Fluxo bidimensional
Profa. M.Sc. Maria Valéria Mello Vieira Toniazzo
Fluxo Permanente Bidimensional
Por que estudar percolação de água?
 Importante para o dimensionamento de barragens


Obtenção da Rede de Fluxo:
• Gradientes hidráulicos (potencial de piping)
• Poropressão
• Vazão
Fluxo Permanente Bidimensional


Quando o fluxo de água ocorre sempre na mesma
direção, como no caso dos permeâmetros diz-se que o
fluxo é unidimensional. Sendo uniforme a areia, a
direção do fluxo e o gradiente são constantes em
qualquer ponto.



Nos fluxos unidirecionais (vertical ou horizontal), para
calcular a vazão de percolação através de um solo
aplica-se diretamente a lei de Darcy:
Q = v ×A = k × i × A
Fluxo Permanente Bidimensional


Quando as partículas de água se deslocam segundo
qualquer direção, o fluxo é tridimensional. A migração
de água para um poço é um exemplo de fluxo
tridimensional de interesse para a engenharia.



Quando as partículas de água seguem caminhos
curvos, mas paralelos, o fluxo é bidimensional (caso
da percolação pelas fundações de uma barragem).
Fluxo Permanente Bidimensional


Equação de Laplace

 2 ht
 2 ht
 2 ht
1  S
e 
kx 2 2  k y 2 2  kz 2 2 
e  S 
 x
 y
 z 1  e  t
t 


Onde: kx, ky, kz = Coeficiente de permeabilidade nas respectivas
direções;


ht = carga total no ponto considerado;



x,y,z = direção de fluxo;



e = índice de vazios;



S = grau de saturação;



t = tempo.
Equação de Laplace


A equação da Laplace é muito conhecida no meio
matemático e conseqüentemente na engenharia. A
solução da equação de Laplace são dois grupos de
curvas ortogonais entre si.



No caso de Fluxo:





Curvas – Linhas de fluxo;
Curvas – Linhas equipotenciais.

O conjunto das linhas de fluxo e equipotenciais é
denominado de rede de fluxo.
Rede de Fluxo


A rede de fluxo é a solução gráfica da
equação de Laplace, composta de dois
grupos de curvas perpendiculares entre si,
formando quadrados curvilíneos.
Dados extraídos da Rede de Fluxo


Determinação da vazão total em uma região de fluxo.
l.e.

l.e.

l.e.

l.e.

l.e.

l.e. Linhas equipotencias
lf
dQ
lf

Canal de Fluxo

dQ
lf

Q

dQ
lf
dQ
lf
Dh

Dh

Dh

Dh

Dh

Linhas de fluxo

h
Dados extraídos da Rede de Fluxo


Q = dQ . Nf


Onde:
 Q = vazão total
 dQ = Vazão em cada um canal de fluxo;
 nf = número de canais de fluxo.



dQ = Q / Nf



h = Dh . Nd


Onde:
 h = Diferença de carga total;
 Dh = diferença de carga entre equipotenciais;
 Nd = número de regiões entre equipotenciais.
Dados extraídos da Rede de Fluxo


Pela lei de Darcy a vazão em um canal é


dQ = k (Dh/l)A

l
b

Diferença de carga
entre equipotenciais






dQ = k.(Dh/l)b.l
Substituindo
Q/Nf = k (h / Nd l).b.l
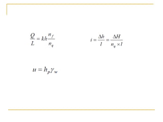
Q = k (h) Nf/Nd

(para l = b temos)
Dados extraídos da Rede de Fluxo




Determinação da carga total em um ponto
qualquer.
ht = ht início do fluxo – Dh * número de regiões
entre equipotenciais até o ponto.
Rede de fluxo
•

É a trajetória percorrida pela água no interior do maciço de solo.

Linhas de Fluxo = trajetória do fluxo
Equipotenciais = pontos com igual carga total
Linhas de Fluxo Limites = AEC/FG
Linhas Equipotenciais Limites = BA/CD
Traçado da rede de fluxo – Método Gráfico
 A perda de carga entre duas equipotenciais consecutivas e a vazão
entre duas linhas de fluxo consecutivas devem ser constantes.

Lei de Darcy no elemento i:

Conceito de rede:

Rede composta por regiões formando “quadrados”: (kv = kh = isotropia)
Exemplos de rede de fluxo
Exemplos de rede de fluxo
Exemplos de rede de fluxo
Exemplos de rede de fluxo
Exercício – Determinar a vazão que passa
no sistema
Linha equipotencial ht cte
90

40
30

0

0
100

k = 0,001 cm/seg
Exercício – Determinar a vazão que passa
no sistema
(hti  htf)
(90 - 40)
Qk
.A  0,001
.30 x1 
L
100
3
Q  0,015cm / s

/cm de extensão
Exercício – Determinar a vazão que passa
no sistema
90

Dividir como quero mas
sempre em quadrados.
40

30

0

ht é uma linha

0
90 85 80 75 70 65 60 55 50 45 40
100
k = 0,001 cm/seg
Exercício – Determinar a vazão que passa
no sistema
Nf
3
3
Qkh
 0,00190 - 40  .  0,015 cm / s
Nd
10
nf = número de canais de fluxo;
 nd = número de regiões entre equipotenciais.


Valida as duas equações!!!
Exemplo: Qual a seção
mais indicada

Linhas equipotenciais com
mesma carga
4 canais de fluxo e 12
regiões equipotenciais
Linhas de fluxo (da água)
Exemplo:
Rede de fluxo na fundação da barragem de concreto


Vazão é determinada
pela fórmula:

Qkh

Nf
ND
Exemplo: Qual a seção
mais indicada


No exemplo considerado, existem 4 canais de fluxo e 12
faixas de perda de potencial. Para um k =10-4 m/s, por
exemplo, Q = 10-4 x 6 x 4/12 = 2 x 10-4 m3/s (cerca de
0,72m3/hora) por metro de comprimento de barragem.


GRADIENTES:
a diferença de carga total que provoca percolação, dividida pelo
número de faixas de perda de potencial, indica a perda de carga de
uma equipotencial para a seguinte.

No exemplo considerado, a perda de carga entre equipotenciais
consecutivas é de 6/12 = 0,5 m, Esta perda de carga dividida entre as
equipotenciais é o gradiente.
Para o sistema de fluxo abaixo calcular a vazão que passa pela fundação.

ht = 12,7m

3,70m

ht = 10,0m

1,0m

9,00m

Qkh

Nf
ND

K=1x10-4 m/s

 4   1,35x10  4m3 / s
4
 10 .12,7  10 . 
8
Determinar qual a vazão através da fundação por unidade de comprimento
longitudinal da barragem.
Qual o valor do gradiente hidráulico no quadrado X.
Qual o valor da poropressão nos pontos A, B e C.
Sabe-se que o coeficiente de permeabilidade do solo da fundação é igual a
10-3 cm/s.
A seção transversal de uma barragem está mostrada na Figura 67. Determinar a
vazão sob a barragem e plotar a distribuição da subpressão na base da mesma. O
coeficiente de permeabilidade do solo da fundação é 2,5x10-5m/s.
Condições de Contorno
Essas condições estão diretamente ligadas à geometria do problema.
A determinação das fronteiras dos problemas de fluxo é fator preponderante
para a definição da rede de fluxo.
Os problemas de fluxo podem ser classificados (em relação às fronteiras) em
problemas de fluxo confinado e problemas de fluxo não-confinado.
Condições de Contorno
Fluxo confinado
Neste caso, as fronteiras estão bem definidas.
Sabe-se que o fluxo se dará na região ABCDEFG, estando assim as condições
de contorno pré-fixadas.
Condições de Contorno
Fluxo confinado
Neste caso, uma parte das fronteiras necessita ser pré-determinada de modo a
se resolver o problema.
A linha BCD não é conhecida a priori, devendo assim ser determinada antes da
resolução do problema.
Condições de Contorno
Uma vez definidos os 2 tipos de problema (fluxo confinado
e fluxo não-confinado), tem-se 4 tipos de condições de
contorno geralmente encontrados:

superfície impermeável
superfície em contato com o líquido
superfície livre de fluxo
linha freática
Superfície impermeável

Assim, as linhas equipotenciais são perpendiculares à superfície impermeável.
As superfícies normalmente encontradas são aquelas que delimitam os
contatos solo-rocha, solo-concreto e solo-metal, além dos contatos entre solos
com coeficientes de permeabilidade bastante distintos.
Superfície em contato com o líquido

As linhas ABC e DEF definem superfícies em contato com o líquido.
Se para qualquer ponto a carga total é a mesma, então ABC é uma
equipotencial. O mesmo se aplica para a superfície DEF.
Logo, as superfícies em contato com o líquido constituem equipotenciais.
Superfície livre de fluxo

CD define uma superfície livre de fluxo.
Dessa forma, a carga total varia linearmente com a altura, portanto CD não é
uma equipotencial.
Como as linhas de fluxo encontram CD, então CD também não é uma linha de
fluxo.
Linha freática

A linha freática é a fronteira superior da região por onde se processa o fluxo.
É a linha de fluxo superior do meio, ao longo da qual a carga piezométrica é
nula (só existe carga de elevação).

2 fluxo bidimensional novo

  • 1.
    Fluxo bidimensional Profa. M.Sc.Maria Valéria Mello Vieira Toniazzo
  • 2.
    Fluxo Permanente Bidimensional Porque estudar percolação de água?  Importante para o dimensionamento de barragens  Obtenção da Rede de Fluxo: • Gradientes hidráulicos (potencial de piping) • Poropressão • Vazão
  • 3.
    Fluxo Permanente Bidimensional  Quandoo fluxo de água ocorre sempre na mesma direção, como no caso dos permeâmetros diz-se que o fluxo é unidimensional. Sendo uniforme a areia, a direção do fluxo e o gradiente são constantes em qualquer ponto.  Nos fluxos unidirecionais (vertical ou horizontal), para calcular a vazão de percolação através de um solo aplica-se diretamente a lei de Darcy: Q = v ×A = k × i × A
  • 4.
    Fluxo Permanente Bidimensional  Quandoas partículas de água se deslocam segundo qualquer direção, o fluxo é tridimensional. A migração de água para um poço é um exemplo de fluxo tridimensional de interesse para a engenharia.  Quando as partículas de água seguem caminhos curvos, mas paralelos, o fluxo é bidimensional (caso da percolação pelas fundações de uma barragem).
  • 7.
    Fluxo Permanente Bidimensional  Equaçãode Laplace  2 ht  2 ht  2 ht 1  S e  kx 2 2  k y 2 2  kz 2 2  e  S   x  y  z 1  e  t t   Onde: kx, ky, kz = Coeficiente de permeabilidade nas respectivas direções;  ht = carga total no ponto considerado;  x,y,z = direção de fluxo;  e = índice de vazios;  S = grau de saturação;  t = tempo.
  • 8.
    Equação de Laplace  Aequação da Laplace é muito conhecida no meio matemático e conseqüentemente na engenharia. A solução da equação de Laplace são dois grupos de curvas ortogonais entre si.  No caso de Fluxo:    Curvas – Linhas de fluxo; Curvas – Linhas equipotenciais. O conjunto das linhas de fluxo e equipotenciais é denominado de rede de fluxo.
  • 9.
    Rede de Fluxo  Arede de fluxo é a solução gráfica da equação de Laplace, composta de dois grupos de curvas perpendiculares entre si, formando quadrados curvilíneos.
  • 10.
    Dados extraídos daRede de Fluxo  Determinação da vazão total em uma região de fluxo. l.e. l.e. l.e. l.e. l.e. l.e. Linhas equipotencias lf dQ lf Canal de Fluxo dQ lf Q dQ lf dQ lf Dh Dh Dh Dh Dh Linhas de fluxo h
  • 11.
    Dados extraídos daRede de Fluxo  Q = dQ . Nf  Onde:  Q = vazão total  dQ = Vazão em cada um canal de fluxo;  nf = número de canais de fluxo.  dQ = Q / Nf  h = Dh . Nd  Onde:  h = Diferença de carga total;  Dh = diferença de carga entre equipotenciais;  Nd = número de regiões entre equipotenciais.
  • 12.
    Dados extraídos daRede de Fluxo  Pela lei de Darcy a vazão em um canal é  dQ = k (Dh/l)A l b Diferença de carga entre equipotenciais     dQ = k.(Dh/l)b.l Substituindo Q/Nf = k (h / Nd l).b.l Q = k (h) Nf/Nd (para l = b temos)
  • 13.
    Dados extraídos daRede de Fluxo   Determinação da carga total em um ponto qualquer. ht = ht início do fluxo – Dh * número de regiões entre equipotenciais até o ponto.
  • 14.
    Rede de fluxo • Éa trajetória percorrida pela água no interior do maciço de solo. Linhas de Fluxo = trajetória do fluxo Equipotenciais = pontos com igual carga total Linhas de Fluxo Limites = AEC/FG Linhas Equipotenciais Limites = BA/CD
  • 15.
    Traçado da redede fluxo – Método Gráfico  A perda de carga entre duas equipotenciais consecutivas e a vazão entre duas linhas de fluxo consecutivas devem ser constantes. Lei de Darcy no elemento i: Conceito de rede: Rede composta por regiões formando “quadrados”: (kv = kh = isotropia)
  • 16.
  • 17.
  • 18.
  • 19.
  • 20.
    Exercício – Determinara vazão que passa no sistema Linha equipotencial ht cte 90 40 30 0 0 100 k = 0,001 cm/seg
  • 21.
    Exercício – Determinara vazão que passa no sistema (hti  htf) (90 - 40) Qk .A  0,001 .30 x1  L 100 3 Q  0,015cm / s /cm de extensão
  • 22.
    Exercício – Determinara vazão que passa no sistema 90 Dividir como quero mas sempre em quadrados. 40 30 0 ht é uma linha 0 90 85 80 75 70 65 60 55 50 45 40 100 k = 0,001 cm/seg
  • 23.
    Exercício – Determinara vazão que passa no sistema Nf 3 3 Qkh  0,00190 - 40  .  0,015 cm / s Nd 10 nf = número de canais de fluxo;  nd = número de regiões entre equipotenciais.  Valida as duas equações!!!
  • 24.
    Exemplo: Qual aseção mais indicada Linhas equipotenciais com mesma carga 4 canais de fluxo e 12 regiões equipotenciais Linhas de fluxo (da água)
  • 25.
    Exemplo: Rede de fluxona fundação da barragem de concreto  Vazão é determinada pela fórmula: Qkh Nf ND
  • 26.
    Exemplo: Qual aseção mais indicada  No exemplo considerado, existem 4 canais de fluxo e 12 faixas de perda de potencial. Para um k =10-4 m/s, por exemplo, Q = 10-4 x 6 x 4/12 = 2 x 10-4 m3/s (cerca de 0,72m3/hora) por metro de comprimento de barragem.
  • 27.
     GRADIENTES: a diferença decarga total que provoca percolação, dividida pelo número de faixas de perda de potencial, indica a perda de carga de uma equipotencial para a seguinte. No exemplo considerado, a perda de carga entre equipotenciais consecutivas é de 6/12 = 0,5 m, Esta perda de carga dividida entre as equipotenciais é o gradiente.
  • 28.
    Para o sistemade fluxo abaixo calcular a vazão que passa pela fundação. ht = 12,7m 3,70m ht = 10,0m 1,0m 9,00m Qkh Nf ND K=1x10-4 m/s  4   1,35x10  4m3 / s 4  10 .12,7  10 .  8
  • 29.
    Determinar qual avazão através da fundação por unidade de comprimento longitudinal da barragem. Qual o valor do gradiente hidráulico no quadrado X. Qual o valor da poropressão nos pontos A, B e C. Sabe-se que o coeficiente de permeabilidade do solo da fundação é igual a 10-3 cm/s.
  • 31.
    A seção transversalde uma barragem está mostrada na Figura 67. Determinar a vazão sob a barragem e plotar a distribuição da subpressão na base da mesma. O coeficiente de permeabilidade do solo da fundação é 2,5x10-5m/s.
  • 33.
    Condições de Contorno Essascondições estão diretamente ligadas à geometria do problema. A determinação das fronteiras dos problemas de fluxo é fator preponderante para a definição da rede de fluxo. Os problemas de fluxo podem ser classificados (em relação às fronteiras) em problemas de fluxo confinado e problemas de fluxo não-confinado.
  • 34.
    Condições de Contorno Fluxoconfinado Neste caso, as fronteiras estão bem definidas. Sabe-se que o fluxo se dará na região ABCDEFG, estando assim as condições de contorno pré-fixadas.
  • 35.
    Condições de Contorno Fluxoconfinado Neste caso, uma parte das fronteiras necessita ser pré-determinada de modo a se resolver o problema. A linha BCD não é conhecida a priori, devendo assim ser determinada antes da resolução do problema.
  • 36.
    Condições de Contorno Umavez definidos os 2 tipos de problema (fluxo confinado e fluxo não-confinado), tem-se 4 tipos de condições de contorno geralmente encontrados: superfície impermeável superfície em contato com o líquido superfície livre de fluxo linha freática
  • 37.
    Superfície impermeável Assim, aslinhas equipotenciais são perpendiculares à superfície impermeável. As superfícies normalmente encontradas são aquelas que delimitam os contatos solo-rocha, solo-concreto e solo-metal, além dos contatos entre solos com coeficientes de permeabilidade bastante distintos.
  • 38.
    Superfície em contatocom o líquido As linhas ABC e DEF definem superfícies em contato com o líquido. Se para qualquer ponto a carga total é a mesma, então ABC é uma equipotencial. O mesmo se aplica para a superfície DEF. Logo, as superfícies em contato com o líquido constituem equipotenciais.
  • 39.
    Superfície livre defluxo CD define uma superfície livre de fluxo. Dessa forma, a carga total varia linearmente com a altura, portanto CD não é uma equipotencial. Como as linhas de fluxo encontram CD, então CD também não é uma linha de fluxo.
  • 40.
    Linha freática A linhafreática é a fronteira superior da região por onde se processa o fluxo. É a linha de fluxo superior do meio, ao longo da qual a carga piezométrica é nula (só existe carga de elevação).