CAPA
                                       MINISTÉRIO DA SAÚDE
                                    FUNDAÇÃO OSWALDO CRUZ
                    ESCOLA NACIONAL DE SAÚDE PÚBLICA SÉRGIO AROUCA
                                           em convênio com o
                                 ESTADO DO RIO GRANDE DO SUL
                               SECRETARIA DE ESTADO DA SAÚDE
                                    ESCOLA DE SAÚDE PÚBLICA


                       PÓS-GRADUAÇÃO LATO SENSU EM SAÚDE PÚBLICA




                                 CARLOS ANDRÉ AITA SCHMITZ




                                  DECIFRA-ME E DEVORO-TE:
   A história de como nasceu e morreu a idéia de uma Residência Integrada em Saúde no interior do
                                               Estado


                              DECIPHER ME AND I DEVOUR YOU:
 The history of how was born and how died the idea of an Integrated Residence in Health in the interior
                                            of the State.




                                           Porto Alegre - RS

                                                 2006
CONTRACAPA




                      CARLOS ANDRÉ AITA SCHMITZ




                         DECIFRA-ME E DEVORO-TE:
    A história de como nasceu e morreu a idéia de uma Residência Integrada em
                            Saúde no interior do estado




                                Trabalho de Conclusão de Curso apresentado como requisito
                                parcial para obtenção do título de Sanitarista, do curso de
                                pós-graduação Lato sensu em Saúde Pública, da Escola
                                Nacional de Saúde Pública Sérgio Arouca em convênio com
                                a Escola de Saúde Pública do Estado do Rio Grande do Sul.


                                Orientador: Prof. Manoel Mayer Jr.

                                Co-orientadores: Nilson Maestri Carvalho
                                                 Benildes Maria Mazzorani
                                                 Nara Rúbia Zardin




                               Porto Alegre

                                  2006
FICHA CATALOGRÁFICA

S355d      Schmitz, Carlos André Aita
               Decifra-me e devoro-te : a história de como nasceu e
           morreu a idéia de uma residência integrada em saúde no
           interior do estado / por Carlos André Aita Schmitz. – 2006.
               242 f. : il. ; 30 cm.

               Orientador: Manoel Mayer Jr.
               Co-orientadores, Nilson Maestri Carvalho, Benildes
           Maria Mazzorani, Nara Rúbia Zardin
               Monografia (especialização) – Escola Nacional de
           Saúde Pública Sérgio Arouca em convênio com a Escola
           de Saúde Pública do Estado do Rio Grande do Sul, 2006

                1. Educação em saúde 2. Saúde pública 3. Residência
            integrada em saúde 4. Residência médica 5. Formação
            profissional 6. Educação permanente 7. SUS 8. Santa
            Maria 9. Rio Grande do Sul I. Mayer Júnior, Manoel
            II. Carvalho, Nilson Maestri III. Mazzorani, Benildes
            Maria, IV. Zardin, Nara Rúbia V. Título.

           CDU 614:378.24
               616-051:378.24




Ficha catalográfica elaborada por
Maristela Eckhardt - CRB-10/737
DEDICATÓRIA


          Para Elieser:

                          Ah! Menina dos olhos profundos...
                          Não sei de que cor eles são,
                          mas que são profundos eu sei...


                                 Dedico todas as linhas aqui contidas a
                          minha mulher, por ser ela a primeira a ler,
                          gostar, desgostar, criticar e incentivar tudo o que
                          aqui está.
                                 Por ser ela também causa, motivo e
                          inspiração de muitas linhas, lágrimas, risos e
                          sorrisos.
                                 Por ser também ela a pessoa que mais
                          amo neste mundo e em todos os outros que
                          haveremos de trilhar juntos.
AGRADECIMENTOS


                 A minha mulher

                 Não basta apenas a dedicatória. Há que
                 agradecer pela paciência, por ter suportado as
                 muitas ausências, por ter apoiado meus sonhos,
                 por ter rido e chorado comigo, pela revisão
                 gramatical de todo o texto e, principalmente, por
                 não ter me deixado desistir ou recuar em
                 nenhum momento.

                 Aos orientadores

                 Pela paciência em, num curto espaço de tempo
                 (44 dias), ler todo o texto, não só a versão final,
                 como todas as preliminares, acrescentando
                 várias contribuições e removendo alguns
                 exageros. E, sobretudo, pela coragem de terem
                 sido participantes ativos em todas as etapas.

                 Aos familiares

                 Que mesmo sem entender muito bem que diabos
                 de loucura era esta estória de RIS, tinham
                 certeza que era algo muito bom.

                 Aos amigos

                 Por não terem sido poucos.

                 Aos inimigos

                 Que, de uma forma apaixonada, gastaram seu
                 tempo, suas influências, suas forças, seus
                 recursos e até o que não tinham. Fizeram o que
                 nenhum amigo seria capaz de fazer: penhor de
                 ouro, de sangue, de alma e de honra. A eles
                 rendo minha sincera homenagem.

                 Ao sujeito que realmente manda

                 Por nos ter permitido tudo isso.
EPÍGRAFE


           Meus sonhos
           são vasos.
           Seus cacos
           colados
           não querem
           quebrar.
RESUMO

      Neste estudo qualitativo, utilizando narrativa em primeira pessoa e de forma
passional, enumero e detalho os passos e percalços transcorridos na tentativa de
implantação de uma Residência Integrada em Saúde no interior do estado do Rio
Grande do Sul, mais especificamente no município universitário de Santa Maria.

      Procuro abranger fatos ocorridos no período de 2003 a 2005, englobando a
passagem de três secretários municipais de saúde, um pleito eleitoral municipal e a
implantação local do Programa de Saúde da Família com isonomia salarial e
valorização da formação profissional.

      O desenho metodológico situa-se em algum ponto entre uma pesquisa-ação,
uma pesquisa participante e um estudo descritivo.

      No referencial teórico, passeio pelos conceitos de residência, residência
integrada e modelo pedagógico; transdisciplinaridade e limites profissionais;
reformulação do modelo de atenção em saúde; interinstitucionalidade, redes e
necessidade de associação e pelo quadrilátero da formação para a área da saúde,
não esquecendo um pouco de história da saúde no Brasil e estrutura do Sistema
Único de Saúde.

      Torno público, na íntegra ou em parte, todos os projetos escritos no decorrer
dos trabalhos: um curso de formação de preceptores, a estrutura de uma residência
integrada, um projeto de Residência em Medicina de Família e Comunidade, e
projetos de informatização para a atenção primária em saúde, geoprocessamento e
radiologia digital, embora estes três últimos possam parecer um pouco deslocados.

      As considerações finais são apresentadas à luz da Teoria dos Jogos, da
Teoria da Produção Social e de alguns aspectos do Postulado de Coerência,
contando com o inusitado apoio de Mr. Hide (alter-ego do Dr. Jekyll).



      PALAVRAS CHAVE: Residência Integrada em Saúde, Educação em Saúde,
Educação Permanente, Formação de Recursos Humanos.
ABSTRACT

       In this qualitative study, using narrative in the first person and in a passionate
form, i enumerate and detail the steps and profits elapsed in the attempt of the
implantation of an Integrated Residence in Health in interior of the state of Rio
Grande do Sul, more specifically in the academical city of Santa Maria.

       I try to include facts happened in the period that goes from 2003 to 2005,
including the passage of three municipal secretaries' of health, a municipal election
and the local implantation of the Program of Health of the Family with wage equality
and valorization of the professional formation.

       The methodological drawing is located in some point between an action-
research, a participant research and a descriptive study.

       In the theoretical referential, I walk through the concepts of residence,
integrated residence and pedagogic model; transdisciplinarity and professional limits;
reformulation of the model of the attention in health; interinstitucionality, nets and the
need of association and for the quadrilateral formation for the health area, not
forgetting a small health history in Brazil and the structure of the Unique Health
System.

       I turn public, completely or in part, all projects written during the elapsing of the
works: a course of mentors' formation, the structure of an integrated residence, a
project of Residence in Family and Community Medicine, and informatization projects
for the primary attention in health, geoprocessment and digital radiology, although
these last three may seem a little dislocated.

       The final considerations are presented at the light of the Games Theory, of the
Social Production Theory and some aspects of the Postulate of Coherence, counting
with the unusual support of Mr. Hide (alter-ego of the Dr. Jekyll).



       KEY WORDS: Integrated Residence in Health, Health Education, Permanent
Education, Formation of Human Resources.
LISTA DE ABREVIATURAS

4ª CRS   4ª Coordenadoria Regional de Saúde
APS      Atenção Primária em Saúde
CA       Coordenação de Atenção
CCS      Centro de Ciências da Saúde
CEP      Coordenação de Ensino e Pesquisa
CG       Colegiado Gestor
CG       Coordenação Geral
CMS      Conselho Municipal de Saúde
CNRM     Comissão Nacional de Residência Médica
COREME   Comissão de Residência Médica e Especialização
CRRM     Comissão Regional de Residência Médica
CSEM     Centro de Saúde Escola Murialdo
DEGES    Departamento de Gestão da Educação na Saúde
EAD      Ensino À Distância
EC-29    Emenda Constitucional - 29
EM       Executivo Municipal
ESF      Estratégia de Saúde da Família
ESP      Escola de Saúde Pública
GA       Grupo Apartidário Aberto
GF       Grupo Partidário Fechado
GPABA    Gestão Plena da Atenção Básica Ampliada
GPSM     Gestão Plena do Sistema Municipal
GSSS     Gestão de Serviços e Sistemas de Saúde
HCS      Hospital Casa de Saúde
HUSM     Hospital Universitário de Santa Maria
IAR      Inserção Acadêmica na Rede
IS&VP    Isonomia Salarial e Valorização da Formação Profissional
IVAP     Instrumento Virtual de Apoio Pedagógico
LM       Legislativo Municipal
ME       Ministério da Educação
MFC      Medicina de Família e Comunidade
MRCO     Macro Região Centro Oeste
MS       Ministério da Saúde
NC       Núcleo de Coordenação
NV       Nascidos Vivos
PA       Pesquisa-Ação
PEPS     Pólo de Educação Permanente em Saúde
PES      Planejamento Estratégico Situacional
PET      Programa Especial de Treinamento
PMDB     Partido do Movimento Democrático Brasileiro
PMSM     Prefeitura Municipal de Santa Maria
POA      Porto Alegre
PP       Pesquisa Participante
PROESF   Projeto de Expansão e Consolidação da Saúde da Família
PROMED   Projeto de Incentivo a Mudanças Curriculares nos Cursos de Medicina
PSF      Programa de Saúde da Família
PT       Partido dos Trabalhadores
R3       Residente de terceiro ano
RIS      Residência Integrada em Saúde
SBMFC    Sociedade Brasileira de Medicina de Família e Comunidade
SES      Secretaria Estadual de Saúde
SG       Secretaria Geral
SGTES    Secretaria de Gestão do Trabalho e da Educação na Saúde
SM       Santa Maria
SMAP     Saúde Mental na Atenção Primária
SMS      Secretaria de Município da Saúde
SUS      Sistema único de Saúde
UBS      Unidade Básica de Saúde
UFSM     Universidade Federal de Santa Maria
UNIFRA   Centro Universitário Franciscano
LISTA DE FIGURAS

Figura 1    O Caminho do meio: O gradiente multi-inter-trans e os extremos da hegemonia
            uniprofissional e da perda da identidade profissional. ........................................................33
Figura 2    Evolução dos modelos de saúde. Partindo do modelo médico-centrado, passando pelo
            modelo paciente-centrado e chegando ao modelo centrado na produção de saúde, onde o
            paciente figura como um usuário participante através do controle social.
            Enf=enfermagem; Fis=fisioterapia, Fon=fonoaudiologia; M=medicina; Nut=nutricionista;
            Od=odontologia; ; Pac=paciente Psi=psicologia; SS=Serviço social; Us=usuário. ...................35
Figura 3    Logomarca da RIS..................................................................................................................40
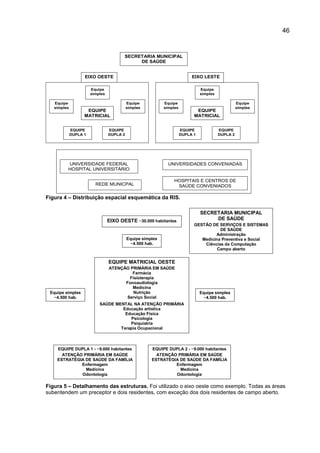
Figura 4    Distribuição espacial esquemática da RIS. .....................................................................46
Figura 5    Detalhamento das estruturas. Foi utilizado o eixo oeste como exemplo. Todas
            as áreas subentendem um preceptor e dois residentes, com exceção dos dois
            residentes de campo aberto. ..................................................................................................46
Figura 6    Organograma da RIS. ............................................................................................................47
Figura 7    Distribuição e paridade do Colegiado Gestor. Us = Usuários; T =
            Trabalhadores de Saúde; G = Gestores; OS = Prestadores de Serviços. ......................48
Figura 8    Alguns problemas de Santa Maria...........................................................................................55
Figura 9    O modelo de tripé...................................................................................................................65
Figura 10   Basta remover um pé: Ilustrações extraídas do álbum Liga Extraordinária
            Volume 2 (MOORE ET AL, 2004). Esta HQ (história em quadrinhos) ilustra uma
            versão do clássico “A Guerra dos Mundos” ambientada na Londres do final do
            século XIX. Nesta seqüência o personagem Mr. Hide enfrenta os tripés
            marcianos e ressalta na sua ótica, dois importantes problemas de projeto: “Você
            tem um problema agora. Atire em mim e irá arrebentar o próprio pé!” e “Não me
            leve a mal: Deus criou um monte de criaturas inúteis e de aparência estúpida
            neste mundo. Mas Ele decidiu não fazer nenhuma delas com três pés! Você
            imagina porque ele fez isso?” Ele mesmo responde na última ilustração.......................67
Figura 11   Divisão da roda de problematização. ................................................................................72
Figura 12   Perfil antropofágico e integrador da Saúde Coletiva....................................................81
Figura 13   IVAP: Tela Principal onde são apresentados os últimos textos publicados. O
            sistema dá acesso total dos textos aos visitantes, acesso limitado das
            funcionalidades aos alunos, acesso semi-total aos professores e acesso pleno
            aos administradores.................................................................................................................83
Figura 14   IVAP: Estrutura de tópicos. Cada vez que um texto é publicado, ele é associado
            a um tópico especifico de forma a permitir visualização estruturada. O sistema
            também permite pesquisa aleatória, alfabética ou cronológica dos textos. ....................83
Figura 15   IVAP: Fórum. O módulo de fóruns permite o cadastro e incremento de várias
            discussões. ................................................................................................................................84
Figura 16   IVAP: Postagem de testes. O sistema permite que os professores enviem tanto
            questões objetivas, quanto questões discursivas................................................................84
Figura 17   IVAP: Realização do teste pelo aluno...................................................................................84
Figura 18   IVAP: Estatísticas.....................................................................................................................85
Figura 19   Geoprocessamento: Capacidade de detalhamento do sistema, partindo de um
            mapa geral do município até a planta baixa de uma clínica de traumato-
            ortopedia. ...................................................................................................................................86
Figura 20   Geoprocessamento: Instrumento de coleta de dados. A frente apresenta o
            mapa da microregião a ser analizada, a legenda de eventos a serem observados
            e os dados de identificação. O verso apresenta uma mapa de localização da
            microregião................................................................................................................................87
Figura 21   Levantamento topográfico ...................................................................................................89
Figura 22   Ferramentas de territorialização. a)Mapa digital da cidade; b)Mapas impressos
            para as equipes, identificando cada micro área com uma cor padrão, a situação
            espacial da micro área na área e da área no município; c) Prontuário com
            codificação padronizada e identificação da cor da micro área; d) Cartão
            provisório de identificação do usuário. ..................................................................................95
Figura 23   Capacidade da rede pública municipal de saúde/Fluxo espontâneo e
            dirigido da população. ..........................................................................................................96
Figura 24   As redes de Santa Maria.......................................................................................................97
Figura 25   Vila Maringá: situação geográfica. As seis micro áreas da Vila Maringá e sua
            posição em relação ao município.........................................................................................114
Figura 26   O Castelo de cartas. Em amarelo as ações de curto prazo, em vermelho as de
            médio e em verde as de longo prazo. .................................................................................123
LISTA DE TABELAS

Tabela 1   Coeficientes e números absolutos de mortalidade em Santa Maria.............................................56
Tabela 2   Mortalidade proporcional (%) por grupo de causas - CID10 em Santa Maria. ...........................57
Tabela 3   Causas de óbitos por grupo de doenças no ano de 2003 Santa Maria/RS ...................................57
Tabela 4   Quantidade de profissionais por área de atuação, classificados nos três
           processos seletivos do PSF. ....................................................................................... 106
Tabela 5   Perfil profissional do PSF em julho de 2005, considerando graduação,
           especialização em Saúde Coletiva e Residência Integrada em Saúde ou
           Residência em Medicina de Família e Comunidade................................................... 106
Tabela 6   Evasões até julho de 2005, considerando graduação, especialização em Saúde
           Coletiva e Residência Integrada em Saúde ou Residência em Medicina de
           Família e Comunidade. ............................................................................................... 106
COLABORADORES
      Pessoas que, em alguma etapa, de forma direta ou indireta trabalharam junto,
orientaram, colaboraram, opinaram ou criticaram de forma construtiva os trabalhos.

      ANA MARIA FERNANDES PITTA
      Médica psiquiátrica, mestre, doutora e Phd em saúde mental, professora da Universidade de
      São Paulo e da Universidade Federal da Bahia, consultora do Ministério da Saúde

      ADRIANE FLEIG
      Médica de família e comunidade, médica do trabalho, estratégia de saúde da família,
      Prefeitura Municipal de Santa Maria

      ALCINDO ANTÔNIO FERLA
      Médico, doutor em educação, professor de enfermagem da Universidade de Caxias do Sul

      ALEXANDER FABIANE DO REGO
      Acadêmico do Curso de Ciências da Computação da Universidade Federal de Santa Maria,
      integrante do Programa Especial de Treinamento – PET

      ALINE DOMINGUES CHAVES AITA
      Fonoaudióloga, mestre e doutora em distúrbios da comunicação humana, coordenadora do
      Curso de Fonoaudiologia da Faculdade Fátima de Caxias do Sul

      ALINE LUIZA HAAS
      Acadêmica do Curso de Ciências da Computação da Universidade Federal de Santa Maria,
      integrante do Programa Especial de Treinamento – PET

      CÉZAR AUGUSTO BASTIANELO VAZ
      Engenheiro eletricista, mestre em sistemas de informação, diretor de transportes da Prefeitura
      Municipal de Santa Maria

      CLARA L. M. COLOMÉ
      Enfermeira, mestre em enfermagem, professora da Universidade Regional Integrada –
      Campus Santiago

      CLAÚDIA SALA ANDRADE
      Farmacêutica, representante dos trabalhadores de saúde, pela Associação Santa-mariense
      de Farmácia, no Conselho Municipal de Saúde de Santa Maria

      CLAÚDIA TERRA DO NASCIMENTO
      Pedagoga, mestre em desenvolvimento humano, especialista em psicopedagogia, professora
      substituta do Departamento de Fundamentos da Educação – Centro de Educação da
      Universidade Federal e Santa Maria

      CLAÚDIO BERNARDI NETO
      Enfermeiro, especialista em Saúde Coletiva, estratégia de saúde da família, Prefeitura
      Municipal de Santa Maria

      ELAINE VERENA RESENER
      Médica ginecologista, mestre e doutora em medicina, professora adjunta do Departamento de
      Ginecologia e Obstetrícia da Universidade Federal de Santa Maria, Diretora Geral do Hospital
      Universitário de Santa Maria

      EMÉRSON ELIAS MERHY
      Médico, mestre e doutor em saúde coletiva, professor da Universidade Estadual de
      Campinas, consultor do Ministério da Saúde
FELIPE MARTINS MÜLLER
Engenheiro eletricista, mestre e doutor em engenharia elétrica, diretor do Centro de
Tecnologia da Universidade Federal de Santa Maria

FERNANDO BEVILACQUA
Acadêmico do Curso de Ciências da Computação da Universidade Federal de Santa Maria,
integrante do Programa Especial de Treinamento – PET

FERNANDO RITTER
Cirurgião-dentista, residente do Centro de Saúde Escola Murialdo, Escola de Saúde Pública
do Rio Grande do Sul

GILMOR JOSÉ FARENZENA
Médico pediatra, mestre em saúde comunitária, professor assistente do Departamento de
Saúde da Comunidade da Universidade Federal de Santa Maria

GIOVANI GRACIOLI
Acadêmico do Curso de Ciências da Computação da Universidade Federal de Santa Maria,
integrante do Programa Especial de Treinamento – PET

ILSE MEINKE MELO
Enfermeira, especialista em saúde pública, secretária de município da saúde da Prefeitura
Municipal de Santa Maria

IVAN PORCIÚNCULA JR.
Cirurgião-dentista, Prefeitura Municipal de Santa Maria

JADETE LAMPERT
Médica, mestre em administração pública, doutora em saúde pública, professora adjunta do
Departamento de Clínica Médica da Universidade Federal de Santa Maria

JAMES FERREIRA GRESSLER
Médico cardiologista, professor titular do Departamento de Clínica Médica da Universidade
Federal de Santa Maria

JONHY AIRTON PEREIRA XAVIER
Médico, Prefeitura Municipal de Santa Maria

JOSÉ ALMIRO P. DA ROSA
Representante dos usuários, pela CUT-Regional Centro, no Conselho Municipal de Saúde de
Santa Maria

JOSÉ F. SANTIN
Representante dos usuários, pela Associação Comunitária Tancredo Neves, no Conselho
Municipal de Saúde de Santa Maria

JOSÉ WELLINGTON ALVES DOS SANTOS
Médico pneumologista, mestre, doutor e Phd em pneumologia, professor adjunto do
Departamento de Clínica Médica da Universidade Federal de Santa Maria, Coordenador da
Residência Médica do Centro de Ciências da Saúde da UFSM

LAURA CAMARGO MACRUZ FEUERWERKER
Mestre e doutora em saúde pública, pesquisadora da Rede Unida, coordenadora de ações
estratégicas de educação na saúde no Departamento de Gestão da Educação na Saúde do
Ministério da Saúde

LERIS SALETE BONFANTI HAEFFNER
Médica pediatra, mestre em desenvolvimento humano, doutora em medicina, professora
adjunta do Departamento de Pediatria da Universidade Federal de Santa Maria,
coordenadora do Curso de Medicina da UFSM

LIEGE FONTANIVE
Cirurgiã-dentista. especialista em saúde coletiva, estratégia de saúde da família, Prefeitura
Municipal de Santa Maria

LUCIANE SILVA RAMOS
Enfermeira, especialista em gestão de serviços e sistemas de saúde e em saúde pública,
diretora de saúde coletiva da Secretaria de Município da Saúde da Prefeitura Municipal de
Santa Maria

LUIZ OSÓRIO CRUZ PORTELA
Educador físico, doutor em filosofia, professor titular do Departamento de Desportos Coletivos
Da Universidade Federal de Santa Maria

MÁRCIA DIAS VIANNA
Enfermeira, Prefeitura Municipal de Santa Maria

MÁRCIA HELENA BOLSON RADINS
Médica de família e comunidade, Prefeitura Municipal de Santa Maria

MARCOS CAUDURO TROIAN
Diabetólogo, professor adjunto, chefe do departamento de Clínica Médica do Centro de
Ciências da Saúde da Universidade Federal de Santa Maria

MARIA LÚCIA PRESTES
Enfermeira, Prefeitura Municipal de Santa Maria

MARIA CELESTE LANDERDHAL
Enfermeira, mestre em enfermagem, professora adjunta do Departamento de Enfermagem da
Universidade Federal de Santa Maria

MARIO ROBERTO DA SILVEIRA
Médico psiquiatra, diretor da Escola de Saúde Pública do Rio Grande do Sul

MARIO ROBERTO GARCIA TAVARES
Médico de família e comunidade, mestrando em educação, professor do departamento de
Medicina Social da Faculdade de Medicina da Universidade Federal do Rio Grande do Sul

MÔNICA ROSA ZENI
Fisioterapeuta, especialista em produtos e processos fisioterapêuticos, CEDAS, Prefeitura
Municipal de Santa Maria

OLMIRO CEZIMBRA DE SOUZA FILHO
Médico ginecologista, mestre em educação, professor assistente do Departamento de
Morfologia da Universidade Federal de Santa Maria

PAULO JORGE SARKIS
Engenheiro civil, mestre em engenharia civil, reitor da Universidade Federal de Santa Maria

PAULO VINÍCIUS NASCIMENTO FONTANIVE
Cirurgião-dentista, residente do Centro de Saúde Escola Murialdo, Escola de Saúde Pública
do rio Grande do Sul

REGINA P. LOUREIRO
Enfermeira sanitarista, mestre em epidemiologia, doutoranda em medicina social, professora
de epidemiologia e método de pesquisa da Escola de Saúde pública do RS

RICARDO BURG CECCIM
Enfermeiro sanitarista, mestre e doutor em educação e saúde, professor de educação em
saúde do Programa de Mestrado e Doutorado em Educação da Universidade Federal do Rio
Grande do Sul, diretor do Departamento de Gestão da Educação na Saúde do Ministério da
Saúde

RODRIGO CARIRI
Médico de família e comunidade, consultor técnico para ações populares de educação na
      saúde, Ministério da Saúde

      ROSA MARIA WOLF
      Médica pediatra e homeopata, especialista em gestão de sistemas de saúde, presidente do
      Conselho Municipal de Saúde de Santa Maria

      ROSE DORIGON
      Pedagoga da Escola de Saúde pública do RS

      ROSE MAYER
      Psicóloga, sanitarista, mestre em psicologia social, professora de metodologia científica da
      Escola de Saúde pública do RS

      SÉRGIO VERGUEIRO
      Farmacêutico, diretor da Secretaria de Município da Saúde da Prefeitura Municipal de Santa
      Maria

      SILVANA FLORES
      Pedagoga, Residência Multiprofissional em Saúde, Grupo Hospitalar Conceição

      SIMONE MEYER
      Terapeuta ocupacional, sanitarista, especialista em saúde mental, Curso de Terapia
      Ocupacional, Centro Universitário Franciscano

      SOELI GUERRA
      Enfermeira, representante dos prestadores de serviço, pelo Hospital Casa de Saúde, no
      Conselho Municipal de Saúde de Santa Maria

      SOLANGE CAPAVERDE SANTOS
      Mestre em educação, doutora em informática, consultora científica da Fundação de Apoio à
      Tecnologia

      VÂNIA MARIA FIGHERA OLIVO
      Enfermeira, mestre em assistência de enfermagem, doutoranda em administração, professora
      do Departamento de Enfermagem da Universidade Federal de Santa Maria

      VERA REGINA REAL LIMA GARCIA
      Enfermeira, mestre em educação, doutora em aprendizagem, coordenadora da pós-
      graduação em enfermagem da Universidade Federal de Santa Maria

      WILSON JUCHEM
      Pediatra, professor aposentado do Departamento de Pediatria da Universidade Federal de
      Santa Maria

      Vale lembrar também todos os colegas da UFSM, da PMSM, da 4ª CRS e da
UNIFRA que participaram (e não foram apenas alunos) do I (e único) Curso de
Saúde Pública Voltado Para a (De)Formação de Preceptores, assim como os
colegas do PSF, dos Centros de Atenção Psicossocial, do Ambulatório de Saúde
Mental, do grupo nacional de discussão de residências em saúde mental e do Curso
de Administração do UFSM.
      Se por acaso esqueci de alguém, o que é bem provável dada a quantidade de
pessoas que conviveram com este projeto no período de 2003 a 2005, por favor,
reclame. Uma cópia eletrônica desta monografia será publicada na internet e sempre
será um prazer atualizá-la.
SUMÁRIO

1      INTRODUÇÃO ........................................................................................... 20
2      OBJETIVOS ............................................................................................... 23
    2.1             OBJETIVO GERAL ................................................................................................................... 23
    2.2             OBJETIVOS ESPECÍFICOS..................................................................................................... 23
3      METODOLOGIA......................................................................................... 24
    3.1             PRÓLOGO DA METODOLOGIA............................................................................................ 24
    3.2             METODOLOGIA EM SI............................................................................................................ 25
      3.2.1         ESTUDO DESCRITIVO............................................................................................................... 25
      3.2.2         PESQUISA PARTICIPANTE - PP E PESQUISA-AÇÃO – PA .................................................. 26
      3.2.3         DESENHO DA MONOGRAFIA.................................................................................................. 28
PARTE I ........................................................................................................... 29
4      ALGUNS CONCEITOS PRELIMINARES................................................... 30
    4.1             RESIDÊNCIA, RESIDÊNCIA INTEGRADA E MODELO PEDAGÓGICO....................... 30
    4.2             A TRANSDISCIPLINARIDADE E OS LIMITES PROFISSIONAIS................................... 32
    4.3             A REFORMULAÇÃO DO MODELO DE ATENÇÃO........................................................... 36
    4.4             INTERINSTITUCIONALIDADE, REDES E NECESSIDADE DE ASSOCIAÇÃO ........... 37
    4.5             O QUADRILÁTERO .................................................................................................................. 39
5      A ESTRUTURA DA RIS ............................................................................. 40
    5.1             ESTUDO DA LOGOMARCA.................................................................................................... 40
    5.2             ESTRUTURA EM SI .................................................................................................................. 41
      5.2.1         ALGUMAS VANTAGENS .......................................................................................................... 41
      5.2.2         DA DURAÇÃO E CARGA HORÁRIA ....................................................................................... 41
      5.2.3         DAS ÊNFASES............................................................................................................................. 42
      5.2.4         DAS ATIVIDADES ...................................................................................................................... 42
      5.2.5         DOS ESPAÇOS E ATORES......................................................................................................... 42
      5.2.6         DAS ÁREAS PROFISSIONAIS POR ÊNFASE .......................................................................... 43
      5.2.7         DA DINÂMICA DAS ÊNFASES, DOS ESPAÇOS E DOS ATORES........................................ 44
      5.2.8         DA FORMA DE GESTÃO ........................................................................................................... 47
      5.2.9         DAS ESPECIALIZAÇÕES DE NÍVEL MÉDIO.......................................................................... 50
6      MAS POR QUE SANTA MARIA?............................................................... 51
    6.1             SITUAÇÃO GEOPOLÍTICA..................................................................................................... 51
      6.1.1         O PAPEL DO MUNICÍPIO NA EFETIVAÇÃO DO SUS........................................................... 52
      6.1.2         MAIS ALGUNS DADOS SOBRE MUNICÍPIO.......................................................................... 55
7      COMO IR PARA SANTA MARIA?.............................................................. 58
    7.1             OS PRIMEIROS PASSOS.......................................................................................................... 58
    7.2             AS PRIMEIRAS ESTRATÉGIAS ............................................................................................. 58
    7.3             UMA OUTRA ESTRATÉGIA: A DILUIÇÃO DA AUTORIA .............................................. 61
    7.4             DE VOLTA A POA ..................................................................................................................... 62
PARTE II .......................................................................................................... 63
8      O FILHO PRÓDIGO A CASA TORNA........................................................ 64
    8.1             INICIEI COM UM TRIPÉ ......................................................................................................... 64
    8.2             O QUE DEU E O QUE NÃO DEU CERTO ............................................................................. 67
    8.3             COMEÇOU A CHOVER DENTRO DO BARCO ................................................................... 68
9      E COMEÇA O CURSO DE PRECEPTORES............................................. 70
    9.1     A PRIMEIRA AULA: SUS......................................................................................................... 71
    9.2     CONTROLE SOCIAL X MANIPULAÇÃO SOCIAL: A DINÂMICA DO CONSELHO
    MUNICIPAL DE SAÚDE .............................................................................................................................. 71
9.3                A DINÂMICA “O PACIENTE IN(TER)DISCIPLINADO”:.................................................. 74
  9.4                O DEBATE DO NÚCLEO E CAMPO DA SAÚDE COLETIVA........................................... 80
  9.5                ATIVIDADES VIRTUAIS.......................................................................................................... 81
  9.6                O GEOPROCESSAMENTO...................................................................................................... 86
  9.7                INTERLÚDIO I – TIME IS ON MY SIDE ................................................................................ 90
10       CONTINUAVA A CHOVER DENTRO DO BARCO ................................. 92
11       E COMEÇA A SURGIR O PSF DE SM ................................................... 93
12 A ISONOMIA SALARIAL E A VALORIZAÇÃO DA FORMAÇÃO
PROFISSIONAL - IS&VP ................................................................................. 98
  12.1        INTERLÚDIO II - SUBVERTENDO UMA LÓGICA: UM ARTIGO QUE ENTRA AO
  INVÉS DE SAIR.............................................................................................................................................. 98
  12.2        O impacto da adoção da isonomia salarial e valorização da formação profissional (IS&VP)
  no Programa de Saúde da Família ............................................................................................................... 101
    12.2.1 Autores do artigo: ........................................................................................................................ 101
    12.2.2 Introdução do artigo..................................................................................................................... 101
    12.2.3 Objetivo do artigo........................................................................................................................ 102
    12.2.4 Metodologia do artigo ................................................................................................................. 102
    12.2.5 Resultados do artigo .................................................................................................................... 102
    12.2.5.1     Extratos documentais .............................................................................................................. 103
    12.2.5.2     Tabelas funcionais .................................................................................................................. 106
    12.2.6 Discussão do artigo...................................................................................................................... 106
       12.2.6.1    A trajetória: ........................................................................................................................ 106
       12.2.6.2    Os fatos seguintes: ............................................................................................................. 109
  12.3        INTERLÚDIO III – DADOS QUE NÃO CONSTARAM NO ARTIGO ............................. 110
    12.3.1 UM TRIPÉ MANCO................................................................................................................... 110
    12.3.2 NO FRESCOR DO VERÃO DE 2004 – A PRIMEIRA GELADEIRA...................................... 113
    12.3.3 RESSURGINDO DAS CINZAS (OU DA LAMA) .................................................................... 114
       12.2.6.3    O impacto no perfil profissional do PSF:........................................................................... 116
       12.2.6.4    Análise de cenários: ........................................................................................................... 117
    12.2.7 Considerações finais do artigo..................................................................................................... 120
    12.2.8 Referências do artigo ................................................................................................................... 120
13 CONSIDERAÇÕES FINAIS - POR QUE O TRIPÉ DESPENCOU E LEVOU O
QUADRILÁTERO JUNTO .............................................................................. 122
  12.1               DA FRAGILIDADE .................................................................................................................. 122
  12.2               DOS JOGOS DE PODER E DAS PERDAS............................................................................ 123
  12.3               DA COERÊNCIA, DA DETERMINAÇÃO E DO CONDICIONAMENTO....................... 126
  12.4               DA CONTABILIDADE FINAL ............................................................................................... 127
13       EPÍLOGO .............................................................................................. 129
  13.1               O TEMPO NÃO EXISTE ......................................................................................................... 129
14       REFERÊNCIAS..................................................................................... 131
APÊNDICES................................................................................................... 135
  APÊNDICE A: UM PASSEIO PELO SUS ................................................................................................. 136
      O SISTEMA ÚNICO DE SAÚDE:............................................................................................................. 136
      E UM POUCO DA SUA PRODUTIVIDADE: .......................................................................................... 136
      UMA RÁPIDA VIAGEM NO TEMPO...................................................................................................... 137
      PRINCÍPIOS ............................................................................................................................................... 138
      BASE LEGAL E FINANCIAMENTO ....................................................................................................... 140
      ESTRUTURAS DE CONTROLE............................................................................................................... 141
      ESTRUTURAS DE GESTÃO .................................................................................................................... 141
      INSTRUMENTOS DE GERENCIAMENTO............................................................................................. 141
  APÊNDICE B – PROGRAMA DE RESIDÊNCIA EM MEDICINA DE FAMÍLIA E COMUNIDADE
  ......................................................................................................................................................................... 143
      1.              INTRODUÇÃO E JUSTIFICATIVA ......................................................................................... 150
      2.              OBJETIVO GERAL.................................................................................................................... 151
3.         OBJETIVOS ESPECÍFICOS ...................................................................................................... 151
 4.         METODOLOGIA........................................................................................................................ 151
 4.1.       Visão geral................................................................................................................................... 151
 4.2.       Preceptores .................................................................................................................................. 152
 4.3.       Vagas ........................................................................................................................................... 152
 4.4.       Espaços ........................................................................................................................................ 153
 4.5.       Familiarização ............................................................................................................................. 153
 4.6.       Bibliografia disponível ................................................................................................................ 154
 4.7.       Acesso a Internet ......................................................................................................................... 155
 4.8.       Refeições ..................................................................................................................................... 155
 4.9.       Carga Horária .............................................................................................................................. 155
 4.10.      Distribuição das atividades .......................................................................................................... 156
 4.10.1. Atividades na USF e na comunidade........................................................................................... 158
 4.10.1.1.     Sala de Espera......................................................................................................................... 159
 4.10.1.2.     Acolhimento ........................................................................................................................... 160
 4.10.1.3.     Agenda.................................................................................................................................... 160
 4.10.1.4.     Pós-plantões e plantões ........................................................................................................... 161
 4.10.1.5.     Assistência domiciliar............................................................................................................. 163
 4.10.1.6.     Territorialização e pesquisa .................................................................................................... 163
 4.10.1.7.     Grupos .................................................................................................................................... 166
 4.10.1.8.     Gestão de serviços .................................................................................................................. 166
 4.10.1.9.     Atividades comunitárias ......................................................................................................... 168
 4.10.1.10.       Atualização ........................................................................................................................ 168
 4.10.2. Estágios ....................................................................................................................................... 170
 4.10.3. Eixos teóricos .............................................................................................................................. 171
 4.11.      Avaliação..................................................................................................................................... 173
 5.         REFERÊNCIAS .......................................................................................................................... 173
APÊNDICE C - TRECHO AUTOBIOGRAFIA ........................................................................................ 174
APÊNDICE D – MINHA VISÃO METAFÓRICA DO INFERNO.......................................................... 177
APÊNDICE E – PRIMEIRO PROJETO R3 .............................................................................................. 179
 1.         INTRODUÇÃO........................................................................................................................... 181
 2.         OBJETIVOS................................................................................................................................ 181
 2.1.       Objetivo geral: ............................................................................................................................. 181
 2.2.       Objetivos específicos:.................................................................................................................. 181
 3.         JUSTIFICATIVA ........................................................................................................................ 182
 4.         FORMULAÇÃO DO PROBLEMA............................................................................................ 182
 5.         DEFINIÇOES CONCEITUAIS .................................................................................................. 184
 7.         CRONOGRAMA ........................................................................................................................ 185
 8.         REFERÊNCIAS .......................................................................................................................... 186
APÊNDICE F – PROPOSTA SUMÁRIA ................................................................................................... 187
APÊNDICE G – A CAPA DO TRIPÉ ......................................................................................................... 190
APÊNDICE H – CURSO DE PRECEPTORES ......................................................................................... 191
 1.         INTRODUÇÃO........................................................................................................................... 194
 2.         JUSTIFICATIVA ........................................................................................................................ 195
 3.         OBJETIVO GERAL.................................................................................................................... 195
 4.         OBJETIVOS ESPECÍFICOS ...................................................................................................... 195
 5.         METODOLOGIA........................................................................................................................ 196
 5.1.       SELEÇÃO DOS PARTICIPANTES........................................................................................... 196
 5.2.       PERÍODO E ESTRUTURA DO CURSO ................................................................................... 196
    5.2.1.     Atividades virtuais .................................................................................................................. 196
         5.2.1.1.          Realização do pré-teste:............................................................................................ 197
         5.2.1.2.          Leitura de instrumentalização:.................................................................................. 197
         5.2.1.3.          Debate prévio: .......................................................................................................... 197
         5.2.1.4.          Realização do pós-teste: ........................................................................................... 197
         5.2.1.5.          Digitação das avaliações:.......................................................................................... 197
         5.2.1.6.          Acréscimos ao banco de referências:........................................................................ 197
         5.2.1.7.          Consulta de dados pessoais: ..................................................................................... 198
         5.2.1.8.          Consulta de dados gerais: ......................................................................................... 198
    5.2.2.     Atividades teóricas.................................................................................................................. 199
    5.2.3.     Atividades práticas.................................................................................................................. 199
5.2.3.1.       Contato inicial .......................................................................................................... 200
           5.2.3.2.       Equipamentos de saúde: ........................................................................................... 200
           5.2.3.3.       Controle social:......................................................................................................... 200
           5.2.3.4.       Territorialização ....................................................................................................... 201
      5.2.4.     Eixos Temáticos para 2004..................................................................................................... 201
      5.2.5.     Estratégias de avaliação .......................................................................................................... 202
   6.      CRONOGRAMA ............................................................................................................................ 203
   7.      ORÇAMENTO................................................................................................................................ 203
   8.      REFERÊNCIAS .............................................................................................................................. 204
   ANEXO I - Objetivos Projeto I ................................................................................................................... 205
   ANEXO II – Estrutura do curso .................................................................................................................. 206
  APÊNDICE I – O “CAUSO” DO GERALDÃO......................................................................................... 214
  APÊNDICE J - NEM CAFÉ NEM PÃO, SÓ PAPELÃO.......................................................................... 215
  APÊNDICE L – UMA SINGELA PIADA................................................................................................... 216
  APÊNDICE M – HISTÓRIA DA SAÚDE NO BRASIL............................................................................ 217
   PERÍODO PRÉ-REPUBLICANO (1500-1889) ......................................................................................... 218
   A REPÚBLICA VELHA (1889-1930)........................................................................................................ 219
   A ERA VARGAS (1930-1945)................................................................................................................... 221
   O PERÍODO DESENVOLVIMENTISTA (1945-1964)............................................................................. 221
   A NOVA DITADURA................................................................................................................................ 222
   A DÉCADA DE 80: ECLOSÃO DA CRISE ESTRUTURAL E CONSOLIDAÇÃO DAS PROPOSTAS
   REFORMADORAS .................................................................................................................................... 223
   REFERÊNCIAS .......................................................................................................................................... 225
ANEXOS ........................................................................................................ 226
  ANEXO A - MARAGATOS E PICA-PAUS ............................................................................................... 227
  ANEXO B - PRIORIDADES EM SAÚDE DO GOVERNO ESTADUAL............................................... 228
  ANEXO C – EIXOS, VETORES E ESTÁGIOS DO PROJETO DE INCENTIVO A MUDANÇAS
  CURRICULARES NOS CURSOS DE MEDICINA. ................................................................................. 229
  ANEXO D – PROJETO INFORMATIZAÇÃO APS: OFÍCIO HUMBERTO COSTA ........................ 230
  ANEXO E – FRAGMENTO PROJETO HUSM ........................................................................................ 232
  ANEXO F - COMISSÃO MULTIDISCIPLINAR DE PROFISSIONAIS DA SAÚDE.......................... 233
  ANEXO G – DECLARAÇÃO DE ALMA-ATA......................................................................................... 239
20




1     INTRODUÇÃO

      Bem, antes de explicar o porquê do título desta monografia, quero alertar
qualquer leitor desavisado sobre o estilo do texto. Escreverei em primeira pessoa e
será um texto bastante passional. Será o relato de uma queda, uma queda
silenciosa que deixou alguns estragos interessantes. Busco suporte para isso em
Gilson Carvalho (2001) que nos brinda com um texto sanguíneo sobre os desatinos
administrativos impingidos ao Sistema Único de Saúde - SUS e defende uma escrita
mais pessoal, mais emotiva.

      Não há como ser de outra forma, posto que vivi na pele e na alma todos os
acontecimentos que irei narrar. Farei, portanto, uma tentativa de expressar em
moldes ditos científicos, uma história de paixão.

      Claro que a terceira pessoa também será inevitável, afinal este trabalho
envolveu muita gente. Também vou procurar descrever estes participantes da forma
mais humana possível, pedindo desde já escusas por algum eventual exagero
descritivo, pois haverá um certo toque de bom humor.

      Isto posto, vamos ao porquê do título. Passando os olhos por Minayo (1993)
encontrei uma citação que ela faz de Pascal (Pensée, frase nº 19): “A última coisa
que se encontra ao fazer uma obra é o que se deve colocar em primeiro lugar.”.

      O poema a seguir é como uma conclusão desta monografia. Expressa tudo o
que passei e aprendi neste três últimos anos de imersão total no SUS. É o
desafio/enigma com que a saúde pública me confrontou:
21

       DECIFRA-ME E DEVORO-TE



       Há um lobo em pele de cordeiro.

       Há uma pele ordeira de olhar faminto.

       A cada piscar,

       ora há um lobo,

       ora há um cordeiro.

       Não há mais lobo,

       não há mais cordeiro.

       Há um cordeiro com alma de lobo...



       Tenho certeza que muitos que passaram por vivências semelhantes
perceberam que, diferente da bondosa esfinge de Sófocles, o SUS não nos dá o
benefício do ou...

       Não, não é o discurso de alguém que apanhou muito e não quer mais brincar,
é apenas a fala de alguém um pouco mais experiente que vai apanhar menos e se
divertir mais. Como eu já disse, os estragos foram interessantes.

       Quanto mais estudo e vivo o SUS, mais me convenço de que ele é uma
utopia impossível e impraticável. Acredito que a maior explicação para sua
manutenção é a mesma que mantém a maioria de seus conterrâneos vivos, a sua
naturalidade: nós nascemos no Brasil e sempre sobrevivemos a qualquer quarta-
feira de cinzas 1 .

       Pretendo relatar, nas próximas páginas, como minha cidade natal, Santa
Maria - SM, no interior do Rio Grande do Sul, quase se transformou numa referência
nacional na formação de recursos humanos para o SUS e como passei três anos da
minha vida trabalhando nisso; o que deu e o que não deu certo, o que ganhei e o
que perdi, o que ganhamos e o que perdemos.


1
 Como bem lembram alguns de nossos melhores professores, sus é um verbete que consta no
dicionário como uma interjeição que quer dizer: Ânimo! Coragem!
22

          É o relato de um sonho que implodiu e que, na sua morte intra-útero, gerou
efeitos colaterais significativos.

          Este relato estará dividido em duas partes e vários capítulos:

          A Parte I relaciona os acontecimentos, estratégias e negociações que
precederam o início dos trabalhos em SM (antes de 2003 e início de 2003).

          A Parte II descreve o período de 2003, onde o combustível era total e o sonho
ainda era possível. Decididamente o ano em que mais se produziu. Também versa
sobre as primeiras (e importantes) derrotas e o período de resistência de 2004. Por
fim, falo sobre a vitória da mediocridade no ano de 2005 e faço os últimos arremates
nas considerações finais.

          Como todo escorpiano, tenho vários rostos e uso várias máscaras 2 . Logo,
teremos vários Carlos Andrés contando esta história, mas dois extremos se
destacarão entre os diversos matizes: um que se comportará de uma forma mais
próxima ao Carlos André do período dos acontecimentos e outro que será mais
parecido com o Carlos André dos dias de hoje.

          Haverá     ainda    um    terceiro,   que   relatará,   em   tempo   real,   alguns
acontecimentos que ocorreram, mais ou menos, no momento em que estavam
sendo relatados.

          Para facilitar um pouco o posicionamento temporal, os Carlos Andrés mais
antigos usarão o formato de letra Times New Roman e os Carlos Andrés mais atuais o
formato de letra Arial.

          Quando houver dois narradores temporalmente muito próximos, para evitar
atritos, enquanto um estiver no corpo do texto, o outro freqüentará as notas de
rodapé. Haverão alguns confrontos inevitáveis e várias discordâncias entre eles,
mas no final todos se (nos) encontrarão (emos).




2
    Esta monografia desvelará algumas delas.
23




2     OBJETIVOS


      2.1          OBJETIVO GERAL


      O objetivo desta monografia é registrar os fatos que cercaram a tentativa de
implantação de uma Residência Integrada em Saúde - RIS no município de Santa
Maria, Rio Grande do Sul, discutindo, desta forma, a estratégia utilizada, os
caminhos percorridos e a experiência e os avanços alcançados.



      2.2          OBJETIVOS ESPECÍFICOS


            •      Relacionar a produção científica dos vários grupos de trabalho
            que participaram do projeto, no período de 2003-2005;

            •      Elencar os principais fatos políticos produzidos;

            •      Correlacionar a produção científica com a produção política,
            descrevendo as alterações provocadas no âmbito da saúde de SM,
            bem como na minha subjetividade e na daqueles que também
            vivenciaram a experiência;

            •      Gerar uma referência local para experiências futuras mais
            exitosas.
24




3         METODOLOGIA


          3.1             PRÓLOGO DA METODOLOGIA


          Quando recebi o telefonema da professora de metodologia científica,
psicóloga, sanitarista, mestre em psicologia social Rose Mayer 3 , dando um
toquezinho que o prazo final para entregar uma cópia desta monografia para o
orientador era 18/03/06 (“Ó, gurizinho! Não esquece de botar em formato de projeto,
hein?”) e, no momento em que digito o presente trecho de texto, faltando só cinco
dias para esta data, lembrei de quando eu tinha 16 anos.

          Estava no 2º grau 4 e a professora de português, indignada com a turma (não
lembro o porquê), nos sentenciou a uma avaliação relâmpago, valendo a nota do
bimestre: uma redação com introdução, desenvolvimento e conclusão (o tema era
livre).

          No improviso do momento e inspirado em um de meus ídolos literários da
época (e da atualidade – Luis Fernando Veríssimo), saiu o que segue abaixo.
Previamente justifico o linguajar e as idéias ressalvando fato de que eu só tinha 16
anos:

                                    Uma crônica qualquer

                                   Escrever, tenho que escrever. E agora? O que eu faço? Minha nota
                           depende disso e nenhuma idéia me vem a cabeça, sinto-me como se esti-
                           vesse num beco sem saída e um Scania, a 120 por hora, sem motorista e
                           com um carregamento de trilhos, viesse para cima de mim. Não que eu
                           queira exagerar, mas eu desespero-me facilmente. Estou até pensando em
                           ir a um psicólogo, mas antes quero estudar psicologia para saber o que ele
                           vai estar achando da minha cara.
                                   Bom, voltando ao assunto, a crônica, eu verifico que estou sem as-
                           sunto e o jeito é escrever mais algumas abobrinhas para fazer com que a
                           professora perca mais tempo com o meu texto antes de passar para o se-
                           guinte. Trazer a senhora até esta linha eu consegui, não adianta negar. E
                           olhe bem, largar o texto agora por pensar que eu estou gozando da sua
                           cara seria admitir que não conseguiu lê-lo até o fim. O que seria bom, pois
                           eu não precisaria escrever mais. Eu sei que é uma afirmação idiota, mas eu
                           precisava ocupar aquele espaço com alguma coisa.


3
  É fácil descrever a Rose, além de ter um currículo semelhante ao do Manoel (orientador desta monografia, ver
adiante), ela é irmã dele.
4
  Colégio Técnico Industrial da UFSM. Eu cursei o segundo grau profissionalizante em mecânica industrial.
25

                                   Para terminar, eu poderia dissertar sobre a importância da cereja na
                            menopausa da tartaruga ou sobre o tarecômetro do bagulhômetro impulsio-
                            nado por um trequímetro, talvez até falasse sobre meu projeto de uma
                            bomba atômica, inflável, com silenciador, impulsionada por um compressor
                            de ar movido a vácuo, mas estes são assuntos muito longos e eu não tenho
                            mais saco para escrever tanta besteira, portanto:
                                   - FIM.
         Depois disso achei que seria encaminhado para o serviço de orientação
educacional ou coisa pior. Ao invés disso a professora escolheu a minha crônica
como a melhor do colégio e me fez pagar o mico de lê-la em público. Achei que seria
vaiado. Para minha surpresa, o tal público (colegas e outros professores) gostou.
Comecei a descobrir pelo menos três coisas que eu fazia relativamente bem: correr
riscos 5 , falar em público e escrever.

         Correr riscos, falar em público e escrever. Por um lado, posso dizer que estas
foram as metodologias mais utilizada durante meus três últimos anos em Santa
Maria.

         Mas, por outro lado, há uma maneira mais técnica de falar sobre isso:



         3.2              METODOLOGIA EM SI


                 Quando olho os rascunhos, anotações e diários de campo não sei bem
se estou descrevendo, participando ou agindo. Com esta dúvida em mente busquei
suporte nos conceitos de estudo descritivo, pesquisa participante e pesquisa-ação,
que serão correlacionados para a apresentação dos resultados.



                 3.2.1             ESTUDO DESCRITIVO


         Os estudos não experimentais são usados para construir o quadro de um
fenômeno ou explorar acontecimentos, pessoas ou situações na medida em que
eles ocorrem naturalmente (LOBIONDO e HABER, 2001).

         Os estudos descritivos exploratórios figuram na categoria mais ampla dos
desenhos não experimentais. Eles coletam descrições detalhadas de variantes e
5
 Eu era o típico aluno tímido, bem comportado, que não faltava aula, não se atrasava e corria atrás de boas
notas, mas às vezes fazia coisas como escrever esta crônica e escalar o arco do pórtico de entrada da UFSM..
26

usam os dados para justificar e avaliar condições e práticas decorrentes ou planejar
intervenções para melhorar as práticas em saúde existentes.

      Segundo Pereira (2005), um estudo descritivo é aquele que tenciona estimar
apenas parâmetros de uma população sem a necessidade de elaborar hipóteses de
estudo. Será sempre o primeiro passo da investigação. Dele podem nascer as
hipóteses que serão estudadas em trabalhos analíticos.

      Como nessa monografia estou descrevendo os últimos três anos de trabalho
em SM, a metodologia de um estudo descritivo exploratório poderia dar conta dos
objetivos propostos, na forma de um relato de experiência ou até mesmo de um
relatório. Mas não é assim tão simples (nem tão fácil).

      Com certeza estarei trabalhando com os elementos de um estudo descritivo,
mas quando tenciono relacionar produção científica com produção política e,
conseqüentemente as alterações (resultados) que isto provocou no âmbito da saúde
de SM, bem como na minha subjetividade e na daqueles que também vivenciaram a
experiência, estarei entrando no campo da pesquisa social.

      Para tanto, busco as seguintes referências:



             3.2.2         PESQUISA PARTICIPANTE - PP E PESQUISA-AÇÃO –
                           PA


      Para Gianotten e Wit (1987), pesquisa participante:

                     (...) é um enfoque de investigação social por meio do qual se busca a plena
                     participação da comunidade na análise de sua própria realidade com o
                     objetivo de promover a participação social para o benefício dos participantes
                     da investigação. Estes participantes são os oprimidos, os marginalizados,
                     os explorados. Trata-se, portanto, de uma atividade educativa, de
                     investigação e ação social.



      Thiollent (1987) coloca como necessária uma distinção entre PP e PA, pois
para este autor, a PA é uma forma de PP, mas nem toda PP é uma PA. A PP se
preocupa com o papel do pesquisador dentro da investigação, problematizando a
relação investigador / investigado e a PA, além disso, centra sua atenção na relação
entre a investigação e a ação dentro da situação considerada. Esta última é, pois,
27

um tipo de pesquisa centrada na questão do agir. Para o mesmo autor (1992),
pesquisa-ação:

                     (...) trata-se de um tipo de pesquisa social com base empírica que é
                     concebida e realizada em estreita associação com uma ação ou com a
                     resolução de um problema coletivo e no qual os pesquisadores e os
                     participantes da situação ou do problema estão envolvidos de modo
                     cooperativo ou participativo.



      Cheguei a SM em 2003 com uma pesquisa-ação na bagagem. Como
residente de terceiro ano – R3 da Escola de Saúde Pública – ESP eu havia recebido
da direção da escola a missão de implantar uma RIS no interior.

      Já nos primeiros contatos percebi que isso era impossível. Ninguém em SM
tinha a menor idéia do que era uma RIS. Residência era um termo exclusivamente
médico e não passava pela cabeça de ninguém sequer discutir isso. Não havia
massa crítica. Era necessário começar como o “Incrível Exército de Brancaleone” e
arrecadar os colaboradores pelo caminho.

      Neste ponto, parti para uma pesquisa participante. Os participantes desta
pesquisa (grupo que me inclui) não foram os, habitualmente oprimidos camponeses,
operários ou minorias étnicas, mas sim especialistas, mestres e doutores que
guardavam (e guardam) uma relação de opressão, marginalização e exploração
frente a um sistema hegemônico que, muito antes de ser médico-centrado e
hospitalocêntrico já era mercado-centrado.

      Estes participantes foram convidados a vivenciar de forma crítica (e
educativa) a sua própria realidade profissional, um SUS cujos princípios e estruturas
de regulação e financiamento eram algo vago e distante. Tão distante que
chegavam a acreditar não fazer parte dele.

      Como ferramenta de imersão teórico-prática na realidade profissional foi
utilizado um curso de preparação de preceptores para uma futura RIS.

      A descrição deste curso, desde o seu planejamento, passando por sua
negociação política e chegando aos resultados de sua implementação prática
demonstrará tanto a criação de laços de confiança e colaboração entre pesquisador
e pesquisados, como de focos de resistência à idéia da RIS.
28

        No final de 2003, o curso gerou massa crítica suficiente para uma pesquisa-
ação: a implantação de uma RIS e, também, um movimento contrário que conseguiu
derrubar a idéia em 2005 (ou, quem sabe, apenas retardar um pouco um processo
inevitável).

        Thiollent (1987), diz que a PA pode ser concebida como procedimento de
natureza exploratória e os resultados da exploração podem ser úteis para elucidar a
ação.

        Elucidar a ação é o foco do objetivo geral deste trabalho. A ação em questão,
a tentativa de implantação de uma RIS, necessita ter desveladas e detalhadas as
suas estratégias e caminhos, registrando também os projetos que foram elaborados
e não implementados, de forma a devolver este material a todos os participantes e
gerar um ponto de partida para tentativas futuras.

        Não se trata, portanto, de uma simples descrição sistemática de dados e de
fatos, mas de um desvelamento técnico e subjetivo (passional) de uma ação que
requereu incremento de teoria (pesquisa), divulgação de cultura em formação de
recursos humanos (educação local) e alterações marcantes nas regras do jogo da
saúde (genoprodução, MATUS, 1994).



               3.2.3       DESENHO DA MONOGRAFIA


        Pelo exposto acima, opto pelo desenho de uma pesquisa-ação com
atravessamentos metodológicos descritivos e participantes que, em algum momento,
poderia ser vista como uma pesquisa participante, com componentes de pesquisa-
ação e estudos descritivos (muito embora eu reconheça que alguns poderão optar
pela leitura de um estudo descritivo com temperos de pesquisa participante e
pesquisa-ação).
29




PARTE I
30




4      ALGUNS CONCEITOS PRELIMINARES

       Como dito na metodologia RIS, em 2003, era um conceito que absolutamente
não existia na cabeça da grande maioria dos santa-marienses 6 . Integralidade era
uma concepção apropriada por poucos. Mesmo Medicina de Família era apenas
uma referência nostálgica aos médicos do passado que iam de casa em casa, quase
sempre a cavalo. E SUS, infelizmente, não passava daquele paciente chato que
abarrotava o pronto socorro.

       Foi dentro deste contexto que comecei a trabalhar. Hoje, após três anos, o
cenário está bastante diferente. Não digo que fui o grande arauto da mudança de um
paradigma, até porque muitas e muitas pessoas são necessárias para mudar um
paradigma.

       O fato é que este foi um dos efeitos colaterais interessantes: hoje, em função
de tudo o que foi feito, estas muitas e muitas pessoas, em SM, estão apropriadas
dos conceitos discutidos abaixo e de vários outros que virão a baila no decorrer da
narrativa. Quanto à utilização dada a estes conceitos... Bem, esta é outra estória.

       A seqüência com que os conceitos abaixo estão dispostos imita a estrutura do
discurso que utilizei para popularizar a idéia da RIS e das idéias correlatas a ela.

       Vale o posicionamento temporal descrito na introdução.



       4.1             RESIDÊNCIA, RESIDÊNCIA INTEGRADA E MODELO
                       PEDAGÓGICO


       O primeiro passo foi desmistificar a exclusividade médica sobre o termo
residência. Como ainda não estávamos no período de histeria multiprofissional de




6
  Mais tarde, pude perceber que a ignorância local em relação a RIS foi um fator de proteção para a
idéia, que perdurou até dezembro de 2003, quando o grupo oriundo do curso de preceptores resolveu
alçar asas e granjeou as primeiras resistências mais sérias.
31

caça às bruxas, desencadeada pela discussão do ato médico 7 , isso foi relativamente
fácil. Na época, utilizei a seguinte argumentação:

       Em primeiro lugar, vamos passear pelos conceitos de residência, ensino em serviço e
residência integrada em saúde:

       O termo residência, sedimentado por seu uso na área médica, refere-se a uma
modalidade de especialização latu sensu centrada na idéia de ensino em serviço, onde o pós-
graduando imerge em atividades práticas de sua ênfase de aprendizado, sob a supervisão
presencial de um profissional experiente (preceptor). Conforme Feuerwerker (1998) a
residência possui um duplo papel: complementar a graduação e oferecer especialização.

       O ensino em serviço subentende assistência concomitante ao aprendizado, tanto
prático como teórico. A Lei de Diretrizes e Bases da Educação Nacional (Lei Federal
9.394/96), em seus artigos de 39 a 42, afirma que a preparação para o trabalho poderá ser
desenvolvida em articulação com o ensino regular ou por diferentes estratégias de educação
permanente, em instituições especializadas ou no ambiente de trabalho.

       O ensino em serviço para a formação de profissionais, dentro da ótica de criação de
uma cultura local em saúde pública e coletiva, ou seja, a construção do conhecimento novo,
segundo Freire, (1976), tem que necessariamente partir dos conhecimentos e experiências
prévias destes profissionais. Para adultos (FEUERWERKER ET AL, 2000), “o motor da
aprendizagem é a superação de desafios, a resolução de problemas.”

       O uso de metodologias ativas de ensino-aprendizagem perpassa o ensino em serviço,
colocando o estudante frente a desafios concretos e na posição de sujeito do ato de construção
do conhecimento. O professor ocupa a posição de problematizador/facilitador do processo de
educação e ambos, professor e aluno, passam pelo ato de aprender a aprender e aprender a
ensinar.

       Conforme Ceccim e Feurwerker (2004) existe uma diferença fundamental entre
educação continuada e educação permanente:



                       (…) enquanto a educação continuada aceita o acúmulo sistemático de informações e
                       o cenário de práticas como território de aplicação da teoria, a educação permanente

7
  Veja um interessante e atual debate sobre este tema em:
http://www.scielo.br/scielo.php?script=sci_issuetoc&pid=1413-812320050005&lng=pt&nrm=iso
(retirado em 13/01/2006).
32

                       entende que o cenário de práticas informa e recria a teoria necessária, recriando a
                       própria prática. (…) A lógica da educação permanente é descentralizadora,
                       ascendente e transdisciplinar.


       Não vou entrar no mérito de quem defende um ou outro conceito, seria o
mesmo que perguntar para um médico de família se ele usa o termo atenção
primária ou atenção básica em saúde ou perguntar para duas pedagogas se o
melhor termo é formar ou capacitar alguém. O que me importa é a filosofia de
educação contida na citação acima, que vai ao encontro das idéias de Ferla (2002),
segundo o qual também se faz necessária uma pedagogia mestiça, capaz de
considerar a alteridade, de se misturar, de se mestiçar no processo pedagógico, se
alterando ao mesmo tempo em que altera.



       Finalmente, segundo Ceccim e Ferla (2003), Residência Integrada em Saúde é:

                       (...) constituída como uma modalidade de educação profissional pós-graduada
                       multiprofissional, de caráter interdisciplinar, desenvolvida em ambiente de serviço,
                       mediante educação pelo trabalho, mantendo orientação técnica direta e orientação
                       docente em sala de aula. (...) cumprir o desígnio de uma reforma das residências
                       médicas para se adequarem à reforma sanitária nos moldes brasileiros: trabalho em
                       equipe multiprofissional, interdisciplinaridade, especialização em serviço, base
                       epidemiológica para o planejamento, utilização da educação popular em saúde para
                       a interação com os grupos sociais, mediando-se pela satisfação do usuário.



       4.2           A TRANSDISCIPLINARIDADE                                 E     OS        LIMITES
                     PROFISSIONAIS


       A RIS é uma ampliação do conceito de residência. Além das práticas de núcleo de sua
área, o pós-graduando toma contato, de forma integrada, com outros núcleos de especialidade,
dentro da sua área profissional e, mais além, integra-se com núcleos de outras áreas
profissionais, através de um gradiente multi-inter-transdisciplinar (JAPIASSU, 1976),
agregando todos no campo da saúde.

       Estando introduzido o conceito de Residência Integrada, era necessário
discutir bem esta integração. Como na maioria dos lugares, o médico e o hospitalo-
centrismo eram as palavras da hora (zeitgeist): Os dados dos relatórios de gestão e da
produção científica local, apontavam, em 2002, para 57,66% das consultas médicas,
realizadas na rede pública do município, ocorrendo nos serviços de pronto atendimento. Nas
33

equipes de saúde 45,53% eram médicos, 27,44% auxiliares de saúde, 12,34% enfermeiros,
7,4% dentistas e sobravam apenas 7,25% para os demais membros da equipe (psicólogos,
assistentes sociais, nutricionistas, fisioterapeutas e farmacêuticos) (SANTA MARIA, 2002).
Era necessário exorcizar o demônio da eterna briga entre o “doutorzão” e a
“enfermeirosa”, ou da clínica médico-centrada versus a administração enfermeiro-
centrada, uma polarização que, por si só, excluía todas as demais profissões do
debate:

          Falemos agora deste gradiente e de sua interação com os conceitos de campo e de
núcleo:

          A multiprofissionalidade, ou seja, a presença de profissionais de várias áreas de
conhecimento trabalhando juntos no mesmo espaço, pode ocasionar saltos (sublimações) em
direção à interdisciplinaridade - ou seja, à troca de informações e conhecimentos entre esses
profissionais – e/ou em direção à transdisciplinaridade, onde há aquisição de saberes,
experiências e valores, respeitadas as especificidades, entre os elementos envolvidos.

          Esta permuta contínua infla e borra os limites profissionais. Os profissionais se
transformam num caminho de duas vias, pois a troca, ao mesmo tempo em que empodera e dá
responsabilidades ao receptor, gera confiança e aceitação no transmissor. Exemplificando, o
médico deixa de ser apenas médico, o enfermeiro deixa de ser apenas enfermeiro e assim,
sucessivamente, todos alcançam o status de profissionais da saúde, integrantes de uma equipe
de saúde.

          Claro que há limites para isso. Todo autor faz a sua figurinha para
exemplificar o conceito de multi-inter-trans. Não fujo a regra. A Figura 1, além de
demonstrar este gradiente, também mostra os desagradáveis extremos da
hegemonia uniprofissional e da perda de identidade profissional.




                     MULTI           INTER         TRANS

    Figura 1 – O Caminho do meio: O gradiente multi-inter-trans e os extremos da hegemonia
    uniprofissional e da perda da identidade profissional.
34

           Estes limites profissionais foram tratados dentro dos conceitos de campo e
núcleo:

           Conforme Campos (1997):

                          (...) o núcleo 8 de responsabilidade de cada profissional indica uma identidade: o
                          compromisso com certo saber e com um conjunto de práticas e tarefas. O campo,
                          uma ampliação situacional do núcleo, orientada pela necessidade de se cumprirem
                          objetivos acordados em um dado contexto, ou seja, a definição de campo depende da
                          existência de recursos (financeiros, técnicos, humanos, etc.). A co-gestão de campo
                          e de núcleo é uma forma de assegurar, na prática, o trabalho interdisciplinar,
                          discutindo e recompondo, de modo permanente, a distribuição de encargos e a
                          circulação de saber em uma equipe. A co-gestão do campo e do núcleo dos vários
                          papéis profissionais põe em questão o saber monopolizado pelos especialistas, a
                          negociação das responsabilidades e o encargo de tarefas; democratizando, em
                          decorrência, o poder.



           O conceito de campo não significa que enfermeiros ou nutricionistas irão
brincar de médico, nem vice-versa. O campo é um pacto de confiança entre
profissionais de áreas diferentes que para ser firmado exige no mínimo, convivência
e diálogo. São os saberes de meu núcleo profissional que posso transferir para
outrem, sem ferir nenhum preceito da minha ética profissional, para que possamos
realizar tarefas conjuntas com maior resolutividade. Da mesma forma, é tudo que
posso aprender com meus colegas sem invadir suas áreas profissionais, mas
acrescentado qualidade as minhas condutas.

           Não significa que todos poderão se meter a fazer neurocirurgia, como alguns
paranóicos temem, mas coisas mais simples como um médico aprender a fazer a
higiene umbilical de um recém nascido com a enfermeira de sua equipe. Este
mesmo médico pode ensinar noções do mecanismo da dor para facilitar o trabalho
de uma psicóloga que esteja acompanhando um paciente depressivo com hérnia
discal, afinal os dois estarão vendo o paciente em conjunto.

           O limite do campo é, portanto, um limite de confiança em constante
construção e reformulação.

           No exercício prático destes conceitos é possível formar grupos de trabalhadores
capacitados para migrar da visão médico-centrada, passando por uma visão centrada no
paciente para chegar a um estado mais avançado, ou seja, a implementação de novos modelos



8
    Os grifos são meus.
35

de saúde, onde todos os atores, inclusive os usuários (na forma do controle social), atuem lado
a lado para a produção da saúde (Figura 2).

                                              Us
                                    M              Fon

                                 Fis                 Enf
                                          Saúde

                                   Nut               Od
                                         SS    Psi




                     Pac                                          M
               Fis         Fon                              Fis         Fon

             Nut     M       Enf                          Nut     Pac    Enf

              SS           Od                              SS           Od
                     Psi                                          Psi
         Figura 2 – Evolução dos modelos de saúde. Partindo do modelo médico-
         centrado, passando pelo modelo paciente-centrado e chegando ao modelo
         centrado na produção de saúde, onde o paciente figura como um usuário
         participante através do controle social. Enf=enfermagem; Fis=fisioterapia,
         Fon=fonoaudiologia; M=medicina; Nut=nutricionista; Od=odontologia;
         Pac=paciente Psi=psicologia; SS=Serviço social; Us=usuário.
       Animação



       Esta figura gerou um grande frisson nas primeiras vezes em que a apresentei
em SM. Era uma novidade um médico ser o portador deste tipo de discurso. A
princípio parecia óbvio que isso me traria problemas com os médicos e facilitaria as
coisas com as demais profissões. Mais tarde, veremos que se formaram grupos
simpáticos e antipáticos à idéia, entretanto sem nenhum preconceito de categoria.

       A figura, além de cometer a heresia de colocar o médico no mesmo nível dos
outros profissionais, ainda convidava um paciente para fazer parte desta roda e o
elevava ao patamar de usuário com direito de voz 9 . Isto chamava atenção para o
temido “Controle Social” que era visto como uma instância policialesca de esquerda.



9
 Segundo Levorin (2001), para os gregos, na democracia, o governo era feito por iguais. Neste
ponto é bom lembrar que os iguais, os que tinham direito a voz, eram somente os cidadãos gregos.
O resto eram os escravos e as mulheres. Ter direito a voz é uma das prerrogativas da cidadania.
Claro que é necessário querer ter este direito e assumir os decorrentes deveres.
36

Era necessário, portanto, exorcizar mais este demônio e incluir este conceito no
discurso.

       Aí complicou mais ainda. Controle social? Princípios do SUS? SUS? Para não
tornar este tópico extenso demais, se você, como muitos habitantes de SM, não tem
a menor idéia do que é o SUS, de onde ele veio e para que ele serve, dê uma
espiada no Apêndice A - UM PASSEIO PELO SUS, caso contrário siga lendo
abaixo.



       4.3            A REFORMULAÇÃO DO MODELO DE ATENÇÃO


       Para reforçar a idéia da Figura 2 e também a idéia de reformulação de modelo
de atenção, foram utilizados os seguintes conceitos:

       Clínica ampliada 10 :

                        Considera-se que todo profissional de saúde que atende ou cuida de pessoas realiza
                        clínica, havendo, portanto, várias modalidades de clínica: a do enfermeiro, do
                        psicólogo, do médico, etc. Clínica ampliada é a redefinição (ampliada) do “objeto,
                        do objetivo e dos meios de trabalho da assistência individual, familiar ou a grupos”.
                        Considerar que o “objeto de trabalho” da assistência à saúde é uma pessoa, ou um
                        grupo, ou uma família, ou um coletivo institucional, com doença ou risco de
                        adoecer. O novo modelo de trabalho visa superar a clínica tradicional que toma
                        como objeto somente a doença. Construir, portanto, um objeto ampliado para o
                        trabalho da clínica: tomar o sujeito enfermo ou com possibilidade de adoecer e não
                        somente a doença. E ainda outra ampliação: considerar não somente um paciente,
                        mas também o grupo de sujeitos (a família e outros coletivos, uma classe, um
                        agrupamento institucional) como objeto da clínica ampliada. De qualquer forma, no
                        horizonte, não há como fugir da evidência de que o objeto de trabalho inclui a
                        doença, ainda quando como uma possibilidade remota; a saúde é o objetivo, o
                        resultado almejado (CAMPINAS, 2001);



       Acolhimento e responsabilização:

                        São conceitos amplos e que exigem mudança de postura em todo o sistema de saúde,
                        no sentido de receber os casos e de responsabilizar-se de modo integral por eles.
                        Acolher é receber bem, ouvir a demanda, buscar formar de compreendê-la e
                        solidarizar-se com ela. Desenvolver maneiras adequadas de receber os distintos
                        modos com que a população busca ajuda nos serviços de saúde, respeitando o
                        momento existencial de cada um sem abrir mão de colocar limites necessários
                        (CAMPINAS, 2001);



10
  Para Ferla (2002), também é necessária uma clínica nômade, que cartografe a clínica, passeando
por seus vários territórios e diversos atores.
37

       Sistema de co-gestão:

                         Consideramos que o SUS tem três objetivos básicos: a produção de saúde; a
                         realização profissional e pessoal de seus trabalhadores; e a sua própria reprodução
                         enquanto política democrática e sistema solidário. A gestão participativa reconhece
                         que não há combinação ideal pré-fixada destes distintos interesses, e que é no
                         exercício da co-gestão que se irão construindo contratos e compromissos entre os
                         sujeitos envolvidos com o sistema.
                          Operamos com a idéia de um sistema de co-governo: conselhos locais de saúde -
                         coordenação, equipe e usuários compartilhando o poder; colegiados de gestão – o
                         poder centrado na equipe interdisciplinar e não nas corporações; dispositivos
                         variados – oficinas, reuniões por categoria profissional, sala de espera, assembléia
                         com usuários, etc. - ; e, finalmente, gestão cotidiana democrática – com análise de
                         temas e tomada de decisão envolvendo os interessados. Cada um destes Espaços
                         Coletivos deve ser considerado deliberativo e tomar decisões no seu âmbito de
                         governo e em conformidade aos contratos e diretrizes definidas (CAMPINAS,
                         2001).



       4.4            INTERINSTITUCIONALIDADE,                                     REDES                  E
                      NECESSIDADE DE ASSOCIAÇÃO


       Construir uma RIS era algo complexo e caro demais para ser tratado por uma
única instituição ou nível de governo. O embasamento para a realização de um
movimento interinstitucional foi dado pelo seguinte discurso:

       O SUS é um organismo que deve se retroalimentar para garantir sua manutenção, ou
seja, ao mesmo tempo que é construído por sujeitos, deve construí-los, empoderá-los,
construindo cidadania.

       O aumento da capacidade instalada e da complexidade do sistema, levando em
consideração o fator humano como principal sustentáculo do SUS, torna imprescindível um
sistema de formação de recursos humanos.

       No momento em que o SUS busca, e alcança, uma mudança significativa no modelo
de atenção em saúde, o mesmo passa a ser necessário no modelo de educação em saúde. O
novo modelo de saúde que se apresenta, um modelo mutante, como apregoava em seus
discursos, o ex-Secretário Executivo do Ministério da Saúde, Gastão W. S. Campos, é um
modelo capaz de absorver as várias tecnologias (principalmente as leves) e se configurar e re-
configurar de acordo com as necessidades locais de saúde, que por sua vez também são
dinâmicas.
38

       Não basta apenas formar os profissionais que alimentarão e darão sustentação a este
sistema, temos que, permanentemente, educá-los, permanentemente municiar suas “caixas de
ferramentas” (FERLA, 2002).

       O SUS é complexo demais para ser concretizado por poucas pessoas, poucas áreas
profissionais ou poucas instituições. A transdisciplinaridade, a intersetorialidade e a
interinstitucionalidade são vitais para a consecução plena dos princípios doutrinários e
organizativos do sistema.

       Neste ponto, o conceito de rede é importante. Segundo Feuerwerker et al (2000):

                       (...) a proposição de rede traz em si a idéia de articulação de conexão. As redes são
                       formas de organização multicêntricas, cujos múltiplos nós constituem-se nos lugares
                       de articulação, e a propulsão do conjunto não está localizada em um lugar fixo.
                       Existem, sim, nós de maior densidade, que, em determinadas situações conjunturais,
                       tornam-se mais visíveis ou ativos.
                       Trata-se, portanto, de heterogeneidades que se articulam e se organizam. Apesar de
                       nesse processo estarem envolvidas instituições e projetos, são sempre pessoas que
                       articulam e conectam. ‘São sempre pessoas que constroem vínculos’ (Rovere, 1998).



       Pelo mesmo texto, a unidade básica do vínculo é a relação entre sujeitos e o vínculo
se desenvolve em diferentes níveis de complexidade: reconhecimento do outro, como par,
como interlocutor, com direito a existir e a emitir opiniões; conhecimento: quem é o outro e
como ele vê o mundo; depois de conhecido o outro, criam-se vínculos de reciprocidade e
colaboração; cooperação: processo mais complexo, implica a existência ou a identificação
de um problema comum e uma forma sistemática e estável de atividades; associação:
contratos ou acordos e utilização conjunta de recursos.

       Esta relação de vínculos e de parcerias relativas ao conceito de redes, geram as
condições de desenvolvimento de intersetorialidade e interinstitucionalidade necessárias ao
SUS. Não se trata de relações instituídas por programas verticais, emanados de um nível
central totipotente, mas sim desenvolvidas a partir de sujeitos, em direção às instituições,
passando pelos diversos setores.

       As articulações interinstitucionais necessitam ser providenciadas e apoiadas pelo SUS
de modo que, uma articulação interinstitucional para a educação permanente, com uma gestão
colegiada, quebre a regra da verticalidade única e hierarquizada nos fluxos organizativos e
venha para superar a racionalidade gerencial hegemônica e a tradicional concepção educativa
dos treinamentos para pessoal de serviço.
39


           4.5           O QUADRILÁTERO


           Por fim, busquei o modelo que iria utilizar para a construção de relações
fortes de vínculo interinstitucional e intersetorial:

           Vamos agora, ao conceito do quadrilátero da formação para a área da saúde: ensino,
gestão, atenção e controle social, desenvolvido por Ceccim e Feuerwerker (2004).

           Por este referencial, a formação de recursos humanos para o SUS, considerando nível
médio, graduação e pós graduação, está integrada com as diretrizes da gestão local de saúde e
as necessidades comunitárias de atenção, sob a luz do controle social, de modo que:

                          (...) as instituições formadoras não possam existir independentemente de regulação
                          pública e da direção política do SUS, uma vez que este Sistema está
                          constitucionalmente comprometido com o ordenamento da formação e submetido ao
                          controle social. (...) A noção de gestão colegiada 11 , (...) coloca a todos como
                          convidados de uma operação conjunta em que todos usufruem do protagonismo e da
                          produção coletiva. Sai a arquitetura do organograma para entrar a dinâmica da roda.
                          Sem a pirâmide composta por uma base larga de municípios, depois os estados nos
                          níveis intermediários e, no topo, a União – um desenho clássico de comando -, abre-
                          se o desafio que permite a entrada das instituições formadoras, do movimento
                          estudantil e do movimento popular. Todos os que entram na roda têm poderes iguais
                          sobre o território de que falam. A união e os estados teriam de problematizar para a
                          si a função de coordenação descentralizadora e os municípios e as instituições
                          formadoras a função execução significativa para o Sistema e não para a
                          produtividade intelectual e assistencial. Enquanto os últimos são os lugares de
                          produção da atenção aos grupos sociais territorializados, os anteriores são os
                          apoiadores de ativação para que esta atenção seja integral e resolutiva.



           O pré-projeto de implantação da RIS chegou a ser denominado de: “DO
TRIPÉ AO QUADRILÁTERO”, por razões que veremos adiante.

           Os conceitos acima foram reunidos como um arcabouço de sustentação para
o início e continuidade dos trabalhos. Novos conceitos que foram sendo agregados
na medida em que se tornaram necessários serão apresentados no decorrer do
texto.




11
     O grifo é meu.
40




5      A ESTRUTURA DA RIS


       5.1             ESTUDO DA LOGOMARCA


       Antes da estrutura em si, vou me dar ao luxo de um pouco de nostalgia. A RIS
chegou a ter uma logomarca. O projeto gráfico foi da minha mulher. Fizemos a
interpretação juntos e contamos com palpites de vários colaboradores. Alguns
disseram que ficou colorido demais e até brega, mas posso dizer que entre tantos
detalhes, paramos para pensar até nisso.




                                             As cores do país (azul, verde e amarelo),
                                             mescladas com as cores do estado
                                             (vermelho, verde e amarelo) 12 .

                                             A letra S é formada por um lenço Maragato 13
                                             tremulando sob o vento Minuano 14 15 .

                                             R        de residência;
                                             I        de integrada, integração, integralidade
                                             S        invertido 16 , significando a
                                                     transformação do modelo de saúde,
                                                     tudo integrado no R da residência.




     Figura 3 – Logomarca da RIS.




12
   Realmente, ficou colorido demais.
13
   Para um pouquinho de história gaúcha, dê uma olhada no Anexo A.
14
   Vento sul, frio e cortante, presente em todos os momentos da história gaúcha.
15
   É, aqui talvez tenha ficado um pouco brega, mas na época parecia bastante poético. Não deu para
resistir.
16
   Isto foi idéia do Manoel, referenciando também a saúde mental.
41



          5.2            ESTRUTURA EM SI


                 5.2.1         ALGUMAS VANTAGENS


          O projeto da RIS tinha a pretensão de transformar SM num centro de
referência de formação de recursos humanos para o SUS.

          A RIS daria conta de especializar os profissionais que já estavam trabalhando
no Programa de Saúde da Família - PSF, além de prover profissionais para a
ampliação do programa.

          Iria trazer para o município recursos do Ministério da Saúde - MS para o
custeio das bolsas dos residentes e dos preceptores (na ordem de dois milhões de
reais por ano).

          O custo anual destas bolsas, se fosse calculado por habitante das áreas de
abrangência da RIS, ficaria em R$ 24,80.

          Abriria a possibilidade de especializações de nível médio.

          A RIS acrescentaria na rede municipal, entre preceptores, residentes e
especializandos de nível médio, em torno de 150 profissionais 17 , de 17 áreas
diferentes.

          A população da área de abrangência teria atendimento integral a poucos
metros de casa.



                 5.2.2         DA DURAÇÃO E CARGA HORÁRIA


          O tempo de duração da residência seria de 24 meses por turma. Cada
conjunto de 12 meses totalizaria por volta de 2.900 horas, num total geral de 5.800
horas. A carga horária semanal seria de 56 horas, distribuída da seguinte maneira:




17
     Considerando uma SMS que conta com 200 médicos em seu quadro.
42

       40 horas de treinamento em serviço;
       12 horas de eixos teóricos;
       4 horas de atividades práticas extras.



                5.2.3      DAS ÊNFASES


       A RIS seria dividida, para fins didáticos e administrativos, em três ênfases
que, na prática, funcionariam de forma imbricada, interdependente e sinérgica:



   a) Atenção Primária em Saúde - APS;
   b) Saúde Mental na Atenção Primária - SMAP;
   c) Gestão de Sistemas e Serviços de Saúde - GSSS.



                5.2.4      DAS ATIVIDADES


       Para uma descrição minuciosa das atividades de um residente, tanto teóricas
quanto práticas, basta ver no Apêndice B, o projeto para residência em Medicina de
Família e Comunidade - MFC, segundo as normas da Comissão Nacional de
Residência Médica - CNRM. Ainda tivemos tempo de concluir este projeto antes do
cancelamento político dos trabalhos. Este modelo seria adotado por todas as
profissões, dentro das características e adaptações necessárias para cada núcleo
profissional.




                5.2.5      DOS ESPAÇOS E ATORES


   a) Equipes Simples: equipes de Estratégia de Saúde da Família - ESF
       (enfermeiro, cirurgião-dentista, médico e dois técnicos de enfermagem) sem
       residentes, mas dentro do espaço territorial coberto pela residência,
       usufruindo do contato com os residentes e das estruturas de apoio à
       residência.
43

     b) Equipes Duplas: formadas por uma equipe de preceptores 18 de ESF e por
        uma equipe de residentes 19 de ESF. Seriam responsáveis pelo dobro do
        contingente populacional de uma equipe simples.
     c) Equipe Volante: uma equipe reserva de ESF, para dar suporte em casos de
        ausências de algum preceptor ou residente (férias, doença, maternidade, não
        preenchimento de alguma vaga de residente, etc.).
     d) Equipes Matriciais: sediariam preceptores e residentes da ênfase de SMAP
        (educação artística, educação física, psicologia, psiquiatria, e terapia
        ocupacional), bem como suplementares da ênfase de APS (farmácia,
        fisioterapia, fonoaudiologia, nutrição, serviço social).
     e) Unidades Secundárias e Terciárias: local onde os supervisores 20 receberiam
        os residentes para as atividades de assistência ou gerenciamento no nível
        secundário e terciário (pronto socorro, unidades de diagnóstico e terapia
        secundárias, unidades administrativas e de controle social, entre outras).
     f) Secretaria Municipal de Saúde: Sede dos preceptores e residentes da ênfase
        de GSSS.
     g) Infra-estrutura para os eixos teóricos: local de atuação dos professores 21 onde
        os residentes receberão as aulas teóricas.



               5.2.6           DAS ÁREAS PROFISSIONAIS POR ÊNFASE


     a) Atenção Primária em Saúde:
        •   Enfermagem
        •   Farmácia;

18
   Profissionais da rede municipal, ou contratados especialmente para este fim, das áreas de
competência de cada ênfase, com perfil para trabalho em saúde pública e qualificação técnica
necessária para realizar assistência à comunidade e acompanhamento integral às atividades dos
residentes no que diz respeito à assistência e ao ensino-pesquisa.
19
   Profissionais graduados nas áreas de competência de cada ênfase, selecionados através de
processo seletivo que constaria no mínimo de: análise de currículo e autobiografia, prova objetiva e
entrevista individual. Os residentes médicos seriam selecionados dentro dos critérios da Comissão
Nacional de Residência Médica;
20
   Profissionais da rede municipal ou das unidades conveniadas ao SUS ou ao projeto da RIS,
capacitados para acompanhar os residentes nas atividades de assistência e gerenciamento que
ocorrerem fora da área de abrangência.
21
   Profissionais de notório saber, capacitados a ministrar as atividades dos eixos teóricos,
provenientes do grupo de preceptores, supervisores ou contratados/convidados especialmente para
este fim.
44


      •   Fisioterapia;
      •   Fonoaudiologia;
      •   Medicina;
      •   Nutrição;
      •   Odontologia;
      •   Serviço Social.


   b) Saúde Mental na Atenção Primária:
      •   Educação artística;
      •   Educação Física.
      •   Psicologia;
      •   Psiquiatria;
      •   Terapia Ocupacional.


   c) Gestão de Sistemas e Serviços de Saúde:
      •   Administração;
      •   Ciências da Computação;
      •   Medicina Preventiva e Social;
      •   Campo aberto.



             5.2.7          DA DINÂMICA DAS ÊNFASES, DOS ESPAÇOS E DOS
                            ATORES


      Para que os custos das ênfases fossem sobreponíveis pelas vantagens
geradas seria necessária a cobertura de dois eixos cardeais do município (a
princípio, leste-oeste), com uma abrangência populacional mínima de 60.000
habitantes (30.000 em cada eixo), de modo que uma equipe de GSSS desse suporte
para duas equipes matriciais, que por sua vez, apoiariam, cada uma, de uma a duas
equipes duplas e várias equipes simples de saúde da família.

      As equipes duplas de saúde da família seriam formadas por uma equipe de
preceptores (enfermagem, medicina e odontologia) e uma equipe de residentes,
sendo dois residentes de primeiro ano para cada preceptor. Cada equipe seria
45

responsável por, aproximadamente, 4.500 habitantes distribuídos em seis micro
áreas. Cada residente teria sob sua responsabilidade por volta de 2.250 habitantes
em três micro áreas.

          Nas equipes matriciais ocorreriam as atividades que necessitassem de maior
densidade tecnológica (forno ou ultra-som em fisioterapia, sala asséptica para
tratamento de canal em odontologia, sala de pequenas cirurgias em medicina, p.e.).

          As equipes de SMAP e suplementares de ABS dariam cobertura, de forma
itinerante 22 , às equipes duplas e simples de saúde da família, na sua área de
abrangência, realizando atividades onde o recurso humano seja a ferramenta
essencial de trabalho, como assessoria, atendimento individual, interconsultas,
grupos e demais atividades comunitárias.

          A equipe de GSSS trabalharia de forma itinerante no eixo Secretaria
Municipal de Saúde - Equipes Matriciais - Equipes Duplas - Equipes Simples,
constituindo-se um importante órgão de assessoria e logística, tanto para o gestor,
quanto para os trabalhadores de saúde.

          O campo aberto 23 seria ocupado por dois residentes de qualquer área
profissional de nível superior, interessados em GSSS e que lograssem êxito no
processo seletivo (farmácia, geografia, medicina preventiva, medicina veterinária,
psicopedagogia, sociologia, etc.), de modo a gerar uma ampliação de campo e
formar gestores para o SUS. Estariam sob a tutela dos preceptores das demais
áreas da ênfase de GSSS. Ver Figura 4 e Figura 5.




22
     As equipes mambembes, como dizia o Nilson.
23
     Esta foi outra heresia proposta na época.
46


                                        SECRETARIA MUNICIPAL
                                             DE SAÚDE


                   EIXO OESTE                                              EIXO LESTE

                       Equipe                                                   Equipe
                       simples                                                  simples

   Equipe                                  Equipe           Equipe                                  Equipe
   simples                                 simples          simples                                 simples
                    EQUIPE                                                   EQUIPE
                   MATRICIAL                                                MATRICIAL


             EQUIPE              EQUIPE                               EQUIPE              EQUIPE
             DUPLA 1             DUPLA 2                              DUPLA 1             DUPLA 2




         UNIVERSIDADE FEDERAL                                 UNIVERSIDADES CONVENIADAS
         HOSPITAL UNIVERSITÁRIO

                                                                 HOSPITAIS E CENTROS DE
                         REDE MUNICPAL                            SAÚDE CONVENIADOS

Figura 4 – Distribuição espacial esquemática da RIS.

                                                                                SECRETARIA MUNICIPAL
                                 EIXO OESTE ~30.000 habitantes                       DE SAÚDE
                                                                            GESTÃO DE SERVIÇOS E SISTEMAS
                                                                                       DE SAÚDE
                                                                                     Administração
                                           Equipe simples                      Medicina Preventiva e Social
                                            ~4.500 hab.                         Ciências da Computação
                                                                                      Campo aberto


                                 EQUIPE MATRICIAL OESTE
                                 ATENÇÃO PRIMÁRIA EM SAÚDE
                                          Farmácia
                                         Fisioterapia
                                       Fonoaudiologia
                                          Medicina
 Equipe simples                            Nutrição                             Equipe simples
  ~4.500 hab.                           Serviço Social                           ~4.500 hab.
                           SAÚDE MENTAL NA ATENÇÃO PRIMÁRIA
                                    Educação artística
                                     Educação Física
                                        Psicologia
                                       Psiquiatria
                                   Terapia Ocupacional



    EQUIPE DUPLA 1 - ~9.000 habitantes                EQUIPE DUPLA 2 - ~9.000 habitantes
      ATENÇÃO PRIMÁRIA EM SAÚDE                         ATENÇÃO PRIMÁRIA EM SAÚDE
    ESTRATÉGIA DE SAÚDE DA FAMÍLIA                    ESTRATÉGIA DE SAÚDE DA FAMÍLIA
             Enfermagem                                        Enfermagem
               Medicina                                          Medicina
             Odontologia                                       Odontologia

Figura 5 – Detalhamento das estruturas. Foi utilizado o eixo oeste como exemplo. Todas as áreas
subentendem um preceptor e dois residentes, com exceção dos dois residentes de campo aberto.
47

                                5.2.8                           DA FORMA DE GESTÃO


                O Conselho Municipal de Saúde - CMS de Santa Maria, em reunião
extraordinária no dia 29 de outubro de 2004, após receber o pré-projeto da RIS-SM,
através de uma comissão de trabalho 24 , deliberou sobre o seguinte desenho de
organograma (Figura 6) e gestão colegiada (Figura 7):


                                                                                                    Ministério da
                                                                                                       Saúde                      Promotor
                                     Trata da Residência
                                                                                                         MS
                                                                                                                                                          Conselho Municipal
                           Representação de todos os seguimentos
                                        envolvidos                                                                                                            de Saúde
                                                                                                   Colegiado Gestor
                                                                                                                                                                CGR
                                                                                                        CGR
                                                                                                                                                    Executor
                                                Executor
                                                                                    Prefeitura Minicipal     Universidade Federal
                                                                                      de Santa Maria           de Santa Maria
                                                                                          PMSM                      UFSM                         Fundação de Apoio à Tecnologia e Ciência
                                                                                                                                                                FATEC
                                                                                                                                                          Operador Financeiro
         Ações administrativas
             Arquivo Geral                                  Secretaria Geral
     Gerenciamento de Informações
                                                                  SG
       Realiza registro e controle
              acadêmico
      Promove Processo Seletivo

                                  Sub-Secretaria            Sub-Secretaria             Sub-Secretaria
                               Núcleo deCoordenação        Colegiado Gestor              COREME
                                       SNC                       SCG                       SSC


                                                                                       Núcleo de            Comissão de Residência                             Trata do Residente
                                                                                      Coordenação           Médica e Especialização                           Colegiado do Curso
                                                                                          NC                      COREME                                    Coordenação Pedagógica
                                                                                                                                                           Gestor + docente + discente


                                                           Coordenação                Coordenação              Coordenação
                                                              Geral                   de Assistência       de Ensino e Pesquisa
                                                               CG                          CA                      CEP

                                                                                                                                                Promove trocas Academia-rede
                                                                                                                                        Responsável pela produção científica e tecnológica
                Articulações políticas com                  Promove trocas rede-
                      todos os atores                             residência
                     Visão de conjunto                      Trata dos preceptores

Figura 6 - Organograma da RIS.



                A RIS seria gerida por um Colegiado Gestor - CG, com função de deliberação
e fiscalização, cujos poderes seriam delegados pelo CMS, tendo este último poder
de intervenção.

                O CG teria vinte membros titulares e igual número de suplentes. Os membros
titulares seriam distribuídos em dois grupos (grupo 1 e grupo 2), conforme
representado na Figura 7.




24
  Esta comissão contou com usuários, trabalhadores da rede municipal e do PSF, gestores e
profissionais da UFSM, todos conselheiros do CMS.
48



          Grupo 1     Grupo 2



                        T
              Us
                            G
                     PS


      Figura 7 – Distribuição e paridade do Colegiado Gestor. Us = Usuários; T = Trabalhadores
      de Saúde; G = Gestores; OS = Prestadores de Serviços.



      O grupo 1 seria composto por dez usuários da área de abrangência da RIS,
indicados pelo CMS, podendo ou não serem conselheiros municipais de saúde,
representando 50% do total de membros.

      O grupo 2 teria 50% de representação de trabalhadores de saúde e 50% de
representação distribuídos entre gestores e prestadores de serviços.

      A representação de trabalhadores de saúde teria a seguinte distribuição:



      •   1 representante do corpo de residentes;
      •   1 representante do corpo de preceptores;
      •   1 representante do corpo de supervisores/professores;
      •   1 representante dos trabalhadores de saúde do CMS;
      •   1 representante do Núcleo de Coordenação - NC da RIS.



      A representação de gestores teria a seguinte distribuição:



      •   1 representante municipal (Prefeitura Municipal de Santa Maria - PMSM);
      •   1 representante estadual (4ª Coordenadoria Regional de Saúde - 4ª CRS);
      •   1 representante federal (Universidade Federal de Santa Maria - UFSM).


      A representação de prestadores de serviços teria a seguinte distribuição:
49



      •   1 representante do nível secundário (Casa de Saúde);
      •   1 representante do nível terciário (Hospital Universitário de Santa Maria -
          HUSM).


      Submetido ao CG e com funções de execução, delegadas pelas instituições
executoras, existiria um Núcleo de Coordenação – NC.

      O NC seria dividido em:

      Coordenação Geral – CG, com função de articulação e integração de todos os
atores políticos e técnicos e visão de conjunto do processo;

      Coordenação de Atenção – CA, com função de integrar a rede de assistência
com a RIS, além de gerir preceptores e insumos;

      Coordenação de Ensino e Pesquisa – CEP, com função de integração das
instituições de formação com a RIS, controle dos residentes e produção científica.

      Os três componentes do NC seriam escolhidos por critério de qualificação
técnica, sendo, preferencialmente, egressos de uma RIS. Seriam sugeridos em lista
sêxtupla, pelas instituições executoras e aprovados pelo CG.

      Com função de colegiado de curso, existiria uma Comissão de Residência
Médica e Especialização – COREME, com representação docente e discente de
acordo com a CNRM e a Comissão Nacional de Residência em Saúde.

      Como órgão de apoio à RIS, existiria uma Secretaria Geral – SG, definida
pelo CG, com funções administrativas de arquivamento geral, controle e registro
acadêmico, promoção e controle do processo seletivo e gerenciamento de
informações.

      A SG seria composta por três subsecretarias:

          •    Subsecretaria do CG – SSCG;
          •    Subsecretaria do NC – SSNC;
          •    Subsecretaria da COREME – SSCOREME.
50

             5.2.9         DAS ESPECIALIZAÇÕES DE NÍVEL MÉDIO


      A RIS ainda previa uma possibilidade de expansão, com a implantação de
especializações de nível médio, com um ano de duração (2.912 horas) e em regime
de treinamento em serviço.

      Cada equipe dupla de saúde da família poderia vir a contar com dois técnicos
de enfermagem especializandos em APS e cada equipe de SMAP                   com dois
técnicos de enfermagem especializandos em SMAP.

      A equipe de GSSS poderia receber dois programadores e dois profissionais
de campo aberto (técnicos em administração, p.e.).



      Com a RIS conceituada e situada, é interessante que eu faça o mesmo com o
local onde ela seria implantada. É o que o leitor irá encontrar no tópico seguinte.
51




6      MAS POR QUE SANTA MARIA?

       “E por que não?” Foi o que disse o pediatra, sanitarista Nilson Maestri
Carvalho 25 (ainda não havia terminado o mestrado em administração em saúde)
quando o procurei para que fosse meu orientador no projeto de implantação de uma
RIS no interior. “E como tu pretendes fazer isso?” Foi a pergunta seguinte.
Respondi: “Não sei bem. Ainda está tudo muito nebuloso, mas acho que é possível.”
Ao que ele disse: “Ótimo, então senta aí e vamos começar”.

       Na verdade, a idéia de trazer uma RIS para Santa Maria já nasce em 2001
quando tenho que me deslocar para Porto Alegre – POA para me tornar médico de
família. Isto ficou claro na autobiografia que escrevi para o processo seletivo do
terceiro ano opcional de residência, o R3, que transcrevo no Apêndice C. O trecho
também ilustra o entusiasmo e a ingenuidade que me embalavam na época, bem
como algo do meu perfil pessoal.

       Quando o leitor chegar ao fim da monografia, vai estar se perguntando, como
eu me pergunto: por que diabos retornei a SM e por que ainda insisto em ficar aqui.
O Apêndice D pode ajudar nesta questão.



       6.1             SITUAÇÃO GEOPOLÍTICA


       O trecho a seguir situa geopoliticamente o município de SM, além de
evidenciar alguns problemas em cuja resolução a RIS poderia ser útil. Utilizarei o
texto que, em 2003, serviu como justificativa para se ter o município como sede do
projeto. Continuará valendo o esquema de tipos de letras para o posicionamento
temporal.




25
   O fato de ele ser um pediatra com quase dois metros de altura que usava um piercing na língua e
trabalhava no Morro da Cruz pesou na minha escolha. Ele realmente tinha algo de diferente, de
marginal e de subversivo, ou seja, o parceiro ideal para uma briga grande. De uma forma ou de outra,
busquei este perfil nas associações que se seguiram.
52

               6.1.1          O PAPEL DO MUNICÍPIO NA EFETIVAÇÃO DO SUS


       Santa Maria ocupa o centro do estado do Rio Grande do Sul, tem uma população de
251.144 habitantes em sua sede (Censo, 2002), sendo pólo da 4ª CRS e da Macro-região
Centro-oeste - MRCO, compreendendo um universo de aproximadamente um milhão e
trezentos mil usuários do Sistema Único de Saúde.

       É interessante citar aqui que o município, após uma longa tradição de
governos de direita, estava passando pelo terceiro ano de seu primeiro governo de
esquerda (Partido dos Trabalhadores - PT). Nesta mesma época, com a saída do PT
do governo estadual, a sede municipal da 4ª CRS passou a ser comandada pelo
Partido do Movimento Democrático Brasileiro - PMDB.

       Vale lembrar, também, que a Secretaria de Município da Saúde - SMS, em
três anos de governo, estava passando pela sua quarta secretária de saúde, a
enfermeira, especialista em saúde pública Ilse Meinke Melo, figura que terá muita
relevância no projeto.

       O município também abriga a Universidade Federal de Santa Maria - UFSM, com seu
Hospital Universitário de Santa Maria – HUSM atendendo alta e média complexidade
exclusivamente pelo SUS, cinco faculdades e centros universitários particulares, dois
hospitais militares, dois hospitais particulares e um hospital de média complexidade
conveniado ao SUS (Hospital Casa de Saúde), este último em processo de municipalização
por iniciativa da atual gestão municipal que, por sua vez, encontra-se em transição da Gestão
Plena da Atenção Básica Ampliada – GPABA para a Gestão Plena do Sistema de Municipal –
GPSM.

       Dentro desta ótica, Righi (2001) nos coloca o município como território de formulação
de políticas e não só de sua execução e encontra eco em Claus e Capra (2001) que sustentam
que a definição da nova política tecnoassistencial posiciona como centro do sistema de saúde
a rede básica e as necessidades reais de seus usuários.

       Muller e Possa (2001) concluem que a regionalização é um dispositivo de organização
que pode potencializar e muito o objetivo final, que é assegurar o direito dos cidadãos à
assistência à saúde.
53

          Por outro lado, Ceccim (2001) nos diz que a descentralização da formação 26 em
saúde coletiva para as regiões do estado e a aliança com as universidades em cada região é
capaz de ampliar a partilha de responsabilidades, comprometendo os diferentes atores sociais
nas regiões.

          Ao assumir, a nova Secretaria Estadual de Saúde - SES definiu nove de suas
doze metas prioritárias, incidindo diretamente sobre a APS e as restantes com forte
influência indireta (Anexo B, sempre é bom guardar as promessas dos políticos),
sendo que a primeira delas rezava: “1. Ampliação de equipes PSF/PACS 27 : O
Estado somará recursos à União para passar de 400 para 1600 unidades.”.

          Um salto quantitativo de quatro vezes, portanto. Em direção contrária a esta
meta temos a maior parte das vagas para formação específica em APS,
centralizadas em POA. Considerando apenas as vagas existentes para residentes
médicos de primeiro ano em 2003, das 93 vagas oferecidas no estado, 84 estavam
em Porto Alegre (58 vagas no Grupo Hospitalar Conceição e 26 vagas na ESP). Das
demais, quatro estavam em Caxias do Sul e cinco em Pelotas.

          Na linha da humanização, Fagundes (2001) enfatiza que os trabalhadores precisam ser
formados em acolhedores cuidadores e zeladores e Ceccim e Armani (2001) nos dizem que:

                           (...) a educação em saúde coletiva, por força de se constituir por processos
                          formativos e pela preocupação com os meios e as maneiras de gerir e produzir o
                          conhecimento, não pode prescindir de adequada escuta à gestão do Sistema Único
                          de Saúde.



          Como dá para perceber, eu fazia um forte apelo para que o município
assumisse a sua parte na educação permanente:

          Neste sentido, sempre é bom lembrar que a formação de recursos humanos para o SUS
foi um dos eixos centrais da XI Conferência Nacional de Saúde (BRASIL, 2001), que em suas
recomendações citou a necessidade de se desenvolver uma política de capacitação de
profissionais de saúde, em todos os níveis, em trabalho conjunto entre Secretarias Municipais
de Saúde /Secretarias Estaduais de Saúde / Universidades, considerando as necessidades
sociais de cada região, estendendo o processo de residências a equipe multidisciplinar,



26
     O grifo é do Carlos André atual.
27
     Programa d Agentes Comunitários de Saúde.
54

reorganizando os programas de residência e regulamentando o programa de residência
multiprofissional em saúde coletiva junto ao Ministério da Educação - ME.

        A mesma conferência falava da necessidade de fornecer instrução prévia de ingresso a
todos profissionais de saúde, bem como oferecer mecanismos eficientes de educação
permanente, colocando esta responsabilidade nas mãos dos governos federal, estaduais e
municipais, tendo em vista o cumprimento da Constituição Federal: compete à gestão do
Sistema Único de Saúde - SUS, o ordenamento da formação de recursos humanos da área da
saúde, bem como o incremento, na sua área de atuação, do desenvolvimento científico e
tecnológico (CONSTITUIÇÃO FEDERAL, Art. 200, Incisos III e IV – BRASIL, 1988) e da
lei orgânica do SUS 8.080/90 – art. 6º - parágrafo III, que diz estar no campo de atuação do
SUS a ordenação da formação de recursos humanos na área de saúde (BRASIL, 2001).

         Temos então a rede básica como palco, o Sistema Único de Saúde inspirando o
enredo da saúde coletiva e envolvendo os atores através do controle social (usuários, gestores,
universidades, trabalhadores de saúde, etc.). Esta metáfora enfatiza a importância do palco, ou
seja, da rede básica, na sustentação de todas as ações a serem desenvolvidas no âmbito da
saúde coletiva.

        Logo, o mesmo município que pavimenta ruas, promove saneamento básico e constrói
unidades de saúde e escolas, entre outras ações, na lógica do artigo 200 da Constituição
Federal, por ser o sustentáculo da rede básica, deve ser o ordenador da formação de seus
recursos humanos.

        Tal premissa, com certeza, é muito mais simples no nanquim do que no suor. Por esta
razão iniciativas que coloquem a gestão municipal como mola impulsora de processos de
educação permanente em saúde coletiva podem/devem 28 ser vistas como inovadoras e até
revolucionárias, tendo em vista a complexidade de qualquer situação municipal.

        Um gestor deve usar da criatividade e assumir riscos para desenhar serviços que
tenham como referência as necessidades dos usuários dentro de suas comunidades, fugindo a
lógicas de acesso médico-centradas e hospitalocêntricas e ao engessamento piramidal
(CECCIM E FERLA, 2003).


28
   Pode-se/deve-se realizar a educação aplicada ao trabalho (capacitações tradicionais), mas também a educação
que pensa o trabalho e a educação que pensa a produção do mundo. Para interagir o mundo da vida e o do
trabalho, pode-se/deve-se inserir processos de reflexão crítica, base para a educação que destaque o
desenvolvimento da autonomia e da criatividade no pensar, no sentir e no querer dos sujeitos sociais.
(MINISTÉRIO DA SAÚDE, 2003)
55

         A idéia era chegar a um modelo de formação de recursos humanos para o
SUS, centrado na capacidade instalada da rede municipal, nas necessidades
expressas pelo controle social e nas possibilidades de parceria com as
universidades locais.

         Este modelo, a implantação da Residência Integrada em Saúde de Santa
Maria (ver o tópico estrutura da RIS), tinha a intenção de se tornar uma referência
nacional em formação de recursos humanos, absorvendo tanto trabalhadores loco-
regionais, como externos e tanto recém egressos, como com experiência. Por outro
lado, o modelo proposto também daria conta da necessidade de inserção acadêmica
na rede - IAR 29 , produção científica, especialização de profissionais de nível médio e
ampliação do acesso aos serviços de saúde. Na época, chegamos a sonhar com um
complexo Escola-SUS.



                  6.1.2              MAIS ALGUNS DADOS SOBRE MUNICÍPIO




                                                                            Nas equipes de saúde 45,53% são
                                                                            médicos, 27,44% são auxiliares de
                                               H                            saúde, 12,34% são enfermeiros,
                                                   os                  do
                                                                       o
                                                 pi
                                                    t a en        t
                                                                  r ad
                                                                    ra
                                                                            7,4% dentistas e.7,25% são os
                                                                            demais membros
                                                                t
                                                        lo cc n
                                          Indicadoresêede Saúde
                                                           -
                                                          -c
                                                       i oo
                                                                                  57,66% das
                                                  dd icc ntri                     consultas em
                                                Méé                 co            serviços de pronto
 IMI 8,6/1.000 NV c/var. de 0 44 (# de 83%)    M                                  atendimento
 óbitos mal definidos(12,3%), gestantes
 adolescentes (18,9%), cesarianas (50%),
 neoplasias em mulheres de 20 a 49 anos,
 homens morrendo precocemente de
 doenças cárdio-circulatórias, 20% das
 mortes em menores de 1 ano devidas a
 doenças infecciosas ou respiratórias

         Figura 8 – Alguns problemas de Santa Maria.
         Animação


29
  Texto extraído de diálogo com o coordenador do Curso de Medicina da UFSM, Prof. James Ferreira Gressler,
em abril de 2002, e reproduzido com a autorização do mesmo: “Assim como é incoerente dizer que nosso braço
está inserido em nosso corpo, posto que não pode ser, naturalmente, encaixado e desencaixado à vontade, soa
estranho falar em IAR, já que a academia deveria, naturalmente, fazer parte da rede SUS e não ter a necessidade
de ser inserida nela. Portanto, a IAR deve ser vista como uma ação de transição em direção a um estado de coisas
mais natural, mais lógico e mais saudável.”
56




       Segundo Farenzena (1997), o município apresentava um nível de mortalidade infantil
considerado baixo (8,6/1.000 Nascidos Vivos - NV), comparável a países do primeiro mundo.
Entretanto, ao se proceder a distribuição pelos agregados que compõem o município, há uma
variação de zero a 44,4 por 1.000 NV (diferença de 83%).

       Aproximadamente 20% da mortalidade constituiu-se de óbitos devidos a doenças
infecciosas e parasitárias ou doenças respiratórias. Os dados apontavam as regiões Noroeste e
Nordeste da cidade como zona de alta mortalidade, com risco de morte duas vezes maior que
outras zonas de mortalidade intermediária. Nestes agregados, a mortalidade infantil suplantou
a média do município em 83%. Ainda segundo este estudo, tais riscos foram os mesmos
encontrados nessas regiões num estudo realizado 10 anos antes.

       Além disso, como mostram os dados do Relatório de Gestão de 2002, explicitados na
Figura 8, temos um município hospitalocêntrico e médico centrado.

       Dados mais recentes demonstram que, após implementação de um sistema de
monitoramento no município (em 2000), deflagrou-se a necessidade de um estudo mais
aprofundado da condição de saúde da comunidade santa-mariense (Tab. 1).


   Tabela 1 - Coeficientes e números absolutos de mortalidade em Santa Maria.
     Coeficientes (x 1000) e Números
                                             2001             2002          2003
                 Absolutos
                                                                             Não
    Coeficiente de Mortalidade Geral      6,77 1.637      6,58    1.653
                                                                         disponível
    Coeficiente de Mortalidade Infantil 12,06     44      16,46    59   15,26 55
    Coeficiente de Mortalidade
                                          5,21    19      9,21     33    9,71    35
    Neonatal
Fonte: Serviço de Vigilância Epidemiológica da SMS, abril 2004.


       Outros indicadores apontavam para a persistência de elementos deletérios a saúde dos
santa-marienses (Tab. 2 e 3).
57




Tabela 2- Mortalidade proporcional (%) por grupo de causas - CID10 em Santa Maria.
                             Grupo de causas                     Distribuição (%)
 1º lugar   doenças do aparelho circulatório                         36,01%
 2 º lugar  neoplasias(tumores)                                      21,02%
 3 º lugar  demais causas definidas                                  16,05%
 4 º lugar  doenças do aparelho respiratório                         11,06%
 5 º lugar  causas externas de morbidade e mortalidade                9,08%
 6 º lugar  Algumas doenças infecciosas e parasitarias                2,08%
 7 º lugar  Algumas afecções no período peri-natal                    2,00%
Fonte: SIM/Datasus – gerada em 23/03/04


Tabela 3- Causas de óbitos por grupo de doenças no ano de 2003 Santa Maria/RS
                         Principais causas de óbitos geral            N.º Absoluto
  1º lugar doenças do aparelho circulatório                               452
  2 º lugar neoplasias (tumores)                                          376
  3 º lugar causas indeterminadas                                         259
  4 º lugar doenças do aparelho respiratório                              170
  5 º lugar causas externas (acidentes, homicídios, suicídios)            131
  6 º lugar Doenças do aparelho digestivo                                  78
 Fonte: Setor de Vigilância Epidemiológica da SMS/Maio/2004.


       Um dos números que também assustavam é o terceiro lugar nas tabelas 2 e 3,
denotando sérios problemas de anotação de óbitos.

       No que dizia respeito ao cenário universitário, segundo o Projeto de Incentivo a
Mudanças Curriculares nos Cursos de Medicina – PROMED (BRASIL, 2002), dentro dos três
estágios que deveriam ser avançados pelas escolas médicas, nos eixos de orientação teórica,
abordagem pedagógica e atividades práticas (Anexo C), o Curso de Medicina da UFSM,
conseguiu, no período 2003-2004, iniciar o processo de avanço para o segundo estágio
(encontrava-se estacionado no primeiro estágio em todos os eixos), através de um intenso
trabalho envolvendo a coordenação do curso, a comissão interna de reforma curricular e os
seguimentos favoráveis do corpo docente e discente (UFSM, 2003).

       Este mesmo cenário repetia-se e encontrava-se mais ou menos avançado nos diversos
cursos e instituições de ensino superior do município, já começando a ocorrer eventos
integradores, inclusive interinstitucionais.
58




7      COMO IR PARA SANTA MARIA?

       7.1             OS PRIMEIROS PASSOS


       Durante todo o meu período como residente (2001-2002) procurei disseminar,
principalmente no meio em que eu tinha mais acesso: os docentes e discentes da
UFSM, os textos e informações que embasavam a RIS de POA.

       Também comecei, com uma boa antecedência, a sondar, dentro da
residência, orientadores que fossem malucos o suficiente (talvez o termo mais
apropriado para uma monografia seja “arrojados”) para comprar esta briga. O Nilson,
como já vimos, foi uma escolha natural. A enfermeira, sanitarista, mestra em
epidemiologia Regina P. Loureiro (na época ainda não tinha terminado o doutorado
em ciências médicas) também se encaixava bem 30 . Já observava com algum
cuidado, meio de longe, o psicólogo, sanitarista, especialista em saúde do
trabalhador, mestre em psicologia social Manoel Mayer Jr., mas ele me parecia
maluco até demais 31 .



       7.2             AS PRIMEIRAS ESTRATÉGIAS


       Até então, devido a algumas experiências anteriores onde o R3 no interior
havia sido usado como mão-de-obra barata no PSF, era quase uma heresia tocar no
assunto. Também não era aceitável que um “residentezinho” de terceiro ano fizesse
uma proposta desta monta. Para contornar este obstáculo e passar no processo
seletivo do R3 escrevi um projeto de informatização do serviço de ginecologia do


30
   A Regina iniciou nossa primeira aula de epidemiologia declarando-se sequelada de sarampo e,
como eu, falava pelos cotovelos principalmente de si mesma. Não recusava nenhum pedido de
orientação para projetos, apesar de todos os que já estava orientando.
31
   O Manoel usava (usa) sandálias com meias, tinha (tem) um penteado de quem enfiou os dedos em
uma tomada e na primeira aula que deu para nossos R1 (residentes de primeiro ano), dissertou sobre
como criar uma associação de residentes, ou seja, subversivo. No primeiro contato que tive com ele,
respondeu cada uma das minhas perguntas com outras quatro. A princípio achei que queria me
enrolar, mas depois me acostumei com seu jeito “socrático”.
59

Centro de Saúde Escola Murialdo – CSEM, o que teria sido impossível sem a
orientação da Regina.

       Era um projeto interessante e viável (Apêndice E), mas sua única função foi a
aprovação no processo seletivo, pois trabalhei em cima de duas possibilidades:

            •   A função do pré-projeto era provar que eu sabia escrever e defender
                um projeto. Não necessariamente teria que implementar exatamente
                aquele projeto;
            •   o edital de seleção rezava que as atividades do R3 poderiam ser
                realizadas nas unidades conveniadas à ESP 32 .


       Passar no processo seletivo do terceiro ano da residência não foi tarefa fácil,
principalmente, por isso ter ocorrido concomitantemente ao encerramento da
monografia obrigatória do segundo ano e por ter sido quase como uma seleção para
mestrado.

       Tivemos: prova escrita testando os conhecimentos de saúde pública; prova de
títulos; autobiografia para provarmos que tínhamos perfil; apresentação de pré-
projeto para mostrarmos que sabíamos escrever um projeto; entrevista coletiva onde
foi avaliada nossa capacidade de trabalho em grupo e entrevista individual onde
tínhamos que mostrar perfil, defender o projeto e provar que ele era viável.

       Um pouco de sorte sempre ajuda. Em SM descobri um convênio tipo “guarda
chuva”, entre a ESP e o Centro de Ciências da Saúde – CCS da UFSM que, a
princípio, viabilizaria uma ação presencial.

       Permissível     legalmente      não    significa,   nem     de    longe,    permissível
politicamente. O R3 fora de POA estava cancelado e mal visto. O Nilson trouxe a
solução: “Está cancelado porque ninguém está fazendo. Vai lá e faz.” Tentei apoio
dentro do CSEM e fui rechaçado. A alternativa seguinte seria ir direto ao chefe, o
diretor da ESP.




32
   Em tese isso se referia às unidades ligadas diretamente à ESP (CSEM, Sanatório Partenon,
Hospital Psiquiátrico São Pedro, Ambulatório de Dermatologia Sanitária) e às conveniadas
localizadas em POA, mas legalmente deixava abertura para qualquer entidade conveniada no país ou
no exterior. Infelizmente este “erro” foi corrigido nos anos seguintes.
60

       Com a troca do governo estadual (Olívio Dutra – PT para Germano Rigotto –
PMDB) 33 mudou também a diretoria da Escola de Saúde Pública (sai o enfermeiro,
mestre e doutor em educação Ricardo Ceccim e entra o pediatra, psiquiatra Mário
Oliveira).

       Claro que isso gerava um inconveniente: não tínhamos nenhum contato com
a nova direção. Eu já havia passado no R3, mas ainda precisa terminar o último mês
do R2 e ainda não havia recebido autorização para fazer o R3 em SM. Parti, então,
para uma segunda estratégia: ao invés de levar para SM uma idéia com o endosso
da direção da ESP, fui a SM como R2 buscar apoio para poder deslocar meu R3
para lá.

       Para tanto executamos os seguintes passos:

             •   Contatei, em SM, algumas pessoas-chave apresentando verbalmente a
                 proposta;
             •   Escrevemos (eu e o Nílson) uma proposta de projeto com uma
                 descrição sumária de uma página (Apêndice F) e acrescentamos a ela
                 duas páginas com os nomes de atores estratégicos em todos os
                 seguimentos que necessitávamos colher apoio;
             •   Solicitei 30 dias de estágio opcional (recuperação da paralisação) no
                 serviço de cirurgia plástica do HUSM.


       Em nenhum momento da proposta sumária foi citada a criação de uma RIS
em SM. Na verdade, era uma proposta de triangulação entre os níveis municipal
(PMSM), estadual (ESP) e federal (UFSM), para viabilizar a presença de um R3 que
colaborasse com a alteração do modelo de saúde, a reforma curricular e a IAR.




33
    Prefiro o risco da liberdade a segurança de um cabresto. Nunca fui e, provavelmente, nunca serei
filiado a nenhum partido político. Na época declarava-me como um apartidário que mancava com a
perna esquerda. Hoje nem sei mais se existe esquerda. Como veremos nos tópicos seguintes, o
apartidarismo iria me trazer sérias restrições. Vale registrar aqui um diálogo que tive com o então
residente médico de segundo ano (R2) Rodrigo Cariri. Ele disse: “Carlos, vai chegar um ponto em
que, se você não for filiado a um partido político, você não vai ter como seguir adiante”. Ao que
respondi: “Então nesse ponto eu não vou querer seguir adiante”. E foi o que realmente acabou
acontecendo.
61

       Na época eu pensava em abrir um campo de estágio permanente para R3 em
SM de modo que, a cada ano, eu teria, pelo menos, um residente da ESP para me
ajudar.

       Aquela proposta foi, acima de tudo, uma forma de abrir caminho para SM e
ganhar o tempo suficiente para montar um projeto de RIS.



       7.3            UMA OUTRA              ESTRATÉGIA:             A    DILUIÇÃO         DA
                      AUTORIA


       As pessoas-chave citadas:

       A enfermeira, mestra em enfermagem, então presidente da câmara técnica do
CMS Benildes Maria Mazzorani, uma escorpiana matreira que sempre se apresenta
com o rosto inofensivo de uma professora aposentada da UFSM e que viria a se
tornar minha principal orientadora e companheira de lutas, vitórias e derrotas em
SM;

       A enfermeira, mestra e doutora em educação, coordenadora da pós-
graduação em enfermagem da UFSM Vera Regina Real Lima Garcia, uma
empresária pública em saúde, conhecedora dos caminhos políticos da UFSM e que
me estendeu a mão sem ao menos me conhecer bem;

       O cardiologista e então coordenador do Curso de Medicina da UFSM James
Ferreira Glesser que, como eu, havia caído de amores pela atenção primária. Com
suas citações em francês e sua sutileza de um capataz de estância ele me deu
vários fundamentos de filosofia e ética. Depois da Benildes, foi minha principal fonte
bibliográfica em SM, além de renovar meu ânimo a cada conversa que tínhamos;

       A pediatra, mestre e doutora em medicina, então vice-coordenadora do Curso
de Medicina Leris Salete Bonfanti Haeffner que carregava nos ombros o peso de ser
coordenadora da comissão de reforma curricular de um curso de medicina que se
recusava a evoluir 34 .



34
  Mais tarde ela sucedeu o James na coordenação da Medicina. O currículo, apesar da resistência
de muitos “dinossauros” e com a colaboração de poucos, mas muito atuantes, colaboradores, foi, e
continua sendo, reformado.
62

       Estas pessoas ilustram a citação de Feuerwerker et al (2000), que diz que os
projetos e convênios não são firmados e mantidos por instituições, mas sim por
sujeitos. A presença (e o voto de confiança) destas pessoas na capa da proposta
sumária afastava o espectro do “residentezinho” que queria ir além da conta.

       Eu também acreditava que se dividisse a paternidade da idéia haveria mais
pessoas para defender a “criança” e impedir que ela fosse morta 35 .

       O resultado foi excelente. A partir daí foi relativamente fácil (num ritmo de,
pelo menos, três reuniões diárias...) coletar as demais assinaturas para uma grande
e etérea idéia que estava resumida em uma folha de papel.



       7.4            DE VOLTA A POA


       Munido das assinaturas de apoio e do número de registro do convênio, voltei
a POA.

       Trecho de meu diário de campo (23/09/2003):

                        Na aula inaugural, na manhã de 03/02/03, pude experimentar um bom alívio quando
                        o novo diretor defendeu uma política de descentralização de formação de recursos
                        humanas, afinal tínhamos (eu e a Regina) uma entrevista marcada com ele para às
                        14h. Na reunião que aconteceu com todos os R3 às 13:30, minha situação ainda era
                        completamente indefinida. Depois do encontro com o diretor, pude respirar mais
                        aliviado, pois ele gostou da idéia, mas colocou que o impacto gerado pelo
                        deslocamento de um R3 a SM seria muito pequeno. Deveríamos, então, trabalhar
                        pela implantação de uma residência em atenção básica no interior. Isso mudou tudo.
                        Na verdade este era o objetivo que eu pretendia atingir em médio e longo prazo, não
                        tão cedo. De qualquer forma, foi uma excelente mudança. 36



       Apesar de algumas resistências estruturais e pedagógicas, eu estava
politicamente autorizado a partir / voltar para SM.




35
   O que deu certo por um bom tempo. Mais tarde, percebendo isso, os adversários da idéia
passaram a fundamentar a derrubada do projeto associando-o única e exclusivamente ao meu nome
e taxando-o de individualista, intransigente e totalitário.
36
   Como todo político, o Mário queria que eu fizesse em menos de um ano o que eu havia projetado
para fazer em três anos. Na época eu era ingênuo o suficiente para caminhar de acordo com os
ventos da política partidária e mais tarde, como veremos, repeti este erro.
63




PARTE II
64




8      O FILHO PRÓDIGO A CASA TORNA

       Mas na época eu não tinha a menor idéia de quão pródigo seria. Cheguei em
SM com o status necessário para começar a trabalhar: vinha como pós-graduando
financiado pela ESP, ou seja, com respaldo institucional e com a missão de
implantar uma RIS.

       Como dito na metodologia, era impossível criar uma RIS instantânea. Perdi
algum tempo, mas consegui provar isso para a direção da ESP e retornar ao plano
original. Como bem me lembrava a Benildes na época: “Só um pouquinho, Carlos
André! Olha o foco! Tu tens que fazer um projeto possível de realizar em um ano,
que é o tempo do teu R3. Não dá para implantar uma residência em um ano.”.

       Mas dava para formar a massa crítica (colaboradores) para a RIS em um ano.
E mais, eu queria gerar um convênio interinstitucional que permitisse iniciar com um
curso de preceptores, avançasse para uma especialização em saúde pública e, por
fim, evoluísse para uma RIS. E depois, quem sabe, para uma Escola Regional de
Saúde Pública, afinal, a megalomania era um dos meus motores de trabalho.



       8.1            INICIEI COM UM TRIPÉ 37


       Em março de 2003 foi elaborada uma proposta de cooperação denominada:



       UM MODELO DE TRIPÉ PARA DAR APOIO AO SUS: Desencadeando ações de
curto, médio e longo prazo em seqüências encadeadas com o fim de fortalecer a atenção
básica 38 (SCHMITZ ET AL, 2003)



       A justificativa utilizada foi a seguinte:


37
   Já naquela época a esfinge de Sófocles assombrava meu inconsciente e me confrontava com seu
enigma.
38
   A esta altura o grupo de orientadores e colaboradores estava bem maior (ver Apêndice G).
65

                         A intenção de utilizar um tripé (Figura 9) como metáfora é por ser este uma forma
                         bastante prática de apoio, tanto em superfícies regulares como irregulares,
                         principalmente se for dotado de hastes reguláveis.
                         No topo de nosso tripé imaginário, equilibra-se o SUS.
                         As bases do conjunto, embora afastadas, necessitam de interligações (parcerias –
                         hastes reguláveis) para manter a força e o equilíbrio da estrutura. Neste trabalho,
                         essas bases estarão representadas pelos três níveis de governo (município, estado e
                         união), responsáveis, a priori, pela consolidação do SUS.
                         As interligações entre essas bases estarão figuradas no que cada base prioriza e
                         pode, em contrapartida, oferecer para as outras bases 39 .
                         Na situação pretendida, as três bases serão formadas por:
                         Base 1: Prefeitura Municipal de Santa Maria - PMSM.
                         Prioridades: Reestruturar o modelo de atenção em saúde - RMA, alcançar a Gestão
                         Plena do Sistema Municipal – GPSM.
                         Contrapartida: Recursos humanos - RH, físicos - RF e financeiros- R$.
                         Base 2: Estado do Rio Grande do Sul, representado pela Escola de Saúde Pública -
                         ESP.
                         Prioridades: Descentralização na formação de recursos humanos - DFRH para o
                         SUS, criação de campo de estágio para residentes - CER.
                         Contrapartida: Assessoria especializada - AE, recursos humanos e financeiros.
                         Base 3: União, representada pela Universidade Federal de Santa Maria - UFSM.
                         Prioridades: Reforma curricular do curso de medicina - RC, campo de estágio para
                         inserção acadêmica na comunidade - IAR.
                         Contrapartida: Recursos humanos, físicos e financeiros.


                                                              SUS

                                  RMA                                                    RC
                                  GPSM                                                   IAR

                                              PMSM                          UFSM

                                   RH                         ESP                          RH
                                   RF                                                      RF
                                   R$                                                      R$
                                                      DFRH           AE
                                                      CER            R$
                                  Figura 9 – O modelo de tripé.
           Animação



           Os objetivos foram ajustados da seguinte maneira:

                         Objetivo geral:

                         Desencadear uma seqüência lógica de processos locais que, articulados entre si,
                         culminem na alteração do modelo de atenção em saúde, auxiliem tanto na reforma
                         curricular do curso de medicina, como na inserção de vários cursos universitários na
                         rede e levem à implantação de uma residência integrada em saúde no município de
                         Santa Maria.

                         Objetivos específicos:
39
     Ver figura 9.
66


•      Desenvolver, no segundo semestre de 2003, o curso de educação em saúde
pública, voltado à capacitação de preceptores, gerando, como principais substratos
do curso, recursos humanos e resultados práticos:

       •         Um grupo de preceptores composto por profissionais de pelo menos
       doze áreas de conhecimento (artes plásticas, educação física, enfermagem,
       fisioterapia, fonoaudiologia, informática, medicina, nutrição, odontologia,
       psicologia, serviço social e terapia ocupacional). Este grupo estará aberto a
       profissionais das várias unidades de ensino e assistência locais;
       •         Um grupo de preceptores do CM da UFSM e do HUSM, nas
       grandes áreas de clínica médica, pediatria, gineco-obstetrícia, cirurgia geral e
       especialidades afins (cardiologia, psiquiatria, geriatria e outras);
       •         A territorialização de uma região sanitária de Santa Maria (11ª RS,
       como sugestão inicial) e de outras regiões sanitárias de interesse;
       •         O conjunto programático, nas doze áreas de conhecimento em
       questão, com vistas à futura implantação de uma especialização em saúde
       coletiva;

•      Promover a participação ativa da ESP, na forma de assessoria, na
estruturação da reforma curricular do curso de medicina e na inserção acadêmica na
rede (aberta a todos os cursos envolvidos);
•      Criar as condições políticas, administrativas e técnicas para que, em fevereiro
de 2004, através da turma de preceptores formada, tenha início o curso de
especialização em saúde coletiva, com duração de um ano;
•      Criar as condições políticas, administrativas e técnicas para que o curso de
especialização em saúde coletiva tenha continuidade, expansão para dois anos de
duração e conseqüente estruturação na forma da Residência Integrada em Saúde do
município de Santa Maria.
67



       8.2            O QUE DEU E O QUE NÃO DEU CERTO




               Figura 10 - Basta remover um pé: Ilustrações extraídas do álbum Liga
               Extraordinária Volume 2 (MOORE ET AL, 2004). Esta HQ (história em quadrinhos)
               ilustra uma versão do clássico “A Guerra dos Mundos” ambientada na Londres do
               final do século XIX. Nesta seqüência o personagem Mr. Hide enfrenta os tripés
               marcianos e ressalta na sua ótica, dois importantes problemas de projeto: “Você tem
               um problema agora. Atire em mim e irá arrebentar o próprio pé!” e “Não me leve a
               mal: Deus criou um monte de criaturas inúteis e de aparência estúpida neste mundo.
               Mas Ele decidiu não fazer nenhuma delas com três pés! Você imagina porque ele fez
               isso?” Ele mesmo responde na última ilustração...



       A idéia por trás do tripé era simples: eu queria juntar os três níveis de
governo, independente da inclinação partidária em um convênio interinstitucional.
Um convênio porque convênios envolvem dinheiro e dinheiro envolve compromisso.

       Dificilmente os três níveis de governo pertencem ao mesmo partido, logo, por
mais longo que fosse 40 , tenderíamos a um trabalho suprapartidário. Como o projeto
era ambicioso 41 , os dividendos políticos também seriam. Ingenuamente, eu pensava
que se oferecesse grandes lucros a todos, ninguém seria burro de não aceitar.

       Esta estratégia seguia a mesma linha da diluição da autoria mencionada
anteriormente. Além de vários pais para a criança, haveria vários investidores.




40
   Também pensei em definir o prazo de convênio em, no mínimo, cinco anos, para que sobrevivesse
a pelo menos uma troca de governos.
41
   Quando apresentava o projeto, minha primeira fala era classificá-lo como megalomaníaco. Antes
que alguém o dissesse, claro.
68


      8.3           COMEÇOU A CHOVER DENTRO DO BARCO


      Mas não o suficiente para eu notar. Estranhamente, apesar de quase tudo
estar correndo bem, a confecção do convênio não andava.

      Levantar o orçamento de R$ 10.000,00, conseguir alunos interessados,
professores capacitados e instalações adequados foi fácil. Difícil foi apagar algumas
fogueiras de vaidades que, politicamente, atrasaram o início das atividades em mais
de um mês (e quase inviabilizaram o curso de preceptores).

      Superando as expectativas, ao invés de falta de alunos tivemos disputas por
vagas, gerando uma lista de espera que, de início, era grande o suficiente para mais
uma edição do curso e que foi crescendo à medida que as notícias das atividades
realizadas iam se espalhando.

      Com o empenho da minha e de várias palavras, o curso inicia quase que
informalmente, sem nenhum convênio para respaldá-lo e com a promessa que até o
final teríamos um, para validar os certificados.

      Vale dizer que seria impossível realizar o curso sem a verba para o
pagamento dos professores vindos de POA. Esta verba foi disponibilizada pela
então Secretária Municipal de Saúde Ilse M. Melo, que viria a personificar a
sustentação política da RIS dentro do Executivo Municipal - EM.

      O curso foi extremamente profícuo como pode ser visto no tópico seguinte,
mas terminou e nada de convênio.

      Através da assessoria jurídica da PMSM, conseguimos montar uma boa peça
de convênio, mas nesta época, dezembro de 2003, uma boa nova que deveria ter
vindo para ajudar, acabou tornando-se um problema.

      As diretrizes dos Pólos de Educação Permanente em Saúde – PEPS haviam
sido aprovadas e iniciava-se o processo de discussão para a sua implantação.

      Começa uma disputa de poderes não declarada, uma guerra-fria partidária
pelo comando dos PEPS.

      Vendo o PEPS como uma forma natural de encaminhamento para a RIS, o
grupo de preceptores empenha-se em participar das discussões e é rechaçado.
69

Acredito que a visibilidade gerada pelo curso, além de agregar colaboradores,
arregimentou as primeiras resistências à idéia da RIS.

      As portas da 4ª CRS se fecham e, após várias e burocráticas tratativas para
firmar o convênio do curso, a ESP silencia-se.

      O pé estadual do tripé havia se retirado.
70




9      E COMEÇA O CURSO DE PRECEPTORES

       A primeira (e única) edição do Curso de Educação em Saúde Pública Voltado
para a (De)Formação de Preceptores 42 (SCHMITZ E TAL, 2003b) 43 foi o marco
inicial da tentativa de implantação da RIS.

       Iniciamos com 34 participantes (e terminamos com trinta), entre especialistas,
mestres e doutores. Na aula inaugural avisei que não teria como chamar de alunos
pessoas que haviam sido meus professores, eram meus colegas ou tinham
trajetórias e titulações bem maiores que as minhas. Portanto, todos teriam que
assumir a responsabilidade de participantes.

       Eram oriundos de quatro instituições diferentes: professores e trabalhadores
de saúde da UFSM, trabalhadores de saúde da PMSM, professores do Centro
Universitário Franciscano – UNIFRA 44 e servidores da 4ª CRS. Representavam 14
áreas profissionais. A farmácia e a filosofia haviam se somado às doze áreas
pretendidas no projeto.

       Parecia que problematizar aos moldes de Paulo Freire, como preconizado
pelos autores referenciados (ver tópico: alguns conceitos preliminares), seria algo
difícil, mas acabou sendo natural. Fugindo das tradicionais linhas e colunas, os
participantes foram surpreendidos por cadeiras dispostas em um grande círculo e eu
fui surpreendido pelo fato daquilo ser uma novidade em SM. Todo mundo lia e
adorava Freire, mas, aparentemente, ninguém o colocava em prática.

       As aulas ocorriam às sextas-feiras à noite e aos sábados pela manhã, sempre
alternando módulos de saúde pública e epidemiologia (respectivamente Nilson e
Regina, que se deslocavam de POA).




42
   Só acrescentei este “De” depois que os gestores haviam aprovado o orçamento do curso e o
mesmo já estava em andamento.
43
   Para um maior detalhamento do curso, veja o projeto completo no Apêndice H.
44
   A UNIFRA se recusou a participar do convênio (ou tentativa de convênio), mas liberou os
professores para participarem do curso. Nem sequer consegui ser recebido pela reitora e não percebi
que quem eu imaginava estar articulando para que a entrevista acontecesse, na realidade, fechava-
me as portas.
71

       Não havia um professor, mas sim três problematizadores: o que vinha de
POA era auxiliado 45 por mim e pela Benildes.



       9.1               A PRIMEIRA AULA: SUS


       Houve um certo desconforto quando os participantes foram provocados a
expor seus conhecimentos prévios a respeito do SUS. O fantasma da tradicional
definição local de SUS, que associa o sistema “àquele paciente chato que abarrota o
                   46
pronto socorro”         , assombrava a turma. Apesar das suas titulações, ninguém soube
definir origem, princípios ou estrutura de seu principal empregador.

       Não que não fossem capazes de fazê-lo, mas, decididamente, não havia
familiaridade com o tema. Nada de muito surpreendente, eu mesmo só havia
tomado conhecimento que existia saúde de família no último mês do último semestre
de minha graduação (ver autobiografia), só comecei a descobrir o que era SUS
dentro da residência e só pisei em uma Unidade Básica de Saúde – UBS de SM
quando retornei em 2003.

       Essa era a realidade que muitos dos presentes queriam mudar.

       Fomos felizes na escolha dos temas (ver Apêndice H). Os participantes
avançaram rapidamente na apropriação dos conceitos e as discussões foram
ficando cada vez mais ricas. O Formato da roda, praticamente, induzia a exposição
de idéias e o confronto de opiniões. Vale citar algumas atividades especialmente
interessantes:



       9.2               CONTROLE SOCIAL X MANIPULAÇÃO SOCIAL: A
                         DINÂMICA DO CONSELHO MUNICIPAL DE SAÚDE




45
   Ao ponto do Nilson apelidar-me de “Coelho da Alice”, pelo fato de eu balançar meu relógio de bolso
na sua frente quando as explanações e os debates ameaçavam ficar mais longas que o possível para
o tempo do tópico.
46
   Isso nos era ensinado em todos os semestres da faculdade. Todos haviam passado pelo mesmo
modelo formador.
72

       Na atividade sobre controle social, ocorreu um período inicial de discussão
sobre o tema e, após, os participantes foram divididos de duas maneiras: de acordo
com a paridade e aleatoriamente distribuídos em três grupos de estereótipos.

       Desta forma, 50% eram usuários, 25% eram trabalhadores de saúde e os
outros 25% distribuídos entre prestadores de serviços e gestores. Independente da
representação, cada um recebeu um número de 1 a 3, de modo que houvesse um
número igual de pessoas para cada estereótipo (Figura 11).



                                           2 3 1 2
                                       1                  3            Trabalhadores de Saúde
                                   3                           1
                              2                                    2
                          1
                                                                    3
         Usuários         3
                                                                    1
                           2                                       2 Prestadores de Serviços
                               1                               3
                                   3                       1
                                           2   1     3 2
                                                       Gestores
       Figura 11 - Divisão da roda de problematização.



       Os usuários, trabalhadores, prestadores e gestores de número um ficaram
comigo, os de número dois foram para outra sala com o Nilson e os de número 3
foram para uma terceira sala com a Benildes. Assim nenhum grupo sabia qual seria
o estereótipo dos outros dois. Um dos objetivos da dinâmica era tentar descobrir
estes estereótipos, que eram os seguintes:



           •   Grupo 1: Os “CDFs”              47
                                                    . Incorruptíveis e defensores da lei a qualquer
               custo.
           •   Grupo 2 : Os sofredores de “porralouquismo” congênito. Tinham a
               função de atrapalhar, dispersar, fugir da pauta, entrar e sair da sala e
               atender celular em voz alta.



47
   Cus de ferro, literalmente. Peço perdão pela escatologia, mas foram os termos que realmente
utilizamos na caracterização dos estereótipos.
73


             •   Grupo 3: Os portadores de “filhadaputismo” congênito. Orientados a
                 preocupar-se com o lucro individual acima de tudo, se possível
                 corrompendo alguém.


       Escolhemos para a simulação um fato real ocorrido no município. A utilização
de uma verba de R$ 120.000,00 da rubrica de assessoria para informatização da
saúde para a compra de medicamentos, efetuada pela secretária de saúde, sem
comunicação ao CMS.

       Assumi o papel de presidente do CMS, a Benildes foi a Secretária de Saúde e
o Nílson ficou na mesa como representante dos prestadores de serviços que usava
um boton do PAP, Partido dos Amigos do Prefeito.

       A pantomima que se seguiu não deixava absolutamente nada a desejar para
uma sessão real do CMS. Todos levaram bem a sério seus papéis. Após a denúncia
do desvio das verbas, a Secretária de Saúde fez a sua defesa e os conselheiros
teceram seus vários comentários, inspirados nos padrões que deveriam seguir.

       As propostas de encaminhamento acabaram sendo bem próximas ao que se
deu na realidade: um grupo queria endossar a atitude da secretária e outro queria
encaminhar o caso ao Ministério Público.

       Como presidente do CMS encerrei a sessão, adiando a votação para um
próximo encontro. Seguiu-se uma roda de negociações, onde todos os atores se
misturaram tentando granjear aliados.

       Neste ponto os problematizadores (eu a Benildes e o Nílson), circularam entre
todos exercendo o papel, não declarado aos participantes, de manipuladores
políticos.

       Os resultados foram os seguintes: alguns “CDFs” foram corrompidos, os
“porraloucas” foram facilmente manipuláveis e nenhum corrupto mudou de lado. Na
votação fictícia, imitando a vida real, a secretária foi absolvida.

       Alguns atores identificaram o padrão dos outros, mas o que mais chamou a
atenção foi a facilidade com que um conselho de saúde pode ser manipulado. Foi
uma pena não termos gravado a dinâmica em vídeo.
74

         Consegui chegar a estes mesmos resultados em outras duas oportunidades,
onde apliquei esta dinâmica em um grupo de universitários de enfermagem e um
grupo de pós-graduandos de saúde pública.



         9.3          A        DINÂMICA                    “O            PACIENTE
                      IN(TER)DISCIPLINADO”:


         Esta dinâmica facilitou enormemente a discussão do tema: gradiente multi-
inter-transdiciplinaridade. Além disso abriu espaço para um profícuo debate sobre
campo e núcleo de saberes (ver tópico: alguns conceitos preliminares).

         A descrição abaixo é um retrato fiel aos diálogos e comportamentos que
ocorreram no dia. Praticamente todos os participantes reagiram da maneira com que
eu esperava que reagissem.

         Escolhi oito profissões das 14 que compunham o curso (por questão de
tempo). Os oito profissionais foram distribuídos em duas filas e instruídos de que
estavam em uma unidade básica de saúde, sendo que cada um deles era o único
profissional de saúde presente na unidade. O recepcionista iria lhes passar um
paciente que deveriam tentar atender e/ou encaminhar caso julgassem necessário.

         Paciente: Carlos André, médico de família e comunidade, coordenador do
curso.

         Consulta nº 1- Jorge, estudante (em visita ao curso) do oitavo semestre
de medicina da UFSM.

         O paciente chega e cumprimenta o médico estendendo a mão a um metro de
distância, à direita do médico, evidenciado claros problemas visuais.

         Paciente: Bom dia, doutor!

         Jorge: Bom dia, meu amigo!

         P (tentando encontrar o médico): Fale mais alto que eu lhe enxergo, doutor!

         J: Sente aqui e me diga seu problema.

         P: Pois sabe que eu não enxergo muito bem?
75

      J: Isso faz quanto tempo?

      P: Ih! Um tempão...

      J: Mas quanto tempo? Dias? Meses? Anos?

      P: É, doutor. Por aí.

      J: Acho que vou ter que lhe mandar para um oftalmo...

      P: Doutor, eu já tive nesse doutor, ele me disse que eu tenho um negócio
parecido com cera. Um tal de cerato alguma coisa.

      J: Ceratocone?

      P: O senhor é bom, hein doutor? Acertou em cheio! Ele até me deu uma
receita pra comprar umas lentes, mas é caro, doutor. Eu tô desempregado, a mulher
tá desempregada, a gente tem cinco filho. Tá difícil, doutor... A Maria até tem
proposta pra trabalhar numa casa de família, mas aí tem as criança pra cuidar. Eu
não posso cuidar, claro, porque tenho que procurar emprego. Será que o senhor não
arranja uma creche pra nós, doutor?

      J: Isso não é da minha área, vou lhe encaminhar para o Serviço Social.



      Consulta nº2 – Bernadete, assistente social da 4ª Coordenadoria
Regional de Saúde (4ª CRS)

      Benadete: Qual é o seu problema?

      P: Ih! Doutora! Eu tenho uma dor que começa na unha do dedão do pé direito,
sobe pela perna, atravessa pelas virilha, dói cá nas costas, sobe até o ombro direito
e responde cá no olho esquerdo. Que que eu faço doutora?

      B: Mas além disso, o senhor tem mais algum problema? A família e os filhos,
como estão?

      P: Tudo bem, doutora! A mulher tá faceira porque arranjou emprego e voltou a
estudar, as crianças tão bem na escola. O que me incomoda mesmo é essa dor,
doutora... Que que eu faço?

      B: Vou lhe encaminhar para a fisioterapeuta...
76

       Consulta nº3 – Margarida, fisioterapeuta da UNIFRA

       Margarida: Ola!

       P (gritando): Hein?!

       M: Qual é o seu problema?

       P (gritando mais ainda): Fale mais alto, doutora, eu não escuto muito bem!!

       M (gritando no ouvido direito do paciente): O que o senhor tem?!!!

       P: Como?!!!!

       M: O que o senhor tem?!!!!

       P: Não consigo lhe entender, doutora!!! A senhora sabe linguagem de
sinais?!!!

       M (sinalizando afirmativamente com a cabeça): Um pouco!!!!

       P: Que bom pra senhora, porque eu não sei!!!

       M: Ai, meu Deus...

       P: A senhora não tá conseguindo me entender, vou procurar outro doutor...



       Consulta nº 4 – Aline, fonoaudióloga da UNIFRA.

       Aline: Qual o seu problema?

       P: É essa gastura, doutora. Meu estômago dói quando eu como, quando eu
não como, quando tomo água, quando tomo leite. É uma desgraça, doutora...

       A: O senhor tem algum problema de fala ou de audição?

       P: Não, doutora, escuto bem até demais. O problema é este estômago, que
dói até quando eu respiro. O que eu faço, Doutora?

       A: O senhor precisa de um médico...



       Consulta nº5 – Jani – Psicóloga da PMSM

       Jani: Olá, qual o seu problema?

       P: Eu tô deprimido, doutora...
77

      J (surpresa): É? Há quanto tempo?

      P: Um tempão doutora...

      J: O senhor consegue dormir bem?

      P: Não, doutora. Passo as noite em claro, não durmo nada...

      J (satisfeita): E o senhor tem idéia de porque não consegue dormir?

      P (colocando a mão no rosto): Acho que é por causa desse maldito dente que
não para de doer, doutora...

      J (Desanimada): Mas o senhor não pensa em mais alguma coisa?

      P: Não dá, doutora. Eu só consigo pensar neste dente que dói noite e dia. Tô
tão deprimido, doutora...

      J: O senhor tem que ir ao dentista!

      P: Mas a senhora não vai me dar nenhum remedinho? Um “paracetolol” ou
uma “dipiroma”?

      J: Não, o senhor tem que ir ao dentista.



      Consulta nº 6 – Ivan, cirurgião-dentista da PMSM.

      Ivan: Olá, o senhor está com dor de dente?

      P: Não a mordida vai bem, obrigado. O causo é que a mulher ganhô nenê e o
umbigo caiu. A gente não sabe se pode limpar. Tá difícil de dar banho.

      I: Não tem problema, pode lavar com água e sabão neutro, normalmente. Só
tem que cuidar para que fique bem seco.

      P (pensando rápido: se eu perguntar de amamentação, ele também vai saber
responder) : Que bom, doutor. E as vacina? Como é que a gente faz?

      I (enrolando): Hum, bem, que idade tem a criança?

      P: Recém saído do forno, doutor.

      I: Olha, isso tu tens que ver com uma enfermeira...
78

      Consulta nº 7 – Ruth, Nutricionista da PMSM

      Ruth: Qual o seu problema?

      P: Tô muito gordo, doutora.

      R: O senhor come muito?

      P: Demais da conta! Como o tempo inteiro, 24h por dia!

      R: E por quê?

      P: Sô muito ansioso, doutora. Não consigo controlar!

      R: O que o senhor come de manhã?

      P (desconfiadíssimo): Pra que tanta pergunta? A senhora é da polícia?

      R: Não, eu preciso saber.

      P (nervoso): Pra quê? O que a senhora vai fazer com estes dados a meu
respeito?!

      R: É só para poder elaborar uma dieta adequada...

      P (mais nervoso ainda): Dieta? Isso não vai me fazer mal? Eu sô tão
nervoso...

      R: Acho que o senhor precisa de um psicólogo...



      Consulta nº8 – Gisela, enfermeira da 4ª CRS

      Gisela: O que o senhor precisa?

      P: (em tom declamatório):



      Esse mundo não é meu.

      Não falo com a petulância

      de quem se acha originário de um lugar melhor.

      Apenas não sou daqui...
79

O que torna suportável este vasto deserto, lotado de desconhecidos

são alguns oásis de reconhecimento,

tão perdidos, dispersos e deslocados quanto eu.



Não sei exatamente de onde vim.

Minhas memórias são tão escassas

quanto meus pares.



Não estou aqui,

minha alma vagueia em algum lugar distante

não menos triste do que aqui,

mas extremamente distante.



Não consigo convencer-me

da realidade desta ilusão

de modo que permaneço

poucos momentos nela.



Sequer meu tempo é este,

até porque não acredito no tempo.



Mesmo o desejo de deixar de existir é inútil,

posto que considero o existir uma idéia pouco viável.



Não tenho pais, não tenho parentes,

poucos são meus pares.
80




      Me sinto só...



      G (desconcertada): ...

      P: O que eu faço, doutora?



      Seguiram-se risos descontraídos de todos. Alguns indicaram um psiquiatra,
mas a maioria indicou um apoio filosófico (tínhamos duas filósofas no curso). A
margarida chegou a comentar que não existem pacientes tão complexos. Algumas
passagens reais durante o trabalho de implantação do PSF na Vila Maringá de SM
podem dizer algo a respeito disso (ver Apêndice I e Apêndice J).



      9.4          O DEBATE DO NÚCLEO E CAMPO DA SAÚDE
                   COLETIVA


      Analisando-se os conceitos de campo e núcleo sob a ótica de Gastão
Campos (1997) (ver tópico: alguns conceitos preliminares), questionou-se sobre a
possibilidade da saúde coletiva ser um campo ou um núcleo de saberes.            Da
discussão subseqüente depreendeu-se como núcleo da saúde coletiva um grupo de
saberes capaz de articular tanto formação popular em saúde (educação popular),
como de profissionais de saúde e de gestores em saúde, às políticas de saúde.

      A pergunta seguinte foi a respeito de qual seriam os limites do campo da
saúde coletiva. Recorreu-se ao conceito modernista da antropofagia (Figura 12), onde
impossibilitou-se o vislumbramento de qualquer limite, posto que à saúde coletiva é
dada a liberdade de absorver, digerir e aproveitar tudo aquilo que for capaz de
assimilar (e não evacuar) de qualquer área do conhecimento humano. Como campo
da saúde coletiva entendeu-se o vasto emaranhado de inter-digitações entre toda e
qualquer área profissional a que fosse oportunizada a participação em ações de
saúde ou afins.
81

      Vendo-se por outro ângulo, poderíamos dizer que tudo o que for aceito como
campo dentro de um determinado núcleo de saberes pode ser somado ao campo da
saúde coletiva e compartilhado entre seus sujeitos (não confundir com os limites
profissionais citados no tópico alguns conceitos preliminares).




       Núcleos                                                       Outros
    Antroposóficos           Campo da Saúde Coletiva
                                                                     Núcleos



                                         Núcleos
                           Núcleo        Ciências
                           Saúde         Sociais e
                           Coletiva      Humanas



                                   Núcleos
                                  Ciências
                                  da Saúde
                                                          Núcleos
                                                          Ciências
                                                           Rurais


               Núcleos
               Ciências
              Naturais e
                Exatas




        Figura 12 – Perfil antropofágico e integrador da Saúde Coletiva.



      9.5             ATIVIDADES VIRTUAIS


      Embora a prática remonte ao velho Instituto Universal Brasileiro - IUB, a
proliferação de iniciativas de Ensino Á Distância - EAD através da Internet é um
fenômeno     relativamente        recente.   As   novas   versões     das      ferramentas   de
programação em HTML (HyperText Markup Language) e o incremento da
velocidade de acesso à rede abriram um manancial de possibilidades.
82

       Infelizmente, devido ao curto espaço de tempo, não conseguimos
implementar toda a proposta de atividades virtuais, prevista no projeto do curso
(Apêndice H). Apesar disso, com a atuação de Aline L. Haas, Alexander F. Do Rego,
Fernando Bevilacqua e Giovani Gracioli, alunos do Programa Especial de
Treinamento – PET do Curso de Ciências da Computação da UFSM, foi possível
criar o Instrumento Virtual de Apoio Pedagógico - IVAP. A sigla, de início provisória
(por parecer a marca de um desentupidor de pia), acabou pegando e gerando, para
estes alunos de segundo e quarto semestre, publicações em congressos estaduais e
nacionais, na área de saúde e na de informática.

       O    IVAP     ainda     está    ativo    e    pode    ser    visitado    no    endereço
                          48
http://www.ufsm.br/ivap . Foi criado como uma primeira experiência em Ensino à
Distância – EAD, já prevendo a necessidade desta ferramenta em uma futura RIS.

       O instrumento produzido (Figura 13) baseia-se na problematização de Freire
e tem múltiplas funcionalidades. Além de orientar a maneira como os dados devem
ser acessados, armazena todo o conteúdo de forma modular, permitindo também
consultas aleatórias (Figura 14).

       O sistema acumula dados pessoais, textos, discussões (Figura 15) e
avaliações (Figura 16 e Figura 17), identificando todos os envios de forma
cronológica e nominal, fornecendo as estatísticas (Figura 18) necessárias para o
acompanhamento dos trabalhos.




48
  Neste endereço, além de vários textos que foram utilizados no curso, pode ser encontrada uma
cópia eletrônica desta monografia.
83




Figura 13 – IVAP: Tela Principal onde são apresentados os
últimos textos publicados. O sistema dá acesso total dos textos
aos visitantes, acesso limitado das funcionalidades aos alunos,
acesso semi-total aos professores e acesso pleno aos
administradores.




Figura 14 – IVAP: Estrutura de tópicos. Cada vez que um texto é
publicado, ele é associado a um tópico especifico de forma a permitir
visualização estruturada. O sistema também permite pesquisa aleatória,
alfabética ou cronológica dos textos.
84




Figura 15 – IVAP: Fórum. O módulo de fóruns permite o cadastro e
incremento de várias discussões.




   Figura 16 – IVAP: Postagem de testes. O sistema permite
   que os professores enviem tanto questões objetivas, quanto
   questões discursivas.




   Figura 17 – IVAP: Realização do teste pelo aluno.
85




Figura 18 – IVAP: Estatísticas.
86



      9.6           O GEOPROCESSAMENTO


      Santa Maria possui o melhor e mais completo sistema de georeferenciamento
de toda a região sul do país, contando com mais de 50 mapas temáticos com uma
infinidade de dados e possibilidades de cruzamento (Figura 19).




         Figura 19 – Geoprocessamento: Capacidade de detalhamento do sistema,
         partindo de um mapa geral do município até a planta baixa de uma clínica de
         traumato-ortopedia.



      Os mapas são públicos, qualquer pessoa pode solicitar acesso a eles.
Paradoxalmente, excetuando-se as atividades narradas nesta monografia, este
sistema não é utilizado pela área da saúde no município.
87

      Uma das tentativas de resolver esta subutilização foi incluir o uso de mapas
digitais nas atividades de territorialização propostas no projeto do curso (Apêndice
H)

      Graças a um dos participantes do curso, o engenheiro eletricista e mestrando
em sistemas de informação Cezar Bastianelo Vaz, que realmente deixou de lado a
postura de aluno passivo, pudemos ampliar o escopo do curso com atividades
teóricas e práticas em geoprocessamento, propostas e implementadas por ele.

      Foram utilizados os mapas digitais gerados em ambiente CAD (Computer
Aided Desing) da Secretaria Municipal de Viação e Transportes de Santa Maria.

      A região escolhida foi a 11ª Região Sanitária, que foi setorizada e distribuída
para 15 duplas de participantes, observando-se critérios de heterogeneidade
regional com a finalidade de apresentar aos participantes uma situação rica em
detalhes. Um exemplo do instrumento de coleta de dados pode ser observado na
Figura 20.




     Figura 20 – Geoprocessamento: Instrumento de coleta de dados. A frente apresenta
     o mapa da microregião a ser analizada, a legenda de eventos a serem observados e
     os dados de identificação. O verso apresenta uma mapa de localização da
     microregião.
88




       O trabalho foi dividido em três etapas:

            •   instrumentalização dos conceitos de territorialização e localização dos
                dados espaciais (atividade teórica – 8h);
            •   execução do trabalho de campo (atividade prática 8h);
            •   exercício de análise dos dados coletados sobre a base de mapas
                digitalizados (atividade teórico-prática – 8h).


       O grupo apropriou-se das tecnologias de georeferenciamento e da
possibilidade de utilização destas tecnologias e dados dentro da área da saúde
coletiva.

       Como exercício prático, uma das variáveis coletadas - esgoto a céu aberto
(ver Apêndice H) - foi cruzada com um dado já armazenado no sistema: as curvas
de níveis do levantamento topográfico.

       Através de critérios geodésicos, também disponíveis no sistema, foram
calculadas as zonas de propensão ao alagamento.

       Da sobreposição dos dois dados (esgoto a céu aberto e zonas de
alagamento) e considerando-se a taxa de infiltração local do solo, chegou-se às
zonas de risco para zoonoses (Fig. 21).
89




     Figura 21a – Levantamento topográfico   Figura 21b – Plotagem da localização dos
     / curvas de nível                       esgotos a céu aberto (pontos em vermelho).




     Figura 21c – Zonas de alagamento        Figura 21d – Zonas de risco para zoonoses
     (em amarelo).                           (em azul).



       Além das publicações em congressos, esta atividade teve o mérito de
realocar recursos da secretaria de obras para a canalização dos esgotos nas áreas
de risco identificadas.
90




      9.7           INTERLÚDIO I – TIME IS ON MY SIDE


                                TIME IS ON MY SIDE
                                Time is on my side (Yes it is)
                                Time is on my side (Yes it is)
                                Now you always say that you want to be free
                                But you'll come running back, you'll come running back
                                You'll come running back to me

                                Yeah, time is on my side (Yes it is)
                                Time is on my side (Yes it is)
                                You're searching for good times, but just wait and see
                                You'll come running back...

                                Go ahead, baby, go ahead. Go ahead and light up the town
                                And baby, do anything your heart desires
                                Remember, I'll always be around
                                And I know like I told you so many times before
                                You're gonna come back
                                Yeah, you're gonna come back, baby
                                Knockin', yeah, knockin' right on my door, yeah!

                                Time is on my side (Yes it is)
                                Time is on my side (Yes it is)
                                Cause I've got real the love, the kind that you need
                                You'll come running back...

                                Yeah, time, time time is on my side (Yes it is)
                                I said, time, time, time is on my side (Yes it is)
                                I said, time, time, time is on my side (JAEGER E RICHARDS, 1964)




      Ninguém com mais propriedade do que Jaeger e Richards para falar sobre
isso. Basta olhar para eles.

      Como eu havia citado no prólogo da metodologia, restavam poucos dias para
encerrar o prazo de entrega desta monografia. Mais exatamente, cinco dias que se
encerram amanhã. Parecia até sem sentido tentar continuar, visto que ainda havia
muito a escrever para chegar em um resultado razoável.

      Mesmo assim, continuei no mesmo tranco, afinal, este estilo de narrativa está
me divertindo bastante e não tenho nada para perder que já não tenha perdido.

      Voltando um pouco no tempo, em meados de 2004, quando muito já havia
sido produzido, implementado e escrito, um grande amigo que apoiou e
acompanhou o projeto fez-me o seguinte alerta: Valia a pena continuar produzindo e
escrevendo sem nenhum convênio, contrato ou nomeação que garantisse minha
continuidade no projeto? Eu não estaria correndo o risco de alguém se apropriar das
minhas idéias e simplesmente me excluir?
91

        Invoquei os Stones e lhe disse que o tempo estava do meu lado, eu era
jovem, ainda tinha muito caminho pela frente (e tempo para muitas quedas) e na
verdade, já tinha chegado muito mais longe do que esperava ter chegado. Mesmo
que o projeto fosse usurpado, as sementes já haviam sido lançadas, alguma coisa
eu já tinha conseguido.

        Bem, alguém já deve ter dito que sonhar não custa muito, é só preço da
desilusão (se não disseram, estou dizendo). Sempre soube que o risco era grande
(risco alto = alta queda ou altos lucros). Na verdade, minha aposta, conhecendo o
chão em que nasci e cresci, era entre a idéia ser usurpada e levada adiante ou ser
destruída.

        O fato de alguém se apropriar de um projeto alheio significa, pelo menos, que
este alguém acredita na própria competência de implementar a idéia. Infelizmente,
no tocante à RIS de SM, optaram pela destruição.

        Mesmo estando preparado para o que aconteceu a seguir, posso dizer, em
tom dramático, que o preço da desilusão foi alto. Mantendo ainda o tom dramático,
também posso dizer que, na época, minha única opção foi seguir adiante
carregando um filho morto no ventre e aceitando as conseqüentes transformações
que esta necrose causaria. Valeu a pena, como demonstrarei mais adiante.

        Eis que hoje recebo o telefonema de uma colega do Curso de Sanitaristas e
de residência no Morro da Cruz (a cirurgiã-dentista Liége Fontanive) com uma boa
nova confirmada por um mail do Manoel: o prazo de entrega foi prorrogado para 31
de março de 2006. A contar de agora, tenho mais 14 dias. O tempo continua do meu
lado.

        Fim do Interlúdio I.
92




10    CONTINUAVA A CHOVER DENTRO DO BARCO

      Mas nós seguíamos remando. Durante o curso de preceptores ainda trabalhei
em dois outros projetos. Os dois tinham o objetivo de fortalecer a saúde no
município. O primeiro dizia respeito a informatização do HUSM, mais em especial de
seu Serviço de Diagnóstico por Imagem (Anexo D). O segundo tratava de uma
proposta de informatização da APS no município (Anexo E).

      Os dois projetos não dariam nenhum ônus ao município, posto que foram
elaborados em convênio com a UFSM e trariam para o município algo em torno três
milhões de reais de verbas federais.

      Tanto o primeiro quanto o segundo foram aprovados pelo MS, mas,
estranhamente, nenhum deles foi empenhado.

      No mesmo período a Secretária de Município de Saúde Ilse Melo elaborou
uma proposta de assessoria para incrementar a organização da SMS. Entre outros
itens a proposta tratava do organograma interno da SMS, do controle de insumos,
exames e equipamentos, da informatização da rede municipal de saúde e do fluxo
de dados e informações.

      A proposta, apesar de, claramente, trazer benefícios para o município, foi
derrubada no CMS por um grupo que será discutido nas considerações finais.

      Talvez as propostas tenham sido derrubas pelo fato de que, se
implementadas, possibilitariam ao gestor e ao controle social o acesso a
informações do tipo quem está fazendo o quê, quando, aonde, em quanto tempo e
gastando quais insumos.
93




11        E COMEÇA A SURGIR O PSF DE SM

          O PSF foi criado em 1994 e em 2003 ainda não dava sinais de chegar a
Santa Maria. Ótima solução para cidades de pequeno porte que tinham a APS
respondendo por quase 100% de suas responsabilidades gerenciais e uma dor de
cabeça (se possível, mantida a distância) para gestores de municípios maiores que
ainda tinham que lidar com a média e a alta complexidade.

          A ESF abriu uma grande brecha para a expansão da Atenção Primária – APS.
Sua rápida expansão gerou, porém, um pequeno problema: pelos números do
Ministério da Saúde - MS, em 2004, já haviam sido implantadas 20.000 equipes de
saúde da família e pelos registros da Sociedade Brasileira de Medicina de Família e
Comunidade – SBMFC estavam em atividade apenas 2.000 médicos de família e
comunidade. Nas áreas de enfermagem e odontologia, o quadro com certeza é bem
pior. Ou seja, quem está na ponta, fazendo APS, foi talhado para fazer APS?

          Numa das idas a POA, para freqüentar o Curso de Sanitaristas, em agosto de
2003, fui abordado pela pedagoga Rose Dorigon. Ela me entregou uma cópia de um
tal de PROESF 49 , dizendo: “Isso vai ser útil para o que tu estás fazendo em Santa
Maria. Olha com atenção.” Olhei rapidamente e vi que tinha algo a ver com o PSF
para municípios com mais de 100.000 habitantes.

          Dava para perceber que era importante, mas eu estava envolvido demais com
o Curso de Preceptores e com o Curso de Sanitaristas, cada um com atividades
quinzenais, fazendo-me pipocar entre SM e POA. Por intuição, entreguei o material
para a Benildes, que com a ajuda do técnico de enfermagem e assistente
administrativo da SMS Arno Becker o transformou numa das melhores propostas de
implantação de PSF no estado (a outra foi a de Cruz Alta).

          Segundo Schmitz et al (2004), o PROESF iniciou com a criação de 9 equipes
e a intenção de ampliação para 25 equipes (40% da população) em 2004, chegando
em 70% de cobertura, com 43 equipes, em 2007. O processo seletivo das primeiras
nove equipes resultou num grupo formado por uma mescla de recém egressos de


49
     Projeto de Expansão e Consolidação da Saúde da Família.
94

centros de formação em saúde coletiva, profissionais oriundos da rede e vindos de
experiências de ESF de outros municípios.

      Depois de uma capacitação inicial, a composição heterogênea do grupo
permitiu a análise comparada das experiências locais sob a ótica de um referencial
teórico em saúde coletiva. Numa construção coletiva, foram eleitos eixos temáticos
essenciais para a ESF:

         •   Cotidiano   (territorialização,   cadastramento,   prontuários,   agenda
             essencial, processo de trabalho);
         •   fluxos (referência e contra-referência, capacidade municipal instalada
             de serviços, exames e farmácia);
         •   protocolos (programas instituídos, rotinas ministeriais já instituídas,
             necessidades locais) e
         •   intersetorialidade (redes formais e informais, públicas e privadas).


      Para cada eixo formou-se uma comissão de trabalho que contivesse
integrantes das três profissões da ESF e das diferentes equipes.

      A Comissão de Cotidiano lançou as diretrizes para os seguintes itens:

         •   Territorialização, cadastramento, arquivamento - prontuários (Figura
             22);
         •   regulamentação de Horários;
         •   planejamento de Reuniões;
         •   comissão de Avaliação;
         •   educação Permanente;
         •   processo de Trabalho.
95



                               a)


  b)




                                                   017MGA01ILE034

                                                                               PREFEITURA MUNICIPAL DE SANTA MARIA
                                                                               SECRETARIA DE MUNICÍPIO DA SAÚDE

                                              c)                               ESTRATÉGIA DE SAÚDE DA FAMÍLIA

                                                                         CARTÃO PROVISÓRIO DA FAMÍLIA



                                                                         Espaço para carimbo e rubrica

                                                                         Nº 017MGA01ILE014

                                                                    d)
Figura 22 - Ferramentas de territorialização. a)Mapa digital da cidade; b)Mapas impressos para as
equipes, identificando cada micro área com uma cor padrão, a situação espacial da micro área na
área e da área no município; c) Prontuário com codificação padronizada e identificação da cor da
micro área; d) Cartão provisório de identificação do usuário.



       A Comissão de Fluxos realizou um extenso levantamento da capacidade
municipal instalada e do sistema de referência e contra-referência (Figura 23), bem
como do sistema de marcação de exames-procedimentos e farmácia, apresentando
propostas para o controle de materiais-medicamentos e para um sistema
humanizado de referência e contra-referência.
96



                                        HCS
                           CMI
                                                        SPAH
             PAM
                                                                     HUSM
                                        UBR                           PS
                             UBS
   CAPS                                            CEDAS
    PV
                   PSF
                                                                          HUSM
    CAPS                      POPULAÇÃO                                   AMB
     AD                    TERRITORIALIZADA
                                                       ROSÁRIO

            ASM                                                          HUSM
                                                                          INT
                         HANSEN          TB

       PRIMÁRIO
                                                          4ªCRS
       SECUNDÁRIO
       TERCIÁRIO

Figura 23 - Capacidade da rede pública municipal de saúde/Fluxo espontâneo e dirigido da
população. 4ªCRS=Quarta Coordenadoria Regional de Saúde; Int=internação; HUSM=Hospital
Universitário de Santa Maria; PS=Pronto Socorro; SPAH = Serviço de Pós-Alta Hospitalar;
HCS=Hospital Casa de Saúde; CMI=Centro Materno-Infantil; PAM=Pronto Atendimento Municipal;
CAPS-PV e CAPS-AD=Centros de Atenção Psico-Social; ASM=Ambulatório de Saúde Mental,
HANSEN=Serviço de Hanseníase; TB=Serviço de Tuberculose; ROSÁRIO e CEDAS=Centros de
Atenção Secundária; UBR=Unidade Básica de Referência; UBS=Unidade Básica de Saúde;
PSF=Unidade de Saúde da Família.



       A Comissão de Protocolos produziu um documento que reúne os textos
oficiais mais atualizados no que diz respeito aos protocolos de saúde da criança
(puericultura, primeira infância, pré-escolar, escolar) e do adolescente, saúde da
mulher (planejamento familiar, pré-natal, puerpério, prevenção do câncer feminino,
orientação para o climatério, ginecologia básica ) e saúde do adulto e do trabalhador
(hipertensão e diabete, proteção respiratória, saúde mental, tuberculose e
hanseníase, geriatria ).

       A Comissão de Intersetorialidade saiu em campo realizando contatos com
associações comunitárias, instituições de ensino, órgão municipais, estaduais e
federais e organizações não governamentais produzindo um relatório das atividades
realizadas pelas redes formais e informais, públicas e privadas, ao mesmo tempo em
que colocou estas redes a par da filosofia de trabalho da ESF e das possibilidades
de integração (Figura 24).
97

       Tudo isso foi realizado no início de 2004, antes das eleições, quando ainda
tínhamos alguma voz ativa junto à gestão e a secretária de saúde ainda era a Ilse.


                                    INTERSETORIALIDADE

                                          CONTROLE
                                          SOCIAL                     ASSISTÊNCIA
                                                                       SOCIAL
                     MEIOS DE
                    COMUNICAÇÃO




                                                                                        ONGS
    REDE                                                    SECRETARIAS
  PRIV ADA



                         GESTÃO               SAÚDE
                        AMBIENTAL




      OBRAS                                                                           EDUCAÇÃO
   SANEAMENTO
                                                         FÓRUM DE
                                                         POLÍTICAS
                                                          SOCIAIS


                            TRANSPORTE




                                                                            CULTURA
                                                DEFESA
                                                 CIVIL




       Figura 24 - As redes de Santa Maria.
98




12      A ISONOMIA SALARIAL E A VALORIZAÇÃO DA
            FORMAÇÃO PROFISSIONAL - IS&VP 50

                                      Vozes da seca (GONZAGA e DANTAS, 1974)
                                      Seu doutô os nordestino têm muita gratidão
                                      Pelo auxílio dos sulista nessa seca do sertão
                                      Mas doutô uma esmola a um homem qui é são
                                      Ou lhe mata de vergonha ou vicia o cidadão 51
                                      É por isso que pidimo proteção a vosmicê
                                      Home pur nóis escuído para as rédias do pudê
                                      Pois doutô dos vinte estado temos oito sem chovê
                                      Veja bem, quase a metade do Brasil tá sem cumê
                                      Dê serviço a nosso povo, encha os rio de barrage
                                      Dê cumida a preço bom, não esqueça a açudage
                                      Livre assim nóis da ismola, que no fim dessa estiage
                                      Lhe pagamo inté os juru sem gastar nossa corage
                                      Se o doutô fizer assim salva o povo do sertão
                                      Quando um dia a chuva vim, que riqueza pra nação!
                                      Nunca mais nóis pensa em seca, vai dá tudo nesse chão
                                      Como vê nosso distino mercê tem nas vossa mãos



        12.1            INTERLÚDIO II - SUBVERTENDO UMA LÓGICA: UM
                        ARTIGO QUE ENTRA AO INVÉS DE SAIR


        Normalmente é a monografia que, após ser concluída, pode ter um artigo,
extraído de seu corpo de texto. Como o leitor já deve ter notado, esta é uma
monografia em tempo real. Neste exato momento, estou no dia 22/03/2006, ou seja,
a nove dias do final do prazo.

        Portanto, dado a urgência, a partir do final deste segundo interlúdio, estarei
expandindo o texto de um artigo escrito em setembro de 2005, para o I Congresso
Gaúcho e Sul Brasileiro de Medicina de Família e Comunidade.

        O artigo “O impacto da adoção da isonomia salarial e valorização da formação
profissional (IS&VP) no Programa de Saúde da Família” possui uma narrativa
completamente imbricada com os fatos que ocorreram de dezembro de 2003 a
janeiro de 2005.

50
   Isonomia aponta para salário, salário para dinheiro, dinheiro para mercado, por isso o “&” comercial
na sigla.
51
   O Grifo é meu. Trecho citado pelo deputado pernambucano Roberto Freire, em crítica ao Programa
Fome Zero, do governo federal.
99


      Vale a regra temporal: para que o leitor possa se orientar, o texto do artigo
estará no formato de letra Times New Roman enquanto as inclusões escritas a partir
de agora estarão no formato de letra Arial.

      Nesta altura do curso de preceptores, estávamos estudando o Planejamento
Estratégico Situacional – PES de Carlos Matus (1994) e pensando qual seria a
melhor atividade prática para sedimentar estes conhecimentos, quando a Benildes
entra na sala de aula dizendo que o projeto do PSF para o município havia sido
aprovado no CMS com IS&VP e o EM planejava encaminhar uma proposta de
projeto contrariando esta situação.

      Contextualizando a situação: estávamos no final do curso, o grupo de
participantes já se sentia naturalmente engajado na construção da RIS.

      Nas discussões o PSF era visto como uma importante ferramenta capaz de
realizar a terraplanagem necessária para o início da RIS, ou seja, um instrumento de
alteração de modelo de atenção em saúde.

      Um prolongado embate político entre o EM e o CMS, possivelmente se
estenderia ao Legislativo Municipal - LM, atrasando sine die a implantação do PSF.

      Contextualizando minha participação: venho de uma residência onde trabalhei
em condições inóspitas (Morro da Cruz - POA) com mais duas colegas médicas e
cinco colegas de outras profissões (enfermagem, odontologia, nutrição, psicologia e
serviço social). Todos residentes, todos com nível superior, todos recebendo a
mesma bolsa.

      Durante dois anos, pude perceber qual era a capacidade de resolução de um
médico sozinho em comparação com a de uma equipe de profissionais de saúde.

      Conforme explicitado na dinâmica do paciente in(ter)disciplinado, é impossível
fazer integralidade com apenas uma profissão, extremamente difícil com duas e
nada fácil com três (alguém pensou no PSF?).

      Certo, existem regras de mercado que, conforme veremos no artigo que
segue, são estruturas genotípicas bastante sedimentadas e muito difíceis de serem
alteradas. Mas nada é impossível.
100

       A bandeira da distribuição da renda é como a bandeira do combate a fome.
Conforme Duncan (2004), a fome é menos prevalente que a desnutrição crônica,
que por sua vez é menos prevalente que a miséria.

       Assim como a fome é um subproduto da miséria, o dinheiro é um subproduto
do poder. Apenas atirar dinheiro aos menos favorecidos é como apenas jogar
comida aos famintos, ou seja, uma solução paliativa, imediatista e populista.

       O termo “apenas” significa que não excluo ações de caridade como
necessárias, mas que são insuficientes em si só e, em alguns casos, até
iatrogênicas, como bem diz a letra da música acima.

       Distribuir renda passa, portanto pela distribuição do poder. Ao lutar pela
IS&VP, algo que faço até hoje, apesar de acreditar que sou o único médico em SM
que faz isso, usei o poder e a influência da minha categoria profissional para
empoderar outras profissões.

       Lutar pelo SUS não é uma questão apenas médica, é uma questão de todas
as áreas de saúde. Uma luta que precisa de grupos fortes para ser vencida. Cito a
fala dos integrantes da Comissão Multiprofissional de Saúde que lutou pela IS&VP
(2003):

                    Espírito de equipe: embora todos os brasileiros sejam iguais perante o
                    estado, a grande maioria dos problemas de nosso país está ligada à extrema
                    riqueza de poucos em relação à extrema miséria de muitos. Todos (médicos,
                    enfermeiros, cirurgiões-dentistas, etc.) são profissionais de nível superior e
                    totalmente capacitados dentro de suas áreas profissionais. O
                    comprometimento está muito menos vinculado ao valor do salário do que a
                    não diferenciação salarial. A eliminação das diferenças valoriza os
                    profissionais e fortalece o sentimento de união. Equipes integradas são
                    extremamente mais produtivas e resolutivas do que profissionais isolados em
                    seus consultórios



       Felizmente, a implantação da IS&VP ocorreu antes da caça às bruxas do ato
médico.

       Quanto à lei do ato médico, numa primeira instância eu era contra a lei,
depois passei a vê-la como uma disputa mercadológica e hoje a considero uma
discussão fútil.

       Por esta época, eu havia ganhado mais uma importante aliada, a cirurgiã-
dentista, especialista em educação, saúde mental coletiva, saúde pública, formação
101

de consultores e mestra em administração Nara Rúbia Zardin. A Nara juntou-se ao
grupo, quando formamos a equipe de discussão da ênfase de GSSS. Finalmente
alguém para falar sobre magia e meditação.

      Voltando a questão da IS&VP no Curso de Preceptores, sensibilizados pela
Benildes, alguns participantes do curso resolveram tomá-la como exercício do PES,
conforme veremos no artigo que segue.

      Fim do Interlúdio II



      12.2            O impacto da adoção da isonomia salarial e valorização
                      da formação profissional (IS&VP) no Programa de Saúde
                      da Família


             12.2.1          Autores do artigo:




     Carlos André Aita Schmitz1,2
     Benildes Maria Mazzorani2
     Nara Rúbia Zardin2
     Fabiane Paz1
     Adriane Fleig1
     Adriana Viana Sobrosa2
                                            1
     Joziane de Assunção Nobre2                 Prefeitura Municipal de Santa Maria
     Luiz Carlos Carneiro Pereira2          2
                                                Faculdade Santa Clara




             12.2.2          Introdução do artigo


      Em dezembro de 2003 uma comissão multiprofissional - CM oriunda de um curso de
formação de preceptores (SCHMITZ, 2004), usando o método do Planejamento Estratégico
Situacional - PES (MATUS, 1994), influenciou fortemente a adoção da isonomia salarial e
valorização da formação profissional-IS&VP no Programa de Saúde da Família - PSF do
município de Santa Maria-RS.
102

       Passados 16 meses da implantação do PSF, faz-se uma descrição dos eventos da época
e uma proposta de avaliação do impacto da IS&VP.




               12.2.3        Objetivo do artigo


       Descrever o processo de implantação da isonomia salarial e valorização profissional
sob o prisma do Planejamento Estratégico Situacional.




               12.2.4        Metodologia do artigo


       Delineamento do estudo: Estudo descritivo exploratório.

       Segundo critérios de pesquisa documental referidos por Lakatos (2001), foram
resgatados os seguintes documentos: Projeto de Expansão e Consolidação da Saúde da
Família - PROESF (Secretaria de Município da Saúde - SMS, 2003); atas (Conselho
Municipal de Saúde - CMS, 2003a, 2003b, 2003c, 2003d); proposta da CM (CM, 2003); Lei
Municipal 4721/03 (Câmara de Vereadores - CM, 2003).

       Destes documentos, foram extraídos os fragmentos que contextualizam a implantação
da IS&VP e os embates políticos ocorridos na época.

       Através das listas de classificados dos três processos seletivos do PSF (jan/04, jul/04 e
fev/05) e do atual quadro funcional fornecidos pelo Setor de Recursos Humanos da SMS,
foram montadas três tabelas demonstrativas da evolução do quadro de recursos humanos no
decorrer da implantação do PSF.

       A discussão dos resultados é feita à luz do PES, que, na época, foi utilizado como
estratégia de ação.




               12.2.5        Resultados do artigo
103

                          12.2.5.1         Extratos documentais


        Os extratos documentais serão apresentados em ordem cronológica com o seguinte
formato:



        n)<órgão de origem> / <documento> / <data ou período> / <descrição de contexto>

        <extrato>.




        1)Secretaria de Município da Saúde / Projeto de Expansão e Consolidação da Saúde da
Família / Agosto de 2003 / Primeira menção à IS&VP.

                     (...)Previsão de remuneração:

                     -Profissionais de nível superior: Médico, Enfermeiro, Odontólogo 52 ;
                     Remuneração Bruta: R$ 2.500,00.
                     Está, poderá ser acrescida de 20% para os titulados, em Cursos reconhecidos, de
                     Especialização em Saúde Pública, Coletiva e ou Saúde da Família (360 hs no mínimo); e ou
                     40% para os titulados em Cursos de Residência Integrada em Saúde Coletiva e ou similar.
                     Estes profissionais poderão atingir uma remuneração bruta de até R$ 3.500,00.



        2)Conselho Municipal de Saúde / Ata da reunião ordinária / vinte e um de agosto de
dois mil e três / Aprovação do PROESF, incluindo a IS&VP.

                     (...)RESOLVE: aprovar o Projeto de Expansão e Consolidação da Saúde da
                     Família/PROESF(...)



        3)Conselho Municipal de Saúde / Ata da reunião ordinária / quatro de setembro de
dois mil e três / Aprovação do Curso de Preceptores.

                     (...)Curso de Educação em Saúde Pública(...) Carlos André Aita Schmitz, Médico de
                     Família, apresentou o curso, tendo como objetivo formar equipes multiprofissionais(...)
                     com a finalidade de implantar uma residência acadêmica integrada em saúde coletiva(...) A
                     plenária do CMS aprovou por unanimidade(...)RESOLVE: aprovar a realização do Curso
                     de Educação em Saúde Pública, voltado para formação de Preceptores (...)



        4)Conselho Municipal de Saúde / Ata da reunião ordinária / seis de novembro de dois
mil e três / Choque entre o Executivo Municipal - EM e o CMS.

52
  Apesar de muito utilizado, o termo “odontólogo” não existe em nenhum documento oficial da odontologia. Os
formandos do curso de odontologia recebem o título de cirurgiões-dentistas.
104

                    (...) o Executivo Municipal alega que havendo a isonomia entre os cargos de nível superior,
                    o valor da folha de pagamento ficaria muito elevado, o que causou grande discussão na
                    plenária; e esta RATIFICOU sua posição(...) RESOLVE: aprovar a manutenção do projeto
                    original de Expansão e Consolidação da Saúde da Família/PROESF (...), mantendo a
                    isonomia salarial entre os profissionais de nível superior.



          5)Comissão Multiprofissional / Proposta de isonomia / 3 de dezembro de 2003:
Comparação da proposta do EM com a proposta da CM, apresentação de valores salariais
mais atrativos e argumentação. 53



                    (...)
                    A proposta que atualmente tramita nos órgãos competentes está formatada com salários
                    básicos diferenciados para médicos e enfermeiros, contando com acréscimos não
                    cumulativos de 20% e 50%, respectivamente para Especialização em Saúde da
                    Família/Saúde Pública e Residência em Medicina de Família e Comunidade/Residência
                    Integrada em Saúde Coletiva.

                    Médicos:

                    Básico:                         R$ 3.000,00
                    20% para especialização:        R$ 600,00                 R$ 3.600,00 *
                    50% para residência:            R$ 1.500,00               R$ 4.500,00 *

                    * Valor básico com o acréscimo.

                    Enfermeiros e outros profissionais de nível superior:

                    Básico:                         R$ 2.000,00                        - R$ 1.000,00 **
                    20% para especialização:        R$ 400,00         R$ 2.400,00 *    - R$ 1.200,00 **
                    50% para residência:            R$ 1.000,00       R$ 3.000,00 *    - R$ 1.500,00 **

                    * Valor básico com o acréscimo.
                    ** Diferença em relação ao salário dos médicos.

                    Segundo o entendimento desta comissão e baseado nos argumentos que serão tecidos na
                    seqüência, o desenho ideal da proposta de vencimentos deve ser isonômico, contando com
                    acréscimos não cumulativos de 34% e 67%, respectivamente para Especialização em Saúde
                    da Família/Saúde Pública e Residência em Medicina de Família e Comunidade/Residência
                    Integrada em Saúde Coletiva, conforme esquema abaixo:

                    Básico:                                  R$ 3.000,00 *
                    34% para especialização:                 R$ 1.020,00               R$ 4.020,00 **
                    67% para residência:                     R$ 2.010,00               R$ 5.010,00 **

                    * Para todos os profissionais de nível superior
                    ** Valor básico com o acréscimo.

                    Serão apresentados argumentos de base política, filosófica e financeira.

                    Base política:
                        • Inovação política(...)
                        • Risco político(...)
53
     A proposta completa está no Anexo F.
105

                     •    Consenso municipal: uma proposta isonômica, defendida pelo poder executivo,
                          pelo Conselho Municipal de Saúde e por grupos multidisciplinares de
                          trabalhadores em saúde evita desgastes políticos desnecessários e garante a
                          governabilidade (...)
                 Base filosófica:
                     • Comprometimento: vencimentos condignos, vinculados à formação profissional,
                          permitem um trabalho transparente, com cumprimento de horário, de atividades e
                          de responsabilidades;
                     • Espírito de equipe(...)Todos (médicos, enfermeiros, cirurgiões-dentistas, etc.) são
                          profissionais de nível superior e totalmente capacitados dentro de suas áreas
                          profissionais. O comprometimento está muito menos vinculado ao valor do salário
                          do que a não diferenciação salarial.(...);
                     • Alteração de modelo de atenção(...);
                     • Estímulo à formação profissional, seleção de perfil e chamamento profissional:
                          (...)valorização salarial por níveis crescentes de formação profissional(...) atrairá
                          profissionais altamente especializados, de várias áreas, de um centro formador que
                          é referência nacional há quase três décadas (Porto Alegre), e d) fortalecerá as
                          iniciativas locais em andamento que possibilitarão ao município de Santa Maria
                          tornar-se um centro regional de formação de recursos humanos para o SUS
                          [Sistema Único de Saúde];
                 Base financeira:
                     • Manutenção do atrativo salarial:(...) teto salarial de R $ 5.000,00 (...)
                     • Relação custo/benefício:(...)
                     • Impacto financeiro:(...)



       6)Conselho Municipal de Saúde / Ata da reunião ordinária / quatro de dezembro de
dois mil e três: Conciliação entre o Executivo Municipal e o CMS.

                 (...)O Sr. Prefeito recebeu os profissionais de saúde(...) ficou sensibilizado com a
                 solicitação e determinou a retirada do Projeto do PSF da Câmara Municipal de Vereadores,
                 para retificar colocando a isonomia.



       7)Câmara de Vereadores / Lei Municipal Nº 4721/03 / 17-12-2003 / Consenso entre
os poderes. Note-se que do lançamento da proposta da CM até a aprovação da lei
transcorreram-se apenas 14 dias.

                 (...)Prefeito Municipal(...)FAÇO SABER(...) que a Câmara de Vereadores aprovou e Eu
                 sanciono e promulgo(...)

                 Art. 4º. Para ingresso e permanência no Programa de Saúde da Família será exigido aos
                 profissionais de nível superior curso de especialização e ou residência nas áreas de Saúde
                 da Família, Saúde Pública ou Saúde Coletiva.

                 Parágrafo único – Na ausência de profissionais com estes requisitos completos, poderão ser
                 admitidos outros, com experiência mínima comprovada de 02 anos em serviços públicos de
                 atenção básica, desde que apresentem comprovação de matrícula em até 90 dias, a contar da
                 data do ingresso no programa, bem como comprovação de freqüência regular em curso de
                 especialização nas áreas de Saúde da Família, Saúde Pública e/ou Saúde Coletiva.

                 Art. 7º. A remuneração básica (...) será a seguinte:
                       - Médico..................... R$ 3.000,00
                       - Enfermeiro...............   R$ 3.000,00
                       - Odontólogo..............    R$ 3.000,00 (...)
106


               Art. 9º. Todos os profissionais lotados no programa receberão gratificação especial, desde
               que preencham os requisitos abaixo:
               34% (...) para os que tiverem curso superior, com titulação em curso de especialização em
               Saúde Pública, Saúde Coletiva ou Saúde Familiar, com carga horária igual ou superior a
               360 horas;
               67% (...) para os que tiverem curso superior, portadores de residência integrada em Saúde
               Coletiva, residência em Medicina de Família e Comunidade e Residência em Medicina
               Geral Comunitária, com carga horária igual ou superior a 2.800 horas anuais. (...)




                    12.2.5.2         Tabelas funcionais


Tabela 4 - Quantidade de profissionais por área de atuação, classificados
nos três processos seletivos do PSF.
 Área                  Jan/2004*        Jul/2004       Fev/2005**
 Medicina                   9               6               11
 Enfermagem                44              16              106
 Odontologia                0               6               37
Fonte: Setor de Recursos Humanos – Secretaria de Município da Saúde.
Notas:*Neste primeiro processo não estavam previstas as equipes de saúde bucal.
      **A maioria dos profissionais aprovados nesta seleção ainda aguarda chamada.
     Quatro deles são provenientes do Curso de Formação de Sanitaristas da Escola de
     Saúde Pública-RS.

Tabela 5 - Perfil profissional do PSF em julho de 2005, considerando
graduação, especialização em Saúde Coletiva e Residência Integrada em
Saúde ou Residência em Medicina de Família e Comunidade.
 Área            Graduação Especialização Residência          Totais
 Medicina             6              5              5           16
 Enfermagem           2             11              3           16
 Odontologia          1              3              1            5
 Totais               9             19              9           37
Fonte: Setor de Recursos Humanos – Secretaria de Município da Saúde.

Tabela 6 - Evasões até julho de 2005, considerando graduação,
especialização em Saúde Coletiva e Residência Integrada em Saúde ou
Residência em Medicina de Família e Comunidade.
 Área            Graduação Especialização Residência        Totais
 Medicina            2              2               2         6
 Enfermagem          0              1               0         1
 Odontologia         0              1               0         1
Fonte: Setor de Recursos Humanos – Secretaria de Município da Saúde.



           12.2.6           Discussão do artigo



                    12.2.6.1         A trajetória:
107




       Ao discutirmos a adoção da IS&VP no PSF de Santa Maria é importante ressaltar que
o grupo de colaboradores que pensou o PSF local o tinha, além de ferramenta de
reestruturação do sistema, como um meio para se atingir a implantação de uma Residência
Integrada em Saúde - RIS.

       Conforme se constata no extrato 1, o marco inicial da IS&VP é lançado pelos técnicos
da SMS na redação do PROESF local que é aprovado, no seu conjunto, pelo CMS em agosto
de 2003 (extrato 2). Tudo indica que, neste primeiro momento, a IS&VP passaram
despercebidas e sem maiores discussões.

       Após várias resistências políticas, é iniciado, em setembro de 2003 (extrato 3) o I
Curso de Educação em Saúde Pública Voltado Para a (De)Formação de Preceptores
(SCHMITZ, 2004). Este curso, de caráter interinstitucional e multiprofissional, já vinha sendo
idealizado desde o início de 2003 e reuniu 30 profissionais de 14 áreas e de quatro instituições
de Santa Maria, aumentando e sedimentando o grupo de colaboradores.

       O curso objetivou o início da formação de grupos multiprofissionais capazes de atuar
na reformulação do modelo local de atenção à saúde e no projeto e implantação de uma RIS.

       Neste ponto, é importante citarmos a teoria da produção social da saúde (Matus,1994)
que enxerga uma ação em saúde como um jogo (ou sistema) regido por regras
(genoestruturas), que foram definidas em outros jogos e são de difícil mutabilidade. Os atores
deste jogo apresentam acumulações positivas ou negativas (fenoestruturas) que representam
suas potencialidades ou capacidades para a produção de jogadas. As jogadas ou fluxos
(fenoproduções) são ações ou movimentos que irão influir nas fenoestruturas ou até mesmo
nas genoestruturas.

       Dentro desta ótica, a reestruturação de um modelo de atenção em saúde é, pois, uma
forte mudança genoestrutural que requer acumulações (e distribuição) de poder para outros
atores que não os habitualmente fortalecidos por um modelo hegemônico.

       Em novembro de 2003, durante a execução do curso, como resposta à primeira jogada,
o modelo hegemônico automaticamente responde na forma de resistência, como pode ser
visto no extrato 4.

       O EM, assessorado por profissionais de saúde (todos não médicos), assume que os
médicos do PSF devem (como definido pelo mercado) ganhar mais que os demais
108

profissionais de nível superior, entrando em choque com uma deliberação do CMS (principal
nó crítico) e criando o risco de adiamento sine die da implantação do PSF.

       É neste ponto que alguns profissionais do acima citado curso, por acaso encerrando o
módulo de PES, decidem intervir criando uma Comissão Multiprofissional de Trabalhadores
de Saúde-CM, pois enxergavam o PSF como um caminho para a RIS.

       A partir deste ponto da narrativa, pode-se contar o tempo em dias.

       A CM é formada em um sábado, dia 29 de novembro de 2003 e tem sua primeira
reunião no domingo (30/11/03), fazendo parte dela quatro dos cinco médicos de família da
cidade, bem como duas enfermeiras e um cirurgião-dentista. O grupo entendeu a adoção da
IS&VP como uma fenoprodução (geração de um fato) capaz de produzir não apenas
distribuição de poder como de atrair profissionais dos centros formadores de saúde pública de
Porto Alegre, gerando uma massa crítica local em direção às mudanças desejadas. Além
disso, a IS&VP destacaria Santa Maria de forma diferenciada, não só politicamente, como
tecnicamente num contexto de inovação e mudança solicitado pela agenda contemporânea do
SUS.

       Estando o problema delimitado e descrito, levando-se em conta o cenário de
proximidade de uma campanha eleitoral, fez-se o levantamento e a análise dos principais
atores envolvidos e de sua inclinações perante o fato em questão: Secretaria de Município da
Saúde-SMS (pró-IS&VP), EM (não isonômico), CMS (pró-IS&VP) e Câmara de Vereadores-
CV (indefinida). Ficou também definida a estratégia de ação e o plano geral de argumentação.

       Na segunda-feira (1º/12/03), de posse dos primeiros argumentos, a CM tem acesso à
SMS que entra em contato telefônico com o EM. A notícia de que quatro médicos estavam
advogando pela IS&VP sensibilizou o EM que suspende temporariamente o envio de uma
proposta não isonômica ao CMS e que configuraria um embate entre os dois.

       Na terça-feira(2/12/03), a SMS libera seus técnicos para, junto com a CM, calcular
uma nova proposta que seja isonômica, valorize a formação profissional e tenha valor de
mercado (extrato 5).

       Mesmo com toda a sensibilização, na quarta-feira (3/12/03) a SMS dirige-se em
audiência ao EM, levando duas propostas para serem apreciadas: a proposta isonômica da CM
e uma proposta alternativa, não isonômica (extrato 5). A CM assume um plano de
109

contingência e consegue participar, na ultima hora, da audiência, garantindo a aprovação da
proposta isonômica pelo EM.

       A nova proposta é imediatamente submetida ao CMS que a aprova em reunião
preliminar e a remete para plenária na quinta-feira (04/12/03), onde também é aprovada
(extrato 6), passando o EM à redação da lei a ser enviada a CV.

       O próximo passo foi a Comissão de Saúde - CS da CV, no dia 9/12/03, terça-feira.
Adotou-se o mesmo procedimento dos passos anteriores, com a presença completa da CM
fazendo a leitura e defesa da proposta. A CS opta por defender a proposta e esta é
encaminhada para a primeira avaliação em plenário em 11/12/03 (quinta-feira), novamente
com a defesa da CM, sendo aprovada por unanimidade.

       A segunda avaliação e aprovação ocorre na terça-feira dia 16/12/03 com a redação
final da lei datada no dia seguinte (extrato 7).

       Portanto, a partir do lançamento oficial da proposta em 3/12/03 até a promulgação da
lei em 17/12/03, passaram-se céleres 14 54 dias o que aponta para um forte interesse em todos
os atores envolvidos.



                        12.2.6.2       Os fatos seguintes:


       O trabalho da CM permitiu a criação de um consenso municipal que uniu SMS, EM,
CMS e CV, fato de ocorrência rara no município. Isto foi alcançado graças a forma clara de
apresentação da proposta, com bases filosóficas, políticas e financeiras bem definidas (extrato
5). O fato de, na época, o PSF, apesar da proximidade de um ano eleitoral, ainda não ser visto
como uma ferramenta política para a re-eleição do EM, também colaborou, pois todos os
seguimentos ainda enxergavam possibilidades de contabilização política.

       Percebendo a força política do PSF, o EM afasta o grupo técnico de características
apartidárias do foco das decisões em favor de um grupo partidário fechado. Este novo grupo
passa a trabalhar a implantação do PSF em função das eleições de 2004.




54
  Catorze dias também foi o tempo utilizado para planejamento, coleta dos dados e confecção deste
artigo.
110

       O primeiro processo seletivo acontece em janeiro de 2004, fazendo com que vários
integrantes do grupo técnico afastado assumam posições de trabalho na ponta, numa tentativa
de fortalecer o PSF e manter viável a possibilidade de implantação da RIS.

       O processo contou com a avaliação curricular, onde a formação profissional e tempo
de experiência específicos em saúde pública foram privilegiados e com a realização de uma
entrevista coletiva, simulando uma situação de Atenção Primária em Saúde - APS com o fim
de avaliação do perfil profissional.

       A banca de avaliação contou com a presença de representantes da SMS, do CMS e da
CV.

       Os políticos de oposição também percebem a força política do PSF e, apesar de terem
participado da banca de seleção, instauram a CPI do PSF com o objetivo de impugnar o
processo e com a justificativa de que haveriam irregularidades no processo seletivo. Após
várias investigações e depoimentos a CPI perde crédito por afirmar em seu relatório final que
restavam dúvidas quanto à regularidade do processo seletivo, sem apresentar maiores
evidências, ou seja, o mesmo que havia sido utilizado como justificativa para a implantação
da CPI.



       12.3             INTERLÚDIO III – DADOS QUE NÃO CONSTARAM
                        NO ARTIGO


                                       “Se um dos vícios do sistema privado é preterir a produção
                                       real de saúde em favor do lucro, o mesmo pode ser dito do
                                       sistema público em função do voto.” (eu mesmo, 2005)




               12.3.1         UM TRIPÉ MANCO


       O tripé que havia perdido seu pé estadual agora via balançar o pé municipal.
Discutir a RIS havia deixado de ser uma prioridade em função da re-eleição do EM.
Isso ficou óbvio quando tentei ir para o VI Congresso da Sociedade Brasileira de
Medicina de Família e Comunidade. Não recebi uma dispensa de apenas cinco dias,
apesar dos seguintes argumentos:
111


            •   O posto da Vila Maringá, para onde fui designado, nem sequer estava
                operacional, ainda estava em construção;
            •   o congresso teria uma mesa redonda e um grupo de discussão
                exclusivo para residências em Medicina de Família e Comunidade;
            •   eu    estaria    representando       a    administração      municipal      com     a
                apresentação de três trabalhos em seqüência e teria 45 minutos para
                falar sobre SM 55 .


       Felizmente o Nílson conseguiu ir ao congresso. Além de apresentar os
trabalhos, fez um justo protesto por todos nós improvisando, com fita isolante, uma
tarja preta sobre o brasão de SM.

       Apesar disso, continuamos trabalhando. Os sobreviventes do curso de
preceptores receberam algum reforço dos profissionais selecionados para o PSF.
Novos contatos universitários e municipais foram realizados, a fim de montar, pelo
menos três grupos de trabalho, um para cada ênfase da RIS. Conquistamos uma
vaga no CMS e passei a ser um dos três representantes dos trabalhadores do PSF
no conselho.

       Também precisávamos de um pé para substituir a perda estadual. Para tanto,
eu o Manoel, o Nilson e a Rose, invadimos, sem convite, a festa de aniversário de
Ricardo Ceccim, ex-diretor da ESP, agora diretor do Departamento de Gestão da
Educação na Saúde – DEGES, da Secretaria de Gestão do Trabalho e da Educação
na saúde - SGTES, do MS. Aproveitando que o Manoel e o Nílson tinham intimidade
para tal invasão, durante a festa, sob protesto dos convidados, realizamos uma
reunião de mais de uma hora e meia, apresentando para o Ricardo a proposta da
RIS de SM.

       Granjeamos o MS como aliado, com direito a comes e bebes após a
conversa. Com o apoio de um MS do mesmo partido do EM, a proposta da RIS
voltou a ganhar corpo até o ponto de tornar-se uma proposta de governo e passar a
freqüentar os palanques eleitorais. Desde que, é claro, não atrapalhasse a
implantação do PSF.

55
  No eixo em que me inscrevi, dos 40 trabalhos inscritos, 7 foram selecionados para apresentação
oral (15 minutos cada), deste sete, três eram meus. Os três trabalhos inscritos foram sobre o curso de
preceptores, o geoprocessamento e o IVAP.
112

       Aqui, mais uma vez, eu caía no erro de seguir os ventos partidários.
Estávamos em ano eleitoral. O Ricardo havia negociado com a CNRM um prazo
extraordinário para envio de programas de residência médica de interesse do MS
(MFC, psiquiatria e MPS) até outubro de 2004 e queria o início da RIS em fevereiro
de 2005.

       Logo, tínhamos menos de oito meses para preparar tudo:

           •   negociação política entre UFSM e PMSM;
           •   articulações e formação de grupos técnicos de trabalho;
           •   projeto da RIS;
           •   projeto da Residência de Medicina de Família e Comunidade;
           •   preparação de preceptores;
           •   definição e preparação de espaço físico;
           •   envio de um pedido de credenciamento provisório para a Comissão
               Regional de Residência Médica - CRRM;
           •   visitação das instalações das residências médicas pela CRRM;
           •   elaboração do processo seletivo e do edital de seleção;
           •   submissão do edital de seleção à CRRM;
           •   realização do processo seletivo


       Desta vez até que não foi um erro tão grande. Se em 2003 não havia massa
crítica e implantar uma RIS sozinho era impossível, agora eu tinha muitos
colaboradores. Seria extremamente difícil, mas não impossível. Tudo teria que ser
feito com muita rapidez.

       Se antes sofremos os efeitos colaterais de uma guerra-fria partidária pelo
controle do PEPS, agora estávamos 56 sob o fogo cruzado de uma guerra-fria
intrapartidária, pois havia, na SMS, um antagonismo de forças entre uma secretária
de saúde que apoiava a RIS e um grupo recém chegado à SMS e que havia se
apropriado do projeto do PSF.




56
   O leitor já deve ter notado que, há algum tempo, em detrimento do “eu”, o “nós” aparece com mais
freqüência na narrativa. A esta altura o grupo de simpatizantes sinceros da idéia da RIS já era
bastante extenso (ver colaboradores).
113

       Como eu já havia citado no interlúdio I, o fato de alguém se apropriar de um
projeto alheio significa, pelo menos, que este alguém acredita na própria
competência de implementar a idéia.

       Por via das dúvidas, os profissionais selecionados para o PSF uniram forças
para garantir a correta implantação do programa, como pode ser visto no tópico e
                          57
começa a surgir o PSF.



              12.3.2           NO FRESCOR DO VERÃO DE 2004 – A PRIMEIRA
                               GELADEIRA


       Neste conturbado período em que nosso grupo foi afastado do foco de
discussões 58 do PSF, fui exilado na Vila Maringá, uma área extremamente carente
com mais de cinco mil pessoas, onde historicamente, cada gestão construía casas
populares para doar a famílias que estivessem em situação de risco ou ocupando
lugar em alguma região mais nobre.

       Obviamente, ficava bem longe do centro da cidade (Figura 25). Era (é) um
depósito de famílias selecionadas e, portanto, poli-problemáticas que, antes da
chegada do PSF, tinham que caminhar cerca de quatro quilômetros de chão batido
(por vezes lama), às 4 horas da manhã, para disputar 16 fichas de atendimento com
a comunidade do posto mais próximo, que não era tão próximo. O leitor pode
imaginar a quantidade de pessoas que não tinha acesso algum à saúde.

       Minha jornada de trabalho na vila era de 9h a 12h diárias. Era impossível
fazer menos que isto numa equipe em implantação, onde eu tinha de atender de 40
a 80 pacientes por dia e, entre eles, pelo menos umas cinco ou seis tragédias
sociais (ver Apêndice J). Contando o atendimento de toda a equipe, passavam até
150 usuários pelo posto, todos os dias, num movimento semelhante ao de um pronto
socorro.




57
   Alias, dada a atual configuração política local, tenho a franca convicção que o PSF de SM
consegue se manter única e exclusivamente pela capacidade de atuação e auto-gerenciamento das
equipes, apesar dos gestores.
58
   Como anteriormente já havia sido afastado do foco das discussões do PEPS.
114




Figura 25 - Vila Maringá: situação geográfica. As seis micro áreas da Vila Maringá e sua posição
em relação ao município.



       Eu, a enfermeira e especialista em saúde pública Cedalira de Oliveria Fracari,
a técnica de enfermagem e ex-agente comunitária de saúde Maria Solange Ribeiro e
mais quatro agentes comunitárias 59 iniciamos sem unidade de saúde. Mapeamos
toda a área enquanto reformavam a unidade. Depois trabalhamos sem móveis e
divisórias e quando saí, oito meses depois, ainda faltavam vários equipamentos.

       Foi um aprendizado incrível, tanto clínico quanto social, tanto pela qualidade,
quanto pela quantidade dos casos.



               12.3.3          RESSURGINDO DAS CINZAS (OU DA LAMA)


       Mas não desisti da RIS. Depois do expediente na vila, passava a trabalhar no
projeto, numa jornada semanal de até 80 horas, afinal era necessário cumprir aquela
lista de tarefas. Mesmo com uma prefeitura municipal claudicante em relação ao
projeto, fortaleci apoios dentro da UFSM e junto ao MS. Participei de grupos
nacionais de discussão e consegui a implantação oficial de uma comissão
interinstitucional, envolvendo a UFSM e PMSM.




59
  Alessandra, Rose, Luciane e Nilse. O Márcio só seria contratado mais tarde e o sexto agente
apenas no final de 2005.
115

          O projeto foi aprovado por unanimidade no CMS e adotou a denominação:
“DO TRIPÉ AO QUADRILATÉRO: PROJETO DE IMPLANTAÇÃO DA RESIDÊNCIA
INTEGRADA EM SAÚDE – MUNICÍPIO DE SANTA MARIA/RS”.

          Baseados em Ceccim e Feruerker (2004), estávamos conseguindo fazer
sentar na mesma mesa de negociação o EM, através de sua SMS, uma importante
unidade de ensino, a UFSM, o controle social, através dos conselheiros do CMS, e
os responsáveis pela atenção, aqui, com a vantagem de unir dois pólos antagônicos:
os trabalhadores da rede municipal e do PSF.

          Chegamos a um verdadeiro quadrilátero da gestão, ensino, atenção e
controle social. Uma dos efeitos deste movimento se concretizou através da
comissão de trabalho que definiu a estrutura de gestão da RIS.

          A partir daí consegui ser deslocado para uma equipe volante que dava
cobertura as outras equipes no caso de falta de médico, o que me dava um turno
livre para trabalhar na RIS. Foi positivo, apesar da tristeza de ter que sair da
comunidade na qual desenvolvi um grande vínculo, a Vila Maringá.

          Apesar dos pesares, tudo parecia ir de vento em popa. Já tínhamos formado
os três grupos de trabalho específicos para cada ênfase, numa grande rede de
colaboradores que trabalhava de forma gratuita para o município.

          E eis que passada a eleição municipal e re-eleita a situação a RIS saiu de
pauta. O grupo anti-RIS venceu a quebra de braço pela SMS e eu passei de
colaborador a pessoa não grata da noite para o dia. Pessoas que, antes da eleição
estimulavam e elogiavam publicamente a celeridade do processo, agora o tachavam
de “afobado” em conversas de corredor.

          Mais uma vez, o fato de eu não pertencer a nenhuma gangue, não ser filiado,
causava uma certa desvantagem. Fui removido de duas posições importantes:

          Em primeiro lugar, antes da RIS ser derrubada, com o argumento de que,
trabalhando na comissão de implantação da RIS, eu tinha uma função gestora e,
portanto, não poderia mais ser representante dos trabalhadores do PSF no CMS.

          Em segundo lugar, após a derrubada da Ilse 60 e da RIS, fui removido da
equipe volante (que por sinal foi extinta), onde eu tinha acesso e visão de todas as

60
     E olhe que se tratava do mesmo partido.
116

equipes e colocado na minha segunda geladeira, no frescor do verão de 2005, agora
na Vila Santos, onde a médica havia pedido demissão 61 .

       O pé municipal do tripé havia se retirado.

       Fim do Interlúdio III.



                       12.2.6.3        O impacto no perfil profissional do PSF:


       Após farta produção técnica e articulação política do grupo apartidário, a RIS
encontrava-se em vias de implantação em fevereiro de 2005, quando o EM retirou todo o
apoio sobre o projeto, invibializando-o apesar dos esforços da Universidade Federal de Santa
Maria - UFSM e do Ministério da Saúde - MS 62 .

       No entanto, a adoção da IS&VP estava atrelada a implantação da RIS, principalmente
no que diz respeito a manutenção do quadro médico, posto que um médico sem residência
poderia iniciar ganhando um salário básico de R$ 3.000,00, passar no processo seletivo da
RIS e, ao invés de receber uma bolsa de R$ 1.500,00, continuar com seu salário básico, para,
após dois anos de formação em seu próprio local de trabalho, passar a receber R$ 5.000,00.

       Este mecanismo possibilitaria o aproveitamento dos profissionais da rede local,
instrumentalizando-os para o novo modelo de atenção em saúde.

       A tabela 1 mostra a baixa procura de profissionais médicos em relação aos outros
profissionais, o que ocorreu também em função da exigência do edital de seleção em relação à
formação profissional e/ou ao tempo mínimo de serviço em saúde pública (2 anos).

       Por outro lado, podemos ver na tabela 2, que o número de egressos de programas de
residência em saúde coletiva, que estava estabilizado em três, há dez anos, sobe para nove
apenas dentro do PSF e para 14 considerando todo o município. Este salto ocorre exatamente
após a adoção da IS&VP, sendo importante considerar que estão em fase de espera, dentro do
último processo seletivo, mais quatro ex-residentes, todos, também, com titulação de
61
   Onde fui muito bem acolhido pela equipe e pela comunidade e onde permaneço no momento em
que escrevo estas linhas.
62
   Para piorar mais ainda a situação, este foi o período em que o surto esquizofrênico da discussão do
ato médico chegou ao seu auge. De ambos os lados da discussão as pessoas ouviam coisas que não
eram ditas e viam fantasmas inexistentes. Falar em residências para outras profissões era uma
heresia. Um médico defendendo isonomia, então, era uma traição à corporação. Cheguei a receber
conselhos nada velados de que, para o bem do meu registro profissional era interessante eu mudar
de discurso. O que obviamente não ocorreu.
117

Sanitarista, podendo-se atingir um total de 18 profissionais especialmente qualificados para a
Atenção Primária em Saúde-APS.

       A mesma tabela nos mostra outro aspecto positivo, reflexo da Lei Municipal 4.721/03:
temos 28 profissionais com pós-graduação em saúde coletiva, contra nove profissionais
apenas graduados ou com outra pós-graduação.

       Esta tabela também aponta para uma quebra de paradigma de mercado (genoestrutura),
pois existem vários enfermeiros e cirurgiões-dentistas (num total de 18) com salários
superiores aos de alguns médicos (seis).

       Estes últimos, por sua vez, não dispõe mais da perspectiva da RIS para equilibrar estas
diferenças, o que talvez explique a predominância de evasões na área médica, conforme
explicitado na tabela 3, mesmo de médicos com residência, pois estes últimos também
perderam a perspectiva de atuarem como preceptores da RIS.

       Como aspecto negativo da celeridade de formulação e implantação da lei é importante
considerar que esta declara (extrato 7) que especializações de 360 horas tem o mesmo valor
que a metade de uma residência de 5.800 horas.



                      12.2.6.4      Análise de cenários:


       Matus (1994) orienta a construção de cenários a partir de possibilidades futuras. No
caso da IS&VP podemos vislumbrar pelo menos três situações: uma favorável ou otimista,
uma central ou neutra e uma desfavorável ou pessimista, conforme demonstrado na tabela 4 e
discutido na seqüência.


Tabela 4 – Análise de cenários
        Variáveis            Cenário                   Cenário             Cenário
                            favorável                   neutro           desfavorável
Movimento                Apoio                   Inércia             Combate
Valorização profissional Mantida                 Mantida             Quebrada
Isonomia salarial        Mantida                 Mantida             Quebrada
Incorporação do PSF ao Anulada                   Afastada            Próxima
modelo hegemônico


       1 Cenário de tendência desfavorável:
118

       Apesar de não poder ser abandonada de todo, a implantação de uma RIS não pode
mais ser vislumbrada em curto prazo. A perda deste elemento de sustentação da IS&VP
somada à possibilidade de maiores evasões e à pressão de grupos médicos pode levar, num
primeiro momento à quebra da Valorização Profissional - VP.

       Por exemplo, a instituição de uma taxa de acréscimo salarial que contemplasse
pediatras, ginecologistas, médicos do trabalho ou médicos com outras especializações, com a
justificativa de incentivar sua permanência no PSF, quebraria, num primeiro momento o
princípio da VP em saúde coletiva.

       Mesmo a definição de um “número mágico” intermediário, menor que 67%, previsto
para profissionais com residência em saúde coletiva e maior que 34%, previsto para
profissionais com especialização em saúde coletiva (por exemplo, 40-50%), além de quebrar a
VP, feriria também o princípio da Isonomia Salarial - IS, posto que esta nova modalidade de
acréscimo favoreceria apenas os médicos.

       Por um lado o gestor teria a compensação imediatista de absorver funcionários que
não onerariam tanto a folha de pagamento, mas, por outro lado, Santa Maria estaria perdendo
o caráter de inovação na administração de seu sistema de saúde, conformando-se a um modelo
hegemônico, deixando de ser atraente para profissionais especialmente formados e deixando
de incentivar esta mesma formação nos profissionais já pertencentes aos seus quadros.

       Numa progressão gradativa e mais pessimista poderíamos vislumbrar a completa
assimilação e institucionalização do PSF ao modelo hegemônico, desconstituindo sua função
de elemento reestruturante.

       2 Cenário de tendência central:

       Apesar do município não ter condições, em curto prazo, de oferecer educação
permanente em níveis ideais, a manutenção inercial da IS&VP poderá vir a ocorrer.

       Neste cenário, o incremento de profissionais com formação específica continuaria
dependendo de centros externos, mantendo uma baixa, mas progressiva procura de
profissionais médicos pelas vagas.

       É um cenário viável, considerando que, atualmente, a maioria dos municípios está
renegociando o PROESF em função da dificuldade na consecução das metas estabelecidas,
principalmente no que diz respeito à implantação de novas equipes.

       3 Cenário de tendência favorável:
119

       Entendendo a IS&VP como uma importante conquista política, profissional e social, a
construção de um cenário que inclua a sua manutenção e a instauração da educação
permanente, levando a um sistema de alta qualidade passa, necessariamente, pela avaliação da
IS&VP.

       Uma possível proposta de avaliação com indicadores capazes de validar as vantagens e
as desvantagens da IS&VP poderia ser baseado, minimamente, nos critérios que balizaram a
sua adoção (extrato 5):

       3.1 Indicadores políticos que apontem em direção a governabilidade:

              3.1.1 Inovação política
              3.1.2 Risco político
              3.1.3 Consenso municipal


       3.2 Indicadores filosóficos que apontem na direção da reestruturação do modelo de
atenção à saúde (aprimorando-o):

              3.2.1 Comprometimento e espírito de equipe
              3.2.2 Estímulo à formação profissional
              3.2.3 Seleção de perfil e chamamento profissional
       3.3 Indicadores financeiros que qualifiquem a proposta como auto-portante:
              3.3.1 Manutenção do atrativo salarial
              3.3.2 Relação custo/benefício
              3.3.3 Impacto financeiro



       Seria, também importante a apreensão da experiência e das impressões dos
profissionais que estão trabalhando sob o regime da IS&VP, dentro da ótica e do escopo das
suas áreas de atuação, bem como da visão do controle social.

       Passo seguinte, ressalta-se a importância da veiculação interna (intra-SUS) e externa
(mídia) tanto do processo de implantação da IS&VP quanto da sua avaliação dado o impacto e
a importância destas propostas e a sua coerência com os princípios norteadores do SUS
(marketing educativo).
120

               12.2.7       Considerações finais do artigo


       Com a práxis da CM em relação ao PES, pelo enfoque de Matus (1994), houve uma
coerência entre teoria e prática e uma aplicação dos construtos legais condizentes com a
tendência contemporânea de gestão, proposta pela atual política de saúde em todos os seus
níveis e instâncias.

       Afastando-se da clínica médico-centrada e da gestão enfermeiro-centrada, a IS&VP é
uma ferramenta que valoriza o profissional de saúde de nível superior engajado na construção
do Sistema Único de Saúde. É uma ferramenta de distribuição e de equilíbrio de poder
(empoderamento) e de aumento de variedade e de densidade profissional, propiciando a
construção do conceito de equipe.



               12.2.8       Referências do artigo


SCHMITZ, Carlos André Aita et al. I Curso de educação em saúde pública voltado para a
(de)formação de preceptores. In: VI Congresso Brasileiro de Medicina de Família e
Comunidade, 2004, Rio de Janeiro. Anais. Rio de Janeiro, 2004.

MATUS, Carlos. PES, Guia de Análisis Teórico. Mimeo. Fundacion Altadir, Venezuela,
1994

LAKATOS, E.M; Marconi, M.A. Fundamentos de metodologia científica. 4.ed. São
Paulo:Atlas, 2001.

SANTA MARIA. Prefeitura Municipal. Secretaria de Município da Saúde. Projeto de
Expansão e Consolidação da Saúde da Família-PROESF. Santa Maria, 2003.

SANTA MARIA. Conselho Municipal de Saúde. Ata da reunião ordinária do dia vinte e
um de agosto de dois mil e três. Santa Maria, 2003.

SANTA MARIA. Conselho Municipal de Saúde. Ata da reunião ordinária do dia quatro
de setembro de dois mil e três. Santa Maria, 2003.

SANTA MARIA. Conselho Municipal de Saúde. Ata da reunião ordinária do dia seis de
novembro de dois mil e três. Santa Maria, 2003.

SANTA MARIA. Conselho Municipal de Saúde. Ata da reunião ordinária do dia quatro
de dezembro de dois mil e três. Santa Maria, 2003.
121

SANTA MARIA. Lei 4.721/03, de 17 de dezembro de 2003. Institui o Programa de Saúde da
Família em Santa Maria – PSF-SM, e dá outras providências. Câmara de Vereadores, Santa
Maria, 17 dez. 2003.
122




13    CONSIDERAÇÕES FINAIS - POR QUE O TRIPÉ
         DESPENCOU E LEVOU O QUADRILÁTERO
         JUNTO

      Não, ainda não acabou. As considerações finais do tópico anterior referiam-se
ao artigo da IS&VP.

      Para tentar sistematizar os acontecimentos e os desfechos narrados até aqui
manterei a argumentação de Mr. Hide (Figura 10) ao que somarei algo da Teoria dos
Jogos, a Teoria da Produção Social de Matus (1994) e alguns aspectos do postulado
de coerência de Testa (1992).



      13.1            DA FRAGILIDADE


      Quando eu fazia apresentações para angariar aliados e utilizava o discurso de
ações de curto prazo que levariam, ao mesmo tempo em que fortaleceriam, às
ações de longo prazo, utilizava, ironicamente, como que prevendo o futuro, uma
animação da montagem de um castelo de cartas (Figura 26).
123




                    Figura 26 - O Castelo de cartas. Em amarelo as
                    ações de curto prazo, em vermelho as de médio e
                    em verde as de longo prazo.
      Animação



      Realmente, um projeto de grande envergadura, contra-hegemônico e que
dependia de várias articulações entre vários atores e instituições não teria a
necessidade de nenhum Mr. Hide para ser derrubado. Na verdade bastou a união de
alguns monstrinhos menores.



      13.2         DOS JOGOS DE PODER E DAS PERDAS


      Neste ponto a Teoria dos Jogos é útil. Segundo Marinho (2002) baseando-se
nesta teoria, que representa a tomada de decisão por um jogador em função da
decisão que, supostamente, o outro jogador irá tomar, Nash tentou explicar o ponto
de equilíbrio entre cooperação e deserção (Teoria do Equilíbrio de Nash).
124

       O principal jogo da Teoria dos Jogos é o “Dilema do Prisioneiro”, na verdade
uma questão de decisão entre altruísmo ou egoísmo, e é descrito por Marinho
(2002) da seguinte maneira:

                        O Dilema do Prisioneiro é a situação em que dois comparsas são pegos
                        cometendo um crime. Levados à delegacia e colocados em salas
                        separadas, lhes é colocada a seguinte situação com as respectivas opções
                        de decisão:

                            •   Se ambos ficarem quietos, cada um deles pode ser condenado a
                                um mês de prisão;
                            •   Se apenas um acusa o outro, o acusador sai livre. O outro,
                                condenado em um ano;
                            •   Aquele que foi traído pode trair também e, neste caso, ambos
                                pegam seis meses 63 .

                        As decisões são simultâneas e um não sabe nada sobre a decisão do
                        outro. Considera-se também que os suspeitos irão decidir única e
                        exclusivamente de forma racional. O dilema do prisioneiro mostra que, em
                        cada decisão, o prisioneiro pode satisfazer o seu próprio interesse
                        (desertar) ou atender ao interesse do grupo (cooperar). O primeiro
                        prisioneiro pensa da seguinte forma: “Vou admitir inicialmente que meu
                        comparsa planeja cooperar, ficando quieto. Neste caso, se eu cooperar
                        também, ficarei um mês atrás das grades (um bom resultado); mas, ainda
                        admitindo a cooperação do meu comparsa, se eu desertar confessando o
                        crime, eu saio livre (o melhor resultado possível). Porém, se eu supor que
                        meu comparsa vai desertar e eu continuar cooperando, eu ficarei um ano
                        na cadeia (o pior resultado possível) e ele sai livre. Mas se eu desertar
                        também, eu ficarei somente seis meses preso (um resultado intermediário).
                        Eu concluo então que, em ambos os casos (se ele cooperar ou não),
                        sempre será melhor desertar, e é o que eu vou fazer.”

                        Acontece que o segundo prisioneiro pensa da mesma maneira e ambos
                        desertam. Se ambos cooperassem, haveria um ganho maior para ambos,
                        mas a otimização dos resultados não é o que acontece. Ao invés deles
                        ficarem somente um mês presos, eles passarão seis meses na cadeia para
                        evitar o risco de ficar um ano se o outro optar por desertar. Mais que isso:
                        desertando, cada parte tem a possibilidade de sair livre se a outra parte
                        cooperar.

                        A repetição do jogo, entretanto, muda radicalmente a forma de pensar do
                        prisioneiro (...). Dois comparsas de longa data terão uma tendência muito
                        maior à cooperação.

       Em SM tivemos um Grupo Apartidário Aberto – GA (comparsas jovens), que
ofereceu, em duas ocasiões, para dois diferentes Grupos Partidários Fechados -
GFs (comparsas velhos) a possibilidade de lucro mútuo na realização de tarefas
conjuntas:



63
  As três passagem ilustram, respectivamente, situações de ganha-ganha, ganha-perde e perde-
perde.
125


                   • A implantação do PEPS em direção a implantação da RIS;
                   • a implantação do PSF em direção a implantação da RIS.


       As regras para fazer parte do GA eram oferecer uma habilidade técnica
(intelectual ou braçal) e aceitar trabalhar de graça, tendo em vista uma remota
possibilidade de lucro financeiro futuro e uma grande possibilidade de realização
profissional, dando o projeto certo ou não (ou seja, um certo espírito de aventura).

       A regra para fazer parte do GF: ser filiado e ter compromisso com um partido
político.

       Em vista disso, a participação nos grupos era mutuamente exclusiva em
relação ao GF, não ocorrendo o mesmo em relação ao GA (o GF tinha trânsito livre,
de forma não recíproca, no GA). Por outro lado, o GA permitia-se ser
constantemente renovado por novos participantes 64 .

       O GF era um grupo instituído (armado com poder) e o GA era um grupo
instituinte (armado com querer).

       Esta aparente situação de fragilidade do GA perante o GF, a princípio
garantiria para o segundo sempre uma vantagem do tipo ganha-perde, posto que o
primeiro declarava sempre uma intenção de ganha-ganha. Na verdade, acabou
havendo uma situação de perde-perde 65 .

       Robert Kurz (1995) ilustra muito bem o conceito de cegueira situacional de
Matus (1994) ao dizer que “o poder deixa as pessoas estúpidas, muito poder as
deixa estupidíssimas”.

       Como eu havia citado no tópico alguns conceitos preliminares, não houve
nenhum preconceito de classe ou corporativo no GF que derrubou a RIS. Não foi
uma questão de médicos contra não médicos, afinal o sistema hegemônico é
mantido por todas as corporações. No segundo GF havia apenas um único médico.



64
   A primeira configuração do GA foi constituída por integrantes do Curso de Preceptores em 2003.
Em 2004 participantes da ESF recém implantada passaram a incrementar o GA que em 2005 foi
alimentado por integrantes das novas equipes de ESF e participantes do Curso de Formação de
Sanitaristas da ESP-RS. Obviamente, participantes de todas as configurações do GA também
integravam os GFs.
65
   É como uma luta de boxe que acaba em empate: todos apanham muito e ninguém ganha nada.
126

        O medo irracional dos integrantes dos GFs, talvez baseado numa estratégia
de ocupação de cargos (e medo de perder cargos), além de impedir a implantação
da RIS, excluiu toda uma gama de profissionais da discussão e implantação tanto do
PEPS quanto do PSF.

        Numa concepção imediatista, tanto UFSM, quanto MS e GA perderam em
função da deserção dos GFs que, se ganharam posições de poder num primeiro
momento, não as conseguiram manter nos doze meses seguintes a deserção.

        Isso acabou gerando uma situação de perde-perde que, incluindo os GFs,
atingiu inclusive a comunidade que necessita de saúde de qualidade e atendimento
integral e teve que se contentar com um PSF que não cresce e equipes prejudicadas
por uma gestão que jogou fora várias possibilidades de assessoria.

        Fica aqui a lição de Foucault (1992): “O poder deve ser analisado como algo
que circula, que funciona em cadeia e nunca é apropriado como uma riqueza ou um
bem.”



        13.3        DA COERÊNCIA, DA               DETERMINAÇÃO           E    DO
                    CONDICIONAMENTO


        Não pretendo entrar a fundo no postulado de coerência de Testa, mas vou me
apropriar de suas definições de determinação e condicionamento. Para Testa (1992)
a determinação é uma força positiva que estabelece limites dentro dos quais um
fenômeno deve ocorrer. Já o condicionamento é uma força negativa que fixa limites
fora dos quais um fenômeno não pode ocorrer.

        Deste modo, sou levado a crer que o espaço de determinação utilizado pelo
GA excedeu em muito os limites de condicionamento dos GFs. Esta invasão de
limites acabou levando a um embate inevitável. Inevitável porque foi baseado em
ideologias opostas. Sempre sou questionando por alguns colaboradores se o
embate foi realmente inevitável e minha ideologia sempre me leva a responder que
sim.
127


          13.4            DA CONTABILIDADE FINAL


          Embora tenhamos o prejuízo da perda temporária do projeto da RIS, tivemos
como lucro colateral e duradouro: a manutenção da IS&VP, que já contabiliza uma
vida mais longa, inclusive, que os GFs.

          A IS&VP, por si só, é um marco histórico. Não é todo dia que se assiste ou se
participa da mudança de uma regra do jogo, uma genoprodução, uma produção
social. Alguns municípios vizinhos a SM, influenciados pela experiência local, já
estão implantando seus PSFs dentro de preceitos de IS&VP.

          Graças a uma última ação do GA 66 , tanto a implantação de uma RIS como a
manutenção da IS&VP constaram em pelo menos quatro deliberações da VI
Conferência Municipal de Saúde.

          No cenário nacional, após a queda da RIS-SM, foi aprovada a portaria
ministerial que garante a criação da Comissão Nacional de Residência em Saúde e
institui o Programa de Bolsas para Residências Multiprofissionais 67 , que já
começaram a pipocar em todo o país. Além disso, a portaria ministerial nº 648 de 28
de março de 2006 (Ministério da Saúde) garante vários e amplos subsídios
financeiros para prefeituras que investirem na implantação de residências em
Medicina de Família e Comunidade e na IAR.

          Pena SM, no dizer de um dos colaboradores “ter perdido o bonde da história”
(e muito dinheiro para a saúde), mas o tempo ainda está do nosso lado.

          No final das contas, com o passar do tempo, o jogo mudou. Através da
manutenção da IS&VP e da autofagia dos GFs, o GA passou de perde-perde para
ganha-ganha. O fato de não lutar por cargos políticos, a longo prazo, converteu-se
de fragilidade em vantagem.




66
     Com o fôlego recebido pela configuração de 2005.
67
     O termo multiprofissional me incomoda, pois, a priori, não subentende integração.
128




E a esfinge me deixou sua marca:



DECIFRA-ME E DEVORO-TE



Há um lobo em pele de cordeiro.

Há uma pele ordeira de olhar faminto.

A cada piscar,

ora há um lobo,

ora há um cordeiro.

Não há mais lobo,

não há mais cordeiro.

Há um cordeiro com alma de lobo...
129




14        EPÍLOGO

          14.1             O TEMPO NÃO EXISTE

           Toc, tic, tac

           Toc,                Tic,             Tac,
           toc, toc, toc,      tic, tic, tic,   tac, tac, tac,
           eu tenho TOC!       eu tenho tic!    eu…
                                                … sou
                                                …taqui…



Durante o Curso de Sanitarista tivemos muitas aulas ótimas e algumas poucas em
que valia mais a pena filosofar com o colega ao lado do que prestar atenção. Em
uma destas últimas, inspirados por um professor que, após utilizar cinco dias de
aula, ainda não tinha conseguido sair da introdução, apresentando slides diferentes,
mas que falavam sempre da mesma coisa, eu e o colega cirurgião-dentista e
especialista em saúde coletiva Paulo Fontanive iniciamos uma discussão muito
profícua a respeito da existência ou não do tempo.
Não vou dissertar aqui toda a nossa argumentação, mas no final chegamos a
conclusão que o tempo é apenas uma convenção humana, e, portanto, não existe.
No último interlúdio, faltavam nove dias para acabar o prazo de entrega da
monografia. Hoje são treze de abril de 2006, quatro horas da manhã. Graças a uma
negociação dos orientadores junto à coordenação do curso, ainda estou podendo
escrever, vencidos 13 dias do prazo. Ou seja, mais uma prova de que o tempo não
existe.
Paradoxalmente, algo que não existe, ficou do meu lado o tempo todo.
Logo, sou esquizofrênico.
Estou escrevendo e sistematizando textos há 44 dias, fora todas as outras
atividades.
Como havia, dramaticamente, citado no Interlúdio I, durante muito tempo passei a
carregar um feto morto em meu ventre (ou FM, no jargão médico). Com o fim desta
130

monografia 68 fiz o parto deste FM. Está morto, mas é meu e foi gestado com muita
dedicação. Enfim posso me despedir dele.
Daqui a alguns minutos estarei enviando as cópias dos avaliadores, fechando os
olhos e dormindo com a alma mais leve.
Amanhã acho que vou visitar meu psiquiatra e rir um pouco com ele.


Obrigado a todos.


Caas


Santa Maria, 13 de abril de 2006, quatro horas e onze minutos da manhã.


P.S.: Se alguém ainda tiver “tempo” para ler uma singela piada, dê uma olhada no
Apêndice L.




68
  Como diria outro ídolo que tenho (Mário Quintana): “Um poema só termina por morte do poeta ou
acidente de publicação”.
131




15    REFERÊNCIAS

BERTOLLI FILHO, C. História da Saúde Pública no Brasil, 2ª ed. São Paulo:
Ática, 1998.

BRASIL. Constituição (1988). Constituição da República Federativa do Brasil.
Brasília, DF:Senado, 1988.

BRASIL. Lei de diretrizes e bases da educação nacional. Lei 9.394 de 20 de
dezembro de 1996. Estabelece as diretrizes e bases da educação nacional. Diário
Oficial da União de 23 de dezembro de 1996.

BRASIL. Ministério da Fazenda. Carga tributária no Brasil: 2003. Brasília: Brasil.
Ministério da Fazenda, 2004.

BRASIL. Ministério da Saúde. 11ª Conferência Nacional de Saúde: Relatório Final,
Brasília: Ed. MS, 2001.

BRASIL. Ministério da Saúde. Departamento de Gestão da Educação na Saúde.
Política de Educação e Desenvolvimento para o SUS:Caminhos para a Educação
Permanente em Saúde:Pólos de Educação Permanente em Saúde. Brasília, 2003.

BRASIL. Ministério da Saúde. Gestão municipal de saúde: Leis, normas e portarias
atuais. Rio de Janeiro: Brasil. Ministério da Saúde, 2001.

BRASIL. Ministério da Saúde. Projeto de Incentivo a Mudanças Curriculares nos
Cursos de Medicina. Brasília, 2002.

CAMPINAS. Secretaria Municipal de Saúde. Colegiado de Gestão. Diretrizes para
Atenção Básica à Saúde: Projeto paidéia de saúde da família, 3ª versão,
Campinas, 2001.

CAMPOS, G.W.S. Subjetividade e Administração de Pessoal: Considerações sobre
modos de gerenciar o trabalho em equipes de saúde, in Práxis em Salud: un
desafio para lo público, p. 229-266. São Paulo, 1997.

CARVALHO, G. A inconstitucional administração pós-constitucional do SUS através
de normas operacionais. Ciência & Saúde Coletiva, Rio de Janeiro, vol. 6, n. 2, p.
435-444, 2001.

CECCIM, R.B. O município na construção do SUS – Curso para gestores.
Divulgação em Saúde para Debate, Rio de Janeiro, n. 24, p. 106-118, dez. 2001.

CECCIM, R.B.; ARMANI, T.B. Educação na Saúde Coletiva: o papel estratégico na
gestão do SUS, Divulgação em Saúde para Debate, Rio de Janeiro, n. 23, p. 30-
56, dez. 2001.
132

CECCIM, R.B.; FERLA, A.A. Residência Integrada em Saúde: uma resposta da
formação e desenvolvimento profissional para a montagem do projeto de
Integralidade da Atenção à Saúde, in Construção da Integralidade: Cotidiano,
saberes e práticas em saúde. Rio de Janeiro: UERF, IMS, ABRASCO, 2003.

CECCIM, R.B; FEURWERKER, L.C.M. O quadrilátero da formação para a área da
saúde: ensino, gestão, atenção e controle social. Physis: Revista de Saúde Coletiva,
Rio de Janeiro, vol 14, n.1, p.41-65, 2004.

CLAUS, S. M.; CAPRA, M.L.P. Elaboração de um protocolo de Ações Básicas de
Saúde: subsídio para reorganização de processos de trabalho para a implementação
do SUS. Divulgação em Saúde para Debate, Rio de Janeiro, n. 24, p. 44-51, dez.
2001.

COMISSÃO MULTIPROFISSIONAL DE SAÚDE. Proposta de isonomia para o
programa de saúde da família do município de Santa Maria – RS. Documento
interno. Santa Maria, 2003.

CUNHA, J. P. P.; CUNHA, R. E. Sistema Único de Saúde. In: BRASIL. Ministério da
Saúde. Gestão municipal de saúde: textos básicos. Rio de Janeiro: Brasil.
Ministério da Saúde, 2001. p. 285-319

DUNCAN, B.; SCHMIDT, M. I.; GIUGLIANI, E.R.J. Medicina ambulatorial :
condutas de atenção primária baseadas em evidências. 3. ed. Porto Alegre: Artmed,
2004.

FAGUNDES, S. Viamão: cidadania em defesa da vida, Divulgação em Saúde para
Debate, Rio de Janeiro, n. 24, p. 28-43, dez. 2001.

FARENZENA, G.F. ET AL. Perfil Epidemiológico do Município de Santa Maria
em 1997 a Partir de Dados de Mortalidade: Relatório final, Santa Maria, 1999.

FERLA, A.A. Clínica nômade e pedagogia médica mestiça: cartografia de idéias
oficiais e populares em busca de inovações à formação e à clínica médicas. 2002.
Tese (doutorado em educação) - Universidade Federal do Rio Grande do Sul, Porto
Alegre.

FEUERWERKER, L.; KALIL, M. E.; BADUY, R. A Construção de Modelos
Inovadores de Ensino-Aprendizagem: As lições aprendidas pela rede UNIDA.
Divulgação em Saúde para Debate, Rio de Janeiro, nº 22, p. 49-62, dez. 2000.

FEUERWERKER, L.C.M. Mudanças na educação médica e residência médica no
Brasil. 1ª Ed. São Paulo: Hucitec/Rede Unida, 1998.

FEUERWERKER, L.C.M; COSTA, H.O.G.; BARBOSA, N.; KHALIL, M.E. O processo
de construção e de trabalho da rede UNIDA. Divulgação em Saúde para Debate,
nº 22, p. 9-17, Rio de Janeiro, dez. 2000.

FOUCAULT, M. Microfísica do Poder. 10ª Ed. Rio de Janeiro: Graal, 1992.

FREIRE, P. Educação como Prática de Liberdade. 1ª Ed. Rio de Janeiro: Paz e
Terra, 1976.
133

GIANOTTEN, V.;WIT, T. Pesquisa participante em um contexto de economia
camponesa. In: BRANDÃO, C.R. (org.). Repensando a pesquisa participante. 3ª
Ed. São Paulo: Brasiliense, 1987.

JAPIASSU, H. Interdisciplinaridade e patologia do saber. Rio de Janeiro: Imago,
1976.

KURZ, R. A estupidez dos vencedores. Folha de São Paulo, São Paulo, 6 ago.
1995, Caderno Mais!, p. 8.

LEVORIN, P. A república dos antigos e a república dos modernos, 1996. Tese
(doutorado em ciências políticas) - a Universidade de São Paulo, São Paulo.

LOBIONDO, G.; HABER, J. Pesquisa em Enfermagem: métodos, avaliação crítica
e utilização. 4ª Ed. Rio de Janeiro: Guanabara Koogan, 2001.

MANIFESTO em defesa das verbas da saúde. Radis – Comunicação em saúde.
[periódico on line] Ago. 2004. Disponível em < http://www.ensp.fiocruz.br/radis/27-
web-01.html > Acesso em 25/03/2006.

MANIFESTO reafirmando compromissos pela saúde dos brasileiros. VIII Simpósio
sobre Política Nacional de Saúde. Brasília, 2005.

MARINHO, R. Jogos Brilhantes. Você S.A. [periódico online] nov. 2002. Disponível
em: < http://vocesa.abril.uol.com.br/aberto/online/022002/714_1.shl>. Acesso em
10/03/2006.

MATUS, C. PES, Guia de Análisis Teórico. Mimeo. Fundacion Altadir, Venezuela,
1994.

MISOCZJY, M.C. Sistemas comparados de saúde. Impresso. Escola de Saúde
Pública do Rio Grande do Sul, 2004.

MOORE, A.; O’NEIL, K.; MAIA, M.; DEL MANTO, L. L. A liga extraordinária –
Volume II. 1ª Ed. São Paulo: Devir, 2004.

MULLER, A.M.C.; POSSA, L.B. A regionalização da atenção no Rio Grande do Sul:
uma experiência em construção na 4 Região de Saúde. Divulgação em Saúde para
Debate, Rio de Janeiro, p. 21-29, n. 23, dez. 2001.

PEREIRA, M. G. Epidemiologia: teoria e prática. Rio de Janeiro: Guanabara, 2005.

RIGHI, L.B. Município: território de novas formas de gestão e atenção à saúde –
considerações sobre a aposta e suas implicações a partir de um processo de
formação de gestores. Divulgação em Saúde para Debate, Rio de Janeiro, n. 24, p.
28-43, dez. 2001.

SANTA MARIA. Prefeitura Municipal. Secretaria de Município da Saúde. Relatório
de Gestão: 1º Trimeste 2002. Santa Maria, 2002.
134

SCHMITZ, C.A.A. et al. O georeferenciamento como ferramenta de adscrição.
2004 Trabalho apresentado na II Mostra Nacional de Produção em Saúde da
Família, Brasília, 2004.

SCHMITZ, C.A.A. et al. Processo de implantação da estratégia de saúde da
família: a visão dos profissionais de saúde. 2004. Trabalho apresentado na II Mostra
Nacional de Produção em Saúde da Família, Brasília, 2004.

SCHMITZ, C.A.A.; MAZZORANI, B.M.; CARVALHO, N.M. E TAL. Um modelo de
tripé para dar apoio ao SUS: desencadeando ações de curto, médio e longo prazo
em seqüências encadeadas com o fim de fortalecer a atenção básica. Pré-projeto
para ingresso no Curso de Formação de Sanitaristas, edição 2003/2004. Documento
interno. Escola de Saúde Pública do Rio Grande do Sul, Porto Alegre, 2003.

SCHMITZ, C.A.A.; MAZZORANI, B.M.; CARVALHO, N.M. ET AL., 2003b. I Curso de
Educação em Saúde Pública Volta para a (De)Formação de Preceptores. Parte
integrante do pré-projeto para ingresso no Curso de Formação de Sanitaristas,
edição 2003/2004. Documento interno. Escola de Saúde Pública do Rio Grande do
Sul. Porto Alegre, 2003b.

SILVA, J.A; DALMASO, A.S.W. Agente comunitário de saúde: o ser, o saber, o
fazer. Rio de Janeiro: Editora Fiocruz, 2002.

TESTA, M. Tendências em planejamento. In TESTA, M. Pensar em saúde. Porto
Alegre: Artes Médicas, 1992.

THIOLLENT, M. Metodologia da pesquisa-ação. 5ª Ed. São Paulo: Cortez: Autores
Associados, 1992.

THIOLLENT, M. Notas para o debate sobre pesquisa-ação. In: BRANDÃO, C.R.
(org.). Repensando a pesquisa participante. 3ª Ed. São Paulo: Brasiliense, 1987.

UNIVERSIDADE FEDERAL DE SANTA MARIA. Projeto Político-Pedagógico:
Curso de Medicina – Conteúdos do Currículo e Disciplinas da UFSM (Versão
preliminar), Santa Maria, 2003.

XAVIER, M. Brancaleone revisitado. Rabisco. [periódico online] dez. 2004.
Disponível em < http://www.rabisco.com.br/51/brancaleone.htm > Acesso em
31/03/2006.
135




APÊNDICES
136



     APÊNDICE A: UM PASSEIO PELO SUS

      O SISTEMA ÚNICO DE SAÚDE 69 :

           •   Preço por pessoa: em torno de R$ 25,00 mensais
           •   Preço para a “empresa” Brasil: ao redor de R$ 53 bilhões anuais 70 .
           •   Clientela: por volta de 172 71 milhões de brasileiros (toda a população).
           •   Antes de nascer o indivíduo já está segurado e assim permanece toda
               a vida.
           •   Sem qualquer carência para sua utilização.
           •   Sem exclusão de nenhuma doença pré-existente, como AIDS,
               tuberculose, mal de Hansen, câncer, doença mental e outras.
           •   Atua na promoção da saúde, prevenção, cura e reabilitação.
           •   Cobre      despesas      de     internação,   procedimentos,      exames
               complementares e medicamentos.

      E UM POUCO DA SUA PRODUTIVIDADE 72 :

           •   1,5 bilhões de atendimentos ambulatoriais.
           •   12 milhões de internações.
           •   290 milhões de exames laboratoriais.
           •   1 milhão de tomografias.
           •   9 milhões de ultra-sonografias.
           •   23.400 transplantes.
           •   8 milhões de sessões de hemodiálise.

      Com certeza o melhor plano de saúde do mundo. E o pior financiamento do
planeta 73 :
             • Países desenvolvidos investem em saúde, per capita, U$ 800,00 (6 –
               12% do PIB)(MISOCZKY,2004).
             • Países do 3° mundo: U$ 200,00 – U$ 400,00. (MISOCZKY,2004)
             • Brasil:U$ 146,00... (apenas 3,44% do PIB 74 ).

Vamos começar a entender estes 3,44% no interlúdio temporal abaixo e tentar
terminar de entendê-los no tópico Bases Legais e Financiamento:




69
   Dados relativos ao ano de 2003.
70
   Mais exatamente R$ 53.623.917.000, segundo o Sistema de Informações sobre Orçamentos
Públicos em Saúde – SIOPS. Destes, 50% vieram da União, 27% dos Municípios e 23% dos Estados.
(http://siops.datasus.gov.br)
71
   Mais exatamente 172.787.058 brasileiros, segundo o Instituto Brasileiro de Geografia e Estatística
– IBGE (www.ibge.gov.br)
72
   Dados relativos ao ano de 2004 (MANIFESTO, 2005).
73
   O que faz de nós trabalhadores extremamente eficientes, posto que fazemos muito com muito
pouco.
74
   Considerando o PIB de 2003 em R$ 1.556.182.000.000,00 (BRASIL, 2004).
137



     UMA RÁPIDA VIAGEM NO TEMPO 75

        Do descobrimento até a vinda da família real em 1808, todo o sistema de
saúde do país era centrado nas mãos de pajés, curandeiros negros e alguns poucos
boticários.
        As primeiras escolas médicas do Rio de Janeiro e da Bahia foram criadas
para dar conta das necessidades da corte.
        Apesar dos incentivos à pesquisa fornecidos por Dom Pedro II, o Brasil
encerrou o segundo reinado mantendo a fama de ser um dos países mais insalubres
do planeta.
        Só tivemos uma concentração razoável de médicos no país no início da
república velha (1889 – 1930), quando as autoridades paulistas determinaram que
somente médicos diplomados poderiam dispensar cuidados de saúde à população
(BERTOLLI FILHO, 1998).
        Nasce o que talvez tenha sido a primeira edição do ato médico 76 , pois a
polícia foi convocada para localizar e punir os transgressores com multas e prisão.
        O único período em que realmente investiu-se em saúde pública neste país
foi a era Oswaldo Cruz (em 1910), com a criação dos institutos do Rio de Janeiro e
de São Paulo na fase do chamado sanitarismo campanhista.
        Após o golpe de 30, a saúde pública é burocratizada e minimalizada. No
período entre golpes, fortalece-se a grande vocação do país: a exportação (evasão)
de divisas, com a desculpa de obras faraônicas como Brasília.
        Em 1953, no segundo período presidencial de Vargas, cria-se o Ministério da
Saúde, que como num prenúncio da desnutrição crônica que persiste até os dias de
hoje, inicia com verbas irrisórias.
        Depois do golpe de 64 e de vários surtos de “elefantíase branca”, cujo grande
exemplo é a Usina Hidrelétrica de Itaipu (que, pelo menos, funciona, ao contrário de
um sem número de obras estúpidas como Angra I, II e III, Transamazônica, etc.), a
Previdência Social, que havia nascido com a Lei Elói Chaves (1923), cambaleia e
cai, moribunda (1985) 77 .
        Sem dinheiro e sem paciência, o regime, aos poucos, abre-se e permite que
“aquele bando de comunistas de esquerda” que havia começado a se reunir a partir
de 1970 (Movimento de Reforma Sanitária) e membros da direita desiludida 78
assumam cargos importantes dentro do sistema.
        Começam a pipocar algumas ações isoladas, mas significativas: Programa de
Interiorização de Ações de Saúde e Saneamento - PIASS (1976-1985, onde se
começa a desenhar o perfil do Agente Comunitário de Saúde – ACS), PREV-SAÚDE
(1981, uma tentativa de sistema nacional de saúde que era boa, mas foi morta antes
de sair do papel) e as Ações Integradas em Saúde – AIS (1983, mais uma tentativa
de reforma das políticas de saúde)(SILVA e DALMASO, 2002).
        Peguem-se, então, os auspícios de Alma-Ata 79 (1978), some-se o
conhecimento tirado das experiências acima, junte com a esquerda desafogada, a

75
   Para uma viagem mais demorada e detalhada, veja o Apêndice M.
76
   O período de “caça às bruxas” do ato médico atual viria a encrudelecer-se exatamente na época de
minhas subversivas atividades multiprofissionais...
77
    E não sai mais deste estado, apesar de hoje consumir, dentro das chamadas despesas
obrigatórias, 44% do orçamento da união, contra 10% da saúde e 2% da educação.
78
   Hoje seria esquerda desiludida?
79
   Veja a declaração da Conferência Internacional sobre Cuidados Primários de Saúde no Anexo G.
138

direita desiludida, os seguimentos populares cansados de esperar pelo populismo
mais os seguimentos empresariais hospitalares, farmacêuticos e de medicina de
grupo 80 que precisavam tirar seus lucros de outro lugar, já que a previdência era
morta e temos o caldo que formou a famosa VIII Conferência Nacional de Saúde
(1986) e prescreveu os princípios e diretrizes do SUS para a constituinte de 1988.

      PRINCÍPIOS

       Eu adoto a sistematização de Cunha e Cunha (2000):

                         Princípios Doutrinários

                         Universalização
                                Historicamente, quem tinha direito à saúde no Brasil eram apenas os
                         trabalhadores segurados do INPS e depois do INAMPS. Com o SUS, isto
                         mudou: a saúde passa a ser um direito de cidadania de todas as pessoas e
                         cabe ao Estado assegurar este direito. Neste sentido, o acesso às ações e
                         serviços deve ser garantido a todas as pessoas, independentemente de
                         sexo, raça, renda, ocupação ou outras características sociais ou pessoais.
                         O SUS foi implantado com a responsabilidade de tomar realidade este
                         princípio.

                         Eqüidade
                                  O objetivo da eqüidade é diminuir desigualdades. Mas isso não
                         significa que a eqüidade seja sinônimo de igualdade. Apesar de todos terem
                         direito aos serviços, as pessoas não são iguais e, por isso, têm
                         necessidades diferentes. Eqüidade significa tratar desigualmente os
                         desiguais, investindo mais onde a carência é maior. Para isso, a rede de
                         serviços deve estar atenta às necessidades reais da população a ser
                         atendida. A eqüidade é um princípio de justiça social.

                         Integralidade
                                O princípio da integralidade significa considerar a pessoa como um
                         todo, atendendo a todas as suas necessidades. Para isso, é importante a
                         integração de ações, incluindo a promoção da saúde, a prevenção de
                         doenças, o tratamento e a reabilitação. Ao mesmo tempo, o princípio da
                         integralidade pressupõe a articulação da saúde com outras políticas
                         públicas, como forma de assegurar uma atuação intersetorial entre as
                         diferentes áreas que tenham repercussão na saúde e qualidade de vida dos
                         indivíduos.

                         Princípios Organizativos
                                Para organizar o SUS a partir dos princípios doutrinários
                         apresentados e considerando-se a idéia de seguridade social e relevância
                         pública, existem algumas diretrizes que orientam o processo. Na verdade,
                         trata-se de formas de concretizar o SUS na prática.

                         Regionalização e Hierarquização
                              A regionalização e a hierarquização de serviços significam que os

80
   “Foi nesse contexto de modernização do consumo que a Golden Cross, seguida em pouco tempo
por outros grupos estrangeiros, passou a concorrer com as companhias médicas brasileiras. Os
investimentos internacionais na área do seguro-saúde mostram-se altamente rentáveis: calcula-se
que atualmente apenas 25% das verbas arrecadadas são aplicadas no atendimento aos
conveniados, na manutenção da burocracia e nas campanhas publicitárias. O restante representa
lucro líquido. Esse fato animou tais empresas a diversificarem a aplicação de suas verbas, adquirindo
hospitais e clínicas e, em alguns casos, incorporando faculdades de medicina.” ( BERTOLLI FILHO,
1998)
139

serviços devem ser organizados em níveis crescentes de complexidade,
circunscritos a determinada área geográfica, planejados a partir de critérios
epidemiológicos, e com definição e conhecimento da clientela a ser
atendida. Como se trata aqui de "princípios", de indicativos, este
conhecimento é muito mais uma perspectiva de atuação do que uma
delimitação rígida de regiões, clientelas e serviços.
       A regionalização é, na maioria das vezes, um processo de articulação
entre os serviços existentes, buscando o comando unificado dos mesmos. A
hierarquização, além de proceder à divisão de níveis de atenção, deve
garantir formas de acesso a serviços que componham toda a complexidade
requerida para o caso, no limite dos recursos disponíveis em dada região.
Deve ainda incorporar-se à rotina do acompanhamento dos serviços, com
fluxos de encaminhamento (referência) e de retorno de informações ao nível
básico do serviço (contra-referência). Estes caminhos somam a
integralidade da atenção com o controle e a racionalidade dos gastos no
sistema.

Descentralização e Comando Único
       Descentralizar é redistribuir poder e responsabilidades entre os três
níveis de governo. Na saúde, a descentralização tem como objetivo prestar
serviços com maior qualidade e garantir o controle e a fiscalização pelos
cidadãos. Quanto mais perto estiver a decisão, maior a chance de acerto.
No SUS, a responsabilidade pela saúde deve ser descentralizada até o
município. Isto significa dotar o município de condições gerenciais, técnicas,
administrativas e financeiras para exercer esta função.
       A decisão deve ser de quem executa, que deve ser o que está mais
perto do problema. A descentralização, ou municipalização, é uma forma de
aproximar o cidadão das decisões do setor e significa a responsabilização
do município pela saúde de seus cidadãos. É também uma forma de intervir
na qualidade dos serviços prestados.
       Para fazer valer o princípio da descentralização, existe a concepção
constitucional do mando único. Cada esfera de governo é autônoma e
soberana em suas decisões e atividades, respeitando os princípios gerais e
a participação da sociedade. Assim, a autoridade sanitária do SUS é
exercida na União pelo ministro da Saúde, nos estados pelos secretários
estaduais de Saúde e nos municípios pelos secretários ou chefes de
departamentos de Saúde. Eles são também conhecidos como “gestores" do
sistema de saúde.

Participação Popular
       O SUS foi fruto de um amplo debate democrático. Mas a participação
da sociedade não se esgotou nas discussões que deram origem ao SUS.
Esta democratização também deve estar presente no dia-a-dia do sistema.
Para isto, devem ser criados os Conselhos e as Conferências de Saúde,
que têm como função formular estratégias, controlar e avaliar a execução
da política de saúde.
       Os Conselhos de Saúde, que devem existir nos três níveis de
governo, são órgãos deliberativos, de caráter permanente, compostos com
a representatividade de toda a sociedade. Sua composição deve ser
paritária, com metade de seus membros representando os usuários, e a
outra metade, o conjunto composto por governo, trabalhadores da saúde e
prestadores privados. Os conselhos devem ser criados por lei do respectivo
âmbito de governo, em que serão definidas a composição do colegiado e
outras normas de seu funcionamento.
       As Conferências de Saúde são fóruns com representação de vários
segmentos sociais que se reúnem para propor diretrizes, avaliar a situação
da saúde e ajudar na definição da política de saúde. Devem ser realizadas
em todos os níveis de governo.
140

     BASE LEGAL E FINANCIAMENTO

        O SUS foi criado pela Constituição Federal de cinco de dezembro de 1988 e
normatizado pela Lei Orgânica da Saúde – LOS, que é formada pelas leis 8.080 e
8.142 de 1990 (BRASIL, 2001). A LOS, entre outras coisas, define as condições
para as ações integrais de saúde, a organização / operação dos serviços de saúde,
a participação da comunidade e as transferências inter-governamentais de recursos
financeiros.
        Até aí tudo bem. O problema está justamente no último item, o repasse de
recursos financeiros. Segundo Carvalho (2001), o artigo 35 da Lei 8.080 é claro:
“todos os recursos federais deverão ser repassados aos estados, distrito federal e
municípios, exclusivamente pelo critério populacional.” 81
        Uma das melhores formas de manter o SUS no cabresto é através do
financiamento (ou do não financiamento), e a melhor maneira de fazer isto sem dar
muito na vista é através da descentralização (leia-se não descentralização), com
certeza um dos princípios do SUS mais conspurcado. Vivemos debaixo de
programas verticais e só será financiado o que estiver dentro de rubricas bem
distintas.
        Após a LOS, que por sinal foi muito bem escrita, passamos por um
bombardeio de Normas Operacionais Básicas – NOBs e Normas Operacionais de
Assistência da Saúde – NOAS, cujo principal objetivo foi impedir a descentralização
e estrangular o financiamento. Os municípios tiveram que se virar para cumprir um
calhamaço de responsabilidades gerenciais contando com o magro Piso de Atenção
Básica – PAB. Composto por uma parcela fixa (em torno de R$ 14,00 por habitante)
e uma parcela que varia conforme são obedecidos alguns programas verticais
(Programa de Agentes Comunitários de Saúde – PACS, Programa de Saúde da
Família – PSF, Saúde Bucal, Farmácia Básica, etc.), o PAB tem, pelo menos, a
virtude de dar alguma maleabilidade aos gestores municipais.
        Afora isso as NOBs e NOAS foram um grande instrumento de
descentralização de responsabilidades e retenção de recursos financeiros.
        Então, em cinco de dezembro de 2006 o SUS estará entrando na maioridade
e quando nasceu, há 18 anos, já haviam roubado seu dote. A Emenda
Constitucional 29 – EC-29, que poderia melhorar o fôlego financeiro do sistema, está
em discussão até hoje. Esta emenda, que, a partir de 2000, de forma progressiva,
obrigava a união, estados e municípios a comprometer, respectivamente, 10%, 12%
e 15% de sua arrecadação para a saúde, teve sua base inicial de cálculo dilapidada
em torno de 4 bilhões de reais (em favor da união) e está em discussão até hoje. E
olhe que a regularização da EC-29 abreviatura tenciona apenas subir nossos
magros U$ 140,00 82 para U$ 160,00 per capita anuais.
        Não podemos esquecer também a CPMF (contribuição provisória sobre a
movimentação financeira), que se tornou permanente sem dar um centavo sequer
para a saúde, através de ardilosas mudanças na sua base de cálculo (simplesmente
deram de um lado para tirar de outro).

81
   “Caso cumprido esse dispositivo Constitucional não teriam ocorrido as graves crises na saúde nos
anos 90, e hoje, só o orçamento federal para o SUS seria por volta de R$ 67 bilhões, maior que a
atual dotação das três esferas de Governo para o SUS.” (MANIFESTO, 2004) O que, provavelmente,
elevaria o orçamento total em algo em torno de R$ 130 bilhões (o que daria algo em torno de 8,35%
do PIB e não 3,44%!).
82
   A Argentina aplica U$ 362,00 e o Uruguai U$ 304,00. (MANIFESTO, 2005)
141




     ESTRUTURAS DE CONTROLE

       Além da naturalidade brasileira, outro fator que garante a sobrevivência do
SUS é a complexidade de suas estruturas de controle e gestão. Vamos tentar
entender um pouco desta estruturas:
       A população, para realmente atuar dentro dos conselhos e das conferências,
deve estar representada, sempre de forma ascendente e não o contrário, dentro de
todos os níveis: o local, que terá representação no municipal, que por sua vez
garantirá vaga no regional e no estadual e no nacional.
       É no nível local que teremos a possibilidade de construções mais sólidas e,
naturalmente ascendentes.
       Depois de dois impérios, uma república positivo-absolutista e dois golpes (e,
alternando os golpes, mais dois períodos confusos que chamamos de republicanos),
criou-se o insalubre hábito (populista) de pensar que o nível mais importante é o
mais alto, o nacional, e de lá devem emanar todas as ordens (e progressos) 83 .

     ESTRUTURAS DE GESTÃO

      Assim como os conselhos e as conferências de saúde garantem 84 o espaço
de controle popular, existem espaços para o debate/embate entre gestores.
      O Conselho Nacional de Secretários Municipais de Saúde – CONASEMS é
formado por representantes estaduais dos secretários municipais (Associação dos
Secretários e Dirigentes Municipais de Saúde - ASSEDISA, no caso do RS) e o
Conselho Nacional de Secretários de Saúde – CONASS é freqüentado pelos
secretários estaduais de saúde. Ambos são sediados no Distrito Federal - DF.
      A Comissão Intergestores Bipartite - CIB de cada estado é o espaço de
debate/embate entre o secretário estadual e seus pares municipais. Por sua vez, a
Comissão Intergestores Tripartite - CIT, reúne, no DF, representantes do MS, do
CONASS e do CONASEMS (cada entidade indica cinco titulares e respectivos
suplentes).
      Estes são espaços exclusivamente gestores, assim como, em tese, uma
associação comunitária terá só usuários e um sindicato apenas trabalhadores (Fig.
27).

     INSTRUMENTOS DE GERENCIAMENTO

        Todo município tem que ter seu Plano Municipal de Saúde - PMS, com as
diretrizes e ações para os quatro anos de cada gestão, que é pactuado no Conselho
Municipal de Saúde - CMS. Além disso, é necessária uma Programação Anual - PA,

83
   Podemos, metaforicamente, visualizar esta irracionalidade como uma grande pirâmide onde, ao
invés de se investir em coisas óbvias e baratas como fundações fortes de concreto, sustenta-se o
topo na pirâmide no ar através de um engenhoso, complexo e caro sistema de helicópteros. Neste
meio tempo, os super-especializados técnicos do nível superior estarão projetando e construindo o
nível intermediário para, se um dia sobrarem tempo e recursos, construírem as bases. Ou, seja, um
sistema que não funciona e está fadado a falência.
84
   Garantem em tese, pois Infelizmente, qualquer população pode seguir a tendência habitual de
aderência ao populismo e ao assistencialismo e não ocupar estes espaços, bem como
representantes de seguimentos não-usuários podem travestir-se de usuários.
142

o que, principalmente, evita que algum gestor tente deixar para fazer tudo o que foi
planejado para quatro anos, no último ano de mandato. A Programação Pactuada
Integrada – PPI organiza as ações intersetoriais e inter-regionais e o Relatório de
Gestão - RG publica trimestralmente os indicadores de saúde e financeiros
alcançados.

                      ESPAÇOS                                         ESPAÇOS DE
                     DE GESTÃO                                         CONTROLE
                                                                        SOCIAL

                                                                                   Paridade
  CONASEMS          CONASS         CIT       MS               CNS        CfNS


                                                                                          T
                                                                                   Us
                                                                                              G
                  ASSEDISA         CIB      SES               CES        CfES            PS




                                            SMS              CMS         CfMS



Figura 27 – Os caminhos da representação e o equilíbrio de forças dentro do sistema.
Elaboração própria. O traço vertical central indica a separação entre os espaços de gestão e de
controle social. Os três níveis de instituições representam os níveis municipal, estadual e federal. As
setas ascendentes indicam os caminhos da representação entre estes níveis. As setas horizontais
indicam os caminhos da representação dentro de um mesmo nível. Se por um lado os usuários detém
50% da representação em todos os espaços de controle social, os gestores, de forma não recíproca
(linhas tracejadas), possuem cadeira cativa em todos estes mesmos espaços.
CONASEMS=Conselho Nacional de Secretários Municipais de Saúde; CONASS=Conselho Nacional
de Secretários Estaduais de Saúde; CIT=Comissão Intergestores Tripartite; MS=Ministério da Saúde;
CNS=Conselho Nacional de Saúde; CfNS=Conferência Nacional de Saúde; ASSEDISA=Associação
dos secretários e Dirigentes de Saúde; CIB=Comissão Intergestores Tripartite; SES=Secretaria
Estadual de Saúde; CES=Conselho Estadual de Saúde; CfES=Conferência Estadual de Saúde;
SMS=Secretaria Municipal de Saúde, CMS=Conselho Municipal de Saúde; CfMS=Conferência
Municipal de Saúde.

        Espero, nestas poucas páginas, ter dado uma idéia da complexidade do SUS.
143



APÊNDICE B – PROGRAMA DE RESIDÊNCIA EM MEDICINA DE
FAMÍLIA E COMUNIDADE




               Uma proposta de

   Programa de Residência Médica em

MEDICINA DE FAMÍLIA E COMUNIDADE
       para o Município de Santa Maria
              Rio Grande do Sul




                    Santa Maria

                  Rio Grande do Sul

                  Dezembro de 2004
144


                                     Uma proposta de

            Programa de Residência Médica em

     MEDICINA DE FAMÍLIA E COMUNIDADE

                 para o Município de Santa Maria
                        Rio Grande do Sul




                                      Carlos André Aita Schmitz 85
                                        Gilmor José Farenzena 86
                                      Benildes Maria Mazzorani 87
                                     Claudia Terra do Nascimento 88
                                         Clara L. M. Colomé 89
                                      Maria Celeste Landerdhal 90




85
   Médico de Família e Comunidade, Estratégia de Saúde da Família, Prefeitura Municipal de Santa Maria
86
    Médico Pediatra, mestre em saúde comunitária, professor assistente do Departamento de Saúde da Comunidade,
   Universidade Federal de Santa Maria
87
    Enfermeira, mestre em assistência em enfermagem, professora aposentada da Universidade Federal de Santa Maria,
   assessora de planejamento da Secretaria de Município de Saúde de Santa Maria
88
   Pedagoga, mestre em desenvolvimento humano, especialista em psicopedagogia, professora substituta do Departamento de
   Fundamentos da Educação do Centro de Educação da Universidade Federal e Santa Maria
89
    Enfermeira, mestre em enfermagem, professora aposentada da Universidade Federal de Santa Maria, professora da
   Universidade Regional Integrada – Campus Santiago
90
   Enfermeira, mestre em enfermagem, professora adjunta do Departamento de Enfermagem da Universidade Federal de Santa
   Maria
145



P965    Uma proposta de programa de residência médica em
          medicina de família e comunidade para o município de
          Santa Maria, Rio Grande do Sul / Carlos André Aita
          Schmitz... (et al.). – Santa Maria : Os Autores, 2004.
           34 f. : il.

            1. Medicina 2. Residência médica 3. Ensino superior
         4. Saúde pública 5. Medicina de família e comunidade
         6. Família 7. Comunidade 8. Programa de ensino
         9. Santa Maria 10. Rio Grande do Sul I. Schmitz, Carlos
         André Aita

         CDU 614:378(073)


Ficha catalográfica elaborada por
Maristela Eckhardt CRB-10/737
146



SUMÁRIO

  1.      INTRODUÇÃO E JUSTIFICATIVA ........................................................150
  2.      OBJETIVO GERAL................................................................................151
  3.      OBJETIVOS ESPECÍFICOS .................................................................151
  4.      METODOLOGIA....................................................................................151
  4.1.    Visão geral ............................................................................................151
  4.2.    Preceptores ...........................................................................................152
  4.3.    Vagas ....................................................................................................152
  4.4.    Espaços.................................................................................................153
  4.5.    Familiarização .......................................................................................153
  4.6.    Bibliografia disponível............................................................................154
  4.7.    Acesso a Internet...................................................................................155
  4.8.    Refeições ..............................................................................................155
  4.9.    Carga Horária ........................................................................................155
  4.10. Distribuição das atividades....................................................................156
  4.10.1. Atividades na USF e na comunidade ....................................................158
  4.10.1.1. Sala de Espera ..................................................................................159
  4.10.1.2. Acolhimento .......................................................................................160
  4.10.1.3. Agenda ..............................................................................................160
  4.10.1.4. Pós-plantões e plantões ....................................................................161
  4.10.1.5. Assistência domiciliar.........................................................................163
  4.10.1.6. Territorialização e pesquisa ...............................................................163
  4.10.1.7. Grupos ...............................................................................................166
  4.10.1.8. Gestão de serviços ............................................................................166
  4.10.1.9. Atividades comunitárias .....................................................................168
  4.10.1.10. Atualização.....................................................................................168
  4.10.2. Estágios.................................................................................................170
  4.10.3. Eixos teóricos ........................................................................................171
  4.11. Avaliação...............................................................................................173
  5.      REFERÊNCIAS .....................................................................................173
147




LISTA DE ABREVIATURAS

4ª CRS      4ª Coordenadoria regional de Saúde
ABP         Aprendizado Baseado em Problemas
ACS         Agente Comunitário de Saúde
APS         Atenção Primária à Saúde
BIREME      Centro Latino Americano e do Caribe de Informação em Ciências da
Saúde;
CNRM        Comissão Nacional de Residência Médica
COMUT       Programa de Comutação Bibliográfica;
ESF         Estratégia de Saúde da Família
GPABA       Gestão Plena Atenção Básica Ampliada
IBICT       Instituto Brasileiro de Informação e Tecnologia.
MRCO        Macro região centro Oeste
PRMFC       Programa de Residência em Medicina de Família e Comunidade
PROESF     Programa de Incentivo à Implantação e Consolidação da Estratégia de
Saúde da Família
PROMED      Projeto de Incentivo a Mudanças Curriculares nos Cursos de Medicina
SUS         Sistema Único de Saúde
SVT         Secretaria de Viação e Transportes
UBS         Unidade Básica de Saúde
UFSM        Universidade Federal de Santa Maria
USF         Unidade de Saúde da Família
148



LISTA DE QUADROS

Quadro 1- Espaços físicos ....................................................................................... 153
Quadro 2 – Carga horária e distribuição de atividades ....................................... 155
Quadro 3 – Distribuição de atividades para as quatro terças-feiras de um mês159


LISTA DE FIGURAS

Figura 1– Territorialização e cadastramento ......................................................... 164
Figura 2– Mapa de campo. ...................................................................................... 165
Figura 3 – Aplicação prática do georeferenciamento (VAZ e col., 2004) ......... 166


LISTA DE TABELAS

Tabela 1 – Distribuição anual de atividades (implantação) ................................ 157
Tabela 2 – Distribuição anual de regimes de escalas (implantação) ................ 157
Tabela 3 – Distribuição anual de atividades .......................................................... 157
Tabela 4 – Distribuição anual de regimes de escalas ......................................... 157
Tabela 5 - Distribuição de atividades em horas por semana (implantação)*... 158
Tabela 6 - Produtividade direta nas demandas espontâneas e organizadas
   (implantação) ....................................................................................................... 158
Tabela 7- Distribuição de atividades em horas por semana* ............................. 158
Tabela 8 - Produtividade direta nas demandas espontâneas e organizadas .. 158
Tabela 9 - Distribuição de plantões por tipo de regime de escala (implantação)162
Tabela 10 - Distribuição de plantões por tipo plantão (implantação) ................ 162
Tabela 11 - Totalizador de plantões (implantação) .............................................. 162
Tabela 12 - Distribuição de plantões por tipo de regime de escala................... 162
Tabela 13 - Distribuição de plantões por tipo plantão ......................................... 162
Tabela 14 - Totalizador de plantões ....................................................................... 162
Tabela 15 – Gestão de serviços - carga horária anual ........................................ 167
Tabela 16 – Gestão de serviços – Distribuição mensal ...................................... 167
Tabela 17 – Distribuição anual de vivências (implantação) ................................ 168
Tabela 18 – Distribuição anual de vivências ......................................................... 168
Tabela 19 – Detalhamento e carga horária das atualizações ............................ 169
Tabela 20 – Distribuição bimensal das atualizações (1º mês) ........................... 169
Tabela 21 – Distribuição bimensal das atualizações (2º mês) ........................... 169
Tabela 22 – Escala anual de apresentação de artigos (Implantação) .............. 170
Tabela 23 – Escala anual de apresentação de artigos ....................................... 170
Tabela 24 – Distribuição de estágios no 1º ano (Implantação) .......................... 170
149

Tabela 25 – Distribuição de estágios no 2º ano (Implantação) .......................... 170
Tabela 26 – Distribuição de estágios no 1º ano ................................................... 170
Tabela 27 – Distribuição de estágios no 2º ano .................................................. 171
Tabela 28 – Disciplinas teóricas em ordem alfabética, com suas respectivas cargas
   horárias ................................................................................................................. 171
Tabela 29 – Distribuição de disciplinas no 1º semestre do 1º ano .................... 172
Tabela 30 – Distribuição de disciplinas no 2º semestre do 1º ano .................... 172
Tabela 31 – Distribuição de disciplinas no 1º semestre do 2º ano .................... 172
Tabela 32 – Distribuição de disciplinas no 2º semestre do 2º ano .................... 172
150




1. INTRODUÇÃO E JUSTIFICATIVA

Santa Maria ocupa o centro do estado do Rio Grande do Sul, tem uma população de
      251.144 habitantes em sua sede (Censo, 2002), sendo pólo da 4ª
      Coordenadoria Regional de Saúde - 4ª CRS e da Macro-região Centro-oeste -
      MRCO, compreendendo um universo de aproximadamente um milhão e
      trezentos mil usuários do Sistema Único de Saúde – SUS.
        O município também abriga a Universidade Federal de Santa Maria - UFSM,
com seu Hospital Universitário atendendo alta e média complexidade
exclusivamente pelo SUS, cinco faculdades e centros universitários particulares,
dois hospitais militares, dois hospitais particulares e um hospital de média
complexidade conveniado ao SUS (Casa de Saúde), este último em processo de
municipalização por iniciativa da atual gestão municipal que por sua vez, encontra-
se em transição da Gestão Plena da Atenção Básica Ampliada – GPABA para a
Gestão Plena do Sistema de Saúde – GPSM.
        No que diz respeito ao cenário universitário, segundo o Projeto de Incentivo a
Mudanças Curriculares nos Cursos de Medicina – PROMED (MS, 2002), dentro dos
três estágios que devem ser avançados pelas escolas médicas, nos eixos de
orientação teórica, abordagem pedagógica e atividades práticas, o Curso de
Medicina da UFSM, conseguiu, no período 2003-2004, iniciar o processo de avanço
para o segundo estágio, através de um intenso trabalho envolvendo a coordenação
do curso, a comissão interna de reforma curricular e o corpo docente e discente
(UFSM, 2003).
        No início do ano de 2004, através dos recursos do Programa de Incentivo à
Implantação e Consolidação da Estratégia de Saúde da Família – PROESF 91 a
Prefeitura Municipal de Santa Maria, através de sua Secretaria de Município da
Saúde, inicia os procedimentos para a Implantação da Estratégia de Saúde da
Família –ESF (MAZZORANI e BECKER, 2003).
        O município conta hoje com 15 equipes, várias atingindo índices de
resolutividade entre 85 e 95% (Dados SIAB, 2004), mas encontra dificuldades para
expandir o programa devido a um problema que já atinge todo o país: a escassez de
profissionais médicos com qualificação em atenção primária.
        Por outro lado, a UFSM, devido a reformulação curricular, passa a necessitar,
num grau cada vez maior, de uma interação com a rede municipal de serviços de
saúde.
        O presente projeto trata de dar resposta a estas duas realidades, criando uma
importante ferramenta de educação permanente que viabilize a formação de
profissionais capazes de implementar as propostas governamentais, ao mesmo
tempo que abre amplo campo de aprendizado acadêmico dentro da rede municipal
de saúde.
        Isso será possível através de uma ação interinstitucional que integre
município e universidade na criação do Programa de Residência em Medicina de
Família e Comunidade - PRMFC, fazendo com que docentes e acadêmicos
universitários interajam com preceptores e residentes municipais. Esta ação terá
como palco espaços do Hospital Universitário e do Campus Universitário, mas
ocorrerá principalmente na rede municipal.
91
  O PROESF de Santa Maria prevê a implantação de 44 equipes de saúde da família até o ano de 2007, atingindo uma
cobertura de 70% da população.
151




2. OBJETIVO GERAL

       Proporcionar a formação de médicos de família e comunidade com elevado
grau de competência técnica, através do ensino em serviço e tendo o território de
referência como palco de ações. À luz da Reforma Sanitária, desenvolver ações com
vista à integralidade do cuidado, atuando dentro de preceitos e de princípios do
SUS, de maneira integrada, formando uma rede de atenção que busque a
reorientação do modelo assistencial rumo à comunidade, que valorize o respeito aos
direitos humanos, o acolhimento, o vínculo e a responsabilização da equipe com os
usuários do sistema, incentivando o exercício da cidadania ativa e o controle social
da população.

3. OBJETIVOS ESPECÍFICOS

   •   Capacitar profissionais mediante o aprendizado em serviço visando a
       competência técnica para a atuação articulada nas áreas da clínica, da
       epidemiologia, da gestão de serviços, do controle social e da pesquisa
       científica;
   •   Promover a construção de competências para atuação nos diferentes
       contextos de intervenção, principalmente nos serviços de saúde da atenção
       primária e proporcionalmente nos serviços de atenção secundária e terciária;
   •   Capacitar profissionais para o planejamento, gestão e avaliação de serviços
       de Atenção Primária à Saúde - APS que contribuam para o processo da
       Reforma Sanitária;
   •   Oportunizar a escuta qualificada em todos os contextos de intervenção do
       território, respeitando as alteridades e subjetividades, com a finalidade de
       promover a potencialização das capacidades expressivas e relacionais de
       todos os envolvidos no processo;
   •   Desenvolver atitudes investigativas produzindo saber através do fazer.


4. METODOLOGIA

   4.1. Visão geral

        O ensino em serviço acontecerá, principalmente, centrado em Unidades de
Saúde da Família – USF e na própria comunidade, onde o residente permanecerá
durante nove meses por ano (contando o período de férias). Existirão, também,
diversos momentos onde o especializando terá oportunidade de percorrer todas as
instâncias de atenção e gestão da rede municipal de saúde.
        As férias ocorrerão em períodos de 30 dias, obrigatoriamente nos meses de
janeiro, julho e dezembro, conforme tabela de distribuição (ver item específico), com
a finalidade de normatizar o período de atividades teóricas.
        Os estágios curriculares privilegiarão os serviços de Cirurgia Ambulatorial
(dois meses), Vigilância Epidemiológica (um mês) e Vigilância Sanitária (um mês),
bem como dois meses para estágios opcionais, totalizando seis meses de estágio
nos dois anos de residência.
152

        O aprendizado de urgência e emergência em pediatria, em obstetrícia e
ginecologia e para adultos, ocorrerá distribuído em 21 plantões anuais, totalizando
252 horas por ano, garantindo-se um turno de quatro horas de repouso após cada
plantão. Os plantões sempre ocorrerão nas segundas e quartas-feiras, das 19h da
noite às 7h da manhã (ver tabela de distribuição no item específico).
        Será, também, preconizado um período de até quatro horas semanais para
diagnóstico epidemiológico e pesquisa científica, bem como quatro horas semanais
para revisão de artigos e atualização clínica nas grandes áreas 92 e nas
especialidades médicas 93 mais próximas ao trabalho em Medicina de Família e
Comunidade, mediante processo de aprendizado baseado em problemas
(FERREIRA FILHO e col., 2002).
        As disciplinas obrigatórias de ética médica, bioética, epidemiologia,
bioestatística e metodologia científica e os demais eixos teóricos relativos a
Residência de Medicina de Família e Comunidade, serão ministrados em três
períodos semanais de quatro horas, das 18h às 22h, nas terças, quintas e sextas-
feiras, exceto nos meses destinados às férias.
        Este programa preconizará a convivência contínua entre residentes de
primeiro e de segundo ano, de modo que a rotina de atividades será a mesma, tendo
variações no grau de complexidade e nível de responsabilidade, devendo, cada
especializando, evoluir dentro do escopo observação-atuação-tutoria.
        Nesta ótica o residente de primeiro ano iniciará seguindo o exemplo e
recebendo assistência dos preceptores e residentes de segundo ano, melhorando
sua capacidade de atuação técnica e tornando-se capaz de dar acompanhamento
para acadêmicos de graduação. Por fim, como residente de segundo estará apto a
acumular atividades de ensino, gestão, assistência e controle social (CECCIM e
FEUERWERKER, 2004).
        Os itens a seguir darão conta do detalhamento do PRMFC:


     4.2. Preceptores

     A definir


     4.3. Vagas

       Serão seis vagas por ano distribuídas em duas equipes duplas (três vagas
cada uma) de ESF. As equipes simples diferem das duplas no espaço físico e no
tamanho da área de abrangência (simples: 4.500 habitantes, dupla: 9.000
habitantes).
       Levando-se em consideração as limitações de espaço físico das USF e o fato
de que a partir do segundo ano o número de residentes duplica, a escala de
atividades dos residentes (ver item específico) foi projetada para que nunca haja
mais do que quatro residentes, por período, em atuação nas unidades duplas.



92
  Pediatria, Ginecologia e Obstetrícia e Cirurgia Geral.
93
  Radiologia, Cardiologia, Endocrinologia, Pneumologia, Reumatologia, Dermatologia, Ortopedia e Traumatologia, Neurologia,
Infectologia, Gastroenterologia, Nefrologia, Geriatria e Medicina do Trabalho.
153


    4.4. Espaços

     O quadro abaixo discrimina os espaços que serão alocados pelas atividades
do PRMFC:

Quadro 1- Espaços físicos
            Unidades de Saúde da Família
                   Região 1*:
                          Equipe 1* (equipe dupla)
                   Região 2*:
                          Equipe 2* (equipe dupla)
            Urgência e Emergência
                   Pronto Socorro Regional (HUSM)
                   Pronto Atendimento Municipal
            Cirurgia Ambulatorial
                   Hospital Casa de Saúde
            Vigilância Epidemiológica e Sanitária
                   Serviço de Vigilância Epidemiológica
            Serviço de Vigilância Sanitária
     Gestão
            Secretaria de Município da Saúde
            Conselho Municipal de Saúde
            4ª Coordenadoria Regional de Saúde
            Estruturas de nível secundário
            Estruturas de nível terciário
            Secretarias envolvidas em processos intersetoriais
* A definir pelo gestor municipal, com apreciação do Conselho Municipal de Saúde.




    4.5. Familiarização

       Os dois primeiros dias de atividades serão utilizados como ferramenta de
familiarização para os residentes. As atividades serão distribuídas da seguinte
maneira:

         Manhã do primeiro dia:
         Palestra de apresentação do PRMFC;
         Distribuição das escalas de trabalho nominais;
                Palestra de apresentação do Município de Santa Maria e da
                Universidade Federal de Santa Maria.

         Tarde do primeiro dia:
         Visitação às USF.

         Manhã do segundo dia:
         Visitação aos locais de estágio;
         Visitação aos locais de plantão.

         Tarde do segundo dia:
154

      Definição das USF de cada residente;
      Esclarecimento de dúvidas.

A partir do segundo ano do PRMFC, a primeira semana de trabalho será utilizada
     para a Semana Científica Anual do PRMFC, onde além do acolhimento aos
     novos residentes, ocorrerão as publicações de artigos e monografias, bem
     como atividades de atualização e integração para residentes e preceptores.
Dentro da semana científica também ocorrerá o fórum de avaliação do PRMFC,
     onde todos, docentes, preceptores, residentes e usuários, discutirão o
     programa e farão propostas de mudanças, se necessário.


   4.6. Bibliografia disponível

      Cada USF disporá das seguintes referências bibliográficas:

      Clínica Geral:
          Medicina Ambulatorial: condutas de atenção primária baseada em
             evidências.
             Duncan BB, Schmidt MI, Giugliani - Ed. Artes Médicas, 2004
          Atualização Terapêutica - Diagnóstico e Tratamento, Durval Rosa Borges
             e Hanna A. Rothschild (editores), 21ª Ed., Editora Artes Médicas, 2003.
      Obstetrícia:
          Rotinas em Obstetrícia, Freitas, F e cols., 4ªed, Editora Artes Médicas,
             2001
      Ginecologia:
          Rotinas em Ginecologia, Freitas, F e cols., 4ªed, Editora Artes Médicas,
             2001
      Pediatria:
          Pediatria: Consulta Rápida, Paulo Márcio Condessa Pitrez e José Luiz
             Bohrer Pitrez, 2ª edição, Editora Artes Médicas, 1998.
      Dermatologia:
          Dermatologia, Sebastião de Almeida Prado Sampaio, 2ª ed. - 1ª
             reimpressão, Editora Artes Médicas, 2001
      Outras
          Dicionário de Especialidades Farmacêuticas – DEF, Editora EPUB/33ª
             Edição/2004-2005
          Classificação Estatística Internacional de Doenças e Problemas
             Relacionados à Saúde10ª Revisão – CID-10, Organização Mundial de
             Saúde - OMS, Edusp - Editora da Universidade de São Paulo, 1998.

Os residentes receberão, através de convênio a ser firmado entre UFSM e Município
     de Santa Maria, uma matrícula na UFSM, tendo, portanto, acesso a Biblioteca
     Central e suas bibliotecas setoriais, inclusive a Biblioteca Setorial do Centro de
     Ciências da Saúde.
A Biblioteca Central conta, também, com acesso a:
       • COMUT – Programa de Comutação Bibliográfica;
       • BIREME – Centro Latino Americano e do Caribe de Informação em
          Ciências da Saúde;
155


           •      IBICT – Instituto Brasileiro de Informação e Tecnologia.

    4.7. Acesso a Internet
      As USF dispõem de acesso discado à Internet e os residentes disporão de
acesso rápido nas dependências da UFSM.


    4.8. Refeições

      Como o refeitório do Hospital Universitário será de difícil acesso para os
residentes, estes receberão tíquete refeição.


    4.9. Carga Horária
      O quadro a seguir discrimina, conforme a Resolução 004/2003 da Comissão
Nacional de Residência Médica – CNRM, a carga horária anual do PRMFC, bem
como a distribuição das atividades e suas respectivas cargas horárias semanais e
anuais:
Quadro 2 – Carga horária e distribuição de atividades
                                                                %       %    Horas/     Sem./        Horas/
                                                               mín.   ating.  sem.       ano           ano
PRMFC                                                                 100,00                         2.894,80
  1 Cuidados primários à saúde                                 50      50,51                         1.462,19
     1.1       Sala de espera                                           1,68    1,25         39,0       48,75
     1.2       Acolhimento                                             10,78    8,00         39,0      312,00
     1.3       Agenda                                                  10,78    8,00         39,0      312,00
     1.4       Pós_plantão                                              3,59    2,00         52,0      104,00
     1.5       Territorialização/pesquisa                               5,47    4,06         39,0      158,44
     1.6       Gestão de serviços                                       7,19    4,00         52,0      208,00
     1.7       Atualização                                              7,19    4,00         52,0      208,00
     1.8       Dias temáticos                                           2,49    8,00          9,0       72,00
     1.9       Grupos                                                   1,35    1,00         39,0       39,00

   2 Cuidados secund. e terc. à saúde                          10      22,97                          664,80
     2.1 Plantões                                                       8,71                           252,00
               2.1.1 Urgência e emergência Pediátrica                           12,00          7,0        84,00
               2.1.2 Urgência e emergência Gineco-obstétrica                    12,00          7,0        84,00
               2.1.3 Urgência e emergência Adulto                               12,00          7,0        84,00
     2.2 Estágios                                                      14,26                           412,80
               2.2.1 Cirurgia Ambulatorial                                      32,00          4,3       137,60
               2.2.2 Vigilância Epidemiológica/Sanitária                        32,00          4,3       137,60
               2.2.3 Opcional                                                   32,00          4,3       137,60


   3 Dom., escolas, locais de trab. e lazer                    10      10,36                          299,81
     3.1 Assistência domiciliar                                         6,15    4,56         39,0      177,94
     3.2 Grupos                                                         1,68    1,25         39,0       48,75
     3.3 Atividades comunitárias                                        2,53    1,88         39,0       73,13

   4 Eixos teóricos-complementares                             10      16,17      12        39,0      468,00
% mín. = percentual mínimo preconizado pela Resolução CNRM 004/2004; % ating. = percentual atingido pelo PRMFC;
Horas/sem. = carga horária semanal, Sem./ano = quantidade de semanas, por ano em que a atividade ocorrerá, considerando
o ano de 52 semanas; Horas/ano = carga horária anual; PRMFC = Programa de Residência em Medicina de Família e
Comunidade; secund. = secundário; ter c. = terciário; Dom. = Domicílios; trab. = trabalho
156




     4.10.        Distribuição das atividades

        A distribuição das atividades, bem como da carga horária de cada atividade,
foi realizada levando-se em conta os seguintes critérios:
           • Garantia, ao gestor municipal, de manutenção da filosofia da ESF 94 ;
           • Garantia, aos trabalhadores de saúde, de regime de trabalho
               humanizado;
           • Garantia, aos residentes, de que a cada um será oportunizada a
               passagem organizada e equilibrada por cada uma das atividades
               propostas;
           • Garantia, à UFSM, de campo de estágio organizado para os
               acadêmicos do Curso de Medicina;
           • Ano de 52 semanas;
           • Utilização de dois consultórios para atividades médicas;
           • Necessidade de um consultório ser utilizado, em tempo integral, para
               atendimento de demanda espontânea;
           • Necessidade de um consultório ser utilizado, em tempo integral, para
               atendimento de demanda organizada;
           • Necessidade, tanto para fins de assistência, como para fins de ensino,
               do espaço de atendimento médico ser responsável por, pelo menos,
               50% das necessidades locais de atendimento, calculadas com base no
               estudo de White (1961) 95 , ou seja, em torno de 1.250
               atendimentos/mês.

       Para tanto, foi desenvolvida uma planilha eletrônica, chamada de RMFC
(SCHMITZ, 2004), no aplicativo Microsoft Excel que, além de calcular a distribuição
(Quadro 1), também dá conta de construir automaticamente a escala de trabalho
nominal de cada residente.
       Serão apresentadas tabelas para o ano de implantação do programa (três
residentes por equipe) e para os anos subseqüentes (seis residentes por equipe).
       Os residentes de primeiro ano serão nominados por RM11, RM12 e RM13, e
os residentes de segundo ano serão nominados por RM21, RM22 e RM23.
       A planilha RMFC possui uma tabela de conversão (tabela Nom) que permite a
substituição destes códigos pelos nomes dos residentes, fazendo a substituição dos
códigos pelos nomes em todas as tabelas da planilha, permitindo a construção
automática das escalas de trabalho nominais.
       No primeiro ano do programa, dois residentes desenvolverão atividades na
USF e comunidade, enquanto um terceiro estará em atividade nos estágios
curriculares, passando esta proporção para 4:2 a partir do segundo ano.
       Portanto, na USF, os residentes serão distribuído em diferentes regimes de
escalas, codificados como RMa e RMb, na implantação e RMa, RMb, RMc e RMd,
nos anos subseqüentes.

94
   Atividade centrada na atenção primária à saúde, priorizando a organização da demanda, o atendimento humanizado, com
criação de vínculo e responsabilização entre equipe e usuários, gerando continuidade do atendimento, trabalhando com
território adstrito e população a ele adscrita, e gerando participação do controle social (DUNCAN e SCHMIDT, 2004).
95
   Em uma população de 1.000 pessoas, maiores de 15 anos, a cada mês (em média), 750 apresentarão algum tipo de
sintoma, sendo que destas, 250 procurarão algum tipo de atendimento, das quais 5 serão encaminhadas a especialistas e
nove serão hospitalizadas.
157

       Conforme veremos nas tabelas a seguir, esta codificação, além de equilibrar
as atividades dentro das proporções 2:1 e 4:2, também permite a troca organizada
de regime de escalas, a cada quatro meses em média, equacionando diferenças
entre os regimes de escalas e permitindo, por exemplo, que o residente passe por
todos os grupos operativos ou terapêuticos, existentes na sua USF de trabalho,
entre outras vantagens.
       Fica facilmente visualizável nas tabelas que a equipe sempre contará, a cada
mês, com a presença de um número igual de residentes de primeiro e de segundo
ano, permitindo, também a convivência entre residentes em diferentes estágios de
formação, potencializando as possibilidades de aprendizagem.

Tabela 7 – Distribuição anual de atividades (implantação)
     Residentes         FEV    MAR    ABR     MAI    JUN    JUL    AGO     SET    OUT    NOV    DEZ     JAN
       RM11             APS    APS    APS     APS    APS    APS    APS     EST    EST    EST    APS     FER
       RM12             EST    EST    EST     APS    APS    APS    APS     APS    APS    APS    FER     APS
       RM13             APS    APS    APS     EST    EST    FER    EST     APS    APS    APS    APS     APS
APS = período destinado às atividades na USF e na comunidade; EST = período destinado à realização dos estágios
curriculares e opcionais; FER = período de férias.


Tabela 8 – Distribuição anual de regimes de escalas (implantação)
     Residentes        FEV    MAR     ABR MAI JUN JUL              AGO    SET    OUT    NOV     DEZ    JAN
       RM11            RMa    RMa     RMa RMa RMb RMb              RMb    EST    EST    EST     RMb    FER
       RM12            EST    EST     EST RMb RMa RMa              RMa    RMa    RMb    RMb     FER    RMb
       RM13            RMb    RMb     RMb EST EST FER              EST    RMb    RMa    RMa     RMa    RMa Rma e
RMb = Diferentes tipos de regimes de escalas para as atividades na USF e na comunidade; EST = período destinado a
realização dos estágios curriculares e opcionais; FER = período de férias.


Tabela 9 – Distribuição anual de atividades
     Residentes        FEV    MAR     ABR    MAI    JUN     JUL    AGO    SET    OUT     NOV    DEZ    JAN
       RM11            APS    APS     APS    APS    APS     APS    APS    EST    EST     EST    APS    FER
       RM12            EST    EST     EST    APS    APS     FER    APS    APS    APS     APS    APS    APS
       RM13            APS    APS     APS    EST    EST     APS    EST    APS    APS     APS    FER    APS
       RM21            EST    EST     EST    APS    APS     APS    APS    APS    APS     APS    APS    FER
       RM22            APS    APS     APS    EST    APS     FER    APS    APS    EST     EST    APS    APS
       RM23            APS    APS     APS    APS    EST     APS    EST    EST    APS     APS    FER    APS
APS = período destinado às atividades na USF e na comunidade; EST = período destinado a realização dos estágios
curriculares e opcionais; FER = período de férias.


Tabela 10 – Distribuição anual de regimes de escalas
     Residentes        FEV    MAR     ABR    MAI    JUN    JUL     AGO    SET    OUT    NOV     DEZ    JAN
       RM11            Rma    Rma     Rma    Rma    Rmd    Rmd     Rmd    EST    EST    EST     Rmd    FER
       RM12            EST    EST     EST    Rmb    Rmb    FER     Rmb    Rmb    Rmc    Rmc     Rmc    Rmc
       RM13            Rmb    Rmb     Rmb    EST    EST    Rmb     EST    Rma    Rma    Rma     FER    Rma
       RM21            EST    EST     EST    Rmc    Rmc    Rmc     Rmc    Rmd    Rmd    Rmd     Rmd    FER
       RM22            Rmc    Rmc     Rmc    EST    Rmc    FER     Rma    Rma    EST    EST     Rma    Rma
       RM23            Rmd    Rmd     Rmd    Rmd    EST    Rmb     EST    EST    Rmb    Rmb     FER    Rmb
Rma, RMb, RMc e RMd = Diferentes tipos de regimes de escalas para as atividades na USF e na comunidade; EST = período
destinado a realização dos estágios curriculares e opcionais; FER = período de férias.
158



             4.10.1.                      Atividades na USF e na comunidade

     As atividades a serem desenvolvidas na USF e na comunidade estão
demonstradas nas tabelas a seguir e detalhadas nos itens subseqüentes.

Tabela 11 - Distribuição de atividades em horas por semana (implantação)*
                                                                                   Territo-
                   S de
                    ala                                         Assistência      rialização/            Gestãode      Atividades A   tuali-
                   espera    Acolhimento   Agenda Pós_plantão** dom  iciliar      pesquisa     Grupos   serviços**   com unitárias zação**    Totais
    Ra
     M               1            8          9              2            4           4            2         4             2          4          40
    Rb
     M               1            8          9              2          4,25          4          1,75        4             2          4          40
    PM               0           20          14             0           0            0            0         4             0          2          40
  P (%
   eso )            2,5          20         22,5            5        10,3125        10         4,6875      10             5          10        100
* Os residentes também participarão de 1 dia temático por mês (num total de 9) que será realizado em feriados ou fins de
semana
Rma e RMb = regimes de escalas dos residentes; PM = regime de escala do preceptor médico; Peso (%) = peso percentual de
cada atividade em relação aos 10 turnos semanais.


Tabela 12 - Produtividade direta nas demandas espontâneas e organizadas
(implantação)
                     D anda expontânea
                      em                                                          D anda organizada
                                                                                   em                                                         Total
                                                                Assistência                                               Atividades
                            Acolhimento            Agenda        dom iciliar                   Grupos                    com unitárias        Us.
  Tem in)
       po(m                    15                    30             45         Tem in)
                                                                                   po(m         120      Tem in)
                                                                                                            po(m               120
 Intervalo(m in)                5                     5             15          Us./grupo       30        Us./ativ.             30
  C ons./turno                 12                     6              4
    U ês
      s./m                     432                  192             33          U ês
                                                                                 s./m           120        U ês
                                                                                                            s./m               120            777
Cons./turno = quantidade de consultas realizadas em cada turno; Us./mês = quantidade de usuários atendidos em cada mês;
Us./grupo = quantidade de usuários atendidos em cada grupo; Us./grupo = quantidade de usuários atendidos em cada
atividade comunitária.


Tabela 13- Distribuição de atividades em horas por semana*
                                                                                   Territo-
                   S de
                    ala                                         Assistência      rialização/            Gestãode      Atividades A   tuali-
                   espera    Acolhimento   Agenda Pós_plantão** dom  iciliar      pesquisa     Grupos   serviços**   com unitárias zação**    Totais
    Ra
     M              1,25          8          8              2          4,75        4,25         2,25        4            1,5          4         40
    Rb
     M                1           8          8              2          4,5           4           2,5        4             2           4         40
    Rc
     M              1,25          8          8              2          4,75          4            2         4             2           4         40
    Rd
     M              1,5           8          8              2          4,25          4          2,25        4             2           4         40
    PM                0           4          0              0           0            0            0         4             0           4         12
  P (%
   eso )      3,125              20          20     11,40625510,15625              10          5,625
                                                                                           4,6875    10                                        100
* Os residentes também participarão de um dia temático por mês (num total de nove) que será realizado em feriados ou fins de
semana
Rma, RMb, RMc e RMd = regimes de escalas dos residentes; PM = regime de escala do preceptor médico; Peso (%) = peso
percentual de cada atividade em relação aos 10 turnos semanais.


Tabela 14 - Produtividade direta nas demandas espontâneas e organizadas
                     Demanda expontânea                                           Demanda organizada                                          Total
                                                                Assistência                                               Atividades
                    Acolhimento      Agenda                      dom iciliar                   Grupos                    comunitárias         Us.
   Tempo(min)           15              30        45                           Tempo(min)       120      Tempo(min)            120
 Intervalo(min)          5               5        15                            Us./grupo       30        Us./ativ.             30
   Cons./turno          12               6         4
    Us./m ês           432             192        73                             Us./mês     330       Us./mês      240        1.027
Cons./turno = quantidade de consultas realizadas em cada                       turno; Us./mês = quantidade de usuários atendidos em cada mês;
Us./grupo = quantidade de usuários atendidos em cada                           grupo; Us./grupo = quantidade de usuários atendidos em cada
atividade comunitária.
159

      A planilha RMFC distribui os residentes de forma a otimizar os espaços físicos
e garantir a participação equânime em todas as atividades.
      Possui cinco grupos de tabelas de atividades, uma para cada dia da semana,
que, por sua vez, são divididas em quatro dias por mês, conforme o exemplo abaixo:

Quadro 3 – Distribuição de atividades para as quatro terças-feiras de um mês
TERÇA-FEIRA                                                                    DISTRIBUIÇÃO DE ATIVIDADES
1ª SEMANA
                Sala de                 Peuricultura/                   Assistência                  Territo-                    Atividades    Atuali-
                espera    Acolhimento     infância      Pós-plantão      domiciliar                rialização   Grupos   Gestão comunitárias   zação
   Manhã
     1                       RMa           RMc             RMb                                                                      RMd
     2                       RMa           RMc             RMb                                                                      RMd
     3                       RMa           RMc             RMb                                                  RMd
     4                       RMa           RMc             RMb                                                  RMd
   Tarde
     1                       RMc           RMa                        RMd                                       RMb
     2                       RMc           RMa                        RMd                                       RMb
     3                       RMc           RMa                        RMd                                                           RMb
     4                       RMc           RMa                        RMd                                                           RMb

2ª SEMANA
                Sala de                 Peuricultura/                   Assistência                  Territo-                    Atividades    Atuali-
                espera    Acolhimento     infância      Pós-plantão      domiciliar                rialização   Grupos   Gestão comunitárias   zação
   Manhã
     1           RMd         RMa           RMb             RMc
     2                       RMa           RMb             RMc        RMd
     3                       RMa           RMb             RMc                                                                      RMd
     4                       RMa           RMb             RMc                                                                      RMd
   Tarde
     1           RMb         RMc           RMd                        RMa
     2                       RMc           RMd                        RMa                                       RMb
     3                       RMc           RMd                        RMa                                       RMb
     4                       RMc           RMd                        RMa                                       RMb


3ª SEMANA
                Sala de                 Peuricultura/                   Assistência                  Territo-                    Atividades    Atuali-
                espera    Acolhimento     infância      Pós-plantão      domiciliar                rialização   Grupos   Gestão comunitárias   zação
   Manhã
     1                       RMa           RMc             RMb                                                                      Rmd
     2                       RMa           RMc             RMb                                                                      RMd
     3                       RMa           RMc             RMb                                                  RMd
     4                       RMa           RMc             RMb                                                  RMd
   Tarde
     1           RMb         RMc           RMa                        RMd
     2                       RMc           RMa                        RMd                                       RMb
     3                       RMc           RMa                        RMd                                       RMb
     4                       RMc           RMa                        RMd                                       RMb

4ª SEMANA
                Sala de                 Peuricultura/                   Assistência                  Territo-                    Atividades    Atuali-
                espera    Acolhimento     infância      Pós-plantão      domiciliar                rialização   Grupos   Gestão comunitárias   zação
   Manhã
     1           RMd         RMa           RMb             RMc
     2                       RMa           RMb             RMc                               RMd
     3                       RMa           RMb             RMc                               RMd
     4                       RMa           RMb             RMc                               RMd
   Tarde
     1           RMb         RMc           RMd                        RMa
     2                       RMc           RMd                        RMa         RMb
     3                       RMc           RMd                        RMa                                                           RMb
     4                       RMc           RMd                        RMa                                                           RMb

              As atividades serão detalhadas nos itens seguintes:


                  4.10.1.1. Sala de Espera

      O trabalho de sala de espera ocupa em torno de uma hora semanal e
consiste em atividades de informação (utilidade pública, estrutura e funcionamento
160

da USF), prevenção de doenças e educação em saúde, realizadas com os usuários
que estiverem na sala de espera da USF.
       O residente poderá usar explanações discursivas, dinâmicas, diálogos
individuais ou qualquer outra técnica através do exercício da criatividade.


         4.10.1.2. Acolhimento

   O acolhimento consiste em um atendimento de tempo variável (cinco a 30
minutos, 15 minutos em média) onde poderão ocorrer as seguintes possibilidades,
cumulativas ou não:
      a) Resolução do fato;
      b) Encaminhamento para agenda com uma das áreas profissionais existentes
         na unidade;
      c) Encaminhamento para o nível secundário;
      d) Encaminhamento para o nível terciário;
      e) Mobilização da equipe para atendimento de urgência/emergência de
         acordo coma as limitações existentes na unidade.

       O acolhimento não é uma simples triagem, apesar de englobá-la. Implica em
escuta, em disponibilidade pessoal, o que em muitos casos já é resolutivo. Implica,
também, em subjetividade e em alteridade. É um espaço de negociação entre a
equipe e o usuário, propiciando uma intermediação entre as necessidades imediatas
deste último e a capacidade de atendimento da primeira.
       O usuário sempre receberá um encaminhamento, que poderá ser ou não o
motivo da sua procura pela unidade, mas que sempre incidirá, com um percentual
maior ou menor de resolutividade, sobre a demanda do usuário. A resolutividade do
acolhimento irá variar com a capacidade de avaliação e de escuta do profissional e
com os recursos que estiverem disponíveis no momento.
       A resolutividade atingida pelo acolhimento é cumulativa, posto que está
relacionada com a continuidade do atendimento. Em outras palavras, uma demanda
pode ser resolvida em um ou vários acolhimentos, ou em um acolhimento e uma
agenda, dentre as várias possibilidades de combinação.
       O acolhimento também é um excelente espaço para promoção de saúde,
prevenção de doenças e educação em saúde.
       A diferença entre o acolhimento e a agenda consiste, principalmente, no fato
do primeiro ser um componente da demanda espontânea e do último ser um
componente da demanda organizada. Caberá à equipe a habilidade de instruir os
usuários e conduzir a demanda de forma a não surgirem distorções de sobrecarga
num ou noutro espaço.


         4.10.1.3. Agenda

       A agenda é uma grande ferramenta na concretização da organização da
demanda e obedecerá a mesma sistemática que está sendo utilizada na definição
dos protocolos municipais de saúde (Secretaria de Município da Saúde) e na
reforma curricular universitária (Universidade Federal de Santa Maria), ou seja, o
ciclo de vida do desenvolvimento humano.
161

        Dentro deste paradigma, a semana iniciará na segunda-feira com a gestação
e o puerpério e na terça-feira serão agrupados os atendimentos de puericultura e
infantis.
        A quarta-feira será reservada para as atividades de atualização e gestão (ver
itens específicos), ocorrendo apenas algumas atividades de acolhimento pelo turno
da manhã.
        Na quinta-feira serão realizados os atendimentos de adolescentes e adultos e
a sexta-feira será reservada para a assistência de adultos e de idosos.
        Em todos os atendimentos será estimulada a participação do cônjuge e/ou
familiares ou responsáveis.
        Esta distribuição equaciona as seguintes variáveis:
          a) Organização da demanda: a distribuição por dias da semana permite que
             toda a dinâmica da unidade seja regida pelo tema diário, permitindo,
             inclusive, a organização das atividades de grupo por dia da semana
             (grupo de gestantes, grupo de mães, grupo de adolescentes, grupo de
             qualidade de vida, etc.)
          b) Continuidade, responsabilização e vínculo: o usuário será atendido
             sempre pelo mesmo profissional em praticamente todos os retornos, já
             que cada profissional utilizará o mesmo dia da semana quinzenalmente.
             Nos casos de retornos em sete dias ou menos (em geral para gestantes)
             haverá vínculo e responsabilização pela equipe.
          c) Garantia de ensino em serviço: todos os residentes passarão por todos
             os ciclos de desenvolvimento humano, com a mesma quantidade de
             turnos mensais (as poucas diferenças serão compensadas nos ajustes
             quadrimestrais). Aos preceptores também será facultado o trânsito por
             todas as modalidades de agendamento, permitindo também a estes o
             vínculo com a comunidade e a visão da situação local.


          4.10.1.4. Pós-plantões e plantões

        Dentro da ótica de garantir, além de um atendimento humanizado para os
usuários, também um espaço de trabalho humanizado para os trabalhadores de
saúde, será preconizado um tempo de quatro horas de repouso pós-plantão.
        Como os eixos teóricos serão desenvolvidos nas terças, quintas e sextas-
feiras, à noite, os plantões ocorrerão, quinzenalmente, nas segundas e quartas-
feiras, das 19h às 7h e, conseqüentemente, os pós-plantões ocorrerão nas terças e
quintas-feiras, no turno da manhã.
        Os plantões darão conta do treinamento em serviço nas áreas de urgência e
emergência em pediatria, obstetrícia e ginecologia e para adultos.
        Ocorrerão no Pronto Socorro Regional (Hospital Universitário de Santa
Maria), no Pronto Atendimento Municipal e no Hospital Casa de Saúde.
        A planilha RMFC distribui os residentes de forma a garantir:
                  • um número igual de plantões, por residente, em cada área;
                  • a presença de residentes em todos os meses do ano, nos
                     serviços ligados ao projeto;
                  • que os pós-plantões não prejudiquem a dinâmica de trabalho da
                     equipe.
162

Tabela 15 - Distribuição de plantões por tipo de regime de escala
          (implantação)
                                    P la n tã o          P ó s -p la n tã o           P la n tã o             P ó s -p la n tã o
                                S e g u n d a -fe ira    T e rç a -F e ira          Q u a rta -fe ira         Q u in ta -fe ira
     1ª sem ana                       RMb                     RMb                         RMa                      RMa
     3ª sem ana                       RMb                     RMb                         RMa                      RMa


Tabela 16 - Distribuição de plantões por tipo plantão (implantação)
 Residentes            FEV        MAR         ABR       MAI       JUN         JUL        AGO    SET          OUT      NOV          DEZ    JAN
   RM11                PD          PD         PD        PD        GO          GO         GO      GO          AD        AD          AD FER
   RM12                GO          GO         GO        GO        PD          FER        PD      PD          AD        AD          AD  AD
   RM13                AD          AD         AD        AD        PD          PD         PD      PD          GO        GO          FER GO
PD = urgência e emergência em pediatria; GO = urgência e emergência em obstetrícia e ginecologia; AD = urgência e
emergência adultos.


Tabela 17 - Totalizador de plantões (implantação)
 Residentes        PD                       GO                AD               Totais
   RM11                8                     7                7                     22
   RM12                7                     7                8                     22
   RM13                7                     7                8                     22
   Totais          22                       21                23                    66
PD = urgência e emergência em pediatria; GO = urgência e emergência em
obstetrícia e ginecologia; AD = urgência e emergência adultos.


Tabela 18 - Distribuição de plantões por tipo de regime de escala
                                  Plantão                Pós-plantão                  Plantão                 Pós-plantão
                                Segunda-feira            Terça-Feira                 Quarta-feira             Quinta-feira
     1ª semana                        RMb                     RMb                         RMa                      RMa
     2ª semana                        RMc                     RMc                         RMd                      RMd
     3ª semana                        RMb                     RMb                         RMa                      RMa
     4ª semana                        RMc                     RMc                         RMd                      RMd

Tabela 19 - Distribuição de plantões por tipo plantão
Residentes     FEV     MAR     ABR                    MAI    JUN     JUL     AGO                   SET    OUT     NOV     DEZ     JAN
             SEG QUA SEG QUA SEG QUA               SEG QUA SEG QUA SEG QUA SEG QUA              SEG QUA SEG QUA SEG QUA SEG QUA SEG QUA
  RM11       PD   PD       PD    PD    PD    PD    PD   PD    GO GO GO GO            GO   GO    GO      AD    AD    AD    AD       AD AD AD     FER   FER
  RM12       GO   GO       GO    GO    GO    GO    GO   GO    PD PD FER FER          PD   PD    PD      PD    AD    AD    AD       AD AD AD     AD    AD
  RM13       AD   AD       AD    AD    AD    AD    AD   AD    AD PD PD PD            PD   PD    PD      GO    GO    GO    GO       GO FER FER   GO    GO
  RM21       PD   PD       PD    PD    PD    PD    PD   PD    GO GO GO GO            GO   GO    GO      AD    AD    AD    AD       AD AD AD     FER   FER
  RM22       GO   GO       GO    GO    GO    GO    GO   GO    PD PD FER FER          PD   PD    PD      PD    AD    AD    AD       AD AD AD     AD    AD
  RM23       AD   AD       AD    AD    AD    AD    AD   AD    PD PD PD PD            PD   PD    PD      PD    GO    GO    GO       GO FER FER   GO    GO
PD = urgência e emergência em pediatria; GO = urgência e emergência em obstetrícia e ginecologia; AD = urgência e
emergência adultos.

Tabela 20 - Totalizador de plantões
 Residentes        PD                       GO                AD               Totais
   RM11                8                     7                7                     22
   RM12                7                     7                8                     22
   RM13                7                     7                8                     22
   RM21                8                     7                7                     22
   RM22                7                     8                7                     22
   RM23                7                     7                8                     22
   Totais          44                       43                45                132
PD = urgência e emergência em pediatria; GO = urgência e emergência em
obstetrícia e ginecologia; AD = urgência e emergência adultos.
163




         4.10.1.5. Assistência domiciliar

      Os atendimentos a domicílio ocuparão em média quatro horas por semana de
cada residente, nos horários fixos designados para a assistência domiciliar e em
outras quatro horas semanais de outras atividades de campo sob regime de
sobreaviso para os casos de emergência. Ocorrerão dentro de três modalidades
(LOPES e Col., 1998):
   a)    Atendimento domiciliar: é o atendimento prestado no domicílio, para
         pacientes agudamente doentes, e que em função disto estejam
         temporariamente impossibilitados de comparecer à USF. Será prestado
         preferencialmente pelo médico do paciente ou pelo médico designado pela
         escala.
   b)    Internação domiciliar: é o atendimento no domicílio, de pacientes
         agudamente doentes com problema de saúde que exija uma atenção mais
         intensa, mas que possam ser mantidos em casa, desde que disponham de
         um acompanhamento freqüente pela equipe da USF e a família assuma
         parte dos cuidados. Também se enquadram aqui os pacientes que
         receberam alta hospitalar em função de poderem ser cadastrados e
         atendidos pela Assistência Domiciliar. Este atendimento não substitui a
         internação hospitalar.
   c)    Acompanhamento domiciliar: é um atendimento mais específico a
         pacientes que necessitem contatos freqüentes e programáveis com os
         profissionais da equipe. São condições apropriadas para inclusão no
         Acompanhamento Domiciliar:
          • Paciente portador de doença crônica que apresente dependência
              física;
          • Pacientes em fase terminal;
          • Pacientes idosos, com dificuldade de deambulação ou morando
              sozinhos.

      Existem situações e objetivos que justificam a realização de assistência
domiciliar:
           • Chamado de emergência nos casos em que o paciente não pode ser
             transportado rapidamente para o hospital;
           • Atendimento de situações ou doenças agudas que incapacitam o
             paciente a vir até a USF;
           • Intercorrências dos pacientes crônicos, terminais ou em internação
             domiciliar;
           • Visita periódica para pacientes com incapacidade funcional, idosos
             acamados ou que moram sozinhos;
           • Visitas aos pacientes egressos hospitalares;
           • Confirmação de óbito.


         4.10.1.6. Territorialização e pesquisa
164

        Santa Maria possui o melhor e mais completo sistema de georeferenciamento
de toda a região sul do país, contando com mais de 50 mapas temáticos com uma
infinidade de dados e possibilidades de cruzamento (SCHMITZ, VAZ, BERNARDI
NETO e col., 2004) e que permitiu uma sistematização otimizada dos territórios de
abrangência, quando da implantação das primeiras USF (ver figura abaixo).




                                                                  017MGA01ILE034

                                                                                                   PREFEITURA MUNICIPAL DE SANTA MARIA
                                                                                                   SECRETARIA DE MUNICÍPIO DA SAÚDE
                                                                                                   ESTRATÉGIA DE SAÚDE DA FAMÍLIA

                                                                                             CARTÃO PROVISÓRIO DA FAMÍLIA



                                                                                             Espaço para carimbo e rubrica

                                                                                             Nº 017MGA01ILE014


                                           Mapa final de uma micro-área (MA), em formato A3, desenvolvido pela
                                           Secretaria de Viação e Transportes após o retorno das informações da
                                           territorialização. Cada MA recebeu uma cor padronizada de identificação
                                           que também foi utilizada como identificador dos envelopes das famílias
                                           (através de fita adesiva colorida), facilitando a organização e localização
                                           dos prontuários.
                                           As famílias recebem um cartão provisório, que será substituído pelo
                                           cartão SUS, e são identificadas por uma codificação que utiliza um
                                           sanduíche de letras e números, facilitando tanto a organização visual
                                           quanto a informatização do sistema.

 Capacidade de detalhamento do sistema, partindo de um mapa geral
 do município até a planta baixa de uma clínica de traumato-
 ortopedia. Os retângulos vazados indicam a área que será ampliada
 no plano seguinte.

        Figura 27– Territorialização e cadastramento

        É importante frisar que territorialização difere de cadastramento, posto que,
enquanto a primeira se refere ao estudo sistemático do território e é uma tarefa
comum a toda a equipe, o segundo refere-se ao detalhamento da população adscrita
a este território e é uma das tarefas do Agente Comunitário de Saúde - ACS.
Para se adscrever uma população a um determinado território é imprescindível
      conhecer, delimitar e, de início, minimamente detalhar este território.
        A estratégia de trabalho será dividida em macro e microterritorialização.
        A macroterritorialização é de caráter rápido e tem como principal função
localizar e nominar logradouros (inclusive desenhando logradouros que não existam
no mapa), delimitar as microrregiões de cada ACS e identificar os limites de
abrangência de cada equipe.
        Para realizar este trabalho os residentes receberão da Secretaria de Viação e
Transportes -SVT, para cada equipe, um mapa da sua região de abrangência, em
tamanho A1 ou A2, delimitado de acordo com as informações fornecidas pela
Secretaria de Município da Saúde (SMS) e acrescido de uma margem de segurança
territorial.
Também serão fornecidos mapas de campo em tamanho A4, para cada
      microrregião, também acrescidos de uma margem de segurança territorial.
        A margem de segurança tem por finalidade dar oportunidade de verificação
de quaisquer dúvidas quanto aos limites das regiões e microrregiões. Os mapas de
165

campo terão o mapa da microrregião na frente e, no verso, um mapa de localização
da microrregião, conforme a figura abaixo.




      Frente                               Verso
      Figura 28– Mapa de campo.

       Após a devolução dos mapas de campo para a SVT, as correções
necessárias serão realizadas pelo setor de topografia e serão de grande valia para o
município. As equipes terão o retorno na forma de mapas gerais e de campo com
limites precisos e que servirão de base para os trabalhos de microterritorialização.
       A microterritorialização é de caráter lento e detalhado. Os limites e o
logradouro estão para a macro assim como o lote e a casa estão para a
microterritorialização e a família e o indivíduo estão para o cadastramento.
       A microterritorialização tem por finalidade desvelar os detalhes da
microrregião, assim como detectar microáreas de risco. Por microáreas de risco
entende-se regiões de risco, no que diz respeito a violência (assaltos, drogas,
regiões de domínio, etc.), infra-estrutura precária (esgotos a céu aberto, criações de
animais, lixões, etc.), risco geográfico, risco hídrico e ocupações irregulares. Muitas
destas áreas já estão mapeadas pela SVT.
       Também será possível identificar:
 • A malha de transporte coletivo e os principais fluxos humanos;
 • Tipo de via pública: asfalto, calçamento, chão batido, improvisada;
 • Tipo de moradias: alvenaria, madeira, mista, improvisada;
 • Quantidade de moradias por lote;
 • Ferramentas sociais: creches, escolas, templos, associações comunitárias;
 • Ferramentas de saúde: UBSs.

       A microterritorialização, além de aumentar o conhecimento da equipe sobre a
região, fornece a possibilidade do georeferenciamento, através da associação de
dados eletrônicos com os mapas digitais da SVT. O exemplo abaixo mostra como é
possível a visualização da distribuição espacial da ocorrência de determinada
patologia, dos limites das microáreas de risco e da associação de vários indicadores.
166




     Levantamento topográfico / curvas   Plotagem da localização dos esgotos a
     de nível.                           céu aberto (pontos).




      Zonas de alagamento (polígonos).   Zonas de risco para infecções
                                         (resultado da intersecção).


      Figura 29 – Aplicação prática do georeferenciamento (VAZ e col., 2004)

      O espaço da territorialização servirá também para levantamentos
epidemiológicos locais e para o desenvolvimento de pesquisas de interesse para a
USF, por parte dos residentes.


          4.10.1.7. Grupos

       Cada residente terá, em média, duas horas semanais para o desenvolvimento
de atividades de grupo, devendo ser responsável por, no mínimo, dois grupos
diferentes.
       A carga horária para esta atividade permitirá, além da implementação prática
do grupo, o tempo necessário para o planejamento, registro e sistematização das
atividades.
       Os grupos serão definidos de acordo com as necessidades da USF e da
comunidade.
       A troca quadrimestral de regime de escalas possibilitará aos residentes
passarem por todos os grupos em atividade na USF.


          4.10.1.8. Gestão de serviços

      As atividades de gestão de serviços ocorrerão sempre na quarta-feira à tarde,
quando a USF terá apenas expediente interno. Os residentes que não estiverem
alocados na USF, também participarão, independente do estágio que estiverem
167

realizando (salvo estágios opcionais fora do município). As atividades serão as
seguintes:
          • Reunião de equipe: de freqüência semanal, ocorrerá sempre nas
             primeiras duas horas da tarde e servirá para discussão de assuntos
             internos, organização de atividades, esclarecimento de dúvidas,
             resolução de problemas, etc.;
          • Reunião inter-equipes: de freqüência mensal, sempre na última
             semana do mês e ocupando as duas últimas horas da tarde. Terá,
             entre outras, a função de troca de experiências, padronização de
             atividades e resolução de problemas comuns, além de ser um espaço
             de interlocução com o gestor;
          • Reunião de comunidade: de freqüência mensal, sempre na primeira
             semana do mês e ocupando as duas últimas horas da tarde. Terá por
             finalidade, entre outras, a interlocução com a comunidade local, a
             recepção de queixas e sugestões, o esclarecimento de dúvidas e o
             planejamento participativo das atividades;
          • Gerência local: de freqüência mensal, sempre na terceira semana do
             mês e ocupando as duas últimas horas da tarde. Terá por finalidade,
             entre outras, a confecção dos relatórios necessários a ESF, o
             planejamento e o controle dos insumos (material, medicamentos, etc.),
             a orientação de ACS e o planejamento e o controle das atividades da
             USF. Caso necessário, os residentes poderão ocupar a segunda hora
             da reunião de equipe para estas atividades.
          • Vivências: a exemplo da experiência adquirida no projeto Ver-SUS
             (MINISTÉRIO DA SAÚDE, 2004), os residentes terão oportunidade,
             durante toda uma tarde, de vivenciar os diversos serviços de saúde da
             rede municipal, com a finalidade de ter uma visão de conjunto do
             sistema e realizarem uma apropriação das informações a respeito das
             possibilidades de encaminhamento e atividades em conjunto.

      Tabela 21 – Gestão de serviços - carga
                horária anual
           DESCRIÇÃO            SIGLA    TOTAL
         Reunião de equipe       RE        72
        Reunião inter-equipes    RI        24
        Reunião comunitária      RC        24
             Vivências           VV        48
           Gerência local        GL        24
           TOTAL GERAL                    192


      Tabela 22 – Gestão de serviços – Distribuição
                 mensal
         Horas     1ª semana 2ª semana 3ª semana 4ª semana
          1ª          RE        VV        RE        RE
          2ª          RE        VV        RE        RE
          3ª          RC        VV        GL        RI
          4ª          RC        VV        GL        RI

     Na primeira semana de vivência do ano, todos os residentes participarão de
uma palestra sobre a rede municipal de serviços.
168

       As atividades de vivência serão distribuídas de forma que cada serviço
receba, por vez, um residente de cada USF, evitando o acúmulo de pessoas e o
prejuízo das atividades normais do serviço.
       Desta forma, além de propiciar trocas entre residentes de diferentes USF, os
residentes de uma mesma USF estarão passando por diferentes espaços, trazendo
um aporte maior de informações para a equipe.
       Serão priorizadas as passagens pela Secretaria de Município da Saúde -
SMS, pelo Conselho Municipal de Saúde – CMS, pela 4ª Coordenadoria Regional de
Saúde - 4ªCRS e pelas estruturas de nível secundário e terciário.
       Ainda serão reservadas quatro tardes para visitação de estruturas ligadas a
ações intersetoriais de interesse do residente e da USF (outras secretarias
municipais, centros universitários, Organizações Não Governamentais – ONG, por
exemplo).
       As tabelas abaixo dão conta desta distribuição:

Tabela 23 – Distribuição anual de vivências (implantação)
Residentes   FEV M  AR   ABR    M AI    JUN      JUL        AGO       SET     O UT     NO V     DEZ     JAN
  RM 11      Geral SMS   SM S   CM S   4ªCRS      NS         NT        IS      IS       IS       IS     FER
  RM 12      Geral IS     IS    SM S    SM S     FER        CMS      4ªCRS     NS       NT       IS      IS
  RM 13      Geral IS     IS     IS      IS      SMS        SMS       CM S   4ªCRS      NS      FER      NT
SMS = Secretaria de Município da Saúde; CMS = Conselho Municipal de Saúde; 4ªCRS = 4ª Coordenadoria Regional de
Saúde; NS = Estruturas de nível secundário; NT = Estruturas de nível terciário; IS = Intersetorialidade.


Tabela 24 – Distribuição anual de vivências
Residentes FEV MAR      ABR       MAI     JUN       JUL        AGO         SET        OUT       NOV      DEZ JAN
  RM11 Geral SMS        SMS       CMS    4ªCRS       NS         NT           IS        IS        IS       IS FER
  RM12 Geral IS          IS       SMS     SMS       FER        CMS        4ªCRS        NS        NT       IS  IS
  RM13 Geral IS          IS        IS      IS       SMS        SMS         CMS       4ªCRS       NS      FER  NT
  RM21 Geral 4ªCRS NS              NT      IS        IS          IS        SMS        SMS       CMS       IS FER
  RM22 Geral IS        4ªCRS       NS      NT       FER          IS          IS        IS       SMS      SMS CMS
  RM23 Geral IS          IS      4ªCRS     NS        NT          IS          IS       CMS       SMS      FER SMS
SMS = Secretaria de Município da Saúde; CMS = Conselho Municipal de Saúde; 4ªCRS = 4ª Coordenadoria Regional de
Saúde; NS = Estruturas de nível secundário; NT = Estruturas de nível terciário; IS = Intersetorialidade.




                4.10.1.9. Atividades comunitárias

       Os residentes terão, em média, duas horas semanais para a realização de
atividades comunitárias de prevenção de doenças e educação em saúde em
creches, escolas, associações, templos religiosos e outras estruturas comunitárias,
criando uma relação de tutoria e assessoria com as mesmas.
       A troca quadrimestral de regime de escalas possibilitará aos residentes
passarem por todas as estruturas “adotadas” pela USF.


                4.10.1.10.             Atualização

      Serão disponibilizadas quatro horas semanais, sempre na quarta-feira de
manhã, para atividades de atualização, que incluem sessões clínico-radiológicas,
sessões clínico-laboratoriais e apresentação de artigos.
      As sessões clínicas ocorrerão em regime de Aprendizado Baseado em
Problemas – ABP (FERREIRA FILHO e col., 2002), onde os residentes terão
oportunidade de discutir os casos acumulados durante o treinamento em serviço.
169

       Ocorrerão em dois espaços: em dois blocos de duas horas, nas dependências
da UFSM e reunindo os residentes das duas USF e em quatro blocos de uma hora,
nas dependências da USF, através da visita dos especialistas.
       As tabelas abaixo dão conta do detalhamento e da carga horária das
atualizações:

Tabela 25 – Detalhamento e carga horária das atualizações
       DESCRIÇÃO             SIGLA   UFSM     EQUIPE       Total
         Radiologia          RD       12        0           12
          Pediatria          PD       12        12          24
  Obsteríciae ginecologia    GO       12        12          24
          Cirurgia           CG       12        0           12
        Cardiologia          CD       0         6           6
      Endocrinologia         ED       0         6           6
      Peneumologia           PN       0         6           6
      Reumatologia           RT       0         6           6
       Dermatologia          DT       0         6           6
 Ortopedia e traumatologia   OT       0         6           6
         Neurologia          NR       12        0           12
        Infectologia         IF       12        0           12
     Gastroenterologia       GE       12        0           12
         Nefrologia          NF       12        0           12
          Geriatria          GT       0         6           6
   Medicina do trabalho      MT       0         6           6
  Apresentação de artigo     AT       0         24          24
        Total Geral                                        192

Tabela 26 – Distribuição bimensal das atualizações (1º mês)
                      UFSM                  Equipe
    Hora      1ª semana  2ª semana   3ª semana 4ª semana
     1ª          RD          NR         PD        MT
     2ª          RD          NR         CD        GO
     3ª          PD          GO         ED        AT
     4ª          PD          GO         PN        AT

Tabela 27 – Distribuição bimensal das atualizações (2º mês)
                      UFSM                  Equipe
   Hora       1ª semana  2ª semana   3ª semana 4ª semana
    1ª           GE          CG        PD         GO
    2ª           GE          CG        GT         RT
    3ª           IF          NF        AT         DT
    4ª           IF          NF        AT         OT

        A distribuição ocorre de forma que as grandes áreas de pediatria e obstetrícia
e ginecologia sejam vistas com mais freqüência e as atividades que necessitem de
maior densidade tecnológica sejam realizadas na UFSM.
        As atualizações serão coordenadas por especialistas convidados para este fim ou por
clínico geral de notório saber.
        Cada residente apresentará um artigo a cada dois-quatro meses, sendo
quatro artigos por residente/ano, totalizando 24 artigos/ano. Serão apresentados
dois artigos por mês, sempre por um R1 e um R2, sempre na terceira ou quarta
quarta-feira, conforme o mês.
170

       Os artigos poderão tratar da realidade em APS ou da realidade do estágio por
onde o residente estiver passando. Um dos apresentadores sempre estará
passando por um estágio fora da USF, para que outras realidades possam
influenciar a escolha dos artigos.
       A apresentação de artigos obedecerá a seguinte escala anual:

Tabela 28 – Escala anual de apresentação de artigos (Implantação)
              4ª sem. 3ª sem. 4ª sem. 3ª sem. 4ª sem. 3ª sem. 4ª sem. 3ª sem. 4ª sem. 3ª sem. 4ª sem. 3ª sem.
 Residentes    FEV     MAR      ABR      MAI      JUN     JUL     AGO      SET     OUT      NOV      DEZ      JAN
   RM11                 AT               AT               AT                        AT                       FER
   RM12         AT              AT                       FER                AT                        AT
   RM13                                           AT               AT                        AT      FER      AT
Sem. = semana; AT = Artigo; Período de estágio.


Tabela 29 – Escala anual de apresentação de artigos
              4ª sem. 3ª sem. 4ª sem. 3ª sem. 4ª sem. 3ª sem. 4ª sem. 3ª sem. 4ª sem. 3ª sem. 4ª sem. 3ª sem.
 Residentes    FEV     MAR      ABR      MAI      JUN     JUL     AGO      SET     OUT      NOV      DEZ      JAN
   RM11                 AT               AT               AT                        AT                       FER
   RM12         AT              AT                       FER                AT                        AT
   RM13                                           AT               AT                        AT      FER      AT
   RM21                 AT                        AT                                AT                AT     FER
   RM22         AT                      AT               FER       AT                        AT
   RM23                         AT                        AT                AT                       FER      AT
Sem. = semana; AT = Artigo; Período de estágio.



         4.10.2.             Estágios
      Os estágios curriculares privilegiarão os serviços de Cirurgia Ambulatorial
(dois meses), Vigilância Epidemiológica (um mês) e Vigilância Sanitária (um mês),
bem como dois meses para estágios opcionais, totalizando seis meses de estágio
nos dois anos de residência.

Tabela 30 – Distribuição de estágios no 1º ano (Implantação)
      Residentes      FEV MAR ABR            MAI    JUN      JUL    AGO SET           OUT NOV DEZ            JAN
        RM11          APS APS APS APS APS APS APS                            VS        CA     CA APS FER
        RM12           VE    CA      CA APS APS FER APS APS APS APS APS APS
        RM13          APS APS APS             VS    CA APS CA APS APS APS FER APS
APS = Atenção Primária à Saúde; CA = Cirurgia Ambulatorial; VS = Vigilância Sanitária; VE = Vigilância Epidemiológica; FER =
Férias.


Tabela 31 – Distribuição de estágios no 2º ano (Implantação)
      Residentes      FEV MAR ABR             MAI    JUN      JUL     AGO SET          OUT NOV DEZ             JAN
        RM11          APS APS APS APS APS APS APS                              VE       OP      OP APS FER
        RM12           VS     OP     OP APS APS FER APS APS APS APS APS APS
        RM13          APS APS APS             VE     OP APS OP APS APS APS FER APS
APS = Atenção Primária à Saúde; CA = Cirurgia Ambulatorial; VS = Vigilância Sanitária; VE = Vigilância Epidemiológica; FER =
Férias.


Tabela 32 – Distribuição de estágios no 1º ano
      Residentes      FEV MAR ABR            MAI    JUN      JUL    AGO SET           OUT NOV DEZ            JAN
        RM11          APS APS APS APS APS APS APS                            VS        CA     CA APS FER
        RM12          VE     CA      CA APS APS FER APS APS APS APS APS APS
        RM13          APS APS APS             VS    CA APS CA APS APS APS FER APS
        RM21          CA     CA      VE      APS APS APS APS APS APS APS APS FER
        RM22          APS APS APS             VS   APS FER APS APS CA                         CA APS APS
        RM23          APS APS APS APS               VE APS            CA     CA APS APS FER APS
APS = Atenção Primária à Saúde; CA = Cirurgia Ambulatorial; VS = Vigilância Sanitária; VE = Vigilância Epidemiológica; FER =
Férias.
171



Tabela 33 – Distribuição de estágios no 2º ano
      Residentes      FEV MAR ABR            MAI    JUN      JUL    AGO SET           OUT NOV DEZ            JAN
        RM11          APS APS APS APS APS APS APS                            VE       OP      OP APS FER
        RM12           VS    OP      OP APS APS FER APS APS APS APS APS APS
        RM13          APS APS APS             VE    OP APS OP APS APS APS FER APS
        RM21           VS    OP      OP APS APS APS APS APS APS APS APS FER
        RM22          APS APS APS             VE   APS FER APS APS OP                         OP APS APS
        RM23          APS APS APS APS               VS       APS OP          OP APS APS FER APS
APS = Atenção Primária à Saúde; CA = Cirurgia Ambulatorial; VS = Vigilância Sanitária; VE = Vigilância Epidemiológica; FER =
Férias.




          4.10.3.            Eixos teóricos

       A carga horária mensal foi distribuída de forma a se encaixar dentro das 15
semanas por semestre da UFSM (março a junho e agosto a novembro, 180 horas
por semestre), mais a carga horária da RIS, contemplando os três meses utilizados
para férias (julho, dezembro e janeiro).

Tabela 34 – Disciplinas teóricas em ordem alfabética, com suas respectivas cargas
horárias
Disciplinas                                                                      Carga Horária
Atenção à Saúde nos diferentes estágios de desenvolvimento                               75
Atenção Básica em Saúde                                                                  90
Bases Antropológicas e Sociológicas da Saúde                                             60
Bioestatística                                                                           30
Bioética                                                                                 60
Desenvolvimento de Monografia                                                            90
Desenvolvimento Humano                                                                   45
Dinâmica das relações Interpessoais                                                      30
Educação em Saúde                                                                        60
Epidemiologia                                                                            60
Gestáo e Gerenciamento em Saúde I                                                        36
Metodologia da pesquisa                                                                  60
Políticas Públicas de Saúde                                                              36
Psicopedagogia na ABS                                                                    30
Semana Científica / Familiarização                                                      104
Urgências e Emergências I                                                                30
Urgências e Emergências II*                                                              40
Total                                                                                   936
*Esta disciplina ocorrerá em dois períodos em função das férias dos residentes
172



Tabela 35 – Distribuição de disciplinas no 1º semestre do 1º ano
                                   1º Ano - 1º Semestre
Período / Disciplinas                                                            C.H.   Dias da semana
Fevereiro
Semana Científica / Familiarização                                                52   Segunda à sexta
Políticas Públicas de Saúde                                                       36 Terça, quinta e sexta
Março a junho
Urgências e Emergências I                                                         30        Terça
Dinâmica das relações Interpessoais                                               30        Terça
Bases Antropológicas e Sociológicas da Saúde I                                    30        Quinta
Atenção Básica em Saúde                                                           30        Quinta
Atenção Básica em Saúde                                                           60        Sexta
Julho
Urgências e Emergências II*                                                      40 Terça, quinta e sexta
Total de horas no semestre                                                       308
*Esta disciplina ocorrerá em dois períodos em função das férias dos residentes
C.H.=Carga Horária


Tabela 36 – Distribuição de disciplinas no 2º semestre do 1º ano
Período / Disciplinas                                                            C.H.   Dias da semana
Agosto a novembro
Desenvolvimento Humano                                                            45        Terça
Atenção à Saúde nos diferentes estágios de desenvolvimento                        15        Terça
Atenção à Saúde nos diferentes estágios de desenvolvimento                        60        Quinta
Epidemiologia                                                                     60        Sexta
Janeiro
Urgências e Emergências II*                                                      40 Terça, quinta e sexta
Total de horas no semestre                                                       220
*Esta disciplina ocorrerá em dois períodos em função das férias dos residentes
C.H.=Carga Horária



Tabela 37 – Distribuição de disciplinas no 1º semestre do 2º ano
Período / Disciplinas                                                            C.H.   Dias da semana
Fevereiro
Semana Científica / Familiarização                                                52   Segunda à sexta
Gestão e Gerenciamento em Saúde                                                   36 Terça, quinta e sexta
Março a junho
Psicopedagogia na ABS                                                            30         Terça
Bases Antropológicas e Sociológicas da Saúde II                                  30         Terça
Metodologia da pesquisa                                                          60         Quinta
Educação em Saúde                                                                 60        Sexta
Total de horas no semestre                                                       268
C.H.=Carga Horária


Tabela 38 – Distribuição de disciplinas no 2º semestre do 2º ano
Período / Disciplinas                                                            C.H.   Dias da semana
Agosto a novembro
Bioética                                                                         60          Terça
Bioestatística                                                                    30        Quinta
Desenvolvimento de Monografia                                                    90      Quinta e sexta
Total de horas no semestre                                                       180
C.H.=Carga Horária
173




   4.11.     Avaliação

       As avaliações serão de caráter formativo e somativo. As avaliações
formativas terão periodicidade trimestral, perfazendo, portanto, quatro avaliações
anuais. Os critérios a serem considerados nestas avaliações serão: comportamento
ético, relacionamento com a equipe de saúde e com o paciente, interesse pelas
atividades, assiduidade, pontualidade e resolutividade.
       As avaliações somativas terão periodicidade semestral, caráter cumulativo e
envolverão o escopo de saberes práticos desenvolvidos durante o semestre.
       Será facultativo aos docentes dos eixos teóricos, ao final da disciplina, optar
por avaliação objetiva ou produção científica.
       No início do segundo ano de residência, após passar pelas disciplinas de
epidemiologia, bioestatística e metodologia científica, o residente optará por
produção de monografia ou artigo científico com aceite em periódico indexado.


5. REFERÊNCIAS
Ministério da Saúde, 2002, Projeto de Incentivo a Mudanças Curriculares nos Cursos
    de Medicina.
Universidade Federal de Santa Maria, 2003. Projeto Político-Pedagógico: Curso de
    Medicina – Conteúdos do Currículo e Disciplinas da UFSM (Versão preliminar)
Mazzorani, B.M.; Becker, A.S., 2003. Projeto de Implantação e Consolidação do
    Programa de Saúde da Família, Secretaria de Município da Saúde, Santa Maria,
    RS.
Ferreira Filho, O.F. e col., 2002. Visão Docente do Processo de Implementação da
    Aprendizagem Baseada em Problemas (APB) no Curso Médico da Universidade
    Estadual de Londrina (UEL), Revista Brasileira de Educação Médica, V 26, Nr.3,
    p.175-183, set/dez 2002.
Ceccim, R.B; Feurwerker, L.C.M., 2004. O quadrilátero da formação para a área da
    saúde: ensino, gestão, atenção e controle social, Physis, vol 14, nº 1, Rio de
    Janeiro, RJ.
Schmitz, C.A.A., 2004. RMFC, uma planilha eletrônica para organização e
    distribuição de atividades em atenção primária à saúde, documento interno.
White, K.L.; Williams, T.F.; Greenberg, B.G., 1961. Tehe ecology of medical care.
    New England Journal of Medicine., 265:885-92.
Lopes, J.M.C.; Oliveira, M.-B. H. e col., 1998. Assistência domiciliar: uma proposta
    de organização, Momentos e Perspectivas em Saúde, Vol. 11, n° 1, Porto
    Alegre, RS.
Schmitz, C.A.A.; Vaz, C.B., Bernardi Neto, C. e col., 2004. O georeferenciamento
    como ferramenta de adscrição, II Mostra Nacional de Produção em Saúde da
    Família, Brasília, DF.
Vaz, C.B.; Schmitz, C.A.A.; Mazzorani, B.M.; Carvalho, N.M., 2004.
    Georeferenciamento e Territorialização: Teoria e Prática, VI Congresso Brasileiro
    de Medicina de Família e Comunidade, Rio de Janeiro, RJ.
Ministério da Saúde, Projeto de Vivências e Estágios na Realidade do Sistema Único
    de Saúde do Brasil – VER-SUS/Brasil, 2004, Brasília, DF.
174



   APÊNDICE C - TRECHO AUTOBIOGRAFIA
       MEMÓRIA DA RESIDÊNCIA EM MEDICINA DE FAMÍLIA E
       COMUNIDADE
         Creio aqui ser importante, antes de lembrar da residência em si, lembrar o que me
levou a cursá-la. Tive minha formação acadêmica na Universidade Federal de Santa Maria,
um excelente centro de formação. Apesar disso nunca consegui sentir-me à vontade dentro do
formato vigente de ensino médico, pois o tratamento e, por muitas vezes, a manutenção da
doença preconizados no ambiente hospitalar, a partir do quinto semestre, em detrimento da
promoção da saúde ensinada nos primeiros semestres ia de encontro as minhas incipientes
idéias de saúde integral.
                Sentia-me totalmente deslocado, tentando ser um generalista dentro de um
local que empurrava todos em direção à especialidade. Frustrado e vencido direcionei-me para
aquilo que, na época, fazia melhor: a informática, mais especificamente ainda, enveredei-me
para o processamento digital de imagens médicas, um ramo super-especializado da
informática médica. Produzi bastante nesta área, conforme mostra meu currículo, e tinha meu
futuro profissional e financeiro garantido, pois iria ocupar um nicho de mercado bastante
seleto e valorizado.
                Algo, porém, não combinava: eu estava desistindo de ser médico, iria me
tornar um analista de sistemas. A tábua de salvação surgiu no último semestre, numa conversa
com um colega formando que me trouxe notícia de algo até então desconhecido: a residência
em medicina geral comunitária. A descrição dele era recheada de detalhes como vínculo,
trabalho em grupos, visitas domiciliares e contato com profissionais de outras áreas.
                Seduzido, decidi fazer um estágio opcional de um mês em um posto de saúde
do Hospital Nossa Senhora da Conceição em Porto Alegre.
                Apenas 28 dias foram suficientes para que eu voltasse a Santa Maria
completamente apaixonado. A informática médica, para tristeza de minha orientadora do
curso de física, perdia um de seus poucos técnicos especializados e a então medicina
comunitária ganhava mais um soldado para lutar na frente de batalha.
                O tom romântico da narrativa acima é proposital. Foi como um rito de
passagem: despir-se da frieza hospitalar e abraçar a paixão pelo SUS, pois não há como
sobreviver ao estado comatoso de nossas realidades sociais sem injeções passionais de ânimo.
                Isto nos traz à memória da residência em si. Adentrei no Programa de
Residência Integrada em Saúde, com ênfase em Medicina de Família e Comunidade, a ser
desenvolvido nas unidades básicas de saúde e centros conveniados do Centro de Saúde Escola
Murialdo, vinculado à Escola de Saúde Pública do Rio Grande do Sul, no período de 11 de
janeiro de 2001 a 11 de janeiro de 2003. Quando participei do processo seletivo ainda era
Medicina Geral Comunitária e a mudança de nome não me agradou muito (Geral sempre me
soou bem aos ouvidos), mas a seleção em si já foi diferente, tanto pela prova com aquelas
questões malucas de textos que ninguém havia lido (todos estudavam no modelo AMRIGS),
como pela entrevista, onde éramos questionados por psicólogos, nutricionistas e outros
profissionais num clima caseiro e cordial que durou quase trinta minutos (bem melhor que os
rápidos dez minutos das outras entrevistas) onde pude expor todos os meus motivos e provar
que um programador de computador recém formado em medicina tinha jeito para a coisa ( ou
perfil, como era dito na época).
                No início tudo era ideal, tudo era perfeito. A realidade, é claro, mostrou-se
bastante diferente, mas a paixão sempre esteve presente para dar ânimo nos piores e nos
melhores momentos e fatos. E houveram muitos, de ambos os tipos.
175

               Os piores foram a miséria da população, a desorganização e a corrupção do
sistema, os maus profissionais, o excesso invencível de demanda, a ignorância (esta tanto
social como profissional), a dissolução de minha equipe e a perda de meus pacientes em
decorrência dos problemas ocorridos no primeiro ano96 e, como não poderia deixar de ser, o
tamanho faraônico de todos estes problemas citados.
               Os melhores foram os pequenos bolsões de resistência: a união entre colegas
que preferiam morrer abraçados a desistir e correr, os seguimentos da comunidade que se
erguiam produzindo serviços e subsídios em prol da própria comunidade, a promoção efetiva
da saúde (sempre que possível), a estrutura do SUS (mesmo que em tese) e o acesso a
informação especializada (e qualificada).
               Se colocarmos tudo na balança talvez o lado pior, por ser maior, pese mais,
mas como já disse algum sábio, basta um pequeno fósforo para iluminar uma sala imersa em
escuridão. Tudo, enfim, soma-se numa palavra: aprendizado.
               Creio que aprendi bastante nesta residência e hoje posso somar, à paixão, o
bom senso.
        Acho que um dos fatos mais marcantes do processo de aprendizagem foi romper com
a barreira da medicina em direção à saúde integral. Não me considero mais apenas um médico
( e um de meus objetivos ao entrar nesta residência era tornar-me realmente um médico) mas
sim um profissional de saúde.

       INTERESSE NO 3º ANO DE RESIDÊNCIA EM GESTÃO E
       PLANEJAMENTO EM SAÚDE
               Quando participei do Seminário Internacional sobre Saúde da Família, em abril
de 2001, em Fortaleza, onde foram apresentadas as estruturas de saúde dos EUA, Canadá,
Espanha, Inglaterra e Holanda, pude perceber que a estrutura de saúde integral preconizada
em centros como Porto Alegre e Pelotas não deixava absolutamente nada a desejar em relação
a estes países. Pelo contrário, acredito que eles tenham muito a aprender conosco. Mas em
algo eles são extremamente superiores: possuem saúde integral em todo o país.
               Claro, nós temos o SUS, um dos melhores sistemas de saúde da atualidade.
Mas e saúde integral nos moldes do Centro de Saúde Escola Murialdo e do Hospital Nossa
Senhora da Conceição, onde encontramos? Infelizmente em poucos lugares e poucos são os
colegas da área da saúde que conhecem com alguma profundidade o trabalho desenvolvido
em Porto Alegre.
               Uma das indagações que mais me marcou durante estes últimos dois anos
partiu de minha esposa. Por diversas vezes ela me questionou quando pessoas como nós
teremos, no nosso bairro, o mesmo acesso à saúde, o mesmo modelo de assistência
preconizado no meu local de ensino/trabalho?


96
  Essa é uma das crônicas do Murialdo: eu e minhas colegas de equipe trabalhamos na famigerada
Equipe IV do Morro da Cruz e encabeçamos o movimento de paralisação dos residentes em 2001
dentro do Murialdo (foi um movimento nacional). Durante nossa ausência a população foi
politicamente incitada contra os residentes. No nosso retorno, quando uma de minhas colegas foi
ameaçada em sua integridade física, decidi dar ocorrência policial e me retirar da equipe, sendo
acompanhado pelas duas colegas médicas. Mais tarde, em retaliação, uma delas foi expulsa da
residência. Todos os residentes passaram a usar luto em todas as atividades da residência. Com
toda a pressão que fizemos (inclusive em alguns atos públicos) e a ajuda de bons advogados ela
pode retornar e se formar conosco. A Equipe IV continuou, tradicionalmente, dando dor de cabeça às
novas turmas de residentes que entraram. Tudo o que passei no Morro da Cruz foi importante para
minha formação médica e política, é como se fosse um modelo pedagógico a ferro e fogo que não
pode ser reproduzido em outro lugar e só existe lá.
176

              Temos o melhor sistema de saúde do mundo e o melhor centro de formação em
saúde pública do país (e o mais antigo). Mas ainda somos exceção e não regra.
              Este é o meu interesse no 3º ano de residência: exportar tecnologia. Quero
acumular mais conhecimento na área de gestão e planejamento para ajudar a reverter o quadro
acima citado. Como já disse, venho de Santa Maria, e acredito que lá temos todos os
elementos necessários para a disseminação da idéia da saúde integral. Temos uma
universidade em franco processo de reforma curricular, temos uma prefeitura que encabeça
um convênio intermunicipal e temos vários simpatizantes da idéia de uma saúde mais
humanizada, tanto docentes, como discentes e políticos.
              Tenho a humildade de saber que não serei o pivô desta mudança, mas pretendo
levar na bagagem tudo o que for possível para auxiliar no processo.
177



   APÊNDICE D – MINHA VISÃO METAFÓRICA DO INFERNO
       Certa vez, num sonho, o peso de meu desânimo arrastou-me até camadas
mais profundas, adentrei ao inferno. Olhei para o lado: alguém me acompanhava:
minha mulher. Seu estado de espírito nunca a precipitaria naquele lugar, mas,
mesmo assim, como sempre, estava ao meu lado.
       O cenário era de dar inveja a Dante e a qualquer maker de efeitos especiais.
As cenas eram horripilantes, mas meu desânimo impedia-me de sentir medo ou
pavor, simplesmente observava. Restos humanos ocupavam os espaços, quer pelas
paredes, quer pelo chão ou pelo teto, estavam em nítida decomposição, mas
estavam vivos, afinal, a esperança é a última que morre.
       Demônios precipitaram-se sobre nós, reagimos, eu mecanicamente, e
vencemos. Eu via a cena de dois ângulos: Participando dela e sobre ela, vendo-a na
página de um livro. Virei mais uma página, que mesclou-se com as anteriores,
formando um bloco único. Neste momento, uma voz esganiçada e cínica gritou: Não
há como voltar atrás! Se prosseguires, não voltarás!! A escolha é tua!!!
Hahahahaha!!!!
       O cenário seguinte era metalóide e seus habitantes idem. Os efeitos visuais
eram perfeitos, o que era estranho em se tratando do inferno. Mais lutas, mais uma
vez vitoriosos e o prêmio: Afundar ainda mais... Virei outra página e a voz sempre a
nos perseguir. Cobertos de sangue, pus, óleo e outros dejetos, continuamos a
prosseguir e a lutar, como num jogo, só que, ao invés de subir, a cada etapa,
descíamos mais um nível...
       Os demônios cresciam em número, ferocidade e inteligência, e em tamanho
também. Passamos por tudo o que pode haver de mais satânico, inclusive uma
repartição governamental. Enfrentamos abismos, animais, escravos, lordes e
potentados, magos das trevas e anjos caídos. Cruzaram nosso caminho santos
arrependidos e Madalenas bem fornidas. Fogos fátuos penetraram nossas narinas
em alguns cenários em que havia muito pó e fumaça... Paragens plácidas tentaram
nos sufocar com silêncio e quase afundamos num domingo à tarde. Até crianças
embebidas em ódio tentaram arrancar nossas esperanças apenas pelo
conhecimento de sua existência.
       E a tudo isso, simplesmente, resistimos...
       Na última página, Ele nos aguardava. O cenário era uterino e respirávamos
líquido amniótico. De Suas muitas faces, Ele escolheu uma bem simples: uma rede
branca, que atraía por seu brilho maravilhoso. Sobre nós projetou-se e Nele ficamos
enredados e lutamos com todas as nossas forças ao mesmo tempo em que estas
eram sugadas. Estávamos como que pregados em um patibulum... Tudo de nós se
esvaiu, restando apenas nossa consciência e a esperança, que apesar de tudo
ainda não havia morrido, e nela nos ancoramos e ela nos içou até a superfície do
último nível.
       Lá havia uma porta e ao lado dela um guardião. Trajava ele uma cinza capa
de chuva, óculos escuros e chapéu de abas curtas, pelo decote da capa via-se
apenas o vazio.
       Sendo a esperança só o que de bom restava, armados com ela avançamos.
Ele ergueu a mão esquerda e disse: “Não estou aqui para lutar, apenas impeço as
almas de entrarem pela saída. Sim, esta é a saída, e qualquer alma pode passar por
ela. Todos os demônios que os enfrentaram sabiam que não poderiam vencê-los,
pois a criatura não derrota o criador, eles só atacam, porque vocês não sabem
178

disso. Essa é a moral do inferno! As almas só não saem daqui, porque não sabem
sair ou porque não querem...”
       Ouvimos um ruído à nossas costas, voltamo-nos e a face do Demônio fitava-
nos de dentro do fosso. Sua expressão era benevolente quando disse: “ Viram? A
culpa nunca foi minha...” E sorriu serenamente.
179



  APÊNDICE E – PRIMEIRO PROJETO R3

               ESTADO DO RIO GRANDE DO SUL
                 ESCOLA DE SAÚDE PÚBLICA


         PROGRAMA DE RESIDÊNCIA INTEGRADA EM SAÚDE


               MEDICINA DE FAMÍLIA E COMUNIDADE
               GESTÃO E PLANEJAMENTO EM SAÚDE




                    ANTE-PROJETO




   REGISTRO INFORMATIZADO DOS
     EXAMES CITOPATOLÓGICOS

AUTOR: CARLOS ANDRÉ AITA SCHMITZ

ORIENTADORES: REGINA P. LOUREIRO
              NILSON MAESTRI CARVALHO

LOCAL DE REALIZAÇÃO: SERVIÇO DE GINECOLOGIA - CENTRO DE SAÚDE
                      ESCOLA MURIALDO




               PORTO ALEGRE, DEZEMBRO DE 2002
180




SUMÁRIO

  1.      INTRODUÇÃO ......................................................................................181
  2.      OBJETIVOS ..........................................................................................181
  2.1.    Objetivo geral: .......................................................................................181
  2.2.    Objetivos específicos:............................................................................181
  3.      JUSTIFICATIVA ....................................................................................182
  4.      FORMULAÇÃO DO PROBLEMA ..........................................................182
  5.      DEFINIÇOES CONCEITUAIS ...............................................................184
  7.      CRONOGRAMA ....................................................................................185
  8.      REFERÊNCIAS .....................................................................................186



LISTA DE ABREVIATURAS

     CA               Câncer de colo uterino

     CP               Exame citopatológico

     CSEM             Centro de Saúde Escola Murialdo

     MS               Ministério da Saúde

     SG               Serviço de Ginecologia

     SUS              Sistema Único de Saúde

     UBS              Unidade básica de saúde


LISTA DE FIGURAS

   Figura 1. Fluxo das informações de CP no CSEM. Estruturada a partir do relato das
             funcionárias do SG-CSEM.

   Figura 2. Fluxo de dados na proposta informatizada.
181




1. INTRODUÇÃO

        O câncer de colo uterino (CA) é uma patologia maligna potencialmente
curável, se diagnosticado precocemente. A cada ano surgem 5.000 novos casos,
85% destes em países de terceiro mundo[1]. No Brasil, é o terceiro tumor mais
freqüente em órgãos genitais femininos[2]. No Rio Grande do Sul ocupa o quarto
lugar em causas de mortalidade feminina[3][4].
        O exame citopatológico (CP) é o teste de triagem utilizado para detecção do
CA. É um teste viável por ser barato, de fácil coleta e realização. Sua aplicação,
comprovadamente reduz a incidência e a mortalidade por CA, assim como a sua não
utilização é o principal fator de risco para esta patologia[1].
        Por todos estes motivos o CP faz parte da rotina de trabalho das unidades
básicas de saúde (UBS) que trabalham dentro da linha do Sistema Único de Saúde
(SUS)[5], o que não é diferente nas UBS do Centro de Saúde Escola Murialdo
(CSEM).
        O Ministério da Saúde (MS), através do DATASUS, fornece gratuitamente o
SISCOLO [6], um sistema informatizado disponível para ser utilizado tanto pelos
laboratórios conveniados ao SUS como pelos níveis municipal e estadual, com
funções de controle de faturamento, controle de qualidade dos exames e totalização
de indicadores epidemiológicos. Infelizmente, por motivos operacionais, os dados
acumulados pelo SISCOLO ainda não estão disponíveis de forma prática para
serem acessados pelas UBS, que são as células geradoras da informação e mesmo
sendo um sistema bastante completo, não contempla todas as necessidades locais
de controle.


2. OBJETIVOS


   2.1. Objetivo geral:

           Criar uma ferramenta informatizada que seja capaz de gerenciar os
           dados referentes ao controle de CP do Serviço de Ginecologia (SG) do
           CSEM e que tenha capacidade de comunicação com o sistema
           preconizado pelo MS.


   2.2. Objetivos específicos:

           •   Padronizar o registro de CP no CSEM;
           •   Criar um banco de dados eletrônico;
           •   Otimizar o processo de trabalho;
           •   Otimizar a informação;
           •   Produzir subsídios operacionais e epidemiológicos;
           •   Criar uma interface padronizada entre o banco de dados local e o
               banco central (SISCOLO)
182




3. JUSTIFICATIVA

        Por que informatizar o controle de CP no CSEM ?
        Todos os CP realizados no CSEM são rigorosamente anotados em livros de
registro tanto nas UBS como no SG e ponto final. A informação termina neste
estágio. Os poucos dados totalizados no SG não vão para lugar algum e nas UBS
nenhuma informação mais elaborada é sistematicamente extraída do livro de
registro, que serve apenas para informar o resultado do exame quando e se alguma
paciente procurar.
        O CP é uma rotina instituída e de reconhecida importância, a anotação do
exame é regra, por quê então desperdiçar tantos dados, tanta informação que pode
ser útil tanto epidemiológica quanto operacionalmente?
        É sabido que só informatizar não é a solução completa. Computadores são
boas ferramentas, mas estão longe de pensar, deduzir e criar. Mas a informação
organizada, produzida por sistemas informatizados bem estruturados, associada a
uma rotina correta de anotação e interpretação de dados produz os subsídios
necessários para o pensamento operacional e epidemiológico tão necessários no
SUS [7,8].


4. FORMULAÇÃO DO PROBLEMA

      O padrão de anotação utilizado pela maioria das UBS do CSEM é o seguinte
(dados fictícios):

D. Cons. Nome                  Endereço              D. Nasc. Coletor   Data Ent.    D. Resp. Cito Micro       DC
 12/7/99 Reni Helena Silva     Tv. B, 86              22/7/51 Raquel       15/7/99    12/8/99    2         2    25
  1/7/99 Vera Baptista         Rua do Mato, 135      22/12/56 Raquel       15/7/99    12/8/99    2    2,3       25
  1/7/99 Irene Marques         RuaTen. Camargo, 16    19/3/63 Raquel       15/7/99    12/8/99    2         4    25
  2/7/99 Sandra Ives Cardoso   Rua Cel. Rego, 28     27/10/74 Raquel       15/7/99    12/8/99    2         3    25
  2/7/99 Roseli Rodrigues      Rua Cel. Rego, 122     18/5/55 Luciana      15/7/99    12/8/99    2         4    25


       Comparando a quantidade de dados acumulados com a quantidade de dados
existente no formulário oficial de controle (Anexo I), percebe-se a perda dos
seguintes dados:

         •    Informações sobre o exame e a UBS;
         •    Informações pessoais da paciente;
         •    Dados da anamnese e exame clínico;
         •    Dados da coleta;
         •    Identificação do laboratório;
         •    Resultados do exame;
         •    Dados da liberação.
183

Se, por um lado, temos perda de informação, por outro lado temos redundância de
informação e procedimentos. A fig. 1 ilustra o fluxo das informações de CP no
CSEM.


                                                                   Paciente
         UBS
                                                                    Livro Serv.
        Serv. Gin.                             Anotação



      Laboratório        Proc. Ficha           Criar Ficha        Livro UBS

  Figura 1. Fluxo das informações de CP no CSEM. Estruturada a partir do relato das funcionárias
          do SG-CSEM.

        O exame é coletado na UBS, enviado para o SG que o registra e envia para o
laboratório. Voltando o resultado do laboratório, as funcionárias do SG procurarão a
ficha da paciente entre aproximadamente 30.000 fichas armazenadas em arquivos
de aço, muitas delas repetidas ou desativadas, pois a população abrangida pelo
CSEM é de pouco mais de 40.000 pessoas. Se a ficha não for encontrada, uma
nova ficha é criada, para então ser anotado o resultado do exame, que também será
anotado no livro de registro do SG e no livro de registro da respectiva UBS. O livro é
enviado para a UBS onde ficará a disposição da paciente. Pacientes com resultados
alterados são sempre localizadas por busca ativa.
         Temos, portanto, a mesma informação (resultado do exame) anotada em
quatro locais diferentes (resultado fornecido pelo laboratório, ficha da paciente no
SG, livro de registro do SG e livro de registro da UBS) sofrendo, ao mesmo tempo,
truncamentos e repetições. Todo este processo faz com que os dados sejam de
difícil acesso e manipulação e compromete a confiabilidade dos mesmos, além do
risco de perda da confidencialidade de dados que deveriam ser sigilosos.
184




5. DEFINIÇOES CONCEITUAIS

       A figura 2 ilustra uma proposta informatizada de tratamento de dados para o
SG-CSEM. A construção de uma ferramenta em linguagem de programação simples
(Visual Basic e SQL inclusos no Microsoft Access) permitirá a alocação de um
microcomputador de configuração igualmente simples e de baixo custo (tais como os
atualmente existentes no CSEM). Este perfil também permitirá uma manutenção de
baixo custo tanto para o equipamento quanto para o aplicativo. Este pacote
(equipamento/aplicativo) será utilizado pelo SG conforme ilustra a figura 2.


                                                              Paciente
            UBS
                                                 Rel. Serv.
          Serv. Gin.

                           Lança
     Laboratório           Resultado
                                                 Rel. UBS
     Figura 2. Fluxo de dados na proposta informatizada.

        As etapas que envolvem a coleta e o envio do exame permanecem
inalteradas, mas o resultado fornecido pelo laboratório será digitado na íntegra no
aplicativo, permitindo o armazenamento de todos os dados, bem como seu registro
individualizado por paciente através de pesquisa binária e emissão automática de
relatórios por paciente, por UBS e relatório geral do SG, tudo isso através de uma
única digitação.
        Através do banco de dados gerado será fácil extrair informações operacionais
como produtividade geral, por equipe ou por coletor, percentual de exames
insatisfatórios, totais por período, totais por área e abrangência, zona de risco ou
logradouro e informações epidemiológicas como perfil etário, perfil sócio-cultural,
incidência das diversas patologias detectadas pelo CP, nível de comparecimento na
UBS e acompanhamento de casos.
        Outra vantagem é a formatação local. Sistemas como o SISCOLO são
desenvolvidos para suprir as necessidades de níveis administrativos e
epidemiológicos mais altos (do municipal ao federal) e sua aplicação ao nível local
(CSEM) resultaria em excesso de algumas informações e falta de outras. O sistema
proposto será formatado exatamente conforme as necessidades locais, com a
vantagem de ser apto a fornecer e receber informações do nível central, pois o
SISCOLO possui tabelas de conversão de dados bastante simplificadas.
        Vale salientar o aumento da confidencialidade dos dados em função da
diminuição do número de pessoas envolvidas no processo de manipulação da
informação.
185



6. METODOLOGIA

      •   Familiarização com o SISCOLO
          • Reuniões e entrevistas com os profissionais envolvidos com o trabalho
               em nível central
          • Análise das tabelas de dados
          • Análise do fluxo de dados
          • Análise dos modelos de relacionamento
      •   Análise do sistema
          • Reuniões e entrevistas com os profissionais envolvidos com o trabalho
               em nível local
          • Análise da necessidade de dados e informação
          • Definição do fluxo de dados
          • Definição dos modelos de relacionamento
      •   Produção do sistema utilizando o Microsoft Access
      •   Documentação do sistema e elaboração dos manuais de treinamento
          utilizando o Microsoft Word
      •   Treinamento da equipe de trabalho através de atividades teórico-práticas



7. CRONOGRAMA

ATIVIDADE          FEV MAR ABR MAI JUN JUL AGO SET OUT NOV DEZ JAN
Levantamento
bibliográfico
Familiarização
com            o
SISCOLO
Análise       do
sistema
Produção do
sistema
Documentação
do sistema
Treinamento
Publicação
186




8. REFERÊNCIAS

1 - RIVIORI WA. Neoplasias malignas do colo uterino. In: Freitas F, Menke H, eds
       Rotinas de Ginecologia, 3. Ed. Porto Alegre: Editora Artes Médicas, 1997;
       206-14.
2 -Estimativas de Incidência e Mortalidade por Câncer no Brasil. Ministério da
       Saúde. INCA. PRO-ONCO. Rio de Janeiro, 2001.
3 - Estimativas de Mortalidade no RS. Sec. Est. de Saúde. Porto Alegre, 2001.
4 - DANI L, et al. Perfil etário das pacientes acometidas por lesões intra-epiteliais
       escamosas e câncer de colo uterino na região do Planalto Médio - RS. In:
       Revista da AMRIGS. Vol. 44, Jan-Jun 2000, 47-49.
5 – 11ª Conferência Nacional de Saúde – Relatório Final. Brasília, 2000.
6 – http://www.saude.gov.br/bvs/publicações/cancer_utero.pdf
7 – VAUGHAN IP; MORROW RH. Epidemiologia Para os Municípios: Manual para
       gerenciamento dos distritos sanitários. Editora Hucitec, São Paulo, 1992.
8 – BARBOSA PR. A Gestão da Saúde no Brasil: Novas responsabilidades e novas
       práticas. In: Goulart FAA, Os Médicos e a Saúde no Brasil, Brasília: Conselho
       Federal de Medicina, 1998, 51-67.
187



  APÊNDICE F – PROPOSTA SUMÁRIA

               ESTADO DO RIO GRANDE DO SUL
                 ESCOLA DE SAÚDE PÚBLICA


         PROGRAMA DE RESIDÊNCIA INTEGRADA EM SAÚDE


               MEDICINA DE FAMÍLIA E COMUNIDADE
               GESTÃO E PLANEJAMENTO EM SAÚDE




Proposta de projeto para 3º ano de residência

       INSERÇÃO ACADÊMICA NA COMUNIDADE:
    Articulando as necessidades federais, estaduais e
   municipais de reforma curricular, campo de estágio e
     reestruturação da rede básica em prol do SUS


AUTOR: CARLOS ANDRÉ AITA SCHMITZ

ORIENTADORES: NILSON MAESTRI CARVALHO
              REGINA P. LOUREIRO

CO-ORIENTADORES:    BENILDES MARIA MAZZORANI
                    VERA REGINA REAL LIMA GARCIA
                    JAMES FERREIRA GRESSLER
                    LERIS SALETE BONFANTI HAEFFNER

 LOCAL DE REALIZAÇÃO: 11ª REGIÃO SANITÁRIA – MUNICÍPIO DE SANTA
                           MARIA - RS




                   SANTA MARIA, JANEIRO DE 2003
188



      DESCRIÇÃO SUMÁRIA

       A idéia central desta proposta é a articulação dos interesses e potencialidades
dos três níveis administrativos de atenção (União, Estado e Município) em direção
às necessidades do Sistema Único de Saúde (SUS), levando em consideração a
situação geográfica, política e econômica do município de Santa Maria.
       Nesta triangulação a União está representada pela Universidade Federal de
Santa Maria(UFSM), centro formador capaz de oferecer recursos humanos e
serviços na área de saúde e que necessita de assessoria para a reforma curricular
do curso de medicina, em especial, e para a integração de seus diversos cursos e
serviços com a comunidade.
       O Estado apresenta-se na figura da Escola de Saúde Pública (ESP), centro
de referência nacional na formação de recursos humanos para o SUS, capaz de
oferecer assessoria técnica especializada tanto para reformas curriculares como
reestruturação de redes básicas municipais e que necessita de campo de estágio
para formação de seus profissionais e disseminação do conhecimento, hoje
concentrado na região de Porto Alegre.
       A Prefeitura Municipal de Santa Maria (PMSM) representa o nível municipal e
é capaz de oferecer diversos recursos humanos e físicos. O município de Santa
Maria é o pólo da 4ª Coordenadoria Regional de Saúde (4ª CRS), está habilitado em
Gestão Plena da Atenção Básica e tem potencial para atingir a Gestão Plena do
Sistema Municipal, podendo a reestruturação de sua rede básica contribuir muito
para esse fim.
       O projeto será implementado, a princípio, na 11ª Região Sanitária de Santa
Maria, uma área com população adscrita de 16.200 pessoas, servida por uma
unidade básica de referência e duas unidades auxiliares e terá por objetivo dar início
à reestruturação da rede básica e reorientação do modelo de saúde do município de
Santa Maria, em conjunto com a reforma curricular do Curso de Medicina da UFSM
e a operacionalização da atuação docente e discente na atenção à comunidade.
       A base do trabalho consistirá na presença em tempo integral de um residente
de terceiro ano da ESP, atuando na linha de Gestão e Planejamento em Saúde
Pública, com assessoria regular de dois preceptores da ESP e presença opcional de
residentes de segundo ano.
       Esse trabalho tem por objetivo, também, a operacionalização de um vínculo
permanente entre os três níveis anteriormente citados com vistas à continuidade dos
serviços prestados.

As seguintes entidades e profissionais tem interesse e apóiam este projeto:

SECRETARIA MUNICIPAL DE SAÚDE


      Eng. Agr. Neomir Alcântara – Secretário Municipal de Saúde


      Dr. Tarso Marques da Rocha – Diretor de Ações de Saúde do Município

CONSELHO MUNICIPAL DE SAÚDE
189



     Drª Rosa Maria Wolff – Presidente do Conselho Municipal de Saúde


     Profª Enfª Benildes Maria Mazzorani – Conselheira Municipal de Saúde e
     Coordenadora da Secretaria Técnica do CMS

CENTRO DE CIÊNCIAS DA SAÚDE


     Prof. Dr. Alberto Binatto – Diretor do CCS


     Prof. Renan Rademacher – Vice-Diretor do CCS


     Prof. Dr. James Ferreira Gressler – Coordenador do Curso de Medicina


     Profª Drª Leris Salete Bonfanti Haeffner – Vice-Coordenadora do Curso de
     Medicina

     Profª Drª Vera Regina Real Lima Garcia – Coordenadora do Curso de
     Enfermagem e representante da UFSM junto à ESP


     Prof. Dr. Marcos Cauduro Troian – Presidente da Comissão de Integração dos
     Serviços de Saúde com a Comunidade


     Profª Drª Cátia Margarete Domingues Goi – Presidente da Comissão de
     Reforma Curricular do Curso de Medicina

HOSPITAL UNIVERSITÁRIO DE SANTA MARIA


     Profª Drª Elaine Verena Resener – Diretora Geral do HUSM


CENTRO DE EDUCAÇÃO FÍSICA


     Prof. Dr. Luiz Osório Cruz Portela- Coordenador do Laboratório de Fisiologia
     do Exercício
190



     APÊNDICE G – A CAPA DO TRIPÉ
                              ESTADO DO RIO GRANDE DO SUL
                                ESCOLA DE SAÚDE PÚBLICA


    Em colaboração com:


                   PROGRAMA DE RESIDÊNCIA INTEGRADA EM SAÚDE
                        MEDICINA DE FAMÍLIA E COMUNIDADE
                       GESTÃO E PLANEJAMENTO EM SAÚDE
          UM MODELO DE TRIPÉ PARA DAR APOIO AO SUS:
       Desencadeando ações de curto, médio e longo prazo em
    seqüências encadeadas com o fim de fortalecer a atenção básica
AUTOR: CARLOS ANDRÉ AITA SCHMITZ1
ORIENTADORES:     NILSON MAESTRI CARVALHO2
                  REGINA P. LOUREIRO3
                  BENILDES MARIA MAZZORANI4
CO-ORIENTADORES:
                  VERA REGINA REAL LIMA GARCIA5
                  JAMES FERREIRA GRESSLER6
                  LERIS SALETE BONFANTI HAEFFNER7
                  GILMOR JOSÉ FARENZENA8
                  ELAINE VERENA RESENER9
                  MANOEL MAYER JR. 10
1 Médico de Família e Com. – Resid. de 3º ano da RIS     Representante, titular, junto à Política de Educação p/o
2 Médico Pediatra – Prof. Gestão e Planejamento ESP      SUS/Pólo de Educação em Saúde Coletiva
  Especialização em Saúde Pública pela Faculdade         Mestrado em Educação-Currículo pela UFSM
  de Medicina da UFRGS                                   Doutorado em Aprendizagem pela UFSM
                                                       6 Médico Cardiologista – Prof. Tit. Depto Clín. Médica UFSM
  Mestrando do Programa de Pós-Graduação em
  Administração da UFRGS                                 Coordenador do Curso de Medicina da UFSM
                                                       7 Médica Pediatra – Prof. Adj. Depto de Pediatria da UFSM
3 Enfermeira Sanitarista – Professora de
  Epidemiologia e Método de Pesquisa da ESP              Vice-Coordenadora do Curso de Medicina da UFSM
  Mestrado em Ciências Médicas/Epidemiologia pela        Mestrado em Ciência do Movimento Humano,área do
                                                         Desenvolvimento Humano – CEFD/UFSM
  Faculdade de Medicina da UFPEL
                                                         Doutorado em Medicina, área de Pediatria – FMRP/USP
  Curso de Aperfeiçoamento de Epidemiologia e          8 Médico Pediatra – Prof. Assist. Depto Saúde da Com.UFSM
  Método de Pesquisa pela Universidade da                Mestrado em Saúde Comunitária – UFBA
  Califórnia, São Francisco e Berkeley                 9 Médica ginecologista – Prof.Adj.Depto Ginec.e Obst. UFSM
  Doutoranda em Ciências Médicas-Medicina Social e       Diretora Geral do HUSM – UFSM
  Preventiva pela Faculdade de Medicina da UFRGS         Especialista em Adm. Hosp. E Negócios em Saúde-PUC
4 Enfermeira – Conselheira Municipal de Saúde de SM      Mestrado e doutorado em Medicina – FMRP/USP
                                                       10Psicólogo – Prof. Gestão e Planejamento ESP
  Coordenadora da Secretaria Técnica do CMS
  Mestrado em Assistência em Enfermagem - UFSC           Especialização em Saúde do Trab. e Saúde Pública ESP
5 Enfermeira – Prof. Depto de Enfermagem da UFSM         Mestrado em Política Social UFSC
  Coordenadora do Curso de Pós Graduação em
  Enfermagem da UFSM

     LOCAL DE REALIZAÇÃO: 11ª REGIÃO SANITÁRIA – MUNICÍPIO DE SANTA
                               MARIA - RS
                      SANTA MARIA, MARÇO DE 2003
191



     APÊNDICE H – CURSO DE PRECEPTORES

                  ESTADO DO RIO GRANDE DO SUL
                  ESCOLA DE SAÚDE PÚBLICA
                  CENTRO DE SAÚDE ESCOLA MURIALDO


    Em colaboração com:




                   PROGRAMA DE RESIDÊNCIA INTEGRADA EM SAÚDE

                             MEDICINA DE FAMÍLIA E COMUNIDADE
                             GESTÃO E PLANEJAMENTO EM SAÚDE


    CURSO DE EDUCAÇÃO EM SAÚDE PÚBLICA, VOLTADO PARA A
               (DE)FORMAÇÃO DE PRECEPTORES


AUTORES:                             CARLOS ANDRÉ AITA SCHMITZ1
                                     NILSON MAESTRI CARVALHO2
                                     BENILDES MARIA MAZZORANI3
                                     REGINA P. LOUREIRO4

COLABORADORES:                       SILVANA FLORES5
                                     ROSE DORIGON6

1 Médico de Família e Com. – Resid. de 3º ano da RIS
2 Médico Pediatra – Prof. Gestão e Planejamento ESP
  Especialização em Saúde Pública pela Faculdade de Medicina da UFRGS
  Mestrando do Programa de Pós-Graduação em Administração da UFRGS
3 Enfermeira – Conselheira Municipal de Saúde de SM

  Coordenadora da Secretaria Técnica do CMS
  Mestrado em Assistência em Enfermagem - UFSC
4 Enfermeira Sanitarista – Professora de Epidemiologia e Método de Pesquisa da ESP

  Mestrado em Ciências Médicas/Epidemiologia pela Faculdade de Medicina da UFPEL
  Curso de Aperfeiçoamento de Epidemiologia e Método de Pesquisa pela Universidade da Califórnia, São Francisco e
  Berkeley
  Doutoranda em Ciências Médicas-Medicina Social e Preventiva pela Faculdade de Medicina da UFRGS
5 Pedagoga ESP
6 Pedagoga ESP




             LOCAL DE REALIZAÇÃO: MUNICÍPIO DE SANTA MARIA – RS
                                                JULHO DE 2003
192




LISTA DE ABREVIATURAS

4ª CRS   4ª Coordenadoria Regional de Saúde
CGL      Conselho Gestor Local
CMS      Conselho Municipal de Saúde
CSL      Conselho de Saúde Local
ESP      Escola de Saúde Pública
MEC      Ministério da Educação e Cultura
PES      Planejamento Estratégico Situacional
PMSM     Prefeitura Municipal de Santa Maria
RIS      Residência Integrada em Saúde
RS       Região sanitária
SES      Secretaria Estadual de Saúde
SM       Santa Maria
SMS      Secretaria Municipal de Saúde
SUS      Sistema Único de Saúde
UBS      Unidade Básica de Saúde
UFPEL    Universidade Federal de Pelotas
UFRGS    Universidade Federal do Rio Grande do Sul
UFSC     Universidade Federal de Santa Catarina
UFSM     Universidade Federal de Santa Maria
193




SUMÁRIO
  1.       INTRODUÇÃO ......................................................................................194
  2.       JUSTIFICATIVA ....................................................................................195
  3.       OBJETIVO GERAL................................................................................195
  4.       OBJETIVOS ESPECÍFICOS .................................................................195
  5.       METODOLOGIA....................................................................................196
  5.1.     SELEÇÃO DOS PARTICIPANTES .......................................................196
  5.2.     PERÍODO E ESTRUTURA DO CURSO ...............................................196
     5.2.1. Atividades virtuais ..............................................................................196
         5.2.1.1. Realização do pré-teste: .........................................................197
         5.2.1.2. Leitura de instrumentalização: ................................................197
         5.2.1.3. Debate prévio:.........................................................................197
         5.2.1.4. Realização do pós-teste:.........................................................197
         5.2.1.5. Digitação das avaliações:........................................................197
         5.2.1.6. Acréscimos ao banco de referências: .....................................197
         5.2.1.7. Consulta de dados pessoais: ..................................................198
         5.2.1.8. Consulta de dados gerais:.......................................................198
     5.2.2. Atividades teóricas.............................................................................199
     5.2.3. Atividades práticas.............................................................................199
         5.2.3.1. Contato inicial..........................................................................200
         5.2.3.2. Equipamentos de saúde:.........................................................200
         5.2.3.3. Controle social: .......................................................................200
         5.2.3.4. Territorialização.......................................................................201
     5.2.4. Eixos Temáticos para 2004 ...............................................................201
     5.2.5. Estratégias de avaliação....................................................................202
  6.     CRONOGRAMA .......................................................................................203
  7.     ORÇAMENTO ..........................................................................................203
  8.     REFERÊNCIAS ........................................................................................204
  ANEXO I - Objetivos Projeto I ...........................................................................205
  ANEXO II – Estrutura do curso..........................................................................206
194



1. INTRODUÇÃO

        Este projeto é um subprojeto de um trabalho maior (que designaremos de
Projeto I) intitulado “Um Modelo de Tripé para dar Apoio ao SUS: Desencadeando
ações de curto, médio e longo prazo em seqüências encadeadas com o fim de
fortalecer a atenção básica” (Schmitz, Carvalho, Mazzorani e col., 2003) e tem por
finalidade fornecer os subsídios necessários, no que diz respeito a capacitação
inicial de recursos humanos, para a consecução total deste trabalho maior.
        A formação de recursos humanos para o SUS foi um dos eixos centrais da
11ª Conferência Nacional de Saúde (Ministério da Saúde, 2000), que em suas
recomendações cita a necessidade de se desenvolver uma política de capacitação
de profissionais de saúde, em todos os níveis, em trabalho conjunto entre
SMS/SES/Universidades, considerando as necessidades sociais de cada região,
estendendo o processo de residências a equipe multidisciplinar, reorganizando os
programas de residência e regulamentando o programa de residência
multiprofissional em saúde coletiva junto ao MEC.
        A mesma conferência nos fala da necessidade fornecer instrução prévia de
ingresso a todos profissionais de saúde, bem como oferecer mecanismos eficientes
de educação permanente, colocando esta responsabilidade nas mãos dos governos
federal, estaduais e municipais, tendo em vista o cumprimento da lei 8.080/90 – art.
6º - parágrafo III, que diz estar no campo de atuação do SUS a ordenação da
formação de recursos humanos na área de saúde.
        Tomando como referência que o padrão-ouro para formação em saúde
coletiva é o modelo de residência, e mais ainda, a residência integrada
(multiprofissional), um dos primeiros obstáculos para ser ultrapassado, tendo como
objetivo a implantação de uma residência integrada em saúde coletiva (RIS) em
Santa Maria, é carência local de recursos humanos nesta área.
        A formação de profissionais, dentro da ótica de criação de uma cultura local
em saúde pública e coletiva ( ou seja, a construção do conhecimento novo, segundo
Freire, 1976), tem que necessariamente partir dos conhecimentos e experiências
prévias destes profissionais. Para adultos (Feuerwerker, Kalil e Baduy,2000), o
motor da aprendizagem é a superação de desafios, a resolução de problemas. O
processo de educação de adultos (abrangendo nível básico, graduação e pós-
graduação) pressupõem a utilização de metodologias ativas de ensino-
aprendizagem que proponham concretamente desafios a serem superados pelos
estudantes, que lhes possibilitem ocupar o lugar de sujeitos na construção dos
conhecimentos e que coloquem o professor como problematizador e orientador
desse processo.
195




2. JUSTIFICATIVA

       As construções políticas realizadas na primeira etapa do Projeto I
sedimentaram uma parceria interinstitucional envolvendo a SMS, a SES, a 4ª
Coordenadoria Regional de Saúde (4ª CRS) e a Universidade Federal de Santa
Maria (UFSM), ficando em aberto a participação de outras universidades locais.
       Já teve início uma negociação entre as instituições citadas para a confecção
de um convênio que possa operacionalizar, num prazo máximo de cinco anos, os
objetivos (Anexo I) propostos pelo Projeto I.
       Sendo a realização do presente curso um dos objetivos a ser alcançado,
ainda dentro do exercício de 2003, como gerador imprescindível de subsídios para a
continuidade do processo, estaremos trabalhando dentro de um quadro bastante
favorável, tanto no que diz respeito ao apoio político, técnico e administrativo, como
no que diz respeito aos insumos humanos, físicos e administrativos.


3. OBJETIVO GERAL

       Formar um grupo multiprofissional para trabalho em equipe, sob uma ótica
transdisciplinar e interinstitucional, com a finalidade de implantar uma residência
integrada em saúde coletiva (RIS), dar suporte à inserção acadêmica na rede 97
(IAR) e promover a reorientação do modelo de atenção em saúde no município de
Santa Maria.


4. OBJETIVOS ESPECÍFICOS

        •    Criar uma cultura local em saúde pública e coletiva;
        •    Sedimentar relações de parceria e colaboração entre os níveis municipal,
             estadual e universitário em um esforço único para formação de recursos
             humanos paro o SUS;
        •    Gerar a macroterritorialização de uma região sanitária de interesse
             municipal, que futuramente (em 2004) poderá ser transformada em uma
             região sanitária modelo e servir de palco para a implantação de uma RIS;
        •    Sistematizar os eixos temáticos, nas áreas de conhecimento envolvidas no
             curso, com vistas a implantação futura da RIS;
        •    Criar um banco de dados de docentes e preceptores formados para atuar
             na RIS e participar de projetos de IAR.




97
   Texto extraído de diálogo com o coordenador do Curso de Medicina da UFSM, Prof. Dr. James Ferreira
Gressler, em abril de 2002, e reproduzido com a autorização do mesmo: “Assim como é incoerente dizer que
nosso braço está inserido em nosso corpo, posto que não pode ser, naturalmente, encaixado e desencaixado à
vontade, soa estranho falar em IAR, já que a academia deveria, naturalmente, fazer parte da rede SUS e não ter a
necessidade de ser inserida nela. Portanto, a IAR deve ser vista como uma ação de transição em direção a um
estado de coisas mais natural, mais lógico e mais saudável.”
196




5. METODOLOGIA


   5.1. SELEÇÃO DOS PARTICIPANTES

       A seleção dos participantes do curso será realizada pelas instituições
envolvidas e segundo o interesse destas instituições, dentro das áreas definidas nos
objetivos do Projeto I (Anexo I).
       Os critérios de seleção utilizados serão:
          • nível profissional de especialização ou superior;
          • tempo disponível;
          • perfil para trabalho em equipe e em saúde pública;
          • vínculo institucional de caráter regular com uma das instituições
              envolvidas no projeto.
       É importante lembrar que os profissionais estarão sendo formados para
atividades futuras, que ocorrerão de acordo com o seu local de origem.
       Os profissionais oriundos das universidades e da 4ª CRS, estarão sendo
preparados, principalmente, para trabalhar em projetos de IAR e para dar suporte às
atividades teóricas da RIS (que correspondem a 10-20% do total da carga horária de
uma residência).
       Já os profissionais originários da PMSM poderão participar das atividades
teóricas, mas serão aproveitados, principalmente, nas atividades de treinamento em
serviço (que correspondem de 80-90% da carga horária de uma residência).


   5.2. PERÍODO E ESTRUTURA DO CURSO

        É no compromisso com a superação da fragmentação entre teoria e prática
que será possível estabelecer uma ação dialética como forma de interpretar, analisar
e conhecer a realidade para transformá-la, através da coerência entre a prática e a
teoria (Escola de Saúde Pública, 2002).
        Partindo desta premissa, o curso ocorrerá de 8/8/3 a 7/11/3, perfazendo um
total de 60 horas teórica e 30 horas práticas, distribuídas conforme grade em anexo
(Anexo II). Considerando o fato dos docentes serem oriundos da capital (Porto
Alegre) e dos alunos serem originários de várias instituições de Santa Maria, as
atividades práticas e teóricas serão complementadas pelas atividades virtuais.


      5.2.1. Atividades virtuais

      Os participantes do curso contarão com um instrumento virtual de apoio
pedagógico, disponibilizado via Internet (ou seja, acessível de qualquer computador,
em qualquer lugar e a qualquer horário). Através deste instrumento, os alunos serão
cadastrados no banco de alunos, recebendo um código de acesso (login) e uma
senha particular de acesso. No ato do cadastramento, o aluno preencherá um termo
de consentimento informado (imprimindo e assinando uma cópia), sobre o uso das
informações que fornecerá ao sistema .
197

      Deste modo, antes de cada encontro de problematização (com uma semana
de antecedência, na segunda-feira), os participantes acessarão o instrumento, na
seguinte seqüência de atos:

         5.2.1.1. Realização do pré-teste:
             O sistema apresentará ao aluno um formulário eletrônico composto por
      dez questões objetivas, com cinco alternativas cada uma e relativos ao tema
      que será problematizado no próximo encontro. A finalidade do pré-teste é
      avaliar a os conhecimentos prévios de cada aluno em relação ao tema
      proposto, disponibilizando os resultados ao professor antes dos encontros.

         5.2.1.2. Leitura de instrumentalização:
             Somente após a realização do pré-teste o sistema liberará ao aluno as
      principais questões e provocações elaboradas pelos professores para o
      próximo encontro, bem como os textos básicos que servirão de referência ao
      debate. Também estarão disponíveis textos opcionais e endereços na Internet
      para os alunos que desejem um aprofundamento do assunto, sendo que o
      acesso a este material opcional ficará registrado para fins de avaliação. Nesta
      mesma etapa o aluno poderá imprimir os roteiros de avaliação, que usará no
      próximo encontro, para que possa se auto-avaliar, avaliar o docente e avaliar
      o tema.

         5.2.1.3. Debate prévio:
             Vinte e quatro horas após o sistema ter registrado o acesso do aluno
      às questões e aos textos de referência, o sistema apresentará um novo
      formulário eletrônico solicitando que o aluno informe, de forma textual, suas
      principais dúvidas e posições referentes ao tema. Somente após isso o aluno
      terá acesso às considerações dos demais colegas e à lista de discussões
      daquela semana, onde poderá debater o assunto com todos, professores
      inclusive. Estas discussões também ficarão armazenadas para posterior
      análise.

         5.2.1.4. Realização do pós-teste:
             Na sexta-feira, após o debate presencial, estará disponível no sistema
      o mesmo formulário eletrônico apresentado no pré-teste, para, novamente,
      ser preenchido pelo aluno. Todas as respostas ficarão armazenadas no banco
      de avaliações, identificadas por aluno. O aluno só terá acesso às suas
      avaliações e estatísticas e os professores a todo o banco.

         5.2.1.5. Digitação das avaliações:
             Devido ao grande volume de avaliações (uma por semana, para cada
      aluno), ficará sobre a responsabilidade de cada um a digitação das suas
      avaliações. O sistema só permitirá continuidade de acesso aos novos
      módulos de discussão se o aluno preencher o pós-teste e as avaliações. Os
      módulos já realizados sempre estarão livres para acesso.

         5.2.1.6. Acréscimos ao banco de referências:
            Qualquer participante do curso poderá enviar textos eletrônicos ou
      endereços eletrônicos relacionados aos eixos temáticos e que possam
198

      enriquecer o debate. As sugestões serão avaliadas por um moderador e
      incluídas no banco de referências para o acesso de todos.

         5.2.1.7. Consulta de dados pessoais:
             A qualquer momento o aluno poderá verificar o andamento de suas
      avaliações objetivas e as considerações dos docentes a seu respeito.

         5.2.1.8. Consulta de dados gerais:
              Dentro do conceito de que a principal função das avaliações é
      retroalimentar e transformar as atividades durante a execução do curso, os
      dados de avaliação ficarão disponíveis da seguinte maneira:

            •   As avaliações dos temas e dos docentes serão acessíveis a todos.
            •   As estatísticas gerais das avaliações dos alunos (não nominais)
                estarão disponíveis a todos.
            •   Todos os debates abertos estarão disponíveis para análises
                posteriores.

       Dentro desta sistemática, os docentes terão farto material de apoio e
   avaliação antes e após cada encontro de problematização, podendo dirigir os
   debates virtuais e presenciais dentro do grau de conhecimento prévio e das
   dúvidas de cada participante. Receberão também subsídios para ajustar os eixos
   temáticos no desenrolar das atividades, através da retroalimentação contínua
   fornecida por todos.
       O sistema de apoio produzirá e armazenará, com seu uso:
       • Um banco de alunos;
       • Um banco de questões objetivas;
       • As respostas de cada aluno, às questões objetivas, dentro do pré e do
          pós-teste;
       • O número de, a forma de e o tempo de acesso de cada aluno ao sistema
          (log de acesso);
       • Um banco de problematizações e provocações para cada tema do curso;
       • As respostas e dúvidas de cada aluno às problematizações e
          provocações;
       • Os debates virtuais (as considerações de cada um, na lista de discussão,
          serão identificadas por seu login);
       • As avaliações de cada aluno sobre os temas e sobre os docentes;
       • As avaliações dos docentes sobre os temas e sobre cada aluno.
       • Um banco de textos;
       • Um banco de endereços eletrônicos.
   O sistema também gerará dados impressos como:
       • Termo de consentimento informado;
       • Formulários de orientação às avaliações;
       • Resultados estatísticos.

    Como não será possível digitalizar todas as referências, será definido um ponto
fixo para cópias reprográficas das referências não eletrônicas, de acordo com a
acessibilidade dos alunos.
199


      5.2.2. Atividades teóricas

       As atividades teóricas serão precedidas pelas atividades virtuais e ambas
terão a finalidade de fornecer subsídios para as atividades práticas, havendo uma
interpolação entre encontros teóricos e práticos. Entende-se que estes subsídios
nunca serão o suficiente para preparar os alunos para diversidade de fatores e
situações que serão encontrados na realidade da rede SUS. Entretanto, os eixos
temáticos e as atividades práticas serão coordenados de maneira que se consiga a
melhor integração possível entre as duas atividades. As atividades teóricas serão
desenvolvidas por meio dos seguintes eixos temáticos:

      •   Apresentação da metodologia do curso
      •   Evolução das políticas de saúde no Brasil
      •   SUS: Princípios e diretrizes
      •   Humanização do SUS
      •   Controle social
      •   Modelos técno-assistenciais em saúde
      •   Transdisciplinaridade no trabalho em saúde: conceitos de campo e núcleo
      •   Distrito sanitário
      •   Planejamento estratégico situacional (PES) nas regiões sanitárias
      •   Níveis de atenção em saúde e suas inter-relações
      •   Processo de trabalho na saúde
      •   Epidemiologia como ferramenta para o trabalho em saúde coletiva
      •   Sistemas de informação em saúde

       Por sua vez, os temas serão desenvolvidos dentro da metodologia da
problematização tencionando proporcionar aos alunos a possibilidade de
intervenção, tanto nas instituições de ensino como nos serviços de origem,
buscando a modificação de realidades concretas (Freire, 1987). Desta forma, parte-
se de um conhecimento específico para construir-se um novo conhecimento e,
então, alterar a realidade, dentro de uma metodologia ativa de ensino e aprendizado
onde todos irão aprender a prender e aprender a ensinar (aluno = educando-
educador, professor = educador-educando).
       Os conteúdos de epidemiologia serão divididos em seis módulos, objetivando
uma instrumentalização inicial nos dois primeiros módulos e utilizando os demais
para, efetivar a construção das ferramentas de coleta de dados, orientar a coleta e
sistematizar os dados coletados. Portanto, nos quatro módulos finais o aprendizado
será baseado na resolução de problemas (Ferreira Filho, 2002; Lima Jr, 2002).


      5.2.3. Atividades práticas

      As atividades práticas ocorrerão na região sanitária indicada pela PMSM, em
dia e horários definidos de acordo com as possibilidades dos alunos e dentro de
seus expedientes de trabalho. Serão divididas da seguinte maneira:
200

   5.2.3.1. Contato inicial

       Reunião dos coordenadores do trabalho com os coordenadores da
região sanitária (em data anterior ao início do curso).

Objetivos:
       • Apresentar a proposta de trabalho;
       • Setorizar a região sanitária;
       • Identificar lideranças gerais e/ou sub-lideranças e os dados
           necessários para localiza-las e contata-las;
       • Contatar as lideranças, reuni-las e expor a proposta de trabalho,
           sensibilizando-as para receber os alunos do curso de 2003.
       • Definir os melhores dias e horários para as atividades práticas.


   5.2.3.2. Equipamentos de saúde:

      Visitas de reconhecimento às unidades básicas de saúde (UBSs) da
região sanitária (RS). Os objetivos deverão ser atingidos de forma gradual e
em visitas sucessivas.

Objetivos:
       • Conhecer a coordenação da UBS e a equipe de trabalho;
       • Coletar dados: recursos humanos, área física da UBS, área de
           cobertura, equipamentos, serviços prestados;
       • Identificar qual o modelo de saúde que rege a UBS;
       • Verificar a forma de cadastramento das famílias e a existência ou
           não de sistemas de informação;
       • Identificar principais dificuldades e potencialidades da UBS;
       • Identificar o estado da comunicação com os níveis secundário e
           terciário (sistema de referência e contra-referência);
       • Identificar as formas de gestão e financiamento;
       • Verificar o nível de interação social (existência ou não de Conselho
           Gestor Local – CGL - e Conselho de Saúde Local - CSL);
       • Em caso de interação social inexistente ou incipiente, iniciar ou
           estimular a criação do CGL e CSL.

   5.2.3.3. Controle social:

Visitas de reconhecimento à comunidade em si. Os objetivos deverão ser
atingidos de forma gradual e em visitas sucessivas.

Objetivos:
       • Localizar e contatar lideranças locais e agentes comunitários;
       • Coleta de dados: histórico da comunidade, visão particular de saúde
          e de funções da UBS, ferramentas sociais que conhece e/ou utiliza,
          áreas de risco, principais queixas e demandas;
       • Organizar reuniões com a comunidade, no período do curso;
201


       •     Informar sobre as atividades do projeto e solicitar acompanhamento
             e     respaldo     para   a     realização  das      atividades de
             macroterritorialização;
       •     Iniciar o estímulo para participação no CGL e no CSL (formação de
             conselheiros locais).


    5.2.3.4. Territorialização

       Mapeamento da região sanitária. O trabalho será realizado sobre
mapas digitais fornecidos pela Secretaria do Planejamento da Prefeitura
Municipal de Santa Maria e utilizando recursos de geoprocessamento (Rede
Interagencial de Informações para a Saúde, 2000; Organização Pan-
Americana da Saúde, 2002). Esta parte do trabalho, além do objetivo de
aprendizado prático, também estará gerando subsídios para a implantação da
especialização prevista para 2004, no momento em que lança o marco inicial
para a organização de uma região sanitária, ao detalhar seu território.

Objetivos:

•   Setorizar a RS utilizando critérios de agregação sociais e geográficos,
    designando, no mínimo, dois alunos por setor;
•   Designar a convenção de sinais a ser utilizada para plotagens sobre o
    mapa;
•   Localizar sobre o mapa, através dos relatos comunitários, as regiões de
    risco, no que diz respeito a violência (assaltos, drogas, regiões de
    domínio, etc.), infra-estrutura precária (esgotos a céu aberto, criações de
    animais, lixões, etc.), risco geográfico, risco hídrico e ocupações
    irregulares;
•   Localizar sobre o mapa a malha de transporte coletivo e os principais
    fluxos humanos;
•   Mapear cada setor, rua-a-rua, verificando congruências e incongruências
    com o mapa;
•   Coleta de dados:
    • Tipo de via pública: asfalto, calçamento, chão batido, improvisada;
    • Tipo de moradias: alvenaria, madeira, mista, improvisada;
    • Quantidade de moradias por lote;
    • Ferramentas sociais: creches, escolas, templos, associações
        comunitárias;
    • Ferramentas de saúde: UBSs;
    • Áreas de risco: ver acima;
•   Criar um banco de dados com os dados coletados.

5.2.4. Eixos Temáticos para 2004

       A discussão dos eixos temáticos, nas áreas profissionais envolvidas no
curso, com vistas a implantação futura de uma RIS também se constituirá de
uma importante etapa de formação de subsídios. Será implementada através
da lista de discussão virtual, tendo como referencial os programas de
202

      residência multiprofissional e residência médica do Centro de Saúde Escola
      Murialdo (2001), da Escola de Saúde Pública (2002), e do Grupo Hospitalar
      Conceição (2003).


      5.2.5. Estratégias de avaliação

        Segundo a proposta político-pedagógica da ESP (2002), a avaliação é
entendida como uma ação concreta, contextualizada no cotidiano e vivenciada por
todos os atores sociais envolvidos. Sua ênfase deve ser em relação ao processo de
ensinar e aprender e não somente em relação ao produto alcançado. Desta forma,
para que se efetive este processo, é necessária a construção de práticas avaliativas
contínuas,     integradoras,     investigativas,  participativas,   democráticas    e
emancipatórias, que levem em consideração o educando como um todo, as
diferenças individuais e os diferentes saberes.
        O processo avaliativo deve considerar a participação de todos nas atividades,
estabelecendo-se o diálogo permanente, valorizando os diferentes momentos
pedagógicos, a metodologia, o conteúdo, os educadores e os educandos, em vista
do crescimento coletivo por meio de práticas em que os educandos se auto-avaliam,
os educadores se auto-avaliam e avaliam os educadores em dinâmicas individuais e
coletivas.
        Todo o processo de avaliação será realizado através das atividades virtuais
(conforme descrito no item de mesmo nome), de forma contínua e com participação,
controle e contribuição de todos. Serão avaliados os alunos, os docentes e o
conteúdo.
        Quanto aos alunos, os critérios serão a cognição, as dificuldades em relação
aos temas, a participação (tanto nos encontros como na lista de discussão), a
criatividade e a capacidade de resolução dos problemas propostos.
        Os docentes serão avaliados pelos alunos quanto a capacidade de
compartilhamento e a criatividade, podendo os mesmos proporem aos alunos mais
critérios dos quais desejem retorno nas avaliações.
        Os conteúdos serão avaliados por todos quanto a profundidade do assunto,
adequação ao curso e, principalmente, adequação a realidade local.
        A discussão das avaliações, bem como dos próprios instrumentos de
avaliação (de forma a gerar toda a retroalimentação possível), será realizada
exclusivamente na lista de discussão (de maneira individual ou coletivamente,
conforme cada caso) para não sobrecarregar os encontros semanais.
        O programa (tanto teórico como prático) terá caráter dinâmico, podendo sofrer
alterações de acordo com a retroalimentação fornecida pelas avaliações, mas será
sempre direcionado a consecução dos objetivos do curso.
203




6. CRONOGRAMA
ATIVIDADE                    ABR    MAI    JUN JUL AGO            SET    OUT       NOV   DEZ   JAN
Rev. bibliog.
Seleção dos
Participantes
Escolha das RS
Contato inicial (RS)
Atividades teóricas
Atividades práticas
Sistematização dos
Dados coletados
Publicação dos
Resultados

7. ORÇAMENTO
      Diárias – Quantidade                Diárias – Valor Total      Período        Observações*
                                                                      15/08/03       ESP
  Nº de Diárias: 16                   R$ 800,00                       a
                                                                      15/11/03
Deslocamento para servidor –              Deslocamento-Valor        Período
Quantidade                                Total
  32 passagens POA-SM-POA                                             01/03/0/     ESP
  Nº de servidores 2                  R$ 800,00                       a
                                                                      31/01/04
Deslocamento e hospedagem                 Deslocamento-Valor        Período
para não-servidor – Quantidade            Total
  46 passagens SM-POA-SM                                              01/03/0/     CCS-UFSM
Nº de não servidores 1                R$ 1.288,00                     a
                                                                      31/01/04
  Pagamento de Honorários –               Pagamento de              Período
  Quantidade                              Honorários – Valor
                                          total
                                                                      15/08/03     R$ 100,00
  Nº de Docentes: 2 **                R$ 6.000,00                     a            por hora-aula
                                                                      15/11/03     (teóricas) SMS
  Material de Consumo                     Material de Consumo       Período
                                          Valor Total
  Papel, disquetes, tinta, cópias         R$ 480,00                     15/08/03   HUSM
                                                                        a
                                                                        15/11/03
                                                                        b
  Disponibilização de carga horária       Disponibilização de           Período
  de docente                              carga horária de
                                          docente - Nº de horas
  Nº de docentes: 1***                    10h semanais           15/08/03 SMS-SM
                                                                 a
                                                                 31/01/04
* Instituição responsável pelo provimento dos valores. ESP = Escola de Saúde Pública; CCS-UFSM =
Centro de Ciências da Saúde da Universidade Federal de Santa Maria; SMS-SM = Secretaria
Municipal da Saúde de Santa Maria; HUSM = Hospital Universitário de Santa Maria.
** Docentes da ESP: Nílson Maestri Carvalho e Regina P. Loureiro.
*** Profª. Enfª. Benildes Maria Mazzorani
204



8. REFERÊNCIAS

SCHMITZ, CARVALHO, MAZZORANI e col., Um Modelo de Tripé para dar Apoio ao
  SUS: Desencadeando ações de curto, médio e longo prazo em seqüências
  encadeadas com o fim de fortalecer a atenção básica, Escola de Saúde
  Pública/Centro de Saúde Escola Murialdo, Porto Alegre, RS, 2003.

MINISTÉRIO DA SAÚDE, 11ª Conferência Nacional de Saúde – Relatório Final, Ed.
  MS, Brasília, DF, 2001.

FREIRE, P – Educação como Prática de Liberdade. Editora Paz e Terra, Rio de
  Janeiro, RJ, 1976.

FEUERWERKER, L.; KALIL, M. E.; BADUY, R. – A Construção de Modelos
  Inovadores de Ensino-Aprendizagem – As lições aprendidas pela rede UNIDA.
  Divulgação em Saúde para Debate, nº 22, p. 49-62, Rio de Janeiro, RJ, 2000.

FREIRE, P – Pedagogia do Oprimido. 17ª Ed. – Editora Paz e Terra, Rio de Janeiro,
  RJ, 1987.

FERREIRA FILHO, O.F. et al – Visão Docente do Processo de Implementação da
  Aprendizagem Baseada em Problemas (APB) no Curso Médico da Universidade
  Estadual de Londrina (UEL), Revista Brasileira de Educação Médica, V 26, Nr.3,
  p.175-183, set/dez 2002.

LIMA JR, E. – O Dilema do Biscoito e o Ensino Universitário: Uma reflexão, Revista
  Brasileira de Educação Médica, V 26, Nr.3, p.211-214, set/dez 2002.

ORGANIZAÇÃO PAN-AMERICANA DE SAÚDE – Sistemas de Informação
  Geográfica em Saúde: Conceitos básicos. Ed. MS, Brasília, DF, 2002

REDE INTERAGENCIAL DE INFORMAÇÕES PARA A SAÚDE – Conceitos Básicos
  de Sistemas de Informação Geográfica e Cartografia Aplicados à Saúde. Ed. MS,
  Brasília, DF, 2000.

ROSSONI, E.; ROSA, R.T.D. (org.) – Residência Integrada em Saúde Coletiva:
  Planejamento Pedagógico, Secretaria Estadual de Saúde, Escola de Saúde
  Pública, Centro de Saúde Escola Murialdo – Porto Alegre, 2000.

ESCOLA DE SAÚDE PÚBLICA - Proposta Político-Pedagógica: Residência
  Integrada em Saúde (Versão preliminar), Porto Alegre, RS, 2002.

GRUPO HOSPITALAR CONCEIÇÃO - Programa de Residência em Medicina de
  Família e Comunidade, Porto Alegre, RS, 2003.
205




ANEXO I - Objetivos Projeto I
          Objetivo geral:
          Desencadear uma seqüência lógica de processos locais que, articulados
          entre si, culminem na alteração do modelo de atenção em saúde,
          auxiliem tanto na reforma curricular do curso de medicina como na
          inserção de vários cursos universitários na rede e levem à implantação
          de uma residência integrada em saúde no município de Santa Maria.
          Objetivos específicos:
          • Desenvolver, no segundo semestre de 2003, o curso de educação em
             saúde pública, voltado à capacitação de preceptores, gerando, como
             principais substratos do curso, recursos humanos e resultados
             práticos:

               •   Um grupo de preceptores composto por profissionais de pelo
                   menos doze áreas de conhecimento (artes plásticas, educação
                   física, enfermagem, fisioterapia, fonoaudiologia, informática,
                   medicina, nutrição, odontologia, psicologia, serviço social e
                   terapia ocupacional). Este grupo estará aberto a profissionais das
                   várias unidades de ensino e assistência locais;
               •   Um grupo de preceptores do CM da UFSM e do HUSM, nas
                   grandes áreas de clínica médica, pediatria, gineco-obstetrícia,
                   cirurgia geral e especialidades afins (cardiologia, psiquiatria,
                   geriatria e outras);
               •   A territorialização de uma região sanitária de Santa Maria (11ª
                   RS, como sugestão inicial) e de outras regiões sanitárias de
                   interesse;
               •   O conjunto programático, nas doze áreas de conhecimento em
                   questão, com vistas a futura implantação de uma especialização
                   em saúde coletiva;
          •   Promover a participação ativa da ESP, na forma de assessoria, na
                estruturação da reforma curricular do curso de medicina e na
                inserção acadêmica na rede (aberta a todos os cursos envolvidos);

          •   Criar as condições políticas, administrativas e técnicas para que, em
                fevereiro de 2004, através da turma de preceptores formada, tenha
                início o curso de especialização em saúde coletiva, com duração de
                um ano;

          • Criar as condições políticas, administrativas e técnicas para que o
              curso de especialização em saúde coletiva tenha continuidade,
              expansão para dois anos de duração e conseqüente estruturação da
              residência integrada em saúde no município de Santa Maria.
206



      ANEXO II – Estrutura do curso
      1º módulo 15/8/3 – 30/8/3
           Data                          Temáticas ou Conteúdos                       CH          Responsável           Obs    Local
          Horário
           5/9/3       Solenidade de abertura                                          4h                                     Auditório
         sexta-feira   Palestra: Humanização do SUS                                         Nílson Maestri Carvalho            Hotel
          18h-22h      Apresentação da Estrutura e Dinâmica do Curso                        Carlos André Aita Schmitz         Morotin
                                                                                                                         1
             15/9/3      Instrumento de ensino a distância (EAD) – Instruções de uso   4h Carlos André Aita Schmitz            CT
         segunda-feira                                                                      Monitores (acad. UFSM)       2   UFSM
            18h-22h
        Intervalo entre Instrumentalização virtual (IV) para os temas do módulo 1      ---- Todos                       3   Internet
           encontros
             19/9/3      Epidemiologia como ferramenta para o trabalho em saúde        2h Regina P. Loureiro            4   Auditório
          sexta-feira    coletiva I - Visão Geral                                      2h Carlos André Aita Schmitz          Hotel
            18h-22h                                                                                                         Morotin
             20/9/3      Evolução das políticas de saúde no Brasil                     2h Nílson Maestri Carvalho       4   Auditório
            sábado       SUS: Princípios e diretrizes                                                                        Hotel
            8h-12h                                                                     2h                                   Morotin
      1
        Esta Atividade envolverá a participação dos representantes das instituições envolvidas, dos participantes do curso, dos
      representantes do Conselho Municipal de Saúde e dos representantes da comunidade (região sanitária) envolvida.
      2
        Esta aula ocorrerá no laboratório de informática do Centro de Tecnologia da UFSM, com a assistência de monitores do Curso de
      Ciência da Computação, onde será possível alocar um computador para cada dois alunos.
      3
        Após o preenchimento de um pré-teste com 10 questões objetivas sobre o tema, o aluno poderá acessar os textos básicos sobre
      o primeiro tema a ser desenvolvido no módulo. Caso não haja texto eletrônico disponível, os textos poderão ser encontrados em
      um ponto de cópias reprográficas.
      O aluno também terá acesso aos questionamentos iniciais (problematizações) que irão orientar as leituras e as discussões, o
      sistema só permitirá este acesso após o preenchimento do pré-teste.
O sistema só permitirá o avanço para o pré-teste de um novo tema 24 horas após o pré-teste do tema anterior (tempo mínimo para
207


      leitura de cada texto).
      Decorrido o tempo mínimo de leitura, o sistema permitirá ao aluno o acesso à lista de discussões do tema, onde poderá enviar
      questionamentos, opiniões e dúvidas, ao mesmo tempo em que poderá visualizar as mensagens de seus colegas e dos docentes
      a respeito do tema em questão. Os docentes poderão lançar provocações para incrementar o debate.
      A lista de discussão de temas já vencidos estará aberta para todos, pois as mensagens estarão armazenadas, mas a lista de
      discussão de um novo tema do módulo estará condicionada ao preenchimento do pré-teste referente àquele tema, bem como ao
      tempo mínimo de leitura.
      A qualquer momento o aluno poderá acessar e imprimir os instrumentos de avaliação que irão guiar sua auto-avaliação, a
      avaliação do(s) docente(s) e a avaliação do tema, a serem utilizados na próxima discussão presencial (encontros de
      problematização).
      4
        Antes do encontro de problematização os docentes poderão se basear no desempenho dos alunos no pré-teste e no nível
      atingido pelo debate na lista de discussão. Os encontros de problematização terão a finalidade de aprimorar, presencialmente, o
      debate iniciado virtualmente.
2º módulo 2/9/3 – 13/9/3
208


           Data                          Temáticas ou Conteúdos                         CH         Responsável            Obs   Local
          Horário
         Intervalo    2ª IV: Pré-teste e leitura sobre Controle social; divisão dos alunos --- Todos                       5    Internet
           entre      em 3 grupos para a primeira atividade prática; instruções gerais                                     6
        encontros     para a atividade prática. Leituras de epidemiologia.
        DEFINIR       1ª Atividade prática: Participação em reuniões do CMS, da            4h Carlos André Aita Schmitz    7
       quarta-feira   Câmara Técnica do Hospital Casa de Saúde (HCS) e das                     Benildes Maria Mazzorani
          8h-12h      lideranças comunitárias. Cada grupo ficará responsável por relatar       Docente convidada: Dra.
                      aos demais as experiências vividas nas atividades práticas. O            Rosa Wolf, presidente do
                      sistema terá um espaço específico para o armazenamento de                CMS
                      relatórios.
           3/10/3     Controle social: construção de novos conhecimentos a partir do       4h Nílson Maestri Carvalho 4  Auditório
        sexta-feira   relato das atividades práticas                                                                       Hotel
         18h-22h                                                                                                          Morotin
           4/10/3    Epidemiologia como ferramenta para o trabalho em saúde coletiva 4h Regina P. Loureiro            4  Auditório
          sábado     II – Indicadores Epidemiológicos ( Morbidade e Mortalidade)                                           Hotel
          8h-12h                                                                                                          Morotin
      5Antes de permitir o início de um novo módulo, o sistema requisitará ao aluno o preenchimento eletrônico das avaliações e a
      realização do(s) pós-teste(s). Neste mesmo ponto os docentes estarão tecendo, também, as suas avaliações. O sistema permitirá
      um campo de texto, para cada avaliação, onde poderão ser feitas considerações mais extensas. A partir disso, segue-se a
      metodologia do item 3.
      6Neste caso, em especial, devido ao fato destas reuniões já terem data marcada, o tempo de IV será reduzido.
      7As atividades práticas sempre serão supervisionadas por um docente.
3º módulo 16/9/3 – 27/9/3
209


           Data                          Temáticas ou Conteúdos                         CH        Responsável            Obs    Local
          Horário
         Intervalo    3ª IV: Pré-teste e leituras para o tema modelos tecno-assistenciais --- Todos                       3    Internet
           entre      em saúde, divisão dos alunos em 4 grupos para a 2ª atividade                                        5
        encontros     prática, instruções gerais para atividade
        DEFINIR       2ª Atividade prática: Visitação às UBSs da região sanitária e ao    4h Carlos André Aita Schmitz    9     Região
       quarta-feira   Serviço de Pós-Alta Hospitalar (SPAH) do HCS                            Benildes Maria Mazzorani         sanitária
          8h-12h
          17/10/3     Epidemiologia como ferramenta para o trabalho em saúde coletiva   4h Regina P. Loureiro             4    Auditório
       sexta-feira    III – Medidas de risco                                                                                    Hotel
         18h-22h                                                                                                               Morotin
          18/10/3     Modelos tecno-assistenciais em saúde: construção de novos         4h Nílson Maestri Carvalho        4    Auditório
          sábado      conhecimentos a partir do relato das atividades práticas                                                  Hotel
          8h-12h                                                                                                               Morotin
4º módulo 29/9/3 – 11/10/3
210


           Data                            Temáticas ou Conteúdos                       CH          Responsável        Ob    Local
          Horário                                                                                                       s
         Intervalo    4ª IV: Preparação e discussão da primeira atividade de            --- Todos                           Internet
           entre      macroterritorialização
        encontros
        DEFINIR       Atividade prática: Territorialização                              4h Carlos André Aita Schmitz         Região
       Quarta-feira                                                                        Benildes Maria Mazzorani         sanitária
          8h-12h
          31/10/3     Epidemiologia como ferramenta para o trabalho em saúde coletiva        Regina P. Loureiro             Auditório
       sexta-feira    IV – Medidas Bioestatísticas                                                                           Hotel
         18h-22h                                                                                                            Morotin
          1º/11/3     Transdisciplinaridade no trabalho em saúde: conceitos de campo    2h Nílson Maestri Carvalho          Auditório
          sábado      e núcleo                                                                                               Hotel
          8h-12h      Níveis de atenção em saúde e suas inter-relações                  2h                                  Morotin
5º módulo 13/10/3 – 25/10/3
211


           Data                            Temáticas ou Conteúdos                       CH          Responsável        Obs    Local
          Horário
         Intervalo    5ª IV: Preparação e discussão da segunda atividade de             --- Todos                            Internet
           ente       macroterritorialização
        encontros
        DEFINIR       Atividade prática: Territorialização                              4h Carlos André Aita Schmitz          Região
       Quarta-feira                                                                        Benildes Maria Mazzorani          sanitária
          8h-12h
          14/11/3     Municipalização da saúde                                          4h Nílson Maestri Carvalho           Auditório
       sexta-feira    Distrito sanitário (regionalização)                                                                     Hotel
         18h-22h                                                                                                             Morotin
          15/11/3     Epidemiologia como ferramenta para o trabalho em saúde coletiva   2h Regina P. Loureiro                Auditório
          sábado      V – Medidas diagnósticas                                          2h                                    Hotel
          8h-12h                                                                                                             Morotin
6º módulo 27/10/3 – 1º/11/3
212


           Data                           Temáticas ou Conteúdos                          CH          Responsável        Obs    Local
          Horário
         Intervalo    6ª IV                                                               --- Todos                            Internet
           entre
        encontros
        DEFINIR       Atividade prática                                                   4h Carlos André Aita Schmitz          Região
       quarta-feira                                                                          Benildes Maria Mazzorani          sanitária
          8h-12h
          28/11/3     Epidemiologia como ferramenta para o trabalho em saúde coletiva     4h Regina P. Loureiro                Auditório
       sexta-feira    VI – Erros em epidemiologia                                                                               Hotel
         18h-22h                                                                                                               Morotin
          29/11/3     Planejamento estratégico situacional (PES) nas regiões sanitárias   4h Nílson Maestri Carvalho           Auditório
          sábado                                                                                                                Hotel
          8h-12h                                                                                                               Morotin
7º módulo 3/11/3 – 15/11/3
213


            Data                          Temáticas ou Conteúdos                        CH          Responsável        Obs    Local
          Horário
         Intervalo    7ª IV                                                             --- Todos                            Internet
           entre
        encontros
        DEFINIR       Atividade prática                                                 4h Carlos André Aita Schmitz          Região
       quarta-feira                                                                        Benildes Maria Mazzorani          sanitária
          8h-12h
           5/12/3     Epidemiologia como ferramenta para o trabalho em saúde coletiva   4h Regina P. Loureiro                Auditório
       sexta-feira    VII – Epidemiologia aplicada à pesquisa básica                                                          Hotel
         18h-22h                                                                                                             Morotin
           6/12/3     Processo de trabalho na saúde                                     4h Nílson Maestri Carvalho           Auditório
          sábado                                                                                                              Hotel
          8h-12h                                                                                                             Morotin
                      Total de horas teóricas                                           60h
                      Total de horas práticas                                           30h
214



   APÊNDICE I – O “CAUSO” DO GERALDÃO
       Trabalhar na Vila Maringá foi quase tão difícil quanto trabalhar no Morro da
Cruz, mas havia alguns momentos de descontração. As consultas do Geraldão
foram alguns destes momentos.
       O Geraldão foi um dos meus primeiros pacientes na Maringá e chegamos a
desenvolver uma boa amizade. Era o legítimo gauchão, totalmente gaudério.
Estacionava sua carroça incrementada no pátio do posto e vinha sempre a caráter,
com o cigarro de palha no canto da boca, vestindo bombachas, alpargatas, chapéu
com barbicacho e facão preso na guaiaca.
       Tinha por profissão a coleta seletiva de lixo, seleção que fazia no pátio de sua
casa, que aos poucos havia se transformando num depósito dos dejetos que não
eram negociáveis.
       Tratava seu cavalo como membro da família, com direito a dormir dentro de
casa e a ter assistência veterinária particular.
       Suas consultas eram um acontecimento social. Falava aos gritos e, para que
me ouvisse e respeitasse, eu tinha que gritar também, de modo que todos que
estavam no posto e algumas casas vizinhas participavam da consulta.
       Certa feita irrompeu o consultório queixando-se de lombrigas e querendo um
remédio brabo, porque seus intestinos eram fortes e não era qualquer pilulazinha de
farinha que iria fazer efeito.
       E não viesse eu com aquela porcaria de mebendazol, que ele já tinha tomado
e não tinha servido para nada, e as “bichas” já estavam mordiscando-lhe a garganta.
Queria um vermífugo dos bons, do tipo que ele comprava para seu cavalo.
       Olhei para as suas mãos de unhas compridas e encardidas e tentei lhe
explicar que uma das formas de re-infecção se dava quando levava as mãos sujas à
boca. Que tinha que lavá-las e, principalmente, cortar as unhas, porque os ovinhos
dos vermes ficavam ali embaixo.
       Todo este diálogo se dava aos gritos, o resto do posto em silêncio, todos
compenetrados na contenda:
       - Aí não doutor! Agora eu lhe ganhei! Eu não boto as mão na boca!
       - Bota, Geraldo. Todo mundo bota.
       - Mas eu não boto!
       - Nunca?
       - Nunquinha!
       Olhei bem sério pra ele e lasquei:
       - E tatu do nariz, tu tira?
       Do outro lado da divisória dava para ouvir a enfermeira se contorcendo,
tentando não rir.
       - Tiro, claro! Todo mundo tira! Até doutor tira!
       - Pois então! Tu põe os dedo no nariz e os bicho entram por aí!
       - Mas será que é, doutor?
       - Claro que é!
       - Então tá! Esta tu ganhou!
       E cortou as unhas na minha frente. Com a faca.
215



   APÊNDICE J - NEM CAFÉ NEM PÃO, SÓ PAPELÃO
        Lembro de um poema concreto do Ferreira Goulart que usava a popular
batida “café com pão, bolacha não” para mimetizar a cadência de um trem. Nem
café, nem pão, só papelão não é o título de um poema concreto, mas a crônica de
uma passagem dura na vida de uma família da Vila Maringá.
        Como outras tantas, era uma família de papeleiros, o casal e dois meninos.
Moravam numa casa de tapume. Na escala social estavam um nível acima dos que
moravam em casas de lona preta e dos que moravam na rua.
        Haviam comprado uma carroça e um cavalo, pois o centro da cidade, fonte de
papel, ficava longe. Gastavam tudo que ganhavam para pagar a tal carroça. Já fazia
tempo que não tinham dinheiro para comida. Tinham sal, que sal é barato.
        Devido ao grande número de famílias, na vila, sem absolutamente nenhuma
renda era comum a prática dos miseráveis pedirem esmolas para os pobres.
        Mas eles tinham orgulho, não esmolavam.
        Fizemos uma visita domiciliar, eu e a enfermeira. Era inverno.
        A casa era de um cômodo só. No centro tinha uma roda de caminhão, onde
era feito o fogo e onde várias lascas do assoalho já haviam ido parar. Uma placa de
propaganda fazia às vezes de chapa sobre o fogo. Em cima dela uma lata, dentro da
lata, a ferver, água, sal e... papelão.
        O prato do dia e de todos os últimos dias.
        Na barriga da mãe, além da fome, mais um filho a caminho.
        E o cavalo morreu.
        Mais tarde conseguimos, com a ajuda da comunidade e da Pastoral da
Criança, dar um bom encaminhamento para o caso.
        Mas, naquele dia, ficamos deprimidos.
216



   APÊNDICE L – UMA SINGELA PIADA

       Eis que morreu um famoso racista norte-americano. Em vida havia sido
contundente, liderara vários movimentos de segregação, recebera o título de
cidadão sul-africano honorário e, na calada da noite, comandara muitos
linchamentos e chacinas.
       Isto posto, caiu direto ao inferno e, na entrada, após levar um corridão de
Cérbero, foi recebido pelo Demo em pessoa, mais um séqüito de demônios
menores, todos ávidos em submetê-lo às torturas eternas. Porém, antes que
qualquer coisa fosse dita, num clarão vindo do céu, desceu uma tropa de arcanjos
que, com suas espadas flamejantes, dizimaram os demônios e arrebataram o racista
para as alturas.
       Durante sua ascensão, ainda voltou-se para baixo e gritou a Satanás:
       --- Nunca fostes a um museu de arte, ó imbecil, Deus é e sempre será ariano!
       O demônio, injuriado, ainda vociferou algo que não lhe alcançou os ouvidos,
pois já estavam às portas do paraíso.
       Os arcanjos, sem dizer palavra, deixaram-no em um enorme salão repleto de
luz, onde o ar tinha perfumes que transcendiam a alma. No centro daquele espaço,
ao lado de um trono resplandecente de incrível alvura, uma alta figura o aguardava.
       Depois de muito andar, aproximou-se da figura e percebeu que se tratava de
um negro:
       --- E aí negrão ! Quer dizer que o Velho tem escravos. Isto está melhor do que
pensei !
       Sorrindo, o negro sentou-se no trono. Em seu olhar se podia perceber um
certo toque de sadismo...
217



APÊNDICE M – HISTÓRIA DA SAÚDE NO BRASIL


      ESTADO DO RIO GRANDE DO SUL
      ESCOLA DE SAÚDE PÚBLICA




          CURSO DE FORMAÇÃO DE SANITARISTAS




            DISCIPLINA DE HISTÓRIA DA SAÚDE




   RESUMO DA HISTÓRIA DA SAÚDE NO BRASIL




          CARLOS ANDRÉ AITA SCHMITZ1




                     ABRIL DE 2004
218



HISTÓRIA DA SAÚDE NO BRASIL

     PERÍODO PRÉ-REPUBLICANO (1500-1889)

       Inúmeros eram os problemas enfrentados pelos colonizadores portugueses e
pelos escravos africanos. Além dos constantes ataques indígenas e da escassez de
recursos, várias e freqüentes eram as enfermidades que assolavam o “Quinto dos
Infernos”, como passou a ser denominada a nova colônia.
       Naquela época já existia um problema que acompanha a saúde até os dias de
hoje: a concentração dos profissionais de saúde nos grandes centros. No caso,
Portugal representava a metrópole e as colônias eram o interior sem atrativos, numa
analogia aos dias de hoje.
       No século XVI, o Conselho Ultramarino português (órgão responsável pelas
colônias) criou as funções de físico-mor e cirurgião-mor para zelar das questões
sanitárias da colônia. Apesar da titulação oferecida, estas funções ficaram vagas por
longos períodos em função de fatores como baixos salários e, evidentemente, a
periculosidade local.
       Mesmo os poucos que se aventuravam eram preteridos pela população, tanto
pobre quanto abastada, em favor dos curandeiros indígenas e negros. Isso, entre
outras coisas, deveu-se aos métodos de tratamento em voga entre os médicos
formadas na Europa, que eram baseados em sangrias e laxativos e, em geral,
enfraqueciam os enfermos, causando a morte dos mais debilitados. Ou seja, um dos
determinantes de bom prognóstico para os pacientes que se submetessem ao
tratamento era um compleição física bem robusta.
       A somação da escassez de profissionais (em 1746 havia apenas seis
médicos europeus em todo o território colonial) e ao fato de seus serviços e de seus
colegas boticários serem muito caros, tornou corrente a utilização de remédios
populares receitados por “curadores” e padres da Companhia de Jesus.
       A primeira grande epidemia enfrentada pelo Brasil-colônia foi a de varíola ou
mal das bexigas, doença bacteriana infecto-contagiosa sobre a qual tanto médicos
como curandeiros pouco podia fazer, dado os parcos conhecimentos sobre a
moléstia. O tratamento comumente aceito era o isolamento dos enfermos (os
“bexiguentos”) para que fossem morrer sozinhos, afastados dos povoados.
       A vinda da corte real, em 1808 fez com que nos anos seguintes fossem
criadas as primeiras escolas médico-cirúrgicas no Rio de Janeiro e na Bahia. Era a
época dos miasmas, onde as epidemias de varíola, cólera e febre amarela eram
atribuídas ao “ar corrompido” que viria do mar. Algumas medidas sanitárias
começavam a ser tomadas, como a vacinação em massa contra a varíola, que teve
boa aceitação. Também eram tomadas medidas como disparar tiros de canhão com
certa constância, para movimentar os miasmas que poderiam estar estacionados
sobre a cidade.
       A baixa eficácia das ações sanitárias levava os pacientes ricos a procurarem
assistência na Europa ou nas clínicas particulares que começavam a ser criadas.
Aos pobres restavam os raros hospitais públicos que eram considerados depósitos
de enfermos à espera da morte, sendo por isso evitados, as Santas Casas de
Misericórdia ( a primeira foi fundada já em 1543) e, principalmente, os curandeiros
negros.
219

      Apesar dos incentivos à pesquisa fornecidos por dom Pedro II, o Brasil
encerrou o segundo reinado mantendo a fama de ser um dos países mais insalubres
do planeta.


     A REPÚBLICA VELHA (1889-1930)

        Analogamente à chegada da corte real, o positivismo chega aos portos
brasileiros. Baseado no lema “Ordem e Progresso”, os trabalhadores brasileiros são
reconhecidos como capital humano, com função de produção e como fonte geradora
de riquezas. Era necessário civilizar o país através da capacitação física e intelectual
dos operários e camponeses, resgatando, com isso, a nação da barbárie.
        Neste palco a medicina foi elevada ao papel de guia do Estado para assuntos
sanitários, comprometendo-se a garantir a melhoria da saúde individual e coletiva e,
por extensão, a defesa do projeto de modernização do país.
        Entram em choque a tradição dos miasmas com os conceitos defendidos pela
escola de Pasteur, com a vitória desta última. Começa a ganhar corpo um novo
campo de conhecimento, voltado para o estudo e a prevenção das doenças e para o
desenvolvimento de formas de atuação nos surtos epidêmicos. Nasce a saúde
pública, complementada pela epidemiologia.
        A novidade médica exigiu a reorganização dos serviços sanitários e as
antigas juntas provinciais foram substituídas pelos serviços sanitários estaduais.
Mesmo, assim, a desorganização destes serviços nos primeiros anos da república
(1890-1900) facilitou a ocorrência de novas ondas epidêmicas, vindo a peste
bubônica e a febre tifóide somarem-se às ainda remanescentes varíola, febre
amarela e cólera. As mortes ocorriam aos milhares.
        Os médicos sanitaristas passam a receber incentivos do governo e a ocupar
cargos importantes na administração da república. Medidas preconizadas na época:
fiscalização sanitária, drenagem de pântanos, destruição de viveiros de ratos e
insetos, hospitalização compulsória de doentes portadores e enfermidades
contagiosas ou mentais.
        O Estado passa a intervir tanto nas epidemias como nas ações de saúde
rotineiras e em todos os setores da sociedade. Nasce a política de saúde. Como
irmão gêmeo da política de saúde, nasce o descaso com a política de saúde.
Mantendo a tradição dos países coloniais os grandes investimentos são
direcionados para o aumento da produção em benefício da elite dominante. O
trabalhador vai mal, recebendo salários baixos, adoecendo com facilidade e tendo
sua vida produtiva abreviada. As engrenagens ruins são substituídas (existem e se
reproduzem em grande quantidade) para que a máquina agro-exportadora continue
funcionando.
        Os lucros do modelo agro-exportador financiaram a industrialização, a
expansão do comércio e o aumento acelerado da população urbana. A partir deste
ponto, surge o sanitarismo campanhista, que visava melhorar as condições
sanitárias das áreas vitais para a economia nacional: os portos e as cidades. O meio
rural seria relegado a um sombrio segundo plano, só chamando atenção dos
médicos e das autoridades quando os problemas sanitários interferiam na produção
agrícola ou extrativista destinada à exportação.
        Os maiores investimentos são realizados nas cidades do Rio de Janeiro e
São Paulo (que era a segunda maior cidade do país), criaram-se vários institutos de
pesquisa: Bacteriológico, Vacinogênico e de Análises Clinicas e Farmacêuticas, em
220

São Paulo (atuais Butantã e Adolfo Lutz) e Soroterápico de Manguinhos, no Rio de
Janeiro (atual Oswaldo Cruz).
       Enquanto isso, fora da área de atuação destes institutos muito pouco era feito
em prol da saúde coletiva. Houveram algumas iniciativas em Minas Gerais, Pará e
Rio Grande do Sul, mas de cunho muito tímido em função da escassez de recursos
e das disputas políticas.
       Como resultado disso, apesar da estabilização sanitária nos grandes centros,
no restante do país os índices das enfermidades mantinha-se altos e se elevando. A
situação era drástica tanto no campo quanto na cidade. Em 1918, a população rural
contava com 20 milhões de pessoas, das quais 17 milhões padeciam do
enfraquecimento gerado pelas parasitoses intestinais, três milhões portavam o mal
de Chagas, 10 milhões eram atacados pela malária e mais cinco milhões pela
tuberculose. Considerando ainda a desnutrição e o alcoolismo, pode-se inferir que a
vida no campo não eram nenhum paraíso bucólico. O perfil do nosso cabloco foi
representado por Monteiro Lobato no personagem Jeca Tatu.
       Nas cidades o quadro não era melhor, as mesmas patologias do período pré-
republicano ganhavam cada vez mais força, tanto pela chegada de grandes levas de
imigrantes quanto pelo aumento da miséria. Multiplicavam-se os cortiços e as
favelas e com eles o número de enfermos.
       A eugenia ganhava força entre uma parcela da elite intelectual que
preconizava que a situação só iria melhorar a partir do desaparecimento dos
“híbridos raciais” frutos da mistura entre brancos, negros e índios, sendo estes dois
últimos também considerados grupos biologicamente inferiores.
       Uma outra parcela da mesma elite intelectual, porém menor, acreditava que o
país estava enfermo e precisa de tratamento através de uma urgente intervenção do
Estado no setor sanitário. Consideravam saúde e desenvolvimento econômico como
fatores de uma mesma equação.
       Nenhuma outra metrópole brasileira foi alvo de tantas ações como o Rio de
Janeiro. Sendo corredor de entrada do comércio e saída das exportações a cidade
precisava perder a fama de matadouro de estrangeiros. Favelas e cortiços do centro
da cidade foram destruídos após remoção compulsória de seus ocupantes, dando
lugar a largas, modernas e arejadas avenidas. Até mesmo alguns morros foram
terraplanados para favorecer a circulação do ar. Em São Paulo medidas
semelhantes eram tomadas, mas foi no rio que ocorreu o fato mais marcante do
período: a revolta da vacina, uma insurreição popular contra a vacinação obrigatória
da varíola. Houve uma verdadeira guerra civil com tombamento e incêndio de
bondes, chegando o principal foco de resistência, o bairro Porto Artur, a ser
bombardeado por um navio de guerra.
       A obrigatoriedade da vacina caiu por terra e o desgaste provocado pelos
acontecimento levou o governo a repensar a forma de organização das ações em
saúde pública.
       As medidas de saneamento, em maior ou menor escala, foram reproduzidas
nas demais capitais e principais cidades do interior, reduzindo os índices nacionais
de morbidade e mortalidade. As diferenças sociais, pelo contrário, acentuam-se, pois
enquanto os ricos ganhavam bairros com infra-estruturas como água, iluminação e
esgoto e ficavam livres dos pobres, os cortiços eram apenas trocados de lugar.
       Em 1918 quando a epidemia de gripe espanhola assolou o país, causando
mais de quinhentas mil mortes, um grande número de políticos e médicos fugiram
dos centros urbanos deixando a população entregue à própria sorte. A situação só
221

não foi pior porque o povo se solidarizou, criando hospitais de emergência e
cozinhas populares para atender os mais carentes.


    A ERA VARGAS (1930-1945)

       A ação centralizadora do novo governo inicia já em 1930 com a criação do
Ministério da Educação e da Saúde Pública, comandado por um advogado. Os
médicos, ao contrário do período anterior, são excluídos dos processos decisórios
que ficam nas mãos dos burocratas. As ações programáticas instituídas geram
algum retorno nos locais onde não havia nenhuma atuação, mas nos centros mais
organizados acabam ocorrendo desconstruções das experiências já consagradas e
funcionantes. É um período de retrocesso onde se decide por atuar em patologias
como o tracoma, a lepra e a ancilostomose, deixando de lado as ações contra a
tuberculose, o atendimento infantil e o acompanhamento da gravidez.
       Na mesma época em que se criou a Consolidação das Leis do Trabalho,
foram criados as caixas de aposentadorias e pensões e os institutos de previdência.
A fórmula mágica de descontos dos trabalhadores e das empresas permitiu ao
governo instituir atendimento médico e hospitalar aos trabalhadores sem gastar um
centavo dos cofres públicos. Nasce a previdência social. Por outro lado, os
trabalhadores sem carteira do trabalho e os trabalhadores rurais eram qualificados
como indigentes, sendo atendidos pelos hospitais filantrópicos quando havia vagas.
       Iniciaram-se os investimentos em educação em saúde, com a impressão de
folhetos e cartazes, que de início esbarraram na grande quantidade de analfabetos
do país. As soluções encontradas foram a utilização das emissoras de rádio e as
modernas impressões de gravuras em três cores.
       O racismo eugenista persistia e a propaganda de saúde foi baseada no perfil
germânico do ariano puro até 1942, quando pressionado pelos EUA, o governo
Getúlio declara guerra ao Eixo. A propaganda de saúde passa então a adotar o
modelo norte-americano, veiculando as propriedades nutritivas de produtos como o
hambúrguer, o iogurte e vários outros produtos elaborados por empresas sediadas
na América do Norte.
       As doenças epidêmicas sofreram nítida diminuição, principalmente nos
grandes centros, mas as endemias como a esquistossomose, a doença de Chagas,
a tuberculose, as doenças gastrintestinais, as doenças sexualmente transmissíveis e
a hanseníase alastraram-se aos milhares e aos milhões.


    O PERÍODO DESENVOLVIMENTISTA (1945-1964)

        Mesmo com a queda de Vargas mantém-se o estilo populista de governar
através de medidas demagógicas que colocavam os governantes como “pais do
povo”. Apesar de todos os movimentos nacionalistas do período, em nome do
desenvolvimento, é grande a entrada de capital estrangeiro no país. Constrói-se
Brasília e inicia-se o trágico fortalecimento da dívida externa.
        Em 1953, no segundo período presidencial de Vargas, cria-se o Ministério da
Saúde, que como num prenúncio da desnutrição crônica que persiste até os dias de
hoje, inicia com verbas irrisórias.
        A falta de dinheiro impedia que o Estado atuasse de forma eficaz na péssima
situação da saúde coletiva. Em conseqüência o Ministério da Saúde colaborou de
222

maneira pouco eficiente na redução da morbidade e mortalidade das doenças que
inutilizavam para o trabalho e para a vida muitos brasileiros.
        O sanitarismo desenvolvimentista, característico do período, teve
contribuição mais voltada para as discussões conceituais relacionadas à saúde. Os
sanitaristas da época estabeleceram relação entre saúde e economia e definiram a
saúde de um povo como o corolário de seu desenvolvimento econômico. Podem ser
apontados dois marcos desta época: o primeiro foi a criação da Comissão de
Planejamento e Controle das Atividades Médico Sanitárias, com a função de
elaborar o plano plurianual, integrando as atividades de saúde ao Plano Nacional de
Desenvolvimento; o segundo foi a realização da III Conferência Nacional de Saúde,
que, além de discutir as propostas elaboradas por aquela comissão, sistematizou as
propostas de descentralização e municipalização da saúde.
        O esgotamento do modelo populista de relação entre o Estado e os
trabalhadores vai-se acentuando, em função da contradição entre um projeto
nacional desenvolvimentista em associação com o capital estrangeiro e a
possibilidade de incorporar as demandas dos trabalhadores.
        Um fato marcante foi a criação, em 1956, do Departamento Nacional de
Endemias Rurais (DNERU), com a finalidade de organizar e executar os serviços de
investigação e combate às principais patologias evitáveis deste período, dentre elas
a malária, leishmaniose, doença de Chagas, peste, brucelose, febre amarela,
esquistossomose e outras endemias existentes no país.
        Em nome do desenvolvimento os cofres da previdência são solapados,
gastam-se verbas em projetos fora da área da saúde (construção de Brasília, p.ex.).
        Grupos privados passam a ser favorecidos, a previdência financia a
construção de hospitais privados em todo os país, sob o pretexto que estas
instituições venderiam serviços a custos menores para o Estado. Ledo engano.
        As obrigações da previdência social inflam-se devido às pressões sindicais.
Em 1945 existiam cerca de dois milhões de pessoas vinculadas aos institutos
previdenciários. Duas décadas depois este número ultrapassa oito milhões de
pessoas, sem contar os dependentes. O sistema começa a entrar em crise.
        Enquanto isso a mortalidade infantil bate recordes: 421,6 em Natal e 100,9
em Porto Alegre, para cada 1.000 nascidos vivos...


     A NOVA DITADURA

       O financiamento do milagre econômico dá o golpe de misericórdia na
previdência social. O sistema quebra após financiar obras faraônicas como Itaipu, a
Transamazônica, os projetos Angra I, II e II e um sem número de outras fraudes.
       O pouco dinheiro destinado ao setor da saúde pública é utilizado para pagar
serviços prestados por hospitais particulares e algumas campanhas de vacinação,
quase nada sobrava para investir nos sistemas de água tratada e coleta de esgotos.
       O resultado foi trágico, com o aumento de enfermidades como dengue,
meningite e malária. As epidemias passaram a ser controladas mais pela censura do
que pelas ações de saúde.
       Em 1966 é criado o Instituto Nacional de Previdência Social (INPS), órgão
que unifica todos os institutos e caixas de pensões, constituindo-se na principal
ferramenta de viabilização das fraudes.
       Com a sua falência começam a surgir substitutivos, como a medicina de
grupo, na década de 70, onde as grandes e médias empresas começaram a firmar
223

contratos com grupos médicos para substituir os serviços prestados pelo INPS,
deixar de pagar a cota previdenciária e ainda receber subsídios do governo para
isso. Um negócio da China.
       As classes médias, beneficiadas pelo milagre econômico, encontram nas
companhias seguro-saúde o caminho de acesso ao atendimento rápido e eficiente.
Em troca, pagavam mensalidades que estavam fora do alcance da maior parte da
massa trabalhadora. Empresas como a Golden Cross aplicam cerca de 25% do
montante destas mensalidades no atendimento dos conveniados, burocracia e
publicidade. O restante representa lucro líquido.
       Em outro setor lucrativo o capital estrangeiro passa a incorporar as indústrias
farmacêuticas nacionais. Entre 1965 e 1975, pelo menos 25 companhias brasileiras
foram compradas por grupos norte-americanos e europeus.
       Enquanto isso, na saúde pública... Em 1974 é criado o Ministério da
Previdência e Assistência Social para incorporar o moribundo INPS, época em que
se cria também a Dataprev, Empresa de Processamento de Dados da Previdência
Social, numa tentativa de controlar a corrupção e a evasão de recursos.
       Por fim, em 1975 é criado o Sistema Nacional de Saúde, em mais uma
tentativa de baratear e ao mesmo tempo tornar mais eficazes as medidas de saúde
em todo o país. Em 1979 o Brasil permanecia como um dos países mais enfermos
da América Latina, sendo superado apenas por Haiti, Bolívia e Peru.

      O texto a seguir foi retirado de BRASIL. Ministério da Saúde. Gestão
municipal de saúde: Leis, normas e portarias atuais. Rio de Janeiro: Brasil. Ministério
da Saúde, 2001.



     A DÉCADA DE 80: ECLOSÃO DA CRISE ESTRUTURAL E CONSOLIDAÇÃO
     DAS PROPOSTAS REFORMADORAS

       O Brasil vivia um quadro político e econômico marcado por dificuldades no
panorama nacional e internacional, caracterizado por um processo inflacionário e
uma crise fiscal sem controle, ao lado do crescimento dos movimentos
oposicionistas e de divisões internas nas forças que apoiavam o regime. A derrota
do governo nas eleições de 1982, agregada ao crescimento do processo recessivo,
"quebrou a coesão interna do regime, determinando um redesenho de seus pactos".
Têm início neste momento os movimentos em direção ao processo de
redemocratização do país. Teixeira & Oliveira (1976) definem os anos 80-83 como o
período de eclosão de três crises: ideológica, financeira e político-institucional.
       A crise ideológica se caracteriza pela necessidade de reestruturação e
ampliação dos serviços de saúde. As experiências antes relatadas e a repercussão
interna da Conferência de Alma-Ata - cujos países participantes reconhecem a
atenção primária e a participação comunitária como estratégias para a conquista da
meta "Saúde para todos no ano 2000" - inspiram a formulação do PREV-SAÚDE.
Este projeto incorpora os pressupostos de hierarquização, participação comunitária,
integração de serviços, regionalização e extensão de cobertura. A discussão do
projeto faz eclodir uma divisão profunda entre a equipe responsável pelo mesmo e
alguns setores interessados na questão saúde, principalmente a Federação
Brasileira de Hospitais. Isto origina versões diferentes do PREV-SAÚDE e faz com
que ele seja caracterizado como "natimorto", não chegando a ser implementado.
224



        A crise financeira é decorrente do déficit crescente desde 1988. Em
contradição com um sistema em franca expansão, a base de financiamento
continuava sem qualquer alteração. Havia um desacordo entre a crescente absorção
de faixas cada vez mais extensas da população cobertas pela proteção social e a
manutenção de um regime financeiro calcado na relação contratual.
        Ao lado da restrição das fontes de financiamento, com ausência do Estado no
financiamento da Previdência e da expansão de cobertura, o modelo de
privilegiamento dos produtores privados de serviços de saúde implantado é
corruptor, incontrolável e sofisticado, o que o torna extremamente oneroso. Isto
levou a propostas de contenção de despesas, especialmente da assistência médica.
        A crise político-institucional é marcada pela criação do Conselho Consultivo
da Administração de Saúde Previdenciária (CONASP), em 1981, com o objetivo de
operar sobre a organização e o aperfeiçoamento da assistência médica, sugerir
critérios de alocação de recursos previdenciários para este fim, recomendar políticas
de financiamento e de assistência à saúde, analisar e avaliar a operação e o
controle da Secretaria de Assistência Médica da Previdência Social.

       O CONASP era composto por representantes de diferentes ministérios, por
representantes da sociedade civil e de parte dos prestadores de serviços de saúde
contratados / conveniados. As propostas, de inspiração racionalizadora, visando
cortar custos, têm sua maior expressão no documento "Reorganização da
Assistência Médica no Âmbito da Previdência Social", formulado em 1982. O
documento recupera propostas antes apresentadas pelo PREV-SAÚDE no sentido
da hierarquização, regionalização, descentralização e integração de serviços, dentre
outras. Propõe mudanças na sistemática de pagamentos, introduz novos
mecanismos de auditoria técnica e propõe a plena utilização da capacidade
instalada dos serviços públicos de saúde, incluindo os estaduais e municipais.

      Ao lado das propostas racionalizadoras do CONASP, cresciam os
movimentos reformadores da saúde e o movimento oposicionista no país. Em 1982,
são eleitos vários prefeitos comprometidos com as propostas de descentralização, o
que levou a bem-sucedidas experiências municipais de atenção à saúde.

       A proposta do CONASP foi consubstanciada nas Ações Integradas de Saúde
(AIS), que podem ser divididas em dois momentos: um anterior e outro posterior à
Nova República. Mais do que um programa dentro do INAMPS e das Secretarias de
Saúde, as AISs passaram da estratégia setorial para a reforma da política de saúde.
Em 1984, eram destinados às AISs 4% do orçamento do INAMPS, passando para
12% em 1986. Ao lado do aumento de recursos destinados ao setor público,
merecem destaque a universalização no uso de recursos previdenciários e a
incorporação de novos atores na disputa pelos mesmos. Em 1988, as AISs
abrangiam todos os estados e 2.500 dos pouco mais de 4.000 municípios então
existentes.

        No governo da Nova República, a proposta das AISs é fortalecida, e este
fortalecimento passa pela valorização das instâncias de gestão colegiada, com a
participação de usuários dos serviços de saúde.
225

        Em 1986, é realizada em Brasília a VIII Conferência Nacional de Saúde
(CNS), com ampla participação de trabalhadores, governo, usuários e parte dos
prestadores de serviços de saúde. Precedida de conferências municipais e
estaduais, a VIII CNS significou um marco na formulação das propostas de mudança
do setor de saúde, consolidadas na Reforma Sanitária brasileira. Seu documento
final sistematiza o processo de construção de um modelo reformador para a saúde,
definida como resultante das condições de alimentação, habitação, educação,
renda, meio ambiente, trabalho, transporte, emprego, lazer, liberdade, acesso e
posse da terra e acesso a serviços de saúde. É, assim, antes de tudo, o resultado
das formas de organização social da produção, as quais podem gerar desigualdades
nos níveis de vida.

      Este documento serviu de base para as negociações na Assembléia Nacional
Constituinte, que se reuniria logo após.

      Em paralelo ao processo de elaboração das propostas de mudança no setor
de saúde, deu-se a conformação de outro modelo, o chamado modelo neoliberal.

       Durante o processo de elaboração da Constituição Federal, outra iniciativa de
reformulação do sistema foi implementada, o Sistema Unificado e Descentralizado
de Saúde (SUDS). Idealizado como estratégia de transição em direção ao SUS,
propunha a transferência dos serviços do INAMPS para estados e municípios. O
SUDS pode ser percebido como uma estadualização de serviços. Seu principal
ganho foi a incorporação dos governadores de estado no processo de disputa por
recursos previdenciários. Contudo, a estadualização, em alguns casos, levou à
retração de recursos estaduais para a saúde e à apropriação de recursos federais
para outras ações, além de possibilitar a negociação clientelista com os municípios.

        Como resultante dos embates e das diferentes propostas em relação ao setor
de saúde presentes na Assembléia Nacional Constituinte, a Constituição Federal de
1988 aprovou a criação do SUS, reconhecendo a saúde como um direito a ser
assegurado pelo Estado e pautado pelos princípios de universalidade, eqüidade,
integralidade e organizado de maneira descentralizada, hierarquizada e com
participação da população.


     REFERÊNCIAS

BERTOLLI FILHO, C., História da Saúde Pública no Brasil, 2.ed., Ática, São Paulo,
  1998.
MINISTÉRIO DA SAÚDE, 11ª Conferência Nacional de Saúde – Relatório Final, Ed.
  MS, Brasília, DF, 2001.
CASTRO, J.L.; SANTOS NETO, P.M.; BELISÁRIO, S.A. (org.) – Gestão Municipal
  de Saúde: Leis, normas e portarias atuais – Ministério da Saúde, Rio de Janeiro,
  2001.
CASTRO, J.L.; SANTOS NETO, P.M.; BELISÁRIO, S.A. (org.) – Gestão Municipal
  de Saúde: Textos – Ministério da Saúde, Rio de Janeiro, 2001.
226




ANEXOS
227



    ANEXO A - MARAGATOS E PICA-PAUS
Por Lígia Gomes Carneiro
Retirado de: http://www.riogrande.com.br/historia/temas_maragatos_e_picapaus.htm
em 12/12/2004


       Os termos "maragato" e "pica-pau", usados para se referir às duas grandes
correntes políticas gaúchas, e identificados, respectivamente, com o uso do lenço
vermelho e do lenço branco, surgiram no Rio Grande do Sul em 1893, durante a
Revolução Federalista.
       Os maragatos foram os que iniciaram a revolução, que tinha como justificativa
a resistência ao excessivo controle exercido pelo governo central sobre os estados.
O objetivo da revolução seria, portanto, garantir um sistema federativo, em que os
estados tivessem maior autonomia.
       O termo "maragato", aplicado aos federalistas, tem uma explicação complexa.
No Uruguai eram chamados de maragatos os descendentes de imigrantes
espanhóis oriundos da área situada na província de León, na Espanha, conhecida
como Maragateria. Os maragatos espanhóis eram eminentemente nômades, e
adotavam profissões que lhes permitissem estar em constante deslocamento.
       Os defensores do governo central passaram a chamar os revolucionários de
"maragatos" com o intuito de insinuar que, na verdade, as tropas dos rebeldes eram
constituídas por mercenários uruguaios. A realidade oferecia alguma base para essa
assertiva — Gumercindo Saraiva, um dos líderes da revolução, havia entrado no Rio
Grande do Sul vindo do Uruguai pela fronteira de Aceguá, no Departamento de
Cerro Largo, e liderava uma tropa de 400 homens entre os quais estavam uruguaios.
       No entanto, dar esse apelido aos revolucionários foi um tiro que saiu pela
culatra. Os próprios rebeldes passaram a se denominar "maragatos", e chegaram a
criar um jornal que levava esse nome, em 1896.
       Já o termo pica-pau, aplicado aos republicanos que apoiavam o governo
central, teria surgido em função das listras brancas do topete do pássaro, pois os
governistas usavam chapéus com divisas brancas, que lembravam o topete do pica-
pau, enquanto que as dos maragatos eram vermelhas.
228



ANEXO B - PRIORIDADES EM SAÚDE DO GOVERNO ESTADUAL
(Extraído da palestra do secretário estadual de saúde, Osmar Terra, na
      cerimônia de posse dos coordenadores regionais de saúde em
                                04/02/2003)

  1. Ampliação de equipes PSF/PACS: O Estado somará recursos à União
     para passar de 400 para 1600 unidades;

  2. Redução da mortalidade infantil: meta de redução dos atuais 15% para
     menos de 9%;

  3. Programa de desenvolvimento integral na 1ª infância: atenção integral
     para crianças de 0 a 3a com articulação plena entre os programas locais e
     federais;

  4. Projeto salvar: ênfase ao atendimento pré-hospitalar, prevê utilização de
     verbas estaduais e federais, inclui Santa Maria;

  5. A região resolve: Capacitar as sete macrorregiões estaduais para
     resolverem 95% dos seus problemas em saúde;

  6. Repasse hospitalar: incentivar os hospitais a receberem repasses por
     indicadores de saúde, já que a meta é reduzir o número de internações
     através de ações primárias;

  7. Medicamentos para terceira idade: garantir o suprimento de trinta itens
     medicamentosos para tratamentos crônicos que representem pelo menos
     90% dos medicamentos usados;

  8. Controle da adicção e da depressão;

  9. Redução das doenças infecciosas;

  10. O município resolve: Passar de 11 para 150 os municípios com gestão
      plena municipal e atingir 100% de gestão básica ampliada;
  11. Informação para saúde: Campanhas televisivas de promoção da saúde,
      seguindo o modelo da campanha do soro caseiro;

  12. Execução orçamentária: passar dos atuais 5% para 10% o orçamento
      para saúde no estado.
229

           ANEXO C – EIXOS, VETORES E ESTÁGIOS DO PROJETO DE INCENTIVO A MUDANÇAS
           CURRICULARES NOS CURSOS DE MEDICINA.
      Eixos                   Orientação Teórica                                     Abordagem Pedagógica                                                             Cenário de Práticas

      Vetores Produção de                 Pós-graduação e              Mudança pedagógica              Integração ciclo          Diversificação de cenários do processo de ensino           Abertura dos serviços universitários
              conhecimentos segundo       educação permanente                                          básico/ciclo                                                                         as necessidades
              as necessidades do SUS                                                                   profissional                                                                         do SUS
      Estágio Escolas que não tenham      Oferta exclusiva de          Ensino centrado no              Ciclos clinico e básico   Ciclos clinico e básico completamente separados, com       Serviços próprios, isolados da
      1       produção sistemática de     especialidades e ausência    professor, realizado            completamente             disciplinas fragmentadas.                                  rede do SUS, com porta de
              investigação em atenção     de oferta de                 fundamentalmente por meio       separados, com                                                                       entrada separada e com
              básica ou que apenas        especialização em            de aulas expositivas para       disciplinas                                                                          clientela cativa e redundante.
              tenham produção na área     atenção básica e de          grandes grupos de               fragmentadas.
              da atenção hospitalar e     educação permanente aos      estudantes, baseado em
              de alta tecnologia.         profissionais da rede do     disciplinas estanques e com
                                          SUS.                         processos de avaliação
                                                                       baseados em testes e provas.
      Estágio Escolas que tenham uma      Conformação                  Ensino que inclui inovações     Existência de             Atividades extra-murais não integradas a outras            Serviços parcialmente abertos
      2       baixa produção de           intermediaria em que há      pedagógicas em caráter          disciplinas/atividades    carreiras em unidades dos SUS, durante os dois             ao SUS, mas preservando
              investigações               esforços para a oferta de    experimental restritas a        integradoras ao longo     primeiros anos do curso, com a participação exclusiva      algum grau de autonomia na
              relacionadas com a          educação permanente          certas disciplinas, realizado   dos primeiros anos,       ou predominante de professores da área de saúde            definição de seus pacientes.
              atenção básica ou com a     relacionada a nosologia      majoritariamente em             mas sendo mantida a       coletiva, correspondendo a menos de 10% da carga
              gestão do SUS.              prevalente, mas não há       pequenos grupos de até 15       organização por           horária. Ciclo clinico majoritariamente baseado em
                                          questionamentos do           estudantes, adotando            disciplinas e a           atividades ambulatoriais em ambulatório pertencente a
                                          perfil de oferta de          processos de avaliação          separação dos             instituição de ensino que tenha central de marcação de
                                          residência médica,           interativos, mas ainda          conteúdos básicos e       consultas própria, ou em ambulatórios conveniados cuja
                                          mestrados e doutorados,      restritos a menos de 20% da     clínicos.                 administração seja apartada da gestão da rede do SUS.
                                          que seguem a lógica da       carga horária.
                                          especialização.
      Estágio Escolas com alta            Lógica da oferta de          Ensino baseado                  Ensino                    Atividades extramurais em unidades do SUS,                 Serviços próprios
      3       produção de                 oportunidades                majoritariamente em             majoritariamente          equipamentos escolares e da comunidade, ao longo de        completamente integrados ao
              investigações orientadas    educacionais feita em        resolução de problemas, em      integrado, em que é       toda a carreira, com graus crescentes de complexidade.     SUS, sem central de
              as necessidades da          estreita articulação com     grupos pequenos, em que os      eliminada a               Durante os dois primeiros anos de graduação,               marcação de consultas ou de
              atenção básica, sem         os gestores do SUS, são      professores trabalham como      precedência               combinam- se as atividades multiprofissionais, com         internações próprias das
              prejuízo da investigação    revisados os quantitativos   tutores, ocorrendo o ensino     cronológica do ciclo      experiências de integração em laboratórios de              instituições acadêmicas.
              pura e tecnológica, e que   e a qualidade da             em ambientes diversificados     básico, servindo as       problematização, com participação de docentes de áreas     Desenvolvimento de
              tenham uma forte            formação, há um trabalho     - bibliotecas, comunidade,      áreas básicas como        básicas e clinicas em, pelo menos, 20% da carga horária.   mecanismos institucionais de
              interação com o serviços    em estreita articulação      laboratórios de simulação -     retaguarda e referência   Atividades clinicas desenvolvidas de forma mista entre     referencia e de contra-
              de saúde na área de         com os Pólos de              e com atividades                para a busca dos          serviços próprios das IES e unidades comuns e correntes    referencia com a rede do SUS.
              produção e avaliação de     Capacitação em Saúde da      estruturadas a partir das       conhecimentos para a      de atenção básica da rede do SUS - majoritariamente
              protocolos clínicos,        Família.                     necessidades de saúde que       solução de problemas,     ambulatorial, ou em serviços próprios das IES que
              inovações da gestão,                                     se apresentam ao SUS.           sem estruturação em       subordinem suas centrais de marcação de consulta as
              analises de custo-                                       Avaliação formativa e           disciplinas.              necessidades locais do SUS - em que se perfaça menos
              benefício, e outras                                      somativa, avaliando todos                                 40% da carga horária. Internato desenvolvido em, pelo
              assemelhadas                                             os aspectos da formação do                                menos, 25% na rede do SUS.
                                                                       estudante (conhecimentos,
                                                                       atitudes e habilidades).
230



   ANEXO D – PROJETO                            INFORMATIZAÇÃO                  APS:       OFÍCIO
   HUMBERTO COSTA

                            ESTADO DO RIO GRANDE DO SUL
                        PREFEITURA MUNICIPAL DE SANTA MARIA
                          SECRETARIA DE MUNICÍPIO DA SAÚDE


Ofício No. 529/2003 – GP/SMS                    Santa Maria, 26 de dezembro de 2003.

       Excelentíssimo Senhor Ministro:

         Na oportunidade em que cumprimentamos Vossa Excelência, solicitamos especial atenção
         para a liberação dos recursos financeiros previstos no Projeto em anexo, pleiteados pela
         nossa comunidade, junto ao orçamento do Ministério da Saúde.
         Este projeto, de autoria do médico de família e comunidade Carlos André Aita Schmitz em
parceria com a Fundação de Apoio à Tecnologia da Universidade Federal de Santa Maria, a ser
viabilizado através de recursos orçamentários do Ministério da Saúde, tem por objeto gerar uma
solução financeiramente viável ao município de Santa Maria-RS. Com isso integraremos as atuais
tecnologias de equipamentos e aplicativos às tecnologias leves de saúde pública e coletiva, na
formulação de um produto único capaz de servir como paradigma a qualquer unidade da federação: o
Sistema de Gerenciamento de Informações da Atenção Básica a Saúde.
         É importantíssimo frisar que a modelagem em que o presente projeto foi formatado, permitirá
a sua ampliação dentro dos conceitos e premissas do Fundo de Universalização de Serviços de
Telecomunicações (FUST). A partir da experiência desenvolvida em nosso município, poderemos,
através do FUST, gerar a regionalização e a universalização (inclusive em âmbito nacional) dos
progressos alcançados, utilizando os conceitos de unidades assinantes, parceiros coligados e
empresas âncoras, preconizados nas discussões a respeito do FUST.
         O presente projeto tem o valor de R$ 1.351.929,98 e, entre outros objetivos possibilitará:
    • Complementar, de forma sinérgica, a automação da Secretaria da Saúde de Santa Maria-RS,
         automatizando 28 unidades, entre unidades centrais, de referência e unidades do Programa
         de Saúde da Família;
    • Descentralizar a gestão do sistema de saúde, criando responsabilização local pela geração
         dos dados, análise das informações, definição de ações e a avaliação dos resultados;
    • Fornecer capacitação para todos os trabalhadores da rede municipal que serão envolvidos no
         projeto (mais de duzentos e oitenta trabalhadores);
    • Dar suporte informatizado para a viabilização do Programa de Saúde da Família através das
         seguintes ações:
             o Cadastramento dos usuários obedecendo à estrutura completa do Cartão SUS, em
                  concomitância aos moldes do Ministério da Saúde;
             o criação do prontuário eletrônico voltado para as necessidades da atenção básica que,
                  além de armazenar toda a história clínica e de acompanhamento dos usuários,
                  também esteja habilitado ao armazenamento de dados demográficos, psico-sociais e
                  culturais que permitam o acompanhamento do conceito ampliado de saúde, no que
                  diz respeito à qualidade de vida;
             o ligação do sistema de georeferenciamento municipal ao prontuário eletrônico,
                  configurando um processo de territorialização que contemple a existência de
                  territorialidades descontínuas e sobrepostas e, além disso, permita múltiplas
                  agregações de indivíduos e rastreabilidade de agravos.
    • Formar a rede integrada de comunicação das unidades de saúde, contemplando os
         seguintes aspectos:
             o Integrar a SMS com todas as equipes de PSF, as Unidades Básicas de Saúde (UBS),
                  as unidades secundárias, o sistema de referência e contra-referência (consultas e
                  exames especializados, assim como controle de leitos), a assistência farmacêutica, a
                  vigilância epidemiológica e a vigilância sanitária;
231

        o    Possibilitar a monitorização centralizada e local do fluxo de profissionais, pacientes,
             serviços e materiais;
         o Otimizar o fluxo de profissionais, pacientes, serviços e materiais, através de módulos
             centrais e locais de (utilizando sistema de cotas pré-definidas e negociáveis):
             Agendamento eletrônico de consultas; referência e contra-referência; agendamento
             eletrônico de exames e procedimentos; controle central e local de farmácia.
•   Automatizar os processos de vigilância epidemiológica, definindo critérios automáticos de
    alarme para agravos;
•   Informatizar os procedimentos da vigilância sanitária;
•   Minimizar a quebra de estoque de medicamentos e materiais, tanto central quanto local;
•   Agilizar o processo de execução de exames e procedimentos e confecção de laudos e
    relatórios;
•   Possibilitar a devolução automatizada, via Internet, dos exames, dos laudos e dos relatórios,
    diretamente ao profissional solicitante (com aviso via celular);
•   Eliminar o risco de perda de exames;
•   Automatizar o preenchimento dos formulários obrigatórios para o SUS, criando
    comunicabilidade direta com os sistemas ministeriais;
•   Reduzir a quantidade de espaço físico e de recursos humanos para a manutenção do
    arquivamento dos dados;
•   Agilizar o processo de recuperação das informações armazenadas;
•   Criar um banco de dados extremamente rico em informações para base de pesquisa em
    saúde e gestão da saúde.

    Sendo o que tínhamos para o momento, renovamos protesto de estima e apreço.

                                                    Atenciosamente.


                                                          Valdeci de Oliveira
                                                 Prefeito Municipal de Santa Maria - RS
    Exmo Sr. Humberto Costa
    DD Ministro da Saúde
    Brasília – DF
232



     ANEXO E – FRAGMENTO PROJETO HUSM
   MINISTÉRIO DA                                                                   PLANO DE TRABALHO
                                                                                  DESCRIÇÃO DO PROJETO
                                                                                                                                              ANEXO IV

       SAÚDE
01 – NOME DO ÓRGÃO OU ENTIDADE PROPONENTE                                    02- CONDIÇÃO        DE   GESTÃO      DO   ESTADO      OU     03- EXERCÍCIO      04- UF
                                                                             MUNICÍPIO
                                                                                                                                          2003               RS
UNIVERSIDADE                   FEDERAL              DE       SANTA           Gestão plena da Atenção Básica Ampliada
                                                                             (GPABA)
MARIA
                                                                             05-CNPJ


06 – DDD                             07 – FONE                               08 - FAX                                       09 - E-MAIL



10-             CONTA     11- BANCO CONVENIADO                               12- AGÊNCIA                         13- PRAÇA DE PAGAMENTO                      14- UF
CORRENTE


15-                   RECURSO        16. EMENDA N.°                          17 - PARTÍCIPE                                 18 - CNPJ DO PARTÍCIPE
ORÇAMENTÁRIO                                                                 1. INTERVENIENTE
  1. NORMAL                                                                  2. EXECUTOR
  2. EMENDA
19 – PROGRAMA                                                                                                                       20. ÓRGÃO FINANCIADOR

QUALIDADE E EFICIÊNCIA DO SUS                                                                                                          MS
                                                                                                                                    FUNASA
21 - AÇÃO A SER FINANCIADA
Implantação, aparelhamento e adequação de unidades de saúde do SUS
22 -DESCRIÇÃO SINTÉTICA DO OBJETO
    Sistema Regional de Radiologia Digital: Automatização dos Procedimentos de Aquisição, Armazenamento e Distribuição em Diagnóstico por Imagem
Implantação de um sistema PACS (Picture Archiving and Communication Systems) no Serviço de Diagnóstico por Imagens (SDI) do Hospital Universitário de Santa
Maria (HUSM), combinando a aquisição de novos equipamentos e serviços com a estrutura de equipamentos para radiologia computadorizada já adquirida pelo
HUSM . A radiologia computadorizada, além de produzir um salto em termos de qualidade e acurácia do diagnóstico, também leva a uma considerável economia,
posto que gera a possibilidade de armazenamento eletrônico e otimizado das imagens, dispensando a impressão dos filmes radiológicos. Por outro lado, alia
conforto e proteção ao paciente com ampliação da capacidade de atendimento e ampliação da população coberta.
23 – JUSTIFICATIVA DA PROPOSIÇÃO
     PACS são soluções compostas por equipamentos e aplicativos específicos destinados à aquisição, gerenciamento e transmissão de imagens ou sinais e dados a
 eles relacionados. No âmbito da saúde, PACS conseguem acumular as diversas modalidades diagnósticas que envolvam a produção de imagens ou de sinais
 (ressonância magnética, medicina nuclear, tomografia computadorizada, raio-x, ultra-som, eletrocardiograma, eletroencefalograma e outros).
    O HUSM lidera uma região que corresponde à 5 coordenadorias regionais de saúde, com uma população aproximada de 1,3 milhões de habitantes, e tem sido
 referenciado por serviços de outras coordenadorias e até de outros estados, basicamente do oeste catarinense. Segundo trabalhos recentes, remetem pacientes ao
 HUSM, um total de 126 municípios, perfazendo uma população de até 3 milhões de habitantes. Constitui-se no único Hospital Público da região, sendo um centro
 de ensino e pesquisa no âmbito das ciências da saúde, centro de programação e manutenção de ações voltadas à saúde das comunidades local e regional,
 desenvolve programas específicos de assistência à comunidade devidamente integradas à rede regional de saúde.
    O hospital presta serviços assistenciais em todas as especialidades, e serve de treinamento para alunos de graduação e pós-graduação em Medicina, Residência
 Médica em 12 áreas, e de graduação em Farmácia, Fonoaudiologia, Fisioterapia e Enfermagem. Possui uma área total de 28.000 m2, comportando 7 pavimentos,
 com 336 leitos (sendo 300 ativos). Abriga 62 ambulatórios em 1 pavimento e enfermarias distribuídas em 5 pavimentos. Possui UTI Adulto (280 m2), UTI de RN
 (336 m2), UTI Pediátrica (599,75 m2), Centro Cirúrgico (110 m2), Centro Obstétrico (334 m2), Centro de Transplante de Medula ( 141,95 m²), Unidade Renal (418
 m2), Serviço de Pneumologia (272 m2), Setor Psiquiátrico ( 3.072 m2), Unidade de Emergência (329 m2), Laboratórios de Análises Clínicas e de Hematologia (156
 m2), Métodos Gráficos (174 m2), Setor de Endoscopia (132 m2), Imagenologia (772 m2), Serviço de Radioterapia (818 m2), Serviço de Fisioterapia (264 m2),
 Serviço de Quimioterapia (37 m2), Serviço de Hemoterapia (89 m2), Serviço de Controle de Infecção Hospitalar (24 m2), Serviço de Nutrição e Dietética (501,50
 m2), Centro de Material e Esterilização (341 m2), Lavanderia (333 m2), Serviço de Almoxarifado (1.121,86 m2), Oficinas de Manutenção e Caldeiras (1034 m2),
 Serviço de Farmácia ( 116,25 m2), Arquivo (170,40 m2)
     Nesta área atuam 992 servidores, 94 professores, 76 médicos residentes e 61 médicos do quadro. Possui um parque de equipamentos radiológicos composto
 por 1 gama-câmara, 2 tomógrafos helicoidais, 5 salas de raio-x convencional, 1 sala de raio-x t ele-comandado de raio-x, 5 aparelhos de raio-x móveis, 8 aparelhos
 de ultra-som, 2 arcos cirúrgicos e 1 retinógrafo. Realiza cerca de 70.000 incidências por ano (dentro de 40.000.exames).
     O hospital investe pesada e continuamente no processo de informatização geral e já investiu cerca de R$ 450.000,00 no campo da radiologia computadorizada.
 É pioneiro na área de processamento digital de imagens radiológicas tendo, em novembro de 2000, produzido a primeira radiografia computadorizada da região sul
 do país e se tornando o primeiro hospital público do país a adquirir uma digitalizadora de imagens (U$ 66.000,00). Tudo isso foi possível aliando-se a vontade
 administrativa local a uma farta produção científica na área, levando o HUSM, e os grupos de pesquisa associados, ao êxito em vários editais estaduais e federais.
     Estes números e estas iniciativas, por si só, justificariam a implantação de um PACS no HUSM, mas é importante salientar as demais vantagens da implantação
 desta solução. O custo anual do HUSM com o SDI, considerando filmes, químicos e rejeitos, gira em torno de R$ 100.000,00, o que se configuraria diretamente na
 velocidade de amortização dos valores investidos, considerando a utilização de tecnologias livres de filme. Estas tecnologias reduziriam praticamente a zero a perda
 e o extravio de exames, facilitando a rápida localização dos mesmos e reduzindo o espaço e o número de funcionários necessários ao gerenciamento do arquivo a
 cifras inferiores a um décimo das atuais (hoje em 60 m2, com 10 pessoas). O paciente seria contemplado com redução no número intensidade das exposições,
 sendo a necessidade de repetição da incidência verificada instantaneamente, sem mobilizar novamente o paciente.
     A solução incrementaria a acurácia diagnóstica, elevando sobremaneira a qualidade do exame e possibilitando ao radiologista recursos como realce, rotação,
 detalhamento de regiões de interesse e aplicação de filtragens e segmentações específicas, entre outras. Além disso, nos retornos ou re-internações, o resgate dos
 exames anteriores seria automaticamente realizado. A distribuição dos exames passaria a utilizar a rede já instalada no HUSM, possibilitando trânsito rápido entre o
 SDI, os andares, as unidades de internação e os ambulatórios. A comunicação interinstitucional e inter-regional tornaria-se possível através dos recursos de
 teleradiologia.
     Isto tudo, aliado ao fato do HUSM ser um hospital escola, geraria amplas possibilidades de pesquisa e criação de novas tecnologias com recursos locais, que
 poderiam ser extendidas a outras unidades de saúde do SUS da região centro do estado do Rio Grande do Sul.
     É importantíssimo considerar que o HUSM, por ser o único hospital público terciário da região, encontra-se totalmente inserido nas metas do plano municipal de
 saúde que prevê a conversão do atual modelo de atenção, principalmente no que diz respeito aos programas de extensão, de inserção acadêmica na rede e de
 reforma curricular universitária. Ao mesmo tempo o hospital é peça chave nas metas estaduais de saúde, por estar inserido em 9 das 12 metas prioritárias do
 estado, em especial o Projeto Salvar, o Município Resolve e a Região Resolve.


24 – AUTENTICAÇÃO

 ___/___/___             _________________________                                       _________________________________
     DATA                NOME DIRIGENTE OU REPR. LEGAL                                          ASS. DIRIGENTE OU REPR. LEGAL
233



   ANEXO F - COMISSÃO MULTIDISCIPLINAR DE PROFISSIONAIS
   DA SAÚDE

 PROPOSTA DE ISONOMIA PARA O PROGRAMA DE SAÚDE DA FAMÍLIA DO
                 MUNICÍPIO DE SANTA MARIA – RS

DO PROGRAMA:

        O Programa de Saúde da Família (PSF) possui abrangência nacional, teve
início no ano de 1994 e, no corrente ano, com o advento do Programa de Incentivo
para a Implantação do PSF (PROESF), voltado para municípios com mais de
100.000 habitantes, chega até nosso município.
        Mais do que um programa ou uma estratégia, o PSF já se constitui numa
filosofia com pleno potencial de modernização dos já desgastados e pouco
operacionais modelos de assistência vigentes.
        A força desta filosofia está contida nos princípios que norteiam o programa,
que, analogamente aos princípios que regem o Sistema Único de Saúde (SUS)
podem ser divididos em filosóficos: humanização do atendimento, acolhimento e
responsabilização e organizativos: base territorial definida, população adscrita e
controle popular.
         Embora se constitua numa excelente iniciativa, experiências malfadadas
envolvendo o PSF estão ligadas a fatores que, em geral, remontam ao processo de
implantação e que serão discutidos no decorrer deste documento.

DA COMISSÃO:

        No período de setembro a dezembro deste ano, uma iniciativa conjunta da
Secretaria Municipal de Saúde, da Escola de Saúde Pública do RS, da Universidade
Federal de Santa Maria e da 4ª Coordenadoria Regional de Saúde possibilitou a
realização do I Curso de Educação em Saúde Pública Voltado para a (De)Formação
de Preceptores. Este curso reúne um grupo multiprofissional e interinstitucional de
trinta profissionais, de catorze áreas e quatro instituições. Todos estes profissionais
tem grau mínimo de especialização, contando vários, com nível de mestrado e
doutorado.
        Munidos de sua experiência profissional prévia e do incremento gerado pela
participação e envolvimento nas atividades do curso e entendendo a importância da
multidisciplinaridade, do consenso entre os profissionais de saúde, da união e do
comprometimento da equipe, o grupo maior gera esta comissão, que é constituída
por quatro médicos de família e comunidade (o que representa 80% dos médicos de
família e comunidade existentes no município), duas enfermeiras e um cirurgião-
dentista:

      Adriane Fleig Kraemer - Médica
      Carlos André Aita Schmitz - Médico
      Ivan Porciúncula Jr. – Cirurgião-dentista
      Jonhy Airton Pereira Xavier - Médico
      Márcia Dias Vianna - Enfermeira
      Márcia Helena Bolson Radins - Médica
      Maria Lúcia Prestes – Enfermeira
234

      DA PROPOSTA:

      A proposta que atualmente tramita nos órgãos competentes está formatada
com salários básicos diferenciados para médicos e enfermeiros, contando com
acréscimos não cumulativos de 20% e 50%, respectivamente para Especialização
em Saúde da Família/Saúde Pública e Residência em Medicina de Família e
Comunidade/Residência Integrada em Saúde Coletiva.

Médicos:

Básico:                  R$ 3.000,00
20% para especialização: R$ 600,00                R$ 3.600,00 *
50% para residência:     R$ 1.500,00              R$ 4.500,00 *

* Valor básico com o acréscimo.

Enfermeiros e outros profissionais de nível superior:

Básico:                  R$ 2.000,00                           - R$ 1.000,00 **
20% para especialização: R$ 400,00                R$ 2.400,00 *- R$ 1.200,00 **
50% para residência:     R$ 1.000,00              R$ 3.000,00 *- R$ 1.500,00 **

* Valor básico com o acréscimo.
** Diferença em relação ao salário dos médicos.

       Segundo o entendimento desta comissão e baseado nos argumentos que
serão tecidos na seqüência, o desenho ideal da proposta de vencimentos deve ser
isonômico, contando com acréscimos não cumulativos de 34% e 67%,
respectivamente para Especialização em Saúde da Família/Saúde Pública e
Residência em Medicina de Família e Comunidade/Residência Integrada em Saúde
Coletiva, conforme esquema abaixo:

Básico:                                 R$ 3.000,00 *
34% para especialização:                R$ 1.020,00           R$ 4.020,00 **
67% para residência:                    R$ 2.010,00           R$ 5.010,00 **

* Para todos os profissionais de nível superior
** Valor básico com o acréscimo.

DOS ARGUMENTOS:

      Serão apresentados argumentos de base política, filosófica e financeira.

Base política:

   •Inovação política: a isonomia é inédita dentro do PSF. Tal atitude, por si só,
      colocaria o município de Santa Maria em foco nacional, como pioneiro desta
      proposta. Conforme será discutido, dentro da base filosófica, o princípio
      isonômico será uma ferramenta de fortalecimento e de garantia de
      manutenção do PSF;
235



   •Risco político: o modelo hegemônico vigente em nossos dias (médico-centrado
      e hospitalocêntrico) é extremamente forte e sedimentado. A tendência natural
      é que propostas novas sejam por ele engolidas e desvirtuadas. É previsível
      que salários diferenciados façam com que, de um lado os demais
      profissionais descarreguem a maioria das responsabilidades sobre o médico
      e, por outro lado, o médico crie animosidades com o restante da equipe, pelo
      excesso de responsabilidade colocado sobre ele, retro alimentando um
      círculo vicioso que já é bem conhecido, impossibilitando a mudança de
      modelo e criando o risco de tornar o PSF um desastre político e
      administrativo.

   •Consenso municipal: uma proposta isonômica, defendida pelo poder
      executivo, pelo Conselho Municipal de Saúde e por grupos multidisciplinares
      de trabalhadores em saúde evita desgastes políticos desnecessários e
      garante a governabilidade (ver progressos alcançados, no final do texto);

Base filosófica:

   • Comprometimento: vencimentos condignos, vinculados à formação
     profissional, permitem um trabalho transparente, com cumprimento de horário,
     de atividades e de responsabilidades;
   • Espírito de equipe: embora todos os brasileiros sejam iguais perante o
     estado, a grande maioria dos problemas de nosso país está ligada à extrema
     riqueza de poucos em relação à extrema miséria de muitos. Todos (médicos,
     enfermeiros, cirurgiões-dentistas, etc.) são profissionais de nível superior e
     totalmente capacitados dentro de suas áreas profissionais. O
     comprometimento está muito menos vinculado ao valor do salário do que a
     não diferenciação salarial. A eliminação das diferenças valoriza os
     profissionais e fortalece o sentimento de união. Equipes integradas são
     extremamente mais produtivas e resolutivas do que profissionais isolados em
     seus consultórios;
   • Alteração de modelo de atenção: a Estratégia de Saúde da Família (ESF) é
     um modelo voltado para a saúde e não para a doença. Equipes
     assistencialistas e centradas na figura do médico não são resolutivas e
     apenas dão manutenção às doenças. Sendo a ESF uma estratégia de
     atenção básica, voltada para a promoção da saúde, todos os profissionais
     são de extrema importância para a consecução dos objetivos. As equipes,
     dentro dos princípios do PSF, já são de caráter mínimo, é, portanto,
     operacionalmente inviável ao programa, prescindir de ou valorizar menos
     qualquer um de seus profissionais;
   • Mudança de papéis: reforçando o que já foi dito, a equipe deixa de depender
     do médico e todos os profissionais assumem igual responsabilização pelos
     objetivos do PSF, potencializando os resultados da ESF;
   • Estímulo à formação profissional, seleção de perfil e chamamento
     profissional: o conceito ampliado de saúde promovido pelo SUS, que a
     vincula não à simples ausência de doenças, mas sim ao incremento da
     qualidade de vida, desmistifica a atenção primária como sendo simples e
     desvela o caráter complexo da promoção da saúde. Tanto o SUS como o
     PSF só é viável dentro de uma ótica multiprofissional e transdisciplinar. Um
236

      programa municipal que, em detrimento da já ultrapassada valorização por
      áreas profissionais, assuma a isonomia e a valorização salarial por níveis
      crescentes de formação profissional, além de todas as vantagens já citadas,
      a) incitará o ingresso em programas de especialização e residências (estas
      últimas sendo vistas como o padrão-ouro na formação em saúde), b) garantirá
      o pleno funcionamento do PSF através da seleção de profissionais
      especialmente talhados para o mesmo, c) atrairá profissionais altamente
      especializados, de várias áreas, de um centro formador que é referência
      nacional há quase três décadas (Porto Alegre), e d) fortalecerá as iniciativas
      locais em andamento que possibilitarão ao município de Santa Maria tornar-
      se um centro regional de formação de recursos humanos para o SUS;

Base financeira:

   •Manutenção do atrativo salarial: é sabida a grande dificuldade de engajar os
     médicos na filosofia do PSF. Com base neste pressuposto, a presente
     proposta apresenta um teto salarial de R $ 5.000,00 maior do que o previsto
     pela proposta anterior, acrescentando a vantagem de atrair não apenas
     médicos, mas médicos especialmente formados para o PSF. E, ainda mais,
     gera a possibilidade de somar ao processo, enfermeiros e cirurgiões-dentistas
     também especialmente formados para este fim. É de igual importância
     lembrar que estes profissionais não serão atraídos apenas pela questão
     financeira, mas também pelo fato do município de Santa Maria ser um pólo
     regional de saúde e um centro universitário, capaz de suprir suporte
     secundário e terciário. Isto gera nos profissionais não apenas segurança no
     processo de trabalho, mas também um leque de possibilidades de atualização
     e oportunidades de pesquisa.

   •Relação custo/benefício: a gestão é um jogo estratégico e, como num jogo, é
      necessário, por vezes, assumir-se riscos. Quanto mais calculados forem os
      riscos, menor a incerteza e menores as possibilidades de fracasso. Salários
      não isonômicos e pouco atrativos, seguramente terão um custo menor e
      serão mais fáceis de serem encaixados dentro do orçamento. Obviamente,
      ações de baixo risco implicam em baixo impacto e baixo benefício, o que a
      médio e longo prazo pode ser algo extremamente oneroso. Se, por um lado,
      uma proposta mais arrojada, que inclua tanto a isonomia quanto a valorização
      da formação profissional possa parecer de maior custo, por outro lado, fatores
      como consenso municipal, comprometimento político e profissional e
      participação ativa dos trabalhadores diminuem sobremaneira a incerteza e o
      risco, na mesma proporção em que incrementam os benefícios.

   •Impacto financeiro: finalizando a argumentação, mas não menos importante, o
      esquema abaixo demonstra a completa viabilidade financeira desta proposta
      aos cofres do município. Faz-se mister frisar a diferença entre um projeto de
      papel (ou aparentemente viável) e um projeto que realmente impacte no
      numerário municipal. Pseudo-equipes de PSF, desunidas e frágeis perante o
      modelo hegemônico, não aumentarão a resolutividade, não diminuirão a
      demanda nos pronto-atendimentos, não afetarão a super-lotação hospitalar e
      não reduzirão os gastos com medicamentos e com procedimentos. O
      incremento da qualidade de vida gerado por equipes fortes de PSF pode ser o
237

       seu principal resultado, mas na seqüência está o fato delas serem auto-
       portantes, no sentido de que toda a enorme economia direta e indireta gerada
       pela sua atuação, possibilita não só a manutenção do processo como
       também a racionalização dos gastos municipais em saúde:

     Especificação                                 PROPOSTA DA LEI
1º Semestre de 2004       Qt. Unitário Especializ. Residência   Encargos                Vale    VALOR
                                      % valor % Valor         %     Valor              Refeição TOTAL
CONTRATADOS
Médicos Contratados        5   3.000,00 20           50     22.500,00 43,2 32.220,00       500   196.320,00
Enfermeiros Contratado     5   2.000,00 20           50     15.000,00 43,2 21.480,00       500   131.880,00
Tec. Enferm. Contratado    9   1.000,00 10 9.900,00                   43,2 14.176,80       900    90.460,80
Ag.Com.Saúde Contr.       54     350,00    18.900,00                  43,2 27.064,80      5400   194.788,80
Coordenador                1   3.000,00              50      4.500,00 43,2  6.444,00       100    39.264,00
                                                          CUSTO TOTAL 1º SEM.2004                652.713,60

    Especificação                                PROPOSTA DA LEI
1º Semestre de 2004   Qt. Unitário Especializ. Residência   Encargos                     13º     VALOR
                                   % valor %      Valor   %     Valor                  Salário   TOTAL
DA REDE
Médicos da Rede           4 3.000,00 20          50      18.000,00      14.887,60 1.240,63 96.769,40
Enfermeiros da Rede       4 2.000,00 20          50      12.000,00       8.887,60 740,63 57.769,40
Coordenador               1 3.000,00             50       4.500,00       3.721,90 310,16 24.192,35
                                                      CUSTO TOTAL 1º SEM.2004             178.731,15

                                          CUSTO TOTAL DA LEI NO 1º SEM2004                       831.444,75

     Especificação                        PROPOSTA DOS TRABALHADORES
1º Semestre de 2004       Qt Unitário Especializ. Residência Encargos  Vale                      VALOR
                                      % valor % Valor %         Valor Refeição                   TOTAL
CONTRATADOS
Profissionais
Contratados                6   3.000,00                67 30.060,00 43,2 43.045,92     600,00    261.875,52
Profissionais
Contratados                5 3.000,00 34 20.100,00        43,2 28.783,20 500,00                  175.699,20
Tec. Enferm. Contratado    9 1.100,00 10 10.890,00        43,2 15.594,48 900,00                   98.966,88
Ag.Com.Saúde Contr.       54   350,00    18.900,00        43,2 27.064,80 5.400,00                194.788,80
                                        CUSTO TOTAL 1º SEM.2004                                  731.330,40
238



    Especificação                                PROPOSTA DOS TRABALHADORES
1º Semestre de 2004           Qt Unitário Especializ. Residência   Encargos   13º                  VALOR
                                         % valor %       Valor   %    Valor Refeição               TOTAL
DA REDE
Profissionais da Rede         3 3.000,00              67 15.030,00      12.695,70      1.057,98     82.522,05
Profissionais da Rede         6 3.000,00 34 24.120,00                   19.451,40      1.620,95    126.434,10
                                                       CUSTO TOTAL 1º SEM.2004                     208.956,15

                                         CUSTO TOTAL DA LEI NO 1º SEM2004                         940.286,55

                                         R E S U M O
    ESPECIFICAÇÃO                   CUSTO     FEDERAL ESTADUAL MUNICIPAL Contrapart.
Custo total da proposta da Lei     831.444,75 285.768,00 108.000,00 437.676,75 52,64%
Custo total da prop. Trabalhadores 940.286,55 285.768,00 108.000,00 546.518,55 58,08%
                                                                             Diferença =           5,44%
       DAS EXPERIÊNCIAS EM ANDAMENTO: entramos em contato com o
secretário de saúde de Alegrete, que nos informou que atualmente paga para seus
médicos R$ 5.000,00 e para seus enfermeiros R$ 3.800,00. A experiência tem dado
tanto retorno para o município que com a entrada dos cirurgiões-dentistas no PSF, o
município promoverá a isonomia para todos os profissionais de nível superior do
programa (médicos, enfermeiros e cirurgiões-dentistas).
       ISTO POSTO, a presente comissão envia esta proposta, simultaneamente,
aos órgãos municipais executivos, legislativos e deliberativos, na certeza da análise
e aprovação, tendo em vista que a não aprovação da isonomia e dos valores
contidos nesta proposta comprometeriam todas as possibilidades de retorno
mencionadas na argumentação.
       Acreditamos que a complexidade das ações necessárias para a saúde de
Santa Maria só podem ser realizadas numa proposta que paute a isonomia, a
valorização da formação profissional e, principalmente o consenso municipal.
                                                            Santa Maria, 3 de dezembro de 2003.


       Adriane Fleig Kraemer                                   Márcia Dias Vianna
       Médica                                                  Enfermeira

       Carlos André Aita Schmitz
       Médico                                                  Márcia Helena Bolson Radins
                                                               Médica
       Ivan Porciúncula Jr.
       Cirurgião-dentista
                                                               Maria Lúcia Prestes
       Jonhy Airton Pereira Xavier                             Enfermeira
       Médico
239



   ANEXO G – DECLARAÇÃO DE ALMA-ATA

  Retirado de: http://www.dhnet.org.br/direitos/sip/onu/saude/almaata.htm
                            em 23/11/2005

A conferência Internacional sobre Cuidados Primários de Saúde, reunida em Alma-
Ata aos doze dias do mês de setembro de mil e novecentos e setenta e oito,
expressando a necessidade de ação urgente de todos os governos, de todos os que
trabalham nos campos da saúde e do desenvolvimento e da comunidade mundial,
para proteger e promover a saúde e do desenvolvimento e da comunidade mundial,
para proteger e promover a saúde de todos os povos do mundo, formula a seguinte
Declaração:

                                          I

A Conferência reafirma enfaticamente que a saúde - estado de completo bem-estar
físico, mental e social, e não simplesmente a ausência de doença ou enfermidade -
é um direito humano fundamental, e que a consecução do mais alto nível possível
de saúde é a mais importante meta social mundial, cuja realização requer a ação de
muitos outros setores sociais e econômicos, além do setor da saúde.

                                         II

A chocante desigualdade existente no estado dos povos, particularmente entre os
países desenvolvimentos e em desenvolvimento, assim como dentro de países, é
política, social e economicamente inaceitável, e constitui por isso objeto da
preocupação comum de todos os países.

                                         III

 O desenvolvimento econômico e social baseado numa ordem econômica
internacional é de importância fundamental para a mais plena realização da meta de
saúde para todos e para a redução da lacuna entre o estado de saúde dos países
em desenvolvimento e dos desenvolvidos. A promoção e proteção da saúde dos
povos é essencial para o contínuo desenvolvimento econômico e social e contribui
para a melhor qualidade da vida e para a paz mundial.

                                        IV

 É direito e dever dos povos participar individual e coletivamente no planejamento e
na execução de seus cuidados de saúde.

                                         V

Os governos têm pela saúde de seus povos uma responsabilidade que só pode ser
realizada mediante adequadas medidas sanitárias e sociais. Uma das principais
metas sociais dos governos, das organizações internacionais e toda a comunidade
mundial na próxima década deve ser a de que todos os povos do mundo, até o ano
240

2000, atinjam um nível de saúde que lhes permita levar uma vida social e
economicamente produtiva. Os cuidados primários de saúde constituem a chave
para que essa meta seja atingida, como parte do desenvolvimento, no espírito da
justiça social.

                                        VI

  Os cuidados primários da saúde são cuidados essenciais de saúde baseados em
métodos e tecnologias práticas, cientificamente bem fundamentadas e socialmente
aceitáveis, colocadas alcance universal de indivíduos e famílias da comunidade,
mediante sua plena participação e a um custo que a comunidade e o país pode
manter em cada fase de seu desenvolvimento, no espírito de autoconfiança e
autodeterminação. Fazem parte integrante tanto do sistema de saúde do país, do
qual constituem a função central e o foco principal, quanto do desenvolvimento
social e econômico global da comunidade. Representam o primeiro nível de contato
com os indivíduos, da família e da comunidade com o sistema nacional de saúde
pelo qual os cuidados de saúde são levados o mais proximamente possível aos
lugares onde pessoas vivem e trabalham, e constituem o primeiro elemento de um
continuado processo de assistência à saúde.

                                        VII

Os cuidados primários de saúde:

 1. Refletem, e a partir delas evoluem, as condições econômicas e as características
sócio-culturais e políticas do país e de suas comunidades, e se baseiam na
aplicação dos resultados relevantes da pesquisa social, biomédica e de serviços da
saúde e da experiência em saúde pública.

2. Têm em vista os problemas de saúde da comunidade, proporcionando serviços de
promoção, prevenção, cura e reabilitação, conforme as necessidades.

3. Incluem pelo menos: educação no tocante a problemas prevalecentes de saúde e
aos métodos para sua prevenção e controle, promoção da distribuição de alimentos
e da nutrição apropriada, provisão adequada de água de boa-qualidade e
saneamento básico, cuidados de saúde materno-infantil, inclusive planejamento
familiar, imunização contra as principais doenças infecciosas, prevenção e controle
de doenças localmente endêmicas, tratamento apropriado de doenças e lesões
comuns e fornecimento de medicamentos essenciais.

4.Envolvem, além do setor, todos os setores e aspectos correlatos do
desenvolvimento nacional e comunitário, mormente a agricultura, a pecuária, a
produção de alimentos, a indústria, a habitação, as obras públicas, as comunicações
e outros setores e requerem os esforços coordenados de todos os setores.

5. Requerem e promovem a máxima autoconfiança e participação comunitária e
individual no planejamento, organização, operação e controle dos cuidados
primários de saúde, fazendo o mais pleno uso possível de recursos disponíveis,
locais, nacionais e outros, e para esse fim desenvolvem, através da educação
apropriada, a capacidade de participação das comunidades.
241

6. Devem ser apoiados por sistemas de referências integrados, funcionais e
mutuamente amparados, levando à progressiva melhoria dos cuidados gerais de
saúde para todos e dando prioridade aos que têm mais necessidade.

7.Baseiam-se, aos níveis local e de encaminhamento, nos que trabalham no campo
da saúde, inclusive médicos, enfermeiras, parteiras, auxiliares e agentes
comunitários, conforme seja necessário, convenientemente treinados para trabalhar,
social e tecnicamente, ao lado da equipe de saúde e para responder às
necessidades expressas da saúde da comunidade.

                                       VIII

 Todos os governos devem formular políticas, estratégias e planos nacionais de
ação, para lançar e sustentar os cuidados primários de saúde em coordenação com
outros setores. Para esse fim, será necessário agir com vontade política, mobilizar
os recursos do país e utilizar racionalmente os recursos externos disponíveis.

                                        IX

Todos os países devem cooperar, num espírito de comunidade e serviço para
assegurar os cuidados primários de saúde a todos os povos, uma vez que a
consecução da saúde do povo de qualquer país interessa e beneficia diretamente
todos os outros países. Nesse contexto, o relatório da OMS/UNICEF sobre cuidados
primários de saúde constitui sólida base para o aprimoramento adicional e a
operação dos cuidados primários de saúde em todo o mundo.

                                        X

Poder-se-á atingir um nível aceitável de saúde para todos os povos do mundo até o
ano 2000 mediante o melhor e mais completo uso dos recursos mundiais, dos quais
uma parte considerável é atualmente gasta em armamentos e conflitos militares.
Uma política legítima de independência, paz, distensão e desarmamento pode e
deve liberar recursos adicionais, que podem ser destinados a fins pacíficos, e em
particular à aceleração do desenvolvimento social e econômico, do qual os cuidados
primários de saúde, como parte essencial, devem receber sua parcela apropriada.

 A Conferência Internacional sobre Cuidados Primários de Saúde concita à ação
internacional e nacional urgente e eficaz, para que os cuidados primários de saúde
sejam desenvolvidos e aplicados em todo o mundo, e particularmente nos países em
desenvolvimento, num espírito de cooperação técnica e em consonância com a nova
ordem econômica internacional. Exorta os governos, a OMS e o UNICEF, assim
como outras organizações internacionais bem como entidades multifacetadas e
bilaterais, organizações não governamentais, agências financeiras, todos os que
trabalham no campo da saúde e toda comunidade mundial a apoiar um
compromisso nacional e internacional para com os cuidados primários de saúde e a
canalizar maior volume de apoio técnico e financeiro para esse fim, particularmente
nos países em desenvolvimento. A conferência concita todos eles a colaborar para
que os cuidados primários de saúde sejam introduzidos, desenvolvidos e mantidos,
de acordo com a letra e espírito desta declaração.
242

Decifra me ou te devoro

  • 1.
    CAPA MINISTÉRIO DA SAÚDE FUNDAÇÃO OSWALDO CRUZ ESCOLA NACIONAL DE SAÚDE PÚBLICA SÉRGIO AROUCA em convênio com o ESTADO DO RIO GRANDE DO SUL SECRETARIA DE ESTADO DA SAÚDE ESCOLA DE SAÚDE PÚBLICA PÓS-GRADUAÇÃO LATO SENSU EM SAÚDE PÚBLICA CARLOS ANDRÉ AITA SCHMITZ DECIFRA-ME E DEVORO-TE: A história de como nasceu e morreu a idéia de uma Residência Integrada em Saúde no interior do Estado DECIPHER ME AND I DEVOUR YOU: The history of how was born and how died the idea of an Integrated Residence in Health in the interior of the State. Porto Alegre - RS 2006
  • 2.
    CONTRACAPA CARLOS ANDRÉ AITA SCHMITZ DECIFRA-ME E DEVORO-TE: A história de como nasceu e morreu a idéia de uma Residência Integrada em Saúde no interior do estado Trabalho de Conclusão de Curso apresentado como requisito parcial para obtenção do título de Sanitarista, do curso de pós-graduação Lato sensu em Saúde Pública, da Escola Nacional de Saúde Pública Sérgio Arouca em convênio com a Escola de Saúde Pública do Estado do Rio Grande do Sul. Orientador: Prof. Manoel Mayer Jr. Co-orientadores: Nilson Maestri Carvalho Benildes Maria Mazzorani Nara Rúbia Zardin Porto Alegre 2006
  • 3.
    FICHA CATALOGRÁFICA S355d Schmitz, Carlos André Aita Decifra-me e devoro-te : a história de como nasceu e morreu a idéia de uma residência integrada em saúde no interior do estado / por Carlos André Aita Schmitz. – 2006. 242 f. : il. ; 30 cm. Orientador: Manoel Mayer Jr. Co-orientadores, Nilson Maestri Carvalho, Benildes Maria Mazzorani, Nara Rúbia Zardin Monografia (especialização) – Escola Nacional de Saúde Pública Sérgio Arouca em convênio com a Escola de Saúde Pública do Estado do Rio Grande do Sul, 2006 1. Educação em saúde 2. Saúde pública 3. Residência integrada em saúde 4. Residência médica 5. Formação profissional 6. Educação permanente 7. SUS 8. Santa Maria 9. Rio Grande do Sul I. Mayer Júnior, Manoel II. Carvalho, Nilson Maestri III. Mazzorani, Benildes Maria, IV. Zardin, Nara Rúbia V. Título. CDU 614:378.24 616-051:378.24 Ficha catalográfica elaborada por Maristela Eckhardt - CRB-10/737
  • 4.
    DEDICATÓRIA Para Elieser: Ah! Menina dos olhos profundos... Não sei de que cor eles são, mas que são profundos eu sei... Dedico todas as linhas aqui contidas a minha mulher, por ser ela a primeira a ler, gostar, desgostar, criticar e incentivar tudo o que aqui está. Por ser ela também causa, motivo e inspiração de muitas linhas, lágrimas, risos e sorrisos. Por ser também ela a pessoa que mais amo neste mundo e em todos os outros que haveremos de trilhar juntos.
  • 5.
    AGRADECIMENTOS A minha mulher Não basta apenas a dedicatória. Há que agradecer pela paciência, por ter suportado as muitas ausências, por ter apoiado meus sonhos, por ter rido e chorado comigo, pela revisão gramatical de todo o texto e, principalmente, por não ter me deixado desistir ou recuar em nenhum momento. Aos orientadores Pela paciência em, num curto espaço de tempo (44 dias), ler todo o texto, não só a versão final, como todas as preliminares, acrescentando várias contribuições e removendo alguns exageros. E, sobretudo, pela coragem de terem sido participantes ativos em todas as etapas. Aos familiares Que mesmo sem entender muito bem que diabos de loucura era esta estória de RIS, tinham certeza que era algo muito bom. Aos amigos Por não terem sido poucos. Aos inimigos Que, de uma forma apaixonada, gastaram seu tempo, suas influências, suas forças, seus recursos e até o que não tinham. Fizeram o que nenhum amigo seria capaz de fazer: penhor de ouro, de sangue, de alma e de honra. A eles rendo minha sincera homenagem. Ao sujeito que realmente manda Por nos ter permitido tudo isso.
  • 6.
    EPÍGRAFE Meus sonhos são vasos. Seus cacos colados não querem quebrar.
  • 7.
    RESUMO Neste estudo qualitativo, utilizando narrativa em primeira pessoa e de forma passional, enumero e detalho os passos e percalços transcorridos na tentativa de implantação de uma Residência Integrada em Saúde no interior do estado do Rio Grande do Sul, mais especificamente no município universitário de Santa Maria. Procuro abranger fatos ocorridos no período de 2003 a 2005, englobando a passagem de três secretários municipais de saúde, um pleito eleitoral municipal e a implantação local do Programa de Saúde da Família com isonomia salarial e valorização da formação profissional. O desenho metodológico situa-se em algum ponto entre uma pesquisa-ação, uma pesquisa participante e um estudo descritivo. No referencial teórico, passeio pelos conceitos de residência, residência integrada e modelo pedagógico; transdisciplinaridade e limites profissionais; reformulação do modelo de atenção em saúde; interinstitucionalidade, redes e necessidade de associação e pelo quadrilátero da formação para a área da saúde, não esquecendo um pouco de história da saúde no Brasil e estrutura do Sistema Único de Saúde. Torno público, na íntegra ou em parte, todos os projetos escritos no decorrer dos trabalhos: um curso de formação de preceptores, a estrutura de uma residência integrada, um projeto de Residência em Medicina de Família e Comunidade, e projetos de informatização para a atenção primária em saúde, geoprocessamento e radiologia digital, embora estes três últimos possam parecer um pouco deslocados. As considerações finais são apresentadas à luz da Teoria dos Jogos, da Teoria da Produção Social e de alguns aspectos do Postulado de Coerência, contando com o inusitado apoio de Mr. Hide (alter-ego do Dr. Jekyll). PALAVRAS CHAVE: Residência Integrada em Saúde, Educação em Saúde, Educação Permanente, Formação de Recursos Humanos.
  • 8.
    ABSTRACT In this qualitative study, using narrative in the first person and in a passionate form, i enumerate and detail the steps and profits elapsed in the attempt of the implantation of an Integrated Residence in Health in interior of the state of Rio Grande do Sul, more specifically in the academical city of Santa Maria. I try to include facts happened in the period that goes from 2003 to 2005, including the passage of three municipal secretaries' of health, a municipal election and the local implantation of the Program of Health of the Family with wage equality and valorization of the professional formation. The methodological drawing is located in some point between an action- research, a participant research and a descriptive study. In the theoretical referential, I walk through the concepts of residence, integrated residence and pedagogic model; transdisciplinarity and professional limits; reformulation of the model of the attention in health; interinstitucionality, nets and the need of association and for the quadrilateral formation for the health area, not forgetting a small health history in Brazil and the structure of the Unique Health System. I turn public, completely or in part, all projects written during the elapsing of the works: a course of mentors' formation, the structure of an integrated residence, a project of Residence in Family and Community Medicine, and informatization projects for the primary attention in health, geoprocessment and digital radiology, although these last three may seem a little dislocated. The final considerations are presented at the light of the Games Theory, of the Social Production Theory and some aspects of the Postulate of Coherence, counting with the unusual support of Mr. Hide (alter-ego of the Dr. Jekyll). KEY WORDS: Integrated Residence in Health, Health Education, Permanent Education, Formation of Human Resources.
  • 9.
    LISTA DE ABREVIATURAS 4ªCRS 4ª Coordenadoria Regional de Saúde APS Atenção Primária em Saúde CA Coordenação de Atenção CCS Centro de Ciências da Saúde CEP Coordenação de Ensino e Pesquisa CG Colegiado Gestor CG Coordenação Geral CMS Conselho Municipal de Saúde CNRM Comissão Nacional de Residência Médica COREME Comissão de Residência Médica e Especialização CRRM Comissão Regional de Residência Médica CSEM Centro de Saúde Escola Murialdo DEGES Departamento de Gestão da Educação na Saúde EAD Ensino À Distância EC-29 Emenda Constitucional - 29 EM Executivo Municipal ESF Estratégia de Saúde da Família ESP Escola de Saúde Pública GA Grupo Apartidário Aberto GF Grupo Partidário Fechado GPABA Gestão Plena da Atenção Básica Ampliada GPSM Gestão Plena do Sistema Municipal GSSS Gestão de Serviços e Sistemas de Saúde HCS Hospital Casa de Saúde HUSM Hospital Universitário de Santa Maria IAR Inserção Acadêmica na Rede IS&VP Isonomia Salarial e Valorização da Formação Profissional IVAP Instrumento Virtual de Apoio Pedagógico LM Legislativo Municipal ME Ministério da Educação MFC Medicina de Família e Comunidade
  • 10.
    MRCO Macro Região Centro Oeste MS Ministério da Saúde NC Núcleo de Coordenação NV Nascidos Vivos PA Pesquisa-Ação PEPS Pólo de Educação Permanente em Saúde PES Planejamento Estratégico Situacional PET Programa Especial de Treinamento PMDB Partido do Movimento Democrático Brasileiro PMSM Prefeitura Municipal de Santa Maria POA Porto Alegre PP Pesquisa Participante PROESF Projeto de Expansão e Consolidação da Saúde da Família PROMED Projeto de Incentivo a Mudanças Curriculares nos Cursos de Medicina PSF Programa de Saúde da Família PT Partido dos Trabalhadores R3 Residente de terceiro ano RIS Residência Integrada em Saúde SBMFC Sociedade Brasileira de Medicina de Família e Comunidade SES Secretaria Estadual de Saúde SG Secretaria Geral SGTES Secretaria de Gestão do Trabalho e da Educação na Saúde SM Santa Maria SMAP Saúde Mental na Atenção Primária SMS Secretaria de Município da Saúde SUS Sistema único de Saúde UBS Unidade Básica de Saúde UFSM Universidade Federal de Santa Maria UNIFRA Centro Universitário Franciscano
  • 11.
    LISTA DE FIGURAS Figura1 O Caminho do meio: O gradiente multi-inter-trans e os extremos da hegemonia uniprofissional e da perda da identidade profissional. ........................................................33 Figura 2 Evolução dos modelos de saúde. Partindo do modelo médico-centrado, passando pelo modelo paciente-centrado e chegando ao modelo centrado na produção de saúde, onde o paciente figura como um usuário participante através do controle social. Enf=enfermagem; Fis=fisioterapia, Fon=fonoaudiologia; M=medicina; Nut=nutricionista; Od=odontologia; ; Pac=paciente Psi=psicologia; SS=Serviço social; Us=usuário. ...................35 Figura 3 Logomarca da RIS..................................................................................................................40 Figura 4 Distribuição espacial esquemática da RIS. .....................................................................46 Figura 5 Detalhamento das estruturas. Foi utilizado o eixo oeste como exemplo. Todas as áreas subentendem um preceptor e dois residentes, com exceção dos dois residentes de campo aberto. ..................................................................................................46 Figura 6 Organograma da RIS. ............................................................................................................47 Figura 7 Distribuição e paridade do Colegiado Gestor. Us = Usuários; T = Trabalhadores de Saúde; G = Gestores; OS = Prestadores de Serviços. ......................48 Figura 8 Alguns problemas de Santa Maria...........................................................................................55 Figura 9 O modelo de tripé...................................................................................................................65 Figura 10 Basta remover um pé: Ilustrações extraídas do álbum Liga Extraordinária Volume 2 (MOORE ET AL, 2004). Esta HQ (história em quadrinhos) ilustra uma versão do clássico “A Guerra dos Mundos” ambientada na Londres do final do século XIX. Nesta seqüência o personagem Mr. Hide enfrenta os tripés marcianos e ressalta na sua ótica, dois importantes problemas de projeto: “Você tem um problema agora. Atire em mim e irá arrebentar o próprio pé!” e “Não me leve a mal: Deus criou um monte de criaturas inúteis e de aparência estúpida neste mundo. Mas Ele decidiu não fazer nenhuma delas com três pés! Você imagina porque ele fez isso?” Ele mesmo responde na última ilustração.......................67 Figura 11 Divisão da roda de problematização. ................................................................................72 Figura 12 Perfil antropofágico e integrador da Saúde Coletiva....................................................81 Figura 13 IVAP: Tela Principal onde são apresentados os últimos textos publicados. O sistema dá acesso total dos textos aos visitantes, acesso limitado das funcionalidades aos alunos, acesso semi-total aos professores e acesso pleno aos administradores.................................................................................................................83 Figura 14 IVAP: Estrutura de tópicos. Cada vez que um texto é publicado, ele é associado a um tópico especifico de forma a permitir visualização estruturada. O sistema também permite pesquisa aleatória, alfabética ou cronológica dos textos. ....................83 Figura 15 IVAP: Fórum. O módulo de fóruns permite o cadastro e incremento de várias discussões. ................................................................................................................................84 Figura 16 IVAP: Postagem de testes. O sistema permite que os professores enviem tanto questões objetivas, quanto questões discursivas................................................................84 Figura 17 IVAP: Realização do teste pelo aluno...................................................................................84 Figura 18 IVAP: Estatísticas.....................................................................................................................85 Figura 19 Geoprocessamento: Capacidade de detalhamento do sistema, partindo de um mapa geral do município até a planta baixa de uma clínica de traumato- ortopedia. ...................................................................................................................................86
  • 12.
    Figura 20 Geoprocessamento: Instrumento de coleta de dados. A frente apresenta o mapa da microregião a ser analizada, a legenda de eventos a serem observados e os dados de identificação. O verso apresenta uma mapa de localização da microregião................................................................................................................................87 Figura 21 Levantamento topográfico ...................................................................................................89 Figura 22 Ferramentas de territorialização. a)Mapa digital da cidade; b)Mapas impressos para as equipes, identificando cada micro área com uma cor padrão, a situação espacial da micro área na área e da área no município; c) Prontuário com codificação padronizada e identificação da cor da micro área; d) Cartão provisório de identificação do usuário. ..................................................................................95 Figura 23 Capacidade da rede pública municipal de saúde/Fluxo espontâneo e dirigido da população. ..........................................................................................................96 Figura 24 As redes de Santa Maria.......................................................................................................97 Figura 25 Vila Maringá: situação geográfica. As seis micro áreas da Vila Maringá e sua posição em relação ao município.........................................................................................114 Figura 26 O Castelo de cartas. Em amarelo as ações de curto prazo, em vermelho as de médio e em verde as de longo prazo. .................................................................................123
  • 13.
    LISTA DE TABELAS Tabela1 Coeficientes e números absolutos de mortalidade em Santa Maria.............................................56 Tabela 2 Mortalidade proporcional (%) por grupo de causas - CID10 em Santa Maria. ...........................57 Tabela 3 Causas de óbitos por grupo de doenças no ano de 2003 Santa Maria/RS ...................................57 Tabela 4 Quantidade de profissionais por área de atuação, classificados nos três processos seletivos do PSF. ....................................................................................... 106 Tabela 5 Perfil profissional do PSF em julho de 2005, considerando graduação, especialização em Saúde Coletiva e Residência Integrada em Saúde ou Residência em Medicina de Família e Comunidade................................................... 106 Tabela 6 Evasões até julho de 2005, considerando graduação, especialização em Saúde Coletiva e Residência Integrada em Saúde ou Residência em Medicina de Família e Comunidade. ............................................................................................... 106
  • 14.
    COLABORADORES Pessoas que, em alguma etapa, de forma direta ou indireta trabalharam junto, orientaram, colaboraram, opinaram ou criticaram de forma construtiva os trabalhos. ANA MARIA FERNANDES PITTA Médica psiquiátrica, mestre, doutora e Phd em saúde mental, professora da Universidade de São Paulo e da Universidade Federal da Bahia, consultora do Ministério da Saúde ADRIANE FLEIG Médica de família e comunidade, médica do trabalho, estratégia de saúde da família, Prefeitura Municipal de Santa Maria ALCINDO ANTÔNIO FERLA Médico, doutor em educação, professor de enfermagem da Universidade de Caxias do Sul ALEXANDER FABIANE DO REGO Acadêmico do Curso de Ciências da Computação da Universidade Federal de Santa Maria, integrante do Programa Especial de Treinamento – PET ALINE DOMINGUES CHAVES AITA Fonoaudióloga, mestre e doutora em distúrbios da comunicação humana, coordenadora do Curso de Fonoaudiologia da Faculdade Fátima de Caxias do Sul ALINE LUIZA HAAS Acadêmica do Curso de Ciências da Computação da Universidade Federal de Santa Maria, integrante do Programa Especial de Treinamento – PET CÉZAR AUGUSTO BASTIANELO VAZ Engenheiro eletricista, mestre em sistemas de informação, diretor de transportes da Prefeitura Municipal de Santa Maria CLARA L. M. COLOMÉ Enfermeira, mestre em enfermagem, professora da Universidade Regional Integrada – Campus Santiago CLAÚDIA SALA ANDRADE Farmacêutica, representante dos trabalhadores de saúde, pela Associação Santa-mariense de Farmácia, no Conselho Municipal de Saúde de Santa Maria CLAÚDIA TERRA DO NASCIMENTO Pedagoga, mestre em desenvolvimento humano, especialista em psicopedagogia, professora substituta do Departamento de Fundamentos da Educação – Centro de Educação da Universidade Federal e Santa Maria CLAÚDIO BERNARDI NETO Enfermeiro, especialista em Saúde Coletiva, estratégia de saúde da família, Prefeitura Municipal de Santa Maria ELAINE VERENA RESENER Médica ginecologista, mestre e doutora em medicina, professora adjunta do Departamento de Ginecologia e Obstetrícia da Universidade Federal de Santa Maria, Diretora Geral do Hospital Universitário de Santa Maria EMÉRSON ELIAS MERHY Médico, mestre e doutor em saúde coletiva, professor da Universidade Estadual de Campinas, consultor do Ministério da Saúde
  • 15.
    FELIPE MARTINS MÜLLER Engenheiroeletricista, mestre e doutor em engenharia elétrica, diretor do Centro de Tecnologia da Universidade Federal de Santa Maria FERNANDO BEVILACQUA Acadêmico do Curso de Ciências da Computação da Universidade Federal de Santa Maria, integrante do Programa Especial de Treinamento – PET FERNANDO RITTER Cirurgião-dentista, residente do Centro de Saúde Escola Murialdo, Escola de Saúde Pública do Rio Grande do Sul GILMOR JOSÉ FARENZENA Médico pediatra, mestre em saúde comunitária, professor assistente do Departamento de Saúde da Comunidade da Universidade Federal de Santa Maria GIOVANI GRACIOLI Acadêmico do Curso de Ciências da Computação da Universidade Federal de Santa Maria, integrante do Programa Especial de Treinamento – PET ILSE MEINKE MELO Enfermeira, especialista em saúde pública, secretária de município da saúde da Prefeitura Municipal de Santa Maria IVAN PORCIÚNCULA JR. Cirurgião-dentista, Prefeitura Municipal de Santa Maria JADETE LAMPERT Médica, mestre em administração pública, doutora em saúde pública, professora adjunta do Departamento de Clínica Médica da Universidade Federal de Santa Maria JAMES FERREIRA GRESSLER Médico cardiologista, professor titular do Departamento de Clínica Médica da Universidade Federal de Santa Maria JONHY AIRTON PEREIRA XAVIER Médico, Prefeitura Municipal de Santa Maria JOSÉ ALMIRO P. DA ROSA Representante dos usuários, pela CUT-Regional Centro, no Conselho Municipal de Saúde de Santa Maria JOSÉ F. SANTIN Representante dos usuários, pela Associação Comunitária Tancredo Neves, no Conselho Municipal de Saúde de Santa Maria JOSÉ WELLINGTON ALVES DOS SANTOS Médico pneumologista, mestre, doutor e Phd em pneumologia, professor adjunto do Departamento de Clínica Médica da Universidade Federal de Santa Maria, Coordenador da Residência Médica do Centro de Ciências da Saúde da UFSM LAURA CAMARGO MACRUZ FEUERWERKER Mestre e doutora em saúde pública, pesquisadora da Rede Unida, coordenadora de ações estratégicas de educação na saúde no Departamento de Gestão da Educação na Saúde do Ministério da Saúde LERIS SALETE BONFANTI HAEFFNER Médica pediatra, mestre em desenvolvimento humano, doutora em medicina, professora adjunta do Departamento de Pediatria da Universidade Federal de Santa Maria, coordenadora do Curso de Medicina da UFSM LIEGE FONTANIVE
  • 16.
    Cirurgiã-dentista. especialista emsaúde coletiva, estratégia de saúde da família, Prefeitura Municipal de Santa Maria LUCIANE SILVA RAMOS Enfermeira, especialista em gestão de serviços e sistemas de saúde e em saúde pública, diretora de saúde coletiva da Secretaria de Município da Saúde da Prefeitura Municipal de Santa Maria LUIZ OSÓRIO CRUZ PORTELA Educador físico, doutor em filosofia, professor titular do Departamento de Desportos Coletivos Da Universidade Federal de Santa Maria MÁRCIA DIAS VIANNA Enfermeira, Prefeitura Municipal de Santa Maria MÁRCIA HELENA BOLSON RADINS Médica de família e comunidade, Prefeitura Municipal de Santa Maria MARCOS CAUDURO TROIAN Diabetólogo, professor adjunto, chefe do departamento de Clínica Médica do Centro de Ciências da Saúde da Universidade Federal de Santa Maria MARIA LÚCIA PRESTES Enfermeira, Prefeitura Municipal de Santa Maria MARIA CELESTE LANDERDHAL Enfermeira, mestre em enfermagem, professora adjunta do Departamento de Enfermagem da Universidade Federal de Santa Maria MARIO ROBERTO DA SILVEIRA Médico psiquiatra, diretor da Escola de Saúde Pública do Rio Grande do Sul MARIO ROBERTO GARCIA TAVARES Médico de família e comunidade, mestrando em educação, professor do departamento de Medicina Social da Faculdade de Medicina da Universidade Federal do Rio Grande do Sul MÔNICA ROSA ZENI Fisioterapeuta, especialista em produtos e processos fisioterapêuticos, CEDAS, Prefeitura Municipal de Santa Maria OLMIRO CEZIMBRA DE SOUZA FILHO Médico ginecologista, mestre em educação, professor assistente do Departamento de Morfologia da Universidade Federal de Santa Maria PAULO JORGE SARKIS Engenheiro civil, mestre em engenharia civil, reitor da Universidade Federal de Santa Maria PAULO VINÍCIUS NASCIMENTO FONTANIVE Cirurgião-dentista, residente do Centro de Saúde Escola Murialdo, Escola de Saúde Pública do rio Grande do Sul REGINA P. LOUREIRO Enfermeira sanitarista, mestre em epidemiologia, doutoranda em medicina social, professora de epidemiologia e método de pesquisa da Escola de Saúde pública do RS RICARDO BURG CECCIM Enfermeiro sanitarista, mestre e doutor em educação e saúde, professor de educação em saúde do Programa de Mestrado e Doutorado em Educação da Universidade Federal do Rio Grande do Sul, diretor do Departamento de Gestão da Educação na Saúde do Ministério da Saúde RODRIGO CARIRI
  • 17.
    Médico de famíliae comunidade, consultor técnico para ações populares de educação na saúde, Ministério da Saúde ROSA MARIA WOLF Médica pediatra e homeopata, especialista em gestão de sistemas de saúde, presidente do Conselho Municipal de Saúde de Santa Maria ROSE DORIGON Pedagoga da Escola de Saúde pública do RS ROSE MAYER Psicóloga, sanitarista, mestre em psicologia social, professora de metodologia científica da Escola de Saúde pública do RS SÉRGIO VERGUEIRO Farmacêutico, diretor da Secretaria de Município da Saúde da Prefeitura Municipal de Santa Maria SILVANA FLORES Pedagoga, Residência Multiprofissional em Saúde, Grupo Hospitalar Conceição SIMONE MEYER Terapeuta ocupacional, sanitarista, especialista em saúde mental, Curso de Terapia Ocupacional, Centro Universitário Franciscano SOELI GUERRA Enfermeira, representante dos prestadores de serviço, pelo Hospital Casa de Saúde, no Conselho Municipal de Saúde de Santa Maria SOLANGE CAPAVERDE SANTOS Mestre em educação, doutora em informática, consultora científica da Fundação de Apoio à Tecnologia VÂNIA MARIA FIGHERA OLIVO Enfermeira, mestre em assistência de enfermagem, doutoranda em administração, professora do Departamento de Enfermagem da Universidade Federal de Santa Maria VERA REGINA REAL LIMA GARCIA Enfermeira, mestre em educação, doutora em aprendizagem, coordenadora da pós- graduação em enfermagem da Universidade Federal de Santa Maria WILSON JUCHEM Pediatra, professor aposentado do Departamento de Pediatria da Universidade Federal de Santa Maria Vale lembrar também todos os colegas da UFSM, da PMSM, da 4ª CRS e da UNIFRA que participaram (e não foram apenas alunos) do I (e único) Curso de Saúde Pública Voltado Para a (De)Formação de Preceptores, assim como os colegas do PSF, dos Centros de Atenção Psicossocial, do Ambulatório de Saúde Mental, do grupo nacional de discussão de residências em saúde mental e do Curso de Administração do UFSM. Se por acaso esqueci de alguém, o que é bem provável dada a quantidade de pessoas que conviveram com este projeto no período de 2003 a 2005, por favor, reclame. Uma cópia eletrônica desta monografia será publicada na internet e sempre será um prazer atualizá-la.
  • 18.
    SUMÁRIO 1 INTRODUÇÃO ........................................................................................... 20 2 OBJETIVOS ............................................................................................... 23 2.1 OBJETIVO GERAL ................................................................................................................... 23 2.2 OBJETIVOS ESPECÍFICOS..................................................................................................... 23 3 METODOLOGIA......................................................................................... 24 3.1 PRÓLOGO DA METODOLOGIA............................................................................................ 24 3.2 METODOLOGIA EM SI............................................................................................................ 25 3.2.1 ESTUDO DESCRITIVO............................................................................................................... 25 3.2.2 PESQUISA PARTICIPANTE - PP E PESQUISA-AÇÃO – PA .................................................. 26 3.2.3 DESENHO DA MONOGRAFIA.................................................................................................. 28 PARTE I ........................................................................................................... 29 4 ALGUNS CONCEITOS PRELIMINARES................................................... 30 4.1 RESIDÊNCIA, RESIDÊNCIA INTEGRADA E MODELO PEDAGÓGICO....................... 30 4.2 A TRANSDISCIPLINARIDADE E OS LIMITES PROFISSIONAIS................................... 32 4.3 A REFORMULAÇÃO DO MODELO DE ATENÇÃO........................................................... 36 4.4 INTERINSTITUCIONALIDADE, REDES E NECESSIDADE DE ASSOCIAÇÃO ........... 37 4.5 O QUADRILÁTERO .................................................................................................................. 39 5 A ESTRUTURA DA RIS ............................................................................. 40 5.1 ESTUDO DA LOGOMARCA.................................................................................................... 40 5.2 ESTRUTURA EM SI .................................................................................................................. 41 5.2.1 ALGUMAS VANTAGENS .......................................................................................................... 41 5.2.2 DA DURAÇÃO E CARGA HORÁRIA ....................................................................................... 41 5.2.3 DAS ÊNFASES............................................................................................................................. 42 5.2.4 DAS ATIVIDADES ...................................................................................................................... 42 5.2.5 DOS ESPAÇOS E ATORES......................................................................................................... 42 5.2.6 DAS ÁREAS PROFISSIONAIS POR ÊNFASE .......................................................................... 43 5.2.7 DA DINÂMICA DAS ÊNFASES, DOS ESPAÇOS E DOS ATORES........................................ 44 5.2.8 DA FORMA DE GESTÃO ........................................................................................................... 47 5.2.9 DAS ESPECIALIZAÇÕES DE NÍVEL MÉDIO.......................................................................... 50 6 MAS POR QUE SANTA MARIA?............................................................... 51 6.1 SITUAÇÃO GEOPOLÍTICA..................................................................................................... 51 6.1.1 O PAPEL DO MUNICÍPIO NA EFETIVAÇÃO DO SUS........................................................... 52 6.1.2 MAIS ALGUNS DADOS SOBRE MUNICÍPIO.......................................................................... 55 7 COMO IR PARA SANTA MARIA?.............................................................. 58 7.1 OS PRIMEIROS PASSOS.......................................................................................................... 58 7.2 AS PRIMEIRAS ESTRATÉGIAS ............................................................................................. 58 7.3 UMA OUTRA ESTRATÉGIA: A DILUIÇÃO DA AUTORIA .............................................. 61 7.4 DE VOLTA A POA ..................................................................................................................... 62 PARTE II .......................................................................................................... 63 8 O FILHO PRÓDIGO A CASA TORNA........................................................ 64 8.1 INICIEI COM UM TRIPÉ ......................................................................................................... 64 8.2 O QUE DEU E O QUE NÃO DEU CERTO ............................................................................. 67 8.3 COMEÇOU A CHOVER DENTRO DO BARCO ................................................................... 68 9 E COMEÇA O CURSO DE PRECEPTORES............................................. 70 9.1 A PRIMEIRA AULA: SUS......................................................................................................... 71 9.2 CONTROLE SOCIAL X MANIPULAÇÃO SOCIAL: A DINÂMICA DO CONSELHO MUNICIPAL DE SAÚDE .............................................................................................................................. 71
  • 19.
    9.3 A DINÂMICA “O PACIENTE IN(TER)DISCIPLINADO”:.................................................. 74 9.4 O DEBATE DO NÚCLEO E CAMPO DA SAÚDE COLETIVA........................................... 80 9.5 ATIVIDADES VIRTUAIS.......................................................................................................... 81 9.6 O GEOPROCESSAMENTO...................................................................................................... 86 9.7 INTERLÚDIO I – TIME IS ON MY SIDE ................................................................................ 90 10 CONTINUAVA A CHOVER DENTRO DO BARCO ................................. 92 11 E COMEÇA A SURGIR O PSF DE SM ................................................... 93 12 A ISONOMIA SALARIAL E A VALORIZAÇÃO DA FORMAÇÃO PROFISSIONAL - IS&VP ................................................................................. 98 12.1 INTERLÚDIO II - SUBVERTENDO UMA LÓGICA: UM ARTIGO QUE ENTRA AO INVÉS DE SAIR.............................................................................................................................................. 98 12.2 O impacto da adoção da isonomia salarial e valorização da formação profissional (IS&VP) no Programa de Saúde da Família ............................................................................................................... 101 12.2.1 Autores do artigo: ........................................................................................................................ 101 12.2.2 Introdução do artigo..................................................................................................................... 101 12.2.3 Objetivo do artigo........................................................................................................................ 102 12.2.4 Metodologia do artigo ................................................................................................................. 102 12.2.5 Resultados do artigo .................................................................................................................... 102 12.2.5.1 Extratos documentais .............................................................................................................. 103 12.2.5.2 Tabelas funcionais .................................................................................................................. 106 12.2.6 Discussão do artigo...................................................................................................................... 106 12.2.6.1 A trajetória: ........................................................................................................................ 106 12.2.6.2 Os fatos seguintes: ............................................................................................................. 109 12.3 INTERLÚDIO III – DADOS QUE NÃO CONSTARAM NO ARTIGO ............................. 110 12.3.1 UM TRIPÉ MANCO................................................................................................................... 110 12.3.2 NO FRESCOR DO VERÃO DE 2004 – A PRIMEIRA GELADEIRA...................................... 113 12.3.3 RESSURGINDO DAS CINZAS (OU DA LAMA) .................................................................... 114 12.2.6.3 O impacto no perfil profissional do PSF:........................................................................... 116 12.2.6.4 Análise de cenários: ........................................................................................................... 117 12.2.7 Considerações finais do artigo..................................................................................................... 120 12.2.8 Referências do artigo ................................................................................................................... 120 13 CONSIDERAÇÕES FINAIS - POR QUE O TRIPÉ DESPENCOU E LEVOU O QUADRILÁTERO JUNTO .............................................................................. 122 12.1 DA FRAGILIDADE .................................................................................................................. 122 12.2 DOS JOGOS DE PODER E DAS PERDAS............................................................................ 123 12.3 DA COERÊNCIA, DA DETERMINAÇÃO E DO CONDICIONAMENTO....................... 126 12.4 DA CONTABILIDADE FINAL ............................................................................................... 127 13 EPÍLOGO .............................................................................................. 129 13.1 O TEMPO NÃO EXISTE ......................................................................................................... 129 14 REFERÊNCIAS..................................................................................... 131 APÊNDICES................................................................................................... 135 APÊNDICE A: UM PASSEIO PELO SUS ................................................................................................. 136 O SISTEMA ÚNICO DE SAÚDE:............................................................................................................. 136 E UM POUCO DA SUA PRODUTIVIDADE: .......................................................................................... 136 UMA RÁPIDA VIAGEM NO TEMPO...................................................................................................... 137 PRINCÍPIOS ............................................................................................................................................... 138 BASE LEGAL E FINANCIAMENTO ....................................................................................................... 140 ESTRUTURAS DE CONTROLE............................................................................................................... 141 ESTRUTURAS DE GESTÃO .................................................................................................................... 141 INSTRUMENTOS DE GERENCIAMENTO............................................................................................. 141 APÊNDICE B – PROGRAMA DE RESIDÊNCIA EM MEDICINA DE FAMÍLIA E COMUNIDADE ......................................................................................................................................................................... 143 1. INTRODUÇÃO E JUSTIFICATIVA ......................................................................................... 150 2. OBJETIVO GERAL.................................................................................................................... 151
  • 20.
    3. OBJETIVOS ESPECÍFICOS ...................................................................................................... 151 4. METODOLOGIA........................................................................................................................ 151 4.1. Visão geral................................................................................................................................... 151 4.2. Preceptores .................................................................................................................................. 152 4.3. Vagas ........................................................................................................................................... 152 4.4. Espaços ........................................................................................................................................ 153 4.5. Familiarização ............................................................................................................................. 153 4.6. Bibliografia disponível ................................................................................................................ 154 4.7. Acesso a Internet ......................................................................................................................... 155 4.8. Refeições ..................................................................................................................................... 155 4.9. Carga Horária .............................................................................................................................. 155 4.10. Distribuição das atividades .......................................................................................................... 156 4.10.1. Atividades na USF e na comunidade........................................................................................... 158 4.10.1.1. Sala de Espera......................................................................................................................... 159 4.10.1.2. Acolhimento ........................................................................................................................... 160 4.10.1.3. Agenda.................................................................................................................................... 160 4.10.1.4. Pós-plantões e plantões ........................................................................................................... 161 4.10.1.5. Assistência domiciliar............................................................................................................. 163 4.10.1.6. Territorialização e pesquisa .................................................................................................... 163 4.10.1.7. Grupos .................................................................................................................................... 166 4.10.1.8. Gestão de serviços .................................................................................................................. 166 4.10.1.9. Atividades comunitárias ......................................................................................................... 168 4.10.1.10. Atualização ........................................................................................................................ 168 4.10.2. Estágios ....................................................................................................................................... 170 4.10.3. Eixos teóricos .............................................................................................................................. 171 4.11. Avaliação..................................................................................................................................... 173 5. REFERÊNCIAS .......................................................................................................................... 173 APÊNDICE C - TRECHO AUTOBIOGRAFIA ........................................................................................ 174 APÊNDICE D – MINHA VISÃO METAFÓRICA DO INFERNO.......................................................... 177 APÊNDICE E – PRIMEIRO PROJETO R3 .............................................................................................. 179 1. INTRODUÇÃO........................................................................................................................... 181 2. OBJETIVOS................................................................................................................................ 181 2.1. Objetivo geral: ............................................................................................................................. 181 2.2. Objetivos específicos:.................................................................................................................. 181 3. JUSTIFICATIVA ........................................................................................................................ 182 4. FORMULAÇÃO DO PROBLEMA............................................................................................ 182 5. DEFINIÇOES CONCEITUAIS .................................................................................................. 184 7. CRONOGRAMA ........................................................................................................................ 185 8. REFERÊNCIAS .......................................................................................................................... 186 APÊNDICE F – PROPOSTA SUMÁRIA ................................................................................................... 187 APÊNDICE G – A CAPA DO TRIPÉ ......................................................................................................... 190 APÊNDICE H – CURSO DE PRECEPTORES ......................................................................................... 191 1. INTRODUÇÃO........................................................................................................................... 194 2. JUSTIFICATIVA ........................................................................................................................ 195 3. OBJETIVO GERAL.................................................................................................................... 195 4. OBJETIVOS ESPECÍFICOS ...................................................................................................... 195 5. METODOLOGIA........................................................................................................................ 196 5.1. SELEÇÃO DOS PARTICIPANTES........................................................................................... 196 5.2. PERÍODO E ESTRUTURA DO CURSO ................................................................................... 196 5.2.1. Atividades virtuais .................................................................................................................. 196 5.2.1.1. Realização do pré-teste:............................................................................................ 197 5.2.1.2. Leitura de instrumentalização:.................................................................................. 197 5.2.1.3. Debate prévio: .......................................................................................................... 197 5.2.1.4. Realização do pós-teste: ........................................................................................... 197 5.2.1.5. Digitação das avaliações:.......................................................................................... 197 5.2.1.6. Acréscimos ao banco de referências:........................................................................ 197 5.2.1.7. Consulta de dados pessoais: ..................................................................................... 198 5.2.1.8. Consulta de dados gerais: ......................................................................................... 198 5.2.2. Atividades teóricas.................................................................................................................. 199 5.2.3. Atividades práticas.................................................................................................................. 199
  • 21.
    5.2.3.1. Contato inicial .......................................................................................................... 200 5.2.3.2. Equipamentos de saúde: ........................................................................................... 200 5.2.3.3. Controle social:......................................................................................................... 200 5.2.3.4. Territorialização ....................................................................................................... 201 5.2.4. Eixos Temáticos para 2004..................................................................................................... 201 5.2.5. Estratégias de avaliação .......................................................................................................... 202 6. CRONOGRAMA ............................................................................................................................ 203 7. ORÇAMENTO................................................................................................................................ 203 8. REFERÊNCIAS .............................................................................................................................. 204 ANEXO I - Objetivos Projeto I ................................................................................................................... 205 ANEXO II – Estrutura do curso .................................................................................................................. 206 APÊNDICE I – O “CAUSO” DO GERALDÃO......................................................................................... 214 APÊNDICE J - NEM CAFÉ NEM PÃO, SÓ PAPELÃO.......................................................................... 215 APÊNDICE L – UMA SINGELA PIADA................................................................................................... 216 APÊNDICE M – HISTÓRIA DA SAÚDE NO BRASIL............................................................................ 217 PERÍODO PRÉ-REPUBLICANO (1500-1889) ......................................................................................... 218 A REPÚBLICA VELHA (1889-1930)........................................................................................................ 219 A ERA VARGAS (1930-1945)................................................................................................................... 221 O PERÍODO DESENVOLVIMENTISTA (1945-1964)............................................................................. 221 A NOVA DITADURA................................................................................................................................ 222 A DÉCADA DE 80: ECLOSÃO DA CRISE ESTRUTURAL E CONSOLIDAÇÃO DAS PROPOSTAS REFORMADORAS .................................................................................................................................... 223 REFERÊNCIAS .......................................................................................................................................... 225 ANEXOS ........................................................................................................ 226 ANEXO A - MARAGATOS E PICA-PAUS ............................................................................................... 227 ANEXO B - PRIORIDADES EM SAÚDE DO GOVERNO ESTADUAL............................................... 228 ANEXO C – EIXOS, VETORES E ESTÁGIOS DO PROJETO DE INCENTIVO A MUDANÇAS CURRICULARES NOS CURSOS DE MEDICINA. ................................................................................. 229 ANEXO D – PROJETO INFORMATIZAÇÃO APS: OFÍCIO HUMBERTO COSTA ........................ 230 ANEXO E – FRAGMENTO PROJETO HUSM ........................................................................................ 232 ANEXO F - COMISSÃO MULTIDISCIPLINAR DE PROFISSIONAIS DA SAÚDE.......................... 233 ANEXO G – DECLARAÇÃO DE ALMA-ATA......................................................................................... 239
  • 22.
    20 1 INTRODUÇÃO Bem, antes de explicar o porquê do título desta monografia, quero alertar qualquer leitor desavisado sobre o estilo do texto. Escreverei em primeira pessoa e será um texto bastante passional. Será o relato de uma queda, uma queda silenciosa que deixou alguns estragos interessantes. Busco suporte para isso em Gilson Carvalho (2001) que nos brinda com um texto sanguíneo sobre os desatinos administrativos impingidos ao Sistema Único de Saúde - SUS e defende uma escrita mais pessoal, mais emotiva. Não há como ser de outra forma, posto que vivi na pele e na alma todos os acontecimentos que irei narrar. Farei, portanto, uma tentativa de expressar em moldes ditos científicos, uma história de paixão. Claro que a terceira pessoa também será inevitável, afinal este trabalho envolveu muita gente. Também vou procurar descrever estes participantes da forma mais humana possível, pedindo desde já escusas por algum eventual exagero descritivo, pois haverá um certo toque de bom humor. Isto posto, vamos ao porquê do título. Passando os olhos por Minayo (1993) encontrei uma citação que ela faz de Pascal (Pensée, frase nº 19): “A última coisa que se encontra ao fazer uma obra é o que se deve colocar em primeiro lugar.”. O poema a seguir é como uma conclusão desta monografia. Expressa tudo o que passei e aprendi neste três últimos anos de imersão total no SUS. É o desafio/enigma com que a saúde pública me confrontou:
  • 23.
    21 DECIFRA-ME E DEVORO-TE Há um lobo em pele de cordeiro. Há uma pele ordeira de olhar faminto. A cada piscar, ora há um lobo, ora há um cordeiro. Não há mais lobo, não há mais cordeiro. Há um cordeiro com alma de lobo... Tenho certeza que muitos que passaram por vivências semelhantes perceberam que, diferente da bondosa esfinge de Sófocles, o SUS não nos dá o benefício do ou... Não, não é o discurso de alguém que apanhou muito e não quer mais brincar, é apenas a fala de alguém um pouco mais experiente que vai apanhar menos e se divertir mais. Como eu já disse, os estragos foram interessantes. Quanto mais estudo e vivo o SUS, mais me convenço de que ele é uma utopia impossível e impraticável. Acredito que a maior explicação para sua manutenção é a mesma que mantém a maioria de seus conterrâneos vivos, a sua naturalidade: nós nascemos no Brasil e sempre sobrevivemos a qualquer quarta- feira de cinzas 1 . Pretendo relatar, nas próximas páginas, como minha cidade natal, Santa Maria - SM, no interior do Rio Grande do Sul, quase se transformou numa referência nacional na formação de recursos humanos para o SUS e como passei três anos da minha vida trabalhando nisso; o que deu e o que não deu certo, o que ganhei e o que perdi, o que ganhamos e o que perdemos. 1 Como bem lembram alguns de nossos melhores professores, sus é um verbete que consta no dicionário como uma interjeição que quer dizer: Ânimo! Coragem!
  • 24.
    22 É o relato de um sonho que implodiu e que, na sua morte intra-útero, gerou efeitos colaterais significativos. Este relato estará dividido em duas partes e vários capítulos: A Parte I relaciona os acontecimentos, estratégias e negociações que precederam o início dos trabalhos em SM (antes de 2003 e início de 2003). A Parte II descreve o período de 2003, onde o combustível era total e o sonho ainda era possível. Decididamente o ano em que mais se produziu. Também versa sobre as primeiras (e importantes) derrotas e o período de resistência de 2004. Por fim, falo sobre a vitória da mediocridade no ano de 2005 e faço os últimos arremates nas considerações finais. Como todo escorpiano, tenho vários rostos e uso várias máscaras 2 . Logo, teremos vários Carlos Andrés contando esta história, mas dois extremos se destacarão entre os diversos matizes: um que se comportará de uma forma mais próxima ao Carlos André do período dos acontecimentos e outro que será mais parecido com o Carlos André dos dias de hoje. Haverá ainda um terceiro, que relatará, em tempo real, alguns acontecimentos que ocorreram, mais ou menos, no momento em que estavam sendo relatados. Para facilitar um pouco o posicionamento temporal, os Carlos Andrés mais antigos usarão o formato de letra Times New Roman e os Carlos Andrés mais atuais o formato de letra Arial. Quando houver dois narradores temporalmente muito próximos, para evitar atritos, enquanto um estiver no corpo do texto, o outro freqüentará as notas de rodapé. Haverão alguns confrontos inevitáveis e várias discordâncias entre eles, mas no final todos se (nos) encontrarão (emos). 2 Esta monografia desvelará algumas delas.
  • 25.
    23 2 OBJETIVOS 2.1 OBJETIVO GERAL O objetivo desta monografia é registrar os fatos que cercaram a tentativa de implantação de uma Residência Integrada em Saúde - RIS no município de Santa Maria, Rio Grande do Sul, discutindo, desta forma, a estratégia utilizada, os caminhos percorridos e a experiência e os avanços alcançados. 2.2 OBJETIVOS ESPECÍFICOS • Relacionar a produção científica dos vários grupos de trabalho que participaram do projeto, no período de 2003-2005; • Elencar os principais fatos políticos produzidos; • Correlacionar a produção científica com a produção política, descrevendo as alterações provocadas no âmbito da saúde de SM, bem como na minha subjetividade e na daqueles que também vivenciaram a experiência; • Gerar uma referência local para experiências futuras mais exitosas.
  • 26.
    24 3 METODOLOGIA 3.1 PRÓLOGO DA METODOLOGIA Quando recebi o telefonema da professora de metodologia científica, psicóloga, sanitarista, mestre em psicologia social Rose Mayer 3 , dando um toquezinho que o prazo final para entregar uma cópia desta monografia para o orientador era 18/03/06 (“Ó, gurizinho! Não esquece de botar em formato de projeto, hein?”) e, no momento em que digito o presente trecho de texto, faltando só cinco dias para esta data, lembrei de quando eu tinha 16 anos. Estava no 2º grau 4 e a professora de português, indignada com a turma (não lembro o porquê), nos sentenciou a uma avaliação relâmpago, valendo a nota do bimestre: uma redação com introdução, desenvolvimento e conclusão (o tema era livre). No improviso do momento e inspirado em um de meus ídolos literários da época (e da atualidade – Luis Fernando Veríssimo), saiu o que segue abaixo. Previamente justifico o linguajar e as idéias ressalvando fato de que eu só tinha 16 anos: Uma crônica qualquer Escrever, tenho que escrever. E agora? O que eu faço? Minha nota depende disso e nenhuma idéia me vem a cabeça, sinto-me como se esti- vesse num beco sem saída e um Scania, a 120 por hora, sem motorista e com um carregamento de trilhos, viesse para cima de mim. Não que eu queira exagerar, mas eu desespero-me facilmente. Estou até pensando em ir a um psicólogo, mas antes quero estudar psicologia para saber o que ele vai estar achando da minha cara. Bom, voltando ao assunto, a crônica, eu verifico que estou sem as- sunto e o jeito é escrever mais algumas abobrinhas para fazer com que a professora perca mais tempo com o meu texto antes de passar para o se- guinte. Trazer a senhora até esta linha eu consegui, não adianta negar. E olhe bem, largar o texto agora por pensar que eu estou gozando da sua cara seria admitir que não conseguiu lê-lo até o fim. O que seria bom, pois eu não precisaria escrever mais. Eu sei que é uma afirmação idiota, mas eu precisava ocupar aquele espaço com alguma coisa. 3 É fácil descrever a Rose, além de ter um currículo semelhante ao do Manoel (orientador desta monografia, ver adiante), ela é irmã dele. 4 Colégio Técnico Industrial da UFSM. Eu cursei o segundo grau profissionalizante em mecânica industrial.
  • 27.
    25 Para terminar, eu poderia dissertar sobre a importância da cereja na menopausa da tartaruga ou sobre o tarecômetro do bagulhômetro impulsio- nado por um trequímetro, talvez até falasse sobre meu projeto de uma bomba atômica, inflável, com silenciador, impulsionada por um compressor de ar movido a vácuo, mas estes são assuntos muito longos e eu não tenho mais saco para escrever tanta besteira, portanto: - FIM. Depois disso achei que seria encaminhado para o serviço de orientação educacional ou coisa pior. Ao invés disso a professora escolheu a minha crônica como a melhor do colégio e me fez pagar o mico de lê-la em público. Achei que seria vaiado. Para minha surpresa, o tal público (colegas e outros professores) gostou. Comecei a descobrir pelo menos três coisas que eu fazia relativamente bem: correr riscos 5 , falar em público e escrever. Correr riscos, falar em público e escrever. Por um lado, posso dizer que estas foram as metodologias mais utilizada durante meus três últimos anos em Santa Maria. Mas, por outro lado, há uma maneira mais técnica de falar sobre isso: 3.2 METODOLOGIA EM SI Quando olho os rascunhos, anotações e diários de campo não sei bem se estou descrevendo, participando ou agindo. Com esta dúvida em mente busquei suporte nos conceitos de estudo descritivo, pesquisa participante e pesquisa-ação, que serão correlacionados para a apresentação dos resultados. 3.2.1 ESTUDO DESCRITIVO Os estudos não experimentais são usados para construir o quadro de um fenômeno ou explorar acontecimentos, pessoas ou situações na medida em que eles ocorrem naturalmente (LOBIONDO e HABER, 2001). Os estudos descritivos exploratórios figuram na categoria mais ampla dos desenhos não experimentais. Eles coletam descrições detalhadas de variantes e 5 Eu era o típico aluno tímido, bem comportado, que não faltava aula, não se atrasava e corria atrás de boas notas, mas às vezes fazia coisas como escrever esta crônica e escalar o arco do pórtico de entrada da UFSM..
  • 28.
    26 usam os dadospara justificar e avaliar condições e práticas decorrentes ou planejar intervenções para melhorar as práticas em saúde existentes. Segundo Pereira (2005), um estudo descritivo é aquele que tenciona estimar apenas parâmetros de uma população sem a necessidade de elaborar hipóteses de estudo. Será sempre o primeiro passo da investigação. Dele podem nascer as hipóteses que serão estudadas em trabalhos analíticos. Como nessa monografia estou descrevendo os últimos três anos de trabalho em SM, a metodologia de um estudo descritivo exploratório poderia dar conta dos objetivos propostos, na forma de um relato de experiência ou até mesmo de um relatório. Mas não é assim tão simples (nem tão fácil). Com certeza estarei trabalhando com os elementos de um estudo descritivo, mas quando tenciono relacionar produção científica com produção política e, conseqüentemente as alterações (resultados) que isto provocou no âmbito da saúde de SM, bem como na minha subjetividade e na daqueles que também vivenciaram a experiência, estarei entrando no campo da pesquisa social. Para tanto, busco as seguintes referências: 3.2.2 PESQUISA PARTICIPANTE - PP E PESQUISA-AÇÃO – PA Para Gianotten e Wit (1987), pesquisa participante: (...) é um enfoque de investigação social por meio do qual se busca a plena participação da comunidade na análise de sua própria realidade com o objetivo de promover a participação social para o benefício dos participantes da investigação. Estes participantes são os oprimidos, os marginalizados, os explorados. Trata-se, portanto, de uma atividade educativa, de investigação e ação social. Thiollent (1987) coloca como necessária uma distinção entre PP e PA, pois para este autor, a PA é uma forma de PP, mas nem toda PP é uma PA. A PP se preocupa com o papel do pesquisador dentro da investigação, problematizando a relação investigador / investigado e a PA, além disso, centra sua atenção na relação entre a investigação e a ação dentro da situação considerada. Esta última é, pois,
  • 29.
    27 um tipo depesquisa centrada na questão do agir. Para o mesmo autor (1992), pesquisa-ação: (...) trata-se de um tipo de pesquisa social com base empírica que é concebida e realizada em estreita associação com uma ação ou com a resolução de um problema coletivo e no qual os pesquisadores e os participantes da situação ou do problema estão envolvidos de modo cooperativo ou participativo. Cheguei a SM em 2003 com uma pesquisa-ação na bagagem. Como residente de terceiro ano – R3 da Escola de Saúde Pública – ESP eu havia recebido da direção da escola a missão de implantar uma RIS no interior. Já nos primeiros contatos percebi que isso era impossível. Ninguém em SM tinha a menor idéia do que era uma RIS. Residência era um termo exclusivamente médico e não passava pela cabeça de ninguém sequer discutir isso. Não havia massa crítica. Era necessário começar como o “Incrível Exército de Brancaleone” e arrecadar os colaboradores pelo caminho. Neste ponto, parti para uma pesquisa participante. Os participantes desta pesquisa (grupo que me inclui) não foram os, habitualmente oprimidos camponeses, operários ou minorias étnicas, mas sim especialistas, mestres e doutores que guardavam (e guardam) uma relação de opressão, marginalização e exploração frente a um sistema hegemônico que, muito antes de ser médico-centrado e hospitalocêntrico já era mercado-centrado. Estes participantes foram convidados a vivenciar de forma crítica (e educativa) a sua própria realidade profissional, um SUS cujos princípios e estruturas de regulação e financiamento eram algo vago e distante. Tão distante que chegavam a acreditar não fazer parte dele. Como ferramenta de imersão teórico-prática na realidade profissional foi utilizado um curso de preparação de preceptores para uma futura RIS. A descrição deste curso, desde o seu planejamento, passando por sua negociação política e chegando aos resultados de sua implementação prática demonstrará tanto a criação de laços de confiança e colaboração entre pesquisador e pesquisados, como de focos de resistência à idéia da RIS.
  • 30.
    28 No final de 2003, o curso gerou massa crítica suficiente para uma pesquisa- ação: a implantação de uma RIS e, também, um movimento contrário que conseguiu derrubar a idéia em 2005 (ou, quem sabe, apenas retardar um pouco um processo inevitável). Thiollent (1987), diz que a PA pode ser concebida como procedimento de natureza exploratória e os resultados da exploração podem ser úteis para elucidar a ação. Elucidar a ação é o foco do objetivo geral deste trabalho. A ação em questão, a tentativa de implantação de uma RIS, necessita ter desveladas e detalhadas as suas estratégias e caminhos, registrando também os projetos que foram elaborados e não implementados, de forma a devolver este material a todos os participantes e gerar um ponto de partida para tentativas futuras. Não se trata, portanto, de uma simples descrição sistemática de dados e de fatos, mas de um desvelamento técnico e subjetivo (passional) de uma ação que requereu incremento de teoria (pesquisa), divulgação de cultura em formação de recursos humanos (educação local) e alterações marcantes nas regras do jogo da saúde (genoprodução, MATUS, 1994). 3.2.3 DESENHO DA MONOGRAFIA Pelo exposto acima, opto pelo desenho de uma pesquisa-ação com atravessamentos metodológicos descritivos e participantes que, em algum momento, poderia ser vista como uma pesquisa participante, com componentes de pesquisa- ação e estudos descritivos (muito embora eu reconheça que alguns poderão optar pela leitura de um estudo descritivo com temperos de pesquisa participante e pesquisa-ação).
  • 31.
  • 32.
    30 4 ALGUNS CONCEITOS PRELIMINARES Como dito na metodologia RIS, em 2003, era um conceito que absolutamente não existia na cabeça da grande maioria dos santa-marienses 6 . Integralidade era uma concepção apropriada por poucos. Mesmo Medicina de Família era apenas uma referência nostálgica aos médicos do passado que iam de casa em casa, quase sempre a cavalo. E SUS, infelizmente, não passava daquele paciente chato que abarrotava o pronto socorro. Foi dentro deste contexto que comecei a trabalhar. Hoje, após três anos, o cenário está bastante diferente. Não digo que fui o grande arauto da mudança de um paradigma, até porque muitas e muitas pessoas são necessárias para mudar um paradigma. O fato é que este foi um dos efeitos colaterais interessantes: hoje, em função de tudo o que foi feito, estas muitas e muitas pessoas, em SM, estão apropriadas dos conceitos discutidos abaixo e de vários outros que virão a baila no decorrer da narrativa. Quanto à utilização dada a estes conceitos... Bem, esta é outra estória. A seqüência com que os conceitos abaixo estão dispostos imita a estrutura do discurso que utilizei para popularizar a idéia da RIS e das idéias correlatas a ela. Vale o posicionamento temporal descrito na introdução. 4.1 RESIDÊNCIA, RESIDÊNCIA INTEGRADA E MODELO PEDAGÓGICO O primeiro passo foi desmistificar a exclusividade médica sobre o termo residência. Como ainda não estávamos no período de histeria multiprofissional de 6 Mais tarde, pude perceber que a ignorância local em relação a RIS foi um fator de proteção para a idéia, que perdurou até dezembro de 2003, quando o grupo oriundo do curso de preceptores resolveu alçar asas e granjeou as primeiras resistências mais sérias.
  • 33.
    31 caça às bruxas,desencadeada pela discussão do ato médico 7 , isso foi relativamente fácil. Na época, utilizei a seguinte argumentação: Em primeiro lugar, vamos passear pelos conceitos de residência, ensino em serviço e residência integrada em saúde: O termo residência, sedimentado por seu uso na área médica, refere-se a uma modalidade de especialização latu sensu centrada na idéia de ensino em serviço, onde o pós- graduando imerge em atividades práticas de sua ênfase de aprendizado, sob a supervisão presencial de um profissional experiente (preceptor). Conforme Feuerwerker (1998) a residência possui um duplo papel: complementar a graduação e oferecer especialização. O ensino em serviço subentende assistência concomitante ao aprendizado, tanto prático como teórico. A Lei de Diretrizes e Bases da Educação Nacional (Lei Federal 9.394/96), em seus artigos de 39 a 42, afirma que a preparação para o trabalho poderá ser desenvolvida em articulação com o ensino regular ou por diferentes estratégias de educação permanente, em instituições especializadas ou no ambiente de trabalho. O ensino em serviço para a formação de profissionais, dentro da ótica de criação de uma cultura local em saúde pública e coletiva, ou seja, a construção do conhecimento novo, segundo Freire, (1976), tem que necessariamente partir dos conhecimentos e experiências prévias destes profissionais. Para adultos (FEUERWERKER ET AL, 2000), “o motor da aprendizagem é a superação de desafios, a resolução de problemas.” O uso de metodologias ativas de ensino-aprendizagem perpassa o ensino em serviço, colocando o estudante frente a desafios concretos e na posição de sujeito do ato de construção do conhecimento. O professor ocupa a posição de problematizador/facilitador do processo de educação e ambos, professor e aluno, passam pelo ato de aprender a aprender e aprender a ensinar. Conforme Ceccim e Feurwerker (2004) existe uma diferença fundamental entre educação continuada e educação permanente: (…) enquanto a educação continuada aceita o acúmulo sistemático de informações e o cenário de práticas como território de aplicação da teoria, a educação permanente 7 Veja um interessante e atual debate sobre este tema em: http://www.scielo.br/scielo.php?script=sci_issuetoc&pid=1413-812320050005&lng=pt&nrm=iso (retirado em 13/01/2006).
  • 34.
    32 entende que o cenário de práticas informa e recria a teoria necessária, recriando a própria prática. (…) A lógica da educação permanente é descentralizadora, ascendente e transdisciplinar. Não vou entrar no mérito de quem defende um ou outro conceito, seria o mesmo que perguntar para um médico de família se ele usa o termo atenção primária ou atenção básica em saúde ou perguntar para duas pedagogas se o melhor termo é formar ou capacitar alguém. O que me importa é a filosofia de educação contida na citação acima, que vai ao encontro das idéias de Ferla (2002), segundo o qual também se faz necessária uma pedagogia mestiça, capaz de considerar a alteridade, de se misturar, de se mestiçar no processo pedagógico, se alterando ao mesmo tempo em que altera. Finalmente, segundo Ceccim e Ferla (2003), Residência Integrada em Saúde é: (...) constituída como uma modalidade de educação profissional pós-graduada multiprofissional, de caráter interdisciplinar, desenvolvida em ambiente de serviço, mediante educação pelo trabalho, mantendo orientação técnica direta e orientação docente em sala de aula. (...) cumprir o desígnio de uma reforma das residências médicas para se adequarem à reforma sanitária nos moldes brasileiros: trabalho em equipe multiprofissional, interdisciplinaridade, especialização em serviço, base epidemiológica para o planejamento, utilização da educação popular em saúde para a interação com os grupos sociais, mediando-se pela satisfação do usuário. 4.2 A TRANSDISCIPLINARIDADE E OS LIMITES PROFISSIONAIS A RIS é uma ampliação do conceito de residência. Além das práticas de núcleo de sua área, o pós-graduando toma contato, de forma integrada, com outros núcleos de especialidade, dentro da sua área profissional e, mais além, integra-se com núcleos de outras áreas profissionais, através de um gradiente multi-inter-transdisciplinar (JAPIASSU, 1976), agregando todos no campo da saúde. Estando introduzido o conceito de Residência Integrada, era necessário discutir bem esta integração. Como na maioria dos lugares, o médico e o hospitalo- centrismo eram as palavras da hora (zeitgeist): Os dados dos relatórios de gestão e da produção científica local, apontavam, em 2002, para 57,66% das consultas médicas, realizadas na rede pública do município, ocorrendo nos serviços de pronto atendimento. Nas
  • 35.
    33 equipes de saúde45,53% eram médicos, 27,44% auxiliares de saúde, 12,34% enfermeiros, 7,4% dentistas e sobravam apenas 7,25% para os demais membros da equipe (psicólogos, assistentes sociais, nutricionistas, fisioterapeutas e farmacêuticos) (SANTA MARIA, 2002). Era necessário exorcizar o demônio da eterna briga entre o “doutorzão” e a “enfermeirosa”, ou da clínica médico-centrada versus a administração enfermeiro- centrada, uma polarização que, por si só, excluía todas as demais profissões do debate: Falemos agora deste gradiente e de sua interação com os conceitos de campo e de núcleo: A multiprofissionalidade, ou seja, a presença de profissionais de várias áreas de conhecimento trabalhando juntos no mesmo espaço, pode ocasionar saltos (sublimações) em direção à interdisciplinaridade - ou seja, à troca de informações e conhecimentos entre esses profissionais – e/ou em direção à transdisciplinaridade, onde há aquisição de saberes, experiências e valores, respeitadas as especificidades, entre os elementos envolvidos. Esta permuta contínua infla e borra os limites profissionais. Os profissionais se transformam num caminho de duas vias, pois a troca, ao mesmo tempo em que empodera e dá responsabilidades ao receptor, gera confiança e aceitação no transmissor. Exemplificando, o médico deixa de ser apenas médico, o enfermeiro deixa de ser apenas enfermeiro e assim, sucessivamente, todos alcançam o status de profissionais da saúde, integrantes de uma equipe de saúde. Claro que há limites para isso. Todo autor faz a sua figurinha para exemplificar o conceito de multi-inter-trans. Não fujo a regra. A Figura 1, além de demonstrar este gradiente, também mostra os desagradáveis extremos da hegemonia uniprofissional e da perda de identidade profissional. MULTI INTER TRANS Figura 1 – O Caminho do meio: O gradiente multi-inter-trans e os extremos da hegemonia uniprofissional e da perda da identidade profissional.
  • 36.
    34 Estes limites profissionais foram tratados dentro dos conceitos de campo e núcleo: Conforme Campos (1997): (...) o núcleo 8 de responsabilidade de cada profissional indica uma identidade: o compromisso com certo saber e com um conjunto de práticas e tarefas. O campo, uma ampliação situacional do núcleo, orientada pela necessidade de se cumprirem objetivos acordados em um dado contexto, ou seja, a definição de campo depende da existência de recursos (financeiros, técnicos, humanos, etc.). A co-gestão de campo e de núcleo é uma forma de assegurar, na prática, o trabalho interdisciplinar, discutindo e recompondo, de modo permanente, a distribuição de encargos e a circulação de saber em uma equipe. A co-gestão do campo e do núcleo dos vários papéis profissionais põe em questão o saber monopolizado pelos especialistas, a negociação das responsabilidades e o encargo de tarefas; democratizando, em decorrência, o poder. O conceito de campo não significa que enfermeiros ou nutricionistas irão brincar de médico, nem vice-versa. O campo é um pacto de confiança entre profissionais de áreas diferentes que para ser firmado exige no mínimo, convivência e diálogo. São os saberes de meu núcleo profissional que posso transferir para outrem, sem ferir nenhum preceito da minha ética profissional, para que possamos realizar tarefas conjuntas com maior resolutividade. Da mesma forma, é tudo que posso aprender com meus colegas sem invadir suas áreas profissionais, mas acrescentado qualidade as minhas condutas. Não significa que todos poderão se meter a fazer neurocirurgia, como alguns paranóicos temem, mas coisas mais simples como um médico aprender a fazer a higiene umbilical de um recém nascido com a enfermeira de sua equipe. Este mesmo médico pode ensinar noções do mecanismo da dor para facilitar o trabalho de uma psicóloga que esteja acompanhando um paciente depressivo com hérnia discal, afinal os dois estarão vendo o paciente em conjunto. O limite do campo é, portanto, um limite de confiança em constante construção e reformulação. No exercício prático destes conceitos é possível formar grupos de trabalhadores capacitados para migrar da visão médico-centrada, passando por uma visão centrada no paciente para chegar a um estado mais avançado, ou seja, a implementação de novos modelos 8 Os grifos são meus.
  • 37.
    35 de saúde, ondetodos os atores, inclusive os usuários (na forma do controle social), atuem lado a lado para a produção da saúde (Figura 2). Us M Fon Fis Enf Saúde Nut Od SS Psi Pac M Fis Fon Fis Fon Nut M Enf Nut Pac Enf SS Od SS Od Psi Psi Figura 2 – Evolução dos modelos de saúde. Partindo do modelo médico- centrado, passando pelo modelo paciente-centrado e chegando ao modelo centrado na produção de saúde, onde o paciente figura como um usuário participante através do controle social. Enf=enfermagem; Fis=fisioterapia, Fon=fonoaudiologia; M=medicina; Nut=nutricionista; Od=odontologia; Pac=paciente Psi=psicologia; SS=Serviço social; Us=usuário. Animação Esta figura gerou um grande frisson nas primeiras vezes em que a apresentei em SM. Era uma novidade um médico ser o portador deste tipo de discurso. A princípio parecia óbvio que isso me traria problemas com os médicos e facilitaria as coisas com as demais profissões. Mais tarde, veremos que se formaram grupos simpáticos e antipáticos à idéia, entretanto sem nenhum preconceito de categoria. A figura, além de cometer a heresia de colocar o médico no mesmo nível dos outros profissionais, ainda convidava um paciente para fazer parte desta roda e o elevava ao patamar de usuário com direito de voz 9 . Isto chamava atenção para o temido “Controle Social” que era visto como uma instância policialesca de esquerda. 9 Segundo Levorin (2001), para os gregos, na democracia, o governo era feito por iguais. Neste ponto é bom lembrar que os iguais, os que tinham direito a voz, eram somente os cidadãos gregos. O resto eram os escravos e as mulheres. Ter direito a voz é uma das prerrogativas da cidadania. Claro que é necessário querer ter este direito e assumir os decorrentes deveres.
  • 38.
    36 Era necessário, portanto,exorcizar mais este demônio e incluir este conceito no discurso. Aí complicou mais ainda. Controle social? Princípios do SUS? SUS? Para não tornar este tópico extenso demais, se você, como muitos habitantes de SM, não tem a menor idéia do que é o SUS, de onde ele veio e para que ele serve, dê uma espiada no Apêndice A - UM PASSEIO PELO SUS, caso contrário siga lendo abaixo. 4.3 A REFORMULAÇÃO DO MODELO DE ATENÇÃO Para reforçar a idéia da Figura 2 e também a idéia de reformulação de modelo de atenção, foram utilizados os seguintes conceitos: Clínica ampliada 10 : Considera-se que todo profissional de saúde que atende ou cuida de pessoas realiza clínica, havendo, portanto, várias modalidades de clínica: a do enfermeiro, do psicólogo, do médico, etc. Clínica ampliada é a redefinição (ampliada) do “objeto, do objetivo e dos meios de trabalho da assistência individual, familiar ou a grupos”. Considerar que o “objeto de trabalho” da assistência à saúde é uma pessoa, ou um grupo, ou uma família, ou um coletivo institucional, com doença ou risco de adoecer. O novo modelo de trabalho visa superar a clínica tradicional que toma como objeto somente a doença. Construir, portanto, um objeto ampliado para o trabalho da clínica: tomar o sujeito enfermo ou com possibilidade de adoecer e não somente a doença. E ainda outra ampliação: considerar não somente um paciente, mas também o grupo de sujeitos (a família e outros coletivos, uma classe, um agrupamento institucional) como objeto da clínica ampliada. De qualquer forma, no horizonte, não há como fugir da evidência de que o objeto de trabalho inclui a doença, ainda quando como uma possibilidade remota; a saúde é o objetivo, o resultado almejado (CAMPINAS, 2001); Acolhimento e responsabilização: São conceitos amplos e que exigem mudança de postura em todo o sistema de saúde, no sentido de receber os casos e de responsabilizar-se de modo integral por eles. Acolher é receber bem, ouvir a demanda, buscar formar de compreendê-la e solidarizar-se com ela. Desenvolver maneiras adequadas de receber os distintos modos com que a população busca ajuda nos serviços de saúde, respeitando o momento existencial de cada um sem abrir mão de colocar limites necessários (CAMPINAS, 2001); 10 Para Ferla (2002), também é necessária uma clínica nômade, que cartografe a clínica, passeando por seus vários territórios e diversos atores.
  • 39.
    37 Sistema de co-gestão: Consideramos que o SUS tem três objetivos básicos: a produção de saúde; a realização profissional e pessoal de seus trabalhadores; e a sua própria reprodução enquanto política democrática e sistema solidário. A gestão participativa reconhece que não há combinação ideal pré-fixada destes distintos interesses, e que é no exercício da co-gestão que se irão construindo contratos e compromissos entre os sujeitos envolvidos com o sistema. Operamos com a idéia de um sistema de co-governo: conselhos locais de saúde - coordenação, equipe e usuários compartilhando o poder; colegiados de gestão – o poder centrado na equipe interdisciplinar e não nas corporações; dispositivos variados – oficinas, reuniões por categoria profissional, sala de espera, assembléia com usuários, etc. - ; e, finalmente, gestão cotidiana democrática – com análise de temas e tomada de decisão envolvendo os interessados. Cada um destes Espaços Coletivos deve ser considerado deliberativo e tomar decisões no seu âmbito de governo e em conformidade aos contratos e diretrizes definidas (CAMPINAS, 2001). 4.4 INTERINSTITUCIONALIDADE, REDES E NECESSIDADE DE ASSOCIAÇÃO Construir uma RIS era algo complexo e caro demais para ser tratado por uma única instituição ou nível de governo. O embasamento para a realização de um movimento interinstitucional foi dado pelo seguinte discurso: O SUS é um organismo que deve se retroalimentar para garantir sua manutenção, ou seja, ao mesmo tempo que é construído por sujeitos, deve construí-los, empoderá-los, construindo cidadania. O aumento da capacidade instalada e da complexidade do sistema, levando em consideração o fator humano como principal sustentáculo do SUS, torna imprescindível um sistema de formação de recursos humanos. No momento em que o SUS busca, e alcança, uma mudança significativa no modelo de atenção em saúde, o mesmo passa a ser necessário no modelo de educação em saúde. O novo modelo de saúde que se apresenta, um modelo mutante, como apregoava em seus discursos, o ex-Secretário Executivo do Ministério da Saúde, Gastão W. S. Campos, é um modelo capaz de absorver as várias tecnologias (principalmente as leves) e se configurar e re- configurar de acordo com as necessidades locais de saúde, que por sua vez também são dinâmicas.
  • 40.
    38 Não basta apenas formar os profissionais que alimentarão e darão sustentação a este sistema, temos que, permanentemente, educá-los, permanentemente municiar suas “caixas de ferramentas” (FERLA, 2002). O SUS é complexo demais para ser concretizado por poucas pessoas, poucas áreas profissionais ou poucas instituições. A transdisciplinaridade, a intersetorialidade e a interinstitucionalidade são vitais para a consecução plena dos princípios doutrinários e organizativos do sistema. Neste ponto, o conceito de rede é importante. Segundo Feuerwerker et al (2000): (...) a proposição de rede traz em si a idéia de articulação de conexão. As redes são formas de organização multicêntricas, cujos múltiplos nós constituem-se nos lugares de articulação, e a propulsão do conjunto não está localizada em um lugar fixo. Existem, sim, nós de maior densidade, que, em determinadas situações conjunturais, tornam-se mais visíveis ou ativos. Trata-se, portanto, de heterogeneidades que se articulam e se organizam. Apesar de nesse processo estarem envolvidas instituições e projetos, são sempre pessoas que articulam e conectam. ‘São sempre pessoas que constroem vínculos’ (Rovere, 1998). Pelo mesmo texto, a unidade básica do vínculo é a relação entre sujeitos e o vínculo se desenvolve em diferentes níveis de complexidade: reconhecimento do outro, como par, como interlocutor, com direito a existir e a emitir opiniões; conhecimento: quem é o outro e como ele vê o mundo; depois de conhecido o outro, criam-se vínculos de reciprocidade e colaboração; cooperação: processo mais complexo, implica a existência ou a identificação de um problema comum e uma forma sistemática e estável de atividades; associação: contratos ou acordos e utilização conjunta de recursos. Esta relação de vínculos e de parcerias relativas ao conceito de redes, geram as condições de desenvolvimento de intersetorialidade e interinstitucionalidade necessárias ao SUS. Não se trata de relações instituídas por programas verticais, emanados de um nível central totipotente, mas sim desenvolvidas a partir de sujeitos, em direção às instituições, passando pelos diversos setores. As articulações interinstitucionais necessitam ser providenciadas e apoiadas pelo SUS de modo que, uma articulação interinstitucional para a educação permanente, com uma gestão colegiada, quebre a regra da verticalidade única e hierarquizada nos fluxos organizativos e venha para superar a racionalidade gerencial hegemônica e a tradicional concepção educativa dos treinamentos para pessoal de serviço.
  • 41.
    39 4.5 O QUADRILÁTERO Por fim, busquei o modelo que iria utilizar para a construção de relações fortes de vínculo interinstitucional e intersetorial: Vamos agora, ao conceito do quadrilátero da formação para a área da saúde: ensino, gestão, atenção e controle social, desenvolvido por Ceccim e Feuerwerker (2004). Por este referencial, a formação de recursos humanos para o SUS, considerando nível médio, graduação e pós graduação, está integrada com as diretrizes da gestão local de saúde e as necessidades comunitárias de atenção, sob a luz do controle social, de modo que: (...) as instituições formadoras não possam existir independentemente de regulação pública e da direção política do SUS, uma vez que este Sistema está constitucionalmente comprometido com o ordenamento da formação e submetido ao controle social. (...) A noção de gestão colegiada 11 , (...) coloca a todos como convidados de uma operação conjunta em que todos usufruem do protagonismo e da produção coletiva. Sai a arquitetura do organograma para entrar a dinâmica da roda. Sem a pirâmide composta por uma base larga de municípios, depois os estados nos níveis intermediários e, no topo, a União – um desenho clássico de comando -, abre- se o desafio que permite a entrada das instituições formadoras, do movimento estudantil e do movimento popular. Todos os que entram na roda têm poderes iguais sobre o território de que falam. A união e os estados teriam de problematizar para a si a função de coordenação descentralizadora e os municípios e as instituições formadoras a função execução significativa para o Sistema e não para a produtividade intelectual e assistencial. Enquanto os últimos são os lugares de produção da atenção aos grupos sociais territorializados, os anteriores são os apoiadores de ativação para que esta atenção seja integral e resolutiva. O pré-projeto de implantação da RIS chegou a ser denominado de: “DO TRIPÉ AO QUADRILÁTERO”, por razões que veremos adiante. Os conceitos acima foram reunidos como um arcabouço de sustentação para o início e continuidade dos trabalhos. Novos conceitos que foram sendo agregados na medida em que se tornaram necessários serão apresentados no decorrer do texto. 11 O grifo é meu.
  • 42.
    40 5 A ESTRUTURA DA RIS 5.1 ESTUDO DA LOGOMARCA Antes da estrutura em si, vou me dar ao luxo de um pouco de nostalgia. A RIS chegou a ter uma logomarca. O projeto gráfico foi da minha mulher. Fizemos a interpretação juntos e contamos com palpites de vários colaboradores. Alguns disseram que ficou colorido demais e até brega, mas posso dizer que entre tantos detalhes, paramos para pensar até nisso. As cores do país (azul, verde e amarelo), mescladas com as cores do estado (vermelho, verde e amarelo) 12 . A letra S é formada por um lenço Maragato 13 tremulando sob o vento Minuano 14 15 . R de residência; I de integrada, integração, integralidade S invertido 16 , significando a transformação do modelo de saúde, tudo integrado no R da residência. Figura 3 – Logomarca da RIS. 12 Realmente, ficou colorido demais. 13 Para um pouquinho de história gaúcha, dê uma olhada no Anexo A. 14 Vento sul, frio e cortante, presente em todos os momentos da história gaúcha. 15 É, aqui talvez tenha ficado um pouco brega, mas na época parecia bastante poético. Não deu para resistir. 16 Isto foi idéia do Manoel, referenciando também a saúde mental.
  • 43.
    41 5.2 ESTRUTURA EM SI 5.2.1 ALGUMAS VANTAGENS O projeto da RIS tinha a pretensão de transformar SM num centro de referência de formação de recursos humanos para o SUS. A RIS daria conta de especializar os profissionais que já estavam trabalhando no Programa de Saúde da Família - PSF, além de prover profissionais para a ampliação do programa. Iria trazer para o município recursos do Ministério da Saúde - MS para o custeio das bolsas dos residentes e dos preceptores (na ordem de dois milhões de reais por ano). O custo anual destas bolsas, se fosse calculado por habitante das áreas de abrangência da RIS, ficaria em R$ 24,80. Abriria a possibilidade de especializações de nível médio. A RIS acrescentaria na rede municipal, entre preceptores, residentes e especializandos de nível médio, em torno de 150 profissionais 17 , de 17 áreas diferentes. A população da área de abrangência teria atendimento integral a poucos metros de casa. 5.2.2 DA DURAÇÃO E CARGA HORÁRIA O tempo de duração da residência seria de 24 meses por turma. Cada conjunto de 12 meses totalizaria por volta de 2.900 horas, num total geral de 5.800 horas. A carga horária semanal seria de 56 horas, distribuída da seguinte maneira: 17 Considerando uma SMS que conta com 200 médicos em seu quadro.
  • 44.
    42 40 horas de treinamento em serviço; 12 horas de eixos teóricos; 4 horas de atividades práticas extras. 5.2.3 DAS ÊNFASES A RIS seria dividida, para fins didáticos e administrativos, em três ênfases que, na prática, funcionariam de forma imbricada, interdependente e sinérgica: a) Atenção Primária em Saúde - APS; b) Saúde Mental na Atenção Primária - SMAP; c) Gestão de Sistemas e Serviços de Saúde - GSSS. 5.2.4 DAS ATIVIDADES Para uma descrição minuciosa das atividades de um residente, tanto teóricas quanto práticas, basta ver no Apêndice B, o projeto para residência em Medicina de Família e Comunidade - MFC, segundo as normas da Comissão Nacional de Residência Médica - CNRM. Ainda tivemos tempo de concluir este projeto antes do cancelamento político dos trabalhos. Este modelo seria adotado por todas as profissões, dentro das características e adaptações necessárias para cada núcleo profissional. 5.2.5 DOS ESPAÇOS E ATORES a) Equipes Simples: equipes de Estratégia de Saúde da Família - ESF (enfermeiro, cirurgião-dentista, médico e dois técnicos de enfermagem) sem residentes, mas dentro do espaço territorial coberto pela residência, usufruindo do contato com os residentes e das estruturas de apoio à residência.
  • 45.
    43 b) Equipes Duplas: formadas por uma equipe de preceptores 18 de ESF e por uma equipe de residentes 19 de ESF. Seriam responsáveis pelo dobro do contingente populacional de uma equipe simples. c) Equipe Volante: uma equipe reserva de ESF, para dar suporte em casos de ausências de algum preceptor ou residente (férias, doença, maternidade, não preenchimento de alguma vaga de residente, etc.). d) Equipes Matriciais: sediariam preceptores e residentes da ênfase de SMAP (educação artística, educação física, psicologia, psiquiatria, e terapia ocupacional), bem como suplementares da ênfase de APS (farmácia, fisioterapia, fonoaudiologia, nutrição, serviço social). e) Unidades Secundárias e Terciárias: local onde os supervisores 20 receberiam os residentes para as atividades de assistência ou gerenciamento no nível secundário e terciário (pronto socorro, unidades de diagnóstico e terapia secundárias, unidades administrativas e de controle social, entre outras). f) Secretaria Municipal de Saúde: Sede dos preceptores e residentes da ênfase de GSSS. g) Infra-estrutura para os eixos teóricos: local de atuação dos professores 21 onde os residentes receberão as aulas teóricas. 5.2.6 DAS ÁREAS PROFISSIONAIS POR ÊNFASE a) Atenção Primária em Saúde: • Enfermagem • Farmácia; 18 Profissionais da rede municipal, ou contratados especialmente para este fim, das áreas de competência de cada ênfase, com perfil para trabalho em saúde pública e qualificação técnica necessária para realizar assistência à comunidade e acompanhamento integral às atividades dos residentes no que diz respeito à assistência e ao ensino-pesquisa. 19 Profissionais graduados nas áreas de competência de cada ênfase, selecionados através de processo seletivo que constaria no mínimo de: análise de currículo e autobiografia, prova objetiva e entrevista individual. Os residentes médicos seriam selecionados dentro dos critérios da Comissão Nacional de Residência Médica; 20 Profissionais da rede municipal ou das unidades conveniadas ao SUS ou ao projeto da RIS, capacitados para acompanhar os residentes nas atividades de assistência e gerenciamento que ocorrerem fora da área de abrangência. 21 Profissionais de notório saber, capacitados a ministrar as atividades dos eixos teóricos, provenientes do grupo de preceptores, supervisores ou contratados/convidados especialmente para este fim.
  • 46.
    44 • Fisioterapia; • Fonoaudiologia; • Medicina; • Nutrição; • Odontologia; • Serviço Social. b) Saúde Mental na Atenção Primária: • Educação artística; • Educação Física. • Psicologia; • Psiquiatria; • Terapia Ocupacional. c) Gestão de Sistemas e Serviços de Saúde: • Administração; • Ciências da Computação; • Medicina Preventiva e Social; • Campo aberto. 5.2.7 DA DINÂMICA DAS ÊNFASES, DOS ESPAÇOS E DOS ATORES Para que os custos das ênfases fossem sobreponíveis pelas vantagens geradas seria necessária a cobertura de dois eixos cardeais do município (a princípio, leste-oeste), com uma abrangência populacional mínima de 60.000 habitantes (30.000 em cada eixo), de modo que uma equipe de GSSS desse suporte para duas equipes matriciais, que por sua vez, apoiariam, cada uma, de uma a duas equipes duplas e várias equipes simples de saúde da família. As equipes duplas de saúde da família seriam formadas por uma equipe de preceptores (enfermagem, medicina e odontologia) e uma equipe de residentes, sendo dois residentes de primeiro ano para cada preceptor. Cada equipe seria
  • 47.
    45 responsável por, aproximadamente,4.500 habitantes distribuídos em seis micro áreas. Cada residente teria sob sua responsabilidade por volta de 2.250 habitantes em três micro áreas. Nas equipes matriciais ocorreriam as atividades que necessitassem de maior densidade tecnológica (forno ou ultra-som em fisioterapia, sala asséptica para tratamento de canal em odontologia, sala de pequenas cirurgias em medicina, p.e.). As equipes de SMAP e suplementares de ABS dariam cobertura, de forma itinerante 22 , às equipes duplas e simples de saúde da família, na sua área de abrangência, realizando atividades onde o recurso humano seja a ferramenta essencial de trabalho, como assessoria, atendimento individual, interconsultas, grupos e demais atividades comunitárias. A equipe de GSSS trabalharia de forma itinerante no eixo Secretaria Municipal de Saúde - Equipes Matriciais - Equipes Duplas - Equipes Simples, constituindo-se um importante órgão de assessoria e logística, tanto para o gestor, quanto para os trabalhadores de saúde. O campo aberto 23 seria ocupado por dois residentes de qualquer área profissional de nível superior, interessados em GSSS e que lograssem êxito no processo seletivo (farmácia, geografia, medicina preventiva, medicina veterinária, psicopedagogia, sociologia, etc.), de modo a gerar uma ampliação de campo e formar gestores para o SUS. Estariam sob a tutela dos preceptores das demais áreas da ênfase de GSSS. Ver Figura 4 e Figura 5. 22 As equipes mambembes, como dizia o Nilson. 23 Esta foi outra heresia proposta na época.
  • 48.
    46 SECRETARIA MUNICIPAL DE SAÚDE EIXO OESTE EIXO LESTE Equipe Equipe simples simples Equipe Equipe Equipe Equipe simples simples simples simples EQUIPE EQUIPE MATRICIAL MATRICIAL EQUIPE EQUIPE EQUIPE EQUIPE DUPLA 1 DUPLA 2 DUPLA 1 DUPLA 2 UNIVERSIDADE FEDERAL UNIVERSIDADES CONVENIADAS HOSPITAL UNIVERSITÁRIO HOSPITAIS E CENTROS DE REDE MUNICPAL SAÚDE CONVENIADOS Figura 4 – Distribuição espacial esquemática da RIS. SECRETARIA MUNICIPAL EIXO OESTE ~30.000 habitantes DE SAÚDE GESTÃO DE SERVIÇOS E SISTEMAS DE SAÚDE Administração Equipe simples Medicina Preventiva e Social ~4.500 hab. Ciências da Computação Campo aberto EQUIPE MATRICIAL OESTE ATENÇÃO PRIMÁRIA EM SAÚDE Farmácia Fisioterapia Fonoaudiologia Medicina Equipe simples Nutrição Equipe simples ~4.500 hab. Serviço Social ~4.500 hab. SAÚDE MENTAL NA ATENÇÃO PRIMÁRIA Educação artística Educação Física Psicologia Psiquiatria Terapia Ocupacional EQUIPE DUPLA 1 - ~9.000 habitantes EQUIPE DUPLA 2 - ~9.000 habitantes ATENÇÃO PRIMÁRIA EM SAÚDE ATENÇÃO PRIMÁRIA EM SAÚDE ESTRATÉGIA DE SAÚDE DA FAMÍLIA ESTRATÉGIA DE SAÚDE DA FAMÍLIA Enfermagem Enfermagem Medicina Medicina Odontologia Odontologia Figura 5 – Detalhamento das estruturas. Foi utilizado o eixo oeste como exemplo. Todas as áreas subentendem um preceptor e dois residentes, com exceção dos dois residentes de campo aberto.
  • 49.
    47 5.2.8 DA FORMA DE GESTÃO O Conselho Municipal de Saúde - CMS de Santa Maria, em reunião extraordinária no dia 29 de outubro de 2004, após receber o pré-projeto da RIS-SM, através de uma comissão de trabalho 24 , deliberou sobre o seguinte desenho de organograma (Figura 6) e gestão colegiada (Figura 7): Ministério da Saúde Promotor Trata da Residência MS Conselho Municipal Representação de todos os seguimentos envolvidos de Saúde Colegiado Gestor CGR CGR Executor Executor Prefeitura Minicipal Universidade Federal de Santa Maria de Santa Maria PMSM UFSM Fundação de Apoio à Tecnologia e Ciência FATEC Operador Financeiro Ações administrativas Arquivo Geral Secretaria Geral Gerenciamento de Informações SG Realiza registro e controle acadêmico Promove Processo Seletivo Sub-Secretaria Sub-Secretaria Sub-Secretaria Núcleo deCoordenação Colegiado Gestor COREME SNC SCG SSC Núcleo de Comissão de Residência Trata do Residente Coordenação Médica e Especialização Colegiado do Curso NC COREME Coordenação Pedagógica Gestor + docente + discente Coordenação Coordenação Coordenação Geral de Assistência de Ensino e Pesquisa CG CA CEP Promove trocas Academia-rede Responsável pela produção científica e tecnológica Articulações políticas com Promove trocas rede- todos os atores residência Visão de conjunto Trata dos preceptores Figura 6 - Organograma da RIS. A RIS seria gerida por um Colegiado Gestor - CG, com função de deliberação e fiscalização, cujos poderes seriam delegados pelo CMS, tendo este último poder de intervenção. O CG teria vinte membros titulares e igual número de suplentes. Os membros titulares seriam distribuídos em dois grupos (grupo 1 e grupo 2), conforme representado na Figura 7. 24 Esta comissão contou com usuários, trabalhadores da rede municipal e do PSF, gestores e profissionais da UFSM, todos conselheiros do CMS.
  • 50.
    48 Grupo 1 Grupo 2 T Us G PS Figura 7 – Distribuição e paridade do Colegiado Gestor. Us = Usuários; T = Trabalhadores de Saúde; G = Gestores; OS = Prestadores de Serviços. O grupo 1 seria composto por dez usuários da área de abrangência da RIS, indicados pelo CMS, podendo ou não serem conselheiros municipais de saúde, representando 50% do total de membros. O grupo 2 teria 50% de representação de trabalhadores de saúde e 50% de representação distribuídos entre gestores e prestadores de serviços. A representação de trabalhadores de saúde teria a seguinte distribuição: • 1 representante do corpo de residentes; • 1 representante do corpo de preceptores; • 1 representante do corpo de supervisores/professores; • 1 representante dos trabalhadores de saúde do CMS; • 1 representante do Núcleo de Coordenação - NC da RIS. A representação de gestores teria a seguinte distribuição: • 1 representante municipal (Prefeitura Municipal de Santa Maria - PMSM); • 1 representante estadual (4ª Coordenadoria Regional de Saúde - 4ª CRS); • 1 representante federal (Universidade Federal de Santa Maria - UFSM). A representação de prestadores de serviços teria a seguinte distribuição:
  • 51.
    49 • 1 representante do nível secundário (Casa de Saúde); • 1 representante do nível terciário (Hospital Universitário de Santa Maria - HUSM). Submetido ao CG e com funções de execução, delegadas pelas instituições executoras, existiria um Núcleo de Coordenação – NC. O NC seria dividido em: Coordenação Geral – CG, com função de articulação e integração de todos os atores políticos e técnicos e visão de conjunto do processo; Coordenação de Atenção – CA, com função de integrar a rede de assistência com a RIS, além de gerir preceptores e insumos; Coordenação de Ensino e Pesquisa – CEP, com função de integração das instituições de formação com a RIS, controle dos residentes e produção científica. Os três componentes do NC seriam escolhidos por critério de qualificação técnica, sendo, preferencialmente, egressos de uma RIS. Seriam sugeridos em lista sêxtupla, pelas instituições executoras e aprovados pelo CG. Com função de colegiado de curso, existiria uma Comissão de Residência Médica e Especialização – COREME, com representação docente e discente de acordo com a CNRM e a Comissão Nacional de Residência em Saúde. Como órgão de apoio à RIS, existiria uma Secretaria Geral – SG, definida pelo CG, com funções administrativas de arquivamento geral, controle e registro acadêmico, promoção e controle do processo seletivo e gerenciamento de informações. A SG seria composta por três subsecretarias: • Subsecretaria do CG – SSCG; • Subsecretaria do NC – SSNC; • Subsecretaria da COREME – SSCOREME.
  • 52.
    50 5.2.9 DAS ESPECIALIZAÇÕES DE NÍVEL MÉDIO A RIS ainda previa uma possibilidade de expansão, com a implantação de especializações de nível médio, com um ano de duração (2.912 horas) e em regime de treinamento em serviço. Cada equipe dupla de saúde da família poderia vir a contar com dois técnicos de enfermagem especializandos em APS e cada equipe de SMAP com dois técnicos de enfermagem especializandos em SMAP. A equipe de GSSS poderia receber dois programadores e dois profissionais de campo aberto (técnicos em administração, p.e.). Com a RIS conceituada e situada, é interessante que eu faça o mesmo com o local onde ela seria implantada. É o que o leitor irá encontrar no tópico seguinte.
  • 53.
    51 6 MAS POR QUE SANTA MARIA? “E por que não?” Foi o que disse o pediatra, sanitarista Nilson Maestri Carvalho 25 (ainda não havia terminado o mestrado em administração em saúde) quando o procurei para que fosse meu orientador no projeto de implantação de uma RIS no interior. “E como tu pretendes fazer isso?” Foi a pergunta seguinte. Respondi: “Não sei bem. Ainda está tudo muito nebuloso, mas acho que é possível.” Ao que ele disse: “Ótimo, então senta aí e vamos começar”. Na verdade, a idéia de trazer uma RIS para Santa Maria já nasce em 2001 quando tenho que me deslocar para Porto Alegre – POA para me tornar médico de família. Isto ficou claro na autobiografia que escrevi para o processo seletivo do terceiro ano opcional de residência, o R3, que transcrevo no Apêndice C. O trecho também ilustra o entusiasmo e a ingenuidade que me embalavam na época, bem como algo do meu perfil pessoal. Quando o leitor chegar ao fim da monografia, vai estar se perguntando, como eu me pergunto: por que diabos retornei a SM e por que ainda insisto em ficar aqui. O Apêndice D pode ajudar nesta questão. 6.1 SITUAÇÃO GEOPOLÍTICA O trecho a seguir situa geopoliticamente o município de SM, além de evidenciar alguns problemas em cuja resolução a RIS poderia ser útil. Utilizarei o texto que, em 2003, serviu como justificativa para se ter o município como sede do projeto. Continuará valendo o esquema de tipos de letras para o posicionamento temporal. 25 O fato de ele ser um pediatra com quase dois metros de altura que usava um piercing na língua e trabalhava no Morro da Cruz pesou na minha escolha. Ele realmente tinha algo de diferente, de marginal e de subversivo, ou seja, o parceiro ideal para uma briga grande. De uma forma ou de outra, busquei este perfil nas associações que se seguiram.
  • 54.
    52 6.1.1 O PAPEL DO MUNICÍPIO NA EFETIVAÇÃO DO SUS Santa Maria ocupa o centro do estado do Rio Grande do Sul, tem uma população de 251.144 habitantes em sua sede (Censo, 2002), sendo pólo da 4ª CRS e da Macro-região Centro-oeste - MRCO, compreendendo um universo de aproximadamente um milhão e trezentos mil usuários do Sistema Único de Saúde. É interessante citar aqui que o município, após uma longa tradição de governos de direita, estava passando pelo terceiro ano de seu primeiro governo de esquerda (Partido dos Trabalhadores - PT). Nesta mesma época, com a saída do PT do governo estadual, a sede municipal da 4ª CRS passou a ser comandada pelo Partido do Movimento Democrático Brasileiro - PMDB. Vale lembrar, também, que a Secretaria de Município da Saúde - SMS, em três anos de governo, estava passando pela sua quarta secretária de saúde, a enfermeira, especialista em saúde pública Ilse Meinke Melo, figura que terá muita relevância no projeto. O município também abriga a Universidade Federal de Santa Maria - UFSM, com seu Hospital Universitário de Santa Maria – HUSM atendendo alta e média complexidade exclusivamente pelo SUS, cinco faculdades e centros universitários particulares, dois hospitais militares, dois hospitais particulares e um hospital de média complexidade conveniado ao SUS (Hospital Casa de Saúde), este último em processo de municipalização por iniciativa da atual gestão municipal que, por sua vez, encontra-se em transição da Gestão Plena da Atenção Básica Ampliada – GPABA para a Gestão Plena do Sistema de Municipal – GPSM. Dentro desta ótica, Righi (2001) nos coloca o município como território de formulação de políticas e não só de sua execução e encontra eco em Claus e Capra (2001) que sustentam que a definição da nova política tecnoassistencial posiciona como centro do sistema de saúde a rede básica e as necessidades reais de seus usuários. Muller e Possa (2001) concluem que a regionalização é um dispositivo de organização que pode potencializar e muito o objetivo final, que é assegurar o direito dos cidadãos à assistência à saúde.
  • 55.
    53 Por outro lado, Ceccim (2001) nos diz que a descentralização da formação 26 em saúde coletiva para as regiões do estado e a aliança com as universidades em cada região é capaz de ampliar a partilha de responsabilidades, comprometendo os diferentes atores sociais nas regiões. Ao assumir, a nova Secretaria Estadual de Saúde - SES definiu nove de suas doze metas prioritárias, incidindo diretamente sobre a APS e as restantes com forte influência indireta (Anexo B, sempre é bom guardar as promessas dos políticos), sendo que a primeira delas rezava: “1. Ampliação de equipes PSF/PACS 27 : O Estado somará recursos à União para passar de 400 para 1600 unidades.”. Um salto quantitativo de quatro vezes, portanto. Em direção contrária a esta meta temos a maior parte das vagas para formação específica em APS, centralizadas em POA. Considerando apenas as vagas existentes para residentes médicos de primeiro ano em 2003, das 93 vagas oferecidas no estado, 84 estavam em Porto Alegre (58 vagas no Grupo Hospitalar Conceição e 26 vagas na ESP). Das demais, quatro estavam em Caxias do Sul e cinco em Pelotas. Na linha da humanização, Fagundes (2001) enfatiza que os trabalhadores precisam ser formados em acolhedores cuidadores e zeladores e Ceccim e Armani (2001) nos dizem que: (...) a educação em saúde coletiva, por força de se constituir por processos formativos e pela preocupação com os meios e as maneiras de gerir e produzir o conhecimento, não pode prescindir de adequada escuta à gestão do Sistema Único de Saúde. Como dá para perceber, eu fazia um forte apelo para que o município assumisse a sua parte na educação permanente: Neste sentido, sempre é bom lembrar que a formação de recursos humanos para o SUS foi um dos eixos centrais da XI Conferência Nacional de Saúde (BRASIL, 2001), que em suas recomendações citou a necessidade de se desenvolver uma política de capacitação de profissionais de saúde, em todos os níveis, em trabalho conjunto entre Secretarias Municipais de Saúde /Secretarias Estaduais de Saúde / Universidades, considerando as necessidades sociais de cada região, estendendo o processo de residências a equipe multidisciplinar, 26 O grifo é do Carlos André atual. 27 Programa d Agentes Comunitários de Saúde.
  • 56.
    54 reorganizando os programasde residência e regulamentando o programa de residência multiprofissional em saúde coletiva junto ao Ministério da Educação - ME. A mesma conferência falava da necessidade de fornecer instrução prévia de ingresso a todos profissionais de saúde, bem como oferecer mecanismos eficientes de educação permanente, colocando esta responsabilidade nas mãos dos governos federal, estaduais e municipais, tendo em vista o cumprimento da Constituição Federal: compete à gestão do Sistema Único de Saúde - SUS, o ordenamento da formação de recursos humanos da área da saúde, bem como o incremento, na sua área de atuação, do desenvolvimento científico e tecnológico (CONSTITUIÇÃO FEDERAL, Art. 200, Incisos III e IV – BRASIL, 1988) e da lei orgânica do SUS 8.080/90 – art. 6º - parágrafo III, que diz estar no campo de atuação do SUS a ordenação da formação de recursos humanos na área de saúde (BRASIL, 2001). Temos então a rede básica como palco, o Sistema Único de Saúde inspirando o enredo da saúde coletiva e envolvendo os atores através do controle social (usuários, gestores, universidades, trabalhadores de saúde, etc.). Esta metáfora enfatiza a importância do palco, ou seja, da rede básica, na sustentação de todas as ações a serem desenvolvidas no âmbito da saúde coletiva. Logo, o mesmo município que pavimenta ruas, promove saneamento básico e constrói unidades de saúde e escolas, entre outras ações, na lógica do artigo 200 da Constituição Federal, por ser o sustentáculo da rede básica, deve ser o ordenador da formação de seus recursos humanos. Tal premissa, com certeza, é muito mais simples no nanquim do que no suor. Por esta razão iniciativas que coloquem a gestão municipal como mola impulsora de processos de educação permanente em saúde coletiva podem/devem 28 ser vistas como inovadoras e até revolucionárias, tendo em vista a complexidade de qualquer situação municipal. Um gestor deve usar da criatividade e assumir riscos para desenhar serviços que tenham como referência as necessidades dos usuários dentro de suas comunidades, fugindo a lógicas de acesso médico-centradas e hospitalocêntricas e ao engessamento piramidal (CECCIM E FERLA, 2003). 28 Pode-se/deve-se realizar a educação aplicada ao trabalho (capacitações tradicionais), mas também a educação que pensa o trabalho e a educação que pensa a produção do mundo. Para interagir o mundo da vida e o do trabalho, pode-se/deve-se inserir processos de reflexão crítica, base para a educação que destaque o desenvolvimento da autonomia e da criatividade no pensar, no sentir e no querer dos sujeitos sociais. (MINISTÉRIO DA SAÚDE, 2003)
  • 57.
    55 A idéia era chegar a um modelo de formação de recursos humanos para o SUS, centrado na capacidade instalada da rede municipal, nas necessidades expressas pelo controle social e nas possibilidades de parceria com as universidades locais. Este modelo, a implantação da Residência Integrada em Saúde de Santa Maria (ver o tópico estrutura da RIS), tinha a intenção de se tornar uma referência nacional em formação de recursos humanos, absorvendo tanto trabalhadores loco- regionais, como externos e tanto recém egressos, como com experiência. Por outro lado, o modelo proposto também daria conta da necessidade de inserção acadêmica na rede - IAR 29 , produção científica, especialização de profissionais de nível médio e ampliação do acesso aos serviços de saúde. Na época, chegamos a sonhar com um complexo Escola-SUS. 6.1.2 MAIS ALGUNS DADOS SOBRE MUNICÍPIO Nas equipes de saúde 45,53% são médicos, 27,44% são auxiliares de H saúde, 12,34% são enfermeiros, os do o pi t a en t r ad ra 7,4% dentistas e.7,25% são os demais membros t lo cc n Indicadoresêede Saúde - -c i oo 57,66% das dd icc ntri consultas em Méé co serviços de pronto IMI 8,6/1.000 NV c/var. de 0 44 (# de 83%) M atendimento óbitos mal definidos(12,3%), gestantes adolescentes (18,9%), cesarianas (50%), neoplasias em mulheres de 20 a 49 anos, homens morrendo precocemente de doenças cárdio-circulatórias, 20% das mortes em menores de 1 ano devidas a doenças infecciosas ou respiratórias Figura 8 – Alguns problemas de Santa Maria. Animação 29 Texto extraído de diálogo com o coordenador do Curso de Medicina da UFSM, Prof. James Ferreira Gressler, em abril de 2002, e reproduzido com a autorização do mesmo: “Assim como é incoerente dizer que nosso braço está inserido em nosso corpo, posto que não pode ser, naturalmente, encaixado e desencaixado à vontade, soa estranho falar em IAR, já que a academia deveria, naturalmente, fazer parte da rede SUS e não ter a necessidade de ser inserida nela. Portanto, a IAR deve ser vista como uma ação de transição em direção a um estado de coisas mais natural, mais lógico e mais saudável.”
  • 58.
    56 Segundo Farenzena (1997), o município apresentava um nível de mortalidade infantil considerado baixo (8,6/1.000 Nascidos Vivos - NV), comparável a países do primeiro mundo. Entretanto, ao se proceder a distribuição pelos agregados que compõem o município, há uma variação de zero a 44,4 por 1.000 NV (diferença de 83%). Aproximadamente 20% da mortalidade constituiu-se de óbitos devidos a doenças infecciosas e parasitárias ou doenças respiratórias. Os dados apontavam as regiões Noroeste e Nordeste da cidade como zona de alta mortalidade, com risco de morte duas vezes maior que outras zonas de mortalidade intermediária. Nestes agregados, a mortalidade infantil suplantou a média do município em 83%. Ainda segundo este estudo, tais riscos foram os mesmos encontrados nessas regiões num estudo realizado 10 anos antes. Além disso, como mostram os dados do Relatório de Gestão de 2002, explicitados na Figura 8, temos um município hospitalocêntrico e médico centrado. Dados mais recentes demonstram que, após implementação de um sistema de monitoramento no município (em 2000), deflagrou-se a necessidade de um estudo mais aprofundado da condição de saúde da comunidade santa-mariense (Tab. 1). Tabela 1 - Coeficientes e números absolutos de mortalidade em Santa Maria. Coeficientes (x 1000) e Números 2001 2002 2003 Absolutos Não Coeficiente de Mortalidade Geral 6,77 1.637 6,58 1.653 disponível Coeficiente de Mortalidade Infantil 12,06 44 16,46 59 15,26 55 Coeficiente de Mortalidade 5,21 19 9,21 33 9,71 35 Neonatal Fonte: Serviço de Vigilância Epidemiológica da SMS, abril 2004. Outros indicadores apontavam para a persistência de elementos deletérios a saúde dos santa-marienses (Tab. 2 e 3).
  • 59.
    57 Tabela 2- Mortalidadeproporcional (%) por grupo de causas - CID10 em Santa Maria. Grupo de causas Distribuição (%) 1º lugar doenças do aparelho circulatório 36,01% 2 º lugar neoplasias(tumores) 21,02% 3 º lugar demais causas definidas 16,05% 4 º lugar doenças do aparelho respiratório 11,06% 5 º lugar causas externas de morbidade e mortalidade 9,08% 6 º lugar Algumas doenças infecciosas e parasitarias 2,08% 7 º lugar Algumas afecções no período peri-natal 2,00% Fonte: SIM/Datasus – gerada em 23/03/04 Tabela 3- Causas de óbitos por grupo de doenças no ano de 2003 Santa Maria/RS Principais causas de óbitos geral N.º Absoluto 1º lugar doenças do aparelho circulatório 452 2 º lugar neoplasias (tumores) 376 3 º lugar causas indeterminadas 259 4 º lugar doenças do aparelho respiratório 170 5 º lugar causas externas (acidentes, homicídios, suicídios) 131 6 º lugar Doenças do aparelho digestivo 78 Fonte: Setor de Vigilância Epidemiológica da SMS/Maio/2004. Um dos números que também assustavam é o terceiro lugar nas tabelas 2 e 3, denotando sérios problemas de anotação de óbitos. No que dizia respeito ao cenário universitário, segundo o Projeto de Incentivo a Mudanças Curriculares nos Cursos de Medicina – PROMED (BRASIL, 2002), dentro dos três estágios que deveriam ser avançados pelas escolas médicas, nos eixos de orientação teórica, abordagem pedagógica e atividades práticas (Anexo C), o Curso de Medicina da UFSM, conseguiu, no período 2003-2004, iniciar o processo de avanço para o segundo estágio (encontrava-se estacionado no primeiro estágio em todos os eixos), através de um intenso trabalho envolvendo a coordenação do curso, a comissão interna de reforma curricular e os seguimentos favoráveis do corpo docente e discente (UFSM, 2003). Este mesmo cenário repetia-se e encontrava-se mais ou menos avançado nos diversos cursos e instituições de ensino superior do município, já começando a ocorrer eventos integradores, inclusive interinstitucionais.
  • 60.
    58 7 COMO IR PARA SANTA MARIA? 7.1 OS PRIMEIROS PASSOS Durante todo o meu período como residente (2001-2002) procurei disseminar, principalmente no meio em que eu tinha mais acesso: os docentes e discentes da UFSM, os textos e informações que embasavam a RIS de POA. Também comecei, com uma boa antecedência, a sondar, dentro da residência, orientadores que fossem malucos o suficiente (talvez o termo mais apropriado para uma monografia seja “arrojados”) para comprar esta briga. O Nilson, como já vimos, foi uma escolha natural. A enfermeira, sanitarista, mestra em epidemiologia Regina P. Loureiro (na época ainda não tinha terminado o doutorado em ciências médicas) também se encaixava bem 30 . Já observava com algum cuidado, meio de longe, o psicólogo, sanitarista, especialista em saúde do trabalhador, mestre em psicologia social Manoel Mayer Jr., mas ele me parecia maluco até demais 31 . 7.2 AS PRIMEIRAS ESTRATÉGIAS Até então, devido a algumas experiências anteriores onde o R3 no interior havia sido usado como mão-de-obra barata no PSF, era quase uma heresia tocar no assunto. Também não era aceitável que um “residentezinho” de terceiro ano fizesse uma proposta desta monta. Para contornar este obstáculo e passar no processo seletivo do R3 escrevi um projeto de informatização do serviço de ginecologia do 30 A Regina iniciou nossa primeira aula de epidemiologia declarando-se sequelada de sarampo e, como eu, falava pelos cotovelos principalmente de si mesma. Não recusava nenhum pedido de orientação para projetos, apesar de todos os que já estava orientando. 31 O Manoel usava (usa) sandálias com meias, tinha (tem) um penteado de quem enfiou os dedos em uma tomada e na primeira aula que deu para nossos R1 (residentes de primeiro ano), dissertou sobre como criar uma associação de residentes, ou seja, subversivo. No primeiro contato que tive com ele, respondeu cada uma das minhas perguntas com outras quatro. A princípio achei que queria me enrolar, mas depois me acostumei com seu jeito “socrático”.
  • 61.
    59 Centro de SaúdeEscola Murialdo – CSEM, o que teria sido impossível sem a orientação da Regina. Era um projeto interessante e viável (Apêndice E), mas sua única função foi a aprovação no processo seletivo, pois trabalhei em cima de duas possibilidades: • A função do pré-projeto era provar que eu sabia escrever e defender um projeto. Não necessariamente teria que implementar exatamente aquele projeto; • o edital de seleção rezava que as atividades do R3 poderiam ser realizadas nas unidades conveniadas à ESP 32 . Passar no processo seletivo do terceiro ano da residência não foi tarefa fácil, principalmente, por isso ter ocorrido concomitantemente ao encerramento da monografia obrigatória do segundo ano e por ter sido quase como uma seleção para mestrado. Tivemos: prova escrita testando os conhecimentos de saúde pública; prova de títulos; autobiografia para provarmos que tínhamos perfil; apresentação de pré- projeto para mostrarmos que sabíamos escrever um projeto; entrevista coletiva onde foi avaliada nossa capacidade de trabalho em grupo e entrevista individual onde tínhamos que mostrar perfil, defender o projeto e provar que ele era viável. Um pouco de sorte sempre ajuda. Em SM descobri um convênio tipo “guarda chuva”, entre a ESP e o Centro de Ciências da Saúde – CCS da UFSM que, a princípio, viabilizaria uma ação presencial. Permissível legalmente não significa, nem de longe, permissível politicamente. O R3 fora de POA estava cancelado e mal visto. O Nilson trouxe a solução: “Está cancelado porque ninguém está fazendo. Vai lá e faz.” Tentei apoio dentro do CSEM e fui rechaçado. A alternativa seguinte seria ir direto ao chefe, o diretor da ESP. 32 Em tese isso se referia às unidades ligadas diretamente à ESP (CSEM, Sanatório Partenon, Hospital Psiquiátrico São Pedro, Ambulatório de Dermatologia Sanitária) e às conveniadas localizadas em POA, mas legalmente deixava abertura para qualquer entidade conveniada no país ou no exterior. Infelizmente este “erro” foi corrigido nos anos seguintes.
  • 62.
    60 Com a troca do governo estadual (Olívio Dutra – PT para Germano Rigotto – PMDB) 33 mudou também a diretoria da Escola de Saúde Pública (sai o enfermeiro, mestre e doutor em educação Ricardo Ceccim e entra o pediatra, psiquiatra Mário Oliveira). Claro que isso gerava um inconveniente: não tínhamos nenhum contato com a nova direção. Eu já havia passado no R3, mas ainda precisa terminar o último mês do R2 e ainda não havia recebido autorização para fazer o R3 em SM. Parti, então, para uma segunda estratégia: ao invés de levar para SM uma idéia com o endosso da direção da ESP, fui a SM como R2 buscar apoio para poder deslocar meu R3 para lá. Para tanto executamos os seguintes passos: • Contatei, em SM, algumas pessoas-chave apresentando verbalmente a proposta; • Escrevemos (eu e o Nílson) uma proposta de projeto com uma descrição sumária de uma página (Apêndice F) e acrescentamos a ela duas páginas com os nomes de atores estratégicos em todos os seguimentos que necessitávamos colher apoio; • Solicitei 30 dias de estágio opcional (recuperação da paralisação) no serviço de cirurgia plástica do HUSM. Em nenhum momento da proposta sumária foi citada a criação de uma RIS em SM. Na verdade, era uma proposta de triangulação entre os níveis municipal (PMSM), estadual (ESP) e federal (UFSM), para viabilizar a presença de um R3 que colaborasse com a alteração do modelo de saúde, a reforma curricular e a IAR. 33 Prefiro o risco da liberdade a segurança de um cabresto. Nunca fui e, provavelmente, nunca serei filiado a nenhum partido político. Na época declarava-me como um apartidário que mancava com a perna esquerda. Hoje nem sei mais se existe esquerda. Como veremos nos tópicos seguintes, o apartidarismo iria me trazer sérias restrições. Vale registrar aqui um diálogo que tive com o então residente médico de segundo ano (R2) Rodrigo Cariri. Ele disse: “Carlos, vai chegar um ponto em que, se você não for filiado a um partido político, você não vai ter como seguir adiante”. Ao que respondi: “Então nesse ponto eu não vou querer seguir adiante”. E foi o que realmente acabou acontecendo.
  • 63.
    61 Na época eu pensava em abrir um campo de estágio permanente para R3 em SM de modo que, a cada ano, eu teria, pelo menos, um residente da ESP para me ajudar. Aquela proposta foi, acima de tudo, uma forma de abrir caminho para SM e ganhar o tempo suficiente para montar um projeto de RIS. 7.3 UMA OUTRA ESTRATÉGIA: A DILUIÇÃO DA AUTORIA As pessoas-chave citadas: A enfermeira, mestra em enfermagem, então presidente da câmara técnica do CMS Benildes Maria Mazzorani, uma escorpiana matreira que sempre se apresenta com o rosto inofensivo de uma professora aposentada da UFSM e que viria a se tornar minha principal orientadora e companheira de lutas, vitórias e derrotas em SM; A enfermeira, mestra e doutora em educação, coordenadora da pós- graduação em enfermagem da UFSM Vera Regina Real Lima Garcia, uma empresária pública em saúde, conhecedora dos caminhos políticos da UFSM e que me estendeu a mão sem ao menos me conhecer bem; O cardiologista e então coordenador do Curso de Medicina da UFSM James Ferreira Glesser que, como eu, havia caído de amores pela atenção primária. Com suas citações em francês e sua sutileza de um capataz de estância ele me deu vários fundamentos de filosofia e ética. Depois da Benildes, foi minha principal fonte bibliográfica em SM, além de renovar meu ânimo a cada conversa que tínhamos; A pediatra, mestre e doutora em medicina, então vice-coordenadora do Curso de Medicina Leris Salete Bonfanti Haeffner que carregava nos ombros o peso de ser coordenadora da comissão de reforma curricular de um curso de medicina que se recusava a evoluir 34 . 34 Mais tarde ela sucedeu o James na coordenação da Medicina. O currículo, apesar da resistência de muitos “dinossauros” e com a colaboração de poucos, mas muito atuantes, colaboradores, foi, e continua sendo, reformado.
  • 64.
    62 Estas pessoas ilustram a citação de Feuerwerker et al (2000), que diz que os projetos e convênios não são firmados e mantidos por instituições, mas sim por sujeitos. A presença (e o voto de confiança) destas pessoas na capa da proposta sumária afastava o espectro do “residentezinho” que queria ir além da conta. Eu também acreditava que se dividisse a paternidade da idéia haveria mais pessoas para defender a “criança” e impedir que ela fosse morta 35 . O resultado foi excelente. A partir daí foi relativamente fácil (num ritmo de, pelo menos, três reuniões diárias...) coletar as demais assinaturas para uma grande e etérea idéia que estava resumida em uma folha de papel. 7.4 DE VOLTA A POA Munido das assinaturas de apoio e do número de registro do convênio, voltei a POA. Trecho de meu diário de campo (23/09/2003): Na aula inaugural, na manhã de 03/02/03, pude experimentar um bom alívio quando o novo diretor defendeu uma política de descentralização de formação de recursos humanas, afinal tínhamos (eu e a Regina) uma entrevista marcada com ele para às 14h. Na reunião que aconteceu com todos os R3 às 13:30, minha situação ainda era completamente indefinida. Depois do encontro com o diretor, pude respirar mais aliviado, pois ele gostou da idéia, mas colocou que o impacto gerado pelo deslocamento de um R3 a SM seria muito pequeno. Deveríamos, então, trabalhar pela implantação de uma residência em atenção básica no interior. Isso mudou tudo. Na verdade este era o objetivo que eu pretendia atingir em médio e longo prazo, não tão cedo. De qualquer forma, foi uma excelente mudança. 36 Apesar de algumas resistências estruturais e pedagógicas, eu estava politicamente autorizado a partir / voltar para SM. 35 O que deu certo por um bom tempo. Mais tarde, percebendo isso, os adversários da idéia passaram a fundamentar a derrubada do projeto associando-o única e exclusivamente ao meu nome e taxando-o de individualista, intransigente e totalitário. 36 Como todo político, o Mário queria que eu fizesse em menos de um ano o que eu havia projetado para fazer em três anos. Na época eu era ingênuo o suficiente para caminhar de acordo com os ventos da política partidária e mais tarde, como veremos, repeti este erro.
  • 65.
  • 66.
    64 8 O FILHO PRÓDIGO A CASA TORNA Mas na época eu não tinha a menor idéia de quão pródigo seria. Cheguei em SM com o status necessário para começar a trabalhar: vinha como pós-graduando financiado pela ESP, ou seja, com respaldo institucional e com a missão de implantar uma RIS. Como dito na metodologia, era impossível criar uma RIS instantânea. Perdi algum tempo, mas consegui provar isso para a direção da ESP e retornar ao plano original. Como bem me lembrava a Benildes na época: “Só um pouquinho, Carlos André! Olha o foco! Tu tens que fazer um projeto possível de realizar em um ano, que é o tempo do teu R3. Não dá para implantar uma residência em um ano.”. Mas dava para formar a massa crítica (colaboradores) para a RIS em um ano. E mais, eu queria gerar um convênio interinstitucional que permitisse iniciar com um curso de preceptores, avançasse para uma especialização em saúde pública e, por fim, evoluísse para uma RIS. E depois, quem sabe, para uma Escola Regional de Saúde Pública, afinal, a megalomania era um dos meus motores de trabalho. 8.1 INICIEI COM UM TRIPÉ 37 Em março de 2003 foi elaborada uma proposta de cooperação denominada: UM MODELO DE TRIPÉ PARA DAR APOIO AO SUS: Desencadeando ações de curto, médio e longo prazo em seqüências encadeadas com o fim de fortalecer a atenção básica 38 (SCHMITZ ET AL, 2003) A justificativa utilizada foi a seguinte: 37 Já naquela época a esfinge de Sófocles assombrava meu inconsciente e me confrontava com seu enigma. 38 A esta altura o grupo de orientadores e colaboradores estava bem maior (ver Apêndice G).
  • 67.
    65 A intenção de utilizar um tripé (Figura 9) como metáfora é por ser este uma forma bastante prática de apoio, tanto em superfícies regulares como irregulares, principalmente se for dotado de hastes reguláveis. No topo de nosso tripé imaginário, equilibra-se o SUS. As bases do conjunto, embora afastadas, necessitam de interligações (parcerias – hastes reguláveis) para manter a força e o equilíbrio da estrutura. Neste trabalho, essas bases estarão representadas pelos três níveis de governo (município, estado e união), responsáveis, a priori, pela consolidação do SUS. As interligações entre essas bases estarão figuradas no que cada base prioriza e pode, em contrapartida, oferecer para as outras bases 39 . Na situação pretendida, as três bases serão formadas por: Base 1: Prefeitura Municipal de Santa Maria - PMSM. Prioridades: Reestruturar o modelo de atenção em saúde - RMA, alcançar a Gestão Plena do Sistema Municipal – GPSM. Contrapartida: Recursos humanos - RH, físicos - RF e financeiros- R$. Base 2: Estado do Rio Grande do Sul, representado pela Escola de Saúde Pública - ESP. Prioridades: Descentralização na formação de recursos humanos - DFRH para o SUS, criação de campo de estágio para residentes - CER. Contrapartida: Assessoria especializada - AE, recursos humanos e financeiros. Base 3: União, representada pela Universidade Federal de Santa Maria - UFSM. Prioridades: Reforma curricular do curso de medicina - RC, campo de estágio para inserção acadêmica na comunidade - IAR. Contrapartida: Recursos humanos, físicos e financeiros. SUS RMA RC GPSM IAR PMSM UFSM RH ESP RH RF RF R$ R$ DFRH AE CER R$ Figura 9 – O modelo de tripé. Animação Os objetivos foram ajustados da seguinte maneira: Objetivo geral: Desencadear uma seqüência lógica de processos locais que, articulados entre si, culminem na alteração do modelo de atenção em saúde, auxiliem tanto na reforma curricular do curso de medicina, como na inserção de vários cursos universitários na rede e levem à implantação de uma residência integrada em saúde no município de Santa Maria. Objetivos específicos: 39 Ver figura 9.
  • 68.
    66 • Desenvolver, no segundo semestre de 2003, o curso de educação em saúde pública, voltado à capacitação de preceptores, gerando, como principais substratos do curso, recursos humanos e resultados práticos: • Um grupo de preceptores composto por profissionais de pelo menos doze áreas de conhecimento (artes plásticas, educação física, enfermagem, fisioterapia, fonoaudiologia, informática, medicina, nutrição, odontologia, psicologia, serviço social e terapia ocupacional). Este grupo estará aberto a profissionais das várias unidades de ensino e assistência locais; • Um grupo de preceptores do CM da UFSM e do HUSM, nas grandes áreas de clínica médica, pediatria, gineco-obstetrícia, cirurgia geral e especialidades afins (cardiologia, psiquiatria, geriatria e outras); • A territorialização de uma região sanitária de Santa Maria (11ª RS, como sugestão inicial) e de outras regiões sanitárias de interesse; • O conjunto programático, nas doze áreas de conhecimento em questão, com vistas à futura implantação de uma especialização em saúde coletiva; • Promover a participação ativa da ESP, na forma de assessoria, na estruturação da reforma curricular do curso de medicina e na inserção acadêmica na rede (aberta a todos os cursos envolvidos); • Criar as condições políticas, administrativas e técnicas para que, em fevereiro de 2004, através da turma de preceptores formada, tenha início o curso de especialização em saúde coletiva, com duração de um ano; • Criar as condições políticas, administrativas e técnicas para que o curso de especialização em saúde coletiva tenha continuidade, expansão para dois anos de duração e conseqüente estruturação na forma da Residência Integrada em Saúde do município de Santa Maria.
  • 69.
    67 8.2 O QUE DEU E O QUE NÃO DEU CERTO Figura 10 - Basta remover um pé: Ilustrações extraídas do álbum Liga Extraordinária Volume 2 (MOORE ET AL, 2004). Esta HQ (história em quadrinhos) ilustra uma versão do clássico “A Guerra dos Mundos” ambientada na Londres do final do século XIX. Nesta seqüência o personagem Mr. Hide enfrenta os tripés marcianos e ressalta na sua ótica, dois importantes problemas de projeto: “Você tem um problema agora. Atire em mim e irá arrebentar o próprio pé!” e “Não me leve a mal: Deus criou um monte de criaturas inúteis e de aparência estúpida neste mundo. Mas Ele decidiu não fazer nenhuma delas com três pés! Você imagina porque ele fez isso?” Ele mesmo responde na última ilustração... A idéia por trás do tripé era simples: eu queria juntar os três níveis de governo, independente da inclinação partidária em um convênio interinstitucional. Um convênio porque convênios envolvem dinheiro e dinheiro envolve compromisso. Dificilmente os três níveis de governo pertencem ao mesmo partido, logo, por mais longo que fosse 40 , tenderíamos a um trabalho suprapartidário. Como o projeto era ambicioso 41 , os dividendos políticos também seriam. Ingenuamente, eu pensava que se oferecesse grandes lucros a todos, ninguém seria burro de não aceitar. Esta estratégia seguia a mesma linha da diluição da autoria mencionada anteriormente. Além de vários pais para a criança, haveria vários investidores. 40 Também pensei em definir o prazo de convênio em, no mínimo, cinco anos, para que sobrevivesse a pelo menos uma troca de governos. 41 Quando apresentava o projeto, minha primeira fala era classificá-lo como megalomaníaco. Antes que alguém o dissesse, claro.
  • 70.
    68 8.3 COMEÇOU A CHOVER DENTRO DO BARCO Mas não o suficiente para eu notar. Estranhamente, apesar de quase tudo estar correndo bem, a confecção do convênio não andava. Levantar o orçamento de R$ 10.000,00, conseguir alunos interessados, professores capacitados e instalações adequados foi fácil. Difícil foi apagar algumas fogueiras de vaidades que, politicamente, atrasaram o início das atividades em mais de um mês (e quase inviabilizaram o curso de preceptores). Superando as expectativas, ao invés de falta de alunos tivemos disputas por vagas, gerando uma lista de espera que, de início, era grande o suficiente para mais uma edição do curso e que foi crescendo à medida que as notícias das atividades realizadas iam se espalhando. Com o empenho da minha e de várias palavras, o curso inicia quase que informalmente, sem nenhum convênio para respaldá-lo e com a promessa que até o final teríamos um, para validar os certificados. Vale dizer que seria impossível realizar o curso sem a verba para o pagamento dos professores vindos de POA. Esta verba foi disponibilizada pela então Secretária Municipal de Saúde Ilse M. Melo, que viria a personificar a sustentação política da RIS dentro do Executivo Municipal - EM. O curso foi extremamente profícuo como pode ser visto no tópico seguinte, mas terminou e nada de convênio. Através da assessoria jurídica da PMSM, conseguimos montar uma boa peça de convênio, mas nesta época, dezembro de 2003, uma boa nova que deveria ter vindo para ajudar, acabou tornando-se um problema. As diretrizes dos Pólos de Educação Permanente em Saúde – PEPS haviam sido aprovadas e iniciava-se o processo de discussão para a sua implantação. Começa uma disputa de poderes não declarada, uma guerra-fria partidária pelo comando dos PEPS. Vendo o PEPS como uma forma natural de encaminhamento para a RIS, o grupo de preceptores empenha-se em participar das discussões e é rechaçado.
  • 71.
    69 Acredito que avisibilidade gerada pelo curso, além de agregar colaboradores, arregimentou as primeiras resistências à idéia da RIS. As portas da 4ª CRS se fecham e, após várias e burocráticas tratativas para firmar o convênio do curso, a ESP silencia-se. O pé estadual do tripé havia se retirado.
  • 72.
    70 9 E COMEÇA O CURSO DE PRECEPTORES A primeira (e única) edição do Curso de Educação em Saúde Pública Voltado para a (De)Formação de Preceptores 42 (SCHMITZ E TAL, 2003b) 43 foi o marco inicial da tentativa de implantação da RIS. Iniciamos com 34 participantes (e terminamos com trinta), entre especialistas, mestres e doutores. Na aula inaugural avisei que não teria como chamar de alunos pessoas que haviam sido meus professores, eram meus colegas ou tinham trajetórias e titulações bem maiores que as minhas. Portanto, todos teriam que assumir a responsabilidade de participantes. Eram oriundos de quatro instituições diferentes: professores e trabalhadores de saúde da UFSM, trabalhadores de saúde da PMSM, professores do Centro Universitário Franciscano – UNIFRA 44 e servidores da 4ª CRS. Representavam 14 áreas profissionais. A farmácia e a filosofia haviam se somado às doze áreas pretendidas no projeto. Parecia que problematizar aos moldes de Paulo Freire, como preconizado pelos autores referenciados (ver tópico: alguns conceitos preliminares), seria algo difícil, mas acabou sendo natural. Fugindo das tradicionais linhas e colunas, os participantes foram surpreendidos por cadeiras dispostas em um grande círculo e eu fui surpreendido pelo fato daquilo ser uma novidade em SM. Todo mundo lia e adorava Freire, mas, aparentemente, ninguém o colocava em prática. As aulas ocorriam às sextas-feiras à noite e aos sábados pela manhã, sempre alternando módulos de saúde pública e epidemiologia (respectivamente Nilson e Regina, que se deslocavam de POA). 42 Só acrescentei este “De” depois que os gestores haviam aprovado o orçamento do curso e o mesmo já estava em andamento. 43 Para um maior detalhamento do curso, veja o projeto completo no Apêndice H. 44 A UNIFRA se recusou a participar do convênio (ou tentativa de convênio), mas liberou os professores para participarem do curso. Nem sequer consegui ser recebido pela reitora e não percebi que quem eu imaginava estar articulando para que a entrevista acontecesse, na realidade, fechava- me as portas.
  • 73.
    71 Não havia um professor, mas sim três problematizadores: o que vinha de POA era auxiliado 45 por mim e pela Benildes. 9.1 A PRIMEIRA AULA: SUS Houve um certo desconforto quando os participantes foram provocados a expor seus conhecimentos prévios a respeito do SUS. O fantasma da tradicional definição local de SUS, que associa o sistema “àquele paciente chato que abarrota o 46 pronto socorro” , assombrava a turma. Apesar das suas titulações, ninguém soube definir origem, princípios ou estrutura de seu principal empregador. Não que não fossem capazes de fazê-lo, mas, decididamente, não havia familiaridade com o tema. Nada de muito surpreendente, eu mesmo só havia tomado conhecimento que existia saúde de família no último mês do último semestre de minha graduação (ver autobiografia), só comecei a descobrir o que era SUS dentro da residência e só pisei em uma Unidade Básica de Saúde – UBS de SM quando retornei em 2003. Essa era a realidade que muitos dos presentes queriam mudar. Fomos felizes na escolha dos temas (ver Apêndice H). Os participantes avançaram rapidamente na apropriação dos conceitos e as discussões foram ficando cada vez mais ricas. O Formato da roda, praticamente, induzia a exposição de idéias e o confronto de opiniões. Vale citar algumas atividades especialmente interessantes: 9.2 CONTROLE SOCIAL X MANIPULAÇÃO SOCIAL: A DINÂMICA DO CONSELHO MUNICIPAL DE SAÚDE 45 Ao ponto do Nilson apelidar-me de “Coelho da Alice”, pelo fato de eu balançar meu relógio de bolso na sua frente quando as explanações e os debates ameaçavam ficar mais longas que o possível para o tempo do tópico. 46 Isso nos era ensinado em todos os semestres da faculdade. Todos haviam passado pelo mesmo modelo formador.
  • 74.
    72 Na atividade sobre controle social, ocorreu um período inicial de discussão sobre o tema e, após, os participantes foram divididos de duas maneiras: de acordo com a paridade e aleatoriamente distribuídos em três grupos de estereótipos. Desta forma, 50% eram usuários, 25% eram trabalhadores de saúde e os outros 25% distribuídos entre prestadores de serviços e gestores. Independente da representação, cada um recebeu um número de 1 a 3, de modo que houvesse um número igual de pessoas para cada estereótipo (Figura 11). 2 3 1 2 1 3 Trabalhadores de Saúde 3 1 2 2 1 3 Usuários 3 1 2 2 Prestadores de Serviços 1 3 3 1 2 1 3 2 Gestores Figura 11 - Divisão da roda de problematização. Os usuários, trabalhadores, prestadores e gestores de número um ficaram comigo, os de número dois foram para outra sala com o Nilson e os de número 3 foram para uma terceira sala com a Benildes. Assim nenhum grupo sabia qual seria o estereótipo dos outros dois. Um dos objetivos da dinâmica era tentar descobrir estes estereótipos, que eram os seguintes: • Grupo 1: Os “CDFs” 47 . Incorruptíveis e defensores da lei a qualquer custo. • Grupo 2 : Os sofredores de “porralouquismo” congênito. Tinham a função de atrapalhar, dispersar, fugir da pauta, entrar e sair da sala e atender celular em voz alta. 47 Cus de ferro, literalmente. Peço perdão pela escatologia, mas foram os termos que realmente utilizamos na caracterização dos estereótipos.
  • 75.
    73 • Grupo 3: Os portadores de “filhadaputismo” congênito. Orientados a preocupar-se com o lucro individual acima de tudo, se possível corrompendo alguém. Escolhemos para a simulação um fato real ocorrido no município. A utilização de uma verba de R$ 120.000,00 da rubrica de assessoria para informatização da saúde para a compra de medicamentos, efetuada pela secretária de saúde, sem comunicação ao CMS. Assumi o papel de presidente do CMS, a Benildes foi a Secretária de Saúde e o Nílson ficou na mesa como representante dos prestadores de serviços que usava um boton do PAP, Partido dos Amigos do Prefeito. A pantomima que se seguiu não deixava absolutamente nada a desejar para uma sessão real do CMS. Todos levaram bem a sério seus papéis. Após a denúncia do desvio das verbas, a Secretária de Saúde fez a sua defesa e os conselheiros teceram seus vários comentários, inspirados nos padrões que deveriam seguir. As propostas de encaminhamento acabaram sendo bem próximas ao que se deu na realidade: um grupo queria endossar a atitude da secretária e outro queria encaminhar o caso ao Ministério Público. Como presidente do CMS encerrei a sessão, adiando a votação para um próximo encontro. Seguiu-se uma roda de negociações, onde todos os atores se misturaram tentando granjear aliados. Neste ponto os problematizadores (eu a Benildes e o Nílson), circularam entre todos exercendo o papel, não declarado aos participantes, de manipuladores políticos. Os resultados foram os seguintes: alguns “CDFs” foram corrompidos, os “porraloucas” foram facilmente manipuláveis e nenhum corrupto mudou de lado. Na votação fictícia, imitando a vida real, a secretária foi absolvida. Alguns atores identificaram o padrão dos outros, mas o que mais chamou a atenção foi a facilidade com que um conselho de saúde pode ser manipulado. Foi uma pena não termos gravado a dinâmica em vídeo.
  • 76.
    74 Consegui chegar a estes mesmos resultados em outras duas oportunidades, onde apliquei esta dinâmica em um grupo de universitários de enfermagem e um grupo de pós-graduandos de saúde pública. 9.3 A DINÂMICA “O PACIENTE IN(TER)DISCIPLINADO”: Esta dinâmica facilitou enormemente a discussão do tema: gradiente multi- inter-transdiciplinaridade. Além disso abriu espaço para um profícuo debate sobre campo e núcleo de saberes (ver tópico: alguns conceitos preliminares). A descrição abaixo é um retrato fiel aos diálogos e comportamentos que ocorreram no dia. Praticamente todos os participantes reagiram da maneira com que eu esperava que reagissem. Escolhi oito profissões das 14 que compunham o curso (por questão de tempo). Os oito profissionais foram distribuídos em duas filas e instruídos de que estavam em uma unidade básica de saúde, sendo que cada um deles era o único profissional de saúde presente na unidade. O recepcionista iria lhes passar um paciente que deveriam tentar atender e/ou encaminhar caso julgassem necessário. Paciente: Carlos André, médico de família e comunidade, coordenador do curso. Consulta nº 1- Jorge, estudante (em visita ao curso) do oitavo semestre de medicina da UFSM. O paciente chega e cumprimenta o médico estendendo a mão a um metro de distância, à direita do médico, evidenciado claros problemas visuais. Paciente: Bom dia, doutor! Jorge: Bom dia, meu amigo! P (tentando encontrar o médico): Fale mais alto que eu lhe enxergo, doutor! J: Sente aqui e me diga seu problema. P: Pois sabe que eu não enxergo muito bem?
  • 77.
    75 J: Isso faz quanto tempo? P: Ih! Um tempão... J: Mas quanto tempo? Dias? Meses? Anos? P: É, doutor. Por aí. J: Acho que vou ter que lhe mandar para um oftalmo... P: Doutor, eu já tive nesse doutor, ele me disse que eu tenho um negócio parecido com cera. Um tal de cerato alguma coisa. J: Ceratocone? P: O senhor é bom, hein doutor? Acertou em cheio! Ele até me deu uma receita pra comprar umas lentes, mas é caro, doutor. Eu tô desempregado, a mulher tá desempregada, a gente tem cinco filho. Tá difícil, doutor... A Maria até tem proposta pra trabalhar numa casa de família, mas aí tem as criança pra cuidar. Eu não posso cuidar, claro, porque tenho que procurar emprego. Será que o senhor não arranja uma creche pra nós, doutor? J: Isso não é da minha área, vou lhe encaminhar para o Serviço Social. Consulta nº2 – Bernadete, assistente social da 4ª Coordenadoria Regional de Saúde (4ª CRS) Benadete: Qual é o seu problema? P: Ih! Doutora! Eu tenho uma dor que começa na unha do dedão do pé direito, sobe pela perna, atravessa pelas virilha, dói cá nas costas, sobe até o ombro direito e responde cá no olho esquerdo. Que que eu faço doutora? B: Mas além disso, o senhor tem mais algum problema? A família e os filhos, como estão? P: Tudo bem, doutora! A mulher tá faceira porque arranjou emprego e voltou a estudar, as crianças tão bem na escola. O que me incomoda mesmo é essa dor, doutora... Que que eu faço? B: Vou lhe encaminhar para a fisioterapeuta...
  • 78.
    76 Consulta nº3 – Margarida, fisioterapeuta da UNIFRA Margarida: Ola! P (gritando): Hein?! M: Qual é o seu problema? P (gritando mais ainda): Fale mais alto, doutora, eu não escuto muito bem!! M (gritando no ouvido direito do paciente): O que o senhor tem?!!! P: Como?!!!! M: O que o senhor tem?!!!! P: Não consigo lhe entender, doutora!!! A senhora sabe linguagem de sinais?!!! M (sinalizando afirmativamente com a cabeça): Um pouco!!!! P: Que bom pra senhora, porque eu não sei!!! M: Ai, meu Deus... P: A senhora não tá conseguindo me entender, vou procurar outro doutor... Consulta nº 4 – Aline, fonoaudióloga da UNIFRA. Aline: Qual o seu problema? P: É essa gastura, doutora. Meu estômago dói quando eu como, quando eu não como, quando tomo água, quando tomo leite. É uma desgraça, doutora... A: O senhor tem algum problema de fala ou de audição? P: Não, doutora, escuto bem até demais. O problema é este estômago, que dói até quando eu respiro. O que eu faço, Doutora? A: O senhor precisa de um médico... Consulta nº5 – Jani – Psicóloga da PMSM Jani: Olá, qual o seu problema? P: Eu tô deprimido, doutora...
  • 79.
    77 J (surpresa): É? Há quanto tempo? P: Um tempão doutora... J: O senhor consegue dormir bem? P: Não, doutora. Passo as noite em claro, não durmo nada... J (satisfeita): E o senhor tem idéia de porque não consegue dormir? P (colocando a mão no rosto): Acho que é por causa desse maldito dente que não para de doer, doutora... J (Desanimada): Mas o senhor não pensa em mais alguma coisa? P: Não dá, doutora. Eu só consigo pensar neste dente que dói noite e dia. Tô tão deprimido, doutora... J: O senhor tem que ir ao dentista! P: Mas a senhora não vai me dar nenhum remedinho? Um “paracetolol” ou uma “dipiroma”? J: Não, o senhor tem que ir ao dentista. Consulta nº 6 – Ivan, cirurgião-dentista da PMSM. Ivan: Olá, o senhor está com dor de dente? P: Não a mordida vai bem, obrigado. O causo é que a mulher ganhô nenê e o umbigo caiu. A gente não sabe se pode limpar. Tá difícil de dar banho. I: Não tem problema, pode lavar com água e sabão neutro, normalmente. Só tem que cuidar para que fique bem seco. P (pensando rápido: se eu perguntar de amamentação, ele também vai saber responder) : Que bom, doutor. E as vacina? Como é que a gente faz? I (enrolando): Hum, bem, que idade tem a criança? P: Recém saído do forno, doutor. I: Olha, isso tu tens que ver com uma enfermeira...
  • 80.
    78 Consulta nº 7 – Ruth, Nutricionista da PMSM Ruth: Qual o seu problema? P: Tô muito gordo, doutora. R: O senhor come muito? P: Demais da conta! Como o tempo inteiro, 24h por dia! R: E por quê? P: Sô muito ansioso, doutora. Não consigo controlar! R: O que o senhor come de manhã? P (desconfiadíssimo): Pra que tanta pergunta? A senhora é da polícia? R: Não, eu preciso saber. P (nervoso): Pra quê? O que a senhora vai fazer com estes dados a meu respeito?! R: É só para poder elaborar uma dieta adequada... P (mais nervoso ainda): Dieta? Isso não vai me fazer mal? Eu sô tão nervoso... R: Acho que o senhor precisa de um psicólogo... Consulta nº8 – Gisela, enfermeira da 4ª CRS Gisela: O que o senhor precisa? P: (em tom declamatório): Esse mundo não é meu. Não falo com a petulância de quem se acha originário de um lugar melhor. Apenas não sou daqui...
  • 81.
    79 O que tornasuportável este vasto deserto, lotado de desconhecidos são alguns oásis de reconhecimento, tão perdidos, dispersos e deslocados quanto eu. Não sei exatamente de onde vim. Minhas memórias são tão escassas quanto meus pares. Não estou aqui, minha alma vagueia em algum lugar distante não menos triste do que aqui, mas extremamente distante. Não consigo convencer-me da realidade desta ilusão de modo que permaneço poucos momentos nela. Sequer meu tempo é este, até porque não acredito no tempo. Mesmo o desejo de deixar de existir é inútil, posto que considero o existir uma idéia pouco viável. Não tenho pais, não tenho parentes, poucos são meus pares.
  • 82.
    80 Me sinto só... G (desconcertada): ... P: O que eu faço, doutora? Seguiram-se risos descontraídos de todos. Alguns indicaram um psiquiatra, mas a maioria indicou um apoio filosófico (tínhamos duas filósofas no curso). A margarida chegou a comentar que não existem pacientes tão complexos. Algumas passagens reais durante o trabalho de implantação do PSF na Vila Maringá de SM podem dizer algo a respeito disso (ver Apêndice I e Apêndice J). 9.4 O DEBATE DO NÚCLEO E CAMPO DA SAÚDE COLETIVA Analisando-se os conceitos de campo e núcleo sob a ótica de Gastão Campos (1997) (ver tópico: alguns conceitos preliminares), questionou-se sobre a possibilidade da saúde coletiva ser um campo ou um núcleo de saberes. Da discussão subseqüente depreendeu-se como núcleo da saúde coletiva um grupo de saberes capaz de articular tanto formação popular em saúde (educação popular), como de profissionais de saúde e de gestores em saúde, às políticas de saúde. A pergunta seguinte foi a respeito de qual seriam os limites do campo da saúde coletiva. Recorreu-se ao conceito modernista da antropofagia (Figura 12), onde impossibilitou-se o vislumbramento de qualquer limite, posto que à saúde coletiva é dada a liberdade de absorver, digerir e aproveitar tudo aquilo que for capaz de assimilar (e não evacuar) de qualquer área do conhecimento humano. Como campo da saúde coletiva entendeu-se o vasto emaranhado de inter-digitações entre toda e qualquer área profissional a que fosse oportunizada a participação em ações de saúde ou afins.
  • 83.
    81 Vendo-se por outro ângulo, poderíamos dizer que tudo o que for aceito como campo dentro de um determinado núcleo de saberes pode ser somado ao campo da saúde coletiva e compartilhado entre seus sujeitos (não confundir com os limites profissionais citados no tópico alguns conceitos preliminares). Núcleos Outros Antroposóficos Campo da Saúde Coletiva Núcleos Núcleos Núcleo Ciências Saúde Sociais e Coletiva Humanas Núcleos Ciências da Saúde Núcleos Ciências Rurais Núcleos Ciências Naturais e Exatas Figura 12 – Perfil antropofágico e integrador da Saúde Coletiva. 9.5 ATIVIDADES VIRTUAIS Embora a prática remonte ao velho Instituto Universal Brasileiro - IUB, a proliferação de iniciativas de Ensino Á Distância - EAD através da Internet é um fenômeno relativamente recente. As novas versões das ferramentas de programação em HTML (HyperText Markup Language) e o incremento da velocidade de acesso à rede abriram um manancial de possibilidades.
  • 84.
    82 Infelizmente, devido ao curto espaço de tempo, não conseguimos implementar toda a proposta de atividades virtuais, prevista no projeto do curso (Apêndice H). Apesar disso, com a atuação de Aline L. Haas, Alexander F. Do Rego, Fernando Bevilacqua e Giovani Gracioli, alunos do Programa Especial de Treinamento – PET do Curso de Ciências da Computação da UFSM, foi possível criar o Instrumento Virtual de Apoio Pedagógico - IVAP. A sigla, de início provisória (por parecer a marca de um desentupidor de pia), acabou pegando e gerando, para estes alunos de segundo e quarto semestre, publicações em congressos estaduais e nacionais, na área de saúde e na de informática. O IVAP ainda está ativo e pode ser visitado no endereço 48 http://www.ufsm.br/ivap . Foi criado como uma primeira experiência em Ensino à Distância – EAD, já prevendo a necessidade desta ferramenta em uma futura RIS. O instrumento produzido (Figura 13) baseia-se na problematização de Freire e tem múltiplas funcionalidades. Além de orientar a maneira como os dados devem ser acessados, armazena todo o conteúdo de forma modular, permitindo também consultas aleatórias (Figura 14). O sistema acumula dados pessoais, textos, discussões (Figura 15) e avaliações (Figura 16 e Figura 17), identificando todos os envios de forma cronológica e nominal, fornecendo as estatísticas (Figura 18) necessárias para o acompanhamento dos trabalhos. 48 Neste endereço, além de vários textos que foram utilizados no curso, pode ser encontrada uma cópia eletrônica desta monografia.
  • 85.
    83 Figura 13 –IVAP: Tela Principal onde são apresentados os últimos textos publicados. O sistema dá acesso total dos textos aos visitantes, acesso limitado das funcionalidades aos alunos, acesso semi-total aos professores e acesso pleno aos administradores. Figura 14 – IVAP: Estrutura de tópicos. Cada vez que um texto é publicado, ele é associado a um tópico especifico de forma a permitir visualização estruturada. O sistema também permite pesquisa aleatória, alfabética ou cronológica dos textos.
  • 86.
    84 Figura 15 –IVAP: Fórum. O módulo de fóruns permite o cadastro e incremento de várias discussões. Figura 16 – IVAP: Postagem de testes. O sistema permite que os professores enviem tanto questões objetivas, quanto questões discursivas. Figura 17 – IVAP: Realização do teste pelo aluno.
  • 87.
    85 Figura 18 –IVAP: Estatísticas.
  • 88.
    86 9.6 O GEOPROCESSAMENTO Santa Maria possui o melhor e mais completo sistema de georeferenciamento de toda a região sul do país, contando com mais de 50 mapas temáticos com uma infinidade de dados e possibilidades de cruzamento (Figura 19). Figura 19 – Geoprocessamento: Capacidade de detalhamento do sistema, partindo de um mapa geral do município até a planta baixa de uma clínica de traumato-ortopedia. Os mapas são públicos, qualquer pessoa pode solicitar acesso a eles. Paradoxalmente, excetuando-se as atividades narradas nesta monografia, este sistema não é utilizado pela área da saúde no município.
  • 89.
    87 Uma das tentativas de resolver esta subutilização foi incluir o uso de mapas digitais nas atividades de territorialização propostas no projeto do curso (Apêndice H) Graças a um dos participantes do curso, o engenheiro eletricista e mestrando em sistemas de informação Cezar Bastianelo Vaz, que realmente deixou de lado a postura de aluno passivo, pudemos ampliar o escopo do curso com atividades teóricas e práticas em geoprocessamento, propostas e implementadas por ele. Foram utilizados os mapas digitais gerados em ambiente CAD (Computer Aided Desing) da Secretaria Municipal de Viação e Transportes de Santa Maria. A região escolhida foi a 11ª Região Sanitária, que foi setorizada e distribuída para 15 duplas de participantes, observando-se critérios de heterogeneidade regional com a finalidade de apresentar aos participantes uma situação rica em detalhes. Um exemplo do instrumento de coleta de dados pode ser observado na Figura 20. Figura 20 – Geoprocessamento: Instrumento de coleta de dados. A frente apresenta o mapa da microregião a ser analizada, a legenda de eventos a serem observados e os dados de identificação. O verso apresenta uma mapa de localização da microregião.
  • 90.
    88 O trabalho foi dividido em três etapas: • instrumentalização dos conceitos de territorialização e localização dos dados espaciais (atividade teórica – 8h); • execução do trabalho de campo (atividade prática 8h); • exercício de análise dos dados coletados sobre a base de mapas digitalizados (atividade teórico-prática – 8h). O grupo apropriou-se das tecnologias de georeferenciamento e da possibilidade de utilização destas tecnologias e dados dentro da área da saúde coletiva. Como exercício prático, uma das variáveis coletadas - esgoto a céu aberto (ver Apêndice H) - foi cruzada com um dado já armazenado no sistema: as curvas de níveis do levantamento topográfico. Através de critérios geodésicos, também disponíveis no sistema, foram calculadas as zonas de propensão ao alagamento. Da sobreposição dos dois dados (esgoto a céu aberto e zonas de alagamento) e considerando-se a taxa de infiltração local do solo, chegou-se às zonas de risco para zoonoses (Fig. 21).
  • 91.
    89 Figura 21a – Levantamento topográfico Figura 21b – Plotagem da localização dos / curvas de nível esgotos a céu aberto (pontos em vermelho). Figura 21c – Zonas de alagamento Figura 21d – Zonas de risco para zoonoses (em amarelo). (em azul). Além das publicações em congressos, esta atividade teve o mérito de realocar recursos da secretaria de obras para a canalização dos esgotos nas áreas de risco identificadas.
  • 92.
    90 9.7 INTERLÚDIO I – TIME IS ON MY SIDE TIME IS ON MY SIDE Time is on my side (Yes it is) Time is on my side (Yes it is) Now you always say that you want to be free But you'll come running back, you'll come running back You'll come running back to me Yeah, time is on my side (Yes it is) Time is on my side (Yes it is) You're searching for good times, but just wait and see You'll come running back... Go ahead, baby, go ahead. Go ahead and light up the town And baby, do anything your heart desires Remember, I'll always be around And I know like I told you so many times before You're gonna come back Yeah, you're gonna come back, baby Knockin', yeah, knockin' right on my door, yeah! Time is on my side (Yes it is) Time is on my side (Yes it is) Cause I've got real the love, the kind that you need You'll come running back... Yeah, time, time time is on my side (Yes it is) I said, time, time, time is on my side (Yes it is) I said, time, time, time is on my side (JAEGER E RICHARDS, 1964) Ninguém com mais propriedade do que Jaeger e Richards para falar sobre isso. Basta olhar para eles. Como eu havia citado no prólogo da metodologia, restavam poucos dias para encerrar o prazo de entrega desta monografia. Mais exatamente, cinco dias que se encerram amanhã. Parecia até sem sentido tentar continuar, visto que ainda havia muito a escrever para chegar em um resultado razoável. Mesmo assim, continuei no mesmo tranco, afinal, este estilo de narrativa está me divertindo bastante e não tenho nada para perder que já não tenha perdido. Voltando um pouco no tempo, em meados de 2004, quando muito já havia sido produzido, implementado e escrito, um grande amigo que apoiou e acompanhou o projeto fez-me o seguinte alerta: Valia a pena continuar produzindo e escrevendo sem nenhum convênio, contrato ou nomeação que garantisse minha continuidade no projeto? Eu não estaria correndo o risco de alguém se apropriar das minhas idéias e simplesmente me excluir?
  • 93.
    91 Invoquei os Stones e lhe disse que o tempo estava do meu lado, eu era jovem, ainda tinha muito caminho pela frente (e tempo para muitas quedas) e na verdade, já tinha chegado muito mais longe do que esperava ter chegado. Mesmo que o projeto fosse usurpado, as sementes já haviam sido lançadas, alguma coisa eu já tinha conseguido. Bem, alguém já deve ter dito que sonhar não custa muito, é só preço da desilusão (se não disseram, estou dizendo). Sempre soube que o risco era grande (risco alto = alta queda ou altos lucros). Na verdade, minha aposta, conhecendo o chão em que nasci e cresci, era entre a idéia ser usurpada e levada adiante ou ser destruída. O fato de alguém se apropriar de um projeto alheio significa, pelo menos, que este alguém acredita na própria competência de implementar a idéia. Infelizmente, no tocante à RIS de SM, optaram pela destruição. Mesmo estando preparado para o que aconteceu a seguir, posso dizer, em tom dramático, que o preço da desilusão foi alto. Mantendo ainda o tom dramático, também posso dizer que, na época, minha única opção foi seguir adiante carregando um filho morto no ventre e aceitando as conseqüentes transformações que esta necrose causaria. Valeu a pena, como demonstrarei mais adiante. Eis que hoje recebo o telefonema de uma colega do Curso de Sanitaristas e de residência no Morro da Cruz (a cirurgiã-dentista Liége Fontanive) com uma boa nova confirmada por um mail do Manoel: o prazo de entrega foi prorrogado para 31 de março de 2006. A contar de agora, tenho mais 14 dias. O tempo continua do meu lado. Fim do Interlúdio I.
  • 94.
    92 10 CONTINUAVA A CHOVER DENTRO DO BARCO Mas nós seguíamos remando. Durante o curso de preceptores ainda trabalhei em dois outros projetos. Os dois tinham o objetivo de fortalecer a saúde no município. O primeiro dizia respeito a informatização do HUSM, mais em especial de seu Serviço de Diagnóstico por Imagem (Anexo D). O segundo tratava de uma proposta de informatização da APS no município (Anexo E). Os dois projetos não dariam nenhum ônus ao município, posto que foram elaborados em convênio com a UFSM e trariam para o município algo em torno três milhões de reais de verbas federais. Tanto o primeiro quanto o segundo foram aprovados pelo MS, mas, estranhamente, nenhum deles foi empenhado. No mesmo período a Secretária de Município de Saúde Ilse Melo elaborou uma proposta de assessoria para incrementar a organização da SMS. Entre outros itens a proposta tratava do organograma interno da SMS, do controle de insumos, exames e equipamentos, da informatização da rede municipal de saúde e do fluxo de dados e informações. A proposta, apesar de, claramente, trazer benefícios para o município, foi derrubada no CMS por um grupo que será discutido nas considerações finais. Talvez as propostas tenham sido derrubas pelo fato de que, se implementadas, possibilitariam ao gestor e ao controle social o acesso a informações do tipo quem está fazendo o quê, quando, aonde, em quanto tempo e gastando quais insumos.
  • 95.
    93 11 E COMEÇA A SURGIR O PSF DE SM O PSF foi criado em 1994 e em 2003 ainda não dava sinais de chegar a Santa Maria. Ótima solução para cidades de pequeno porte que tinham a APS respondendo por quase 100% de suas responsabilidades gerenciais e uma dor de cabeça (se possível, mantida a distância) para gestores de municípios maiores que ainda tinham que lidar com a média e a alta complexidade. A ESF abriu uma grande brecha para a expansão da Atenção Primária – APS. Sua rápida expansão gerou, porém, um pequeno problema: pelos números do Ministério da Saúde - MS, em 2004, já haviam sido implantadas 20.000 equipes de saúde da família e pelos registros da Sociedade Brasileira de Medicina de Família e Comunidade – SBMFC estavam em atividade apenas 2.000 médicos de família e comunidade. Nas áreas de enfermagem e odontologia, o quadro com certeza é bem pior. Ou seja, quem está na ponta, fazendo APS, foi talhado para fazer APS? Numa das idas a POA, para freqüentar o Curso de Sanitaristas, em agosto de 2003, fui abordado pela pedagoga Rose Dorigon. Ela me entregou uma cópia de um tal de PROESF 49 , dizendo: “Isso vai ser útil para o que tu estás fazendo em Santa Maria. Olha com atenção.” Olhei rapidamente e vi que tinha algo a ver com o PSF para municípios com mais de 100.000 habitantes. Dava para perceber que era importante, mas eu estava envolvido demais com o Curso de Preceptores e com o Curso de Sanitaristas, cada um com atividades quinzenais, fazendo-me pipocar entre SM e POA. Por intuição, entreguei o material para a Benildes, que com a ajuda do técnico de enfermagem e assistente administrativo da SMS Arno Becker o transformou numa das melhores propostas de implantação de PSF no estado (a outra foi a de Cruz Alta). Segundo Schmitz et al (2004), o PROESF iniciou com a criação de 9 equipes e a intenção de ampliação para 25 equipes (40% da população) em 2004, chegando em 70% de cobertura, com 43 equipes, em 2007. O processo seletivo das primeiras nove equipes resultou num grupo formado por uma mescla de recém egressos de 49 Projeto de Expansão e Consolidação da Saúde da Família.
  • 96.
    94 centros de formaçãoem saúde coletiva, profissionais oriundos da rede e vindos de experiências de ESF de outros municípios. Depois de uma capacitação inicial, a composição heterogênea do grupo permitiu a análise comparada das experiências locais sob a ótica de um referencial teórico em saúde coletiva. Numa construção coletiva, foram eleitos eixos temáticos essenciais para a ESF: • Cotidiano (territorialização, cadastramento, prontuários, agenda essencial, processo de trabalho); • fluxos (referência e contra-referência, capacidade municipal instalada de serviços, exames e farmácia); • protocolos (programas instituídos, rotinas ministeriais já instituídas, necessidades locais) e • intersetorialidade (redes formais e informais, públicas e privadas). Para cada eixo formou-se uma comissão de trabalho que contivesse integrantes das três profissões da ESF e das diferentes equipes. A Comissão de Cotidiano lançou as diretrizes para os seguintes itens: • Territorialização, cadastramento, arquivamento - prontuários (Figura 22); • regulamentação de Horários; • planejamento de Reuniões; • comissão de Avaliação; • educação Permanente; • processo de Trabalho.
  • 97.
    95 a) b) 017MGA01ILE034 PREFEITURA MUNICIPAL DE SANTA MARIA SECRETARIA DE MUNICÍPIO DA SAÚDE c) ESTRATÉGIA DE SAÚDE DA FAMÍLIA CARTÃO PROVISÓRIO DA FAMÍLIA Espaço para carimbo e rubrica Nº 017MGA01ILE014 d) Figura 22 - Ferramentas de territorialização. a)Mapa digital da cidade; b)Mapas impressos para as equipes, identificando cada micro área com uma cor padrão, a situação espacial da micro área na área e da área no município; c) Prontuário com codificação padronizada e identificação da cor da micro área; d) Cartão provisório de identificação do usuário. A Comissão de Fluxos realizou um extenso levantamento da capacidade municipal instalada e do sistema de referência e contra-referência (Figura 23), bem como do sistema de marcação de exames-procedimentos e farmácia, apresentando propostas para o controle de materiais-medicamentos e para um sistema humanizado de referência e contra-referência.
  • 98.
    96 HCS CMI SPAH PAM HUSM UBR PS UBS CAPS CEDAS PV PSF HUSM CAPS POPULAÇÃO AMB AD TERRITORIALIZADA ROSÁRIO ASM HUSM INT HANSEN TB PRIMÁRIO 4ªCRS SECUNDÁRIO TERCIÁRIO Figura 23 - Capacidade da rede pública municipal de saúde/Fluxo espontâneo e dirigido da população. 4ªCRS=Quarta Coordenadoria Regional de Saúde; Int=internação; HUSM=Hospital Universitário de Santa Maria; PS=Pronto Socorro; SPAH = Serviço de Pós-Alta Hospitalar; HCS=Hospital Casa de Saúde; CMI=Centro Materno-Infantil; PAM=Pronto Atendimento Municipal; CAPS-PV e CAPS-AD=Centros de Atenção Psico-Social; ASM=Ambulatório de Saúde Mental, HANSEN=Serviço de Hanseníase; TB=Serviço de Tuberculose; ROSÁRIO e CEDAS=Centros de Atenção Secundária; UBR=Unidade Básica de Referência; UBS=Unidade Básica de Saúde; PSF=Unidade de Saúde da Família. A Comissão de Protocolos produziu um documento que reúne os textos oficiais mais atualizados no que diz respeito aos protocolos de saúde da criança (puericultura, primeira infância, pré-escolar, escolar) e do adolescente, saúde da mulher (planejamento familiar, pré-natal, puerpério, prevenção do câncer feminino, orientação para o climatério, ginecologia básica ) e saúde do adulto e do trabalhador (hipertensão e diabete, proteção respiratória, saúde mental, tuberculose e hanseníase, geriatria ). A Comissão de Intersetorialidade saiu em campo realizando contatos com associações comunitárias, instituições de ensino, órgão municipais, estaduais e federais e organizações não governamentais produzindo um relatório das atividades realizadas pelas redes formais e informais, públicas e privadas, ao mesmo tempo em que colocou estas redes a par da filosofia de trabalho da ESF e das possibilidades de integração (Figura 24).
  • 99.
    97 Tudo isso foi realizado no início de 2004, antes das eleições, quando ainda tínhamos alguma voz ativa junto à gestão e a secretária de saúde ainda era a Ilse. INTERSETORIALIDADE CONTROLE SOCIAL ASSISTÊNCIA SOCIAL MEIOS DE COMUNICAÇÃO ONGS REDE SECRETARIAS PRIV ADA GESTÃO SAÚDE AMBIENTAL OBRAS EDUCAÇÃO SANEAMENTO FÓRUM DE POLÍTICAS SOCIAIS TRANSPORTE CULTURA DEFESA CIVIL Figura 24 - As redes de Santa Maria.
  • 100.
    98 12 A ISONOMIA SALARIAL E A VALORIZAÇÃO DA FORMAÇÃO PROFISSIONAL - IS&VP 50 Vozes da seca (GONZAGA e DANTAS, 1974) Seu doutô os nordestino têm muita gratidão Pelo auxílio dos sulista nessa seca do sertão Mas doutô uma esmola a um homem qui é são Ou lhe mata de vergonha ou vicia o cidadão 51 É por isso que pidimo proteção a vosmicê Home pur nóis escuído para as rédias do pudê Pois doutô dos vinte estado temos oito sem chovê Veja bem, quase a metade do Brasil tá sem cumê Dê serviço a nosso povo, encha os rio de barrage Dê cumida a preço bom, não esqueça a açudage Livre assim nóis da ismola, que no fim dessa estiage Lhe pagamo inté os juru sem gastar nossa corage Se o doutô fizer assim salva o povo do sertão Quando um dia a chuva vim, que riqueza pra nação! Nunca mais nóis pensa em seca, vai dá tudo nesse chão Como vê nosso distino mercê tem nas vossa mãos 12.1 INTERLÚDIO II - SUBVERTENDO UMA LÓGICA: UM ARTIGO QUE ENTRA AO INVÉS DE SAIR Normalmente é a monografia que, após ser concluída, pode ter um artigo, extraído de seu corpo de texto. Como o leitor já deve ter notado, esta é uma monografia em tempo real. Neste exato momento, estou no dia 22/03/2006, ou seja, a nove dias do final do prazo. Portanto, dado a urgência, a partir do final deste segundo interlúdio, estarei expandindo o texto de um artigo escrito em setembro de 2005, para o I Congresso Gaúcho e Sul Brasileiro de Medicina de Família e Comunidade. O artigo “O impacto da adoção da isonomia salarial e valorização da formação profissional (IS&VP) no Programa de Saúde da Família” possui uma narrativa completamente imbricada com os fatos que ocorreram de dezembro de 2003 a janeiro de 2005. 50 Isonomia aponta para salário, salário para dinheiro, dinheiro para mercado, por isso o “&” comercial na sigla. 51 O Grifo é meu. Trecho citado pelo deputado pernambucano Roberto Freire, em crítica ao Programa Fome Zero, do governo federal.
  • 101.
    99 Vale a regra temporal: para que o leitor possa se orientar, o texto do artigo estará no formato de letra Times New Roman enquanto as inclusões escritas a partir de agora estarão no formato de letra Arial. Nesta altura do curso de preceptores, estávamos estudando o Planejamento Estratégico Situacional – PES de Carlos Matus (1994) e pensando qual seria a melhor atividade prática para sedimentar estes conhecimentos, quando a Benildes entra na sala de aula dizendo que o projeto do PSF para o município havia sido aprovado no CMS com IS&VP e o EM planejava encaminhar uma proposta de projeto contrariando esta situação. Contextualizando a situação: estávamos no final do curso, o grupo de participantes já se sentia naturalmente engajado na construção da RIS. Nas discussões o PSF era visto como uma importante ferramenta capaz de realizar a terraplanagem necessária para o início da RIS, ou seja, um instrumento de alteração de modelo de atenção em saúde. Um prolongado embate político entre o EM e o CMS, possivelmente se estenderia ao Legislativo Municipal - LM, atrasando sine die a implantação do PSF. Contextualizando minha participação: venho de uma residência onde trabalhei em condições inóspitas (Morro da Cruz - POA) com mais duas colegas médicas e cinco colegas de outras profissões (enfermagem, odontologia, nutrição, psicologia e serviço social). Todos residentes, todos com nível superior, todos recebendo a mesma bolsa. Durante dois anos, pude perceber qual era a capacidade de resolução de um médico sozinho em comparação com a de uma equipe de profissionais de saúde. Conforme explicitado na dinâmica do paciente in(ter)disciplinado, é impossível fazer integralidade com apenas uma profissão, extremamente difícil com duas e nada fácil com três (alguém pensou no PSF?). Certo, existem regras de mercado que, conforme veremos no artigo que segue, são estruturas genotípicas bastante sedimentadas e muito difíceis de serem alteradas. Mas nada é impossível.
  • 102.
    100 A bandeira da distribuição da renda é como a bandeira do combate a fome. Conforme Duncan (2004), a fome é menos prevalente que a desnutrição crônica, que por sua vez é menos prevalente que a miséria. Assim como a fome é um subproduto da miséria, o dinheiro é um subproduto do poder. Apenas atirar dinheiro aos menos favorecidos é como apenas jogar comida aos famintos, ou seja, uma solução paliativa, imediatista e populista. O termo “apenas” significa que não excluo ações de caridade como necessárias, mas que são insuficientes em si só e, em alguns casos, até iatrogênicas, como bem diz a letra da música acima. Distribuir renda passa, portanto pela distribuição do poder. Ao lutar pela IS&VP, algo que faço até hoje, apesar de acreditar que sou o único médico em SM que faz isso, usei o poder e a influência da minha categoria profissional para empoderar outras profissões. Lutar pelo SUS não é uma questão apenas médica, é uma questão de todas as áreas de saúde. Uma luta que precisa de grupos fortes para ser vencida. Cito a fala dos integrantes da Comissão Multiprofissional de Saúde que lutou pela IS&VP (2003): Espírito de equipe: embora todos os brasileiros sejam iguais perante o estado, a grande maioria dos problemas de nosso país está ligada à extrema riqueza de poucos em relação à extrema miséria de muitos. Todos (médicos, enfermeiros, cirurgiões-dentistas, etc.) são profissionais de nível superior e totalmente capacitados dentro de suas áreas profissionais. O comprometimento está muito menos vinculado ao valor do salário do que a não diferenciação salarial. A eliminação das diferenças valoriza os profissionais e fortalece o sentimento de união. Equipes integradas são extremamente mais produtivas e resolutivas do que profissionais isolados em seus consultórios Felizmente, a implantação da IS&VP ocorreu antes da caça às bruxas do ato médico. Quanto à lei do ato médico, numa primeira instância eu era contra a lei, depois passei a vê-la como uma disputa mercadológica e hoje a considero uma discussão fútil. Por esta época, eu havia ganhado mais uma importante aliada, a cirurgiã- dentista, especialista em educação, saúde mental coletiva, saúde pública, formação
  • 103.
    101 de consultores emestra em administração Nara Rúbia Zardin. A Nara juntou-se ao grupo, quando formamos a equipe de discussão da ênfase de GSSS. Finalmente alguém para falar sobre magia e meditação. Voltando a questão da IS&VP no Curso de Preceptores, sensibilizados pela Benildes, alguns participantes do curso resolveram tomá-la como exercício do PES, conforme veremos no artigo que segue. Fim do Interlúdio II 12.2 O impacto da adoção da isonomia salarial e valorização da formação profissional (IS&VP) no Programa de Saúde da Família 12.2.1 Autores do artigo: Carlos André Aita Schmitz1,2 Benildes Maria Mazzorani2 Nara Rúbia Zardin2 Fabiane Paz1 Adriane Fleig1 Adriana Viana Sobrosa2 1 Joziane de Assunção Nobre2 Prefeitura Municipal de Santa Maria Luiz Carlos Carneiro Pereira2 2 Faculdade Santa Clara 12.2.2 Introdução do artigo Em dezembro de 2003 uma comissão multiprofissional - CM oriunda de um curso de formação de preceptores (SCHMITZ, 2004), usando o método do Planejamento Estratégico Situacional - PES (MATUS, 1994), influenciou fortemente a adoção da isonomia salarial e valorização da formação profissional-IS&VP no Programa de Saúde da Família - PSF do município de Santa Maria-RS.
  • 104.
    102 Passados 16 meses da implantação do PSF, faz-se uma descrição dos eventos da época e uma proposta de avaliação do impacto da IS&VP. 12.2.3 Objetivo do artigo Descrever o processo de implantação da isonomia salarial e valorização profissional sob o prisma do Planejamento Estratégico Situacional. 12.2.4 Metodologia do artigo Delineamento do estudo: Estudo descritivo exploratório. Segundo critérios de pesquisa documental referidos por Lakatos (2001), foram resgatados os seguintes documentos: Projeto de Expansão e Consolidação da Saúde da Família - PROESF (Secretaria de Município da Saúde - SMS, 2003); atas (Conselho Municipal de Saúde - CMS, 2003a, 2003b, 2003c, 2003d); proposta da CM (CM, 2003); Lei Municipal 4721/03 (Câmara de Vereadores - CM, 2003). Destes documentos, foram extraídos os fragmentos que contextualizam a implantação da IS&VP e os embates políticos ocorridos na época. Através das listas de classificados dos três processos seletivos do PSF (jan/04, jul/04 e fev/05) e do atual quadro funcional fornecidos pelo Setor de Recursos Humanos da SMS, foram montadas três tabelas demonstrativas da evolução do quadro de recursos humanos no decorrer da implantação do PSF. A discussão dos resultados é feita à luz do PES, que, na época, foi utilizado como estratégia de ação. 12.2.5 Resultados do artigo
  • 105.
    103 12.2.5.1 Extratos documentais Os extratos documentais serão apresentados em ordem cronológica com o seguinte formato: n)<órgão de origem> / <documento> / <data ou período> / <descrição de contexto> <extrato>. 1)Secretaria de Município da Saúde / Projeto de Expansão e Consolidação da Saúde da Família / Agosto de 2003 / Primeira menção à IS&VP. (...)Previsão de remuneração: -Profissionais de nível superior: Médico, Enfermeiro, Odontólogo 52 ; Remuneração Bruta: R$ 2.500,00. Está, poderá ser acrescida de 20% para os titulados, em Cursos reconhecidos, de Especialização em Saúde Pública, Coletiva e ou Saúde da Família (360 hs no mínimo); e ou 40% para os titulados em Cursos de Residência Integrada em Saúde Coletiva e ou similar. Estes profissionais poderão atingir uma remuneração bruta de até R$ 3.500,00. 2)Conselho Municipal de Saúde / Ata da reunião ordinária / vinte e um de agosto de dois mil e três / Aprovação do PROESF, incluindo a IS&VP. (...)RESOLVE: aprovar o Projeto de Expansão e Consolidação da Saúde da Família/PROESF(...) 3)Conselho Municipal de Saúde / Ata da reunião ordinária / quatro de setembro de dois mil e três / Aprovação do Curso de Preceptores. (...)Curso de Educação em Saúde Pública(...) Carlos André Aita Schmitz, Médico de Família, apresentou o curso, tendo como objetivo formar equipes multiprofissionais(...) com a finalidade de implantar uma residência acadêmica integrada em saúde coletiva(...) A plenária do CMS aprovou por unanimidade(...)RESOLVE: aprovar a realização do Curso de Educação em Saúde Pública, voltado para formação de Preceptores (...) 4)Conselho Municipal de Saúde / Ata da reunião ordinária / seis de novembro de dois mil e três / Choque entre o Executivo Municipal - EM e o CMS. 52 Apesar de muito utilizado, o termo “odontólogo” não existe em nenhum documento oficial da odontologia. Os formandos do curso de odontologia recebem o título de cirurgiões-dentistas.
  • 106.
    104 (...) o Executivo Municipal alega que havendo a isonomia entre os cargos de nível superior, o valor da folha de pagamento ficaria muito elevado, o que causou grande discussão na plenária; e esta RATIFICOU sua posição(...) RESOLVE: aprovar a manutenção do projeto original de Expansão e Consolidação da Saúde da Família/PROESF (...), mantendo a isonomia salarial entre os profissionais de nível superior. 5)Comissão Multiprofissional / Proposta de isonomia / 3 de dezembro de 2003: Comparação da proposta do EM com a proposta da CM, apresentação de valores salariais mais atrativos e argumentação. 53 (...) A proposta que atualmente tramita nos órgãos competentes está formatada com salários básicos diferenciados para médicos e enfermeiros, contando com acréscimos não cumulativos de 20% e 50%, respectivamente para Especialização em Saúde da Família/Saúde Pública e Residência em Medicina de Família e Comunidade/Residência Integrada em Saúde Coletiva. Médicos: Básico: R$ 3.000,00 20% para especialização: R$ 600,00 R$ 3.600,00 * 50% para residência: R$ 1.500,00 R$ 4.500,00 * * Valor básico com o acréscimo. Enfermeiros e outros profissionais de nível superior: Básico: R$ 2.000,00 - R$ 1.000,00 ** 20% para especialização: R$ 400,00 R$ 2.400,00 * - R$ 1.200,00 ** 50% para residência: R$ 1.000,00 R$ 3.000,00 * - R$ 1.500,00 ** * Valor básico com o acréscimo. ** Diferença em relação ao salário dos médicos. Segundo o entendimento desta comissão e baseado nos argumentos que serão tecidos na seqüência, o desenho ideal da proposta de vencimentos deve ser isonômico, contando com acréscimos não cumulativos de 34% e 67%, respectivamente para Especialização em Saúde da Família/Saúde Pública e Residência em Medicina de Família e Comunidade/Residência Integrada em Saúde Coletiva, conforme esquema abaixo: Básico: R$ 3.000,00 * 34% para especialização: R$ 1.020,00 R$ 4.020,00 ** 67% para residência: R$ 2.010,00 R$ 5.010,00 ** * Para todos os profissionais de nível superior ** Valor básico com o acréscimo. Serão apresentados argumentos de base política, filosófica e financeira. Base política: • Inovação política(...) • Risco político(...) 53 A proposta completa está no Anexo F.
  • 107.
    105 • Consenso municipal: uma proposta isonômica, defendida pelo poder executivo, pelo Conselho Municipal de Saúde e por grupos multidisciplinares de trabalhadores em saúde evita desgastes políticos desnecessários e garante a governabilidade (...) Base filosófica: • Comprometimento: vencimentos condignos, vinculados à formação profissional, permitem um trabalho transparente, com cumprimento de horário, de atividades e de responsabilidades; • Espírito de equipe(...)Todos (médicos, enfermeiros, cirurgiões-dentistas, etc.) são profissionais de nível superior e totalmente capacitados dentro de suas áreas profissionais. O comprometimento está muito menos vinculado ao valor do salário do que a não diferenciação salarial.(...); • Alteração de modelo de atenção(...); • Estímulo à formação profissional, seleção de perfil e chamamento profissional: (...)valorização salarial por níveis crescentes de formação profissional(...) atrairá profissionais altamente especializados, de várias áreas, de um centro formador que é referência nacional há quase três décadas (Porto Alegre), e d) fortalecerá as iniciativas locais em andamento que possibilitarão ao município de Santa Maria tornar-se um centro regional de formação de recursos humanos para o SUS [Sistema Único de Saúde]; Base financeira: • Manutenção do atrativo salarial:(...) teto salarial de R $ 5.000,00 (...) • Relação custo/benefício:(...) • Impacto financeiro:(...) 6)Conselho Municipal de Saúde / Ata da reunião ordinária / quatro de dezembro de dois mil e três: Conciliação entre o Executivo Municipal e o CMS. (...)O Sr. Prefeito recebeu os profissionais de saúde(...) ficou sensibilizado com a solicitação e determinou a retirada do Projeto do PSF da Câmara Municipal de Vereadores, para retificar colocando a isonomia. 7)Câmara de Vereadores / Lei Municipal Nº 4721/03 / 17-12-2003 / Consenso entre os poderes. Note-se que do lançamento da proposta da CM até a aprovação da lei transcorreram-se apenas 14 dias. (...)Prefeito Municipal(...)FAÇO SABER(...) que a Câmara de Vereadores aprovou e Eu sanciono e promulgo(...) Art. 4º. Para ingresso e permanência no Programa de Saúde da Família será exigido aos profissionais de nível superior curso de especialização e ou residência nas áreas de Saúde da Família, Saúde Pública ou Saúde Coletiva. Parágrafo único – Na ausência de profissionais com estes requisitos completos, poderão ser admitidos outros, com experiência mínima comprovada de 02 anos em serviços públicos de atenção básica, desde que apresentem comprovação de matrícula em até 90 dias, a contar da data do ingresso no programa, bem como comprovação de freqüência regular em curso de especialização nas áreas de Saúde da Família, Saúde Pública e/ou Saúde Coletiva. Art. 7º. A remuneração básica (...) será a seguinte: - Médico..................... R$ 3.000,00 - Enfermeiro............... R$ 3.000,00 - Odontólogo.............. R$ 3.000,00 (...)
  • 108.
    106 Art. 9º. Todos os profissionais lotados no programa receberão gratificação especial, desde que preencham os requisitos abaixo: 34% (...) para os que tiverem curso superior, com titulação em curso de especialização em Saúde Pública, Saúde Coletiva ou Saúde Familiar, com carga horária igual ou superior a 360 horas; 67% (...) para os que tiverem curso superior, portadores de residência integrada em Saúde Coletiva, residência em Medicina de Família e Comunidade e Residência em Medicina Geral Comunitária, com carga horária igual ou superior a 2.800 horas anuais. (...) 12.2.5.2 Tabelas funcionais Tabela 4 - Quantidade de profissionais por área de atuação, classificados nos três processos seletivos do PSF. Área Jan/2004* Jul/2004 Fev/2005** Medicina 9 6 11 Enfermagem 44 16 106 Odontologia 0 6 37 Fonte: Setor de Recursos Humanos – Secretaria de Município da Saúde. Notas:*Neste primeiro processo não estavam previstas as equipes de saúde bucal. **A maioria dos profissionais aprovados nesta seleção ainda aguarda chamada. Quatro deles são provenientes do Curso de Formação de Sanitaristas da Escola de Saúde Pública-RS. Tabela 5 - Perfil profissional do PSF em julho de 2005, considerando graduação, especialização em Saúde Coletiva e Residência Integrada em Saúde ou Residência em Medicina de Família e Comunidade. Área Graduação Especialização Residência Totais Medicina 6 5 5 16 Enfermagem 2 11 3 16 Odontologia 1 3 1 5 Totais 9 19 9 37 Fonte: Setor de Recursos Humanos – Secretaria de Município da Saúde. Tabela 6 - Evasões até julho de 2005, considerando graduação, especialização em Saúde Coletiva e Residência Integrada em Saúde ou Residência em Medicina de Família e Comunidade. Área Graduação Especialização Residência Totais Medicina 2 2 2 6 Enfermagem 0 1 0 1 Odontologia 0 1 0 1 Fonte: Setor de Recursos Humanos – Secretaria de Município da Saúde. 12.2.6 Discussão do artigo 12.2.6.1 A trajetória:
  • 109.
    107 Ao discutirmos a adoção da IS&VP no PSF de Santa Maria é importante ressaltar que o grupo de colaboradores que pensou o PSF local o tinha, além de ferramenta de reestruturação do sistema, como um meio para se atingir a implantação de uma Residência Integrada em Saúde - RIS. Conforme se constata no extrato 1, o marco inicial da IS&VP é lançado pelos técnicos da SMS na redação do PROESF local que é aprovado, no seu conjunto, pelo CMS em agosto de 2003 (extrato 2). Tudo indica que, neste primeiro momento, a IS&VP passaram despercebidas e sem maiores discussões. Após várias resistências políticas, é iniciado, em setembro de 2003 (extrato 3) o I Curso de Educação em Saúde Pública Voltado Para a (De)Formação de Preceptores (SCHMITZ, 2004). Este curso, de caráter interinstitucional e multiprofissional, já vinha sendo idealizado desde o início de 2003 e reuniu 30 profissionais de 14 áreas e de quatro instituições de Santa Maria, aumentando e sedimentando o grupo de colaboradores. O curso objetivou o início da formação de grupos multiprofissionais capazes de atuar na reformulação do modelo local de atenção à saúde e no projeto e implantação de uma RIS. Neste ponto, é importante citarmos a teoria da produção social da saúde (Matus,1994) que enxerga uma ação em saúde como um jogo (ou sistema) regido por regras (genoestruturas), que foram definidas em outros jogos e são de difícil mutabilidade. Os atores deste jogo apresentam acumulações positivas ou negativas (fenoestruturas) que representam suas potencialidades ou capacidades para a produção de jogadas. As jogadas ou fluxos (fenoproduções) são ações ou movimentos que irão influir nas fenoestruturas ou até mesmo nas genoestruturas. Dentro desta ótica, a reestruturação de um modelo de atenção em saúde é, pois, uma forte mudança genoestrutural que requer acumulações (e distribuição) de poder para outros atores que não os habitualmente fortalecidos por um modelo hegemônico. Em novembro de 2003, durante a execução do curso, como resposta à primeira jogada, o modelo hegemônico automaticamente responde na forma de resistência, como pode ser visto no extrato 4. O EM, assessorado por profissionais de saúde (todos não médicos), assume que os médicos do PSF devem (como definido pelo mercado) ganhar mais que os demais
  • 110.
    108 profissionais de nívelsuperior, entrando em choque com uma deliberação do CMS (principal nó crítico) e criando o risco de adiamento sine die da implantação do PSF. É neste ponto que alguns profissionais do acima citado curso, por acaso encerrando o módulo de PES, decidem intervir criando uma Comissão Multiprofissional de Trabalhadores de Saúde-CM, pois enxergavam o PSF como um caminho para a RIS. A partir deste ponto da narrativa, pode-se contar o tempo em dias. A CM é formada em um sábado, dia 29 de novembro de 2003 e tem sua primeira reunião no domingo (30/11/03), fazendo parte dela quatro dos cinco médicos de família da cidade, bem como duas enfermeiras e um cirurgião-dentista. O grupo entendeu a adoção da IS&VP como uma fenoprodução (geração de um fato) capaz de produzir não apenas distribuição de poder como de atrair profissionais dos centros formadores de saúde pública de Porto Alegre, gerando uma massa crítica local em direção às mudanças desejadas. Além disso, a IS&VP destacaria Santa Maria de forma diferenciada, não só politicamente, como tecnicamente num contexto de inovação e mudança solicitado pela agenda contemporânea do SUS. Estando o problema delimitado e descrito, levando-se em conta o cenário de proximidade de uma campanha eleitoral, fez-se o levantamento e a análise dos principais atores envolvidos e de sua inclinações perante o fato em questão: Secretaria de Município da Saúde-SMS (pró-IS&VP), EM (não isonômico), CMS (pró-IS&VP) e Câmara de Vereadores- CV (indefinida). Ficou também definida a estratégia de ação e o plano geral de argumentação. Na segunda-feira (1º/12/03), de posse dos primeiros argumentos, a CM tem acesso à SMS que entra em contato telefônico com o EM. A notícia de que quatro médicos estavam advogando pela IS&VP sensibilizou o EM que suspende temporariamente o envio de uma proposta não isonômica ao CMS e que configuraria um embate entre os dois. Na terça-feira(2/12/03), a SMS libera seus técnicos para, junto com a CM, calcular uma nova proposta que seja isonômica, valorize a formação profissional e tenha valor de mercado (extrato 5). Mesmo com toda a sensibilização, na quarta-feira (3/12/03) a SMS dirige-se em audiência ao EM, levando duas propostas para serem apreciadas: a proposta isonômica da CM e uma proposta alternativa, não isonômica (extrato 5). A CM assume um plano de
  • 111.
    109 contingência e consegueparticipar, na ultima hora, da audiência, garantindo a aprovação da proposta isonômica pelo EM. A nova proposta é imediatamente submetida ao CMS que a aprova em reunião preliminar e a remete para plenária na quinta-feira (04/12/03), onde também é aprovada (extrato 6), passando o EM à redação da lei a ser enviada a CV. O próximo passo foi a Comissão de Saúde - CS da CV, no dia 9/12/03, terça-feira. Adotou-se o mesmo procedimento dos passos anteriores, com a presença completa da CM fazendo a leitura e defesa da proposta. A CS opta por defender a proposta e esta é encaminhada para a primeira avaliação em plenário em 11/12/03 (quinta-feira), novamente com a defesa da CM, sendo aprovada por unanimidade. A segunda avaliação e aprovação ocorre na terça-feira dia 16/12/03 com a redação final da lei datada no dia seguinte (extrato 7). Portanto, a partir do lançamento oficial da proposta em 3/12/03 até a promulgação da lei em 17/12/03, passaram-se céleres 14 54 dias o que aponta para um forte interesse em todos os atores envolvidos. 12.2.6.2 Os fatos seguintes: O trabalho da CM permitiu a criação de um consenso municipal que uniu SMS, EM, CMS e CV, fato de ocorrência rara no município. Isto foi alcançado graças a forma clara de apresentação da proposta, com bases filosóficas, políticas e financeiras bem definidas (extrato 5). O fato de, na época, o PSF, apesar da proximidade de um ano eleitoral, ainda não ser visto como uma ferramenta política para a re-eleição do EM, também colaborou, pois todos os seguimentos ainda enxergavam possibilidades de contabilização política. Percebendo a força política do PSF, o EM afasta o grupo técnico de características apartidárias do foco das decisões em favor de um grupo partidário fechado. Este novo grupo passa a trabalhar a implantação do PSF em função das eleições de 2004. 54 Catorze dias também foi o tempo utilizado para planejamento, coleta dos dados e confecção deste artigo.
  • 112.
    110 O primeiro processo seletivo acontece em janeiro de 2004, fazendo com que vários integrantes do grupo técnico afastado assumam posições de trabalho na ponta, numa tentativa de fortalecer o PSF e manter viável a possibilidade de implantação da RIS. O processo contou com a avaliação curricular, onde a formação profissional e tempo de experiência específicos em saúde pública foram privilegiados e com a realização de uma entrevista coletiva, simulando uma situação de Atenção Primária em Saúde - APS com o fim de avaliação do perfil profissional. A banca de avaliação contou com a presença de representantes da SMS, do CMS e da CV. Os políticos de oposição também percebem a força política do PSF e, apesar de terem participado da banca de seleção, instauram a CPI do PSF com o objetivo de impugnar o processo e com a justificativa de que haveriam irregularidades no processo seletivo. Após várias investigações e depoimentos a CPI perde crédito por afirmar em seu relatório final que restavam dúvidas quanto à regularidade do processo seletivo, sem apresentar maiores evidências, ou seja, o mesmo que havia sido utilizado como justificativa para a implantação da CPI. 12.3 INTERLÚDIO III – DADOS QUE NÃO CONSTARAM NO ARTIGO “Se um dos vícios do sistema privado é preterir a produção real de saúde em favor do lucro, o mesmo pode ser dito do sistema público em função do voto.” (eu mesmo, 2005) 12.3.1 UM TRIPÉ MANCO O tripé que havia perdido seu pé estadual agora via balançar o pé municipal. Discutir a RIS havia deixado de ser uma prioridade em função da re-eleição do EM. Isso ficou óbvio quando tentei ir para o VI Congresso da Sociedade Brasileira de Medicina de Família e Comunidade. Não recebi uma dispensa de apenas cinco dias, apesar dos seguintes argumentos:
  • 113.
    111 • O posto da Vila Maringá, para onde fui designado, nem sequer estava operacional, ainda estava em construção; • o congresso teria uma mesa redonda e um grupo de discussão exclusivo para residências em Medicina de Família e Comunidade; • eu estaria representando a administração municipal com a apresentação de três trabalhos em seqüência e teria 45 minutos para falar sobre SM 55 . Felizmente o Nílson conseguiu ir ao congresso. Além de apresentar os trabalhos, fez um justo protesto por todos nós improvisando, com fita isolante, uma tarja preta sobre o brasão de SM. Apesar disso, continuamos trabalhando. Os sobreviventes do curso de preceptores receberam algum reforço dos profissionais selecionados para o PSF. Novos contatos universitários e municipais foram realizados, a fim de montar, pelo menos três grupos de trabalho, um para cada ênfase da RIS. Conquistamos uma vaga no CMS e passei a ser um dos três representantes dos trabalhadores do PSF no conselho. Também precisávamos de um pé para substituir a perda estadual. Para tanto, eu o Manoel, o Nilson e a Rose, invadimos, sem convite, a festa de aniversário de Ricardo Ceccim, ex-diretor da ESP, agora diretor do Departamento de Gestão da Educação na Saúde – DEGES, da Secretaria de Gestão do Trabalho e da Educação na saúde - SGTES, do MS. Aproveitando que o Manoel e o Nílson tinham intimidade para tal invasão, durante a festa, sob protesto dos convidados, realizamos uma reunião de mais de uma hora e meia, apresentando para o Ricardo a proposta da RIS de SM. Granjeamos o MS como aliado, com direito a comes e bebes após a conversa. Com o apoio de um MS do mesmo partido do EM, a proposta da RIS voltou a ganhar corpo até o ponto de tornar-se uma proposta de governo e passar a freqüentar os palanques eleitorais. Desde que, é claro, não atrapalhasse a implantação do PSF. 55 No eixo em que me inscrevi, dos 40 trabalhos inscritos, 7 foram selecionados para apresentação oral (15 minutos cada), deste sete, três eram meus. Os três trabalhos inscritos foram sobre o curso de preceptores, o geoprocessamento e o IVAP.
  • 114.
    112 Aqui, mais uma vez, eu caía no erro de seguir os ventos partidários. Estávamos em ano eleitoral. O Ricardo havia negociado com a CNRM um prazo extraordinário para envio de programas de residência médica de interesse do MS (MFC, psiquiatria e MPS) até outubro de 2004 e queria o início da RIS em fevereiro de 2005. Logo, tínhamos menos de oito meses para preparar tudo: • negociação política entre UFSM e PMSM; • articulações e formação de grupos técnicos de trabalho; • projeto da RIS; • projeto da Residência de Medicina de Família e Comunidade; • preparação de preceptores; • definição e preparação de espaço físico; • envio de um pedido de credenciamento provisório para a Comissão Regional de Residência Médica - CRRM; • visitação das instalações das residências médicas pela CRRM; • elaboração do processo seletivo e do edital de seleção; • submissão do edital de seleção à CRRM; • realização do processo seletivo Desta vez até que não foi um erro tão grande. Se em 2003 não havia massa crítica e implantar uma RIS sozinho era impossível, agora eu tinha muitos colaboradores. Seria extremamente difícil, mas não impossível. Tudo teria que ser feito com muita rapidez. Se antes sofremos os efeitos colaterais de uma guerra-fria partidária pelo controle do PEPS, agora estávamos 56 sob o fogo cruzado de uma guerra-fria intrapartidária, pois havia, na SMS, um antagonismo de forças entre uma secretária de saúde que apoiava a RIS e um grupo recém chegado à SMS e que havia se apropriado do projeto do PSF. 56 O leitor já deve ter notado que, há algum tempo, em detrimento do “eu”, o “nós” aparece com mais freqüência na narrativa. A esta altura o grupo de simpatizantes sinceros da idéia da RIS já era bastante extenso (ver colaboradores).
  • 115.
    113 Como eu já havia citado no interlúdio I, o fato de alguém se apropriar de um projeto alheio significa, pelo menos, que este alguém acredita na própria competência de implementar a idéia. Por via das dúvidas, os profissionais selecionados para o PSF uniram forças para garantir a correta implantação do programa, como pode ser visto no tópico e 57 começa a surgir o PSF. 12.3.2 NO FRESCOR DO VERÃO DE 2004 – A PRIMEIRA GELADEIRA Neste conturbado período em que nosso grupo foi afastado do foco de discussões 58 do PSF, fui exilado na Vila Maringá, uma área extremamente carente com mais de cinco mil pessoas, onde historicamente, cada gestão construía casas populares para doar a famílias que estivessem em situação de risco ou ocupando lugar em alguma região mais nobre. Obviamente, ficava bem longe do centro da cidade (Figura 25). Era (é) um depósito de famílias selecionadas e, portanto, poli-problemáticas que, antes da chegada do PSF, tinham que caminhar cerca de quatro quilômetros de chão batido (por vezes lama), às 4 horas da manhã, para disputar 16 fichas de atendimento com a comunidade do posto mais próximo, que não era tão próximo. O leitor pode imaginar a quantidade de pessoas que não tinha acesso algum à saúde. Minha jornada de trabalho na vila era de 9h a 12h diárias. Era impossível fazer menos que isto numa equipe em implantação, onde eu tinha de atender de 40 a 80 pacientes por dia e, entre eles, pelo menos umas cinco ou seis tragédias sociais (ver Apêndice J). Contando o atendimento de toda a equipe, passavam até 150 usuários pelo posto, todos os dias, num movimento semelhante ao de um pronto socorro. 57 Alias, dada a atual configuração política local, tenho a franca convicção que o PSF de SM consegue se manter única e exclusivamente pela capacidade de atuação e auto-gerenciamento das equipes, apesar dos gestores. 58 Como anteriormente já havia sido afastado do foco das discussões do PEPS.
  • 116.
    114 Figura 25 -Vila Maringá: situação geográfica. As seis micro áreas da Vila Maringá e sua posição em relação ao município. Eu, a enfermeira e especialista em saúde pública Cedalira de Oliveria Fracari, a técnica de enfermagem e ex-agente comunitária de saúde Maria Solange Ribeiro e mais quatro agentes comunitárias 59 iniciamos sem unidade de saúde. Mapeamos toda a área enquanto reformavam a unidade. Depois trabalhamos sem móveis e divisórias e quando saí, oito meses depois, ainda faltavam vários equipamentos. Foi um aprendizado incrível, tanto clínico quanto social, tanto pela qualidade, quanto pela quantidade dos casos. 12.3.3 RESSURGINDO DAS CINZAS (OU DA LAMA) Mas não desisti da RIS. Depois do expediente na vila, passava a trabalhar no projeto, numa jornada semanal de até 80 horas, afinal era necessário cumprir aquela lista de tarefas. Mesmo com uma prefeitura municipal claudicante em relação ao projeto, fortaleci apoios dentro da UFSM e junto ao MS. Participei de grupos nacionais de discussão e consegui a implantação oficial de uma comissão interinstitucional, envolvendo a UFSM e PMSM. 59 Alessandra, Rose, Luciane e Nilse. O Márcio só seria contratado mais tarde e o sexto agente apenas no final de 2005.
  • 117.
    115 O projeto foi aprovado por unanimidade no CMS e adotou a denominação: “DO TRIPÉ AO QUADRILATÉRO: PROJETO DE IMPLANTAÇÃO DA RESIDÊNCIA INTEGRADA EM SAÚDE – MUNICÍPIO DE SANTA MARIA/RS”. Baseados em Ceccim e Feruerker (2004), estávamos conseguindo fazer sentar na mesma mesa de negociação o EM, através de sua SMS, uma importante unidade de ensino, a UFSM, o controle social, através dos conselheiros do CMS, e os responsáveis pela atenção, aqui, com a vantagem de unir dois pólos antagônicos: os trabalhadores da rede municipal e do PSF. Chegamos a um verdadeiro quadrilátero da gestão, ensino, atenção e controle social. Uma dos efeitos deste movimento se concretizou através da comissão de trabalho que definiu a estrutura de gestão da RIS. A partir daí consegui ser deslocado para uma equipe volante que dava cobertura as outras equipes no caso de falta de médico, o que me dava um turno livre para trabalhar na RIS. Foi positivo, apesar da tristeza de ter que sair da comunidade na qual desenvolvi um grande vínculo, a Vila Maringá. Apesar dos pesares, tudo parecia ir de vento em popa. Já tínhamos formado os três grupos de trabalho específicos para cada ênfase, numa grande rede de colaboradores que trabalhava de forma gratuita para o município. E eis que passada a eleição municipal e re-eleita a situação a RIS saiu de pauta. O grupo anti-RIS venceu a quebra de braço pela SMS e eu passei de colaborador a pessoa não grata da noite para o dia. Pessoas que, antes da eleição estimulavam e elogiavam publicamente a celeridade do processo, agora o tachavam de “afobado” em conversas de corredor. Mais uma vez, o fato de eu não pertencer a nenhuma gangue, não ser filiado, causava uma certa desvantagem. Fui removido de duas posições importantes: Em primeiro lugar, antes da RIS ser derrubada, com o argumento de que, trabalhando na comissão de implantação da RIS, eu tinha uma função gestora e, portanto, não poderia mais ser representante dos trabalhadores do PSF no CMS. Em segundo lugar, após a derrubada da Ilse 60 e da RIS, fui removido da equipe volante (que por sinal foi extinta), onde eu tinha acesso e visão de todas as 60 E olhe que se tratava do mesmo partido.
  • 118.
    116 equipes e colocadona minha segunda geladeira, no frescor do verão de 2005, agora na Vila Santos, onde a médica havia pedido demissão 61 . O pé municipal do tripé havia se retirado. Fim do Interlúdio III. 12.2.6.3 O impacto no perfil profissional do PSF: Após farta produção técnica e articulação política do grupo apartidário, a RIS encontrava-se em vias de implantação em fevereiro de 2005, quando o EM retirou todo o apoio sobre o projeto, invibializando-o apesar dos esforços da Universidade Federal de Santa Maria - UFSM e do Ministério da Saúde - MS 62 . No entanto, a adoção da IS&VP estava atrelada a implantação da RIS, principalmente no que diz respeito a manutenção do quadro médico, posto que um médico sem residência poderia iniciar ganhando um salário básico de R$ 3.000,00, passar no processo seletivo da RIS e, ao invés de receber uma bolsa de R$ 1.500,00, continuar com seu salário básico, para, após dois anos de formação em seu próprio local de trabalho, passar a receber R$ 5.000,00. Este mecanismo possibilitaria o aproveitamento dos profissionais da rede local, instrumentalizando-os para o novo modelo de atenção em saúde. A tabela 1 mostra a baixa procura de profissionais médicos em relação aos outros profissionais, o que ocorreu também em função da exigência do edital de seleção em relação à formação profissional e/ou ao tempo mínimo de serviço em saúde pública (2 anos). Por outro lado, podemos ver na tabela 2, que o número de egressos de programas de residência em saúde coletiva, que estava estabilizado em três, há dez anos, sobe para nove apenas dentro do PSF e para 14 considerando todo o município. Este salto ocorre exatamente após a adoção da IS&VP, sendo importante considerar que estão em fase de espera, dentro do último processo seletivo, mais quatro ex-residentes, todos, também, com titulação de 61 Onde fui muito bem acolhido pela equipe e pela comunidade e onde permaneço no momento em que escrevo estas linhas. 62 Para piorar mais ainda a situação, este foi o período em que o surto esquizofrênico da discussão do ato médico chegou ao seu auge. De ambos os lados da discussão as pessoas ouviam coisas que não eram ditas e viam fantasmas inexistentes. Falar em residências para outras profissões era uma heresia. Um médico defendendo isonomia, então, era uma traição à corporação. Cheguei a receber conselhos nada velados de que, para o bem do meu registro profissional era interessante eu mudar de discurso. O que obviamente não ocorreu.
  • 119.
    117 Sanitarista, podendo-se atingirum total de 18 profissionais especialmente qualificados para a Atenção Primária em Saúde-APS. A mesma tabela nos mostra outro aspecto positivo, reflexo da Lei Municipal 4.721/03: temos 28 profissionais com pós-graduação em saúde coletiva, contra nove profissionais apenas graduados ou com outra pós-graduação. Esta tabela também aponta para uma quebra de paradigma de mercado (genoestrutura), pois existem vários enfermeiros e cirurgiões-dentistas (num total de 18) com salários superiores aos de alguns médicos (seis). Estes últimos, por sua vez, não dispõe mais da perspectiva da RIS para equilibrar estas diferenças, o que talvez explique a predominância de evasões na área médica, conforme explicitado na tabela 3, mesmo de médicos com residência, pois estes últimos também perderam a perspectiva de atuarem como preceptores da RIS. Como aspecto negativo da celeridade de formulação e implantação da lei é importante considerar que esta declara (extrato 7) que especializações de 360 horas tem o mesmo valor que a metade de uma residência de 5.800 horas. 12.2.6.4 Análise de cenários: Matus (1994) orienta a construção de cenários a partir de possibilidades futuras. No caso da IS&VP podemos vislumbrar pelo menos três situações: uma favorável ou otimista, uma central ou neutra e uma desfavorável ou pessimista, conforme demonstrado na tabela 4 e discutido na seqüência. Tabela 4 – Análise de cenários Variáveis Cenário Cenário Cenário favorável neutro desfavorável Movimento Apoio Inércia Combate Valorização profissional Mantida Mantida Quebrada Isonomia salarial Mantida Mantida Quebrada Incorporação do PSF ao Anulada Afastada Próxima modelo hegemônico 1 Cenário de tendência desfavorável:
  • 120.
    118 Apesar de não poder ser abandonada de todo, a implantação de uma RIS não pode mais ser vislumbrada em curto prazo. A perda deste elemento de sustentação da IS&VP somada à possibilidade de maiores evasões e à pressão de grupos médicos pode levar, num primeiro momento à quebra da Valorização Profissional - VP. Por exemplo, a instituição de uma taxa de acréscimo salarial que contemplasse pediatras, ginecologistas, médicos do trabalho ou médicos com outras especializações, com a justificativa de incentivar sua permanência no PSF, quebraria, num primeiro momento o princípio da VP em saúde coletiva. Mesmo a definição de um “número mágico” intermediário, menor que 67%, previsto para profissionais com residência em saúde coletiva e maior que 34%, previsto para profissionais com especialização em saúde coletiva (por exemplo, 40-50%), além de quebrar a VP, feriria também o princípio da Isonomia Salarial - IS, posto que esta nova modalidade de acréscimo favoreceria apenas os médicos. Por um lado o gestor teria a compensação imediatista de absorver funcionários que não onerariam tanto a folha de pagamento, mas, por outro lado, Santa Maria estaria perdendo o caráter de inovação na administração de seu sistema de saúde, conformando-se a um modelo hegemônico, deixando de ser atraente para profissionais especialmente formados e deixando de incentivar esta mesma formação nos profissionais já pertencentes aos seus quadros. Numa progressão gradativa e mais pessimista poderíamos vislumbrar a completa assimilação e institucionalização do PSF ao modelo hegemônico, desconstituindo sua função de elemento reestruturante. 2 Cenário de tendência central: Apesar do município não ter condições, em curto prazo, de oferecer educação permanente em níveis ideais, a manutenção inercial da IS&VP poderá vir a ocorrer. Neste cenário, o incremento de profissionais com formação específica continuaria dependendo de centros externos, mantendo uma baixa, mas progressiva procura de profissionais médicos pelas vagas. É um cenário viável, considerando que, atualmente, a maioria dos municípios está renegociando o PROESF em função da dificuldade na consecução das metas estabelecidas, principalmente no que diz respeito à implantação de novas equipes. 3 Cenário de tendência favorável:
  • 121.
    119 Entendendo a IS&VP como uma importante conquista política, profissional e social, a construção de um cenário que inclua a sua manutenção e a instauração da educação permanente, levando a um sistema de alta qualidade passa, necessariamente, pela avaliação da IS&VP. Uma possível proposta de avaliação com indicadores capazes de validar as vantagens e as desvantagens da IS&VP poderia ser baseado, minimamente, nos critérios que balizaram a sua adoção (extrato 5): 3.1 Indicadores políticos que apontem em direção a governabilidade: 3.1.1 Inovação política 3.1.2 Risco político 3.1.3 Consenso municipal 3.2 Indicadores filosóficos que apontem na direção da reestruturação do modelo de atenção à saúde (aprimorando-o): 3.2.1 Comprometimento e espírito de equipe 3.2.2 Estímulo à formação profissional 3.2.3 Seleção de perfil e chamamento profissional 3.3 Indicadores financeiros que qualifiquem a proposta como auto-portante: 3.3.1 Manutenção do atrativo salarial 3.3.2 Relação custo/benefício 3.3.3 Impacto financeiro Seria, também importante a apreensão da experiência e das impressões dos profissionais que estão trabalhando sob o regime da IS&VP, dentro da ótica e do escopo das suas áreas de atuação, bem como da visão do controle social. Passo seguinte, ressalta-se a importância da veiculação interna (intra-SUS) e externa (mídia) tanto do processo de implantação da IS&VP quanto da sua avaliação dado o impacto e a importância destas propostas e a sua coerência com os princípios norteadores do SUS (marketing educativo).
  • 122.
    120 12.2.7 Considerações finais do artigo Com a práxis da CM em relação ao PES, pelo enfoque de Matus (1994), houve uma coerência entre teoria e prática e uma aplicação dos construtos legais condizentes com a tendência contemporânea de gestão, proposta pela atual política de saúde em todos os seus níveis e instâncias. Afastando-se da clínica médico-centrada e da gestão enfermeiro-centrada, a IS&VP é uma ferramenta que valoriza o profissional de saúde de nível superior engajado na construção do Sistema Único de Saúde. É uma ferramenta de distribuição e de equilíbrio de poder (empoderamento) e de aumento de variedade e de densidade profissional, propiciando a construção do conceito de equipe. 12.2.8 Referências do artigo SCHMITZ, Carlos André Aita et al. I Curso de educação em saúde pública voltado para a (de)formação de preceptores. In: VI Congresso Brasileiro de Medicina de Família e Comunidade, 2004, Rio de Janeiro. Anais. Rio de Janeiro, 2004. MATUS, Carlos. PES, Guia de Análisis Teórico. Mimeo. Fundacion Altadir, Venezuela, 1994 LAKATOS, E.M; Marconi, M.A. Fundamentos de metodologia científica. 4.ed. São Paulo:Atlas, 2001. SANTA MARIA. Prefeitura Municipal. Secretaria de Município da Saúde. Projeto de Expansão e Consolidação da Saúde da Família-PROESF. Santa Maria, 2003. SANTA MARIA. Conselho Municipal de Saúde. Ata da reunião ordinária do dia vinte e um de agosto de dois mil e três. Santa Maria, 2003. SANTA MARIA. Conselho Municipal de Saúde. Ata da reunião ordinária do dia quatro de setembro de dois mil e três. Santa Maria, 2003. SANTA MARIA. Conselho Municipal de Saúde. Ata da reunião ordinária do dia seis de novembro de dois mil e três. Santa Maria, 2003. SANTA MARIA. Conselho Municipal de Saúde. Ata da reunião ordinária do dia quatro de dezembro de dois mil e três. Santa Maria, 2003.
  • 123.
    121 SANTA MARIA. Lei4.721/03, de 17 de dezembro de 2003. Institui o Programa de Saúde da Família em Santa Maria – PSF-SM, e dá outras providências. Câmara de Vereadores, Santa Maria, 17 dez. 2003.
  • 124.
    122 13 CONSIDERAÇÕES FINAIS - POR QUE O TRIPÉ DESPENCOU E LEVOU O QUADRILÁTERO JUNTO Não, ainda não acabou. As considerações finais do tópico anterior referiam-se ao artigo da IS&VP. Para tentar sistematizar os acontecimentos e os desfechos narrados até aqui manterei a argumentação de Mr. Hide (Figura 10) ao que somarei algo da Teoria dos Jogos, a Teoria da Produção Social de Matus (1994) e alguns aspectos do postulado de coerência de Testa (1992). 13.1 DA FRAGILIDADE Quando eu fazia apresentações para angariar aliados e utilizava o discurso de ações de curto prazo que levariam, ao mesmo tempo em que fortaleceriam, às ações de longo prazo, utilizava, ironicamente, como que prevendo o futuro, uma animação da montagem de um castelo de cartas (Figura 26).
  • 125.
    123 Figura 26 - O Castelo de cartas. Em amarelo as ações de curto prazo, em vermelho as de médio e em verde as de longo prazo. Animação Realmente, um projeto de grande envergadura, contra-hegemônico e que dependia de várias articulações entre vários atores e instituições não teria a necessidade de nenhum Mr. Hide para ser derrubado. Na verdade bastou a união de alguns monstrinhos menores. 13.2 DOS JOGOS DE PODER E DAS PERDAS Neste ponto a Teoria dos Jogos é útil. Segundo Marinho (2002) baseando-se nesta teoria, que representa a tomada de decisão por um jogador em função da decisão que, supostamente, o outro jogador irá tomar, Nash tentou explicar o ponto de equilíbrio entre cooperação e deserção (Teoria do Equilíbrio de Nash).
  • 126.
    124 O principal jogo da Teoria dos Jogos é o “Dilema do Prisioneiro”, na verdade uma questão de decisão entre altruísmo ou egoísmo, e é descrito por Marinho (2002) da seguinte maneira: O Dilema do Prisioneiro é a situação em que dois comparsas são pegos cometendo um crime. Levados à delegacia e colocados em salas separadas, lhes é colocada a seguinte situação com as respectivas opções de decisão: • Se ambos ficarem quietos, cada um deles pode ser condenado a um mês de prisão; • Se apenas um acusa o outro, o acusador sai livre. O outro, condenado em um ano; • Aquele que foi traído pode trair também e, neste caso, ambos pegam seis meses 63 . As decisões são simultâneas e um não sabe nada sobre a decisão do outro. Considera-se também que os suspeitos irão decidir única e exclusivamente de forma racional. O dilema do prisioneiro mostra que, em cada decisão, o prisioneiro pode satisfazer o seu próprio interesse (desertar) ou atender ao interesse do grupo (cooperar). O primeiro prisioneiro pensa da seguinte forma: “Vou admitir inicialmente que meu comparsa planeja cooperar, ficando quieto. Neste caso, se eu cooperar também, ficarei um mês atrás das grades (um bom resultado); mas, ainda admitindo a cooperação do meu comparsa, se eu desertar confessando o crime, eu saio livre (o melhor resultado possível). Porém, se eu supor que meu comparsa vai desertar e eu continuar cooperando, eu ficarei um ano na cadeia (o pior resultado possível) e ele sai livre. Mas se eu desertar também, eu ficarei somente seis meses preso (um resultado intermediário). Eu concluo então que, em ambos os casos (se ele cooperar ou não), sempre será melhor desertar, e é o que eu vou fazer.” Acontece que o segundo prisioneiro pensa da mesma maneira e ambos desertam. Se ambos cooperassem, haveria um ganho maior para ambos, mas a otimização dos resultados não é o que acontece. Ao invés deles ficarem somente um mês presos, eles passarão seis meses na cadeia para evitar o risco de ficar um ano se o outro optar por desertar. Mais que isso: desertando, cada parte tem a possibilidade de sair livre se a outra parte cooperar. A repetição do jogo, entretanto, muda radicalmente a forma de pensar do prisioneiro (...). Dois comparsas de longa data terão uma tendência muito maior à cooperação. Em SM tivemos um Grupo Apartidário Aberto – GA (comparsas jovens), que ofereceu, em duas ocasiões, para dois diferentes Grupos Partidários Fechados - GFs (comparsas velhos) a possibilidade de lucro mútuo na realização de tarefas conjuntas: 63 As três passagem ilustram, respectivamente, situações de ganha-ganha, ganha-perde e perde- perde.
  • 127.
    125 • A implantação do PEPS em direção a implantação da RIS; • a implantação do PSF em direção a implantação da RIS. As regras para fazer parte do GA eram oferecer uma habilidade técnica (intelectual ou braçal) e aceitar trabalhar de graça, tendo em vista uma remota possibilidade de lucro financeiro futuro e uma grande possibilidade de realização profissional, dando o projeto certo ou não (ou seja, um certo espírito de aventura). A regra para fazer parte do GF: ser filiado e ter compromisso com um partido político. Em vista disso, a participação nos grupos era mutuamente exclusiva em relação ao GF, não ocorrendo o mesmo em relação ao GA (o GF tinha trânsito livre, de forma não recíproca, no GA). Por outro lado, o GA permitia-se ser constantemente renovado por novos participantes 64 . O GF era um grupo instituído (armado com poder) e o GA era um grupo instituinte (armado com querer). Esta aparente situação de fragilidade do GA perante o GF, a princípio garantiria para o segundo sempre uma vantagem do tipo ganha-perde, posto que o primeiro declarava sempre uma intenção de ganha-ganha. Na verdade, acabou havendo uma situação de perde-perde 65 . Robert Kurz (1995) ilustra muito bem o conceito de cegueira situacional de Matus (1994) ao dizer que “o poder deixa as pessoas estúpidas, muito poder as deixa estupidíssimas”. Como eu havia citado no tópico alguns conceitos preliminares, não houve nenhum preconceito de classe ou corporativo no GF que derrubou a RIS. Não foi uma questão de médicos contra não médicos, afinal o sistema hegemônico é mantido por todas as corporações. No segundo GF havia apenas um único médico. 64 A primeira configuração do GA foi constituída por integrantes do Curso de Preceptores em 2003. Em 2004 participantes da ESF recém implantada passaram a incrementar o GA que em 2005 foi alimentado por integrantes das novas equipes de ESF e participantes do Curso de Formação de Sanitaristas da ESP-RS. Obviamente, participantes de todas as configurações do GA também integravam os GFs. 65 É como uma luta de boxe que acaba em empate: todos apanham muito e ninguém ganha nada.
  • 128.
    126 O medo irracional dos integrantes dos GFs, talvez baseado numa estratégia de ocupação de cargos (e medo de perder cargos), além de impedir a implantação da RIS, excluiu toda uma gama de profissionais da discussão e implantação tanto do PEPS quanto do PSF. Numa concepção imediatista, tanto UFSM, quanto MS e GA perderam em função da deserção dos GFs que, se ganharam posições de poder num primeiro momento, não as conseguiram manter nos doze meses seguintes a deserção. Isso acabou gerando uma situação de perde-perde que, incluindo os GFs, atingiu inclusive a comunidade que necessita de saúde de qualidade e atendimento integral e teve que se contentar com um PSF que não cresce e equipes prejudicadas por uma gestão que jogou fora várias possibilidades de assessoria. Fica aqui a lição de Foucault (1992): “O poder deve ser analisado como algo que circula, que funciona em cadeia e nunca é apropriado como uma riqueza ou um bem.” 13.3 DA COERÊNCIA, DA DETERMINAÇÃO E DO CONDICIONAMENTO Não pretendo entrar a fundo no postulado de coerência de Testa, mas vou me apropriar de suas definições de determinação e condicionamento. Para Testa (1992) a determinação é uma força positiva que estabelece limites dentro dos quais um fenômeno deve ocorrer. Já o condicionamento é uma força negativa que fixa limites fora dos quais um fenômeno não pode ocorrer. Deste modo, sou levado a crer que o espaço de determinação utilizado pelo GA excedeu em muito os limites de condicionamento dos GFs. Esta invasão de limites acabou levando a um embate inevitável. Inevitável porque foi baseado em ideologias opostas. Sempre sou questionando por alguns colaboradores se o embate foi realmente inevitável e minha ideologia sempre me leva a responder que sim.
  • 129.
    127 13.4 DA CONTABILIDADE FINAL Embora tenhamos o prejuízo da perda temporária do projeto da RIS, tivemos como lucro colateral e duradouro: a manutenção da IS&VP, que já contabiliza uma vida mais longa, inclusive, que os GFs. A IS&VP, por si só, é um marco histórico. Não é todo dia que se assiste ou se participa da mudança de uma regra do jogo, uma genoprodução, uma produção social. Alguns municípios vizinhos a SM, influenciados pela experiência local, já estão implantando seus PSFs dentro de preceitos de IS&VP. Graças a uma última ação do GA 66 , tanto a implantação de uma RIS como a manutenção da IS&VP constaram em pelo menos quatro deliberações da VI Conferência Municipal de Saúde. No cenário nacional, após a queda da RIS-SM, foi aprovada a portaria ministerial que garante a criação da Comissão Nacional de Residência em Saúde e institui o Programa de Bolsas para Residências Multiprofissionais 67 , que já começaram a pipocar em todo o país. Além disso, a portaria ministerial nº 648 de 28 de março de 2006 (Ministério da Saúde) garante vários e amplos subsídios financeiros para prefeituras que investirem na implantação de residências em Medicina de Família e Comunidade e na IAR. Pena SM, no dizer de um dos colaboradores “ter perdido o bonde da história” (e muito dinheiro para a saúde), mas o tempo ainda está do nosso lado. No final das contas, com o passar do tempo, o jogo mudou. Através da manutenção da IS&VP e da autofagia dos GFs, o GA passou de perde-perde para ganha-ganha. O fato de não lutar por cargos políticos, a longo prazo, converteu-se de fragilidade em vantagem. 66 Com o fôlego recebido pela configuração de 2005. 67 O termo multiprofissional me incomoda, pois, a priori, não subentende integração.
  • 130.
    128 E a esfingeme deixou sua marca: DECIFRA-ME E DEVORO-TE Há um lobo em pele de cordeiro. Há uma pele ordeira de olhar faminto. A cada piscar, ora há um lobo, ora há um cordeiro. Não há mais lobo, não há mais cordeiro. Há um cordeiro com alma de lobo...
  • 131.
    129 14 EPÍLOGO 14.1 O TEMPO NÃO EXISTE Toc, tic, tac Toc, Tic, Tac, toc, toc, toc, tic, tic, tic, tac, tac, tac, eu tenho TOC! eu tenho tic! eu… … sou …taqui… Durante o Curso de Sanitarista tivemos muitas aulas ótimas e algumas poucas em que valia mais a pena filosofar com o colega ao lado do que prestar atenção. Em uma destas últimas, inspirados por um professor que, após utilizar cinco dias de aula, ainda não tinha conseguido sair da introdução, apresentando slides diferentes, mas que falavam sempre da mesma coisa, eu e o colega cirurgião-dentista e especialista em saúde coletiva Paulo Fontanive iniciamos uma discussão muito profícua a respeito da existência ou não do tempo. Não vou dissertar aqui toda a nossa argumentação, mas no final chegamos a conclusão que o tempo é apenas uma convenção humana, e, portanto, não existe. No último interlúdio, faltavam nove dias para acabar o prazo de entrega da monografia. Hoje são treze de abril de 2006, quatro horas da manhã. Graças a uma negociação dos orientadores junto à coordenação do curso, ainda estou podendo escrever, vencidos 13 dias do prazo. Ou seja, mais uma prova de que o tempo não existe. Paradoxalmente, algo que não existe, ficou do meu lado o tempo todo. Logo, sou esquizofrênico. Estou escrevendo e sistematizando textos há 44 dias, fora todas as outras atividades. Como havia, dramaticamente, citado no Interlúdio I, durante muito tempo passei a carregar um feto morto em meu ventre (ou FM, no jargão médico). Com o fim desta
  • 132.
    130 monografia 68 fizo parto deste FM. Está morto, mas é meu e foi gestado com muita dedicação. Enfim posso me despedir dele. Daqui a alguns minutos estarei enviando as cópias dos avaliadores, fechando os olhos e dormindo com a alma mais leve. Amanhã acho que vou visitar meu psiquiatra e rir um pouco com ele. Obrigado a todos. Caas Santa Maria, 13 de abril de 2006, quatro horas e onze minutos da manhã. P.S.: Se alguém ainda tiver “tempo” para ler uma singela piada, dê uma olhada no Apêndice L. 68 Como diria outro ídolo que tenho (Mário Quintana): “Um poema só termina por morte do poeta ou acidente de publicação”.
  • 133.
    131 15 REFERÊNCIAS BERTOLLI FILHO, C. História da Saúde Pública no Brasil, 2ª ed. São Paulo: Ática, 1998. BRASIL. Constituição (1988). Constituição da República Federativa do Brasil. Brasília, DF:Senado, 1988. BRASIL. Lei de diretrizes e bases da educação nacional. Lei 9.394 de 20 de dezembro de 1996. Estabelece as diretrizes e bases da educação nacional. Diário Oficial da União de 23 de dezembro de 1996. BRASIL. Ministério da Fazenda. Carga tributária no Brasil: 2003. Brasília: Brasil. Ministério da Fazenda, 2004. BRASIL. Ministério da Saúde. 11ª Conferência Nacional de Saúde: Relatório Final, Brasília: Ed. MS, 2001. BRASIL. Ministério da Saúde. Departamento de Gestão da Educação na Saúde. Política de Educação e Desenvolvimento para o SUS:Caminhos para a Educação Permanente em Saúde:Pólos de Educação Permanente em Saúde. Brasília, 2003. BRASIL. Ministério da Saúde. Gestão municipal de saúde: Leis, normas e portarias atuais. Rio de Janeiro: Brasil. Ministério da Saúde, 2001. BRASIL. Ministério da Saúde. Projeto de Incentivo a Mudanças Curriculares nos Cursos de Medicina. Brasília, 2002. CAMPINAS. Secretaria Municipal de Saúde. Colegiado de Gestão. Diretrizes para Atenção Básica à Saúde: Projeto paidéia de saúde da família, 3ª versão, Campinas, 2001. CAMPOS, G.W.S. Subjetividade e Administração de Pessoal: Considerações sobre modos de gerenciar o trabalho em equipes de saúde, in Práxis em Salud: un desafio para lo público, p. 229-266. São Paulo, 1997. CARVALHO, G. A inconstitucional administração pós-constitucional do SUS através de normas operacionais. Ciência & Saúde Coletiva, Rio de Janeiro, vol. 6, n. 2, p. 435-444, 2001. CECCIM, R.B. O município na construção do SUS – Curso para gestores. Divulgação em Saúde para Debate, Rio de Janeiro, n. 24, p. 106-118, dez. 2001. CECCIM, R.B.; ARMANI, T.B. Educação na Saúde Coletiva: o papel estratégico na gestão do SUS, Divulgação em Saúde para Debate, Rio de Janeiro, n. 23, p. 30- 56, dez. 2001.
  • 134.
    132 CECCIM, R.B.; FERLA,A.A. Residência Integrada em Saúde: uma resposta da formação e desenvolvimento profissional para a montagem do projeto de Integralidade da Atenção à Saúde, in Construção da Integralidade: Cotidiano, saberes e práticas em saúde. Rio de Janeiro: UERF, IMS, ABRASCO, 2003. CECCIM, R.B; FEURWERKER, L.C.M. O quadrilátero da formação para a área da saúde: ensino, gestão, atenção e controle social. Physis: Revista de Saúde Coletiva, Rio de Janeiro, vol 14, n.1, p.41-65, 2004. CLAUS, S. M.; CAPRA, M.L.P. Elaboração de um protocolo de Ações Básicas de Saúde: subsídio para reorganização de processos de trabalho para a implementação do SUS. Divulgação em Saúde para Debate, Rio de Janeiro, n. 24, p. 44-51, dez. 2001. COMISSÃO MULTIPROFISSIONAL DE SAÚDE. Proposta de isonomia para o programa de saúde da família do município de Santa Maria – RS. Documento interno. Santa Maria, 2003. CUNHA, J. P. P.; CUNHA, R. E. Sistema Único de Saúde. In: BRASIL. Ministério da Saúde. Gestão municipal de saúde: textos básicos. Rio de Janeiro: Brasil. Ministério da Saúde, 2001. p. 285-319 DUNCAN, B.; SCHMIDT, M. I.; GIUGLIANI, E.R.J. Medicina ambulatorial : condutas de atenção primária baseadas em evidências. 3. ed. Porto Alegre: Artmed, 2004. FAGUNDES, S. Viamão: cidadania em defesa da vida, Divulgação em Saúde para Debate, Rio de Janeiro, n. 24, p. 28-43, dez. 2001. FARENZENA, G.F. ET AL. Perfil Epidemiológico do Município de Santa Maria em 1997 a Partir de Dados de Mortalidade: Relatório final, Santa Maria, 1999. FERLA, A.A. Clínica nômade e pedagogia médica mestiça: cartografia de idéias oficiais e populares em busca de inovações à formação e à clínica médicas. 2002. Tese (doutorado em educação) - Universidade Federal do Rio Grande do Sul, Porto Alegre. FEUERWERKER, L.; KALIL, M. E.; BADUY, R. A Construção de Modelos Inovadores de Ensino-Aprendizagem: As lições aprendidas pela rede UNIDA. Divulgação em Saúde para Debate, Rio de Janeiro, nº 22, p. 49-62, dez. 2000. FEUERWERKER, L.C.M. Mudanças na educação médica e residência médica no Brasil. 1ª Ed. São Paulo: Hucitec/Rede Unida, 1998. FEUERWERKER, L.C.M; COSTA, H.O.G.; BARBOSA, N.; KHALIL, M.E. O processo de construção e de trabalho da rede UNIDA. Divulgação em Saúde para Debate, nº 22, p. 9-17, Rio de Janeiro, dez. 2000. FOUCAULT, M. Microfísica do Poder. 10ª Ed. Rio de Janeiro: Graal, 1992. FREIRE, P. Educação como Prática de Liberdade. 1ª Ed. Rio de Janeiro: Paz e Terra, 1976.
  • 135.
    133 GIANOTTEN, V.;WIT, T.Pesquisa participante em um contexto de economia camponesa. In: BRANDÃO, C.R. (org.). Repensando a pesquisa participante. 3ª Ed. São Paulo: Brasiliense, 1987. JAPIASSU, H. Interdisciplinaridade e patologia do saber. Rio de Janeiro: Imago, 1976. KURZ, R. A estupidez dos vencedores. Folha de São Paulo, São Paulo, 6 ago. 1995, Caderno Mais!, p. 8. LEVORIN, P. A república dos antigos e a república dos modernos, 1996. Tese (doutorado em ciências políticas) - a Universidade de São Paulo, São Paulo. LOBIONDO, G.; HABER, J. Pesquisa em Enfermagem: métodos, avaliação crítica e utilização. 4ª Ed. Rio de Janeiro: Guanabara Koogan, 2001. MANIFESTO em defesa das verbas da saúde. Radis – Comunicação em saúde. [periódico on line] Ago. 2004. Disponível em < http://www.ensp.fiocruz.br/radis/27- web-01.html > Acesso em 25/03/2006. MANIFESTO reafirmando compromissos pela saúde dos brasileiros. VIII Simpósio sobre Política Nacional de Saúde. Brasília, 2005. MARINHO, R. Jogos Brilhantes. Você S.A. [periódico online] nov. 2002. Disponível em: < http://vocesa.abril.uol.com.br/aberto/online/022002/714_1.shl>. Acesso em 10/03/2006. MATUS, C. PES, Guia de Análisis Teórico. Mimeo. Fundacion Altadir, Venezuela, 1994. MISOCZJY, M.C. Sistemas comparados de saúde. Impresso. Escola de Saúde Pública do Rio Grande do Sul, 2004. MOORE, A.; O’NEIL, K.; MAIA, M.; DEL MANTO, L. L. A liga extraordinária – Volume II. 1ª Ed. São Paulo: Devir, 2004. MULLER, A.M.C.; POSSA, L.B. A regionalização da atenção no Rio Grande do Sul: uma experiência em construção na 4 Região de Saúde. Divulgação em Saúde para Debate, Rio de Janeiro, p. 21-29, n. 23, dez. 2001. PEREIRA, M. G. Epidemiologia: teoria e prática. Rio de Janeiro: Guanabara, 2005. RIGHI, L.B. Município: território de novas formas de gestão e atenção à saúde – considerações sobre a aposta e suas implicações a partir de um processo de formação de gestores. Divulgação em Saúde para Debate, Rio de Janeiro, n. 24, p. 28-43, dez. 2001. SANTA MARIA. Prefeitura Municipal. Secretaria de Município da Saúde. Relatório de Gestão: 1º Trimeste 2002. Santa Maria, 2002.
  • 136.
    134 SCHMITZ, C.A.A. etal. O georeferenciamento como ferramenta de adscrição. 2004 Trabalho apresentado na II Mostra Nacional de Produção em Saúde da Família, Brasília, 2004. SCHMITZ, C.A.A. et al. Processo de implantação da estratégia de saúde da família: a visão dos profissionais de saúde. 2004. Trabalho apresentado na II Mostra Nacional de Produção em Saúde da Família, Brasília, 2004. SCHMITZ, C.A.A.; MAZZORANI, B.M.; CARVALHO, N.M. E TAL. Um modelo de tripé para dar apoio ao SUS: desencadeando ações de curto, médio e longo prazo em seqüências encadeadas com o fim de fortalecer a atenção básica. Pré-projeto para ingresso no Curso de Formação de Sanitaristas, edição 2003/2004. Documento interno. Escola de Saúde Pública do Rio Grande do Sul, Porto Alegre, 2003. SCHMITZ, C.A.A.; MAZZORANI, B.M.; CARVALHO, N.M. ET AL., 2003b. I Curso de Educação em Saúde Pública Volta para a (De)Formação de Preceptores. Parte integrante do pré-projeto para ingresso no Curso de Formação de Sanitaristas, edição 2003/2004. Documento interno. Escola de Saúde Pública do Rio Grande do Sul. Porto Alegre, 2003b. SILVA, J.A; DALMASO, A.S.W. Agente comunitário de saúde: o ser, o saber, o fazer. Rio de Janeiro: Editora Fiocruz, 2002. TESTA, M. Tendências em planejamento. In TESTA, M. Pensar em saúde. Porto Alegre: Artes Médicas, 1992. THIOLLENT, M. Metodologia da pesquisa-ação. 5ª Ed. São Paulo: Cortez: Autores Associados, 1992. THIOLLENT, M. Notas para o debate sobre pesquisa-ação. In: BRANDÃO, C.R. (org.). Repensando a pesquisa participante. 3ª Ed. São Paulo: Brasiliense, 1987. UNIVERSIDADE FEDERAL DE SANTA MARIA. Projeto Político-Pedagógico: Curso de Medicina – Conteúdos do Currículo e Disciplinas da UFSM (Versão preliminar), Santa Maria, 2003. XAVIER, M. Brancaleone revisitado. Rabisco. [periódico online] dez. 2004. Disponível em < http://www.rabisco.com.br/51/brancaleone.htm > Acesso em 31/03/2006.
  • 137.
  • 138.
    136 APÊNDICE A: UM PASSEIO PELO SUS O SISTEMA ÚNICO DE SAÚDE 69 : • Preço por pessoa: em torno de R$ 25,00 mensais • Preço para a “empresa” Brasil: ao redor de R$ 53 bilhões anuais 70 . • Clientela: por volta de 172 71 milhões de brasileiros (toda a população). • Antes de nascer o indivíduo já está segurado e assim permanece toda a vida. • Sem qualquer carência para sua utilização. • Sem exclusão de nenhuma doença pré-existente, como AIDS, tuberculose, mal de Hansen, câncer, doença mental e outras. • Atua na promoção da saúde, prevenção, cura e reabilitação. • Cobre despesas de internação, procedimentos, exames complementares e medicamentos. E UM POUCO DA SUA PRODUTIVIDADE 72 : • 1,5 bilhões de atendimentos ambulatoriais. • 12 milhões de internações. • 290 milhões de exames laboratoriais. • 1 milhão de tomografias. • 9 milhões de ultra-sonografias. • 23.400 transplantes. • 8 milhões de sessões de hemodiálise. Com certeza o melhor plano de saúde do mundo. E o pior financiamento do planeta 73 : • Países desenvolvidos investem em saúde, per capita, U$ 800,00 (6 – 12% do PIB)(MISOCZKY,2004). • Países do 3° mundo: U$ 200,00 – U$ 400,00. (MISOCZKY,2004) • Brasil:U$ 146,00... (apenas 3,44% do PIB 74 ). Vamos começar a entender estes 3,44% no interlúdio temporal abaixo e tentar terminar de entendê-los no tópico Bases Legais e Financiamento: 69 Dados relativos ao ano de 2003. 70 Mais exatamente R$ 53.623.917.000, segundo o Sistema de Informações sobre Orçamentos Públicos em Saúde – SIOPS. Destes, 50% vieram da União, 27% dos Municípios e 23% dos Estados. (http://siops.datasus.gov.br) 71 Mais exatamente 172.787.058 brasileiros, segundo o Instituto Brasileiro de Geografia e Estatística – IBGE (www.ibge.gov.br) 72 Dados relativos ao ano de 2004 (MANIFESTO, 2005). 73 O que faz de nós trabalhadores extremamente eficientes, posto que fazemos muito com muito pouco. 74 Considerando o PIB de 2003 em R$ 1.556.182.000.000,00 (BRASIL, 2004).
  • 139.
    137 UMA RÁPIDA VIAGEM NO TEMPO 75 Do descobrimento até a vinda da família real em 1808, todo o sistema de saúde do país era centrado nas mãos de pajés, curandeiros negros e alguns poucos boticários. As primeiras escolas médicas do Rio de Janeiro e da Bahia foram criadas para dar conta das necessidades da corte. Apesar dos incentivos à pesquisa fornecidos por Dom Pedro II, o Brasil encerrou o segundo reinado mantendo a fama de ser um dos países mais insalubres do planeta. Só tivemos uma concentração razoável de médicos no país no início da república velha (1889 – 1930), quando as autoridades paulistas determinaram que somente médicos diplomados poderiam dispensar cuidados de saúde à população (BERTOLLI FILHO, 1998). Nasce o que talvez tenha sido a primeira edição do ato médico 76 , pois a polícia foi convocada para localizar e punir os transgressores com multas e prisão. O único período em que realmente investiu-se em saúde pública neste país foi a era Oswaldo Cruz (em 1910), com a criação dos institutos do Rio de Janeiro e de São Paulo na fase do chamado sanitarismo campanhista. Após o golpe de 30, a saúde pública é burocratizada e minimalizada. No período entre golpes, fortalece-se a grande vocação do país: a exportação (evasão) de divisas, com a desculpa de obras faraônicas como Brasília. Em 1953, no segundo período presidencial de Vargas, cria-se o Ministério da Saúde, que como num prenúncio da desnutrição crônica que persiste até os dias de hoje, inicia com verbas irrisórias. Depois do golpe de 64 e de vários surtos de “elefantíase branca”, cujo grande exemplo é a Usina Hidrelétrica de Itaipu (que, pelo menos, funciona, ao contrário de um sem número de obras estúpidas como Angra I, II e III, Transamazônica, etc.), a Previdência Social, que havia nascido com a Lei Elói Chaves (1923), cambaleia e cai, moribunda (1985) 77 . Sem dinheiro e sem paciência, o regime, aos poucos, abre-se e permite que “aquele bando de comunistas de esquerda” que havia começado a se reunir a partir de 1970 (Movimento de Reforma Sanitária) e membros da direita desiludida 78 assumam cargos importantes dentro do sistema. Começam a pipocar algumas ações isoladas, mas significativas: Programa de Interiorização de Ações de Saúde e Saneamento - PIASS (1976-1985, onde se começa a desenhar o perfil do Agente Comunitário de Saúde – ACS), PREV-SAÚDE (1981, uma tentativa de sistema nacional de saúde que era boa, mas foi morta antes de sair do papel) e as Ações Integradas em Saúde – AIS (1983, mais uma tentativa de reforma das políticas de saúde)(SILVA e DALMASO, 2002). Peguem-se, então, os auspícios de Alma-Ata 79 (1978), some-se o conhecimento tirado das experiências acima, junte com a esquerda desafogada, a 75 Para uma viagem mais demorada e detalhada, veja o Apêndice M. 76 O período de “caça às bruxas” do ato médico atual viria a encrudelecer-se exatamente na época de minhas subversivas atividades multiprofissionais... 77 E não sai mais deste estado, apesar de hoje consumir, dentro das chamadas despesas obrigatórias, 44% do orçamento da união, contra 10% da saúde e 2% da educação. 78 Hoje seria esquerda desiludida? 79 Veja a declaração da Conferência Internacional sobre Cuidados Primários de Saúde no Anexo G.
  • 140.
    138 direita desiludida, osseguimentos populares cansados de esperar pelo populismo mais os seguimentos empresariais hospitalares, farmacêuticos e de medicina de grupo 80 que precisavam tirar seus lucros de outro lugar, já que a previdência era morta e temos o caldo que formou a famosa VIII Conferência Nacional de Saúde (1986) e prescreveu os princípios e diretrizes do SUS para a constituinte de 1988. PRINCÍPIOS Eu adoto a sistematização de Cunha e Cunha (2000): Princípios Doutrinários Universalização Historicamente, quem tinha direito à saúde no Brasil eram apenas os trabalhadores segurados do INPS e depois do INAMPS. Com o SUS, isto mudou: a saúde passa a ser um direito de cidadania de todas as pessoas e cabe ao Estado assegurar este direito. Neste sentido, o acesso às ações e serviços deve ser garantido a todas as pessoas, independentemente de sexo, raça, renda, ocupação ou outras características sociais ou pessoais. O SUS foi implantado com a responsabilidade de tomar realidade este princípio. Eqüidade O objetivo da eqüidade é diminuir desigualdades. Mas isso não significa que a eqüidade seja sinônimo de igualdade. Apesar de todos terem direito aos serviços, as pessoas não são iguais e, por isso, têm necessidades diferentes. Eqüidade significa tratar desigualmente os desiguais, investindo mais onde a carência é maior. Para isso, a rede de serviços deve estar atenta às necessidades reais da população a ser atendida. A eqüidade é um princípio de justiça social. Integralidade O princípio da integralidade significa considerar a pessoa como um todo, atendendo a todas as suas necessidades. Para isso, é importante a integração de ações, incluindo a promoção da saúde, a prevenção de doenças, o tratamento e a reabilitação. Ao mesmo tempo, o princípio da integralidade pressupõe a articulação da saúde com outras políticas públicas, como forma de assegurar uma atuação intersetorial entre as diferentes áreas que tenham repercussão na saúde e qualidade de vida dos indivíduos. Princípios Organizativos Para organizar o SUS a partir dos princípios doutrinários apresentados e considerando-se a idéia de seguridade social e relevância pública, existem algumas diretrizes que orientam o processo. Na verdade, trata-se de formas de concretizar o SUS na prática. Regionalização e Hierarquização A regionalização e a hierarquização de serviços significam que os 80 “Foi nesse contexto de modernização do consumo que a Golden Cross, seguida em pouco tempo por outros grupos estrangeiros, passou a concorrer com as companhias médicas brasileiras. Os investimentos internacionais na área do seguro-saúde mostram-se altamente rentáveis: calcula-se que atualmente apenas 25% das verbas arrecadadas são aplicadas no atendimento aos conveniados, na manutenção da burocracia e nas campanhas publicitárias. O restante representa lucro líquido. Esse fato animou tais empresas a diversificarem a aplicação de suas verbas, adquirindo hospitais e clínicas e, em alguns casos, incorporando faculdades de medicina.” ( BERTOLLI FILHO, 1998)
  • 141.
    139 serviços devem serorganizados em níveis crescentes de complexidade, circunscritos a determinada área geográfica, planejados a partir de critérios epidemiológicos, e com definição e conhecimento da clientela a ser atendida. Como se trata aqui de "princípios", de indicativos, este conhecimento é muito mais uma perspectiva de atuação do que uma delimitação rígida de regiões, clientelas e serviços. A regionalização é, na maioria das vezes, um processo de articulação entre os serviços existentes, buscando o comando unificado dos mesmos. A hierarquização, além de proceder à divisão de níveis de atenção, deve garantir formas de acesso a serviços que componham toda a complexidade requerida para o caso, no limite dos recursos disponíveis em dada região. Deve ainda incorporar-se à rotina do acompanhamento dos serviços, com fluxos de encaminhamento (referência) e de retorno de informações ao nível básico do serviço (contra-referência). Estes caminhos somam a integralidade da atenção com o controle e a racionalidade dos gastos no sistema. Descentralização e Comando Único Descentralizar é redistribuir poder e responsabilidades entre os três níveis de governo. Na saúde, a descentralização tem como objetivo prestar serviços com maior qualidade e garantir o controle e a fiscalização pelos cidadãos. Quanto mais perto estiver a decisão, maior a chance de acerto. No SUS, a responsabilidade pela saúde deve ser descentralizada até o município. Isto significa dotar o município de condições gerenciais, técnicas, administrativas e financeiras para exercer esta função. A decisão deve ser de quem executa, que deve ser o que está mais perto do problema. A descentralização, ou municipalização, é uma forma de aproximar o cidadão das decisões do setor e significa a responsabilização do município pela saúde de seus cidadãos. É também uma forma de intervir na qualidade dos serviços prestados. Para fazer valer o princípio da descentralização, existe a concepção constitucional do mando único. Cada esfera de governo é autônoma e soberana em suas decisões e atividades, respeitando os princípios gerais e a participação da sociedade. Assim, a autoridade sanitária do SUS é exercida na União pelo ministro da Saúde, nos estados pelos secretários estaduais de Saúde e nos municípios pelos secretários ou chefes de departamentos de Saúde. Eles são também conhecidos como “gestores" do sistema de saúde. Participação Popular O SUS foi fruto de um amplo debate democrático. Mas a participação da sociedade não se esgotou nas discussões que deram origem ao SUS. Esta democratização também deve estar presente no dia-a-dia do sistema. Para isto, devem ser criados os Conselhos e as Conferências de Saúde, que têm como função formular estratégias, controlar e avaliar a execução da política de saúde. Os Conselhos de Saúde, que devem existir nos três níveis de governo, são órgãos deliberativos, de caráter permanente, compostos com a representatividade de toda a sociedade. Sua composição deve ser paritária, com metade de seus membros representando os usuários, e a outra metade, o conjunto composto por governo, trabalhadores da saúde e prestadores privados. Os conselhos devem ser criados por lei do respectivo âmbito de governo, em que serão definidas a composição do colegiado e outras normas de seu funcionamento. As Conferências de Saúde são fóruns com representação de vários segmentos sociais que se reúnem para propor diretrizes, avaliar a situação da saúde e ajudar na definição da política de saúde. Devem ser realizadas em todos os níveis de governo.
  • 142.
    140 BASE LEGAL E FINANCIAMENTO O SUS foi criado pela Constituição Federal de cinco de dezembro de 1988 e normatizado pela Lei Orgânica da Saúde – LOS, que é formada pelas leis 8.080 e 8.142 de 1990 (BRASIL, 2001). A LOS, entre outras coisas, define as condições para as ações integrais de saúde, a organização / operação dos serviços de saúde, a participação da comunidade e as transferências inter-governamentais de recursos financeiros. Até aí tudo bem. O problema está justamente no último item, o repasse de recursos financeiros. Segundo Carvalho (2001), o artigo 35 da Lei 8.080 é claro: “todos os recursos federais deverão ser repassados aos estados, distrito federal e municípios, exclusivamente pelo critério populacional.” 81 Uma das melhores formas de manter o SUS no cabresto é através do financiamento (ou do não financiamento), e a melhor maneira de fazer isto sem dar muito na vista é através da descentralização (leia-se não descentralização), com certeza um dos princípios do SUS mais conspurcado. Vivemos debaixo de programas verticais e só será financiado o que estiver dentro de rubricas bem distintas. Após a LOS, que por sinal foi muito bem escrita, passamos por um bombardeio de Normas Operacionais Básicas – NOBs e Normas Operacionais de Assistência da Saúde – NOAS, cujo principal objetivo foi impedir a descentralização e estrangular o financiamento. Os municípios tiveram que se virar para cumprir um calhamaço de responsabilidades gerenciais contando com o magro Piso de Atenção Básica – PAB. Composto por uma parcela fixa (em torno de R$ 14,00 por habitante) e uma parcela que varia conforme são obedecidos alguns programas verticais (Programa de Agentes Comunitários de Saúde – PACS, Programa de Saúde da Família – PSF, Saúde Bucal, Farmácia Básica, etc.), o PAB tem, pelo menos, a virtude de dar alguma maleabilidade aos gestores municipais. Afora isso as NOBs e NOAS foram um grande instrumento de descentralização de responsabilidades e retenção de recursos financeiros. Então, em cinco de dezembro de 2006 o SUS estará entrando na maioridade e quando nasceu, há 18 anos, já haviam roubado seu dote. A Emenda Constitucional 29 – EC-29, que poderia melhorar o fôlego financeiro do sistema, está em discussão até hoje. Esta emenda, que, a partir de 2000, de forma progressiva, obrigava a união, estados e municípios a comprometer, respectivamente, 10%, 12% e 15% de sua arrecadação para a saúde, teve sua base inicial de cálculo dilapidada em torno de 4 bilhões de reais (em favor da união) e está em discussão até hoje. E olhe que a regularização da EC-29 abreviatura tenciona apenas subir nossos magros U$ 140,00 82 para U$ 160,00 per capita anuais. Não podemos esquecer também a CPMF (contribuição provisória sobre a movimentação financeira), que se tornou permanente sem dar um centavo sequer para a saúde, através de ardilosas mudanças na sua base de cálculo (simplesmente deram de um lado para tirar de outro). 81 “Caso cumprido esse dispositivo Constitucional não teriam ocorrido as graves crises na saúde nos anos 90, e hoje, só o orçamento federal para o SUS seria por volta de R$ 67 bilhões, maior que a atual dotação das três esferas de Governo para o SUS.” (MANIFESTO, 2004) O que, provavelmente, elevaria o orçamento total em algo em torno de R$ 130 bilhões (o que daria algo em torno de 8,35% do PIB e não 3,44%!). 82 A Argentina aplica U$ 362,00 e o Uruguai U$ 304,00. (MANIFESTO, 2005)
  • 143.
    141 ESTRUTURAS DE CONTROLE Além da naturalidade brasileira, outro fator que garante a sobrevivência do SUS é a complexidade de suas estruturas de controle e gestão. Vamos tentar entender um pouco desta estruturas: A população, para realmente atuar dentro dos conselhos e das conferências, deve estar representada, sempre de forma ascendente e não o contrário, dentro de todos os níveis: o local, que terá representação no municipal, que por sua vez garantirá vaga no regional e no estadual e no nacional. É no nível local que teremos a possibilidade de construções mais sólidas e, naturalmente ascendentes. Depois de dois impérios, uma república positivo-absolutista e dois golpes (e, alternando os golpes, mais dois períodos confusos que chamamos de republicanos), criou-se o insalubre hábito (populista) de pensar que o nível mais importante é o mais alto, o nacional, e de lá devem emanar todas as ordens (e progressos) 83 . ESTRUTURAS DE GESTÃO Assim como os conselhos e as conferências de saúde garantem 84 o espaço de controle popular, existem espaços para o debate/embate entre gestores. O Conselho Nacional de Secretários Municipais de Saúde – CONASEMS é formado por representantes estaduais dos secretários municipais (Associação dos Secretários e Dirigentes Municipais de Saúde - ASSEDISA, no caso do RS) e o Conselho Nacional de Secretários de Saúde – CONASS é freqüentado pelos secretários estaduais de saúde. Ambos são sediados no Distrito Federal - DF. A Comissão Intergestores Bipartite - CIB de cada estado é o espaço de debate/embate entre o secretário estadual e seus pares municipais. Por sua vez, a Comissão Intergestores Tripartite - CIT, reúne, no DF, representantes do MS, do CONASS e do CONASEMS (cada entidade indica cinco titulares e respectivos suplentes). Estes são espaços exclusivamente gestores, assim como, em tese, uma associação comunitária terá só usuários e um sindicato apenas trabalhadores (Fig. 27). INSTRUMENTOS DE GERENCIAMENTO Todo município tem que ter seu Plano Municipal de Saúde - PMS, com as diretrizes e ações para os quatro anos de cada gestão, que é pactuado no Conselho Municipal de Saúde - CMS. Além disso, é necessária uma Programação Anual - PA, 83 Podemos, metaforicamente, visualizar esta irracionalidade como uma grande pirâmide onde, ao invés de se investir em coisas óbvias e baratas como fundações fortes de concreto, sustenta-se o topo na pirâmide no ar através de um engenhoso, complexo e caro sistema de helicópteros. Neste meio tempo, os super-especializados técnicos do nível superior estarão projetando e construindo o nível intermediário para, se um dia sobrarem tempo e recursos, construírem as bases. Ou, seja, um sistema que não funciona e está fadado a falência. 84 Garantem em tese, pois Infelizmente, qualquer população pode seguir a tendência habitual de aderência ao populismo e ao assistencialismo e não ocupar estes espaços, bem como representantes de seguimentos não-usuários podem travestir-se de usuários.
  • 144.
    142 o que, principalmente,evita que algum gestor tente deixar para fazer tudo o que foi planejado para quatro anos, no último ano de mandato. A Programação Pactuada Integrada – PPI organiza as ações intersetoriais e inter-regionais e o Relatório de Gestão - RG publica trimestralmente os indicadores de saúde e financeiros alcançados. ESPAÇOS ESPAÇOS DE DE GESTÃO CONTROLE SOCIAL Paridade CONASEMS CONASS CIT MS CNS CfNS T Us G ASSEDISA CIB SES CES CfES PS SMS CMS CfMS Figura 27 – Os caminhos da representação e o equilíbrio de forças dentro do sistema. Elaboração própria. O traço vertical central indica a separação entre os espaços de gestão e de controle social. Os três níveis de instituições representam os níveis municipal, estadual e federal. As setas ascendentes indicam os caminhos da representação entre estes níveis. As setas horizontais indicam os caminhos da representação dentro de um mesmo nível. Se por um lado os usuários detém 50% da representação em todos os espaços de controle social, os gestores, de forma não recíproca (linhas tracejadas), possuem cadeira cativa em todos estes mesmos espaços. CONASEMS=Conselho Nacional de Secretários Municipais de Saúde; CONASS=Conselho Nacional de Secretários Estaduais de Saúde; CIT=Comissão Intergestores Tripartite; MS=Ministério da Saúde; CNS=Conselho Nacional de Saúde; CfNS=Conferência Nacional de Saúde; ASSEDISA=Associação dos secretários e Dirigentes de Saúde; CIB=Comissão Intergestores Tripartite; SES=Secretaria Estadual de Saúde; CES=Conselho Estadual de Saúde; CfES=Conferência Estadual de Saúde; SMS=Secretaria Municipal de Saúde, CMS=Conselho Municipal de Saúde; CfMS=Conferência Municipal de Saúde. Espero, nestas poucas páginas, ter dado uma idéia da complexidade do SUS.
  • 145.
    143 APÊNDICE B –PROGRAMA DE RESIDÊNCIA EM MEDICINA DE FAMÍLIA E COMUNIDADE Uma proposta de Programa de Residência Médica em MEDICINA DE FAMÍLIA E COMUNIDADE para o Município de Santa Maria Rio Grande do Sul Santa Maria Rio Grande do Sul Dezembro de 2004
  • 146.
    144 Uma proposta de Programa de Residência Médica em MEDICINA DE FAMÍLIA E COMUNIDADE para o Município de Santa Maria Rio Grande do Sul Carlos André Aita Schmitz 85 Gilmor José Farenzena 86 Benildes Maria Mazzorani 87 Claudia Terra do Nascimento 88 Clara L. M. Colomé 89 Maria Celeste Landerdhal 90 85 Médico de Família e Comunidade, Estratégia de Saúde da Família, Prefeitura Municipal de Santa Maria 86 Médico Pediatra, mestre em saúde comunitária, professor assistente do Departamento de Saúde da Comunidade, Universidade Federal de Santa Maria 87 Enfermeira, mestre em assistência em enfermagem, professora aposentada da Universidade Federal de Santa Maria, assessora de planejamento da Secretaria de Município de Saúde de Santa Maria 88 Pedagoga, mestre em desenvolvimento humano, especialista em psicopedagogia, professora substituta do Departamento de Fundamentos da Educação do Centro de Educação da Universidade Federal e Santa Maria 89 Enfermeira, mestre em enfermagem, professora aposentada da Universidade Federal de Santa Maria, professora da Universidade Regional Integrada – Campus Santiago 90 Enfermeira, mestre em enfermagem, professora adjunta do Departamento de Enfermagem da Universidade Federal de Santa Maria
  • 147.
    145 P965 Uma proposta de programa de residência médica em medicina de família e comunidade para o município de Santa Maria, Rio Grande do Sul / Carlos André Aita Schmitz... (et al.). – Santa Maria : Os Autores, 2004. 34 f. : il. 1. Medicina 2. Residência médica 3. Ensino superior 4. Saúde pública 5. Medicina de família e comunidade 6. Família 7. Comunidade 8. Programa de ensino 9. Santa Maria 10. Rio Grande do Sul I. Schmitz, Carlos André Aita CDU 614:378(073) Ficha catalográfica elaborada por Maristela Eckhardt CRB-10/737
  • 148.
    146 SUMÁRIO 1. INTRODUÇÃO E JUSTIFICATIVA ........................................................150 2. OBJETIVO GERAL................................................................................151 3. OBJETIVOS ESPECÍFICOS .................................................................151 4. METODOLOGIA....................................................................................151 4.1. Visão geral ............................................................................................151 4.2. Preceptores ...........................................................................................152 4.3. Vagas ....................................................................................................152 4.4. Espaços.................................................................................................153 4.5. Familiarização .......................................................................................153 4.6. Bibliografia disponível............................................................................154 4.7. Acesso a Internet...................................................................................155 4.8. Refeições ..............................................................................................155 4.9. Carga Horária ........................................................................................155 4.10. Distribuição das atividades....................................................................156 4.10.1. Atividades na USF e na comunidade ....................................................158 4.10.1.1. Sala de Espera ..................................................................................159 4.10.1.2. Acolhimento .......................................................................................160 4.10.1.3. Agenda ..............................................................................................160 4.10.1.4. Pós-plantões e plantões ....................................................................161 4.10.1.5. Assistência domiciliar.........................................................................163 4.10.1.6. Territorialização e pesquisa ...............................................................163 4.10.1.7. Grupos ...............................................................................................166 4.10.1.8. Gestão de serviços ............................................................................166 4.10.1.9. Atividades comunitárias .....................................................................168 4.10.1.10. Atualização.....................................................................................168 4.10.2. Estágios.................................................................................................170 4.10.3. Eixos teóricos ........................................................................................171 4.11. Avaliação...............................................................................................173 5. REFERÊNCIAS .....................................................................................173
  • 149.
    147 LISTA DE ABREVIATURAS 4ªCRS 4ª Coordenadoria regional de Saúde ABP Aprendizado Baseado em Problemas ACS Agente Comunitário de Saúde APS Atenção Primária à Saúde BIREME Centro Latino Americano e do Caribe de Informação em Ciências da Saúde; CNRM Comissão Nacional de Residência Médica COMUT Programa de Comutação Bibliográfica; ESF Estratégia de Saúde da Família GPABA Gestão Plena Atenção Básica Ampliada IBICT Instituto Brasileiro de Informação e Tecnologia. MRCO Macro região centro Oeste PRMFC Programa de Residência em Medicina de Família e Comunidade PROESF Programa de Incentivo à Implantação e Consolidação da Estratégia de Saúde da Família PROMED Projeto de Incentivo a Mudanças Curriculares nos Cursos de Medicina SUS Sistema Único de Saúde SVT Secretaria de Viação e Transportes UBS Unidade Básica de Saúde UFSM Universidade Federal de Santa Maria USF Unidade de Saúde da Família
  • 150.
    148 LISTA DE QUADROS Quadro1- Espaços físicos ....................................................................................... 153 Quadro 2 – Carga horária e distribuição de atividades ....................................... 155 Quadro 3 – Distribuição de atividades para as quatro terças-feiras de um mês159 LISTA DE FIGURAS Figura 1– Territorialização e cadastramento ......................................................... 164 Figura 2– Mapa de campo. ...................................................................................... 165 Figura 3 – Aplicação prática do georeferenciamento (VAZ e col., 2004) ......... 166 LISTA DE TABELAS Tabela 1 – Distribuição anual de atividades (implantação) ................................ 157 Tabela 2 – Distribuição anual de regimes de escalas (implantação) ................ 157 Tabela 3 – Distribuição anual de atividades .......................................................... 157 Tabela 4 – Distribuição anual de regimes de escalas ......................................... 157 Tabela 5 - Distribuição de atividades em horas por semana (implantação)*... 158 Tabela 6 - Produtividade direta nas demandas espontâneas e organizadas (implantação) ....................................................................................................... 158 Tabela 7- Distribuição de atividades em horas por semana* ............................. 158 Tabela 8 - Produtividade direta nas demandas espontâneas e organizadas .. 158 Tabela 9 - Distribuição de plantões por tipo de regime de escala (implantação)162 Tabela 10 - Distribuição de plantões por tipo plantão (implantação) ................ 162 Tabela 11 - Totalizador de plantões (implantação) .............................................. 162 Tabela 12 - Distribuição de plantões por tipo de regime de escala................... 162 Tabela 13 - Distribuição de plantões por tipo plantão ......................................... 162 Tabela 14 - Totalizador de plantões ....................................................................... 162 Tabela 15 – Gestão de serviços - carga horária anual ........................................ 167 Tabela 16 – Gestão de serviços – Distribuição mensal ...................................... 167 Tabela 17 – Distribuição anual de vivências (implantação) ................................ 168 Tabela 18 – Distribuição anual de vivências ......................................................... 168 Tabela 19 – Detalhamento e carga horária das atualizações ............................ 169 Tabela 20 – Distribuição bimensal das atualizações (1º mês) ........................... 169 Tabela 21 – Distribuição bimensal das atualizações (2º mês) ........................... 169 Tabela 22 – Escala anual de apresentação de artigos (Implantação) .............. 170 Tabela 23 – Escala anual de apresentação de artigos ....................................... 170 Tabela 24 – Distribuição de estágios no 1º ano (Implantação) .......................... 170
  • 151.
    149 Tabela 25 –Distribuição de estágios no 2º ano (Implantação) .......................... 170 Tabela 26 – Distribuição de estágios no 1º ano ................................................... 170 Tabela 27 – Distribuição de estágios no 2º ano .................................................. 171 Tabela 28 – Disciplinas teóricas em ordem alfabética, com suas respectivas cargas horárias ................................................................................................................. 171 Tabela 29 – Distribuição de disciplinas no 1º semestre do 1º ano .................... 172 Tabela 30 – Distribuição de disciplinas no 2º semestre do 1º ano .................... 172 Tabela 31 – Distribuição de disciplinas no 1º semestre do 2º ano .................... 172 Tabela 32 – Distribuição de disciplinas no 2º semestre do 2º ano .................... 172
  • 152.
    150 1. INTRODUÇÃO EJUSTIFICATIVA Santa Maria ocupa o centro do estado do Rio Grande do Sul, tem uma população de 251.144 habitantes em sua sede (Censo, 2002), sendo pólo da 4ª Coordenadoria Regional de Saúde - 4ª CRS e da Macro-região Centro-oeste - MRCO, compreendendo um universo de aproximadamente um milhão e trezentos mil usuários do Sistema Único de Saúde – SUS. O município também abriga a Universidade Federal de Santa Maria - UFSM, com seu Hospital Universitário atendendo alta e média complexidade exclusivamente pelo SUS, cinco faculdades e centros universitários particulares, dois hospitais militares, dois hospitais particulares e um hospital de média complexidade conveniado ao SUS (Casa de Saúde), este último em processo de municipalização por iniciativa da atual gestão municipal que por sua vez, encontra- se em transição da Gestão Plena da Atenção Básica Ampliada – GPABA para a Gestão Plena do Sistema de Saúde – GPSM. No que diz respeito ao cenário universitário, segundo o Projeto de Incentivo a Mudanças Curriculares nos Cursos de Medicina – PROMED (MS, 2002), dentro dos três estágios que devem ser avançados pelas escolas médicas, nos eixos de orientação teórica, abordagem pedagógica e atividades práticas, o Curso de Medicina da UFSM, conseguiu, no período 2003-2004, iniciar o processo de avanço para o segundo estágio, através de um intenso trabalho envolvendo a coordenação do curso, a comissão interna de reforma curricular e o corpo docente e discente (UFSM, 2003). No início do ano de 2004, através dos recursos do Programa de Incentivo à Implantação e Consolidação da Estratégia de Saúde da Família – PROESF 91 a Prefeitura Municipal de Santa Maria, através de sua Secretaria de Município da Saúde, inicia os procedimentos para a Implantação da Estratégia de Saúde da Família –ESF (MAZZORANI e BECKER, 2003). O município conta hoje com 15 equipes, várias atingindo índices de resolutividade entre 85 e 95% (Dados SIAB, 2004), mas encontra dificuldades para expandir o programa devido a um problema que já atinge todo o país: a escassez de profissionais médicos com qualificação em atenção primária. Por outro lado, a UFSM, devido a reformulação curricular, passa a necessitar, num grau cada vez maior, de uma interação com a rede municipal de serviços de saúde. O presente projeto trata de dar resposta a estas duas realidades, criando uma importante ferramenta de educação permanente que viabilize a formação de profissionais capazes de implementar as propostas governamentais, ao mesmo tempo que abre amplo campo de aprendizado acadêmico dentro da rede municipal de saúde. Isso será possível através de uma ação interinstitucional que integre município e universidade na criação do Programa de Residência em Medicina de Família e Comunidade - PRMFC, fazendo com que docentes e acadêmicos universitários interajam com preceptores e residentes municipais. Esta ação terá como palco espaços do Hospital Universitário e do Campus Universitário, mas ocorrerá principalmente na rede municipal. 91 O PROESF de Santa Maria prevê a implantação de 44 equipes de saúde da família até o ano de 2007, atingindo uma cobertura de 70% da população.
  • 153.
    151 2. OBJETIVO GERAL Proporcionar a formação de médicos de família e comunidade com elevado grau de competência técnica, através do ensino em serviço e tendo o território de referência como palco de ações. À luz da Reforma Sanitária, desenvolver ações com vista à integralidade do cuidado, atuando dentro de preceitos e de princípios do SUS, de maneira integrada, formando uma rede de atenção que busque a reorientação do modelo assistencial rumo à comunidade, que valorize o respeito aos direitos humanos, o acolhimento, o vínculo e a responsabilização da equipe com os usuários do sistema, incentivando o exercício da cidadania ativa e o controle social da população. 3. OBJETIVOS ESPECÍFICOS • Capacitar profissionais mediante o aprendizado em serviço visando a competência técnica para a atuação articulada nas áreas da clínica, da epidemiologia, da gestão de serviços, do controle social e da pesquisa científica; • Promover a construção de competências para atuação nos diferentes contextos de intervenção, principalmente nos serviços de saúde da atenção primária e proporcionalmente nos serviços de atenção secundária e terciária; • Capacitar profissionais para o planejamento, gestão e avaliação de serviços de Atenção Primária à Saúde - APS que contribuam para o processo da Reforma Sanitária; • Oportunizar a escuta qualificada em todos os contextos de intervenção do território, respeitando as alteridades e subjetividades, com a finalidade de promover a potencialização das capacidades expressivas e relacionais de todos os envolvidos no processo; • Desenvolver atitudes investigativas produzindo saber através do fazer. 4. METODOLOGIA 4.1. Visão geral O ensino em serviço acontecerá, principalmente, centrado em Unidades de Saúde da Família – USF e na própria comunidade, onde o residente permanecerá durante nove meses por ano (contando o período de férias). Existirão, também, diversos momentos onde o especializando terá oportunidade de percorrer todas as instâncias de atenção e gestão da rede municipal de saúde. As férias ocorrerão em períodos de 30 dias, obrigatoriamente nos meses de janeiro, julho e dezembro, conforme tabela de distribuição (ver item específico), com a finalidade de normatizar o período de atividades teóricas. Os estágios curriculares privilegiarão os serviços de Cirurgia Ambulatorial (dois meses), Vigilância Epidemiológica (um mês) e Vigilância Sanitária (um mês), bem como dois meses para estágios opcionais, totalizando seis meses de estágio nos dois anos de residência.
  • 154.
    152 O aprendizado de urgência e emergência em pediatria, em obstetrícia e ginecologia e para adultos, ocorrerá distribuído em 21 plantões anuais, totalizando 252 horas por ano, garantindo-se um turno de quatro horas de repouso após cada plantão. Os plantões sempre ocorrerão nas segundas e quartas-feiras, das 19h da noite às 7h da manhã (ver tabela de distribuição no item específico). Será, também, preconizado um período de até quatro horas semanais para diagnóstico epidemiológico e pesquisa científica, bem como quatro horas semanais para revisão de artigos e atualização clínica nas grandes áreas 92 e nas especialidades médicas 93 mais próximas ao trabalho em Medicina de Família e Comunidade, mediante processo de aprendizado baseado em problemas (FERREIRA FILHO e col., 2002). As disciplinas obrigatórias de ética médica, bioética, epidemiologia, bioestatística e metodologia científica e os demais eixos teóricos relativos a Residência de Medicina de Família e Comunidade, serão ministrados em três períodos semanais de quatro horas, das 18h às 22h, nas terças, quintas e sextas- feiras, exceto nos meses destinados às férias. Este programa preconizará a convivência contínua entre residentes de primeiro e de segundo ano, de modo que a rotina de atividades será a mesma, tendo variações no grau de complexidade e nível de responsabilidade, devendo, cada especializando, evoluir dentro do escopo observação-atuação-tutoria. Nesta ótica o residente de primeiro ano iniciará seguindo o exemplo e recebendo assistência dos preceptores e residentes de segundo ano, melhorando sua capacidade de atuação técnica e tornando-se capaz de dar acompanhamento para acadêmicos de graduação. Por fim, como residente de segundo estará apto a acumular atividades de ensino, gestão, assistência e controle social (CECCIM e FEUERWERKER, 2004). Os itens a seguir darão conta do detalhamento do PRMFC: 4.2. Preceptores A definir 4.3. Vagas Serão seis vagas por ano distribuídas em duas equipes duplas (três vagas cada uma) de ESF. As equipes simples diferem das duplas no espaço físico e no tamanho da área de abrangência (simples: 4.500 habitantes, dupla: 9.000 habitantes). Levando-se em consideração as limitações de espaço físico das USF e o fato de que a partir do segundo ano o número de residentes duplica, a escala de atividades dos residentes (ver item específico) foi projetada para que nunca haja mais do que quatro residentes, por período, em atuação nas unidades duplas. 92 Pediatria, Ginecologia e Obstetrícia e Cirurgia Geral. 93 Radiologia, Cardiologia, Endocrinologia, Pneumologia, Reumatologia, Dermatologia, Ortopedia e Traumatologia, Neurologia, Infectologia, Gastroenterologia, Nefrologia, Geriatria e Medicina do Trabalho.
  • 155.
    153 4.4. Espaços O quadro abaixo discrimina os espaços que serão alocados pelas atividades do PRMFC: Quadro 1- Espaços físicos Unidades de Saúde da Família Região 1*: Equipe 1* (equipe dupla) Região 2*: Equipe 2* (equipe dupla) Urgência e Emergência Pronto Socorro Regional (HUSM) Pronto Atendimento Municipal Cirurgia Ambulatorial Hospital Casa de Saúde Vigilância Epidemiológica e Sanitária Serviço de Vigilância Epidemiológica Serviço de Vigilância Sanitária Gestão Secretaria de Município da Saúde Conselho Municipal de Saúde 4ª Coordenadoria Regional de Saúde Estruturas de nível secundário Estruturas de nível terciário Secretarias envolvidas em processos intersetoriais * A definir pelo gestor municipal, com apreciação do Conselho Municipal de Saúde. 4.5. Familiarização Os dois primeiros dias de atividades serão utilizados como ferramenta de familiarização para os residentes. As atividades serão distribuídas da seguinte maneira: Manhã do primeiro dia: Palestra de apresentação do PRMFC; Distribuição das escalas de trabalho nominais; Palestra de apresentação do Município de Santa Maria e da Universidade Federal de Santa Maria. Tarde do primeiro dia: Visitação às USF. Manhã do segundo dia: Visitação aos locais de estágio; Visitação aos locais de plantão. Tarde do segundo dia:
  • 156.
    154 Definição das USF de cada residente; Esclarecimento de dúvidas. A partir do segundo ano do PRMFC, a primeira semana de trabalho será utilizada para a Semana Científica Anual do PRMFC, onde além do acolhimento aos novos residentes, ocorrerão as publicações de artigos e monografias, bem como atividades de atualização e integração para residentes e preceptores. Dentro da semana científica também ocorrerá o fórum de avaliação do PRMFC, onde todos, docentes, preceptores, residentes e usuários, discutirão o programa e farão propostas de mudanças, se necessário. 4.6. Bibliografia disponível Cada USF disporá das seguintes referências bibliográficas: Clínica Geral: Medicina Ambulatorial: condutas de atenção primária baseada em evidências. Duncan BB, Schmidt MI, Giugliani - Ed. Artes Médicas, 2004 Atualização Terapêutica - Diagnóstico e Tratamento, Durval Rosa Borges e Hanna A. Rothschild (editores), 21ª Ed., Editora Artes Médicas, 2003. Obstetrícia: Rotinas em Obstetrícia, Freitas, F e cols., 4ªed, Editora Artes Médicas, 2001 Ginecologia: Rotinas em Ginecologia, Freitas, F e cols., 4ªed, Editora Artes Médicas, 2001 Pediatria: Pediatria: Consulta Rápida, Paulo Márcio Condessa Pitrez e José Luiz Bohrer Pitrez, 2ª edição, Editora Artes Médicas, 1998. Dermatologia: Dermatologia, Sebastião de Almeida Prado Sampaio, 2ª ed. - 1ª reimpressão, Editora Artes Médicas, 2001 Outras Dicionário de Especialidades Farmacêuticas – DEF, Editora EPUB/33ª Edição/2004-2005 Classificação Estatística Internacional de Doenças e Problemas Relacionados à Saúde10ª Revisão – CID-10, Organização Mundial de Saúde - OMS, Edusp - Editora da Universidade de São Paulo, 1998. Os residentes receberão, através de convênio a ser firmado entre UFSM e Município de Santa Maria, uma matrícula na UFSM, tendo, portanto, acesso a Biblioteca Central e suas bibliotecas setoriais, inclusive a Biblioteca Setorial do Centro de Ciências da Saúde. A Biblioteca Central conta, também, com acesso a: • COMUT – Programa de Comutação Bibliográfica; • BIREME – Centro Latino Americano e do Caribe de Informação em Ciências da Saúde;
  • 157.
    155 • IBICT – Instituto Brasileiro de Informação e Tecnologia. 4.7. Acesso a Internet As USF dispõem de acesso discado à Internet e os residentes disporão de acesso rápido nas dependências da UFSM. 4.8. Refeições Como o refeitório do Hospital Universitário será de difícil acesso para os residentes, estes receberão tíquete refeição. 4.9. Carga Horária O quadro a seguir discrimina, conforme a Resolução 004/2003 da Comissão Nacional de Residência Médica – CNRM, a carga horária anual do PRMFC, bem como a distribuição das atividades e suas respectivas cargas horárias semanais e anuais: Quadro 2 – Carga horária e distribuição de atividades % % Horas/ Sem./ Horas/ mín. ating. sem. ano ano PRMFC 100,00 2.894,80 1 Cuidados primários à saúde 50 50,51 1.462,19 1.1 Sala de espera 1,68 1,25 39,0 48,75 1.2 Acolhimento 10,78 8,00 39,0 312,00 1.3 Agenda 10,78 8,00 39,0 312,00 1.4 Pós_plantão 3,59 2,00 52,0 104,00 1.5 Territorialização/pesquisa 5,47 4,06 39,0 158,44 1.6 Gestão de serviços 7,19 4,00 52,0 208,00 1.7 Atualização 7,19 4,00 52,0 208,00 1.8 Dias temáticos 2,49 8,00 9,0 72,00 1.9 Grupos 1,35 1,00 39,0 39,00 2 Cuidados secund. e terc. à saúde 10 22,97 664,80 2.1 Plantões 8,71 252,00 2.1.1 Urgência e emergência Pediátrica 12,00 7,0 84,00 2.1.2 Urgência e emergência Gineco-obstétrica 12,00 7,0 84,00 2.1.3 Urgência e emergência Adulto 12,00 7,0 84,00 2.2 Estágios 14,26 412,80 2.2.1 Cirurgia Ambulatorial 32,00 4,3 137,60 2.2.2 Vigilância Epidemiológica/Sanitária 32,00 4,3 137,60 2.2.3 Opcional 32,00 4,3 137,60 3 Dom., escolas, locais de trab. e lazer 10 10,36 299,81 3.1 Assistência domiciliar 6,15 4,56 39,0 177,94 3.2 Grupos 1,68 1,25 39,0 48,75 3.3 Atividades comunitárias 2,53 1,88 39,0 73,13 4 Eixos teóricos-complementares 10 16,17 12 39,0 468,00 % mín. = percentual mínimo preconizado pela Resolução CNRM 004/2004; % ating. = percentual atingido pelo PRMFC; Horas/sem. = carga horária semanal, Sem./ano = quantidade de semanas, por ano em que a atividade ocorrerá, considerando o ano de 52 semanas; Horas/ano = carga horária anual; PRMFC = Programa de Residência em Medicina de Família e Comunidade; secund. = secundário; ter c. = terciário; Dom. = Domicílios; trab. = trabalho
  • 158.
    156 4.10. Distribuição das atividades A distribuição das atividades, bem como da carga horária de cada atividade, foi realizada levando-se em conta os seguintes critérios: • Garantia, ao gestor municipal, de manutenção da filosofia da ESF 94 ; • Garantia, aos trabalhadores de saúde, de regime de trabalho humanizado; • Garantia, aos residentes, de que a cada um será oportunizada a passagem organizada e equilibrada por cada uma das atividades propostas; • Garantia, à UFSM, de campo de estágio organizado para os acadêmicos do Curso de Medicina; • Ano de 52 semanas; • Utilização de dois consultórios para atividades médicas; • Necessidade de um consultório ser utilizado, em tempo integral, para atendimento de demanda espontânea; • Necessidade de um consultório ser utilizado, em tempo integral, para atendimento de demanda organizada; • Necessidade, tanto para fins de assistência, como para fins de ensino, do espaço de atendimento médico ser responsável por, pelo menos, 50% das necessidades locais de atendimento, calculadas com base no estudo de White (1961) 95 , ou seja, em torno de 1.250 atendimentos/mês. Para tanto, foi desenvolvida uma planilha eletrônica, chamada de RMFC (SCHMITZ, 2004), no aplicativo Microsoft Excel que, além de calcular a distribuição (Quadro 1), também dá conta de construir automaticamente a escala de trabalho nominal de cada residente. Serão apresentadas tabelas para o ano de implantação do programa (três residentes por equipe) e para os anos subseqüentes (seis residentes por equipe). Os residentes de primeiro ano serão nominados por RM11, RM12 e RM13, e os residentes de segundo ano serão nominados por RM21, RM22 e RM23. A planilha RMFC possui uma tabela de conversão (tabela Nom) que permite a substituição destes códigos pelos nomes dos residentes, fazendo a substituição dos códigos pelos nomes em todas as tabelas da planilha, permitindo a construção automática das escalas de trabalho nominais. No primeiro ano do programa, dois residentes desenvolverão atividades na USF e comunidade, enquanto um terceiro estará em atividade nos estágios curriculares, passando esta proporção para 4:2 a partir do segundo ano. Portanto, na USF, os residentes serão distribuído em diferentes regimes de escalas, codificados como RMa e RMb, na implantação e RMa, RMb, RMc e RMd, nos anos subseqüentes. 94 Atividade centrada na atenção primária à saúde, priorizando a organização da demanda, o atendimento humanizado, com criação de vínculo e responsabilização entre equipe e usuários, gerando continuidade do atendimento, trabalhando com território adstrito e população a ele adscrita, e gerando participação do controle social (DUNCAN e SCHMIDT, 2004). 95 Em uma população de 1.000 pessoas, maiores de 15 anos, a cada mês (em média), 750 apresentarão algum tipo de sintoma, sendo que destas, 250 procurarão algum tipo de atendimento, das quais 5 serão encaminhadas a especialistas e nove serão hospitalizadas.
  • 159.
    157 Conforme veremos nas tabelas a seguir, esta codificação, além de equilibrar as atividades dentro das proporções 2:1 e 4:2, também permite a troca organizada de regime de escalas, a cada quatro meses em média, equacionando diferenças entre os regimes de escalas e permitindo, por exemplo, que o residente passe por todos os grupos operativos ou terapêuticos, existentes na sua USF de trabalho, entre outras vantagens. Fica facilmente visualizável nas tabelas que a equipe sempre contará, a cada mês, com a presença de um número igual de residentes de primeiro e de segundo ano, permitindo, também a convivência entre residentes em diferentes estágios de formação, potencializando as possibilidades de aprendizagem. Tabela 7 – Distribuição anual de atividades (implantação) Residentes FEV MAR ABR MAI JUN JUL AGO SET OUT NOV DEZ JAN RM11 APS APS APS APS APS APS APS EST EST EST APS FER RM12 EST EST EST APS APS APS APS APS APS APS FER APS RM13 APS APS APS EST EST FER EST APS APS APS APS APS APS = período destinado às atividades na USF e na comunidade; EST = período destinado à realização dos estágios curriculares e opcionais; FER = período de férias. Tabela 8 – Distribuição anual de regimes de escalas (implantação) Residentes FEV MAR ABR MAI JUN JUL AGO SET OUT NOV DEZ JAN RM11 RMa RMa RMa RMa RMb RMb RMb EST EST EST RMb FER RM12 EST EST EST RMb RMa RMa RMa RMa RMb RMb FER RMb RM13 RMb RMb RMb EST EST FER EST RMb RMa RMa RMa RMa Rma e RMb = Diferentes tipos de regimes de escalas para as atividades na USF e na comunidade; EST = período destinado a realização dos estágios curriculares e opcionais; FER = período de férias. Tabela 9 – Distribuição anual de atividades Residentes FEV MAR ABR MAI JUN JUL AGO SET OUT NOV DEZ JAN RM11 APS APS APS APS APS APS APS EST EST EST APS FER RM12 EST EST EST APS APS FER APS APS APS APS APS APS RM13 APS APS APS EST EST APS EST APS APS APS FER APS RM21 EST EST EST APS APS APS APS APS APS APS APS FER RM22 APS APS APS EST APS FER APS APS EST EST APS APS RM23 APS APS APS APS EST APS EST EST APS APS FER APS APS = período destinado às atividades na USF e na comunidade; EST = período destinado a realização dos estágios curriculares e opcionais; FER = período de férias. Tabela 10 – Distribuição anual de regimes de escalas Residentes FEV MAR ABR MAI JUN JUL AGO SET OUT NOV DEZ JAN RM11 Rma Rma Rma Rma Rmd Rmd Rmd EST EST EST Rmd FER RM12 EST EST EST Rmb Rmb FER Rmb Rmb Rmc Rmc Rmc Rmc RM13 Rmb Rmb Rmb EST EST Rmb EST Rma Rma Rma FER Rma RM21 EST EST EST Rmc Rmc Rmc Rmc Rmd Rmd Rmd Rmd FER RM22 Rmc Rmc Rmc EST Rmc FER Rma Rma EST EST Rma Rma RM23 Rmd Rmd Rmd Rmd EST Rmb EST EST Rmb Rmb FER Rmb Rma, RMb, RMc e RMd = Diferentes tipos de regimes de escalas para as atividades na USF e na comunidade; EST = período destinado a realização dos estágios curriculares e opcionais; FER = período de férias.
  • 160.
    158 4.10.1. Atividades na USF e na comunidade As atividades a serem desenvolvidas na USF e na comunidade estão demonstradas nas tabelas a seguir e detalhadas nos itens subseqüentes. Tabela 11 - Distribuição de atividades em horas por semana (implantação)* Territo- S de ala Assistência rialização/ Gestãode Atividades A tuali- espera Acolhimento Agenda Pós_plantão** dom iciliar pesquisa Grupos serviços** com unitárias zação** Totais Ra M 1 8 9 2 4 4 2 4 2 4 40 Rb M 1 8 9 2 4,25 4 1,75 4 2 4 40 PM 0 20 14 0 0 0 0 4 0 2 40 P (% eso ) 2,5 20 22,5 5 10,3125 10 4,6875 10 5 10 100 * Os residentes também participarão de 1 dia temático por mês (num total de 9) que será realizado em feriados ou fins de semana Rma e RMb = regimes de escalas dos residentes; PM = regime de escala do preceptor médico; Peso (%) = peso percentual de cada atividade em relação aos 10 turnos semanais. Tabela 12 - Produtividade direta nas demandas espontâneas e organizadas (implantação) D anda expontânea em D anda organizada em Total Assistência Atividades Acolhimento Agenda dom iciliar Grupos com unitárias Us. Tem in) po(m 15 30 45 Tem in) po(m 120 Tem in) po(m 120 Intervalo(m in) 5 5 15 Us./grupo 30 Us./ativ. 30 C ons./turno 12 6 4 U ês s./m 432 192 33 U ês s./m 120 U ês s./m 120 777 Cons./turno = quantidade de consultas realizadas em cada turno; Us./mês = quantidade de usuários atendidos em cada mês; Us./grupo = quantidade de usuários atendidos em cada grupo; Us./grupo = quantidade de usuários atendidos em cada atividade comunitária. Tabela 13- Distribuição de atividades em horas por semana* Territo- S de ala Assistência rialização/ Gestãode Atividades A tuali- espera Acolhimento Agenda Pós_plantão** dom iciliar pesquisa Grupos serviços** com unitárias zação** Totais Ra M 1,25 8 8 2 4,75 4,25 2,25 4 1,5 4 40 Rb M 1 8 8 2 4,5 4 2,5 4 2 4 40 Rc M 1,25 8 8 2 4,75 4 2 4 2 4 40 Rd M 1,5 8 8 2 4,25 4 2,25 4 2 4 40 PM 0 4 0 0 0 0 0 4 0 4 12 P (% eso ) 3,125 20 20 11,40625510,15625 10 5,625 4,6875 10 100 * Os residentes também participarão de um dia temático por mês (num total de nove) que será realizado em feriados ou fins de semana Rma, RMb, RMc e RMd = regimes de escalas dos residentes; PM = regime de escala do preceptor médico; Peso (%) = peso percentual de cada atividade em relação aos 10 turnos semanais. Tabela 14 - Produtividade direta nas demandas espontâneas e organizadas Demanda expontânea Demanda organizada Total Assistência Atividades Acolhimento Agenda dom iciliar Grupos comunitárias Us. Tempo(min) 15 30 45 Tempo(min) 120 Tempo(min) 120 Intervalo(min) 5 5 15 Us./grupo 30 Us./ativ. 30 Cons./turno 12 6 4 Us./m ês 432 192 73 Us./mês 330 Us./mês 240 1.027 Cons./turno = quantidade de consultas realizadas em cada turno; Us./mês = quantidade de usuários atendidos em cada mês; Us./grupo = quantidade de usuários atendidos em cada grupo; Us./grupo = quantidade de usuários atendidos em cada atividade comunitária.
  • 161.
    159 A planilha RMFC distribui os residentes de forma a otimizar os espaços físicos e garantir a participação equânime em todas as atividades. Possui cinco grupos de tabelas de atividades, uma para cada dia da semana, que, por sua vez, são divididas em quatro dias por mês, conforme o exemplo abaixo: Quadro 3 – Distribuição de atividades para as quatro terças-feiras de um mês TERÇA-FEIRA DISTRIBUIÇÃO DE ATIVIDADES 1ª SEMANA Sala de Peuricultura/ Assistência Territo- Atividades Atuali- espera Acolhimento infância Pós-plantão domiciliar rialização Grupos Gestão comunitárias zação Manhã 1 RMa RMc RMb RMd 2 RMa RMc RMb RMd 3 RMa RMc RMb RMd 4 RMa RMc RMb RMd Tarde 1 RMc RMa RMd RMb 2 RMc RMa RMd RMb 3 RMc RMa RMd RMb 4 RMc RMa RMd RMb 2ª SEMANA Sala de Peuricultura/ Assistência Territo- Atividades Atuali- espera Acolhimento infância Pós-plantão domiciliar rialização Grupos Gestão comunitárias zação Manhã 1 RMd RMa RMb RMc 2 RMa RMb RMc RMd 3 RMa RMb RMc RMd 4 RMa RMb RMc RMd Tarde 1 RMb RMc RMd RMa 2 RMc RMd RMa RMb 3 RMc RMd RMa RMb 4 RMc RMd RMa RMb 3ª SEMANA Sala de Peuricultura/ Assistência Territo- Atividades Atuali- espera Acolhimento infância Pós-plantão domiciliar rialização Grupos Gestão comunitárias zação Manhã 1 RMa RMc RMb Rmd 2 RMa RMc RMb RMd 3 RMa RMc RMb RMd 4 RMa RMc RMb RMd Tarde 1 RMb RMc RMa RMd 2 RMc RMa RMd RMb 3 RMc RMa RMd RMb 4 RMc RMa RMd RMb 4ª SEMANA Sala de Peuricultura/ Assistência Territo- Atividades Atuali- espera Acolhimento infância Pós-plantão domiciliar rialização Grupos Gestão comunitárias zação Manhã 1 RMd RMa RMb RMc 2 RMa RMb RMc RMd 3 RMa RMb RMc RMd 4 RMa RMb RMc RMd Tarde 1 RMb RMc RMd RMa 2 RMc RMd RMa RMb 3 RMc RMd RMa RMb 4 RMc RMd RMa RMb As atividades serão detalhadas nos itens seguintes: 4.10.1.1. Sala de Espera O trabalho de sala de espera ocupa em torno de uma hora semanal e consiste em atividades de informação (utilidade pública, estrutura e funcionamento
  • 162.
    160 da USF), prevençãode doenças e educação em saúde, realizadas com os usuários que estiverem na sala de espera da USF. O residente poderá usar explanações discursivas, dinâmicas, diálogos individuais ou qualquer outra técnica através do exercício da criatividade. 4.10.1.2. Acolhimento O acolhimento consiste em um atendimento de tempo variável (cinco a 30 minutos, 15 minutos em média) onde poderão ocorrer as seguintes possibilidades, cumulativas ou não: a) Resolução do fato; b) Encaminhamento para agenda com uma das áreas profissionais existentes na unidade; c) Encaminhamento para o nível secundário; d) Encaminhamento para o nível terciário; e) Mobilização da equipe para atendimento de urgência/emergência de acordo coma as limitações existentes na unidade. O acolhimento não é uma simples triagem, apesar de englobá-la. Implica em escuta, em disponibilidade pessoal, o que em muitos casos já é resolutivo. Implica, também, em subjetividade e em alteridade. É um espaço de negociação entre a equipe e o usuário, propiciando uma intermediação entre as necessidades imediatas deste último e a capacidade de atendimento da primeira. O usuário sempre receberá um encaminhamento, que poderá ser ou não o motivo da sua procura pela unidade, mas que sempre incidirá, com um percentual maior ou menor de resolutividade, sobre a demanda do usuário. A resolutividade do acolhimento irá variar com a capacidade de avaliação e de escuta do profissional e com os recursos que estiverem disponíveis no momento. A resolutividade atingida pelo acolhimento é cumulativa, posto que está relacionada com a continuidade do atendimento. Em outras palavras, uma demanda pode ser resolvida em um ou vários acolhimentos, ou em um acolhimento e uma agenda, dentre as várias possibilidades de combinação. O acolhimento também é um excelente espaço para promoção de saúde, prevenção de doenças e educação em saúde. A diferença entre o acolhimento e a agenda consiste, principalmente, no fato do primeiro ser um componente da demanda espontânea e do último ser um componente da demanda organizada. Caberá à equipe a habilidade de instruir os usuários e conduzir a demanda de forma a não surgirem distorções de sobrecarga num ou noutro espaço. 4.10.1.3. Agenda A agenda é uma grande ferramenta na concretização da organização da demanda e obedecerá a mesma sistemática que está sendo utilizada na definição dos protocolos municipais de saúde (Secretaria de Município da Saúde) e na reforma curricular universitária (Universidade Federal de Santa Maria), ou seja, o ciclo de vida do desenvolvimento humano.
  • 163.
    161 Dentro deste paradigma, a semana iniciará na segunda-feira com a gestação e o puerpério e na terça-feira serão agrupados os atendimentos de puericultura e infantis. A quarta-feira será reservada para as atividades de atualização e gestão (ver itens específicos), ocorrendo apenas algumas atividades de acolhimento pelo turno da manhã. Na quinta-feira serão realizados os atendimentos de adolescentes e adultos e a sexta-feira será reservada para a assistência de adultos e de idosos. Em todos os atendimentos será estimulada a participação do cônjuge e/ou familiares ou responsáveis. Esta distribuição equaciona as seguintes variáveis: a) Organização da demanda: a distribuição por dias da semana permite que toda a dinâmica da unidade seja regida pelo tema diário, permitindo, inclusive, a organização das atividades de grupo por dia da semana (grupo de gestantes, grupo de mães, grupo de adolescentes, grupo de qualidade de vida, etc.) b) Continuidade, responsabilização e vínculo: o usuário será atendido sempre pelo mesmo profissional em praticamente todos os retornos, já que cada profissional utilizará o mesmo dia da semana quinzenalmente. Nos casos de retornos em sete dias ou menos (em geral para gestantes) haverá vínculo e responsabilização pela equipe. c) Garantia de ensino em serviço: todos os residentes passarão por todos os ciclos de desenvolvimento humano, com a mesma quantidade de turnos mensais (as poucas diferenças serão compensadas nos ajustes quadrimestrais). Aos preceptores também será facultado o trânsito por todas as modalidades de agendamento, permitindo também a estes o vínculo com a comunidade e a visão da situação local. 4.10.1.4. Pós-plantões e plantões Dentro da ótica de garantir, além de um atendimento humanizado para os usuários, também um espaço de trabalho humanizado para os trabalhadores de saúde, será preconizado um tempo de quatro horas de repouso pós-plantão. Como os eixos teóricos serão desenvolvidos nas terças, quintas e sextas- feiras, à noite, os plantões ocorrerão, quinzenalmente, nas segundas e quartas- feiras, das 19h às 7h e, conseqüentemente, os pós-plantões ocorrerão nas terças e quintas-feiras, no turno da manhã. Os plantões darão conta do treinamento em serviço nas áreas de urgência e emergência em pediatria, obstetrícia e ginecologia e para adultos. Ocorrerão no Pronto Socorro Regional (Hospital Universitário de Santa Maria), no Pronto Atendimento Municipal e no Hospital Casa de Saúde. A planilha RMFC distribui os residentes de forma a garantir: • um número igual de plantões, por residente, em cada área; • a presença de residentes em todos os meses do ano, nos serviços ligados ao projeto; • que os pós-plantões não prejudiquem a dinâmica de trabalho da equipe.
  • 164.
    162 Tabela 15 -Distribuição de plantões por tipo de regime de escala (implantação) P la n tã o P ó s -p la n tã o P la n tã o P ó s -p la n tã o S e g u n d a -fe ira T e rç a -F e ira Q u a rta -fe ira Q u in ta -fe ira 1ª sem ana RMb RMb RMa RMa 3ª sem ana RMb RMb RMa RMa Tabela 16 - Distribuição de plantões por tipo plantão (implantação) Residentes FEV MAR ABR MAI JUN JUL AGO SET OUT NOV DEZ JAN RM11 PD PD PD PD GO GO GO GO AD AD AD FER RM12 GO GO GO GO PD FER PD PD AD AD AD AD RM13 AD AD AD AD PD PD PD PD GO GO FER GO PD = urgência e emergência em pediatria; GO = urgência e emergência em obstetrícia e ginecologia; AD = urgência e emergência adultos. Tabela 17 - Totalizador de plantões (implantação) Residentes PD GO AD Totais RM11 8 7 7 22 RM12 7 7 8 22 RM13 7 7 8 22 Totais 22 21 23 66 PD = urgência e emergência em pediatria; GO = urgência e emergência em obstetrícia e ginecologia; AD = urgência e emergência adultos. Tabela 18 - Distribuição de plantões por tipo de regime de escala Plantão Pós-plantão Plantão Pós-plantão Segunda-feira Terça-Feira Quarta-feira Quinta-feira 1ª semana RMb RMb RMa RMa 2ª semana RMc RMc RMd RMd 3ª semana RMb RMb RMa RMa 4ª semana RMc RMc RMd RMd Tabela 19 - Distribuição de plantões por tipo plantão Residentes FEV MAR ABR MAI JUN JUL AGO SET OUT NOV DEZ JAN SEG QUA SEG QUA SEG QUA SEG QUA SEG QUA SEG QUA SEG QUA SEG QUA SEG QUA SEG QUA SEG QUA SEG QUA RM11 PD PD PD PD PD PD PD PD GO GO GO GO GO GO GO AD AD AD AD AD AD AD FER FER RM12 GO GO GO GO GO GO GO GO PD PD FER FER PD PD PD PD AD AD AD AD AD AD AD AD RM13 AD AD AD AD AD AD AD AD AD PD PD PD PD PD PD GO GO GO GO GO FER FER GO GO RM21 PD PD PD PD PD PD PD PD GO GO GO GO GO GO GO AD AD AD AD AD AD AD FER FER RM22 GO GO GO GO GO GO GO GO PD PD FER FER PD PD PD PD AD AD AD AD AD AD AD AD RM23 AD AD AD AD AD AD AD AD PD PD PD PD PD PD PD PD GO GO GO GO FER FER GO GO PD = urgência e emergência em pediatria; GO = urgência e emergência em obstetrícia e ginecologia; AD = urgência e emergência adultos. Tabela 20 - Totalizador de plantões Residentes PD GO AD Totais RM11 8 7 7 22 RM12 7 7 8 22 RM13 7 7 8 22 RM21 8 7 7 22 RM22 7 8 7 22 RM23 7 7 8 22 Totais 44 43 45 132 PD = urgência e emergência em pediatria; GO = urgência e emergência em obstetrícia e ginecologia; AD = urgência e emergência adultos.
  • 165.
    163 4.10.1.5. Assistência domiciliar Os atendimentos a domicílio ocuparão em média quatro horas por semana de cada residente, nos horários fixos designados para a assistência domiciliar e em outras quatro horas semanais de outras atividades de campo sob regime de sobreaviso para os casos de emergência. Ocorrerão dentro de três modalidades (LOPES e Col., 1998): a) Atendimento domiciliar: é o atendimento prestado no domicílio, para pacientes agudamente doentes, e que em função disto estejam temporariamente impossibilitados de comparecer à USF. Será prestado preferencialmente pelo médico do paciente ou pelo médico designado pela escala. b) Internação domiciliar: é o atendimento no domicílio, de pacientes agudamente doentes com problema de saúde que exija uma atenção mais intensa, mas que possam ser mantidos em casa, desde que disponham de um acompanhamento freqüente pela equipe da USF e a família assuma parte dos cuidados. Também se enquadram aqui os pacientes que receberam alta hospitalar em função de poderem ser cadastrados e atendidos pela Assistência Domiciliar. Este atendimento não substitui a internação hospitalar. c) Acompanhamento domiciliar: é um atendimento mais específico a pacientes que necessitem contatos freqüentes e programáveis com os profissionais da equipe. São condições apropriadas para inclusão no Acompanhamento Domiciliar: • Paciente portador de doença crônica que apresente dependência física; • Pacientes em fase terminal; • Pacientes idosos, com dificuldade de deambulação ou morando sozinhos. Existem situações e objetivos que justificam a realização de assistência domiciliar: • Chamado de emergência nos casos em que o paciente não pode ser transportado rapidamente para o hospital; • Atendimento de situações ou doenças agudas que incapacitam o paciente a vir até a USF; • Intercorrências dos pacientes crônicos, terminais ou em internação domiciliar; • Visita periódica para pacientes com incapacidade funcional, idosos acamados ou que moram sozinhos; • Visitas aos pacientes egressos hospitalares; • Confirmação de óbito. 4.10.1.6. Territorialização e pesquisa
  • 166.
    164 Santa Maria possui o melhor e mais completo sistema de georeferenciamento de toda a região sul do país, contando com mais de 50 mapas temáticos com uma infinidade de dados e possibilidades de cruzamento (SCHMITZ, VAZ, BERNARDI NETO e col., 2004) e que permitiu uma sistematização otimizada dos territórios de abrangência, quando da implantação das primeiras USF (ver figura abaixo). 017MGA01ILE034 PREFEITURA MUNICIPAL DE SANTA MARIA SECRETARIA DE MUNICÍPIO DA SAÚDE ESTRATÉGIA DE SAÚDE DA FAMÍLIA CARTÃO PROVISÓRIO DA FAMÍLIA Espaço para carimbo e rubrica Nº 017MGA01ILE014 Mapa final de uma micro-área (MA), em formato A3, desenvolvido pela Secretaria de Viação e Transportes após o retorno das informações da territorialização. Cada MA recebeu uma cor padronizada de identificação que também foi utilizada como identificador dos envelopes das famílias (através de fita adesiva colorida), facilitando a organização e localização dos prontuários. As famílias recebem um cartão provisório, que será substituído pelo cartão SUS, e são identificadas por uma codificação que utiliza um sanduíche de letras e números, facilitando tanto a organização visual quanto a informatização do sistema. Capacidade de detalhamento do sistema, partindo de um mapa geral do município até a planta baixa de uma clínica de traumato- ortopedia. Os retângulos vazados indicam a área que será ampliada no plano seguinte. Figura 27– Territorialização e cadastramento É importante frisar que territorialização difere de cadastramento, posto que, enquanto a primeira se refere ao estudo sistemático do território e é uma tarefa comum a toda a equipe, o segundo refere-se ao detalhamento da população adscrita a este território e é uma das tarefas do Agente Comunitário de Saúde - ACS. Para se adscrever uma população a um determinado território é imprescindível conhecer, delimitar e, de início, minimamente detalhar este território. A estratégia de trabalho será dividida em macro e microterritorialização. A macroterritorialização é de caráter rápido e tem como principal função localizar e nominar logradouros (inclusive desenhando logradouros que não existam no mapa), delimitar as microrregiões de cada ACS e identificar os limites de abrangência de cada equipe. Para realizar este trabalho os residentes receberão da Secretaria de Viação e Transportes -SVT, para cada equipe, um mapa da sua região de abrangência, em tamanho A1 ou A2, delimitado de acordo com as informações fornecidas pela Secretaria de Município da Saúde (SMS) e acrescido de uma margem de segurança territorial. Também serão fornecidos mapas de campo em tamanho A4, para cada microrregião, também acrescidos de uma margem de segurança territorial. A margem de segurança tem por finalidade dar oportunidade de verificação de quaisquer dúvidas quanto aos limites das regiões e microrregiões. Os mapas de
  • 167.
    165 campo terão omapa da microrregião na frente e, no verso, um mapa de localização da microrregião, conforme a figura abaixo. Frente Verso Figura 28– Mapa de campo. Após a devolução dos mapas de campo para a SVT, as correções necessárias serão realizadas pelo setor de topografia e serão de grande valia para o município. As equipes terão o retorno na forma de mapas gerais e de campo com limites precisos e que servirão de base para os trabalhos de microterritorialização. A microterritorialização é de caráter lento e detalhado. Os limites e o logradouro estão para a macro assim como o lote e a casa estão para a microterritorialização e a família e o indivíduo estão para o cadastramento. A microterritorialização tem por finalidade desvelar os detalhes da microrregião, assim como detectar microáreas de risco. Por microáreas de risco entende-se regiões de risco, no que diz respeito a violência (assaltos, drogas, regiões de domínio, etc.), infra-estrutura precária (esgotos a céu aberto, criações de animais, lixões, etc.), risco geográfico, risco hídrico e ocupações irregulares. Muitas destas áreas já estão mapeadas pela SVT. Também será possível identificar: • A malha de transporte coletivo e os principais fluxos humanos; • Tipo de via pública: asfalto, calçamento, chão batido, improvisada; • Tipo de moradias: alvenaria, madeira, mista, improvisada; • Quantidade de moradias por lote; • Ferramentas sociais: creches, escolas, templos, associações comunitárias; • Ferramentas de saúde: UBSs. A microterritorialização, além de aumentar o conhecimento da equipe sobre a região, fornece a possibilidade do georeferenciamento, através da associação de dados eletrônicos com os mapas digitais da SVT. O exemplo abaixo mostra como é possível a visualização da distribuição espacial da ocorrência de determinada patologia, dos limites das microáreas de risco e da associação de vários indicadores.
  • 168.
    166 Levantamento topográfico / curvas Plotagem da localização dos esgotos a de nível. céu aberto (pontos). Zonas de alagamento (polígonos). Zonas de risco para infecções (resultado da intersecção). Figura 29 – Aplicação prática do georeferenciamento (VAZ e col., 2004) O espaço da territorialização servirá também para levantamentos epidemiológicos locais e para o desenvolvimento de pesquisas de interesse para a USF, por parte dos residentes. 4.10.1.7. Grupos Cada residente terá, em média, duas horas semanais para o desenvolvimento de atividades de grupo, devendo ser responsável por, no mínimo, dois grupos diferentes. A carga horária para esta atividade permitirá, além da implementação prática do grupo, o tempo necessário para o planejamento, registro e sistematização das atividades. Os grupos serão definidos de acordo com as necessidades da USF e da comunidade. A troca quadrimestral de regime de escalas possibilitará aos residentes passarem por todos os grupos em atividade na USF. 4.10.1.8. Gestão de serviços As atividades de gestão de serviços ocorrerão sempre na quarta-feira à tarde, quando a USF terá apenas expediente interno. Os residentes que não estiverem alocados na USF, também participarão, independente do estágio que estiverem
  • 169.
    167 realizando (salvo estágiosopcionais fora do município). As atividades serão as seguintes: • Reunião de equipe: de freqüência semanal, ocorrerá sempre nas primeiras duas horas da tarde e servirá para discussão de assuntos internos, organização de atividades, esclarecimento de dúvidas, resolução de problemas, etc.; • Reunião inter-equipes: de freqüência mensal, sempre na última semana do mês e ocupando as duas últimas horas da tarde. Terá, entre outras, a função de troca de experiências, padronização de atividades e resolução de problemas comuns, além de ser um espaço de interlocução com o gestor; • Reunião de comunidade: de freqüência mensal, sempre na primeira semana do mês e ocupando as duas últimas horas da tarde. Terá por finalidade, entre outras, a interlocução com a comunidade local, a recepção de queixas e sugestões, o esclarecimento de dúvidas e o planejamento participativo das atividades; • Gerência local: de freqüência mensal, sempre na terceira semana do mês e ocupando as duas últimas horas da tarde. Terá por finalidade, entre outras, a confecção dos relatórios necessários a ESF, o planejamento e o controle dos insumos (material, medicamentos, etc.), a orientação de ACS e o planejamento e o controle das atividades da USF. Caso necessário, os residentes poderão ocupar a segunda hora da reunião de equipe para estas atividades. • Vivências: a exemplo da experiência adquirida no projeto Ver-SUS (MINISTÉRIO DA SAÚDE, 2004), os residentes terão oportunidade, durante toda uma tarde, de vivenciar os diversos serviços de saúde da rede municipal, com a finalidade de ter uma visão de conjunto do sistema e realizarem uma apropriação das informações a respeito das possibilidades de encaminhamento e atividades em conjunto. Tabela 21 – Gestão de serviços - carga horária anual DESCRIÇÃO SIGLA TOTAL Reunião de equipe RE 72 Reunião inter-equipes RI 24 Reunião comunitária RC 24 Vivências VV 48 Gerência local GL 24 TOTAL GERAL 192 Tabela 22 – Gestão de serviços – Distribuição mensal Horas 1ª semana 2ª semana 3ª semana 4ª semana 1ª RE VV RE RE 2ª RE VV RE RE 3ª RC VV GL RI 4ª RC VV GL RI Na primeira semana de vivência do ano, todos os residentes participarão de uma palestra sobre a rede municipal de serviços.
  • 170.
    168 As atividades de vivência serão distribuídas de forma que cada serviço receba, por vez, um residente de cada USF, evitando o acúmulo de pessoas e o prejuízo das atividades normais do serviço. Desta forma, além de propiciar trocas entre residentes de diferentes USF, os residentes de uma mesma USF estarão passando por diferentes espaços, trazendo um aporte maior de informações para a equipe. Serão priorizadas as passagens pela Secretaria de Município da Saúde - SMS, pelo Conselho Municipal de Saúde – CMS, pela 4ª Coordenadoria Regional de Saúde - 4ªCRS e pelas estruturas de nível secundário e terciário. Ainda serão reservadas quatro tardes para visitação de estruturas ligadas a ações intersetoriais de interesse do residente e da USF (outras secretarias municipais, centros universitários, Organizações Não Governamentais – ONG, por exemplo). As tabelas abaixo dão conta desta distribuição: Tabela 23 – Distribuição anual de vivências (implantação) Residentes FEV M AR ABR M AI JUN JUL AGO SET O UT NO V DEZ JAN RM 11 Geral SMS SM S CM S 4ªCRS NS NT IS IS IS IS FER RM 12 Geral IS IS SM S SM S FER CMS 4ªCRS NS NT IS IS RM 13 Geral IS IS IS IS SMS SMS CM S 4ªCRS NS FER NT SMS = Secretaria de Município da Saúde; CMS = Conselho Municipal de Saúde; 4ªCRS = 4ª Coordenadoria Regional de Saúde; NS = Estruturas de nível secundário; NT = Estruturas de nível terciário; IS = Intersetorialidade. Tabela 24 – Distribuição anual de vivências Residentes FEV MAR ABR MAI JUN JUL AGO SET OUT NOV DEZ JAN RM11 Geral SMS SMS CMS 4ªCRS NS NT IS IS IS IS FER RM12 Geral IS IS SMS SMS FER CMS 4ªCRS NS NT IS IS RM13 Geral IS IS IS IS SMS SMS CMS 4ªCRS NS FER NT RM21 Geral 4ªCRS NS NT IS IS IS SMS SMS CMS IS FER RM22 Geral IS 4ªCRS NS NT FER IS IS IS SMS SMS CMS RM23 Geral IS IS 4ªCRS NS NT IS IS CMS SMS FER SMS SMS = Secretaria de Município da Saúde; CMS = Conselho Municipal de Saúde; 4ªCRS = 4ª Coordenadoria Regional de Saúde; NS = Estruturas de nível secundário; NT = Estruturas de nível terciário; IS = Intersetorialidade. 4.10.1.9. Atividades comunitárias Os residentes terão, em média, duas horas semanais para a realização de atividades comunitárias de prevenção de doenças e educação em saúde em creches, escolas, associações, templos religiosos e outras estruturas comunitárias, criando uma relação de tutoria e assessoria com as mesmas. A troca quadrimestral de regime de escalas possibilitará aos residentes passarem por todas as estruturas “adotadas” pela USF. 4.10.1.10. Atualização Serão disponibilizadas quatro horas semanais, sempre na quarta-feira de manhã, para atividades de atualização, que incluem sessões clínico-radiológicas, sessões clínico-laboratoriais e apresentação de artigos. As sessões clínicas ocorrerão em regime de Aprendizado Baseado em Problemas – ABP (FERREIRA FILHO e col., 2002), onde os residentes terão oportunidade de discutir os casos acumulados durante o treinamento em serviço.
  • 171.
    169 Ocorrerão em dois espaços: em dois blocos de duas horas, nas dependências da UFSM e reunindo os residentes das duas USF e em quatro blocos de uma hora, nas dependências da USF, através da visita dos especialistas. As tabelas abaixo dão conta do detalhamento e da carga horária das atualizações: Tabela 25 – Detalhamento e carga horária das atualizações DESCRIÇÃO SIGLA UFSM EQUIPE Total Radiologia RD 12 0 12 Pediatria PD 12 12 24 Obsteríciae ginecologia GO 12 12 24 Cirurgia CG 12 0 12 Cardiologia CD 0 6 6 Endocrinologia ED 0 6 6 Peneumologia PN 0 6 6 Reumatologia RT 0 6 6 Dermatologia DT 0 6 6 Ortopedia e traumatologia OT 0 6 6 Neurologia NR 12 0 12 Infectologia IF 12 0 12 Gastroenterologia GE 12 0 12 Nefrologia NF 12 0 12 Geriatria GT 0 6 6 Medicina do trabalho MT 0 6 6 Apresentação de artigo AT 0 24 24 Total Geral 192 Tabela 26 – Distribuição bimensal das atualizações (1º mês) UFSM Equipe Hora 1ª semana 2ª semana 3ª semana 4ª semana 1ª RD NR PD MT 2ª RD NR CD GO 3ª PD GO ED AT 4ª PD GO PN AT Tabela 27 – Distribuição bimensal das atualizações (2º mês) UFSM Equipe Hora 1ª semana 2ª semana 3ª semana 4ª semana 1ª GE CG PD GO 2ª GE CG GT RT 3ª IF NF AT DT 4ª IF NF AT OT A distribuição ocorre de forma que as grandes áreas de pediatria e obstetrícia e ginecologia sejam vistas com mais freqüência e as atividades que necessitem de maior densidade tecnológica sejam realizadas na UFSM. As atualizações serão coordenadas por especialistas convidados para este fim ou por clínico geral de notório saber. Cada residente apresentará um artigo a cada dois-quatro meses, sendo quatro artigos por residente/ano, totalizando 24 artigos/ano. Serão apresentados dois artigos por mês, sempre por um R1 e um R2, sempre na terceira ou quarta quarta-feira, conforme o mês.
  • 172.
    170 Os artigos poderão tratar da realidade em APS ou da realidade do estágio por onde o residente estiver passando. Um dos apresentadores sempre estará passando por um estágio fora da USF, para que outras realidades possam influenciar a escolha dos artigos. A apresentação de artigos obedecerá a seguinte escala anual: Tabela 28 – Escala anual de apresentação de artigos (Implantação) 4ª sem. 3ª sem. 4ª sem. 3ª sem. 4ª sem. 3ª sem. 4ª sem. 3ª sem. 4ª sem. 3ª sem. 4ª sem. 3ª sem. Residentes FEV MAR ABR MAI JUN JUL AGO SET OUT NOV DEZ JAN RM11 AT AT AT AT FER RM12 AT AT FER AT AT RM13 AT AT AT FER AT Sem. = semana; AT = Artigo; Período de estágio. Tabela 29 – Escala anual de apresentação de artigos 4ª sem. 3ª sem. 4ª sem. 3ª sem. 4ª sem. 3ª sem. 4ª sem. 3ª sem. 4ª sem. 3ª sem. 4ª sem. 3ª sem. Residentes FEV MAR ABR MAI JUN JUL AGO SET OUT NOV DEZ JAN RM11 AT AT AT AT FER RM12 AT AT FER AT AT RM13 AT AT AT FER AT RM21 AT AT AT AT FER RM22 AT AT FER AT AT RM23 AT AT AT FER AT Sem. = semana; AT = Artigo; Período de estágio. 4.10.2. Estágios Os estágios curriculares privilegiarão os serviços de Cirurgia Ambulatorial (dois meses), Vigilância Epidemiológica (um mês) e Vigilância Sanitária (um mês), bem como dois meses para estágios opcionais, totalizando seis meses de estágio nos dois anos de residência. Tabela 30 – Distribuição de estágios no 1º ano (Implantação) Residentes FEV MAR ABR MAI JUN JUL AGO SET OUT NOV DEZ JAN RM11 APS APS APS APS APS APS APS VS CA CA APS FER RM12 VE CA CA APS APS FER APS APS APS APS APS APS RM13 APS APS APS VS CA APS CA APS APS APS FER APS APS = Atenção Primária à Saúde; CA = Cirurgia Ambulatorial; VS = Vigilância Sanitária; VE = Vigilância Epidemiológica; FER = Férias. Tabela 31 – Distribuição de estágios no 2º ano (Implantação) Residentes FEV MAR ABR MAI JUN JUL AGO SET OUT NOV DEZ JAN RM11 APS APS APS APS APS APS APS VE OP OP APS FER RM12 VS OP OP APS APS FER APS APS APS APS APS APS RM13 APS APS APS VE OP APS OP APS APS APS FER APS APS = Atenção Primária à Saúde; CA = Cirurgia Ambulatorial; VS = Vigilância Sanitária; VE = Vigilância Epidemiológica; FER = Férias. Tabela 32 – Distribuição de estágios no 1º ano Residentes FEV MAR ABR MAI JUN JUL AGO SET OUT NOV DEZ JAN RM11 APS APS APS APS APS APS APS VS CA CA APS FER RM12 VE CA CA APS APS FER APS APS APS APS APS APS RM13 APS APS APS VS CA APS CA APS APS APS FER APS RM21 CA CA VE APS APS APS APS APS APS APS APS FER RM22 APS APS APS VS APS FER APS APS CA CA APS APS RM23 APS APS APS APS VE APS CA CA APS APS FER APS APS = Atenção Primária à Saúde; CA = Cirurgia Ambulatorial; VS = Vigilância Sanitária; VE = Vigilância Epidemiológica; FER = Férias.
  • 173.
    171 Tabela 33 –Distribuição de estágios no 2º ano Residentes FEV MAR ABR MAI JUN JUL AGO SET OUT NOV DEZ JAN RM11 APS APS APS APS APS APS APS VE OP OP APS FER RM12 VS OP OP APS APS FER APS APS APS APS APS APS RM13 APS APS APS VE OP APS OP APS APS APS FER APS RM21 VS OP OP APS APS APS APS APS APS APS APS FER RM22 APS APS APS VE APS FER APS APS OP OP APS APS RM23 APS APS APS APS VS APS OP OP APS APS FER APS APS = Atenção Primária à Saúde; CA = Cirurgia Ambulatorial; VS = Vigilância Sanitária; VE = Vigilância Epidemiológica; FER = Férias. 4.10.3. Eixos teóricos A carga horária mensal foi distribuída de forma a se encaixar dentro das 15 semanas por semestre da UFSM (março a junho e agosto a novembro, 180 horas por semestre), mais a carga horária da RIS, contemplando os três meses utilizados para férias (julho, dezembro e janeiro). Tabela 34 – Disciplinas teóricas em ordem alfabética, com suas respectivas cargas horárias Disciplinas Carga Horária Atenção à Saúde nos diferentes estágios de desenvolvimento 75 Atenção Básica em Saúde 90 Bases Antropológicas e Sociológicas da Saúde 60 Bioestatística 30 Bioética 60 Desenvolvimento de Monografia 90 Desenvolvimento Humano 45 Dinâmica das relações Interpessoais 30 Educação em Saúde 60 Epidemiologia 60 Gestáo e Gerenciamento em Saúde I 36 Metodologia da pesquisa 60 Políticas Públicas de Saúde 36 Psicopedagogia na ABS 30 Semana Científica / Familiarização 104 Urgências e Emergências I 30 Urgências e Emergências II* 40 Total 936 *Esta disciplina ocorrerá em dois períodos em função das férias dos residentes
  • 174.
    172 Tabela 35 –Distribuição de disciplinas no 1º semestre do 1º ano 1º Ano - 1º Semestre Período / Disciplinas C.H. Dias da semana Fevereiro Semana Científica / Familiarização 52 Segunda à sexta Políticas Públicas de Saúde 36 Terça, quinta e sexta Março a junho Urgências e Emergências I 30 Terça Dinâmica das relações Interpessoais 30 Terça Bases Antropológicas e Sociológicas da Saúde I 30 Quinta Atenção Básica em Saúde 30 Quinta Atenção Básica em Saúde 60 Sexta Julho Urgências e Emergências II* 40 Terça, quinta e sexta Total de horas no semestre 308 *Esta disciplina ocorrerá em dois períodos em função das férias dos residentes C.H.=Carga Horária Tabela 36 – Distribuição de disciplinas no 2º semestre do 1º ano Período / Disciplinas C.H. Dias da semana Agosto a novembro Desenvolvimento Humano 45 Terça Atenção à Saúde nos diferentes estágios de desenvolvimento 15 Terça Atenção à Saúde nos diferentes estágios de desenvolvimento 60 Quinta Epidemiologia 60 Sexta Janeiro Urgências e Emergências II* 40 Terça, quinta e sexta Total de horas no semestre 220 *Esta disciplina ocorrerá em dois períodos em função das férias dos residentes C.H.=Carga Horária Tabela 37 – Distribuição de disciplinas no 1º semestre do 2º ano Período / Disciplinas C.H. Dias da semana Fevereiro Semana Científica / Familiarização 52 Segunda à sexta Gestão e Gerenciamento em Saúde 36 Terça, quinta e sexta Março a junho Psicopedagogia na ABS 30 Terça Bases Antropológicas e Sociológicas da Saúde II 30 Terça Metodologia da pesquisa 60 Quinta Educação em Saúde 60 Sexta Total de horas no semestre 268 C.H.=Carga Horária Tabela 38 – Distribuição de disciplinas no 2º semestre do 2º ano Período / Disciplinas C.H. Dias da semana Agosto a novembro Bioética 60 Terça Bioestatística 30 Quinta Desenvolvimento de Monografia 90 Quinta e sexta Total de horas no semestre 180 C.H.=Carga Horária
  • 175.
    173 4.11. Avaliação As avaliações serão de caráter formativo e somativo. As avaliações formativas terão periodicidade trimestral, perfazendo, portanto, quatro avaliações anuais. Os critérios a serem considerados nestas avaliações serão: comportamento ético, relacionamento com a equipe de saúde e com o paciente, interesse pelas atividades, assiduidade, pontualidade e resolutividade. As avaliações somativas terão periodicidade semestral, caráter cumulativo e envolverão o escopo de saberes práticos desenvolvidos durante o semestre. Será facultativo aos docentes dos eixos teóricos, ao final da disciplina, optar por avaliação objetiva ou produção científica. No início do segundo ano de residência, após passar pelas disciplinas de epidemiologia, bioestatística e metodologia científica, o residente optará por produção de monografia ou artigo científico com aceite em periódico indexado. 5. REFERÊNCIAS Ministério da Saúde, 2002, Projeto de Incentivo a Mudanças Curriculares nos Cursos de Medicina. Universidade Federal de Santa Maria, 2003. Projeto Político-Pedagógico: Curso de Medicina – Conteúdos do Currículo e Disciplinas da UFSM (Versão preliminar) Mazzorani, B.M.; Becker, A.S., 2003. Projeto de Implantação e Consolidação do Programa de Saúde da Família, Secretaria de Município da Saúde, Santa Maria, RS. Ferreira Filho, O.F. e col., 2002. Visão Docente do Processo de Implementação da Aprendizagem Baseada em Problemas (APB) no Curso Médico da Universidade Estadual de Londrina (UEL), Revista Brasileira de Educação Médica, V 26, Nr.3, p.175-183, set/dez 2002. Ceccim, R.B; Feurwerker, L.C.M., 2004. O quadrilátero da formação para a área da saúde: ensino, gestão, atenção e controle social, Physis, vol 14, nº 1, Rio de Janeiro, RJ. Schmitz, C.A.A., 2004. RMFC, uma planilha eletrônica para organização e distribuição de atividades em atenção primária à saúde, documento interno. White, K.L.; Williams, T.F.; Greenberg, B.G., 1961. Tehe ecology of medical care. New England Journal of Medicine., 265:885-92. Lopes, J.M.C.; Oliveira, M.-B. H. e col., 1998. Assistência domiciliar: uma proposta de organização, Momentos e Perspectivas em Saúde, Vol. 11, n° 1, Porto Alegre, RS. Schmitz, C.A.A.; Vaz, C.B., Bernardi Neto, C. e col., 2004. O georeferenciamento como ferramenta de adscrição, II Mostra Nacional de Produção em Saúde da Família, Brasília, DF. Vaz, C.B.; Schmitz, C.A.A.; Mazzorani, B.M.; Carvalho, N.M., 2004. Georeferenciamento e Territorialização: Teoria e Prática, VI Congresso Brasileiro de Medicina de Família e Comunidade, Rio de Janeiro, RJ. Ministério da Saúde, Projeto de Vivências e Estágios na Realidade do Sistema Único de Saúde do Brasil – VER-SUS/Brasil, 2004, Brasília, DF.
  • 176.
    174 APÊNDICE C - TRECHO AUTOBIOGRAFIA MEMÓRIA DA RESIDÊNCIA EM MEDICINA DE FAMÍLIA E COMUNIDADE Creio aqui ser importante, antes de lembrar da residência em si, lembrar o que me levou a cursá-la. Tive minha formação acadêmica na Universidade Federal de Santa Maria, um excelente centro de formação. Apesar disso nunca consegui sentir-me à vontade dentro do formato vigente de ensino médico, pois o tratamento e, por muitas vezes, a manutenção da doença preconizados no ambiente hospitalar, a partir do quinto semestre, em detrimento da promoção da saúde ensinada nos primeiros semestres ia de encontro as minhas incipientes idéias de saúde integral. Sentia-me totalmente deslocado, tentando ser um generalista dentro de um local que empurrava todos em direção à especialidade. Frustrado e vencido direcionei-me para aquilo que, na época, fazia melhor: a informática, mais especificamente ainda, enveredei-me para o processamento digital de imagens médicas, um ramo super-especializado da informática médica. Produzi bastante nesta área, conforme mostra meu currículo, e tinha meu futuro profissional e financeiro garantido, pois iria ocupar um nicho de mercado bastante seleto e valorizado. Algo, porém, não combinava: eu estava desistindo de ser médico, iria me tornar um analista de sistemas. A tábua de salvação surgiu no último semestre, numa conversa com um colega formando que me trouxe notícia de algo até então desconhecido: a residência em medicina geral comunitária. A descrição dele era recheada de detalhes como vínculo, trabalho em grupos, visitas domiciliares e contato com profissionais de outras áreas. Seduzido, decidi fazer um estágio opcional de um mês em um posto de saúde do Hospital Nossa Senhora da Conceição em Porto Alegre. Apenas 28 dias foram suficientes para que eu voltasse a Santa Maria completamente apaixonado. A informática médica, para tristeza de minha orientadora do curso de física, perdia um de seus poucos técnicos especializados e a então medicina comunitária ganhava mais um soldado para lutar na frente de batalha. O tom romântico da narrativa acima é proposital. Foi como um rito de passagem: despir-se da frieza hospitalar e abraçar a paixão pelo SUS, pois não há como sobreviver ao estado comatoso de nossas realidades sociais sem injeções passionais de ânimo. Isto nos traz à memória da residência em si. Adentrei no Programa de Residência Integrada em Saúde, com ênfase em Medicina de Família e Comunidade, a ser desenvolvido nas unidades básicas de saúde e centros conveniados do Centro de Saúde Escola Murialdo, vinculado à Escola de Saúde Pública do Rio Grande do Sul, no período de 11 de janeiro de 2001 a 11 de janeiro de 2003. Quando participei do processo seletivo ainda era Medicina Geral Comunitária e a mudança de nome não me agradou muito (Geral sempre me soou bem aos ouvidos), mas a seleção em si já foi diferente, tanto pela prova com aquelas questões malucas de textos que ninguém havia lido (todos estudavam no modelo AMRIGS), como pela entrevista, onde éramos questionados por psicólogos, nutricionistas e outros profissionais num clima caseiro e cordial que durou quase trinta minutos (bem melhor que os rápidos dez minutos das outras entrevistas) onde pude expor todos os meus motivos e provar que um programador de computador recém formado em medicina tinha jeito para a coisa ( ou perfil, como era dito na época). No início tudo era ideal, tudo era perfeito. A realidade, é claro, mostrou-se bastante diferente, mas a paixão sempre esteve presente para dar ânimo nos piores e nos melhores momentos e fatos. E houveram muitos, de ambos os tipos.
  • 177.
    175 Os piores foram a miséria da população, a desorganização e a corrupção do sistema, os maus profissionais, o excesso invencível de demanda, a ignorância (esta tanto social como profissional), a dissolução de minha equipe e a perda de meus pacientes em decorrência dos problemas ocorridos no primeiro ano96 e, como não poderia deixar de ser, o tamanho faraônico de todos estes problemas citados. Os melhores foram os pequenos bolsões de resistência: a união entre colegas que preferiam morrer abraçados a desistir e correr, os seguimentos da comunidade que se erguiam produzindo serviços e subsídios em prol da própria comunidade, a promoção efetiva da saúde (sempre que possível), a estrutura do SUS (mesmo que em tese) e o acesso a informação especializada (e qualificada). Se colocarmos tudo na balança talvez o lado pior, por ser maior, pese mais, mas como já disse algum sábio, basta um pequeno fósforo para iluminar uma sala imersa em escuridão. Tudo, enfim, soma-se numa palavra: aprendizado. Creio que aprendi bastante nesta residência e hoje posso somar, à paixão, o bom senso. Acho que um dos fatos mais marcantes do processo de aprendizagem foi romper com a barreira da medicina em direção à saúde integral. Não me considero mais apenas um médico ( e um de meus objetivos ao entrar nesta residência era tornar-me realmente um médico) mas sim um profissional de saúde. INTERESSE NO 3º ANO DE RESIDÊNCIA EM GESTÃO E PLANEJAMENTO EM SAÚDE Quando participei do Seminário Internacional sobre Saúde da Família, em abril de 2001, em Fortaleza, onde foram apresentadas as estruturas de saúde dos EUA, Canadá, Espanha, Inglaterra e Holanda, pude perceber que a estrutura de saúde integral preconizada em centros como Porto Alegre e Pelotas não deixava absolutamente nada a desejar em relação a estes países. Pelo contrário, acredito que eles tenham muito a aprender conosco. Mas em algo eles são extremamente superiores: possuem saúde integral em todo o país. Claro, nós temos o SUS, um dos melhores sistemas de saúde da atualidade. Mas e saúde integral nos moldes do Centro de Saúde Escola Murialdo e do Hospital Nossa Senhora da Conceição, onde encontramos? Infelizmente em poucos lugares e poucos são os colegas da área da saúde que conhecem com alguma profundidade o trabalho desenvolvido em Porto Alegre. Uma das indagações que mais me marcou durante estes últimos dois anos partiu de minha esposa. Por diversas vezes ela me questionou quando pessoas como nós teremos, no nosso bairro, o mesmo acesso à saúde, o mesmo modelo de assistência preconizado no meu local de ensino/trabalho? 96 Essa é uma das crônicas do Murialdo: eu e minhas colegas de equipe trabalhamos na famigerada Equipe IV do Morro da Cruz e encabeçamos o movimento de paralisação dos residentes em 2001 dentro do Murialdo (foi um movimento nacional). Durante nossa ausência a população foi politicamente incitada contra os residentes. No nosso retorno, quando uma de minhas colegas foi ameaçada em sua integridade física, decidi dar ocorrência policial e me retirar da equipe, sendo acompanhado pelas duas colegas médicas. Mais tarde, em retaliação, uma delas foi expulsa da residência. Todos os residentes passaram a usar luto em todas as atividades da residência. Com toda a pressão que fizemos (inclusive em alguns atos públicos) e a ajuda de bons advogados ela pode retornar e se formar conosco. A Equipe IV continuou, tradicionalmente, dando dor de cabeça às novas turmas de residentes que entraram. Tudo o que passei no Morro da Cruz foi importante para minha formação médica e política, é como se fosse um modelo pedagógico a ferro e fogo que não pode ser reproduzido em outro lugar e só existe lá.
  • 178.
    176 Temos o melhor sistema de saúde do mundo e o melhor centro de formação em saúde pública do país (e o mais antigo). Mas ainda somos exceção e não regra. Este é o meu interesse no 3º ano de residência: exportar tecnologia. Quero acumular mais conhecimento na área de gestão e planejamento para ajudar a reverter o quadro acima citado. Como já disse, venho de Santa Maria, e acredito que lá temos todos os elementos necessários para a disseminação da idéia da saúde integral. Temos uma universidade em franco processo de reforma curricular, temos uma prefeitura que encabeça um convênio intermunicipal e temos vários simpatizantes da idéia de uma saúde mais humanizada, tanto docentes, como discentes e políticos. Tenho a humildade de saber que não serei o pivô desta mudança, mas pretendo levar na bagagem tudo o que for possível para auxiliar no processo.
  • 179.
    177 APÊNDICE D – MINHA VISÃO METAFÓRICA DO INFERNO Certa vez, num sonho, o peso de meu desânimo arrastou-me até camadas mais profundas, adentrei ao inferno. Olhei para o lado: alguém me acompanhava: minha mulher. Seu estado de espírito nunca a precipitaria naquele lugar, mas, mesmo assim, como sempre, estava ao meu lado. O cenário era de dar inveja a Dante e a qualquer maker de efeitos especiais. As cenas eram horripilantes, mas meu desânimo impedia-me de sentir medo ou pavor, simplesmente observava. Restos humanos ocupavam os espaços, quer pelas paredes, quer pelo chão ou pelo teto, estavam em nítida decomposição, mas estavam vivos, afinal, a esperança é a última que morre. Demônios precipitaram-se sobre nós, reagimos, eu mecanicamente, e vencemos. Eu via a cena de dois ângulos: Participando dela e sobre ela, vendo-a na página de um livro. Virei mais uma página, que mesclou-se com as anteriores, formando um bloco único. Neste momento, uma voz esganiçada e cínica gritou: Não há como voltar atrás! Se prosseguires, não voltarás!! A escolha é tua!!! Hahahahaha!!!! O cenário seguinte era metalóide e seus habitantes idem. Os efeitos visuais eram perfeitos, o que era estranho em se tratando do inferno. Mais lutas, mais uma vez vitoriosos e o prêmio: Afundar ainda mais... Virei outra página e a voz sempre a nos perseguir. Cobertos de sangue, pus, óleo e outros dejetos, continuamos a prosseguir e a lutar, como num jogo, só que, ao invés de subir, a cada etapa, descíamos mais um nível... Os demônios cresciam em número, ferocidade e inteligência, e em tamanho também. Passamos por tudo o que pode haver de mais satânico, inclusive uma repartição governamental. Enfrentamos abismos, animais, escravos, lordes e potentados, magos das trevas e anjos caídos. Cruzaram nosso caminho santos arrependidos e Madalenas bem fornidas. Fogos fátuos penetraram nossas narinas em alguns cenários em que havia muito pó e fumaça... Paragens plácidas tentaram nos sufocar com silêncio e quase afundamos num domingo à tarde. Até crianças embebidas em ódio tentaram arrancar nossas esperanças apenas pelo conhecimento de sua existência. E a tudo isso, simplesmente, resistimos... Na última página, Ele nos aguardava. O cenário era uterino e respirávamos líquido amniótico. De Suas muitas faces, Ele escolheu uma bem simples: uma rede branca, que atraía por seu brilho maravilhoso. Sobre nós projetou-se e Nele ficamos enredados e lutamos com todas as nossas forças ao mesmo tempo em que estas eram sugadas. Estávamos como que pregados em um patibulum... Tudo de nós se esvaiu, restando apenas nossa consciência e a esperança, que apesar de tudo ainda não havia morrido, e nela nos ancoramos e ela nos içou até a superfície do último nível. Lá havia uma porta e ao lado dela um guardião. Trajava ele uma cinza capa de chuva, óculos escuros e chapéu de abas curtas, pelo decote da capa via-se apenas o vazio. Sendo a esperança só o que de bom restava, armados com ela avançamos. Ele ergueu a mão esquerda e disse: “Não estou aqui para lutar, apenas impeço as almas de entrarem pela saída. Sim, esta é a saída, e qualquer alma pode passar por ela. Todos os demônios que os enfrentaram sabiam que não poderiam vencê-los, pois a criatura não derrota o criador, eles só atacam, porque vocês não sabem
  • 180.
    178 disso. Essa éa moral do inferno! As almas só não saem daqui, porque não sabem sair ou porque não querem...” Ouvimos um ruído à nossas costas, voltamo-nos e a face do Demônio fitava- nos de dentro do fosso. Sua expressão era benevolente quando disse: “ Viram? A culpa nunca foi minha...” E sorriu serenamente.
  • 181.
    179 APÊNDICEE – PRIMEIRO PROJETO R3 ESTADO DO RIO GRANDE DO SUL ESCOLA DE SAÚDE PÚBLICA PROGRAMA DE RESIDÊNCIA INTEGRADA EM SAÚDE MEDICINA DE FAMÍLIA E COMUNIDADE GESTÃO E PLANEJAMENTO EM SAÚDE ANTE-PROJETO REGISTRO INFORMATIZADO DOS EXAMES CITOPATOLÓGICOS AUTOR: CARLOS ANDRÉ AITA SCHMITZ ORIENTADORES: REGINA P. LOUREIRO NILSON MAESTRI CARVALHO LOCAL DE REALIZAÇÃO: SERVIÇO DE GINECOLOGIA - CENTRO DE SAÚDE ESCOLA MURIALDO PORTO ALEGRE, DEZEMBRO DE 2002
  • 182.
    180 SUMÁRIO 1. INTRODUÇÃO ......................................................................................181 2. OBJETIVOS ..........................................................................................181 2.1. Objetivo geral: .......................................................................................181 2.2. Objetivos específicos:............................................................................181 3. JUSTIFICATIVA ....................................................................................182 4. FORMULAÇÃO DO PROBLEMA ..........................................................182 5. DEFINIÇOES CONCEITUAIS ...............................................................184 7. CRONOGRAMA ....................................................................................185 8. REFERÊNCIAS .....................................................................................186 LISTA DE ABREVIATURAS CA Câncer de colo uterino CP Exame citopatológico CSEM Centro de Saúde Escola Murialdo MS Ministério da Saúde SG Serviço de Ginecologia SUS Sistema Único de Saúde UBS Unidade básica de saúde LISTA DE FIGURAS Figura 1. Fluxo das informações de CP no CSEM. Estruturada a partir do relato das funcionárias do SG-CSEM. Figura 2. Fluxo de dados na proposta informatizada.
  • 183.
    181 1. INTRODUÇÃO O câncer de colo uterino (CA) é uma patologia maligna potencialmente curável, se diagnosticado precocemente. A cada ano surgem 5.000 novos casos, 85% destes em países de terceiro mundo[1]. No Brasil, é o terceiro tumor mais freqüente em órgãos genitais femininos[2]. No Rio Grande do Sul ocupa o quarto lugar em causas de mortalidade feminina[3][4]. O exame citopatológico (CP) é o teste de triagem utilizado para detecção do CA. É um teste viável por ser barato, de fácil coleta e realização. Sua aplicação, comprovadamente reduz a incidência e a mortalidade por CA, assim como a sua não utilização é o principal fator de risco para esta patologia[1]. Por todos estes motivos o CP faz parte da rotina de trabalho das unidades básicas de saúde (UBS) que trabalham dentro da linha do Sistema Único de Saúde (SUS)[5], o que não é diferente nas UBS do Centro de Saúde Escola Murialdo (CSEM). O Ministério da Saúde (MS), através do DATASUS, fornece gratuitamente o SISCOLO [6], um sistema informatizado disponível para ser utilizado tanto pelos laboratórios conveniados ao SUS como pelos níveis municipal e estadual, com funções de controle de faturamento, controle de qualidade dos exames e totalização de indicadores epidemiológicos. Infelizmente, por motivos operacionais, os dados acumulados pelo SISCOLO ainda não estão disponíveis de forma prática para serem acessados pelas UBS, que são as células geradoras da informação e mesmo sendo um sistema bastante completo, não contempla todas as necessidades locais de controle. 2. OBJETIVOS 2.1. Objetivo geral: Criar uma ferramenta informatizada que seja capaz de gerenciar os dados referentes ao controle de CP do Serviço de Ginecologia (SG) do CSEM e que tenha capacidade de comunicação com o sistema preconizado pelo MS. 2.2. Objetivos específicos: • Padronizar o registro de CP no CSEM; • Criar um banco de dados eletrônico; • Otimizar o processo de trabalho; • Otimizar a informação; • Produzir subsídios operacionais e epidemiológicos; • Criar uma interface padronizada entre o banco de dados local e o banco central (SISCOLO)
  • 184.
    182 3. JUSTIFICATIVA Por que informatizar o controle de CP no CSEM ? Todos os CP realizados no CSEM são rigorosamente anotados em livros de registro tanto nas UBS como no SG e ponto final. A informação termina neste estágio. Os poucos dados totalizados no SG não vão para lugar algum e nas UBS nenhuma informação mais elaborada é sistematicamente extraída do livro de registro, que serve apenas para informar o resultado do exame quando e se alguma paciente procurar. O CP é uma rotina instituída e de reconhecida importância, a anotação do exame é regra, por quê então desperdiçar tantos dados, tanta informação que pode ser útil tanto epidemiológica quanto operacionalmente? É sabido que só informatizar não é a solução completa. Computadores são boas ferramentas, mas estão longe de pensar, deduzir e criar. Mas a informação organizada, produzida por sistemas informatizados bem estruturados, associada a uma rotina correta de anotação e interpretação de dados produz os subsídios necessários para o pensamento operacional e epidemiológico tão necessários no SUS [7,8]. 4. FORMULAÇÃO DO PROBLEMA O padrão de anotação utilizado pela maioria das UBS do CSEM é o seguinte (dados fictícios): D. Cons. Nome Endereço D. Nasc. Coletor Data Ent. D. Resp. Cito Micro DC 12/7/99 Reni Helena Silva Tv. B, 86 22/7/51 Raquel 15/7/99 12/8/99 2 2 25 1/7/99 Vera Baptista Rua do Mato, 135 22/12/56 Raquel 15/7/99 12/8/99 2 2,3 25 1/7/99 Irene Marques RuaTen. Camargo, 16 19/3/63 Raquel 15/7/99 12/8/99 2 4 25 2/7/99 Sandra Ives Cardoso Rua Cel. Rego, 28 27/10/74 Raquel 15/7/99 12/8/99 2 3 25 2/7/99 Roseli Rodrigues Rua Cel. Rego, 122 18/5/55 Luciana 15/7/99 12/8/99 2 4 25 Comparando a quantidade de dados acumulados com a quantidade de dados existente no formulário oficial de controle (Anexo I), percebe-se a perda dos seguintes dados: • Informações sobre o exame e a UBS; • Informações pessoais da paciente; • Dados da anamnese e exame clínico; • Dados da coleta; • Identificação do laboratório; • Resultados do exame; • Dados da liberação.
  • 185.
    183 Se, por umlado, temos perda de informação, por outro lado temos redundância de informação e procedimentos. A fig. 1 ilustra o fluxo das informações de CP no CSEM. Paciente UBS Livro Serv. Serv. Gin. Anotação Laboratório Proc. Ficha Criar Ficha Livro UBS Figura 1. Fluxo das informações de CP no CSEM. Estruturada a partir do relato das funcionárias do SG-CSEM. O exame é coletado na UBS, enviado para o SG que o registra e envia para o laboratório. Voltando o resultado do laboratório, as funcionárias do SG procurarão a ficha da paciente entre aproximadamente 30.000 fichas armazenadas em arquivos de aço, muitas delas repetidas ou desativadas, pois a população abrangida pelo CSEM é de pouco mais de 40.000 pessoas. Se a ficha não for encontrada, uma nova ficha é criada, para então ser anotado o resultado do exame, que também será anotado no livro de registro do SG e no livro de registro da respectiva UBS. O livro é enviado para a UBS onde ficará a disposição da paciente. Pacientes com resultados alterados são sempre localizadas por busca ativa. Temos, portanto, a mesma informação (resultado do exame) anotada em quatro locais diferentes (resultado fornecido pelo laboratório, ficha da paciente no SG, livro de registro do SG e livro de registro da UBS) sofrendo, ao mesmo tempo, truncamentos e repetições. Todo este processo faz com que os dados sejam de difícil acesso e manipulação e compromete a confiabilidade dos mesmos, além do risco de perda da confidencialidade de dados que deveriam ser sigilosos.
  • 186.
    184 5. DEFINIÇOES CONCEITUAIS A figura 2 ilustra uma proposta informatizada de tratamento de dados para o SG-CSEM. A construção de uma ferramenta em linguagem de programação simples (Visual Basic e SQL inclusos no Microsoft Access) permitirá a alocação de um microcomputador de configuração igualmente simples e de baixo custo (tais como os atualmente existentes no CSEM). Este perfil também permitirá uma manutenção de baixo custo tanto para o equipamento quanto para o aplicativo. Este pacote (equipamento/aplicativo) será utilizado pelo SG conforme ilustra a figura 2. Paciente UBS Rel. Serv. Serv. Gin. Lança Laboratório Resultado Rel. UBS Figura 2. Fluxo de dados na proposta informatizada. As etapas que envolvem a coleta e o envio do exame permanecem inalteradas, mas o resultado fornecido pelo laboratório será digitado na íntegra no aplicativo, permitindo o armazenamento de todos os dados, bem como seu registro individualizado por paciente através de pesquisa binária e emissão automática de relatórios por paciente, por UBS e relatório geral do SG, tudo isso através de uma única digitação. Através do banco de dados gerado será fácil extrair informações operacionais como produtividade geral, por equipe ou por coletor, percentual de exames insatisfatórios, totais por período, totais por área e abrangência, zona de risco ou logradouro e informações epidemiológicas como perfil etário, perfil sócio-cultural, incidência das diversas patologias detectadas pelo CP, nível de comparecimento na UBS e acompanhamento de casos. Outra vantagem é a formatação local. Sistemas como o SISCOLO são desenvolvidos para suprir as necessidades de níveis administrativos e epidemiológicos mais altos (do municipal ao federal) e sua aplicação ao nível local (CSEM) resultaria em excesso de algumas informações e falta de outras. O sistema proposto será formatado exatamente conforme as necessidades locais, com a vantagem de ser apto a fornecer e receber informações do nível central, pois o SISCOLO possui tabelas de conversão de dados bastante simplificadas. Vale salientar o aumento da confidencialidade dos dados em função da diminuição do número de pessoas envolvidas no processo de manipulação da informação.
  • 187.
    185 6. METODOLOGIA • Familiarização com o SISCOLO • Reuniões e entrevistas com os profissionais envolvidos com o trabalho em nível central • Análise das tabelas de dados • Análise do fluxo de dados • Análise dos modelos de relacionamento • Análise do sistema • Reuniões e entrevistas com os profissionais envolvidos com o trabalho em nível local • Análise da necessidade de dados e informação • Definição do fluxo de dados • Definição dos modelos de relacionamento • Produção do sistema utilizando o Microsoft Access • Documentação do sistema e elaboração dos manuais de treinamento utilizando o Microsoft Word • Treinamento da equipe de trabalho através de atividades teórico-práticas 7. CRONOGRAMA ATIVIDADE FEV MAR ABR MAI JUN JUL AGO SET OUT NOV DEZ JAN Levantamento bibliográfico Familiarização com o SISCOLO Análise do sistema Produção do sistema Documentação do sistema Treinamento Publicação
  • 188.
    186 8. REFERÊNCIAS 1 -RIVIORI WA. Neoplasias malignas do colo uterino. In: Freitas F, Menke H, eds Rotinas de Ginecologia, 3. Ed. Porto Alegre: Editora Artes Médicas, 1997; 206-14. 2 -Estimativas de Incidência e Mortalidade por Câncer no Brasil. Ministério da Saúde. INCA. PRO-ONCO. Rio de Janeiro, 2001. 3 - Estimativas de Mortalidade no RS. Sec. Est. de Saúde. Porto Alegre, 2001. 4 - DANI L, et al. Perfil etário das pacientes acometidas por lesões intra-epiteliais escamosas e câncer de colo uterino na região do Planalto Médio - RS. In: Revista da AMRIGS. Vol. 44, Jan-Jun 2000, 47-49. 5 – 11ª Conferência Nacional de Saúde – Relatório Final. Brasília, 2000. 6 – http://www.saude.gov.br/bvs/publicações/cancer_utero.pdf 7 – VAUGHAN IP; MORROW RH. Epidemiologia Para os Municípios: Manual para gerenciamento dos distritos sanitários. Editora Hucitec, São Paulo, 1992. 8 – BARBOSA PR. A Gestão da Saúde no Brasil: Novas responsabilidades e novas práticas. In: Goulart FAA, Os Médicos e a Saúde no Brasil, Brasília: Conselho Federal de Medicina, 1998, 51-67.
  • 189.
    187 APÊNDICEF – PROPOSTA SUMÁRIA ESTADO DO RIO GRANDE DO SUL ESCOLA DE SAÚDE PÚBLICA PROGRAMA DE RESIDÊNCIA INTEGRADA EM SAÚDE MEDICINA DE FAMÍLIA E COMUNIDADE GESTÃO E PLANEJAMENTO EM SAÚDE Proposta de projeto para 3º ano de residência INSERÇÃO ACADÊMICA NA COMUNIDADE: Articulando as necessidades federais, estaduais e municipais de reforma curricular, campo de estágio e reestruturação da rede básica em prol do SUS AUTOR: CARLOS ANDRÉ AITA SCHMITZ ORIENTADORES: NILSON MAESTRI CARVALHO REGINA P. LOUREIRO CO-ORIENTADORES: BENILDES MARIA MAZZORANI VERA REGINA REAL LIMA GARCIA JAMES FERREIRA GRESSLER LERIS SALETE BONFANTI HAEFFNER LOCAL DE REALIZAÇÃO: 11ª REGIÃO SANITÁRIA – MUNICÍPIO DE SANTA MARIA - RS SANTA MARIA, JANEIRO DE 2003
  • 190.
    188 DESCRIÇÃO SUMÁRIA A idéia central desta proposta é a articulação dos interesses e potencialidades dos três níveis administrativos de atenção (União, Estado e Município) em direção às necessidades do Sistema Único de Saúde (SUS), levando em consideração a situação geográfica, política e econômica do município de Santa Maria. Nesta triangulação a União está representada pela Universidade Federal de Santa Maria(UFSM), centro formador capaz de oferecer recursos humanos e serviços na área de saúde e que necessita de assessoria para a reforma curricular do curso de medicina, em especial, e para a integração de seus diversos cursos e serviços com a comunidade. O Estado apresenta-se na figura da Escola de Saúde Pública (ESP), centro de referência nacional na formação de recursos humanos para o SUS, capaz de oferecer assessoria técnica especializada tanto para reformas curriculares como reestruturação de redes básicas municipais e que necessita de campo de estágio para formação de seus profissionais e disseminação do conhecimento, hoje concentrado na região de Porto Alegre. A Prefeitura Municipal de Santa Maria (PMSM) representa o nível municipal e é capaz de oferecer diversos recursos humanos e físicos. O município de Santa Maria é o pólo da 4ª Coordenadoria Regional de Saúde (4ª CRS), está habilitado em Gestão Plena da Atenção Básica e tem potencial para atingir a Gestão Plena do Sistema Municipal, podendo a reestruturação de sua rede básica contribuir muito para esse fim. O projeto será implementado, a princípio, na 11ª Região Sanitária de Santa Maria, uma área com população adscrita de 16.200 pessoas, servida por uma unidade básica de referência e duas unidades auxiliares e terá por objetivo dar início à reestruturação da rede básica e reorientação do modelo de saúde do município de Santa Maria, em conjunto com a reforma curricular do Curso de Medicina da UFSM e a operacionalização da atuação docente e discente na atenção à comunidade. A base do trabalho consistirá na presença em tempo integral de um residente de terceiro ano da ESP, atuando na linha de Gestão e Planejamento em Saúde Pública, com assessoria regular de dois preceptores da ESP e presença opcional de residentes de segundo ano. Esse trabalho tem por objetivo, também, a operacionalização de um vínculo permanente entre os três níveis anteriormente citados com vistas à continuidade dos serviços prestados. As seguintes entidades e profissionais tem interesse e apóiam este projeto: SECRETARIA MUNICIPAL DE SAÚDE Eng. Agr. Neomir Alcântara – Secretário Municipal de Saúde Dr. Tarso Marques da Rocha – Diretor de Ações de Saúde do Município CONSELHO MUNICIPAL DE SAÚDE
  • 191.
    189 Drª Rosa Maria Wolff – Presidente do Conselho Municipal de Saúde Profª Enfª Benildes Maria Mazzorani – Conselheira Municipal de Saúde e Coordenadora da Secretaria Técnica do CMS CENTRO DE CIÊNCIAS DA SAÚDE Prof. Dr. Alberto Binatto – Diretor do CCS Prof. Renan Rademacher – Vice-Diretor do CCS Prof. Dr. James Ferreira Gressler – Coordenador do Curso de Medicina Profª Drª Leris Salete Bonfanti Haeffner – Vice-Coordenadora do Curso de Medicina Profª Drª Vera Regina Real Lima Garcia – Coordenadora do Curso de Enfermagem e representante da UFSM junto à ESP Prof. Dr. Marcos Cauduro Troian – Presidente da Comissão de Integração dos Serviços de Saúde com a Comunidade Profª Drª Cátia Margarete Domingues Goi – Presidente da Comissão de Reforma Curricular do Curso de Medicina HOSPITAL UNIVERSITÁRIO DE SANTA MARIA Profª Drª Elaine Verena Resener – Diretora Geral do HUSM CENTRO DE EDUCAÇÃO FÍSICA Prof. Dr. Luiz Osório Cruz Portela- Coordenador do Laboratório de Fisiologia do Exercício
  • 192.
    190 APÊNDICE G – A CAPA DO TRIPÉ ESTADO DO RIO GRANDE DO SUL ESCOLA DE SAÚDE PÚBLICA Em colaboração com: PROGRAMA DE RESIDÊNCIA INTEGRADA EM SAÚDE MEDICINA DE FAMÍLIA E COMUNIDADE GESTÃO E PLANEJAMENTO EM SAÚDE UM MODELO DE TRIPÉ PARA DAR APOIO AO SUS: Desencadeando ações de curto, médio e longo prazo em seqüências encadeadas com o fim de fortalecer a atenção básica AUTOR: CARLOS ANDRÉ AITA SCHMITZ1 ORIENTADORES: NILSON MAESTRI CARVALHO2 REGINA P. LOUREIRO3 BENILDES MARIA MAZZORANI4 CO-ORIENTADORES: VERA REGINA REAL LIMA GARCIA5 JAMES FERREIRA GRESSLER6 LERIS SALETE BONFANTI HAEFFNER7 GILMOR JOSÉ FARENZENA8 ELAINE VERENA RESENER9 MANOEL MAYER JR. 10 1 Médico de Família e Com. – Resid. de 3º ano da RIS Representante, titular, junto à Política de Educação p/o 2 Médico Pediatra – Prof. Gestão e Planejamento ESP SUS/Pólo de Educação em Saúde Coletiva Especialização em Saúde Pública pela Faculdade Mestrado em Educação-Currículo pela UFSM de Medicina da UFRGS Doutorado em Aprendizagem pela UFSM 6 Médico Cardiologista – Prof. Tit. Depto Clín. Médica UFSM Mestrando do Programa de Pós-Graduação em Administração da UFRGS Coordenador do Curso de Medicina da UFSM 7 Médica Pediatra – Prof. Adj. Depto de Pediatria da UFSM 3 Enfermeira Sanitarista – Professora de Epidemiologia e Método de Pesquisa da ESP Vice-Coordenadora do Curso de Medicina da UFSM Mestrado em Ciências Médicas/Epidemiologia pela Mestrado em Ciência do Movimento Humano,área do Desenvolvimento Humano – CEFD/UFSM Faculdade de Medicina da UFPEL Doutorado em Medicina, área de Pediatria – FMRP/USP Curso de Aperfeiçoamento de Epidemiologia e 8 Médico Pediatra – Prof. Assist. Depto Saúde da Com.UFSM Método de Pesquisa pela Universidade da Mestrado em Saúde Comunitária – UFBA Califórnia, São Francisco e Berkeley 9 Médica ginecologista – Prof.Adj.Depto Ginec.e Obst. UFSM Doutoranda em Ciências Médicas-Medicina Social e Diretora Geral do HUSM – UFSM Preventiva pela Faculdade de Medicina da UFRGS Especialista em Adm. Hosp. E Negócios em Saúde-PUC 4 Enfermeira – Conselheira Municipal de Saúde de SM Mestrado e doutorado em Medicina – FMRP/USP 10Psicólogo – Prof. Gestão e Planejamento ESP Coordenadora da Secretaria Técnica do CMS Mestrado em Assistência em Enfermagem - UFSC Especialização em Saúde do Trab. e Saúde Pública ESP 5 Enfermeira – Prof. Depto de Enfermagem da UFSM Mestrado em Política Social UFSC Coordenadora do Curso de Pós Graduação em Enfermagem da UFSM LOCAL DE REALIZAÇÃO: 11ª REGIÃO SANITÁRIA – MUNICÍPIO DE SANTA MARIA - RS SANTA MARIA, MARÇO DE 2003
  • 193.
    191 APÊNDICE H – CURSO DE PRECEPTORES ESTADO DO RIO GRANDE DO SUL ESCOLA DE SAÚDE PÚBLICA CENTRO DE SAÚDE ESCOLA MURIALDO Em colaboração com: PROGRAMA DE RESIDÊNCIA INTEGRADA EM SAÚDE MEDICINA DE FAMÍLIA E COMUNIDADE GESTÃO E PLANEJAMENTO EM SAÚDE CURSO DE EDUCAÇÃO EM SAÚDE PÚBLICA, VOLTADO PARA A (DE)FORMAÇÃO DE PRECEPTORES AUTORES: CARLOS ANDRÉ AITA SCHMITZ1 NILSON MAESTRI CARVALHO2 BENILDES MARIA MAZZORANI3 REGINA P. LOUREIRO4 COLABORADORES: SILVANA FLORES5 ROSE DORIGON6 1 Médico de Família e Com. – Resid. de 3º ano da RIS 2 Médico Pediatra – Prof. Gestão e Planejamento ESP Especialização em Saúde Pública pela Faculdade de Medicina da UFRGS Mestrando do Programa de Pós-Graduação em Administração da UFRGS 3 Enfermeira – Conselheira Municipal de Saúde de SM Coordenadora da Secretaria Técnica do CMS Mestrado em Assistência em Enfermagem - UFSC 4 Enfermeira Sanitarista – Professora de Epidemiologia e Método de Pesquisa da ESP Mestrado em Ciências Médicas/Epidemiologia pela Faculdade de Medicina da UFPEL Curso de Aperfeiçoamento de Epidemiologia e Método de Pesquisa pela Universidade da Califórnia, São Francisco e Berkeley Doutoranda em Ciências Médicas-Medicina Social e Preventiva pela Faculdade de Medicina da UFRGS 5 Pedagoga ESP 6 Pedagoga ESP LOCAL DE REALIZAÇÃO: MUNICÍPIO DE SANTA MARIA – RS JULHO DE 2003
  • 194.
    192 LISTA DE ABREVIATURAS 4ªCRS 4ª Coordenadoria Regional de Saúde CGL Conselho Gestor Local CMS Conselho Municipal de Saúde CSL Conselho de Saúde Local ESP Escola de Saúde Pública MEC Ministério da Educação e Cultura PES Planejamento Estratégico Situacional PMSM Prefeitura Municipal de Santa Maria RIS Residência Integrada em Saúde RS Região sanitária SES Secretaria Estadual de Saúde SM Santa Maria SMS Secretaria Municipal de Saúde SUS Sistema Único de Saúde UBS Unidade Básica de Saúde UFPEL Universidade Federal de Pelotas UFRGS Universidade Federal do Rio Grande do Sul UFSC Universidade Federal de Santa Catarina UFSM Universidade Federal de Santa Maria
  • 195.
    193 SUMÁRIO 1. INTRODUÇÃO ......................................................................................194 2. JUSTIFICATIVA ....................................................................................195 3. OBJETIVO GERAL................................................................................195 4. OBJETIVOS ESPECÍFICOS .................................................................195 5. METODOLOGIA....................................................................................196 5.1. SELEÇÃO DOS PARTICIPANTES .......................................................196 5.2. PERÍODO E ESTRUTURA DO CURSO ...............................................196 5.2.1. Atividades virtuais ..............................................................................196 5.2.1.1. Realização do pré-teste: .........................................................197 5.2.1.2. Leitura de instrumentalização: ................................................197 5.2.1.3. Debate prévio:.........................................................................197 5.2.1.4. Realização do pós-teste:.........................................................197 5.2.1.5. Digitação das avaliações:........................................................197 5.2.1.6. Acréscimos ao banco de referências: .....................................197 5.2.1.7. Consulta de dados pessoais: ..................................................198 5.2.1.8. Consulta de dados gerais:.......................................................198 5.2.2. Atividades teóricas.............................................................................199 5.2.3. Atividades práticas.............................................................................199 5.2.3.1. Contato inicial..........................................................................200 5.2.3.2. Equipamentos de saúde:.........................................................200 5.2.3.3. Controle social: .......................................................................200 5.2.3.4. Territorialização.......................................................................201 5.2.4. Eixos Temáticos para 2004 ...............................................................201 5.2.5. Estratégias de avaliação....................................................................202 6. CRONOGRAMA .......................................................................................203 7. ORÇAMENTO ..........................................................................................203 8. REFERÊNCIAS ........................................................................................204 ANEXO I - Objetivos Projeto I ...........................................................................205 ANEXO II – Estrutura do curso..........................................................................206
  • 196.
    194 1. INTRODUÇÃO Este projeto é um subprojeto de um trabalho maior (que designaremos de Projeto I) intitulado “Um Modelo de Tripé para dar Apoio ao SUS: Desencadeando ações de curto, médio e longo prazo em seqüências encadeadas com o fim de fortalecer a atenção básica” (Schmitz, Carvalho, Mazzorani e col., 2003) e tem por finalidade fornecer os subsídios necessários, no que diz respeito a capacitação inicial de recursos humanos, para a consecução total deste trabalho maior. A formação de recursos humanos para o SUS foi um dos eixos centrais da 11ª Conferência Nacional de Saúde (Ministério da Saúde, 2000), que em suas recomendações cita a necessidade de se desenvolver uma política de capacitação de profissionais de saúde, em todos os níveis, em trabalho conjunto entre SMS/SES/Universidades, considerando as necessidades sociais de cada região, estendendo o processo de residências a equipe multidisciplinar, reorganizando os programas de residência e regulamentando o programa de residência multiprofissional em saúde coletiva junto ao MEC. A mesma conferência nos fala da necessidade fornecer instrução prévia de ingresso a todos profissionais de saúde, bem como oferecer mecanismos eficientes de educação permanente, colocando esta responsabilidade nas mãos dos governos federal, estaduais e municipais, tendo em vista o cumprimento da lei 8.080/90 – art. 6º - parágrafo III, que diz estar no campo de atuação do SUS a ordenação da formação de recursos humanos na área de saúde. Tomando como referência que o padrão-ouro para formação em saúde coletiva é o modelo de residência, e mais ainda, a residência integrada (multiprofissional), um dos primeiros obstáculos para ser ultrapassado, tendo como objetivo a implantação de uma residência integrada em saúde coletiva (RIS) em Santa Maria, é carência local de recursos humanos nesta área. A formação de profissionais, dentro da ótica de criação de uma cultura local em saúde pública e coletiva ( ou seja, a construção do conhecimento novo, segundo Freire, 1976), tem que necessariamente partir dos conhecimentos e experiências prévias destes profissionais. Para adultos (Feuerwerker, Kalil e Baduy,2000), o motor da aprendizagem é a superação de desafios, a resolução de problemas. O processo de educação de adultos (abrangendo nível básico, graduação e pós- graduação) pressupõem a utilização de metodologias ativas de ensino- aprendizagem que proponham concretamente desafios a serem superados pelos estudantes, que lhes possibilitem ocupar o lugar de sujeitos na construção dos conhecimentos e que coloquem o professor como problematizador e orientador desse processo.
  • 197.
    195 2. JUSTIFICATIVA As construções políticas realizadas na primeira etapa do Projeto I sedimentaram uma parceria interinstitucional envolvendo a SMS, a SES, a 4ª Coordenadoria Regional de Saúde (4ª CRS) e a Universidade Federal de Santa Maria (UFSM), ficando em aberto a participação de outras universidades locais. Já teve início uma negociação entre as instituições citadas para a confecção de um convênio que possa operacionalizar, num prazo máximo de cinco anos, os objetivos (Anexo I) propostos pelo Projeto I. Sendo a realização do presente curso um dos objetivos a ser alcançado, ainda dentro do exercício de 2003, como gerador imprescindível de subsídios para a continuidade do processo, estaremos trabalhando dentro de um quadro bastante favorável, tanto no que diz respeito ao apoio político, técnico e administrativo, como no que diz respeito aos insumos humanos, físicos e administrativos. 3. OBJETIVO GERAL Formar um grupo multiprofissional para trabalho em equipe, sob uma ótica transdisciplinar e interinstitucional, com a finalidade de implantar uma residência integrada em saúde coletiva (RIS), dar suporte à inserção acadêmica na rede 97 (IAR) e promover a reorientação do modelo de atenção em saúde no município de Santa Maria. 4. OBJETIVOS ESPECÍFICOS • Criar uma cultura local em saúde pública e coletiva; • Sedimentar relações de parceria e colaboração entre os níveis municipal, estadual e universitário em um esforço único para formação de recursos humanos paro o SUS; • Gerar a macroterritorialização de uma região sanitária de interesse municipal, que futuramente (em 2004) poderá ser transformada em uma região sanitária modelo e servir de palco para a implantação de uma RIS; • Sistematizar os eixos temáticos, nas áreas de conhecimento envolvidas no curso, com vistas a implantação futura da RIS; • Criar um banco de dados de docentes e preceptores formados para atuar na RIS e participar de projetos de IAR. 97 Texto extraído de diálogo com o coordenador do Curso de Medicina da UFSM, Prof. Dr. James Ferreira Gressler, em abril de 2002, e reproduzido com a autorização do mesmo: “Assim como é incoerente dizer que nosso braço está inserido em nosso corpo, posto que não pode ser, naturalmente, encaixado e desencaixado à vontade, soa estranho falar em IAR, já que a academia deveria, naturalmente, fazer parte da rede SUS e não ter a necessidade de ser inserida nela. Portanto, a IAR deve ser vista como uma ação de transição em direção a um estado de coisas mais natural, mais lógico e mais saudável.”
  • 198.
    196 5. METODOLOGIA 5.1. SELEÇÃO DOS PARTICIPANTES A seleção dos participantes do curso será realizada pelas instituições envolvidas e segundo o interesse destas instituições, dentro das áreas definidas nos objetivos do Projeto I (Anexo I). Os critérios de seleção utilizados serão: • nível profissional de especialização ou superior; • tempo disponível; • perfil para trabalho em equipe e em saúde pública; • vínculo institucional de caráter regular com uma das instituições envolvidas no projeto. É importante lembrar que os profissionais estarão sendo formados para atividades futuras, que ocorrerão de acordo com o seu local de origem. Os profissionais oriundos das universidades e da 4ª CRS, estarão sendo preparados, principalmente, para trabalhar em projetos de IAR e para dar suporte às atividades teóricas da RIS (que correspondem a 10-20% do total da carga horária de uma residência). Já os profissionais originários da PMSM poderão participar das atividades teóricas, mas serão aproveitados, principalmente, nas atividades de treinamento em serviço (que correspondem de 80-90% da carga horária de uma residência). 5.2. PERÍODO E ESTRUTURA DO CURSO É no compromisso com a superação da fragmentação entre teoria e prática que será possível estabelecer uma ação dialética como forma de interpretar, analisar e conhecer a realidade para transformá-la, através da coerência entre a prática e a teoria (Escola de Saúde Pública, 2002). Partindo desta premissa, o curso ocorrerá de 8/8/3 a 7/11/3, perfazendo um total de 60 horas teórica e 30 horas práticas, distribuídas conforme grade em anexo (Anexo II). Considerando o fato dos docentes serem oriundos da capital (Porto Alegre) e dos alunos serem originários de várias instituições de Santa Maria, as atividades práticas e teóricas serão complementadas pelas atividades virtuais. 5.2.1. Atividades virtuais Os participantes do curso contarão com um instrumento virtual de apoio pedagógico, disponibilizado via Internet (ou seja, acessível de qualquer computador, em qualquer lugar e a qualquer horário). Através deste instrumento, os alunos serão cadastrados no banco de alunos, recebendo um código de acesso (login) e uma senha particular de acesso. No ato do cadastramento, o aluno preencherá um termo de consentimento informado (imprimindo e assinando uma cópia), sobre o uso das informações que fornecerá ao sistema .
  • 199.
    197 Deste modo, antes de cada encontro de problematização (com uma semana de antecedência, na segunda-feira), os participantes acessarão o instrumento, na seguinte seqüência de atos: 5.2.1.1. Realização do pré-teste: O sistema apresentará ao aluno um formulário eletrônico composto por dez questões objetivas, com cinco alternativas cada uma e relativos ao tema que será problematizado no próximo encontro. A finalidade do pré-teste é avaliar a os conhecimentos prévios de cada aluno em relação ao tema proposto, disponibilizando os resultados ao professor antes dos encontros. 5.2.1.2. Leitura de instrumentalização: Somente após a realização do pré-teste o sistema liberará ao aluno as principais questões e provocações elaboradas pelos professores para o próximo encontro, bem como os textos básicos que servirão de referência ao debate. Também estarão disponíveis textos opcionais e endereços na Internet para os alunos que desejem um aprofundamento do assunto, sendo que o acesso a este material opcional ficará registrado para fins de avaliação. Nesta mesma etapa o aluno poderá imprimir os roteiros de avaliação, que usará no próximo encontro, para que possa se auto-avaliar, avaliar o docente e avaliar o tema. 5.2.1.3. Debate prévio: Vinte e quatro horas após o sistema ter registrado o acesso do aluno às questões e aos textos de referência, o sistema apresentará um novo formulário eletrônico solicitando que o aluno informe, de forma textual, suas principais dúvidas e posições referentes ao tema. Somente após isso o aluno terá acesso às considerações dos demais colegas e à lista de discussões daquela semana, onde poderá debater o assunto com todos, professores inclusive. Estas discussões também ficarão armazenadas para posterior análise. 5.2.1.4. Realização do pós-teste: Na sexta-feira, após o debate presencial, estará disponível no sistema o mesmo formulário eletrônico apresentado no pré-teste, para, novamente, ser preenchido pelo aluno. Todas as respostas ficarão armazenadas no banco de avaliações, identificadas por aluno. O aluno só terá acesso às suas avaliações e estatísticas e os professores a todo o banco. 5.2.1.5. Digitação das avaliações: Devido ao grande volume de avaliações (uma por semana, para cada aluno), ficará sobre a responsabilidade de cada um a digitação das suas avaliações. O sistema só permitirá continuidade de acesso aos novos módulos de discussão se o aluno preencher o pós-teste e as avaliações. Os módulos já realizados sempre estarão livres para acesso. 5.2.1.6. Acréscimos ao banco de referências: Qualquer participante do curso poderá enviar textos eletrônicos ou endereços eletrônicos relacionados aos eixos temáticos e que possam
  • 200.
    198 enriquecer o debate. As sugestões serão avaliadas por um moderador e incluídas no banco de referências para o acesso de todos. 5.2.1.7. Consulta de dados pessoais: A qualquer momento o aluno poderá verificar o andamento de suas avaliações objetivas e as considerações dos docentes a seu respeito. 5.2.1.8. Consulta de dados gerais: Dentro do conceito de que a principal função das avaliações é retroalimentar e transformar as atividades durante a execução do curso, os dados de avaliação ficarão disponíveis da seguinte maneira: • As avaliações dos temas e dos docentes serão acessíveis a todos. • As estatísticas gerais das avaliações dos alunos (não nominais) estarão disponíveis a todos. • Todos os debates abertos estarão disponíveis para análises posteriores. Dentro desta sistemática, os docentes terão farto material de apoio e avaliação antes e após cada encontro de problematização, podendo dirigir os debates virtuais e presenciais dentro do grau de conhecimento prévio e das dúvidas de cada participante. Receberão também subsídios para ajustar os eixos temáticos no desenrolar das atividades, através da retroalimentação contínua fornecida por todos. O sistema de apoio produzirá e armazenará, com seu uso: • Um banco de alunos; • Um banco de questões objetivas; • As respostas de cada aluno, às questões objetivas, dentro do pré e do pós-teste; • O número de, a forma de e o tempo de acesso de cada aluno ao sistema (log de acesso); • Um banco de problematizações e provocações para cada tema do curso; • As respostas e dúvidas de cada aluno às problematizações e provocações; • Os debates virtuais (as considerações de cada um, na lista de discussão, serão identificadas por seu login); • As avaliações de cada aluno sobre os temas e sobre os docentes; • As avaliações dos docentes sobre os temas e sobre cada aluno. • Um banco de textos; • Um banco de endereços eletrônicos. O sistema também gerará dados impressos como: • Termo de consentimento informado; • Formulários de orientação às avaliações; • Resultados estatísticos. Como não será possível digitalizar todas as referências, será definido um ponto fixo para cópias reprográficas das referências não eletrônicas, de acordo com a acessibilidade dos alunos.
  • 201.
    199 5.2.2. Atividades teóricas As atividades teóricas serão precedidas pelas atividades virtuais e ambas terão a finalidade de fornecer subsídios para as atividades práticas, havendo uma interpolação entre encontros teóricos e práticos. Entende-se que estes subsídios nunca serão o suficiente para preparar os alunos para diversidade de fatores e situações que serão encontrados na realidade da rede SUS. Entretanto, os eixos temáticos e as atividades práticas serão coordenados de maneira que se consiga a melhor integração possível entre as duas atividades. As atividades teóricas serão desenvolvidas por meio dos seguintes eixos temáticos: • Apresentação da metodologia do curso • Evolução das políticas de saúde no Brasil • SUS: Princípios e diretrizes • Humanização do SUS • Controle social • Modelos técno-assistenciais em saúde • Transdisciplinaridade no trabalho em saúde: conceitos de campo e núcleo • Distrito sanitário • Planejamento estratégico situacional (PES) nas regiões sanitárias • Níveis de atenção em saúde e suas inter-relações • Processo de trabalho na saúde • Epidemiologia como ferramenta para o trabalho em saúde coletiva • Sistemas de informação em saúde Por sua vez, os temas serão desenvolvidos dentro da metodologia da problematização tencionando proporcionar aos alunos a possibilidade de intervenção, tanto nas instituições de ensino como nos serviços de origem, buscando a modificação de realidades concretas (Freire, 1987). Desta forma, parte- se de um conhecimento específico para construir-se um novo conhecimento e, então, alterar a realidade, dentro de uma metodologia ativa de ensino e aprendizado onde todos irão aprender a prender e aprender a ensinar (aluno = educando- educador, professor = educador-educando). Os conteúdos de epidemiologia serão divididos em seis módulos, objetivando uma instrumentalização inicial nos dois primeiros módulos e utilizando os demais para, efetivar a construção das ferramentas de coleta de dados, orientar a coleta e sistematizar os dados coletados. Portanto, nos quatro módulos finais o aprendizado será baseado na resolução de problemas (Ferreira Filho, 2002; Lima Jr, 2002). 5.2.3. Atividades práticas As atividades práticas ocorrerão na região sanitária indicada pela PMSM, em dia e horários definidos de acordo com as possibilidades dos alunos e dentro de seus expedientes de trabalho. Serão divididas da seguinte maneira:
  • 202.
    200 5.2.3.1. Contato inicial Reunião dos coordenadores do trabalho com os coordenadores da região sanitária (em data anterior ao início do curso). Objetivos: • Apresentar a proposta de trabalho; • Setorizar a região sanitária; • Identificar lideranças gerais e/ou sub-lideranças e os dados necessários para localiza-las e contata-las; • Contatar as lideranças, reuni-las e expor a proposta de trabalho, sensibilizando-as para receber os alunos do curso de 2003. • Definir os melhores dias e horários para as atividades práticas. 5.2.3.2. Equipamentos de saúde: Visitas de reconhecimento às unidades básicas de saúde (UBSs) da região sanitária (RS). Os objetivos deverão ser atingidos de forma gradual e em visitas sucessivas. Objetivos: • Conhecer a coordenação da UBS e a equipe de trabalho; • Coletar dados: recursos humanos, área física da UBS, área de cobertura, equipamentos, serviços prestados; • Identificar qual o modelo de saúde que rege a UBS; • Verificar a forma de cadastramento das famílias e a existência ou não de sistemas de informação; • Identificar principais dificuldades e potencialidades da UBS; • Identificar o estado da comunicação com os níveis secundário e terciário (sistema de referência e contra-referência); • Identificar as formas de gestão e financiamento; • Verificar o nível de interação social (existência ou não de Conselho Gestor Local – CGL - e Conselho de Saúde Local - CSL); • Em caso de interação social inexistente ou incipiente, iniciar ou estimular a criação do CGL e CSL. 5.2.3.3. Controle social: Visitas de reconhecimento à comunidade em si. Os objetivos deverão ser atingidos de forma gradual e em visitas sucessivas. Objetivos: • Localizar e contatar lideranças locais e agentes comunitários; • Coleta de dados: histórico da comunidade, visão particular de saúde e de funções da UBS, ferramentas sociais que conhece e/ou utiliza, áreas de risco, principais queixas e demandas; • Organizar reuniões com a comunidade, no período do curso;
  • 203.
    201 • Informar sobre as atividades do projeto e solicitar acompanhamento e respaldo para a realização das atividades de macroterritorialização; • Iniciar o estímulo para participação no CGL e no CSL (formação de conselheiros locais). 5.2.3.4. Territorialização Mapeamento da região sanitária. O trabalho será realizado sobre mapas digitais fornecidos pela Secretaria do Planejamento da Prefeitura Municipal de Santa Maria e utilizando recursos de geoprocessamento (Rede Interagencial de Informações para a Saúde, 2000; Organização Pan- Americana da Saúde, 2002). Esta parte do trabalho, além do objetivo de aprendizado prático, também estará gerando subsídios para a implantação da especialização prevista para 2004, no momento em que lança o marco inicial para a organização de uma região sanitária, ao detalhar seu território. Objetivos: • Setorizar a RS utilizando critérios de agregação sociais e geográficos, designando, no mínimo, dois alunos por setor; • Designar a convenção de sinais a ser utilizada para plotagens sobre o mapa; • Localizar sobre o mapa, através dos relatos comunitários, as regiões de risco, no que diz respeito a violência (assaltos, drogas, regiões de domínio, etc.), infra-estrutura precária (esgotos a céu aberto, criações de animais, lixões, etc.), risco geográfico, risco hídrico e ocupações irregulares; • Localizar sobre o mapa a malha de transporte coletivo e os principais fluxos humanos; • Mapear cada setor, rua-a-rua, verificando congruências e incongruências com o mapa; • Coleta de dados: • Tipo de via pública: asfalto, calçamento, chão batido, improvisada; • Tipo de moradias: alvenaria, madeira, mista, improvisada; • Quantidade de moradias por lote; • Ferramentas sociais: creches, escolas, templos, associações comunitárias; • Ferramentas de saúde: UBSs; • Áreas de risco: ver acima; • Criar um banco de dados com os dados coletados. 5.2.4. Eixos Temáticos para 2004 A discussão dos eixos temáticos, nas áreas profissionais envolvidas no curso, com vistas a implantação futura de uma RIS também se constituirá de uma importante etapa de formação de subsídios. Será implementada através da lista de discussão virtual, tendo como referencial os programas de
  • 204.
    202 residência multiprofissional e residência médica do Centro de Saúde Escola Murialdo (2001), da Escola de Saúde Pública (2002), e do Grupo Hospitalar Conceição (2003). 5.2.5. Estratégias de avaliação Segundo a proposta político-pedagógica da ESP (2002), a avaliação é entendida como uma ação concreta, contextualizada no cotidiano e vivenciada por todos os atores sociais envolvidos. Sua ênfase deve ser em relação ao processo de ensinar e aprender e não somente em relação ao produto alcançado. Desta forma, para que se efetive este processo, é necessária a construção de práticas avaliativas contínuas, integradoras, investigativas, participativas, democráticas e emancipatórias, que levem em consideração o educando como um todo, as diferenças individuais e os diferentes saberes. O processo avaliativo deve considerar a participação de todos nas atividades, estabelecendo-se o diálogo permanente, valorizando os diferentes momentos pedagógicos, a metodologia, o conteúdo, os educadores e os educandos, em vista do crescimento coletivo por meio de práticas em que os educandos se auto-avaliam, os educadores se auto-avaliam e avaliam os educadores em dinâmicas individuais e coletivas. Todo o processo de avaliação será realizado através das atividades virtuais (conforme descrito no item de mesmo nome), de forma contínua e com participação, controle e contribuição de todos. Serão avaliados os alunos, os docentes e o conteúdo. Quanto aos alunos, os critérios serão a cognição, as dificuldades em relação aos temas, a participação (tanto nos encontros como na lista de discussão), a criatividade e a capacidade de resolução dos problemas propostos. Os docentes serão avaliados pelos alunos quanto a capacidade de compartilhamento e a criatividade, podendo os mesmos proporem aos alunos mais critérios dos quais desejem retorno nas avaliações. Os conteúdos serão avaliados por todos quanto a profundidade do assunto, adequação ao curso e, principalmente, adequação a realidade local. A discussão das avaliações, bem como dos próprios instrumentos de avaliação (de forma a gerar toda a retroalimentação possível), será realizada exclusivamente na lista de discussão (de maneira individual ou coletivamente, conforme cada caso) para não sobrecarregar os encontros semanais. O programa (tanto teórico como prático) terá caráter dinâmico, podendo sofrer alterações de acordo com a retroalimentação fornecida pelas avaliações, mas será sempre direcionado a consecução dos objetivos do curso.
  • 205.
    203 6. CRONOGRAMA ATIVIDADE ABR MAI JUN JUL AGO SET OUT NOV DEZ JAN Rev. bibliog. Seleção dos Participantes Escolha das RS Contato inicial (RS) Atividades teóricas Atividades práticas Sistematização dos Dados coletados Publicação dos Resultados 7. ORÇAMENTO Diárias – Quantidade Diárias – Valor Total Período Observações* 15/08/03 ESP Nº de Diárias: 16 R$ 800,00 a 15/11/03 Deslocamento para servidor – Deslocamento-Valor Período Quantidade Total 32 passagens POA-SM-POA 01/03/0/ ESP Nº de servidores 2 R$ 800,00 a 31/01/04 Deslocamento e hospedagem Deslocamento-Valor Período para não-servidor – Quantidade Total 46 passagens SM-POA-SM 01/03/0/ CCS-UFSM Nº de não servidores 1 R$ 1.288,00 a 31/01/04 Pagamento de Honorários – Pagamento de Período Quantidade Honorários – Valor total 15/08/03 R$ 100,00 Nº de Docentes: 2 ** R$ 6.000,00 a por hora-aula 15/11/03 (teóricas) SMS Material de Consumo Material de Consumo Período Valor Total Papel, disquetes, tinta, cópias R$ 480,00 15/08/03 HUSM a 15/11/03 b Disponibilização de carga horária Disponibilização de Período de docente carga horária de docente - Nº de horas Nº de docentes: 1*** 10h semanais 15/08/03 SMS-SM a 31/01/04 * Instituição responsável pelo provimento dos valores. ESP = Escola de Saúde Pública; CCS-UFSM = Centro de Ciências da Saúde da Universidade Federal de Santa Maria; SMS-SM = Secretaria Municipal da Saúde de Santa Maria; HUSM = Hospital Universitário de Santa Maria. ** Docentes da ESP: Nílson Maestri Carvalho e Regina P. Loureiro. *** Profª. Enfª. Benildes Maria Mazzorani
  • 206.
    204 8. REFERÊNCIAS SCHMITZ, CARVALHO,MAZZORANI e col., Um Modelo de Tripé para dar Apoio ao SUS: Desencadeando ações de curto, médio e longo prazo em seqüências encadeadas com o fim de fortalecer a atenção básica, Escola de Saúde Pública/Centro de Saúde Escola Murialdo, Porto Alegre, RS, 2003. MINISTÉRIO DA SAÚDE, 11ª Conferência Nacional de Saúde – Relatório Final, Ed. MS, Brasília, DF, 2001. FREIRE, P – Educação como Prática de Liberdade. Editora Paz e Terra, Rio de Janeiro, RJ, 1976. FEUERWERKER, L.; KALIL, M. E.; BADUY, R. – A Construção de Modelos Inovadores de Ensino-Aprendizagem – As lições aprendidas pela rede UNIDA. Divulgação em Saúde para Debate, nº 22, p. 49-62, Rio de Janeiro, RJ, 2000. FREIRE, P – Pedagogia do Oprimido. 17ª Ed. – Editora Paz e Terra, Rio de Janeiro, RJ, 1987. FERREIRA FILHO, O.F. et al – Visão Docente do Processo de Implementação da Aprendizagem Baseada em Problemas (APB) no Curso Médico da Universidade Estadual de Londrina (UEL), Revista Brasileira de Educação Médica, V 26, Nr.3, p.175-183, set/dez 2002. LIMA JR, E. – O Dilema do Biscoito e o Ensino Universitário: Uma reflexão, Revista Brasileira de Educação Médica, V 26, Nr.3, p.211-214, set/dez 2002. ORGANIZAÇÃO PAN-AMERICANA DE SAÚDE – Sistemas de Informação Geográfica em Saúde: Conceitos básicos. Ed. MS, Brasília, DF, 2002 REDE INTERAGENCIAL DE INFORMAÇÕES PARA A SAÚDE – Conceitos Básicos de Sistemas de Informação Geográfica e Cartografia Aplicados à Saúde. Ed. MS, Brasília, DF, 2000. ROSSONI, E.; ROSA, R.T.D. (org.) – Residência Integrada em Saúde Coletiva: Planejamento Pedagógico, Secretaria Estadual de Saúde, Escola de Saúde Pública, Centro de Saúde Escola Murialdo – Porto Alegre, 2000. ESCOLA DE SAÚDE PÚBLICA - Proposta Político-Pedagógica: Residência Integrada em Saúde (Versão preliminar), Porto Alegre, RS, 2002. GRUPO HOSPITALAR CONCEIÇÃO - Programa de Residência em Medicina de Família e Comunidade, Porto Alegre, RS, 2003.
  • 207.
    205 ANEXO I -Objetivos Projeto I Objetivo geral: Desencadear uma seqüência lógica de processos locais que, articulados entre si, culminem na alteração do modelo de atenção em saúde, auxiliem tanto na reforma curricular do curso de medicina como na inserção de vários cursos universitários na rede e levem à implantação de uma residência integrada em saúde no município de Santa Maria. Objetivos específicos: • Desenvolver, no segundo semestre de 2003, o curso de educação em saúde pública, voltado à capacitação de preceptores, gerando, como principais substratos do curso, recursos humanos e resultados práticos: • Um grupo de preceptores composto por profissionais de pelo menos doze áreas de conhecimento (artes plásticas, educação física, enfermagem, fisioterapia, fonoaudiologia, informática, medicina, nutrição, odontologia, psicologia, serviço social e terapia ocupacional). Este grupo estará aberto a profissionais das várias unidades de ensino e assistência locais; • Um grupo de preceptores do CM da UFSM e do HUSM, nas grandes áreas de clínica médica, pediatria, gineco-obstetrícia, cirurgia geral e especialidades afins (cardiologia, psiquiatria, geriatria e outras); • A territorialização de uma região sanitária de Santa Maria (11ª RS, como sugestão inicial) e de outras regiões sanitárias de interesse; • O conjunto programático, nas doze áreas de conhecimento em questão, com vistas a futura implantação de uma especialização em saúde coletiva; • Promover a participação ativa da ESP, na forma de assessoria, na estruturação da reforma curricular do curso de medicina e na inserção acadêmica na rede (aberta a todos os cursos envolvidos); • Criar as condições políticas, administrativas e técnicas para que, em fevereiro de 2004, através da turma de preceptores formada, tenha início o curso de especialização em saúde coletiva, com duração de um ano; • Criar as condições políticas, administrativas e técnicas para que o curso de especialização em saúde coletiva tenha continuidade, expansão para dois anos de duração e conseqüente estruturação da residência integrada em saúde no município de Santa Maria.
  • 208.
    206 ANEXO II – Estrutura do curso 1º módulo 15/8/3 – 30/8/3 Data Temáticas ou Conteúdos CH Responsável Obs Local Horário 5/9/3 Solenidade de abertura 4h Auditório sexta-feira Palestra: Humanização do SUS Nílson Maestri Carvalho Hotel 18h-22h Apresentação da Estrutura e Dinâmica do Curso Carlos André Aita Schmitz Morotin 1 15/9/3 Instrumento de ensino a distância (EAD) – Instruções de uso 4h Carlos André Aita Schmitz CT segunda-feira Monitores (acad. UFSM) 2 UFSM 18h-22h Intervalo entre Instrumentalização virtual (IV) para os temas do módulo 1 ---- Todos 3 Internet encontros 19/9/3 Epidemiologia como ferramenta para o trabalho em saúde 2h Regina P. Loureiro 4 Auditório sexta-feira coletiva I - Visão Geral 2h Carlos André Aita Schmitz Hotel 18h-22h Morotin 20/9/3 Evolução das políticas de saúde no Brasil 2h Nílson Maestri Carvalho 4 Auditório sábado SUS: Princípios e diretrizes Hotel 8h-12h 2h Morotin 1 Esta Atividade envolverá a participação dos representantes das instituições envolvidas, dos participantes do curso, dos representantes do Conselho Municipal de Saúde e dos representantes da comunidade (região sanitária) envolvida. 2 Esta aula ocorrerá no laboratório de informática do Centro de Tecnologia da UFSM, com a assistência de monitores do Curso de Ciência da Computação, onde será possível alocar um computador para cada dois alunos. 3 Após o preenchimento de um pré-teste com 10 questões objetivas sobre o tema, o aluno poderá acessar os textos básicos sobre o primeiro tema a ser desenvolvido no módulo. Caso não haja texto eletrônico disponível, os textos poderão ser encontrados em um ponto de cópias reprográficas. O aluno também terá acesso aos questionamentos iniciais (problematizações) que irão orientar as leituras e as discussões, o sistema só permitirá este acesso após o preenchimento do pré-teste.
  • 209.
    O sistema sópermitirá o avanço para o pré-teste de um novo tema 24 horas após o pré-teste do tema anterior (tempo mínimo para 207 leitura de cada texto). Decorrido o tempo mínimo de leitura, o sistema permitirá ao aluno o acesso à lista de discussões do tema, onde poderá enviar questionamentos, opiniões e dúvidas, ao mesmo tempo em que poderá visualizar as mensagens de seus colegas e dos docentes a respeito do tema em questão. Os docentes poderão lançar provocações para incrementar o debate. A lista de discussão de temas já vencidos estará aberta para todos, pois as mensagens estarão armazenadas, mas a lista de discussão de um novo tema do módulo estará condicionada ao preenchimento do pré-teste referente àquele tema, bem como ao tempo mínimo de leitura. A qualquer momento o aluno poderá acessar e imprimir os instrumentos de avaliação que irão guiar sua auto-avaliação, a avaliação do(s) docente(s) e a avaliação do tema, a serem utilizados na próxima discussão presencial (encontros de problematização). 4 Antes do encontro de problematização os docentes poderão se basear no desempenho dos alunos no pré-teste e no nível atingido pelo debate na lista de discussão. Os encontros de problematização terão a finalidade de aprimorar, presencialmente, o debate iniciado virtualmente.
  • 210.
    2º módulo 2/9/3– 13/9/3 208 Data Temáticas ou Conteúdos CH Responsável Obs Local Horário Intervalo 2ª IV: Pré-teste e leitura sobre Controle social; divisão dos alunos --- Todos 5 Internet entre em 3 grupos para a primeira atividade prática; instruções gerais 6 encontros para a atividade prática. Leituras de epidemiologia. DEFINIR 1ª Atividade prática: Participação em reuniões do CMS, da 4h Carlos André Aita Schmitz 7 quarta-feira Câmara Técnica do Hospital Casa de Saúde (HCS) e das Benildes Maria Mazzorani 8h-12h lideranças comunitárias. Cada grupo ficará responsável por relatar Docente convidada: Dra. aos demais as experiências vividas nas atividades práticas. O Rosa Wolf, presidente do sistema terá um espaço específico para o armazenamento de CMS relatórios. 3/10/3 Controle social: construção de novos conhecimentos a partir do 4h Nílson Maestri Carvalho 4 Auditório sexta-feira relato das atividades práticas Hotel 18h-22h Morotin 4/10/3 Epidemiologia como ferramenta para o trabalho em saúde coletiva 4h Regina P. Loureiro 4 Auditório sábado II – Indicadores Epidemiológicos ( Morbidade e Mortalidade) Hotel 8h-12h Morotin 5Antes de permitir o início de um novo módulo, o sistema requisitará ao aluno o preenchimento eletrônico das avaliações e a realização do(s) pós-teste(s). Neste mesmo ponto os docentes estarão tecendo, também, as suas avaliações. O sistema permitirá um campo de texto, para cada avaliação, onde poderão ser feitas considerações mais extensas. A partir disso, segue-se a metodologia do item 3. 6Neste caso, em especial, devido ao fato destas reuniões já terem data marcada, o tempo de IV será reduzido. 7As atividades práticas sempre serão supervisionadas por um docente.
  • 211.
    3º módulo 16/9/3– 27/9/3 209 Data Temáticas ou Conteúdos CH Responsável Obs Local Horário Intervalo 3ª IV: Pré-teste e leituras para o tema modelos tecno-assistenciais --- Todos 3 Internet entre em saúde, divisão dos alunos em 4 grupos para a 2ª atividade 5 encontros prática, instruções gerais para atividade DEFINIR 2ª Atividade prática: Visitação às UBSs da região sanitária e ao 4h Carlos André Aita Schmitz 9 Região quarta-feira Serviço de Pós-Alta Hospitalar (SPAH) do HCS Benildes Maria Mazzorani sanitária 8h-12h 17/10/3 Epidemiologia como ferramenta para o trabalho em saúde coletiva 4h Regina P. Loureiro 4 Auditório sexta-feira III – Medidas de risco Hotel 18h-22h Morotin 18/10/3 Modelos tecno-assistenciais em saúde: construção de novos 4h Nílson Maestri Carvalho 4 Auditório sábado conhecimentos a partir do relato das atividades práticas Hotel 8h-12h Morotin
  • 212.
    4º módulo 29/9/3– 11/10/3 210 Data Temáticas ou Conteúdos CH Responsável Ob Local Horário s Intervalo 4ª IV: Preparação e discussão da primeira atividade de --- Todos Internet entre macroterritorialização encontros DEFINIR Atividade prática: Territorialização 4h Carlos André Aita Schmitz Região Quarta-feira Benildes Maria Mazzorani sanitária 8h-12h 31/10/3 Epidemiologia como ferramenta para o trabalho em saúde coletiva Regina P. Loureiro Auditório sexta-feira IV – Medidas Bioestatísticas Hotel 18h-22h Morotin 1º/11/3 Transdisciplinaridade no trabalho em saúde: conceitos de campo 2h Nílson Maestri Carvalho Auditório sábado e núcleo Hotel 8h-12h Níveis de atenção em saúde e suas inter-relações 2h Morotin
  • 213.
    5º módulo 13/10/3– 25/10/3 211 Data Temáticas ou Conteúdos CH Responsável Obs Local Horário Intervalo 5ª IV: Preparação e discussão da segunda atividade de --- Todos Internet ente macroterritorialização encontros DEFINIR Atividade prática: Territorialização 4h Carlos André Aita Schmitz Região Quarta-feira Benildes Maria Mazzorani sanitária 8h-12h 14/11/3 Municipalização da saúde 4h Nílson Maestri Carvalho Auditório sexta-feira Distrito sanitário (regionalização) Hotel 18h-22h Morotin 15/11/3 Epidemiologia como ferramenta para o trabalho em saúde coletiva 2h Regina P. Loureiro Auditório sábado V – Medidas diagnósticas 2h Hotel 8h-12h Morotin
  • 214.
    6º módulo 27/10/3– 1º/11/3 212 Data Temáticas ou Conteúdos CH Responsável Obs Local Horário Intervalo 6ª IV --- Todos Internet entre encontros DEFINIR Atividade prática 4h Carlos André Aita Schmitz Região quarta-feira Benildes Maria Mazzorani sanitária 8h-12h 28/11/3 Epidemiologia como ferramenta para o trabalho em saúde coletiva 4h Regina P. Loureiro Auditório sexta-feira VI – Erros em epidemiologia Hotel 18h-22h Morotin 29/11/3 Planejamento estratégico situacional (PES) nas regiões sanitárias 4h Nílson Maestri Carvalho Auditório sábado Hotel 8h-12h Morotin
  • 215.
    7º módulo 3/11/3– 15/11/3 213 Data Temáticas ou Conteúdos CH Responsável Obs Local Horário Intervalo 7ª IV --- Todos Internet entre encontros DEFINIR Atividade prática 4h Carlos André Aita Schmitz Região quarta-feira Benildes Maria Mazzorani sanitária 8h-12h 5/12/3 Epidemiologia como ferramenta para o trabalho em saúde coletiva 4h Regina P. Loureiro Auditório sexta-feira VII – Epidemiologia aplicada à pesquisa básica Hotel 18h-22h Morotin 6/12/3 Processo de trabalho na saúde 4h Nílson Maestri Carvalho Auditório sábado Hotel 8h-12h Morotin Total de horas teóricas 60h Total de horas práticas 30h
  • 216.
    214 APÊNDICE I – O “CAUSO” DO GERALDÃO Trabalhar na Vila Maringá foi quase tão difícil quanto trabalhar no Morro da Cruz, mas havia alguns momentos de descontração. As consultas do Geraldão foram alguns destes momentos. O Geraldão foi um dos meus primeiros pacientes na Maringá e chegamos a desenvolver uma boa amizade. Era o legítimo gauchão, totalmente gaudério. Estacionava sua carroça incrementada no pátio do posto e vinha sempre a caráter, com o cigarro de palha no canto da boca, vestindo bombachas, alpargatas, chapéu com barbicacho e facão preso na guaiaca. Tinha por profissão a coleta seletiva de lixo, seleção que fazia no pátio de sua casa, que aos poucos havia se transformando num depósito dos dejetos que não eram negociáveis. Tratava seu cavalo como membro da família, com direito a dormir dentro de casa e a ter assistência veterinária particular. Suas consultas eram um acontecimento social. Falava aos gritos e, para que me ouvisse e respeitasse, eu tinha que gritar também, de modo que todos que estavam no posto e algumas casas vizinhas participavam da consulta. Certa feita irrompeu o consultório queixando-se de lombrigas e querendo um remédio brabo, porque seus intestinos eram fortes e não era qualquer pilulazinha de farinha que iria fazer efeito. E não viesse eu com aquela porcaria de mebendazol, que ele já tinha tomado e não tinha servido para nada, e as “bichas” já estavam mordiscando-lhe a garganta. Queria um vermífugo dos bons, do tipo que ele comprava para seu cavalo. Olhei para as suas mãos de unhas compridas e encardidas e tentei lhe explicar que uma das formas de re-infecção se dava quando levava as mãos sujas à boca. Que tinha que lavá-las e, principalmente, cortar as unhas, porque os ovinhos dos vermes ficavam ali embaixo. Todo este diálogo se dava aos gritos, o resto do posto em silêncio, todos compenetrados na contenda: - Aí não doutor! Agora eu lhe ganhei! Eu não boto as mão na boca! - Bota, Geraldo. Todo mundo bota. - Mas eu não boto! - Nunca? - Nunquinha! Olhei bem sério pra ele e lasquei: - E tatu do nariz, tu tira? Do outro lado da divisória dava para ouvir a enfermeira se contorcendo, tentando não rir. - Tiro, claro! Todo mundo tira! Até doutor tira! - Pois então! Tu põe os dedo no nariz e os bicho entram por aí! - Mas será que é, doutor? - Claro que é! - Então tá! Esta tu ganhou! E cortou as unhas na minha frente. Com a faca.
  • 217.
    215 APÊNDICE J - NEM CAFÉ NEM PÃO, SÓ PAPELÃO Lembro de um poema concreto do Ferreira Goulart que usava a popular batida “café com pão, bolacha não” para mimetizar a cadência de um trem. Nem café, nem pão, só papelão não é o título de um poema concreto, mas a crônica de uma passagem dura na vida de uma família da Vila Maringá. Como outras tantas, era uma família de papeleiros, o casal e dois meninos. Moravam numa casa de tapume. Na escala social estavam um nível acima dos que moravam em casas de lona preta e dos que moravam na rua. Haviam comprado uma carroça e um cavalo, pois o centro da cidade, fonte de papel, ficava longe. Gastavam tudo que ganhavam para pagar a tal carroça. Já fazia tempo que não tinham dinheiro para comida. Tinham sal, que sal é barato. Devido ao grande número de famílias, na vila, sem absolutamente nenhuma renda era comum a prática dos miseráveis pedirem esmolas para os pobres. Mas eles tinham orgulho, não esmolavam. Fizemos uma visita domiciliar, eu e a enfermeira. Era inverno. A casa era de um cômodo só. No centro tinha uma roda de caminhão, onde era feito o fogo e onde várias lascas do assoalho já haviam ido parar. Uma placa de propaganda fazia às vezes de chapa sobre o fogo. Em cima dela uma lata, dentro da lata, a ferver, água, sal e... papelão. O prato do dia e de todos os últimos dias. Na barriga da mãe, além da fome, mais um filho a caminho. E o cavalo morreu. Mais tarde conseguimos, com a ajuda da comunidade e da Pastoral da Criança, dar um bom encaminhamento para o caso. Mas, naquele dia, ficamos deprimidos.
  • 218.
    216 APÊNDICE L – UMA SINGELA PIADA Eis que morreu um famoso racista norte-americano. Em vida havia sido contundente, liderara vários movimentos de segregação, recebera o título de cidadão sul-africano honorário e, na calada da noite, comandara muitos linchamentos e chacinas. Isto posto, caiu direto ao inferno e, na entrada, após levar um corridão de Cérbero, foi recebido pelo Demo em pessoa, mais um séqüito de demônios menores, todos ávidos em submetê-lo às torturas eternas. Porém, antes que qualquer coisa fosse dita, num clarão vindo do céu, desceu uma tropa de arcanjos que, com suas espadas flamejantes, dizimaram os demônios e arrebataram o racista para as alturas. Durante sua ascensão, ainda voltou-se para baixo e gritou a Satanás: --- Nunca fostes a um museu de arte, ó imbecil, Deus é e sempre será ariano! O demônio, injuriado, ainda vociferou algo que não lhe alcançou os ouvidos, pois já estavam às portas do paraíso. Os arcanjos, sem dizer palavra, deixaram-no em um enorme salão repleto de luz, onde o ar tinha perfumes que transcendiam a alma. No centro daquele espaço, ao lado de um trono resplandecente de incrível alvura, uma alta figura o aguardava. Depois de muito andar, aproximou-se da figura e percebeu que se tratava de um negro: --- E aí negrão ! Quer dizer que o Velho tem escravos. Isto está melhor do que pensei ! Sorrindo, o negro sentou-se no trono. Em seu olhar se podia perceber um certo toque de sadismo...
  • 219.
    217 APÊNDICE M –HISTÓRIA DA SAÚDE NO BRASIL ESTADO DO RIO GRANDE DO SUL ESCOLA DE SAÚDE PÚBLICA CURSO DE FORMAÇÃO DE SANITARISTAS DISCIPLINA DE HISTÓRIA DA SAÚDE RESUMO DA HISTÓRIA DA SAÚDE NO BRASIL CARLOS ANDRÉ AITA SCHMITZ1 ABRIL DE 2004
  • 220.
    218 HISTÓRIA DA SAÚDENO BRASIL PERÍODO PRÉ-REPUBLICANO (1500-1889) Inúmeros eram os problemas enfrentados pelos colonizadores portugueses e pelos escravos africanos. Além dos constantes ataques indígenas e da escassez de recursos, várias e freqüentes eram as enfermidades que assolavam o “Quinto dos Infernos”, como passou a ser denominada a nova colônia. Naquela época já existia um problema que acompanha a saúde até os dias de hoje: a concentração dos profissionais de saúde nos grandes centros. No caso, Portugal representava a metrópole e as colônias eram o interior sem atrativos, numa analogia aos dias de hoje. No século XVI, o Conselho Ultramarino português (órgão responsável pelas colônias) criou as funções de físico-mor e cirurgião-mor para zelar das questões sanitárias da colônia. Apesar da titulação oferecida, estas funções ficaram vagas por longos períodos em função de fatores como baixos salários e, evidentemente, a periculosidade local. Mesmo os poucos que se aventuravam eram preteridos pela população, tanto pobre quanto abastada, em favor dos curandeiros indígenas e negros. Isso, entre outras coisas, deveu-se aos métodos de tratamento em voga entre os médicos formadas na Europa, que eram baseados em sangrias e laxativos e, em geral, enfraqueciam os enfermos, causando a morte dos mais debilitados. Ou seja, um dos determinantes de bom prognóstico para os pacientes que se submetessem ao tratamento era um compleição física bem robusta. A somação da escassez de profissionais (em 1746 havia apenas seis médicos europeus em todo o território colonial) e ao fato de seus serviços e de seus colegas boticários serem muito caros, tornou corrente a utilização de remédios populares receitados por “curadores” e padres da Companhia de Jesus. A primeira grande epidemia enfrentada pelo Brasil-colônia foi a de varíola ou mal das bexigas, doença bacteriana infecto-contagiosa sobre a qual tanto médicos como curandeiros pouco podia fazer, dado os parcos conhecimentos sobre a moléstia. O tratamento comumente aceito era o isolamento dos enfermos (os “bexiguentos”) para que fossem morrer sozinhos, afastados dos povoados. A vinda da corte real, em 1808 fez com que nos anos seguintes fossem criadas as primeiras escolas médico-cirúrgicas no Rio de Janeiro e na Bahia. Era a época dos miasmas, onde as epidemias de varíola, cólera e febre amarela eram atribuídas ao “ar corrompido” que viria do mar. Algumas medidas sanitárias começavam a ser tomadas, como a vacinação em massa contra a varíola, que teve boa aceitação. Também eram tomadas medidas como disparar tiros de canhão com certa constância, para movimentar os miasmas que poderiam estar estacionados sobre a cidade. A baixa eficácia das ações sanitárias levava os pacientes ricos a procurarem assistência na Europa ou nas clínicas particulares que começavam a ser criadas. Aos pobres restavam os raros hospitais públicos que eram considerados depósitos de enfermos à espera da morte, sendo por isso evitados, as Santas Casas de Misericórdia ( a primeira foi fundada já em 1543) e, principalmente, os curandeiros negros.
  • 221.
    219 Apesar dos incentivos à pesquisa fornecidos por dom Pedro II, o Brasil encerrou o segundo reinado mantendo a fama de ser um dos países mais insalubres do planeta. A REPÚBLICA VELHA (1889-1930) Analogamente à chegada da corte real, o positivismo chega aos portos brasileiros. Baseado no lema “Ordem e Progresso”, os trabalhadores brasileiros são reconhecidos como capital humano, com função de produção e como fonte geradora de riquezas. Era necessário civilizar o país através da capacitação física e intelectual dos operários e camponeses, resgatando, com isso, a nação da barbárie. Neste palco a medicina foi elevada ao papel de guia do Estado para assuntos sanitários, comprometendo-se a garantir a melhoria da saúde individual e coletiva e, por extensão, a defesa do projeto de modernização do país. Entram em choque a tradição dos miasmas com os conceitos defendidos pela escola de Pasteur, com a vitória desta última. Começa a ganhar corpo um novo campo de conhecimento, voltado para o estudo e a prevenção das doenças e para o desenvolvimento de formas de atuação nos surtos epidêmicos. Nasce a saúde pública, complementada pela epidemiologia. A novidade médica exigiu a reorganização dos serviços sanitários e as antigas juntas provinciais foram substituídas pelos serviços sanitários estaduais. Mesmo, assim, a desorganização destes serviços nos primeiros anos da república (1890-1900) facilitou a ocorrência de novas ondas epidêmicas, vindo a peste bubônica e a febre tifóide somarem-se às ainda remanescentes varíola, febre amarela e cólera. As mortes ocorriam aos milhares. Os médicos sanitaristas passam a receber incentivos do governo e a ocupar cargos importantes na administração da república. Medidas preconizadas na época: fiscalização sanitária, drenagem de pântanos, destruição de viveiros de ratos e insetos, hospitalização compulsória de doentes portadores e enfermidades contagiosas ou mentais. O Estado passa a intervir tanto nas epidemias como nas ações de saúde rotineiras e em todos os setores da sociedade. Nasce a política de saúde. Como irmão gêmeo da política de saúde, nasce o descaso com a política de saúde. Mantendo a tradição dos países coloniais os grandes investimentos são direcionados para o aumento da produção em benefício da elite dominante. O trabalhador vai mal, recebendo salários baixos, adoecendo com facilidade e tendo sua vida produtiva abreviada. As engrenagens ruins são substituídas (existem e se reproduzem em grande quantidade) para que a máquina agro-exportadora continue funcionando. Os lucros do modelo agro-exportador financiaram a industrialização, a expansão do comércio e o aumento acelerado da população urbana. A partir deste ponto, surge o sanitarismo campanhista, que visava melhorar as condições sanitárias das áreas vitais para a economia nacional: os portos e as cidades. O meio rural seria relegado a um sombrio segundo plano, só chamando atenção dos médicos e das autoridades quando os problemas sanitários interferiam na produção agrícola ou extrativista destinada à exportação. Os maiores investimentos são realizados nas cidades do Rio de Janeiro e São Paulo (que era a segunda maior cidade do país), criaram-se vários institutos de pesquisa: Bacteriológico, Vacinogênico e de Análises Clinicas e Farmacêuticas, em
  • 222.
    220 São Paulo (atuaisButantã e Adolfo Lutz) e Soroterápico de Manguinhos, no Rio de Janeiro (atual Oswaldo Cruz). Enquanto isso, fora da área de atuação destes institutos muito pouco era feito em prol da saúde coletiva. Houveram algumas iniciativas em Minas Gerais, Pará e Rio Grande do Sul, mas de cunho muito tímido em função da escassez de recursos e das disputas políticas. Como resultado disso, apesar da estabilização sanitária nos grandes centros, no restante do país os índices das enfermidades mantinha-se altos e se elevando. A situação era drástica tanto no campo quanto na cidade. Em 1918, a população rural contava com 20 milhões de pessoas, das quais 17 milhões padeciam do enfraquecimento gerado pelas parasitoses intestinais, três milhões portavam o mal de Chagas, 10 milhões eram atacados pela malária e mais cinco milhões pela tuberculose. Considerando ainda a desnutrição e o alcoolismo, pode-se inferir que a vida no campo não eram nenhum paraíso bucólico. O perfil do nosso cabloco foi representado por Monteiro Lobato no personagem Jeca Tatu. Nas cidades o quadro não era melhor, as mesmas patologias do período pré- republicano ganhavam cada vez mais força, tanto pela chegada de grandes levas de imigrantes quanto pelo aumento da miséria. Multiplicavam-se os cortiços e as favelas e com eles o número de enfermos. A eugenia ganhava força entre uma parcela da elite intelectual que preconizava que a situação só iria melhorar a partir do desaparecimento dos “híbridos raciais” frutos da mistura entre brancos, negros e índios, sendo estes dois últimos também considerados grupos biologicamente inferiores. Uma outra parcela da mesma elite intelectual, porém menor, acreditava que o país estava enfermo e precisa de tratamento através de uma urgente intervenção do Estado no setor sanitário. Consideravam saúde e desenvolvimento econômico como fatores de uma mesma equação. Nenhuma outra metrópole brasileira foi alvo de tantas ações como o Rio de Janeiro. Sendo corredor de entrada do comércio e saída das exportações a cidade precisava perder a fama de matadouro de estrangeiros. Favelas e cortiços do centro da cidade foram destruídos após remoção compulsória de seus ocupantes, dando lugar a largas, modernas e arejadas avenidas. Até mesmo alguns morros foram terraplanados para favorecer a circulação do ar. Em São Paulo medidas semelhantes eram tomadas, mas foi no rio que ocorreu o fato mais marcante do período: a revolta da vacina, uma insurreição popular contra a vacinação obrigatória da varíola. Houve uma verdadeira guerra civil com tombamento e incêndio de bondes, chegando o principal foco de resistência, o bairro Porto Artur, a ser bombardeado por um navio de guerra. A obrigatoriedade da vacina caiu por terra e o desgaste provocado pelos acontecimento levou o governo a repensar a forma de organização das ações em saúde pública. As medidas de saneamento, em maior ou menor escala, foram reproduzidas nas demais capitais e principais cidades do interior, reduzindo os índices nacionais de morbidade e mortalidade. As diferenças sociais, pelo contrário, acentuam-se, pois enquanto os ricos ganhavam bairros com infra-estruturas como água, iluminação e esgoto e ficavam livres dos pobres, os cortiços eram apenas trocados de lugar. Em 1918 quando a epidemia de gripe espanhola assolou o país, causando mais de quinhentas mil mortes, um grande número de políticos e médicos fugiram dos centros urbanos deixando a população entregue à própria sorte. A situação só
  • 223.
    221 não foi piorporque o povo se solidarizou, criando hospitais de emergência e cozinhas populares para atender os mais carentes. A ERA VARGAS (1930-1945) A ação centralizadora do novo governo inicia já em 1930 com a criação do Ministério da Educação e da Saúde Pública, comandado por um advogado. Os médicos, ao contrário do período anterior, são excluídos dos processos decisórios que ficam nas mãos dos burocratas. As ações programáticas instituídas geram algum retorno nos locais onde não havia nenhuma atuação, mas nos centros mais organizados acabam ocorrendo desconstruções das experiências já consagradas e funcionantes. É um período de retrocesso onde se decide por atuar em patologias como o tracoma, a lepra e a ancilostomose, deixando de lado as ações contra a tuberculose, o atendimento infantil e o acompanhamento da gravidez. Na mesma época em que se criou a Consolidação das Leis do Trabalho, foram criados as caixas de aposentadorias e pensões e os institutos de previdência. A fórmula mágica de descontos dos trabalhadores e das empresas permitiu ao governo instituir atendimento médico e hospitalar aos trabalhadores sem gastar um centavo dos cofres públicos. Nasce a previdência social. Por outro lado, os trabalhadores sem carteira do trabalho e os trabalhadores rurais eram qualificados como indigentes, sendo atendidos pelos hospitais filantrópicos quando havia vagas. Iniciaram-se os investimentos em educação em saúde, com a impressão de folhetos e cartazes, que de início esbarraram na grande quantidade de analfabetos do país. As soluções encontradas foram a utilização das emissoras de rádio e as modernas impressões de gravuras em três cores. O racismo eugenista persistia e a propaganda de saúde foi baseada no perfil germânico do ariano puro até 1942, quando pressionado pelos EUA, o governo Getúlio declara guerra ao Eixo. A propaganda de saúde passa então a adotar o modelo norte-americano, veiculando as propriedades nutritivas de produtos como o hambúrguer, o iogurte e vários outros produtos elaborados por empresas sediadas na América do Norte. As doenças epidêmicas sofreram nítida diminuição, principalmente nos grandes centros, mas as endemias como a esquistossomose, a doença de Chagas, a tuberculose, as doenças gastrintestinais, as doenças sexualmente transmissíveis e a hanseníase alastraram-se aos milhares e aos milhões. O PERÍODO DESENVOLVIMENTISTA (1945-1964) Mesmo com a queda de Vargas mantém-se o estilo populista de governar através de medidas demagógicas que colocavam os governantes como “pais do povo”. Apesar de todos os movimentos nacionalistas do período, em nome do desenvolvimento, é grande a entrada de capital estrangeiro no país. Constrói-se Brasília e inicia-se o trágico fortalecimento da dívida externa. Em 1953, no segundo período presidencial de Vargas, cria-se o Ministério da Saúde, que como num prenúncio da desnutrição crônica que persiste até os dias de hoje, inicia com verbas irrisórias. A falta de dinheiro impedia que o Estado atuasse de forma eficaz na péssima situação da saúde coletiva. Em conseqüência o Ministério da Saúde colaborou de
  • 224.
    222 maneira pouco eficientena redução da morbidade e mortalidade das doenças que inutilizavam para o trabalho e para a vida muitos brasileiros. O sanitarismo desenvolvimentista, característico do período, teve contribuição mais voltada para as discussões conceituais relacionadas à saúde. Os sanitaristas da época estabeleceram relação entre saúde e economia e definiram a saúde de um povo como o corolário de seu desenvolvimento econômico. Podem ser apontados dois marcos desta época: o primeiro foi a criação da Comissão de Planejamento e Controle das Atividades Médico Sanitárias, com a função de elaborar o plano plurianual, integrando as atividades de saúde ao Plano Nacional de Desenvolvimento; o segundo foi a realização da III Conferência Nacional de Saúde, que, além de discutir as propostas elaboradas por aquela comissão, sistematizou as propostas de descentralização e municipalização da saúde. O esgotamento do modelo populista de relação entre o Estado e os trabalhadores vai-se acentuando, em função da contradição entre um projeto nacional desenvolvimentista em associação com o capital estrangeiro e a possibilidade de incorporar as demandas dos trabalhadores. Um fato marcante foi a criação, em 1956, do Departamento Nacional de Endemias Rurais (DNERU), com a finalidade de organizar e executar os serviços de investigação e combate às principais patologias evitáveis deste período, dentre elas a malária, leishmaniose, doença de Chagas, peste, brucelose, febre amarela, esquistossomose e outras endemias existentes no país. Em nome do desenvolvimento os cofres da previdência são solapados, gastam-se verbas em projetos fora da área da saúde (construção de Brasília, p.ex.). Grupos privados passam a ser favorecidos, a previdência financia a construção de hospitais privados em todo os país, sob o pretexto que estas instituições venderiam serviços a custos menores para o Estado. Ledo engano. As obrigações da previdência social inflam-se devido às pressões sindicais. Em 1945 existiam cerca de dois milhões de pessoas vinculadas aos institutos previdenciários. Duas décadas depois este número ultrapassa oito milhões de pessoas, sem contar os dependentes. O sistema começa a entrar em crise. Enquanto isso a mortalidade infantil bate recordes: 421,6 em Natal e 100,9 em Porto Alegre, para cada 1.000 nascidos vivos... A NOVA DITADURA O financiamento do milagre econômico dá o golpe de misericórdia na previdência social. O sistema quebra após financiar obras faraônicas como Itaipu, a Transamazônica, os projetos Angra I, II e II e um sem número de outras fraudes. O pouco dinheiro destinado ao setor da saúde pública é utilizado para pagar serviços prestados por hospitais particulares e algumas campanhas de vacinação, quase nada sobrava para investir nos sistemas de água tratada e coleta de esgotos. O resultado foi trágico, com o aumento de enfermidades como dengue, meningite e malária. As epidemias passaram a ser controladas mais pela censura do que pelas ações de saúde. Em 1966 é criado o Instituto Nacional de Previdência Social (INPS), órgão que unifica todos os institutos e caixas de pensões, constituindo-se na principal ferramenta de viabilização das fraudes. Com a sua falência começam a surgir substitutivos, como a medicina de grupo, na década de 70, onde as grandes e médias empresas começaram a firmar
  • 225.
    223 contratos com gruposmédicos para substituir os serviços prestados pelo INPS, deixar de pagar a cota previdenciária e ainda receber subsídios do governo para isso. Um negócio da China. As classes médias, beneficiadas pelo milagre econômico, encontram nas companhias seguro-saúde o caminho de acesso ao atendimento rápido e eficiente. Em troca, pagavam mensalidades que estavam fora do alcance da maior parte da massa trabalhadora. Empresas como a Golden Cross aplicam cerca de 25% do montante destas mensalidades no atendimento dos conveniados, burocracia e publicidade. O restante representa lucro líquido. Em outro setor lucrativo o capital estrangeiro passa a incorporar as indústrias farmacêuticas nacionais. Entre 1965 e 1975, pelo menos 25 companhias brasileiras foram compradas por grupos norte-americanos e europeus. Enquanto isso, na saúde pública... Em 1974 é criado o Ministério da Previdência e Assistência Social para incorporar o moribundo INPS, época em que se cria também a Dataprev, Empresa de Processamento de Dados da Previdência Social, numa tentativa de controlar a corrupção e a evasão de recursos. Por fim, em 1975 é criado o Sistema Nacional de Saúde, em mais uma tentativa de baratear e ao mesmo tempo tornar mais eficazes as medidas de saúde em todo o país. Em 1979 o Brasil permanecia como um dos países mais enfermos da América Latina, sendo superado apenas por Haiti, Bolívia e Peru. O texto a seguir foi retirado de BRASIL. Ministério da Saúde. Gestão municipal de saúde: Leis, normas e portarias atuais. Rio de Janeiro: Brasil. Ministério da Saúde, 2001. A DÉCADA DE 80: ECLOSÃO DA CRISE ESTRUTURAL E CONSOLIDAÇÃO DAS PROPOSTAS REFORMADORAS O Brasil vivia um quadro político e econômico marcado por dificuldades no panorama nacional e internacional, caracterizado por um processo inflacionário e uma crise fiscal sem controle, ao lado do crescimento dos movimentos oposicionistas e de divisões internas nas forças que apoiavam o regime. A derrota do governo nas eleições de 1982, agregada ao crescimento do processo recessivo, "quebrou a coesão interna do regime, determinando um redesenho de seus pactos". Têm início neste momento os movimentos em direção ao processo de redemocratização do país. Teixeira & Oliveira (1976) definem os anos 80-83 como o período de eclosão de três crises: ideológica, financeira e político-institucional. A crise ideológica se caracteriza pela necessidade de reestruturação e ampliação dos serviços de saúde. As experiências antes relatadas e a repercussão interna da Conferência de Alma-Ata - cujos países participantes reconhecem a atenção primária e a participação comunitária como estratégias para a conquista da meta "Saúde para todos no ano 2000" - inspiram a formulação do PREV-SAÚDE. Este projeto incorpora os pressupostos de hierarquização, participação comunitária, integração de serviços, regionalização e extensão de cobertura. A discussão do projeto faz eclodir uma divisão profunda entre a equipe responsável pelo mesmo e alguns setores interessados na questão saúde, principalmente a Federação Brasileira de Hospitais. Isto origina versões diferentes do PREV-SAÚDE e faz com que ele seja caracterizado como "natimorto", não chegando a ser implementado.
  • 226.
    224 A crise financeira é decorrente do déficit crescente desde 1988. Em contradição com um sistema em franca expansão, a base de financiamento continuava sem qualquer alteração. Havia um desacordo entre a crescente absorção de faixas cada vez mais extensas da população cobertas pela proteção social e a manutenção de um regime financeiro calcado na relação contratual. Ao lado da restrição das fontes de financiamento, com ausência do Estado no financiamento da Previdência e da expansão de cobertura, o modelo de privilegiamento dos produtores privados de serviços de saúde implantado é corruptor, incontrolável e sofisticado, o que o torna extremamente oneroso. Isto levou a propostas de contenção de despesas, especialmente da assistência médica. A crise político-institucional é marcada pela criação do Conselho Consultivo da Administração de Saúde Previdenciária (CONASP), em 1981, com o objetivo de operar sobre a organização e o aperfeiçoamento da assistência médica, sugerir critérios de alocação de recursos previdenciários para este fim, recomendar políticas de financiamento e de assistência à saúde, analisar e avaliar a operação e o controle da Secretaria de Assistência Médica da Previdência Social. O CONASP era composto por representantes de diferentes ministérios, por representantes da sociedade civil e de parte dos prestadores de serviços de saúde contratados / conveniados. As propostas, de inspiração racionalizadora, visando cortar custos, têm sua maior expressão no documento "Reorganização da Assistência Médica no Âmbito da Previdência Social", formulado em 1982. O documento recupera propostas antes apresentadas pelo PREV-SAÚDE no sentido da hierarquização, regionalização, descentralização e integração de serviços, dentre outras. Propõe mudanças na sistemática de pagamentos, introduz novos mecanismos de auditoria técnica e propõe a plena utilização da capacidade instalada dos serviços públicos de saúde, incluindo os estaduais e municipais. Ao lado das propostas racionalizadoras do CONASP, cresciam os movimentos reformadores da saúde e o movimento oposicionista no país. Em 1982, são eleitos vários prefeitos comprometidos com as propostas de descentralização, o que levou a bem-sucedidas experiências municipais de atenção à saúde. A proposta do CONASP foi consubstanciada nas Ações Integradas de Saúde (AIS), que podem ser divididas em dois momentos: um anterior e outro posterior à Nova República. Mais do que um programa dentro do INAMPS e das Secretarias de Saúde, as AISs passaram da estratégia setorial para a reforma da política de saúde. Em 1984, eram destinados às AISs 4% do orçamento do INAMPS, passando para 12% em 1986. Ao lado do aumento de recursos destinados ao setor público, merecem destaque a universalização no uso de recursos previdenciários e a incorporação de novos atores na disputa pelos mesmos. Em 1988, as AISs abrangiam todos os estados e 2.500 dos pouco mais de 4.000 municípios então existentes. No governo da Nova República, a proposta das AISs é fortalecida, e este fortalecimento passa pela valorização das instâncias de gestão colegiada, com a participação de usuários dos serviços de saúde.
  • 227.
    225 Em 1986, é realizada em Brasília a VIII Conferência Nacional de Saúde (CNS), com ampla participação de trabalhadores, governo, usuários e parte dos prestadores de serviços de saúde. Precedida de conferências municipais e estaduais, a VIII CNS significou um marco na formulação das propostas de mudança do setor de saúde, consolidadas na Reforma Sanitária brasileira. Seu documento final sistematiza o processo de construção de um modelo reformador para a saúde, definida como resultante das condições de alimentação, habitação, educação, renda, meio ambiente, trabalho, transporte, emprego, lazer, liberdade, acesso e posse da terra e acesso a serviços de saúde. É, assim, antes de tudo, o resultado das formas de organização social da produção, as quais podem gerar desigualdades nos níveis de vida. Este documento serviu de base para as negociações na Assembléia Nacional Constituinte, que se reuniria logo após. Em paralelo ao processo de elaboração das propostas de mudança no setor de saúde, deu-se a conformação de outro modelo, o chamado modelo neoliberal. Durante o processo de elaboração da Constituição Federal, outra iniciativa de reformulação do sistema foi implementada, o Sistema Unificado e Descentralizado de Saúde (SUDS). Idealizado como estratégia de transição em direção ao SUS, propunha a transferência dos serviços do INAMPS para estados e municípios. O SUDS pode ser percebido como uma estadualização de serviços. Seu principal ganho foi a incorporação dos governadores de estado no processo de disputa por recursos previdenciários. Contudo, a estadualização, em alguns casos, levou à retração de recursos estaduais para a saúde e à apropriação de recursos federais para outras ações, além de possibilitar a negociação clientelista com os municípios. Como resultante dos embates e das diferentes propostas em relação ao setor de saúde presentes na Assembléia Nacional Constituinte, a Constituição Federal de 1988 aprovou a criação do SUS, reconhecendo a saúde como um direito a ser assegurado pelo Estado e pautado pelos princípios de universalidade, eqüidade, integralidade e organizado de maneira descentralizada, hierarquizada e com participação da população. REFERÊNCIAS BERTOLLI FILHO, C., História da Saúde Pública no Brasil, 2.ed., Ática, São Paulo, 1998. MINISTÉRIO DA SAÚDE, 11ª Conferência Nacional de Saúde – Relatório Final, Ed. MS, Brasília, DF, 2001. CASTRO, J.L.; SANTOS NETO, P.M.; BELISÁRIO, S.A. (org.) – Gestão Municipal de Saúde: Leis, normas e portarias atuais – Ministério da Saúde, Rio de Janeiro, 2001. CASTRO, J.L.; SANTOS NETO, P.M.; BELISÁRIO, S.A. (org.) – Gestão Municipal de Saúde: Textos – Ministério da Saúde, Rio de Janeiro, 2001.
  • 228.
  • 229.
    227 ANEXO A - MARAGATOS E PICA-PAUS Por Lígia Gomes Carneiro Retirado de: http://www.riogrande.com.br/historia/temas_maragatos_e_picapaus.htm em 12/12/2004 Os termos "maragato" e "pica-pau", usados para se referir às duas grandes correntes políticas gaúchas, e identificados, respectivamente, com o uso do lenço vermelho e do lenço branco, surgiram no Rio Grande do Sul em 1893, durante a Revolução Federalista. Os maragatos foram os que iniciaram a revolução, que tinha como justificativa a resistência ao excessivo controle exercido pelo governo central sobre os estados. O objetivo da revolução seria, portanto, garantir um sistema federativo, em que os estados tivessem maior autonomia. O termo "maragato", aplicado aos federalistas, tem uma explicação complexa. No Uruguai eram chamados de maragatos os descendentes de imigrantes espanhóis oriundos da área situada na província de León, na Espanha, conhecida como Maragateria. Os maragatos espanhóis eram eminentemente nômades, e adotavam profissões que lhes permitissem estar em constante deslocamento. Os defensores do governo central passaram a chamar os revolucionários de "maragatos" com o intuito de insinuar que, na verdade, as tropas dos rebeldes eram constituídas por mercenários uruguaios. A realidade oferecia alguma base para essa assertiva — Gumercindo Saraiva, um dos líderes da revolução, havia entrado no Rio Grande do Sul vindo do Uruguai pela fronteira de Aceguá, no Departamento de Cerro Largo, e liderava uma tropa de 400 homens entre os quais estavam uruguaios. No entanto, dar esse apelido aos revolucionários foi um tiro que saiu pela culatra. Os próprios rebeldes passaram a se denominar "maragatos", e chegaram a criar um jornal que levava esse nome, em 1896. Já o termo pica-pau, aplicado aos republicanos que apoiavam o governo central, teria surgido em função das listras brancas do topete do pássaro, pois os governistas usavam chapéus com divisas brancas, que lembravam o topete do pica- pau, enquanto que as dos maragatos eram vermelhas.
  • 230.
    228 ANEXO B -PRIORIDADES EM SAÚDE DO GOVERNO ESTADUAL (Extraído da palestra do secretário estadual de saúde, Osmar Terra, na cerimônia de posse dos coordenadores regionais de saúde em 04/02/2003) 1. Ampliação de equipes PSF/PACS: O Estado somará recursos à União para passar de 400 para 1600 unidades; 2. Redução da mortalidade infantil: meta de redução dos atuais 15% para menos de 9%; 3. Programa de desenvolvimento integral na 1ª infância: atenção integral para crianças de 0 a 3a com articulação plena entre os programas locais e federais; 4. Projeto salvar: ênfase ao atendimento pré-hospitalar, prevê utilização de verbas estaduais e federais, inclui Santa Maria; 5. A região resolve: Capacitar as sete macrorregiões estaduais para resolverem 95% dos seus problemas em saúde; 6. Repasse hospitalar: incentivar os hospitais a receberem repasses por indicadores de saúde, já que a meta é reduzir o número de internações através de ações primárias; 7. Medicamentos para terceira idade: garantir o suprimento de trinta itens medicamentosos para tratamentos crônicos que representem pelo menos 90% dos medicamentos usados; 8. Controle da adicção e da depressão; 9. Redução das doenças infecciosas; 10. O município resolve: Passar de 11 para 150 os municípios com gestão plena municipal e atingir 100% de gestão básica ampliada; 11. Informação para saúde: Campanhas televisivas de promoção da saúde, seguindo o modelo da campanha do soro caseiro; 12. Execução orçamentária: passar dos atuais 5% para 10% o orçamento para saúde no estado.
  • 231.
    229 ANEXO C – EIXOS, VETORES E ESTÁGIOS DO PROJETO DE INCENTIVO A MUDANÇAS CURRICULARES NOS CURSOS DE MEDICINA. Eixos Orientação Teórica Abordagem Pedagógica Cenário de Práticas Vetores Produção de Pós-graduação e Mudança pedagógica Integração ciclo Diversificação de cenários do processo de ensino Abertura dos serviços universitários conhecimentos segundo educação permanente básico/ciclo as necessidades as necessidades do SUS profissional do SUS Estágio Escolas que não tenham Oferta exclusiva de Ensino centrado no Ciclos clinico e básico Ciclos clinico e básico completamente separados, com Serviços próprios, isolados da 1 produção sistemática de especialidades e ausência professor, realizado completamente disciplinas fragmentadas. rede do SUS, com porta de investigação em atenção de oferta de fundamentalmente por meio separados, com entrada separada e com básica ou que apenas especialização em de aulas expositivas para disciplinas clientela cativa e redundante. tenham produção na área atenção básica e de grandes grupos de fragmentadas. da atenção hospitalar e educação permanente aos estudantes, baseado em de alta tecnologia. profissionais da rede do disciplinas estanques e com SUS. processos de avaliação baseados em testes e provas. Estágio Escolas que tenham uma Conformação Ensino que inclui inovações Existência de Atividades extra-murais não integradas a outras Serviços parcialmente abertos 2 baixa produção de intermediaria em que há pedagógicas em caráter disciplinas/atividades carreiras em unidades dos SUS, durante os dois ao SUS, mas preservando investigações esforços para a oferta de experimental restritas a integradoras ao longo primeiros anos do curso, com a participação exclusiva algum grau de autonomia na relacionadas com a educação permanente certas disciplinas, realizado dos primeiros anos, ou predominante de professores da área de saúde definição de seus pacientes. atenção básica ou com a relacionada a nosologia majoritariamente em mas sendo mantida a coletiva, correspondendo a menos de 10% da carga gestão do SUS. prevalente, mas não há pequenos grupos de até 15 organização por horária. Ciclo clinico majoritariamente baseado em questionamentos do estudantes, adotando disciplinas e a atividades ambulatoriais em ambulatório pertencente a perfil de oferta de processos de avaliação separação dos instituição de ensino que tenha central de marcação de residência médica, interativos, mas ainda conteúdos básicos e consultas própria, ou em ambulatórios conveniados cuja mestrados e doutorados, restritos a menos de 20% da clínicos. administração seja apartada da gestão da rede do SUS. que seguem a lógica da carga horária. especialização. Estágio Escolas com alta Lógica da oferta de Ensino baseado Ensino Atividades extramurais em unidades do SUS, Serviços próprios 3 produção de oportunidades majoritariamente em majoritariamente equipamentos escolares e da comunidade, ao longo de completamente integrados ao investigações orientadas educacionais feita em resolução de problemas, em integrado, em que é toda a carreira, com graus crescentes de complexidade. SUS, sem central de as necessidades da estreita articulação com grupos pequenos, em que os eliminada a Durante os dois primeiros anos de graduação, marcação de consultas ou de atenção básica, sem os gestores do SUS, são professores trabalham como precedência combinam- se as atividades multiprofissionais, com internações próprias das prejuízo da investigação revisados os quantitativos tutores, ocorrendo o ensino cronológica do ciclo experiências de integração em laboratórios de instituições acadêmicas. pura e tecnológica, e que e a qualidade da em ambientes diversificados básico, servindo as problematização, com participação de docentes de áreas Desenvolvimento de tenham uma forte formação, há um trabalho - bibliotecas, comunidade, áreas básicas como básicas e clinicas em, pelo menos, 20% da carga horária. mecanismos institucionais de interação com o serviços em estreita articulação laboratórios de simulação - retaguarda e referência Atividades clinicas desenvolvidas de forma mista entre referencia e de contra- de saúde na área de com os Pólos de e com atividades para a busca dos serviços próprios das IES e unidades comuns e correntes referencia com a rede do SUS. produção e avaliação de Capacitação em Saúde da estruturadas a partir das conhecimentos para a de atenção básica da rede do SUS - majoritariamente protocolos clínicos, Família. necessidades de saúde que solução de problemas, ambulatorial, ou em serviços próprios das IES que inovações da gestão, se apresentam ao SUS. sem estruturação em subordinem suas centrais de marcação de consulta as analises de custo- Avaliação formativa e disciplinas. necessidades locais do SUS - em que se perfaça menos benefício, e outras somativa, avaliando todos 40% da carga horária. Internato desenvolvido em, pelo assemelhadas os aspectos da formação do menos, 25% na rede do SUS. estudante (conhecimentos, atitudes e habilidades).
  • 232.
    230 ANEXO D – PROJETO INFORMATIZAÇÃO APS: OFÍCIO HUMBERTO COSTA ESTADO DO RIO GRANDE DO SUL PREFEITURA MUNICIPAL DE SANTA MARIA SECRETARIA DE MUNICÍPIO DA SAÚDE Ofício No. 529/2003 – GP/SMS Santa Maria, 26 de dezembro de 2003. Excelentíssimo Senhor Ministro: Na oportunidade em que cumprimentamos Vossa Excelência, solicitamos especial atenção para a liberação dos recursos financeiros previstos no Projeto em anexo, pleiteados pela nossa comunidade, junto ao orçamento do Ministério da Saúde. Este projeto, de autoria do médico de família e comunidade Carlos André Aita Schmitz em parceria com a Fundação de Apoio à Tecnologia da Universidade Federal de Santa Maria, a ser viabilizado através de recursos orçamentários do Ministério da Saúde, tem por objeto gerar uma solução financeiramente viável ao município de Santa Maria-RS. Com isso integraremos as atuais tecnologias de equipamentos e aplicativos às tecnologias leves de saúde pública e coletiva, na formulação de um produto único capaz de servir como paradigma a qualquer unidade da federação: o Sistema de Gerenciamento de Informações da Atenção Básica a Saúde. É importantíssimo frisar que a modelagem em que o presente projeto foi formatado, permitirá a sua ampliação dentro dos conceitos e premissas do Fundo de Universalização de Serviços de Telecomunicações (FUST). A partir da experiência desenvolvida em nosso município, poderemos, através do FUST, gerar a regionalização e a universalização (inclusive em âmbito nacional) dos progressos alcançados, utilizando os conceitos de unidades assinantes, parceiros coligados e empresas âncoras, preconizados nas discussões a respeito do FUST. O presente projeto tem o valor de R$ 1.351.929,98 e, entre outros objetivos possibilitará: • Complementar, de forma sinérgica, a automação da Secretaria da Saúde de Santa Maria-RS, automatizando 28 unidades, entre unidades centrais, de referência e unidades do Programa de Saúde da Família; • Descentralizar a gestão do sistema de saúde, criando responsabilização local pela geração dos dados, análise das informações, definição de ações e a avaliação dos resultados; • Fornecer capacitação para todos os trabalhadores da rede municipal que serão envolvidos no projeto (mais de duzentos e oitenta trabalhadores); • Dar suporte informatizado para a viabilização do Programa de Saúde da Família através das seguintes ações: o Cadastramento dos usuários obedecendo à estrutura completa do Cartão SUS, em concomitância aos moldes do Ministério da Saúde; o criação do prontuário eletrônico voltado para as necessidades da atenção básica que, além de armazenar toda a história clínica e de acompanhamento dos usuários, também esteja habilitado ao armazenamento de dados demográficos, psico-sociais e culturais que permitam o acompanhamento do conceito ampliado de saúde, no que diz respeito à qualidade de vida; o ligação do sistema de georeferenciamento municipal ao prontuário eletrônico, configurando um processo de territorialização que contemple a existência de territorialidades descontínuas e sobrepostas e, além disso, permita múltiplas agregações de indivíduos e rastreabilidade de agravos. • Formar a rede integrada de comunicação das unidades de saúde, contemplando os seguintes aspectos: o Integrar a SMS com todas as equipes de PSF, as Unidades Básicas de Saúde (UBS), as unidades secundárias, o sistema de referência e contra-referência (consultas e exames especializados, assim como controle de leitos), a assistência farmacêutica, a vigilância epidemiológica e a vigilância sanitária;
  • 233.
    231 o Possibilitar a monitorização centralizada e local do fluxo de profissionais, pacientes, serviços e materiais; o Otimizar o fluxo de profissionais, pacientes, serviços e materiais, através de módulos centrais e locais de (utilizando sistema de cotas pré-definidas e negociáveis): Agendamento eletrônico de consultas; referência e contra-referência; agendamento eletrônico de exames e procedimentos; controle central e local de farmácia. • Automatizar os processos de vigilância epidemiológica, definindo critérios automáticos de alarme para agravos; • Informatizar os procedimentos da vigilância sanitária; • Minimizar a quebra de estoque de medicamentos e materiais, tanto central quanto local; • Agilizar o processo de execução de exames e procedimentos e confecção de laudos e relatórios; • Possibilitar a devolução automatizada, via Internet, dos exames, dos laudos e dos relatórios, diretamente ao profissional solicitante (com aviso via celular); • Eliminar o risco de perda de exames; • Automatizar o preenchimento dos formulários obrigatórios para o SUS, criando comunicabilidade direta com os sistemas ministeriais; • Reduzir a quantidade de espaço físico e de recursos humanos para a manutenção do arquivamento dos dados; • Agilizar o processo de recuperação das informações armazenadas; • Criar um banco de dados extremamente rico em informações para base de pesquisa em saúde e gestão da saúde. Sendo o que tínhamos para o momento, renovamos protesto de estima e apreço. Atenciosamente. Valdeci de Oliveira Prefeito Municipal de Santa Maria - RS Exmo Sr. Humberto Costa DD Ministro da Saúde Brasília – DF
  • 234.
    232 ANEXO E – FRAGMENTO PROJETO HUSM MINISTÉRIO DA PLANO DE TRABALHO DESCRIÇÃO DO PROJETO ANEXO IV SAÚDE 01 – NOME DO ÓRGÃO OU ENTIDADE PROPONENTE 02- CONDIÇÃO DE GESTÃO DO ESTADO OU 03- EXERCÍCIO 04- UF MUNICÍPIO 2003 RS UNIVERSIDADE FEDERAL DE SANTA Gestão plena da Atenção Básica Ampliada (GPABA) MARIA 05-CNPJ 06 – DDD 07 – FONE 08 - FAX 09 - E-MAIL 10- CONTA 11- BANCO CONVENIADO 12- AGÊNCIA 13- PRAÇA DE PAGAMENTO 14- UF CORRENTE 15- RECURSO 16. EMENDA N.° 17 - PARTÍCIPE 18 - CNPJ DO PARTÍCIPE ORÇAMENTÁRIO 1. INTERVENIENTE 1. NORMAL 2. EXECUTOR 2. EMENDA 19 – PROGRAMA 20. ÓRGÃO FINANCIADOR QUALIDADE E EFICIÊNCIA DO SUS MS FUNASA 21 - AÇÃO A SER FINANCIADA Implantação, aparelhamento e adequação de unidades de saúde do SUS 22 -DESCRIÇÃO SINTÉTICA DO OBJETO Sistema Regional de Radiologia Digital: Automatização dos Procedimentos de Aquisição, Armazenamento e Distribuição em Diagnóstico por Imagem Implantação de um sistema PACS (Picture Archiving and Communication Systems) no Serviço de Diagnóstico por Imagens (SDI) do Hospital Universitário de Santa Maria (HUSM), combinando a aquisição de novos equipamentos e serviços com a estrutura de equipamentos para radiologia computadorizada já adquirida pelo HUSM . A radiologia computadorizada, além de produzir um salto em termos de qualidade e acurácia do diagnóstico, também leva a uma considerável economia, posto que gera a possibilidade de armazenamento eletrônico e otimizado das imagens, dispensando a impressão dos filmes radiológicos. Por outro lado, alia conforto e proteção ao paciente com ampliação da capacidade de atendimento e ampliação da população coberta. 23 – JUSTIFICATIVA DA PROPOSIÇÃO PACS são soluções compostas por equipamentos e aplicativos específicos destinados à aquisição, gerenciamento e transmissão de imagens ou sinais e dados a eles relacionados. No âmbito da saúde, PACS conseguem acumular as diversas modalidades diagnósticas que envolvam a produção de imagens ou de sinais (ressonância magnética, medicina nuclear, tomografia computadorizada, raio-x, ultra-som, eletrocardiograma, eletroencefalograma e outros). O HUSM lidera uma região que corresponde à 5 coordenadorias regionais de saúde, com uma população aproximada de 1,3 milhões de habitantes, e tem sido referenciado por serviços de outras coordenadorias e até de outros estados, basicamente do oeste catarinense. Segundo trabalhos recentes, remetem pacientes ao HUSM, um total de 126 municípios, perfazendo uma população de até 3 milhões de habitantes. Constitui-se no único Hospital Público da região, sendo um centro de ensino e pesquisa no âmbito das ciências da saúde, centro de programação e manutenção de ações voltadas à saúde das comunidades local e regional, desenvolve programas específicos de assistência à comunidade devidamente integradas à rede regional de saúde. O hospital presta serviços assistenciais em todas as especialidades, e serve de treinamento para alunos de graduação e pós-graduação em Medicina, Residência Médica em 12 áreas, e de graduação em Farmácia, Fonoaudiologia, Fisioterapia e Enfermagem. Possui uma área total de 28.000 m2, comportando 7 pavimentos, com 336 leitos (sendo 300 ativos). Abriga 62 ambulatórios em 1 pavimento e enfermarias distribuídas em 5 pavimentos. Possui UTI Adulto (280 m2), UTI de RN (336 m2), UTI Pediátrica (599,75 m2), Centro Cirúrgico (110 m2), Centro Obstétrico (334 m2), Centro de Transplante de Medula ( 141,95 m²), Unidade Renal (418 m2), Serviço de Pneumologia (272 m2), Setor Psiquiátrico ( 3.072 m2), Unidade de Emergência (329 m2), Laboratórios de Análises Clínicas e de Hematologia (156 m2), Métodos Gráficos (174 m2), Setor de Endoscopia (132 m2), Imagenologia (772 m2), Serviço de Radioterapia (818 m2), Serviço de Fisioterapia (264 m2), Serviço de Quimioterapia (37 m2), Serviço de Hemoterapia (89 m2), Serviço de Controle de Infecção Hospitalar (24 m2), Serviço de Nutrição e Dietética (501,50 m2), Centro de Material e Esterilização (341 m2), Lavanderia (333 m2), Serviço de Almoxarifado (1.121,86 m2), Oficinas de Manutenção e Caldeiras (1034 m2), Serviço de Farmácia ( 116,25 m2), Arquivo (170,40 m2) Nesta área atuam 992 servidores, 94 professores, 76 médicos residentes e 61 médicos do quadro. Possui um parque de equipamentos radiológicos composto por 1 gama-câmara, 2 tomógrafos helicoidais, 5 salas de raio-x convencional, 1 sala de raio-x t ele-comandado de raio-x, 5 aparelhos de raio-x móveis, 8 aparelhos de ultra-som, 2 arcos cirúrgicos e 1 retinógrafo. Realiza cerca de 70.000 incidências por ano (dentro de 40.000.exames). O hospital investe pesada e continuamente no processo de informatização geral e já investiu cerca de R$ 450.000,00 no campo da radiologia computadorizada. É pioneiro na área de processamento digital de imagens radiológicas tendo, em novembro de 2000, produzido a primeira radiografia computadorizada da região sul do país e se tornando o primeiro hospital público do país a adquirir uma digitalizadora de imagens (U$ 66.000,00). Tudo isso foi possível aliando-se a vontade administrativa local a uma farta produção científica na área, levando o HUSM, e os grupos de pesquisa associados, ao êxito em vários editais estaduais e federais. Estes números e estas iniciativas, por si só, justificariam a implantação de um PACS no HUSM, mas é importante salientar as demais vantagens da implantação desta solução. O custo anual do HUSM com o SDI, considerando filmes, químicos e rejeitos, gira em torno de R$ 100.000,00, o que se configuraria diretamente na velocidade de amortização dos valores investidos, considerando a utilização de tecnologias livres de filme. Estas tecnologias reduziriam praticamente a zero a perda e o extravio de exames, facilitando a rápida localização dos mesmos e reduzindo o espaço e o número de funcionários necessários ao gerenciamento do arquivo a cifras inferiores a um décimo das atuais (hoje em 60 m2, com 10 pessoas). O paciente seria contemplado com redução no número intensidade das exposições, sendo a necessidade de repetição da incidência verificada instantaneamente, sem mobilizar novamente o paciente. A solução incrementaria a acurácia diagnóstica, elevando sobremaneira a qualidade do exame e possibilitando ao radiologista recursos como realce, rotação, detalhamento de regiões de interesse e aplicação de filtragens e segmentações específicas, entre outras. Além disso, nos retornos ou re-internações, o resgate dos exames anteriores seria automaticamente realizado. A distribuição dos exames passaria a utilizar a rede já instalada no HUSM, possibilitando trânsito rápido entre o SDI, os andares, as unidades de internação e os ambulatórios. A comunicação interinstitucional e inter-regional tornaria-se possível através dos recursos de teleradiologia. Isto tudo, aliado ao fato do HUSM ser um hospital escola, geraria amplas possibilidades de pesquisa e criação de novas tecnologias com recursos locais, que poderiam ser extendidas a outras unidades de saúde do SUS da região centro do estado do Rio Grande do Sul. É importantíssimo considerar que o HUSM, por ser o único hospital público terciário da região, encontra-se totalmente inserido nas metas do plano municipal de saúde que prevê a conversão do atual modelo de atenção, principalmente no que diz respeito aos programas de extensão, de inserção acadêmica na rede e de reforma curricular universitária. Ao mesmo tempo o hospital é peça chave nas metas estaduais de saúde, por estar inserido em 9 das 12 metas prioritárias do estado, em especial o Projeto Salvar, o Município Resolve e a Região Resolve. 24 – AUTENTICAÇÃO ___/___/___ _________________________ _________________________________ DATA NOME DIRIGENTE OU REPR. LEGAL ASS. DIRIGENTE OU REPR. LEGAL
  • 235.
    233 ANEXO F - COMISSÃO MULTIDISCIPLINAR DE PROFISSIONAIS DA SAÚDE PROPOSTA DE ISONOMIA PARA O PROGRAMA DE SAÚDE DA FAMÍLIA DO MUNICÍPIO DE SANTA MARIA – RS DO PROGRAMA: O Programa de Saúde da Família (PSF) possui abrangência nacional, teve início no ano de 1994 e, no corrente ano, com o advento do Programa de Incentivo para a Implantação do PSF (PROESF), voltado para municípios com mais de 100.000 habitantes, chega até nosso município. Mais do que um programa ou uma estratégia, o PSF já se constitui numa filosofia com pleno potencial de modernização dos já desgastados e pouco operacionais modelos de assistência vigentes. A força desta filosofia está contida nos princípios que norteiam o programa, que, analogamente aos princípios que regem o Sistema Único de Saúde (SUS) podem ser divididos em filosóficos: humanização do atendimento, acolhimento e responsabilização e organizativos: base territorial definida, população adscrita e controle popular. Embora se constitua numa excelente iniciativa, experiências malfadadas envolvendo o PSF estão ligadas a fatores que, em geral, remontam ao processo de implantação e que serão discutidos no decorrer deste documento. DA COMISSÃO: No período de setembro a dezembro deste ano, uma iniciativa conjunta da Secretaria Municipal de Saúde, da Escola de Saúde Pública do RS, da Universidade Federal de Santa Maria e da 4ª Coordenadoria Regional de Saúde possibilitou a realização do I Curso de Educação em Saúde Pública Voltado para a (De)Formação de Preceptores. Este curso reúne um grupo multiprofissional e interinstitucional de trinta profissionais, de catorze áreas e quatro instituições. Todos estes profissionais tem grau mínimo de especialização, contando vários, com nível de mestrado e doutorado. Munidos de sua experiência profissional prévia e do incremento gerado pela participação e envolvimento nas atividades do curso e entendendo a importância da multidisciplinaridade, do consenso entre os profissionais de saúde, da união e do comprometimento da equipe, o grupo maior gera esta comissão, que é constituída por quatro médicos de família e comunidade (o que representa 80% dos médicos de família e comunidade existentes no município), duas enfermeiras e um cirurgião- dentista: Adriane Fleig Kraemer - Médica Carlos André Aita Schmitz - Médico Ivan Porciúncula Jr. – Cirurgião-dentista Jonhy Airton Pereira Xavier - Médico Márcia Dias Vianna - Enfermeira Márcia Helena Bolson Radins - Médica Maria Lúcia Prestes – Enfermeira
  • 236.
    234 DA PROPOSTA: A proposta que atualmente tramita nos órgãos competentes está formatada com salários básicos diferenciados para médicos e enfermeiros, contando com acréscimos não cumulativos de 20% e 50%, respectivamente para Especialização em Saúde da Família/Saúde Pública e Residência em Medicina de Família e Comunidade/Residência Integrada em Saúde Coletiva. Médicos: Básico: R$ 3.000,00 20% para especialização: R$ 600,00 R$ 3.600,00 * 50% para residência: R$ 1.500,00 R$ 4.500,00 * * Valor básico com o acréscimo. Enfermeiros e outros profissionais de nível superior: Básico: R$ 2.000,00 - R$ 1.000,00 ** 20% para especialização: R$ 400,00 R$ 2.400,00 *- R$ 1.200,00 ** 50% para residência: R$ 1.000,00 R$ 3.000,00 *- R$ 1.500,00 ** * Valor básico com o acréscimo. ** Diferença em relação ao salário dos médicos. Segundo o entendimento desta comissão e baseado nos argumentos que serão tecidos na seqüência, o desenho ideal da proposta de vencimentos deve ser isonômico, contando com acréscimos não cumulativos de 34% e 67%, respectivamente para Especialização em Saúde da Família/Saúde Pública e Residência em Medicina de Família e Comunidade/Residência Integrada em Saúde Coletiva, conforme esquema abaixo: Básico: R$ 3.000,00 * 34% para especialização: R$ 1.020,00 R$ 4.020,00 ** 67% para residência: R$ 2.010,00 R$ 5.010,00 ** * Para todos os profissionais de nível superior ** Valor básico com o acréscimo. DOS ARGUMENTOS: Serão apresentados argumentos de base política, filosófica e financeira. Base política: •Inovação política: a isonomia é inédita dentro do PSF. Tal atitude, por si só, colocaria o município de Santa Maria em foco nacional, como pioneiro desta proposta. Conforme será discutido, dentro da base filosófica, o princípio isonômico será uma ferramenta de fortalecimento e de garantia de manutenção do PSF;
  • 237.
    235 •Risco político: o modelo hegemônico vigente em nossos dias (médico-centrado e hospitalocêntrico) é extremamente forte e sedimentado. A tendência natural é que propostas novas sejam por ele engolidas e desvirtuadas. É previsível que salários diferenciados façam com que, de um lado os demais profissionais descarreguem a maioria das responsabilidades sobre o médico e, por outro lado, o médico crie animosidades com o restante da equipe, pelo excesso de responsabilidade colocado sobre ele, retro alimentando um círculo vicioso que já é bem conhecido, impossibilitando a mudança de modelo e criando o risco de tornar o PSF um desastre político e administrativo. •Consenso municipal: uma proposta isonômica, defendida pelo poder executivo, pelo Conselho Municipal de Saúde e por grupos multidisciplinares de trabalhadores em saúde evita desgastes políticos desnecessários e garante a governabilidade (ver progressos alcançados, no final do texto); Base filosófica: • Comprometimento: vencimentos condignos, vinculados à formação profissional, permitem um trabalho transparente, com cumprimento de horário, de atividades e de responsabilidades; • Espírito de equipe: embora todos os brasileiros sejam iguais perante o estado, a grande maioria dos problemas de nosso país está ligada à extrema riqueza de poucos em relação à extrema miséria de muitos. Todos (médicos, enfermeiros, cirurgiões-dentistas, etc.) são profissionais de nível superior e totalmente capacitados dentro de suas áreas profissionais. O comprometimento está muito menos vinculado ao valor do salário do que a não diferenciação salarial. A eliminação das diferenças valoriza os profissionais e fortalece o sentimento de união. Equipes integradas são extremamente mais produtivas e resolutivas do que profissionais isolados em seus consultórios; • Alteração de modelo de atenção: a Estratégia de Saúde da Família (ESF) é um modelo voltado para a saúde e não para a doença. Equipes assistencialistas e centradas na figura do médico não são resolutivas e apenas dão manutenção às doenças. Sendo a ESF uma estratégia de atenção básica, voltada para a promoção da saúde, todos os profissionais são de extrema importância para a consecução dos objetivos. As equipes, dentro dos princípios do PSF, já são de caráter mínimo, é, portanto, operacionalmente inviável ao programa, prescindir de ou valorizar menos qualquer um de seus profissionais; • Mudança de papéis: reforçando o que já foi dito, a equipe deixa de depender do médico e todos os profissionais assumem igual responsabilização pelos objetivos do PSF, potencializando os resultados da ESF; • Estímulo à formação profissional, seleção de perfil e chamamento profissional: o conceito ampliado de saúde promovido pelo SUS, que a vincula não à simples ausência de doenças, mas sim ao incremento da qualidade de vida, desmistifica a atenção primária como sendo simples e desvela o caráter complexo da promoção da saúde. Tanto o SUS como o PSF só é viável dentro de uma ótica multiprofissional e transdisciplinar. Um
  • 238.
    236 programa municipal que, em detrimento da já ultrapassada valorização por áreas profissionais, assuma a isonomia e a valorização salarial por níveis crescentes de formação profissional, além de todas as vantagens já citadas, a) incitará o ingresso em programas de especialização e residências (estas últimas sendo vistas como o padrão-ouro na formação em saúde), b) garantirá o pleno funcionamento do PSF através da seleção de profissionais especialmente talhados para o mesmo, c) atrairá profissionais altamente especializados, de várias áreas, de um centro formador que é referência nacional há quase três décadas (Porto Alegre), e d) fortalecerá as iniciativas locais em andamento que possibilitarão ao município de Santa Maria tornar- se um centro regional de formação de recursos humanos para o SUS; Base financeira: •Manutenção do atrativo salarial: é sabida a grande dificuldade de engajar os médicos na filosofia do PSF. Com base neste pressuposto, a presente proposta apresenta um teto salarial de R $ 5.000,00 maior do que o previsto pela proposta anterior, acrescentando a vantagem de atrair não apenas médicos, mas médicos especialmente formados para o PSF. E, ainda mais, gera a possibilidade de somar ao processo, enfermeiros e cirurgiões-dentistas também especialmente formados para este fim. É de igual importância lembrar que estes profissionais não serão atraídos apenas pela questão financeira, mas também pelo fato do município de Santa Maria ser um pólo regional de saúde e um centro universitário, capaz de suprir suporte secundário e terciário. Isto gera nos profissionais não apenas segurança no processo de trabalho, mas também um leque de possibilidades de atualização e oportunidades de pesquisa. •Relação custo/benefício: a gestão é um jogo estratégico e, como num jogo, é necessário, por vezes, assumir-se riscos. Quanto mais calculados forem os riscos, menor a incerteza e menores as possibilidades de fracasso. Salários não isonômicos e pouco atrativos, seguramente terão um custo menor e serão mais fáceis de serem encaixados dentro do orçamento. Obviamente, ações de baixo risco implicam em baixo impacto e baixo benefício, o que a médio e longo prazo pode ser algo extremamente oneroso. Se, por um lado, uma proposta mais arrojada, que inclua tanto a isonomia quanto a valorização da formação profissional possa parecer de maior custo, por outro lado, fatores como consenso municipal, comprometimento político e profissional e participação ativa dos trabalhadores diminuem sobremaneira a incerteza e o risco, na mesma proporção em que incrementam os benefícios. •Impacto financeiro: finalizando a argumentação, mas não menos importante, o esquema abaixo demonstra a completa viabilidade financeira desta proposta aos cofres do município. Faz-se mister frisar a diferença entre um projeto de papel (ou aparentemente viável) e um projeto que realmente impacte no numerário municipal. Pseudo-equipes de PSF, desunidas e frágeis perante o modelo hegemônico, não aumentarão a resolutividade, não diminuirão a demanda nos pronto-atendimentos, não afetarão a super-lotação hospitalar e não reduzirão os gastos com medicamentos e com procedimentos. O incremento da qualidade de vida gerado por equipes fortes de PSF pode ser o
  • 239.
    237 seu principal resultado, mas na seqüência está o fato delas serem auto- portantes, no sentido de que toda a enorme economia direta e indireta gerada pela sua atuação, possibilita não só a manutenção do processo como também a racionalização dos gastos municipais em saúde: Especificação PROPOSTA DA LEI 1º Semestre de 2004 Qt. Unitário Especializ. Residência Encargos Vale VALOR % valor % Valor % Valor Refeição TOTAL CONTRATADOS Médicos Contratados 5 3.000,00 20 50 22.500,00 43,2 32.220,00 500 196.320,00 Enfermeiros Contratado 5 2.000,00 20 50 15.000,00 43,2 21.480,00 500 131.880,00 Tec. Enferm. Contratado 9 1.000,00 10 9.900,00 43,2 14.176,80 900 90.460,80 Ag.Com.Saúde Contr. 54 350,00 18.900,00 43,2 27.064,80 5400 194.788,80 Coordenador 1 3.000,00 50 4.500,00 43,2 6.444,00 100 39.264,00 CUSTO TOTAL 1º SEM.2004 652.713,60 Especificação PROPOSTA DA LEI 1º Semestre de 2004 Qt. Unitário Especializ. Residência Encargos 13º VALOR % valor % Valor % Valor Salário TOTAL DA REDE Médicos da Rede 4 3.000,00 20 50 18.000,00 14.887,60 1.240,63 96.769,40 Enfermeiros da Rede 4 2.000,00 20 50 12.000,00 8.887,60 740,63 57.769,40 Coordenador 1 3.000,00 50 4.500,00 3.721,90 310,16 24.192,35 CUSTO TOTAL 1º SEM.2004 178.731,15 CUSTO TOTAL DA LEI NO 1º SEM2004 831.444,75 Especificação PROPOSTA DOS TRABALHADORES 1º Semestre de 2004 Qt Unitário Especializ. Residência Encargos Vale VALOR % valor % Valor % Valor Refeição TOTAL CONTRATADOS Profissionais Contratados 6 3.000,00 67 30.060,00 43,2 43.045,92 600,00 261.875,52 Profissionais Contratados 5 3.000,00 34 20.100,00 43,2 28.783,20 500,00 175.699,20 Tec. Enferm. Contratado 9 1.100,00 10 10.890,00 43,2 15.594,48 900,00 98.966,88 Ag.Com.Saúde Contr. 54 350,00 18.900,00 43,2 27.064,80 5.400,00 194.788,80 CUSTO TOTAL 1º SEM.2004 731.330,40
  • 240.
    238 Especificação PROPOSTA DOS TRABALHADORES 1º Semestre de 2004 Qt Unitário Especializ. Residência Encargos 13º VALOR % valor % Valor % Valor Refeição TOTAL DA REDE Profissionais da Rede 3 3.000,00 67 15.030,00 12.695,70 1.057,98 82.522,05 Profissionais da Rede 6 3.000,00 34 24.120,00 19.451,40 1.620,95 126.434,10 CUSTO TOTAL 1º SEM.2004 208.956,15 CUSTO TOTAL DA LEI NO 1º SEM2004 940.286,55 R E S U M O ESPECIFICAÇÃO CUSTO FEDERAL ESTADUAL MUNICIPAL Contrapart. Custo total da proposta da Lei 831.444,75 285.768,00 108.000,00 437.676,75 52,64% Custo total da prop. Trabalhadores 940.286,55 285.768,00 108.000,00 546.518,55 58,08% Diferença = 5,44% DAS EXPERIÊNCIAS EM ANDAMENTO: entramos em contato com o secretário de saúde de Alegrete, que nos informou que atualmente paga para seus médicos R$ 5.000,00 e para seus enfermeiros R$ 3.800,00. A experiência tem dado tanto retorno para o município que com a entrada dos cirurgiões-dentistas no PSF, o município promoverá a isonomia para todos os profissionais de nível superior do programa (médicos, enfermeiros e cirurgiões-dentistas). ISTO POSTO, a presente comissão envia esta proposta, simultaneamente, aos órgãos municipais executivos, legislativos e deliberativos, na certeza da análise e aprovação, tendo em vista que a não aprovação da isonomia e dos valores contidos nesta proposta comprometeriam todas as possibilidades de retorno mencionadas na argumentação. Acreditamos que a complexidade das ações necessárias para a saúde de Santa Maria só podem ser realizadas numa proposta que paute a isonomia, a valorização da formação profissional e, principalmente o consenso municipal. Santa Maria, 3 de dezembro de 2003. Adriane Fleig Kraemer Márcia Dias Vianna Médica Enfermeira Carlos André Aita Schmitz Médico Márcia Helena Bolson Radins Médica Ivan Porciúncula Jr. Cirurgião-dentista Maria Lúcia Prestes Jonhy Airton Pereira Xavier Enfermeira Médico
  • 241.
    239 ANEXO G – DECLARAÇÃO DE ALMA-ATA Retirado de: http://www.dhnet.org.br/direitos/sip/onu/saude/almaata.htm em 23/11/2005 A conferência Internacional sobre Cuidados Primários de Saúde, reunida em Alma- Ata aos doze dias do mês de setembro de mil e novecentos e setenta e oito, expressando a necessidade de ação urgente de todos os governos, de todos os que trabalham nos campos da saúde e do desenvolvimento e da comunidade mundial, para proteger e promover a saúde e do desenvolvimento e da comunidade mundial, para proteger e promover a saúde de todos os povos do mundo, formula a seguinte Declaração: I A Conferência reafirma enfaticamente que a saúde - estado de completo bem-estar físico, mental e social, e não simplesmente a ausência de doença ou enfermidade - é um direito humano fundamental, e que a consecução do mais alto nível possível de saúde é a mais importante meta social mundial, cuja realização requer a ação de muitos outros setores sociais e econômicos, além do setor da saúde. II A chocante desigualdade existente no estado dos povos, particularmente entre os países desenvolvimentos e em desenvolvimento, assim como dentro de países, é política, social e economicamente inaceitável, e constitui por isso objeto da preocupação comum de todos os países. III O desenvolvimento econômico e social baseado numa ordem econômica internacional é de importância fundamental para a mais plena realização da meta de saúde para todos e para a redução da lacuna entre o estado de saúde dos países em desenvolvimento e dos desenvolvidos. A promoção e proteção da saúde dos povos é essencial para o contínuo desenvolvimento econômico e social e contribui para a melhor qualidade da vida e para a paz mundial. IV É direito e dever dos povos participar individual e coletivamente no planejamento e na execução de seus cuidados de saúde. V Os governos têm pela saúde de seus povos uma responsabilidade que só pode ser realizada mediante adequadas medidas sanitárias e sociais. Uma das principais metas sociais dos governos, das organizações internacionais e toda a comunidade mundial na próxima década deve ser a de que todos os povos do mundo, até o ano
  • 242.
    240 2000, atinjam umnível de saúde que lhes permita levar uma vida social e economicamente produtiva. Os cuidados primários de saúde constituem a chave para que essa meta seja atingida, como parte do desenvolvimento, no espírito da justiça social. VI Os cuidados primários da saúde são cuidados essenciais de saúde baseados em métodos e tecnologias práticas, cientificamente bem fundamentadas e socialmente aceitáveis, colocadas alcance universal de indivíduos e famílias da comunidade, mediante sua plena participação e a um custo que a comunidade e o país pode manter em cada fase de seu desenvolvimento, no espírito de autoconfiança e autodeterminação. Fazem parte integrante tanto do sistema de saúde do país, do qual constituem a função central e o foco principal, quanto do desenvolvimento social e econômico global da comunidade. Representam o primeiro nível de contato com os indivíduos, da família e da comunidade com o sistema nacional de saúde pelo qual os cuidados de saúde são levados o mais proximamente possível aos lugares onde pessoas vivem e trabalham, e constituem o primeiro elemento de um continuado processo de assistência à saúde. VII Os cuidados primários de saúde: 1. Refletem, e a partir delas evoluem, as condições econômicas e as características sócio-culturais e políticas do país e de suas comunidades, e se baseiam na aplicação dos resultados relevantes da pesquisa social, biomédica e de serviços da saúde e da experiência em saúde pública. 2. Têm em vista os problemas de saúde da comunidade, proporcionando serviços de promoção, prevenção, cura e reabilitação, conforme as necessidades. 3. Incluem pelo menos: educação no tocante a problemas prevalecentes de saúde e aos métodos para sua prevenção e controle, promoção da distribuição de alimentos e da nutrição apropriada, provisão adequada de água de boa-qualidade e saneamento básico, cuidados de saúde materno-infantil, inclusive planejamento familiar, imunização contra as principais doenças infecciosas, prevenção e controle de doenças localmente endêmicas, tratamento apropriado de doenças e lesões comuns e fornecimento de medicamentos essenciais. 4.Envolvem, além do setor, todos os setores e aspectos correlatos do desenvolvimento nacional e comunitário, mormente a agricultura, a pecuária, a produção de alimentos, a indústria, a habitação, as obras públicas, as comunicações e outros setores e requerem os esforços coordenados de todos os setores. 5. Requerem e promovem a máxima autoconfiança e participação comunitária e individual no planejamento, organização, operação e controle dos cuidados primários de saúde, fazendo o mais pleno uso possível de recursos disponíveis, locais, nacionais e outros, e para esse fim desenvolvem, através da educação apropriada, a capacidade de participação das comunidades.
  • 243.
    241 6. Devem serapoiados por sistemas de referências integrados, funcionais e mutuamente amparados, levando à progressiva melhoria dos cuidados gerais de saúde para todos e dando prioridade aos que têm mais necessidade. 7.Baseiam-se, aos níveis local e de encaminhamento, nos que trabalham no campo da saúde, inclusive médicos, enfermeiras, parteiras, auxiliares e agentes comunitários, conforme seja necessário, convenientemente treinados para trabalhar, social e tecnicamente, ao lado da equipe de saúde e para responder às necessidades expressas da saúde da comunidade. VIII Todos os governos devem formular políticas, estratégias e planos nacionais de ação, para lançar e sustentar os cuidados primários de saúde em coordenação com outros setores. Para esse fim, será necessário agir com vontade política, mobilizar os recursos do país e utilizar racionalmente os recursos externos disponíveis. IX Todos os países devem cooperar, num espírito de comunidade e serviço para assegurar os cuidados primários de saúde a todos os povos, uma vez que a consecução da saúde do povo de qualquer país interessa e beneficia diretamente todos os outros países. Nesse contexto, o relatório da OMS/UNICEF sobre cuidados primários de saúde constitui sólida base para o aprimoramento adicional e a operação dos cuidados primários de saúde em todo o mundo. X Poder-se-á atingir um nível aceitável de saúde para todos os povos do mundo até o ano 2000 mediante o melhor e mais completo uso dos recursos mundiais, dos quais uma parte considerável é atualmente gasta em armamentos e conflitos militares. Uma política legítima de independência, paz, distensão e desarmamento pode e deve liberar recursos adicionais, que podem ser destinados a fins pacíficos, e em particular à aceleração do desenvolvimento social e econômico, do qual os cuidados primários de saúde, como parte essencial, devem receber sua parcela apropriada. A Conferência Internacional sobre Cuidados Primários de Saúde concita à ação internacional e nacional urgente e eficaz, para que os cuidados primários de saúde sejam desenvolvidos e aplicados em todo o mundo, e particularmente nos países em desenvolvimento, num espírito de cooperação técnica e em consonância com a nova ordem econômica internacional. Exorta os governos, a OMS e o UNICEF, assim como outras organizações internacionais bem como entidades multifacetadas e bilaterais, organizações não governamentais, agências financeiras, todos os que trabalham no campo da saúde e toda comunidade mundial a apoiar um compromisso nacional e internacional para com os cuidados primários de saúde e a canalizar maior volume de apoio técnico e financeiro para esse fim, particularmente nos países em desenvolvimento. A conferência concita todos eles a colaborar para que os cuidados primários de saúde sejam introduzidos, desenvolvidos e mantidos, de acordo com a letra e espírito desta declaração.
  • 244.