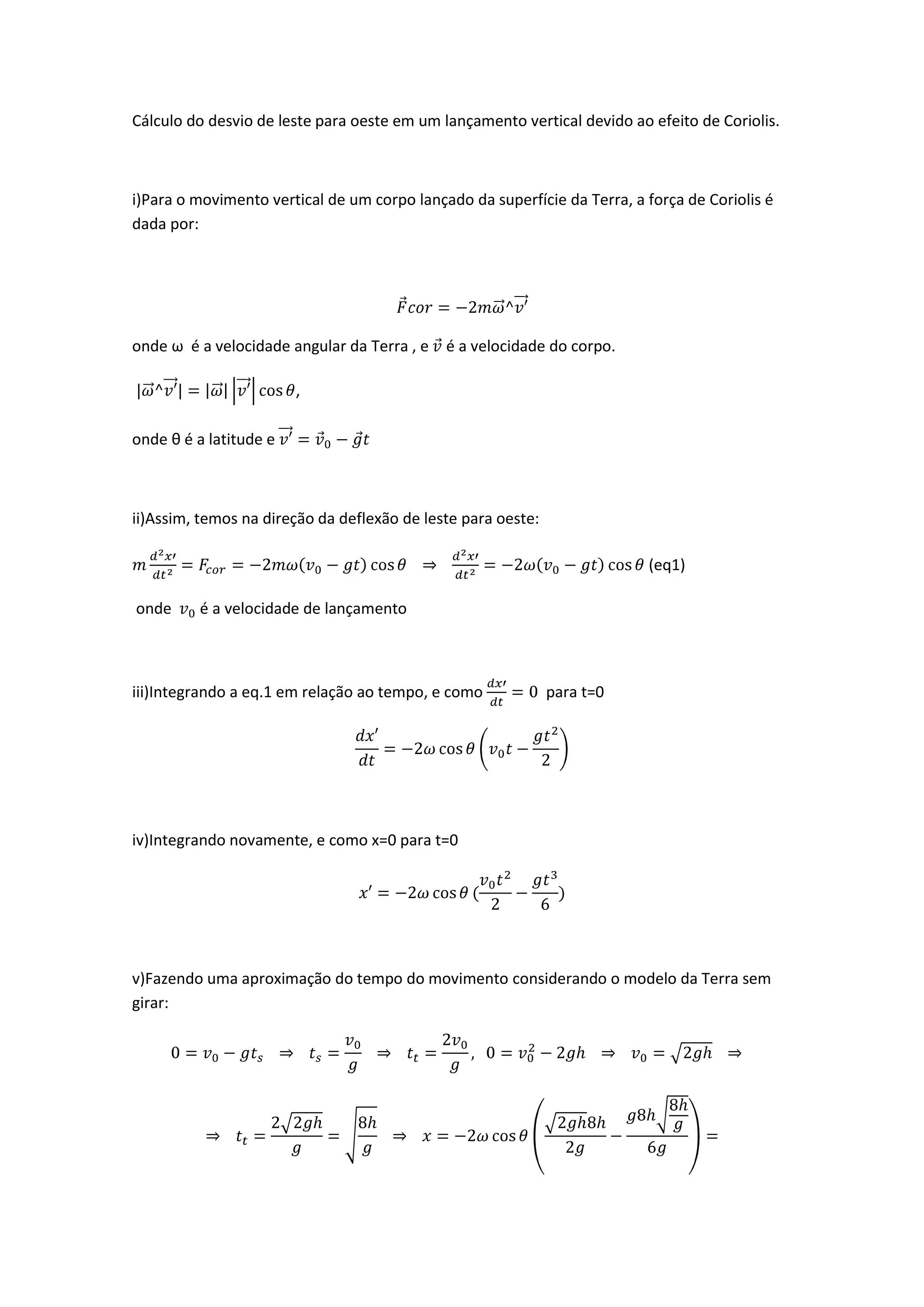
Cálculo do desvio de leste para oeste em um lançamento vertical devido ao efeito de Coriolis.



i)Para o movimento vertical de um corpo lançado da superfície da Terra, a força de Coriolis é
dada por:




onde ω é a velocidade angular da Terra , e   é a velocidade do corpo.

                        ,

onde θ é a latitude e



ii)Assim, temos na direção da deflexão de leste para oeste:

                                                                          (eq1)

onde     é a velocidade de lançamento



iii)Integrando a eq.1 em relação ao tempo, e como             para t=0




iv)Integrando novamente, e como x=0 para t=0




v)Fazendo uma aproximação do tempo do movimento considerando o modelo da Terra sem
girar:
Demonstração adaptada do Moysés Nussenzveig.



vi)



vii)calculando-se os desvios para latitude     :




        h                     x
       50m                 0,022m
      100m                 0,061m
      150m                 0,11m
      200m                 0,17m
      250m                 0,24m
      300m                 0,32m

Questao 28.10

  • 1.
    Cálculo do desviode leste para oeste em um lançamento vertical devido ao efeito de Coriolis. i)Para o movimento vertical de um corpo lançado da superfície da Terra, a força de Coriolis é dada por: onde ω é a velocidade angular da Terra , e é a velocidade do corpo. , onde θ é a latitude e ii)Assim, temos na direção da deflexão de leste para oeste: (eq1) onde é a velocidade de lançamento iii)Integrando a eq.1 em relação ao tempo, e como para t=0 iv)Integrando novamente, e como x=0 para t=0 v)Fazendo uma aproximação do tempo do movimento considerando o modelo da Terra sem girar:
  • 2.
    Demonstração adaptada doMoysés Nussenzveig. vi) vii)calculando-se os desvios para latitude : h x 50m 0,022m 100m 0,061m 150m 0,11m 200m 0,17m 250m 0,24m 300m 0,32m