componente: Arame v
D = Rolo arame
T/C = 3,29 s/peça
Up time = 53,6%
9950 Un.
1577
Vinco CNC
Corte
401 Un.
Componente: Aro
D = Rolo arame
T/C = 9,2 s/peça
Up Time 100%
Componente: Batente
D = Rolo arame
T/C = 1,5 s/peça
Up Time = 20%
Fornecedor
A
MRP
Planeamento e controlo
da produção
A
A
773
A
A
398
68,4 s 113,5 s
2,72 dias
648 s
9,91
585 s
0,16 dias
207 s
0,75 dias
Tempo de
processamento 9
unidades =27
minutos
Lead Time = 14,04
dias
Tico -Tico
401
Componente: Porta inferior
D = Porta inferior
T/C = 23 s/peça
Up Time = 49%
Zincagem
408
Componente: Porta inferior
D = Porta inferior
T/C = 30 s/peça
Up Time = 100%
400400
0,5 dias
67
68
Figura 4.6 - Mapa do estado atual da Traseira do contentor de arame
Montagem
400
Unidades
5 Lotes
ZincagemIdealGuilhotinaShlatter
Corte
Corte
Componente: Traseira
D = Traseira
T/C = 48 s/peça
Up Time =
Componente: Traseira
D = Triangulo; Malha;
Aro
T/C =60 s/peça
Up Time = 66%
Componente: Malha
D = Malha
T/C =44 s/peça
Up time = 87,5%
Componente: Malha
3 D = 57 h; 6 v
T/C =220,5 s/3 peças
Up time = 100%
Componente: Arame h
D = Rolo arame
T/C = 0,7 s/peça
Up time = 35%
Componente: Arame v
D = Rolo arame
T/C = 3,29 s/peça
Up time = 29,8%
7657 Un.
1306 Un.
Vinco CNC
Vinco CNC
401 Un.
401 Un.
Componente: Aro
D = Rolo arame
T/C = 12 s/peça
Up Time 100%
Componente: Triangulo
D = Rolo arame
T/C = 20 s/peça
Up Time = 100%
400 Un.
Fornecedor
A
MRP
Planeamento e controlo
da produção
A
A
468 Un. 406 Un.
A
A
403 Un.
187,5 s 220,5 s
4,04 dias
132 s
2,07 dias
180 s
3,83 dias
144 s
1,5 dias
0,5 dias
Tempo de processamento 3 Un.
= 14,4 minutos
Lead Time = 11,94 dias
69
70
4.3.5 VALORES OBSERVADOS E MEDIDAS DE DESEMPENHO
4.3.5.1 Tempo de espera entre etapas produtivas
Entre cada processo estudados existem locais onde os lotes permanecem em espera até que o processo
seguinte possa iniciar uma nova atividade. Estes tempos são extremamente importantes porque irão
determinar o Lead Time do produto. A contagem destes tempos foi iniciada quando foi produzida a
primeira peça do lote e terminou quando foi iniciado o novo processo a que foi submetido o lote. Nos
Quadros 4.7 e 4.8 pode-se observar o número de vezes que ocorrem esperas no fluxo produtivo e os
respetivos tempos, e como referido anteriormente são selecionados os maiores valores que
correspondem ao caminho crítico no caso de haverem processos paralelos que coincidem
posteriormente.
No caso da porta inferior o valor do Lead Time é de 14,04 dias para 9 unidades e no caso da traseira é
de 11,94 dias para 3 unidades.
Quadro 4.7 - Tempos de espera observados entre etapas produtivas e seleção do caminho crítico
para Porta inferior
Componente - PortaInferior
Etapa de espera Tempo de esperapor subcomponente Tempo de esperacrítico
1
Arame vertical 1,98 dias
Arame horizontal 2,72 dias
Arame horizontal 2,72 dias
2
Batente 6,62 dias
Malha 9,91 diasMalha 9,91 dias
Aro 4,06 dias
3 PortaInferior 0,16 dias PortaInferior 0,16 dias
4 PortaInferior 0,75 dias PortaInferior 0,75 dias
5 Portainferior0,5 dias Portainferior0,5 dias
6 Portainferior0 dias Portainferior0 dias
Lead Time 14,04 dias para9 unidades
71
Quadro 4.8 - Tempos de espera observados entre etapas produtivas e seleção do caminho crítico
para Traseira
4.3.5.2 Tempo de ciclo dos processos
Para cada processo foram cronometrados e registados os tempos de ciclo observados. Estes tempos são
extremamente importantes uma vez que correspondem às atividades VA para o produto. Nos
Quadros 4.9 e 4.10 pode observar-se o número de etapas produtivas necessárias para obter o componente
final e o correspondente tempo total de processamento calculado. Como referido anteriormente são
selecionados os maiores valores que correspondem ao caminho crítico no caso de haverem processos
paralelos que coincidem posteriormente. No caso da Porta inferior o valor do Tempo total de
processamento é de 31,5 minutos para 9 unidades e no caso da Traseira é de 11,94 minutos para 3
unidades.
Quadro 4.9 - Etapas produtivas observados e seleção do caminho crítico para Porta inferior
Componente - Traseira
Etapa de espera Tempo de esperapor subcomponente Tempo de esperacrítico
1
Arame vertical 3,95 dias
Arame horizontal 4,04 dias
Arame horizontal 4,04 dias
2 Malha 2,07 dias Malha 2,07 dias
3
Malha 3,83 dias
Malha, 3,83 diasAro 3,79 dias
Triangulo 0,13 dias
4 Traseira 1,5 dias Traseira 1,5 dias
5 Traseira 0,5 dias Traseira 0,5 dias
Lead Time 11,94 dias para3 unidades
Componente - PortaInferior
Etapa produtiva Tempo de ciclo por subcomponente Tempo de ciclo crítico
1
Arame vertical 29,61 s
Arame horizontal 68,4 s
Arame horizontal 68,4 s
2
Batente 13,5 s
Malha 113,5 sMalha 113,5 s
Aro 82,8 s
3 Portainf 648 s Portainf 648 s
4 Portainf 585 s Portainf 585 s
5 Portainf 207 s Portainf 207 s
6 Portainf 270 s 270 s
Tempo de processamento 31,5 min. para 9 unidades
72
Quadro 4.10 - Etapas produtivas observados e seleção do caminho crítico para Traseira
4.3.5.3 Up Time dos processos
Para cada um dos componentes mapeados foi registado o número de vezes que cada operação/processo
foi efetuada (quantas vezes um processo é utilizado) e o respetivo tempo de produção do lote. A
contagem do tempo foi iniciada quando foi concluída a produção da primeira peça do lote considerada
conforme e terminou quando foi produzida a última peça do mesmo lote. Cada uma das operações
realizadas tem um tempo standard de produção do lote baseado em cronometragens anteriores, o qual
não contabiliza operações de Setup e se considera que o trabalhador operou com um fator de atividade
de 100%.
O Up Time dos processos foi calculado da seguinte forma:
𝑼𝒑 𝑻𝒊𝒎𝒆 =
𝑻𝒆𝒎𝒑𝒐 𝒆𝒔𝒑𝒆𝒓𝒂𝒅𝒐 𝒅𝒆 𝒑𝒓𝒐𝒅𝒖çã𝒐 𝒅𝒐 𝒍𝒐𝒕𝒆
𝑻𝒆𝒎𝒑𝒐 𝒓𝒆𝒂𝒍 𝒅𝒆 𝒑𝒓𝒐𝒅𝒖çã𝒐 𝒅𝒐 𝒍𝒐𝒕𝒆
∗ 𝟏𝟎𝟎
Os valores do Up Time, expressos em percentagem, são indicadores das atividades VA durante a
produção do lote, pelo que um valor de percentagem reduzido significa que se coloca a necessidade de
analisar o processo mais profundamente. Nos Quadros 4.11 e 4.12 pode observar-se o número de vezes
que cada operação foi efetuada e o correspondente Up time calculado.
Componente - Traseira
Etapa produtiva Tempo de ciclo por subcomponente Tempo de ciclo crítico
1
Arame vertical 19,74s
Arame horizontal 39,9 s
Arame horizontal 39,9 s
2 Malha 220,5 s 220,5 s
3
Triângulo 60 s
Malha 132 sMalha 132 s
Aro 36 s
4 Traseira 180 s Traseira 180 s
5 Traseira 144 s Traseira 144 s
Tempo de processamento 11,93 min. para3 unidades
73
Quadro 4.11 - Up Time dos processos para a Porta Inferior
Componente - PortaInferior
Identificação das operações Número de Operações Up time
Corte
1º 53,6%
2º 100%
3º 20%
Vinco CNC 1º 100%
Schlatter 1º 100%
IDEAL 1º 49%
Soldadura Pontos 1º 100%
Tico-Tico 1º 49%
Zincagem 1º 100%
Quadro 4.12 - Up Time dos processos para a Traseira
Componente - Traseira
Identificação das operações Número de Operações Up time
Corte
1º 29,8%
2º 35%
Vinco CNC
1º 100%
2º 100%
Schlatter 1º 100%
Guilhotina 1º 87,5%
IDEAL 1º 66%
Zincagem 1º 100%
4.4 ANÁLISE DOS DESPERDÍCIOS E EVENTOS KAIZEN
4.4.1 CARATERÍSTICAS DOS PROCESSOS DA CADEIA DE VALOR DOS COMPONENTES
ESTUDADOS
De acordo com a caracterização efetuada no decurso do mapeamento do fluxo de valor dos componentes
estudados e após a análise detalhada dos mapas do estado atual, verificou-se, tal como foi anteriormente
indicado, que o processo de produção dos componentes estudados funciona, maioritariamente, de
acordo com o método Push, seguindo as indicações de um plano de produção em vez das necessidades
determinadas a partir de jusante. Neste modo de funcionamento considera-se que os processos atuam
isoladamente, não plenamente articulados da restante cadeia de valor, originando diversos tipos de
desperdício.
74
Nos mapas do estado atual para os componentes selecionados, pode-se observar que a informação que
contém ordens de fabrico, que estão definidas no plano de produção da empresa, é transmitida
manualmente e para cada processo individualmente, determinando que estes atuem isoladamente e de
acordo com uma perspetiva de valor apenas para o processo e não para toda a cadeia.
A produção resultante de cada etapa é posteriormente enviada para o processo seguinte e, em todos os
casos observados, é colocada em espera, com exceção nos processos de Corte e Vinco CNC onde se
observa que existe uma aproximação ao método Pull porque estes processos vão buscar ao armazém
apenas a matéria-prima desejada.
Foram ainda verificadas diversas ocorrências durante a recolha dos dados e por observação direta que
corroboram a constatação de que o planeamento se faz de forma isolada para cada processo e que o
funcionamento da cadeia de valor está desconetado:
 Foram efetuadas em diversas ocasiões alterações no plano da produção, em vários processos,
para realizar ajustes devido a atrasos, problemas na calendarização e alterações de última hora
para compensar outros erros, sobretudo devido ao facto de o plano ter sido realizado com base
em previsões futuras, ou seja, de acordo com a metodologia Push;
 Registaram-se paragens na produção devido a alterações no planeamento e no início de
produção de outro subcomponente, tendo sido retomando posteriormente o plano original, pelo
facto de não se ter produzido aquilo que era necessário no processo seguinte;
 Os operadores iniciaram a produção de um determinado subcomponente com base em
informações transmitidas por outros operadores e não com base em informações obtidas de
acordo com o procedimento habitual utilizando o sistema informático da empresa, o que
originou erros ao longo da cadeia de valor;
 Verificaram-se falhas de comunicação de informação aos trabalhadores relativamente às tarefas
exatas a desempenhar (por exemplo, desconhecimento de qual a marcação a efetuar na chapa
que está anexada no contentor), como resultado de um plano pouco claro de alterações
constantes;
 Constatou-se que os chefes de linha não realizam os processos habituais de apontamento de
algumas medidas de desempenho exigidas pela empresa dificultando o apuramento de dados
relevantes relativos à produtividade dos processos;
 Verificou-se que o sistema informático tem falhas/insuficiências nomeadamente no que diz
respeito a inconstâncias na informação contida (por exemplo algumas folhas da operação não
contêm informação acerca de qual foi o processo anterior nem qual será o seguinte) e, como
consequência, os trabalhadores não entendem onde colocar o lote fabricado;
75
 Assistiu-se a diversas situações em que as máquinas permaneceram paradas sem produzir à
espera de material devido a deficiências do planeamento: tomando como exemplo a máquina
IDEAL, verificou-se que, apesar de alguns subcomponentes estarem prontos à espera de iniciar
operação outros ainda não tinham chegado ao posto ou ainda não tinham sido produzidos.
4.4.2 ANÁLISE DOS DESPERDÍCIOS
A análise dos mapas do estado atual e a observação das práticas seguidas e dos eventos ocorridos no
decurso da recolha de dados de campo permitiu identificar diversas situações que podem estar na origem
dos desperdícios existentes, tal como abordado no subcapítulo 4.4.1. Com base no entendimento das
situações que originam desperdícios procuraram-se quantificar os desperdícios detetados sobretudo ao
nível do fluxo global e, também, ao nível dos processos individualmente.
4.4.2.1 Desperdícios no fluxo
A análise do Lead Time e do tempo total de processamento assenta na interpretação da discrepância
entre estas duas medidas de desempenho. Considerando que se o fabrico dos componentes for elaborado
através de um fluxo contínuo e sem interrupções, então o seu tempo de processamento será igual à soma
dos respetivos tempos de ciclo. Por comparação está o tempo real que o componente demorou a ser
produzido ou o Lead Time (Quadro 4.13)
Quadro 4.13 - Importância relativa do tempo despendido em atividades VA e NVA
Indicador Portainferior Traseira
Lead Time 14,04 dias 11,94 dias
Tempo total de processamento 31,5 minutos (9 unidades) 11,93 minutos (3 unidades)
Duração de atividades VA 0,148% 0,069%
Duração de atividades NVA 99,85% 99,93%
O contraste existente entre estes dois valores permite afirmar que existem muitas atividades NVA que
estão diluídas no fluxo do produto sob a forma de desperdícios. O Lead Time dos componentes é
essencialmente composto por atividades que não acrescentam valor que, nos casos estudados em
concreto, se podem associar essencialmente a esperas, tratando-se do desperdício mais evidente.
4.4.2.2 Ao nível do processo
76
A análise do Up Time dos processos registados permitiu concluir que, em alguns casos, o tempo real de
produção foi bastante superior ao esperado. O tempo esperado de produção é um valor estandardizado
registado de acordo com cronometragens realizadas por elementos da empresa e não tem em
consideração tempos relativos a operações de Setup. Isto significa, portanto, que a discrepância destes
tempos provavelmente terá origem nos seguintes aspetos:
1. Avaria de máquinas;
2. Falta de material;
3. Ausência de procedimentos internos;
4. Paragens na produção;
Verificaram-se também os seguintes factos:
1. Durante a recolha dos dados não foi verificada nenhuma avaria em máquinas;
2. Quanto à existência do material necessário para iniciar uma operação, foi possível verificar que
nem sempre este esteve disponível porque o planeamento isolado da empresa causa por vezes a
inexistência de coordenação entre movimentos de material que culminam para um só processo
e, desse modo, algumas máquinas ficarem paradas por falta de material;
3. Quanto aos procedimentos internos da empresa, estes são claramente insuficientes e a
organização no posto de trabalho é muito deficiente e não existe a preocupação relativamente à
sua manutenção, originando, por frequentemente perdas de tempo elevadas com atividades que
não acrescentam valor tais como: esclarecer dúvidas quanto à interpretação de documentos ou
desenhos, procurar ferramentas, procurar e deslocar porta paletes, encontrar formas e locais para
colocar as peças produzidas, entre outros;
4. Foram verificadas algumas situações relacionadas com paragens na produção decorrentes,
também, do planeamento isolado, nomeadamente devido a alterações de última hora na
produção.
77
4.4.2.3 Classificação dos desperdícios
Tendo presente a disparidade calculada entre as atividades VA e NVA que resultam do mapeamento da
cadeia de valor efetuado e as origens dos desperdícios encontrados na análise dos mapas, torna-se
importante perceber onde é que estes desperdícios podem encaixar dentro das definições clássicas do
Lean para se poder ter uma abordagem adequadas na procura da sua resolução, sistematizando-se de
seguida as principais conclusões obtidas:
 Excesso de produção: Em todos os pontos de espera do WIP foi possível observar que existe
sempre discrepância na produção, ou seja, entre dois processos, o número de subcomponentes
em espera não está conforme as necessidades do processo seguinte;
 Esperas: Em todos os pontos de espera do WIP foi possível observar que existem tempos de
espera muito elevados, chegando os subcomponentes a estar em espera 9 dias antes de
prosseguirem para o processo seguinte, quer por descoordenação entre etapas paralelas, o que
origina que um subcomponente fique em espera para entrar na máquina devido a atrasos de
outro, quer por erros no planeamento, o que implica que dois ou mais subcomponentes tenham
de esperar que a máquina termine de processar uma outra encomenda;
 Transporte: Verificaram-se alguns desperdícios respeitantes ao transporte de WIP porque
geralmente estes são colocados um pouco aleatoriamente pelos espaços vagos nas instalações
sem obedecer a um critério definido;
 Processamento incorreto: Não se verificaram ineficiências devido a processamentos
incorretos;
 Excesso de stock: Em alguns pontos de espera do WIP foi possível observar a existência de
excesso de stock sem ter havido uma correção imediata do problema, tendo esta situação
conduzido a que os processos a jusante tenham produzido, também eles, em excesso;
 Movimentos desnecessários: Registaram-se movimentos desnecessários originados,
sobretudo, por falta de clareza da informação relativa ao plano de produção e a alterações do
mesmo, devido a procura de porta-paletes ou contentores para armazenar os componentes
produzidos, entre outros;
 Defeitos: Não se verificou a produção de peças defeituosas, correções ou reparações.
78
Em síntese, foram detetados problemas muito significativos com origem na desconexão do fluxo de
valor dos componentes e do planeamento isolado que é presentemente efetuado na empresa. Os
problemas estão essencialmente associados quer à forma como é efetuado o plano de produção quer à
forma como o mesmo é calendarizado e comunicado aos processos, o que origina uma grande
discrepância entre as atividades VA e NVA.
Por outro lado, verifica-se uma relevante ausência de procedimentos internos e organização, tanto no
espaço de trabalho como nas instalações, sendo o efeito deste aspeto sentido na eficiência diária da
produção não só, ao nível dos processos individualmente como, também, na cadeia de valor do produto
devido aos desperdícios daí resultantes. Os desperdícios evidenciados são, essencialmente, excesso de
produção/stock, esperas e, ainda, transporte/movimentos desnecessários.
Foram também detetadas outras situações relevantes no decurso da recolha de dados e em outros
momentos que têm bastante influência na eficiência e eficácia produtiva:
 Processo limitador dos restantes (BN) - Existe no fluxo de valor dos componentes estudados,
e não apenas nestes, um fator comum que se prende com um processo que é o mais lento de
todos na maioria dos casos e que limita o rendimento global das instalações; este processo diz
respeito à soldadura por resistência que decorre na máquina da marca IDEAL;
 Mix de produtos - O facto de ser produzida uma grande diversidade de produtos desencadeia
inúmeros problemas que afetam constantemente a eficiência das instalações e origina uma
grande dificuldade em criar um fluxo de valor partilhado, essencialmente porque os recursos
são partilhados entre todos os produtos da fábrica, o que dificulta a resolução desta questão.
Para além deste aspeto, o mix de produtos dificulta a introdução de procedimentos e métodos
produtivos constantes, e força a situação que ocorre atualmente entre os processos,
designadamente o facto de o plano de produção decorrer de acordo com uma filosofia Push.
4.4.2.4 Relação dos aspetos organizacionais com os desperdicios identificados e
abordagem para melhoria
Como ponto de partida para a definição dos eventos Kaizen e para apoiar a abordagem ao problema dos
desperdícios identificados foi elaborado um quadro com as principais áreas ou aspetos organizacionais
que afetam a cadeia de valor dos componentes estudados e os respetivos problemas detetados. Estes
aspetos organizacionais criam problemas que se podem relacionar com os desperdícios encontrados na
análise dos mapas atuais, o que significa, de certo modo, que são a fonte de alguns dos desperdícios e
que, por esse motivo, devem merecer uma maior consideração quando se pretende estudar possíveis
melhorias.
79
No Quadro 4.14 identificam-se, sob a forma de uma matriz, os principais problemas detetados na cadeia
de valor dos componentes estudados e a sua relação com os desperdícios identificados e indica-se, para
cada um dos mesmos, a abordagem para melhoria proposta de acordo com o pensamento Lean.
Os desperdícios verificados foram agrupados em três tipos:
 Excesso de produção/stock - E.P/S;
 Esperas - E;
 Transporte/movimentos desnecessários - T/MD;
A utilização de um símbolo (√) indica uma relação existente entre os problemas e os desperdícios
identificados
80
Quadro 4.14 - Relação entre problemas encontrados e desperdícios e abordagem Lean para melhoria
Fonte Problemas detetados
Excesso de
produção/stock
Esperas
Transporte/
movimentos
desnecessários
Abordagem Lean para melhoria
Cultura de valor
O fluxo de valor é desconectado, cada
processofuncionade acordo com aquilo
que é melhor do seuponto de vista
√ √ √
Utilização do pensamento Lean na construção
de um mapa futuro ideal que considere todaa
cadeia de valor como uma só estrutura
Organização
Instalações muito desorganizadas,
ferramentas em locais incertose faltade
procedimentosinternos paradiversas
situações originam muitas ineficiências ao
nível do fluxo e do processo
√ √
Utilização da ferramenta5s para análise das
condições atuais
Bottleneck
Processocriaesperas e limitaos restantes
processos
√ Definir como processo Pacemaker
Calendarização
Planeamento da produção efetuado de
acordo com a previsão de hipotéticos
estados futuros e regularmente alterada
√ √ Calendarização da produção no Pacemaker
Comunicação
Informação transmitidaa cada processo
individualmente originando um fluxo
Push
√ √
Informação transmitidaapenas ao processo
Pacemaker
WIP Grandes acumulações de WIP √ √ Metodologia Pull
Lead Time
Lead Time muito elevado em relação ao
tempo total de processamento
√
Introdução de Supermercados Pull e sistemas
em fluxo contínuo ouFIFO
Mix de produtos
Elevada diversidade de produtos e
dificuldade em criar fluxo de valor
partilhado
√ √
Introdução de sistemas produtivos que
permitam equilibrar Metodologia Pull/Push
81
82
4.4.3 EVENTOS KAIZEN
4.4.3.1 Adaptação da Literatura ao contexto da empresa
A compreensão dos problemas existentes e dos desperdícios que foram evidenciados através da
construção dos mapas do estado atual constituem o ponto de partida para iniciar um processo de
implementação do pensamento Lean e para determinar o tipo de abordagem que se pode ter na resolução
dos mesmos.
Estas abordagens, explicitadas no Quadro 4.14, foram influenciadas pelas orientações que se consideram
ser mais evidentes de acordo com que se encontra descrito na literatura da especialidade, tendo, contudo,
em atenção as particularidades do tipo de produção que é efetuado atualmente na empresa e que afeta
substancialmente a forma como o pensamento Lean pode ser mais ou menos diretamente aplicável na
resolução destes problemas.
Para apoiar a conceção e implementação dos princípios do Lean, procurou-se analisar qual seria o tipo
de produção característico da empresa, de acordo com os quatro grandes tipos de produção que se
encontram estabelecidos em Creating Mixed Model Value Streams (DUGGAN) e que se apresentam na
Figura 4.7.
A confrontação da situação estudada na FARAME com os modelos de produção indicados permitiu
concluir que a empresa se aproxima do tipo de produção High Mix com grande customização tratando-
se, portanto, de uma empresa que fornece uma alta variabilidade de produtos com um nível elevado de
personalização. Este tipo de sistema implica garantir uma variedade ou mix de produtos, ou variações
de produtos, através do mesmo fluxo de valor e entregar a quantidade certa de um produto específico
(de um elevado número de produtos disponíveis) quando o cliente o solicita.
No contexto atual, um destes tipo de produtos é a família de contentores de arame selecionada no
presente estudo e a sua personalização é evidenciada pela especificação do contentor para vinhos e
champanhe. A conclusão relativa ao tipo de produção da empresa aconselha a ser prudente no que diz
respeito à implementação de princípios e ferramentas dos Lean uma vez que estes estão mais adaptadas
a contextos de produção discretas e em massa.
83
Figura 4.7 - Tipos de produção mais comuns
4.4.3.2 Questões para definir o mapa futuro
Atendendo à análise efetuada aos problemas, aos desperdícios e às respetivas fontes, e tendo em
consideração o objetivo principal da utilização do VSM, nomeadamente o de elaborar um mapa futuro
ideal, torna-se necessário entender como se pode tornar a cadeia de valor analisada numa cadeia de valor
“Lean” e reduzir os desperdícios encontrados.
A forma padronizada de o fazer tem estabelecidas um conjunto de linhas orientadoras, sendo, no entanto,
importante verificar quais destas se aplicam no contexto da empresa e, caso sejam aplicáveis, avaliar
quais dos problemas podem resolver e que redução de desperdícios se pode esperar com a sua adoção.
Assim, para a construção do mapa futuro, deve questionar-se de forma sistemática se podem ser
utilizadas algumas das linhas orientadores listadas no Quadro 4.15 para tornar uma cadeia de valor
“Lean”. Estas questões podem ser estudadas independentemente da ordem pela qual aparecem no quadro
4.15, não sendo necessário o seu estudo sequencial.
Quadro 4.15 - Questões para definir o mapa futuro
Questões paradefinir o mapafuturo
1. Qual é o Takt time?
2. A produção deve seguir do PM para um supermercado de produtos acabados ou diretamente para o
processoseguinte?
3. Onde implementar um fluxo de processoscontínuo?
4. Onde implementar supermercados com sistemas Pull?
5. Em que ponto do fluxo calendarizar a produção?
6. Como balancear o mix de produção no Pacemaker?
7. Qual a taxa de produção no Pacemaker?
8. Que melhorias nos processos serão necessárias?
Graude customização
Variabilidadedos
produtos High Mix;
Produção
discreta
Produção
discreta
High Mix; Grande
customização
Produção discreta;
Grande
customização
84
4.4.3.3 (1) Produzir de acordo com o Takt time
Uma das diretrizes do Lean consiste em estabelecer um ponto do fluxo de valor, a partir do qual a
produção deve fluir continuamente até ao cliente, utilizando-se antes deste ponto um sistema de
supermercados Pull. Esta calendarização é sugerida por muitos autores baseando-se no conceito de Takt
time.
No caso prático estudado esta medida não tem uma aplicação direta pelo facto de ser apenas viável nos
casos em que existam processos dedicados a determinados produtos ou em que existam previsões
rigorosas e antecipadas da procura. Na cadeia de valor estudada os recursos produtivos são partilhados
entre muitos produtos diferentes e não existem previsões antecipadas da procura do cliente. O
planeamento e a produção funcionam de forma reativa quando são recebidas as encomendas, que
possuem um caráter diversificado.
Tendo em consideração as observações efetuadas, torna-se mais simples e lógico no ambiente HM em
questão procurar elaborar um planeamento baseado nas necessidades reais de produção. Esta
metodologia requer a conceção de um plano, por um lado, para a transmissão de informação e, por outro
lado, para a transmissão de produtos e tem como base a estimação dos tempos de trabalho necessários
para uma determinada ordem de fabrico e a gestão do trabalho utilizando por exemplo quadros FIFO e
“Day-By-Hour”.
4.4.3.4 (5) Em que ponto do fluxo calendarizar a produção?
A calendarização da produção deve ser enviada apenas a um processo do fluxo de valor do produto que
é o Pacemaker porque é ate este processo que o fluxo dá-se idealmente através de um Sistema Pull a
montante. No mapa futuro este ponto é o único que será controlado pelas necessidades exteriores do
cliente e que definirá o ritmo e a produção dos restantes.
4.4.3.4.1 Localização do PM
 Order Decoupling Point (ODP) - No contexto produtivo atual da FARAME pode-se afirmar
que este ponto se situa na Shlatter uma vez que é aqui que se encontra a fronteira entre Made-
To-Stock (MTS) e Made-To-Order (MTO). Deste ponto para montante existem muitos
subcomponentes iguais que se podem destinar à produção de vários componentes; deste ponto
em para jusante os subcomponentes podem ser marcados a uma ordem específica de venda.
Neste processo são efetuadas as malhas do contentor de acordo com especificações desejadas
que, a partir daqui, apenas podem ser utilizadas para determinado componente. A Shlatter é o
ODP para os contentores, verificando-se numa análise global da fábrica, que também tem as
mesmas características para quase todos os produtos produzidos;
85
 Bottleneck (BN) - O centro de trabalho do sistema que limita o rendimento global da produção
localiza-se na IDEAL. Este processo, que limita claramente o ritmo de produção na fábrica, tem
tempos de ciclo muito elevados e necessita de dois operadores para o trabalho, sendo
definitivamente o local onde se observaram maiores esperas;
 Pacemaker (PM) - Neste sistema HM torna-se lógico a colocação do PM posteriormente ao
ODP para que quando for lançada uma encomenda com base em pedidos de clientes a produção,
a montante, seja desencadeada através de sistemas de supermercado Pull e, a jusante, através da
filosofia FIFO ou em fluxo contínuo até ao cliente. O PM fica, por este motivo, localizado na
IDEAL. Tendo em consideração estes aspetos, deve-se também definir para o mapa futuro uma
entrada de produtos neste processo de acordo com uma filosofia de ordem de produção FIFO
uma vez que a calendarização neste ponto deve implicar uma sequência priorizada.
4.4.3.4.2 Implicações da definição do PM
A definição da localização do PM irá influenciar a forma como o fluxo de valor deve funcionar antes e
após este ponto. Deste ponto para a jusante, irá ocorrer uma quebra no fluxo e é necessário criar
processos Pull para fora do PM; para esse efeito, na zona destacada com o círculo amarelo nas
Figuras 4.8 e 4.9 tradicionalmente é necessário estudar onde implementar uma sequenciação com FIFO
ou fluxo contínuo. Por outro lado, antes deste ponto, e com a representação com a cruz vermelha nas
Figuras 4.8 e 4.9 sinaliza-se a necessidade de terminar com o funcionamento isolado dos processos, já
abordados e com a metodologia utilizada atualmente para transmitir informação.
86
Figura 4.8 - Mapa resultante da definição do PM para a Porta Inferior
Montagem
Soldadura PontosIdealShlatter
Corte
Corte
Vinco CNC
Corte
Fornecedor
A
MRP
Planeamento e controlo
da produção
A
A
A
A
Tico -Tico Zincagem
PM
ODP
87
88
Figura 4.9 - Mapa resultante da definição do PM para a Traseira
Montagem
ZincagemIdealGuilhotinaShlatter
Corte
Corte
7657 Un.
1306 Un.
Vinco CNC
Vinco CNC
401 Un.
401 Un.
400 Un.
Fornecedor
A
MRP
Planeamento e controlo
da produção
A
A
468 Un. 406 Un.
A
A
403 Un.
PM
ODP
89
90
91
4.4.3.5 (2) A produção deve seguir do PM para um supermercado de produtos acabados
ou diretamente para o processo seguinte?
No caso prático estudado os subcomponentes saídos do PM são geralmente de dimensões consideráveis
e embora possam ser encaixados uns nos outros não é viável armazená-los como stock. Por outro lado,
não é possível prever as encomendas dos clientes e a diversidade de produtos é muito elevada. Por estes
motivos a produção deve ser diretamente expedida para o processo seguinte após a produção no PM
como ilustrado na Figura 4.10.
Figura 4.10 - Seguimento da produção a partir do PM e sequenciação FIFO
4.4.3.6 (3) Onde implementar um fluxo de processos contínuo?
Em modelos HM existem algumas limitações à introdução de um fluxo de processos contínuos se a
variação nos tempos de ciclo dos produtos em cada processo for elevada, podendo criar gargalos no
fluxo e tornando-o ineficaz, o que significa que para um determinado produto ser executado em fluxo
contínuo, teria de ter requisitos de capacidade separadas em cada processo.
A variação nas “rotas” também cria dificuldades em estabelecer um fluxo contínuo. A razão para isto
decorre do facto de, apesar de certos processos poderem estar projetados para facilitar um certo fluxo,
existem vários produtos que são feitos através de uma série de processos diferentes alterando assim os
requisitos necessários
Para determinar se existe a possibilidade de implementar um fluxo contínuo de processos a partir do PM
no caso estudado, tornou-se necessário averiguar essa possibilidade para os dois componentes. Na
Figura 4.11 estão representados os tempos de ciclo (em segundos) das diversas máquinas para a
produção de 9 peças (Porta Inferior). Como é possível observar, estes tempos variam consideravelmente
e não são constantes mesmo para o próprio processo (OP). No caso do Corte, do Shlatter, do Vinco CNC
e da Zincagem faz sentido a utilização de lotes para movimentação dos subcomponentes porque os seus
PM
Ideal
MRP
Planeamento e controlo
da produção
Necessidades
reais dos
clientes
FIFO
92
tempos de ciclo são bastante reduzidos e as peças são de pequenas dimensões, exepto para a Zincagem.
Uma observação mais cuidada leva mesmo a propor que este processo seja visto isoladamente por ser o
único que opera, sem exceção, em todos os produtos da fábrica e no qual existem, geralmente, vários
produtos a serem trabalhados em paralelo.
No entanto, se forem avaliadas as situações dos restantes processos pode ser adequado falar de
balanceamento da produção e procurar implementar um fluxo contínuo. Para desenvolver este equilíbrio
torna-se necessário observar as atividades do operador durante a operação e entender se existe
oportunidade para a realização de tarefas paralelas ou utilização de tempos “mortos” para outras
atividades, na tentativa de aproximação dos tempos de ciclo.
Figura 4.11 - Tempos de ciclo para a Porta inferior (segundos)
Na IDEAL os operadores colocam vários subcomponentes num molde, colocam-no debaixo dos pontos
de soldadura e a máquina inicia o seu trabalho automatizado. Durante este tempo os operadores repetem
o mesmo processo e esperam que o molde anterior esteja concluído. Durante cerca de 50% do tempo de
ciclo os operadores estão em espera para que o processo termine. Neste caso a única alternativa para
redução do tempo de ciclo seria melhorar a máquina existente.
No caso da soldadura por pontos, o processo funciona de forma semiautomática, tendo o operador de
pegar no subcomponente resultante da IDEAL e colocar diversos pontos manualmente na máquina de
soldadura elétrica para reforço, sendo acionado por pedal. Neste caso, o operador está a totalidade do
tempo ocupado.
O Tico-tico é uma pequena ferramenta que o operador utiliza passando rebarbas existentes no
subcomponente pelo engenho e retirando-as. Neste caso, o operador está a totalidade do tempo ocupado.
0
100
200
300
400
500
600
700
Corte Shlatter Vinco CNC Ideal Soldadura pontos Tico-tico Zincagem
1º OP 2º OP
(seg.)
93
Outra observação relevante efetuada foi a de que o transporte dos subcomponentes entre todos os
processos é atualmente efetuado ou por pessoal destinado ao efeito, tendo inúmeras vezes os operadores
de esperar pela pessoa responsável, ou não existe propriamente uma regra que dita quem deverá realizar
este transporte, podendo ser variável.
Tendo em consideração que existem tempos de espera por parte de operadores durante o tempo de ciclo
na IDEAL e que a operação com o Tico-tico é extremamente simples por se tratar de uma pequena
ferramenta, faz sentido organizar estes três processos numa célula de trabalho da seguinte forma:
1. O trabalhador responsável pela operação de soldadura por pontos passa a ter também a
responsabilidade pela operação com o Tico-tico e ambas as máquinas ficarão localizadas
próximas uma da outra;
2. Os trabalhadores na IDEAL utilizarão os tempos de espera até um valor que não exceda os o
somatório das seguintes operações (Figura 4.12) para efetuarem o transporte dos
subcomponentes entre esta máquina e a soldadura por pontos;
Figura 4.12 - Balanceamento da produção para a Porta inferior (segundos)
Apesar de esta forma de balanceamento ter sido estudada utilizando os tempos de ciclo para a produção
de nove peças, deve, no entanto, ser tido em conta que o balanceamento pode também ser efetuado para
outras quantidades desejadas. Esta quantidade deve ser determinada pelo lote que o operador consegue
transportar para o processo seguinte de uma forma eficiente, ou seja, não será credível transportar
peça a peça pois o tempo perdido seria provavelmente superior ao tempo de sobra e também não é
prático transportar demasiadas peças uma vez que estas têm dimensões consideráveis. A observação do
processo permitiu concluir que a quantidade transportada deve ser de três a seis peças.
Uma vez efetuado o balanceamento, a partir do PM considera-se que estes três processos funcionam
como uma célula com 3 operadores, em que após a sua conclusão de produção do lote num processo,
este é diretamente encaminhado para o processo seguinte num fluxo contínuo. No mapa futuro a
648
585
207
144
IDEA L SOLDA DURA PONT OS + T ICO -
T ICO
Tempo de ciclo Segunda máquina Tempo de sobra
94
representação da célula faz-se pela combinação destes três processos num só, cujo tempo de ciclo
agregado é de 13,2 minutos para 9 peças. Na Figura 4.13 representa-se a nova célula de trabalho
resultante do nivelamento das três operações.
Figura 4.13 - Célula de trabalho resultante do balanceamento para
Porta inferior (T/C = 13,2 min/9 peças)
Fazendo a mesma análise para o segundo caso estudado, representam-se na Figura 4.14 os tempos de
ciclo (em segundos) das diversas máquinas para a produção de 3 peças (Traseira). Como é possível
observar, estes tempos também variam consideravelmente e não são constantes mesmo dentro do
próprio processo. No caso do Corte e Vinco CNC faz sentido a utilização de lotes para movimentação
dos subcomponentes porque os seus tempos de ciclo são bastante reduzidos e as peças de pequenas
dimensões; novamente o processo de Zincagem deve ser tratado independentemente. Por outro lado, se
se atentar nos processos da Shlatter e da Guilhotina, pode-se procurar balancear a sua produção
especialmente com a constatação de que o segundo processo é exclusivamente utilizado para dar
seguimento ao primeiro ou seja, a guilhotina é uma operação que corta alguns excessos de arame das
malhas produzidas na Shlatter.
Soldadura Pontos
PM
Ideal Tico -Tico
PM
Ideal + Sold.pontos + Tico-Tico
(seg.)
95
Figura 4.14 - Tempos de ciclo para a Traseira (segundos)
Tendo em consideração que existem tempos de sobra no processo de guilhotina em relação à Shlatter e
que estas duas máquinas se encontram adjacentes uma à outra, faz sentido organizar estes dois processos
numa célula de trabalho da seguinte forma:
1. O trabalhador da Guilhotina utilizará os tempos de sobra até um valor que não exceda o tempo
de ciclo da Shlatter (Figuras 4.15) para efetuar o transporte dos subcomponentes entre as duas
máquinas;
Figura 4.15 - Balanceamento da produção para a Traseira (segundos)
Apesar de esta forma de balanceamento ter sido estudada utilizando os tempos de ciclo para a produção
de três peças, tal como no primeiro exemplo deve, no entanto, ser tido em conta que o balanceamento
pode também ser efetuado para outras quantidades desejadas. Esta quantidade deve ser determinada pelo
lote que o operador consegue transportar para o processo seguinte de uma forma eficiente,
Uma vez efetuado o balanceamento, a partir do PM considera-se que estes dois processos funcionam
como uma célula com 2 operadores, e após a conclusão de uma operação, o lote determinado de
transporte é diretamente encaminhado para o processo seguinte num fluxo contínuo. No mapa futuro a
representação da célula faz-se pela combinação destes dois processos num só cujo tempo de ciclo
220
132
88
SHLA T T ER GUILHOT INA
Tempo de ciclo Tempo de sobra
0
50
100
150
200
250
Corte Vinco CNC Shlatter Guilhotina Ideal Zincagem
OP 1 OP 2
96
agregado é de 3,6 minutos para 3 peças. Na Figura 4.16 representa-se a nova célula de trabalho resultante
do balanceamento das três operações.
Figura 4.16 - Célula de trabalho resultante do balanceamento para Traseira (T/C = 3,6 min/3
peças)
Com a criação das células de trabalho resultantes do balanceamento efetuado para a Porta
Inferior e Traseira, podem-se obter os seguintes resultados e benefícios:
 Funcionamento de vários processos como uma célula;
 Produção de um lote de subcomponentes que após operação num processo é imediatamente
encaminhado para o seguinte sem estagnação entre eles;
 Redução do Lead Time e do WIP entre os processos;
 Dispensa de trabalho para o operário que atualmente efetua o transporte entre os processos;
 Redução de um operário no caso da Porta Inferior.
Com a criação de células de trabalho devido ao balanceamento das operações é possível reduzir
de forma significativa o Lead Time nos processos estudados, para o lote completo, nomeadamente
em 6,5% no caso da Porta inferior e em 17,4% no caso da Traseira, tal como indicado no Quadro
4.16.
Shlatter Guilhotina
Shlatter + Guilhotina
97
Quadro 4.16 - Redução do Lead Time com balanceamento
4.4.3.6.1 Processo de Zincagem
Como referido anteriormente, este processo é um caso específico pois é extremamente complicado
introduzir fluxo contínuo no mesmo. No entanto, é possível aplicar uma sequenciação com FIFO para
garantir uma melhor continuidade do fluxo dos produtos e tornar mais fácil a gestão deste processo que,
servindo todos os produtos da fábrica, se torna por vezes pouco claro e atua de forma descoordenado da
restante cadeia de valor (Figura 4.17).
Figura 4.17 - Sequenciação FIFO no processo de Zincagem
4.4.3.7 (4) Onde implementar supermercados com sistemas Pull?
Em modelos HM a utilização deste sistema de supermercados com sistema Pull pode ser muito
dispendiosa se a variabilidade de componentes produzidos for elevada. Por outro lado, os diferentes
Lead Time tornam o sistema muito difícil de reabastecer corretamente devido ao facto de haver muitas
rotas distintas para diferentes produtos. A sua utilização depende de uma análise prévia da variedade de
componentes a ser produzida uma vez que este sistema visa controlar a produção nos processos antes
do PM.
Baseando-se nas necessidades do cliente, que neste caso seria o processo IDEAL, verifica-se que o facto
de quase nenhum produto ser igual (uma vez que existe elevada personalização do cliente), de a
quantidade de produtos necessários nunca ser a mesma e de existir uma total imprevisibilidade na
procura determina que a utilização deste sistema não é viável no ambiente HM em questão.
Variável PortaInferior Traseira
Lead Time atual
IDEAL, Soldadura p., Tico-tico Shlatter, Guilhotina
14,04 dias 11,94 dias
Lead Time com balanceamento
IDEAL+Soldadura p.+Tico-tico Shlatter+Guilhotina
13,13 dias 9,87 dias
Redução Lead Time 6,5% 17,4%
Zincagem
FIFO
98
4.4.3.8 O caso especial da matéria-prima
Em relação à matéria-prima, a FARAME efetua, na atualidade, revisões periódicas (não necessariamente
a intervalos de tempo regulares) dos seus stocks, entregando a responsabilidade de realizar o inventário
a um dos chefes de equipa que necessita de algumas horas para o fazer. Após a realização do inventário,
o responsável entrega o mesmo ao departamento de compras que toma as decisões necessárias em termos
das necessidades de aprovisionamento. Verifica-se, portanto, que não existe um controlo fiável dos
stocks devido à falta de rigor da periocidade das revisões e que esta atividade toma bastante tempo ao
chefe de equipa. Por este motivo a aplicação de Kanban é uma solução passível de ser utilizada para
transmitir informação ao departamento de compras da empresa que, por sua vez, processará a
informação e interagirá com os fornecedores.
O funcionamento deste sistema consiste na anexação de um Kanban de retirada em cada rolo de arame
que chega do fornecedor e, após a utilização do mesmo, o Kanban é enviado ao departamento de
compras que pode desta forma tomar decisões quanto às encomendas de acordo com os consumos reais
de matéria-prima.
Após a colocação de uma encomenda, o departamento de compras envia o Kanban correspondente para
as docas de receção de matéria-prima que são colocados numa caixa, ou algo semelhante, divididas por
dias, sinalizando o que vai chegar às docas e as datas de receção previstas. A representação deste sistema
pode ser observada na Figura 4.18, onde se mostra que o processo de corte envia o Kanban do arame
utilizado ao departamento de compras que, posteriormente, comunica com o fornecedor.
Figura 4.18 - Funcionamento do Sistema com Kanban para matéria-prima
Corte
Fornecedor
MRP
Planeamento e controlo
da produção
ArameX
99
4.4.3.9 (6) Como nivelar o mix de produção no Pacemaker?
O Nivelamento da produção é um dos principais fatores que tornam uma cadeia de valor Lean. Consiste
na produção dos diferentes tipos de produtos ao longo de determinado tempo, seguindo uma
sequenciação determinada em vez de a produção se fazer por grandes lotes do mesmo produto. Este
sistema implica, necessariamente, a utilização de supermercados Pull e resulta numa maior flexibilidade
para garantir as necessidades dos clientes bem como um Lead Time mais reduzido. Aplicando esta
metodologia ao caso prático em estudo, poder-se-ia ter algo semelhante ao esquema indicado na Figura
4.19, utilizando para exemplificar o processo da IDEAL e uma calendarização possível.
PS PI T B L PS PI T B L PS PI T B L
Figura 4.19 - Exemplo de balanceamento da produção na IDEAL
A utilização desta forma de calendarização poderia ser útil porque garantiria um Lead Time mais
reduzido ao produto final, uma vez que no processo de montagem ter-se-ia a chegada sequencial de
todos os componentes do produto e seria possível iniciar a sua montagem mais cedo.
No entanto, avaliando a situação atual da fábrica e as condições existentes conclui-se que não é possível
introduzir um sistema deste género pelos seguintes motivos:
 Apesar de cada um destes componentes necessitar de uma operação na IDEAL, diverge um
pouco nos processos seguintes, o que implica que não seja possível balancear a sua produção
como abordado na questão 3 pelo fato de não haver capacidade disponível para o fazer. A título
de exemplo pode considerar-se a seguinte situação: é terminada uma unidade de Porta Superior
na IDEAL e esta é encaminhada para os processos em fluxo seguintes balanceados para o seu
caso em concreto; de seguida é terminada uma unidade de Laterais da IDEAL, mas os processos
seguintes não são exatamente os mesmos e o balanceamento não se dá da mesma forma. Como
este haverá muitos outros exemplos, o que demonstra que é inviável proceder desta forma para
todos os componentes do produto;
 Este sistema implica a utilização de supermercados Pull, o que obrigaria à constituição e
manutenção de stocks a um nível insuportável;
1 contentor1 contentor 1 contentor
100
 Esta sequenciação da produção implica operações de Setup muito rápidas; ora a observação das
operações de Setup permitiu concluir que em máquinas como a IDEAL estas podem demorar
até 5 horas, tornando inviável o balanceamento no Pacemaker;
4.4.3.10 (7) Qual a taxa de produção no Pacemaker?
Definir uma taxa de produção no PM implica uma noção de Takt time e a utilização de sistemas de
supermercado Pull. Por outro lado, reduz necessariamente a flexibilidade exigidas em modelos HM o
que tornaria inviável este tipo de produção. Por esse motivo não é adequado definir uma taxa de
produção neste processo tendo em conta o contexto atual da empresa.
4.4.3.11 Síntese da análise efetuada através da utilização das linhas orientadoras para
definição do mapa futuro
A análise das linhas orientadoras a atender para definição do mapa futuro permitiram determinar alguns
aspetos importantes a incorporar nas propostas de melhorias a efetuar para os componentes estudados.
No Quadro 4.17 diferenciam-se as abordagens da metodologia Lean que foram retidas para definir o
mapa futuro dos processos estudados daquelas que se verificou não serem passíveis de serem aplicadas
e que, por isso, requerem uma abordagem adaptada.
Quadro 4.17 - Avaliação das questões consideradas para definição do mapa futuro
Questões paradefinir o mapafuturo
1 - Qual é o Takt time?
X
2 - A produção deve seguir para um supermercado de produtos acabados oudiretamente
para o processo seguinte?
√
3 - Onde implementar um fluxo de processoscontínuo?
√
4 - Onde implementar supermercados com sistemas Pull?
X
5 - Em que ponto do fluxo calendarizar a produção?
√
6 - Como nivelar o mix de produção no Pacemaker
X
7 - Qual a taxa de produção no Pacemaker?
X
8 - Que melhorias nos processosserão necessárias?
√
101
(5) ;(2) De uma forma resumida foi definido um processo PM onde passará a ser calendarizada a
produção. Esta calendarização deverá dar-se por ordens de fabrico sequenciadas e a gestão do trabalho
deverá ser auxiliada, por exemplo, através da utilização de quadros FIFO e/ou “Day-By-Hour”. Após o
PM a produção deverá ser encaminhada para os processos num fluxo contínuo ou FIFO.
(3) Foram criadas células de trabalho balanceadas para permitir um fluxo contínuo em determinados
pontos, com diferenças nos dois casos estudados, que irão contribuir para a redução do Lead Time, e foi
introduzido um sistema equivalente aos cartões Kanban para controlo da matéria-prima.
Quanto à metodologia de entrada no processo de Zincagem, esta far-se-á de acordo com uma
sequenciação FIFO.
No entanto, algumas das linhas orientadoras (1, 3, 6 e 7) não podem ser aplicadas devido ao sistema
produtivo da empresa e, por esse motivo, existe a necessidade de analisar de que forma se pode
introduzir um sistema equivalente aos Supermercados Pull para que seja possível resolver outros
problemas, como lidar com o mix de produção no PM e qual a sua taxa de produção. É preciso, sobretudo
entender, de que forma pode ser substituída a produção ao ritmo de Takt time por sistemas baseados nas
encomendas reais dos clientes, nomeadamente o funcionamento da calendarização no PM.
(8) A questão relativa às melhorias necessárias nos processos será abordada no final após definição a
definição da globalidade de propostas de melhoria a implementar.
Foi possível com a análise efetuada dar indicações para a resolução de alguns problemas através da
atenuação das fontes de desperdícios identificadas no Quadro 4.14 e os pontos onde não foi possível
atuar serão analisados com base em outras perspetivas/ferramentas, nomeadamente através de
abordagens comumente utilizadas em sistemas High Mix e através da ferramenta 5S.
4.4.3.12 Análise 5S
4.4.3.12.1 Organização
A análise do dia a dia de trabalho na empresa permitiu detetar algumas dificuldades no desempenho de
atividades com origem em deficiente organização e manutenção do espaço, em falta de disciplina no
cumprimento e utilização de procedimentos internos e, ainda, na inexistência de alguns procedimentos
considerado extremamente importantes. Tal como foi analisado no Quadro 4.14, em que se relacionam
os aspetos organizacionais/fontes com os desperdícios identificados, estas situações podem estar na
origem de alguns problemas que afetam o fluxo de valor, e também, o próprio processo, que originam
desperdícios de espera e transporte/movimentos desnecessários.
Por este motivo, com o objetivo de estudar mais profundamente esta questão, tornou-se evidente que a
utilização da ferramenta 5S poderia ajudar a expor algumas situações mais visíveis na área da
organização com o propósito de detetar em que medida é estas poderiam estar na origem de desperdícios
102
ou contribuir para o agravamento dos mesmos. Diversos autores defendem que esta é a melhor
ferramenta para analisar situações relacionadas com problemas de organização e para a explicitação de
algumas situações mais superficiais que afetam a eficiência e eficácia dos processos e organizações.
No caso prático estudado, foram tidos em consideração os seguintes aspetos que influenciaram a sua
utilização:
 Apesar de a ferramenta 5S se reger por princípios bastante simples, e aparentemente evidentes,
estes podem resultar em grandes benefícios para a empresa se foram devidamente
implementados e melhorar significativamente o ambiente das instalações;
 Trata-se de uma análise das condições do espaço de trabalho que está sistematizada e fornece
uma metodologia planeada de análise e resultados quantitativos, permitindo também retirar
conclusões qualitativas;
 Permite estabelecer objetivos pontuais e avaliar a evolução das condições na empresa ao longo
do tempo, comparando-as com a situação inicial ou ideal;
 Demonstra ser aplicável em qualquer tipo de indústria e para diversas situações,
independentemente da dimensão da empresa ou tipo de produção.
4.4.3.12.2 Análise e documentação
Para a realização da análise 5S foi utilizada o formulário fornecido pela Production Automation
Corporation - 5S/visual Workplace Handbook, que se apresentar no Anexo III ao presente documento,
tendo a análise recaído sobre os seguintes quatro processos: Corte, Vinco CNC, Balancé e Shlatter.
O formulário encontra-se dividido em cinco princípios distintos para análise independente das condições
do local de trabalho, sendo atribuída uma pontuação de uma escala que varia entre 0 e 5 de acordo com
a apreciação efetuada, sendo que uma pontuação de 0 significa total inconformidade com o princípio
analisado, e 5 significa a total conformidade. Uma pontuação elevada significa uma maior conformidade
com os princípios 5S e uma menor pontuação indica a necessidade de serem implementadas melhorias.
No Quadro 4.18 apresentam-se os cinco princípios do 5S utilizados para a análise e os respetivos
conceitos associados.
103
Quadro 4.18 - Princípios 5S
Princípio Conceito Propósito
Utilização/seleção Separação do desnecessário
Espaço de trabalho mais
desimpedido
Limpeza
Remoção de resíduos e sujidade,
e remoção das suas fontes
Espaço de trabalho limpo
Ordem Funcionalidade
Espaço de trabalho visualmente
instrutivo
Estandardizar
Estabelecer padrões e
procedimentosinternos
Manter melhorias no espaço de
trabalho
Sustentar Expandir e refinar o 5S Melhoriacontínua
4.4.3.12.3 Resultados
Seguindo os princípios da ferramenta 5S foi possível detetar situações que reforçam a ligação entre a
fonte (organização) e os problemas daí resultantes, fundamentados pelos resultados quantitativos e
qualitativos da análise. As pontuações atribuídas para cada um dos princípios da análise 5S que se
sistematizam no Quadro 4.19, evidenciam grandes lacunas, uma vez que a pontuação atingida em cada
um dos quatro processos foi de 9, numa escala cujo valor máximo possível é 25.
Verifica-se globalmente que, quer ao nível de procedimentos internos quer ao nível da separação de
material desnecessário, existe uma óbvia necessidade de melhorar as condições existentes. Por outro
lado, constata-se que os princípios de limpeza e ordem no local de trabalho são francamente
negligenciados uma vez que a nenhum dos processos foi atribuído um único ponto nestes princípios,
considerando-se que a funcionalidade das instalações está a ser afetada e os espaços de trabalho estão
claramente sujos gerando desperdícios de esperas e transporte/movimentos desnecessários.
Quadro 4.19 - Resultados quantitativos da análise 5S
Princípio Corte Vinco CNC Balancé Shlatter
Utilização/seleção 2 4 1 2
Limpeza 0 0 0 0
Ordem 0 0 0 0
Estandardizar 3 1 4 3
Sustentar 4 4 4 4
Total 9 9 9 9
Na Figura 4.20 apresentam-se resumidamente alguns elementos que documentam a análise efetuada que
descrevem aspetos particulares da situação atual.
104
Figura 4.20 - Explicitação de alguns aspetos identificados na análise 5S
1 - UTILIZAÇÃO/SELEÇÃO (codificação e avisos)
A codificação das máquinas é defeituosae incoerente e os avisos de segurança existentes não são visíveis ou são
maioritariamente inexistentes.
Não estáintroduzido um sistemafiável de controlodos stocksdaempresaou de produção visual-
Codificaçãode máquina praticamente nãovisível
2 - LIMPEZA
Os locais de trabalho não estão limpos.
Local de trabalhosujoe desarrumado
3 - ORDEM (cont.)
Não existe qualquer tipo de organização (e correspondente sinalização) nomeadamente paracolocação de
ferramentas e outros componentes(muitas ferramentas não estão no local de trabalho quando necessário), para
colocação de stocks, paracolocação de equipamentos móveis e paletes, entre outros.
Não existe marcação de linhas no chão da fábrica para demarcação de áreas de circulação e de armazenamento.
Inexistênciade organizaçãovisual
Ausência de marcaçãode linhas no pavimento ou de
zona para stocks
105
3 - ORDEM (cont.)
Inexistênciade organizaçãonas zonas destinadas
a arrumação
Inexistência de organizaçãonos locais de trabalho
4 - ESTANDARDIZAÇÃO DE PRÁTICAS E SINALÉTICA
Não existe estandardização para processosde trabalhos ouavisos, ou modo de armazenamento de peças
produzidas, sendo geralmente o armazenamento feito no contentoroupalete mais próxima/fácil acesso.
Armazenamentoem paletepartida Diferentesmétodos de armazenamento
5 - SUSTENTAR
Não existe culturade organização e manutenção da mesma.
As situações verificadas durante a análise e os resultados quantitativos permitem sustentar que o fluxo
de valor dos produtos e os processos na fábrica podem estar a ser afetados devido a problemas
relacionados com a organização. Desta forma, a necessidade de melhorar as condições existentes no
posto de trabalho a vários níveis, bem como nas instalações no geral, é uma necessidade, em primeiro
lugar, para marcar o passo na iniciação de algumas mudanças na empresa, em segundo lugar, para
facilitar a integração de medidas novas e, por ultimo, para melhorar o fluxo de valor dos produtos e os
processos para reduzir desperdícios.
106
Existem algumas áreas que exigem maior prioridade na implementação de melhorias e por esse motivo
deverá ser concebido um programa 5S especialmente para atender a estas necessidades e para as
priorizar.
4.4.4 KAIZEN EM AMBIENTES HM
O propósito da análise efetuada ao estado atual de uma família de produtos está relacionado com a
necessidade de a empresa se aproximar aos princípios Lean e iniciar a construção de fundações que lhe
permitam criar um processo de melhoria contínua dentro da organização.
No entanto, tal como já foi abordado anteriormente, existem muitos princípios inerentes a esta
abordagem que não são aplicáveis diretamente no caso estudado porque a empresa se insere num
ambiente produtivo HM e existem, também, outros princípios que foram estudados, mas que necessitam
de ser aprofundados para garantir o seu correto funcionamento. Por este motivo foram estudados os
conceitos inerentes ao Made-to-Order Lean como tentativa de obtenção de soluções plausíveis para este
contexto. No Quadro 4.20 estão representadas as fontes de desperdícios não solucionadas (ou apenas
parcialmente) pelo Lean tradicional e os respetivos problemas remanescentes e a abordagem Made-to-
Order Lean proposta para a sua resolução.
Quadro 4.20 - Fontes de desperdícios e abordagem Made-to-Order Lean
Fonte Problema
Abordagem Made-to-Order
Lean
Calendarização Modo de garantir a sequenciação. Gestão visual e quadro FIFO
Comunicação
Impossibilidade de utilizar
supermercados Pull para
comunicação a montante do PM
Cartões POLCA
WIP
Balanceamento possível apenas
em pequenas partes do fluxo de
valor; valor ainda muito elevado.
Cartões POLCA
Lead Time
Balanceamento possível apenas
em pequenas partes do fluxo de
valor; valor ainda muito elevado.
Cartões POLCA
Mix de produtos
Elevada diversidade de produtos e
dificuldade em criar fluxo de
valor partilhado.
Cartões POLCA
Tendo sido sugerido que a calendarização da produção passasse a fazer-se no processo PM, torna-se,
ainda, necessário procurar uma solução que garanta a sequenciação da produção neste ponto.
107
Quanto à comunicação, esta deve dar-se idealmente apenas neste processo embora, a impossibilidade
de utilização de Supermercados Pull com um sistema de Kanban implica que os processos a montante
ainda se rejam por uma metodologia Push.
No que diz respeito ao WIP e ao Lead Time, o balanceamento da produção em determinados pontos
permite a sua redução, mas, ainda assim, o restante fluxo de valor incorre em desperdícios, sobretudo a
montante do PM.
Por último, o elevado mix de produtos, que efetivamente está na origem de muitos destes problemas,
não tem uma solução determinada que permita a partilha do fluxo de valor e a redução de muitos
desperdícios inerentes ao funcionamento atual da fábrica.
Isto significa que terá, necessariamente, que ser estabelecido um compromisso com vista à otimização
dos processos, considerando os condicionamentos inerentes a esse ambiente de produção em estudo.
4.4.4.1 Calendarização da produção no Pacemaker
Para adotar a calendarização da produção no PM, a alternativa mais adequada é a utilização de um
“Quadro FIFO” que se baseia na aplicação da metodologia de planeamento FIFO e que consiste numa
ferramenta visual e facilmente apreendida e utilizada por qualquer envolvido no planeamento e na
produção. A utilização deste quadro pretende garantir a sequenciação neste ponto e o acompanhamento
da produção por parte de todos os envolvidos.
Esta metodologia de planeamento baseia-se na colocação de ímanes, ou qualquer elemento semelhante,
num quadro que sintetiza o estado dos trabalhos e em que cada cor de íman representa uma obra
emitida pelo planeamento da produção, e cada íman representa o lote de transporte definido para
essa obra (existe um local com ímanes extra, se necessário). Este lote de transporte, já abordado no
subcapítulo 4.4.3.6, representa uma quantidade determinada pelo planeamento da produção que o
operador consegue transportar para o processo seguinte de uma forma eficiente. Este quadro, a ser
instalado no PM, que no caso prático estudado se localiza na máquina IDEAL, contém três variáveis:
 Trabalho em espera;
 Trabalho em curso;
 Trabalho completo.
O quadro contém uma quarta variável informativa para cada obra, indicada no quadro FIFO, que
explicita claramente qual é o produto a efetuar, o lote de transporte definido para a obra e o tempo de
produção do mesmo.
108
4.4.4.1.1 Trabalho em espera
O trabalho em espera representa o trabalho que é necessário realizar para terminar uma obra. No início
de cada turno (ou outro horizonte temporal desejado), os ímanes são retirados da caixa de ímanes extra
e colocados na fila de trabalhos em espera de acordo com a priorização estabelecida pelo departamento
de planeamento, tal como representado na Figura 4.21.
Figura 4.21 - Funcionamento do quadro FIFO/trabalho em espera
A adoção deste tipo de técnica apresenta as seguintes características e vantagens:
 O tamanho da fila de trabalho em espera baseia-se nos tempos estimados para a produção do
subcomponente;
 Permite deduzir o tempo necessário para terminar a obra em curso;
 Permite observar quantas unidades estão em espera para iniciar o trabalho.
Para exemplificar a utilização deste quadro toma-se como exemplo o caso estudado da Porta Inferior.
Supõe-se que o departamento de planeamento decidiu que o lote que deve ser produzido e transportado
da IDEAL para o processo seguinte é de 9 unidades e emitiu uma ordem de produção de 90 unidades
(para esta obra destinou-se a cor verde). Relembrando o balanceamento que foi efetuado para a produção
deste componente (Figura 4.22), verifica-se que em cada 13,2 minutos se espera que sejam produzidas
e transportadas para o processo seguinte 9 unidades.
Figura 4.22 - Nivelamento da produção Porta inferior
648 585
207144
IDEA L SOLDA DURA PONT OS + T ICO-
T ICO
Tempo de ciclo Segunda máquina Tempo de sobra
109
Neste caso o quadro FIFO teria o aspeto indicado na Figura 4.23.
Figura 4.23 - Exemplo de funcionamento do quadro FIFO (trabalho em espera)
A observação do quadro com este aspeto e das variáveis informativas para esta obra permitiria entender
rapidamente que:
 Irão ser produzidas 90 unidades;
 A duração esperada de produção é de (13,2*9) 119,7 minutos;
 Irá entrar em produção o produto Genérico;
4.4.4.1.2 Trabalho em curso
O trabalho em curso representa o trabalho que está a ser efetuado no momento. Colocam-se os ímanes
de trabalho em espera para trabalho em curso quando se inicia um novo turno (ou qualquer outro
horizonte temporal desejado). Neste caso o quadro FIFO teria o aspeto indicado na Figura 4.24.
Figura 4.24 - Exemplo de funcionamento do quadro FIFO (trabalho em curso)
A adoção deste tipo de quadro apresenta as seguintes características e vantagens:
 Permite observar quantas peças se esperam produzir (por exemplo de manhã);
 Permite observar a cadência da produção;
 Estabelece objetivos produtivos de uma forma visível a todos.
Lote de transporte: 9 Unid
Tempo/lote: 13,3 min
Produto: Genérico
110
4.4.4.1.3 Trabalho completo
O trabalho completo representa o trabalho que foi terminado durante o turno (ou outro horizonte tem
poral desejado). Terminado o turno, ou quando aplicável, retiram-se os ímanes correspondentes ao
trabalho em curso e coloca-se no local correspondente ao trabalho terminado. Neste caso o quadro FIFO
teria o aspeto indicado na Figura 4.25.
Figura 4.25 - Exemplo de funcionamento do quadro FIFO (trabalho completo)
A aadoção deste tipo de quadro apresenta as seguintes características e vantagens:
 Quando se inicia um novo turno, retiram-se os ímanes na zona de trabalho terminado para o
quadro de ímanes extra;
 Após o fim do turno permite detetar atrasos facilmente e eventuais problemas verificados;
 Permite observar o trabalho efetuado durante o turno de trabalho;
 Permite observar se os objetivos produtivos foram cumpridos.
4.4.4.1.4 Benefícios da utilização do quadro FIFO
Um sistema de gestão visual de pendências e do ponto de situação dos trabalhos que apresenta os
seguintes benefícios principais:
 Facilita a gestão da produção em tempo real, tanto ao nível da fábrica como ao nível do
departamento de planeamento;
 Permite que todos apreendam/compreendam de forma rápida o estado do sistema;
 Facilita a garantia a priorização dos trabalhos;
 Confere mais precisão às estimativas ou tempos padrão dos processos (com consequências no
planeamento);
 Facilita a avaliação e medição de ganhos ou perdas de produtividade;
 Incentiva os trabalhadores a registar os problemas que causam atrasos;
 Permite entender claramente o estado dos processos e proceder a eventuais ajustamentos de
mão-de-obra (por exemplo reforços pontuais quando o trabalho está em espera).
111
4.4.4.1.5 Aplicabilidade da solução ao caso em estudo
A utilização dos quadros FIFO implicam a utilização de cores para identificação das diferentes obras,
situação esta que já se verifica atualmente como tentativa de controlar as rotas dos subcomponentes e
componentes dentro das instalações. Cada subcomponente tem uma cor anexada para rápida
identificação da obra a que pertence, pelo que o sistema sugerido do quadro FIFO constitui uma extensão
que parece ser perfeitamente viável para controlo da produção no PM.
4.4.4.2 Comunicação e mix de produtos
Como foi abordado anteriormente, um sistema clássico de Pull não se adequa à situação atual da
empresa. Este sistema, apesar de fazer parte da abordagem tradicional do Lean que se baseia na criação
de um fluxo através da sincronização dos processos da fábrica ao ritmo de Takt time, não é válido porque,
num ambiente de elevada variabilidade, as exigências diárias das diferentes máquinas podem ser tão
diferentes que a produção ficaria desequilibrada, podendo gerar ainda mais desperdícios.
Por outro lado, neste sistema, quando um produto é consumido são utilizados Kanbans para
reabastecimento o que, para uma empresa que faz centenas de produtos, isto implicaria a constituição
de stocks desmesurados.
4.4.4.2.1 Cartões POLCA
Pelos motivos anteriormente expostos, no contexto atual da empresa é mais indicado considerar a
utilização de um sistema de cartões POLCA a montante do PM, o que é particularmente adequado para
ambientes HM, e por se verificarem as seguintes condições que justificam o recurso a esta ferramenta:
 O Lead Time dos componentes estudados é ainda elevado e este sistema dentro da abordagem
QRM permite a redução do valor deste indicador;
 O valor do WIP nas instalações é muito elevado e é necessário introduzir uma forma de controlar
este problema;
 A utilização de cartões POLCA permite, em grande parte, lidar com o elevado mix de produtos
porque está indicado especialmente para este tipo de situações;
 Já existe um sistema MRP na empresa, essencial para introdução dos cartões;
 É possível determinar rotas de produtos estáveis;
112
4.4.4.2.2 Determinação dos círculos POLCA
Para conceber o sistema de cartões POLCA é importante entender quantas células de trabalho vão estar
incorporadas. No caso estudado estabeleceu-se um círculo para cada tipo de processo, designadamente
o Corte, o Vinco CNC, a Shlatter e a IDEAL, tal como indicado na Figura 4.26.
Movimentação possível
Figura 4.26 - Células de trabalho e movimentações possíveis
As movimentações/emparelhamentos possíveis neste caso são as seguintes, tal como representado na
Figura 4.27:
 Corte - Shlatter;
 Shlatter - IDEAL;
 Vinco CNC - IDEAL;
 Corte - IDEAL
Figura 4.27 - Cartões POLCA estabelecidos para o caso estudado
Corte - Shlatter
Vinco CNC -
IDEAL
Shlatter -
IDEAL
Corte - IDEAL
PM
IdealShlatter
Corte
Corte
Vinco CNC
Corte
113
Seguindo os conceitos inerentes ao Sistema POLCA, passarão a existir quatro cartões diferentes, cada
um dos quais relativo a uma possibilidade de trajeto. Cada um deste cartões simboliza, dentro da fábrica,
uma “obra” que pode corresponder a um número variável de subcomponentes a produzir. Estabelecidas
a células de trabalho e as movimentações possíveis, o sistema passa a funcionar, por exemplo, da
seguinte forma:
 O processo de Corte recebe uma autorização de fabrico para produzir X unidades e enviá-las
para a Shlatter;
 Se existir um cartão correspondente ao emparelhamento Corte-Shlatter disponível no primeiro
processo significa que este pode iniciar a produção de acordo com a autorização de fabrico; se
não existir nenhum cartão correspondente, então a produção não pode ser iniciada e deverá ser
adiada para quando estiver um cartão correspondente a este emparelhamento disponível;
 Caso não exista nenhum cartão disponível, o operador deverá verificar qual a autorização de
fabrico seguinte por exemplo, produzir Y unidades para a IDEAL;
 Se existir um cartão correspondente ao emparelhamento Corte-IDEAL então a produção
poderá ser iniciada e expedida de acordo com a autorização de fabrico.
4.4.4.2.3 Número de cartões por emparelhamento
A questão relativa ao número de cartões POLCA para cada emparelhamento será abordada no
Capítulo 5.
4.5 MAPEAMENTO DO ESTADO FUTURO
A conceção do mapa do estado futuro tem como base as mesmas circunstâncias que presidiram à
elaboração do mapa de estado atual, ou seja, os componentes mapeados são os mesmos e o fluxo de
valor é equivalente. No entanto, neste novo mapa será representado o fluxo de valor dos componentes
com a inclusão das sugestões de melhoria, representando, portanto, o funcionamento do sistema num
estado ideal. A conceção de um mapa futuro ideal para o fluxo de valor analisado tenderá a ser mais
simples do que o atual e a ter menos redundâncias uma vez que serão eliminadas algumas atividades
que se configuram como desperdícios, tal como evidenciado na análise dos eventos Kaizen.
4.5.1 DESCRIÇÃO E APRESENTAÇÃO DOS MAPAS
Para o estado futuro ideal propôs-se a criação de células de trabalho em certos pontos que incluem
diversas operações, tanto quanto possível, balanceadas, constituídas por três operadores, no caso da
Porta inferior, e dois operadores, no caso da Traseira, com funções diferentes. Nestas células de trabalho
a produção dá-se em fluxo contínuo com as peças a serem movimentadas em pequenas quantidades de
114
uma operação para a outra, reduzindo os tempos de espera de lotes acabados e, consequentemente, do
Lead Time do produto e do WIP no sistema.
A comunicação passa a ser efetuada apenas ao PM e aos processos a montante do mesmo embora a
calendarização seja apenas efetuada para o primeiro, recorrendo, para o efeito, a um quadro FIFO que
garanta a sequenciação das “obras”. A partir deste ponto não existe comunicação entre os processos e o
planeamento porque o fluxo se processa de uma forma contínua. Para o processo de Zincagem a entrada
de produtos dá-se de acordo com a metodologia FIFO.
Do PM para montante, o sistema é controlado por cartões POLCA de forma a aproximar as necessidades
dos processos seguintes com o seu ritmo de produção e garantir alguma estabilidade num ambiente HM.
Existe, desta forma, um equilíbrio entre as metodologias Pull/Push e uma maior ligação entre os
processos, sendo esperado obter reduções do Lead Time e WIP no sistema.
O controlo da matéria-prima funciona com um sistema de supermercados Pull para os processos de
Corte e Vinco CNC através da utilização de Kanbans que são controlados pelo departamento de
planeamento e controlo da produção.
As Figuras 4.28 e 4.29 representam, respetivamente, os mapas do estado futuro ideal da Porta inferior e
da Traseira do Contentor de arame.
4.5.2 RESULTADOS ESPERADOS PARA O CASO PRÁTICO EM ESTUDO
No Quadro 4.21 sistematizam-se e confrontam-se as condições que se verificam no estado atual e os
resultados esperados para o caso em estudo em resultado da implementação das propostas de melhorias
para cada aspeto organizacional ou fonte de desperdício.
115
Figura 4.28 - Mapa do estado futuro ideal da Porta Inferior do contentor de arame
Montagem
PM
Ideal + Sold.pontos + Tico-Tico
Shlatter
Corte
Corte
Vinco CNC
Corte
Fornecedor
MRP
Planeamento e controlo
da produção
Zincagem
SH/ID
C/ID
CNC/ID
C/ID
C/ID
FIFO
116
Figura 4.29 - Mapa do estado futuro ideal da Traseira do contentor de arame
Montagem
Zincagem
PM
IdealShlatter + Guilhotina
Corte
Corte
Vinco CNC
Vinco CNC
FIFO
Fornecedor
MRP
Planeamento e controlo
da produção
CNC/ID
CNC/ID
SH/ID
C/SH
C/SH
117
Quadro 4.21 - Fontes de desperdícios e confrontação dos estados atuais e futuros
Fonte Estado Atual Estado futuro
Cultura de
valor
O fluxo de valor é desconectado;
cada processo funciona de acordo
com aquilo que é melhor na
perspetiva do próprio processo.
Com a introdução de algumas sugestões, nomeadamente os cartões POLCA e o balanceamento da
produção para garantir um fluxo contínuo em alguns processos, a execução de operações passa a estar
mais relacionadas com a criação de valor para o produto e não para os processos isoladamente. É
possível reduzir o seu Lead Time e ter um controlo mais eficiente do WIP, reduzindo desperdícios que
retiram valor ao produto, e obter uma maior ligação entre os processos e estabelecida uma relação
benéfica entre Pull/Push.
Organização
As instalações estão muito
desorganizadas, as ferramentas
estão em locais incertos e faltam
procedimentos internos para
diversas situações que originam
muitas ineficiências ao nível do
fluxo e do processo.
Com a alteração das condições existentes nas instalações atuais e a criação de uma mentalidade de
mudança e de promoção de melhorias, as propostas terão consequências no aumento da eficiência dos
trabalhadores no desempenho das suas funções quotidianas.
Bottleneck
Processo cria esperas e limita os
restantes processos.
Com a definição do PM no processo da IDEAL, o ritmo produtivo da fábrica passa a estar dependente
deste, o que implica a redução do stock em espera no sistema. Esta alteração significa que o BN passa
a determinar o ritmo produtivo.
Calendarização
O planeamento da produção é
efetuado de acordo com a previsão
de estados futuros e é regularmente
alterado.
A calendarização passa a ser efetuada apenas no PM em conjugação com os cartões POLCA e,
portanto, todos os processos a montante passam a produzir com base nas necessidades do Pacemaker.
118
Comunicação
A informação transmitida a cada
processo individualmente
originando um fluxo Push.
As alterações propostas irão alterar o fluxo de comunicação que atualmente ocorre entre o
planeamento da produção e todos os processos da fábrica com frequentes alterações e confusões para
os trabalhadores. A comunicação entre o planeamento da produção passará a ser efetuada apenas para
o PM, tendo como consequência uma aproximação à produção de acordo com as necessidades reais.
A comunicação com os processos a montante deste ponto passará a ser efetuada pelo sistema de
cartões POLCA.
WIP
Verificam-se grandes acumulações
de WIP e esperas elevadas.
A introdução do balanceamento da produção e dos cartões POLCA resulta na produção em fluxo
contínuo em alguns pontos sem a existência de esperas entre processos e de um melhor controlo deste
valor a montante do PM.
Lead Time
O Lead Time muito elevado em
relação ao tempo total de
processamento.
A introdução do balanceamento da produção e a introdução dos cartões POLCA resulta na produção
em fluxo contínuo em alguns pontos com um valor de Lead Time mais reduzido.
Mix de
produtos
São produzidos uma muito grande
diversidade de produtos e existe
dificuldade em criar fluxo de valor
partilhado com Lean tradicional.
A introdução de cartões POLCA assegura uma melhor coordenação entre os processos e permite
maior flexibilidade em ambientes HM sem a acumulação de stocks indesejados. O seu funcionamento
implica alguns benefícios de um sistema Pull, mas sem os custos inerentes ao tipo de produção da
empresa.
119
120
5 TRANSPOSIÇÃO DO CASO PARTICULAR ESTUDADO PARA A
GLOBALIDADE DA EMPRESA
O estudo do fluxo de valor anteriormente apresentado para um produto específico da família dos
contentores de arame produzidos na FARAME visou obter um diagnóstico, tendo sido testada a
aplicabilidade de ferramentas e conceitos Lean tradicionais, e tendo sido complementada esta análise
com o recurso a outras ferramentas de estudo mais adequadas ao ambiente High Mix que carateriza o
sistema produtivo da empresa.
Esta conjugação de abordagens mostrou-se adequada para servir os propósitos do estudo e a questão
que, naturalmente, se que colocou em seguida foi a de avaliar em que medida as análise e sugestões de
melhoria consideradas para o produto específico estudado poderiam ser estendidas aos restantes fluxos
de valor da mesma e de outras famílias de produtos na empresa. Para além do interesse académico que
revestiu esta questão, tratava-se de uma questão também importante na perspetiva da empresa uma vez
que apenas a implementação de soluções com carácter abrangente poderia ter consequências
significativas para a mesma.
Assim, tornou-se necessário efetuar uma análise global do sistema produtivo para entender a
aplicabilidade e o impacto das sugestões propostas na empresa como um todo, tendo presente que, para
uma empresa onde é exigida uma capacidade produtiva flexível, o principal objetivo é adotar sistemas
que sejam capazes de responder às necessidades dos clientes sem incorrer em desperdícios e procurando
obter Lead Time reduzidos.
5.1 APLICABILIDADE DAS SUGESTÕES PROPOSTAS NAS RESTANTES
FAMÍLIAS DE PRODUTOS
5.1.1 PM NAS RESTANTES FAMÍLIAS DE PRODUTOS
Este ponto estabelecido para os componentes estudados varia pouco em relação a outras famílias de
produtos, estando indiscutivelmente localizado ou no processo da IDEAL, no Robô ABB ou no Robô
de CO2 para todos os produtos produzidos na fábrica. Por outro lado, é importante relevar que se tratam
de processos mutuamente exclusivos, ou seja, se um produto sofre uma operação na IDEAL não irá ser
encaminhado para o Robô ABB ou o Robô de CO2 uma vez que são processos extremamente
semelhantes na sua função, embora divirjam na sua complexidade. Nestas condições pode generalizar-
se que que existem três processos PM na fábrica.
Se se tomarem em consideração algumas das propostas referentes ao PM no caso estudado, tal como
introduzir um quadro FIFO e efetuar a calendarização neste ponto verifica-se que a aplicação das
mesmas pode ser extensiva aos restantes PM porque são soluções que não iriam ter um impacte
financeiro elevado, e uma vez que representam também o “gargalo” da produção (BN), o efeito nas
121
respetivas cadeias de valor seria semelhante ao do caso estudado. Efetivamente, o controlo da produção
com a utilização de um quadro FIFO nestes três processos e a respetiva calendarização é viável para a
maioria dos produtos porque todos eles passam por um deste pontos.
5.1.2 BALANCEAMENTO DA PRODUÇÃO
Depois de terem sido determinados os pontos PM para todos os produtos, levanta-se a questão de saber
se é possível produzir em fluxo contínuo a partir deste ponto, independentemente do tipo de produto em
questão. A análise das instalações e a observação de outros fluxos de valor permitiu concluir que todas
as operações que se seguem ao PM são passíveis de ser balanceadas para a produção em fluxo contínuo,
essencialmente por três motivos:
 Tratam-se de operações manuais ou semi-automáticas simples que, maioritariamente, não
exigem operações de Setup ou que são extremamente simples (por exemplo, alterar o material
do cordão de soldadura manual para outro material);
 As máquinas envolvidas nos processos são de pequena dimensão e existem em grande
quantidade (por exemplo existem 5 máquinas de soldadura elétrica por resistência) e são
operadas apenas por um em vários trabalhadores que não estão adstritos apenas a essas
operações, o que confere grande flexibilidade na alocação de recursos técnicos e humanos à
produção de um produto;
 O layout das instalações permite implementar um fluxo contínuo independentemente do tipo de
produto a ser produzido, devido à proximidade dos equipamentos e à facilidade de estabelecer
rotas para o transporte de materiais.
Estes aspetos permitem concluir que é possível efetuar o balanceamento pretendido embora se deva ter
presente que pode nem sempre ser possível efetuá-lo de uma maneira perfeita sem que se registem alguns
tempos de espera/algum desfasamento temporal (pequenos, na ordem dos segundos) entre operações.
No entanto, é importante salientar que a implementação deste método é francamente preferível quando
comparado com um sistema de produção seguindo uma metodologia Push com elevados tempos de
espera e WIP entre processos.
A produção em fluxo contínuo a partir do PM requer a existência de um padrão de planeamento para
cada encomenda em que sejam seguidos alguns passos, formando uma célula de trabalho, como no caso
estudados, seguindo a seguinte sequência:
1) Análise das operações para o produto - Verificar quais são os processos incluídos no fluxo
do valor do produto para conceber uma célula de trabalho adaptada à situação concreta a jusante
122
do PM e estabelecer que máquinas estarão envolvidas, qual o número de operadores que será
necessário alocar para a obra e quais são as datas de execução previstas;
2) Análise dos tempos de ciclo de cada operação - Construção do gráfico dos tempos de ciclo
dos processos utilizados e realização de brainstorming para determinação das medidas de
balanceamento da produção, quer por adição de máquinas à célula de trabalho, por realização
de etapas paralelas, de aproveitamento de tempos “mortos” ou por reforço de mão-de-obra
conforme a situação;
3) Determinação do lote ideal de transporte - Determinação do lote de transporte entre
operações que deve ter em consideração a utilização das folgas no balanceamento, ou a
atribuição desta tarefa a um operador dedicado, e a capacidade de transporte do trabalhador/
porta-palete, grau de empilhamento dos subcomponentes, entre outros.
Desta forma obtém-se um método para balanceamento da produção independentemente do tipo de
produto a processar e torna-se possível conceber uma célula de trabalho adaptada a cada situação, tal
como representado na Figura 5.1. O sistema neste caso funciona através da criação de um documento
que será anexado a cada nova encomenda e que será enviado para o processo PM, contendo indicações
de conceção e funcionamento da célula determinados pelos três passos anteriormente referidos e pelas
especificações para produção no PM, nomeadamente a sua calendarização para colocação no quadro
FIFO.
Figura 5.1 - Modelo da célula-tipo para produção balanceada a partir do PM
Salienta-se que, apesar do ambiente produtivo High Mix que carateriza a empresa, a partir do momento
em que se estabeleçam células de trabalho relativamente padronizadas em função dos tipos de
encomendas, o processo passará a ser rotineiro e simples porque haverá certamente muitas “obras” que
partilharão semelhantes conceções de célula de trabalho (célula-tipo), independentemente das
adaptações que terão que ser feitas em função das especificidades de cada encomenda.
Operadores???
PM + ? + ?
PM/Nivelamento
123
5.1.3 POLCA A MONTANTE DO PM
Um aspeto importante do sistema POLCA é que se trata de um controlo e não de um planeamento que
serve para ajudar na execução de um plano. Atualmente na fábrica é executado um plano de produção
para a totalidade das instalações que, contudo, não se revela eficiente por resultar em grandes
desperdícios e elevados Lead time. O ambiente produtivo de alta customização e grande mix de produtos
da empresa justifica a necessidade de estender a toda a instalação a utilização de cartões POLCA a
montante dos PM, porque não parece ser viável, mais uma vez aplicar, este sistema apenas a uma
determinada família de produtos visto que os recursos produtivos são todos partilhados.
Por outro lado, considerando que já é atualmente realizado um plano de produção por encomenda/, a
utilização dos cartões POLCA irá apenas ajudar a controlar o WIP não alterando, necessariamente,
nenhum aspeto do plano efetuado.
Esta sugestão de melhoria é aplicável a todas as famílias de produtos e destina-se a todos os processos
a montante dos PM porque os cartões não são específicos de um produto, como num sistema clássico
de Kanban, mas são atribuídos a pares de processos ou, mais especificamente, a rotas.
Para introduzir este sistema na fábrica devem ser seguidas inicialmente três etapas como no caso
estudado para a família dos contentores:
1) Definição de todos os processos que vão incorporar este sistema - Após esta definição, é
necessário elaborar um plano das rotas existentes entre os processos para determinar quantos
tipos de cartões vão existir. Cada cartão passa, a partir desse momento, a estar associado a
qualquer obra que flua de um processo para o outro;
2) Determinação da quantidade de produtos associados a cada cartão - Neste caso, uma vez
que as encomendas são variáveis em quantidade pode-se associar um cartão a uma determinada
encomenda;
3) Apuramento do número de cartões existentes para cada rota - Este processo pode revelar-
se complexo, mas a definição do número de cartões existentes é fundamental para que se tenha
um grande controlo do WIP. As variáveis a considerar para este efeito são as seguintes:
i. Horizonte de planeamento (t) - Este valor corresponde ao tempo que a empresa
necessita para realizar o seu plano de produção; poderá corresponder ao valor utilizado
atualmente;
124
ii. Lead Time A/B. Corresponde ao tempo médio que uma encomenda demora a ser
produzida em A e B. Este valor poderá ser obtido através de uma média dos tempos dos
trabalhos efetuados nos últimos meses;
iii. Número médio de trabalhos que fluem de A para B durante o horizonte de planeamento,
t. Este valor pode ser obtido pela média observada nos últimos meses.
𝑵º 𝑨𝑩 =
𝑳𝒆𝒂𝒅 𝑻𝒊𝒎𝒆 𝑨 + 𝑳𝒆𝒂𝒅 𝑻𝒊𝒎𝒆 𝑩 ∗ 𝒏
𝒕
Obter-se-á, assim, para cada rota, um número de cartões que irá limitar o WIP entre dois processos. No
entanto, este sistema é particularmente complexo quando comparado com o tradicional Kanban e os
benefícios que podem advir da sua adoção são difíceis de estimar com a informação que se dispõe. Por
este motivo, para conhecer os benefícios da utilização dos cartões POLCA e as eventuais melhorias de
desempenho esperadas, deve ser desenvolvido um estudo de simulação que pode incluir apenas uma
parte das instalações, caso se pretenda realizar um estudo faseado, ou a totalidade das instalações caso
de pretenda estudar o sistema todo.
Este estudo deverá basear-se na comparação entre os resultados de um modelo que retrate a situação
atual e de um modelo que inclua um sistema de cartões POLCA. O procedimento geral de simulação,
como mostrado na Figura 5.2, consiste em primeiro lugar em caracterizar e representar o cenário atual
do sistema produtivo e efetuar a respetiva validação utilizando para tal um software de simulação.
Depois de proceder à validação estatística do modelo base deverá construir-se um modelo que inclua o
sistema de cartões POLCA e efetuar a comparação das medidas de desempenho dos dois cenários
estudados para ter uma noção mais concreta das implicações desta proposta de melhoria. Se o estudo de
simulação revelar que existem benefícios na utilização do sistema de cartões POLCA em detrimento do
atual, então poderá ser discutida a sua implementação.
.
125
Figura 5.2 - Modelo de simulação para estudo do sistema de cartões POLCA
5.1.3.1 Medidas de desempenho
Como anteriormente já referido, as medidas de desempenho para comparação do sistema atual e do
sistema de cartões POLCA são o WIP e o Lead Time.
5.1.3.2 Recolha de dados
Os dados para utilização do estudo de simulação devem ter origem em registos históricos da
empresa e/ou dados recolhidos em tempo real.
Início
Desenvolvimentode um ModeloConceptual
do estado atual
Validação do modelo do estado atual
Determinar os processos aincluir no
sistemaPOLCA, as rotas e o número de
cartões paracada rota
Desenvolverum modelode simulação com o
sistemaPOLCA
Comparar WIP e Lead Time atual com os
valores obtidos no modelo POLCA
Fim
126
5.2 SISTEMATIZAÇÃO DO SISTEMA SUGERIDO
5.2.1 CONCEÇÃO GERAL DO SISTEMA
O sistema proposto para o funcionamento da empresa, como um todo, resulta da transposição e
adaptação do estudo efetuado aos dois componentes do produto representativo de uma família de
produtos, aos restantes produtos, generalizando os conceitos aplicados. Estes conceitos foram baseados
na aplicação do pensamento Lean que, quando é contextualizado num ambiente produtivo simples pode
ter uma aplicação mais direta e abrangente. No entanto, o ambiente HM que caracteriza a empresa
estudada, conduziu à necessidade de adaptar o pensamento Lean à realidade produtiva encontrada e
obrigou a pensar de que forma as sugestões de melhoria resultantes do estudo efetuado poderiam ser
aplicáveis à globalidade da empresa e não apenas ao caso prático estudado, porque de contrário os
benefícios estimados para os produtos estudados não teriam significado para a empresa.
Por esse motivo, e porque o caso prático estudado demonstrou que as sugestões de melhoria poderiam
trazer benefícios relevantes, sobretudo à escala da empresa, estas foram sistematizadas para fornecerem
um modelo de funcionamento geral da produção não limitado apenas a um exemplo entre as centenas
de produtos que são elaborados pela fábrica.
O modelo estabelecido permite uma forma de lidar com a grande variedade de produtos que a empresa
produz e que introduz ineficiências que retiram vantagens competitivas à empresa, sobretudo ao nível
do custo do produto e do seu Lead time.
Este funciona de duas formas distintas, tal como representado na Figura 5.3: a montante do PM através
de cartões POLCA; a jusante do PM com base nas encomendas efetuadas. O sistema de cartões POLCA
irá controlar o plano de produção, na expetativa de reduzir os valores do WIP e do Lead Time dos
produtos, atuando com uma metodologia combinada Pull/Push, para beneficiar das melhores
características de cada uma que são por um lado permitir variedade, e por outro obter controlo da
produção e produzir de acordo com as necessidades reais.
A partir do PM o funcionamento produtivo dá-se, essencialmente, através da calendarização da
produção, neste ponto, com a anexação de um documento que inclui informações acerca do
balanceamento da produção (a ser efetuada para cada obra em concreto) que se processará de acordo
com a metodologia FIFO. O funcionamento de ambos os sistemas deverá ser assegurado por um chefe
de secção, cuja responsabilidade é garantir o seu correto funcionamento.
127
Figura 5.3 - Representação do modelo de funcionamento
sugerido para implementação na FARAME
5.2.2 CRIAÇÃO DE TRABALHO ESTANDARDIZADO
Um dos grandes problemas que se coloca no contexto da empresa prende-se com o fato de poderem
passar uma grande variedade de produtos por um determinado processo ou nas células de trabalho
propostas, não se podendo esperar que os operadores tenham conhecimento do modo de produzir cada
produto corretamente. Naturalmente que este condicionamento pode originar problemas de qualidade e
baixa produtividade e, por esse motivo, torna-se necessário introduzir uma forma de criar um padrão no
trabalho para os operadores.
Por trabalho padrão entende-se que qualquer operador será capaz de seguir um método estabelecido num
posto de trabalho adequado e utilizando as ferramentas adequadas, será capaz de executar a quantidade
de trabalho necessária no tempo estimado, com qualidade perfeita, e sem risco para a saúde ou
segurança. Isto significa que qualquer operador deve ser capaz de lidar com as alterações das
caraterísticas e das quantidades de produtos e que diferentes os operadores conseguirão completar
tarefas em intervalos de tempo consistentes.
A chave para criar um padrão de trabalho reside no desenvolvimento de métodos que possam ser
seguidos por qualquer operador, entendendo que este é um ponto de partida e que os operadores e os
responsáveis devem melhorar continuamente esses métodos e trabalhar em conjunto para o efeito. Se
um determinado método está desatualizado ou se existir uma melhor alternativa, tanto um operador
como um responsável pelas instalações podem sugerir alterações que sejam sustentadas por dados
concretos para validar a ideia. Se o novo método remover desperdícios e permitir melhorar o
Operadores???
PM + ? + ?
FLUXO PRODUTIVO
PM
Balanceamentodaprodução
Nivelamento da produção
SistemaPOLCA
Nivelamento da produção
PM/Balanceamento
128
desempenho de algum processo e se encaixar no plano de fluxo de valor, então deve ser adotado e
documentado.
Uma nova forma de organização dos trabalhos deve ser sempre coerente com os objetivos traçados.
Neste caso, a sistematização do sistema pretendido para a empresa é a base para a criação de trabalho
estandardizado, ou seja, deve haver um método de trabalho diferenciado para os diferentes pontos do
fluxo de valor dos produtos, ao contrário do que acontece atualmente. Como o sistema produtivo inclui
duas formas de funcionamento distintos, então devem existir dois padrões de trabalho também distintos.
5.2.3 DOCUMENTAÇÃO PADRÃO PARA APOIO AO TRABALHO ESTANDARDIZADO
Num ambiente de grande variabilidade, a documentação referente ao trabalho deve estar colocada onde
todos possam vê-la claramente. Esta documentação pode incluir os elementos-chave do trabalho a ser
realizado e seus tempos associados, um gráfico da sequência padrão de trabalho e das verificações de
segurança e qualidade a efetuar, podendo ser utilizadas, para o efeito, folhas de papel como método
visual. No entanto, como podem fluir através de um processo ou de uma célula um grande número de
peças, a quantidade de folhas pode ser significativa originando, por vezes, lapsos pelo que se torna
importante arquivá-las após a conclusão dos trabalhos.
No caso dos processos a jusante do Pacemaker, este documento denominado por “PM/Balanceamento”
deve estar anexado junto do quadro FIFO e, para além de conter informação acerca das especificações
técnicas do produto e dos tempos de cada processo, deve conter, ainda as seguintes informações para
cada “obra” nova:
 Quais são os processos que estão incluídos no fluxo do valor do próximo produto para
organização e conceção da célula de trabalho adaptada ás necessidades e quantas máquinas estão
incorporadas;
 Qual o número de operadores necessários alocar naquela data para a célula;
 Como são alocados os operadores às máquinas, i.e., como foi planeado o balanceamento da
produção para a “obra” em concreto;
 Como é efetuado o transporte entre os processos dentro da célula e qual é o número de peças a
transportar de cada vez;
Para que este sistema se torne ágil e eficaz, é necessário que exista um responsável por esta área. Esta
pessoa tem como função, em primeiro lugar, garantir o bom funcionamento da célula de trabalho. Ou
seja, a alocação de um responsável pelos processos Pacemaker e pelas operações que se seguem é
fundamental para que muitas melhorias possam ser implementadas e, sobretudo, para que possa existir
129
um método padrão para a organização dos trabalhos. Algumas das funções a desempenhar por este
responsável são, por exemplo, garantir a produção no Pacemaker de acordo com o quadro FIFO,
verificar o documento relativo a cada trabalho e organizar a célula de trabalho.
No caso dos processos a montante do Pacemaker, este documento acompanha a obra desde o processo
inicial até ao Pacemaker e a informação é transmitida ao operador através do sistema de cartões POLCA.
Para este caso também é fundamental que exista um responsável por esta área que garanta o
funcionamento adequado do sistema com os cartões POLCA.
5.3 ALTERAÇÕES A EFETUAR NA EMPRESA PARA ATINGIR O SISTEMA
PRETENDIDO
5.3.1 AQUISIÇÃO DE UM SISTEMA MRPII
Para que seja elaborado um plano de produção viável na empresa incorporando todas as ações propostas,
este tem de ser feito com base na produção para encomenda utilizando um sistema de gestão em tempo
real e planos de curto prazo, designadamente um sistema MRPII. Este sistema é capaz de associar um
tempo a cada operação para que se possa prever o tempo esperado de produção para determinado produto
e tornar possível a utilização dos cartões POLCA.
5.3.2 TRABALHO SOBRE CADA ENCOMENDA PARA BALANCEAMENTO
Uma vez que no estado futuro ideal a informação relativa à produção será enviada para o PM, torna-se
necessário alocar um trabalhador para tratar de questões relacionadas com as novas encomendas, cuja
função será conceber o documento “PM/Balanceamento”.
A informação a produzir conterá dados acerca do produto, do tempo necessário para a sua produção e
da forma de balanceamento proposta que melhor permita a introdução de um fluxo contínuo fluxo a
partir do PM. Esta informação será registada na documentação padrão de trabalho e analisada
posteriormente pelo responsável da secção a jusante do PM, que terá que analisar o documento e
conceber as especificações do mesmo “no terreno”.
5.3.3 CHEFE DE LINHA PARA CADA SECÇÃO
A implementação de cartões POLCA deverá ser levada a cabo por várias pessoas que estarão envolvidas
diariamente nesta secção da fábrica. No entanto, para garantir o seu funcionamento é essencial designar
um responsável para gerir a secção onde vão ser implementadas as alterações para servir de ligação entre
o planeamento e a produção. Este responsável deve assegurar o funcionamento do sistema e a formação
dos operadores para que possam ser atingidos os objetivos propostos. Por outro lado, o cumprimento
das instruções para balanceamento da produção a jusante do PM deve, também, ser assegurado por um
responsável.
130
5.3.4 INSTALAÇÃO DO QUADRO FIFO
Para que seja assegurado o plano de produção previsto de uma forma visual, a instalação do quadro
FIFO nos processos PM serve, sobretudo, para garantir o cumprimento da sequência produtiva. Em
primeiro lugar, para que os operadores entendam qual o produto a produzir em cada momento caso
exista mais que um lote em espera; em segundo lugar, para que seja possível haver um controlo visual
do processo. A instalação do quadro FIFO pode ser acompanhado por um mecanismo de identificação
de cada lote para efetuar o reconhecimento entre a informação que consta no quadro e o(s) lote(s) em
espera.
5.3.5 DESIGNAÇÃO DE UM RESPONSÁVEL PARA 5S
A implementação de um programa 5S deve ser assegurado por uma pessoa com conhecimento na área
do Lean e que entenda os seus princípios fundamentais, preferencialmente um responsável que conheça
as instalações e os procedimentos internos e que seja capaz de definir prioridades na implementação do
programa 5S.
5.4 PLANO DE IMPLEMENTAÇÃO DE MELHORIAS NA FARAME
A análise efetuada ao estado atual de uma família de produtos foi ao encontro da necessidade que os
responsáveis da empresa percecionam que o modo de funcionamento da mesma se deveria aproximar
aos princípios Lean para implementar um processo de melhoria contínua na organização para lhe
conferir vantagens competitivas.
Algumas das sugestões de melhoria propostas no presente estudo destinam-se a alterar
significativamente a forma como a empresa opera atualmente, enquanto outras destinam-se a
proporcionar melhores condições no posto de trabalho e uma gestão mais visual, sobretudo, para
melhorar o controlo e a perceção da realidade produtiva por parte de todos os envolvidos no processo
produtivo.
Para tornar viáveis as sugestões de melhoria propostas e garantir uma correta implementação das
mesmas na empresa estudada é desejável faseá-las pelas seguintes razões:
 Para que a transição para o novo sistema seja feita de forma progressiva, evitando que se
registem grandes impactos na empresa;
 Para garantir que os esforços estão dedicados a determinados objetivos e não se diluem em
diversos compromissos;
 Porque algumas alterações podem afetar significativamente a forma como outras deverão
funcionar e é necessário dispor de tempo para verificar o verdadeiro impacto das mesmas.
131
5.4.1 ETAPAS PREVISTAS
Considerando a importância de fasear o Plano de Implementação de Melhorias (PIM), propôs-se que
mesmo se faça ao longo de quatro etapas organizadas da seguinte forma (Figura 5.4):
 Etapa 1 - Matéria-prima;
 Etapa 2 - PM e balanceamento;
 Etapa 3 - POLCA;
 Etapa 4 - Programa 5S.
A primeira etapa, denominada por matéria-prima, pela qual se deverá começar por ser a etapa mais
simples, consiste na implementação de um sistema Pull para controlo da matéria-prima, com a utilização
de Kanbans e de um sistema de revisão contínua dos stocks.
Uma vez estabilizado este sistema, deverá implementar-se a calendarização no PM com utilização do
quadro FIFO e a estandardização dos trabalhos para desenvolver um fluxo contínuo, seja qual for a
encomenda. Neste ponto serão alterados significativamente alguns procedimentos na empresa que
apenas terão consequências nos processos a jusante do PM, ou seja, estas alterações não irão modificar,
em nada, o funcionamento a montante deste ponto e, por este motivo, será possível avaliar o impacto
deste sistema, e corrigi-lo se necessário, sem afetar a totalidade das instalações.
Depois de atingida a estabilidade nas primeiras duas etapas, poderá avançar-se para a introdução do
sistema de cartões POLCA. Este método irá criar um grande impacto na empresa porque alterará,
significativamente, a forma como esta funciona na atualidade, pelo que deverá ser dedicada uma especial
atenção a esta etapa do processo de implementação.
Por fim, tendo presente que a análise 5S permitiu concluir que existe uma grande necessidade de
melhorar as condições existentes no posto de trabalho a vários níveis, propõe-se que seja retomada esta
análise, de forma sistemática, com vários objetivos: 1) para marcar o passo na iniciação de algumas
mudanças na empresa; 2) para facilitar a integração de novas medidas; 3) para melhorar a eficiência e
eficácia de determinados processos e do fluxo de valor dos produtos. A aplicação de melhorias neste
domínio engloba a totalidade das instalações e deverá decorrer em paralelo com as restantes etapas uma
vez que vai influenciar a sua aplicabilidade porque sem tornar as instalações mais funcionais haverá
maiores dificuldades em implementar medidas.
132
Figura 5.4 - Faseamento do Plano de Implementação de Melhorias proposto para a FARAME
Operadores???
PM + ? + ?
FLUXO PRODUTIVO
FLUX
PM
Fornecedor
MRP
Planeamento e controlo
da produção
ArameX
1
23
4
133
5.4.2 OBJETIVOS E METAS
No Quadro 5.1 apresentam-se resumidamente os objetivos e as metas associados às várias etapas do
PIM proposto para a FARAME.
Quadro 5.1 - Objetivos e metas relativas às etapas do PIM proposto para a FARAME
Etapas Objetivos Metas
1
Matéria-
prima
Implementação de um sistema Pull para a matéria-prima.
Implementação de revisão contínua de stocks.
Redução do tempo gasto com
inventários e controlovisual.
2
PM e
balanceamento
Calendarização no PM.
Instalação do quadro FIFO.
Introdução de um responsável pelo PM.
Criação de trabalho estandardizado para desenvolver um
fluxo contínuo a jusante do PM.
Redução do Lead Time do produto.
Diminuição do WIP.
Fim da calendarização em múltiplos
pontos.
Cumprimento do planeamento
definido no PM.
Controlo visual da produção no PM.
3
Cartões
POLCA
Introdução de um responsável pelos cartõesPOLCA.
Introdução de um sistemacom cartões POLCA.
Diminuição do WIP.
Redução do Lead Time do produto.
Maior flexibilidade para responder
ao ambiente HM.
Por fim à metodologia Push.
4
Programa5S
Marcação do WIP para o seureconhecimento durante o
fluxo de valor do produto e associação ao quadro FIFO.
Determinação de formas de colocação das peças
produzidas que sejam mais eficazes, evitando assim a
queda das mesmas, um melhor aproveitamento do espaço
e uma maior facilidade de transporte.
Introdução de um sistemade codificação das máquinas
que sejacoerente e permitaidentificar aspetos
importantes como o seuestado oua sua localização nas
instalações.
Determinação de formas de colocação das peças
produzidas que sejam mais eficazes e eficientes,
evitando, assim, a queda das mesmas, um melhor
aproveitamento do espaço e uma maior facilidade de
transporte.
Introdução de um sistemade codificação das máquinas
que sejacoerente e permitaidentificar aspetos
importantes como o seuestado oua sua localização nas
instalações.
Melhorar as condições existentes nas
instalações gerais.
Garantir melhorias paraos princípios
de utilização/seleção, limpeza,
ordem, estandardização e
sustentação dos ganhos.
Melhorar sistematicamente a
pontuação em análises 5S futuras.
134
5.4.3 PROGRAMA DE IMPLEMENTAÇÃO
Tendo em consideração o conhecimento adquirido do funcionamento da empresa, das condições que se
verificam localmente nos postos de trabalho e da esperada recetividade que o Plano de Implementação
de Melhorias (PIM) pode ter junto da organização e dos restantes trabalhadores da empresa, parece
razoável propor que a sua implementação se faça ao longo de um período de oito meses (Figura 5.5) de
acordo com o descrito em seguida.
5.4.3.1 Matéria-prima
Implementação de sistema para controlo de matéria-prima durante dois meses com a seguinte sequência:
 Introdução do Sistema de revisão contínua de stocks;
 Sistema Pull com introdução de Kanban para controlo dos stocks.
5.4.3.2 PM e balanceamento
Implementação de um sistema de funcionamento para o processo PM e a jusante durante quatro meses
com a seguinte sequência:
 Seleção e capacitação do responsável por esta secção e comunicação do projeto/formação na
empresa;
 Implementação sequencial dos objetivos propostos.
5.4.3.3 Cartões POLCA
Implementação de sistema de cartões POLCA para montante do PM durante três meses com a com a
seguinte sequência:
 Seleção e capacitação do responsável por esta secção e comunicação do projeto/formação na
empresa;
 Introdução do sistema com cartões POLCA.
5.4.3.4 Organização; necessidade de 5S
Implementação do programa 5S definido com uma duração de oito meses com a seguintes sequência:
 Priorização e implementação dos objetivos definidos no programa;
 Realização regular de avaliações 5S ao longo do período definido.
135
Figura 5.5 - Cronograma para o plano de implementação proposto para a FARAME
1 2 3 4 5 6 7 8 9
Programa 5S Implementar programa 5S sistemático
Meses
Etapa Objetivos
Implementar um sistema Pull para a matéria prima
PM e
balanceamento
Proceder à revisão contínua de stocks
Matéria-prima
Introduzir um responsável por esta secção
Introduzir um sistema com cartões POLCA
Cartões POLCA
Instalar um quadro FIFO
Criar trabalho estandardizado
Implementar calendarização no PM
Introduzir um responsável por esta secção
Desenvolver um fluxo contínuo a jusante do PM
136
5.4.4 MÉTODO PDCA PARA A IMPLEMENTAÇÃO DO PIM
A utilização do método de gestão iterativo Plan-Do-Check-Act (PDCA) para a implementação do Plano
de Implementação de Melhorias, onde se insere o círculo PDCA, pretende apoiar a resolução de
problemas que a prossecução das medidas propostas pode originar. Trata-se de um método adequado à
implementação do PIM por permitir sistematizar as ações que devem ser efetuadas como guia para o
sucesso da implementação e/ou identificação das eventuais causas de insucesso do plano. O ciclo é
composto por quatro etapas, tal como representado na Figura 5.5:
 Plan - Uma vez estabelecidas as metas a atingir, deverão ser identificados os problemas a
solucionar e deverá ser feita uma análise dos mesmos para que as suas características e origens
possam ser reconhecidas. Em seguida deve ser estabelecido um plano de ação estabelecendo as
ações a desenvolver e os meios a utilizar para que as metas estabelecidas possam ser atingidas;
 Do - Esta fase respeito à execução do plano de implementação e recolha de dados que serão
utilizados na etapa seguinte de confirmação da efetividade das ações adotadas;
 Check - Na fase de verificação é feita a confirmação da efetividade das ações de prevenção dos
problemas e do cumprimento das metas. Deve ser avaliado o que foi planeado anteriormente, o
que foi realmente executado e os resultados obtidos e devem, também, ser identificados as
eventuais questões problemáticas responsáveis pelo não atingimento das metas e o modo de as
resolver. Caso se verifique a existência de problemas deve-se retornar à fase de observação,
efetuar uma nova análise e elaborar um novo plano de ação.
 Act - Esta fase consiste na padronização das ações que contribuíram para atingir as metas,
permitindo o alcance das mesmas através da melhoria contínua dos processos existentes ou
através de modificações nos processos existentes.
137
Figura 5.6 - Método PCDA para implementação do PIM proposto para a FARAME
5.5 IMPLICAÇÕES PARA A EMPRESA
A aplicação de algumas das sugestões do PIM implica uma rotura com alguns métodos e procedimentos
utilizados atualmente na empresa e a perceção dos benefícios que podem resultar das alterações
propostas pode não ser evidente numa fase inicial.
Contudo, considerando que os benefícios esperados a nível operacional (a que se espera estar associado
um custo reduzido de implementação das propostas de melhoria) vão ao encontro das necessidades
atuais e futuras da empresa, nomeadamente porque esta se encontra em fase de reestruturação, tendo
como objetivo de médio prazo a redução de custos, espera-se que haja uma boa adesão por parte do setor
de gestão da empresa ao PIM. Este é um dos benefícios tipicamente atribuídos à aplicação desta
metodologia, o que tem contribuído para justificar a adesão que se tem verificado por parte do setor de
gestão das empresas ao pensamento Lean. Acessoriamente esperam-se benefícios importantes na
componente relacionada com a iniciação ao pensamento de melhoria contínua na estrutura da empresa
que acarreta benefícios também a médio e longo prazo.
A disponibilidade e adaptabilidade de todos os envolvidos e o seu grau de envolvimento são fatores-
chave na implementação das melhorias, tal como a mobilização de recursos da empresa para o plano de
implementação, nomeadamente os responsáveis de secção e o envolvimento dos mesmos no projeto.
Neste contexto importa referir que a resistência à mudança, que foi um aspeto que foi bastante evidente
nas observações efetuadas durante a realização de trabalho no terreno, deve ser ultrapassada, através da
comunicação adequada e envolvimento de todos os intervenientes da empresa, desde a gestão de topo
aos operadores.
• Executar plano previsto
• Recolher dados relativos às
metas e medidas de dempenho
escolhidas
•Analisar os dados recolhidos
•Observar eventuais causas de
insucesso nas metas e/ou
medidas de desempenho
• Preparar plano de acordo com
objetivos
• Estabelecer metas para os
objetivos propostos e medidas
de desempenho
• Estandardizar acções que
resultaram em melhorias
• Modificar processos que não
acrescentam valor
Agir Planear
FazerVerificar
138
A comunicação do projeto passa por formações ou ações de sensibilização para uma primeira abordagem
ao pensamento Lean, com a devida apresentação do diagnóstico inicial para explicar a razão da
implementação das ferramentas e para conseguir traçar objetivos realistas e a explicitação do
funcionamento teórico das sugestões. Posteriormentes, no terreno dever-se-á dar alguma formação
prática e realizar testes com o envolvimento dos operadores e dos responsáveis, debatendo as sugestões
entre todos os envolvidos. Por último, deve ser transmitido que as implementações sugeridas se
enquadram no princípio da melhoria contínua, que reside na premissa que cada um é responsável pelo
seu trabalho e que deve contribuir para o melhor desempenho da sua função e que o seu papel é
importante, devendo uma sugestão credível ser sempre ser ouvida.
Uma outra implicação importante diz respeito ao tempo que será necessário para que as novas
ferramentas e os novos métodos de trabalho se consolidem e que as antigas práticas sejam esquecidas,
de modo a que o pensamento Lean deixe de ser uma imposição e passe a ser vista como benéfica pela
generalidade.
139
140
6 CONCLUSÕES
No presente capítulo são apresentadas as conclusões referentes ao caso de estudo, nomeadamente os
ganhos resultantes da implementação das melhorias sugeridas e do modelo de planeamento
desenvolvido para a empresa. É também efetuada uma reflexão acerca das ferramentas utilizadas e das
limitações que o estudo acarretou e propostos desenvolvimentos futuros para continuidade do trabalho
efetuado até este ponto.
6.1 CONCLUSÕES GERAIS
Esta dissertação de mestrado assumiu como objetivo o estudo da implementação de metodologias Lean
na empresa FARAME, através da análise do sistema produtivo atual, da identificação de problemas e
da elaboração de propostas de melhoria.
Depois de um diagnóstico inicial efetuado à empresa através da ferramenta VSM, verificou-se que em
diversas áreas da empresa se justificaria a adoção desta abordagem e que o sistema produtivo que a
caracteriza, qualificável como High Mix (grande variedade e customização), colocava desafios quanto
à aplicação exclusiva de algumas ferramentas de trabalho caracteristicamente adotadas em Lean.
Estas particularidades determinaram, então, a necessidade de avaliar que eventuais limitações encerrava
a abordagem tradicional ao contexto produtivo existente, que adaptação seria necessário realizar e por
fim, de que forma as conclusões acerca do caso particular estudado poderiam ser transpostas e
generalizadas a todos os produtos.
A análise do sistema produtivo foi efetuada recorrendo à utilização da ferramenta Value Stream Mapping
(VSM) para, através do mapeamento da cadeia de valor de um determinado produto, detetar os
desperdícios, as suas fontes e os problemas daí resultantes. Trata-se de uma ferramenta que revelou ser
valiosa, de fácil utilização durante o estudo e que permite a utilização futura dos mapas por parte da
empresa ou a continuação, pela mesma, do trabalho efetuado, sem dificuldades. Por outro lado, esta
ferramenta tem a vantagem de permitir, posteriormente, a elaboração de um mapa futuro, incluindo a
representação clara das sugestões de melhoria para o fluxo de valor do produto e dos objetivos que se
pretendem atingir num estado ideal.
Para a construção do VSM selecionou-se um produto pertencente a uma família de produtos
representativa, especificamente um contentor de arame destinado ao armazenamento de garrafas de
vinho e Champanhe, recorrendo a uma análise ABC que incidiu sobre os resultados de faturação num
período recente de seis meses.
Foram analisados os fluxos de valor de dois dos cinco componentes principais do produto selecionado,
que representavam adequadamente os aspetos que seria importante mapear, tais como os procedimentos
de comunicação da informação, as características das operações efetuadas, os requisitos dos
equipamentos, a atuação dos operadores, as rotas na instalação, entre outros.
141
Os dados foram recolhidos de acordo com o modelo sugerido em metodologias Lean, ao longo de um
período de duas semanas, que correspondeu ao Lead time/tempo que demorou a ser processado o lote
estudado. Durante este período não se verificaram situações que pudessem comprometer a qualidade
dos dados recolhidos no terreno, tendo os mesmos sido considerados válidos para a realização da análise
da cadeia de valor dos componentes estudados.
Complementarmente, para avaliar o possível impacto que a organização no trabalho poderia ter nos
resultados do diagnóstico, foi utilizada a ferramentas 5S que se verificou ser muito útil, sobretudo
porque, consistindo num método expedito de análise, fornece resultados quantitativos e qualitativos de
fácil compreensão que podem ser comparados após a implementação de algumas melhorias e verificar
as possíveis evoluções. Por outro lado, é uma ferramenta cujo objetivo final é facilmente compreendido
por qualquer operador/trabalhador uma vez que são evidenciadas as lacunas existentes e as melhorias
passíveis de serem alcançadas com o a colaboração por parte de todos os intervenientes no trabalho.
Recorrendo então ao VSM, os mapas produzidos que representam o estado atual, permitiram evidenciar
os desperdícios existentes no sistema, as suas fontes e os principais problemas resultantes, tendo sido
relacionados mutuamente. Foi, assim, possível, desde logo, concluir que se verifica uma grande
discrepância que entre o tempo de processamento do produto e o Lead Time.
Na construção dos mapas foram considerados os conceitos base associados ao pensamento Lean, tais
como Takt time, Pacemaker, fluxo produtivo contínuo, sistemas Pull e balanceamento da produção, e
testada a sua aplicabilidade.
A análise destes conceitos no âmbito no fluxo de valor do produto selecionado, em particular no
ambiente High Mix que caracteriza o sistema produtivo, permitiu concluir o seguinte relativamente à
construção dos mapas futuros:
 Que o ponto definido como Pacemaker é de extrema importância para melhorar o
funcionamento do sistema produtivo ao determinar o ritmo de produção em toda a
instalação;
 Que este mesmo ponto é o mais indicado para calendarizar a produção e eliminar a
comunicação entre o planeamento da produção e os restantes processos.
Este aspeto permitiu iniciar a conceção de um fluxo contínuo em alguns pontos onde foi possível a
criação de células de trabalho com operações balanceadas.
Por outro lado, foram reveladas limitações respeitantes à definição de Takt time pelo facto de não existir
estabilidade nos tempos de ciclo dos processos porque o ambiente produtivo HM implicaria uma
definição específica deste valor para cada produto.
Por outro lado, quer o nivelamento da produção quer a introdução de um sistema Pull demonstraram ser
inexequíveis no contexto produtivo da empresa, no primeiro caso, devido, sobretudo, ao elevado tempo
142
das operações de Setup executadas e, no segundo caso, devido ao nível de stocks que aquele sistema de
funcionamento implicaria.
Estas limitações conduziram a uma abordagem diferenciada para resolução dos problemas de detetados,
onde se enquadra o conceito Made-to-Order Lean, que forneceu alternativas direcionadas para o
contexto produtivo da empresa em detrimento da definição do Takt time e de um sistema Pull. Estas
alternativas consistirem no estabelecimento de um método de gestão visual e sequenciação FIFO no
PM, para lidar com a enorme diversidade de produtos e garantir a execução do plano definido para este
ponto, e a introdução de um sistema de cartões POLCA para equilibrar as metodologias Pull/Push a
montante do PM.
Os resultados esperados com a introdução destas melhorias consistem no seguinte: 1) na redução do
Lead Time dos componentes estudados, que se estimou ser de 6,5% e 17,4% respetivamente para os
componentes Porta inferior e Traseira do produto estudado, cujo lote foi processado/ ao longo de cerca
de 14 dias; 2) na eliminação do WIP em determinados pontos do sistema; 3) na redução da necessidade
de um operador no caso da produção da Porta inferior. Os benefícios associados a estas melhorias são
os seguintes:
 Lead Time - menor custo de oportunidade para a empresa e maior satisfação do cliente devido
à possível redução do prazo de entrega dos produtos encomendados;
 WIP - menor custo com capital empatado e melhor organização do espaço existente;
 Redução do custo com mão-de-obra ou possibilidade de alocação da mesma a outra tarefa.
Depois de realizada a análise setorial aos componentes do produto estudado, tornou-se necessário
analisar a possibilidade de transpor as melhorias propostas para a generalidade dos produtos da fábrica
para que estas melhorias pudessem, de facto, ter significado para a empresa. Em resultado dessa análise,
foi possível sistematizar um modelo de planeamento assente na padronização dos trabalhos, que permite
estabelecer uma sequenciação de etapas do PM a jusante para cada nova encomenda, e no qual são
definidos aspetos relacionados com o balanceamento das operações e o funcionamento dos processos
PM. Foi, ainda, estabelecido que o funcionamento do sistema a montante do PM será regulado através
de cartões POLCA.
A acompanhar a implementação das restantes propostas de melhoria, preconizou-se a realização de um
plano de melhorias no domínio da organização das instalações, através da realização regular de
avaliações 5S.
Por fim, foi estabelecido um Plano de Implementação de melhorias para a empresa, tendo sido definidos
os objetivos e metas a atingir, as suas etapas e o seu faseamento.
143
6.2 LIMITAÇÕES DO ESTUDO
A duração e a profundidade do estudo efetuado foram limitadas pelo tempo de pesquisa e pelo acesso à
informação. As limitações de tempo deveram-se, sobretudo, à duração estabelecida para o estágio
curricular e a outros trabalhos efetuados durante a investigação a pedido da direção da empresa, como
acordado. As limitações ao acesso a informação deveram-se, em primeiro lugar, ao facto de não se ter
tido acesso ao sistema informático da empresa e de a informação não estar sistematizadas. Por outro
lado, verificou-se alguma relutância de alguns operadores em disponibilizar a informação durante a
recolha de dados no terreno.
Apesar destes aspetos, considera-se que, globalmente, as limitações indicadas não comprometeram de
qualquer forma a realização do estudo efetuado. O estudo de uma família de produtos foi representativa
e permitiu retirar algumas conclusões embora, a transposição das conclusões para a generalidade das
instalações necessite de ser sustentada pela análise das restantes famílias de produtos.
6.3 TRABALHOS FUTUROS
Como foi abordado nas limitações do estudo, o tempo disponível para a elaboração do trabalho foi
relativamente reduzido e, por esse motivo, representa apenas um ponto de partida para o
desenvolvimento de um processo de melhoria contínua. Algumas sugestões, tais como a introdução de
um sistema de cartões POLCA ou de um quadro FIFO estão dependentes de outras avaliações que devem
ser efetuadas para validação e um melhor funcionamento das mesmas e, como a investigação permite
entender o seu potencial na redução de desperdícios, estas não devem abandonadas.
Outro aspeto importante a relevar é que, tendo o estudo efetuado sido necessariamente limitado, é
preciso de reforçar a sua viabilidade, tendo a observação do quotidiano nas instalações permitido detetar
potenciais aspetos para estudos futuros:
 Mapeamento do fluxo de valor de outras famílias de produtos - O estudo futuro de outras
famílias de produtos será crucial para reforçar o capítulo onde foi abordada a transposição da
análise da família escolhida para a generalidade dos produtos porque, como foi explicitado, as
sugestões de melhoria apenas fazem sentido se o objetivo for a implementação geral uma vez
que os recursos são partilhados;
 Estudo de simulação para as instalações com a utilização de um sistema de cartões POLCA para
determinar quantitativamente os ganhos para a empresa com a sua introdução nomeadamente
redução de Lead Time e WIP. Este estudo inclui a determinação de todos os emparelhamentos
possíveis e o cálculo do número de cartões por emparelhamento;
 Foco de melhorias tradicionais do Lean no PM - A utilização de ferramentas tradicionais neste
ponto pode revelar-se importante para obter um ritmo de trabalho superior nas instalações, uma
vez que representa o “gargalo” limitador dos restantes processos. Uma análise utilizando a
144
metodologia SMED para redução dos tempos de Setup nestes pontos seria um ponto de partida
viável e extremamente útil porque os tempos observados para mudança entre produtos podem
atingir cerca de cinco horas.
 Métrica de priorização de encomendas - A instalação do quadro FIFO nos PM implica a
existência de um sistema de priorização credível das encomendas. Atualmente a priorização é
efetuada sem um critério robusto e lógico resultando, em diversos casos, em atrasos
significativos das entregas e no aumento do Lead Time dos produtos.
 Sistema de avaliação de desempenho das implementações - A implementação das melhorias
propostas deve ser acompanhada por um sistema que avalie a progressão das medidas a
implementar e que seja capaz de fornecer dados concretos acerca do estado dos trabalhos. Este
sistema terá, contudo, que se basear sempre em dados históricos para obter um termo de
comparação (a impossibilidade de acesso ao sistema informático da empresa não permitiu
dispor de dados para suportar o estudo neste domínio).
 Introdução de um sistema de melhoria contínua - A filosofia Lean tem como base a procura pela
melhoria continua, pelo que a inércia das práticas instituídas juntamente com a resistência à
mudança deve ser ultrapassada com um pensamento mais direcionado para a progressão e
procura de melhorias. A introdução de um sistema que se oriente por estes objetivos e que
confira, também, liberdade de opinião só poderá beneficiar a empresa e consequentemente os
seus trabalhadores.
145
146
Referênciasbibliográficas
Alves, T. C. L., Tommelein, I. D., Ballard, G., (2005). Value Stream Mapping for Make-to-Order products in a
JobShop environment, ConstructionResearch Congress held in San Diego, ca, 5-7.
Anthony, J., Kumar, M., (2011). Lean SixSigma: Researchand Practice, Bookboon, 978-87-7681-768-8.
Avraham, Y., (2001).The Theory ofConstraintsand itsThinking Processes,A briefintroductionto TOC,Goldratt
Institute, LP.
Bain, N, (2010). The consultants guide to successfullyimplementing5s.
Duggan, K. J., (2012). CreatingMixed Model Value Streams, MWCC Mid-Atlantic Lean Conference.
Duggan, K. J., (2015). Beyond Lean: Achieving Operational Excellence in MRO, Duggan Associates.
Emil, S., Mihai, A., Ionela, R. A., (2005). Value Stream Mapping - A Lean ProductionMethodology, The Annals
of the "ştefan cel mare" Universityof Suceava. Fascicle of the Faculty of Economics and Public Administration
vol. 11, no. 1(13).
Eng, H. K., Ching, H. W., Bong, C. S., (2015), Paired-Cell Overlapping Loops of Cards with Authorization
Simulation in Job Shop environment, International Journal of Mechanical & Mechatronics Engineering Ijmme-
Ijens vol:15no:03.
Goldratt, E.M, Cox. J., (1984). The goal, a process of ongoing improvement, Third revisededition, North River
Press, 800-486-2665.
James, T., (2011). Operations Strategy, Bookboon, 978-87-7681-828-9.
Jasti, N. N. K., Sharma, A, (2014). LeanManufacturing implementationusingValue Stream Mapping as a tool: A
casestudy fromAuto ComponentsIndustry, DepartmentofMechanicalEngineering,BirlaInstituteofTechnology
and Science (bits), Pilani, India.
Knowles, G., (2011). Qualitymanagement, Bookboon, 978-87-7681-875-3.
Kochnev, I., (2007).What,if any, arethe differencesbetweentheToyotaProductionSystemand Lean?A research
paper by:Yvan Kochnev, Innovationlighthouse
Liker, J. K., David, M., (2004). The Toyota way. Fieldbook, A practical guide for implementingToyotas 4p’s.
New York: Mcgraw-Hill.
Lu, D., (2011). Fundamentals of supply chain management, Bookboon, 978-87-7681-798-5.
Melton, T., (2005). The benefits of Lean Manufacturing: What Lean thinking has to offerthe process industries,
institution of chemical engineers, 662-673
Nazareno, R. R., Silva, A. L., Rentes,A. F., (2003).Mapeamentodofluxo de valor para produtoscomampla gama
de peças, XXIIII Encontro Nac. De Eng. De produção, Ouro Preto, mg, Brasil
Parihar, P.S., Jain, S., Bajpai, L., Varma, P. L., (2014). Performancebased new methodologyfor implementing
Value Stream Mapping, Scholars Academicand Scientific Publisher (an international publisherforacademicand
scientific resources)
147
Rahani, A. R., Ashraf, M., (2012), Production Flow Analysis through Value Stream Mapping: a Lean
Manufacturing Processcase study, International Symposium on Robotics andIntelligent Sensors.
Rother, M., (2009). ToyotaKata: Managing people for improvement, adaptiveness and superior results. Mcgraw-
Hill Professional.
Rother, M., Shook. M. J., (1998). Learningto see - Value stream mapping to add value and eliminate muda.
Serrano, L. I., Castro, V. R., Goienetxea, U., A., (2009). Pacemaker, Bottleneckand Order Decoupling Point in
Lean Production Systems, International Journal of Industrial Engineering, 16(4), 293-304.
Silva, S. K. P. N., (2012). Applicability of Value Stream Mapping (VSM) in the apparel industry in Sri Lanka,
International Journal of Lean Thinking Volume3.
Sondalini, M., How to do Value Stream Mapping. Lifetime reliabilitysolutions
Stamm, M. L., Neitzert,T, Value Stream Mapping (VSM) ina manufacture-to-ordersmalland medium enterprise,
School of Engineering aut Universityauckland, New Zealand.
Suri, R., (2003). Qrm and POLCA: A Winning combination for manufacturing enterprises inthe 21st Century,
Center for Quick ResponseManufacturing, University of Wisconsin-Madison, 53706.
Suri, R., (2010).QrmIts all about time,The competitiveadvantage ofQuick Response Manufactoring,Produtivity
Press.
Thorsen, W. C., Value Stream Mapping & VM, General Motors Corporation. Pontiac, mi 48341 USA, 248-753-
5897
Trivedi, P., Chauhan, N., Patel, N., (2015). Benefits of Value Stream Mapping as a Lean tool implementation
manufacturing industries: A Review, International Journal for Innovative Research in Science & Technology|
Volume 1
Werner, D. D., Lucilio. L. P. M., (2006). Produção enxuta: Vantagens e desvantagens competitivas decorrentesda
sua implementação em diferentes organizações, XIII Simpep - Bauru, sp, Brasil,
William M. G., Samson, M., Alphonce, M.,, (2011). Use of the Value Stream Mapping tool for waste reduction in
Manufacturing. Case study for bread manufacturing in Zimbabwe, proceedings of the 2011 International
conference on Industrial Engineeringand Operations Management.
Wilson, L. (2010). Howto implement Lean Manufacturing. New York: Mcgraw-Hill.
Womack, J. P., Jones, D. T. (2010). Lean Thinking: Banish waste and create wealth in your corporation. Simon
and Schuster.
Womack, J. P., Jones, D. T., Roos, D. (1990). Machine that changed the world. Simon and Schuster.
148
LISTA DE ANEXOS
Anexo I - Folha para registo de operações
Anexo II - Registo de operações de Setup segundo o método SMED (1/2)
Anexo III - Formulário 5S/visual Workplace Handbook - Production Automation Corporation
VSM
Anexo IV - Exemplo de lista de material necessário para a produção de um contentor para
garrafas de vinho
149
150
Anexo I - Folha para registo de operações
N.º item_______Hora Início________Hora Fim_____________
Componente _______________ _____Operação_____________
Operação seguinte _______________Produto final__________
Hora entrada em stock_______
Stock Valor Comentário
Número de peças
Tempo de espera
Notas acerca da folha de registo:
 Número do item - Corresponde ao número da coluna mais à esquerda na lista de materiais que
consta do Anexo IV.
 Componente - Corresponde à descrição de cada componente/subcomponente na lista de
materiais que consta do Anexo IV.
 Hora início e hora fim - Corresponde ao intervalo de tempo observado para produzir um
determinado lote
Componente Valor Comentário
Tempo de ciclo
Tamanho do lote
Número de operadores
Up Time
151
152
Anexo II - Registo de operações de Setup segundo o método SMED (1/2)
Data Setup____________________________________________________________________
Máquina______________________________________________________________________
Componente a finalizar__________________________________________________________
Componente a iniciar___________________________________________________________
ID Designação da atividade Tempo
(seg.)
Setup
interno
(seg.)
Setup
externo
(seg.)
Tempo
Perdido
(seg.)
1
2
3
4
5
6
7
8
9
10
11
12
13
14
15
16
17
18
19
20
TOTAL
153
Anexo II - Classificação de operações de Setup segundo o método SMED (2/2)
Data Setup____________________________________________________________________
Máquina______________________________________________________________________
Componente a finalizar__________________________________________________________
Componente a iniciar___________________________________________________________
Atividade
Passos de Setup
1 2 3 4 5 6 7 8 9 10
Preparação; ajustamentos; verificação de
ferramentas e materiais.
Montar e desmontar ferramentas e
componentes.
Medições; calibrações; definições.
Testes e ajustamentos.
Atividade
Passos de Setup 11 12 13 14 15 16 17 18 19 20
Preparação; ajustamentos; verificação de
ferramentas e materiais.
Montar e desmontar ferramentas e
componentes.
Medições; calibrações; definições.
Testes e ajustamentos.
Passos de Setup
Total (s)
Preparação; ajustamentos; verificação de ferramentas e materiais.
Montar e desmontar ferramentas e componentes.
Medições; calibrações; definições.
Testes e ajustamentos.
154
Anexo III - Formulário 5S/visual Workplace Handbook - Production
Automation Corporation VSM
155
156
Anexo IV - Exemplo de lista de material necessário para a produção de um
contentor para garrafas de vinho
157

Dissertacao_Afonso_24_11_VFinal

  • 1.
    Afonso Miguel PelletierSequeira Alves Severino Licenciado em Ciências da Engenharia e Gestão Industrial Estudo de Implementação da Metodologia Lean na FARAME S.A. num Contexto ProdutivoHigh Mix Dissertação para obtenção do Grau de Mestre em Engenharia e Gestão Industrial Orientadora: Prof.ª Doutora Helena Víctorovna Guitiss Navas, Professora Auxiliar, FCT/UNL Setembro, 2016
  • 2.
  • 3.
    iii Afonso Miguel PelletierSequeira Alves Severino Licenciado em Ciências da Engenharia e Gestão Industrial Estudo de Implementação da Metodologia Lean na FARAME S.A. num Contexto ProdutivoHigh Mix Dissertação para obtenção do Grau de Mestre em Engenharia e Gestão Industrial Orientadora: Prof.ª Doutora Helena Víctorovna Guitiss Navas, Professora Auxiliar, FCT/UNL Setembro, 2016
  • 4.
  • 5.
    v Estudo de Implementaçãoda Metodologias Lean na FARAME S.A -num contexto produtivo High Mix Copyright © Afonso Miguel Pelletier Sequeira Alves Severino, Faculdade de Ciências e Tecnologia, Universidade Nova de Lisboa. A Faculdade de Ciências e Tecnologia e a Universidade Nova de Lisboa tem o direito, perpétuo e sem limites geográficos, de arquivar e publicar esta dissertação através de exemplares impressos reproduzidos em papel ou de forma digital, ou por qualquer outro meio conhecido ou que venha a ser inventado, e de a divulgar através de repositórios científicos e de admitir a sua cópia e distribuição com objetivos educacionais ou de investigação, não comerciais, desde que seja dado crédito ao autor e editor.
  • 6.
  • 7.
    vii AGRADECIMENTOS À faculdade ea todos os professores que, apesar de terem proporcionado momentos de algum desespero, contribuíram, também, em grande escala para o meu desenvolvimento profissional e intelectual. À professora Helena Navas que sempre demonstrou disponibilidade, flexibilidade e empenho durante a realização da dissertação, contribuindo com conselhos extremamente importantes e desenvolvendo uma relação bastante positiva e cooperante. Ao Eng.º Eduardo Coelho que proporcionou o estágio curricular, tendo demonstrado sempre disponibilidade para colaboração, esclarecimento de qualquer dúvida e interesse no estudo efetuado. À Carolina Setúbal pela ajuda que proporcionou em alguns momentos. À minha família pelo interesse demonstrado no estudo durante este período e pelo apoio que me foi garantido.
  • 8.
  • 9.
    ix RESUMO A crescente pressãosobre as empresas decorrente da globalização dos mercados tem determinado a necessidade de estas adotarem modelos de gestão e funcionamento destinadas a aumentar a sua competitividade, nomeadamente adotando o pensamento Lean para melhorar a sua produtividade, eliminando desperdícios e reduzindo custos. A FARAME S.A., empresa de média dimensão do sector metalúrgico, acolheu o presente estudo na perspetiva de beneficiar da introdução de um sistema de melhoria contínua e da implementação de metodologias Lean para reforçar a sua competitividade no mercado. Depois de um diagnóstico inicial efetuado à empresa, verificou-se que em diversas áreas da empresa se justificaria a adoção desta abordagem e que o sistema produtivo que a caracteriza, qualificável como High Mix (grande variedade e customização), colocava desafios à aplicação exclusiva de algumas ferramentas de trabalho caracteristicamente adotadas em Lean. A análise ao sistema produtivo foi efetuada utilizando a ferramenta Value Stream Mapping (VSM) permitindo, através do mapeamento da cadeia de valor, detetar os desperdícios, as suas fontes e os problemas daí resultantes. Foi proposta a introdução, na cadeia de valor dos componentes estudados, de alguns princípios Lean e a adaptação destes conceitos ao ambiente High Mix. As propostas consideradas consistiram, essencialmente, na definição e calendarização da produção no Pacemaker (PM), no balanceamento da produção e na criação de células de trabalho em alguns pontos, na utilização da metodologia First In- First Out (FIFO) para a priorização da produção em locais específicos e na adoção de um sistema de Paired-cell Overlapping Loops of Cards with Authorization (POLCA) para responder ao elevado mix de produtos e à dificuldade em criar um sistema Pull. Estimou-se que a introdução dos princípios e medidas referidos na cadeia de valor de dois componentes estudados permitiria reduzir o seu Lead Time em 6,5% e 17,4% e eliminar o Work-in-Process (WIP) em determinados pontos no sistema. Estabeleceu-se que o correspondente fluxo produtivo passaria a funcionar de acordo com uma metodologia combinada Pull/Push que permitiria lidar com a grande variedade de produtos. Por último, foi analisada a possibilidade de proceder à transposição dos princípios e medidas relativas ao caso estudado à generalidade dos produtos produzidos na FARAME, concluindo-se ser viável recorrendo a um sistema de planeamento que assenta na padronização dos trabalhos para qualquer encomenda. Palavras-chave: Lean, VSM, High Mix, Pacemaker, FIFO; Balanceamento, Lead Time, WIP.
  • 10.
  • 11.
    xi ABSTRACT The growing pressureon businesses caused by the markets globalization has determined the need to adopt management models to increase competitiveness, namely adopting the Lean thinking to improve productivity by eliminating waste and reducing costs. FARAME S.A, a medium-sized company in the metallurgical sector, welcomed the present study in perspective to benefit from the introduction of a continuous improvement system and the implementation of Lean methodologies to enhance its market competitiveness. After an inicial diagnosis of the installation, it became clear that in several domains of the company it would be justifiable to adopt this approach and that the production system, qualified has High Mix (variety and customization), introduced challenges in the direct application of some work tools typically adopted in the Lean thinking. The production system analysis was made using the Value Stream Mapping tool (VSM) allowing, via the construction of the current value stream map, to detect the wastes, their sources and the resulting problems. It was proposed the introduction of some Lean principles and the adaptation of these concepts to the High Mix environment in the value stream of the studied components. These proposals consisted, essentially, of the definition of production in the Pacemaker process (PM), the leveling of production and creation of work cells in some points, the use of the methodology First in-First out (FIFO) for prioritizing production in specific locations and the adoption of Paired-cell Overlapping Loops of Cards with Authorization (POLCA) system to meet the High Mix production and the difficulty in creating a Pull system. It was estimated that the introduction of the principles and measures referred in the value stream of the studied components can reduce their Lead Time by 6.5% and 17.4% and eliminate Work-in-Process (WIP) at certain points of the system. It was determined that the corresponding production flow will operate according to a combined method Pull/Push that serves the practical case studied and enables dealing with the great variety of products. Finally, it was analyzed the possibility of transposing the principles and measures of the case study to the majority of products produced in FARAME, that lead to the conclusion that it viable using a planning system based on standardization of work for any order. Keywords: Lean, VSM, High Mix, Pacemaker; FIFO; Balancing; Lead Time; WIP.
  • 12.
  • 13.
    xiii ÍNDICE 1 INTRODUÇÃO ....................................................................................................................1 1.1 ENQUADRAMENTO E JUSTIFICAÇÃO DO TEMA ................................................ 1 1.2 OBJETIVOS.............................................................................................................. 3 1.3 METODOLOGIA e atividades realizadas .................................................................... 3 1.4 Conteúdo da dissertação ............................................................................................. 5 2 MELHORIA CONTÍNUA E PENSAMENTO LEAN............................................................... 7 2.1 O SISTEMA DE PRODUÇÃO TOYOTA - TPS.......................................................... 7 2.1.1 História e evolução do pensamento.............................................................................. 7 2.1.2 Descrição geral do TPS .............................................................................................. 8 2.1.3 Constituição do TPS................................................................................................... 9 2.2 LEAN MANUFACTURING .....................................................................................13 2.2.1 Definição de Lean Manufacturing ..............................................................................13 2.2.2 Lean nos dias de hoje ................................................................................................14 2.2.3 Princípios do Lean Manufacturing..............................................................................14 2.2.4 Benefícios e constrangimentos da implementação do Lean nas empresas ......................16 2.3 A FERRAMENTA VALUE STREAM MAPPING (VSM) ..........................................19 2.3.1 Finalidade e definição................................................................................................19 2.3.2 Principais símbolos, representações e definições do VSM ............................................21 2.3.3 Metodologia teórica do mapeamento ..........................................................................24 2.3.4 Desenvolvimento do VSM .........................................................................................24 2.3.5 Etapa 4 - Mapeamento do estado futuro ......................................................................35 2.3.6 Etapa 5 - Plano de implementação ..............................................................................35 2.4 LEAN em contextos High Mix....................................................................................36 2.4.1 Made-To-Order Lean ................................................................................................36 2.4.2 Quick Response Manufacturing (QRM)......................................................................38 3 DESCRIÇÃO DA FARAME S.A. .........................................................................................42 3.1 CARACTERIZAÇÃO GERAL E ETAPAS PRODUTIVAS........................................42 3.2 SERVIÇOS E PRODUTOS ESPECÍFICOS................................................................45
  • 14.
    xiv 3.3 SISTEMA DEPRODUÇÃO......................................................................................46 4 ANÁLISE DO PROCESSO PRODUTIVO, IDENTIFICAÇAO DE PROBLEMAS E PROPOSTAS DE MELHORIA ....................................................................................................48 4.1 MODELO DE ESTUDO PROPOSTO........................................................................48 4.2 SELEÇÃO E DESCRIÇÃO DA FAMÍLIA DE PRODUTOS ......................................49 4.2.1 Análise das vendas ....................................................................................................49 4.2.2 Seleção da família de produtos ...................................................................................52 4.2.3 Descrição da família de produtos D ............................................................................52 4.3 MAPEAMENTO DO ESTADO ATUAL ...................................................................60 4.3.1 Componentes mapeados ............................................................................................60 4.3.2 Aspetos metodológicos..............................................................................................60 4.3.3 Identificação do cliente e da procura do caso estudado.................................................63 4.3.4 Apresentação dos mapas ............................................................................................64 4.3.5 Valores observados e medidas de desempenho ............................................................70 4.4 Análise dos desperdícios e eventos Kaizen ..................................................................73 4.4.1 Caraterísticas dos processos da cadeia de valor dos componentes estudados ..................73 4.4.2 AnÁlise dos Desperdícios ..........................................................................................75 4.4.3 Eventos Kaizen .........................................................................................................82 4.4.4 Kaizen em ambientes HM ........................................................................................106 4.5 Mapeamento do estado futuro ..................................................................................113 4.5.1 Descrição e apresentação dos mapas.........................................................................113 4.5.2 Resultados esperados para o caso prático em estudo ..................................................114 5 TRANSPOSIÇÃO DO CASO PARTICULAR ESTUDADO PARA A GLOBALIDADE DA EMPRESA................................................................................................................................120 5.1 Aplicabilidade das sugestões propostas nas restantes famílias de produtos...................120 5.1.1 PM nas restantes famílias de produtos.......................................................................120 5.1.2 Balanceamento da produção.....................................................................................121 5.1.3 POLCA a montante do PM ......................................................................................123 5.2 SISTEMATIZAÇÃO DO SISTEMA SUGERIDO ....................................................126 5.2.1 Conceção geral do sistema .......................................................................................126
  • 15.
    xv 5.2.2 criação detrabalho estandardizado ...........................................................................127 5.2.3 Documentação padrão para apoio ao trabalho estandardizado.....................................128 5.3 ALTERAÇÕES A EFETUAR NA EMPRESA PARA ATINGIR O SISTEMA PRETENDIDO ......................................................................................................................129 5.3.1 Aquisição de um sistema MRPII ..............................................................................129 5.3.2 Trabalho sobre cada encomenda para balanceamento.................................................129 5.3.3 Chefe de linha para cada secção ...............................................................................129 5.3.4 Instalação do quadro FIFO.......................................................................................130 5.3.5 Designação de um responsável para 5S.....................................................................130 5.4 PLANO DE IMPLEMENTAÇÃO DE MELHORIAS NA FARAME .........................130 5.4.1 etapas previstas .......................................................................................................131 5.4.2 Objetivos e metas ....................................................................................................133 5.4.3 Programa de implementação ....................................................................................134 5.4.4 Método PDCA para a implementação do PIM...........................................................136 5.5 Implicações para a empresa......................................................................................137 6 CONCLUSÕES..................................................................................................................140 6.1 Conclusões gerais....................................................................................................140 6.2 Limitações do estudo...............................................................................................143 6.3 Trabalhos futuros ....................................................................................................143
  • 16.
  • 17.
    xvii ÍNDICE DE FIGURAS Figura2.1 - Constituição do TPS - Fonte: Lean Thinking, Pinto 2008............................................... 9 Figura 2.2 - Princípios do Lean Manufacturing ..............................................................................15 Figura 2.3 - Processo típico para implementação do pensamento Lean - Adaptado de (RIVERA & FRANK CHEN, 2007...................................................................................................................21 Figura 2.4 - Método para utilização da ferramenta VSM - Adaptado de (ROTHER & SHOOK 1998)25 Figura 2.5 - Diferenciação entre família de produtos e família de processos - Adaptado de Duggan (2014 ...................................................................................................................................................27 Figura 2.6 - Resultados padrão da análise ABC ..............................................................................28 Figura 2.7 - Exemplo de representação de uma caixa de dados de um cliente ...................................29 Figura 2.8 - Exemplo de dois processos distintos com acumulação de stock entre si .........................30 Figura 2.9 - Exemplo de transmissão de informação manual ...........................................................30 Figura 2.10 - Exemplo de movimentação de material entre dois processos de acordo com a metodologia Push............................................................................................................................................31 Figura 2.11 - Linhas orientadoras para implementação do Made-to-Order Lean em ambientes HM....37 Figura 2.12 - Ícone utilizado para representar a utilização do Sistema POLCA em VSM ...................40 Figura 3.1- Sequência de etapas desde a encomenda do cliente até ao produto acabado .....................44 Figura 3.2 - Exemplo de produtos fabricados na FARAME e respetivos segmentos ..........................46 Figura 4.1 - Integração das abordagens e recursos de conhecimento no modelo de estudo proposto ...49 Figura 4.2 - Contentor para vinhos e champanhe da família D de contentores de arame ....................53 Figura 4.3 - Constituição do contentor para garrafas de vinho e Champanhe ....................................54 Figura 4.4 - Etapas produtivas na empresa e foco nos processos industriais......................................61 Figura 4.5 - Mapa do estado atual da Porta Inferior do contentor de arame .......................................66 Figura 4.6 - Mapa do estado atual da Traseira do contentor de arame...............................................68 Figura 4.7 - Tipos de produção mais comuns .................................................................................83 Figura 4.8 - Mapa resultante da definição do PM para a Porta Inferior .............................................86 Figura 4.9 - Mapa resultante da definição do PM para a Traseira .....................................................88 Figura 4.10 - Seguimento da produção a partir do PM e sequenciação FIFO.....................................91 Figura 4.11 - Tempos de ciclo para a Porta inferior (segundos) .......................................................92
  • 18.
    xviii Figura 4.12 -Nivelamento da produção para a Porta inferior (segundos) ..........................................93 Figura 4.13 - Célula de trabalho resultante do balanceamento para Porta inferior (T/C = 13,2 min/9 peças)..........................................................................................................................................94 Figura 4.14 - Tempos de ciclo para a Traseira (segundos) ...............................................................95 Figura 4.15 - Balanceamento da produção para a Traseira (segundos)..............................................95 Figura 4.16 - Célula de trabalho resultante do balanceamento para Traseira (T/C = 3,6 min/3 peças) .96 Figura 4.17 - Sequenciação FIFO no processo de Zincagem............................................................97 Figura 4.18 - Funcionamento do Sistema com Kanban para matéria-prima.......................................98 Figura 4.19 - Exemplo de balanceamento da produção na IDEAL ...................................................99 Figura 4.20 - Explicitação de alguns aspetos identificados na análise 5S ........................................104 Figura 4.21 - Funcionamento do quadro FIFO/trabalho em espera .................................................108 Figura 4.22 - Nivelamento da produção Porta inferior...................................................................108 Figura 4.22 - Exemplo de funcionamento do quadro FIFO (trabalho em espera) .............................109 Figura 4.24 - Exemplo de funcionamento do quadro FIFO (trabalho em curso) ..............................109 Figura 4.25 - Exemplo de funcionamento do quadro FIFO (trabalho completo) ..............................110 Figura 4.26 - Células de trabalho e movimentações possíveis ........................................................112 Figura 4.27 - Cartões POLCA estabelecidos para o caso estudado .................................................112 Figura 4.28 - Mapa do estado futuro ideal da Porta Inferior do contentor de arame .........................115 Figura 4.28 - Mapa do estado futuro ideal da Traseira do contentor de arame .................................116 Figura 5.1 - Modelo da célula-tipo para produção balanceada a partir do PM .................................122 Figura 5.2 - Modelo de simulação para estudo do sistema de cartões POLCA.................................125 Figura 5.3 - Representação do modelo de funcionamento sugerido para implementação na FARAME .................................................................................................................................................127 Figura 5.4 - Faseamento do Plano de Implementação de Melhorias proposto para a FARAME ........132 Figura 5.5 - Cronograma para o plano de implementação proposto para a FARAME ......................135 Figura 5.6 - Método PCDA para implementação do PIM proposto para a FARAME.......................137
  • 19.
    xix ÍNDICE DE QUADROS Quadro2.1 - Principais símbolos e representações utilizados nas ferramentas VSM e respetivo significado...................................................................................................................................23 Quadro 2.2 - Exemplos típicos de medidas de desempenho e informações a recolher para caracterizar o estado atual (adaptado de: Lean Six Sigma Metrics: How to measure improvements within a process) ...................................................................................................................................................29 Quadro 2.3 - Os sete desperdícios em Lean (adaptado de: Parihar et all, 2014) .................................32 Quadro 2.4 - Princípios em QRM em contraste com o pensamento Lean tradicional .........................38 Quadro 4.1 - Faturação respeitante a artigos de Classe A para o período 10/2015 a 03/2016 ..............50 Quadro 4.2 - Agregação dos artigos de Classe A em famílias e indicação da respetiva importância em termos de faturação ......................................................................................................................51 Quadro 4.3 - Operações incluídas no fluxo de valor do produto, nº de máquinas disponíveis e nº trabalhadores por máquina ............................................................................................................55 Quadro 4.4 - Descrição e representação das operações efetuadas para a produção do contentor de vinhos e champanhe (cont.) .....................................................................................................................56 Quadro 4.5 - Número mínimo de malhas produzidas na Shllater para cada componente ....................63 Quadro 4.6 - Datas de expedição e respetivas quantidades prevista para a encomenda do produto selecionado..................................................................................................................................64 Quadro 4.7 - Tempos de espera observados entre etapas produtivas e seleção do caminho crítico para Porta inferior ...............................................................................................................................70 Quadro 4.8 - Tempos de espera observados entre etapas produtivas e seleção do caminho crítico para Traseira .......................................................................................................................................71 Quadro 4.9 - Etapas produtivas observados e seleção do caminho crítico para Porta inferior .............71 Quadro 4.10 - Etapas produtivas observados e seleção do caminho crítico para Traseira ...................72 Quadro 4.11 - Up Time dos processos para a Porta Inferior.............................................................73 Quadro 4.12 - Up Time dos processos para a Traseira.....................................................................73 Quadro 4.13 - Importância relativa do tempo despendido em atividades VA e NVA .........................75 Quadro 4.14 - Relação entre problemas encontrados e desperdícios e abordagem Lean para melhoria 80 Quadro 4.15 - Questões para definir o mapa futuro.........................................................................83 Quadro 4.16 - Redução do Lead Time com balanceamento .............................................................97
  • 20.
    xx Quadro 4.17 -Avaliação das questões consideradas para definição do mapa futuro ........................100 Quadro 4.18 - Princípios 5S ........................................................................................................103 Quadro 4.19 - Resultados quantitativos da análise 5S ...................................................................103 Quadro 4.20 - Fontes de desperdícios e abordagem Made-to-Order Lean .......................................106 Quadro 4.21 - Fontes de desperdícios e abordagem Made-to-Order Lean .......................................117 Quadro 5.1 - Objetivos e metas relativas às etapas do PIM proposto para a FARAME ....................133
  • 21.
    xxi LISTA DE ACRÓNIMOS BN– Bottleneck CAD - Computer-aided Design CNC - Computer Numeric Control FIFO - First In-First Out HM - High Mix JIT - Just-In-Time MRP - Manufactoring Resource Planning MTO - Made-To-Stock NNVA – Necessary Non-Value-Added NVA - Non-Value-Added MTS - Made-To-Order ODP - Order Decoupling Point PDCA - Plan-Do-Check-Act PIM - Plano de Implementação de Melhorias PM - Pacemaker QRM - Quick Response Manufacturing S.A – Sociedade Anónima SCM - Supply Chain Management SMED - Single-Minute Exchange of Dies TPM - Total Produtive Maintenance TPS - Toyota Production System TQM - Total quality management VA - Value-Added VSM - Value Stream Mapping WIP - Work in Process TMC - Toyota Motor Corporation
  • 22.
  • 23.
  • 25.
    1 1 INTRODUÇÃO O presentedocumento consiste na dissertação que visa a obtenção do grau de mestre em Engenharia e Gestão Industrial, na Faculdade de Ciências e Tecnologias da Universidade Nova de Lisboa, intitulada Estudo de Implementação da Metodologia Lean na FARAME S.A. num contexto produtivo High Mix. Neste primeiro capítulo é explicitado o tema abordado e feito o enquadramento da dissertação no contexto curricular e na empresa objeto de estudo, são definidos os objetivos que se pretendem atingir e as questões a que se pretende responder, é apresentada a metodologia utilizada para ir ao encontro dos objetivos delineados e, por fim, é indicada a estrutura da dissertação. 1.1 ENQUADRAMENTO E JUSTIFICAÇÃO DO TEMA Lean Manufacturing, comumente designado de forma abreviada por “Lean” consiste numa filosofia de gestão que tem essencialmente como objetivo a eliminação dos designados desperdícios que se considera serem quaisquer atividades respeitantes a um processo que absorva recursos (em sentido lato) e que não crie valor. Esta filosofia de gestão resultou da aprendizagem prática e dinâmica dos processos produtivos originários dos sectores têxtil e, sobretudo, automobilístico, tendo sido determinada pela ambição do mercado Japonês em destacar-se dos concorrentes ocidentais garantindo variedade dos produtos, mantendo a elevada qualidade e o baixo custo num contexto competitivo. Este sistema foi sendo adotado, progressivamente, de forma extensiva em diversos setores de atividade, sobretudo industriais, devido ao seu potencial para melhorar, de forma efetiva, a produtividade e a eficiência dos processos e das empresas e, assim, responder às exigências crescentes de um mercado em rápida evolução. Para atingir os objetivos que se propõe, a abordagem Lean recorre à utilização de diversas ferramentas e conceitos adaptados aos vários contextos produtivos, tais como por exemplo o Value Stream Mapping (VSM), o sistema Pull, Single-Minute Exchange of Dies (SMED), 5S, Kanban, entre outros. A presente dissertação de âmbito curricular, foi desenvolvida na empresa FARAME S.A. (doravante abreviadamente designada por FARAME) localizada no concelho de Sintra. Trata-se de uma empresa de média dimensão, fundada em 1983, que se dedica à produção e comercialização, para vários segmentos de mercado, de diversos artigos metálicos tais como carros de supermercado, contentores, cestos de supermercado, carros de transporte de bagagem, entre outros produtos. O esquema de produção geral compreende, sumariamente, a etapa de transformação, que inclui diversas operações mecânicas, a etapa de acabamento, que inclui operações de revestimento de superfícies como a zincagem e pintura, e a etapa final de montagem dos artigos. Previamente à definição do tema concreto a abordar na dissertação procedeu-se à análise aprofundada do funcionamento da empresa, com vista a identificar eventuais áreas de interesse para a investigação,
  • 26.
    2 quer no contextocurricular em questão quer para a empresa objeto de estudo. Esta fase inicial permitiu identificar deficiências, insuficiências e oportunidades de melhoria em vários domínios do funcionamento da empresa, nomeadamente no aprovisionamento, no planeamento, no sistema produtivo, na expedição, na manutenção e na organização que justificariam considerar uma abordagem centrada na racionalização e otimização de operações ou fluxos. Entendeu-se, assim, estar-se perante um caso em que se poderia abordar o tema Lean Manufacturing, devido à sua generalizada aplicabilidade ao setor industrial e ao potencial para obter benefícios para a empresa em questão. Acrescenta-se que não havia evidências de implementação prévia de metodologias Lean na FARAME o que tornava o tema inovador para a empresa. Embora, como já referido, o Lean tenha uma aplicação difundida em vários setores industriais, o facto de se testar a sua aplicação nesta empresa tinha, à partida, algumas especificidades, devido aos seguintes aspetos:  A atividade produtiva da empresa estar orientada para a produção de uma vasta gama de produtos customizados e sem previsibilidade da procura;  A atividade produtiva envolver uma multiplicidade de operações e equipamentos;  Os processos de produção requererem operações de Setup sistemáticas e demoradas dos equipamentos;  Todos os recursos produtivos serem partilhados e não existirem linhas dedicadas. Por estes motivos, foi analisado o sistema produtivo da empresa, tendo sido concluído que, devido à grande variedade e customização de produtos produzidos, este se caracterizava como um sistema High Mix (HM), o que requereria a considerar algumas alterações à abordagem Lean tradicional. Assim, pretendeu-se testar e avaliar de que modo a abordagem Lean e as ferramentas de suporte à sua aplicação poderiam ser adotadas e que eventuais limitações teriam no contexto em estudo que justificassem proceder a adaptações nas mesmas. Para o efeito recorreu-se, concretamente, à ferramenta VSM para estudar a cadeia de valor de um produto selecionado a partir de uma família de produtos representativos e para obter uma visualização clara do sistema produtivo atual. Esta ferramenta é vulgarmente conhecida por constituir uma das etapas iniciais do desenvolvimento do Lean Manufacturing. Diversos autores nesta área, nomeadamente Rother e Shook, defendem que o VSM é um dos pilares para a implementação do pensamento Lean por consistir numa ferramenta de diagnóstico que expõe, por princípio, alguns dos exemplos mais visíveis de desperdícios em que as empresas incorrem, por ajudar a criar as bases para a implementação de outras ferramentas e por facilitar a introdução de melhorias.
  • 27.
    3 1.2 OBJETIVOS A análiseda situação atual da empresa FARAME permitiu constatar os desafios com que esta tem sido confrontada, nomeadamente com a necessidade de reduzir o Lead Time dos produtos, de diminuir o WIP no sistema e de garantir uma melhor qualidade nos seus produtos, existindo, portanto, a necessidade de melhorar a produtividade, com qualidade e redução de custos. Por este motivo, a presente dissertação tem como principal objetivo o estudo de implementação de metodologia Lean na FARAME. Por outro lado, considerando as particularidades da empresa atrás indicadas e o tema abordado, as questões específicas a que se pretendeu responder foram as seguintes:  Que eventuais limitações encerra a abordagem Lean e que adaptações pode ser necessário fazer com vista à sua aplicação num ambiente de produção HM?  De que modo a aplicação da abordagem Lean a um produto representativo num ambiente HM pode ser transposta e generalizada a todos os produtos? 1.3 METODOLOGIA E ATIVIDADES REALIZADAS O estudo foi iniciado com a pesquisa, análise e discussão da informação considerada relevante no contexto do tema em análise e para a fundamentação das abordagens e atividades a desenvolver. Para este efeito procedeu-se à revisão da literatura na área para aprofundar o âmbito do tema abordado na dissertação, nomeadamente relativa às metodologias Lean e, especificamente, à ferramenta VSM. Paralelamente procedeu-se ao reconhecimento e caracterização inicial da empresa e recolheram-se opiniões junto de elementos ao nível da gestão e da operação para avaliar a relevância do tema selecionado. Debateu-se o tema e o seu modo de abordagem com os professores orientadores e da especialidade, para formular um plano de ação credível e exequível. Para dispor de informação de base relativa à cadeia de valor do produto representativo selecionado considerou-se ser necessário reunir os elementos relativos ao planeamento e produção relacionados com as instruções de trabalho, com a capacidade e modo de processamento dos equipamentos, com os tempos e modo de programação e operação dos mesmos, com o transporte de materiais, entre outros. De seguida observaram-se todos os processos industriais existentes na fábrica, e mais profundamente aqueles correspondentes à família de produtos selecionada, analisando as rotinas de trabalho na fábrica, as ferramentas e equipamentos necessários para o desempenho do trabalho e o layout das instalações. Devido à inexistência de registos sistemáticos que pudessem ser utilizados para estudar a cadeia de valor do produto selecionado, foi estabelecido um programa de recolha de dados documentais e de campo. Recorreu-se a diversas técnicas e instrumentos de recolha e tratamento de dados, através da análise de registos relativos a operações e equipamentos, realização de inquéritos/entrevistas, preenchimento de checklists, análise estatística de dados e observação direta do fluxo de valor do produto.
  • 28.
    4 Para documentar osaspetos mais relevantes utilizaram-se formulários concebidos para o efeito ou fornecidos por outras entidades e recolheram-se dados através de um cronómetro digital e/ou de cronómetro analógico existente em algumas máquinas. As variáveis registadas nos formulários dependeram do estudo que se pretendeu efetuar e das medidas de desempenho a calcular e foram divididos por:  Formulário para registo de operações VSM (que se se apresenta no Anexo I);  Formulário para registo de operações de Setup (que se se apresenta no Anexo II);  Formulário 5S/Visual Workplace Handbook - Production Automation Corporation VSM (que se apresenta no Anexo III). A recolha de dados de campo/experimentais para construção dos mapas teve início no processamento da encomenda de um cliente e tendo terminado quando foi expedido o primeiro lote de entrega. Os restantes dados utilizados, nomeadamente no contexto de aplicação de outras ferramentas foram recolhidos durante todo o período do estágio curricular. Pretendeu-se que o tratamento dos resultados a obter pudesse estabelecer um diagnóstico fundamentado da situação atual para o produto selecionado, sistematizando as eventuais insuficiências ou deficiências dos processos analisados, prever e quantificar os impactes e os ganhos estimados com a implementação de uma abordagem Lean no produto selecionado e avaliar os requisitos a considerar para implementação generalizada da abordagem Lean ao setor produtivo da empresa. Considerando o contexto anteriormente apresentado e as características da empresa FARAME em que decorreu o estágio, estabeleceram-se as seguintes atividades principais para presente dissertação: 1. Compreender o estado atual do fluxo de valor de uma família de produtos recorrendo à ferramenta VSM e utilizar os princípios inerentes ao Lean Manufacturing para elaborar um estado futuro ideal para essa mesma família de produtos e estimar o impacto na empresa das modificações efetuadas; 2. Adaptar conceitos respeitantes a ambientes de produção HM ao caso prático estudado, quando a metodologia Lean demonstrar limitações; 3. Definir em que condições e com que ferramentas pode ser ampliado o alcance do estudo do fluxo de valor atual na empresa de uma família de produtos à globalidade do setor produtivo da empresa, tendo em consideração o ambiente HM que a carateriza; 4. Estabelecer um plano de implementação das melhorias sugeridas; 5. Determinar qualitativamente e/ou quantitativamente os ganhos esperados para a empresa; 6. Produzir informação esclarecedora que possa promover uma mudança de paradigma na empresa na medida em que, com a adesão à proposta de plano de implementação proposto se abrem novas
  • 29.
    5 possibilidades de aplicaçãode metodologias Lean que poderá trazer benefícios associados quer à redução de desperdícios quer à adoção de um pensamento de melhoria contínua, sem que a empresa tenha que realizar investimentos consideráveis. 1.4 CONTEÚDO DA DISSERTAÇÃO Para além do presente capítulo introdutório, esta dissertação foi estruturada nos seguintes capítulos principais:  Capítulo 2 - Revisão da literatura, no qual se resumem os principais elementos da bibliografia atual consultada relacionados com o tema geral selecionado para estudo e com os temas mais específicos correlacionados.  Capítulo 3 - Descrição da empresa, em que se apresentam os principais dados de funcionamento da empresa e em que se descreve, de forma sumária, a organização da empresa, o modo de produção implantado e os artigos produzidos.  Capítulo 4 - Análise do processo produtivo, identificação de problemas e de propostas melhoria, em que se descrevem os aspetos metodológicos específicos inerentes às ferramentas de trabalho adotadas, em que se descreve o trabalho preparatório e de recolha de dados efetuado, em que se apresentam e analisam os dados e resultados obtidos, em que se elaboram propostas para melhoria do estado atual e se estimam os ganhos esperados.  Capítulo 5 - Transposição do caso particular estudado para a globalidade da empresa, em que se efetuou uma análise global do sistema produtivo para entender a aplicabilidade e o impacte das sugestões propostas na empresa como um todo.  Capítulo 6 - Conclusões, em que se apresentam as principais conclusões e recomendações do estudo.
  • 30.
  • 31.
    7 2 MELHORIA CONTÍNUAE PENSAMENTO LEAN A revisão da literatura do presente estudo visa apresentar a evolução histórica e científica do assunto abordado e o aprofundamento de alguns temas considerados relevantes para a investigação. Trata-se de uma análise e síntese de diversas obras e artigos científicos publicados no domínio em estudo, quer para sustentação do desenvolvimento do trabalho e obtenção de uma visão geral na investigação, quer para facilitar a pesquisa no contexto académico. 2.1 O SISTEMA DE PRODUÇÃO TOYOTA - TPS 2.1.1 HISTÓRIA E EVOLUÇÃO DO PENSAMENTO Embora existam registos rigorosos de conceção de processos de fabrico que remontam a meados do século XV, a primeira pessoa a integrar verdadeiramente todo um processo de produção foi Henry Ford. Em 1913, Henry Ford criou, em Highland Park o que denominou por “produção em fluxo”. Para este efeito, Ford alinhou as etapas de fabrico de automóveis em processos sequenciais, sempre que possível, utilizando máquinas para fins especiais de forma a conseguir fabricar e montar os componentes que constituem os veículos em poucos minutos e a entregar componentes, que encaixassem de forma perfeita, diretamente para a linha de produção. Este método foi revolucionário em comparação com as fábricas congéneres do sistema Americano, que assentavam na utilização de máquinas de uso geral, agrupadas por processo, para produzir peças que se destinavam a fazer parte de um produto acabado. Embora esta mudança tenha vindo permitir ao consumidor obter produtos a preços mais baixos, em detrimento da sua variedade e qualidade, a produção em massa deixava, no entanto, muito a desejar em termos de competitividade e satisfação (WOMACK ET ALL, 1992). O problema do sistema de Ford não residia no fluxo de produção, uma vez que as linhas de montagem tinham capacidade para processar a quantidade requerida. Aquilo que era censurado ao modelo de produção criado era a sua incapacidade para fornecer variedade, de que é exemplo a produção do automóvel Modelo T, em 1926. A produção deste modelo foi, não só, limitada apenas a uma cor como, também, a uma especificação, de tal modo que todos os chassis do Modelo T eram essencialmente idênticos desde o início ao fim da produção. Com a evolução das exigências dos consumidores no sentido de estes disporem de mais variedade, incluindo ciclos de modelo mais curtos do que os 19 anos que caraterizaram o Modelo T, o sistema de Ford perdeu alguma utilidade. Outros fabricantes de automóveis responderam à necessidade de produção de modelos diversificados, e cada um com muitas opções, embora recorrendo a sistemas de produção, cujo projeto e respetivas etapas de produção regrediram novamente para processos com tempos de processamento muito mais longos.
  • 32.
    8 Na década de30 do século passado, e mais intensamente logo após a Segunda Guerra Mundial, Kiichiro Toyoda e Taiichi Ohno, entre outros, analisaram o sistema de produção na Toyota, tendo concluído que, realizando uma série de inovações simples, seria possível produzir continuamente através do processo em fluxo e assegurar, simultaneamente, o fornecimento de uma grande variedade de produtos. O pensamento original de Ford foi, de certa forma, revisitado e reinventado com o designado Sistema de Produção Toyota (TPS). Este sistema transferiu, essencialmente, o foco da produção que se centrava nas máquinas individuais, e na sua utilização, para o fluxo do produto, através do processo total. A sua filosofia assentava no desejo de produzir através de um fluxo contínuo e no reconhecimento de que apenas uma pequena fração do tempo total e do esforço despendidos para processar um produto constituíam atividades de valor acrescentado (VA) (WOMACK ET ALL, 1992). Taiichi Ohno, engenheiro e chefe de produção da Toyota Motor Corporation (TMC), definiu a base do TPS como consistindo na eliminação absoluta de desperdícios, na redução de custos, na produção de alta qualidade e, posteriormente, na obtenção da quantidade exata. Quando estes aspetos são considerados de forma integrada, o TPS caracteriza-se como um controlo de quantidade, cujo objetivo é a redução de custos através da absoluta eliminação de desperdícios. Estes pontos-chave formam um sistema totalmente integrado que deve estar em constante evolução, e deram lugar a uma nova filosofia organizacional, o Lean Manufacuring (WILSON, 2010). 2.1.2 DESCRIÇÃO GERAL DO TPS Taiichi Ohno descreveu este sistema como um conjunto de técnicas com vista a reduzir os custos de produção, com implicação na eliminação dos desperdícios. A definição especifica de desperdícios é uma contribuição do TPS porque estes foram descritos e caracterizados de uma forma única (WILSON 2010). Estes são entendidos como atividades que não acrescentam valor em negócios ou processos de fabrico e que foram definidos da seguinte forma (LIKER ET ALL. 2006):  Excesso de produção: Produção de componentes antes do necessário ou em quantidades superiores ao desejado; gera outros desperdícios tais como excesso de pessoal, requisitos de armazenamento e custos de transporte devido ao excesso de stocks;  Esperas: Trabalhadores em espera pelo fim da operação numa máquina automatizada, falta de ferramentas ou peças, atrasos de processamento anteriores, entre outros;  Transporte: Movimentação de material entre processos ou produtos acabados para dentro ou para fora da zona de armazenamento;  Processamento incorreto: Ineficiências devido à utilização de ferramentas incorretas e do design do produto; causam movimentos desnecessários e defeitos.  Excesso de stock: Matéria-prima, WIP ou produtos acabados em excesso conduzem a obsolescência, mercadorias danificadas, transporte, armazenamento e custos desnecessários.
  • 33.
    9 Ocultam problemas naprodução tais como atrasos nas entregas de fornecedores, defeitos e tempos de inatividade;  Movimentos desnecessários: Qualquer movimento executado durante o turno de trabalho que não acrescenta valor;  Defeitos: Produção de peças defeituosas, correções, reparações, operações de inspeção; significam desperdício de tempo e esforço. Taiichi Ohno considerou que, de entre os desperdícios enunciados, o excesso de produção é o mais significativo por provocar a maior parte dos restantes desperdícios. 2.1.3 CONSTITUIÇÃO DO TPS Na Figura 2.1 pode observar-se o conjunto de elementos fundamentais que formam a estrutura do TPS e que se descrevem mais adiante. A base de todos os elementos é a estabilidade, essencial para que se possam estabelecer objetivos, e na qual se enquadram o Heijunka (programação nivelada), o trabalho uniformizado e a gestão visual. Uma vez obtida a estabilidade erguem-se os pilares deste sistema que são a produção Just in Time (JIT) e Jidoka (modo de utilização de máquinas e mão-de-obra) que suportam os objetivos cruciais que consistem na obtenção de uma elevada qualidade a um baixo custo, com flexibilidade e agilidade (PINTO 2008). Figura 2.1 - Constituição do TPS - Fonte: Lean Thinking, Pinto (2008)
  • 34.
    10 2.1.3.1 Estabilidade dosprocessos O objetivo principal de garantir a estabilidade dos processos é a criação de uma base de consistência para que a realidade possa ser evidenciada e as atividades aleatórias eliminadas, estabelecendo uma fundação para a melhoria contínua, assentes na redução da variabilidade da taxa da procura e na criação de um nivelamento básico diário. Este facto é de extrema importância para a criação de um fluxo produtivo contínuo e para garantir um maior grau de flexibilidade e capacidade de responder aos requisitos dos clientes (LIKER ET ALL. 2006). Existem, para esse fim, estratégias e ferramentas que podem ser utilizadas em maior ou menor extensão dependendo das condições, dos objetivos e das estratégias da empresa sendo, no entanto, sempre aplicáveis. Para atingir a estabilidade são sugeridas as seguintes abordagens (WILSON, 2010):  Heijunka - Significa a obtenção de uma programação nivelada, sem grandes oscilações. Cria condições para manter um fluxo contínuo de fabrico, para reduzir stocks e para assegurar uma maior estabilidade dos processos (PINTO 2008);  Trabalho uniformizado - Trata-se de uma ferramenta para análise e compreensão dos desperdícios no processo e para o estabelecimento de um fluxo de trabalho equilibrado durante a criação de um fluxo contínuo, sendo mais do que apenas um conjunto de instruções para o operador. Como ferramenta de análise, o trabalho uniformizado serve, primeiramente, para auxiliar a identificação de movimentos e esperas desnecessárias, não se destinando a prescrever como o trabalho deve ser realizado, mas, pelo contrário, descrever o que está a acontecer. Este conceito engloba três elementos: o tempo de ciclo, a sequência de trabalho e o stock padrão (LIKER ET ALL. 2006);  Simplificação de Processos - É um conceito básico que passa por eliminar e simplificar etapas no processo de produção com vista à redução da sua variação;  5S - Conjunto de técnicas utilizadas para melhorar práticas de trabalho que facilitam o controlo visual e implementação da metodologia Lean. Os 5S são: 1. Seiri...............Separação 2. Seiton.............Ordem 3. Seiso..............Brilho 4. Seiketsu..........Estandardização 5. Shitsuke..........Sustentação  Sustentação dos ganhos - Depois de atingida a melhoria dos processos, a sustentação é o passo necessário para a padronizar, institucionalizando os ganhos para poder “construir” sobre os mesmos;  Total Produtive Maintenance (TPM) - É uma abordagem revolucionária para a gestão de máquinas/equipamentos constituída por atividades que são projetados para evitar avarias, para
  • 35.
    11 minimizar ajustes deequipamento que causam perdas de produção e para tornar as máquinas mais seguras e fáceis de operar, melhorando, assim, o desempenho geral das fábricas ao incidir sobre a disponibilidade das máquinas;  Transparência - Conceito que estabelece que o desempenho do processo ou da linha inteira de produção deve ser "visto”, recorrendo a um conjunto de controlos visuais, tais como “andons”, placas Heijunka e marcações de espaço, que tornam o desempenho do processo "transparente". 2.1.3.2 Just-In-Time (JIT) Esta técnica de controlo da produção consiste no fornecimento da quantidade exata material no momento certo e no local necessário; tratando-se, objetivamente, de um controlo de quantidade. Permite efetuar o controlo dos stocks de forma mais eficaz e resulta numa melhor compreensão da sua variação (WILSON 2010). No entanto, produzir desta forma requer um fluxo contínuo e coordenado de materiais e informação a funcionar com um sistema Pull e a trabalhar com um tempo de ciclo próximo do Talk Time (PINTO 2008). Esta técnica assenta, principalmente, nos seguintes conceitos (WILSON 2010):  Takt time - Representa o tempo de ciclo do processo para responder à procura do cliente, normalizado de tal forma que assenta no plano de produção da empresa. É calculado dividindo (1) o tempo de trabalho disponível para a produção pela (2) procura do produto, sendo o sistema concebido para produzir a esta taxa. Se a produção for efetuada com um tempo de ciclo mais elevado que o Takt não será possível cumprir os prazos estipulados; se o tempo de ciclo for menor do que o Takt, serão constituídos stocks, considerados desperdícios;  Balanceamento das operações - Técnica que consiste em ter todos os passos da operação de uma “célula” com o mesmo tempo de ciclo para se atingir a sincronização da produção, servindo, essencialmente, para evitar o desperdício de espera;  Sistemas Pull - São sistemas projetados para minimizar o excesso de produção e caracterizam- se por limitar o volume de stocks utilizando o sistema de Kanbans (conceito descrito adiante que assenta na utilização de cartões) e pelo facto de a produção ser iniciada apenas quando é dado um sinal a partir do cliente/processo seguinte. Neste caso, quando um componente do processo é utilizado a jusante, usa-se um sinal que indica ao processo a montante que pode iniciar a sua produção até um limite máximo definido;  Lead Time - Representa o tempo que decorre entre uma encomenda e a entrega do produto ao cliente. A sua redução resulta na diminuição de desperdícios na medida em que melhora a flexibilidade e a capacidade de resposta a mudanças na procura, seja em quantidade, ou seja, no tipo de produto;
  • 36.
    12  Fluxo -É o conceito no qual os componentes param apenas para ser processados e, portanto, todas as atividades são de valor acrescentado (VA) e o Lead-Time é menor. Este conceito assenta na conceção dos processos de modo a que estes estejam sincronizados, tanto quanto possível, e que se constitua o mínimo de stock viável entre si;  Kanban - Prática de usar, por exemplo, cartões para indicar o andamento dos fluxos e criar um sistema Pull. Estes cartões, que representam e são responsáveis por todos os stocks no sistema, ao serem monitorizados permitem uma melhor visualização dos stocks totais existentes e a minimização do excesso de produção. Esta técnica torna o sistema mais sensível à procura dos clientes e permite encurtar os prazos de entrega porque a ordem de produção vem diretamente dos mesmos. A utilização de Kanbans segue regras criteriosas que devem ser necessariamente seguidas para que tenham resultado no Sistema;  Lote mínimo - Ao diminuir o tamanho dos lotes obtém-se um processo mais rápido pelo fato de ser possível reduzir o Lead Time do primeiro componente, aliado à melhoria da capacidade de resposta da qualidade uma vez que se detetam não-conformidades de forma antecipada. Por outro lado, o primeiro lote do produto global será concluído mais rapidamente;  Sistema por células - Sistema que assenta na criação de áreas de trabalho que estão dispostas de tal modo que as etapas de processamento estão imediatamente adjacentes umas às outras, permitindo que as partes sejam processadas quase continuamente, quer em lotes reduzidos quer em fluxos unitários;  Stock de ciclo, de buffer e de segurança - O stock de ciclo é aquele que se forma entre duas entregas a clientes; o stock de buffer é aquele que é mantido para cobrir as variações associadas a causas externas, incluindo mudanças na procura; o stock de segurança é útil para cobrir as variações internas incluindo paragens na linha produtiva ou qualquer outra situação que dificulta a capacidade de entrega ao cliente. Estes stocks dizem respeito a produtos acabados, mas também a WIP e são revistos periodicamente para avaliar possíveis oportunidades de redução de desperdícios. Cada um dos três tipos de stock é calculado e marcado separadamente. A forma mais comum de o fazer é utilizar Kanbans codificados por cores;  SMED (Single-Minute Exchange of Dies) - Sistema projetado para reduzir, tanto quanto possível, os tempos de Setup dos processos, o que se traduz na redução do excesso de capitalização e de produção. A sua aplicação é a chave da “destruição” dos lotes e um dos principais esforços que devem ser iniciados para a implementação do Lean.
  • 37.
    13 2.1.3.3 Jidoka Jidoka significaum conjunto de questões culturais e técnicas que dizem respeito à utilização de máquinas e mão-de-obra em conjunto, atribuindo a trabalhadores tarefas exclusivas que estes sejam capazes de realizar, e dotando as máquinas de sistemas capazes de “auto-regular” a qualidade. Trata-se de um conceito que assenta no princípio que nenhum componente não conforme pode prosseguir na linha de produção. Esta técnica, não só, protege o cliente e reduz custos inerentes à não qualidade como, também, constitui uma base para a melhoria contínua que assenta na adoção de um conjunto de técnicas, designadamente (WILSON 2010):  Poka-Yoke - Consiste numa série de formas, ilimitadas, que se destinam a conseguir que um processo se torne “à prova de erros”, tornando-o mais robusto, nomeadamente encerrando/interrompendo o processo ou isolando o componente quando é detetado um defeito ou avisando o operador da irregularidade através de andons (sinais visuais);  5 Porquês - Trata-se de uma técnica simples, ao nível do seu conceito, que consiste na interrogação iterativa com vista a conhecer a sucessão das relações de causa e efeito de um determinado problema. Para que as questões sejam corretamente analisadas, a sua aplicação exige conhecimento e experiência na área do problema que se propõe analisar;  Kaizen - Respeita ao processo de melhoria contínua com vista a obter resultados em termos de eficiência e qualidade, através da adoção sistemática, e envolvendo todos os intervenientes, de uma série de pequenas medidas de melhoria. Embora estas melhorias sejam, por vezes, aparentemente pouco significativas e difíceis de quantificar, o seu efeito cumulativo e sinergético é/ significativo. 2.2 LEAN MANUFACTURING 2.2.1 DEFINIÇÃO DE LEAN MANUFACTURING O conceito de Lean Manufacturing, como evolução do TPS, consiste numa abordagem com vista a produzir mais com menos esforço humano, menos equipamento, menos tempo e menos espaço, oferecendo simultaneamente aos clientes exatamente o que eles querem. Esta abordagem pretende, ainda, que o trabalho se torne mais satisfatório e que proporcione feedback imediato sobre os esforços efetuados para converter desperdícios em valor (WOMACK ET ALL, 1992). Está geralmente associado a departamentos mais específicas, tais como o fabrico e desenvolvimento de produtos, tendo sido “formalizado” para ser aplicado através de ferramentas e técnicas específicas. No entanto, JEFFREY K. LIKER E DAVID MEIER (2006) conferem um sentido filosófico a esta abordagem, por comparação com um organismo que trabalha para crescer e se desenvolver, e que permite criar um modelo de alinhamento de pessoas na direção de um propósito comum. Os autores reforçam que esta é, portanto, uma
  • 38.
    14 metodologia que podeser aplicada a vários departamentos de qualquer indústria que pretenda eliminar desperdícios a longo prazo. De uma forma genérica pode-se compreender o pensamento Lean através da sua comparação com a abordagem tradicional, se se focar no objetivo primordial que as organizações pretendem atingir. Assim, enquanto que na abordagem tradicional o objetivo numa indústria passa por atingir um número aceitável de defeitos, um valor máximo aceitável de stocks e um leque de produtos limitados standard, na abordagem Lean procura-se alcançar a perfeição continuamente, reduzir custos, obter zero defeitos, zero stocks e uma grande variedade de produtos. Trata-se de um processo que procura empregar equipas de trabalhadores multifacetados a todos os níveis da empresa e que utiliza máquinas automatizadas e flexíveis para produzir grandes volumes de uma grande variedade de produtos (WOMACK ET ALL, 1992). 2.2.2 LEAN NOS DIAS DE HOJE A Toyota é um líder exemplar na aplicação deste conceito e uma grande empresa em termos de vendas globais. Este sucesso contínuo ao longo das últimas duas décadas criou uma enorme procura pelo conhecimento sobre a estrutura da empresa. Existe por esse motivo uma crescente vontade das organizações em explorar o assunto e inúmeros recursos disponíveis para esse público crescente. Como o pensamento Lean continua a ganhar seguidores em todos os países do mundo e nas mais diversas organizações, os gestores também estão a adaptar as suas ferramentas e princípios, não só, à produção como, também, à logística e distribuição, serviços, construção, manutenção, entre outros. A consciência e os métodos Lean estão a começar a criar raízes em todos os setores nos dias de hoje. 2.2.3 PRINCÍPIOS DO LEAN MANUFACTURING A palavra japonesa “Muda”, que traduzida para português significa "desperdício", pode ser utilizada sempre que exista uma atividade humana que absorva recursos, mas que não crie nenhum valor. Taiichi Ohno identificou sete tipos de desperdícios na indústria e lutou para que a Toyota se libertasse deles. Utilizou para esse efeito, o pensamento Lean, definindo uma sequencia lógica e uma abordagem cíclica às questões assente em vários princípios, tal como representado na Figura 2.2: 1) especificação de um valor para determinado produto; 2) alinhamento das ações de criação de valor na melhor sequência; 3) realização dessas atividades sem interrupção quando solicitadas; 4) estabelecimento de um sistema Pull; 5) procurar a melhoria contínua (WOMACK & JONES 1996).
  • 39.
    15 Figura 2.2 -Princípios do Lean Manufacturing; Fonte: Lean Enterprise Institute 2.2.3.1 Especificação do valor O ponto de partida fundamental para o pensamento Lean é a noção de valor. O valor só pode ser definido pelo cliente final e apenas se torna significativo se for expresso em termos de um produto específico que satisfaz as necessidades do cliente, a um preço específico num determinado momento. No entanto, o valor é criado pelo produtor e, por esse motivo, a sua definição deve visar produtos específicos, com recursos específicos e oferecidos a preços específicos a determinados clientes. 2.2.3.2 Mapeamento da cadeia de valor A cadeia de valor é o conjunto de todas as etapas necessárias para trazer um produto desde a sua encomenda até ao cliente, partindo da sua conceção, evoluindo com o desenvolvimento do projeto detalhado e engenharia para lançamento na produção e prosseguindo com a transformação de matérias- primas em produto acabado. Identificar toda a cadeia de valor para cada produto (ou em alguns casos, para cada família de produtos) é um passo essencial do Lean Manufacturing e que, quase sempre, expõe desperdícios. Especificamente, a análise do fluxo de valor identifica as atividades que criam, de forma inequívoca, valor e também as atividades que não criam qualquer valor para o cliente, podendo as mesmas ser ou não ser evitáveis. 2.2.3.3 Criação de fluxo Uma vez especificado o valor com precisão e mapeada a cadeia de valor torna-se crucial criar o fluxo de etapas de criação de valor. As etapas podem ser realizadas de forma mais eficiente e precisa quando o produto é trabalhado continuamente, desde a matéria-prima ao produto acabado. Por outras palavras, o processo funciona melhor se o foco estiver no produto e nas suas necessidades, em vez de se centrar nos equipamentos, de modo que todas as atividades necessárias para a conceção e fornecimento de um Identificar valor desejado Mapear cadeia de valor Criar fluxo de etapas produtivas Estabelecer um sistema "Pull" Procurar a melhoria contínua
  • 40.
    16 produto ocorram emfluxo contínuo, destacando-se a criação de pequenos lotes produzidos continuamente porque estes representam, de uma maneira mais realista, as necessidades. 2.2.3.4 Estabelecimento de um sistema Pull Com a conversão dos departamentos em equipas de produto e da movimentação dos lotes em fluxo, reduz-se o tempo necessário entre a conceção e o lançamento de um produto e torna-se possível reagir à procura de uma forma mais rápida. Significa isto, a capacidade de projetar, programar e fazer exatamente o que o cliente precisa apenas quando o mesmo o deseja pode implicar ignorar as previsões da procura e fazer simplesmente o que os clientes precisam, introduzindo um sistema em que o cliente “puxa” o produto, conforme as suas necessidades, em vez de ser a empresa a “empurrar” produtos para o cliente. 2.2.3.5 Implementação de melhoria Contínua Quando as organizações são capazes de identificar e especificar com precisão o valor de um produto, de estabelecer um fluxo contínuo e de permitir que sejam os clientes a “puxar” valor da empresa, começa a existir um envolvimento de todos os intervenientes de tal forma que, naturalmente, se desenvolve um processo de redução do esforço, do tempo, do espaço, de custos e de erros e de aproximação à perfeição. Porque os quatro anteriores princípios do Lean Manufacturing interagem de forma que produzem um “ciclo”; ao permitir que o valor flua mais rápido, ao expor desperdícios existentes, ao implementar um sistema de produção Pull que revela impedimentos. Neste processo, é, também, de extrema importância que exista transparência para que todos os intervenientes na cadeia de valor, incluindo fornecedores, distribuidores e os próprios trabalhadores, possam “ver” melhor e descobrir formas de criar valor e para que haja um estímulo, por parte de todos, na procura da melhoria contínua. 2.2.4 BENEFÍCIOS E CONSTRANGIMENTOS DA IMPLEMENTAÇÃO DO LEAN NAS EMPRESAS Em qualquer indústria o peso da estratégia de produção e a sua envolvente são de extrema importância para que a organização seja competitiva. Desta forma, torna-se fulcral verificar em que medida a adoção do pensamento Lean influencia as organizações no curto, médio e longo prazo, analisando as vantagens competitivas que daí advêm bem como os prováveis constrangimentos decorrentes para entender os contornos desta estratégia e verificar a sua adaptabilidade a diferentes contextos. Significa isto, analisar e entender que existe uma relação custo-benefício associada à implementação do Lean que vai depender de inúmeros fatores que podem influenciar quer a redução de custos quer a geração de benefícios. Por outro lado, existem circunstâncias diferentes, conforme a empresa, que podem implicar resultados diferentes e metodologias de implementação que não serão necessariamente iguais.
  • 41.
    17 2.2.4.1 Benefícios daimplementação A implementação do Lean permite produzir com mais qualidade, velocidade e eficácia, sendo possível, paralelamente, aumentar a flexibilidade e reduzir os custos operacionais. Para alcançar a qualidade é proposto o conceito de stocks mínimos. A partir da redução dos stocks, torna-se mais acessível detetar onde estão as falhas na atividade produtiva e, consequentemente, combater as suas causas de forma a alcançar uma eficiência operacional que permita obter qualidade desde a primeira peça. Esta filosofia é suportada, em parte, pela melhoria contínua dos processos que tem como meta atingir “zero defeitos” (WOMACK & JONES 1996). Pode-se subentender que os conceitos inerentes ao Total Quality Management (TQM) são intrínsecos ao pensamento Lean e dão suporte à sua implementação. A vantagem do Lean face à abordagem TQM (através de controlos estatísticos do processo) decorre de o controlo ser realizado pelos operadores no momento da produção, bem como através do sistema Pull com a utilização de Kanbans do produto e do processo, podendo ser detetadas antes que as consequências cheguem aos clientes (MORAIS 2006). Outro ponto crucial que possibilita uma produção mais ágil, diz respeito à delegação de maiores responsabilidades aos trabalhadores para as operações. Essa delegação tem como pressuposto uma maior capacidade dos operadores aos quais se agregam novas funções e que passam a conhecer todo, ou quase todo, o processo no qual estão inseridos, tendo responsabilidade sobre as falhas e as soluções decorrentes do trabalho. Essa delegação permite que sejam tomadas decisões mais prontamente, reduzindo o tempo em que um processo está parado devido à deteção de uma falha (Jidoka). Por outro lado, a redução do tempo de Setup dos equipamentos, pressupondo a transformação do tempo de Setup interno (com o processo parado) em tempo de Setup externo (com o processo a decorrer), permite que o processo seja acelerado. No sentido da redução de custos, a abordagem Lean pode proporcionar ganhos indiretos a partir da redução dos tempos de Setup e do menor número de peças defeituosas, consideradas desperdícios, e ainda com a melhoria na qualidade. A maior “redução de custos” está associada aos stocks, uma vez que permite que a empresa financie, apenas ou sobretudo, produtos com retorno a curto prazo, não constituindo grandes quantidades de capital empatado (WOMACK & JONES 1996). Quantitativamente, ao converter a produção num fluxo contínuo com um sistema eficaz de Pull, é possível duplicar a produtividade do trabalho em todas as etapas ao cortar tempos em 90% e ao reduzir os stocks no sistema também em 90%. O número de erros e desperdícios no sistema de produção são normalmente cortados para metade bem como questões relacionadas com a segurança e saúde no trabalho. O tempo que os produtos permanecem no sistema pode ser reduzido para metade e pode ser oferecida uma variedade mais ampla de produtos a um custo adicional modesto.
  • 42.
    18 O pensamento Leanapresenta, ainda, a vantagem de incentivar a melhoria continua, por meio de Kaizen, para atingir a perfeição. Apesar de, por vezes, existir a perceção de que um processo produtivo já é eficiente e que não existe espaço para a melhoria uma vez que já se atingiu a perfeição dentro das possibilidades, a aplicação desta metodologia revela, no entanto, ineficiências que não se esperariam (MELTON 2005). Existem, portanto, diversos motivos para a implementação desta abordagem por a mesma contribuir para a melhoria da competitividade, estando provado que a sua correta implementação pode reduzir o tempo entre o pedido do cliente e a sua entrega, pode reduzir e eliminar atividades de valor não- acrescentado (NVA), permite obter processos que proporcionam uma alta qualidade aos clientes a um custo reduzido e sem exigir a constituição de grandes quantidades de stock (Jeffrey K. Liker e David Meier). 2.2.4.2 Constrangimentos à implementação Não obstante as vantagens inerentes à implementação do Lean, deve ter-se presente que existem limitações e requisitos que esta abordagem implica, bem como alguns constrangimentos que podem, por vezes, gerar o efeito contrário ao esperado, acarretando a ineficiência organizacional. Por outro lado, para a sua correta implementação torna-se necessário criar alguns desperdícios no curto prazo, a fim de os eliminar a longo prazo (LIKER ET ALL 2006). Em primeiro lugar, é necessário considerar as questões referentes aos recursos humanos da organização, na medida em que se aumenta o nível de exigência e de participação dos mesmos, sendo necessária uma maior cooperação e confiança entre os trabalhadores e os elementos da gestão/administração da organização. Caso contrário, a adoção deste sistema, para além de não gerar resultados, será responsável pelo enfraquecimento destas relações, tendo como principal consequência o aumento do stress, tanto dos funcionários como da administração, piorando os resultados (MORAIS 2006). Só será possível implementar esta abordagem se todos os elementos da organização acreditarem que o novo sistema trata todos de forma justa e que a mudança vai resultar em benefícios para todos (WOMACK E JONES 1996). Em segundo lugar é importante que existam planos de produção estáveis sem a perspetiva de grandes alterações, com reduzidos tempos de Setup. Isto significa dispor de uma instalação relativamente rígida, preparada para uma certa família de produtos, não havendo capacidade para atender a grandes alterações na procura, razão pela qual não é indicado a determinados tipos de mercado (MORAIS 2006). Tendo presente que a disposição dos equipamentos é permanente, prevê-se uma diminuição nos tempos de Setup das máquinas para agilizar a troca entre produtos, para que seja necessário efetuar apenas uma ligeira adaptação para produtos diferentes da mesma família. Poderá, por esse motivo, ser necessário alterar muitas ferramentas e equipamentos na fábrica, incorrendo em custos adicionais de investimento. Caso a organização não consiga reduzir este tempo de Setup (devido a diversos fatores) será impossível
  • 43.
    19 garantir o aumentoda flexibilidade produtiva, perdendo-se assim uma das principais características diferenciadoras da produção em massa (LIKER ET ALL 2006). A adoção deste sistema exige, também, alguns custos de investimento no rearranjo físico das linhas produtivas uma vez que se baseia no formato de “células”, caracterizando-se por se apresentar bastante rígido e pré-estabelecido para uma determinada família de produtos. Isto pode implicar a reconstrução ou reformulação das linhas, sendo extremamente importante realizar um estudo quanto aos impactos financeiros destes investimentos (MORAIS 2006). Por ultimo, este sistema exige uma participação integrada de todos os membros da cadeia de abastecimento uma vez que o aumento da velocidade de produção combinada com a redução de stocks, implica que os fornecedores estejam coordenados para garantir que não existe uma paralisação da produção devido a falta de matéria-prima. 2.3 A FERRAMENTA VALUE STREAM MAPPING (VSM) 2.3.1 FINALIDADE E DEFINIÇÃO A ferramenta Value Stream Mapping (VSM) pode ser definida como uma representação visual de todas as atividades de fabrico e dos fluxos de materiais e informações que ocorrem ao longo do fluxo de valor para um determinado produto ou família de produtos (TAPPING, 2002). Este fluxo de valor é constituído pelas atividades VA e NVA que trazem um produto, ou um grupo de produtos, que utilizam os mesmos recursos, desde as matérias-primas até ao consumidor final (GARG ET AL. 2010). Como pressuposto, sempre que existe desenvolvimento de produtos para um cliente existe, também, fluxo de valor que, representado através do VSM, permite compreender as condições operacionais atuais e oferece oportunidades para melhorar o seu desempenho. Trata-se, portanto, de uma ferramenta de melhoria aplicável a qualquer processo numa indústria, que permite a visualização dos seguintes aspetos: 1) do processo de produção destacando, também, o fluxo de informações dentro do sistema; 2) dos locais produção e estagnação do WIP e respetivos tempos; 3) das ações que desencadeiam o movimento do material de um processo de para outro (WOMACK E JONES 1996). A perspetiva da utilização da VSM é de trabalhar com todo o contexto que envolve o produto, em vez de se focar nos processos individualmente, e de melhorar globalmente esse contexto não se atendo à otimização das partes que o compõem. Cobre vários aspetos do fluxo de valor desde a receção das matérias-primas até ao envio da encomenda para o cliente final, passando pelos processos de fabrico e componentes do produto, com o objetivo de o tornar mais eficiente e de obter uma especificação do modo como deve ser o processo no futuro e de como implementar as alterações (ROTHER & SHOOK 1998). Em qualquer indústria de transformação, as operações podem ser classificadas em três grupos principais (JASTI ET ALL 2013):
  • 44.
    20  Atividades NVA,que não acrescentam qualquer valor ao produto nem à organização e, como tal, devem ser erradicadas - estas incluem desperdícios com o manuseamento desnecessário de material, tempos de espera, etc.;  Atividades necessárias, mas de valor não acrescentado (NNVA), que se tratam de atividades consideradas desperdício pelo cliente sendo, no entanto, necessários para a organização - estas dizem respeito, geralmente, a rotinas operacionais, sendo dificilmente eliminadas por exigirem grandes alterações aos processos internos;  Atividades VA, que incluem atividades que os clientes reconhecem como valiosas e, portanto, estão dispostos a pagar por elas. A aplicação desta ferramenta visa, principalmente, expor as atividades NVA que estão presentes nos processos atuais das empresas e que estão, na realidade, a consumir recursos financeiros e humanos devendo ser eliminadas. No entanto, pode-se verificar que algumas destas atividades são realmente necessárias no processo devido a limitações da empresa, pretendendo-se, nestes casos, minimizar o seu impacto. Por outro lado, esta ferramenta permite mais do que visualizar as atividades NVA, ajudando, também, a detetar as suas fontes através de uma linguagem comum em processos de fabrico, para que posteriormente seja possível analisar o processo e discuti-lo (PATEL ET ALL 2015). Desenvolvida durante o trabalho realizado por Taiichi Ohno na Toyota nos anos 60 e 70 do século XX a um nível mais elementar, o sucesso que a empresa tem tido desde 1980 foi atribuído, em grande parte, ao uso do VSM. Nas palavras de Taiichi Ohno - "Tudo o que estamos a fazer é olhar para a linha do tempo a partir do momento em que o cliente nos dá uma ordem de compra, até ao ponto em que recolhemos o dinheiro. E estamos a reduzir essa linha do tempo, removendo os resíduos que não acrescentam valor.” Com a utilização da VSM torna-se possível identificar a forma de os materiais e de as informações fluírem sem interrupção com a finalidade de melhorar a produtividade e competitividade e de ajudar as empresas a implementar sistemas de melhoria, em vez de terem processos a funcionar isoladamente. Com o apoio desta ferramenta clarifica-se os desperdícios no sistema, classificados como atividades NVA, que implicam custos e que não agregam valor, para que estes sejam eliminados e se possa concentrar o esforço na criação atividades que os clientes desejam (WOMACK E JONES, 2003). Os mesmos autores sugerem, no seu plano de ação Lean a seguinte linha de pensamento: 1) em primeiro lugar, o estabelecimento de um agente de mudança; 2) em segundo lugar, a compreensão teórica inicial dos princípios Lean; 3) em terceiro lugar, a identificação de fluxos de valor e o mapeamento por família de produtos. Desta forma, pode considerar-se o VSM como a ferramenta inicial para a implementação de um pensamento Lean, sendo utilizada como forma de diagnóstico para a identificação de problemas e de melhorias. Na Figura 2.3 pode-se observar um processo típico de implementação do pensamento Lean
  • 45.
    21 assente na construçãodo VSM como ferramenta de diagnóstico e na aplicação posterior de outras ferramentas (RIVERA ET ALL, 2007). Figura 2.3 - Processo típico para implementação do pensamento Lean - Adaptado de (RIVERA & FRANK CHEN, 2007) 2.3.2 PRINCIPAIS SÍMBOLOS, REPRESENTAÇÕES E DEFINIÇÕES DO VSM O principal objetivo da VSM é conseguir uma visualização clara dos processos de produção e dos seus desperdícios, para proporcionar uma análise que permita a otimização do fluxo de valor (MAIA 2006). Para desenvolver a representação de processos em "mapas", a ferramenta utiliza símbolos padrão para representar produtos, operações e fluxos. Dentro dos fluxos pode-se destacar a matéria-prima ou o WIP, que estabelece qual o percurso que estes seguem dentro das instalações, e a informação, que determina o que cada processo irá produzir na etapa seguinte, sendo ambos de extrema importância no enquadramento da ferramenta (ROTHER E SHOOK, 1998). No Quadro 2.1 estão ilustrados os principais símbolos e representações utilizados na ferramenta VSM. Para representação do processo são utilizadas “process box”. A definição acerca do que se considera ser um processo individual pode ser feita recorrendo tanto a observação das instalações como recorrendo a algum critério definido. Cada processo deve estar devidamente nomeado, conter a representação do número de operadores que lá atuam e ser acompanhado por uma tabela de dados que pode conter qualquer tipo de informação relevante que se deseje, tal como o tempo de ciclo, o tempo de Setup, o rendimento da máquina, o tamanho do lote, etc. Value Stream Mapping Sistemas Flexíveis 5S Trabalho Estandardizado SMED Jidoka Total Produtive Maintenance JIT Heijunka Visualizar o processo Organizar instalações Desenhar e implementar melhorias nos processosinternos Conectar com abastecimento e procura
  • 46.
    22 No que respeitaao fluxo de material, a seta com cores intercaladas significa que este se dá de acordo com uma metodologia Push, ou seja, que é iniciado por incentivo do processo anterior. Geralmente significa que um processo produz um componente independentemente das necessidades do processo seguinte, seguindo uma calendarização ou plano de produção, e estando desconectado das etapas a jusante e a funcionar isoladamente. Esta situação origina a produção regularmente para stock, no curto prazo, uma vez que os diversos processos não estão totalmente coordenados. A seta de cor única significa que o fluxo material se dá de acordo com a metodologia Pull, ou seja, é iniciado por incentivo do processo seguinte. Geralmente significa produzir exatamente o que o processo seguinte necessita no momento em que é necessário. No que respeita ao fluxo de informação, a seta regular representa informação que é passada manualmente, isto é, que é transmitida pessoalmente ou através de papel ou símbolos de qualquer tipo. A seta irregular representa informação que é passada eletronicamente, isto é, transmitida através de um sistema informático.
  • 47.
    23 Quadro 2.1 -Principais símbolos e representações utilizados nas ferramentas VSM e respetivo significado Fluxo de material - Paramapear o fluxo de material utilizam-se setas no sentidodaesquerdapara a direitaque representam o caminho seguido pela matéria-prima dentro da instalação, entre processos oucom origem no fornecedore destino no cliente. Metodologia Push Metodologia Pull Fluxo de informação - Para mapear o fluxo de informação utilizam-se setas no sentido da direita para a esquerdaque representam como cadaprocesso sabe o que produzir e quando produzir, especificando aorigem dessainformação. Informação manual Informação eletrónica Clientesefornecedores -Pararepresentarclientesefornecedoresutiliza-seoíconedeuma fábrica. Se setratar de um fornecedor coloca-se o ícone no topo superior esquerdo, se for um cliente coloca-se no topo superior direito. Deve ser acompanhado da especificação do respetivo nome e eventualmente das quantidades a receber ou expedir. Processos- Pararepresentar processosprodutivos utiliza-se uma“process box”que indicapor onde o fluxo de material passa. A sua utilização destina-se ademonstraro que se consideraumaáreado processoprodutivo que não estádiretamente ligada à áreaseguinte, sendo por esse motivo um processoindividual, com a utilização de máquinas distintas e com acumulação de stock entre si. Stock - Entre cada processoprodutivo geralmente existe acumulação de stocks que representam pontos onde o fluxo pára, oupor outras palavras, é interrompido.Nestassituaçõesé utilizado um triângulo que determinauma localização para cada ponto de acumulação de stock e a sua respetiva quantidade, podendo ser acompanhado de informação relativaao tempo de espera. Linha de tempo - A linha de tempo é utilizada para sumarizar as condições atuais da cadeia de valor, representando o Lead-Time da produção que indica o tempo que um produto leva desde a receção da matéria- prima até ser expedido para o cliente. A linha de tempo serve para comparar o Lead-Time da produção com o tempo de valor acrescentado de cada produto.
  • 48.
    24 2.3.3 METODOLOGIA TEÓRICADO MAPEAMENTO A construção de um mapa inicia-se por observação do funcionamento do sistema de produção atual ao nível mais elementar possível, de forma a compreender o fluxo do produto e todas as suas etapas. Para um correto mapeamento ROTHER E SHOOK (1998) sugerem a realização do seguinte conjunto de procedimentos padrão que facilitam essa tarefa e a tornam mais flexível:  A recolha da informação deve ser efetuada pelo responsável pela construção do mapa e deve ser proveniente da observação direta dos fluxos de material e informação, percorrendo os caminhos que os mesmos efetuam;  O processo de recolha de informação deve ser antecedido de um conhecimento prévio do fluxo do produto;  A recolha de informação deve ser efetuada no sentido de jusante a montante, iniciando-se com o envio do produto para o cliente e terminando na receção da matéria-prima. Desta forma a recolha de dados começa nos processos mais ligados diretamente ao cliente;  Devem ser recolhidos tempos por cronometragem e não tempos estandardizados uma vez que estes últimos raramente refletem, com exatidão, a realidade do processo, sendo apenas viáveis quando este ocorre totalmente bem;  O mapeamento deve ser efetuado exclusivamente por uma pessoa, embora possam existir outros envolvidos no processo, uma vez que o propósito passa por entender o fluxo e não os diferentes segmentos do mesmo;  O mapeamento deve ser efetuado manualmente, ou seja, a lápis numa folha branca simples durante a observação das ocorrências, evitando deixar esta tarefa para mais tarde utilizando um computador. Desta forma o mapeamento é feito sem atrasos e permite que o envolvido pense em outras informações pertinentes durante o processo. 2.3.4 DESENVOLVIMENTO DO VSM A utilização desta técnica consiste essencialmente em cinco grandes etapas distintas para que se torne uma ferramenta de comunicação, de gestão do processo e, acima de tudo, uma ferramenta de mudança dentro da empresa (ROTHER & SHOOK 1998). Estas cinco etapas podem ser observadas na Figura 2.4 que ilustra o método a seguir na utilização da ferramenta, onde se destaca o mapeamento do estado futuro constituir o principal objetivo desta técnica, de conceber uma situação ideal para o fluxo produtivo estudado e onde estão representadas as principais características do novo fluxo com as alterações propostas.
  • 49.
    25 Figura 2.4 -Método para utilização da ferramenta VSM - Adaptado de (Rother e Shook, 1998) O desenvolvimento do mapa inicia-se com a determinação do fluxo de valor a ser melhorado e foca-se, geralmente, nos produtos que se considera gerarem mais benefícios para a empresa. Para este(s) produto(s) ou família de produtos inicia-se a construção do mapa do estado atual que explicita o seu processo produtivo no momento e o seu modo real de funcionamento, assentando, fundamentalmente, numa descrição clara do que é observado pelo responsável da tarefa. Depois de o mapa estar construído procede-se à análise da situação atual, nomeadamente das atividades NVA, incidindo, sobretudo, na identificação de desperdícios no sistema e das suas causas e procurando soluções de melhoria (eventos Kaizen) com vista à construção de um mapa futuro. Este inclui as alterações que se considera que melhorarão o fluxo de valor do produto e que reduzirão os desperdícios, atendendo aos requisitos do cliente e eliminando a raiz das causas dos desperdícios identificados no estado atual. A projeção do mapa futuro deve sempre ser aplicável no objeto de estudo da empresa e a sua implementação deve necessariamente ter como objetivo gerar benefícios. Esta última etapa passa pelo desenvolvimento um plano de implementação detalhado que descreve as melhorias necessárias para se alcançar o estado futuro. O esforço de mapeamento é simplesmente uma ferramenta enquanto a implementação do plano é a chave para obter os efeitos desejados (THORSEN, 2004). 2.3.4.1 Etapa 1 - Seleçãoda família de produtos Seleção da família de produtos Mapeamento do estado atual Análise de desperdícios e eventos Kaizen Mapeamento do estado futuro Plano de implementação
  • 50.
    26 Como anteriormente referido,o primeiro passo do desenvolvimento do VSM consiste em identificar as famílias de produtos relevantes (ROTHER & SHOOK 1998), devendo a ferramenta ser aplicada onde se espera que a sua utilização gere mais benefícios para a organização, centrando os esforços nos fluxos de valor que exigem melhorias substanciais (XAVIER & SARMENTO, 2006). Uma família de produtos pode, no entanto, ser composta por muitos produtos distintos e, por esse motivo, é aconselhável que se considere a estrutura do produto mais representativa da família a ser mapeada, cujo critério de seleção pode ser aquele que o investigador considerar mais correto no contexto em estudo. A título de exemplo, poderá ser o produto que contenha o maior número de componentes, o produto que represente a maior frequência e/ou volume de produção ou que seja responsável pela maior parte da faturação da empresa, entre outros. Quando se pretende utilizar esta ferramenta torna-se importante compreender a importância de focar a atenção apenas numa família de produtos, uma vez que, do ponto de vista do cliente, este está interessado em um produto específico e não em todos. Significa que é mais vantajoso mapear uma família de produtos de uma forma detalhada de cada vez e retirar conclusões concretas para cada uma das mesmas (ROTHER & SHOOK 1998). A este respeito importa referir a diferença entre família de produtos e família de processos estabelecida por KEVIN J. DUGGAN (2014):  Família de produtos - é um grupo de produtos que passam por processos a jusante semelhantes ou processos de montagem semelhantes;  Família de processos - é um grupo de produtos que passam por processos compartilhados a montante semelhantes. Como se pode observar na Figura 2.5, os diferentes produtos estudados podem ser separados em famílias de produtos ou famílias de processos conforme o seu percurso. O que se pretende na aplicação do VSM é determinar famílias de produtos e, por esse motivo, a separação deve ter em conta os caminhos seguidos nos processos a jusante, mas a forma como se efetua a separação dos produtos está, no entanto, à escolha do investigador e este pode utilizar as técnicas que considerar mais adequadas.
  • 51.
    27 Figura 2.5 -Diferenciação entre família de produtos e família de processos - Adaptado de Duggan (2014) Geralmente, e de acordo com a maioria dos autores na área, devem ser seguidos determinados passos que passam pelo seguinte: 1) análise dos dados relativos às vendas da empresa utilizando, portanto, um critério relativo à faturação para separação dos produtos em classes e seleção dos produtos da classe mais relevante - classe A (análise ABC); 2) posteriormente, recorrendo a uma matriz do produto para análise dos processos, efetuar para os produtos de classe A respetiva agregação em famílias, em função da partilha de recursos a montante. Estas duas ferramentas para separação dos produtos em famílias consistem essencialmente no seguinte (DUGGAN, 2014):  Análise ABC - Esta ferramenta destina-se a determinar quais são os problemas que justificam a realização de esforços e onde estão verdadeiramente as causas dos problemas a resolver. Assim, os benefícios de focar os esforços em determinados produtos, concretamente em produtos de classe A são mais evidentes, nomeadamente porque, muitas vezes, a forma de resolução dos problemas para as diferentes classes não é a mesma. Por outro lado, as classes de produtos têm diferentes métodos de alocação de custos (engenharia, supervisão, planeamento, contabilidade, compras, etc.) e torna-se mais complexo efetuar a comparação dos mesmos. O processo de análise ABC, cujos resultados padrão se apresentam na Figura 2.6, consiste em ordenar os produtos por ordem decrescente de importância relativa em termos de faturação e em seguida FamíliaA FamíliaB Recursos partilhados ajusanteRecursos partilhados amontante
  • 52.
    28 determinar quais sãoaqueles que cumulativamente representam 80% da faturação. Estes produtos são englobados na classe A e abrangem, tipicamente, 20% dos artigos vendidos. As classes B e C englobam os produtos que representam, respectivamente, cerca de 15% e 5% da faturação restante e abrangem, tipicamente, 30% (classe B) e 50% (classe C) dos artigos vendidos. Depois de feita esta análise selecionam-se os artigos de classe A para utilização no modelo;  Matriz do produto (para os artigos de classe A) - Esta ferramenta é bastante útil e resulta da análise das diferentes operações a que são submetidos os produtos para os separar em famílias em função da sua cadeia de valor. A obtenção da matriz do produto faz-se pela observação do fluxograma do processo, que mostra as relações entre os processos de fabrico, para estabelecer prováveis produtos candidatos a cada família. A matriz consiste, fundamentalmente, numa tabela que lista os produtos em linhas e os processos nas colunas e em que em cada célula na intersecção se indica se existe uma relação de processo/produto (LEONE & RAHN 2014). Embora esta análise não inclua vários fatores que podem ter impacto na decisão de incluir produtos dentro de famílias (nomeadamente tempos de ciclo em cada etapa ou as rotas que o produto segue dentro da instalação), para uma análise mais detalhada da possibilidade de um produto estar inserido na cadeia de valor de uma determinada família, estes fatores podem, no entanto, ser incluídos numa segunda iteração da matriz. Figura 2.6 - Resultados padrão da análise ABC 2.3.4.2 Etapa 2 - Mapeamento do estado atual O passo inicial para desenvolver um mapa do fluxo de valor é reunir os dados que refletem, de forma explícita, a situação atual do processo (JASTI ET ALL 2013). Torna-se importante perceber que tipo de informação se deve recolher sobre o processo e o que acontece no interior e entre cada etapa do processo (SONDALINI). Este passo inclui a recolha de dados relativos ao fluxo de informação e ao fluxo físico do produto escolhido (material e processos), bem como às medidas de desempenho ou indicadores, sendo a sua documentação realizada para todo o fluxo de valor do produto (PATEL ET ALL 2015). No 0 80 95 100 0% 20% 50% 100% Pesonafaturação(%) Quantidade de artigos acumulada (%)
  • 53.
    29 Quadro 2.2 listam-sevários exemplos típicos de medidas/indicadores de desempenho utilizados na ferramenta VSM e outras informações passíveis de serem recolhidas para caracterizar o estado atual. Neste processo de recolha de informação deve optar-se por selecionar as informações que, de entre um conjunto de possibilidades, descrevem melhor o processo ou que são mais importantes no âmbito da análise que cada empresa pretenda efetuar. Depois de recolhida a informação que foi considerada pertinente procede-se à construção do mapa do estado atual seguindo as seguintes etapas (PATEL ET ALL 2015) que serão seguidamente descritas: 1. Identificar o cliente e a procura; 2. Mapear o fluxo de processo; 3. Mapear o fluxo de informação; 4. Mapear o fluxo de material. Quadro 2.2 - Exemplos típicos de medidas de desempenho e informações a recolher para caracterizar o estado atual (adaptado de: LeanSix Sigma Metrics - How to measure improvementswithin a process) Medidas de desempenho Lead Time Tempo de ciclo Tempo de atividades VA Tempo de atividades NVA Número de componentes em stock Fluxo de informação Informação que vem do cliente Departamentos onde circulaa informação Como é passada a informação entre etapas Quanto tempo permanece a informação no sistemaantes de ser processada Fluxo de material Onde são requeridos os produtos Metodologia Pull/Push Priorização First In - First Out (FIFO) 2.3.4.2.1 Identificação do cliente e da procura Nesta etapa identificam-se o cliente e a suas necessidades, podendo ser detalhados alguns aspetos como as datas de entrega requeridas, algumas especificações do produto, o tamanho dos lotes a enviar e o seu conteúdo, etc. O cliente é identificado por um símbolo específico, tal como ilustrado no Quadro 2.1 e na Figura 2.7 fazendo-se acompanhar de uma caixa de dados onde são inseridas as informações necessárias (ROTHER E SHOOK, 1998). Figura 2.7 - Exemplo de representação de uma caixa de dados de um cliente
  • 54.
    30 2.3.4.2.2 Mapeamento dofluxo de processo Este passo consiste na identificação e na representação dos processos básicos de fabrico que podem ser definidos como os locais por onde o material flui e que terminam quando o material pára/fica retido. Isto significa que sempre que existem esperas de material entre dois locais, então estes são considerados processos básicos diferentes. A separação entre processos básicos pode, ainda, ser efetuada por observação e de acordo com a intuição do responsável pelo mapeamento. Cada processo é representado por uma “process box” tal como representada no Quadro 2.1 (ROTHER E SHOOK, 1998). Por baixo de cada ícone de processo estão representadas caixas de dados onde são registadas as medidas de desempenho previamente definidas, e entre cada processo estabelecidos os locais de permanência do WIP, com informação acerca do componente produzido, da localização dos stocks e da sua quantidade (NAZARENO ET ALL 2013). Na Figura 2.8 ilustra-se um exemplo de representação de dois processos distintos com acumulação de stock entre eles. Figura 2.8 - Exemplo de dois processos distintos com acumulação de stock entre si 2.3.4.2.3 Mapeamento do fluxo de informação A terceira etapa do mapeamento do estado atual passa por entender de que forma cada processo sabe o que produzir, quando produzir e em que quantidade. Desta forma torna-se necessário ilustrar de onde provém essa informação e se é de origem eletrónica ou manual, especificando se é fornecida por algum tipo de planeamento, a sua periocidade, etc. Na Figura 2.9 ilustra-se o modo de representação de transmissão manual de informação por parte do planeamento e do controlo de produção, com base num sistema de Manufacturing Resource Planning (MRP). Figura 2.9 - Exemplo de transmissão de informação manual MRP Planeamento e controlo da produção
  • 55.
    31 2.3.4.2.4 Mapeamento dofluxo de material Depois de se representar como cada processo obtém informação acerca do modo de produção, torna-se necessário representar os movimentos de material no interior da instalação. Estes movimentos podem ser diferenciados em “Pull” ou “Push” e distinguem-se pelo tipo de ícone utilizado para a sua representação. Esta etapa de movimentação de material entre os processos finaliza a representação básica do mapeamento do estado atual que descreve a situação do produto de uma forma compreensível do ponto de vista da cadeia de valor e do ponto de vista do cliente. Na Figura 2.10 representa-se a movimentação de material entre dois processos de acordo com uma metodologia Push. Figura 2.10 - Exemplo de movimentação de material entre dois processos de acordo com a metodologia Push 2.3.4.3 Etapa 3 - Análise dos desperdícios e eventos Kaizen Na terceira etapa do VSM é efetuada uma análise do mapa de estado atual, são identificados os desperdícios no sistema e, mais importante ainda, as causas desses mesmos desperdícios. Uma vez que os desperdícios são apenas sintomas que apontam para a existência de problemas no fluxo de valor, é apenas a identificação das causas profundas dos mesmos que conduz à eliminação de problemas e à prevenção da sua recorrência (THORSEN, 2004). Sinteticamente, o propósito desta etapa consiste em analisar o mapa do estado atual e identificar melhorias para a redução de desperdícios utilizando, para o efeito, princípios inerentes ao pensamento Lean (PARIHAR ET ALL, 2014). 2.3.4.3.1 O que torna uma cadeia de valor “Lean” Um dos pilares do pensamento Lean é o conceito associado à quantidade que um determinado processo deve produzir e quando o deve produzir, de tal forma que o processo seguinte obtenha exatamente aquilo que necessita e quando necessita (JIT). Este conceito, quando implementado, resulta numa ligação perfeita entre todos os processos, desde o cliente final até à matéria-prima, através de um fluxo que permite obter, de uma forma generalizada, valores de Lead Time mais reduzidos, melhor qualidade e menores custos.
  • 56.
    32 A forma deentender como se pode aplicar este conceito na cadeia de valor analisando o mapa do estado atual é sustentada por um conjunto de conceitos e linhas orientadoras a analisar durante a etapa Kaizen que proporcionam uma forma de aproximar a cadeia de valor aos princípios Lean e ajudar na definição de melhorias. A um nível elementar existem dois conceitos que merecem especial atenção durante esta etapa da ferramenta VSM (ROTHER E SHOOK, 1998):  Processos da cadeia de valor que atuam isoladamente - quando um processo produz um determinado componente e funciona de acordo com a metodologia Push, seguindo as ordens de um plano de produção em vez das necessidades a jusante; esta forma de atuar origina stocks excessivos de produtos em vias de fabrico e tempos de espera elevados;  Desperdícios - material em espera, stocks intermédios, excesso de produção, entre outros; são considerados desperdícios do ponto de vista da cadeia de valor e ajudam a esconder defeitos que serão detetados apenas nas fases finais da cadeia, para além de adicionarem custos elevados ao produto e de aumentarem, em grande escala, o seu Lead Time (no Quadro 2.3 estão listados os sete desperdícios em Lean). Quadro 2.3 - Os sete desperdícios em Lean (adaptado de: Parihar et all, 2014) Os sete desperdícios em Lean Excesso de produção Esperas Transporte Processamentoincorreto Excesso de stock Movimentos desnecessários Defeitos Para tornar uma cadeia de valor “Lean” é sugerida uma análise dos dois pontos atrás referidos e um conjunto de linhas orientadores padronizadas (explicitadas a seguir) para conseguir, em primeiro lugar, interligar os processos da cadeia de valor e, em segundo lugar, eliminar desperdícios indesejados 2.3.4.3.2 Produzir de acordo com o Takt time A produção ao ritmo do Takt time significa definir um tempo de ciclo máximo que deve ocorrer entre dois produtos acabados com o objetivo de corresponder à procura do cliente. Desta forma consegue-se sincronizar o ritmo de produção com o ritmo das vendas, especialmente no processo definido como Pacemaker (PM).
  • 57.
    33 A definição doTakt time fornece uma noção clara da taxa de produção ideal em cada processo, para além de tornar possível demonstrar quais são os pontos em que se devem introduzir melhorias por comparação com o ritmo de produção atual. Este valor e dado por: 𝑻𝒂𝒌𝒕 𝑻𝒊𝒎𝒆 = 𝑻𝒆𝒎𝒑𝒐 𝒅𝒊𝒔𝒑𝒐𝒏í𝒗𝒆𝒍 𝒑𝒐𝒓 𝒕𝒖𝒓𝒏𝒐 𝑵𝒆𝒄𝒆𝒔𝒔𝒊𝒅𝒂𝒅𝒆𝒔 𝒑𝒐𝒓 𝒕𝒖𝒓𝒏𝒐 2.3.4.3.3 Introduzir fluxo contínuo sempre que possível Este conceito refere-se à produção de um componente que passa para o processo seguinte o mais rapidamente possível, ou seja, com o mínimo tempo de estagnação possível. Com a introdução de medidas que atendam a este conceito obtém-se a redução do Lead Time do produto, nomeadamente com a aplicação da metodologia Pull e FIFO. 2.3.4.3.4 Utilizar supermercados Pull para controlar a produção em locais onde o fluxo contínuo não se estende Existem alguns locais no fluxo em que não é possível estabelecer continuidade e a produção para lotes é mais indicada pelos seguintes motivos:  Os processos estão projetados para operar a uma determinada velocidade e a existência de várias famílias de produtos complica o fluxo;  Pode ser irrealista libertar apenas um componente para o processo seguinte;  O Lead Time de um processo pode ser substancialmente diferente do seguinte, o que levaria à sua conjugação em fluxo inviável. A solução para estas situações passa pelo controlo da produção através implementação de supermercados com sistemas Pull. Estes sistemas providenciam uma instrução de produção mais correta aos processos a montante através de diversas ferramentas simples:  Sistema de cartões Kanban;  Sistema de produção FIFO (alternativa aos supermercados Pull);  “Sequenced Pull ball”. 2.3.4.3.5 Disponibilizar o plano de produção ao mínimo de processos possível Com a utilização de supermercados Pull torna-se necessário disponibilizar o plano de produção a apenas um processo do fluxo (Pacemaker), no qual se determina a produção nos processos a montante e onde as flutuações nas necessidades afetam as etapas anteriores. A partir deste ponto (Pacemaker), a produção ocorre em fluxo com a utilização da metodologia FIFO.
  • 58.
    34 2.3.4.3.6 Nivelar omix de produtos De uma forma geral, parece ser mais eficiente produzir grandes quantidades de cada produto de cada vez, de forma a evitar as operações de Setup, o que, no entanto, pode revelar-se um problema do ponto de vista da cadeia de valor. É neste contexto que surge o conceito de nivelamento do mix de produtos, que significa reduzir o tamanho dos lotes alternando entre diferentes produtos no PM, tendo como consequência garantir uma maior flexibilidade e um menor Lead Time, bem como reduzir o WIP em toda a cadeia. As noções básicas do nivelamento consistem em reduzir, tanto quanto possível, o tempo de Setup para reduzir o tamanho dos lotes. 2.3.4.3.7 Criar um sistema inicial Pull com ritmos de trabalho definidos no Pacemaker Ao estabelecer um ritmo de trabalho consistente torna-se mais simples criar fluxo. A criação de um sistema inicial Pull com ritmos de trabalho definidos no PM consegue-se instruindo o processo para produzir durante um determinado tempo e retirando, simultaneamente, os componentes produzidos durante esse tempo para o processo seguinte. A quantidade a produzir (Pitch), pode ser calculada, por exemplo, a partir da quantidade máxima que uma palete pode suportar e, posteriormente, transportar e é dada pela seguinte equação: 𝑷𝒊𝒕𝒄𝒉 = 𝑻𝒂𝒌𝒕 𝑻𝒊𝒎𝒆 ∗ 𝑪𝒂𝒑𝒂𝒄𝒊𝒅𝒂𝒅𝒆 𝒑𝒂𝒍𝒆𝒕𝒆 Assim, para cada Pitch é dada uma instrução de produção ao processo e uma instrução de retirada do lote ao operador. Esta é, também, uma forma de garantir o controlo mais eficiente da produção porque as avaliações ao desempenho do processo podem ser feitas de acordo com o ritmo Pitch, mantendo a noção do grau de aproximação dos processos ao Takt time. 2.3.4.3.8 Determinação do processo Pacemaker O PM consiste no processo que é definido por marcar o ritmo do fluxo de valor e por determinar a velocidade a que a cadeia irá operar, representando, por vezes, o “gargalo” do processo. Este deve ser o único ponto de calendarização no sistema de produção e o processo que determina o ritmo de produção para o resto do sistema. Numa situação em que se baseie a calendarização num único ponto, é exigida alta flexibilidade de produção e, geralmente, este ponto localiza-se no processo de montagem final, o que constitui uma boa prática por ser relativamente fácil de controlar e porque a linha deve produzir produtos acabados à taxa do tempo do ciclo (Takt time). Por outro lado, cada sistema tem o seu próprio PM que pode ser definido como o recurso mais carregado ou o centro de trabalho do sistema que limita o rendimento global da produção (Bottleneck Process - BN). Embora de acordo com a Teoria das Restrições este processo deva ser aquele que define o ritmo de produção, a mesma teoria considera que, num ambiente de implementação da metodologia Lean, o PM e o BN não têm que ser coincidentes.
  • 59.
    35 Outro conceito importanteque se relaciona com o PM e que é relevante neste contexto é o Order Decoupling Point (ODP), que é um conceito-chave na conceção de sistemas de produção e que é definido como o ponto no qual o sistema cruza a fronteira entre Made-To-Stock (MTS) e Made-To- Order (MTO). Deste ponto em diante, o produto será marcado a uma ordem específica de venda. O que precisa de ser especificamente identificado são os fatores que afetam o posicionamento deste ponto devido à procura, do volume e da variabilidade da produção. No entanto, se o enquadramento existente for um ambiente de produção HM está-se perante uma filosofia de produção com base em pedidos de clientes e, desta forma, a localização do ODP mais a montante do fluxo produtivo implica tempos de entrega mais longos embora, tenha a vantagem de reduzir ou eliminar stocks intermédios. Neste sistema torna-se lógico colocar o PM à direita do ODP para que, quando é lançada uma encomenda com base em pedidos de clientes, a produção, a montante, seja desencadeada através de sistemas de supermercado Pull e, a jusante, através da filosofia FIFO até envio para o cliente (Serrano et all, 2009). 2.3.5 ETAPA 4 - MAPEAMENTO DO ESTADO FUTURO O mapeamento do estado futuro representa a forma como o fluxo de valor deve ocorrer após a implementação das melhorias sugeridas. Resulta da análise do fluxo de valor atual e da conceção de várias propostas para redução das atividades NVA que foram identificadas (PARIHAR ET ALL 2014). Trata-se, portanto, de um mapa que sugere um fluxo de valor Lean (GORIWONDO ET ALL 2011). Este mapa é o projeto de um estado ideal que deve poder tornar-se uma realidade no curto prazo e que permite uma cadeia de valor onde os processos individuais estejam mais conectados com o cliente através de um fluxo contínuo ou sistema Pull e que cada um deste processo se aproxime mais das necessidades reais de produção. É necessário, por estes motivos, elaborar um mapa que esteja ao alcance das possibilidades existentes e que permita, efetivamente, o estabelecimento de objetivos atingíveis (ROTHER E SHOOK, 1998). 2.3.6 ETAPA 5 - PLANO DE IMPLEMENTAÇÃO A representação da cadeia de valor é apenas uma ferramenta que deve permitir a sua implementação num curto espaço de tempo, caso contrário, torna-se obsoleta. Por esse motivo, o plano para atingir os objetivos futuros deve estar documentado e fundamentado, sendo dividido em três etapas distintas (ROTHER E SHOOK, 1998). Etapa 1 - Divisão da implementação em fases: As propostas de melhoria podem por vezes ser extensas no sentido em que cobrem grande parte das instalações ou processos e por esse motivo devem ser divididas em fases. Cada uma destas fases deve estar devidamente definida e sinalizada, sendo estabelecidos objetivos e metas para cada uma. Estas compreendem essencialmente dois grupos:
  • 60.
    36  Fase PM- Compreende o fluxo de material e informação entre o PM e o cliente final.  Fases a montante - Compreende geralmente várias etapas, cada uma representando um sistema de Supermercados Pull. Etapa 2 - Plano para a cadeia de valor: O mapa futuro demonstra claramente o que se pretende obter, mas torna-se necessário definir como se pretende obter as melhorias através de um documento de demonstre alguns aspetos que tornam credível o plano de implementação nomeadamente contendo as seguintes informações.  O que se pretende fazer com exatidão;  Objetivos propostos;  Datas e metas concretas. Etapa 3 - Avaliação de desempenho: Desenvolvimento de um método para a valiação das implementações 2.4 LEAN EM CONTEXTOS HIGH MIX 2.4.1 MADE-TO-ORDER LEAN Atualmente as empresas são confrontadas com grandes oscilações na procura e com a necessidade de os clientes adquirirem bens personalizados e diversificados, o que obriga as empresas a adaptar-se a este contexto e a adequarem o seu sistema produtivo. Os sistemas produtivos que procuram dar resposta a estas solicitações são característicos de empresas que produzem produtos de engenharia personalizada, em pequenos lotes e/ou que têm uma ampla variedade de opções e combinações de especificações, não podendo constituir stocks para todos eles. Nestes sistemas que se caracterizam por possuir uma grande flexibilidade para fornecer um elevado mix de produtos, os problemas surgem no controlo da produção e dos fluxos e nem todas as estratégias de controlo são aplicáveis a este tipo de ambiente (KUAN ET ALL 2015). Por este motivo, como extensão da metodologia tradicional Lean, surgiu um conceito inovador e adaptado a contextos HM designado por Made-To-Order Lean (LANE, 2007) que se apoia num conjunto de ferramentas práticas que auxiliam à eliminação de desperdícios nestes ambientes. As ferramentas adaptadas incluem uma visão diferente da aplicação dos eventos Kaizen no contexto de uma análise com a ferramenta VSM, configurando-se como uma série alternativa de linhas orientadoras para definir um mapa futuro com características “Lean” que é mais correto do ponto de vista da sua adequação a um ambiente HM. Estas linhas orientadoras consistem num método sequencial de aplicação de medidas de controlo da produção (que se indicam na Figura 2.11) e baseiam-se na utilização de gráficos de implementação HM, seguidos da introdução de um sistema de gestão visual, da associação de um tempo a cada trabalho e da utilização de quadros FIFO ou Day-by-Hour (PARIHAR ET ALL).
  • 61.
    37 Figura 2.11 -Linhas orientadoras para implementação do Made-to-Order Lean em ambientes HM Os conceitos e objetivos dessas linhas orientadoras são os seguintes:  Gráfico de implementação HM - Trata-se de uma ferramenta personalizada utilizada para a implementação do Lean em atividades de fabrico em ambientes HM que fornece informações úteis tais como a priorização de tarefas e requisitos de qualidade dos produtos e sugere diferentes orientações para lidar com situações de decisão, fornece feedback para muitas das questões, entre outros;  Sistema de gestão visual - Embora este sistema possa ser considerado excluído do âmbito da utilização da ferramenta VSM, o mesmo é importante para a gestão em tempo real, tanto para os processos industriais como para o planeamento, porque permite compreender, de forma clara e rápida, o estado do sistema num ambiente HM em que existem grandes dificuldades em priorizar a alocação dos recursos (limitados). Pressupõe a utilização de cores para a compreensão imediata do sistema, podendo a gestão visual ser dividida em três áreas: métricas, gráficos e quadros de fluxo de valor;  Associação de um tempo a cada trabalho - Cada trabalho deve ser medido, controlado e melhorado para aumentar a eficiência neste tipo de ambiente e para obter um melhor planeamento;  Utilização de quadros FIFO e Day-by-Hour - Trata-se do método mais adequado para gerir processos compartilhados por muitos produtos diferentes onde, geralmente, é difícil trabalhar com previsões. Indicam o estado do sistema, nomeadamente o contraste entre o plano de produção e a situação atual, e constituem, também, uma forma de incentivar os operadores a registar os problemas que causam atrasos. Utilização de quadros FIFO ou Day- by-Hour Gráfico de implementação HM Introdução de sistemade gestão visual Associação de um tempo a cada trabalho
  • 62.
    38 2.4.2 QUICK RESPONSEMANUFACTURING (QRM) Na nova abordagem Made-to-Order Lean nasce um outro conceito como estratégia competitiva alternativa ao Lean tradicional que serve os mercados do século XXI. Este conceito é Quick Response Manufacturing (QRM), que consiste numa estratégia que engloba toda a organização e que procura a redução do Lead Time dos produtos. Especificamente, do ponto de vista do cliente, significa responder às necessidades do mesmo através da rápida conceção e fabrico de produtos personalizados; do ponto de vista operacional centra-se na redução dos Lead Times entre todos os processos, resultando em melhor qualidade, custo inferior e, naturalmente, um tempo de resposta rápida. Estes objetivos são perseguidos e atingidos através de uma metodologia faseada e de uma gestão detalhada e de métodos de fabrico, de técnicas de análise e de ferramentas que usam conceitos básicos de dinâmica de sistemas (SURI, 1998). 2.4.2.1 Diferenças entre Lean e QRM Existem algumas diferenças substanciais entre o conceito inerente ao Lean Manufacturing e ao QRM, salientando-se, desde logo, o seu objetivo: em Lean o principal objetivo consiste na redução dos desperdícios através da utilização de um sistema Pull, com foco nos processos industriais; em QRM o principal objetivo passa pela redução do Lead Time, utilizando-se sistemas que incluem as vantagens de ambas as metodologias Pull/Push, extravasando as estratégias inerentes apenas ao sistema produtivo. Existem, também, outros princípios que diferenciam estas abordagens que se explicitam no Quadro 2.4 (SURI, 2003). Quadro 2.4 - Princípios em QRM em contraste com o pensamento Lean tradicional QRM Pensamento Lean Determinar formas totalmente novas de concluir um trabalho com o foco na minimização do Lead Time. Trabalhar mais rápido, durante mais horas para concluir o trabalho mais cedo. Estrategicamente planear um nível de trabalho a 70/80%. Para concluir trabalhos o mais rapidamente possível devem-se manter as máquinas e as pessoas ocupadas todo o tempo. Medir a redução Lead Time e fazer desta a principal medida de desempenho. Para reduzir o Lead Time a eficiênciatem de ser melhorada. Medir e premiar a redução dos Lead Times. Grande importânciadas entregas a tempo entre cada departamento. Utilizar MRP para o planeamento de alto nível e coordenação de materiais. Reestruturar os processos em células orientadas para o produto. Complementar este sistemacom cartõesPOLCA. Instalar um MRP para ajudar na redução do Lead Time. Motivar os fornecedores paraimplementar QRM resultando em pequenas entregas e prazos de entrega curtos. Produtos com Lead Time elevado devem ser encomendados em grandes quantidades e com desconto de quantidade. 2.4.2.2 Alternativa ao sistema Pull
  • 63.
    39 A utilização numambiente HM de um sistema Pull puro, tal como abordado em metodologias Lean, através da criação de um fluxo sincronizando entre todos os processos na empresa para o Takt time nem sempre funciona porque num ambiente de elevada variabilidade não é possível equilibrar este indicador. Com o objetivo de controlar o WIP e, ao mesmo tempo, utilizar uma metodologia Pull, pode ser utilizado o sistema de cartões POLCA em detrimento do Kanban. O sistema de cartões POLCA que apoia a abordagem global QRM para as empresas que servem ambientes HM, consiste num método de controlo de material. Este sistema, apesar de ter um âmbito de aplicação diferente, tem algumas semelhanças com o Kanban tradicional uma vez que exige rotas estáveis de produtos e a utilização de um cartão. É um sistema de células de trabalho emparelhadas, contendo cartões de autorização de produção, que funciona num mix de Pull/Push e que pretende controlar o WIP entre dois processos da seguinte forma (SURI, 2003):  A calendarização da produção é efetuada através de uma autorização de produção a um determinado processo; esta autorização não significa uma ordem de fabrico, tratando-se simplesmente de uma especificação do produto a efetuar, nomeadamente as suas quantidades, especificações, etc.;  Cada par de células de trabalho sequenciais (processo 1 e 2) tem um número determinado de cartões POLCA destinados ao seu emparelhamento (na Figura 2.12 apresenta-se um exemplo da representação de um cartão POLCA no âmbito da utilização da ferramenta VSM));  No processo 1 tem de existir um cartão POLCA 1/2 disponível para que o trabalho se inicie e seja expedido para o processo 2, cujas especificações foram dadas pela autorização de fabrico; se existir um cartão 1/2 disponível no processo 1, significa que a operação seguinte tem capacidade de processar um pedido momentaneamente;  Após o trabalho no processo 1 estar completo este é transportado para o processo 2 e o cartão POLCA acompanha este movimento;  No processo 2, o trabalho apenas pode começar se existir um cartão POLCA correspondente ao emparelhamento 2/3 e se existir uma autorização de fabrico;  Cada cartão viaja com o lote de fabrico durante três processos e após o trabalho estar efetuado no processo 3, o cartão é devolvido ao processo 1. 1/2
  • 64.
    40 Figura 2.12 -Ícone utilizado para representar a utilização do Sistema POLCA em VSM 2.4.2.3 Vantagens do sistema POLCA em detrimento da metodologia Push (MRP) e Pull (Kanban) A utilização de células de trabalho é um pré-requisito para o fabrico competitivo e este sistema baseia- se na estrutura celular dentro das instalações para proporcionar um mecanismo simples e permitir que estas trabalhem em conjunto de forma eficaz. Em primeiro lugar, o sistema POLCA auxilia na gestão das flutuações de curto prazo e na redução do WIP, assegurando que cada processo só funciona para produtos que são destinadas a processos a jusante e que serão capazes de trabalhar proximamente no mesmo produto. Por outras palavras, se não estiver disponível um cartão POLCA de um processo a jusante, significa que este processo ainda está ocupado e estará durante algum tempo. Neste caso, produzir para esse mesmo processo apenas irá aumentar o WIP no sistema. Em segundo lugar, a utilização de um sistema MRP em combinação permite realizar uma variedade de especificações de produtos através de rotas específicas, e garante que a empresa não produz apenas porque esses produtos têm um sinal Pull, mas porque existe uma procura explícita dos mesmos. Em terceiro lugar, estes cartões não estão ligados a tipos de peças. Este conceito assegura que não há proliferação de stocks em empresas que fazem uma grande variedade de produtos ou componentes. Essencialmente o Kanban é um sistema de reabastecimento, que exige um nível de stock base de cada componente, que é reabastecida quando a peça é usada. Num ambiente HM poderia resultar numa enorme quantidade de stock (Suri, 2003). Tal como no sistema de cartões Kanban, existe um valor ótimo para o número de cartões POLCA em cada emparelhamento de forma a controlar o WIP. A fórmula utilizada para o efeito, determina o número de cartões que devem existir entre dois processos, A e B, baseando-se em registos históricos da empresa respeitantes ao Lead Time médio de ambos os processos, ao horizonte de planeamento da empresa, e à quantidade de obras que fluem entre A e B durante esse horizonte de planeamento, sendo definida da seguinte forma: 𝑵º 𝑨𝑩 = 𝑳𝒆𝒂𝒅 𝑻𝒊𝒎𝒆 𝑨 + 𝑳𝒆𝒂𝒅 𝑻𝒊𝒎𝒆 𝑩 ∗ 𝒏 𝒕  n - Quantidade de obras através do fluxo AB durante t  t - Horizonte de planeamento  Lead Time - valor médio do Lead Time para os processos
  • 65.
  • 66.
    42 3 DESCRIÇÃO DAFARAME S.A. No presente capítulo apresenta-se a empresa onde foi efetuado o estágio curricular, a FARAME S.A. (doravante abreviadamente designada por FARAME), e descrevem-se os principais aspetos do seu funcionamento com relevância para o objeto de estudo. 3.1 CARACTERIZAÇÃO GERAL E ETAPAS PRODUTIVAS A FARAME é uma empresa portuguesa com 30 anos de existência que pertence ao grupo francês Phoenix e que se dedica ao desenvolvimento, fabrico e comercialização de produtos metálicos para utilização na grande distribuição e logística. Fundada em 1983 no concelho de Sintra, possui uma unidade fabril com cerca de 8 mil metros quadrados de área coberta, de um total de 20 mil metros quadrados, empregando atualmente cerca de 160 colaboradores e possuindo uma faturação anual que se situa na ordem dos 7,5/8 milhões de euros anuais. O esquema geral de produção compreende, sumariamente, a etapa de transformação que inclui diversas operações mecânicas, a etapa de acabamento, que inclui operações de revestimento de superfícies como a zincagem e pintura, e a etapa final de montagem dos artigos. Apostando em elevados padrões de exigência em vários domínios, a FARAME obteve, ainda durante os anos 90 do século passado, diversas certificações dos sistemas de gestão integrada de qualidade, ambiente e segurança que foram sendo implementados na empresa (ISO 9001, ISO 14001 e OHSAS 18001). Com vista a tornar-se competitiva e a crescer, a FARAME dotou-se de uma capacidade produtiva e de meios que lhe permitiram tornar-se uma referência nesta indústria. Um dos grandes trunfos desta organização passa, essencialmente, pela engenharia de desenho e de desenvolvimento, altamente competitiva e especializada, que é aplicada na criação de produtos inovadores com características sofisticadas. A este aspeto, acresce a capacidade de personalização de produtos da empresa em conjunto com os seus clientes, tornando possível, desta forma, encontrar soluções concebidas à medida. Mais recentemente, com a preferência de alguns clientes em utilizar produtos de origem plástica, a FARAME passou também a integrar produtos metálicos com outros de outra natureza. Dispõe de dois departamentos comerciais, um exclusivamente orientado para o seu maior mercado, o de exportação, e outro orientado para o mercado ibérico. A empresa procurou, desde a sua criação, dispor de tecnologias modernas para a indústria metalomecânica e, particularmente, para o trabalho com arame. Presentemente possui diversos tipos de maquinaria automatizada e células robotizadas de soldadura por resistência elétrica ou por MIG-MAG. Dispõe, também, de uma linha de pintura completamente automática e de duas linhas de zincagem eletrolítica que permitem realizar três tipos diferentes de passivação (azul, amarela e verde) e, opcionalmente, uma camada final de selante.
  • 67.
    43 A diversificação dosmercados e a flexibilidade produtiva disponível permitiram à FARAME apostar em diversos segmentos de mercado, designadamente os seguintes:  Distribuição - o segmento da distribuição abarca todos os equipamentos para supermercado tais como os carros de supermercado, cash &carry, cestos para estantes, expositores, etc.;  Automóvel - no segmento automóvel inserem-se produtos utilizados exclusivamente para a indústria automóvel, nomeadamente contentores standard e específicos;  Logística e transporte - no segmento da logística e transporte geral estão contemplados os contentores e Roll (contentores com rodas) em arame utilizados para o transporte e armazenamento de todo o tipo de produtos;  Logística dedicada - no segmento da logística dedicada inserem-se os produtos utilizados para a logística dirigidos para as necessidades específicas dos clientes; a título de exemplo podem referir-se produtos como os contentores para a vitivinicultura, contentores para os correios portugueses, franceses e suíços, contentores para a distribuição de cartas e encomendas, entre outros. Para a sua gestão e planeamento, a empresa utiliza um sistema informático denominado por Movex. Trata-se de uma base de dados e de um sistema Manufacturing Resource Planning (MRP) que serve, simultaneamente, como forma de comunicação entre os processos e como forma de controlo dos trabalhos. Este sistema informático emite ordens de fabrico manuais aos diversos processos que seguem a sequência que lhes foi atribuída apesar de, em diversas circunstâncias, este plano produtivo poder ser alterado pessoalmente. Este sistema de gestão está dividido em módulos, cada um com seu propósito específico, e cuja aplicação em conjunto permite obter ferramentas fundamentais de gestão do negócio e de processos industriais, sendo possível, também, no sistema estabelecer objetivos, indicadores, monitorizar resultados, controlar a produção, verificar a eficiência de processos e dados, o desempenho, a satisfação dos clientes, entre outros. Em termos gerais, qualquer produto que seja encomendado à empresa passa por cinco etapas distintas (à exceção de produtos standard) que, em conjunto, se designam por fluxo da produção. Estas etapas que poderão variar consoante o produto, ou não existir, e que se encontram representadas na Figura 3.1, são de um modo geral as seguintes: 1. Conceção e desenvolvimento - após a encomenda de um cliente são efetuados desenhos e protótipos do produto para testes; 2. Preparação/programação - inclui, se necessário, encomenda de matéria-prima, planeamento da produção e programação/Setup das máquinas; 3. Receção de matéria-prima - quando as encomendas o justificam; 4. Processamento industrial - englobam todo o fluxo de valor do produto/componente no que diz respeito à sua transformação;
  • 68.
    44 5. Montagem -diz respeito à junção dos componentes fabricados na empresa por processos industriais ou encomendados ao exterior como, por exemplo, parafusos ou rodas. Figura 3.1- Sequência de etapas desde a encomenda do cliente até ao produto acabado Em cada uma das etapas são utilizados diferentes meios para obtenção do produto final, destacando-se em seguida alguns métodos, ferramentas e máquinas que são mais relevantes:  Conceção e desenvolvimento - Nesta desta etapa utilizam-se, essencialmente, dois métodos: 1. Engenharia de conceção; 2. CAD (SOLID WORKS) e sector de protótipos, com interface para receber desenhos ou diagramas detalhados;  Preparação e programação - Comunicação do projeto e utilização do sistema informático da empresa, designadamente: 1. MRP; 2. Programação informática ou manual das máquinas;  Receção de matérias-primas;  Processos industriais - Para a realização dos processos industriais a empresa dispõe dos seguintes equipamentos: 1. Corte ................................................3 máquinas 2. Dobragem .........................................3 máquinas CNC LATOUR 3. Soldadura..........................................5 Robots ABB; 5 Máquinas semiautomáticas 2 Células robotizadas ABB 4. Soldadura elétrica ..............................Máquina CNC 5. Soldadura por resistência....................2 máquinas IDEAL CNC 6. Soldadura elétrica por resistência ........23 Máquinas 7. Pintura..............................................2 instalações automáticas Conceção e desenvolvimento Preparação/ programação Receção de materiais Processos industriaisMontagem Encomenda Peças encomendadas Produto acabado
  • 69.
    45 8. Zincagem..........................................2 instalaçõesautomáticas  Montagem - Montagem manual dos componentes e embalamento para expedição. 3.2 SERVIÇOS E PRODUTOS ESPECÍFICOS Como anteriormente referido a FARAME produz um conjunto muito diversificado de produtos metálicos para utilização na grande distribuição e logística, de que apresentam alguns exemplos representativos na Figura 3.2, e que se podem agrupar por tipologia de utilização ou por segmento de mercado, tal como se descreve em seguida.  Carros de supermercado - A FARAME dispõe de uma vasta oferta de Carros de Supermercado e de Carros de Mercadorias, com maior ou menor especificidade. São desenvolvidos com particular atenção às questões de segurança, de ergonomia e de durabilidade e são concebidos para apresentarem elevados níveis de qualidade e oferecer um design exclusivo;  Rolls ou contentores rolantes - Os Rolls ou Contentores Rolantes são especialmente indicados para o transporte manual de mercadorias no Comércio e na Indústria pelo auxílio que prestam nas tarefas relacionadas com os aprovisionamentos. Na empresa são produzidos, uma vasta de gama de Rolls com diferentes dimensões, capacidades de carga e sistemas de funcionamento, sendo ainda fabricados modelos específicos por encomenda dos clientes;  Contentores - Os Contentores produzidos destinam-se a várias aplicações, sendo utilizados, especialmente, para fins logísticos, desde o armazenamento ao transporte, passando pela exposição de produtos. Estes Contentores, maioritariamente produzidos em arame, oferecem uma excelente robustez e capacidade de carga, elevada funcionalidade, otimização de espaço e fácil monitorização visual das mercadorias;  Bases - A FARAME fabrica Bases para o armazenamento e transporte de mercadorias, sendo especialmente indicadas para a movimentação de lotes de produtos pré-embalados. A escolha pode ser feita consoante a dimensão e capacidade de carga mais adequada, podendo possuir, ou não, rodízios ou, ainda, ser dotados de sistema de atrelagem;  Expositores - Os Expositores destinam-se à exposição de produtos, particularmente contentores de pequena dimensão, mesas, estantes e cestos sobreponíveis.  Serviço postal - Os Contentores para Serviço Postal são concebidos e fabricados de raiz ou partindo de modelos pré-concebidos. São especialmente indicados para o transporte e o armazenamento de correio postal sendo-lhes dada grande atenção no que respeita aos fatores da segurança, ergonomia e funcionalidade.  Produtos para a Indústria vinícola - Os Contentores para a indústria vinícola são específicos para acondicionamento de garrafas de vinho e champanhe.  Produtos para a Indústria automóvel - Para a indústria automóvel são produzidos Contentores standard e outros produtos de apoio à logística e produção, contando a FARAME
  • 70.
    46 entre os seusclientes alguns dos maiores fabricantes mundiais neste domínio, tais como a PSA, a Renault e a Nissan. A empresa desenvolve ainda Contentores Específicos para este sector, recorrendo ao seu Departamento de Desenvolvimento e Engenharia, em colaboração com os clientes. Carros de supermercado Contentores Expositores Bases Indústriavinícola Rolls ou contentores rolantes Figura 3.2 - Exemplo de produtos fabricados na FARAME e respetivos segmentos 3.3 SISTEMA DE PRODUÇÃO O sistema de produção da empresa é acionado pelo cliente, o que significa que o processo produtivo é iniciado com base nas necessidades reais de encomendas, tratando-se, teoricamente, de um sistema Pull. Neste tipo de sistema a produção está organizada e orientada para produzir exatamente o que o cliente precisa, ao ritmo exigido e determinado pela capacidade e disponibilidade dos equipamentos, não existindo por este motivo constituição de stocks. Num sistema puro de Pull (teoricamente), cada processo “puxa” o antecedente, num efeito em cadeia, que se repercute até ao início sem que seja necessária a troca de informação entre o planeamento e os processos. Destacam-se, desde logo, algumas características que podem caracterizar este sistema tais como o melhor controlo do WIP e a redução dos níveis de stocks, que geram custos elevados. Com a utilização do princípio de Pull não só a produção como também a logística só são ativados na cadeia de valor quando a encomenda do cliente é efetuada para, assim, se conseguir sincronizar a produção com a logística e com o “ritmo” do cliente. Uma vez que os produtos são fabricados de uma forma completamente sequencial para responder ao pedido do cliente, este sistema cria uma pressão elevada para manter os lead-times reduzidos, o que, se por um lado, pode ser interessante na medida em que
  • 71.
    47 promove o aumentoda produtividade, mas por outro lado, requer um padrão de procura estável e uma liderança forte, tanto para manter a eficácia do processo como para o melhorar. Ora esta não é verdadeiramente a situação no caso da FARAME uma vez que não existe um fluxo Pull puro e existe comunicação direta entre o planeamento e todos os postos de trabalho, sendo as atividades coordenadas posteriormente entre si. A empresa não consegue operar da forma teoricamente mais eficiente sobretudo devido ao facto de a maioria das encomendas ter requisitos específicos por parte do cliente o que torna necessário alterar o desenho base dos produtos constantemente e não permite planear um sistema Pull. para uma enorme variedade de produtos. Como consequência deste sistema, cada processo funciona de uma forma isolada e não existe um fluxo eficaz e eficiente ao longo do processo produtivo. Por outro lado, existe uma grande dificuldade em garantir uma sequência produtiva estável (FIFO), sem a ocorrência de atrasos, o que tem originado diversos problemas relacionados com a satisfação do cliente e resulta por vezes na não conformidade do produto devido à necessidade de rapidez exigida. Os grandes desafios com que a empresa tem sido confrontada são reduzir o Lead Time dos produtos para valores mais aceitáveis (redução em 15/20%), de diminuir o WIP no sistema que tem originado desorganização e perdas de material (quando em elevada quantidade é exposto ao ar livre resultando na sua oxidação), e de garantir uma melhor qualidade nos seus produtos. De uma forma mais simples, existe a necessidade de reduzir custos e melhorar o nível de serviço com qualidade.
  • 72.
    48 4 ANÁLISE DOPROCESSO PRODUTIVO, IDENTIFICAÇAO DE PROBLEMAS E PROPOSTAS DE MELHORIA O presente capítulo descreve a aplicação que foi efetuada da ferramenta VSM no estudo da cadeia de valor de um produto na empresa FARAME, estando dividido essencialmente nas seguintes etapas sequenciais:  Definição do âmbito de análise do estudo através da identificação das famílias de produtos produzidos pela empresa e posterior seleção de uma família representativa;  Mapeamento do estado atual do produto selecionado que representa, graficamente, a cadeia de valor do produto à data da recolha dos dados;  Análise dos desperdícios e eventos Kaizen, no qual são analisados criticamente os mapas obtidos para determinação dos desperdícios e das suas fontes, são identificados os problemas e são sugeridas propostas de melhoria;  Mapeamento do estado futuro que representa o estado futuro ideal que se pretende obter para o produto selecionado, considerando a implementação das melhorias propostas. O âmbito de aplicação da ferramenta VSM como sugerido em metodologias Lean, incidiu exclusivamente nas etapas respeitantes aos processos industriais da empresa do produto selecionado, tendo sido excluídas as restantes etapas que não envolvem processamento, nomeadamente as etapas de conceção e desenvolvimento do produto e montagem. 4.1 MODELO DE ESTUDO PROPOSTO A base do estudo efetuado consistiu na abordagem Lean e na utilização do método proposto em VSM para estudar e melhorar a cadeia de valor do produto representativo selecionado, obtendo um diagnóstico e elaborando propostas especificas. Tendo em consideração o sistema de produção característico da FARAME, foram também adaptados ao contexto da empresa os conceitos inerentes ao Made-to-Order Lean, como alternativa ao Lean tradicional, quando se verificou que os mesmos teriam uma melhor aplicabilidade na abordagem aos problemas em questão. Complementarmente, recorreu-se à utilização dos princípios inerentes do Sistema de Produção da Toyota e do Quick Response Manufacturing, consideradas extensões do pensamento Lean, essencialmente em contextos e em conceitos mais específicos. Na Figura 4.1 representa-se esquematicamente a integração das abordagens e recursos de conhecimento a que se recorreu para apoiar o desenvolvimento do estudo proposto.
  • 73.
    49 Figura 4.1 -Integração das abordagens e recursos de conhecimento no modelo de estudo proposto 4.2 SELEÇÃO E DESCRIÇÃO DA FAMÍLIA DE PRODUTOS 4.2.1 ANÁLISE DAS VENDAS Para suportar a seleção de uma família de produtos foi efetuada uma análise das vendas da empresa nos últimos seis meses, para separar os artigos em classes através da análise ABC. Esta técnica é utilizada no contexto de estudos da cadeia de valor para determinar quais são as situações em que se deve concentrar a realização de esforços e diagnosticar as causas dos problemas a resolver, uma vez que os benefícios resultantes de esforços dirigidos para produtos de classe A são mais evidentes. No Quadro 4.1 listam-se os artigos apenas da classe A, ou seja, aqueles cuja percentagem acumulada em termos de faturação da empresa representou 80%. Uma vez que os produtos da classe A indicados pertencem a famílias distintas, para prosseguir com a seleção de um produto representativo, foi feita sua agregação em famílias utilizando o critério que estabelece que uma família de produtos é constituída por um grupo de produtos que passam por processos a jusante semelhantes ou processos de montagem semelhantes. De acordo com este critério foram analisados os processos produtivos de cada um dos produtos listados no Quadro 4.1 e estes foram enquadrados em oito famílias distintas de produtos que se indicam no Quadro 4.2. Para cada família de Classe A estabelecida foi calculada a respetiva faturação para identificar qual foi a família mais representativa, em termos de peso na faturação, no horizonte temporal estudado. Lean Made- to-Order Lean VSM TPS QRM
  • 74.
    50 Quadro 4.1 -Faturação respeitante a artigos de Classe A para o período 10/2015 a 03/2016 Designação do produto Faturação por produto (€) Faturação acumulada (€) Importância da faturação acumulada (%) CONTENTOR CP 660 U 989.040 989.040 25,9 CARRO DELTA II-180L 163.564 1.152.604 30,2 CONTENTOR 121869-IMUSTER 130.809 1.283.413 33,6 50532 129.600 1.413.013 37,0 CHARIOT ROL H1700 AVEC PLAQUE 98.077 1.511.089 39,5 CARRO DE AUTO-SERVIÇO P175 97.862 1.608.951 42,1 CARRO TIPO BRICOLAGE 95.979 1.704.930 44,6 CONT.P/ RECICLAGEM 1.1M3 90.687 1.795.616 47,0 CONT. MFM 0059 AMAR.SHORT SKI 85.116 1.880.732 49,2 50532+10313HTC 75.600 1.956.332 51,2 CONT.REF.1200X800X800 ZN S/CH 70.822 2.027.154 53,0 CONTENTOR 00124 ECO 69.090 2.096.244 54,8 CONTENTOR REBATÍVEL (STD) 65.825 2.162.069 56,6 CARRO HYBRID C. C+S. VD S/SP 65.372 2.227.441 58,3 STOCKB STOCØ88,2EZ DEM.COMPLET 64.320 2.291.761 60,0 CONTENTOR TIPO 0085 HT930 64.102 2.355.864 61,6 CONT.P/GARRAFAS DE VINHO 54.985 2.410.849 63,1 STOCB OCØ88,2 DESM S/OPÇÕES 51.200 2.462.049 64,4 ROLL BLANX CABRI 48.134 2.510.183 65,7 CARRO 110 LTS 47.693 2.557.876 66,9 CONTENTOR PDGP 47.450 2.605.326 68,2 CONT.RECICLAGEM 1.1 VERSÃO PM 43.992 2.649.318 69,3 CARRO AUTO-SERVIÇO NEO 180 L 41.615 2.690.933 70,4 CARRO C/B C/CH+2L C/CH+2P+1PR 39.867 2.730.800 71,4 STOCKBOX BL-CC Ø85,9 EZ 39.780 2.770.580 72,5 10313HTC - CONJUNTOS DE PORTAS 38.400 2.808.980 73,5 CONT.P/ RECICLAGEM 1.4 M3 34.992 2.843.972 74,4 STOCKBOXBL-CCØ85,9-EZ DEMONTÉ 34.880 2.878.852 75,3 ARAME 0172-2 28.699 2.907.550 76,1 TRANSPORTE 28.618 2.936.169 76,8 CONT. CHAMPANHE Ø90 REBATÍVEL 27.370 2.963.539 77,5 CONT. C/ 2 SEPARAD. +1 MONDEGO 26.911 2.990.450 78,2 CONT.P/GARRAFAS DE VINHO 26.796 3.017.246 78,9 C.REPOSIÇÃO ENCAIXÁVEL 300 LTS 26.531 3.043.777 79,6 CONTENTOR PARA AIRBAGS 24.714 3.068.491 80,3
  • 75.
    51 Quadro 4.2 -Agregação dos artigos de Classe A em famílias e indicação da respetiva importância em termos de faturação Famíliade produtos Designação Faturação por famíliade produtos (€) Importânciada faturação acumulada (%) A - Roll CHARRIOT ROL H1700 AVEC PLAQUE 129.706 4,2 ROLL BLANX CABRI B - Contentores Remuage Champanhe 50532 460.691 15,1 STOCKB STOCØ88,2EZ DEM.COMPLET STOCB OCØ88,2 DESM S/OPÇÕES STOCKBOX BL-CC Ø85,9 EZ STOCKBOXBL-CCØ85,9-EZ DEMONTÉ CONT. C/ 2 SEPARAD.+1 MONDEGO C - Contentores indústria automóvel CONTENTOR 121869-IMUSTER 373.832 12,2 CONT. MFM 0059 AMAR.SHORT SKI CONTENTOR 00124 ECO CONTENTOR TIPO 0085 HT930 CONTENTOR PARA AIRBAGS D - Contentores de arame CONT.P/ RECICLAGEM 1.1M3 462.919 15,2 CONT.REF.1200X800X800 ZN S/CH CONTENTOR REBATÍVEL (STD) CONT.P/GARRAFAS DE VINHO CONTENTOR PDGP CONT.RECICLAGEM 1.1 VERSÃO PM CONT.P/ RECICLAGEM 1.4 M3 CONT. CHAMPANHE Ø90 REBATÍVEL CONT.P/GARRAFAS DE VINHO E - Carros cash CARRO TIPO BRICOLAGE 162.377 5,3CARRO C/B C/CH+2L C/CH+2P+1PR C.REPOSIÇÃO ENCAIXÁVEL 300 LTS F- Carros supermercado CARRO DELTA II-180L 416.105 13,6 CARRO DE AUTO-SERVIÇO P175 CARRO HYBRID C. C+S. VD S/SP CARRO 110 LTS CARRO AUTO-SERVIÇO NEO 180 L G - Contentor correios CONTENTOR CP 660 U 989.040 32,4 H - Produtos pontuais ARAME 0172-2 57.317 1,9 TRANSPORTE
  • 76.
    52 4.2.2 SELEÇÃO DAFAMÍLIA DE PRODUTOS Após efetuar a análise das vendas, e juntamente com o diretor de produção, foi possível chegar às seguintes conclusões:  A família H é constituída por produtos produzidos pontualmente que apresentam uma importância relativa muito reduzida dentro da Classe A;  As famílias A e E englobam produtos produzidos regularmente embora possuam pouca relevância no contexto das vendas (em torno de 4-5%);  A família G, apesar de ser aquela que apresenta a maior percentagem de faturação dos últimos 6 meses, respeitou a uma encomenda pontual, não tendo havido nos últimos anos registo de encomendas semelhantes nem se perspetivam encomendas futuras, não representado, portanto, o dia-a-dia da empresa;  As famílias B, C, D e F apresentam importâncias relativas semelhantes na faturação da empresa, devendo, portanto, o produto a analisar ser aquele cuja análise da sua cadeia de valor proporcionar maiores ganhos. Considerando estes aspetos e a opinião de alguns membros da empresa foi escolhida a família de produtos D, designada por Contentores de arame. 4.2.3 DESCRIÇÃO DA FAMÍLIA DE PRODUTOS D A família de produtos D diz respeito a contentores de arame que possuem uma infinidade de aplicações, sendo utilizados especialmente para fins logísticos, desde o armazenamento ao transporte, passando pela exposição de produtos. Estes contentores são maioritariamente produzidos em arame, oferecendo uma boa robustez e capacidade de carga, elevada funcionalidade, otimização de espaço e fácil monitorização visual das mercadorias. O segmento dos contentores de arame inclui algumas variações de produto determinadas pelas especificações do cliente no que diz respeito a robustez, logística de arrumação, cor, entre outros, e, também, componentes opcionais que podem ser adicionados, tais como prateleiras. O produto que foi estudado (e que seria o próximo da família selecionada em produção enquanto decorreu o estágio) consiste num contentor que a FARAME desenvolve especificamente para garrafas de vinho e champanhe que é considerado uma das variações dentro da família de produtos D. No entanto, qualquer contentor para garrafas de vinho e champanhe é constituído por cinco componentes principais produzidos na FARAME e outras peças que são compradas ao exterior; todos estes componentes são
  • 77.
    53 tratados individualmente edepois montados na secção destinada a esse efeito. Na Figura 4.2 está ilustrado um contentor para vinhos e champanhe. Figura 4.2 - Contentor para vinhos e champanhe da família D de contentores de arame Cada um dos cinco componentes que é parte integrante deste contentor pode ser estudado isoladamente pois os mesmos são produzidos separadamente, os seus percursos são totalmente independentes (embora existam muitas semelhanças nos processos produtivos, que são maioritariamente os mesmos), a matéria- prima é muito semelhante (arame) e a sua constituição apresenta, também, subcomponentes equivalentes (por exemplo todos têm malha, variando apenas nas suas dimensões, tal como pode ser consultado no Anexo IV). Na Figura 4.3 estão representados o esquema da constituição do contentor para garrafas de vinho e champanhe e os seus principais componentes. Cada um destes componentes é produzido e posteriormente enviado para montagem onde será acoplado aos restantes componentes, juntamente com outras peças compradas ao exterior. Importa salientar no contexto da presente análise os conceitos seguidamente utilizados:  Componente - conjunto de subcomponentes que já sofreram todas as operações necessárias até ao processo de montagem;  Subcomponente - qualquer peça ou conjunto de peças que foram sujeitas ou que serão sujeitas a uma operação até originarem um componente.
  • 78.
    54 1.0 Base 2.0 Laterais 3.0 Traseira 4.0 Porta superior 5.0 Porta inferior Dobradiças Parafusos Porca Montagem Saída Chapa Rebite Figura 4.3 -Constituição do contentor para garrafas de vinho e Champanhe Legenda Componente Operação 4.2.3.1 Descrição geral das operações e equipamentos utilizados Para a produção do contentor para garrafas de vinho e champanhe existem várias etapas pelas quais os diversos componentes têm de fluir, não sendo necessariamente as mesmas para todos. No Quadro 4.3 indicam-se os centros de trabalho que operam na produção do contentor estudado e o número de máquinas disponíveis com as mesmas características, bem como o número de operadores necessários por máquina. As operações indicadas são todas aquelas que intervêm na produção do produto escolhido da família de produtos D.
  • 79.
    55 Quadro 4.3 -Operações incluídas no fluxo de valor do produto, nº de máquinas disponíveis e nº trabalhadores por máquina Cada operação tem uma finalidade definida, que pode ser alimentada por matéria-prima bruta ou subcomponentes de outros processos anteriores, dividindo-se, fundamentalmente, em processos de quinagem, soldadura, corte e dobragem. Dependendo do tipo de máquina utilizada e do efeito desejado, cada uma destas operações pode ser mais ou menos complexa, pode exigir operações manuais e pode necessitar de tempos de Setup que variam em função da complexidade do subcomponente e do nível de automação da máquina. Seguidamente no Quadro 4.4 estão descritas as operações e representadas as máquinas envolvidas no processo de produção. Listade operações Número de máquinas disponíveis Número de operadores por máquina Vinco CNC 3 1 Vinco manual 4 1 Corte 3 1 Shlatter 2 1 Balancé 2 1 IDEAL 2 2 Quinadeira 2 1 Tico-Tico 4 1 Soldadura por pontos 5 1 Soldadura CO2 8 1 Zincagem 2 2 Montagem - 3 (total de operadores)
  • 80.
    56 Quadro 4.4 -Descrição e representação das operações efetuadas para a produção do contentor de vinhos e champanhe (cont.) Vincagem CNC Máquina automática que recebe matéria- prima em forma de rolo (arame) com capacidade para dobrar e cortar, originando peças geralmente de pequena dimensão e com pormenores detalhados. Vincagem manual Máquina semiautomática cuja função se assemelha à da Vinco CNC embora só execute a operação de dobragem e tenha menorcapacidade para conferirpormenoresà peça. Corte Máquina automática que recebe matéria- prima em forma de rolo (arame) com capacidade para a cortar em componentes lineares com diferentes comprimentos.
  • 81.
    57 Shlatter Máquina semiautomática programávelque recebe apenas componentes lineares da operação de corte e, através de soldadura elétrica por resistência, produz malhas de diferentes comprimentose larguras. Balancé (1) Prensa semiautomática que confere a componentes de arame ou perfis metálicos uma forma ou pormenor desejado. (2) Neste centro de trabalho encontra-se também uma máquina que efetua a marcação de chapas ou perfis. (1) (2) IDEAL Máquina semiautomática programável que recebe componentes lineares e/ou dobrados, produzindo componentes mais complexos que a Shlatter através de soldadura por resistência, trabalhando apenas no plano horizontal.
  • 82.
    58 Quinadeira Máquina semiautomática querecebe componentes em forma de malha ou mais complexos e confereumadobra aos mesmos. Tico-Tico Máquina que permite a remoção de rebarbas ou arestas de componentes. Soldadurapor pontos Máquina semiautomáticaque permite a soldadura elétricapor resistênciaem pontos específicas e que é utilizada, geralmente, para reforçooupara subcomponentes que tenham poucos pontos de soldadura.
  • 83.
    59 SoldaduraCO2 Soldadura manual químicaque permite a aplicação de cordões em locais de difícil acesso pelas máquinas e que exijam uma maior resistência. Pode também ser utilizada para reforçodaresistência. Zincagem Linha de zincagem eletrolíticaque permite a realização de três tipos diferentes de passivação (azul, amarela e verde) e, opcionalmente, a deposição de uma camada final de selante. Confere proteção e embelezamento aos componentes. Espaço para montagem Processo final manual que junta diversos componentes num produto final.
  • 84.
    60 4.3 MAPEAMENTO DOESTADO ATUAL 4.3.1 COMPONENTES MAPEADOS Na fase inicial do trabalho de recolha de dados de campo foi considerado proceder à realização do mapeamento dos cinco componentes que constituem o contentor da família de produtos selecionada. No entanto, após a sua recolha e análise foi possível constatar que estes eram muito semelhantes entre si; devido a essas semelhanças decidiu-se mapear apenas dois dos cinco componentes que constituem o contentor. Os dois componentes selecionados foram a Porta inferior e a Traseira do contentor, que correspondem aos itens 3.0 e 5.0 da Figura 4.3, porque se considerou que representavam adequadamente o fluxo de valor. 4.3.2 ASPETOS METODOLÓGICOS A aplicação da ferramenta VSM ao caso prático em estudo seguiu a metodologia proposta em Lean embora, devido a diversas circunstâncias que serão oportunamente referidas, houve necessidade de fazer adaptações a alguns aspetos metodológicos do modelo teórico sugerido por Rother e Shook (1998). Estes autores sugerem que a recolha de informação seja feita no sentido de jusante para montante iniciando-se com o envio do produto para o cliente e terminando na receção da matéria-prima, começando, portanto, a recolha de dados nos processos mais ligados diretamente ao cliente. No caso em estudo a recolha de informação foi efetuada no sentido contrário, ou seja, de montante a jusante, o que decorreu do facto de se ter analisado o primeiro lote de produção, razão pela qual não existia, ainda, um fluxo e, portanto, a recolha dos dados teria de se fazer no sentido inverso ao habitualmente realizado. Os autores sugerem, também, que o mapeamento seja efetuado manualmente, a lápis numa folha branca simples durante a observação das ocorrências, permitindo que seja feito sem atrasos e que o envolvido efetue uma análise crítica no momento de recolha de dados. No caso em estudo o registo das informações foi efetuado num formulário desenvolvido especialmente para o efeito, constante do Anexo I ao presente documento, porque o conhecimento prévio do fluxo do produto permitiu concluir que a recolha de dados se tornaria demasiado complexa se não fosse previamente preparada, nomeadamente pelo facto de existirem muitas operações a decorrer em simultâneo para os vários componentes. Por último, é relevante referir que estes e outros autores na área realizam o mapeamento do produto numa única folha. No entanto, uma vez que o produto selecionado é bastante complexo por ser constituído por cinco componentes independentes que exigem diversas operações, optou-se por recolher os dados e fazer o mapeamento individualmente para cada um dos dois componentes estudados (Porta inferior e Traseira). 4.3.2.1 Ponto inicial e final de mapeamento
  • 85.
    61 Como foi discutidoanteriormente na introdução ao Capítulo 4, pretenderam-se essencialmente caracterizar etapas produtivas, como assinalado na Figura 4.4, excluindo as restantes etapas de conceção e desenvolvimento e montagem. A representação da cadeia de valor do produto inicia-se na ordem de fabrico emitida pelo planeamento da produção e termina no processo de montagem. Significa, portanto, que o cliente final no mapa do estado atual é o processo de montagem. Figura 4.4 - Etapas produtivas na empresa e foco nos processos industriais 4.3.2.2 Constituição e modo de elaboração dos Mapas Os mapas são constituídos essencialmente por quatro tipos de elementos distintos tendo cada elemento critérios definidos para a sua representação. Seguidamente define-se cada um destes elementos e explicitam-se os critérios utilizados na sua representação.  Fluxo do processo - O mapeamento foi efetuado segundo o conceito de que um processo é um local/operação por onde o material flui e que termina quando o mesmo pára e fica em espera pelo processo seguinte. Os fluxos foram identificados com o respetivo nome da máquina e com o número de operadores que atuam, sendo acompanhados por uma caixa de dados para os registos necessários;  Fluxo de informação - O mapeamento foi efetuado pela observação da proveniência e destino da informação e da sua tipologia (manual ou eletrónica);  Fluxo de material - O mapeamento foi efetuado tendo em consideração se as movimentações de material observadas tinham origem num planeamento prévio ou por necessidades a jusante; Encomenda Conceção e desenvolvimento Processos industriaisMontagemProduto acabado Preparação/ programação Receção de matérias-primas
  • 86.
    62  Medidas dedesempenho - As medidas de desempenho observadas e registadas foram escolhidas de acordo com os aspetos considerados mais relevantes e podem ser divididas em duas categorias: 1 Ao nível do fluxo (determinam o tempo das atividades de VA e NVA no fluxo do produto; visível na linha de tempo): I. Lead Time II. Tempo total de processamento 2 Ao nível do processo (determinam o tempo das atividades de VA e NVA no processo produtivo; visível na caixa de dados do processo) I. Up Time = (Tempo estimado de produção/Tempo real de produção); II. Tempo de ciclo 4.3.2.3 Critérios particulares considerados na elaboração dos mapas 4.3.2.3.1 Identificação dos componentes do caminho crítico Como cada componente é constituído por várias partes (subcomponentes), é essencial identificar quais são aqueles que definem o caminho crítico porque determinam o tempo de espera e de fabrico mínimo requerido para todo o projeto/lote. Desta forma, quando existem atividades a serem executadas em paralelo e cujos subcomponentes seguem posteriormente um processo comum, então o tempo de espera para as atividades em paralelo é dado pelo maior valor observado. Seguindo a mesma lógica, o tempo de ciclo para essas atividades é dado pelo maior valor observado. 4.3.2.3.2 Matéria-prima e armazém No caso em estudo não foram consideradas as esperas de matéria-prima em armazém pelo facto de não ser possível contabilizá-las corretamente uma vez que a empresa efetua encomendas em grande quantidade para obter descontos no preço e o mesmo tipo de matéria-prima poder ser destinado ao processamento de muitos produtos diferentes. 4.3.2.3.3 O caso particular da Shlatter No fluxo produtivo existe um caso específico que deve ser considerado com especial atenção que diz respeito ao processo que executa a soldadura das malhas para os diversos componentes do contentor, na máquina designada Shllater. Este processo tem a particularidade de a produção das malhas ser feita sempre com um número mínimo de malhas por ciclo, não sendo possível produzir apenas uma unidade. No Quadro 4.5 indica-se o número mínimo de malhas a produzir na Shllater para os dois componentes escolhidos. Por este motivo, no mapeamento do fluxo de valor, os tempos de ciclo para cada processo terão em consideração a produção do número de peças igual ao mínimo que a Shlatter produz para cada componente.
  • 87.
    63 Quadro 4.5 -Número mínimo de malhas produzidas na Shllater para cada componente 4.3.2.4 Microsoft Visio O VSM sendo uma ferramenta para mapeamento dos fluxos de informação e material dentro de uma organização, pode implicar alguma complexidade. Embora diversos autores sugiram a utilização de um papel e uma caneta para esta tarefa existem, no entanto, uma série de softwares no mercado que podem ser utilizados para este efeito, para construir o mapa de uma forma simplificada e interativa, permitindo alterações de uma forma simples e disponibilizando configurações que são uma mais valia para o utilizador. Por este motivo foi utilizado o software Microsoft Viso que contém um separador proposto para a construção do VSM. Este separador inclui uma variedade de ícones necessários para a construção do mapa e diversas funcionalidades que facilitam este processo. Tendo em consideração a quantidade de informação a recolher prevista e a duração prevista para a realização do estudo, considerou-se justificável proceder à utilização deste software. Outro aspeto a salientar diz respeito à facilidade em efetuar o download do programa e, assim, permitir que outros interessados visualizem o mapa facilmente. Versão utilizada: Visio 2016 4.3.3 IDENTIFICAÇÃO DO CLIENTE E DA PROCURA DO CASO ESTUDADO A FARAME foi confrontada com uma encomenda de 1632 unidades do contentor em arame para garrafas de vinho e Champanhe já descrito anteriormente, das quais 1540 unidades seriam encaminhadas para França e 92 teriam como destino o mercado Nacional. Esta encomenda seria entregue em cinco momentos distintos uma vez que a capacidade de transporte por camião não permite transportar mais de 308 unidades de cada vez. As datas de expedição e as respetivas quantidades estão listadas no Quadro 4.6. A primeira expedição foi marcada para dia 19 de maio e consistia nas 92 unidades para o mercado Nacional e em 308 unidades destinadas a França. Nos mapas elaborados o cliente final de cada componente é o processo de montagem uma vez que apenas nesse ponto todos os componentes são agrupados num produto final. Componente Nº de malhas por ciclo Traseira 3 Portainferior 9
  • 88.
    64 A análise dofluxo de valor deste produto, que se apresenta em seguida, foi efetuada seguindo o percurso do primeiro lote a entregar no dia 19 de maio pelos seguintes motivos:  A observação do fluxo de valor para o primeiro lote permite, também, a análise do processo de preparação e programação do produto;  No caso de se verificar que haveria dados mal recolhidos na primeira observação, seria possível analisar o segundo lote de produção e efetuar as devidas correções;  A conceção do produto inclui sempre um período de reuniões para comunicação do projeto e prototipagem, o que permite ter uma melhor noção de como decorre todo o processo produtivo;  O timing do primeiro lote é mais favorável para o estudo; Quadro 4.6 - Datas de expedição e respetivas quantidades prevista para a encomenda do produto selecionado 4.3.4 APRESENTAÇÃO DOS MAPAS As Figuras 4.5 e 4.6 representam, respetivamente, os mapas do estado atual da Porta inferior e da Traseira do contentor de arame Quantidade a expedir Dia 400 22 de maio 308 25 de maio 308 27 de maio 308 01 de junho 308 03 de junho
  • 89.
  • 90.
    66 Figura 4.5 -Mapa do estado atual da Porta Inferior do contentor de arame Montagem 400 19/mai 308 25/mai 308 27/mai 308 01/jun 308 03/jun Soldadura PontosIdealShlatter Corte Corte Componente: Porta inferior D = Porta inferior T/C = 65 s/peça Up Time = 100% Componente: Porta inferior D = (Batente; Malha; Aro; Fecho; Guia fecho; Batente quinado) T/C =72 s/peça Up Time = 49% Componente: Malha 9D =57 h; 9 v T/C =113,5 s/9 peças Up time = 100% Componente: Arame h D = Rolo arame T/C = 1,2 s/peça Up time = 100% Componente: Arame v D = Rolo arame T/C = 3,29 s/peça Up time = 53,6% 9950 Un. 1577 Vinco CNC Corte 401 Un. Componente: Aro D = Rolo arame T/C = 9,2 s/peça Up Time 100% Componente: Batente D = Rolo arame T/C = 1,5 s/peça Up Time = 20% Fornecedor A MRP Planeamento e controlo da produção A A 773 A A 398 68,4 s 113,5 s 2,72 dias 648 s 9,91 585 s 0,16 dias 207 s 0,75 dias Tempo de processamento 9 unidades =27 minutos Lead Time = 14,04 dias Tico -Tico 401 Componente: Porta inferior D = Porta inferior T/C = 23 s/peça Up Time = 49% Zincagem 408 Componente: Porta inferior D = Porta inferior T/C = 30 s/peça Up Time = 100% 400400 0,5 dias
  • 91.
  • 92.
    68 Figura 4.6 -Mapa do estado atual da Traseira do contentor de arame Montagem 400 Unidades 5 Lotes ZincagemIdealGuilhotinaShlatter Corte Corte Componente: Traseira D = Traseira T/C = 48 s/peça Up Time = Componente: Traseira D = Triangulo; Malha; Aro T/C =60 s/peça Up Time = 66% Componente: Malha D = Malha T/C =44 s/peça Up time = 87,5% Componente: Malha 3 D = 57 h; 6 v T/C =220,5 s/3 peças Up time = 100% Componente: Arame h D = Rolo arame T/C = 0,7 s/peça Up time = 35% Componente: Arame v D = Rolo arame T/C = 3,29 s/peça Up time = 29,8% 7657 Un. 1306 Un. Vinco CNC Vinco CNC 401 Un. 401 Un. Componente: Aro D = Rolo arame T/C = 12 s/peça Up Time 100% Componente: Triangulo D = Rolo arame T/C = 20 s/peça Up Time = 100% 400 Un. Fornecedor A MRP Planeamento e controlo da produção A A 468 Un. 406 Un. A A 403 Un. 187,5 s 220,5 s 4,04 dias 132 s 2,07 dias 180 s 3,83 dias 144 s 1,5 dias 0,5 dias Tempo de processamento 3 Un. = 14,4 minutos Lead Time = 11,94 dias
  • 93.
  • 94.
    70 4.3.5 VALORES OBSERVADOSE MEDIDAS DE DESEMPENHO 4.3.5.1 Tempo de espera entre etapas produtivas Entre cada processo estudados existem locais onde os lotes permanecem em espera até que o processo seguinte possa iniciar uma nova atividade. Estes tempos são extremamente importantes porque irão determinar o Lead Time do produto. A contagem destes tempos foi iniciada quando foi produzida a primeira peça do lote e terminou quando foi iniciado o novo processo a que foi submetido o lote. Nos Quadros 4.7 e 4.8 pode-se observar o número de vezes que ocorrem esperas no fluxo produtivo e os respetivos tempos, e como referido anteriormente são selecionados os maiores valores que correspondem ao caminho crítico no caso de haverem processos paralelos que coincidem posteriormente. No caso da porta inferior o valor do Lead Time é de 14,04 dias para 9 unidades e no caso da traseira é de 11,94 dias para 3 unidades. Quadro 4.7 - Tempos de espera observados entre etapas produtivas e seleção do caminho crítico para Porta inferior Componente - PortaInferior Etapa de espera Tempo de esperapor subcomponente Tempo de esperacrítico 1 Arame vertical 1,98 dias Arame horizontal 2,72 dias Arame horizontal 2,72 dias 2 Batente 6,62 dias Malha 9,91 diasMalha 9,91 dias Aro 4,06 dias 3 PortaInferior 0,16 dias PortaInferior 0,16 dias 4 PortaInferior 0,75 dias PortaInferior 0,75 dias 5 Portainferior0,5 dias Portainferior0,5 dias 6 Portainferior0 dias Portainferior0 dias Lead Time 14,04 dias para9 unidades
  • 95.
    71 Quadro 4.8 -Tempos de espera observados entre etapas produtivas e seleção do caminho crítico para Traseira 4.3.5.2 Tempo de ciclo dos processos Para cada processo foram cronometrados e registados os tempos de ciclo observados. Estes tempos são extremamente importantes uma vez que correspondem às atividades VA para o produto. Nos Quadros 4.9 e 4.10 pode observar-se o número de etapas produtivas necessárias para obter o componente final e o correspondente tempo total de processamento calculado. Como referido anteriormente são selecionados os maiores valores que correspondem ao caminho crítico no caso de haverem processos paralelos que coincidem posteriormente. No caso da Porta inferior o valor do Tempo total de processamento é de 31,5 minutos para 9 unidades e no caso da Traseira é de 11,94 minutos para 3 unidades. Quadro 4.9 - Etapas produtivas observados e seleção do caminho crítico para Porta inferior Componente - Traseira Etapa de espera Tempo de esperapor subcomponente Tempo de esperacrítico 1 Arame vertical 3,95 dias Arame horizontal 4,04 dias Arame horizontal 4,04 dias 2 Malha 2,07 dias Malha 2,07 dias 3 Malha 3,83 dias Malha, 3,83 diasAro 3,79 dias Triangulo 0,13 dias 4 Traseira 1,5 dias Traseira 1,5 dias 5 Traseira 0,5 dias Traseira 0,5 dias Lead Time 11,94 dias para3 unidades Componente - PortaInferior Etapa produtiva Tempo de ciclo por subcomponente Tempo de ciclo crítico 1 Arame vertical 29,61 s Arame horizontal 68,4 s Arame horizontal 68,4 s 2 Batente 13,5 s Malha 113,5 sMalha 113,5 s Aro 82,8 s 3 Portainf 648 s Portainf 648 s 4 Portainf 585 s Portainf 585 s 5 Portainf 207 s Portainf 207 s 6 Portainf 270 s 270 s Tempo de processamento 31,5 min. para 9 unidades
  • 96.
    72 Quadro 4.10 -Etapas produtivas observados e seleção do caminho crítico para Traseira 4.3.5.3 Up Time dos processos Para cada um dos componentes mapeados foi registado o número de vezes que cada operação/processo foi efetuada (quantas vezes um processo é utilizado) e o respetivo tempo de produção do lote. A contagem do tempo foi iniciada quando foi concluída a produção da primeira peça do lote considerada conforme e terminou quando foi produzida a última peça do mesmo lote. Cada uma das operações realizadas tem um tempo standard de produção do lote baseado em cronometragens anteriores, o qual não contabiliza operações de Setup e se considera que o trabalhador operou com um fator de atividade de 100%. O Up Time dos processos foi calculado da seguinte forma: 𝑼𝒑 𝑻𝒊𝒎𝒆 = 𝑻𝒆𝒎𝒑𝒐 𝒆𝒔𝒑𝒆𝒓𝒂𝒅𝒐 𝒅𝒆 𝒑𝒓𝒐𝒅𝒖çã𝒐 𝒅𝒐 𝒍𝒐𝒕𝒆 𝑻𝒆𝒎𝒑𝒐 𝒓𝒆𝒂𝒍 𝒅𝒆 𝒑𝒓𝒐𝒅𝒖çã𝒐 𝒅𝒐 𝒍𝒐𝒕𝒆 ∗ 𝟏𝟎𝟎 Os valores do Up Time, expressos em percentagem, são indicadores das atividades VA durante a produção do lote, pelo que um valor de percentagem reduzido significa que se coloca a necessidade de analisar o processo mais profundamente. Nos Quadros 4.11 e 4.12 pode observar-se o número de vezes que cada operação foi efetuada e o correspondente Up time calculado. Componente - Traseira Etapa produtiva Tempo de ciclo por subcomponente Tempo de ciclo crítico 1 Arame vertical 19,74s Arame horizontal 39,9 s Arame horizontal 39,9 s 2 Malha 220,5 s 220,5 s 3 Triângulo 60 s Malha 132 sMalha 132 s Aro 36 s 4 Traseira 180 s Traseira 180 s 5 Traseira 144 s Traseira 144 s Tempo de processamento 11,93 min. para3 unidades
  • 97.
    73 Quadro 4.11 -Up Time dos processos para a Porta Inferior Componente - PortaInferior Identificação das operações Número de Operações Up time Corte 1º 53,6% 2º 100% 3º 20% Vinco CNC 1º 100% Schlatter 1º 100% IDEAL 1º 49% Soldadura Pontos 1º 100% Tico-Tico 1º 49% Zincagem 1º 100% Quadro 4.12 - Up Time dos processos para a Traseira Componente - Traseira Identificação das operações Número de Operações Up time Corte 1º 29,8% 2º 35% Vinco CNC 1º 100% 2º 100% Schlatter 1º 100% Guilhotina 1º 87,5% IDEAL 1º 66% Zincagem 1º 100% 4.4 ANÁLISE DOS DESPERDÍCIOS E EVENTOS KAIZEN 4.4.1 CARATERÍSTICAS DOS PROCESSOS DA CADEIA DE VALOR DOS COMPONENTES ESTUDADOS De acordo com a caracterização efetuada no decurso do mapeamento do fluxo de valor dos componentes estudados e após a análise detalhada dos mapas do estado atual, verificou-se, tal como foi anteriormente indicado, que o processo de produção dos componentes estudados funciona, maioritariamente, de acordo com o método Push, seguindo as indicações de um plano de produção em vez das necessidades determinadas a partir de jusante. Neste modo de funcionamento considera-se que os processos atuam isoladamente, não plenamente articulados da restante cadeia de valor, originando diversos tipos de desperdício.
  • 98.
    74 Nos mapas doestado atual para os componentes selecionados, pode-se observar que a informação que contém ordens de fabrico, que estão definidas no plano de produção da empresa, é transmitida manualmente e para cada processo individualmente, determinando que estes atuem isoladamente e de acordo com uma perspetiva de valor apenas para o processo e não para toda a cadeia. A produção resultante de cada etapa é posteriormente enviada para o processo seguinte e, em todos os casos observados, é colocada em espera, com exceção nos processos de Corte e Vinco CNC onde se observa que existe uma aproximação ao método Pull porque estes processos vão buscar ao armazém apenas a matéria-prima desejada. Foram ainda verificadas diversas ocorrências durante a recolha dos dados e por observação direta que corroboram a constatação de que o planeamento se faz de forma isolada para cada processo e que o funcionamento da cadeia de valor está desconetado:  Foram efetuadas em diversas ocasiões alterações no plano da produção, em vários processos, para realizar ajustes devido a atrasos, problemas na calendarização e alterações de última hora para compensar outros erros, sobretudo devido ao facto de o plano ter sido realizado com base em previsões futuras, ou seja, de acordo com a metodologia Push;  Registaram-se paragens na produção devido a alterações no planeamento e no início de produção de outro subcomponente, tendo sido retomando posteriormente o plano original, pelo facto de não se ter produzido aquilo que era necessário no processo seguinte;  Os operadores iniciaram a produção de um determinado subcomponente com base em informações transmitidas por outros operadores e não com base em informações obtidas de acordo com o procedimento habitual utilizando o sistema informático da empresa, o que originou erros ao longo da cadeia de valor;  Verificaram-se falhas de comunicação de informação aos trabalhadores relativamente às tarefas exatas a desempenhar (por exemplo, desconhecimento de qual a marcação a efetuar na chapa que está anexada no contentor), como resultado de um plano pouco claro de alterações constantes;  Constatou-se que os chefes de linha não realizam os processos habituais de apontamento de algumas medidas de desempenho exigidas pela empresa dificultando o apuramento de dados relevantes relativos à produtividade dos processos;  Verificou-se que o sistema informático tem falhas/insuficiências nomeadamente no que diz respeito a inconstâncias na informação contida (por exemplo algumas folhas da operação não contêm informação acerca de qual foi o processo anterior nem qual será o seguinte) e, como consequência, os trabalhadores não entendem onde colocar o lote fabricado;
  • 99.
    75  Assistiu-se adiversas situações em que as máquinas permaneceram paradas sem produzir à espera de material devido a deficiências do planeamento: tomando como exemplo a máquina IDEAL, verificou-se que, apesar de alguns subcomponentes estarem prontos à espera de iniciar operação outros ainda não tinham chegado ao posto ou ainda não tinham sido produzidos. 4.4.2 ANÁLISE DOS DESPERDÍCIOS A análise dos mapas do estado atual e a observação das práticas seguidas e dos eventos ocorridos no decurso da recolha de dados de campo permitiu identificar diversas situações que podem estar na origem dos desperdícios existentes, tal como abordado no subcapítulo 4.4.1. Com base no entendimento das situações que originam desperdícios procuraram-se quantificar os desperdícios detetados sobretudo ao nível do fluxo global e, também, ao nível dos processos individualmente. 4.4.2.1 Desperdícios no fluxo A análise do Lead Time e do tempo total de processamento assenta na interpretação da discrepância entre estas duas medidas de desempenho. Considerando que se o fabrico dos componentes for elaborado através de um fluxo contínuo e sem interrupções, então o seu tempo de processamento será igual à soma dos respetivos tempos de ciclo. Por comparação está o tempo real que o componente demorou a ser produzido ou o Lead Time (Quadro 4.13) Quadro 4.13 - Importância relativa do tempo despendido em atividades VA e NVA Indicador Portainferior Traseira Lead Time 14,04 dias 11,94 dias Tempo total de processamento 31,5 minutos (9 unidades) 11,93 minutos (3 unidades) Duração de atividades VA 0,148% 0,069% Duração de atividades NVA 99,85% 99,93% O contraste existente entre estes dois valores permite afirmar que existem muitas atividades NVA que estão diluídas no fluxo do produto sob a forma de desperdícios. O Lead Time dos componentes é essencialmente composto por atividades que não acrescentam valor que, nos casos estudados em concreto, se podem associar essencialmente a esperas, tratando-se do desperdício mais evidente. 4.4.2.2 Ao nível do processo
  • 100.
    76 A análise doUp Time dos processos registados permitiu concluir que, em alguns casos, o tempo real de produção foi bastante superior ao esperado. O tempo esperado de produção é um valor estandardizado registado de acordo com cronometragens realizadas por elementos da empresa e não tem em consideração tempos relativos a operações de Setup. Isto significa, portanto, que a discrepância destes tempos provavelmente terá origem nos seguintes aspetos: 1. Avaria de máquinas; 2. Falta de material; 3. Ausência de procedimentos internos; 4. Paragens na produção; Verificaram-se também os seguintes factos: 1. Durante a recolha dos dados não foi verificada nenhuma avaria em máquinas; 2. Quanto à existência do material necessário para iniciar uma operação, foi possível verificar que nem sempre este esteve disponível porque o planeamento isolado da empresa causa por vezes a inexistência de coordenação entre movimentos de material que culminam para um só processo e, desse modo, algumas máquinas ficarem paradas por falta de material; 3. Quanto aos procedimentos internos da empresa, estes são claramente insuficientes e a organização no posto de trabalho é muito deficiente e não existe a preocupação relativamente à sua manutenção, originando, por frequentemente perdas de tempo elevadas com atividades que não acrescentam valor tais como: esclarecer dúvidas quanto à interpretação de documentos ou desenhos, procurar ferramentas, procurar e deslocar porta paletes, encontrar formas e locais para colocar as peças produzidas, entre outros; 4. Foram verificadas algumas situações relacionadas com paragens na produção decorrentes, também, do planeamento isolado, nomeadamente devido a alterações de última hora na produção.
  • 101.
    77 4.4.2.3 Classificação dosdesperdícios Tendo presente a disparidade calculada entre as atividades VA e NVA que resultam do mapeamento da cadeia de valor efetuado e as origens dos desperdícios encontrados na análise dos mapas, torna-se importante perceber onde é que estes desperdícios podem encaixar dentro das definições clássicas do Lean para se poder ter uma abordagem adequadas na procura da sua resolução, sistematizando-se de seguida as principais conclusões obtidas:  Excesso de produção: Em todos os pontos de espera do WIP foi possível observar que existe sempre discrepância na produção, ou seja, entre dois processos, o número de subcomponentes em espera não está conforme as necessidades do processo seguinte;  Esperas: Em todos os pontos de espera do WIP foi possível observar que existem tempos de espera muito elevados, chegando os subcomponentes a estar em espera 9 dias antes de prosseguirem para o processo seguinte, quer por descoordenação entre etapas paralelas, o que origina que um subcomponente fique em espera para entrar na máquina devido a atrasos de outro, quer por erros no planeamento, o que implica que dois ou mais subcomponentes tenham de esperar que a máquina termine de processar uma outra encomenda;  Transporte: Verificaram-se alguns desperdícios respeitantes ao transporte de WIP porque geralmente estes são colocados um pouco aleatoriamente pelos espaços vagos nas instalações sem obedecer a um critério definido;  Processamento incorreto: Não se verificaram ineficiências devido a processamentos incorretos;  Excesso de stock: Em alguns pontos de espera do WIP foi possível observar a existência de excesso de stock sem ter havido uma correção imediata do problema, tendo esta situação conduzido a que os processos a jusante tenham produzido, também eles, em excesso;  Movimentos desnecessários: Registaram-se movimentos desnecessários originados, sobretudo, por falta de clareza da informação relativa ao plano de produção e a alterações do mesmo, devido a procura de porta-paletes ou contentores para armazenar os componentes produzidos, entre outros;  Defeitos: Não se verificou a produção de peças defeituosas, correções ou reparações.
  • 102.
    78 Em síntese, foramdetetados problemas muito significativos com origem na desconexão do fluxo de valor dos componentes e do planeamento isolado que é presentemente efetuado na empresa. Os problemas estão essencialmente associados quer à forma como é efetuado o plano de produção quer à forma como o mesmo é calendarizado e comunicado aos processos, o que origina uma grande discrepância entre as atividades VA e NVA. Por outro lado, verifica-se uma relevante ausência de procedimentos internos e organização, tanto no espaço de trabalho como nas instalações, sendo o efeito deste aspeto sentido na eficiência diária da produção não só, ao nível dos processos individualmente como, também, na cadeia de valor do produto devido aos desperdícios daí resultantes. Os desperdícios evidenciados são, essencialmente, excesso de produção/stock, esperas e, ainda, transporte/movimentos desnecessários. Foram também detetadas outras situações relevantes no decurso da recolha de dados e em outros momentos que têm bastante influência na eficiência e eficácia produtiva:  Processo limitador dos restantes (BN) - Existe no fluxo de valor dos componentes estudados, e não apenas nestes, um fator comum que se prende com um processo que é o mais lento de todos na maioria dos casos e que limita o rendimento global das instalações; este processo diz respeito à soldadura por resistência que decorre na máquina da marca IDEAL;  Mix de produtos - O facto de ser produzida uma grande diversidade de produtos desencadeia inúmeros problemas que afetam constantemente a eficiência das instalações e origina uma grande dificuldade em criar um fluxo de valor partilhado, essencialmente porque os recursos são partilhados entre todos os produtos da fábrica, o que dificulta a resolução desta questão. Para além deste aspeto, o mix de produtos dificulta a introdução de procedimentos e métodos produtivos constantes, e força a situação que ocorre atualmente entre os processos, designadamente o facto de o plano de produção decorrer de acordo com uma filosofia Push. 4.4.2.4 Relação dos aspetos organizacionais com os desperdicios identificados e abordagem para melhoria Como ponto de partida para a definição dos eventos Kaizen e para apoiar a abordagem ao problema dos desperdícios identificados foi elaborado um quadro com as principais áreas ou aspetos organizacionais que afetam a cadeia de valor dos componentes estudados e os respetivos problemas detetados. Estes aspetos organizacionais criam problemas que se podem relacionar com os desperdícios encontrados na análise dos mapas atuais, o que significa, de certo modo, que são a fonte de alguns dos desperdícios e que, por esse motivo, devem merecer uma maior consideração quando se pretende estudar possíveis melhorias.
  • 103.
    79 No Quadro 4.14identificam-se, sob a forma de uma matriz, os principais problemas detetados na cadeia de valor dos componentes estudados e a sua relação com os desperdícios identificados e indica-se, para cada um dos mesmos, a abordagem para melhoria proposta de acordo com o pensamento Lean. Os desperdícios verificados foram agrupados em três tipos:  Excesso de produção/stock - E.P/S;  Esperas - E;  Transporte/movimentos desnecessários - T/MD; A utilização de um símbolo (√) indica uma relação existente entre os problemas e os desperdícios identificados
  • 104.
    80 Quadro 4.14 -Relação entre problemas encontrados e desperdícios e abordagem Lean para melhoria Fonte Problemas detetados Excesso de produção/stock Esperas Transporte/ movimentos desnecessários Abordagem Lean para melhoria Cultura de valor O fluxo de valor é desconectado, cada processofuncionade acordo com aquilo que é melhor do seuponto de vista √ √ √ Utilização do pensamento Lean na construção de um mapa futuro ideal que considere todaa cadeia de valor como uma só estrutura Organização Instalações muito desorganizadas, ferramentas em locais incertose faltade procedimentosinternos paradiversas situações originam muitas ineficiências ao nível do fluxo e do processo √ √ Utilização da ferramenta5s para análise das condições atuais Bottleneck Processocriaesperas e limitaos restantes processos √ Definir como processo Pacemaker Calendarização Planeamento da produção efetuado de acordo com a previsão de hipotéticos estados futuros e regularmente alterada √ √ Calendarização da produção no Pacemaker Comunicação Informação transmitidaa cada processo individualmente originando um fluxo Push √ √ Informação transmitidaapenas ao processo Pacemaker WIP Grandes acumulações de WIP √ √ Metodologia Pull Lead Time Lead Time muito elevado em relação ao tempo total de processamento √ Introdução de Supermercados Pull e sistemas em fluxo contínuo ouFIFO Mix de produtos Elevada diversidade de produtos e dificuldade em criar fluxo de valor partilhado √ √ Introdução de sistemas produtivos que permitam equilibrar Metodologia Pull/Push
  • 105.
  • 106.
    82 4.4.3 EVENTOS KAIZEN 4.4.3.1Adaptação da Literatura ao contexto da empresa A compreensão dos problemas existentes e dos desperdícios que foram evidenciados através da construção dos mapas do estado atual constituem o ponto de partida para iniciar um processo de implementação do pensamento Lean e para determinar o tipo de abordagem que se pode ter na resolução dos mesmos. Estas abordagens, explicitadas no Quadro 4.14, foram influenciadas pelas orientações que se consideram ser mais evidentes de acordo com que se encontra descrito na literatura da especialidade, tendo, contudo, em atenção as particularidades do tipo de produção que é efetuado atualmente na empresa e que afeta substancialmente a forma como o pensamento Lean pode ser mais ou menos diretamente aplicável na resolução destes problemas. Para apoiar a conceção e implementação dos princípios do Lean, procurou-se analisar qual seria o tipo de produção característico da empresa, de acordo com os quatro grandes tipos de produção que se encontram estabelecidos em Creating Mixed Model Value Streams (DUGGAN) e que se apresentam na Figura 4.7. A confrontação da situação estudada na FARAME com os modelos de produção indicados permitiu concluir que a empresa se aproxima do tipo de produção High Mix com grande customização tratando- se, portanto, de uma empresa que fornece uma alta variabilidade de produtos com um nível elevado de personalização. Este tipo de sistema implica garantir uma variedade ou mix de produtos, ou variações de produtos, através do mesmo fluxo de valor e entregar a quantidade certa de um produto específico (de um elevado número de produtos disponíveis) quando o cliente o solicita. No contexto atual, um destes tipo de produtos é a família de contentores de arame selecionada no presente estudo e a sua personalização é evidenciada pela especificação do contentor para vinhos e champanhe. A conclusão relativa ao tipo de produção da empresa aconselha a ser prudente no que diz respeito à implementação de princípios e ferramentas dos Lean uma vez que estes estão mais adaptadas a contextos de produção discretas e em massa.
  • 107.
    83 Figura 4.7 -Tipos de produção mais comuns 4.4.3.2 Questões para definir o mapa futuro Atendendo à análise efetuada aos problemas, aos desperdícios e às respetivas fontes, e tendo em consideração o objetivo principal da utilização do VSM, nomeadamente o de elaborar um mapa futuro ideal, torna-se necessário entender como se pode tornar a cadeia de valor analisada numa cadeia de valor “Lean” e reduzir os desperdícios encontrados. A forma padronizada de o fazer tem estabelecidas um conjunto de linhas orientadoras, sendo, no entanto, importante verificar quais destas se aplicam no contexto da empresa e, caso sejam aplicáveis, avaliar quais dos problemas podem resolver e que redução de desperdícios se pode esperar com a sua adoção. Assim, para a construção do mapa futuro, deve questionar-se de forma sistemática se podem ser utilizadas algumas das linhas orientadores listadas no Quadro 4.15 para tornar uma cadeia de valor “Lean”. Estas questões podem ser estudadas independentemente da ordem pela qual aparecem no quadro 4.15, não sendo necessário o seu estudo sequencial. Quadro 4.15 - Questões para definir o mapa futuro Questões paradefinir o mapafuturo 1. Qual é o Takt time? 2. A produção deve seguir do PM para um supermercado de produtos acabados ou diretamente para o processoseguinte? 3. Onde implementar um fluxo de processoscontínuo? 4. Onde implementar supermercados com sistemas Pull? 5. Em que ponto do fluxo calendarizar a produção? 6. Como balancear o mix de produção no Pacemaker? 7. Qual a taxa de produção no Pacemaker? 8. Que melhorias nos processos serão necessárias? Graude customização Variabilidadedos produtos High Mix; Produção discreta Produção discreta High Mix; Grande customização Produção discreta; Grande customização
  • 108.
    84 4.4.3.3 (1) Produzirde acordo com o Takt time Uma das diretrizes do Lean consiste em estabelecer um ponto do fluxo de valor, a partir do qual a produção deve fluir continuamente até ao cliente, utilizando-se antes deste ponto um sistema de supermercados Pull. Esta calendarização é sugerida por muitos autores baseando-se no conceito de Takt time. No caso prático estudado esta medida não tem uma aplicação direta pelo facto de ser apenas viável nos casos em que existam processos dedicados a determinados produtos ou em que existam previsões rigorosas e antecipadas da procura. Na cadeia de valor estudada os recursos produtivos são partilhados entre muitos produtos diferentes e não existem previsões antecipadas da procura do cliente. O planeamento e a produção funcionam de forma reativa quando são recebidas as encomendas, que possuem um caráter diversificado. Tendo em consideração as observações efetuadas, torna-se mais simples e lógico no ambiente HM em questão procurar elaborar um planeamento baseado nas necessidades reais de produção. Esta metodologia requer a conceção de um plano, por um lado, para a transmissão de informação e, por outro lado, para a transmissão de produtos e tem como base a estimação dos tempos de trabalho necessários para uma determinada ordem de fabrico e a gestão do trabalho utilizando por exemplo quadros FIFO e “Day-By-Hour”. 4.4.3.4 (5) Em que ponto do fluxo calendarizar a produção? A calendarização da produção deve ser enviada apenas a um processo do fluxo de valor do produto que é o Pacemaker porque é ate este processo que o fluxo dá-se idealmente através de um Sistema Pull a montante. No mapa futuro este ponto é o único que será controlado pelas necessidades exteriores do cliente e que definirá o ritmo e a produção dos restantes. 4.4.3.4.1 Localização do PM  Order Decoupling Point (ODP) - No contexto produtivo atual da FARAME pode-se afirmar que este ponto se situa na Shlatter uma vez que é aqui que se encontra a fronteira entre Made- To-Stock (MTS) e Made-To-Order (MTO). Deste ponto para montante existem muitos subcomponentes iguais que se podem destinar à produção de vários componentes; deste ponto em para jusante os subcomponentes podem ser marcados a uma ordem específica de venda. Neste processo são efetuadas as malhas do contentor de acordo com especificações desejadas que, a partir daqui, apenas podem ser utilizadas para determinado componente. A Shlatter é o ODP para os contentores, verificando-se numa análise global da fábrica, que também tem as mesmas características para quase todos os produtos produzidos;
  • 109.
    85  Bottleneck (BN)- O centro de trabalho do sistema que limita o rendimento global da produção localiza-se na IDEAL. Este processo, que limita claramente o ritmo de produção na fábrica, tem tempos de ciclo muito elevados e necessita de dois operadores para o trabalho, sendo definitivamente o local onde se observaram maiores esperas;  Pacemaker (PM) - Neste sistema HM torna-se lógico a colocação do PM posteriormente ao ODP para que quando for lançada uma encomenda com base em pedidos de clientes a produção, a montante, seja desencadeada através de sistemas de supermercado Pull e, a jusante, através da filosofia FIFO ou em fluxo contínuo até ao cliente. O PM fica, por este motivo, localizado na IDEAL. Tendo em consideração estes aspetos, deve-se também definir para o mapa futuro uma entrada de produtos neste processo de acordo com uma filosofia de ordem de produção FIFO uma vez que a calendarização neste ponto deve implicar uma sequência priorizada. 4.4.3.4.2 Implicações da definição do PM A definição da localização do PM irá influenciar a forma como o fluxo de valor deve funcionar antes e após este ponto. Deste ponto para a jusante, irá ocorrer uma quebra no fluxo e é necessário criar processos Pull para fora do PM; para esse efeito, na zona destacada com o círculo amarelo nas Figuras 4.8 e 4.9 tradicionalmente é necessário estudar onde implementar uma sequenciação com FIFO ou fluxo contínuo. Por outro lado, antes deste ponto, e com a representação com a cruz vermelha nas Figuras 4.8 e 4.9 sinaliza-se a necessidade de terminar com o funcionamento isolado dos processos, já abordados e com a metodologia utilizada atualmente para transmitir informação.
  • 110.
    86 Figura 4.8 -Mapa resultante da definição do PM para a Porta Inferior Montagem Soldadura PontosIdealShlatter Corte Corte Vinco CNC Corte Fornecedor A MRP Planeamento e controlo da produção A A A A Tico -Tico Zincagem PM ODP
  • 111.
  • 112.
    88 Figura 4.9 -Mapa resultante da definição do PM para a Traseira Montagem ZincagemIdealGuilhotinaShlatter Corte Corte 7657 Un. 1306 Un. Vinco CNC Vinco CNC 401 Un. 401 Un. 400 Un. Fornecedor A MRP Planeamento e controlo da produção A A 468 Un. 406 Un. A A 403 Un. PM ODP
  • 113.
  • 114.
  • 115.
    91 4.4.3.5 (2) Aprodução deve seguir do PM para um supermercado de produtos acabados ou diretamente para o processo seguinte? No caso prático estudado os subcomponentes saídos do PM são geralmente de dimensões consideráveis e embora possam ser encaixados uns nos outros não é viável armazená-los como stock. Por outro lado, não é possível prever as encomendas dos clientes e a diversidade de produtos é muito elevada. Por estes motivos a produção deve ser diretamente expedida para o processo seguinte após a produção no PM como ilustrado na Figura 4.10. Figura 4.10 - Seguimento da produção a partir do PM e sequenciação FIFO 4.4.3.6 (3) Onde implementar um fluxo de processos contínuo? Em modelos HM existem algumas limitações à introdução de um fluxo de processos contínuos se a variação nos tempos de ciclo dos produtos em cada processo for elevada, podendo criar gargalos no fluxo e tornando-o ineficaz, o que significa que para um determinado produto ser executado em fluxo contínuo, teria de ter requisitos de capacidade separadas em cada processo. A variação nas “rotas” também cria dificuldades em estabelecer um fluxo contínuo. A razão para isto decorre do facto de, apesar de certos processos poderem estar projetados para facilitar um certo fluxo, existem vários produtos que são feitos através de uma série de processos diferentes alterando assim os requisitos necessários Para determinar se existe a possibilidade de implementar um fluxo contínuo de processos a partir do PM no caso estudado, tornou-se necessário averiguar essa possibilidade para os dois componentes. Na Figura 4.11 estão representados os tempos de ciclo (em segundos) das diversas máquinas para a produção de 9 peças (Porta Inferior). Como é possível observar, estes tempos variam consideravelmente e não são constantes mesmo para o próprio processo (OP). No caso do Corte, do Shlatter, do Vinco CNC e da Zincagem faz sentido a utilização de lotes para movimentação dos subcomponentes porque os seus PM Ideal MRP Planeamento e controlo da produção Necessidades reais dos clientes FIFO
  • 116.
    92 tempos de ciclosão bastante reduzidos e as peças são de pequenas dimensões, exepto para a Zincagem. Uma observação mais cuidada leva mesmo a propor que este processo seja visto isoladamente por ser o único que opera, sem exceção, em todos os produtos da fábrica e no qual existem, geralmente, vários produtos a serem trabalhados em paralelo. No entanto, se forem avaliadas as situações dos restantes processos pode ser adequado falar de balanceamento da produção e procurar implementar um fluxo contínuo. Para desenvolver este equilíbrio torna-se necessário observar as atividades do operador durante a operação e entender se existe oportunidade para a realização de tarefas paralelas ou utilização de tempos “mortos” para outras atividades, na tentativa de aproximação dos tempos de ciclo. Figura 4.11 - Tempos de ciclo para a Porta inferior (segundos) Na IDEAL os operadores colocam vários subcomponentes num molde, colocam-no debaixo dos pontos de soldadura e a máquina inicia o seu trabalho automatizado. Durante este tempo os operadores repetem o mesmo processo e esperam que o molde anterior esteja concluído. Durante cerca de 50% do tempo de ciclo os operadores estão em espera para que o processo termine. Neste caso a única alternativa para redução do tempo de ciclo seria melhorar a máquina existente. No caso da soldadura por pontos, o processo funciona de forma semiautomática, tendo o operador de pegar no subcomponente resultante da IDEAL e colocar diversos pontos manualmente na máquina de soldadura elétrica para reforço, sendo acionado por pedal. Neste caso, o operador está a totalidade do tempo ocupado. O Tico-tico é uma pequena ferramenta que o operador utiliza passando rebarbas existentes no subcomponente pelo engenho e retirando-as. Neste caso, o operador está a totalidade do tempo ocupado. 0 100 200 300 400 500 600 700 Corte Shlatter Vinco CNC Ideal Soldadura pontos Tico-tico Zincagem 1º OP 2º OP (seg.)
  • 117.
    93 Outra observação relevanteefetuada foi a de que o transporte dos subcomponentes entre todos os processos é atualmente efetuado ou por pessoal destinado ao efeito, tendo inúmeras vezes os operadores de esperar pela pessoa responsável, ou não existe propriamente uma regra que dita quem deverá realizar este transporte, podendo ser variável. Tendo em consideração que existem tempos de espera por parte de operadores durante o tempo de ciclo na IDEAL e que a operação com o Tico-tico é extremamente simples por se tratar de uma pequena ferramenta, faz sentido organizar estes três processos numa célula de trabalho da seguinte forma: 1. O trabalhador responsável pela operação de soldadura por pontos passa a ter também a responsabilidade pela operação com o Tico-tico e ambas as máquinas ficarão localizadas próximas uma da outra; 2. Os trabalhadores na IDEAL utilizarão os tempos de espera até um valor que não exceda os o somatório das seguintes operações (Figura 4.12) para efetuarem o transporte dos subcomponentes entre esta máquina e a soldadura por pontos; Figura 4.12 - Balanceamento da produção para a Porta inferior (segundos) Apesar de esta forma de balanceamento ter sido estudada utilizando os tempos de ciclo para a produção de nove peças, deve, no entanto, ser tido em conta que o balanceamento pode também ser efetuado para outras quantidades desejadas. Esta quantidade deve ser determinada pelo lote que o operador consegue transportar para o processo seguinte de uma forma eficiente, ou seja, não será credível transportar peça a peça pois o tempo perdido seria provavelmente superior ao tempo de sobra e também não é prático transportar demasiadas peças uma vez que estas têm dimensões consideráveis. A observação do processo permitiu concluir que a quantidade transportada deve ser de três a seis peças. Uma vez efetuado o balanceamento, a partir do PM considera-se que estes três processos funcionam como uma célula com 3 operadores, em que após a sua conclusão de produção do lote num processo, este é diretamente encaminhado para o processo seguinte num fluxo contínuo. No mapa futuro a 648 585 207 144 IDEA L SOLDA DURA PONT OS + T ICO - T ICO Tempo de ciclo Segunda máquina Tempo de sobra
  • 118.
    94 representação da célulafaz-se pela combinação destes três processos num só, cujo tempo de ciclo agregado é de 13,2 minutos para 9 peças. Na Figura 4.13 representa-se a nova célula de trabalho resultante do nivelamento das três operações. Figura 4.13 - Célula de trabalho resultante do balanceamento para Porta inferior (T/C = 13,2 min/9 peças) Fazendo a mesma análise para o segundo caso estudado, representam-se na Figura 4.14 os tempos de ciclo (em segundos) das diversas máquinas para a produção de 3 peças (Traseira). Como é possível observar, estes tempos também variam consideravelmente e não são constantes mesmo dentro do próprio processo. No caso do Corte e Vinco CNC faz sentido a utilização de lotes para movimentação dos subcomponentes porque os seus tempos de ciclo são bastante reduzidos e as peças de pequenas dimensões; novamente o processo de Zincagem deve ser tratado independentemente. Por outro lado, se se atentar nos processos da Shlatter e da Guilhotina, pode-se procurar balancear a sua produção especialmente com a constatação de que o segundo processo é exclusivamente utilizado para dar seguimento ao primeiro ou seja, a guilhotina é uma operação que corta alguns excessos de arame das malhas produzidas na Shlatter. Soldadura Pontos PM Ideal Tico -Tico PM Ideal + Sold.pontos + Tico-Tico (seg.)
  • 119.
    95 Figura 4.14 -Tempos de ciclo para a Traseira (segundos) Tendo em consideração que existem tempos de sobra no processo de guilhotina em relação à Shlatter e que estas duas máquinas se encontram adjacentes uma à outra, faz sentido organizar estes dois processos numa célula de trabalho da seguinte forma: 1. O trabalhador da Guilhotina utilizará os tempos de sobra até um valor que não exceda o tempo de ciclo da Shlatter (Figuras 4.15) para efetuar o transporte dos subcomponentes entre as duas máquinas; Figura 4.15 - Balanceamento da produção para a Traseira (segundos) Apesar de esta forma de balanceamento ter sido estudada utilizando os tempos de ciclo para a produção de três peças, tal como no primeiro exemplo deve, no entanto, ser tido em conta que o balanceamento pode também ser efetuado para outras quantidades desejadas. Esta quantidade deve ser determinada pelo lote que o operador consegue transportar para o processo seguinte de uma forma eficiente, Uma vez efetuado o balanceamento, a partir do PM considera-se que estes dois processos funcionam como uma célula com 2 operadores, e após a conclusão de uma operação, o lote determinado de transporte é diretamente encaminhado para o processo seguinte num fluxo contínuo. No mapa futuro a representação da célula faz-se pela combinação destes dois processos num só cujo tempo de ciclo 220 132 88 SHLA T T ER GUILHOT INA Tempo de ciclo Tempo de sobra 0 50 100 150 200 250 Corte Vinco CNC Shlatter Guilhotina Ideal Zincagem OP 1 OP 2
  • 120.
    96 agregado é de3,6 minutos para 3 peças. Na Figura 4.16 representa-se a nova célula de trabalho resultante do balanceamento das três operações. Figura 4.16 - Célula de trabalho resultante do balanceamento para Traseira (T/C = 3,6 min/3 peças) Com a criação das células de trabalho resultantes do balanceamento efetuado para a Porta Inferior e Traseira, podem-se obter os seguintes resultados e benefícios:  Funcionamento de vários processos como uma célula;  Produção de um lote de subcomponentes que após operação num processo é imediatamente encaminhado para o seguinte sem estagnação entre eles;  Redução do Lead Time e do WIP entre os processos;  Dispensa de trabalho para o operário que atualmente efetua o transporte entre os processos;  Redução de um operário no caso da Porta Inferior. Com a criação de células de trabalho devido ao balanceamento das operações é possível reduzir de forma significativa o Lead Time nos processos estudados, para o lote completo, nomeadamente em 6,5% no caso da Porta inferior e em 17,4% no caso da Traseira, tal como indicado no Quadro 4.16. Shlatter Guilhotina Shlatter + Guilhotina
  • 121.
    97 Quadro 4.16 -Redução do Lead Time com balanceamento 4.4.3.6.1 Processo de Zincagem Como referido anteriormente, este processo é um caso específico pois é extremamente complicado introduzir fluxo contínuo no mesmo. No entanto, é possível aplicar uma sequenciação com FIFO para garantir uma melhor continuidade do fluxo dos produtos e tornar mais fácil a gestão deste processo que, servindo todos os produtos da fábrica, se torna por vezes pouco claro e atua de forma descoordenado da restante cadeia de valor (Figura 4.17). Figura 4.17 - Sequenciação FIFO no processo de Zincagem 4.4.3.7 (4) Onde implementar supermercados com sistemas Pull? Em modelos HM a utilização deste sistema de supermercados com sistema Pull pode ser muito dispendiosa se a variabilidade de componentes produzidos for elevada. Por outro lado, os diferentes Lead Time tornam o sistema muito difícil de reabastecer corretamente devido ao facto de haver muitas rotas distintas para diferentes produtos. A sua utilização depende de uma análise prévia da variedade de componentes a ser produzida uma vez que este sistema visa controlar a produção nos processos antes do PM. Baseando-se nas necessidades do cliente, que neste caso seria o processo IDEAL, verifica-se que o facto de quase nenhum produto ser igual (uma vez que existe elevada personalização do cliente), de a quantidade de produtos necessários nunca ser a mesma e de existir uma total imprevisibilidade na procura determina que a utilização deste sistema não é viável no ambiente HM em questão. Variável PortaInferior Traseira Lead Time atual IDEAL, Soldadura p., Tico-tico Shlatter, Guilhotina 14,04 dias 11,94 dias Lead Time com balanceamento IDEAL+Soldadura p.+Tico-tico Shlatter+Guilhotina 13,13 dias 9,87 dias Redução Lead Time 6,5% 17,4% Zincagem FIFO
  • 122.
    98 4.4.3.8 O casoespecial da matéria-prima Em relação à matéria-prima, a FARAME efetua, na atualidade, revisões periódicas (não necessariamente a intervalos de tempo regulares) dos seus stocks, entregando a responsabilidade de realizar o inventário a um dos chefes de equipa que necessita de algumas horas para o fazer. Após a realização do inventário, o responsável entrega o mesmo ao departamento de compras que toma as decisões necessárias em termos das necessidades de aprovisionamento. Verifica-se, portanto, que não existe um controlo fiável dos stocks devido à falta de rigor da periocidade das revisões e que esta atividade toma bastante tempo ao chefe de equipa. Por este motivo a aplicação de Kanban é uma solução passível de ser utilizada para transmitir informação ao departamento de compras da empresa que, por sua vez, processará a informação e interagirá com os fornecedores. O funcionamento deste sistema consiste na anexação de um Kanban de retirada em cada rolo de arame que chega do fornecedor e, após a utilização do mesmo, o Kanban é enviado ao departamento de compras que pode desta forma tomar decisões quanto às encomendas de acordo com os consumos reais de matéria-prima. Após a colocação de uma encomenda, o departamento de compras envia o Kanban correspondente para as docas de receção de matéria-prima que são colocados numa caixa, ou algo semelhante, divididas por dias, sinalizando o que vai chegar às docas e as datas de receção previstas. A representação deste sistema pode ser observada na Figura 4.18, onde se mostra que o processo de corte envia o Kanban do arame utilizado ao departamento de compras que, posteriormente, comunica com o fornecedor. Figura 4.18 - Funcionamento do Sistema com Kanban para matéria-prima Corte Fornecedor MRP Planeamento e controlo da produção ArameX
  • 123.
    99 4.4.3.9 (6) Comonivelar o mix de produção no Pacemaker? O Nivelamento da produção é um dos principais fatores que tornam uma cadeia de valor Lean. Consiste na produção dos diferentes tipos de produtos ao longo de determinado tempo, seguindo uma sequenciação determinada em vez de a produção se fazer por grandes lotes do mesmo produto. Este sistema implica, necessariamente, a utilização de supermercados Pull e resulta numa maior flexibilidade para garantir as necessidades dos clientes bem como um Lead Time mais reduzido. Aplicando esta metodologia ao caso prático em estudo, poder-se-ia ter algo semelhante ao esquema indicado na Figura 4.19, utilizando para exemplificar o processo da IDEAL e uma calendarização possível. PS PI T B L PS PI T B L PS PI T B L Figura 4.19 - Exemplo de balanceamento da produção na IDEAL A utilização desta forma de calendarização poderia ser útil porque garantiria um Lead Time mais reduzido ao produto final, uma vez que no processo de montagem ter-se-ia a chegada sequencial de todos os componentes do produto e seria possível iniciar a sua montagem mais cedo. No entanto, avaliando a situação atual da fábrica e as condições existentes conclui-se que não é possível introduzir um sistema deste género pelos seguintes motivos:  Apesar de cada um destes componentes necessitar de uma operação na IDEAL, diverge um pouco nos processos seguintes, o que implica que não seja possível balancear a sua produção como abordado na questão 3 pelo fato de não haver capacidade disponível para o fazer. A título de exemplo pode considerar-se a seguinte situação: é terminada uma unidade de Porta Superior na IDEAL e esta é encaminhada para os processos em fluxo seguintes balanceados para o seu caso em concreto; de seguida é terminada uma unidade de Laterais da IDEAL, mas os processos seguintes não são exatamente os mesmos e o balanceamento não se dá da mesma forma. Como este haverá muitos outros exemplos, o que demonstra que é inviável proceder desta forma para todos os componentes do produto;  Este sistema implica a utilização de supermercados Pull, o que obrigaria à constituição e manutenção de stocks a um nível insuportável; 1 contentor1 contentor 1 contentor
  • 124.
    100  Esta sequenciaçãoda produção implica operações de Setup muito rápidas; ora a observação das operações de Setup permitiu concluir que em máquinas como a IDEAL estas podem demorar até 5 horas, tornando inviável o balanceamento no Pacemaker; 4.4.3.10 (7) Qual a taxa de produção no Pacemaker? Definir uma taxa de produção no PM implica uma noção de Takt time e a utilização de sistemas de supermercado Pull. Por outro lado, reduz necessariamente a flexibilidade exigidas em modelos HM o que tornaria inviável este tipo de produção. Por esse motivo não é adequado definir uma taxa de produção neste processo tendo em conta o contexto atual da empresa. 4.4.3.11 Síntese da análise efetuada através da utilização das linhas orientadoras para definição do mapa futuro A análise das linhas orientadoras a atender para definição do mapa futuro permitiram determinar alguns aspetos importantes a incorporar nas propostas de melhorias a efetuar para os componentes estudados. No Quadro 4.17 diferenciam-se as abordagens da metodologia Lean que foram retidas para definir o mapa futuro dos processos estudados daquelas que se verificou não serem passíveis de serem aplicadas e que, por isso, requerem uma abordagem adaptada. Quadro 4.17 - Avaliação das questões consideradas para definição do mapa futuro Questões paradefinir o mapafuturo 1 - Qual é o Takt time? X 2 - A produção deve seguir para um supermercado de produtos acabados oudiretamente para o processo seguinte? √ 3 - Onde implementar um fluxo de processoscontínuo? √ 4 - Onde implementar supermercados com sistemas Pull? X 5 - Em que ponto do fluxo calendarizar a produção? √ 6 - Como nivelar o mix de produção no Pacemaker X 7 - Qual a taxa de produção no Pacemaker? X 8 - Que melhorias nos processosserão necessárias? √
  • 125.
    101 (5) ;(2) Deuma forma resumida foi definido um processo PM onde passará a ser calendarizada a produção. Esta calendarização deverá dar-se por ordens de fabrico sequenciadas e a gestão do trabalho deverá ser auxiliada, por exemplo, através da utilização de quadros FIFO e/ou “Day-By-Hour”. Após o PM a produção deverá ser encaminhada para os processos num fluxo contínuo ou FIFO. (3) Foram criadas células de trabalho balanceadas para permitir um fluxo contínuo em determinados pontos, com diferenças nos dois casos estudados, que irão contribuir para a redução do Lead Time, e foi introduzido um sistema equivalente aos cartões Kanban para controlo da matéria-prima. Quanto à metodologia de entrada no processo de Zincagem, esta far-se-á de acordo com uma sequenciação FIFO. No entanto, algumas das linhas orientadoras (1, 3, 6 e 7) não podem ser aplicadas devido ao sistema produtivo da empresa e, por esse motivo, existe a necessidade de analisar de que forma se pode introduzir um sistema equivalente aos Supermercados Pull para que seja possível resolver outros problemas, como lidar com o mix de produção no PM e qual a sua taxa de produção. É preciso, sobretudo entender, de que forma pode ser substituída a produção ao ritmo de Takt time por sistemas baseados nas encomendas reais dos clientes, nomeadamente o funcionamento da calendarização no PM. (8) A questão relativa às melhorias necessárias nos processos será abordada no final após definição a definição da globalidade de propostas de melhoria a implementar. Foi possível com a análise efetuada dar indicações para a resolução de alguns problemas através da atenuação das fontes de desperdícios identificadas no Quadro 4.14 e os pontos onde não foi possível atuar serão analisados com base em outras perspetivas/ferramentas, nomeadamente através de abordagens comumente utilizadas em sistemas High Mix e através da ferramenta 5S. 4.4.3.12 Análise 5S 4.4.3.12.1 Organização A análise do dia a dia de trabalho na empresa permitiu detetar algumas dificuldades no desempenho de atividades com origem em deficiente organização e manutenção do espaço, em falta de disciplina no cumprimento e utilização de procedimentos internos e, ainda, na inexistência de alguns procedimentos considerado extremamente importantes. Tal como foi analisado no Quadro 4.14, em que se relacionam os aspetos organizacionais/fontes com os desperdícios identificados, estas situações podem estar na origem de alguns problemas que afetam o fluxo de valor, e também, o próprio processo, que originam desperdícios de espera e transporte/movimentos desnecessários. Por este motivo, com o objetivo de estudar mais profundamente esta questão, tornou-se evidente que a utilização da ferramenta 5S poderia ajudar a expor algumas situações mais visíveis na área da organização com o propósito de detetar em que medida é estas poderiam estar na origem de desperdícios
  • 126.
    102 ou contribuir parao agravamento dos mesmos. Diversos autores defendem que esta é a melhor ferramenta para analisar situações relacionadas com problemas de organização e para a explicitação de algumas situações mais superficiais que afetam a eficiência e eficácia dos processos e organizações. No caso prático estudado, foram tidos em consideração os seguintes aspetos que influenciaram a sua utilização:  Apesar de a ferramenta 5S se reger por princípios bastante simples, e aparentemente evidentes, estes podem resultar em grandes benefícios para a empresa se foram devidamente implementados e melhorar significativamente o ambiente das instalações;  Trata-se de uma análise das condições do espaço de trabalho que está sistematizada e fornece uma metodologia planeada de análise e resultados quantitativos, permitindo também retirar conclusões qualitativas;  Permite estabelecer objetivos pontuais e avaliar a evolução das condições na empresa ao longo do tempo, comparando-as com a situação inicial ou ideal;  Demonstra ser aplicável em qualquer tipo de indústria e para diversas situações, independentemente da dimensão da empresa ou tipo de produção. 4.4.3.12.2 Análise e documentação Para a realização da análise 5S foi utilizada o formulário fornecido pela Production Automation Corporation - 5S/visual Workplace Handbook, que se apresentar no Anexo III ao presente documento, tendo a análise recaído sobre os seguintes quatro processos: Corte, Vinco CNC, Balancé e Shlatter. O formulário encontra-se dividido em cinco princípios distintos para análise independente das condições do local de trabalho, sendo atribuída uma pontuação de uma escala que varia entre 0 e 5 de acordo com a apreciação efetuada, sendo que uma pontuação de 0 significa total inconformidade com o princípio analisado, e 5 significa a total conformidade. Uma pontuação elevada significa uma maior conformidade com os princípios 5S e uma menor pontuação indica a necessidade de serem implementadas melhorias. No Quadro 4.18 apresentam-se os cinco princípios do 5S utilizados para a análise e os respetivos conceitos associados.
  • 127.
    103 Quadro 4.18 -Princípios 5S Princípio Conceito Propósito Utilização/seleção Separação do desnecessário Espaço de trabalho mais desimpedido Limpeza Remoção de resíduos e sujidade, e remoção das suas fontes Espaço de trabalho limpo Ordem Funcionalidade Espaço de trabalho visualmente instrutivo Estandardizar Estabelecer padrões e procedimentosinternos Manter melhorias no espaço de trabalho Sustentar Expandir e refinar o 5S Melhoriacontínua 4.4.3.12.3 Resultados Seguindo os princípios da ferramenta 5S foi possível detetar situações que reforçam a ligação entre a fonte (organização) e os problemas daí resultantes, fundamentados pelos resultados quantitativos e qualitativos da análise. As pontuações atribuídas para cada um dos princípios da análise 5S que se sistematizam no Quadro 4.19, evidenciam grandes lacunas, uma vez que a pontuação atingida em cada um dos quatro processos foi de 9, numa escala cujo valor máximo possível é 25. Verifica-se globalmente que, quer ao nível de procedimentos internos quer ao nível da separação de material desnecessário, existe uma óbvia necessidade de melhorar as condições existentes. Por outro lado, constata-se que os princípios de limpeza e ordem no local de trabalho são francamente negligenciados uma vez que a nenhum dos processos foi atribuído um único ponto nestes princípios, considerando-se que a funcionalidade das instalações está a ser afetada e os espaços de trabalho estão claramente sujos gerando desperdícios de esperas e transporte/movimentos desnecessários. Quadro 4.19 - Resultados quantitativos da análise 5S Princípio Corte Vinco CNC Balancé Shlatter Utilização/seleção 2 4 1 2 Limpeza 0 0 0 0 Ordem 0 0 0 0 Estandardizar 3 1 4 3 Sustentar 4 4 4 4 Total 9 9 9 9 Na Figura 4.20 apresentam-se resumidamente alguns elementos que documentam a análise efetuada que descrevem aspetos particulares da situação atual.
  • 128.
    104 Figura 4.20 -Explicitação de alguns aspetos identificados na análise 5S 1 - UTILIZAÇÃO/SELEÇÃO (codificação e avisos) A codificação das máquinas é defeituosae incoerente e os avisos de segurança existentes não são visíveis ou são maioritariamente inexistentes. Não estáintroduzido um sistemafiável de controlodos stocksdaempresaou de produção visual- Codificaçãode máquina praticamente nãovisível 2 - LIMPEZA Os locais de trabalho não estão limpos. Local de trabalhosujoe desarrumado 3 - ORDEM (cont.) Não existe qualquer tipo de organização (e correspondente sinalização) nomeadamente paracolocação de ferramentas e outros componentes(muitas ferramentas não estão no local de trabalho quando necessário), para colocação de stocks, paracolocação de equipamentos móveis e paletes, entre outros. Não existe marcação de linhas no chão da fábrica para demarcação de áreas de circulação e de armazenamento. Inexistênciade organizaçãovisual Ausência de marcaçãode linhas no pavimento ou de zona para stocks
  • 129.
    105 3 - ORDEM(cont.) Inexistênciade organizaçãonas zonas destinadas a arrumação Inexistência de organizaçãonos locais de trabalho 4 - ESTANDARDIZAÇÃO DE PRÁTICAS E SINALÉTICA Não existe estandardização para processosde trabalhos ouavisos, ou modo de armazenamento de peças produzidas, sendo geralmente o armazenamento feito no contentoroupalete mais próxima/fácil acesso. Armazenamentoem paletepartida Diferentesmétodos de armazenamento 5 - SUSTENTAR Não existe culturade organização e manutenção da mesma. As situações verificadas durante a análise e os resultados quantitativos permitem sustentar que o fluxo de valor dos produtos e os processos na fábrica podem estar a ser afetados devido a problemas relacionados com a organização. Desta forma, a necessidade de melhorar as condições existentes no posto de trabalho a vários níveis, bem como nas instalações no geral, é uma necessidade, em primeiro lugar, para marcar o passo na iniciação de algumas mudanças na empresa, em segundo lugar, para facilitar a integração de medidas novas e, por ultimo, para melhorar o fluxo de valor dos produtos e os processos para reduzir desperdícios.
  • 130.
    106 Existem algumas áreasque exigem maior prioridade na implementação de melhorias e por esse motivo deverá ser concebido um programa 5S especialmente para atender a estas necessidades e para as priorizar. 4.4.4 KAIZEN EM AMBIENTES HM O propósito da análise efetuada ao estado atual de uma família de produtos está relacionado com a necessidade de a empresa se aproximar aos princípios Lean e iniciar a construção de fundações que lhe permitam criar um processo de melhoria contínua dentro da organização. No entanto, tal como já foi abordado anteriormente, existem muitos princípios inerentes a esta abordagem que não são aplicáveis diretamente no caso estudado porque a empresa se insere num ambiente produtivo HM e existem, também, outros princípios que foram estudados, mas que necessitam de ser aprofundados para garantir o seu correto funcionamento. Por este motivo foram estudados os conceitos inerentes ao Made-to-Order Lean como tentativa de obtenção de soluções plausíveis para este contexto. No Quadro 4.20 estão representadas as fontes de desperdícios não solucionadas (ou apenas parcialmente) pelo Lean tradicional e os respetivos problemas remanescentes e a abordagem Made-to- Order Lean proposta para a sua resolução. Quadro 4.20 - Fontes de desperdícios e abordagem Made-to-Order Lean Fonte Problema Abordagem Made-to-Order Lean Calendarização Modo de garantir a sequenciação. Gestão visual e quadro FIFO Comunicação Impossibilidade de utilizar supermercados Pull para comunicação a montante do PM Cartões POLCA WIP Balanceamento possível apenas em pequenas partes do fluxo de valor; valor ainda muito elevado. Cartões POLCA Lead Time Balanceamento possível apenas em pequenas partes do fluxo de valor; valor ainda muito elevado. Cartões POLCA Mix de produtos Elevada diversidade de produtos e dificuldade em criar fluxo de valor partilhado. Cartões POLCA Tendo sido sugerido que a calendarização da produção passasse a fazer-se no processo PM, torna-se, ainda, necessário procurar uma solução que garanta a sequenciação da produção neste ponto.
  • 131.
    107 Quanto à comunicação,esta deve dar-se idealmente apenas neste processo embora, a impossibilidade de utilização de Supermercados Pull com um sistema de Kanban implica que os processos a montante ainda se rejam por uma metodologia Push. No que diz respeito ao WIP e ao Lead Time, o balanceamento da produção em determinados pontos permite a sua redução, mas, ainda assim, o restante fluxo de valor incorre em desperdícios, sobretudo a montante do PM. Por último, o elevado mix de produtos, que efetivamente está na origem de muitos destes problemas, não tem uma solução determinada que permita a partilha do fluxo de valor e a redução de muitos desperdícios inerentes ao funcionamento atual da fábrica. Isto significa que terá, necessariamente, que ser estabelecido um compromisso com vista à otimização dos processos, considerando os condicionamentos inerentes a esse ambiente de produção em estudo. 4.4.4.1 Calendarização da produção no Pacemaker Para adotar a calendarização da produção no PM, a alternativa mais adequada é a utilização de um “Quadro FIFO” que se baseia na aplicação da metodologia de planeamento FIFO e que consiste numa ferramenta visual e facilmente apreendida e utilizada por qualquer envolvido no planeamento e na produção. A utilização deste quadro pretende garantir a sequenciação neste ponto e o acompanhamento da produção por parte de todos os envolvidos. Esta metodologia de planeamento baseia-se na colocação de ímanes, ou qualquer elemento semelhante, num quadro que sintetiza o estado dos trabalhos e em que cada cor de íman representa uma obra emitida pelo planeamento da produção, e cada íman representa o lote de transporte definido para essa obra (existe um local com ímanes extra, se necessário). Este lote de transporte, já abordado no subcapítulo 4.4.3.6, representa uma quantidade determinada pelo planeamento da produção que o operador consegue transportar para o processo seguinte de uma forma eficiente. Este quadro, a ser instalado no PM, que no caso prático estudado se localiza na máquina IDEAL, contém três variáveis:  Trabalho em espera;  Trabalho em curso;  Trabalho completo. O quadro contém uma quarta variável informativa para cada obra, indicada no quadro FIFO, que explicita claramente qual é o produto a efetuar, o lote de transporte definido para a obra e o tempo de produção do mesmo.
  • 132.
    108 4.4.4.1.1 Trabalho emespera O trabalho em espera representa o trabalho que é necessário realizar para terminar uma obra. No início de cada turno (ou outro horizonte temporal desejado), os ímanes são retirados da caixa de ímanes extra e colocados na fila de trabalhos em espera de acordo com a priorização estabelecida pelo departamento de planeamento, tal como representado na Figura 4.21. Figura 4.21 - Funcionamento do quadro FIFO/trabalho em espera A adoção deste tipo de técnica apresenta as seguintes características e vantagens:  O tamanho da fila de trabalho em espera baseia-se nos tempos estimados para a produção do subcomponente;  Permite deduzir o tempo necessário para terminar a obra em curso;  Permite observar quantas unidades estão em espera para iniciar o trabalho. Para exemplificar a utilização deste quadro toma-se como exemplo o caso estudado da Porta Inferior. Supõe-se que o departamento de planeamento decidiu que o lote que deve ser produzido e transportado da IDEAL para o processo seguinte é de 9 unidades e emitiu uma ordem de produção de 90 unidades (para esta obra destinou-se a cor verde). Relembrando o balanceamento que foi efetuado para a produção deste componente (Figura 4.22), verifica-se que em cada 13,2 minutos se espera que sejam produzidas e transportadas para o processo seguinte 9 unidades. Figura 4.22 - Nivelamento da produção Porta inferior 648 585 207144 IDEA L SOLDA DURA PONT OS + T ICO- T ICO Tempo de ciclo Segunda máquina Tempo de sobra
  • 133.
    109 Neste caso oquadro FIFO teria o aspeto indicado na Figura 4.23. Figura 4.23 - Exemplo de funcionamento do quadro FIFO (trabalho em espera) A observação do quadro com este aspeto e das variáveis informativas para esta obra permitiria entender rapidamente que:  Irão ser produzidas 90 unidades;  A duração esperada de produção é de (13,2*9) 119,7 minutos;  Irá entrar em produção o produto Genérico; 4.4.4.1.2 Trabalho em curso O trabalho em curso representa o trabalho que está a ser efetuado no momento. Colocam-se os ímanes de trabalho em espera para trabalho em curso quando se inicia um novo turno (ou qualquer outro horizonte temporal desejado). Neste caso o quadro FIFO teria o aspeto indicado na Figura 4.24. Figura 4.24 - Exemplo de funcionamento do quadro FIFO (trabalho em curso) A adoção deste tipo de quadro apresenta as seguintes características e vantagens:  Permite observar quantas peças se esperam produzir (por exemplo de manhã);  Permite observar a cadência da produção;  Estabelece objetivos produtivos de uma forma visível a todos. Lote de transporte: 9 Unid Tempo/lote: 13,3 min Produto: Genérico
  • 134.
    110 4.4.4.1.3 Trabalho completo Otrabalho completo representa o trabalho que foi terminado durante o turno (ou outro horizonte tem poral desejado). Terminado o turno, ou quando aplicável, retiram-se os ímanes correspondentes ao trabalho em curso e coloca-se no local correspondente ao trabalho terminado. Neste caso o quadro FIFO teria o aspeto indicado na Figura 4.25. Figura 4.25 - Exemplo de funcionamento do quadro FIFO (trabalho completo) A aadoção deste tipo de quadro apresenta as seguintes características e vantagens:  Quando se inicia um novo turno, retiram-se os ímanes na zona de trabalho terminado para o quadro de ímanes extra;  Após o fim do turno permite detetar atrasos facilmente e eventuais problemas verificados;  Permite observar o trabalho efetuado durante o turno de trabalho;  Permite observar se os objetivos produtivos foram cumpridos. 4.4.4.1.4 Benefícios da utilização do quadro FIFO Um sistema de gestão visual de pendências e do ponto de situação dos trabalhos que apresenta os seguintes benefícios principais:  Facilita a gestão da produção em tempo real, tanto ao nível da fábrica como ao nível do departamento de planeamento;  Permite que todos apreendam/compreendam de forma rápida o estado do sistema;  Facilita a garantia a priorização dos trabalhos;  Confere mais precisão às estimativas ou tempos padrão dos processos (com consequências no planeamento);  Facilita a avaliação e medição de ganhos ou perdas de produtividade;  Incentiva os trabalhadores a registar os problemas que causam atrasos;  Permite entender claramente o estado dos processos e proceder a eventuais ajustamentos de mão-de-obra (por exemplo reforços pontuais quando o trabalho está em espera).
  • 135.
    111 4.4.4.1.5 Aplicabilidade dasolução ao caso em estudo A utilização dos quadros FIFO implicam a utilização de cores para identificação das diferentes obras, situação esta que já se verifica atualmente como tentativa de controlar as rotas dos subcomponentes e componentes dentro das instalações. Cada subcomponente tem uma cor anexada para rápida identificação da obra a que pertence, pelo que o sistema sugerido do quadro FIFO constitui uma extensão que parece ser perfeitamente viável para controlo da produção no PM. 4.4.4.2 Comunicação e mix de produtos Como foi abordado anteriormente, um sistema clássico de Pull não se adequa à situação atual da empresa. Este sistema, apesar de fazer parte da abordagem tradicional do Lean que se baseia na criação de um fluxo através da sincronização dos processos da fábrica ao ritmo de Takt time, não é válido porque, num ambiente de elevada variabilidade, as exigências diárias das diferentes máquinas podem ser tão diferentes que a produção ficaria desequilibrada, podendo gerar ainda mais desperdícios. Por outro lado, neste sistema, quando um produto é consumido são utilizados Kanbans para reabastecimento o que, para uma empresa que faz centenas de produtos, isto implicaria a constituição de stocks desmesurados. 4.4.4.2.1 Cartões POLCA Pelos motivos anteriormente expostos, no contexto atual da empresa é mais indicado considerar a utilização de um sistema de cartões POLCA a montante do PM, o que é particularmente adequado para ambientes HM, e por se verificarem as seguintes condições que justificam o recurso a esta ferramenta:  O Lead Time dos componentes estudados é ainda elevado e este sistema dentro da abordagem QRM permite a redução do valor deste indicador;  O valor do WIP nas instalações é muito elevado e é necessário introduzir uma forma de controlar este problema;  A utilização de cartões POLCA permite, em grande parte, lidar com o elevado mix de produtos porque está indicado especialmente para este tipo de situações;  Já existe um sistema MRP na empresa, essencial para introdução dos cartões;  É possível determinar rotas de produtos estáveis;
  • 136.
    112 4.4.4.2.2 Determinação doscírculos POLCA Para conceber o sistema de cartões POLCA é importante entender quantas células de trabalho vão estar incorporadas. No caso estudado estabeleceu-se um círculo para cada tipo de processo, designadamente o Corte, o Vinco CNC, a Shlatter e a IDEAL, tal como indicado na Figura 4.26. Movimentação possível Figura 4.26 - Células de trabalho e movimentações possíveis As movimentações/emparelhamentos possíveis neste caso são as seguintes, tal como representado na Figura 4.27:  Corte - Shlatter;  Shlatter - IDEAL;  Vinco CNC - IDEAL;  Corte - IDEAL Figura 4.27 - Cartões POLCA estabelecidos para o caso estudado Corte - Shlatter Vinco CNC - IDEAL Shlatter - IDEAL Corte - IDEAL PM IdealShlatter Corte Corte Vinco CNC Corte
  • 137.
    113 Seguindo os conceitosinerentes ao Sistema POLCA, passarão a existir quatro cartões diferentes, cada um dos quais relativo a uma possibilidade de trajeto. Cada um deste cartões simboliza, dentro da fábrica, uma “obra” que pode corresponder a um número variável de subcomponentes a produzir. Estabelecidas a células de trabalho e as movimentações possíveis, o sistema passa a funcionar, por exemplo, da seguinte forma:  O processo de Corte recebe uma autorização de fabrico para produzir X unidades e enviá-las para a Shlatter;  Se existir um cartão correspondente ao emparelhamento Corte-Shlatter disponível no primeiro processo significa que este pode iniciar a produção de acordo com a autorização de fabrico; se não existir nenhum cartão correspondente, então a produção não pode ser iniciada e deverá ser adiada para quando estiver um cartão correspondente a este emparelhamento disponível;  Caso não exista nenhum cartão disponível, o operador deverá verificar qual a autorização de fabrico seguinte por exemplo, produzir Y unidades para a IDEAL;  Se existir um cartão correspondente ao emparelhamento Corte-IDEAL então a produção poderá ser iniciada e expedida de acordo com a autorização de fabrico. 4.4.4.2.3 Número de cartões por emparelhamento A questão relativa ao número de cartões POLCA para cada emparelhamento será abordada no Capítulo 5. 4.5 MAPEAMENTO DO ESTADO FUTURO A conceção do mapa do estado futuro tem como base as mesmas circunstâncias que presidiram à elaboração do mapa de estado atual, ou seja, os componentes mapeados são os mesmos e o fluxo de valor é equivalente. No entanto, neste novo mapa será representado o fluxo de valor dos componentes com a inclusão das sugestões de melhoria, representando, portanto, o funcionamento do sistema num estado ideal. A conceção de um mapa futuro ideal para o fluxo de valor analisado tenderá a ser mais simples do que o atual e a ter menos redundâncias uma vez que serão eliminadas algumas atividades que se configuram como desperdícios, tal como evidenciado na análise dos eventos Kaizen. 4.5.1 DESCRIÇÃO E APRESENTAÇÃO DOS MAPAS Para o estado futuro ideal propôs-se a criação de células de trabalho em certos pontos que incluem diversas operações, tanto quanto possível, balanceadas, constituídas por três operadores, no caso da Porta inferior, e dois operadores, no caso da Traseira, com funções diferentes. Nestas células de trabalho a produção dá-se em fluxo contínuo com as peças a serem movimentadas em pequenas quantidades de
  • 138.
    114 uma operação paraa outra, reduzindo os tempos de espera de lotes acabados e, consequentemente, do Lead Time do produto e do WIP no sistema. A comunicação passa a ser efetuada apenas ao PM e aos processos a montante do mesmo embora a calendarização seja apenas efetuada para o primeiro, recorrendo, para o efeito, a um quadro FIFO que garanta a sequenciação das “obras”. A partir deste ponto não existe comunicação entre os processos e o planeamento porque o fluxo se processa de uma forma contínua. Para o processo de Zincagem a entrada de produtos dá-se de acordo com a metodologia FIFO. Do PM para montante, o sistema é controlado por cartões POLCA de forma a aproximar as necessidades dos processos seguintes com o seu ritmo de produção e garantir alguma estabilidade num ambiente HM. Existe, desta forma, um equilíbrio entre as metodologias Pull/Push e uma maior ligação entre os processos, sendo esperado obter reduções do Lead Time e WIP no sistema. O controlo da matéria-prima funciona com um sistema de supermercados Pull para os processos de Corte e Vinco CNC através da utilização de Kanbans que são controlados pelo departamento de planeamento e controlo da produção. As Figuras 4.28 e 4.29 representam, respetivamente, os mapas do estado futuro ideal da Porta inferior e da Traseira do Contentor de arame. 4.5.2 RESULTADOS ESPERADOS PARA O CASO PRÁTICO EM ESTUDO No Quadro 4.21 sistematizam-se e confrontam-se as condições que se verificam no estado atual e os resultados esperados para o caso em estudo em resultado da implementação das propostas de melhorias para cada aspeto organizacional ou fonte de desperdício.
  • 139.
    115 Figura 4.28 -Mapa do estado futuro ideal da Porta Inferior do contentor de arame Montagem PM Ideal + Sold.pontos + Tico-Tico Shlatter Corte Corte Vinco CNC Corte Fornecedor MRP Planeamento e controlo da produção Zincagem SH/ID C/ID CNC/ID C/ID C/ID FIFO
  • 140.
    116 Figura 4.29 -Mapa do estado futuro ideal da Traseira do contentor de arame Montagem Zincagem PM IdealShlatter + Guilhotina Corte Corte Vinco CNC Vinco CNC FIFO Fornecedor MRP Planeamento e controlo da produção CNC/ID CNC/ID SH/ID C/SH C/SH
  • 141.
    117 Quadro 4.21 -Fontes de desperdícios e confrontação dos estados atuais e futuros Fonte Estado Atual Estado futuro Cultura de valor O fluxo de valor é desconectado; cada processo funciona de acordo com aquilo que é melhor na perspetiva do próprio processo. Com a introdução de algumas sugestões, nomeadamente os cartões POLCA e o balanceamento da produção para garantir um fluxo contínuo em alguns processos, a execução de operações passa a estar mais relacionadas com a criação de valor para o produto e não para os processos isoladamente. É possível reduzir o seu Lead Time e ter um controlo mais eficiente do WIP, reduzindo desperdícios que retiram valor ao produto, e obter uma maior ligação entre os processos e estabelecida uma relação benéfica entre Pull/Push. Organização As instalações estão muito desorganizadas, as ferramentas estão em locais incertos e faltam procedimentos internos para diversas situações que originam muitas ineficiências ao nível do fluxo e do processo. Com a alteração das condições existentes nas instalações atuais e a criação de uma mentalidade de mudança e de promoção de melhorias, as propostas terão consequências no aumento da eficiência dos trabalhadores no desempenho das suas funções quotidianas. Bottleneck Processo cria esperas e limita os restantes processos. Com a definição do PM no processo da IDEAL, o ritmo produtivo da fábrica passa a estar dependente deste, o que implica a redução do stock em espera no sistema. Esta alteração significa que o BN passa a determinar o ritmo produtivo. Calendarização O planeamento da produção é efetuado de acordo com a previsão de estados futuros e é regularmente alterado. A calendarização passa a ser efetuada apenas no PM em conjugação com os cartões POLCA e, portanto, todos os processos a montante passam a produzir com base nas necessidades do Pacemaker.
  • 142.
    118 Comunicação A informação transmitidaa cada processo individualmente originando um fluxo Push. As alterações propostas irão alterar o fluxo de comunicação que atualmente ocorre entre o planeamento da produção e todos os processos da fábrica com frequentes alterações e confusões para os trabalhadores. A comunicação entre o planeamento da produção passará a ser efetuada apenas para o PM, tendo como consequência uma aproximação à produção de acordo com as necessidades reais. A comunicação com os processos a montante deste ponto passará a ser efetuada pelo sistema de cartões POLCA. WIP Verificam-se grandes acumulações de WIP e esperas elevadas. A introdução do balanceamento da produção e dos cartões POLCA resulta na produção em fluxo contínuo em alguns pontos sem a existência de esperas entre processos e de um melhor controlo deste valor a montante do PM. Lead Time O Lead Time muito elevado em relação ao tempo total de processamento. A introdução do balanceamento da produção e a introdução dos cartões POLCA resulta na produção em fluxo contínuo em alguns pontos com um valor de Lead Time mais reduzido. Mix de produtos São produzidos uma muito grande diversidade de produtos e existe dificuldade em criar fluxo de valor partilhado com Lean tradicional. A introdução de cartões POLCA assegura uma melhor coordenação entre os processos e permite maior flexibilidade em ambientes HM sem a acumulação de stocks indesejados. O seu funcionamento implica alguns benefícios de um sistema Pull, mas sem os custos inerentes ao tipo de produção da empresa.
  • 143.
  • 144.
    120 5 TRANSPOSIÇÃO DOCASO PARTICULAR ESTUDADO PARA A GLOBALIDADE DA EMPRESA O estudo do fluxo de valor anteriormente apresentado para um produto específico da família dos contentores de arame produzidos na FARAME visou obter um diagnóstico, tendo sido testada a aplicabilidade de ferramentas e conceitos Lean tradicionais, e tendo sido complementada esta análise com o recurso a outras ferramentas de estudo mais adequadas ao ambiente High Mix que carateriza o sistema produtivo da empresa. Esta conjugação de abordagens mostrou-se adequada para servir os propósitos do estudo e a questão que, naturalmente, se que colocou em seguida foi a de avaliar em que medida as análise e sugestões de melhoria consideradas para o produto específico estudado poderiam ser estendidas aos restantes fluxos de valor da mesma e de outras famílias de produtos na empresa. Para além do interesse académico que revestiu esta questão, tratava-se de uma questão também importante na perspetiva da empresa uma vez que apenas a implementação de soluções com carácter abrangente poderia ter consequências significativas para a mesma. Assim, tornou-se necessário efetuar uma análise global do sistema produtivo para entender a aplicabilidade e o impacto das sugestões propostas na empresa como um todo, tendo presente que, para uma empresa onde é exigida uma capacidade produtiva flexível, o principal objetivo é adotar sistemas que sejam capazes de responder às necessidades dos clientes sem incorrer em desperdícios e procurando obter Lead Time reduzidos. 5.1 APLICABILIDADE DAS SUGESTÕES PROPOSTAS NAS RESTANTES FAMÍLIAS DE PRODUTOS 5.1.1 PM NAS RESTANTES FAMÍLIAS DE PRODUTOS Este ponto estabelecido para os componentes estudados varia pouco em relação a outras famílias de produtos, estando indiscutivelmente localizado ou no processo da IDEAL, no Robô ABB ou no Robô de CO2 para todos os produtos produzidos na fábrica. Por outro lado, é importante relevar que se tratam de processos mutuamente exclusivos, ou seja, se um produto sofre uma operação na IDEAL não irá ser encaminhado para o Robô ABB ou o Robô de CO2 uma vez que são processos extremamente semelhantes na sua função, embora divirjam na sua complexidade. Nestas condições pode generalizar- se que que existem três processos PM na fábrica. Se se tomarem em consideração algumas das propostas referentes ao PM no caso estudado, tal como introduzir um quadro FIFO e efetuar a calendarização neste ponto verifica-se que a aplicação das mesmas pode ser extensiva aos restantes PM porque são soluções que não iriam ter um impacte financeiro elevado, e uma vez que representam também o “gargalo” da produção (BN), o efeito nas
  • 145.
    121 respetivas cadeias devalor seria semelhante ao do caso estudado. Efetivamente, o controlo da produção com a utilização de um quadro FIFO nestes três processos e a respetiva calendarização é viável para a maioria dos produtos porque todos eles passam por um deste pontos. 5.1.2 BALANCEAMENTO DA PRODUÇÃO Depois de terem sido determinados os pontos PM para todos os produtos, levanta-se a questão de saber se é possível produzir em fluxo contínuo a partir deste ponto, independentemente do tipo de produto em questão. A análise das instalações e a observação de outros fluxos de valor permitiu concluir que todas as operações que se seguem ao PM são passíveis de ser balanceadas para a produção em fluxo contínuo, essencialmente por três motivos:  Tratam-se de operações manuais ou semi-automáticas simples que, maioritariamente, não exigem operações de Setup ou que são extremamente simples (por exemplo, alterar o material do cordão de soldadura manual para outro material);  As máquinas envolvidas nos processos são de pequena dimensão e existem em grande quantidade (por exemplo existem 5 máquinas de soldadura elétrica por resistência) e são operadas apenas por um em vários trabalhadores que não estão adstritos apenas a essas operações, o que confere grande flexibilidade na alocação de recursos técnicos e humanos à produção de um produto;  O layout das instalações permite implementar um fluxo contínuo independentemente do tipo de produto a ser produzido, devido à proximidade dos equipamentos e à facilidade de estabelecer rotas para o transporte de materiais. Estes aspetos permitem concluir que é possível efetuar o balanceamento pretendido embora se deva ter presente que pode nem sempre ser possível efetuá-lo de uma maneira perfeita sem que se registem alguns tempos de espera/algum desfasamento temporal (pequenos, na ordem dos segundos) entre operações. No entanto, é importante salientar que a implementação deste método é francamente preferível quando comparado com um sistema de produção seguindo uma metodologia Push com elevados tempos de espera e WIP entre processos. A produção em fluxo contínuo a partir do PM requer a existência de um padrão de planeamento para cada encomenda em que sejam seguidos alguns passos, formando uma célula de trabalho, como no caso estudados, seguindo a seguinte sequência: 1) Análise das operações para o produto - Verificar quais são os processos incluídos no fluxo do valor do produto para conceber uma célula de trabalho adaptada à situação concreta a jusante
  • 146.
    122 do PM eestabelecer que máquinas estarão envolvidas, qual o número de operadores que será necessário alocar para a obra e quais são as datas de execução previstas; 2) Análise dos tempos de ciclo de cada operação - Construção do gráfico dos tempos de ciclo dos processos utilizados e realização de brainstorming para determinação das medidas de balanceamento da produção, quer por adição de máquinas à célula de trabalho, por realização de etapas paralelas, de aproveitamento de tempos “mortos” ou por reforço de mão-de-obra conforme a situação; 3) Determinação do lote ideal de transporte - Determinação do lote de transporte entre operações que deve ter em consideração a utilização das folgas no balanceamento, ou a atribuição desta tarefa a um operador dedicado, e a capacidade de transporte do trabalhador/ porta-palete, grau de empilhamento dos subcomponentes, entre outros. Desta forma obtém-se um método para balanceamento da produção independentemente do tipo de produto a processar e torna-se possível conceber uma célula de trabalho adaptada a cada situação, tal como representado na Figura 5.1. O sistema neste caso funciona através da criação de um documento que será anexado a cada nova encomenda e que será enviado para o processo PM, contendo indicações de conceção e funcionamento da célula determinados pelos três passos anteriormente referidos e pelas especificações para produção no PM, nomeadamente a sua calendarização para colocação no quadro FIFO. Figura 5.1 - Modelo da célula-tipo para produção balanceada a partir do PM Salienta-se que, apesar do ambiente produtivo High Mix que carateriza a empresa, a partir do momento em que se estabeleçam células de trabalho relativamente padronizadas em função dos tipos de encomendas, o processo passará a ser rotineiro e simples porque haverá certamente muitas “obras” que partilharão semelhantes conceções de célula de trabalho (célula-tipo), independentemente das adaptações que terão que ser feitas em função das especificidades de cada encomenda. Operadores??? PM + ? + ? PM/Nivelamento
  • 147.
    123 5.1.3 POLCA AMONTANTE DO PM Um aspeto importante do sistema POLCA é que se trata de um controlo e não de um planeamento que serve para ajudar na execução de um plano. Atualmente na fábrica é executado um plano de produção para a totalidade das instalações que, contudo, não se revela eficiente por resultar em grandes desperdícios e elevados Lead time. O ambiente produtivo de alta customização e grande mix de produtos da empresa justifica a necessidade de estender a toda a instalação a utilização de cartões POLCA a montante dos PM, porque não parece ser viável, mais uma vez aplicar, este sistema apenas a uma determinada família de produtos visto que os recursos produtivos são todos partilhados. Por outro lado, considerando que já é atualmente realizado um plano de produção por encomenda/, a utilização dos cartões POLCA irá apenas ajudar a controlar o WIP não alterando, necessariamente, nenhum aspeto do plano efetuado. Esta sugestão de melhoria é aplicável a todas as famílias de produtos e destina-se a todos os processos a montante dos PM porque os cartões não são específicos de um produto, como num sistema clássico de Kanban, mas são atribuídos a pares de processos ou, mais especificamente, a rotas. Para introduzir este sistema na fábrica devem ser seguidas inicialmente três etapas como no caso estudado para a família dos contentores: 1) Definição de todos os processos que vão incorporar este sistema - Após esta definição, é necessário elaborar um plano das rotas existentes entre os processos para determinar quantos tipos de cartões vão existir. Cada cartão passa, a partir desse momento, a estar associado a qualquer obra que flua de um processo para o outro; 2) Determinação da quantidade de produtos associados a cada cartão - Neste caso, uma vez que as encomendas são variáveis em quantidade pode-se associar um cartão a uma determinada encomenda; 3) Apuramento do número de cartões existentes para cada rota - Este processo pode revelar- se complexo, mas a definição do número de cartões existentes é fundamental para que se tenha um grande controlo do WIP. As variáveis a considerar para este efeito são as seguintes: i. Horizonte de planeamento (t) - Este valor corresponde ao tempo que a empresa necessita para realizar o seu plano de produção; poderá corresponder ao valor utilizado atualmente;
  • 148.
    124 ii. Lead TimeA/B. Corresponde ao tempo médio que uma encomenda demora a ser produzida em A e B. Este valor poderá ser obtido através de uma média dos tempos dos trabalhos efetuados nos últimos meses; iii. Número médio de trabalhos que fluem de A para B durante o horizonte de planeamento, t. Este valor pode ser obtido pela média observada nos últimos meses. 𝑵º 𝑨𝑩 = 𝑳𝒆𝒂𝒅 𝑻𝒊𝒎𝒆 𝑨 + 𝑳𝒆𝒂𝒅 𝑻𝒊𝒎𝒆 𝑩 ∗ 𝒏 𝒕 Obter-se-á, assim, para cada rota, um número de cartões que irá limitar o WIP entre dois processos. No entanto, este sistema é particularmente complexo quando comparado com o tradicional Kanban e os benefícios que podem advir da sua adoção são difíceis de estimar com a informação que se dispõe. Por este motivo, para conhecer os benefícios da utilização dos cartões POLCA e as eventuais melhorias de desempenho esperadas, deve ser desenvolvido um estudo de simulação que pode incluir apenas uma parte das instalações, caso se pretenda realizar um estudo faseado, ou a totalidade das instalações caso de pretenda estudar o sistema todo. Este estudo deverá basear-se na comparação entre os resultados de um modelo que retrate a situação atual e de um modelo que inclua um sistema de cartões POLCA. O procedimento geral de simulação, como mostrado na Figura 5.2, consiste em primeiro lugar em caracterizar e representar o cenário atual do sistema produtivo e efetuar a respetiva validação utilizando para tal um software de simulação. Depois de proceder à validação estatística do modelo base deverá construir-se um modelo que inclua o sistema de cartões POLCA e efetuar a comparação das medidas de desempenho dos dois cenários estudados para ter uma noção mais concreta das implicações desta proposta de melhoria. Se o estudo de simulação revelar que existem benefícios na utilização do sistema de cartões POLCA em detrimento do atual, então poderá ser discutida a sua implementação. .
  • 149.
    125 Figura 5.2 -Modelo de simulação para estudo do sistema de cartões POLCA 5.1.3.1 Medidas de desempenho Como anteriormente já referido, as medidas de desempenho para comparação do sistema atual e do sistema de cartões POLCA são o WIP e o Lead Time. 5.1.3.2 Recolha de dados Os dados para utilização do estudo de simulação devem ter origem em registos históricos da empresa e/ou dados recolhidos em tempo real. Início Desenvolvimentode um ModeloConceptual do estado atual Validação do modelo do estado atual Determinar os processos aincluir no sistemaPOLCA, as rotas e o número de cartões paracada rota Desenvolverum modelode simulação com o sistemaPOLCA Comparar WIP e Lead Time atual com os valores obtidos no modelo POLCA Fim
  • 150.
    126 5.2 SISTEMATIZAÇÃO DOSISTEMA SUGERIDO 5.2.1 CONCEÇÃO GERAL DO SISTEMA O sistema proposto para o funcionamento da empresa, como um todo, resulta da transposição e adaptação do estudo efetuado aos dois componentes do produto representativo de uma família de produtos, aos restantes produtos, generalizando os conceitos aplicados. Estes conceitos foram baseados na aplicação do pensamento Lean que, quando é contextualizado num ambiente produtivo simples pode ter uma aplicação mais direta e abrangente. No entanto, o ambiente HM que caracteriza a empresa estudada, conduziu à necessidade de adaptar o pensamento Lean à realidade produtiva encontrada e obrigou a pensar de que forma as sugestões de melhoria resultantes do estudo efetuado poderiam ser aplicáveis à globalidade da empresa e não apenas ao caso prático estudado, porque de contrário os benefícios estimados para os produtos estudados não teriam significado para a empresa. Por esse motivo, e porque o caso prático estudado demonstrou que as sugestões de melhoria poderiam trazer benefícios relevantes, sobretudo à escala da empresa, estas foram sistematizadas para fornecerem um modelo de funcionamento geral da produção não limitado apenas a um exemplo entre as centenas de produtos que são elaborados pela fábrica. O modelo estabelecido permite uma forma de lidar com a grande variedade de produtos que a empresa produz e que introduz ineficiências que retiram vantagens competitivas à empresa, sobretudo ao nível do custo do produto e do seu Lead time. Este funciona de duas formas distintas, tal como representado na Figura 5.3: a montante do PM através de cartões POLCA; a jusante do PM com base nas encomendas efetuadas. O sistema de cartões POLCA irá controlar o plano de produção, na expetativa de reduzir os valores do WIP e do Lead Time dos produtos, atuando com uma metodologia combinada Pull/Push, para beneficiar das melhores características de cada uma que são por um lado permitir variedade, e por outro obter controlo da produção e produzir de acordo com as necessidades reais. A partir do PM o funcionamento produtivo dá-se, essencialmente, através da calendarização da produção, neste ponto, com a anexação de um documento que inclui informações acerca do balanceamento da produção (a ser efetuada para cada obra em concreto) que se processará de acordo com a metodologia FIFO. O funcionamento de ambos os sistemas deverá ser assegurado por um chefe de secção, cuja responsabilidade é garantir o seu correto funcionamento.
  • 151.
    127 Figura 5.3 -Representação do modelo de funcionamento sugerido para implementação na FARAME 5.2.2 CRIAÇÃO DE TRABALHO ESTANDARDIZADO Um dos grandes problemas que se coloca no contexto da empresa prende-se com o fato de poderem passar uma grande variedade de produtos por um determinado processo ou nas células de trabalho propostas, não se podendo esperar que os operadores tenham conhecimento do modo de produzir cada produto corretamente. Naturalmente que este condicionamento pode originar problemas de qualidade e baixa produtividade e, por esse motivo, torna-se necessário introduzir uma forma de criar um padrão no trabalho para os operadores. Por trabalho padrão entende-se que qualquer operador será capaz de seguir um método estabelecido num posto de trabalho adequado e utilizando as ferramentas adequadas, será capaz de executar a quantidade de trabalho necessária no tempo estimado, com qualidade perfeita, e sem risco para a saúde ou segurança. Isto significa que qualquer operador deve ser capaz de lidar com as alterações das caraterísticas e das quantidades de produtos e que diferentes os operadores conseguirão completar tarefas em intervalos de tempo consistentes. A chave para criar um padrão de trabalho reside no desenvolvimento de métodos que possam ser seguidos por qualquer operador, entendendo que este é um ponto de partida e que os operadores e os responsáveis devem melhorar continuamente esses métodos e trabalhar em conjunto para o efeito. Se um determinado método está desatualizado ou se existir uma melhor alternativa, tanto um operador como um responsável pelas instalações podem sugerir alterações que sejam sustentadas por dados concretos para validar a ideia. Se o novo método remover desperdícios e permitir melhorar o Operadores??? PM + ? + ? FLUXO PRODUTIVO PM Balanceamentodaprodução Nivelamento da produção SistemaPOLCA Nivelamento da produção PM/Balanceamento
  • 152.
    128 desempenho de algumprocesso e se encaixar no plano de fluxo de valor, então deve ser adotado e documentado. Uma nova forma de organização dos trabalhos deve ser sempre coerente com os objetivos traçados. Neste caso, a sistematização do sistema pretendido para a empresa é a base para a criação de trabalho estandardizado, ou seja, deve haver um método de trabalho diferenciado para os diferentes pontos do fluxo de valor dos produtos, ao contrário do que acontece atualmente. Como o sistema produtivo inclui duas formas de funcionamento distintos, então devem existir dois padrões de trabalho também distintos. 5.2.3 DOCUMENTAÇÃO PADRÃO PARA APOIO AO TRABALHO ESTANDARDIZADO Num ambiente de grande variabilidade, a documentação referente ao trabalho deve estar colocada onde todos possam vê-la claramente. Esta documentação pode incluir os elementos-chave do trabalho a ser realizado e seus tempos associados, um gráfico da sequência padrão de trabalho e das verificações de segurança e qualidade a efetuar, podendo ser utilizadas, para o efeito, folhas de papel como método visual. No entanto, como podem fluir através de um processo ou de uma célula um grande número de peças, a quantidade de folhas pode ser significativa originando, por vezes, lapsos pelo que se torna importante arquivá-las após a conclusão dos trabalhos. No caso dos processos a jusante do Pacemaker, este documento denominado por “PM/Balanceamento” deve estar anexado junto do quadro FIFO e, para além de conter informação acerca das especificações técnicas do produto e dos tempos de cada processo, deve conter, ainda as seguintes informações para cada “obra” nova:  Quais são os processos que estão incluídos no fluxo do valor do próximo produto para organização e conceção da célula de trabalho adaptada ás necessidades e quantas máquinas estão incorporadas;  Qual o número de operadores necessários alocar naquela data para a célula;  Como são alocados os operadores às máquinas, i.e., como foi planeado o balanceamento da produção para a “obra” em concreto;  Como é efetuado o transporte entre os processos dentro da célula e qual é o número de peças a transportar de cada vez; Para que este sistema se torne ágil e eficaz, é necessário que exista um responsável por esta área. Esta pessoa tem como função, em primeiro lugar, garantir o bom funcionamento da célula de trabalho. Ou seja, a alocação de um responsável pelos processos Pacemaker e pelas operações que se seguem é fundamental para que muitas melhorias possam ser implementadas e, sobretudo, para que possa existir
  • 153.
    129 um método padrãopara a organização dos trabalhos. Algumas das funções a desempenhar por este responsável são, por exemplo, garantir a produção no Pacemaker de acordo com o quadro FIFO, verificar o documento relativo a cada trabalho e organizar a célula de trabalho. No caso dos processos a montante do Pacemaker, este documento acompanha a obra desde o processo inicial até ao Pacemaker e a informação é transmitida ao operador através do sistema de cartões POLCA. Para este caso também é fundamental que exista um responsável por esta área que garanta o funcionamento adequado do sistema com os cartões POLCA. 5.3 ALTERAÇÕES A EFETUAR NA EMPRESA PARA ATINGIR O SISTEMA PRETENDIDO 5.3.1 AQUISIÇÃO DE UM SISTEMA MRPII Para que seja elaborado um plano de produção viável na empresa incorporando todas as ações propostas, este tem de ser feito com base na produção para encomenda utilizando um sistema de gestão em tempo real e planos de curto prazo, designadamente um sistema MRPII. Este sistema é capaz de associar um tempo a cada operação para que se possa prever o tempo esperado de produção para determinado produto e tornar possível a utilização dos cartões POLCA. 5.3.2 TRABALHO SOBRE CADA ENCOMENDA PARA BALANCEAMENTO Uma vez que no estado futuro ideal a informação relativa à produção será enviada para o PM, torna-se necessário alocar um trabalhador para tratar de questões relacionadas com as novas encomendas, cuja função será conceber o documento “PM/Balanceamento”. A informação a produzir conterá dados acerca do produto, do tempo necessário para a sua produção e da forma de balanceamento proposta que melhor permita a introdução de um fluxo contínuo fluxo a partir do PM. Esta informação será registada na documentação padrão de trabalho e analisada posteriormente pelo responsável da secção a jusante do PM, que terá que analisar o documento e conceber as especificações do mesmo “no terreno”. 5.3.3 CHEFE DE LINHA PARA CADA SECÇÃO A implementação de cartões POLCA deverá ser levada a cabo por várias pessoas que estarão envolvidas diariamente nesta secção da fábrica. No entanto, para garantir o seu funcionamento é essencial designar um responsável para gerir a secção onde vão ser implementadas as alterações para servir de ligação entre o planeamento e a produção. Este responsável deve assegurar o funcionamento do sistema e a formação dos operadores para que possam ser atingidos os objetivos propostos. Por outro lado, o cumprimento das instruções para balanceamento da produção a jusante do PM deve, também, ser assegurado por um responsável.
  • 154.
    130 5.3.4 INSTALAÇÃO DOQUADRO FIFO Para que seja assegurado o plano de produção previsto de uma forma visual, a instalação do quadro FIFO nos processos PM serve, sobretudo, para garantir o cumprimento da sequência produtiva. Em primeiro lugar, para que os operadores entendam qual o produto a produzir em cada momento caso exista mais que um lote em espera; em segundo lugar, para que seja possível haver um controlo visual do processo. A instalação do quadro FIFO pode ser acompanhado por um mecanismo de identificação de cada lote para efetuar o reconhecimento entre a informação que consta no quadro e o(s) lote(s) em espera. 5.3.5 DESIGNAÇÃO DE UM RESPONSÁVEL PARA 5S A implementação de um programa 5S deve ser assegurado por uma pessoa com conhecimento na área do Lean e que entenda os seus princípios fundamentais, preferencialmente um responsável que conheça as instalações e os procedimentos internos e que seja capaz de definir prioridades na implementação do programa 5S. 5.4 PLANO DE IMPLEMENTAÇÃO DE MELHORIAS NA FARAME A análise efetuada ao estado atual de uma família de produtos foi ao encontro da necessidade que os responsáveis da empresa percecionam que o modo de funcionamento da mesma se deveria aproximar aos princípios Lean para implementar um processo de melhoria contínua na organização para lhe conferir vantagens competitivas. Algumas das sugestões de melhoria propostas no presente estudo destinam-se a alterar significativamente a forma como a empresa opera atualmente, enquanto outras destinam-se a proporcionar melhores condições no posto de trabalho e uma gestão mais visual, sobretudo, para melhorar o controlo e a perceção da realidade produtiva por parte de todos os envolvidos no processo produtivo. Para tornar viáveis as sugestões de melhoria propostas e garantir uma correta implementação das mesmas na empresa estudada é desejável faseá-las pelas seguintes razões:  Para que a transição para o novo sistema seja feita de forma progressiva, evitando que se registem grandes impactos na empresa;  Para garantir que os esforços estão dedicados a determinados objetivos e não se diluem em diversos compromissos;  Porque algumas alterações podem afetar significativamente a forma como outras deverão funcionar e é necessário dispor de tempo para verificar o verdadeiro impacto das mesmas.
  • 155.
    131 5.4.1 ETAPAS PREVISTAS Considerandoa importância de fasear o Plano de Implementação de Melhorias (PIM), propôs-se que mesmo se faça ao longo de quatro etapas organizadas da seguinte forma (Figura 5.4):  Etapa 1 - Matéria-prima;  Etapa 2 - PM e balanceamento;  Etapa 3 - POLCA;  Etapa 4 - Programa 5S. A primeira etapa, denominada por matéria-prima, pela qual se deverá começar por ser a etapa mais simples, consiste na implementação de um sistema Pull para controlo da matéria-prima, com a utilização de Kanbans e de um sistema de revisão contínua dos stocks. Uma vez estabilizado este sistema, deverá implementar-se a calendarização no PM com utilização do quadro FIFO e a estandardização dos trabalhos para desenvolver um fluxo contínuo, seja qual for a encomenda. Neste ponto serão alterados significativamente alguns procedimentos na empresa que apenas terão consequências nos processos a jusante do PM, ou seja, estas alterações não irão modificar, em nada, o funcionamento a montante deste ponto e, por este motivo, será possível avaliar o impacto deste sistema, e corrigi-lo se necessário, sem afetar a totalidade das instalações. Depois de atingida a estabilidade nas primeiras duas etapas, poderá avançar-se para a introdução do sistema de cartões POLCA. Este método irá criar um grande impacto na empresa porque alterará, significativamente, a forma como esta funciona na atualidade, pelo que deverá ser dedicada uma especial atenção a esta etapa do processo de implementação. Por fim, tendo presente que a análise 5S permitiu concluir que existe uma grande necessidade de melhorar as condições existentes no posto de trabalho a vários níveis, propõe-se que seja retomada esta análise, de forma sistemática, com vários objetivos: 1) para marcar o passo na iniciação de algumas mudanças na empresa; 2) para facilitar a integração de novas medidas; 3) para melhorar a eficiência e eficácia de determinados processos e do fluxo de valor dos produtos. A aplicação de melhorias neste domínio engloba a totalidade das instalações e deverá decorrer em paralelo com as restantes etapas uma vez que vai influenciar a sua aplicabilidade porque sem tornar as instalações mais funcionais haverá maiores dificuldades em implementar medidas.
  • 156.
    132 Figura 5.4 -Faseamento do Plano de Implementação de Melhorias proposto para a FARAME Operadores??? PM + ? + ? FLUXO PRODUTIVO FLUX PM Fornecedor MRP Planeamento e controlo da produção ArameX 1 23 4
  • 157.
    133 5.4.2 OBJETIVOS EMETAS No Quadro 5.1 apresentam-se resumidamente os objetivos e as metas associados às várias etapas do PIM proposto para a FARAME. Quadro 5.1 - Objetivos e metas relativas às etapas do PIM proposto para a FARAME Etapas Objetivos Metas 1 Matéria- prima Implementação de um sistema Pull para a matéria-prima. Implementação de revisão contínua de stocks. Redução do tempo gasto com inventários e controlovisual. 2 PM e balanceamento Calendarização no PM. Instalação do quadro FIFO. Introdução de um responsável pelo PM. Criação de trabalho estandardizado para desenvolver um fluxo contínuo a jusante do PM. Redução do Lead Time do produto. Diminuição do WIP. Fim da calendarização em múltiplos pontos. Cumprimento do planeamento definido no PM. Controlo visual da produção no PM. 3 Cartões POLCA Introdução de um responsável pelos cartõesPOLCA. Introdução de um sistemacom cartões POLCA. Diminuição do WIP. Redução do Lead Time do produto. Maior flexibilidade para responder ao ambiente HM. Por fim à metodologia Push. 4 Programa5S Marcação do WIP para o seureconhecimento durante o fluxo de valor do produto e associação ao quadro FIFO. Determinação de formas de colocação das peças produzidas que sejam mais eficazes, evitando assim a queda das mesmas, um melhor aproveitamento do espaço e uma maior facilidade de transporte. Introdução de um sistemade codificação das máquinas que sejacoerente e permitaidentificar aspetos importantes como o seuestado oua sua localização nas instalações. Determinação de formas de colocação das peças produzidas que sejam mais eficazes e eficientes, evitando, assim, a queda das mesmas, um melhor aproveitamento do espaço e uma maior facilidade de transporte. Introdução de um sistemade codificação das máquinas que sejacoerente e permitaidentificar aspetos importantes como o seuestado oua sua localização nas instalações. Melhorar as condições existentes nas instalações gerais. Garantir melhorias paraos princípios de utilização/seleção, limpeza, ordem, estandardização e sustentação dos ganhos. Melhorar sistematicamente a pontuação em análises 5S futuras.
  • 158.
    134 5.4.3 PROGRAMA DEIMPLEMENTAÇÃO Tendo em consideração o conhecimento adquirido do funcionamento da empresa, das condições que se verificam localmente nos postos de trabalho e da esperada recetividade que o Plano de Implementação de Melhorias (PIM) pode ter junto da organização e dos restantes trabalhadores da empresa, parece razoável propor que a sua implementação se faça ao longo de um período de oito meses (Figura 5.5) de acordo com o descrito em seguida. 5.4.3.1 Matéria-prima Implementação de sistema para controlo de matéria-prima durante dois meses com a seguinte sequência:  Introdução do Sistema de revisão contínua de stocks;  Sistema Pull com introdução de Kanban para controlo dos stocks. 5.4.3.2 PM e balanceamento Implementação de um sistema de funcionamento para o processo PM e a jusante durante quatro meses com a seguinte sequência:  Seleção e capacitação do responsável por esta secção e comunicação do projeto/formação na empresa;  Implementação sequencial dos objetivos propostos. 5.4.3.3 Cartões POLCA Implementação de sistema de cartões POLCA para montante do PM durante três meses com a com a seguinte sequência:  Seleção e capacitação do responsável por esta secção e comunicação do projeto/formação na empresa;  Introdução do sistema com cartões POLCA. 5.4.3.4 Organização; necessidade de 5S Implementação do programa 5S definido com uma duração de oito meses com a seguintes sequência:  Priorização e implementação dos objetivos definidos no programa;  Realização regular de avaliações 5S ao longo do período definido.
  • 159.
    135 Figura 5.5 -Cronograma para o plano de implementação proposto para a FARAME 1 2 3 4 5 6 7 8 9 Programa 5S Implementar programa 5S sistemático Meses Etapa Objetivos Implementar um sistema Pull para a matéria prima PM e balanceamento Proceder à revisão contínua de stocks Matéria-prima Introduzir um responsável por esta secção Introduzir um sistema com cartões POLCA Cartões POLCA Instalar um quadro FIFO Criar trabalho estandardizado Implementar calendarização no PM Introduzir um responsável por esta secção Desenvolver um fluxo contínuo a jusante do PM
  • 160.
    136 5.4.4 MÉTODO PDCAPARA A IMPLEMENTAÇÃO DO PIM A utilização do método de gestão iterativo Plan-Do-Check-Act (PDCA) para a implementação do Plano de Implementação de Melhorias, onde se insere o círculo PDCA, pretende apoiar a resolução de problemas que a prossecução das medidas propostas pode originar. Trata-se de um método adequado à implementação do PIM por permitir sistematizar as ações que devem ser efetuadas como guia para o sucesso da implementação e/ou identificação das eventuais causas de insucesso do plano. O ciclo é composto por quatro etapas, tal como representado na Figura 5.5:  Plan - Uma vez estabelecidas as metas a atingir, deverão ser identificados os problemas a solucionar e deverá ser feita uma análise dos mesmos para que as suas características e origens possam ser reconhecidas. Em seguida deve ser estabelecido um plano de ação estabelecendo as ações a desenvolver e os meios a utilizar para que as metas estabelecidas possam ser atingidas;  Do - Esta fase respeito à execução do plano de implementação e recolha de dados que serão utilizados na etapa seguinte de confirmação da efetividade das ações adotadas;  Check - Na fase de verificação é feita a confirmação da efetividade das ações de prevenção dos problemas e do cumprimento das metas. Deve ser avaliado o que foi planeado anteriormente, o que foi realmente executado e os resultados obtidos e devem, também, ser identificados as eventuais questões problemáticas responsáveis pelo não atingimento das metas e o modo de as resolver. Caso se verifique a existência de problemas deve-se retornar à fase de observação, efetuar uma nova análise e elaborar um novo plano de ação.  Act - Esta fase consiste na padronização das ações que contribuíram para atingir as metas, permitindo o alcance das mesmas através da melhoria contínua dos processos existentes ou através de modificações nos processos existentes.
  • 161.
    137 Figura 5.6 -Método PCDA para implementação do PIM proposto para a FARAME 5.5 IMPLICAÇÕES PARA A EMPRESA A aplicação de algumas das sugestões do PIM implica uma rotura com alguns métodos e procedimentos utilizados atualmente na empresa e a perceção dos benefícios que podem resultar das alterações propostas pode não ser evidente numa fase inicial. Contudo, considerando que os benefícios esperados a nível operacional (a que se espera estar associado um custo reduzido de implementação das propostas de melhoria) vão ao encontro das necessidades atuais e futuras da empresa, nomeadamente porque esta se encontra em fase de reestruturação, tendo como objetivo de médio prazo a redução de custos, espera-se que haja uma boa adesão por parte do setor de gestão da empresa ao PIM. Este é um dos benefícios tipicamente atribuídos à aplicação desta metodologia, o que tem contribuído para justificar a adesão que se tem verificado por parte do setor de gestão das empresas ao pensamento Lean. Acessoriamente esperam-se benefícios importantes na componente relacionada com a iniciação ao pensamento de melhoria contínua na estrutura da empresa que acarreta benefícios também a médio e longo prazo. A disponibilidade e adaptabilidade de todos os envolvidos e o seu grau de envolvimento são fatores- chave na implementação das melhorias, tal como a mobilização de recursos da empresa para o plano de implementação, nomeadamente os responsáveis de secção e o envolvimento dos mesmos no projeto. Neste contexto importa referir que a resistência à mudança, que foi um aspeto que foi bastante evidente nas observações efetuadas durante a realização de trabalho no terreno, deve ser ultrapassada, através da comunicação adequada e envolvimento de todos os intervenientes da empresa, desde a gestão de topo aos operadores. • Executar plano previsto • Recolher dados relativos às metas e medidas de dempenho escolhidas •Analisar os dados recolhidos •Observar eventuais causas de insucesso nas metas e/ou medidas de desempenho • Preparar plano de acordo com objetivos • Estabelecer metas para os objetivos propostos e medidas de desempenho • Estandardizar acções que resultaram em melhorias • Modificar processos que não acrescentam valor Agir Planear FazerVerificar
  • 162.
    138 A comunicação doprojeto passa por formações ou ações de sensibilização para uma primeira abordagem ao pensamento Lean, com a devida apresentação do diagnóstico inicial para explicar a razão da implementação das ferramentas e para conseguir traçar objetivos realistas e a explicitação do funcionamento teórico das sugestões. Posteriormentes, no terreno dever-se-á dar alguma formação prática e realizar testes com o envolvimento dos operadores e dos responsáveis, debatendo as sugestões entre todos os envolvidos. Por último, deve ser transmitido que as implementações sugeridas se enquadram no princípio da melhoria contínua, que reside na premissa que cada um é responsável pelo seu trabalho e que deve contribuir para o melhor desempenho da sua função e que o seu papel é importante, devendo uma sugestão credível ser sempre ser ouvida. Uma outra implicação importante diz respeito ao tempo que será necessário para que as novas ferramentas e os novos métodos de trabalho se consolidem e que as antigas práticas sejam esquecidas, de modo a que o pensamento Lean deixe de ser uma imposição e passe a ser vista como benéfica pela generalidade.
  • 163.
  • 164.
    140 6 CONCLUSÕES No presentecapítulo são apresentadas as conclusões referentes ao caso de estudo, nomeadamente os ganhos resultantes da implementação das melhorias sugeridas e do modelo de planeamento desenvolvido para a empresa. É também efetuada uma reflexão acerca das ferramentas utilizadas e das limitações que o estudo acarretou e propostos desenvolvimentos futuros para continuidade do trabalho efetuado até este ponto. 6.1 CONCLUSÕES GERAIS Esta dissertação de mestrado assumiu como objetivo o estudo da implementação de metodologias Lean na empresa FARAME, através da análise do sistema produtivo atual, da identificação de problemas e da elaboração de propostas de melhoria. Depois de um diagnóstico inicial efetuado à empresa através da ferramenta VSM, verificou-se que em diversas áreas da empresa se justificaria a adoção desta abordagem e que o sistema produtivo que a caracteriza, qualificável como High Mix (grande variedade e customização), colocava desafios quanto à aplicação exclusiva de algumas ferramentas de trabalho caracteristicamente adotadas em Lean. Estas particularidades determinaram, então, a necessidade de avaliar que eventuais limitações encerrava a abordagem tradicional ao contexto produtivo existente, que adaptação seria necessário realizar e por fim, de que forma as conclusões acerca do caso particular estudado poderiam ser transpostas e generalizadas a todos os produtos. A análise do sistema produtivo foi efetuada recorrendo à utilização da ferramenta Value Stream Mapping (VSM) para, através do mapeamento da cadeia de valor de um determinado produto, detetar os desperdícios, as suas fontes e os problemas daí resultantes. Trata-se de uma ferramenta que revelou ser valiosa, de fácil utilização durante o estudo e que permite a utilização futura dos mapas por parte da empresa ou a continuação, pela mesma, do trabalho efetuado, sem dificuldades. Por outro lado, esta ferramenta tem a vantagem de permitir, posteriormente, a elaboração de um mapa futuro, incluindo a representação clara das sugestões de melhoria para o fluxo de valor do produto e dos objetivos que se pretendem atingir num estado ideal. Para a construção do VSM selecionou-se um produto pertencente a uma família de produtos representativa, especificamente um contentor de arame destinado ao armazenamento de garrafas de vinho e Champanhe, recorrendo a uma análise ABC que incidiu sobre os resultados de faturação num período recente de seis meses. Foram analisados os fluxos de valor de dois dos cinco componentes principais do produto selecionado, que representavam adequadamente os aspetos que seria importante mapear, tais como os procedimentos de comunicação da informação, as características das operações efetuadas, os requisitos dos equipamentos, a atuação dos operadores, as rotas na instalação, entre outros.
  • 165.
    141 Os dados foramrecolhidos de acordo com o modelo sugerido em metodologias Lean, ao longo de um período de duas semanas, que correspondeu ao Lead time/tempo que demorou a ser processado o lote estudado. Durante este período não se verificaram situações que pudessem comprometer a qualidade dos dados recolhidos no terreno, tendo os mesmos sido considerados válidos para a realização da análise da cadeia de valor dos componentes estudados. Complementarmente, para avaliar o possível impacto que a organização no trabalho poderia ter nos resultados do diagnóstico, foi utilizada a ferramentas 5S que se verificou ser muito útil, sobretudo porque, consistindo num método expedito de análise, fornece resultados quantitativos e qualitativos de fácil compreensão que podem ser comparados após a implementação de algumas melhorias e verificar as possíveis evoluções. Por outro lado, é uma ferramenta cujo objetivo final é facilmente compreendido por qualquer operador/trabalhador uma vez que são evidenciadas as lacunas existentes e as melhorias passíveis de serem alcançadas com o a colaboração por parte de todos os intervenientes no trabalho. Recorrendo então ao VSM, os mapas produzidos que representam o estado atual, permitiram evidenciar os desperdícios existentes no sistema, as suas fontes e os principais problemas resultantes, tendo sido relacionados mutuamente. Foi, assim, possível, desde logo, concluir que se verifica uma grande discrepância que entre o tempo de processamento do produto e o Lead Time. Na construção dos mapas foram considerados os conceitos base associados ao pensamento Lean, tais como Takt time, Pacemaker, fluxo produtivo contínuo, sistemas Pull e balanceamento da produção, e testada a sua aplicabilidade. A análise destes conceitos no âmbito no fluxo de valor do produto selecionado, em particular no ambiente High Mix que caracteriza o sistema produtivo, permitiu concluir o seguinte relativamente à construção dos mapas futuros:  Que o ponto definido como Pacemaker é de extrema importância para melhorar o funcionamento do sistema produtivo ao determinar o ritmo de produção em toda a instalação;  Que este mesmo ponto é o mais indicado para calendarizar a produção e eliminar a comunicação entre o planeamento da produção e os restantes processos. Este aspeto permitiu iniciar a conceção de um fluxo contínuo em alguns pontos onde foi possível a criação de células de trabalho com operações balanceadas. Por outro lado, foram reveladas limitações respeitantes à definição de Takt time pelo facto de não existir estabilidade nos tempos de ciclo dos processos porque o ambiente produtivo HM implicaria uma definição específica deste valor para cada produto. Por outro lado, quer o nivelamento da produção quer a introdução de um sistema Pull demonstraram ser inexequíveis no contexto produtivo da empresa, no primeiro caso, devido, sobretudo, ao elevado tempo
  • 166.
    142 das operações deSetup executadas e, no segundo caso, devido ao nível de stocks que aquele sistema de funcionamento implicaria. Estas limitações conduziram a uma abordagem diferenciada para resolução dos problemas de detetados, onde se enquadra o conceito Made-to-Order Lean, que forneceu alternativas direcionadas para o contexto produtivo da empresa em detrimento da definição do Takt time e de um sistema Pull. Estas alternativas consistirem no estabelecimento de um método de gestão visual e sequenciação FIFO no PM, para lidar com a enorme diversidade de produtos e garantir a execução do plano definido para este ponto, e a introdução de um sistema de cartões POLCA para equilibrar as metodologias Pull/Push a montante do PM. Os resultados esperados com a introdução destas melhorias consistem no seguinte: 1) na redução do Lead Time dos componentes estudados, que se estimou ser de 6,5% e 17,4% respetivamente para os componentes Porta inferior e Traseira do produto estudado, cujo lote foi processado/ ao longo de cerca de 14 dias; 2) na eliminação do WIP em determinados pontos do sistema; 3) na redução da necessidade de um operador no caso da produção da Porta inferior. Os benefícios associados a estas melhorias são os seguintes:  Lead Time - menor custo de oportunidade para a empresa e maior satisfação do cliente devido à possível redução do prazo de entrega dos produtos encomendados;  WIP - menor custo com capital empatado e melhor organização do espaço existente;  Redução do custo com mão-de-obra ou possibilidade de alocação da mesma a outra tarefa. Depois de realizada a análise setorial aos componentes do produto estudado, tornou-se necessário analisar a possibilidade de transpor as melhorias propostas para a generalidade dos produtos da fábrica para que estas melhorias pudessem, de facto, ter significado para a empresa. Em resultado dessa análise, foi possível sistematizar um modelo de planeamento assente na padronização dos trabalhos, que permite estabelecer uma sequenciação de etapas do PM a jusante para cada nova encomenda, e no qual são definidos aspetos relacionados com o balanceamento das operações e o funcionamento dos processos PM. Foi, ainda, estabelecido que o funcionamento do sistema a montante do PM será regulado através de cartões POLCA. A acompanhar a implementação das restantes propostas de melhoria, preconizou-se a realização de um plano de melhorias no domínio da organização das instalações, através da realização regular de avaliações 5S. Por fim, foi estabelecido um Plano de Implementação de melhorias para a empresa, tendo sido definidos os objetivos e metas a atingir, as suas etapas e o seu faseamento.
  • 167.
    143 6.2 LIMITAÇÕES DOESTUDO A duração e a profundidade do estudo efetuado foram limitadas pelo tempo de pesquisa e pelo acesso à informação. As limitações de tempo deveram-se, sobretudo, à duração estabelecida para o estágio curricular e a outros trabalhos efetuados durante a investigação a pedido da direção da empresa, como acordado. As limitações ao acesso a informação deveram-se, em primeiro lugar, ao facto de não se ter tido acesso ao sistema informático da empresa e de a informação não estar sistematizadas. Por outro lado, verificou-se alguma relutância de alguns operadores em disponibilizar a informação durante a recolha de dados no terreno. Apesar destes aspetos, considera-se que, globalmente, as limitações indicadas não comprometeram de qualquer forma a realização do estudo efetuado. O estudo de uma família de produtos foi representativa e permitiu retirar algumas conclusões embora, a transposição das conclusões para a generalidade das instalações necessite de ser sustentada pela análise das restantes famílias de produtos. 6.3 TRABALHOS FUTUROS Como foi abordado nas limitações do estudo, o tempo disponível para a elaboração do trabalho foi relativamente reduzido e, por esse motivo, representa apenas um ponto de partida para o desenvolvimento de um processo de melhoria contínua. Algumas sugestões, tais como a introdução de um sistema de cartões POLCA ou de um quadro FIFO estão dependentes de outras avaliações que devem ser efetuadas para validação e um melhor funcionamento das mesmas e, como a investigação permite entender o seu potencial na redução de desperdícios, estas não devem abandonadas. Outro aspeto importante a relevar é que, tendo o estudo efetuado sido necessariamente limitado, é preciso de reforçar a sua viabilidade, tendo a observação do quotidiano nas instalações permitido detetar potenciais aspetos para estudos futuros:  Mapeamento do fluxo de valor de outras famílias de produtos - O estudo futuro de outras famílias de produtos será crucial para reforçar o capítulo onde foi abordada a transposição da análise da família escolhida para a generalidade dos produtos porque, como foi explicitado, as sugestões de melhoria apenas fazem sentido se o objetivo for a implementação geral uma vez que os recursos são partilhados;  Estudo de simulação para as instalações com a utilização de um sistema de cartões POLCA para determinar quantitativamente os ganhos para a empresa com a sua introdução nomeadamente redução de Lead Time e WIP. Este estudo inclui a determinação de todos os emparelhamentos possíveis e o cálculo do número de cartões por emparelhamento;  Foco de melhorias tradicionais do Lean no PM - A utilização de ferramentas tradicionais neste ponto pode revelar-se importante para obter um ritmo de trabalho superior nas instalações, uma vez que representa o “gargalo” limitador dos restantes processos. Uma análise utilizando a
  • 168.
    144 metodologia SMED pararedução dos tempos de Setup nestes pontos seria um ponto de partida viável e extremamente útil porque os tempos observados para mudança entre produtos podem atingir cerca de cinco horas.  Métrica de priorização de encomendas - A instalação do quadro FIFO nos PM implica a existência de um sistema de priorização credível das encomendas. Atualmente a priorização é efetuada sem um critério robusto e lógico resultando, em diversos casos, em atrasos significativos das entregas e no aumento do Lead Time dos produtos.  Sistema de avaliação de desempenho das implementações - A implementação das melhorias propostas deve ser acompanhada por um sistema que avalie a progressão das medidas a implementar e que seja capaz de fornecer dados concretos acerca do estado dos trabalhos. Este sistema terá, contudo, que se basear sempre em dados históricos para obter um termo de comparação (a impossibilidade de acesso ao sistema informático da empresa não permitiu dispor de dados para suportar o estudo neste domínio).  Introdução de um sistema de melhoria contínua - A filosofia Lean tem como base a procura pela melhoria continua, pelo que a inércia das práticas instituídas juntamente com a resistência à mudança deve ser ultrapassada com um pensamento mais direcionado para a progressão e procura de melhorias. A introdução de um sistema que se oriente por estes objetivos e que confira, também, liberdade de opinião só poderá beneficiar a empresa e consequentemente os seus trabalhadores.
  • 169.
  • 170.
    146 Referênciasbibliográficas Alves, T. C.L., Tommelein, I. D., Ballard, G., (2005). Value Stream Mapping for Make-to-Order products in a JobShop environment, ConstructionResearch Congress held in San Diego, ca, 5-7. Anthony, J., Kumar, M., (2011). Lean SixSigma: Researchand Practice, Bookboon, 978-87-7681-768-8. Avraham, Y., (2001).The Theory ofConstraintsand itsThinking Processes,A briefintroductionto TOC,Goldratt Institute, LP. Bain, N, (2010). The consultants guide to successfullyimplementing5s. Duggan, K. J., (2012). CreatingMixed Model Value Streams, MWCC Mid-Atlantic Lean Conference. Duggan, K. J., (2015). Beyond Lean: Achieving Operational Excellence in MRO, Duggan Associates. Emil, S., Mihai, A., Ionela, R. A., (2005). Value Stream Mapping - A Lean ProductionMethodology, The Annals of the "ştefan cel mare" Universityof Suceava. Fascicle of the Faculty of Economics and Public Administration vol. 11, no. 1(13). Eng, H. K., Ching, H. W., Bong, C. S., (2015), Paired-Cell Overlapping Loops of Cards with Authorization Simulation in Job Shop environment, International Journal of Mechanical & Mechatronics Engineering Ijmme- Ijens vol:15no:03. Goldratt, E.M, Cox. J., (1984). The goal, a process of ongoing improvement, Third revisededition, North River Press, 800-486-2665. James, T., (2011). Operations Strategy, Bookboon, 978-87-7681-828-9. Jasti, N. N. K., Sharma, A, (2014). LeanManufacturing implementationusingValue Stream Mapping as a tool: A casestudy fromAuto ComponentsIndustry, DepartmentofMechanicalEngineering,BirlaInstituteofTechnology and Science (bits), Pilani, India. Knowles, G., (2011). Qualitymanagement, Bookboon, 978-87-7681-875-3. Kochnev, I., (2007).What,if any, arethe differencesbetweentheToyotaProductionSystemand Lean?A research paper by:Yvan Kochnev, Innovationlighthouse Liker, J. K., David, M., (2004). The Toyota way. Fieldbook, A practical guide for implementingToyotas 4p’s. New York: Mcgraw-Hill. Lu, D., (2011). Fundamentals of supply chain management, Bookboon, 978-87-7681-798-5. Melton, T., (2005). The benefits of Lean Manufacturing: What Lean thinking has to offerthe process industries, institution of chemical engineers, 662-673 Nazareno, R. R., Silva, A. L., Rentes,A. F., (2003).Mapeamentodofluxo de valor para produtoscomampla gama de peças, XXIIII Encontro Nac. De Eng. De produção, Ouro Preto, mg, Brasil Parihar, P.S., Jain, S., Bajpai, L., Varma, P. L., (2014). Performancebased new methodologyfor implementing Value Stream Mapping, Scholars Academicand Scientific Publisher (an international publisherforacademicand scientific resources)
  • 171.
    147 Rahani, A. R.,Ashraf, M., (2012), Production Flow Analysis through Value Stream Mapping: a Lean Manufacturing Processcase study, International Symposium on Robotics andIntelligent Sensors. Rother, M., (2009). ToyotaKata: Managing people for improvement, adaptiveness and superior results. Mcgraw- Hill Professional. Rother, M., Shook. M. J., (1998). Learningto see - Value stream mapping to add value and eliminate muda. Serrano, L. I., Castro, V. R., Goienetxea, U., A., (2009). Pacemaker, Bottleneckand Order Decoupling Point in Lean Production Systems, International Journal of Industrial Engineering, 16(4), 293-304. Silva, S. K. P. N., (2012). Applicability of Value Stream Mapping (VSM) in the apparel industry in Sri Lanka, International Journal of Lean Thinking Volume3. Sondalini, M., How to do Value Stream Mapping. Lifetime reliabilitysolutions Stamm, M. L., Neitzert,T, Value Stream Mapping (VSM) ina manufacture-to-ordersmalland medium enterprise, School of Engineering aut Universityauckland, New Zealand. Suri, R., (2003). Qrm and POLCA: A Winning combination for manufacturing enterprises inthe 21st Century, Center for Quick ResponseManufacturing, University of Wisconsin-Madison, 53706. Suri, R., (2010).QrmIts all about time,The competitiveadvantage ofQuick Response Manufactoring,Produtivity Press. Thorsen, W. C., Value Stream Mapping & VM, General Motors Corporation. Pontiac, mi 48341 USA, 248-753- 5897 Trivedi, P., Chauhan, N., Patel, N., (2015). Benefits of Value Stream Mapping as a Lean tool implementation manufacturing industries: A Review, International Journal for Innovative Research in Science & Technology| Volume 1 Werner, D. D., Lucilio. L. P. M., (2006). Produção enxuta: Vantagens e desvantagens competitivas decorrentesda sua implementação em diferentes organizações, XIII Simpep - Bauru, sp, Brasil, William M. G., Samson, M., Alphonce, M.,, (2011). Use of the Value Stream Mapping tool for waste reduction in Manufacturing. Case study for bread manufacturing in Zimbabwe, proceedings of the 2011 International conference on Industrial Engineeringand Operations Management. Wilson, L. (2010). Howto implement Lean Manufacturing. New York: Mcgraw-Hill. Womack, J. P., Jones, D. T. (2010). Lean Thinking: Banish waste and create wealth in your corporation. Simon and Schuster. Womack, J. P., Jones, D. T., Roos, D. (1990). Machine that changed the world. Simon and Schuster.
  • 172.
    148 LISTA DE ANEXOS AnexoI - Folha para registo de operações Anexo II - Registo de operações de Setup segundo o método SMED (1/2) Anexo III - Formulário 5S/visual Workplace Handbook - Production Automation Corporation VSM Anexo IV - Exemplo de lista de material necessário para a produção de um contentor para garrafas de vinho
  • 173.
  • 174.
    150 Anexo I -Folha para registo de operações N.º item_______Hora Início________Hora Fim_____________ Componente _______________ _____Operação_____________ Operação seguinte _______________Produto final__________ Hora entrada em stock_______ Stock Valor Comentário Número de peças Tempo de espera Notas acerca da folha de registo:  Número do item - Corresponde ao número da coluna mais à esquerda na lista de materiais que consta do Anexo IV.  Componente - Corresponde à descrição de cada componente/subcomponente na lista de materiais que consta do Anexo IV.  Hora início e hora fim - Corresponde ao intervalo de tempo observado para produzir um determinado lote Componente Valor Comentário Tempo de ciclo Tamanho do lote Número de operadores Up Time
  • 175.
  • 176.
    152 Anexo II -Registo de operações de Setup segundo o método SMED (1/2) Data Setup____________________________________________________________________ Máquina______________________________________________________________________ Componente a finalizar__________________________________________________________ Componente a iniciar___________________________________________________________ ID Designação da atividade Tempo (seg.) Setup interno (seg.) Setup externo (seg.) Tempo Perdido (seg.) 1 2 3 4 5 6 7 8 9 10 11 12 13 14 15 16 17 18 19 20 TOTAL
  • 177.
    153 Anexo II -Classificação de operações de Setup segundo o método SMED (2/2) Data Setup____________________________________________________________________ Máquina______________________________________________________________________ Componente a finalizar__________________________________________________________ Componente a iniciar___________________________________________________________ Atividade Passos de Setup 1 2 3 4 5 6 7 8 9 10 Preparação; ajustamentos; verificação de ferramentas e materiais. Montar e desmontar ferramentas e componentes. Medições; calibrações; definições. Testes e ajustamentos. Atividade Passos de Setup 11 12 13 14 15 16 17 18 19 20 Preparação; ajustamentos; verificação de ferramentas e materiais. Montar e desmontar ferramentas e componentes. Medições; calibrações; definições. Testes e ajustamentos. Passos de Setup Total (s) Preparação; ajustamentos; verificação de ferramentas e materiais. Montar e desmontar ferramentas e componentes. Medições; calibrações; definições. Testes e ajustamentos.
  • 178.
    154 Anexo III -Formulário 5S/visual Workplace Handbook - Production Automation Corporation VSM
  • 179.
  • 180.
    156 Anexo IV -Exemplo de lista de material necessário para a produção de um contentor para garrafas de vinho
  • 181.