Aula 2
Vazão, Teorema do transporte de Reynolds e
Equação da Continuidade.
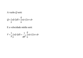
1)Conceito de Vazão
Seja S uma superfície estacionária qualquer no espaço. Sobre S temos
um elemento de área infinitesimal dS caracterizado por um versor
normal n

e em cujo centróide temos o vetor da velocidade 

.
Ao longo de um intervalo t
 um volume de fluido 
 passa através do
elemento superficial dS. O volume 
 é igual à área de sua base
multiplicada por sua altura. Assim:
dS
H



A altura H é igual à projeção na direção normal ao elemento de área dS
do produto entre o vetor da velocidade e o intervalo de tempo t
 . Assim:
t
n
H 



.

Logo, o volume 
 é dado por:
dS
t
n 




.


O volume de fluido por unidade de tempo que instantaneamente
atravessa o elemento superficial dS é dado por:
dS
n
t
dQ


.






Chamamos dQ de vazão volumétrica, fluxo de volume ou simplesmente
vazão. dQ é a vazão volumétrica através de dS. A vazão volumétrica
total através da superfície S será:


S
dS
n
Q


.

Dimensionalmente,   1
3 
 T
L
Q e sua unidade SI é m3
/s.
A velocidade média V sobre uma superfície S é dada pela divisão entre a
vazão Q e a área superficial S. Assim:



S
dS
n
S
S
Q
V


.
1

Assim como temos uma vazão volumétrica que representa a quantidade
de volume de fluido por unidade de tempo que atravessa
instantaneamente a superfície S, podemos falar em vazão em massa
quando queremos saber a quantidade de massa de fluido por unidade de
tempo que atravessa instantaneamente a superfície S. O volume 
 tem
uma massa dada por 
 

m , onde  é a massa específica.
Assim, a vazão em massa através de dS é dada por:
dS
n
t
m
m
d


 .






E a vazão em massa ou fluxo de massa através da superfície S é dada
por:


S
dS
n
m


 .


Dimensionalmente,   1

 T
M
m
 e sua unidade SI é kg/s.
Assim como temos um fluxo de massa através de uma superfície,
podemos ter também fluxos de Energia Cinética e Quantidade de
movimento.
O fluxo de Energia Cinética C através da superfície S é dado por:


S
dS
n
C


.
2
2



Em termos dimensionais,   3
2 
 T
ML
C e sua unidade SI é J/s ou W.
O fluxo de Quantidade de Movimento 

é dado por:


S
dS
n




.




Em termos dimensionais,   2

MLT
 e sua unidade SI é N.
Generalizando, o fluxo  de uma grandeza física N qualquer, inerente a
uma certa quantidade de massa de fluido (propriedade extensiva, ou
seja, depende da extensão da massa da amostra) pode ser representado
por:
dS
n
S
N


.






Onde  é a grandeza N por unidade de massa do fluido (propriedade
intensiva, ou seja, não depende da massa da amostra).
N  N

massa m 1 m

Energia
Cinética 2
2

m
2
2
 C
Quantidade de
Movimento


m 





S
dS
n
m


 .

 

S
dS
n
C


.
2
2





S
dS
n




.




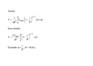
Exemplo: Em condutos industriais de seção circular, o perfil de
velocidades é dado por:
 
7
/
1
max 1 







R
r
V
r

Onde Vmax é a velocidade na linha de centro, r é uma coordenada radial e
R é o raio do conduto. Obtenha uma expressão para a velocidade média
V.
Solução: Se tomarmos um elemento de coroa de círculo de espessura
infinitesimal dr e área dr
r
dS 
2
 , poderemos considerar a velocidade
constante sobre o elemento. Assim, sobre esse elemento de área:
  dr
r
r
dS
r
dQ 

 2
)
(


A vazão Q será:
  



R
S
dr
r
r
dS
r
Q
0
2
)
( 


E a velocidade média será:
  



R
S
dr
r
r
R
dS
r
S
V
0
2
2
)
(
1
1




Assim:
 







R
dr
r
R
r
V
R
V
0
7
/
1
max
2
2
1
1


Isso resulta:
 







R
dr
r
R
r
R
V
V
0
7
/
1
2
max 1
2
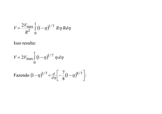
Fazendo
R
r

 , 
d
R
dr  :
 
 

1
0
7
/
1
2
max 1
2


 Rd
R
R
V
V
Isso resulta:
 
 

1
0
7
/
1
max 1
2 

 d
V
V
Fazendo     








 7
/
8
7
/
1
1
8
7
1 
 
d
d :
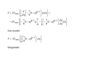
 
   










 
























 








1
0
7
/
8
1
0
7
/
8
max
1
0
7
/
8
max
1
8
7
1
8
7
2
1
8
7
2










d
d
d
V
d
d
d
V
V
Isso resulta:
 






 







1
0
7
/
8
max 1
8
7
2 
 d
V
V
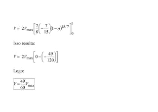
Integrando:
 
1
0
7
/
15
max 1
15
7
8
7
2 













 
V
V
Isso resulta:















120
49
0
2 max
V
V
Logo:
max
60
49
V
V 
2) Teorema do Transporte de Reynolds
Seja uma grandeza extensiva N(t) qualquer relacionada com uma certa
quantidade de massa m de um volume de fluido móvel e deformável
)
(t
 . Podemos dizer que N é dado por:
 

 )
(
)
(
t
d
t
N 

Suponha agora que, no instante t, o volume de fluido )
(t
 ocupa uma
posição no espaço coincidente com um volume arbitrário )
(t
C
 ,
também móvel e deformável. O contorno de )
(t
C
 é chamado de
Superfície de controle )
(t
SC .
Entre os pontos da superfície do volume )
(t
 e da superfície )
(t
SC do
volume de controle )
(t
C
 existe uma diferença de velocidade, ou seja, o
volume )
(t
 tem uma velocidade relativa r


em relação ao volume
)
(t
C
 .
Devido a essa velocidade relativa entre os dois volumes, em t
t 
 eles
não serão mais coincidentes.
Suponha agora que queremos estudar a variação temporal da grandeza N
da massa móvel de fluido. Assim:
t
t
N
t
t
N
dt
dN
t 






)
(
)
(
lim
0
Isso pode ser escrito como:
t
d
d
dt
dN t
t
t
t 
 

 







)
(
)
(
0
lim



Isso resulta:
t
d
d
dt
dN t
t 
 

 







)
(
0
3
2
lim



Vamos agora somar e subtrair na expressão acima o termo
t
d

 
1


:











 


 


 

 








 t
d
t
d
t
d
d
dt
dN t
t
1
2
3
1 )
(
0
lim






Lembrando que )
(
3
1 t
t
C 





 e :
)
(
)
( t
C
t 













 


 


 

 








 t
d
t
d
t
d
d
dt
dN t
C
t
t
C
t
1
2
)
(
)
(
0
lim






O primeiro termo representa a variação temporal da grandeza C
N não
mais da massa móvel de fluido, mas do volume de controle C
 :
 




 

 






 )
(
)
(
)
(
0
lim
t
C
t
C
t
t
C
t
d
t
t
d
d




O segundo termo representa a quantidade da grandeza N que deixou o
volume de controle através da superfície S2 por unidade de tempo.
Portanto, é o fluxo da grandeza N para fora do volume de controle
através de S2:
dS
n
t
d
S
r
t
2
0
.
lim
2
2 




 







O terceiro termo representa a quantidade da grandeza N que entrou no
volume de controle através da superfície S1 por unidade de tempo.
Portanto, é o fluxo da grandeza N para dentro do volume de controle
através de S1:
dS
n
t
d
S
r
t
1
0
.
lim
1
1 




 








O sinal negativo se deve ao fato de que o sentido da velocidade relativa
sobre a superfície S1 aponta para dentro do volume, enquanto 1
n

aponta
para fora, portanto o produto escalar será negativo.
Como a soma das superfícies S1 e S2 é a própria superfície de controle
do fluido:
dS
n
d
t
dt
dN
t
SC
r
t
C


 



 )
(
)
(
.





Se o volume de controle for estacionário a velocidade relativa entre
fluido e volume de controle será a própria velocidade absoluta,
resultando:
dS
n
d
t
dt
dN
SC
C


 






.



3)Equação da Continuidade ou Conservação da Massa
Se aplicarmos o Teorema do Transporte de Reynolds para uma massa
móvel e fixa de fluido em movimento ( o que chamamos de sistema) de
modo que N=m e 1

 , teremos, por definição:
0

dt
dm
0
. 


 



dS
n
d
t SC
C





Esta última equação é a chamada Equação da Continuidade ou Equação
da Conservação da Massa.
Essa equação admite uma série de simplificações:
a)Regime Permanente: em cada volume elementar 
d a massa
específica permanece constante ao longo do tempo. Isso significa que:
0

 


C
d
t

A equação da continuidade se resume a:
0
. 
 dS
n
SC




Como temos uma superfície lateral impermeável, só teremos fluxos de
massa através das superfícies S1 e S2:
0
.
.
2
1



 dS
n
dS
n
S
S








Na superfície S2 o produto escalar 


.
n é positivo e na superfície S1 é
negativo. Assim:
0
1
2 
m
m 

Se a massa específica for uniforme nas superfícies S1 e S2, podemos
escrever Q
m 

 e teremos:
1
1
2
2 Q
Q 
 
b)Escoamento Incompressível
Nesse caso a massa específica é constante no tempo e uniforme no
espaço, e a equação da continuidade resulta:
0
. 
 dS
n
SC



Para o volume de controle ilustrado na última figura:
0
.
.
2
1



 dS
n
dS
n
S
S






Resultando:
1
2 Q
Q 
Ou:
1
1
2
2 S
V
S
V 
Exercício: Na seção (1), temos um perfil de velocidades do tipo:
 
7
/
1
max 1 







R
r
V
r

Onde Vmax = 0,122 m/s. O conduto é circular, com D1=0,5m e D2=0,1m.
Calcule a velocidade média na seção (2) considerando escoamento
incompressível.
Solução:
Para um escoamento incompressível da continuidade temos que:
2
2
1
1
2
1 S
V
S
V
Q
Q 


De exercício anterior,

 max
1
60
49
V
V m/s
100
,
0
122
,
0
60
49
1 


V
Da equação da continuidade:
2
2
1
1
2
2
2
2
2
1
1
4
4









D
D
V
V
D
V
D
V


Assim:









2
2
1
,
0
5
,
0
100
,
0
V m/s
5
,
2
2 
V
Exercício: Um foguete queima  kg/s de combustível. Se mo é a massa
inicial de combustível do foguete, S é a área do bocal de saída dos gases,
 é a densidade dos gases no bocal e V é a velocidade relativa de saída
dos gases em relação ao foguete, obtenha uma expressão para V.
Solução: da continuidade, 0
.
)
(
)
(



 



dS
n
d
t t
SC
r
t
C




 .
A primeira integral representa a massa do C
 .Assim:
0
.
)
(




  dS
n
t
m
t
SC
r
C 



Mas a massa do volume de controle é dada por:
t
m
m o
C 



Assim:
0
0
.
)
(








  VS
dS
n
t
m
t
SC
r
C 





Que resulta:
S
V



Bibliografia:
Bistafa, S.R., “Mecânica dos Fluidos, Noções e Aplicações”, 2ª Edição,
Ed. Blucher, 2016.
White, F.M., “Mecânica dos Fluidos”, 5º edição, Ed. McGraw Hill,
2010.
Potter, M.C.; Wiggert, D.C., “Mecânica dos Fluidos”, Ed. Thomson
Learning, 2004.

Aula_2_Vazao_Continuidade.pdf

  • 1.
    Aula 2 Vazão, Teoremado transporte de Reynolds e Equação da Continuidade.
  • 2.
    1)Conceito de Vazão SejaS uma superfície estacionária qualquer no espaço. Sobre S temos um elemento de área infinitesimal dS caracterizado por um versor normal n  e em cujo centróide temos o vetor da velocidade   .
  • 3.
    Ao longo deum intervalo t  um volume de fluido   passa através do elemento superficial dS. O volume   é igual à área de sua base multiplicada por sua altura. Assim: dS H    A altura H é igual à projeção na direção normal ao elemento de área dS do produto entre o vetor da velocidade e o intervalo de tempo t  . Assim: t n H     .  Logo, o volume   é dado por: dS t n      .  
  • 4.
    O volume defluido por unidade de tempo que instantaneamente atravessa o elemento superficial dS é dado por: dS n t dQ   .       Chamamos dQ de vazão volumétrica, fluxo de volume ou simplesmente vazão. dQ é a vazão volumétrica através de dS. A vazão volumétrica total através da superfície S será:   S dS n Q   .  Dimensionalmente,   1 3   T L Q e sua unidade SI é m3 /s.
  • 5.
    A velocidade médiaV sobre uma superfície S é dada pela divisão entre a vazão Q e a área superficial S. Assim:    S dS n S S Q V   . 1  Assim como temos uma vazão volumétrica que representa a quantidade de volume de fluido por unidade de tempo que atravessa instantaneamente a superfície S, podemos falar em vazão em massa quando queremos saber a quantidade de massa de fluido por unidade de tempo que atravessa instantaneamente a superfície S. O volume   tem uma massa dada por     m , onde  é a massa específica.
  • 6.
    Assim, a vazãoem massa através de dS é dada por: dS n t m m d    .       E a vazão em massa ou fluxo de massa através da superfície S é dada por:   S dS n m    .   Dimensionalmente,   1   T M m  e sua unidade SI é kg/s.
  • 7.
    Assim como temosum fluxo de massa através de uma superfície, podemos ter também fluxos de Energia Cinética e Quantidade de movimento. O fluxo de Energia Cinética C através da superfície S é dado por:   S dS n C   . 2 2    Em termos dimensionais,   3 2   T ML C e sua unidade SI é J/s ou W.
  • 8.
    O fluxo deQuantidade de Movimento   é dado por:   S dS n     .     Em termos dimensionais,   2  MLT  e sua unidade SI é N.
  • 9.
    Generalizando, o fluxo de uma grandeza física N qualquer, inerente a uma certa quantidade de massa de fluido (propriedade extensiva, ou seja, depende da extensão da massa da amostra) pode ser representado por: dS n S N   .       Onde  é a grandeza N por unidade de massa do fluido (propriedade intensiva, ou seja, não depende da massa da amostra).
  • 10.
    N  N  massam 1 m  Energia Cinética 2 2  m 2 2  C Quantidade de Movimento   m       S dS n m    .     S dS n C   . 2 2      S dS n     .    
  • 11.
    Exemplo: Em condutosindustriais de seção circular, o perfil de velocidades é dado por:   7 / 1 max 1         R r V r  Onde Vmax é a velocidade na linha de centro, r é uma coordenada radial e R é o raio do conduto. Obtenha uma expressão para a velocidade média V.
  • 12.
    Solução: Se tomarmosum elemento de coroa de círculo de espessura infinitesimal dr e área dr r dS  2  , poderemos considerar a velocidade constante sobre o elemento. Assim, sobre esse elemento de área:   dr r r dS r dQ    2 ) (  
  • 13.
    A vazão Qserá:       R S dr r r dS r Q 0 2 ) (    E a velocidade média será:       R S dr r r R dS r S V 0 2 2 ) ( 1 1    
  • 14.
    Assim:          R dr r R r V R V 0 7 / 1 max 2 2 1 1   Isso resulta:         R dr r R r R V V 0 7 / 1 2 max 1 2 Fazendo R r   ,  d R dr  :
  • 15.
         1 0 7 / 1 2 max1 2    Rd R R V V Isso resulta:      1 0 7 / 1 max 1 2    d V V Fazendo               7 / 8 7 / 1 1 8 7 1    d d :
  • 16.
                                                       1 0 7 / 8 1 0 7 / 8 max 1 0 7 / 8 max 1 8 7 1 8 7 2 1 8 7 2           d d d V d d d V V Isso resulta:                  1 0 7 / 8 max 1 8 7 2   d V V Integrando:
  • 17.
      1 0 7 / 15 max 1 15 7 8 7 2                V V Isso resulta:                120 49 0 2 max V V Logo: max 60 49 V V 
  • 18.
    2) Teorema doTransporte de Reynolds Seja uma grandeza extensiva N(t) qualquer relacionada com uma certa quantidade de massa m de um volume de fluido móvel e deformável ) (t  . Podemos dizer que N é dado por:     ) ( ) ( t d t N   Suponha agora que, no instante t, o volume de fluido ) (t  ocupa uma posição no espaço coincidente com um volume arbitrário ) (t C  , também móvel e deformável. O contorno de ) (t C  é chamado de Superfície de controle ) (t SC .
  • 19.
    Entre os pontosda superfície do volume ) (t  e da superfície ) (t SC do volume de controle ) (t C  existe uma diferença de velocidade, ou seja, o volume ) (t  tem uma velocidade relativa r   em relação ao volume ) (t C  .
  • 20.
    Devido a essavelocidade relativa entre os dois volumes, em t t   eles não serão mais coincidentes. Suponha agora que queremos estudar a variação temporal da grandeza N da massa móvel de fluido. Assim: t t N t t N dt dN t        ) ( ) ( lim 0 Isso pode ser escrito como: t d d dt dN t t t t              ) ( ) ( 0 lim   
  • 21.
    Isso resulta: t d d dt dN t t             ) ( 0 3 2 lim    Vamos agora somar e subtrair na expressão acima o termo t d    1   :                                  t d t d t d d dt dN t t 1 2 3 1 ) ( 0 lim      
  • 22.
    Lembrando que ) ( 3 1t t C        e : ) ( ) ( t C t                                     t d t d t d d dt dN t C t t C t 1 2 ) ( ) ( 0 lim       O primeiro termo representa a variação temporal da grandeza C N não mais da massa móvel de fluido, mas do volume de controle C  :                   ) ( ) ( ) ( 0 lim t C t C t t C t d t t d d    
  • 23.
    O segundo termorepresenta a quantidade da grandeza N que deixou o volume de controle através da superfície S2 por unidade de tempo. Portanto, é o fluxo da grandeza N para fora do volume de controle através de S2: dS n t d S r t 2 0 . lim 2 2              
  • 24.
    O terceiro termorepresenta a quantidade da grandeza N que entrou no volume de controle através da superfície S1 por unidade de tempo. Portanto, é o fluxo da grandeza N para dentro do volume de controle através de S1: dS n t d S r t 1 0 . lim 1 1                O sinal negativo se deve ao fato de que o sentido da velocidade relativa sobre a superfície S1 aponta para dentro do volume, enquanto 1 n  aponta para fora, portanto o produto escalar será negativo.
  • 25.
    Como a somadas superfícies S1 e S2 é a própria superfície de controle do fluido: dS n d t dt dN t SC r t C         ) ( ) ( .      Se o volume de controle for estacionário a velocidade relativa entre fluido e volume de controle será a própria velocidade absoluta, resultando: dS n d t dt dN SC C           .   
  • 26.
    3)Equação da Continuidadeou Conservação da Massa Se aplicarmos o Teorema do Transporte de Reynolds para uma massa móvel e fixa de fluido em movimento ( o que chamamos de sistema) de modo que N=m e 1   , teremos, por definição: 0  dt dm 0 .         dS n d t SC C     
  • 27.
    Esta última equaçãoé a chamada Equação da Continuidade ou Equação da Conservação da Massa. Essa equação admite uma série de simplificações:
  • 28.
    a)Regime Permanente: emcada volume elementar  d a massa específica permanece constante ao longo do tempo. Isso significa que: 0      C d t  A equação da continuidade se resume a: 0 .   dS n SC    
  • 29.
    Como temos umasuperfície lateral impermeável, só teremos fluxos de massa através das superfícies S1 e S2: 0 . . 2 1     dS n dS n S S         Na superfície S2 o produto escalar    . n é positivo e na superfície S1 é negativo. Assim: 0 1 2  m m   Se a massa específica for uniforme nas superfícies S1 e S2, podemos escrever Q m    e teremos: 1 1 2 2 Q Q   
  • 30.
    b)Escoamento Incompressível Nesse casoa massa específica é constante no tempo e uniforme no espaço, e a equação da continuidade resulta: 0 .   dS n SC    Para o volume de controle ilustrado na última figura: 0 . . 2 1     dS n dS n S S      
  • 31.
  • 32.
    Exercício: Na seção(1), temos um perfil de velocidades do tipo:   7 / 1 max 1         R r V r  Onde Vmax = 0,122 m/s. O conduto é circular, com D1=0,5m e D2=0,1m. Calcule a velocidade média na seção (2) considerando escoamento incompressível.
  • 33.
    Solução: Para um escoamentoincompressível da continuidade temos que: 2 2 1 1 2 1 S V S V Q Q    De exercício anterior,   max 1 60 49 V V m/s 100 , 0 122 , 0 60 49 1    V
  • 34.
    Da equação dacontinuidade: 2 2 1 1 2 2 2 2 2 1 1 4 4          D D V V D V D V   Assim:          2 2 1 , 0 5 , 0 100 , 0 V m/s 5 , 2 2  V
  • 35.
    Exercício: Um foguetequeima  kg/s de combustível. Se mo é a massa inicial de combustível do foguete, S é a área do bocal de saída dos gases,  é a densidade dos gases no bocal e V é a velocidade relativa de saída dos gases em relação ao foguete, obtenha uma expressão para V.
  • 36.
    Solução: da continuidade,0 . ) ( ) (         dS n d t t SC r t C      . A primeira integral representa a massa do C  .Assim: 0 . ) (       dS n t m t SC r C     Mas a massa do volume de controle é dada por: t m m o C    
  • 37.
    Assim: 0 0 . ) (           VS dS n t m t SC r C      Que resulta: S V   
  • 38.
    Bibliografia: Bistafa, S.R., “Mecânicados Fluidos, Noções e Aplicações”, 2ª Edição, Ed. Blucher, 2016. White, F.M., “Mecânica dos Fluidos”, 5º edição, Ed. McGraw Hill, 2010. Potter, M.C.; Wiggert, D.C., “Mecânica dos Fluidos”, Ed. Thomson Learning, 2004.