Avaliação de Riscos
Avaliação de Perigos
•Ajuda na hora de julgar os perigos
•Exemplo: A probabilidade de um cliente perder 100.000,00€
é de 0,0003 então o risco é 30. E se a probabilidade do
cliente perder 50.000,00€ é de 0,0007 então o risco é de 35.
• A definição varia dependendo de quem é a vítima da perda.
Exemplo: em um software para aviões, um piloto tende a ser
menos tolerável aos perigos do que o empregador.
Avaliação de Perigos
N. Leveson
Consequências
Catastrófico     - Morte
Crítico          - Danos sérios / Longa convalescença
Marginal         - Danos menores / Curta convalescença
Negligenciável   - Danos superficiais


Probabilidade
Frequente - Provável - Ocasional - Remoto – Improvável -Impossível
Avaliação de Perigos
Brazendale e Bell:
Consequências:
Intolerável – Um perigo não pode acontecer e caso aconteça não pode resultar em
um acidente
As low as reasonable possible (ALARP) – Probabilidade de um acidente ocorrer
deve ser minimizada levando em consideração dificuldade, custos, tempo ...
Aceitável – Deve-se evitar que surjam erros desde que isto não custe ou demore
muito.
Probabilidades:
alta – média - baixa
Técnicas
   Análise de Diagrama de Blocos
   Análise de Árvore de Eventos
   Análise de Árvore de Falhas
   Análise de Causas e Consequências
   Outras técnicas diversas
Perigos e Riscos
Faça uma lista de 10 perigos existentes no seu local de trabalho e use o sinal  para classificar o
grau de risco respectivo (baixo, médio ou elevado)

Perigo                                                Alto risco      Médio risco        Baixo risco
Análise por Diagrama de
         Blocos
         (ADB)
 Fluxograma    em blocos do sistema

 Calcula   Probabilidades de:
   Sucesso
   Falha
Identifica o comportamento lógico de
um sistema constituído por poucos
elementos
A   análise pode ser feita:
 Em paralelo
 Em série
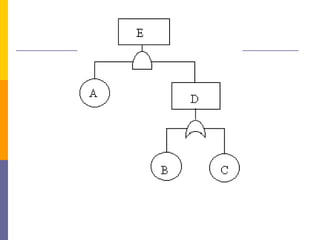
ADB em série




       Na ilustração:
       P = P(A) x P(B) x P(C)
ADB em paralelo




Q = (1 - P) =   = [(1 - P(A)) x (1 - P(B))]

                 P = 1 - [(1 - P(A)) x (1 - P(B))]
Análise de Árvore de
      Eventos
        (AAE)
 Método  lógico-dedutivo para identificar as
  várias e possíveis conseqências
  resultantes de um evento inicial
 Determina as frequências das
  consequências dos eventos indesejáveis,
  usando encadeamentos lógicos
 Parte   de um evento inicial

 Determinar   um ou mais estados

 subsequentes de falha possíveis
Etapas
a) Definir o evento inicial que pode conduzir ao acidente;
b) Definir os sistemas de segurança (acções) que podem
   amortecer o efeito do evento inicial;
c) Combinar em uma árvore lógica de decisões as várias
   sequências de acontecimentos que podem surgir a partir
   do evento inicial;
d) Uma vez construída a árvore de eventos, calcular as
   probabilidades associadas a cada ramo do sistema que
   conduz a alguma falha (acidente).
Esquema de AAE
Exemplo




  P = Pa + Pb + Pc = 0,004 + 0,001 + 0,001 = 0,006 (0,6%)
Análise de Árvore de
       Falhas
   técnica dedutiva focalizada num acidente particular fornece um
    método para determinar as causas deste acidente,
   é um modelo gráfico que dispõe várias combinações de falhas de
    equipamentos e erros humanos que possam resultar num acidente.
   uma técnica de pensamento-inverso, ou seja
        o TSHST começa com um acidente ou evento indesejável que deve
        ser evitado
       identifica as causas imediatas do evento,
       cada uma examinada até que o TSHST tenha identificado as causas
        básicas de cada evento
   árvore de falhas é um diagrama que mostra a inter-relação lógica
    entre estas causas básicas e o acidente.
   É a transformação de um sistema físico num
    diagrama lógico estruturado (a árvore de
    falhas), onde são especificados as causas que
    levam a ocorrência de um evento específico
    indesejado, chamado evento de topo.
Etapas básicas
 etapas   básicas:
   definição   do sistema,
   construção   da árvore de falhas,
   avaliação   qualitativa
   avaliação   quantitativa
   a) Selecção do evento indesejável ou falha, cuja
    probabilidade de ocorrência deve ser determinada;
   b) Revisão dos factores intervenientes: ambiente, dados
    do projecto, exigências do sistema, etc., determinando
    as condições, eventos particulares ou falhas que
    possam vir a contribuir para ocorrência do evento topo
    seleccionado;
   c) Montagem, através da representação sistemática em
    diagrama, dos eventos contribuintes e falhas levantados
    na etapa anterior, mostrando o interrelacionamento
    entre estes eventos e falhas, em relação ao evento topo.
    O processo inicia com os eventos que poderiam,
    directamente, causar tal fato, formando o primeiro nível -
    o nível básico. A medida que se retrocede, passo a
    passo, até o evento topo, são adicionadas as
    combinações de eventos e falhas contribuintes.
    Desenhada a árvore de falhas, o relacionamento entre
    os eventos é feito através das comportas lógicas;
   d) Através de Álgebra Booleana são desenvolvidas as
    expressões matemáticas adequadas, que representam
    as entradas da árvore de falhas. Cada comporta lógica
    tem implícita uma operação matemática, podendo ser
    traduzidas, em última análise, por acções de adição ou
    multiplicação;
   e) Determinação da probabilidade de falha de cada
    componente, ou seja, a probabilidade de ocorrência do
    evento topo será investigada pela combinação das
    probabilidades de ocorrência dos eventos que lhe deram
    origem
RELACIONAMENTO                                 LEI


A.1=A
A.0=0
A+0=A                                    Conjuntos complementos ou vazios
A+1=1


(Ac)c = A                         Lei de involução

A . Ac = 0
                                  Relações complementares
A + Ac = 1

A.A=A
                                  Leis de idempotência
A+A=A

A.B=B.A
                                  Leis comutativas
A+B=B+A

A . (B . C) = (A . B) . C
                                  Leis associativas
A + (B + C) = (A + B) + C

A . (B + C) = (A . B) + (A . C)
                                  Leis distributivas
A + (B . C) = (A + B) . (A + C)

A . (A + B) = A
                                  Leis de absorção
A + (A . B) = A

(A . B)c = Ac + Bc
                                  Leis de dualização ( Leis de Morgan)
(A + B)c = Ac . Bc
Análise de Causas e
  Consequências
        ACC
 Usa   as mesma técnicas da AAE e da AAF
 Inicia   com um evento inicial
 Cada     evento subsequente é questionado
Questionamento
   - Em que condições o evento induz a outros eventos?;
   - Quais as alternativas ou condições que levam a
    diferentes eventos?;
   - Que outro componentes o evento afecta?
   - Ele afecta mais do que um componente?;
   - Quais os outros eventos que este evento causa?
   Permite avaliar as consequências dos eventos
    catastróficos:
       Quantitativamente
       Qualitativamente

   Consiste em escolher um evento catastrófico:
       Parte para um lado descriminando as consequências
       Parte para o outro lado determinando as causas
Técnica para Predição do Erro
Humano - Technique for Human Error
Predicting (THERP)

   A contribuição do Erro Humano para a falha do
    sistema pode ser incluída na AAF, se as
    probabilidades de Erro Humano forem descritas
    nos mesmos termos que os componentes e as
    falhas de equipamento
Análise por Simulação Numérica
Aleatória
   Esta técnica, desenvolvida em 1974, utiliza a
    AAF como fundamento, porém, ao invés de
    atribuir um valor probabilístico para o evento,
    trabalha com um intervalo de probabilidades no
    qual a falha possa ocorrer.
Management Oversight and Risk Tree
(MORT)
   O método conhecido como MORT é uma
    técnica que usa um raciocínio semelhante ao da
    AAF, desenvolvendo uma árvore lógica, só que
    com a particularidade de ser aplicado à
    estrutura organizacional e administrativa da
    empresa, ilustrando erros ou acções
    inadequadas de administração.
Índices de Risco Dow e Mond - Relative Ranking -
Dow and Mond Indices



 baseia-se  na atribuição de penalidades e
  créditos a determinados aspectos da
  instalação
Conclusão
I Guerra Mundial

No início da I Grande Guerra, o uniforme dos soldados britânicos incluía um
boné de tecido castanho. Não tinham sido distribuídos capacetes metálicos.
À medida que a guerra se desenrolava, as autoridades militares e o Ministério
da Guerra começaram a ficar alarmados com a quantidade de soldados feridos
na cabeça. Por esse motivo, decidiram substituir os bonés de tecido por
capacetes metálicos. A partir daí, todos os soldados dispunham de capacetes
metálicos.
No entanto, o Ministério ficou espantado, pois os ferimentos na cabeça
aumentaram.
A intensidade dos combates não se alterou depois da mudança. Então por que
motivo aumentou o número de soldados feridos na cabeça em cada batalhão,
quando usavam capacetes metálicos em vez dos bonés de tecido?
R =                 X




      Prioridades
       Decisões
Conclusão
             TÉCNICA                   ANÁLISE E RESULTADOS
       Série de Riscos (SR)                    Qualitativa
Análise Preliminar de Riscos (APR)             Qualitativa
      What-if/Checklist (WIC)                  Qualitativa
Técnica de Incidentes Críticos (TIC)           Qualitativa

 Estudo de Operabilidade e Riscos
                                               Qualitativa
            (HazOp)

Análise de Modos de falha e Efeitos
                                        Qualitativa e Quantitativa
             (AMFE)

Análise de Árvore de Falhas (AAF)       Qualitativa e Quantitativa
Análise de Árvore de Eventos (AAE)      Qualitativa e Quantitativa
Tabela 1 – Técnicas para a identificação de perigos e as principais aplicações




                      Aplicação                        Checklist   What if   APP   AMFE   HazOp


Identificação   de    desvios relativos às     boas
práticas


Identificação de perigos genéricos




Identificação   das    causas     básicas   (eventos
iniciais)


Proposta de medidas para mitigar os riscos
Aceitabilidade de Riscos

      Valores:
       - sociais;
       - éticos;
       - ambientais;
       - econômicos.
Aceitabilidade de Riscos
  Caso   1:
  Instalação pode gerar um acidente a cada mil anos
  com uma morte:
  Risco = 1.0E-03 mortes/ano.
  Caso   2:
  Instalação pode gerar um acidente a cada um milhão
  de anos com mil mortes:
  Risco = 1.0E-03 mortes/ano.
Redução de Perigos
Eliminação de Perigo:
   Substituição
   Simplificação
   Desacoplamento
   Eliminação de erros humanos
   Redução de materiais ou condições perigosas
Redução de Perigos
Redução de Perigo:
 Projetar para ser controlável
       Controle incremental
       Modos intermediários
       Auxílio nas decisões
   Barreiras
       Lockout
       Lockin
       Interlock
   Minimização de defeitos
       Redundância
Redução de Perigos
projetar para ser controlável
Controle incremental
   Como em um loop, a verificação é gradual, permitindo
    que ações corretivas sejam executadas a tempo

Modos intermediários
   Diferentes níveis de funcionalidades podem ser usados
    em cada modo (Ex.: completo, reduzido e emergencial)

Auxílio nas decisões
 Interface fácil de ser usada em situações de stress
Redução de Perigos
barreiras

 Lockout
 • evita que o sistema entre em um estado de perigo (Ex: evitando
 interferência eletromagnética, limitando ações, autorizações)
 • safety X reliability

 Lockin
 • tenta fazer que o sistema mantenha-se num estado safety
 • Ex: manter objeto perigosos fora de alcance, manter substâncias tóxicas
 bem fechadas num recipiente
Redução de Perigos
barreiras
Interlocks
   força que as operações sejam feitas numa certa ordem
Exemplos:
 Evento A não pode ocorrer inadvertidamente . Para
  acionar o evento A deve-se apertar os botões A e B.
 Evento A não ocorre enquanto a condição C existir.
  Colocar um porta isolando um equipamento com alta
  voltagem. Quando a porta abrir, a corrente é cortada.
 Evento A só ocorre antes do evento D. Garantir que um
  tanque seja preenchido somente se uma válvula para
  ventilação já esteja aberta.
Redução de Perigos
minimização de defeitos


 Redundância:

 • o aumento de reliability gera aumento de safety

 • Ex.: em um avião é importante que as funções vitais
 permaneçam sempre funcionando
Conclusão

Valores   de referência

Índices   de sinistralidade
Referências
   www.safeware-eng.com
   Software Engineering – Sommerville 6ª edição
   Safe and Reliable Computer Control Systems -
    Concepts and Methods - Henrik Thane
   www.event-tree.com
   www.eps.ufsc.br/disserta96/anete/index/indx_ane.htm
Árvore de Eventos
Avaliação de Riscos
Redução de Perigo
Avaliação de Perigos

                  Região Inaceitável




                  Risco tolerável somente se a
 Região
                  redução do perigo for inaplicável
 ALARP            ou muito cara.


                  Região Aceitável

  Custos
Avaliação de Perigos
Perigos                  Probabilidade   Severidade   Risco estimado   Avaliação

Overdose                 Média           Alta         Alto             Intolerável
Insulina

Dose insuficiente        Média           Baixa        Baixo            Aceitável


Falta de energia         Alta            Baixa        Baixo            Aceitável


Interferência Elétrica   Baixa           Alta         Médio            ALARP


Quebra no paciente       Média           Média        Médio            ALARP
EXTRAS
Risco
     Medida de perda econômica e/ou de danos à
     vida humana, resultante da combinação entre as
     freqüências de ocorrência e a magnitude das
     perdas ou danos (conseqüências).
                     R = f (c, f, C)
    R = risco;
    c = cenário;
    f = freqüência de ocorrência;
    C = conseqüências (perdas/danos).
Análise de Riscos
                    Etapas
  Caracterização   do empreendimento e da
   região;
  Identificação de perigos;
  Estimativa de conseqüências;
  Estimativa de freqüências;
  Estimativa dos riscos;
  Avaliação e gerenciamento de riscos.
Caracterização do Empreendimento
                     Objetivos
   Identificar aspectos comuns que possam interferir,
    tanto no empreendimento, como no meio ambiente;
   Identificar, na região, atividades que possam
    interferir no empreendimento, sob o enfoque
    operacional e de segurança;
   Estabelecer uma relação direta entre o
    empreendimento e a região sob influência.
Identificação de Perigos

 Listasde Verificação (Checklist’s);
 Análise “E se...?” (What If...?);
 Análise Preliminar de Perigos (APP);
 Análise de Modos de Falhas e Efeitos
  (AMFE);
 Estudo de Perigos e Operabilidade
  (HazOp).
Estimativa de Consequências                  e de
Vulnerabilidade
    Modelos de simulação para a representação
     dos possíveis efeitos causados por
     vazamentos de substâncias químicas:
       - Incêndios: radiações térmicas;
       - Explosões: sobrepressões;
       - Vazamentos tóxicos: concentrações.
    Vulnerabilidade: danos às pessoas expostas.
Estimativa de Frequências

   Análise por Diagrama de Blocos;
   Análise de Causas e Consequências
   Análise de Árvores de Falhas (AAF);
   Análise de Árvores de Eventos (AAE).
Estimativa de Frequências
   Técnica Para a Predição do Erro Humano
    (THERP)
   Análise por Simulação Numérica Aleatória
    (RNSA)
   Management Oversight and Risk Tree (MORT)
   Índices de Risco Dow e Mond
Estimativa dos Riscos


          Risco individual;

          Risco social.
Estimativa dos Riscos
  A estimativa dos riscos requer:
     informações sobre a população exposta:
      - residências;
      - estabelecimentos comerciais e indústrias;
      - áreas rurais;
      - escolas, hospitais, etc.
     horários de exposição;
     características das edificações (formas       de
      proteção).
Risco Individual


Risco para uma pessoa presente na vizinhança de um
perigo, considerando a natureza do dano e o período de
tempo em que o mesmo pode ocorrer. Normalmente, o
dano é estimado em termos de fatalidade.
Estimativa do Risco Individual
               n
   RI x , y = ∑ RI x, y ,i       RI x , y ,i = f i . p fi
              i =1
   RIx,y = risco individual total de fatalidade no ponto x,y;
            (chance de fatalidade por ano (ano-1))
   RIx,y,i = risco de fatalidade no ponto x,y devido ao evento i;
             (chance de fatalidade por ano (ano-1))
   n = número total de eventos considerados na análise;
   fi = frequência de ocorrência do evento i;
   pfi = probabilidade que o evento i resulte em fatalidade no
         ponto x,y, de acordo com os efeitos esperados.
Apresentação - Risco Individual
Advsory Committee on Major Hazards
(ACMH, UK)
   O risco para um trabalhador ou para um indivíduo do público
    não deve ser significativo, quando comparado com outros riscos
    aos quais a pessoa é exposta;
   O risco decorrente de qualquer perigo maior deve, tanto quanto
    razoavelmente praticável, ser reduzido;
   Onde houver o risco de um perigo maior, o desenvolvimento de
    um perigo adicional não deve ser significativo para o risco
    existente;
   Se o possível dano decorrente de um acidente é alto, o risco de
    que este acidente aconteça deve ser o mais baixo possível.
Riscos - Reino Unido

        Atividade         Risco Individual (ano-1)
 Fumar (20 cig/ dia)              5.0x10-3
                                         -5
 Beber (gar.vinho/ dia)           7.5x10
 Jogar futebol                    4.0x10-5
 Corrida de carros                1.2x10-3
                                         -5
 Leucemia                         8.0x10
 Meteoros                        6.0x10-11
                                         -8
 Transporte químicos              2.0x10
Risk Criteria for Land-use Planning in the
Vicinity of Major Industrial Hazards (UK,
1989)
    Empreendimento           Zona I           Zona II          Zona III
      Habitação            Inaceitável        Talvez          Normalmente
                                                               aceitável
   Comércio e indústria     Aceitável         Aceitável        Aceitável
    Comércio e lazer         Talvez            Talvez          Aceitável
    Empreendimentos        Inaceitável       Inaceitável        Talvez
    muito vulneráveis
  HSE, 1989.



                 Zona I - riscos acima de 10-5 ano-1;
                 Zona II - riscos entre 10-6 e 10-5 ano-1;
                 Zona III - riscos entre 3,1.10-7 e 10-6 ano-1.
Risco Social

   Representa o risco (possibilidades e impactos) para
    uma comunidade (agrupamento de pessoas) presente na
    zona de influência de um acidente;
   É normalmente expresso em mortes/ano;
   É representado pela curva F-N.
Risco Social - Holanda
                               1,0E-01


                               1,0E-03
                                                            Inaceitável
   Frequência acumulada de N
       ou mais fatalidades




                               1,0E-05


                               1,0E-07       Risco a ser
                                              reduzido

                               1,0E-09
                                         1             10              100              1000
                                                            Número de fatalidades (N)
Risco Social - Hong Kong

                             1,0E-01


                             1,0E-03                                                    Risco a ser
                                                            Inaceitável
 Frequência acumulada de N




                                                                                         reduzido
     ou mais fatalidades




                             1,0E-05
                                                        ALARP

                             1,0E-07       Aceitável

                             1,0E-09
                                       1               10              100                1000
                                                            Número de fatalidades (N)
Risco Social - CETESB


                                          1E-02
    Frequência de N ou mais fatalidades




                                          1E-03
                                          1E-04                                                     Intolerável
                                          1E-05
                                          1E-06                             Região ALARP

                                          1E-07
                                                      Negligenciável
                                          1E-08
                                          1E-09
                                                  1                    10              100                   1000   10000
                                                                                  o
                                                                                 N de Fatalidades
Percepção de Riscos

    Voluntariedade;
    Benefícios;
    Possibilidade de reconhecer e compreender os riscos;
    Controle individual;
    Possibilidade de proteção.

1195580341 1203.avaliacao de_riscoss

  • 1.
  • 2.
    Avaliação de Perigos •Ajudana hora de julgar os perigos •Exemplo: A probabilidade de um cliente perder 100.000,00€ é de 0,0003 então o risco é 30. E se a probabilidade do cliente perder 50.000,00€ é de 0,0007 então o risco é de 35. • A definição varia dependendo de quem é a vítima da perda. Exemplo: em um software para aviões, um piloto tende a ser menos tolerável aos perigos do que o empregador.
  • 3.
    Avaliação de Perigos N.Leveson Consequências Catastrófico - Morte Crítico - Danos sérios / Longa convalescença Marginal - Danos menores / Curta convalescença Negligenciável - Danos superficiais Probabilidade Frequente - Provável - Ocasional - Remoto – Improvável -Impossível
  • 4.
    Avaliação de Perigos Brazendalee Bell: Consequências: Intolerável – Um perigo não pode acontecer e caso aconteça não pode resultar em um acidente As low as reasonable possible (ALARP) – Probabilidade de um acidente ocorrer deve ser minimizada levando em consideração dificuldade, custos, tempo ... Aceitável – Deve-se evitar que surjam erros desde que isto não custe ou demore muito. Probabilidades: alta – média - baixa
  • 5.
    Técnicas  Análise de Diagrama de Blocos  Análise de Árvore de Eventos  Análise de Árvore de Falhas  Análise de Causas e Consequências  Outras técnicas diversas
  • 6.
    Perigos e Riscos Façauma lista de 10 perigos existentes no seu local de trabalho e use o sinal  para classificar o grau de risco respectivo (baixo, médio ou elevado) Perigo Alto risco Médio risco Baixo risco
  • 7.
    Análise por Diagramade Blocos (ADB)
  • 8.
     Fluxograma em blocos do sistema  Calcula Probabilidades de:  Sucesso  Falha
  • 9.
    Identifica o comportamentológico de um sistema constituído por poucos elementos
  • 10.
    A análise pode ser feita: Em paralelo Em série
  • 11.
    ADB em série Na ilustração: P = P(A) x P(B) x P(C)
  • 12.
    ADB em paralelo Q= (1 - P) = = [(1 - P(A)) x (1 - P(B))] P = 1 - [(1 - P(A)) x (1 - P(B))]
  • 13.
    Análise de Árvorede Eventos (AAE)
  • 14.
     Método lógico-dedutivo para identificar as várias e possíveis conseqências resultantes de um evento inicial  Determina as frequências das consequências dos eventos indesejáveis, usando encadeamentos lógicos
  • 15.
     Parte de um evento inicial  Determinar um ou mais estados subsequentes de falha possíveis
  • 16.
    Etapas a) Definir oevento inicial que pode conduzir ao acidente; b) Definir os sistemas de segurança (acções) que podem amortecer o efeito do evento inicial; c) Combinar em uma árvore lógica de decisões as várias sequências de acontecimentos que podem surgir a partir do evento inicial; d) Uma vez construída a árvore de eventos, calcular as probabilidades associadas a cada ramo do sistema que conduz a alguma falha (acidente).
  • 17.
  • 18.
    Exemplo P= Pa + Pb + Pc = 0,004 + 0,001 + 0,001 = 0,006 (0,6%)
  • 19.
  • 20.
    técnica dedutiva focalizada num acidente particular fornece um método para determinar as causas deste acidente,  é um modelo gráfico que dispõe várias combinações de falhas de equipamentos e erros humanos que possam resultar num acidente.  uma técnica de pensamento-inverso, ou seja  o TSHST começa com um acidente ou evento indesejável que deve ser evitado  identifica as causas imediatas do evento,  cada uma examinada até que o TSHST tenha identificado as causas básicas de cada evento  árvore de falhas é um diagrama que mostra a inter-relação lógica entre estas causas básicas e o acidente.
  • 21.
    É a transformação de um sistema físico num diagrama lógico estruturado (a árvore de falhas), onde são especificados as causas que levam a ocorrência de um evento específico indesejado, chamado evento de topo.
  • 22.
    Etapas básicas  etapas básicas:  definição do sistema,  construção da árvore de falhas,  avaliação qualitativa  avaliação quantitativa
  • 24.
    a) Selecção do evento indesejável ou falha, cuja probabilidade de ocorrência deve ser determinada;  b) Revisão dos factores intervenientes: ambiente, dados do projecto, exigências do sistema, etc., determinando as condições, eventos particulares ou falhas que possam vir a contribuir para ocorrência do evento topo seleccionado;
  • 25.
    c) Montagem, através da representação sistemática em diagrama, dos eventos contribuintes e falhas levantados na etapa anterior, mostrando o interrelacionamento entre estes eventos e falhas, em relação ao evento topo. O processo inicia com os eventos que poderiam, directamente, causar tal fato, formando o primeiro nível - o nível básico. A medida que se retrocede, passo a passo, até o evento topo, são adicionadas as combinações de eventos e falhas contribuintes. Desenhada a árvore de falhas, o relacionamento entre os eventos é feito através das comportas lógicas;
  • 26.
    d) Através de Álgebra Booleana são desenvolvidas as expressões matemáticas adequadas, que representam as entradas da árvore de falhas. Cada comporta lógica tem implícita uma operação matemática, podendo ser traduzidas, em última análise, por acções de adição ou multiplicação;  e) Determinação da probabilidade de falha de cada componente, ou seja, a probabilidade de ocorrência do evento topo será investigada pela combinação das probabilidades de ocorrência dos eventos que lhe deram origem
  • 28.
    RELACIONAMENTO LEI A.1=A A.0=0 A+0=A Conjuntos complementos ou vazios A+1=1 (Ac)c = A Lei de involução A . Ac = 0 Relações complementares A + Ac = 1 A.A=A Leis de idempotência A+A=A A.B=B.A Leis comutativas A+B=B+A A . (B . C) = (A . B) . C Leis associativas A + (B + C) = (A + B) + C A . (B + C) = (A . B) + (A . C) Leis distributivas A + (B . C) = (A + B) . (A + C) A . (A + B) = A Leis de absorção A + (A . B) = A (A . B)c = Ac + Bc Leis de dualização ( Leis de Morgan) (A + B)c = Ac . Bc
  • 30.
    Análise de Causase Consequências ACC
  • 31.
     Usa as mesma técnicas da AAE e da AAF  Inicia com um evento inicial  Cada evento subsequente é questionado
  • 32.
    Questionamento  - Em que condições o evento induz a outros eventos?;  - Quais as alternativas ou condições que levam a diferentes eventos?;  - Que outro componentes o evento afecta?  - Ele afecta mais do que um componente?;  - Quais os outros eventos que este evento causa?
  • 33.
    Permite avaliar as consequências dos eventos catastróficos:  Quantitativamente  Qualitativamente  Consiste em escolher um evento catastrófico:  Parte para um lado descriminando as consequências  Parte para o outro lado determinando as causas
  • 34.
    Técnica para Prediçãodo Erro Humano - Technique for Human Error Predicting (THERP)  A contribuição do Erro Humano para a falha do sistema pode ser incluída na AAF, se as probabilidades de Erro Humano forem descritas nos mesmos termos que os componentes e as falhas de equipamento
  • 35.
    Análise por SimulaçãoNumérica Aleatória  Esta técnica, desenvolvida em 1974, utiliza a AAF como fundamento, porém, ao invés de atribuir um valor probabilístico para o evento, trabalha com um intervalo de probabilidades no qual a falha possa ocorrer.
  • 36.
    Management Oversight andRisk Tree (MORT)  O método conhecido como MORT é uma técnica que usa um raciocínio semelhante ao da AAF, desenvolvendo uma árvore lógica, só que com a particularidade de ser aplicado à estrutura organizacional e administrativa da empresa, ilustrando erros ou acções inadequadas de administração.
  • 37.
    Índices de RiscoDow e Mond - Relative Ranking - Dow and Mond Indices  baseia-se na atribuição de penalidades e créditos a determinados aspectos da instalação
  • 38.
  • 39.
    I Guerra Mundial Noinício da I Grande Guerra, o uniforme dos soldados britânicos incluía um boné de tecido castanho. Não tinham sido distribuídos capacetes metálicos. À medida que a guerra se desenrolava, as autoridades militares e o Ministério da Guerra começaram a ficar alarmados com a quantidade de soldados feridos na cabeça. Por esse motivo, decidiram substituir os bonés de tecido por capacetes metálicos. A partir daí, todos os soldados dispunham de capacetes metálicos. No entanto, o Ministério ficou espantado, pois os ferimentos na cabeça aumentaram. A intensidade dos combates não se alterou depois da mudança. Então por que motivo aumentou o número de soldados feridos na cabeça em cada batalhão, quando usavam capacetes metálicos em vez dos bonés de tecido?
  • 40.
    R = X Prioridades Decisões
  • 41.
    Conclusão TÉCNICA ANÁLISE E RESULTADOS Série de Riscos (SR) Qualitativa Análise Preliminar de Riscos (APR) Qualitativa What-if/Checklist (WIC) Qualitativa Técnica de Incidentes Críticos (TIC) Qualitativa Estudo de Operabilidade e Riscos Qualitativa (HazOp) Análise de Modos de falha e Efeitos Qualitativa e Quantitativa (AMFE) Análise de Árvore de Falhas (AAF) Qualitativa e Quantitativa Análise de Árvore de Eventos (AAE) Qualitativa e Quantitativa
  • 42.
    Tabela 1 –Técnicas para a identificação de perigos e as principais aplicações Aplicação Checklist What if APP AMFE HazOp Identificação de desvios relativos às boas práticas Identificação de perigos genéricos Identificação das causas básicas (eventos iniciais) Proposta de medidas para mitigar os riscos
  • 43.
    Aceitabilidade de Riscos Valores: - sociais; - éticos; - ambientais; - econômicos.
  • 44.
    Aceitabilidade de Riscos  Caso 1: Instalação pode gerar um acidente a cada mil anos com uma morte: Risco = 1.0E-03 mortes/ano.  Caso 2: Instalação pode gerar um acidente a cada um milhão de anos com mil mortes: Risco = 1.0E-03 mortes/ano.
  • 45.
    Redução de Perigos Eliminaçãode Perigo:  Substituição  Simplificação  Desacoplamento  Eliminação de erros humanos  Redução de materiais ou condições perigosas
  • 46.
    Redução de Perigos Reduçãode Perigo:  Projetar para ser controlável  Controle incremental  Modos intermediários  Auxílio nas decisões  Barreiras  Lockout  Lockin  Interlock  Minimização de defeitos  Redundância
  • 47.
    Redução de Perigos projetarpara ser controlável Controle incremental  Como em um loop, a verificação é gradual, permitindo que ações corretivas sejam executadas a tempo Modos intermediários  Diferentes níveis de funcionalidades podem ser usados em cada modo (Ex.: completo, reduzido e emergencial) Auxílio nas decisões  Interface fácil de ser usada em situações de stress
  • 48.
    Redução de Perigos barreiras Lockout • evita que o sistema entre em um estado de perigo (Ex: evitando interferência eletromagnética, limitando ações, autorizações) • safety X reliability Lockin • tenta fazer que o sistema mantenha-se num estado safety • Ex: manter objeto perigosos fora de alcance, manter substâncias tóxicas bem fechadas num recipiente
  • 49.
    Redução de Perigos barreiras Interlocks  força que as operações sejam feitas numa certa ordem Exemplos:  Evento A não pode ocorrer inadvertidamente . Para acionar o evento A deve-se apertar os botões A e B.  Evento A não ocorre enquanto a condição C existir. Colocar um porta isolando um equipamento com alta voltagem. Quando a porta abrir, a corrente é cortada.  Evento A só ocorre antes do evento D. Garantir que um tanque seja preenchido somente se uma válvula para ventilação já esteja aberta.
  • 50.
    Redução de Perigos minimizaçãode defeitos Redundância: • o aumento de reliability gera aumento de safety • Ex.: em um avião é importante que as funções vitais permaneçam sempre funcionando
  • 51.
    Conclusão Valores de referência Índices de sinistralidade
  • 52.
    Referências  www.safeware-eng.com  Software Engineering – Sommerville 6ª edição  Safe and Reliable Computer Control Systems - Concepts and Methods - Henrik Thane  www.event-tree.com  www.eps.ufsc.br/disserta96/anete/index/indx_ane.htm
  • 53.
    Árvore de Eventos Avaliaçãode Riscos Redução de Perigo
  • 54.
    Avaliação de Perigos Região Inaceitável Risco tolerável somente se a Região redução do perigo for inaplicável ALARP ou muito cara. Região Aceitável Custos
  • 55.
    Avaliação de Perigos Perigos Probabilidade Severidade Risco estimado Avaliação Overdose Média Alta Alto Intolerável Insulina Dose insuficiente Média Baixa Baixo Aceitável Falta de energia Alta Baixa Baixo Aceitável Interferência Elétrica Baixa Alta Médio ALARP Quebra no paciente Média Média Médio ALARP
  • 56.
  • 57.
    Risco Medida de perda econômica e/ou de danos à vida humana, resultante da combinação entre as freqüências de ocorrência e a magnitude das perdas ou danos (conseqüências). R = f (c, f, C)  R = risco;  c = cenário;  f = freqüência de ocorrência;  C = conseqüências (perdas/danos).
  • 58.
    Análise de Riscos Etapas  Caracterização do empreendimento e da região;  Identificação de perigos;  Estimativa de conseqüências;  Estimativa de freqüências;  Estimativa dos riscos;  Avaliação e gerenciamento de riscos.
  • 59.
    Caracterização do Empreendimento Objetivos  Identificar aspectos comuns que possam interferir, tanto no empreendimento, como no meio ambiente;  Identificar, na região, atividades que possam interferir no empreendimento, sob o enfoque operacional e de segurança;  Estabelecer uma relação direta entre o empreendimento e a região sob influência.
  • 60.
    Identificação de Perigos Listasde Verificação (Checklist’s);  Análise “E se...?” (What If...?);  Análise Preliminar de Perigos (APP);  Análise de Modos de Falhas e Efeitos (AMFE);  Estudo de Perigos e Operabilidade (HazOp).
  • 61.
    Estimativa de Consequências e de Vulnerabilidade  Modelos de simulação para a representação dos possíveis efeitos causados por vazamentos de substâncias químicas: - Incêndios: radiações térmicas; - Explosões: sobrepressões; - Vazamentos tóxicos: concentrações.  Vulnerabilidade: danos às pessoas expostas.
  • 62.
    Estimativa de Frequências  Análise por Diagrama de Blocos;  Análise de Causas e Consequências  Análise de Árvores de Falhas (AAF);  Análise de Árvores de Eventos (AAE).
  • 63.
    Estimativa de Frequências  Técnica Para a Predição do Erro Humano (THERP)  Análise por Simulação Numérica Aleatória (RNSA)  Management Oversight and Risk Tree (MORT)  Índices de Risco Dow e Mond
  • 64.
    Estimativa dos Riscos  Risco individual;  Risco social.
  • 65.
    Estimativa dos Riscos A estimativa dos riscos requer:  informações sobre a população exposta: - residências; - estabelecimentos comerciais e indústrias; - áreas rurais; - escolas, hospitais, etc.  horários de exposição;  características das edificações (formas de proteção).
  • 66.
    Risco Individual Risco parauma pessoa presente na vizinhança de um perigo, considerando a natureza do dano e o período de tempo em que o mesmo pode ocorrer. Normalmente, o dano é estimado em termos de fatalidade.
  • 67.
    Estimativa do RiscoIndividual n RI x , y = ∑ RI x, y ,i RI x , y ,i = f i . p fi i =1 RIx,y = risco individual total de fatalidade no ponto x,y; (chance de fatalidade por ano (ano-1)) RIx,y,i = risco de fatalidade no ponto x,y devido ao evento i; (chance de fatalidade por ano (ano-1)) n = número total de eventos considerados na análise; fi = frequência de ocorrência do evento i; pfi = probabilidade que o evento i resulte em fatalidade no ponto x,y, de acordo com os efeitos esperados.
  • 68.
  • 69.
    Advsory Committee onMajor Hazards (ACMH, UK)  O risco para um trabalhador ou para um indivíduo do público não deve ser significativo, quando comparado com outros riscos aos quais a pessoa é exposta;  O risco decorrente de qualquer perigo maior deve, tanto quanto razoavelmente praticável, ser reduzido;  Onde houver o risco de um perigo maior, o desenvolvimento de um perigo adicional não deve ser significativo para o risco existente;  Se o possível dano decorrente de um acidente é alto, o risco de que este acidente aconteça deve ser o mais baixo possível.
  • 70.
    Riscos - ReinoUnido Atividade Risco Individual (ano-1) Fumar (20 cig/ dia) 5.0x10-3 -5 Beber (gar.vinho/ dia) 7.5x10 Jogar futebol 4.0x10-5 Corrida de carros 1.2x10-3 -5 Leucemia 8.0x10 Meteoros 6.0x10-11 -8 Transporte químicos 2.0x10
  • 71.
    Risk Criteria forLand-use Planning in the Vicinity of Major Industrial Hazards (UK, 1989) Empreendimento Zona I Zona II Zona III Habitação Inaceitável Talvez Normalmente aceitável Comércio e indústria Aceitável Aceitável Aceitável Comércio e lazer Talvez Talvez Aceitável Empreendimentos Inaceitável Inaceitável Talvez muito vulneráveis HSE, 1989. Zona I - riscos acima de 10-5 ano-1; Zona II - riscos entre 10-6 e 10-5 ano-1; Zona III - riscos entre 3,1.10-7 e 10-6 ano-1.
  • 72.
    Risco Social  Representa o risco (possibilidades e impactos) para uma comunidade (agrupamento de pessoas) presente na zona de influência de um acidente;  É normalmente expresso em mortes/ano;  É representado pela curva F-N.
  • 73.
    Risco Social -Holanda 1,0E-01 1,0E-03 Inaceitável Frequência acumulada de N ou mais fatalidades 1,0E-05 1,0E-07 Risco a ser reduzido 1,0E-09 1 10 100 1000 Número de fatalidades (N)
  • 74.
    Risco Social -Hong Kong 1,0E-01 1,0E-03 Risco a ser Inaceitável Frequência acumulada de N reduzido ou mais fatalidades 1,0E-05 ALARP 1,0E-07 Aceitável 1,0E-09 1 10 100 1000 Número de fatalidades (N)
  • 75.
    Risco Social -CETESB 1E-02 Frequência de N ou mais fatalidades 1E-03 1E-04 Intolerável 1E-05 1E-06 Região ALARP 1E-07 Negligenciável 1E-08 1E-09 1 10 100 1000 10000 o N de Fatalidades
  • 76.
    Percepção de Riscos  Voluntariedade;  Benefícios;  Possibilidade de reconhecer e compreender os riscos;  Controle individual;  Possibilidade de proteção.

Notas do Editor

  • #21 fornece um método para determinar as causas deste acidente