DINÂMICA DAS MÁQUINAS E VIBRAÇÕES
Mecânica: Ciência que descreve e prediz as condições de repouso ou
movimento de corpos sob a ação de forças.
• ESTÁTICA: Estudo da ação de forças sobre corpos em repouso
(Equilíbrio Estático):
∑ == 0FR
rr
• CINEMÁTICA: Estudo do movimento, sem alusão às forças que
o causaram.
• DINÂMICA: Estudo que relaciona a ação de forças sobre corpos
com movimentos resultantes (Equilíbrio Dinâmico):
∑ ≠= 0FR
rr
∑ =− 0.amF
rr
Mecânica dos corpos rígidos
ESTÁTICA
v = 0
CINEMÁTICA
v ≠ 0
DINÂMICA
v ≠ 0 (causas)
DINÂMICA DO PONTO MATERIAL
1. Introdução:
A primeira e a terceira lei de Newton foram extensivamente
empregadas na estática para estudarmos os corpos em repouso sob a
ação das forças neles agentes. Essas duas leis também são usadas
em Dinâmica sendo suficientes para estudarmos os movimentos de
corpos que não têm aceleração. Todavia, quando os corpos são
acelerados, isto é, quando as velocidades se modificam em módulo,
direção ou sentido, é necessário utilizar a Segunda Lei de Newton
para relacionar os efeitos (acelerações) com as causas (forças
aplicadas).
2. A Segunda Lei de Newton
A Segunda Lei de Newton pode ser enunciada da seguinte
forma:
“Um ponto material submetido a uma força não nula
adquire um aceleração com módulo proporcional ao
módulo da força e na mesma direção e sentido desta”
A figura 1 (a) mostra um ponto material está sujeito a uma força
F1 constante. Observa-se, experimentalmente, que o ponto material se
desloca em linha reta na direção e sentido da força. Determinando-se
a posição do ponto material em vários instantes, verificamos que a
aceleração possui módulo constante a1.
Figura 01 – Ponto material sujeito a uma força F
Se a experiência for repetida com forças F2, F3 etc., de
diferentes módulos, direções e sentidos, verificaremos, para cada
caso, que o ponto material se deslocará na direção e no sentido da
força que atuar sobre ele e que os módulos a1, a2, a3 etc. das
acelerações serão proporcionais aos módulos F1, F2, F3 etc. das
forças correspondentes.
constante
3
3
2
2
1
1
==== K
a
F
a
F
a
F
O valor constante obtido para a relação entre os módulos das
forças e acelerações é uma característica do ponto material em
consideração: é chamado de MASSA do ponto material. Quando
sobre um ponto material de massa m atua uma força F, a aceleração
a do ponto material e a força F devem satisfazer à relação:
amF
rr
.=
Quando um ponto material estiver sujeito simultaneamente a
várias forças:
amF
rr
.=∑
3. Equações do Movimento
Considere um ponto material de massa m sujeito a ação de
diversas forças. Expressando-se cada força F e a aceleração a em
componentes cartesianas, escrevemos:
( ) ( )kajaiamkFjFiF zyxzyx
rrrrrr
++=++∑ .
Da qual resultam:
xx
amF .=∑
yy
amF .=∑
zz
amF .=∑
Lembrando que as componentes da aceleração são iguais às
derivadas segundas das coordenadas do ponto material, temos:
xmF x
&&.=∑ 2
2
dt
xd
x =&&
ymF y
&&.=∑ 2
2
dt
yd
y =&&
zmF z
&&.=∑ 2
2
dt
zd
z =&&
4. Equilíbrio Dinâmico
Rearranjando-se os termos da equação amF
rr
.=∑ , podemos
escrever a Segunda Lei de Newton na forma alternativa:
0. =−∑ amF
rr
Esta equação mostra que, se adicionarmos o vetor –m.a às
forças que atuam sobre o ponto material, obteremos um sistema de
vetores equivalentes a zero. O vetor –m.a é chamado vetor de inércia.
O ponto material pode, então, ser considerado em equilíbrio sob a
ação das forças dadas e do vetor de inércia. Diz-se que o ponto
material está em Equilíbrio Dinâmico.
Figura 02 – Equilíbrio dinâmico
Quando as componentes tangencial e normal são utilizadas, é
mais conveniente representar o vetor de inércia por suas duas
componentes –m.at e –m.an. A componente tangencial do vetor de
inércia mede a resistência que o ponto material oferece quando se
tenta mudar o módulo de sua velocidade, enquanto a componente
normal (também chamada força centrífuga) representa a tendência do
ponto material em abandonar sua trajetória curvilínea. Observa-se que
qualquer destas duas componentes pode ser zero em condições
especiais: (1) se o ponto material parte do repouso, sua velocidade é
zero e a componente normal do vetor de inércia é zero quando t=0; (2)
se o ponto material se move com velocidade escalar constante ao
longo de sua trajetória, a componente tangencial do vetor de inércia é
zero e somente a componente normal é considerada.
Figura 03 - Ponto material em trajetória curvilínea
DINÂMICA DO PONTO MATERIAL
6. Momento Angular
Considere-se um ponto material P de massa m que se desloca
em relação a um sistema de referência. A quantidade de movimento
de um ponto material, num dado instante, é definida como o vetor mv,
multiplicando-se a velocidade v do ponto material por sua massa m. O
momento em relação a O do vetor mv é chamado de momento da
quantidade de movimento, ou momento angular do ponto material a
O, naquele instante sendo denominado HO.
Denominando r o vetor de posição do ponto P¸ escrevemos:
vmrHO
rr
.×=
Observamos que HO é um vetor perpendicular ao plano que
contém r e mv e tem módulo:
φsen... vmrHO = 




 ⋅
s
mkg 2
onde φ é o ângulo entre r e mv. O sentido de HO pode ser
determinado a partir do sentido de mv, aplicando-se a regra da mão
direita.
Figura 05 – Vetor Momento Angular
Expressando os vetores r e mv em termos de sua coordenadas
cartesianas, escrevemos:
zyx
O
vmvmvm
zyx
kji
H
...
=
As componentes de HO, que também representam os momentos
da quantidade de movimento mv em relação aos eixos coordenados,
podem ser obtidas pelo desenvolvimento do determinante, obtendo-
se:
( )yzx vzvymH .. −⋅=⇒
( )zxy vxvzmH .. −⋅=⇒
( )xyz vyvxmH .. −⋅=⇒
No caso do ponto material que se move no plano Oxy temos
z=vz=0 e as componentes Hx e Hy reduzem-se a zero. O momento
angular é então perpendicular ao plano Oxy e definido pelo escalar:
( )xyzO vyvxmHH .. −⋅==
que pode ser positivo ou negativo dependendo do sentido de
movimento do ponto material, relativamente a O.
DINÂMICA DO PONTO MATERIAL
5. Quantidade de Movimento
Quando sobre um ponto material de massa m atua uma força F,
a aceleração a do ponto material e a força F devem satisfazer à
relação:
amF
rr
.=∑
Substituindo-se a aceleração a pela sua derivada
dt
vd
r
,
escrevemos:
dt
vd
mF
rr
.=∑ ou
( )vm
dt
d
F
rr
=∑
uma vez que se considera constante a massa m do ponto material.
Esta equação mostra que a resultante das forças que atuam
num ponto material é igual à derivada temporal da quantidade de
movimento desse ponto.
O vetor mv é chamado de quantidade de movimento do ponto
material. Ele tem a mesma direção e sentido que a velocidade do
ponto material e seu módulo é igual ao produto da massa m pela
velocidade v do ponto.
Figura 04 – Quantidade de movimento do ponto material
Designando-se por L a quantidade de movimento do ponto
material:
vmL
rr
.=
e por L& sua derivada em relação ao tempo t, podemos escrever:
LF &
r
=∑
Segue-se, da equação ( )vm
dt
d
F
rr
=∑ , que a taxa de variação
da quantidade de movimento mv é zero quando 0=∑F
r
. Então, se a
força resultante que atua em um ponto material é zero, a quantidade
de movimento do ponto material permanece constante, tanto em
módulo com em direção e sentido.
Este é o Princípio da Conservação da Quantidade de Movimento
para um Ponto Material, que podemos reconhecer como em um
enunciado alternativo da Primeira Lei de Newton.
DINÂMICA DO PONTO MATERIAL
6.1. Conservação do Momento Angular
Quando a única força que atua sobre o ponto material P é
uma força F paralela ao vetor de posição r de P em relação a um
ponto fixo O, diz-se que o ponto material se move sob a ação de uma
Força central e o ponto O é chamado de Centro de força. Como a
linha de ação de F passa por O, tem-se que 0=∑ OM em qualquer
instante. Isto significa dizer que constante=OH .
Figura 06 – Ponto material sob a ação de uma força central
Conclui-se, então, que o Momento Angular do ponto
material que se move sob a ação de uma força central é constante em
módulo, direção e sentido. Portanto, tem-se que:
constante. =×= vmrHO
rr
Observa-se, da equação acima, que o vetor posição r do
ponto P deve ser perpendicular ao vetor constante HO.
Figura 07 – Plano de movimento do ponto material
Como o módulo HO do momento angular do ponto material
P é constante, escreve-se:
OOO vmrvmr φφ sen...sen... =
Esta relação aplica-se ao movimento de qualquer ponto
material sob a ação de uma força central. Como a força gravitacional
exercida pelo Sol sobre um planeta é uma força central dirigida para o
centro do Sol, a equação acima é fundamental para o estudo do
movimento planetário, e também para a análise do movimento de
veículos espaciais em órbita ao redor da Terra.
Problema Resolvido 12.8
Lançou um satélite numa direção paralela à superfície da Terra, com
velocidade de 30.281 km/h e a uma altura de 386 km. Determine a
velocidade do satélite quando este atinge a altura máxima de 3.765
km. O raio médio da Terra é de 6.372 km.
DINÂMICA DO PONTO MATERIAL
1. Trabalho de uma força
Considere-se um ponto material que se desloca de um ponto A
até um ponto próximo A’. Se r designa o vetor de posição
correspondente ao ponto A, o pequeno vetor que une A e A’ pode ser
designado pela diferencial dr. O vetor dr é chamado de
DESLOCAMENTO do ponto material.
Figura 01 – Deslocamento do ponto material
Seja F uma FORÇA atuando sobre o ponto material, o
TRABALHO de F correspondente ao deslocamento dr é definido
como a quantidade:
rdFdU
rr
⋅=
O TRABALHO é obtido fazendo-se o produto escalar da força F
e do deslocamento dr.
DINÂMICA DO PONTO MATERIAL
2. Energia Cinética de um ponto material – Princípio do
Trabalho e Energia
Considere-se um ponto material de massa m soba ação da força
F deslocando-se segundo uma trajetória qualquer.
Figura 08 – Ponto material em trajetória
Expressando a Segunda Lei de Newton em termos das
componentes tangenciais da força e da aceleração, tem-se:
tt amF ⋅= ou
dt
dv
mFt ⋅=
onde v é a velocidade escalar do ponto material.
Recordando que
dt
ds
v = e que
dt
ds
ds
dv
dt
dv
⋅= então:
dt
dv
mFt ⋅=
dt
ds
ds
dv
mFt ⋅⋅=
ds
dv
vmFt ⋅⋅=
dvvmdsFt ⋅⋅=⋅
Integrando de A1, onde s = s1 e v = v1, a A2, onde s = s2 e v = v2,
escrevemos:
22
2
1
2
2
2
1
2
1
vmvm
dvvmdsF
v
v
s
s
t
⋅
−
⋅
=⋅=⋅ ∫∫
O primeiro membro da equação representa o Trabalho que a
força F realiza sobre o ponto material durante o deslocamento de A1
até A2, pois:
∫ ⋅=→
2
1
21
s
s
t dsFU
O segundo membro da equação, isto é, o termo
2
2
vm⋅
é
definido como Energia Cinética do Ponto Material e denotada por T:
2
2
vm
T
⋅
=
A Energia Cinética é medida nas mesmas unidades que o
Trabalho, ou seja, em Joules [J].
Pode se escrever, então que:
1221 TTU −=→ ou 2121 TTU =+→
Alternativamente, denotando-se por F e ds o módulo da força e
do deslocamento e por α o ângulo formado entre F e dr:
αcos⋅⋅= dsFdU
Em termos das componentes cartesianas da força e do
deslocamento, para o trabalho dU, tem-se:
)()( kdzjdyidxkFjFiFdU zyx
rrrrrr
++⋅++=
)( dzFdyFdxFdU zyx ⋅+⋅+⋅=
Sendo uma quantidade escalar, o Trabalho possui módulo e
sinal, mas não direção.
A unidade de Trabalho é obtida multiplicando-se a unidade de
Força pela unidade de comprimento. A unidade de Trabalho [N.m] é
chamada de Joule [J];
O Trabalho dU será positivo se o ângulo α for agudo:
0º90 >⇒< dUα
O Trabalho dU será negativo se o ângulo α for obtuso:
0º90 <⇒> dUα
Casos particulares:
• Se a força F tem a mesma direção e sentido de dr:
1cos0 =⇒= αα ⇒ dsFdU ⋅=
• Se a força F tem a mesma direção e sentido oposto ao de dr:
1cosº180 −=⇒= αα ⇒ dsFdU ⋅−=
• Se a força F É perpendicular a dr:
0cosº90 =⇒= αα ⇒ 0=dU
O Trabalho de F durante um deslocamento finito do ponto
material de A1 para A2 é obtido integrando-se a equação ao longo da
trajetória. Este Trabalho é denotado por U1→2 e calculado por:
∫ ⋅=→
2
1
21
A
A
rdFU
rr
Figura 02 - Deslocamento finito de um ponto material
Usando-se a expressão alternativa para o Trabalho elementar
dU, e observando-se que F.cosα representa a componente tangencial
Ft da força e que a variável de integração ds mede a distância
percorrida pelo ponto material ao longo da trajetória, podemos
exprimir o Trabalho U1→2 por:
( ) ∫∫ ⋅=⋅⋅=→
2
1
2
1
cos21
s
s
t
s
s
dsFdsFU α
O Trabalho U1→2 está representado pela área sob a curva obtida
traçando-se Ft = F.cosα em função de s.
Figura 03 – Representação gráfica do Trabalho de uma força
Quando se define a força F por suas componentes cartesianas,
o Trabalho é calculado por:
∫ ⋅+⋅+⋅=→
2
1
)(21
A
A
zyx dzFdyFdxFU
Onde a integração deve ser efetuada ao longo da trajetória
descrita pelo ponto material.
1.1. Trabalho de uma força constante em Movimento
Retilíneo
Quando um ponto material, deslocando-se numa reta, é
impelido por uma força F de módulo e direção constantes o Trabalho
é calculado por:
( ) xFU ∆⋅⋅=→ αcos21
Em que:
• α = ângulo formado pela força e pela direção do movimento;
• ∆x = deslocamento de A1 a A2.
Figura 04 - Trabalho de uma força constante em Movimento Retilíneo
1.2. Trabalho da força peso
O Trabalho do peso P de um corpo é obtido substituindo-
se as componentes de P nas equações:
)( dzFdyFdxFdU zyx ⋅+⋅+⋅=
e
∫ ⋅+⋅+⋅=→
2
1
)(21
A
A
zyx dzFdyFdxFU
Com o eixo y escolhido para cima, tem-se que 0=xF ,
PFy −= e 0=zF , então escrevemos:
dyPdU ⋅−=
2121
2
1
yPyPdyPU
y
y
⋅−⋅=⋅−= ∫→
( ) yPyyPU ∆⋅−=−⋅−=→ 1221
yPU ∆⋅−=→21
Em que:
• ∆y = deslocamento vertical de A1 a A2.
Figura 05 - Trabalho da força P
O Trabalho da força P é igual ao produto de P pelo
deslocamento vertical do centro de gravidade do corpo. O Trabalho é
positivo quando ∆y < 0, isto é, quando o corpo se desloca para baixo.
1.3. Trabalho da Força Exercida por uma Mola
Considere-se um corpo A preso a um ponto fixo B por
meio de uma mola. Supõe-se que a mola não está deformada quando
o corpo está em A0.
Experiências mostram que o módulo da força F exercida
pela mola sobre o corpo A é proporcional à deformação x medida a
partir da posição A0.
Figura 06 – Deformação de uma mola submetida a força F
Daí, tem-se que:
xkF ⋅=
Onde k é a constante da
mola, expressa em N/m, em
unidades do SI.
O Trabalho da força F realizado pela mola durante um
deslocamento finito do corpo de A1 (x = x1) a A2 (x = x2) é obtido
escrevendo-se:
dxxkdxFdU ⋅⋅−=⋅−=
∫ ⋅⋅−=→
2
1
21
x
x
dxxkU
2
2
2
121
2
1
2
1
kxkxU ⋅−⋅=→
Figura 07 – Gráfico: Deformação x Força
DINÂMICA DO PONTO MATERIAL
3. Potência
Potência é definida como a quantidade de trabalho que é
realizada na unidade de tempo. Se ∆U é o Trabalho realizado durante
o intervalo de tempo ∆t, então a Potência média durante esse
intervalo de tempo é:
t
U
∆
∆
=médiaPotência
Fazendo ∆t tender a zero, obtemos no limite:
dt
dU
=Potência
Substituindo dU pelo produto escalar F.dr, podemos escrever:
dt
rdF
dt
dU
rr
⋅
==Potência
Visto que dr/dt representa a velocidade v do ponto de aplicação
de força F, tem-se da equação acima que:
vF
rr
⋅=Potência
Obtém-se a unidade de Potência ao se dividir a unidade de
Trabalho pela unidade de Tempo. Assim, no sistema internacional, a
Potência deve ser dada em J/s. Esta unidade é denominada watt [W].
Tem-se portanto:
s
m
N
s
J
W ⋅== 111
4. Rendimento Mecânico
O rendimento mecânico de uma máquina é definido como a
razão entre o Trabalho produzido e o Trabalho absorvido:
absorvidoTrabalho
produzidoTrabalho
=η
Esta definição se baseia na suposição de que o trabalho é
realizado a uma razão constante. A razão entre o trabalho produzido e
o absorvido é, portanto, igual à razão das variações em que o trabalho
produzido e o absorvido são realizados. Tem-se assim:
absorvidaPotência
produzidaPotência
=η
Por causa da energia perdida devido ao atrito, o trabalho
produzido é sempre menor que trabalho absorvido, e,
consequentemente, a potência produzida é sempre menor que a
potência absorvida.
O rendimento total de uma máquina é sempre menor que 1 e
fornece uma medida das várias perdas de energia envolvidas (perdas
de energia elétrica, térmica, bem como perdas por atrito).
DINÂMICA DO PONTO MATERIAL
5. Forças Conservativas
Uma força F atuando sobre um ponto material A é chamada de
conservativa quando seu trabalho U1→2 é independente da trajetória
seguida pelo ponto material A, quando ele se desloca de A1 para A2.
Assim:
2121 VVU −=→
Em que V é denominada energia potencial de F.
A FORÇA PESO e a FORÇA ELÁSTICA são exemplos de
FORÇAS CONSERVATIVAS, pois seus trabalhos são independentes
da trajetória.
O trabalho realizado pela força peso é independente da
trajetória, uma vez que depende apenas do deslocamento vertical do
ponto material:
yPU ∆⋅−=→21
O trabalho realizado pela força de uma mola é independente da
trajetória, uma vez que depende apenas da deformação (tração ou
compressão) da mola.
2
2
2
121
2
1
2
1
kxkxU ⋅−⋅=→
A força de atrito, por sua vez, não é conservativa. Quando a
força de atrito realiza trabalho, este depende da forma da trajetória:
“Quanto maior for a trajetória percorrida maior será o trabalho
realizado”. A FORÇA DE ATRITO é chamada, então, de FORÇA
DISSIPATIVA assim como a RESISTÊNCIA DO AR.
DINÂMICA DO PONTO MATERIAL
5. Forças Conservativas
Uma força F atuando sobre um ponto material A é chamada de
conservativa quando seu trabalho U1→2 é independente da trajetória
seguida pelo ponto material A, quando ele se desloca de A1 para A2.
Assim:
2121 VVU −=→
Em que V é denominada energia potencial de F.
A FORÇA PESO e a FORÇA ELÁSTICA são exemplos de
FORÇAS CONSERVATIVAS, pois seus trabalhos são independentes
da trajetória.
O trabalho realizado pela força peso é independente da
trajetória, uma vez que depende apenas do deslocamento vertical do
ponto material:
yPU ∆⋅−=→21
O trabalho realizado pela força de uma mola é independente da
trajetória, uma vez que depende apenas da deformação (tração ou
compressão) da mola.
2
2
2
121
2
1
2
1
kxkxU ⋅−⋅=→
A força de atrito, por sua vez, não é conservativa. Quando a
força de atrito realiza trabalho, este depende da forma da trajetória:
“Quanto maior for a trajetória percorrida maior será o trabalho
realizado”. A FORÇA DE ATRITO é chamada, então, de FORÇA
DISSIPATIVA assim como a RESISTÊNCIA DO AR.
DINÂMICA DO PONTO MATERIAL
6. Energia potencial
Às Forças Conservativas associa-se o conceito de ENERGIA
POTENCIAL. A energia potencial é expressa nas mesmas unidades
que o trabalho, isto é, em Joules, caso usadas as unidades no S.I.
6.1. Energia potencial gravitacional
Considerando-se um corpo de peso P que se desloca
seguindo uma trajetória curva a partir de um ponto A1 de altura y1 até
um ponto A2 de altura y2, o trabalho de peso P durante o
deslocamento é:
2121 PyPyU −=→
Figura 09 - Trabalho da força P
O Trabalho de P depende unicamente dos valores inicial e
final da função Py, denominada energia potencial do corpo em relação
à força da gravidade P e é representada por Vg.
2121 gg VVU −=→ yPVg .=
6.2. Energia potencial elástica
Considerando-se um corpo preso à uma mola e que se
desloca de uma posição A1, correspondente a uma deformação x1, a
uma posição A2 , correspondente a uma deformação x2, o trabalho da
força F exercida pela mola sobre o corpo é:
2
2
2
121
2
1
2
1
kxkxU ⋅−⋅=→
Figura 10 – Deformação de uma mola submetida a força F
Obtém-se o trabalho da força elástica subtraindo-se o valor
da função ½ (k.x2
) correspondente à segunda posição do corpo de
seu valor correspondente à primeira posição. Esta função,
representada por Ve, é chamada de energia potencial do corpo em
relação à força elástica F.
2121 ee VVU −=→ 2
. 2
xk
Ve =
A expressão Ve obtida é válida se a deformação da mola é
medida a partir de sua posição não deformada. O trabalho da força
elástica depende exclusivamente das deformações inicial e final da
mola.
Figura 11 – Deformação de uma mola e gráfico
DINÂMICA DO PONTO MATERIAL
7. Conservação da Energia
Quando um ponto material se desloca sob a ação de forças
conservativas, o princípio do trabalho e energia pode ser expresso
conforme segue. Substituindo:
2121 VVU −=→ em 1221 TTU −=→
1221 TTVV −=−
2211 VTVT +=+
A equação acima mostra que, quando um ponto material se
desloca sob a ação de forças conservativas, a soma de sua Energia
Cinética e de sua Energia Potencial permanece constante. A soma
T + V, representada por E, é chamada de Energia Mecânica Total do
ponto material.
21 EE =
Exemplo: Um pêndulo é solto com velocidade nula em A1 e oscila num
plano vertical.
Medindo a energia potencial a partir do nível de A2, em A1 tem-
se:
01 =T
lPV .1 =
lPVT .11 =+ lPE .1 =⇒
Para A2, pelo Princípio do Trabalho e Energia, a velocidade do
pêndulo será:
2121 TTU =+→
yPU ∆⋅−=→21
2
2
vm
T
⋅
=
2121
TTUP =+→
2
.
0.
2
2vm
lP =+
2
.
..
2
2vm
lgm =
2
.
2
2v
lg =
lgv ..22
2 =
lgv ..22 =
Portanto, pelo Princípio da Conservação da Energia, em A2 tem-
se:
2
. 2
2
2
vm
T = tal que lgv ..22 =
Assim,
lP
g
lgP
T .
..2.
.
2
1
2 == lPT .2 =∴
02 =V
lPVT .22 =+ lPE .2 =⇒
Restou demonstrado, portanto, que a energia mecânica total
E = T + V do pêndulo é a mesma em A1 e A2 e, quando o pêndulo
continua se movendo para a direita, a energia cinética vai se
transformando novamente em energia potencial.
Em A3, tem-se que:
03 =T
lPV .3 =
lPVT .33 =+ lPE .3 =⇒
Como a energia mecânica total do pêndulo permanece
constante e como sua energia potencial depende unicamente da
elevação, a energia cinética do pêndulo terá o mesmo valor para
quaisquer dois pontos localizados no mesmo nível. Dessa forma, a
velocidade do pêndulo em A e em A’ é a mesma.
DINÂMICA DO PONTO MATERIAL
8. Princípio do Impulso e Quantidade de Movimento
Considere-se um ponto material de massa m submetido a uma
força F. A segunda lei de Newton pode ser expressa na forma:
( )vm
dt
d
F
rr
=
onde mv é a quantidade de movimento do ponto material.
Multiplicando-se ambos os lados da equação acima por dt e
integrando-se de t1 a t2, tem-se:
( )vmddtF
rr
.. =
12 ...
2
1
vmvmdtF
t
t
−=∫
r
ou, transpondo-se o último termo,
21 ...
2
1
vmdtFvm
t
t
=+ ∫
r
A integral na equação acima é um vetor conhecido como
impulso linear ou simplesmente IMPULSO da força F, durante o
intervalo de tempo considerado. Expressando F em componentes
cartesianas, tem-se que:
∫=→
2
1
.Imp 21
t
t
dtF
r
∫∫∫ ++=→
2
1
2
1
2
1
...Imp 21
t
t
z
t
t
y
t
t
x dtFkdtFjdtFi
rrrrrr
As componentes do impulso da força F são, respectivamente,
iguais às áreas sob as curvas obtidas pelo traçado das componentes
Fx, Fy e Fz em função de t. No caso de uma força F de módulo e
direção constantes, o impulso é representado pelo vetor F(t2-t1), que
tem a mesma direção e sentido que F.
Figura 12 – Componentes do impulso da força F
Usando-se as unidades do S.I., o módulo do Impulso da força é
expresso em N.s, mas recordando a definição de newton, tem-se que;
s
m
kgs
s
m
kgsN .... 2
==
Quando um ponto material está submetido a uma força F,
durante um intervalo de tempo, a quantidade de movimento final m.v2
do ponto material pode ser obtida adicionando-se vetorialmente à sua
quantidade de movimento inicial m.v1 o impulso da força F durante o
mesmo intervalo de tempo.
2211 .Imp. vmvm =+ →
Figura 13 – Ponto material submetido a uma força F
Enquanto a Energia Cinética e o Trabalho são quantidades
escalares, a Quantidade de Movimento e o Impulso são quantidades
vetoriais. Portanto, para se obter uma solução analítica, é conveniente
considerar as três equações escalares equivalentes:
( ) ( )21
...
2
1
x
t
t
xx vmdtFvm =+ ∫
( ) ( )21
...
2
1
y
t
t
yy vmdtFvm =+ ∫
( ) ( )21
...
2
1
z
t
t
zz vmdtFvm =+ ∫
Quando várias forças atuam sobre um ponto material, deve-se
considerar o impulso de cada uma das forças. Tem-se, portanto:
2211 .Imp. vmvm =+ ∑ →
Novamente, a equação obtida representa uma relação entre as
quantidades vetoriais; Na solução real de um problema, consideram-
se as equações escalares em termos das componentes.
Quando um problema envolve dois ou mais pontos, cada um
pode ser considerado separadamente e a equação acima pode ser
escrita para cada ponto material. Pode-se adicionar vetorialmente as
quantidades de movimento de todos os pontos materiais e os
impulsos de todas as forças envolvidas. Assim:
∑∑∑ =+ → 2211 .Imp. vmvm
Como as forças internas entre os pontos materiais formam pares
de forças diretamente opostas e como o intervalo de tempo de t1 a t2 é
comum para todas as forças envolvidas, os impulsos das forças de
ação e reação cancelam-se e, portanto, apenas os impulsos das
forças externas necessitam ser considerados.
Se não se exerce força alguma sobre os pontos materiais, ou
mais geralmente, se a soma das forças externas for zero, o segundo
termo da equação se reduz a:
∑∑ = 21 .. vmvm
Esta equação garante que a quantidade de movimento total dos
pontos materiais se conserva.
DINÂMICA DO PONTO MATERIAL
9. Movimento Impulsivo
Em alguns casos, uma força muito grande pode atuar sobre um
ponto material, durante um pequeno intervalo e produzir uma
mudança considerável na sua quantidade de movimento. Uma força
desse tipo é chamada de força impulsiva e o movimento resultante, de
movimento impulsivo.
Exemplo: Quando uma bola de beisebol é batida, o contato entre
o bastão e a bola ocorre durante um intervalo de tempo ∆t muito curto,
mas o valor da força F exercida pelo bastão sobre a bola é grande e o
impulso resultante F.∆t é suficientemente grande para mudar o
sentido de movimento da bola.
Figura 14 – Quantidade de movimento e atuação da força F
Quando forças impulsivas agem sobre um ponto material:
21 ... vmtFvm =∆+ ∑
Qualquer força que não seja impulsiva pode ser desprezada,
pois, o impulso correspondente é muito pequeno. Forças não
impulsivas compreendem o peso do corpo, a força exercida por uma
mola ou qualquer outra força sabidamente pequena se comparada
com uma força impulsiva. Reações desconhecidas podem ou não ser
impulsivas, de modo que, seus impulsos devem ser incluídos caso
não se prove serem despresíveis.
No caso do movimento impulsivo de vários pontos materiais,
pode-se usar a equação:
∑∑∑ =∆+ 21 ... vmtFvm
MOVIMENTO PLANO DOS CORPOS RÍGIDOS
- Métodos da Energia e da Quantidade de movimento -
1.Introdução
Neste capítulo são utilizados os métodos do trabalho e energia,
e do impulso e quantidade de movimento, para a análise do
movimento de corpos rígidos.
2. Princípio do Trabalho e Energia para um Corpo Rígido
O método do trabalho e energia é apropriado à solução de
problemas que envolvem velocidades e deslocamentos. Sua
vantagem está no fato de que o trabalho das forças e a energia
cinética dos pontos materiais são grandezas escalares.
Para se aplicar o princípio do trabalho e energia na análise do
movimento de um corpo rígido, considera-se que o corpo rígido é
constituído de um número muito grande n de pontos materiais de
massas ∆mi.
Então, escrevemos:
2121 TTU =+→
• T1 , T2 = valores inicial e final da energia cinética total dos pontos
materiais que formam o corpo rígido;
• U1→2 = Trabalho de todas as forças que agem sobre os vários
pontos materiais do corpo.
A Energia Cinética Total é obtida somando-se grandezas
positivas escalares:
( ) 2
1
.
2
1
i
n
i
i vmT ∑=
∆=
A expressão U1→2 representa o trabalho de todas as forças que
atuam nos pontos materiais do corpo, sejam elas internas ou
externas. No entanto, o trabalho total das forças internas de coesão,
entre os pontos materiais de um corpo rígido, é nulo, conforme
demonstração que se segue.
Considerando-se dois pontos materiais A e B de um corpo rígido
e duas forças opostas F e –F que cada um exerce sobre o outro. Em
geral, os deslocamentos dr e dr’ dos pontos considerados sejam
diferentes, as componentes desses deslocamentos projetados sobre
AB são iguais, caso contrário, A e B não se manteriam a uma
distância fixa e o corpo deixaria de ser rígido.
Figura 15 – Forças internas em um corpo rígido
Portanto, o trabalho de F é igual em módulo e de sinal contrário
ao de –F e sua soma é nula. Logo, o trabalho total das forças internas
que atuam nos pontos materiais de um corpo rígido é nulo, e a
expressão U1→2 se reduz ao trabalho das forças externas que atuam
sobre o corpo durante o deslocamento considerado.
3. Trabalho das Forças que atuam em Corpo Rígido
Conforme visto anteriormente, o trabalho de uma força F durante
o deslocamento de seu ponto de aplicação de A1 para A2 é:
∫ ⋅=→
2
1
21
A
A
rdFU
rr
ou
( )∫ ⋅⋅=→
2
1
cos21
s
s
dsFU α
onde F é o módulo da força, α é o angulo que a força faz com a
direção do movimento de seu ponto de aplicação A e s é a variável de
integração que mede a distância percorrida por A ao longo de sua
trajetória.
No cálculo do trabalho das forças externas que atuam num
corpo rígido, convém determinar o trabalho de um binário sem
considerar separadamente o trabalho de cada uma das duas forças
que o formam. Considerem-se as duas forças opostas F e –F, que
formam um binário de momento M e atuam num corpo rígido.
Qualquer deslocamento do corpo transportando A e B,
respectivamente, para A’ e B’’, pode ser dividido em duas partes,
conforme figura abaixo:
Figura 16 – Deslocamento de um corpo rígido
• Parte 1: os pontos A e B tem deslocamentos iguais a dr1 e
• Parte 2: o ponto A’ permanece fixo, enquanto B’ se move para B’’
com um deslocamento dr2, cujo módulo é ds2 = r.dθ.
Na primeira parte do movimento, o trabalho de F é igual em
módulo e de sinal contrário ao de –F, acarretando uma soma nula. Na
Segunda parte do movimento, somente a força F produz trabalho, que
é igual a:
2.dsFdU =
θdFrdU .=
Mas o produto Fr é igual ao módulo do momento M do binário.
Assim, o trabalho de um binário com momento M que atua num corpo
rígido é:
θdMdU .=
onde:
• dθ é o ângulo, expresso em radianos, de que gira o corpo.
O trabalho do binário, durante uma rotação finita do corpo rígido,
é obtido pela integração de ambos os membros da expressão acima,
desde o valor inicial θ1 até seu valor final θ2.
∫=→
2
1
.21
θ
θ
θdMU
Quando o momento M do binário é constante, a fórmula acima
reduz-se a:
( )1221 . θθ −=→ MU
MOVIMENTO PLANO DOS CORPOS RÍGIDOS
- Métodos da Energia e da Quantidade de movimento -
4. Energia Cinética de um Corpo Rígido em Movimento
Plano
Considere-se um corpo rígido de massa m em movimento plano.
Se exprimirmos a velocidade absoluta vi de cada ponto material Pi do
corpo como a soma da velocidade v do centro de massa G do corpo
com a velocidade v’i do ponto material em relação ao sistema Gx’y’
com origem em G e com orientação fixa. A Energia Cinética do
sistema de pontos materiais que formam o corpo rígido pode ser
escrita na forma:
( ) 2
1
2
'.
2
1
..
2
1
i
n
i
i vmvmT ∑=
∆+=
Figura 17 – Velocidade absoluta em um corpo rígido
Mas o módulo v’i da velocidade relativa de Pi é igual ao produto:
ω.'' ii rv =
onde:
• r’i é a distância do ponto material Pi ao eixo que passa por G e é
perpendicular ao plano do movimento e;
• ω é o módulo da velocidade angular do corpo no instante
considerado.
Substituindo v’i na equação, tem-se que:
( ) 2
1
2
1
2
..'
2
1
..
2
1
ω∑=
∆+=
n
i
imrvmT
ou,
A somatória na expressão representa o momento de inércia
I do corpo em relação ao eixo que passa por G, então:
22
..
2
1
..
2
1
ωIvmT +=
No caso particular de um corpo em Translação, ( )0=ω e a
expressão obtida reduz-se a 2
..
2
1
vmT = , enquanto no caso de rotação
baricêntrica ( )0=v tem-se
2
..
2
1
ωIT = . Conclui-se que a energia cinética
de um corpo rígido em movimento plano se divide em duas partes:
(1) A energia cinética 2
..
2
1
vm associada ao movimento do centro de
massa do corpo;
(2) A energia cinética
2
..
2
1
ωI associada à rotação do corpo em torno
de G.
Momentos de Inércia de sólidos comuns
Haste delgada 2
12
1
mLII zy ==
Placa retangular
( )22
12
1
cbmIx +=
2
12
1
mcIy =
2
12
1
mbIz =
Prisma retangular
( )22
12
1
cbmIx +=
( )22
12
1
camIy +=
( )22
12
1
bamIz +=
Disco fino
2
12
1
mrIx =
2
4
1
mrII zy ==
Cilindro circular
2
2
1
maIx =
( )22
3
12
1
LamII zy +==
Cone circular
2
10
3
maIx =






+== 22
4
1
5
3
hamII zy
Esfera 2
5
2
maIII zyx ===
MOVIMENTO PLANO DOS CORPOS RÍGIDOS
- Métodos da Energia e da Quantidade de movimento -
5. Conservação da Energia
O Trabalho de forças conservativas, como o peso de um corpo
ou a força exercida por uma mola, pode ser expresso como uma
variação da energia potencial.
2121 VVU −=→
Quando um corpo rígido se move soba ação de forças
conservativas, o princípio do trabalho e energia pode ser apresentado
de forma modificada.
2121 TTU =+→
Então, escrevemos:
2211 VTVT +=+
A equação acima mostra que, quando um corpo rígido se move
sob a ação de forças conservativas, a soma das energias cinética e
potencial permanece constante.
Observe-se que, no caso do movimento plano de um corpo
rígido, a energia cinética do mesmo inclui tanto o termo devido à
translação, 2
..
2
1
vm , como o termo devido à rotação
2
..
2
1
ωI .
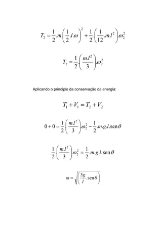
Exemplo:
Considere uma barra delgada AB, de comprimento l e massa m,
cujas extremidades estão ligadas a blocos de massas desprezíveis,
que deslizam ao longo de guias horizontal e vertical. A barra parte do
repouso na posição horizontal sem velocidade inicial. Determine a
velocidade angular da barra depois que a mesma girou de um
ângulo θ.
Resolução:
Sendo nula a velocidade inicial, então:
01 =T
Tomando como referência para medição da energia potencial o
nível da guia na posição horizontal, tem-se que:
01 =V
Após a barra ter girado de um ângulo θ, o centro de gravidade G
da barra está a uma distância θsen..
2
1
l , abaixo do nível de referência,
então:
θsen...
2
1
2 lPV −= θsen....
2
1
2 lgmV −=⇒
Nessa posição, o centro instantâneo de rotação da barra está
localizado em C e que lCG .
2
1
= . Assim:
ω..
2
1
2 lv =
Para o cálculo da energia cinética na posição final desejada:
2
2
2
22 ..
2
1
..
2
1
ωIvmT +=
2
2
2
2
2 ...
12
1
.
2
1
..
2
1
..
2
1
ωω 





+





= lmlmT
2
2
2
2 .
3
.
.
2
1
ω





=
lm
T
Aplicando o princípio da conservação da energia:
2211 VTVT +=+
θω sen....
2
1
.
3
.
.
2
1
00 2
2
2
lgm
lm
−





=+
θω sen....
2
1
.
3
.
.
2
1 2
2
2
lgm
lm
=











= θω sen.
3
l
g
VIBRAÇÕES MECÂNICAS
1.Introdução
No cotidiano do mundo moderno nos deparamos com inúmeros
fenômenos físicos associados a vibrações mecânicas e suas
manifestações. Podemos vivenciar a sensação induzida pelo
movimento mecânico de alta freqüência e de pequena amplitude de
deslocamento em aparelhos de uso doméstico, como aparelho elétrico
de barbear, aspirador de pó, secador de cabelo, máquina de lavar
roupa, telefone celular, desagradável em geral, associado a ruído
sonoro e que conduz à fadiga física após certo tempo de exposição.
Em automóveis e outros veículos de transporte sentimos o efeito
dos movimentos e acelerações induzidos, causados pelas
irregularidades nas vias de tráfego. Na indústria, máquinas de
produção de bens são, em geral, compostas por inúmeros eixos e
elementos mecânicos que giram com rotações elevadas e induzem
movimentos vibratórios ao piso das fábricas, as quais são transmitidas
ao corpo dos operadores e às máquinas vizinhas, gerando ruídos
intensos e insuportáveis em caso de longos períodos de exposição.
Dessa forma, na fase de projeto, procura-se antecipar
problemas que possam causar desconforto ou falha prematura de
equipamentos e máquinas através de análise de vibração, eliminando
possíveis fontes de vibrações.
Para tal, utilizam-se componentes isoladores de vibrações,
fabricados a partir de materiais elastoméricos, com propriedades de
amortecimento e rigidez adequados para determinadas aplicações.
Além dos problemas que afetam o conforto e a saúde, a
vibração promove o desgaste prematuro de superfícies em contato,
como o caso de mancais, onde se apoiam eixos e elementos girantes.
Em situações mais drásticas, a vibração pode levar à ruptura
prematura de elementos de fixação e apoio de máquinas, causando
danos materiais e humanos.
Ressalta-se que podem ocorrer falhas em componentes
mecânicos em conseqüência de fadiga de material associada da
cargas dinâmicas moderadas, mas repetitivas, cíclicas e acumuladas,
que tendem a reduzi a duração física dos elementos de máquinas.
Nesses casos, se não for possível eliminar totalmente a
vibração, deve-se ao menos, tentar mantê-la sob controle e, com o
auxílio de planejamento e programação de manutenção apropriados,
antecipar a substituição de componentes antes que as avarias
ocorram.
Assim, a compreensão dos fenômenos vibratórios, associada à
utilização de ferramentas de medidas e instrumentação e à análise
por computador, pode ajudar a melhorar o projeto e a operação de
máquinas, veículos e aparelhos de uso geral sob o ponto de vista da
vibração e do ruído.
2. Definições
Vibração mecânica: Movimento de um ponto material ou de um
corpo que oscila em torno de uma posição de equilíbrio.
A vibração é, geralmente, produzida quando um sistema é
deslocado de sua posição de equilíbrio estável. O sistema tende a
retornar a esta posição sob a ação de forças restauradoras (força
elástica, como no caso de uma massa presa a uma mola, ou força
gravitacional, como no caso do pêndulo). Mas o sistema passa pela
sua posição original com uma certa velocidade que o leva além desta
posição. Como o processo pode se repetir, o sistema mantém-se em
movimento oscilatório ao redor de sua posição de equilíbrio.
Período: Intervalo de tempo necessário para o sistema
completar um ciclo inteiro de movimento;
Freqüência: Número de ciclos por unidade de tempo;
Amplitude: Máximo deslocamento do sistema de sua posição
de equilíbrio.
3. Tipos de vibrações
Vibração livre: Quando o movimento é mantido somente por
forças restauradoras, diz-se que a vibração é livre.
Vibração forçada: Quando uma força periódica é aplicada ao
sistema, o movimento resultante é descrito como uma vibração
forçada.
Vibração não amortecida: Quando o efeito do atrito pode ser
desprezado, diz-se que as vibrações são não amortecidas.
Embora todas as vibrações sejam realmente amortecidas, em
maior ou menor grau, se uma vibração livre é levemente amortecida,
sua amplitude decresce vagarosamente até o movimento cessar. Por
outro lado, o amortecimento pode ser tão grande que impeça qualquer
vibração; o sistema então retorna vagarosamente à sua posição
original.
Vibração forçada amortecida: Uma vibração forçada
amortecida é mantida durante o tempo em que a força periódica que
produz a vibração é aplicada. A amplitude da vibração, entretanto, é
afetada pelo módulo das forças de amortecimento.
VIBRAÇÕES MECÂNICAS
1.Vibrações sem Amortecimento
1.1. Pontos materiais em vibrações livres
Considere-se um corpo de massa m preso a uma mola de
constante k. Quando o ponto material está em equilíbrio estático, as
forças que atuam sobre ele são seu peso P e a força T exercida pela
mola, de módulo estkT δ.= , onde estδ representa a elongação da mola.
Figura 01 - Corpo de massa m preso a uma mola de constante k
Portanto, tem-se que:
estkP δ.= (01)
Supondo que o ponto material é deslocado de uma distância xm
de sua posição de equilíbrio e liberado com velocidade inicial nula. Se
xm for escolhido menor que estδ , o ponto material irá mover-se para
cima e para baixo de sua posição de equilíbrio produzindo-se uma
vibração de amplitude xm.
Figura 02 - Ponto material deslocado de uma distância xm
Para analisar a vibração, considere o ponto material na posição
P em algum instante arbitrário t. Denotando por x o deslocamento OP
medido a partir da posição de equilíbrio O (positivo para baixo),
observa-se que as forças que atuam sobre o ponto material são seu
peso P e a força T exercida pela mola que, nesta posição, tem módulo
).( xkT est += δ .
O módulo da força F resultante das duas forças é:
xkxkPF est .).( −=+−= δ
xkF .−= (02)
Assim, a resultante das forças exercidas sobre o ponto material
é proporcional ao deslocamento OP medido a partir da posição de
equilíbrio. A força F é sempre dirigida para a posição de equilíbrio.
Substituindo-se F na equação fundamental, amF .= e
lembrando que a é a segunda derivada, x&& , de x em relação ao tempo t
escrevemos a equação diferencial linear de segunda ordem:
0.. =+ xkxm && (03)
Dividindo-se os dois lados da equação (03) por m, tem-se que:
mm
xk
m
xm 0..
=+
&&
e obtém-se:
0
.
=+
m
xk
x&&
A freqüência angular p é definida por:
m
k
p =2
(04)
Assim, a expressão (03) pode ser escrita na forma:
0.2
=+ xpx&& (05)
O movimento definido pela equação (05) é denominado
Movimento Harmônico Simples. Caracteriza-se pelo fato de que a
aceleração é proporcional ao deslocamento e de sentido oposto.
As funções ( )ptx sen1 = e ( )ptx cos2 = satisfazem a equação
(05) e, portanto, constituem-se em soluções particulares. A solução
geral da equação (04) é obtida multiplicando-se as soluções
particulares por constantes arbitrárias A e B e adicionando-as:
21 .. xBxAx +=
)cos(.)sen(. ptBptAx += (06)
Derivando-se duas vezes a equação (06), obtém-se,
sucessivamente, a velocidade e a aceleração no instante t:
)sen(..)cos(.. ptpBptpAvx −==& (07)
)cos(..)sen(.. 22
ptpBptpAax −−==&& (08)
Substituindo-se (06) e (08) em (05), verifica-se que a equação
(06) fornece a solução geral da equação (05), devido à presença das
constantes arbitrárias A e B, cujos valores dependem das condições
iniciais do movimento.
Verificação:
0.2
=+ xpx&&
0))cos(.)sen(..()cos(..)sen(.. 222
=++−− ptBptApptpBptpA
0)cos(..)sen(..)cos(..)sen(.. 2222
=++−− ptpBptpAptpBptpA
00 =
Os valores das constantes de integração A e B, na equação (06)
dependem de como a integração teve origem, ou seja, das condições
iniciais do movimento.
Por exemplo, se deslocarmos a massa de uma distância 0xx =
e começarmos a contar o tempo, no instante em que a largamos, as
condições de partida são: Quando 0=t , 0xx = e quando 0=t ,
00 == vx& , pois a velocidade da massa no instante inicial é nula.
Verificação:
Para o Deslocamento: Para a Velocidade:
)cos(.)sen(. ptBptAx +=
)cos(.)(.0 ptBptsenAx +=
)0.cos(.)0.(.0 pBpsenAx +=
)0cos(.)0sen(.0 BAx +=
1.0.0 BAx +=
0xB =
)sen(..)cos(.. ptpBptpAv −=
)sen(..)cos(..0 ptpBptpAv −=
)0.(..)0.cos(..0 psenpBppA −=
)0(..)0cos(..0 senpBpA −=
0..1..0 pBpA −=
0..0 −= pA
0=A
Substituindo-se os valores encontrados, a equação (06) pode
ser escrita na seguinte forma:
)cos(.0 ptxx = (09)
O movimento também pode ser iniciado, dando-se à massa uma
velocidade inicial 0v . Então, as condições iniciais são: Quando 0=t ,
0=x e quando 0=t , 0vx =& .
Verificação:
Para o Deslocamento: Para a Velocidade:
)cos(.)sen(. ptBptAx +=
)cos(.)(.0 ptBptsenA +=
)0.cos(.)0.(.0 pBpsenA +=
)0cos(.)0(.0 BsenA +=
1.0.0 BA +=
0=B
)sen(..)cos(.. ptpBptpAv −=
)(..)cos(..0 ptsenpBptpAv −=
)0.(..)0.cos(..0 psenpBppAv −=
)0(..)0cos(..0 senpBpAv −=
0..1..0 pBpAv −=
0..0 −= pAv
p
v
A 0
=
Substituindo-se os valores encontrados, a equação (06) pode
ser escrita na seguinte forma:
)(.0
ptsen
p
v
x = (10)
Para o caso mais geral, substitui-se 0=t e os valores iniciais
0xx = e 0vx =& do deslocamento e da velocidade em (06) e (07).
Verificação:
Para o Deslocamento: Para a Velocidade:
)cos(.)sen(. ptBptAx +=
)cos(.)sen(.0 ptBptAx +=
)0.cos(.)0.sen(.0 pBpAx +=
)0cos(.)0sen(.0 BAx +=
1.0.0 BAx +=
0xB =
)sen(..)cos(.. ptpBptpAv −=
)sen(..)cos(..0 ptpBptpAv −=
)0.sen(..)0.cos(..0 ppBppAv −=
)0sen(..)0cos(..0 pBpAv −=
0..1..0 pBpAv −=
0..0 −= pAv
p
v
A 0
=
Substituindo-se os valores encontrados, a equação (06) pode
ser escrita na seguinte forma:
)cos(.)(. 0
0
ptxptsen
p
v
x += (11)
Por outro lado, A será igual a 0 caso o ponto material seja
deslocado de sua posição de equilíbrio 0=x e liberado em 0=t
com velocidade inicial nula, 00 == vx& , e B será igual a 0 se P parte
de O em t = 0 com determinada velocidade inicial.
Verificação:
Para o Deslocamento: Para a Velocidade:
)cos(.)sen(. ptBptAx +=
0)cos(.)sen(. =+ ptBptA
0)0.cos(.)0.sen(. =+ pBpA
0)0cos(.)0sen(. =+ BA
01.)0.( =+ BA
01. =B
0=B
)sen(..)cos(.. ptpBptpAv −=
)sen(..)cos(..0 ptpBptpAv −=
)0.(..)0.cos(..0 psenpBppA −=
)0(..)0cos(..0 senpBpA −=
0..1..0 pBpA −=
0..0 −= pA
0=A
O movimento harmônico simples de um ponto material P pode
ser obtido, projetando-se em um eixo o movimento de um ponto Q que
descreve uma circunferência circular de raio xm, com uma velocidade
angular constante p. Isto permite que as equações do deslocamento,
da velocidade e da aceleração possam ser escritas de forma mais
compacta, conforme abaixo.
A figura 03 mostra o diagrama deslocamento-tempo. Nela se
observa a ordenada do gráfico representando o deslocamento x e a
abscissa considerada como o eixo do tempo, ou do deslocamento
angular.
Figura 03 – Diagrama deslocamento-tempo
Lembrando que a equação (06), )cos(.)sen(. ptBptAx += , mostra
que o deslocamento OPx = é a soma das componentes na direção x
de dois vetores A e B, pela figura 03 observa-se que:
O módulo do vetor resultante OQ é igual ao deslocamento xm;
φ é o ângulo formado entre os vetores OQ e A;
A partir de tais observações escreve-se que:
OQ
OP
ptsen =+ )( φ
)(. φ+= ptsenOQOP (12)
Portanto, substituindo-se OPx = e OQxm = , tem-se que:
)(. φ+= ptsenxx m (13)
Derivando-se duas vezes a equação (13), obtém-se,
sucessivamente, a velocidade e a aceleração no instante t:
)cos(.. φ+== ptpxvx m
& (14)
)(.. 2
φ+−== ptsenpxax m
&& (15)
Os valores máximos dos módulos da velocidade e da aceleração
são:
pxv mm .= (16)
2
.pxa mm = (17)
O valor máximo do deslocamento xm é chamado Amplitude da
vibração.
A velocidade angular p do ponto Q, que descreve a
circunferência auxiliar é chamada de Freqüência Angular ou Pulsação
da vibração é medida em [rad/s].
O ângulo φ que define a posição de Q no círculo é chamado de
Ângulo de fase.
O Período de vibração é definido por τ medido em [s].
p
π
τ
2
= (18)
O número de ciclos descritos na unidade de tempo é
representado por f, chamado de Freqüência da vibração, e medido em
Hertz [Hz].
πτ 2
1 p
f == (19)
Hzs
60
1
60
1
rpm1 1
== −
e rad/s
60
2
rpm1
π
=
1.2. Vibrações forçadas
As vibrações mais importantes do ponto de vista da
Engenharia são as vibrações forçadas de um sistema. Essas
vibrações ocorrem, quando o sistema é submetido a uma força
periódica ou quando está elasticamente ligado a um suporte que tem
movimento alternado.
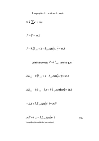
1.2.1. Força periódica
Considere-se inicialmente o caso de um corpo de
massa m suspenso por uma mola e submetido a uma força periódica
F de intensidade )sen(. tFF m ω= . Chamando de x o deslocamento do
corpo medido a partir de sua posição de equilíbrio:
Figura 04 – Sistema submetido a vibração forçada
A equação do movimento será:
amF .=↓⊕ ∑
xmTPtFm
&&.)sen(. =−+ω
( ) xmxkPtF estm
&&.)sen(. =+−+ δω
Lembrando que estkP δ.= , tem-se que:
xmxkkktF estestm
&&....)sen(. =−−+ δδω
xmxktFm
&&..)sen(. =−ω
)sen(... tFxkxm m ω=+&& (20)
(equação diferencial não homogênea)
1.2.2. Deslocamento elástico
Considere-se agora o caso de um corpo de massa m
suspenso por uma mola presa a um suporte móvel cujo deslocamento
δ é igual a )sen(. tm ωδδ = . Medindo o deslocamento x do corpo a partir
da posição de equilíbrio estático correspondente a 0=tω , tem-se o
seguinte resultado para a elongação da mola no instante t
( )tx mest ωδδ sen.−+ .
Figura 05 – Suporte de movimento alternado
A equação do movimento será:
amF .=↓⊕ ∑
xmTP &&.=−
( )( ) xmtxkP mest
&&.sen.. =−+− ωδδ
Lembrando que estkP δ.= , tem-se que:
( )( ) xmtxkk mestest
&&.sen... =−+− ωδδδ
( ) xmtkxkkk mestest
&&.sen..... =+−− ωδδδ
( ) xmtkxk m
&&.sen... =+− ωδ
( )tkxkxm m ωδ sen.... =+&& (21)
(equação diferencial não homogênea)
As equações (20) e (21) são do mesmo tipo e a solução da
primeira equação satisfará à segunda se colocarmos: mm kF δ.= .
1.2.3. Solução particular
Uma equação diferencial do tipo (20) ou (21) que
possui um segundo membro diferente de zero, é chamada não-
homogênea. Sua solução geral é obtida adicionando-se uma solução
particular da equação dada à solução geral da correspondente
equação homogênea (com o segundo membro igual a zero).
)sen(. txx mpart ω= (22)
)cos(.. txx m ωω=⇒ &
)sen(.. 2
txx m ωω−=⇒ &&
Para a equação (20):
)sen(... tFxkxm m ω=+&&
( ) ( ) )sen(.)sen(..)sen(... 2
tFtxktxm mmm ωωωω =+−
)sen(.)sen(..)sen(... 2
tFtxktxm mmm ωωωω =+−
mmm Fxkxm =+− ... 2
ω
mm Fmkx =− )...( 2
ω
)..( 2
ωmk
F
x m
m
−
=
Como
m
k
p =2
, onde p é a freqüência angular da
vibração livre do corpo, dividindo-se o segundo membro da expressão
acima por k, tem-se que:
k
mk
k
F
x
m
m 2
..ω−
=
k
m
k
k
k
F
x
m
m 2
.ω
−
=⇒
2
2
1
p
k
F
x
m
m
ω
−
=⇒
2
1 





−
=∴
p
k
F
x
m
m
ω (23)
Para (21), de modo análogo, a amplitude máxima da
vibração será:
2
1 





−
=
p
kx
m
m
ω
δ
(23´)
A equação homogênea correspondente a equação
(20) ou (21) é a equação (03), que define a vibração livre do corpo.
Sua solução geral, chamada função complementar, foi definida por:
)cos(.)sen(. ptBptAxcomp += (24)
Somando-se a solução particular (22) e a função
complementar (24), obtém-se a solução geral das equações (20) e
(21).
)sen(.)cos(.)sen(. txptBptAx m ω++= (25)
A vibração obtida consiste em duas vibrações
superpostas:
• Os dois primeiros termos em (25) representam a vibração livre do
sistema, também denominada vibração TRANSITÓRIA. A
freqüência desta vibração (freqüência natural) depende apenas da
constante k da mola e da massa m do corpo ( m
kp =2
), sendo que
as constantes arbitrárias A e B, podem ser determinadas a partir
das condições iniciais do movimento;
• O último termo da equação (25) representa a vibração do estado
ESTACIONÁRIO, produzida e mantida pela força que a imprime ou
que é imprimida pelo movimento de um suporte. Sua freqüência é a
freqüência forçada imposta pela força ou pelo movimento do
suporte, de modo que sua amplitude xm depende da razão entre as
freqüências, ou seja,
p
ω
, bastando-se observar as equações (23) e
(23´).
• A razão entre a amplitude xm da vibração do estado estacionário e
a deflexão estática
k
Fm
causada por uma força de intensidade Fm ou
pela amplitude δm do movimento do suporte é chamada fator de
ampliação:
2
m
m
m
1
1x
k
F
x
AmpliaçãodeFator






−
===
p
m ωδ (26)
O fator de ampliação versus a razão das freqüências
p
ω
está representado graficamente na figura 06 abaixo:
Figura 07 – Gráfico: Fator de ampliação x a razão das freqüências
• Quando p=ω , amplitude da vibração forçada torna-se infinita.
Diz-se que a força excitadora ou o movimento excitador do suporte
está em ressonância com o sistema dado. Tal situação deve ser
evitada e a freqüência forçada não deve ser escolhida muito
próxima da freqüência natural do sistema;
• Quando p<ω , o coeficiente ( )tωsen é positivo e diz-se que a
vibração forçada está em fase com a força excitadora ou o
movimento excitador do suporte, enquanto que para p>ω , o
coeficiente ( )tωsen é negativo, dizendo-se que a vibração forçada
está em defasagem.
2. Vibrações Amortecidas
Um tipo de amortecimento de especial interesse é o
amortecimento viscoso causado pelo atrito fluido a baixas e
moderadas velocidades. O amortecimento viscoso é caracterizado
pelo fato de que a força de atrito é diretamente proporcional à
velocidade do corpo que se move.
2.1. Vibrações livres amortecidas
Considere-se inicialmente o caso de um corpo de massa m
suspenso por uma mola de constante k e preso ao êmbolo de um
cilindro.
Figura 08 – Sistema submetido à vibração amortecida
O módulo da força de atrito exercida sobre o êmbolo pelo
fluido que o envolve, ou Força de Amortecimento, é igual a
xcFAmort
&.= , onde a constante c expressa em (N.s/m) é conhecida
como coeficiente de amortecimento viscoso.
Chamando de x o deslocamento do corpo medido a partir
de sua posição de equilíbrio, a equação do movimento será:
amF .=↓⊕ ∑
xmxcTP &&& .. =−−
( ) xmxcxkP est
&&& .. =−+− δ
Lembrando que estkP δ.= , tem-se que:
xmxcxkkk estest
&&& ..... =−−− δδ
xmxcxk &&& ... =−−
0... =++ xkxcxm &&& (27)
(equação diferencial homogênea de 2ª ordem)
Esta equação diferencial homogênea de 2ª ordem
apresenta uma solução da forma
t
ex λ
= . Então,
t
ex λ
λ=& e
t
ex λ
λ2
=&& .
Substituindo-se a solução e suas respectivas derivadas na
equação (27):
0... =++ xkxcxm &&&
( ) ( ) ( ) 0... 2
=++ ttt
ekecem λλλ
λλ
( ) 0... 2
=++ kcme t
λλλ
Como 0≠t
eλ
, então ( )kcm ++ λλ .. 2
é tratada como
uma equação do 2º grau de raízes:
2
22
4
4
22
4
m
mc
m
c
m
mkcc −
±
−
=
−±−
=λ
m
k
m
c
m
c
−





±
−
=
2
22
λ (28)
Definindo como coeficiente de amortecimento crítico cc, o
valor de c que anula o radical, tem-se:
0
2
2
=−





m
k
m
cc
( ) m
k
m
cc
=2
2
2
( )
m
km
cc
2
2 2
=
m
k
mcc .2=
pmcc .2= (29)
Onde p é a freqüência angular do sistema sem
amortecimento.
Têm-se então, dependendo do valor da constante c, três
casos diferentes de amortecimento:
1. Amortecimento supercrítico: c > cc
Quando c > cc, as raízes λ1 e λ2 são ambas reais e
distintas e a solução geral da equação diferencial (27) é:
tt
eBeAx 21
.. λλ
+= (30)
Neste caso, o movimento não é vibratório. O efeito do
amortecimento é tão forte que quando o bloco é deslocado e
abandonado, ele voltará simplesmente para a sua posição
original sem oscilar (sistema superamortecido).
2. Amortecimento crítico: c = cc
Quando c = cc, as raízes λ1 e λ2 são ambas reais e iguais.
Tem-se:
m
c
m
c cc
2
0
2
−
=⇒±
−
= λλ
m
mp
2
2−
=λ p−=∴λ
E a solução geral da equação diferencial (27) é:
pt
eBtAx −
+= ).( (31)
Esta situação é conhecida como amortecimento crítico,
pois ela representa uma condição onde c tem o menor valor
necessário para causar o movimento não oscilatório do sistema.
O bloco deslocado e abandonado retorna à sua posição de
equilíbrio sem oscilar, no menor tempo possível.
3. Amortecimento subcrítico: c < cc
Quando c < cc, as raízes λ1 e λ2 são complexas e
conjugadas e a solução geral da equação diferencial (27) é:
)cos...(
.
2
qtBsenqtAex
t
m
c
+=






−
(32)
Onde q é definido pela relação:
2
2
2






−=
m
c
m
k
q
Substituindo
2
p
m
k
= :
2
1 





−=
cc
c
pq (33)
Onde a razão c/cc é conhecida como fator de
amortecimento.
Esta situação é conhecida como amortecimento subcrítico
e o movimento resultante é vibratório com amplitude
decrescente, figura 09, de modo que a solução geral pode ser
escrita na forma:
).(.
.
2
φ+=






−
senqtexx
t
m
c
m (34)
Figura 09 – Amortecimento subcrítico:
Movimento vibratório com amplitude decrescente
2.2. Vibrações forçadas amortecidas
Submetendo-se o bloco ilustrado pela figura 08 a uma
força periódica F de intensidade )sen(. tFF m ω= , a equação do
movimento torna-se:
tsenFxkxcxm m ω.... =++ &&& (35)
(equação diferencial não homogênea de 2ª ordem)
A solução particular da equação diferencial de 2ª ordem
não homogênea no estado estacionário é do tipo:
)(. ϕω −= tsenxx mpart
E suas derivadas são representadas por:
)cos(.. ϕωω −= txx m
& e
)(... 2
ϕωω −−= tsenxx m
&&
Em que:
• φ é o ângulo de fase.
Substituindo a solução particular em (35):
tsenFxkxcxm m ω.... =++ &&&
[ ] [ ] [ ] tsenFtsenxktxctsenxm mmmm ωϕωϕωωϕωω .)(..)cos(...)(.... 2
=−+−+−−
Para os ângulos
0)( =−ϕωt (I)
2
)(
π
ϕω =−t (II), tem-se que:
De (I): 0)( =−ϕωt ϕω =⇒ t
[ ] [ ] [ ] tsenFtsenxktxctsenxm mmmm ωϕωϕωωϕωω .)(..)cos(...)(.... 2
=−+−+−−
[ ] [ ] [ ] ϕωω senFsenxkxcsenxm mmmm .)0(..)0cos(...)0(.... 2
=++−
[ ] [ ] [ ] ϕω senFxkxcm mmm .0..1...0. =++
ϕω senFxc mm ... = (36)
De (II):
2
)(
π
ϕω =−t
2
π
ϕω +=⇒ t
[ ] [ ] [ ] tsenFtsenxktxctsenxm mmmm ωϕωϕωωϕωω .)(..)cos(...)(.... 2
=−+−+−−
)
2
(.)
2
(..)
2
cos(...)
2
(.... 2 π
ϕ
ππ
ω
π
ω +=





+





+





− senFsenxkxcsenxm mmmm
[ ] [ ] [ ] ϕωω cos.1..0...1.... 2
mmmm Fxkxcxm =++−
ϕω cos.... 2
mmm Fxkxm =+−
ϕω cos.)..( 2
mm Fxmk =− (37)
Dividindo-se (36) por (37):
m
m
m
m
xmk
xc
F
senF
)..(
..
cos.
.
2
ω
ω
ϕ
ϕ
−
=
2
.
.
ω
ω
ϕ
mk
c
tg
−
= (38)
Lembrando que 2
p
m
k
= , onde p é a freqüência angular da
vibração não amortecida e que pmcc .2= é o coeficiente de
amortecimento crítico:
2
1
..2






−












=
p
pc
c
tg c
ω
ω
ϕ
(39)
A equação (39) define a defasagem φ entre a força
excitadora de intensidade )sen(. tFF m ω= ou o movimento excitador
do suporte )(. tsenm ωδδ = e a vibração do estado estacionário do
sistema amortecido em função da razão entre as freqüências
p
ω
e do
fator de amortecimento
cc
c
.
Por sua vez, elevando-se ao quadrado ambos os membros
das equações (36) e (37) e somando-se, tem-se que:
ϕω 22222
... senFxc mm = +
ϕω 22222
cos..).( mm Fxmk =−
)cos.(].).().[( 2222222
ϕϕωω +=+− senFxcmk mm
22222
].).().[( mm Fxcmk =+− ωω
222
2
2
).().( ωω cmk
F
x m
m
+−
=
222
).().( ωω cmk
F
x m
m
+−
= (40)
Lembrando que 2
p
m
k
= , onde p é a freqüência angular da
vibração não amortecida e que pmcc .2= é o coeficiente de
amortecimento crítico:
222
..21
1


















+














−
==
pc
c
p
x
kF
x
c
m
m
m
m
ωω
δ (41)
A equação (41) fornece o fator de ampliação
kF
x
m
m
ou
m
mx
δ
em função da razão entre as freqüências
p
ω
e o fator de
amortecimento
cc
c
. Ela pode ser empregada para determinar a
amplitude da vibração do estado estacionário produzida por uma força
excitadora de intensidade )sen(. tFF m ω= ou o movimento excitador
do suporte )(. tsenm ωδδ = .
O fator de ampliação está representado graficamente em
função da razão entre as freqüências, na figura 10, para vários valores
do fator de amortecimento. Nela se observa que a amplitude de uma
vibração forçada pode ser mantida pequena pela escolha de um
coeficiente de amortecimento viscoso grande ou mantendo bem
diferentes os valores das freqüências naturais e forçadas.
Figura 10 – Fator de ampliação em sistemas forçados amortecidos
Lista de Exercícios – Dinâmica das Máquinas
Prof. Ricardo B. Elias
===============================================================
Vibrações Livres
===============================================================
Vibrações Forçadas
===============================================================
Energia Cinética – Princípio do Trabalho e Energia
===============================================================
Potência e Rendimento
===============================================================
Conservação da Energia
===============================================================
Princípio do Impulso e da Quantidade de Movimento
LISTA DE EXERCÍCIOS DE DINÂMICA DE MÁQUINAS E VIBRAÇÕES
Dinâmica de máquinas e vibrações
Dinâmica de máquinas e vibrações
Dinâmica de máquinas e vibrações
Dinâmica de máquinas e vibrações
Dinâmica de máquinas e vibrações

Dinâmica de máquinas e vibrações

  • 1.
    DINÂMICA DAS MÁQUINASE VIBRAÇÕES Mecânica: Ciência que descreve e prediz as condições de repouso ou movimento de corpos sob a ação de forças. • ESTÁTICA: Estudo da ação de forças sobre corpos em repouso (Equilíbrio Estático): ∑ == 0FR rr • CINEMÁTICA: Estudo do movimento, sem alusão às forças que o causaram. • DINÂMICA: Estudo que relaciona a ação de forças sobre corpos com movimentos resultantes (Equilíbrio Dinâmico): ∑ ≠= 0FR rr ∑ =− 0.amF rr Mecânica dos corpos rígidos ESTÁTICA v = 0 CINEMÁTICA v ≠ 0 DINÂMICA v ≠ 0 (causas)
  • 2.
    DINÂMICA DO PONTOMATERIAL 1. Introdução: A primeira e a terceira lei de Newton foram extensivamente empregadas na estática para estudarmos os corpos em repouso sob a ação das forças neles agentes. Essas duas leis também são usadas em Dinâmica sendo suficientes para estudarmos os movimentos de corpos que não têm aceleração. Todavia, quando os corpos são acelerados, isto é, quando as velocidades se modificam em módulo, direção ou sentido, é necessário utilizar a Segunda Lei de Newton para relacionar os efeitos (acelerações) com as causas (forças aplicadas). 2. A Segunda Lei de Newton A Segunda Lei de Newton pode ser enunciada da seguinte forma: “Um ponto material submetido a uma força não nula adquire um aceleração com módulo proporcional ao módulo da força e na mesma direção e sentido desta”
  • 3.
    A figura 1(a) mostra um ponto material está sujeito a uma força F1 constante. Observa-se, experimentalmente, que o ponto material se desloca em linha reta na direção e sentido da força. Determinando-se a posição do ponto material em vários instantes, verificamos que a aceleração possui módulo constante a1. Figura 01 – Ponto material sujeito a uma força F Se a experiência for repetida com forças F2, F3 etc., de diferentes módulos, direções e sentidos, verificaremos, para cada caso, que o ponto material se deslocará na direção e no sentido da força que atuar sobre ele e que os módulos a1, a2, a3 etc. das acelerações serão proporcionais aos módulos F1, F2, F3 etc. das forças correspondentes. constante 3 3 2 2 1 1 ==== K a F a F a F
  • 4.
    O valor constanteobtido para a relação entre os módulos das forças e acelerações é uma característica do ponto material em consideração: é chamado de MASSA do ponto material. Quando sobre um ponto material de massa m atua uma força F, a aceleração a do ponto material e a força F devem satisfazer à relação: amF rr .= Quando um ponto material estiver sujeito simultaneamente a várias forças: amF rr .=∑ 3. Equações do Movimento Considere um ponto material de massa m sujeito a ação de diversas forças. Expressando-se cada força F e a aceleração a em componentes cartesianas, escrevemos: ( ) ( )kajaiamkFjFiF zyxzyx rrrrrr ++=++∑ .
  • 5.
    Da qual resultam: xx amF.=∑ yy amF .=∑ zz amF .=∑ Lembrando que as componentes da aceleração são iguais às derivadas segundas das coordenadas do ponto material, temos: xmF x &&.=∑ 2 2 dt xd x =&& ymF y &&.=∑ 2 2 dt yd y =&& zmF z &&.=∑ 2 2 dt zd z =&&
  • 6.
    4. Equilíbrio Dinâmico Rearranjando-seos termos da equação amF rr .=∑ , podemos escrever a Segunda Lei de Newton na forma alternativa: 0. =−∑ amF rr Esta equação mostra que, se adicionarmos o vetor –m.a às forças que atuam sobre o ponto material, obteremos um sistema de vetores equivalentes a zero. O vetor –m.a é chamado vetor de inércia. O ponto material pode, então, ser considerado em equilíbrio sob a ação das forças dadas e do vetor de inércia. Diz-se que o ponto material está em Equilíbrio Dinâmico. Figura 02 – Equilíbrio dinâmico
  • 7.
    Quando as componentestangencial e normal são utilizadas, é mais conveniente representar o vetor de inércia por suas duas componentes –m.at e –m.an. A componente tangencial do vetor de inércia mede a resistência que o ponto material oferece quando se tenta mudar o módulo de sua velocidade, enquanto a componente normal (também chamada força centrífuga) representa a tendência do ponto material em abandonar sua trajetória curvilínea. Observa-se que qualquer destas duas componentes pode ser zero em condições especiais: (1) se o ponto material parte do repouso, sua velocidade é zero e a componente normal do vetor de inércia é zero quando t=0; (2) se o ponto material se move com velocidade escalar constante ao longo de sua trajetória, a componente tangencial do vetor de inércia é zero e somente a componente normal é considerada. Figura 03 - Ponto material em trajetória curvilínea
  • 8.
    DINÂMICA DO PONTOMATERIAL 6. Momento Angular Considere-se um ponto material P de massa m que se desloca em relação a um sistema de referência. A quantidade de movimento de um ponto material, num dado instante, é definida como o vetor mv, multiplicando-se a velocidade v do ponto material por sua massa m. O momento em relação a O do vetor mv é chamado de momento da quantidade de movimento, ou momento angular do ponto material a O, naquele instante sendo denominado HO. Denominando r o vetor de posição do ponto P¸ escrevemos: vmrHO rr .×= Observamos que HO é um vetor perpendicular ao plano que contém r e mv e tem módulo: φsen... vmrHO =       ⋅ s mkg 2 onde φ é o ângulo entre r e mv. O sentido de HO pode ser determinado a partir do sentido de mv, aplicando-se a regra da mão direita.
  • 9.
    Figura 05 –Vetor Momento Angular Expressando os vetores r e mv em termos de sua coordenadas cartesianas, escrevemos: zyx O vmvmvm zyx kji H ... = As componentes de HO, que também representam os momentos da quantidade de movimento mv em relação aos eixos coordenados, podem ser obtidas pelo desenvolvimento do determinante, obtendo- se: ( )yzx vzvymH .. −⋅=⇒ ( )zxy vxvzmH .. −⋅=⇒ ( )xyz vyvxmH .. −⋅=⇒
  • 10.
    No caso doponto material que se move no plano Oxy temos z=vz=0 e as componentes Hx e Hy reduzem-se a zero. O momento angular é então perpendicular ao plano Oxy e definido pelo escalar: ( )xyzO vyvxmHH .. −⋅== que pode ser positivo ou negativo dependendo do sentido de movimento do ponto material, relativamente a O.
  • 11.
    DINÂMICA DO PONTOMATERIAL 5. Quantidade de Movimento Quando sobre um ponto material de massa m atua uma força F, a aceleração a do ponto material e a força F devem satisfazer à relação: amF rr .=∑ Substituindo-se a aceleração a pela sua derivada dt vd r , escrevemos: dt vd mF rr .=∑ ou ( )vm dt d F rr =∑ uma vez que se considera constante a massa m do ponto material. Esta equação mostra que a resultante das forças que atuam num ponto material é igual à derivada temporal da quantidade de movimento desse ponto.
  • 12.
    O vetor mvé chamado de quantidade de movimento do ponto material. Ele tem a mesma direção e sentido que a velocidade do ponto material e seu módulo é igual ao produto da massa m pela velocidade v do ponto. Figura 04 – Quantidade de movimento do ponto material Designando-se por L a quantidade de movimento do ponto material: vmL rr .= e por L& sua derivada em relação ao tempo t, podemos escrever: LF & r =∑
  • 13.
    Segue-se, da equação( )vm dt d F rr =∑ , que a taxa de variação da quantidade de movimento mv é zero quando 0=∑F r . Então, se a força resultante que atua em um ponto material é zero, a quantidade de movimento do ponto material permanece constante, tanto em módulo com em direção e sentido. Este é o Princípio da Conservação da Quantidade de Movimento para um Ponto Material, que podemos reconhecer como em um enunciado alternativo da Primeira Lei de Newton.
  • 14.
    DINÂMICA DO PONTOMATERIAL 6.1. Conservação do Momento Angular Quando a única força que atua sobre o ponto material P é uma força F paralela ao vetor de posição r de P em relação a um ponto fixo O, diz-se que o ponto material se move sob a ação de uma Força central e o ponto O é chamado de Centro de força. Como a linha de ação de F passa por O, tem-se que 0=∑ OM em qualquer instante. Isto significa dizer que constante=OH . Figura 06 – Ponto material sob a ação de uma força central Conclui-se, então, que o Momento Angular do ponto material que se move sob a ação de uma força central é constante em módulo, direção e sentido. Portanto, tem-se que: constante. =×= vmrHO rr
  • 15.
    Observa-se, da equaçãoacima, que o vetor posição r do ponto P deve ser perpendicular ao vetor constante HO. Figura 07 – Plano de movimento do ponto material Como o módulo HO do momento angular do ponto material P é constante, escreve-se: OOO vmrvmr φφ sen...sen... = Esta relação aplica-se ao movimento de qualquer ponto material sob a ação de uma força central. Como a força gravitacional exercida pelo Sol sobre um planeta é uma força central dirigida para o centro do Sol, a equação acima é fundamental para o estudo do movimento planetário, e também para a análise do movimento de veículos espaciais em órbita ao redor da Terra.
  • 16.
    Problema Resolvido 12.8 Lançouum satélite numa direção paralela à superfície da Terra, com velocidade de 30.281 km/h e a uma altura de 386 km. Determine a velocidade do satélite quando este atinge a altura máxima de 3.765 km. O raio médio da Terra é de 6.372 km.
  • 17.
    DINÂMICA DO PONTOMATERIAL 1. Trabalho de uma força Considere-se um ponto material que se desloca de um ponto A até um ponto próximo A’. Se r designa o vetor de posição correspondente ao ponto A, o pequeno vetor que une A e A’ pode ser designado pela diferencial dr. O vetor dr é chamado de DESLOCAMENTO do ponto material. Figura 01 – Deslocamento do ponto material Seja F uma FORÇA atuando sobre o ponto material, o TRABALHO de F correspondente ao deslocamento dr é definido como a quantidade: rdFdU rr ⋅= O TRABALHO é obtido fazendo-se o produto escalar da força F e do deslocamento dr.
  • 18.
    DINÂMICA DO PONTOMATERIAL 2. Energia Cinética de um ponto material – Princípio do Trabalho e Energia Considere-se um ponto material de massa m soba ação da força F deslocando-se segundo uma trajetória qualquer. Figura 08 – Ponto material em trajetória Expressando a Segunda Lei de Newton em termos das componentes tangenciais da força e da aceleração, tem-se: tt amF ⋅= ou dt dv mFt ⋅= onde v é a velocidade escalar do ponto material.
  • 19.
    Recordando que dt ds v =e que dt ds ds dv dt dv ⋅= então: dt dv mFt ⋅= dt ds ds dv mFt ⋅⋅= ds dv vmFt ⋅⋅= dvvmdsFt ⋅⋅=⋅ Integrando de A1, onde s = s1 e v = v1, a A2, onde s = s2 e v = v2, escrevemos: 22 2 1 2 2 2 1 2 1 vmvm dvvmdsF v v s s t ⋅ − ⋅ =⋅=⋅ ∫∫
  • 20.
    O primeiro membroda equação representa o Trabalho que a força F realiza sobre o ponto material durante o deslocamento de A1 até A2, pois: ∫ ⋅=→ 2 1 21 s s t dsFU O segundo membro da equação, isto é, o termo 2 2 vm⋅ é definido como Energia Cinética do Ponto Material e denotada por T: 2 2 vm T ⋅ = A Energia Cinética é medida nas mesmas unidades que o Trabalho, ou seja, em Joules [J]. Pode se escrever, então que: 1221 TTU −=→ ou 2121 TTU =+→
  • 21.
    Alternativamente, denotando-se porF e ds o módulo da força e do deslocamento e por α o ângulo formado entre F e dr: αcos⋅⋅= dsFdU Em termos das componentes cartesianas da força e do deslocamento, para o trabalho dU, tem-se: )()( kdzjdyidxkFjFiFdU zyx rrrrrr ++⋅++= )( dzFdyFdxFdU zyx ⋅+⋅+⋅= Sendo uma quantidade escalar, o Trabalho possui módulo e sinal, mas não direção. A unidade de Trabalho é obtida multiplicando-se a unidade de Força pela unidade de comprimento. A unidade de Trabalho [N.m] é chamada de Joule [J];
  • 22.
    O Trabalho dUserá positivo se o ângulo α for agudo: 0º90 >⇒< dUα O Trabalho dU será negativo se o ângulo α for obtuso: 0º90 <⇒> dUα Casos particulares: • Se a força F tem a mesma direção e sentido de dr: 1cos0 =⇒= αα ⇒ dsFdU ⋅= • Se a força F tem a mesma direção e sentido oposto ao de dr: 1cosº180 −=⇒= αα ⇒ dsFdU ⋅−= • Se a força F É perpendicular a dr: 0cosº90 =⇒= αα ⇒ 0=dU
  • 23.
    O Trabalho deF durante um deslocamento finito do ponto material de A1 para A2 é obtido integrando-se a equação ao longo da trajetória. Este Trabalho é denotado por U1→2 e calculado por: ∫ ⋅=→ 2 1 21 A A rdFU rr Figura 02 - Deslocamento finito de um ponto material Usando-se a expressão alternativa para o Trabalho elementar dU, e observando-se que F.cosα representa a componente tangencial Ft da força e que a variável de integração ds mede a distância percorrida pelo ponto material ao longo da trajetória, podemos exprimir o Trabalho U1→2 por: ( ) ∫∫ ⋅=⋅⋅=→ 2 1 2 1 cos21 s s t s s dsFdsFU α
  • 24.
    O Trabalho U1→2está representado pela área sob a curva obtida traçando-se Ft = F.cosα em função de s. Figura 03 – Representação gráfica do Trabalho de uma força Quando se define a força F por suas componentes cartesianas, o Trabalho é calculado por: ∫ ⋅+⋅+⋅=→ 2 1 )(21 A A zyx dzFdyFdxFU Onde a integração deve ser efetuada ao longo da trajetória descrita pelo ponto material.
  • 25.
    1.1. Trabalho deuma força constante em Movimento Retilíneo Quando um ponto material, deslocando-se numa reta, é impelido por uma força F de módulo e direção constantes o Trabalho é calculado por: ( ) xFU ∆⋅⋅=→ αcos21 Em que: • α = ângulo formado pela força e pela direção do movimento; • ∆x = deslocamento de A1 a A2. Figura 04 - Trabalho de uma força constante em Movimento Retilíneo
  • 26.
    1.2. Trabalho daforça peso O Trabalho do peso P de um corpo é obtido substituindo- se as componentes de P nas equações: )( dzFdyFdxFdU zyx ⋅+⋅+⋅= e ∫ ⋅+⋅+⋅=→ 2 1 )(21 A A zyx dzFdyFdxFU Com o eixo y escolhido para cima, tem-se que 0=xF , PFy −= e 0=zF , então escrevemos: dyPdU ⋅−= 2121 2 1 yPyPdyPU y y ⋅−⋅=⋅−= ∫→ ( ) yPyyPU ∆⋅−=−⋅−=→ 1221 yPU ∆⋅−=→21 Em que: • ∆y = deslocamento vertical de A1 a A2.
  • 27.
    Figura 05 -Trabalho da força P O Trabalho da força P é igual ao produto de P pelo deslocamento vertical do centro de gravidade do corpo. O Trabalho é positivo quando ∆y < 0, isto é, quando o corpo se desloca para baixo.
  • 28.
    1.3. Trabalho daForça Exercida por uma Mola Considere-se um corpo A preso a um ponto fixo B por meio de uma mola. Supõe-se que a mola não está deformada quando o corpo está em A0. Experiências mostram que o módulo da força F exercida pela mola sobre o corpo A é proporcional à deformação x medida a partir da posição A0. Figura 06 – Deformação de uma mola submetida a força F
  • 29.
    Daí, tem-se que: xkF⋅= Onde k é a constante da mola, expressa em N/m, em unidades do SI. O Trabalho da força F realizado pela mola durante um deslocamento finito do corpo de A1 (x = x1) a A2 (x = x2) é obtido escrevendo-se: dxxkdxFdU ⋅⋅−=⋅−= ∫ ⋅⋅−=→ 2 1 21 x x dxxkU 2 2 2 121 2 1 2 1 kxkxU ⋅−⋅=→ Figura 07 – Gráfico: Deformação x Força
  • 30.
    DINÂMICA DO PONTOMATERIAL 3. Potência Potência é definida como a quantidade de trabalho que é realizada na unidade de tempo. Se ∆U é o Trabalho realizado durante o intervalo de tempo ∆t, então a Potência média durante esse intervalo de tempo é: t U ∆ ∆ =médiaPotência Fazendo ∆t tender a zero, obtemos no limite: dt dU =Potência Substituindo dU pelo produto escalar F.dr, podemos escrever: dt rdF dt dU rr ⋅ ==Potência
  • 31.
    Visto que dr/dtrepresenta a velocidade v do ponto de aplicação de força F, tem-se da equação acima que: vF rr ⋅=Potência Obtém-se a unidade de Potência ao se dividir a unidade de Trabalho pela unidade de Tempo. Assim, no sistema internacional, a Potência deve ser dada em J/s. Esta unidade é denominada watt [W]. Tem-se portanto: s m N s J W ⋅== 111
  • 32.
    4. Rendimento Mecânico Orendimento mecânico de uma máquina é definido como a razão entre o Trabalho produzido e o Trabalho absorvido: absorvidoTrabalho produzidoTrabalho =η Esta definição se baseia na suposição de que o trabalho é realizado a uma razão constante. A razão entre o trabalho produzido e o absorvido é, portanto, igual à razão das variações em que o trabalho produzido e o absorvido são realizados. Tem-se assim: absorvidaPotência produzidaPotência =η Por causa da energia perdida devido ao atrito, o trabalho produzido é sempre menor que trabalho absorvido, e, consequentemente, a potência produzida é sempre menor que a potência absorvida. O rendimento total de uma máquina é sempre menor que 1 e fornece uma medida das várias perdas de energia envolvidas (perdas de energia elétrica, térmica, bem como perdas por atrito).
  • 33.
    DINÂMICA DO PONTOMATERIAL 5. Forças Conservativas Uma força F atuando sobre um ponto material A é chamada de conservativa quando seu trabalho U1→2 é independente da trajetória seguida pelo ponto material A, quando ele se desloca de A1 para A2. Assim: 2121 VVU −=→ Em que V é denominada energia potencial de F. A FORÇA PESO e a FORÇA ELÁSTICA são exemplos de FORÇAS CONSERVATIVAS, pois seus trabalhos são independentes da trajetória. O trabalho realizado pela força peso é independente da trajetória, uma vez que depende apenas do deslocamento vertical do ponto material: yPU ∆⋅−=→21
  • 34.
    O trabalho realizadopela força de uma mola é independente da trajetória, uma vez que depende apenas da deformação (tração ou compressão) da mola. 2 2 2 121 2 1 2 1 kxkxU ⋅−⋅=→ A força de atrito, por sua vez, não é conservativa. Quando a força de atrito realiza trabalho, este depende da forma da trajetória: “Quanto maior for a trajetória percorrida maior será o trabalho realizado”. A FORÇA DE ATRITO é chamada, então, de FORÇA DISSIPATIVA assim como a RESISTÊNCIA DO AR.
  • 35.
    DINÂMICA DO PONTOMATERIAL 5. Forças Conservativas Uma força F atuando sobre um ponto material A é chamada de conservativa quando seu trabalho U1→2 é independente da trajetória seguida pelo ponto material A, quando ele se desloca de A1 para A2. Assim: 2121 VVU −=→ Em que V é denominada energia potencial de F. A FORÇA PESO e a FORÇA ELÁSTICA são exemplos de FORÇAS CONSERVATIVAS, pois seus trabalhos são independentes da trajetória. O trabalho realizado pela força peso é independente da trajetória, uma vez que depende apenas do deslocamento vertical do ponto material: yPU ∆⋅−=→21
  • 36.
    O trabalho realizadopela força de uma mola é independente da trajetória, uma vez que depende apenas da deformação (tração ou compressão) da mola. 2 2 2 121 2 1 2 1 kxkxU ⋅−⋅=→ A força de atrito, por sua vez, não é conservativa. Quando a força de atrito realiza trabalho, este depende da forma da trajetória: “Quanto maior for a trajetória percorrida maior será o trabalho realizado”. A FORÇA DE ATRITO é chamada, então, de FORÇA DISSIPATIVA assim como a RESISTÊNCIA DO AR.
  • 37.
    DINÂMICA DO PONTOMATERIAL 6. Energia potencial Às Forças Conservativas associa-se o conceito de ENERGIA POTENCIAL. A energia potencial é expressa nas mesmas unidades que o trabalho, isto é, em Joules, caso usadas as unidades no S.I. 6.1. Energia potencial gravitacional Considerando-se um corpo de peso P que se desloca seguindo uma trajetória curva a partir de um ponto A1 de altura y1 até um ponto A2 de altura y2, o trabalho de peso P durante o deslocamento é: 2121 PyPyU −=→ Figura 09 - Trabalho da força P
  • 38.
    O Trabalho deP depende unicamente dos valores inicial e final da função Py, denominada energia potencial do corpo em relação à força da gravidade P e é representada por Vg. 2121 gg VVU −=→ yPVg .= 6.2. Energia potencial elástica Considerando-se um corpo preso à uma mola e que se desloca de uma posição A1, correspondente a uma deformação x1, a uma posição A2 , correspondente a uma deformação x2, o trabalho da força F exercida pela mola sobre o corpo é: 2 2 2 121 2 1 2 1 kxkxU ⋅−⋅=→ Figura 10 – Deformação de uma mola submetida a força F
  • 39.
    Obtém-se o trabalhoda força elástica subtraindo-se o valor da função ½ (k.x2 ) correspondente à segunda posição do corpo de seu valor correspondente à primeira posição. Esta função, representada por Ve, é chamada de energia potencial do corpo em relação à força elástica F. 2121 ee VVU −=→ 2 . 2 xk Ve = A expressão Ve obtida é válida se a deformação da mola é medida a partir de sua posição não deformada. O trabalho da força elástica depende exclusivamente das deformações inicial e final da mola. Figura 11 – Deformação de uma mola e gráfico
  • 40.
    DINÂMICA DO PONTOMATERIAL 7. Conservação da Energia Quando um ponto material se desloca sob a ação de forças conservativas, o princípio do trabalho e energia pode ser expresso conforme segue. Substituindo: 2121 VVU −=→ em 1221 TTU −=→ 1221 TTVV −=− 2211 VTVT +=+ A equação acima mostra que, quando um ponto material se desloca sob a ação de forças conservativas, a soma de sua Energia Cinética e de sua Energia Potencial permanece constante. A soma T + V, representada por E, é chamada de Energia Mecânica Total do ponto material. 21 EE =
  • 41.
    Exemplo: Um pênduloé solto com velocidade nula em A1 e oscila num plano vertical. Medindo a energia potencial a partir do nível de A2, em A1 tem- se: 01 =T lPV .1 = lPVT .11 =+ lPE .1 =⇒ Para A2, pelo Princípio do Trabalho e Energia, a velocidade do pêndulo será: 2121 TTU =+→ yPU ∆⋅−=→21 2 2 vm T ⋅ =
  • 42.
    2121 TTUP =+→ 2 . 0. 2 2vm lP =+ 2 . .. 2 2vm lgm= 2 . 2 2v lg = lgv ..22 2 = lgv ..22 = Portanto, pelo Princípio da Conservação da Energia, em A2 tem- se: 2 . 2 2 2 vm T = tal que lgv ..22 =
  • 43.
    Assim, lP g lgP T . ..2. . 2 1 2 ==lPT .2 =∴ 02 =V lPVT .22 =+ lPE .2 =⇒ Restou demonstrado, portanto, que a energia mecânica total E = T + V do pêndulo é a mesma em A1 e A2 e, quando o pêndulo continua se movendo para a direita, a energia cinética vai se transformando novamente em energia potencial. Em A3, tem-se que: 03 =T lPV .3 = lPVT .33 =+ lPE .3 =⇒ Como a energia mecânica total do pêndulo permanece constante e como sua energia potencial depende unicamente da elevação, a energia cinética do pêndulo terá o mesmo valor para quaisquer dois pontos localizados no mesmo nível. Dessa forma, a velocidade do pêndulo em A e em A’ é a mesma.
  • 44.
    DINÂMICA DO PONTOMATERIAL 8. Princípio do Impulso e Quantidade de Movimento Considere-se um ponto material de massa m submetido a uma força F. A segunda lei de Newton pode ser expressa na forma: ( )vm dt d F rr = onde mv é a quantidade de movimento do ponto material. Multiplicando-se ambos os lados da equação acima por dt e integrando-se de t1 a t2, tem-se: ( )vmddtF rr .. = 12 ... 2 1 vmvmdtF t t −=∫ r ou, transpondo-se o último termo, 21 ... 2 1 vmdtFvm t t =+ ∫ r
  • 45.
    A integral naequação acima é um vetor conhecido como impulso linear ou simplesmente IMPULSO da força F, durante o intervalo de tempo considerado. Expressando F em componentes cartesianas, tem-se que: ∫=→ 2 1 .Imp 21 t t dtF r ∫∫∫ ++=→ 2 1 2 1 2 1 ...Imp 21 t t z t t y t t x dtFkdtFjdtFi rrrrrr As componentes do impulso da força F são, respectivamente, iguais às áreas sob as curvas obtidas pelo traçado das componentes Fx, Fy e Fz em função de t. No caso de uma força F de módulo e direção constantes, o impulso é representado pelo vetor F(t2-t1), que tem a mesma direção e sentido que F. Figura 12 – Componentes do impulso da força F
  • 46.
    Usando-se as unidadesdo S.I., o módulo do Impulso da força é expresso em N.s, mas recordando a definição de newton, tem-se que; s m kgs s m kgsN .... 2 == Quando um ponto material está submetido a uma força F, durante um intervalo de tempo, a quantidade de movimento final m.v2 do ponto material pode ser obtida adicionando-se vetorialmente à sua quantidade de movimento inicial m.v1 o impulso da força F durante o mesmo intervalo de tempo. 2211 .Imp. vmvm =+ → Figura 13 – Ponto material submetido a uma força F
  • 47.
    Enquanto a EnergiaCinética e o Trabalho são quantidades escalares, a Quantidade de Movimento e o Impulso são quantidades vetoriais. Portanto, para se obter uma solução analítica, é conveniente considerar as três equações escalares equivalentes: ( ) ( )21 ... 2 1 x t t xx vmdtFvm =+ ∫ ( ) ( )21 ... 2 1 y t t yy vmdtFvm =+ ∫ ( ) ( )21 ... 2 1 z t t zz vmdtFvm =+ ∫ Quando várias forças atuam sobre um ponto material, deve-se considerar o impulso de cada uma das forças. Tem-se, portanto: 2211 .Imp. vmvm =+ ∑ → Novamente, a equação obtida representa uma relação entre as quantidades vetoriais; Na solução real de um problema, consideram- se as equações escalares em termos das componentes.
  • 48.
    Quando um problemaenvolve dois ou mais pontos, cada um pode ser considerado separadamente e a equação acima pode ser escrita para cada ponto material. Pode-se adicionar vetorialmente as quantidades de movimento de todos os pontos materiais e os impulsos de todas as forças envolvidas. Assim: ∑∑∑ =+ → 2211 .Imp. vmvm Como as forças internas entre os pontos materiais formam pares de forças diretamente opostas e como o intervalo de tempo de t1 a t2 é comum para todas as forças envolvidas, os impulsos das forças de ação e reação cancelam-se e, portanto, apenas os impulsos das forças externas necessitam ser considerados. Se não se exerce força alguma sobre os pontos materiais, ou mais geralmente, se a soma das forças externas for zero, o segundo termo da equação se reduz a: ∑∑ = 21 .. vmvm Esta equação garante que a quantidade de movimento total dos pontos materiais se conserva.
  • 49.
    DINÂMICA DO PONTOMATERIAL 9. Movimento Impulsivo Em alguns casos, uma força muito grande pode atuar sobre um ponto material, durante um pequeno intervalo e produzir uma mudança considerável na sua quantidade de movimento. Uma força desse tipo é chamada de força impulsiva e o movimento resultante, de movimento impulsivo. Exemplo: Quando uma bola de beisebol é batida, o contato entre o bastão e a bola ocorre durante um intervalo de tempo ∆t muito curto, mas o valor da força F exercida pelo bastão sobre a bola é grande e o impulso resultante F.∆t é suficientemente grande para mudar o sentido de movimento da bola. Figura 14 – Quantidade de movimento e atuação da força F Quando forças impulsivas agem sobre um ponto material: 21 ... vmtFvm =∆+ ∑
  • 50.
    Qualquer força quenão seja impulsiva pode ser desprezada, pois, o impulso correspondente é muito pequeno. Forças não impulsivas compreendem o peso do corpo, a força exercida por uma mola ou qualquer outra força sabidamente pequena se comparada com uma força impulsiva. Reações desconhecidas podem ou não ser impulsivas, de modo que, seus impulsos devem ser incluídos caso não se prove serem despresíveis. No caso do movimento impulsivo de vários pontos materiais, pode-se usar a equação: ∑∑∑ =∆+ 21 ... vmtFvm
  • 51.
    MOVIMENTO PLANO DOSCORPOS RÍGIDOS - Métodos da Energia e da Quantidade de movimento - 1.Introdução Neste capítulo são utilizados os métodos do trabalho e energia, e do impulso e quantidade de movimento, para a análise do movimento de corpos rígidos. 2. Princípio do Trabalho e Energia para um Corpo Rígido O método do trabalho e energia é apropriado à solução de problemas que envolvem velocidades e deslocamentos. Sua vantagem está no fato de que o trabalho das forças e a energia cinética dos pontos materiais são grandezas escalares. Para se aplicar o princípio do trabalho e energia na análise do movimento de um corpo rígido, considera-se que o corpo rígido é constituído de um número muito grande n de pontos materiais de massas ∆mi.
  • 52.
    Então, escrevemos: 2121 TTU=+→ • T1 , T2 = valores inicial e final da energia cinética total dos pontos materiais que formam o corpo rígido; • U1→2 = Trabalho de todas as forças que agem sobre os vários pontos materiais do corpo. A Energia Cinética Total é obtida somando-se grandezas positivas escalares: ( ) 2 1 . 2 1 i n i i vmT ∑= ∆= A expressão U1→2 representa o trabalho de todas as forças que atuam nos pontos materiais do corpo, sejam elas internas ou externas. No entanto, o trabalho total das forças internas de coesão, entre os pontos materiais de um corpo rígido, é nulo, conforme demonstração que se segue.
  • 53.
    Considerando-se dois pontosmateriais A e B de um corpo rígido e duas forças opostas F e –F que cada um exerce sobre o outro. Em geral, os deslocamentos dr e dr’ dos pontos considerados sejam diferentes, as componentes desses deslocamentos projetados sobre AB são iguais, caso contrário, A e B não se manteriam a uma distância fixa e o corpo deixaria de ser rígido. Figura 15 – Forças internas em um corpo rígido Portanto, o trabalho de F é igual em módulo e de sinal contrário ao de –F e sua soma é nula. Logo, o trabalho total das forças internas que atuam nos pontos materiais de um corpo rígido é nulo, e a expressão U1→2 se reduz ao trabalho das forças externas que atuam sobre o corpo durante o deslocamento considerado.
  • 54.
    3. Trabalho dasForças que atuam em Corpo Rígido Conforme visto anteriormente, o trabalho de uma força F durante o deslocamento de seu ponto de aplicação de A1 para A2 é: ∫ ⋅=→ 2 1 21 A A rdFU rr ou ( )∫ ⋅⋅=→ 2 1 cos21 s s dsFU α onde F é o módulo da força, α é o angulo que a força faz com a direção do movimento de seu ponto de aplicação A e s é a variável de integração que mede a distância percorrida por A ao longo de sua trajetória. No cálculo do trabalho das forças externas que atuam num corpo rígido, convém determinar o trabalho de um binário sem considerar separadamente o trabalho de cada uma das duas forças que o formam. Considerem-se as duas forças opostas F e –F, que formam um binário de momento M e atuam num corpo rígido. Qualquer deslocamento do corpo transportando A e B, respectivamente, para A’ e B’’, pode ser dividido em duas partes, conforme figura abaixo:
  • 55.
    Figura 16 –Deslocamento de um corpo rígido • Parte 1: os pontos A e B tem deslocamentos iguais a dr1 e • Parte 2: o ponto A’ permanece fixo, enquanto B’ se move para B’’ com um deslocamento dr2, cujo módulo é ds2 = r.dθ. Na primeira parte do movimento, o trabalho de F é igual em módulo e de sinal contrário ao de –F, acarretando uma soma nula. Na Segunda parte do movimento, somente a força F produz trabalho, que é igual a: 2.dsFdU = θdFrdU .=
  • 56.
    Mas o produtoFr é igual ao módulo do momento M do binário. Assim, o trabalho de um binário com momento M que atua num corpo rígido é: θdMdU .= onde: • dθ é o ângulo, expresso em radianos, de que gira o corpo. O trabalho do binário, durante uma rotação finita do corpo rígido, é obtido pela integração de ambos os membros da expressão acima, desde o valor inicial θ1 até seu valor final θ2. ∫=→ 2 1 .21 θ θ θdMU Quando o momento M do binário é constante, a fórmula acima reduz-se a: ( )1221 . θθ −=→ MU
  • 57.
    MOVIMENTO PLANO DOSCORPOS RÍGIDOS - Métodos da Energia e da Quantidade de movimento - 4. Energia Cinética de um Corpo Rígido em Movimento Plano Considere-se um corpo rígido de massa m em movimento plano. Se exprimirmos a velocidade absoluta vi de cada ponto material Pi do corpo como a soma da velocidade v do centro de massa G do corpo com a velocidade v’i do ponto material em relação ao sistema Gx’y’ com origem em G e com orientação fixa. A Energia Cinética do sistema de pontos materiais que formam o corpo rígido pode ser escrita na forma: ( ) 2 1 2 '. 2 1 .. 2 1 i n i i vmvmT ∑= ∆+= Figura 17 – Velocidade absoluta em um corpo rígido
  • 58.
    Mas o módulov’i da velocidade relativa de Pi é igual ao produto: ω.'' ii rv = onde: • r’i é a distância do ponto material Pi ao eixo que passa por G e é perpendicular ao plano do movimento e; • ω é o módulo da velocidade angular do corpo no instante considerado. Substituindo v’i na equação, tem-se que: ( ) 2 1 2 1 2 ..' 2 1 .. 2 1 ω∑= ∆+= n i imrvmT ou, A somatória na expressão representa o momento de inércia I do corpo em relação ao eixo que passa por G, então: 22 .. 2 1 .. 2 1 ωIvmT +=
  • 59.
    No caso particularde um corpo em Translação, ( )0=ω e a expressão obtida reduz-se a 2 .. 2 1 vmT = , enquanto no caso de rotação baricêntrica ( )0=v tem-se 2 .. 2 1 ωIT = . Conclui-se que a energia cinética de um corpo rígido em movimento plano se divide em duas partes: (1) A energia cinética 2 .. 2 1 vm associada ao movimento do centro de massa do corpo; (2) A energia cinética 2 .. 2 1 ωI associada à rotação do corpo em torno de G.
  • 60.
    Momentos de Inérciade sólidos comuns Haste delgada 2 12 1 mLII zy == Placa retangular ( )22 12 1 cbmIx += 2 12 1 mcIy = 2 12 1 mbIz = Prisma retangular ( )22 12 1 cbmIx += ( )22 12 1 camIy += ( )22 12 1 bamIz += Disco fino 2 12 1 mrIx = 2 4 1 mrII zy == Cilindro circular 2 2 1 maIx = ( )22 3 12 1 LamII zy +== Cone circular 2 10 3 maIx =       +== 22 4 1 5 3 hamII zy Esfera 2 5 2 maIII zyx ===
  • 61.
    MOVIMENTO PLANO DOSCORPOS RÍGIDOS - Métodos da Energia e da Quantidade de movimento - 5. Conservação da Energia O Trabalho de forças conservativas, como o peso de um corpo ou a força exercida por uma mola, pode ser expresso como uma variação da energia potencial. 2121 VVU −=→ Quando um corpo rígido se move soba ação de forças conservativas, o princípio do trabalho e energia pode ser apresentado de forma modificada. 2121 TTU =+→ Então, escrevemos: 2211 VTVT +=+ A equação acima mostra que, quando um corpo rígido se move sob a ação de forças conservativas, a soma das energias cinética e potencial permanece constante.
  • 62.
    Observe-se que, nocaso do movimento plano de um corpo rígido, a energia cinética do mesmo inclui tanto o termo devido à translação, 2 .. 2 1 vm , como o termo devido à rotação 2 .. 2 1 ωI . Exemplo: Considere uma barra delgada AB, de comprimento l e massa m, cujas extremidades estão ligadas a blocos de massas desprezíveis, que deslizam ao longo de guias horizontal e vertical. A barra parte do repouso na posição horizontal sem velocidade inicial. Determine a velocidade angular da barra depois que a mesma girou de um ângulo θ. Resolução: Sendo nula a velocidade inicial, então: 01 =T
  • 63.
    Tomando como referênciapara medição da energia potencial o nível da guia na posição horizontal, tem-se que: 01 =V Após a barra ter girado de um ângulo θ, o centro de gravidade G da barra está a uma distância θsen.. 2 1 l , abaixo do nível de referência, então: θsen... 2 1 2 lPV −= θsen.... 2 1 2 lgmV −=⇒ Nessa posição, o centro instantâneo de rotação da barra está localizado em C e que lCG . 2 1 = . Assim: ω.. 2 1 2 lv = Para o cálculo da energia cinética na posição final desejada: 2 2 2 22 .. 2 1 .. 2 1 ωIvmT +=
  • 64.
    2 2 2 2 2 ... 12 1 . 2 1 .. 2 1 .. 2 1 ωω       +      =lmlmT 2 2 2 2 . 3 . . 2 1 ω      = lm T Aplicando o princípio da conservação da energia: 2211 VTVT +=+ θω sen.... 2 1 . 3 . . 2 1 00 2 2 2 lgm lm −      =+ θω sen.... 2 1 . 3 . . 2 1 2 2 2 lgm lm =            = θω sen. 3 l g
  • 65.
    VIBRAÇÕES MECÂNICAS 1.Introdução No cotidianodo mundo moderno nos deparamos com inúmeros fenômenos físicos associados a vibrações mecânicas e suas manifestações. Podemos vivenciar a sensação induzida pelo movimento mecânico de alta freqüência e de pequena amplitude de deslocamento em aparelhos de uso doméstico, como aparelho elétrico de barbear, aspirador de pó, secador de cabelo, máquina de lavar roupa, telefone celular, desagradável em geral, associado a ruído sonoro e que conduz à fadiga física após certo tempo de exposição. Em automóveis e outros veículos de transporte sentimos o efeito dos movimentos e acelerações induzidos, causados pelas irregularidades nas vias de tráfego. Na indústria, máquinas de produção de bens são, em geral, compostas por inúmeros eixos e elementos mecânicos que giram com rotações elevadas e induzem movimentos vibratórios ao piso das fábricas, as quais são transmitidas ao corpo dos operadores e às máquinas vizinhas, gerando ruídos intensos e insuportáveis em caso de longos períodos de exposição. Dessa forma, na fase de projeto, procura-se antecipar problemas que possam causar desconforto ou falha prematura de equipamentos e máquinas através de análise de vibração, eliminando possíveis fontes de vibrações.
  • 66.
    Para tal, utilizam-secomponentes isoladores de vibrações, fabricados a partir de materiais elastoméricos, com propriedades de amortecimento e rigidez adequados para determinadas aplicações. Além dos problemas que afetam o conforto e a saúde, a vibração promove o desgaste prematuro de superfícies em contato, como o caso de mancais, onde se apoiam eixos e elementos girantes. Em situações mais drásticas, a vibração pode levar à ruptura prematura de elementos de fixação e apoio de máquinas, causando danos materiais e humanos. Ressalta-se que podem ocorrer falhas em componentes mecânicos em conseqüência de fadiga de material associada da cargas dinâmicas moderadas, mas repetitivas, cíclicas e acumuladas, que tendem a reduzi a duração física dos elementos de máquinas. Nesses casos, se não for possível eliminar totalmente a vibração, deve-se ao menos, tentar mantê-la sob controle e, com o auxílio de planejamento e programação de manutenção apropriados, antecipar a substituição de componentes antes que as avarias ocorram. Assim, a compreensão dos fenômenos vibratórios, associada à utilização de ferramentas de medidas e instrumentação e à análise por computador, pode ajudar a melhorar o projeto e a operação de máquinas, veículos e aparelhos de uso geral sob o ponto de vista da vibração e do ruído.
  • 67.
    2. Definições Vibração mecânica:Movimento de um ponto material ou de um corpo que oscila em torno de uma posição de equilíbrio. A vibração é, geralmente, produzida quando um sistema é deslocado de sua posição de equilíbrio estável. O sistema tende a retornar a esta posição sob a ação de forças restauradoras (força elástica, como no caso de uma massa presa a uma mola, ou força gravitacional, como no caso do pêndulo). Mas o sistema passa pela sua posição original com uma certa velocidade que o leva além desta posição. Como o processo pode se repetir, o sistema mantém-se em movimento oscilatório ao redor de sua posição de equilíbrio. Período: Intervalo de tempo necessário para o sistema completar um ciclo inteiro de movimento; Freqüência: Número de ciclos por unidade de tempo; Amplitude: Máximo deslocamento do sistema de sua posição de equilíbrio.
  • 68.
    3. Tipos devibrações Vibração livre: Quando o movimento é mantido somente por forças restauradoras, diz-se que a vibração é livre. Vibração forçada: Quando uma força periódica é aplicada ao sistema, o movimento resultante é descrito como uma vibração forçada. Vibração não amortecida: Quando o efeito do atrito pode ser desprezado, diz-se que as vibrações são não amortecidas. Embora todas as vibrações sejam realmente amortecidas, em maior ou menor grau, se uma vibração livre é levemente amortecida, sua amplitude decresce vagarosamente até o movimento cessar. Por outro lado, o amortecimento pode ser tão grande que impeça qualquer vibração; o sistema então retorna vagarosamente à sua posição original. Vibração forçada amortecida: Uma vibração forçada amortecida é mantida durante o tempo em que a força periódica que produz a vibração é aplicada. A amplitude da vibração, entretanto, é afetada pelo módulo das forças de amortecimento.
  • 69.
    VIBRAÇÕES MECÂNICAS 1.Vibrações semAmortecimento 1.1. Pontos materiais em vibrações livres Considere-se um corpo de massa m preso a uma mola de constante k. Quando o ponto material está em equilíbrio estático, as forças que atuam sobre ele são seu peso P e a força T exercida pela mola, de módulo estkT δ.= , onde estδ representa a elongação da mola. Figura 01 - Corpo de massa m preso a uma mola de constante k Portanto, tem-se que: estkP δ.= (01)
  • 70.
    Supondo que oponto material é deslocado de uma distância xm de sua posição de equilíbrio e liberado com velocidade inicial nula. Se xm for escolhido menor que estδ , o ponto material irá mover-se para cima e para baixo de sua posição de equilíbrio produzindo-se uma vibração de amplitude xm. Figura 02 - Ponto material deslocado de uma distância xm Para analisar a vibração, considere o ponto material na posição P em algum instante arbitrário t. Denotando por x o deslocamento OP medido a partir da posição de equilíbrio O (positivo para baixo), observa-se que as forças que atuam sobre o ponto material são seu peso P e a força T exercida pela mola que, nesta posição, tem módulo ).( xkT est += δ .
  • 71.
    O módulo daforça F resultante das duas forças é: xkxkPF est .).( −=+−= δ xkF .−= (02) Assim, a resultante das forças exercidas sobre o ponto material é proporcional ao deslocamento OP medido a partir da posição de equilíbrio. A força F é sempre dirigida para a posição de equilíbrio. Substituindo-se F na equação fundamental, amF .= e lembrando que a é a segunda derivada, x&& , de x em relação ao tempo t escrevemos a equação diferencial linear de segunda ordem: 0.. =+ xkxm && (03) Dividindo-se os dois lados da equação (03) por m, tem-se que: mm xk m xm 0.. =+ && e obtém-se: 0 . =+ m xk x&&
  • 72.
    A freqüência angularp é definida por: m k p =2 (04) Assim, a expressão (03) pode ser escrita na forma: 0.2 =+ xpx&& (05) O movimento definido pela equação (05) é denominado Movimento Harmônico Simples. Caracteriza-se pelo fato de que a aceleração é proporcional ao deslocamento e de sentido oposto. As funções ( )ptx sen1 = e ( )ptx cos2 = satisfazem a equação (05) e, portanto, constituem-se em soluções particulares. A solução geral da equação (04) é obtida multiplicando-se as soluções particulares por constantes arbitrárias A e B e adicionando-as: 21 .. xBxAx += )cos(.)sen(. ptBptAx += (06)
  • 73.
    Derivando-se duas vezesa equação (06), obtém-se, sucessivamente, a velocidade e a aceleração no instante t: )sen(..)cos(.. ptpBptpAvx −==& (07) )cos(..)sen(.. 22 ptpBptpAax −−==&& (08) Substituindo-se (06) e (08) em (05), verifica-se que a equação (06) fornece a solução geral da equação (05), devido à presença das constantes arbitrárias A e B, cujos valores dependem das condições iniciais do movimento. Verificação: 0.2 =+ xpx&& 0))cos(.)sen(..()cos(..)sen(.. 222 =++−− ptBptApptpBptpA 0)cos(..)sen(..)cos(..)sen(.. 2222 =++−− ptpBptpAptpBptpA 00 = Os valores das constantes de integração A e B, na equação (06) dependem de como a integração teve origem, ou seja, das condições iniciais do movimento.
  • 74.
    Por exemplo, sedeslocarmos a massa de uma distância 0xx = e começarmos a contar o tempo, no instante em que a largamos, as condições de partida são: Quando 0=t , 0xx = e quando 0=t , 00 == vx& , pois a velocidade da massa no instante inicial é nula. Verificação: Para o Deslocamento: Para a Velocidade: )cos(.)sen(. ptBptAx += )cos(.)(.0 ptBptsenAx += )0.cos(.)0.(.0 pBpsenAx += )0cos(.)0sen(.0 BAx += 1.0.0 BAx += 0xB = )sen(..)cos(.. ptpBptpAv −= )sen(..)cos(..0 ptpBptpAv −= )0.(..)0.cos(..0 psenpBppA −= )0(..)0cos(..0 senpBpA −= 0..1..0 pBpA −= 0..0 −= pA 0=A Substituindo-se os valores encontrados, a equação (06) pode ser escrita na seguinte forma: )cos(.0 ptxx = (09)
  • 75.
    O movimento tambémpode ser iniciado, dando-se à massa uma velocidade inicial 0v . Então, as condições iniciais são: Quando 0=t , 0=x e quando 0=t , 0vx =& . Verificação: Para o Deslocamento: Para a Velocidade: )cos(.)sen(. ptBptAx += )cos(.)(.0 ptBptsenA += )0.cos(.)0.(.0 pBpsenA += )0cos(.)0(.0 BsenA += 1.0.0 BA += 0=B )sen(..)cos(.. ptpBptpAv −= )(..)cos(..0 ptsenpBptpAv −= )0.(..)0.cos(..0 psenpBppAv −= )0(..)0cos(..0 senpBpAv −= 0..1..0 pBpAv −= 0..0 −= pAv p v A 0 = Substituindo-se os valores encontrados, a equação (06) pode ser escrita na seguinte forma: )(.0 ptsen p v x = (10)
  • 76.
    Para o casomais geral, substitui-se 0=t e os valores iniciais 0xx = e 0vx =& do deslocamento e da velocidade em (06) e (07). Verificação: Para o Deslocamento: Para a Velocidade: )cos(.)sen(. ptBptAx += )cos(.)sen(.0 ptBptAx += )0.cos(.)0.sen(.0 pBpAx += )0cos(.)0sen(.0 BAx += 1.0.0 BAx += 0xB = )sen(..)cos(.. ptpBptpAv −= )sen(..)cos(..0 ptpBptpAv −= )0.sen(..)0.cos(..0 ppBppAv −= )0sen(..)0cos(..0 pBpAv −= 0..1..0 pBpAv −= 0..0 −= pAv p v A 0 = Substituindo-se os valores encontrados, a equação (06) pode ser escrita na seguinte forma: )cos(.)(. 0 0 ptxptsen p v x += (11)
  • 77.
    Por outro lado,A será igual a 0 caso o ponto material seja deslocado de sua posição de equilíbrio 0=x e liberado em 0=t com velocidade inicial nula, 00 == vx& , e B será igual a 0 se P parte de O em t = 0 com determinada velocidade inicial. Verificação: Para o Deslocamento: Para a Velocidade: )cos(.)sen(. ptBptAx += 0)cos(.)sen(. =+ ptBptA 0)0.cos(.)0.sen(. =+ pBpA 0)0cos(.)0sen(. =+ BA 01.)0.( =+ BA 01. =B 0=B )sen(..)cos(.. ptpBptpAv −= )sen(..)cos(..0 ptpBptpAv −= )0.(..)0.cos(..0 psenpBppA −= )0(..)0cos(..0 senpBpA −= 0..1..0 pBpA −= 0..0 −= pA 0=A O movimento harmônico simples de um ponto material P pode ser obtido, projetando-se em um eixo o movimento de um ponto Q que descreve uma circunferência circular de raio xm, com uma velocidade angular constante p. Isto permite que as equações do deslocamento, da velocidade e da aceleração possam ser escritas de forma mais compacta, conforme abaixo.
  • 78.
    A figura 03mostra o diagrama deslocamento-tempo. Nela se observa a ordenada do gráfico representando o deslocamento x e a abscissa considerada como o eixo do tempo, ou do deslocamento angular. Figura 03 – Diagrama deslocamento-tempo Lembrando que a equação (06), )cos(.)sen(. ptBptAx += , mostra que o deslocamento OPx = é a soma das componentes na direção x de dois vetores A e B, pela figura 03 observa-se que: O módulo do vetor resultante OQ é igual ao deslocamento xm; φ é o ângulo formado entre os vetores OQ e A;
  • 79.
    A partir detais observações escreve-se que: OQ OP ptsen =+ )( φ )(. φ+= ptsenOQOP (12) Portanto, substituindo-se OPx = e OQxm = , tem-se que: )(. φ+= ptsenxx m (13) Derivando-se duas vezes a equação (13), obtém-se, sucessivamente, a velocidade e a aceleração no instante t: )cos(.. φ+== ptpxvx m & (14) )(.. 2 φ+−== ptsenpxax m && (15) Os valores máximos dos módulos da velocidade e da aceleração são: pxv mm .= (16) 2 .pxa mm = (17)
  • 80.
    O valor máximodo deslocamento xm é chamado Amplitude da vibração. A velocidade angular p do ponto Q, que descreve a circunferência auxiliar é chamada de Freqüência Angular ou Pulsação da vibração é medida em [rad/s]. O ângulo φ que define a posição de Q no círculo é chamado de Ângulo de fase. O Período de vibração é definido por τ medido em [s]. p π τ 2 = (18) O número de ciclos descritos na unidade de tempo é representado por f, chamado de Freqüência da vibração, e medido em Hertz [Hz]. πτ 2 1 p f == (19) Hzs 60 1 60 1 rpm1 1 == − e rad/s 60 2 rpm1 π =
  • 81.
    1.2. Vibrações forçadas Asvibrações mais importantes do ponto de vista da Engenharia são as vibrações forçadas de um sistema. Essas vibrações ocorrem, quando o sistema é submetido a uma força periódica ou quando está elasticamente ligado a um suporte que tem movimento alternado. 1.2.1. Força periódica Considere-se inicialmente o caso de um corpo de massa m suspenso por uma mola e submetido a uma força periódica F de intensidade )sen(. tFF m ω= . Chamando de x o deslocamento do corpo medido a partir de sua posição de equilíbrio: Figura 04 – Sistema submetido a vibração forçada
  • 82.
    A equação domovimento será: amF .=↓⊕ ∑ xmTPtFm &&.)sen(. =−+ω ( ) xmxkPtF estm &&.)sen(. =+−+ δω Lembrando que estkP δ.= , tem-se que: xmxkkktF estestm &&....)sen(. =−−+ δδω xmxktFm &&..)sen(. =−ω )sen(... tFxkxm m ω=+&& (20) (equação diferencial não homogênea)
  • 83.
    1.2.2. Deslocamento elástico Considere-seagora o caso de um corpo de massa m suspenso por uma mola presa a um suporte móvel cujo deslocamento δ é igual a )sen(. tm ωδδ = . Medindo o deslocamento x do corpo a partir da posição de equilíbrio estático correspondente a 0=tω , tem-se o seguinte resultado para a elongação da mola no instante t ( )tx mest ωδδ sen.−+ . Figura 05 – Suporte de movimento alternado
  • 84.
    A equação domovimento será: amF .=↓⊕ ∑ xmTP &&.=− ( )( ) xmtxkP mest &&.sen.. =−+− ωδδ Lembrando que estkP δ.= , tem-se que: ( )( ) xmtxkk mestest &&.sen... =−+− ωδδδ ( ) xmtkxkkk mestest &&.sen..... =+−− ωδδδ ( ) xmtkxk m &&.sen... =+− ωδ ( )tkxkxm m ωδ sen.... =+&& (21) (equação diferencial não homogênea)
  • 85.
    As equações (20)e (21) são do mesmo tipo e a solução da primeira equação satisfará à segunda se colocarmos: mm kF δ.= . 1.2.3. Solução particular Uma equação diferencial do tipo (20) ou (21) que possui um segundo membro diferente de zero, é chamada não- homogênea. Sua solução geral é obtida adicionando-se uma solução particular da equação dada à solução geral da correspondente equação homogênea (com o segundo membro igual a zero). )sen(. txx mpart ω= (22) )cos(.. txx m ωω=⇒ & )sen(.. 2 txx m ωω−=⇒ && Para a equação (20): )sen(... tFxkxm m ω=+&& ( ) ( ) )sen(.)sen(..)sen(... 2 tFtxktxm mmm ωωωω =+− )sen(.)sen(..)sen(... 2 tFtxktxm mmm ωωωω =+−
  • 86.
    mmm Fxkxm =+−... 2 ω mm Fmkx =− )...( 2 ω )..( 2 ωmk F x m m − = Como m k p =2 , onde p é a freqüência angular da vibração livre do corpo, dividindo-se o segundo membro da expressão acima por k, tem-se que: k mk k F x m m 2 ..ω− = k m k k k F x m m 2 .ω − =⇒ 2 2 1 p k F x m m ω − =⇒ 2 1       − =∴ p k F x m m ω (23)
  • 87.
    Para (21), demodo análogo, a amplitude máxima da vibração será: 2 1       − = p kx m m ω δ (23´) A equação homogênea correspondente a equação (20) ou (21) é a equação (03), que define a vibração livre do corpo. Sua solução geral, chamada função complementar, foi definida por: )cos(.)sen(. ptBptAxcomp += (24) Somando-se a solução particular (22) e a função complementar (24), obtém-se a solução geral das equações (20) e (21). )sen(.)cos(.)sen(. txptBptAx m ω++= (25)
  • 88.
    A vibração obtidaconsiste em duas vibrações superpostas: • Os dois primeiros termos em (25) representam a vibração livre do sistema, também denominada vibração TRANSITÓRIA. A freqüência desta vibração (freqüência natural) depende apenas da constante k da mola e da massa m do corpo ( m kp =2 ), sendo que as constantes arbitrárias A e B, podem ser determinadas a partir das condições iniciais do movimento; • O último termo da equação (25) representa a vibração do estado ESTACIONÁRIO, produzida e mantida pela força que a imprime ou que é imprimida pelo movimento de um suporte. Sua freqüência é a freqüência forçada imposta pela força ou pelo movimento do suporte, de modo que sua amplitude xm depende da razão entre as freqüências, ou seja, p ω , bastando-se observar as equações (23) e (23´). • A razão entre a amplitude xm da vibração do estado estacionário e a deflexão estática k Fm causada por uma força de intensidade Fm ou pela amplitude δm do movimento do suporte é chamada fator de ampliação: 2 m m m 1 1x k F x AmpliaçãodeFator       − === p m ωδ (26)
  • 89.
    O fator deampliação versus a razão das freqüências p ω está representado graficamente na figura 06 abaixo: Figura 07 – Gráfico: Fator de ampliação x a razão das freqüências • Quando p=ω , amplitude da vibração forçada torna-se infinita. Diz-se que a força excitadora ou o movimento excitador do suporte está em ressonância com o sistema dado. Tal situação deve ser evitada e a freqüência forçada não deve ser escolhida muito próxima da freqüência natural do sistema; • Quando p<ω , o coeficiente ( )tωsen é positivo e diz-se que a vibração forçada está em fase com a força excitadora ou o movimento excitador do suporte, enquanto que para p>ω , o coeficiente ( )tωsen é negativo, dizendo-se que a vibração forçada está em defasagem.
  • 90.
    2. Vibrações Amortecidas Umtipo de amortecimento de especial interesse é o amortecimento viscoso causado pelo atrito fluido a baixas e moderadas velocidades. O amortecimento viscoso é caracterizado pelo fato de que a força de atrito é diretamente proporcional à velocidade do corpo que se move. 2.1. Vibrações livres amortecidas Considere-se inicialmente o caso de um corpo de massa m suspenso por uma mola de constante k e preso ao êmbolo de um cilindro. Figura 08 – Sistema submetido à vibração amortecida
  • 91.
    O módulo daforça de atrito exercida sobre o êmbolo pelo fluido que o envolve, ou Força de Amortecimento, é igual a xcFAmort &.= , onde a constante c expressa em (N.s/m) é conhecida como coeficiente de amortecimento viscoso. Chamando de x o deslocamento do corpo medido a partir de sua posição de equilíbrio, a equação do movimento será: amF .=↓⊕ ∑ xmxcTP &&& .. =−− ( ) xmxcxkP est &&& .. =−+− δ Lembrando que estkP δ.= , tem-se que: xmxcxkkk estest &&& ..... =−−− δδ xmxcxk &&& ... =−− 0... =++ xkxcxm &&& (27) (equação diferencial homogênea de 2ª ordem)
  • 92.
    Esta equação diferencialhomogênea de 2ª ordem apresenta uma solução da forma t ex λ = . Então, t ex λ λ=& e t ex λ λ2 =&& . Substituindo-se a solução e suas respectivas derivadas na equação (27): 0... =++ xkxcxm &&& ( ) ( ) ( ) 0... 2 =++ ttt ekecem λλλ λλ ( ) 0... 2 =++ kcme t λλλ Como 0≠t eλ , então ( )kcm ++ λλ .. 2 é tratada como uma equação do 2º grau de raízes: 2 22 4 4 22 4 m mc m c m mkcc − ± − = −±− =λ m k m c m c −      ± − = 2 22 λ (28)
  • 93.
    Definindo como coeficientede amortecimento crítico cc, o valor de c que anula o radical, tem-se: 0 2 2 =−      m k m cc ( ) m k m cc =2 2 2 ( ) m km cc 2 2 2 = m k mcc .2= pmcc .2= (29) Onde p é a freqüência angular do sistema sem amortecimento. Têm-se então, dependendo do valor da constante c, três casos diferentes de amortecimento:
  • 94.
    1. Amortecimento supercrítico:c > cc Quando c > cc, as raízes λ1 e λ2 são ambas reais e distintas e a solução geral da equação diferencial (27) é: tt eBeAx 21 .. λλ += (30) Neste caso, o movimento não é vibratório. O efeito do amortecimento é tão forte que quando o bloco é deslocado e abandonado, ele voltará simplesmente para a sua posição original sem oscilar (sistema superamortecido). 2. Amortecimento crítico: c = cc Quando c = cc, as raízes λ1 e λ2 são ambas reais e iguais. Tem-se: m c m c cc 2 0 2 − =⇒± − = λλ m mp 2 2− =λ p−=∴λ E a solução geral da equação diferencial (27) é: pt eBtAx − += ).( (31)
  • 95.
    Esta situação éconhecida como amortecimento crítico, pois ela representa uma condição onde c tem o menor valor necessário para causar o movimento não oscilatório do sistema. O bloco deslocado e abandonado retorna à sua posição de equilíbrio sem oscilar, no menor tempo possível. 3. Amortecimento subcrítico: c < cc Quando c < cc, as raízes λ1 e λ2 são complexas e conjugadas e a solução geral da equação diferencial (27) é: )cos...( . 2 qtBsenqtAex t m c +=       − (32) Onde q é definido pela relação: 2 2 2       −= m c m k q Substituindo 2 p m k = : 2 1       −= cc c pq (33)
  • 96.
    Onde a razãoc/cc é conhecida como fator de amortecimento. Esta situação é conhecida como amortecimento subcrítico e o movimento resultante é vibratório com amplitude decrescente, figura 09, de modo que a solução geral pode ser escrita na forma: ).(. . 2 φ+=       − senqtexx t m c m (34) Figura 09 – Amortecimento subcrítico: Movimento vibratório com amplitude decrescente
  • 97.
    2.2. Vibrações forçadasamortecidas Submetendo-se o bloco ilustrado pela figura 08 a uma força periódica F de intensidade )sen(. tFF m ω= , a equação do movimento torna-se: tsenFxkxcxm m ω.... =++ &&& (35) (equação diferencial não homogênea de 2ª ordem) A solução particular da equação diferencial de 2ª ordem não homogênea no estado estacionário é do tipo: )(. ϕω −= tsenxx mpart E suas derivadas são representadas por: )cos(.. ϕωω −= txx m & e )(... 2 ϕωω −−= tsenxx m && Em que: • φ é o ângulo de fase.
  • 98.
    Substituindo a soluçãoparticular em (35): tsenFxkxcxm m ω.... =++ &&& [ ] [ ] [ ] tsenFtsenxktxctsenxm mmmm ωϕωϕωωϕωω .)(..)cos(...)(.... 2 =−+−+−− Para os ângulos 0)( =−ϕωt (I) 2 )( π ϕω =−t (II), tem-se que: De (I): 0)( =−ϕωt ϕω =⇒ t [ ] [ ] [ ] tsenFtsenxktxctsenxm mmmm ωϕωϕωωϕωω .)(..)cos(...)(.... 2 =−+−+−− [ ] [ ] [ ] ϕωω senFsenxkxcsenxm mmmm .)0(..)0cos(...)0(.... 2 =++− [ ] [ ] [ ] ϕω senFxkxcm mmm .0..1...0. =++ ϕω senFxc mm ... = (36)
  • 99.
    De (II): 2 )( π ϕω =−t 2 π ϕω+=⇒ t [ ] [ ] [ ] tsenFtsenxktxctsenxm mmmm ωϕωϕωωϕωω .)(..)cos(...)(.... 2 =−+−+−− ) 2 (.) 2 (..) 2 cos(...) 2 (.... 2 π ϕ ππ ω π ω +=      +      +      − senFsenxkxcsenxm mmmm [ ] [ ] [ ] ϕωω cos.1..0...1.... 2 mmmm Fxkxcxm =++− ϕω cos.... 2 mmm Fxkxm =+− ϕω cos.)..( 2 mm Fxmk =− (37) Dividindo-se (36) por (37): m m m m xmk xc F senF )..( .. cos. . 2 ω ω ϕ ϕ − = 2 . . ω ω ϕ mk c tg − = (38) Lembrando que 2 p m k = , onde p é a freqüência angular da vibração não amortecida e que pmcc .2= é o coeficiente de amortecimento crítico:
  • 100.
    2 1 ..2       −             = p pc c tg c ω ω ϕ (39) A equação(39) define a defasagem φ entre a força excitadora de intensidade )sen(. tFF m ω= ou o movimento excitador do suporte )(. tsenm ωδδ = e a vibração do estado estacionário do sistema amortecido em função da razão entre as freqüências p ω e do fator de amortecimento cc c . Por sua vez, elevando-se ao quadrado ambos os membros das equações (36) e (37) e somando-se, tem-se que: ϕω 22222 ... senFxc mm = + ϕω 22222 cos..).( mm Fxmk =− )cos.(].).().[( 2222222 ϕϕωω +=+− senFxcmk mm 22222 ].).().[( mm Fxcmk =+− ωω 222 2 2 ).().( ωω cmk F x m m +− =
  • 101.
    222 ).().( ωω cmk F xm m +− = (40) Lembrando que 2 p m k = , onde p é a freqüência angular da vibração não amortecida e que pmcc .2= é o coeficiente de amortecimento crítico: 222 ..21 1                   +               − == pc c p x kF x c m m m m ωω δ (41) A equação (41) fornece o fator de ampliação kF x m m ou m mx δ em função da razão entre as freqüências p ω e o fator de amortecimento cc c . Ela pode ser empregada para determinar a amplitude da vibração do estado estacionário produzida por uma força excitadora de intensidade )sen(. tFF m ω= ou o movimento excitador do suporte )(. tsenm ωδδ = .
  • 102.
    O fator deampliação está representado graficamente em função da razão entre as freqüências, na figura 10, para vários valores do fator de amortecimento. Nela se observa que a amplitude de uma vibração forçada pode ser mantida pequena pela escolha de um coeficiente de amortecimento viscoso grande ou mantendo bem diferentes os valores das freqüências naturais e forçadas. Figura 10 – Fator de ampliação em sistemas forçados amortecidos
  • 103.
    Lista de Exercícios– Dinâmica das Máquinas Prof. Ricardo B. Elias =============================================================== Vibrações Livres
  • 104.
  • 106.
  • 108.
  • 109.
  • 110.
    LISTA DE EXERCÍCIOSDE DINÂMICA DE MÁQUINAS E VIBRAÇÕES