Loquem da
empresa
Programa de
Prevenção de
Riscos
Ambientais
SESMT 2005 SINALMIG
SINAIS E SISTEMAS E
PROGRAMAÇÃO
VISUAL Ltda
Rua A, nº 725 Distrito Industrial do Jatobá Belo Horizonte MG cep: 30670 – 120. Tel: (031) 33857600 1
DOCUMENTO BASE
03 Julho de 2005 á 03 Julho de 2006
Loquem da
empresa
Programa de
Prevenção de
Riscos
Ambientais
SESMT 2005 SINALMIG
SINAIS E SISTEMAS E
PROGRAMAÇÃO
VISUAL Ltda
ÍNDICE
1- Identificação da Empresa 03
2- Introdução 04
3- Fluxograma do PPRA 05
4- Elaboração do PPRA 06
5- Documentação 07
6- Política da Empresa 08
7- Organização 08
8- Integração 10
9- Documentação e manutenção dos registros 11
10- Treinamento 11
11- Desenvolvimento do PPRA 12
12- Tomada de decisões e elaboração do Plano de Ação Anual 14
13- Implementação das ações programadas 15
14- Monitoração das exposições e dos riscos 15
15- Inspeções e avaliação da eficácia das medidas de controle 15
16- Investigação de acidentes ou doenças ocupacionais 15
17- Periodicidade e forma de avaliação do PPRA 16
18- Declaração 17
19- Equipe Técnica Responsável 18
Rua A, nº 725 Distrito Industrial do Jatobá Belo Horizonte MG cep: 30670 – 120. Tel: (031) 33857600 2
Loquem da
empresa
Programa de
Prevenção de
Riscos
Ambientais
SESMT 2005 SINALMIG
SINAIS E SISTEMAS E
PROGRAMAÇÃO
VISUAL Ltda
1- IDENTIFICAÇÃO DA EMPRESA
Razão Social: SINALMIG SINAIS SISTEMAS E PROGRAMAÇÃO VISUAL LTDA
CNPJ: 04.022.04.61/0001- 62
INSCRIÇÃO ESTADUAL: 062.116.416.00-43
CNAE: 45.22-5-01
Ramo de Atividade: Indústria e comércio de Sinalização Rodoviária
Grau de Risco: 04
N.º atual de funcionários:
Masculino adulto:09
Feminino adulto: 00
Endereço: Rua A, 725 – Distrito Industrial do Jatobá.
Cidade: Belo Horizonte - MG
Telefone (s): (031) 3385-7600
Relação das empresas terceirizadas
J.A Construção e Terraplanagem LTDA
Operador de retroescavadeira - 01
Rua A, nº 725 Distrito Industrial do Jatobá Belo Horizonte MG cep: 30670 – 120. Tel: (031) 33857600 3
Loquem da
empresa
Programa de
Prevenção de
Riscos
Ambientais
SESMT 2005 SINALMIG
SINAIS E SISTEMAS E
PROGRAMAÇÃO
VISUAL Ltda
2 - INTRODUÇÃO
O PPRA visa a preservação da saúde e integridade física dos trabalhadores, através
antecipação, reconhecimento, avaliação e conseqüente controle da ocorrência de riscos
ambientais existentes ou que venham a existir no ambiente de trabalho.
A NR-9, Portaria 3214 do MTE, tem sua existência jurídica assegurada, a nível de legislação
ordinária, através dos artigos 176 a 178 da CLT, transcritos abaixo:
Art. 176 – Os locais de trabalho deverão ter ventilação natural, compatível com o
serviço realizado.
Parágrafo único – A ventilação artificial, será obrigatória sempre que a natural não
preencha as condições de conforto térmico.
Art. 177 – Se as condições do ambiente se tornarem desconfortáveis, em virtude de
instalações geradoras de frio ou de calor, será obrigatório o uso de vestimenta adequada
para o trabalho em tais condições ou de capelas, anteparos, paredes duplas, isolamento
térmico e recursos similares, de forma que os empregados fiquem protegidos contra as
radiações térmicas.
Art. 178 – As condições de conforto térmico nos locais de trabalho, devem ser
mantidas dentro dos limites fixados pelo Ministério do Trabalho.
O Programa de Prevenção de Riscos Ambientais é obrigatório para todas as empresas e
instituições que admitam trabalhadores como empregados.
Tem como objetivo preservar a saúde e integridade física dos trabalhadores, através da
antecipação, reconhecimento, avaliação e conseqüente controle dos riscos ambientais,
considerando a proteção do meio ambiente e dos recursos naturais.
A principal meta do P.P.R.A. é eliminar ou reduzir os riscos ambientais a níveis compatíveis
com os limites de tolerância da NR-15 da Portaria 3.214 do Ministério do Trabalho.
Rua A, nº 725 Distrito Industrial do Jatobá Belo Horizonte MG cep: 30670 – 120. Tel: (031) 33857600 4
Loquem da
empresa
Programa de
Prevenção de
Riscos
Ambientais
SESMT 2005 SINALMIG
SINAIS E SISTEMAS E
PROGRAMAÇÃO
VISUAL Ltda
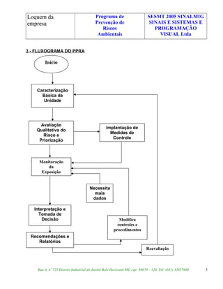
3 - FLUXOGRAMA DO PPRA
Rua A, nº 725 Distrito Industrial do Jatobá Belo Horizonte MG cep: 30670 – 120. Tel: (031) 33857600 5
Início
Caracterização
Básica da
Unidade
Avaliação
Qualitativa do
Risco e
Priorização
Monitoração
da
Exposição
Interpretação e
Tomada de
Decisão
Recomendações e
Relatórios
Implantação de
Medidas de
Controle
Necessita
mais
dados
Modifica
controles e
procedimentos
Reavaliação
Loquem da
empresa
Programa de
Prevenção de
Riscos
Ambientais
SESMT 2005 SINALMIG
SINAIS E SISTEMAS E
PROGRAMAÇÃO
VISUAL Ltda
4 - ELABORAÇÃO DO PPRA
Exigências Legais
“9.3.1– O Programa de Prevenção de Riscos Ambientais, deverá incluir as seguintes etapas”:
•Antecipação e reconhecimento dos riscos;
•Estabelecimento de prioridades e metas de avaliação e controle;
•Avaliação dos riscos e da exposição dos trabalhadores;
•Implantação de medidas de controle e avaliação de sua eficácia;
•Monitoramento da exposição aos riscos;
•Registro e divulgação dos dados
“9.2 – Da estrutura do PPRA”.
9.2.1- O Programa de Prevenção de Riscos Ambientais deverá conter, no mínimo, a seguinte
estrutura;
•Planejamento anual com estabelecimento de metas, prioridades e cronograma;
•Estratégia e metodologia de ação;
•Forma de registro, manutenção e divulgação dos dados;
•Periodicidade e forma de avaliação do desenvolvimento do PPRA.
9.2.1.1 – Deverá ser efetuada sempre que necessário, e pelo menos uma vez ao ano, uma
análise global do PPRA para avaliação do seu desenvolvimento e realização dos ajustes
necessários e estabelecimento de novas metas e prioridades.
9.2.2 – O PPRA deverá estar descrito num documento-base contendo todos os aspectos
estruturais constantes do item 9.2.1 ““.
A NR-9 prevê ainda:
•Levar em consideração, o conhecimento e a percepção de risco dos trabalhadores
•Análise do documento-base pela CIPA
•Possibilidade de negociação coletiva.
Este PPRA adotará os seguintes princípios:
•Abordagem unificada e integrada de todos os aspectos de SST (Segurança e Saúde do
Trabalhador) (integração do PPRA e PCMSO)
•Avaliação gradual dos riscos
•Adoção de medidas preventivas sempre que possível, antes de realizar medidas
quantitativas das exposições.
•Processo de melhoria contínua
•Comprometimento do empregador
•Participação do trabalhador
•Documentação das ações.
Rua A, nº 725 Distrito Industrial do Jatobá Belo Horizonte MG cep: 30670 – 120. Tel: (031) 33857600 6
Loquem da
empresa
Programa de
Prevenção de
Riscos
Ambientais
SESMT 2005 SINALMIG
SINAIS E SISTEMAS E
PROGRAMAÇÃO
VISUAL Ltda
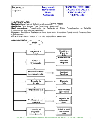
5 – DOCUMENTAÇÃO
Nível estratégico: Manual do Programa Integrado PPRA-PCMSO
Nível tático: Plano de Ação Anual (documento – base anual)
Nível operacional: Procedimentos de Avaliação de Risco, Procedimentos do PCMSO,
Procedimentos Operacionais específicos.
Registros: Relatório de Avaliação de riscos abrangente, de monitorações de exposições específicas
e de inspeções.
O fluxograma a seguir, mostra as principais etapas dessa abordagem.
DOCUMENTAÇÃO
Rua A, nº 725 Distrito Industrial do Jatobá Belo Horizonte MG cep: 30670 – 120. Tel: (031) 33857600 7
Início
Diagnóstico
inicial
Política e
Organização
Avaliação do
programa e
replanejamento
Tomada de
decisão
Implementação
Verificação e ação
corretiva
Relatório e
Plano de
Ação
Emergencial
Manual do
Programa
Relatórios
Técnicos
Planos de
Ação
Procedimentos
Operacionais
Registros de
Inspeções e
Ações
Relatório Anual
Novo plano de
Ação
Avaliação de riscos
e outras exigências
Loquem da
empresa
Programa de
Prevenção de
Riscos
Ambientais
SESMT 2005 SINALMIG
SINAIS E SISTEMAS E
PROGRAMAÇÃO
VISUAL Ltda
6 - POLÍTICA DA EMPRESA
É intenção da SINALMIG SINAIS SISTEMAS PROGRAMAÇÃO VISUAL LTDA
é de estar em conformidade com todas as leis relativas à Segurança e Saúde no Trabalho,
bem como à proteção do Meio-Ambiente e dos recursos naturais.
A segurança e a saúde pessoal de cada funcionário desta empresa é de importância
fundamental. A prevenção de danos ou doenças ocupacionais é de tal importância que será
dada precedência sobre a produtividade, sempre que necessário.
Na maior extensão possível, a administração irá proporcionar todas as atividades mecânicas
e físicas necessárias para segurança e saúde das pessoas que trabalham na empresa,
observando-se os mais elevados padrões.
Este programa de prevenção de riscos ambientais incluirá também:
•Providências quanto à eliminação ou minimização na maior extensão possível dos riscos
ambientais.
•Condução de inspeções periódicas para encontrar, eliminar e controlar riscos à saúde e
segurança, assim como condições e práticas de trabalho inseguras, para estar
completamente em conformidade com a lei.
•Treinamento para todos os empregados em boas práticas de saúde e segurança.
•Desenvolvimento e execução de regras de saúde e segurança, e a exigência que os
empregados cooperem no cumprimento dessas regras como condição de emprego.
•Investigação imediata e completa de todo acidente ou doença ocupacional para
encontrar a causa e corrigir o problema de forma que não ocorra novamente.
•Participação dos funcionários no reconhecimento dos riscos e proposição de medidas
preventivas.
7 - ORGANIZAÇÃO
Atribuição de Responsabilidades
As atividades do PPRA serão desenvolvidas pelos funcionários que a Diretoria da SINALMIG
SINAIS SISTEMAS PROGRAMAÇÃO VISUAL LTDA designar para o desempenho de tarefas
específicas deste programa, sob sua orientação.
Responsabilidades do Gerente da empresa
•Providenciar direção política e planejamento.
•Coordenar o desenvolvimento e implantação do PPRA.
•Rever informações sobre o controle do programa.
•Delegar responsabilidade e autoridade.
•Alocar recursos financeiros necessários à execução.
•Proporcionar suporte ativo ao programa, em particular, serviços especializados externos
quando necessário.
•Supervisionar a execução das atividades deste programa.
Rua A, nº 725 Distrito Industrial do Jatobá Belo Horizonte MG cep: 30670 – 120. Tel: (031) 33857600 8
Loquem da
empresa
Programa de
Prevenção de
Riscos
Ambientais
SESMT 2005 SINALMIG
SINAIS E SISTEMAS E
PROGRAMAÇÃO
VISUAL Ltda
Responsabilidades dos encarregados por setores designados pelo gerente
•Supervisionar os funcionários para assegurar que os procedimentos corretos de trabalho
estão sendo observados.
•Assegurar que os equipamentos e máquinas estão em perfeito funcionamento.
•Garantir a ordem e limpeza de seu setor de trabalho.
•Comunicar informações sobre os riscos ambientais e procedimentos de controle.
•Consultar com os funcionários sobre questões de segurança e saúde, e orientá-los
quando necessário.
•Manter o gerente geral informado das questões de segurança e saúde do seu setor.
•Colaborar com a CIPA na investigação de acidentes ou doenças e na adoção de
medidas preventivas.
Do setor administrativo – SESMT (caso haja)
•Manter toda a documentação relativa a este programa.
•Assegurar que todos os funcionários receberam treinamento adequado para as funções que
desempenham.
•Manter os recursos financeiros disponíveis para a execução das atividades deste programa.
•Providenciar a contratação de serviços ou aquisição de materiais necessários, em particular
equipamentos de segurança individual recomendados pelos setores ou coordenador do
programa.
Responsabilidades de todos os empregados
•Relatar fatores ou situações que considerar de risco ao seu supervisor ou gerente.
•Relatar acidentes ocorridos ao seu supervisor ou gerente.
•Seguir todas as regras e procedimentos da empresa.
•Usar máquinas, equipamentos e materiais, somente se autorizado.
•Seguir os procedimentos de sua tarefa conforme treinamento recebido.
•Cooperar com a CIPA na execução de suas tarefas.
•Utilizar equipamento de proteção individual quando necessário.
Responsabilidades da CIPA e seus membros
•Manter as reuniões regulares e elaborar atas, conforme previsto em lei (NR-5).
•Acompanhar e avaliar o desenvolvimento deste programa.
•Realizar as investigações de acidentes ou quase-acidentes e doenças ocupacionais, com
ou sem afastamento.
•Fazer recomendações sobre segurança e saúde.
Rua A, nº 725 Distrito Industrial do Jatobá Belo Horizonte MG cep: 30670 – 120. Tel: (031) 33857600 9
Loquem da
empresa
Programa de
Prevenção de
Riscos
Ambientais
SESMT 2005 SINALMIG
SINAIS E SISTEMAS E
PROGRAMAÇÃO
VISUAL Ltda
8 - INTEGRAÇÃO
Integração interna
Este documento é parte complementar de outros programas e ações na área de Segurança e
Saúde do Funcionário desenvolvidos na empresa, em particular o PCMSO - Programa de
Controle Médico de Saúde Ocupacional, previsto na NR-7 e o programa de qualidade da
empresa.
O PPRA articula-se principalmente com o PCMSO de modo a se complementarem, pois o
PPRA tem foco no ambiente de trabalho e o PCMSO tem foco no funcionário.
Atualmente, o programa de medicina ocupacional que está sendo desenvolvido pela
CLIMON, estará sendo articulado com o trabalho de avaliação ambiental. Para tanto, os
riscos ambientais identificados serão informados e discutidos com os médicos do trabalho, a
fim de otimizar o conjunto de exames e acompanhamentos necessários para a adequada
avaliação da saúde dos funcionários. Paralelamente, os principais desvios de saúde
encontrados nos exames periódicos, fornecerão indicações das prováveis áreas de risco
mais críticas para a empresa. Deste modo maximiza-se o uso das informações disponíveis
em prol de uma efetiva prevenção de ocorrência de desvios de saúde, através de um bem
sucedido controle de riscos ambientais.
Integração externa
O PPRA, além de cumprir com um requisito legal, está disponível para os órgãos
fiscalizadores, para o representante dos empregados e para o sindicato.
Participação dos funcionários e comunicação dos riscos
A participação dos funcionários no processo de identificação de situações de risco e
proposição de medidas de controle será garantida através do diálogo contínuo com seu
supervisor, gerente de produção ou membros da CIPA.
Na etapa de reconhecimento de riscos e priorização de ações será considerada a percepção
de risco dos funcionários, expressa no Mapa de Risco elaborado pela CIPA com a
participação dos primeiros. Durante o levantamento de riscos os técnicos contratados para
este fim terão livre acesso aos funcionários em todos os níveis hierárquicos, podendo realizar
entrevistas individuais ou coletivas com o objetivo de levantar a percepção dos riscos
relacionados ao trabalho pôr eles identificados, assim como ouvir e discutir sugestões sobre
de medidas de controle.
Cada funcionário será informado dos riscos relacionados com suas atividades por ocasião de
sua contratação e durante os treinamentos recebidos, bem como através de orientações de
seus supervisores.
Rua A, nº 725 Distrito Industrial do Jatobá Belo Horizonte MG cep: 30670 – 120. Tel: (031) 33857600 10
Loquem da
empresa
Programa de
Prevenção de
Riscos
Ambientais
SESMT 2005 SINALMIG
SINAIS E SISTEMAS E
PROGRAMAÇÃO
VISUAL Ltda
9 - DOCUMENTAÇÃO E MANUTENÇÃO DOS REGISTROS
Todos os documentos relativos ao PPRA estarão arquivados no setor administrativo por
um período de 20 anos e deverão estar sempre acessíveis aos membros da CIPA, aos
funcionários ou seus representantes e aos órgãos de fiscalização.
Os documentos relativos a este programa são os abaixo discriminados.
Estratégicos:
• Manual do PPRA (Documento Base Genérico, não exigido legalmente).
Táticos
• Plano de Ação Anual (contendo no mínimo os itens exigidos na NR 09) - do ano
corrente e dos anos anteriores.
Operacionais:
• Procedimentos específicos para reconhecimento e avaliação de riscos.
• Procedimentos para controle de riscos (Ex. Gerenciamento de Produtos Perigosos,
Programa de Uso de EPI, Programa de Proteção Respiratória, Controle de Sistemas de
Ventilação Exaustora, etc.)
Registros:
• Relatório Técnico de Identificação e Avaliação dos Riscos Ambientais (o inicial e
suas modificações)
• Relatórios de investigações aprofundadas (ex. Análise Ergonômica, de Segurança de
Vasos sob Pressão, de Higiene Ocupacional, etc.)
• Relatórios de inspeções e acompanhamento do programa.
• Relatórios de investigação de acidentes.
• Registro dos treinamentos recebidos.
• Relatórios de monitorizações ambientais realizadas, etc.
Cada setor deverá ter à sua disposição o procedimento escrito específicos sobre segurança
e saúde que lhe dizem respeito. Toda a documentação estará arquivada no setor de
Segurança do Trabalho.
10 - TREINAMENTO DE PESSOAL
Em relação ao pessoal, todos os funcionários receberão treinamentos de forma a assegurar
que todos estejam informados sobre os materiais e equipamentos com os quais estão
trabalhando.
O treinamento será ministrado pelo responsável do setor onde atuará ou por quem o
coordenador do PPRA designar.
Os treinamentos incluirão:
• Os procedimentos de trabalho seguros que protejam os funcionários contra exposições
aos riscos ambientais;
Rua A, nº 725 Distrito Industrial do Jatobá Belo Horizonte MG cep: 30670 – 120. Tel: (031) 33857600 11
Loquem da
empresa
Programa de
Prevenção de
Riscos
Ambientais
SESMT 2005 SINALMIG
SINAIS E SISTEMAS E
PROGRAMAÇÃO
VISUAL Ltda
• Como usar os equipamentos de proteção individual e como mantê-lo em boas condições;
• O que fazer em caso de emergência.
Será ministrado treinamento, no mínimo:
• Para os novos empregados;
• Para atribuições de novas tarefas;
• Quando novas substâncias, processos, procedimentos ou equipamentos foram
introduzidos no local de trabalho;
• Quando um novo equipamento de proteção individual for usado.
Assessoramento e serviços por especialistas
Para avaliação geral do programa e atividades específicas que extrapolem a capacidade dos
recursos humanos disponíveis na empresa, o Gerente da SINALMIG SINAIS SISTEMAS
PROGRAMAÇÃO VISUAL LTDA contratará serviços especializados de terceiros mediante sua
recomendação ou aprovação.
11 - DESENVOLVIMENTO DO PPRA
Antecipação de riscos
A antecipação dos riscos será efetuada através da avaliação e do estudo de todas as
modificações e novos projetos que venham a ocorrer no ambiente ocupacional. Esta
avaliação deverá ser feita com enfoque nos riscos ocupacionais e, quando necessário,
envolver uma pessoa com conhecimento técnico do assunto. É compromisso da
administração da empresa assegurar que toda modificação e/ou novo projeto a ser
implantado seja avaliado preliminarmente com relação aos riscos potencialmente presentes.
Reconhecimento dos riscos
O reconhecimento e identificação dos riscos ambientais requerem a aplicação de uma
ferramenta específica que auxilie a sistematizar o risco no ambiente de trabalho e apresente
como resultado as prioridades de controle ambiental do ponto de vista técnico. A metodologia
utilizada para a identificação e reconhecimento de riscos ambientais aplicada por esta equipe
de trabalho está descrita sucintamente no Relatório Técnico de Reconhecimento e
Avaliação dos Riscos Ambientais
O reconhecimento dos riscos será um processo contínuo na empresa. Ele inclui dois
componentes: a caracterização dos processos e atividades, e dos riscos a eles associados; e
a caracterização das exposições para cada função (ou setor de atividade).
a) Caracterização do processo
Consiste na descrição do processo deste a entrada da matéria até a sua expedição final,
indicando para cada etapa os riscos associados (caracterizado os agentes, possíveis fontes
e trajetórias de contaminação, medidas preventivas adotadas e a adequação das mesmas).
A caracterização do processo será feita no Anexo 1 deste documento.
b) Caracterização da força de trabalho
Rua A, nº 725 Distrito Industrial do Jatobá Belo Horizonte MG cep: 30670 – 120. Tel: (031) 33857600 12
Loquem da
empresa
Programa de
Prevenção de
Riscos
Ambientais
SESMT 2005 SINALMIG
SINAIS E SISTEMAS E
PROGRAMAÇÃO
VISUAL Ltda
Para cada setor ou atividade serão relacionadas às funções e as respectivas tarefas e os
riscos associados (caracterizando as exposições a agentes ambientais). Abaixo serão
listadas as respectivas funções, as atividades relacionadas e a avaliação preliminar dos
riscos envolvidos, efetuados de forma qualitativa. Os riscos inerentes a cada função e
conseqüente avaliação quantitativa serão listados de forma mais detalhada na planilha de
Levantamento de Riscos Ambientais Ocupacionais – Anexo 1.
Anexo 01
ITEM FUNÇÃO ATIVIDADES
AVALIAÇÃO PRELIMINAR DOS RISCOS
ENVOLVIDOS
01
Engenheiro
Atua como agente fiscalizador
verificando os processos de montagem
e de Segurança e parte burocrática de
escritório.
Ergonômico - Postura incorreta.
Risco de acidente
02 Programador de
PCO
Faz requisição de materiais e
equipamentos, controle de
almoxarifado, elabora planilha de custo,
fechamento de caixa,
acompanhamento da parte burocrática
de obra, controle de veículos e envio de
malotes.
Ergonômico - Postura incorreta, e
movimentos repetitivos.
Risco de acidente.
03
Encarregado de
Obra
Coordena o pessoal na execução de
obras, administra a mão de obra,
controla materiais, interpreta objetos e
planilhas, confere medições junto à
fiscalização da obra, preenche
controles e caixas de credenciamento
de fornecedores.
Ergonômico - Postura incorreta,
movimentos repetitivos.
Físico: ruído
Acidentes: ferramentas manuais,
elétrica e má acondicionamento de
materiais e projeção de corpo estranho
nos olhos.
Químico: poeira
04 Ajudante
Ajuda na montagem de tanques.
Ajuda na escavação retirando terra e
entulhos.
Compacta as camadas de terra.
Manuseia ferramentas manuais e
acondiciona materiais.
Ergonômico - Postura incorreta,
movimentos repetitivos.
Físico: ruído e vibração.
Acidentes: ferramentas manuais,
elétrica e má acondicionamento de
materiais e projeção de corpo estranho
nos olhos.
Químico: Poeira
05
Instalador
Solda em ilhas de bomba
Montagem de Tanque de gasolina
Montagem de eletrodutos
Solda por eletro fusão
Inertisação de tanque de gasolina
Ergonômico - Postura incorreta,
movimentos repetitivos.
Físico: ruído, radiação não-ionizante,
vibração e choque elétrico.
Químico: fumos de solda,
Acidentes: ferramentas manuais,
elétrica e má acondicionamento de
materiais e projeção de corpo estranho
nos olhos.
Químico: poeira
Rua A, nº 725 Distrito Industrial do Jatobá Belo Horizonte MG cep: 30670 – 120. Tel: (031) 33857600 13
Loquem da
empresa
Programa de
Prevenção de
Riscos
Ambientais
SESMT 2005 SINALMIG
SINAIS E SISTEMAS E
PROGRAMAÇÃO
VISUAL Ltda
Avaliação dos riscos e indicação de prioridades de ações
Os riscos identificados serão avaliados preliminarmente de forma qualitativa para fins de
priorização de ações. Será utilizada uma metodologia de gradação de riscos que leva em
consideração o dano ou efeito nocivo potencial dos agentes e/ou fatores de riscos e a
exposição a esses agentes ou, no caso de acidentes, a probabilidade de que o evento
ocorra.
Utilizando-se os critérios da metodologia adotada, serão identificadas as necessidades de
avaliações quantitativas das exposições a agentes e fatores de riscos ambientais e de
adoção, melhoria ou manutenção de medidas de controle já existentes, com a respectiva
indicação de prioridade estabelecida em função do grau de risco.
As recomendações de medidas serão feitas tendo-se em vista a hierarquia de medidas de
controle proposta na NR9, item 9.3.5.2, que prevê a adoção preferencial de medidas de
caráter coletivo ou de engenharia que efetivamente a fonte de risco. As medidas
administrativas ou de proteção individual terão caráter complementar, temporário ou
emergencial, ou ainda quando a implantação das primeiras não for viável.
As recomendações serão organizadas na forma de uma versão preliminar de um Plano de
Ação Anual, contendo para cada ação sugerida as metas, os objetivos, prioridades,
estratégia e metodologia de ação. Esta sugestão de plano servirá como instrumento de
discussão com todos os setores da empresa envolvidos no processo.
Neste primeiro momento as sugestões contidas no plano seguirão critérios estritamente
técnicos. Não serão considerados aspectos de viabilidade econômica ou disponibilidade de
soluções no mercado. Tais aspectos serão considerados quando da definição Plano de
Ação Anual efetivo
12 - TOMADA DE DECISÕES E ELABORAÇÃO DE PLANO DE AÇÃO ANUAL
Com base no documento acima, aliada à perspectiva de negócios da empresa e as
regulamentações atuais, os responsáveis da empresa decidirão que medidas serão
implantadas que serão formalizadas em um Plano de Ação Anual, que representará o
compromisso da empresa em relação ao gerenciamento e controle dos riscos ambientais
existentes na empresa. Neste plano serão indicados as metas, objetivos, estratégias de
ação, o cronograma de execução das ações e os responsáveis.
13- IMPLEMENTAÇÃO DAS AÇÕES PROGRAMADAS - AVALIAÇÕES QUANTITATIVAS
E MEDIDAS DE CONTROLE
As ações relativas ao gerenciamento e controle dos riscos ambientais serão implantadas de
acordo com o cronograma, a alocação de recursos e a atribuição de responsabilidades (de
realizar e/ou de gerenciar e acompanhar) discriminadas no Plano de Ação Anual (ver
documento específico do plano de ação). O acompanhamento das medidas implantadas será
feito através da planilha que consta do plano de ação e acompanhada pela consultoria
externa.
Rua A, nº 725 Distrito Industrial do Jatobá Belo Horizonte MG cep: 30670 – 120. Tel: (031) 33857600 14
Loquem da
empresa
Programa de
Prevenção de
Riscos
Ambientais
SESMT 2005 SINALMIG
SINAIS E SISTEMAS E
PROGRAMAÇÃO
VISUAL Ltda
14 - MONITORAÇÃO DAS EXPOSIÇÕES E DOS RISCOS
O Relatório Técnico de Reconhecimento e Avaliação dos Riscos Ambientais
identificará quais agentes, situações, tarefas e/ou grupos homogêneos de risco que
necessitam de avaliação quantitativa das exposições. Estas avaliações deverão ser
planejadas e constarem do Plano de Ação Anual.
Após a finalização das ações contidas no Plano de Ação Anual será realizada uma
avaliação qualitativa para verificação da eficiência das medidas implantadas utilizando a
mesma metodologia descrita no item 4.3 e, quando necessário, será recomendada avaliação
quantitativa (monitorização ambiental do agente) para confirmar e/ou documentar a eficiência
da medida adotada.
15 - INSPEÇÕES E AVALIAÇÃO DA EFICÁCIA DAS MEDIDAS DE CONTROLE
As inspeções sobre as condições de higiene e segurança, bem como a observância dos
procedimentos implantados será feita:
• Rotineiramente, pelos responsáveis de cada setor no que diz respeito aos riscos nele
existente.
• No mínimo a cada seis meses pela CIPA, buscando identificar a existência de novas
situações de riscos e a observância dos procedimentos propostos.
• Anualmente, pelo coordenador do PPRA ou quem designar para checar as avaliações
anteriores e identificar novas situações de risco.
As inspeções serão programadas e constarão do Plano de Ação Anual.
Relatos simplificados destas inspeções devem ser registrados e arquivados como um
documento do programa.
16 - INVESTIGAÇÃO DE ACIDENTES OU DOENÇAS OCUPACIONAIS
Cada acidente ou quase-acidente e doenças ocupacionais (identificadas pelo PCMSO) serão
objetivos de investigação e relato. Esta atividade será feita pelo responsável pelo setor em
cooperação com a CIPA.
A investigação deverá responder basicamente às seguintes perguntas:
• O que aconteceu?
• Pôr que o incidente aconteceu (identificar as causas)?
• O que deve ser feito para se evitar ocorrências semelhantes no futuro?
• Que medidas corretivas foram tomadas nos últimos tempos?
Após a investigação deverá ser elaborado um relatório sintético o qual será comunicado ao
gerente da empresa para as providências necessárias.
Rua A, nº 725 Distrito Industrial do Jatobá Belo Horizonte MG cep: 30670 – 120. Tel: (031) 33857600 15
Loquem da
empresa
Programa de
Prevenção de
Riscos
Ambientais
SESMT 2005 SINALMIG
SINAIS E SISTEMAS E
PROGRAMAÇÃO
VISUAL Ltda
17 - PERIODICIDADE E FORMA DE AVALIAÇÃO DO PPRA
Exame periódico da situação
O acompanhamento do programa deverá ser feito pelo coordenador que promoverá pelo
menos uma reunião geral a cada seis meses com todos os funcionários a quem delegou
competência para o desempenho de atividades específicas do programa, com o objetivo de
fazer os ajustes necessários no plano de ação.
Avaliação anual
Pelo menos uma vez por ano deverá ser feitas uma auditoria do programa, com profissional
externo competente em Higiene Ocupacional, escolhido a critério do coordenador do PPRA e
demais membros da diretoria.
Após a auditoria, será feita uma reunião anual com todos os envolvidos para rever os
elementos do programa, determinar prioridades para ações futuras, e estabelecer os
objetivos para o ano seguinte.
Rua A, nº 725 Distrito Industrial do Jatobá Belo Horizonte MG cep: 30670 – 120. Tel: (031) 33857600 16
Loquem da
empresa
Programa de
Prevenção de
Riscos
Ambientais
SESMT 2005 SINALMIG
SINAIS E SISTEMAS E
PROGRAMAÇÃO
VISUAL Ltda
PROGRAMA DE PREVENÇÃO DE RISCOS AMBIENTAIS (PPRA)
Plano anual
Período: 04/07/2005 à 04/07/2006
Declaração
Este documento constitui o Planejamento Anual do Programa de Prevenção de Riscos
Ambientais, conforme as exigências do item 9.2 da Norma Regulamentadora N. º 9 (NR - 9)
da Portaria 3214 do Ministério do Trabalho.
Representa o compromisso da empresa no período indicado visando à preservação da
saúde e da integridade de seus funcionários.
Descreve as ações principais a serem desenvolvidas pela empresa. Com indicação das
metas, estratégia e metodologia de ação, cronograma, e responsáveis pela execução. O
planejamento dessas ações teve como base o relatório de inicial de “Identificação e
Avaliação de Riscos Ambientais” onde foram indicadas as prioridades de avaliações
quantitativas e medidas de controle.
O acompanhamento da implementação de cada ação programada será feito utilizando-se a
planilha que constitui o anexo I deste documento.
As eventuais alterações deste plano original, durante o período de sua vigência, serão
descritas e anexadas a este documento, que estará acessível a todos os funcionários da
empresa e autoridades.
A indicação dos mecanismos de registro, manutenção e comunicação dos dados, bem como
para o acompanhamento e avaliação do desenvolvimento do PPRA estão descritas no
“Manual do PPRA”.
Belo Horizonte, 04 Julho de 2005.
Assinatura do responsável pela empresa.
SINALMIG SINAIS SISTEMAS PROGRAMAÇÃO VISUAL LTDA
Rua A, nº 725 Distrito Industrial do Jatobá Belo Horizonte MG cep: 30670 – 120. Tel: (031) 33857600 17
Loquem da
empresa
Programa de
Prevenção de
Riscos
Ambientais
SESMT 2005 SINALMIG
SINAIS E SISTEMAS E
PROGRAMAÇÃO
VISUAL Ltda
EQUIPE TÉCNICA RESPONSÁVEL
____________________________
Maria dos Santos Mendonça Moises Alves Gbriel
Tec. Seg. Trabalho Eng.Seg. Trabalho
R-21/01492-8 CREA- 05000096
Rua A, nº 725 Distrito Industrial do Jatobá Belo Horizonte MG cep: 30670 – 120. Tel: (031) 33857600 18
Loquem da
empresa
Programa de
Prevenção de
Riscos
Ambientais
SESMT 2005 SINALMIG
SINAIS E SISTEMAS E
PROGRAMAÇÃO
VISUAL Ltda
LEVANTAMENTO DE
RISCOS AMBIENTAIS
OCUPACIONAIS
ANEXO I
1 – APRESENTAÇÃO
Rua A, nº 725 Distrito Industrial do Jatobá Belo Horizonte MG cep: 30670 – 120. Tel: (031) 33857600 19
Loquem da
empresa
Programa de
Prevenção de
Riscos
Ambientais
SESMT 2005 SINALMIG
SINAIS E SISTEMAS E
PROGRAMAÇÃO
VISUAL Ltda
1.1. DAS RESPONSÁBILIDADES
Este levantamento de Riscos Ambientais Ocupacionais foi realizado para Obra de instalação
de Tanques e Bombas de combustíveis, no posto BR CASCOL- 405 NOTE localizado na
PLLN 405 Bloco A, Brasília. Cep.70846-000 CNPJ: 00.306.597/0010-98 em suas
dependências, pelo SESMT, registrada no MTE, sob o nº R-21/01492-8 tendo como
responsabilidade, os profissionais que subscrevem este documento.
1.2. DOS OBJETIVOS
Tem os objetivos de avaliar a exposição ocupacional aos agentes de risco e obter dados
confiáveis para propiciar a implantação ou otimização de medidas de controle, visando
subsidiar o processo de melhoria contínua, no aspecto de saúde e bem estar dos
empregados da empresa, fornecendo dados para o PPRA e PCMSO.
Tem também o propósito de fornecer informações fidedignas para o preenchimento de
documentos do INSS e do TEM.
1.3. DAS FASES DE EXECUÇÃO
Reconhecimento preliminar dos locais a serem avaliados colhendo dados e informações a
respeito das atividades e processos, para identificar os agentes de risco, bem como as
respectivas fontes.
Os trabalhos de campo foram desenvolvidos conforme os procedimentos das normas da
FUNDACENTRO, citadas neste documento, no que diz respeito á calibração e aferição final,
amostragens, validação e acondicionamento das amostras e estratégias de avaliação.
SUMÁRIO
Rua A, nº 725 Distrito Industrial do Jatobá Belo Horizonte MG cep: 30670 – 120. Tel: (031) 33857600 20
Loquem da
empresa
Programa de
Prevenção de
Riscos
Ambientais
SESMT 2005 SINALMIG
SINAIS E SISTEMAS E
PROGRAMAÇÃO
VISUAL Ltda
01 – APRESENTAÇÃO
02 – INTRODUÇÃO
03 – DADOS FUNDAMENTAIS
04 – INSTRUMENTAL UTILIZADO
05 – METODOLOGIA E TÉCNICAS EMPREGADAS
06 – RECONHECIMENTO
07 – PLANILHAS DE AVALIAÇÃO DA EXPOSIÇÃO OCUPACIONAL
08 – INTERPRETAÇÃO DOS RESULTADOS
09 – MEDIDAS DE CONTROLE
10 – CONCLUSÃO
11 – EQUIPE TECNICA
12 – ANEXOS
2 – INTRODUÇÃO
Rua A, nº 725 Distrito Industrial do Jatobá Belo Horizonte MG cep: 30670 – 120. Tel: (031) 33857600 21
Loquem da
empresa
Programa de
Prevenção de
Riscos
Ambientais
SESMT 2005 SINALMIG
SINAIS E SISTEMAS E
PROGRAMAÇÃO
VISUAL Ltda
O limite de tolerância segundo a NR – 15: “a concentração ou intensidade máxima ou mínima
relacionada com a natureza e o tempo de exposição ao agente, que não causará danos à
saúde do trabalhador durante a sua vida”. Esta é a definição oficial dos limites de exposição
A NR – 9 introduziu um novo conceito, quando estabelece os níveis de ação, isto é, que aja
providencias que se iniciem quando o agente de risco atingir a metade do seu limite de
tolerância, portanto, com ação preventiva. Além disso, a citada NR – 9 admite os parâmetros
quantitativos da ACGIH – American Conference Governamental Industrial Hygienists, para os
casos omissos.
É oportuno enfatizar que os referidos parâmetros não estão relacionados à insalubridade
com seus respectivos adicionais.
Busca –se através da Higiene Industrial, como é denominada nos países desenvolvidos, a
identificação, a quantificação através da avaliação e controle dos agentes de riscos, de tal
forma que o trabalhador não esteja exposto a concentrações ou intensidades que coloquem
em risco as suas saúde.
Para tanto foram adotados prioritariamente neste trabalho, os limites de tolerância da NH –
15 e na fase destes, foram empregados os limites de exposição da ACGIH, devidamente
adaptados para a carga horária de 44 horas, empregando – se para isso, os critérios Brief &
Scala.
3 - DADOS FUNDAMENTAIS
3.1. CRITÉRIOS LEGAIS
Lei nº 6514, de 22 de dezembro de 1977 – Altera V do Título II da Consolidação das leis do
trabalho, relativos à Segurança e Medicina do Trabalho.
Portaria nº 3214 de 08 de junho de 1978 – Aprova as Normas Regulamentadoras – NR do
Capítulo V da Consolidação das Leis do Trabalho, relativas à Segurança e Medicina do
Trabalho.
RUÍDO CONTÍNUO E INTERMITENTE (NR – 15 – ANEXO 1)
Rua A, nº 725 Distrito Industrial do Jatobá Belo Horizonte MG cep: 30670 – 120. Tel: (031) 33857600 22
Loquem da
empresa
Programa de
Prevenção de
Riscos
Ambientais
SESMT 2005 SINALMIG
SINAIS E SISTEMAS E
PROGRAMAÇÃO
VISUAL Ltda
Tabela 1 – Limites de Tolerância (ruído contínuo e intermitente)
NÍVEL DE RUÍDO
Db (A)
MÁXIMA
EXPOSIÇÃO DIÁRIA
PERMISSÍVEL
NÍVEL DE RUÍDO
DB (A)
MÁXIMA
EXPOSIÇÃO DIÁRIA
PERMISSÍVEL
85 8h 98 1h e 15 min
86 7h 100 1h
87 6h 102 45 min
88 5h 104 35 min
89 4h e 30 min 105 30 min
90 4h 106 25 min
91 3h e 30 min 108 20 min
92 3h 110 15 min
93 2h e 40 min 112 10 min
94 2h e 15 min 114 8 min
95 2h 115 7 min
96 1h e 45 min 115 Risco grave e eminente
Efeitos combinados, equação: C1/T1 + C2/T2 + C3/T3 +...+ Cn/Tn = EC, onde:
EC = efeitos combinados
Cn = tempo de exposição ao ruído referido
TN = máxima exposição diária ao ruídos ultrapassados
RUÍDO DE IMPACTO – NR 15 – ANEXO Nº 2
Limites de tolerância para ruídos de impacto: 120 dB (9) ou 130 dB (linear)
NR – 15 – ANEXO N. º 3 – ÓLEO MINERAL.
O manuseio de óleo mineral requer proteção a ser avaliada por inspeção de atividades
realizadas e do local de trabalho.
4 – INSTRUMENTAL UTILIZADO:
AUDIODOSÍMETRO – Os limites de tolerância para Ruído Contínuo ou Intermitente, foram
medidos em decibéis (dBs) com instrumento de nível de pressão sonora operando no circuito
de compensação “A” e circuito de resposta lenta (SLOW), SIMPSON 897 DOSIMETER
SOUD ANALYSIS REPORT TYPE S2A
DECIBELÍMETRO – marca ICEL, modelo DL – 4000, microfone do tipo capacitivo com 12
mm de diâmetro, resposta em freqüência de 31,5 até 8 kHz, escalas: 30 a 80 dB, 50 a 100
dB e 80 a 130 dB e resolução de 0,1 dB, com calibração no próprio aparelho.
5 – METODOLOGIA E TECNICAS EMPREGADAS
Rua A, nº 725 Distrito Industrial do Jatobá Belo Horizonte MG cep: 30670 – 120. Tel: (031) 33857600 23
Loquem da
empresa
Programa de
Prevenção de
Riscos
Ambientais
SESMT 2005 SINALMIG
SINAIS E SISTEMAS E
PROGRAMAÇÃO
VISUAL Ltda
5.1. RUÍDO DOSE ACUMULADA:
Método empregado para avaliar doses de ruído recebidas por trabalhadores itinerantes ou
em postos fixos de trabalho, cujos níveis de ruído variam aleatoriamente no decorrer do
tempo. Os resultados obtidos indicam a média ponderada ao longo do tempo de monitoração
individual equivalente para a jornada de trabalho.
As técnicas de medição são um conjunto de procedimentos que se iniciam com a calibração
inicial do audiodosimetro, a sua afixação ao corpo do operador, com o microfone posicionado
próximo ao seu ouvido (lapela), as anotações das atividades e operações realizadas no
período, terminando com a leitura e aferição final do instrumento, para validação dos dados
obtidos.
CARACTERIZAÇÃO BÁSICA DA UNIDADE
UNIDADE/SETOR: ESCRITÓRIO BRASILIA
CARACTERIZAÇÃO DO AMBIENTE DE TRABALHO
Sala com + ou 18m2
, paredes em alvenaria com aberturas de portas e janelas, iluminação e
ventilação natural e artificial.
CARACTERIZAÇÃO DA FORCA DE TRABALHO
Funções/ Jornada e Horários de Trabalho
Instalações Nº DE FUNCIONÁRIOS JORNADA
Engenheiro 02 44:00 horas semanais
Programador de PCO 01
Encarregado de obras 02 44:00 horas semanais
Ajudante de produção 03 44:00 horas semanais
Instalador 01 44:00 horas semanais
TOTAL DE FUNCIONÁRIOS = 09
01 - RECONHECIMENTO DOS RISCOS AMBIENTAIS REVISÃO: 00
EMPRESA: SINALMIG SINAIS E SISTEMAS E PROGRAMAÇÃO
VISUAL LTDA
RAMO DE ATIVIDADE: Indústria e comércio de
Sinalização Rodoviária
LOCAL / SETOR: ESCRITÓRIO BRASÍLIA FUNÇÃO OU CARGO: Engenheiro
Rua A, nº 725 Distrito Industrial do Jatobá Belo Horizonte MG cep: 30670 – 120. Tel: (031) 33857600 24
Loquem da
empresa
Programa de
Prevenção de
Riscos
Ambientais
SESMT 2005 SINALMIG
SINAIS E SISTEMAS E
PROGRAMAÇÃO
VISUAL Ltda
Nº DE TRABALHADORES EXPOSTOS: 02 CARGA HORÁRIA SEMANAL: 44:00 SEMANAIS
ATIVIDADES / OPERAÇÕES / EQUIPAMENTOS: Coordenada toda parte burocrática de escritório, atua como
agente fiscalizador, verificando os processos de montagem e de segurança.
AGENTES DE
RISCO
FONTE GERADORA
TRAJETÓRIA TIPO DE
EXPOSIÇÃO
MEDIDAS DE
CONTROLE
EXISTENTES
PELE
VIARESPIRATÓRIA
OLHOS
BOCA
AP.AUDITIVO
HABITUAL
EVENTUAL
FÍSICO
RUÍDO X USO DE PROTETOR
AURICULAR
VIBRAÇÃO Não há
RADIAÇÃO Não há
CHOQUE ELÉTRICO Não há
CALOR Não há
ERGONOMICO Movimentos repetitivos X Adaptar ferramenta de
trabalho de forma
ergonômica.
Posturas incorretas X
BIOLOGICO Fungos e bactérias Não há
QUÍMICO
Tintas Não há
Solventes Não há
Poeira X Uso de mascaras
descartáveis
Outros Não há
ACIDENTES
Corte Não há
Queda
Queda de material nos pés x Uso de bota de
segurança B/A
Perda de membro Não há
Outros
OBS: o Programador de PCOnão tem exposição a produtos químicos. Utiliza telefone para contatos e computador. Há necessidade de
se estar adequando o mobiliário de acordo com a NR 17, pois não esta em conformidade com a mesma. Deverá ser adequado um
suporte para o teclado. O braço do funcionário com relação ao teclado deverá fazer um ângulo de 90º. Recomenda – se a cada 60
minutos parar 10 para alongar –se.
DADOS EXISTENTES NA EMPRESA: Vide PCMSO
DADOS LITERATURA TÉCNICA (COMPROMETIMENTO DA SAÚDE):
02 - RECONHECIMENTO DOS RISCOS AMBIENTAIS REVISÃO: 00
EMPRESA: SINALMIG SINAIS E SISTEMAS E PROGRAMAÇÃO
VISUAL LTDA
RAMO DE ATIVIDADE: Indústria e comércio de
Sinalização Rodoviária
LOCAL / SETOR: ESCRITÓRIO BRASÍLIA FUNÇÃO OU CARGO: Programador de PCO
Nº DE TRABALHADORES EXPOSTOS: 01 CARGA HORÁRIA SEMANAL: 44:00 SEMANAIS
Rua A, nº 725 Distrito Industrial do Jatobá Belo Horizonte MG cep: 30670 – 120. Tel: (031) 33857600 25
Loquem da
empresa
Programa de
Prevenção de
Riscos
Ambientais
SESMT 2005 SINALMIG
SINAIS E SISTEMAS E
PROGRAMAÇÃO
VISUAL Ltda
ATIVIDADES / OPERAÇÕES / EQUIPAMENTOS: Faz requisição de materiais e equipamentos, controla o
almoxarifado, elabora planilhas, faz fechamento de caixa, faz controle dos veículos, e acompanha toda parte
burocrática de obras.
AGENTES DE
RISCO
FONTE GERADORA
TRAJETÓRIA TIPO DE
EXPOSIÇÃO
MEDIDAS DE
CONTROLE
EXISTENTES
PELE
VIARESPIRATÓRIA
OLHOS
BOCA
AP.AUDITIVO
HABITUAL
EVENTUAL
FÍSICO
RUÍDO Não há
VIBRAÇÃO Não há
RADIAÇÃO Não há
CHOQUE ELÉTRICO Não há
CALOR Não há
ERGONOMICO Movimentos repetitivos X Adaptar ferramenta de
trabalho de forma
ergonômica.
Posturas incorretas X
BIOLOGICO Fungos e bactérias Não há
QUÍMICO
Tintas Não há
Solventes Não há
Poeira Não há
Outros Não há
ACIDENTES
Corte Não há
Queda Não há
Queda de material nos pés Uso de bota de
segurança B/A
Perda de membro Não há
Outros
OBS: o Programador de PCO não tem exposição a produtos químicos. Utiliza telefone para contatos e computador. Há
necessidade de se estar adequando o mobiliário de acordo com a NR 17, pois não esta em conformidade com a mesma.
Deverá ser adequado um suporte para o teclado. O braço do funcionário com relação ao teclado deverá fazer um ângulo
de 90º. Recomenda – se a cada 60 minutos parar 10 para alongar –se.
DADOS EXISTENTES NA EMPRESA: Vide PCMSO
DADOS LITERATURA TÉCNICA (COMPROMETIMENTO DA SAÚDE):
03- RECONHECIMENTO DOS RISCOS AMBIENTAIS REVISÃO: 00
EMPRESA: SINALMIG SINAIS E SISTEMAS E PROGRAMAÇÃO
VISUAL LTDA
RAMO DE ATIVIDADE: Indústria e comércio de
Sinalização Rodoviária
LOCAL / SETOR: Escritório Brasília FUNÇÃO OU CARGO:
Nº DE TRABALHADORES EXPOSTOS: 03 CARGA HORÁRIA SEMANAL: 44:00 SEMANAIS
Rua A, nº 725 Distrito Industrial do Jatobá Belo Horizonte MG cep: 30670 – 120. Tel: (031) 33857600 26
Loquem da
empresa
Programa de
Prevenção de
Riscos
Ambientais
SESMT 2005 SINALMIG
SINAIS E SISTEMAS E
PROGRAMAÇÃO
VISUAL Ltda
DADOS COMPLEMENTARES DO SETOR
EPI – EQUIPAMENTO DE PROTEÇÃO INDIVIDUAL
Bota bico de aço, protetor auricular, , óculos de segurança, mascara descartável (quando necessário), Capacete
Quando fazem vistorias em obras…
SISTEMA DE PROTEÇÃO COLETIVA A SER MELHORADA
Extintor de .CO2
DADOS LITERATURA TÉCNICA (COMPROMETIMENTO DA SAÚDE):
04 - RECONHECIMENTO DOS RISCOS AMBIENTAIS REVISÃO: 00
EMPRESA: SINALMIG SINAIS E SISTEMAS E PROGRAMAÇÃO
VISUAL LTDA
RAMO DE ATIVIDADE: Indústria e comércio de
Sinalização Rodoviária
LOCAL / SETOR: INSTALAÇÕES FUNÇÃO OU CARGO: Encarregado de Obra
Nº DE TRABALHADORES EXPOSTOS: 02 CARGA HORÁRIA SEMANAL: 44:00 SEMANAIS
Rua A, nº 725 Distrito Industrial do Jatobá Belo Horizonte MG cep: 30670 – 120. Tel: (031) 33857600 27
Loquem da
empresa
Programa de
Prevenção de
Riscos
Ambientais
SESMT 2005 SINALMIG
SINAIS E SISTEMAS E
PROGRAMAÇÃO
VISUAL Ltda
ATIVIDADES / OPERAÇÕES / EQUIPAMENTOS: Coordena o pessoal na execução de obras, administra a mão
de obra, controla materiais, interpreta objetos e planilhas, confere medições preenche controle e caixas de
credenciamento de fornecedores.
AGENTES DE
RISCO
FONTE GERADORA
TRAJETÓRIA TIPO DE
EXPOSIÇÃO
MEDIDAS DE
CONTROLE
EXISTENTES
PELE
VIARESPIRATÓRIA
OLHOS
BOCA
AP.AUDITIVO
HABITUAL
EVENTUAL
FÍSICO
RUÍDO X USO DE PROTETOR
AURICULAR
VIBRAÇÃO X
RADIAÇÃO Não há
CHOQUE ELÉTRICO Não há
CALOR X
ERGONOMICO Movimentos repetitivos X
Posturas incorretas X
BIOLOGICO Fungos e bactérias Não há
QUÍMICO
Tintas Não há
Solventes Não há
Poeira X Uso de mascaras
descartáveis
Outros
ACIDENTES
Corte X Uso de luva de
vaqueta.
Queda X
Queda de material nos pés X Uso de bota de seg.
B/A
Perda de membro Não há
Outros
- OBS: Risco de explosão do tanque de gasolina caso não haja a inertização para neutralizar o gás. Risco de
soterramento por deslize de terra caso não haja escoramento nas escavações e fundações.
DADOS EXISTENTES NA EMPRESA: Vide PCMSO
DADOS LITERATURA TÉCNICA (COMPROMETIMENTO DA SAÚDE):
05 - RECONHECIMENTO DOS RISCOS AMBIENTAIS REVISÃO: 00
EMPRESA: SINALMIG SINAIS E SISTEMAS E PROGRAMAÇÃO
VISUAL LTDA
RAMO DE ATIVIDADE: Indústria e comércio de
Sinalização Rodoviária
LOCAL / SETOR: INSTALAÇÃO FUNÇÃO OU CARGO: Ajudante
Nº DE TRABALHADORES EXPOSTOS: 03 CARGA HORÁRIA SEMANAL: 44:00 SEMANAIS
Rua A, nº 725 Distrito Industrial do Jatobá Belo Horizonte MG cep: 30670 – 120. Tel: (031) 33857600 28
Loquem da
empresa
Programa de
Prevenção de
Riscos
Ambientais
SESMT 2005 SINALMIG
SINAIS E SISTEMAS E
PROGRAMAÇÃO
VISUAL Ltda
ATIVIDADES / OPERAÇÕES / EQUIPAMENTOS: Ajuda na montagem de tanques.Ajuda na escavação
retirando terra e entulhos.Compacta as camadas de terra.Manuseia ferramentas manuais e acondiciona
materiais.
AGENTES DE
RISCO
FONTE GERADORA
TRAJETÓRIA TIPO DE
EXPOSIÇÃO
MEDIDAS DE
CONTROLE
EXISTENTES
PELE
VIARESPIRATÓRIA
OLHOS
BOCA
AP.AUDITIVO
HABITUAL
EVENTUAL
FÍSICO
RUÍDO X Uso de protetor auricular
VIBRAÇÃO X
RADIAÇÃO Não há
CHOQUE ELÉTRICO Não há
CALOR X
ERGONOMICO Movimentos repetitivos X Não há
Posturas incorretas X Não há
BIOLOGICO Fungos e bactérias Não há
QUÍMICO
Tintas Não há
Solventes X Uso de mascaras
Poeira X Uso de mascara descartaveis
Outros Não há
ACIDENTES
Corte X Uso de luva de raspa
Queda X Eliminar ato e condição
insegura
Queda de material nos pés X Uso de bota de
segurança B/A
Perda de membro
Outros
- OBS: OBS: Risco de explosão do tanque de gasolina caso não haja a inertização para neutralizar o gás. Risco de
soterramento por deslize de terra caso não haja escoramento nas escavações e fundações.
DADOS EXISTENTES NA EMPRESA: Vide PCMSO
DADOS LITERATURA TÉCNICA (COMPROMETIMENTO DA SAÚDE):
06 - RECONHECIMENTO DOS RISCOS AMBIENTAIS REVISÃO: 00
EMPRESA: SINALMIG SINAIS E SISTEMAS E PROGRAMAÇÃO
VISUAL LTDA
RAMO DE ATIVIDADE: Indústria e comércio de
Sinalização Rodoviária
LOCAL / SETOR: INSTALAÇÃO FUNÇÃO OU CARGO: Instalador
Nº DE TRABALHADORES EXPOSTOS: 01 CARGA HORÁRIA SEMANAL: 44:00 SEMANAIS
ATIVIDADES / OPERAÇÕES / EQUIPAMENTOS: Solda em ilhas de bombas,Montagem de Tanque de
gasolina,Montagem de eletrodutos,Solda por eletro fusão,Inertisação de tanque de gasolina
Rua A, nº 725 Distrito Industrial do Jatobá Belo Horizonte MG cep: 30670 – 120. Tel: (031) 33857600 29
Loquem da
empresa
Programa de
Prevenção de
Riscos
Ambientais
SESMT 2005 SINALMIG
SINAIS E SISTEMAS E
PROGRAMAÇÃO
VISUAL Ltda
AGENTES DE
RISCO
FONTE GERADORA
TRAJETÓRIA TIPO DE
EXPOSIÇÃO
MEDIDAS DE
CONTROLE
EXISTENTES
PELE
VIARESPIRATÓRIA
OLHOS
BOCA
AP.AUDITIVO
HABITUAL
EVENTUAL
FÍSICO
RUÍDO
VIBRAÇÃO
RADIAÇÃO
CHOQUE ELÉTRICO
CALOR
ERGONOMICO Movimentos repetitivos X Não há
Posturas incorretas X Não há
BIOLOGICO Fungos e bactérias
QUÍMICO
Tintas
Solventes
Poeira
Outros
ACIDENTES
Corte
Queda
Queda de material nos pés
Perda de membro
Outros
- OBS: OBS: Risco de explosão do tanque de gasolina caso não haja a inertização para neutralizar o gás. Risco de
soterramento por deslize de terra caso não haja escoramento nas escavações e fundações.
DADOS EXISTENTES NA EMPRESA: Vide PCMSO
DADOS LITERATURA TÉCNICA (COMPROMETIMENTO DA SAÚDE):
07- RECONHECIMENTO DOS RISCOS AMBIENTAIS REVISÃO: 00
EMPRESA: SINALMIG SINAIS E SISTEMAS E PROGRAMAÇÃO
VISUAL LTDA
RAMO DE ATIVIDADE: Indústria e comércio de
Sinalização Rodoviária
LOCAL / SETOR: INSTALAÇÕES FUNÇÃO OU CARGO:
Nº DE TRABALHADORES EXPOSTOS: 06 CARGA HORÁRIA SEMANAL: 44:00 SEMANAIS
DADOS COMPLEMENTARES DO SETOR
EPI – EQUIPAMENTO DE PROTEÇÃO INDIVIDUAL
Rua A, nº 725 Distrito Industrial do Jatobá Belo Horizonte MG cep: 30670 – 120. Tel: (031) 33857600 30
Loquem da
empresa
Programa de
Prevenção de
Riscos
Ambientais
SESMT 2005 SINALMIG
SINAIS E SISTEMAS E
PROGRAMAÇÃO
VISUAL Ltda
Bota bico de aço, protetor auricular, luvas de raspa, luvas de vaqueta, óculos de segurança, mascara descartável (quando necessário),
cinto de segurança tipo pára-quedista, Capacete, Blusão de raspa, Mascara de celerom.
SISTEMA DE PROTEÇÃO COLETIVA A SER MELHORADA
Extintor de Pó Químico, Fita zebrada, Tapume, e escoramento de barranco.
DADOS LITERATURA TÉCNICA (COMPROMETIMENTO DA SAÚDE):
Rua A, nº 725 Distrito Industrial do Jatobá Belo Horizonte MG cep: 30670 – 120. Tel: (031) 33857600 31
Loquem da
empresa
Programa de
Prevenção de
Riscos
Ambientais
SESMT 2005 SINALMIG
SINAIS E SISTEMAS E
PROGRAMAÇÃO
VISUAL Ltda
7- PLANILHAS DE
AVALIAÇÃO DA
EXPOSIÇÃO
OCUPACIONAL
RISCOS AMBIENTAIS
AVALIAÇÃO DA EXPOSIÇÃO OCUPACIONAL
PLANILHA
N.º 01
CARGO/FUNÇÃO ÁREA / SETOR
Rua A, nº 725 Distrito Industrial do Jatobá Belo Horizonte MG cep: 30670 – 120. Tel: (031) 33857600 32
Loquem da
empresa
Programa de
Prevenção de
Riscos
Ambientais
SESMT 2005 SINALMIG
SINAIS E SISTEMAS E
PROGRAMAÇÃO
VISUAL Ltda
Engenheiro, Programador de PCO Escritório Brasília
DESCRIÇÃO DO LOCAL DE TRABALHO:
Sala com pé direito de mais ou menos 2,5 mts com aproximadamente 18 mts² paredes em alvenaria,
possui iluminação artificial com ventilação natural e artificial.
ITEM AGENTE DE
RISCO
METODOLOGIA
DE AVALIAÇÃO
INSTRUMENTOS
UTILIZADOS
VALOR
DETECTADO
LIMITE DE
TOLERÂNCIA
UNIDADE DE
MEDIDA
FORMA DE
EXPOSIÇÃO
01 Ruído Qualitativa -------------- ----------- ------------ Decibéis Eventual
02 Ergonomia Qualitativa ---------------- ---------- ----------- -------- Habitual
03 Acidentes Qualitativa ------------- ---------- --------- -------- Eventual
04
05
06
07
08
EPI: Quando houver necessidade de vistoria nas obras deverá usar protetor auricular, Capacete com jogular,
óculos de segurança, bota de vaqueta com bico de aço e máscara contra poeiras, fumos e névoas nos locais
determinados pelo serviço de Segurança e Medicina do Trabalho da empresa.
OBSERVAÇÕES:
EMPREGADO (S) MONITORADO (S)
PARECER TÉCNICO:
RUÍDO : Os níveis de ruído não excederam o limite de tolerância da NR-15, anexo n.º 1, Portaria 3214/78, para
exposição diária de 08 (oito) horas sem proteção auditiva.
Descaracterizada a insalubridade pelo agente físico ruído
Maria dos Santos Mendonça
Técnica de Segurança do Trabalho
Nº
R.21/01492-8
DATA
04/07/2005
assinatura
RISCOS AMBIENTAIS
AVALIAÇÃO DA EXPOSIÇÃO OCUPACIONAL
PLANILHA
N.º 02
CARGO
Ajudante de produção, Encarregado de Obra, Instalador, Engenheiro.
ÁREA / SETOR
Instalações
DESCRIÇÃO DO LOCAL DE TRABALHO:
Rua A, nº 725 Distrito Industrial do Jatobá Belo Horizonte MG cep: 30670 – 120. Tel: (031) 33857600 33
Loquem da
empresa
Programa de
Prevenção de
Riscos
Ambientais
SESMT 2005 SINALMIG
SINAIS E SISTEMAS E
PROGRAMAÇÃO
VISUAL Ltda
Atividades desenvolvidas fora da empresa em diversos Postos de gasolina.
ITEM AGENTE DE
RISCO
METODOLOGIA
DE AVALIAÇÃO
INSTRUMENTOS
UTILIZADOS
VALOR
DETECTADO
LIMITE DE
TOLERÂNCIA
UNIDADE DE
MEDIDA
FORMA DE
EXPOSIÇÃO
01 Ruído Qualitativa -------- ------ ------ Decibéis Habitual
02 Ergonômico Qualitativa ------ ------ ------ ------ Habitual
03 Acidentes Qualitativa ------ ------ ------ ------ Habitual
04
05
06
07
08
EPI : Óculos de segurança, protetor auricular, luvas de raspa, bota com bico de aço, máscara de celerom,
mascara descartáveis, e cinto de segurança tipo pára-quedista, avental de raspa, blusão de raspa, capacete
com jogular.
OBSERVAÇÕES:
EMPREGADO (S) MONITORADO (S) :
PARECER TÉCNICO :
RUÍDO : Os níveis de ruído não excederam o limite de tolerância da NR-15, anexo n.º 1, Portaria 3214/78, para
exposição diária de 08 (oito) horas sem proteção auditiva.
Descaracterizada a insalubridade pelo agente físico ruído
Maria dos Santos Mendonça
Técnica de Segurança do Trabalho
Nº
R. 21/01492-8
DATA
04/07/2005
assinatura
8 - INTERPRETAÇÃO DOS RESULTADOS
8- INTERPRETAÇÃO DOS RESULTADOS
8.1. ASPECTOS DA INSALUBRIDADE
Rua A, nº 725 Distrito Industrial do Jatobá Belo Horizonte MG cep: 30670 – 120. Tel: (031) 33857600 34
Loquem da
empresa
Programa de
Prevenção de
Riscos
Ambientais
SESMT 2005 SINALMIG
SINAIS E SISTEMAS E
PROGRAMAÇÃO
VISUAL Ltda
RUÍDO
As atividades e operações que exponham o trabalhador, sem as medidas adequadas de controle, aos
níveis de ruído contínuos, intermitentes ou de impacto superiores aos limites de tolerância da NR 15, anexos n.º
1 e 2, (veja Critérios Legais deste relatório), são consideradas insalubres em grau médio, correspondendo ao
adicional de 20% do salário mínimo da região.
A caracterização do ruído se dá para a exposição durante toda jornada de trabalho, do qual se terá o
valor através da avaliação quantitativa utilizando Audiodosimetro e, se obtendo o valor real através do seguinte
calculo:
Dose real (X) = dose % x jornada (480 minutos)
-------------------------------------------
Tempo da amostragem
Leq = Log. Dose real (X) + 5,117
-----------------------------------
0,06
Onde,
Dose real é o resultado da dose registrada na dosimetria que se multiplica pela jornada de trabalho que é de
480 minutos (8 horas) e, divide pelo tempo da amostragem (dosimetria).
Leq seria a intensidade de ruído que o trabalhador estará exposto durante toda jornada de trabalho
obtida através da equação: Logaritmo da dose real somado a 5,117 e dividido por 0,06.
8.2. ENQUADRAMENTO LEGAL
Aos agentes de risco que tenham excedido aos respectivos limites de tolerância, geram a condição de
insalubridade, a qual requer o emprego de medidas de controle coletivas nos equipamentos/ambiente, ou
individuais, no homem através do EPI. A entrega do EPI deverá ser procedida de treinamento (demonstração do
seu uso), pelos profissionais da segurança e documentados através de ficha de controle assinada pelo
funcionário que o recebeu. Em casos de EPI não descartável, deverá ser efetuada a manutenção e higienização
periódica, também documentada, para efeito legal; ao descartável deverá ser controlada a sua substituição.
A eliminação ou neutralização da insalubridade ocorre na forma da legislação de acordo com o
subitem 15.4 da NR 15 da Portaria 3214/78 : com “adoção de medidas de ordem geral que conserve o
ambiente de trabalho dentro dos limites de tolerância” ou “com utilização de equipamento de proteção
individual”.
Os parâmetros da ACGIH, quando excedidos requerem medidas de controle, mas não estão
relacionados à insalubridade, tendo neste caso, aspecto preventivo. Os referidos parâmetros são
empregados em casos de omissão da legislação brasileira, de acordo com a NR 9.
8.3. AVALIAÇÃO POR SETOR/FUNÇÃO E/OU GHE (Grupo Homogêneo de Exposição)
8.3.1 Administração
Não foram identificados agentes agressivos (químicos, físicos e biológicos) a saúde dos trabalhadores desse
setor.
Rua A, nº 725 Distrito Industrial do Jatobá Belo Horizonte MG cep: 30670 – 120. Tel: (031) 33857600 35
Loquem da
empresa
Programa de
Prevenção de
Riscos
Ambientais
SESMT 2005 SINALMIG
SINAIS E SISTEMAS E
PROGRAMAÇÃO
VISUAL Ltda
No entanto para aqueles que tenham que transitar eventualmente pelas Obras será obrigatório o uso de
protetor auricular pelos mesmos.
9- MEDIDAS DE CONTROLE
9- MEDIDAS DE CONTROLE
9.1. CONCEITOS LEGAIS
As medidas corretivas e preventivas visando à neutralização dos agentes de risco ou minimização de seus
efeitos têm geralmente quatro classes de controle:
a) Controle no homem: este é o mais cômodo de ser aplicado, porém o mais difícil de se conseguir bons
resultados, em virtude de envolver o comportamento humano, que depende de sensibilização para se ter
atitudes prevencionistas, precauções e profissionalismo. O controle consiste no uso de equipamento de
proteção individual – EPI, os quais deverão ser de boa qualidade e portadores do C.A. (Certificado de
Aprovação) do MTE. Incluem-se no controle no homem, os exames médicos admissionais, periódicos e
demissionais, o treinamento a ações educativas.
b) Medidas Administrativas: consiste na programação da produção, de tal forma que permita o revezamento
entre trabalhadores que atuem em situações de risco à saúde ou que gerem “stress”, para outras
condições mais amenas, reduzindo os tempos de exposição ao risco ou às operações monótonas ou
repetitivas. Estas medidas demandam treinamento de pessoal e em alguns casos resultam em
implicações legais, que deverão ser corrigidas com revisões no Plano de cargos e Salários; as vantagens,
entretanto, compensam em termos de melhoria nas condições de saúde ocupacional e de produtividade.
No conceito legal, os limites de tolerância delimitam as condições salubres e insalubres,
habilitando ou não o trabalhador ao recebimento do adicional.
No conceito preventivo, a NR-9, estabelece os níveis de ação para evitar que a situação se torne agressiva ao
trabalhador, os quais estabelecem que as providências preventivas sejam tomadas quando a concentração ou
intensidade do agente de risco ultrapassem a metade (50%) dos limites de tolerância (LT).
Quanto ao serviço médico, o levantamento ambiental fornece importantes dados para que o médico elabore o
PCMSO, conforme o tipo de risco evidenciado em cada setor, caracterizando os grupos de risco conforme as
atividades e operações exercidas, estabelecendo os exames clínicos e laboratoriais específicos a cada grupo,
bem como os intervalos de tempo entre cada exame, conforme a NR-7, a critério do médico do trabalho.
10- CONCLUSÃO
Em todos os canteiros de obras da empresa Sinalmig, os níveis de ruído não ultrapassaram o limite de
tolerância da NR-15 da Portaria 3.214.
Para as atividades que exponham os trabalhadores a níveis de ruído acima do limite de tolerância e seja
necessário a utilização de protetores auriculares tipo plug ou concha, estes deverão ser selecionados
Rua A, nº 725 Distrito Industrial do Jatobá Belo Horizonte MG cep: 30670 – 120. Tel: (031) 33857600 36
Loquem da
empresa
Programa de
Prevenção de
Riscos
Ambientais
SESMT 2005 SINALMIG
SINAIS E SISTEMAS E
PROGRAMAÇÃO
VISUAL Ltda
de forma que os níveis de ruído sejam reduzidos a intensidades inferiores ao nível de ação conforme
item 9.3.6 da Norma Regulamentadora NR-9 da portaria 3.214 de 8 de junho de 1978.
A constatação da eficácia do protetor auricular se dará considerando os resultados encontrados a partir
do calculo:
NPS = NPSA – (NRR x F – 7)
Onde:
NPS = Nível de Pressão Sonora no ouvido com protetor em dB (A).
NPSA = Nível de Pressão Sonora no ambiente em dB (A).
NRR = Nível de Redução de Ruído (conforme CA do EPI)
F = Fator de Correção onde:
 Para Abafador tipo Concha F = 0,75
 Para Protetor auricular do tipo Espuma moldável F = 0,5
 Para Protetor auricular do tipo Plug de inserção F = 0,3
Exemplo:
Um setor onde o nível de pressão sonora no ambiente e de 90,7 dB (A), o nível de redução de ruído do
abafador utilizado pelo individuo (abafador tipo concha) e de 25 dB, o nível de pressão sonora no ouvido com
protetor será de:
NPS = NPSA – (NRR x F – 7)
NPS = 90,7 – (25 x 0.75 – 7)
NPS = 78,95
OBS. : É IMPORTANTE SALIENTAR QUE O EPI É A ÚLTIMA ALTERNATIVA A SER ADOTADA, NO CASO
DA INVIABILIDADE E/OU IMPOSSIBILIDADE DE SE ELIMINAR OS AGENTES AGRESSIVOS NA SUA
FONTE.
Belo Horizonte, 04 de Julho de 2005.
SINALMIG SINAIS E SISTEMAS E PROGRAMAÇÃO VISUAL LTDA
Rua A, nº 725 Distrito Industrial do Jatobá Belo Horizonte MG cep: 30670 – 120. Tel: (031) 33857600 37
Loquem da
empresa
Programa de
Prevenção de
Riscos
Ambientais
SESMT 2005 SINALMIG
SINAIS E SISTEMAS E
PROGRAMAÇÃO
VISUAL Ltda
EQUIPE TÉCNICA RESPONSÁVEL
____________________________
Maria dos Santos Mendonça Moises Alves Gbriel
Tec. Seg. Trabalho Eng.Seg. Trabalho
R-21/01492-8 CREA- 05000096
12- ANEXOS
Fotos tirada do Posto da BR localizado na PLLN 405 Bloco A
CEP: 70846-000
Rua A, nº 725 Distrito Industrial do Jatobá Belo Horizonte MG cep: 30670 – 120. Tel: (031) 33857600 38
Loquem da
empresa
Programa de
Prevenção de
Riscos
Ambientais
SESMT 2005 SINALMIG
SINAIS E SISTEMAS E
PROGRAMAÇÃO
VISUAL Ltda
12.1- ANEXOS
Os C.A Certificado de Aprovação, dos Equipamentos de Segurança EPI´S.
MAPA DE RISCO GERAL CHÃO DE FÁBRICA SINALMIG SINAIS E SISTEMAS E PROGRAMAÇÃO
VISUAL Ltda - 2005
Riscos:
Rua A, nº 725 Distrito Industrial do Jatobá Belo Horizonte MG cep: 30670 – 120. Tel: (031) 33857600 39
Loquem da
empresa
Programa de
Prevenção de
Riscos
Ambientais
SESMT 2005 SINALMIG
SINAIS E SISTEMAS E
PROGRAMAÇÃO
VISUAL Ltda
GALPÃO (A)
Lado direito: 1 - portaria 2 – almoxarifado 3 – adesivagem 4 – embalagem 5 – qualidade 6 – secagem de peças 7 – estufa
8 – estante de chapas 9 – corte e dobra
Lado esquerdo: 10 – recepção 11 – banheiro e vestuário masculino 12 – manufatura 13 – SESMT 14 – serigrafia 15 –
legenda 16 – pintura 17 – modelagem 18 – elétrica 19 – manutenção
Fundo: 20- serralharia 21 – depósito de liquido combustível
GALPÃO (B)
22- refeitório 23 – pintura 24 – caldeiraria 25 – acabamento 26 – expedição
CRONOGRAMA DAS PRIORIDADES 2005/2006
PRAZO PARA EXECUÇÃO: 2004/2005
Rua A, nº 725 Distrito Industrial do Jatobá Belo Horizonte MG cep: 30670 – 120. Tel: (031) 33857600 40
GRAU DE RISCO - 04
Nº DE FUNCIONÁRIOS 234
Loquem da
empresa
Programa de
Prevenção de
Riscos
Ambientais
SESMT 2005 SINALMIG
SINAIS E SISTEMAS E
PROGRAMAÇÃO
VISUAL Ltda
MEDIDAS
Dezembro
Janeiro
Fevereiro
Março
Abril
Maio
Junho
Julho
Agosto
Setembro
Outubro
Novembro
Elaboração do PPRA X
Uso de EPIs X X X X X X X X X X X X
Treinamento sobre o uso de EPIs X X X X X X
Treinamento contra incêndios X
Primeiros Socorros X
Revisão do PPRA X
SIPAT X
Treinamento de proteção respiratória X
Treinamento de proteção auditiva X
Treinamento de CIPA X
Palestra sobre AIDS X
Rua A, nº 725 Distrito Industrial do Jatobá Belo Horizonte MG cep: 30670 – 120. Tel: (031) 33857600 41

Modelo de ppra 3

  • 1.
    Loquem da empresa Programa de Prevençãode Riscos Ambientais SESMT 2005 SINALMIG SINAIS E SISTEMAS E PROGRAMAÇÃO VISUAL Ltda Rua A, nº 725 Distrito Industrial do Jatobá Belo Horizonte MG cep: 30670 – 120. Tel: (031) 33857600 1 DOCUMENTO BASE 03 Julho de 2005 á 03 Julho de 2006
  • 2.
    Loquem da empresa Programa de Prevençãode Riscos Ambientais SESMT 2005 SINALMIG SINAIS E SISTEMAS E PROGRAMAÇÃO VISUAL Ltda ÍNDICE 1- Identificação da Empresa 03 2- Introdução 04 3- Fluxograma do PPRA 05 4- Elaboração do PPRA 06 5- Documentação 07 6- Política da Empresa 08 7- Organização 08 8- Integração 10 9- Documentação e manutenção dos registros 11 10- Treinamento 11 11- Desenvolvimento do PPRA 12 12- Tomada de decisões e elaboração do Plano de Ação Anual 14 13- Implementação das ações programadas 15 14- Monitoração das exposições e dos riscos 15 15- Inspeções e avaliação da eficácia das medidas de controle 15 16- Investigação de acidentes ou doenças ocupacionais 15 17- Periodicidade e forma de avaliação do PPRA 16 18- Declaração 17 19- Equipe Técnica Responsável 18 Rua A, nº 725 Distrito Industrial do Jatobá Belo Horizonte MG cep: 30670 – 120. Tel: (031) 33857600 2
  • 3.
    Loquem da empresa Programa de Prevençãode Riscos Ambientais SESMT 2005 SINALMIG SINAIS E SISTEMAS E PROGRAMAÇÃO VISUAL Ltda 1- IDENTIFICAÇÃO DA EMPRESA Razão Social: SINALMIG SINAIS SISTEMAS E PROGRAMAÇÃO VISUAL LTDA CNPJ: 04.022.04.61/0001- 62 INSCRIÇÃO ESTADUAL: 062.116.416.00-43 CNAE: 45.22-5-01 Ramo de Atividade: Indústria e comércio de Sinalização Rodoviária Grau de Risco: 04 N.º atual de funcionários: Masculino adulto:09 Feminino adulto: 00 Endereço: Rua A, 725 – Distrito Industrial do Jatobá. Cidade: Belo Horizonte - MG Telefone (s): (031) 3385-7600 Relação das empresas terceirizadas J.A Construção e Terraplanagem LTDA Operador de retroescavadeira - 01 Rua A, nº 725 Distrito Industrial do Jatobá Belo Horizonte MG cep: 30670 – 120. Tel: (031) 33857600 3
  • 4.
    Loquem da empresa Programa de Prevençãode Riscos Ambientais SESMT 2005 SINALMIG SINAIS E SISTEMAS E PROGRAMAÇÃO VISUAL Ltda 2 - INTRODUÇÃO O PPRA visa a preservação da saúde e integridade física dos trabalhadores, através antecipação, reconhecimento, avaliação e conseqüente controle da ocorrência de riscos ambientais existentes ou que venham a existir no ambiente de trabalho. A NR-9, Portaria 3214 do MTE, tem sua existência jurídica assegurada, a nível de legislação ordinária, através dos artigos 176 a 178 da CLT, transcritos abaixo: Art. 176 – Os locais de trabalho deverão ter ventilação natural, compatível com o serviço realizado. Parágrafo único – A ventilação artificial, será obrigatória sempre que a natural não preencha as condições de conforto térmico. Art. 177 – Se as condições do ambiente se tornarem desconfortáveis, em virtude de instalações geradoras de frio ou de calor, será obrigatório o uso de vestimenta adequada para o trabalho em tais condições ou de capelas, anteparos, paredes duplas, isolamento térmico e recursos similares, de forma que os empregados fiquem protegidos contra as radiações térmicas. Art. 178 – As condições de conforto térmico nos locais de trabalho, devem ser mantidas dentro dos limites fixados pelo Ministério do Trabalho. O Programa de Prevenção de Riscos Ambientais é obrigatório para todas as empresas e instituições que admitam trabalhadores como empregados. Tem como objetivo preservar a saúde e integridade física dos trabalhadores, através da antecipação, reconhecimento, avaliação e conseqüente controle dos riscos ambientais, considerando a proteção do meio ambiente e dos recursos naturais. A principal meta do P.P.R.A. é eliminar ou reduzir os riscos ambientais a níveis compatíveis com os limites de tolerância da NR-15 da Portaria 3.214 do Ministério do Trabalho. Rua A, nº 725 Distrito Industrial do Jatobá Belo Horizonte MG cep: 30670 – 120. Tel: (031) 33857600 4
  • 5.
    Loquem da empresa Programa de Prevençãode Riscos Ambientais SESMT 2005 SINALMIG SINAIS E SISTEMAS E PROGRAMAÇÃO VISUAL Ltda 3 - FLUXOGRAMA DO PPRA Rua A, nº 725 Distrito Industrial do Jatobá Belo Horizonte MG cep: 30670 – 120. Tel: (031) 33857600 5 Início Caracterização Básica da Unidade Avaliação Qualitativa do Risco e Priorização Monitoração da Exposição Interpretação e Tomada de Decisão Recomendações e Relatórios Implantação de Medidas de Controle Necessita mais dados Modifica controles e procedimentos Reavaliação
  • 6.
    Loquem da empresa Programa de Prevençãode Riscos Ambientais SESMT 2005 SINALMIG SINAIS E SISTEMAS E PROGRAMAÇÃO VISUAL Ltda 4 - ELABORAÇÃO DO PPRA Exigências Legais “9.3.1– O Programa de Prevenção de Riscos Ambientais, deverá incluir as seguintes etapas”: •Antecipação e reconhecimento dos riscos; •Estabelecimento de prioridades e metas de avaliação e controle; •Avaliação dos riscos e da exposição dos trabalhadores; •Implantação de medidas de controle e avaliação de sua eficácia; •Monitoramento da exposição aos riscos; •Registro e divulgação dos dados “9.2 – Da estrutura do PPRA”. 9.2.1- O Programa de Prevenção de Riscos Ambientais deverá conter, no mínimo, a seguinte estrutura; •Planejamento anual com estabelecimento de metas, prioridades e cronograma; •Estratégia e metodologia de ação; •Forma de registro, manutenção e divulgação dos dados; •Periodicidade e forma de avaliação do desenvolvimento do PPRA. 9.2.1.1 – Deverá ser efetuada sempre que necessário, e pelo menos uma vez ao ano, uma análise global do PPRA para avaliação do seu desenvolvimento e realização dos ajustes necessários e estabelecimento de novas metas e prioridades. 9.2.2 – O PPRA deverá estar descrito num documento-base contendo todos os aspectos estruturais constantes do item 9.2.1 ““. A NR-9 prevê ainda: •Levar em consideração, o conhecimento e a percepção de risco dos trabalhadores •Análise do documento-base pela CIPA •Possibilidade de negociação coletiva. Este PPRA adotará os seguintes princípios: •Abordagem unificada e integrada de todos os aspectos de SST (Segurança e Saúde do Trabalhador) (integração do PPRA e PCMSO) •Avaliação gradual dos riscos •Adoção de medidas preventivas sempre que possível, antes de realizar medidas quantitativas das exposições. •Processo de melhoria contínua •Comprometimento do empregador •Participação do trabalhador •Documentação das ações. Rua A, nº 725 Distrito Industrial do Jatobá Belo Horizonte MG cep: 30670 – 120. Tel: (031) 33857600 6
  • 7.
    Loquem da empresa Programa de Prevençãode Riscos Ambientais SESMT 2005 SINALMIG SINAIS E SISTEMAS E PROGRAMAÇÃO VISUAL Ltda 5 – DOCUMENTAÇÃO Nível estratégico: Manual do Programa Integrado PPRA-PCMSO Nível tático: Plano de Ação Anual (documento – base anual) Nível operacional: Procedimentos de Avaliação de Risco, Procedimentos do PCMSO, Procedimentos Operacionais específicos. Registros: Relatório de Avaliação de riscos abrangente, de monitorações de exposições específicas e de inspeções. O fluxograma a seguir, mostra as principais etapas dessa abordagem. DOCUMENTAÇÃO Rua A, nº 725 Distrito Industrial do Jatobá Belo Horizonte MG cep: 30670 – 120. Tel: (031) 33857600 7 Início Diagnóstico inicial Política e Organização Avaliação do programa e replanejamento Tomada de decisão Implementação Verificação e ação corretiva Relatório e Plano de Ação Emergencial Manual do Programa Relatórios Técnicos Planos de Ação Procedimentos Operacionais Registros de Inspeções e Ações Relatório Anual Novo plano de Ação Avaliação de riscos e outras exigências
  • 8.
    Loquem da empresa Programa de Prevençãode Riscos Ambientais SESMT 2005 SINALMIG SINAIS E SISTEMAS E PROGRAMAÇÃO VISUAL Ltda 6 - POLÍTICA DA EMPRESA É intenção da SINALMIG SINAIS SISTEMAS PROGRAMAÇÃO VISUAL LTDA é de estar em conformidade com todas as leis relativas à Segurança e Saúde no Trabalho, bem como à proteção do Meio-Ambiente e dos recursos naturais. A segurança e a saúde pessoal de cada funcionário desta empresa é de importância fundamental. A prevenção de danos ou doenças ocupacionais é de tal importância que será dada precedência sobre a produtividade, sempre que necessário. Na maior extensão possível, a administração irá proporcionar todas as atividades mecânicas e físicas necessárias para segurança e saúde das pessoas que trabalham na empresa, observando-se os mais elevados padrões. Este programa de prevenção de riscos ambientais incluirá também: •Providências quanto à eliminação ou minimização na maior extensão possível dos riscos ambientais. •Condução de inspeções periódicas para encontrar, eliminar e controlar riscos à saúde e segurança, assim como condições e práticas de trabalho inseguras, para estar completamente em conformidade com a lei. •Treinamento para todos os empregados em boas práticas de saúde e segurança. •Desenvolvimento e execução de regras de saúde e segurança, e a exigência que os empregados cooperem no cumprimento dessas regras como condição de emprego. •Investigação imediata e completa de todo acidente ou doença ocupacional para encontrar a causa e corrigir o problema de forma que não ocorra novamente. •Participação dos funcionários no reconhecimento dos riscos e proposição de medidas preventivas. 7 - ORGANIZAÇÃO Atribuição de Responsabilidades As atividades do PPRA serão desenvolvidas pelos funcionários que a Diretoria da SINALMIG SINAIS SISTEMAS PROGRAMAÇÃO VISUAL LTDA designar para o desempenho de tarefas específicas deste programa, sob sua orientação. Responsabilidades do Gerente da empresa •Providenciar direção política e planejamento. •Coordenar o desenvolvimento e implantação do PPRA. •Rever informações sobre o controle do programa. •Delegar responsabilidade e autoridade. •Alocar recursos financeiros necessários à execução. •Proporcionar suporte ativo ao programa, em particular, serviços especializados externos quando necessário. •Supervisionar a execução das atividades deste programa. Rua A, nº 725 Distrito Industrial do Jatobá Belo Horizonte MG cep: 30670 – 120. Tel: (031) 33857600 8
  • 9.
    Loquem da empresa Programa de Prevençãode Riscos Ambientais SESMT 2005 SINALMIG SINAIS E SISTEMAS E PROGRAMAÇÃO VISUAL Ltda Responsabilidades dos encarregados por setores designados pelo gerente •Supervisionar os funcionários para assegurar que os procedimentos corretos de trabalho estão sendo observados. •Assegurar que os equipamentos e máquinas estão em perfeito funcionamento. •Garantir a ordem e limpeza de seu setor de trabalho. •Comunicar informações sobre os riscos ambientais e procedimentos de controle. •Consultar com os funcionários sobre questões de segurança e saúde, e orientá-los quando necessário. •Manter o gerente geral informado das questões de segurança e saúde do seu setor. •Colaborar com a CIPA na investigação de acidentes ou doenças e na adoção de medidas preventivas. Do setor administrativo – SESMT (caso haja) •Manter toda a documentação relativa a este programa. •Assegurar que todos os funcionários receberam treinamento adequado para as funções que desempenham. •Manter os recursos financeiros disponíveis para a execução das atividades deste programa. •Providenciar a contratação de serviços ou aquisição de materiais necessários, em particular equipamentos de segurança individual recomendados pelos setores ou coordenador do programa. Responsabilidades de todos os empregados •Relatar fatores ou situações que considerar de risco ao seu supervisor ou gerente. •Relatar acidentes ocorridos ao seu supervisor ou gerente. •Seguir todas as regras e procedimentos da empresa. •Usar máquinas, equipamentos e materiais, somente se autorizado. •Seguir os procedimentos de sua tarefa conforme treinamento recebido. •Cooperar com a CIPA na execução de suas tarefas. •Utilizar equipamento de proteção individual quando necessário. Responsabilidades da CIPA e seus membros •Manter as reuniões regulares e elaborar atas, conforme previsto em lei (NR-5). •Acompanhar e avaliar o desenvolvimento deste programa. •Realizar as investigações de acidentes ou quase-acidentes e doenças ocupacionais, com ou sem afastamento. •Fazer recomendações sobre segurança e saúde. Rua A, nº 725 Distrito Industrial do Jatobá Belo Horizonte MG cep: 30670 – 120. Tel: (031) 33857600 9
  • 10.
    Loquem da empresa Programa de Prevençãode Riscos Ambientais SESMT 2005 SINALMIG SINAIS E SISTEMAS E PROGRAMAÇÃO VISUAL Ltda 8 - INTEGRAÇÃO Integração interna Este documento é parte complementar de outros programas e ações na área de Segurança e Saúde do Funcionário desenvolvidos na empresa, em particular o PCMSO - Programa de Controle Médico de Saúde Ocupacional, previsto na NR-7 e o programa de qualidade da empresa. O PPRA articula-se principalmente com o PCMSO de modo a se complementarem, pois o PPRA tem foco no ambiente de trabalho e o PCMSO tem foco no funcionário. Atualmente, o programa de medicina ocupacional que está sendo desenvolvido pela CLIMON, estará sendo articulado com o trabalho de avaliação ambiental. Para tanto, os riscos ambientais identificados serão informados e discutidos com os médicos do trabalho, a fim de otimizar o conjunto de exames e acompanhamentos necessários para a adequada avaliação da saúde dos funcionários. Paralelamente, os principais desvios de saúde encontrados nos exames periódicos, fornecerão indicações das prováveis áreas de risco mais críticas para a empresa. Deste modo maximiza-se o uso das informações disponíveis em prol de uma efetiva prevenção de ocorrência de desvios de saúde, através de um bem sucedido controle de riscos ambientais. Integração externa O PPRA, além de cumprir com um requisito legal, está disponível para os órgãos fiscalizadores, para o representante dos empregados e para o sindicato. Participação dos funcionários e comunicação dos riscos A participação dos funcionários no processo de identificação de situações de risco e proposição de medidas de controle será garantida através do diálogo contínuo com seu supervisor, gerente de produção ou membros da CIPA. Na etapa de reconhecimento de riscos e priorização de ações será considerada a percepção de risco dos funcionários, expressa no Mapa de Risco elaborado pela CIPA com a participação dos primeiros. Durante o levantamento de riscos os técnicos contratados para este fim terão livre acesso aos funcionários em todos os níveis hierárquicos, podendo realizar entrevistas individuais ou coletivas com o objetivo de levantar a percepção dos riscos relacionados ao trabalho pôr eles identificados, assim como ouvir e discutir sugestões sobre de medidas de controle. Cada funcionário será informado dos riscos relacionados com suas atividades por ocasião de sua contratação e durante os treinamentos recebidos, bem como através de orientações de seus supervisores. Rua A, nº 725 Distrito Industrial do Jatobá Belo Horizonte MG cep: 30670 – 120. Tel: (031) 33857600 10
  • 11.
    Loquem da empresa Programa de Prevençãode Riscos Ambientais SESMT 2005 SINALMIG SINAIS E SISTEMAS E PROGRAMAÇÃO VISUAL Ltda 9 - DOCUMENTAÇÃO E MANUTENÇÃO DOS REGISTROS Todos os documentos relativos ao PPRA estarão arquivados no setor administrativo por um período de 20 anos e deverão estar sempre acessíveis aos membros da CIPA, aos funcionários ou seus representantes e aos órgãos de fiscalização. Os documentos relativos a este programa são os abaixo discriminados. Estratégicos: • Manual do PPRA (Documento Base Genérico, não exigido legalmente). Táticos • Plano de Ação Anual (contendo no mínimo os itens exigidos na NR 09) - do ano corrente e dos anos anteriores. Operacionais: • Procedimentos específicos para reconhecimento e avaliação de riscos. • Procedimentos para controle de riscos (Ex. Gerenciamento de Produtos Perigosos, Programa de Uso de EPI, Programa de Proteção Respiratória, Controle de Sistemas de Ventilação Exaustora, etc.) Registros: • Relatório Técnico de Identificação e Avaliação dos Riscos Ambientais (o inicial e suas modificações) • Relatórios de investigações aprofundadas (ex. Análise Ergonômica, de Segurança de Vasos sob Pressão, de Higiene Ocupacional, etc.) • Relatórios de inspeções e acompanhamento do programa. • Relatórios de investigação de acidentes. • Registro dos treinamentos recebidos. • Relatórios de monitorizações ambientais realizadas, etc. Cada setor deverá ter à sua disposição o procedimento escrito específicos sobre segurança e saúde que lhe dizem respeito. Toda a documentação estará arquivada no setor de Segurança do Trabalho. 10 - TREINAMENTO DE PESSOAL Em relação ao pessoal, todos os funcionários receberão treinamentos de forma a assegurar que todos estejam informados sobre os materiais e equipamentos com os quais estão trabalhando. O treinamento será ministrado pelo responsável do setor onde atuará ou por quem o coordenador do PPRA designar. Os treinamentos incluirão: • Os procedimentos de trabalho seguros que protejam os funcionários contra exposições aos riscos ambientais; Rua A, nº 725 Distrito Industrial do Jatobá Belo Horizonte MG cep: 30670 – 120. Tel: (031) 33857600 11
  • 12.
    Loquem da empresa Programa de Prevençãode Riscos Ambientais SESMT 2005 SINALMIG SINAIS E SISTEMAS E PROGRAMAÇÃO VISUAL Ltda • Como usar os equipamentos de proteção individual e como mantê-lo em boas condições; • O que fazer em caso de emergência. Será ministrado treinamento, no mínimo: • Para os novos empregados; • Para atribuições de novas tarefas; • Quando novas substâncias, processos, procedimentos ou equipamentos foram introduzidos no local de trabalho; • Quando um novo equipamento de proteção individual for usado. Assessoramento e serviços por especialistas Para avaliação geral do programa e atividades específicas que extrapolem a capacidade dos recursos humanos disponíveis na empresa, o Gerente da SINALMIG SINAIS SISTEMAS PROGRAMAÇÃO VISUAL LTDA contratará serviços especializados de terceiros mediante sua recomendação ou aprovação. 11 - DESENVOLVIMENTO DO PPRA Antecipação de riscos A antecipação dos riscos será efetuada através da avaliação e do estudo de todas as modificações e novos projetos que venham a ocorrer no ambiente ocupacional. Esta avaliação deverá ser feita com enfoque nos riscos ocupacionais e, quando necessário, envolver uma pessoa com conhecimento técnico do assunto. É compromisso da administração da empresa assegurar que toda modificação e/ou novo projeto a ser implantado seja avaliado preliminarmente com relação aos riscos potencialmente presentes. Reconhecimento dos riscos O reconhecimento e identificação dos riscos ambientais requerem a aplicação de uma ferramenta específica que auxilie a sistematizar o risco no ambiente de trabalho e apresente como resultado as prioridades de controle ambiental do ponto de vista técnico. A metodologia utilizada para a identificação e reconhecimento de riscos ambientais aplicada por esta equipe de trabalho está descrita sucintamente no Relatório Técnico de Reconhecimento e Avaliação dos Riscos Ambientais O reconhecimento dos riscos será um processo contínuo na empresa. Ele inclui dois componentes: a caracterização dos processos e atividades, e dos riscos a eles associados; e a caracterização das exposições para cada função (ou setor de atividade). a) Caracterização do processo Consiste na descrição do processo deste a entrada da matéria até a sua expedição final, indicando para cada etapa os riscos associados (caracterizado os agentes, possíveis fontes e trajetórias de contaminação, medidas preventivas adotadas e a adequação das mesmas). A caracterização do processo será feita no Anexo 1 deste documento. b) Caracterização da força de trabalho Rua A, nº 725 Distrito Industrial do Jatobá Belo Horizonte MG cep: 30670 – 120. Tel: (031) 33857600 12
  • 13.
    Loquem da empresa Programa de Prevençãode Riscos Ambientais SESMT 2005 SINALMIG SINAIS E SISTEMAS E PROGRAMAÇÃO VISUAL Ltda Para cada setor ou atividade serão relacionadas às funções e as respectivas tarefas e os riscos associados (caracterizando as exposições a agentes ambientais). Abaixo serão listadas as respectivas funções, as atividades relacionadas e a avaliação preliminar dos riscos envolvidos, efetuados de forma qualitativa. Os riscos inerentes a cada função e conseqüente avaliação quantitativa serão listados de forma mais detalhada na planilha de Levantamento de Riscos Ambientais Ocupacionais – Anexo 1. Anexo 01 ITEM FUNÇÃO ATIVIDADES AVALIAÇÃO PRELIMINAR DOS RISCOS ENVOLVIDOS 01 Engenheiro Atua como agente fiscalizador verificando os processos de montagem e de Segurança e parte burocrática de escritório. Ergonômico - Postura incorreta. Risco de acidente 02 Programador de PCO Faz requisição de materiais e equipamentos, controle de almoxarifado, elabora planilha de custo, fechamento de caixa, acompanhamento da parte burocrática de obra, controle de veículos e envio de malotes. Ergonômico - Postura incorreta, e movimentos repetitivos. Risco de acidente. 03 Encarregado de Obra Coordena o pessoal na execução de obras, administra a mão de obra, controla materiais, interpreta objetos e planilhas, confere medições junto à fiscalização da obra, preenche controles e caixas de credenciamento de fornecedores. Ergonômico - Postura incorreta, movimentos repetitivos. Físico: ruído Acidentes: ferramentas manuais, elétrica e má acondicionamento de materiais e projeção de corpo estranho nos olhos. Químico: poeira 04 Ajudante Ajuda na montagem de tanques. Ajuda na escavação retirando terra e entulhos. Compacta as camadas de terra. Manuseia ferramentas manuais e acondiciona materiais. Ergonômico - Postura incorreta, movimentos repetitivos. Físico: ruído e vibração. Acidentes: ferramentas manuais, elétrica e má acondicionamento de materiais e projeção de corpo estranho nos olhos. Químico: Poeira 05 Instalador Solda em ilhas de bomba Montagem de Tanque de gasolina Montagem de eletrodutos Solda por eletro fusão Inertisação de tanque de gasolina Ergonômico - Postura incorreta, movimentos repetitivos. Físico: ruído, radiação não-ionizante, vibração e choque elétrico. Químico: fumos de solda, Acidentes: ferramentas manuais, elétrica e má acondicionamento de materiais e projeção de corpo estranho nos olhos. Químico: poeira Rua A, nº 725 Distrito Industrial do Jatobá Belo Horizonte MG cep: 30670 – 120. Tel: (031) 33857600 13
  • 14.
    Loquem da empresa Programa de Prevençãode Riscos Ambientais SESMT 2005 SINALMIG SINAIS E SISTEMAS E PROGRAMAÇÃO VISUAL Ltda Avaliação dos riscos e indicação de prioridades de ações Os riscos identificados serão avaliados preliminarmente de forma qualitativa para fins de priorização de ações. Será utilizada uma metodologia de gradação de riscos que leva em consideração o dano ou efeito nocivo potencial dos agentes e/ou fatores de riscos e a exposição a esses agentes ou, no caso de acidentes, a probabilidade de que o evento ocorra. Utilizando-se os critérios da metodologia adotada, serão identificadas as necessidades de avaliações quantitativas das exposições a agentes e fatores de riscos ambientais e de adoção, melhoria ou manutenção de medidas de controle já existentes, com a respectiva indicação de prioridade estabelecida em função do grau de risco. As recomendações de medidas serão feitas tendo-se em vista a hierarquia de medidas de controle proposta na NR9, item 9.3.5.2, que prevê a adoção preferencial de medidas de caráter coletivo ou de engenharia que efetivamente a fonte de risco. As medidas administrativas ou de proteção individual terão caráter complementar, temporário ou emergencial, ou ainda quando a implantação das primeiras não for viável. As recomendações serão organizadas na forma de uma versão preliminar de um Plano de Ação Anual, contendo para cada ação sugerida as metas, os objetivos, prioridades, estratégia e metodologia de ação. Esta sugestão de plano servirá como instrumento de discussão com todos os setores da empresa envolvidos no processo. Neste primeiro momento as sugestões contidas no plano seguirão critérios estritamente técnicos. Não serão considerados aspectos de viabilidade econômica ou disponibilidade de soluções no mercado. Tais aspectos serão considerados quando da definição Plano de Ação Anual efetivo 12 - TOMADA DE DECISÕES E ELABORAÇÃO DE PLANO DE AÇÃO ANUAL Com base no documento acima, aliada à perspectiva de negócios da empresa e as regulamentações atuais, os responsáveis da empresa decidirão que medidas serão implantadas que serão formalizadas em um Plano de Ação Anual, que representará o compromisso da empresa em relação ao gerenciamento e controle dos riscos ambientais existentes na empresa. Neste plano serão indicados as metas, objetivos, estratégias de ação, o cronograma de execução das ações e os responsáveis. 13- IMPLEMENTAÇÃO DAS AÇÕES PROGRAMADAS - AVALIAÇÕES QUANTITATIVAS E MEDIDAS DE CONTROLE As ações relativas ao gerenciamento e controle dos riscos ambientais serão implantadas de acordo com o cronograma, a alocação de recursos e a atribuição de responsabilidades (de realizar e/ou de gerenciar e acompanhar) discriminadas no Plano de Ação Anual (ver documento específico do plano de ação). O acompanhamento das medidas implantadas será feito através da planilha que consta do plano de ação e acompanhada pela consultoria externa. Rua A, nº 725 Distrito Industrial do Jatobá Belo Horizonte MG cep: 30670 – 120. Tel: (031) 33857600 14
  • 15.
    Loquem da empresa Programa de Prevençãode Riscos Ambientais SESMT 2005 SINALMIG SINAIS E SISTEMAS E PROGRAMAÇÃO VISUAL Ltda 14 - MONITORAÇÃO DAS EXPOSIÇÕES E DOS RISCOS O Relatório Técnico de Reconhecimento e Avaliação dos Riscos Ambientais identificará quais agentes, situações, tarefas e/ou grupos homogêneos de risco que necessitam de avaliação quantitativa das exposições. Estas avaliações deverão ser planejadas e constarem do Plano de Ação Anual. Após a finalização das ações contidas no Plano de Ação Anual será realizada uma avaliação qualitativa para verificação da eficiência das medidas implantadas utilizando a mesma metodologia descrita no item 4.3 e, quando necessário, será recomendada avaliação quantitativa (monitorização ambiental do agente) para confirmar e/ou documentar a eficiência da medida adotada. 15 - INSPEÇÕES E AVALIAÇÃO DA EFICÁCIA DAS MEDIDAS DE CONTROLE As inspeções sobre as condições de higiene e segurança, bem como a observância dos procedimentos implantados será feita: • Rotineiramente, pelos responsáveis de cada setor no que diz respeito aos riscos nele existente. • No mínimo a cada seis meses pela CIPA, buscando identificar a existência de novas situações de riscos e a observância dos procedimentos propostos. • Anualmente, pelo coordenador do PPRA ou quem designar para checar as avaliações anteriores e identificar novas situações de risco. As inspeções serão programadas e constarão do Plano de Ação Anual. Relatos simplificados destas inspeções devem ser registrados e arquivados como um documento do programa. 16 - INVESTIGAÇÃO DE ACIDENTES OU DOENÇAS OCUPACIONAIS Cada acidente ou quase-acidente e doenças ocupacionais (identificadas pelo PCMSO) serão objetivos de investigação e relato. Esta atividade será feita pelo responsável pelo setor em cooperação com a CIPA. A investigação deverá responder basicamente às seguintes perguntas: • O que aconteceu? • Pôr que o incidente aconteceu (identificar as causas)? • O que deve ser feito para se evitar ocorrências semelhantes no futuro? • Que medidas corretivas foram tomadas nos últimos tempos? Após a investigação deverá ser elaborado um relatório sintético o qual será comunicado ao gerente da empresa para as providências necessárias. Rua A, nº 725 Distrito Industrial do Jatobá Belo Horizonte MG cep: 30670 – 120. Tel: (031) 33857600 15
  • 16.
    Loquem da empresa Programa de Prevençãode Riscos Ambientais SESMT 2005 SINALMIG SINAIS E SISTEMAS E PROGRAMAÇÃO VISUAL Ltda 17 - PERIODICIDADE E FORMA DE AVALIAÇÃO DO PPRA Exame periódico da situação O acompanhamento do programa deverá ser feito pelo coordenador que promoverá pelo menos uma reunião geral a cada seis meses com todos os funcionários a quem delegou competência para o desempenho de atividades específicas do programa, com o objetivo de fazer os ajustes necessários no plano de ação. Avaliação anual Pelo menos uma vez por ano deverá ser feitas uma auditoria do programa, com profissional externo competente em Higiene Ocupacional, escolhido a critério do coordenador do PPRA e demais membros da diretoria. Após a auditoria, será feita uma reunião anual com todos os envolvidos para rever os elementos do programa, determinar prioridades para ações futuras, e estabelecer os objetivos para o ano seguinte. Rua A, nº 725 Distrito Industrial do Jatobá Belo Horizonte MG cep: 30670 – 120. Tel: (031) 33857600 16
  • 17.
    Loquem da empresa Programa de Prevençãode Riscos Ambientais SESMT 2005 SINALMIG SINAIS E SISTEMAS E PROGRAMAÇÃO VISUAL Ltda PROGRAMA DE PREVENÇÃO DE RISCOS AMBIENTAIS (PPRA) Plano anual Período: 04/07/2005 à 04/07/2006 Declaração Este documento constitui o Planejamento Anual do Programa de Prevenção de Riscos Ambientais, conforme as exigências do item 9.2 da Norma Regulamentadora N. º 9 (NR - 9) da Portaria 3214 do Ministério do Trabalho. Representa o compromisso da empresa no período indicado visando à preservação da saúde e da integridade de seus funcionários. Descreve as ações principais a serem desenvolvidas pela empresa. Com indicação das metas, estratégia e metodologia de ação, cronograma, e responsáveis pela execução. O planejamento dessas ações teve como base o relatório de inicial de “Identificação e Avaliação de Riscos Ambientais” onde foram indicadas as prioridades de avaliações quantitativas e medidas de controle. O acompanhamento da implementação de cada ação programada será feito utilizando-se a planilha que constitui o anexo I deste documento. As eventuais alterações deste plano original, durante o período de sua vigência, serão descritas e anexadas a este documento, que estará acessível a todos os funcionários da empresa e autoridades. A indicação dos mecanismos de registro, manutenção e comunicação dos dados, bem como para o acompanhamento e avaliação do desenvolvimento do PPRA estão descritas no “Manual do PPRA”. Belo Horizonte, 04 Julho de 2005. Assinatura do responsável pela empresa. SINALMIG SINAIS SISTEMAS PROGRAMAÇÃO VISUAL LTDA Rua A, nº 725 Distrito Industrial do Jatobá Belo Horizonte MG cep: 30670 – 120. Tel: (031) 33857600 17
  • 18.
    Loquem da empresa Programa de Prevençãode Riscos Ambientais SESMT 2005 SINALMIG SINAIS E SISTEMAS E PROGRAMAÇÃO VISUAL Ltda EQUIPE TÉCNICA RESPONSÁVEL ____________________________ Maria dos Santos Mendonça Moises Alves Gbriel Tec. Seg. Trabalho Eng.Seg. Trabalho R-21/01492-8 CREA- 05000096 Rua A, nº 725 Distrito Industrial do Jatobá Belo Horizonte MG cep: 30670 – 120. Tel: (031) 33857600 18
  • 19.
    Loquem da empresa Programa de Prevençãode Riscos Ambientais SESMT 2005 SINALMIG SINAIS E SISTEMAS E PROGRAMAÇÃO VISUAL Ltda LEVANTAMENTO DE RISCOS AMBIENTAIS OCUPACIONAIS ANEXO I 1 – APRESENTAÇÃO Rua A, nº 725 Distrito Industrial do Jatobá Belo Horizonte MG cep: 30670 – 120. Tel: (031) 33857600 19
  • 20.
    Loquem da empresa Programa de Prevençãode Riscos Ambientais SESMT 2005 SINALMIG SINAIS E SISTEMAS E PROGRAMAÇÃO VISUAL Ltda 1.1. DAS RESPONSÁBILIDADES Este levantamento de Riscos Ambientais Ocupacionais foi realizado para Obra de instalação de Tanques e Bombas de combustíveis, no posto BR CASCOL- 405 NOTE localizado na PLLN 405 Bloco A, Brasília. Cep.70846-000 CNPJ: 00.306.597/0010-98 em suas dependências, pelo SESMT, registrada no MTE, sob o nº R-21/01492-8 tendo como responsabilidade, os profissionais que subscrevem este documento. 1.2. DOS OBJETIVOS Tem os objetivos de avaliar a exposição ocupacional aos agentes de risco e obter dados confiáveis para propiciar a implantação ou otimização de medidas de controle, visando subsidiar o processo de melhoria contínua, no aspecto de saúde e bem estar dos empregados da empresa, fornecendo dados para o PPRA e PCMSO. Tem também o propósito de fornecer informações fidedignas para o preenchimento de documentos do INSS e do TEM. 1.3. DAS FASES DE EXECUÇÃO Reconhecimento preliminar dos locais a serem avaliados colhendo dados e informações a respeito das atividades e processos, para identificar os agentes de risco, bem como as respectivas fontes. Os trabalhos de campo foram desenvolvidos conforme os procedimentos das normas da FUNDACENTRO, citadas neste documento, no que diz respeito á calibração e aferição final, amostragens, validação e acondicionamento das amostras e estratégias de avaliação. SUMÁRIO Rua A, nº 725 Distrito Industrial do Jatobá Belo Horizonte MG cep: 30670 – 120. Tel: (031) 33857600 20
  • 21.
    Loquem da empresa Programa de Prevençãode Riscos Ambientais SESMT 2005 SINALMIG SINAIS E SISTEMAS E PROGRAMAÇÃO VISUAL Ltda 01 – APRESENTAÇÃO 02 – INTRODUÇÃO 03 – DADOS FUNDAMENTAIS 04 – INSTRUMENTAL UTILIZADO 05 – METODOLOGIA E TÉCNICAS EMPREGADAS 06 – RECONHECIMENTO 07 – PLANILHAS DE AVALIAÇÃO DA EXPOSIÇÃO OCUPACIONAL 08 – INTERPRETAÇÃO DOS RESULTADOS 09 – MEDIDAS DE CONTROLE 10 – CONCLUSÃO 11 – EQUIPE TECNICA 12 – ANEXOS 2 – INTRODUÇÃO Rua A, nº 725 Distrito Industrial do Jatobá Belo Horizonte MG cep: 30670 – 120. Tel: (031) 33857600 21
  • 22.
    Loquem da empresa Programa de Prevençãode Riscos Ambientais SESMT 2005 SINALMIG SINAIS E SISTEMAS E PROGRAMAÇÃO VISUAL Ltda O limite de tolerância segundo a NR – 15: “a concentração ou intensidade máxima ou mínima relacionada com a natureza e o tempo de exposição ao agente, que não causará danos à saúde do trabalhador durante a sua vida”. Esta é a definição oficial dos limites de exposição A NR – 9 introduziu um novo conceito, quando estabelece os níveis de ação, isto é, que aja providencias que se iniciem quando o agente de risco atingir a metade do seu limite de tolerância, portanto, com ação preventiva. Além disso, a citada NR – 9 admite os parâmetros quantitativos da ACGIH – American Conference Governamental Industrial Hygienists, para os casos omissos. É oportuno enfatizar que os referidos parâmetros não estão relacionados à insalubridade com seus respectivos adicionais. Busca –se através da Higiene Industrial, como é denominada nos países desenvolvidos, a identificação, a quantificação através da avaliação e controle dos agentes de riscos, de tal forma que o trabalhador não esteja exposto a concentrações ou intensidades que coloquem em risco as suas saúde. Para tanto foram adotados prioritariamente neste trabalho, os limites de tolerância da NH – 15 e na fase destes, foram empregados os limites de exposição da ACGIH, devidamente adaptados para a carga horária de 44 horas, empregando – se para isso, os critérios Brief & Scala. 3 - DADOS FUNDAMENTAIS 3.1. CRITÉRIOS LEGAIS Lei nº 6514, de 22 de dezembro de 1977 – Altera V do Título II da Consolidação das leis do trabalho, relativos à Segurança e Medicina do Trabalho. Portaria nº 3214 de 08 de junho de 1978 – Aprova as Normas Regulamentadoras – NR do Capítulo V da Consolidação das Leis do Trabalho, relativas à Segurança e Medicina do Trabalho. RUÍDO CONTÍNUO E INTERMITENTE (NR – 15 – ANEXO 1) Rua A, nº 725 Distrito Industrial do Jatobá Belo Horizonte MG cep: 30670 – 120. Tel: (031) 33857600 22
  • 23.
    Loquem da empresa Programa de Prevençãode Riscos Ambientais SESMT 2005 SINALMIG SINAIS E SISTEMAS E PROGRAMAÇÃO VISUAL Ltda Tabela 1 – Limites de Tolerância (ruído contínuo e intermitente) NÍVEL DE RUÍDO Db (A) MÁXIMA EXPOSIÇÃO DIÁRIA PERMISSÍVEL NÍVEL DE RUÍDO DB (A) MÁXIMA EXPOSIÇÃO DIÁRIA PERMISSÍVEL 85 8h 98 1h e 15 min 86 7h 100 1h 87 6h 102 45 min 88 5h 104 35 min 89 4h e 30 min 105 30 min 90 4h 106 25 min 91 3h e 30 min 108 20 min 92 3h 110 15 min 93 2h e 40 min 112 10 min 94 2h e 15 min 114 8 min 95 2h 115 7 min 96 1h e 45 min 115 Risco grave e eminente Efeitos combinados, equação: C1/T1 + C2/T2 + C3/T3 +...+ Cn/Tn = EC, onde: EC = efeitos combinados Cn = tempo de exposição ao ruído referido TN = máxima exposição diária ao ruídos ultrapassados RUÍDO DE IMPACTO – NR 15 – ANEXO Nº 2 Limites de tolerância para ruídos de impacto: 120 dB (9) ou 130 dB (linear) NR – 15 – ANEXO N. º 3 – ÓLEO MINERAL. O manuseio de óleo mineral requer proteção a ser avaliada por inspeção de atividades realizadas e do local de trabalho. 4 – INSTRUMENTAL UTILIZADO: AUDIODOSÍMETRO – Os limites de tolerância para Ruído Contínuo ou Intermitente, foram medidos em decibéis (dBs) com instrumento de nível de pressão sonora operando no circuito de compensação “A” e circuito de resposta lenta (SLOW), SIMPSON 897 DOSIMETER SOUD ANALYSIS REPORT TYPE S2A DECIBELÍMETRO – marca ICEL, modelo DL – 4000, microfone do tipo capacitivo com 12 mm de diâmetro, resposta em freqüência de 31,5 até 8 kHz, escalas: 30 a 80 dB, 50 a 100 dB e 80 a 130 dB e resolução de 0,1 dB, com calibração no próprio aparelho. 5 – METODOLOGIA E TECNICAS EMPREGADAS Rua A, nº 725 Distrito Industrial do Jatobá Belo Horizonte MG cep: 30670 – 120. Tel: (031) 33857600 23
  • 24.
    Loquem da empresa Programa de Prevençãode Riscos Ambientais SESMT 2005 SINALMIG SINAIS E SISTEMAS E PROGRAMAÇÃO VISUAL Ltda 5.1. RUÍDO DOSE ACUMULADA: Método empregado para avaliar doses de ruído recebidas por trabalhadores itinerantes ou em postos fixos de trabalho, cujos níveis de ruído variam aleatoriamente no decorrer do tempo. Os resultados obtidos indicam a média ponderada ao longo do tempo de monitoração individual equivalente para a jornada de trabalho. As técnicas de medição são um conjunto de procedimentos que se iniciam com a calibração inicial do audiodosimetro, a sua afixação ao corpo do operador, com o microfone posicionado próximo ao seu ouvido (lapela), as anotações das atividades e operações realizadas no período, terminando com a leitura e aferição final do instrumento, para validação dos dados obtidos. CARACTERIZAÇÃO BÁSICA DA UNIDADE UNIDADE/SETOR: ESCRITÓRIO BRASILIA CARACTERIZAÇÃO DO AMBIENTE DE TRABALHO Sala com + ou 18m2 , paredes em alvenaria com aberturas de portas e janelas, iluminação e ventilação natural e artificial. CARACTERIZAÇÃO DA FORCA DE TRABALHO Funções/ Jornada e Horários de Trabalho Instalações Nº DE FUNCIONÁRIOS JORNADA Engenheiro 02 44:00 horas semanais Programador de PCO 01 Encarregado de obras 02 44:00 horas semanais Ajudante de produção 03 44:00 horas semanais Instalador 01 44:00 horas semanais TOTAL DE FUNCIONÁRIOS = 09 01 - RECONHECIMENTO DOS RISCOS AMBIENTAIS REVISÃO: 00 EMPRESA: SINALMIG SINAIS E SISTEMAS E PROGRAMAÇÃO VISUAL LTDA RAMO DE ATIVIDADE: Indústria e comércio de Sinalização Rodoviária LOCAL / SETOR: ESCRITÓRIO BRASÍLIA FUNÇÃO OU CARGO: Engenheiro Rua A, nº 725 Distrito Industrial do Jatobá Belo Horizonte MG cep: 30670 – 120. Tel: (031) 33857600 24
  • 25.
    Loquem da empresa Programa de Prevençãode Riscos Ambientais SESMT 2005 SINALMIG SINAIS E SISTEMAS E PROGRAMAÇÃO VISUAL Ltda Nº DE TRABALHADORES EXPOSTOS: 02 CARGA HORÁRIA SEMANAL: 44:00 SEMANAIS ATIVIDADES / OPERAÇÕES / EQUIPAMENTOS: Coordenada toda parte burocrática de escritório, atua como agente fiscalizador, verificando os processos de montagem e de segurança. AGENTES DE RISCO FONTE GERADORA TRAJETÓRIA TIPO DE EXPOSIÇÃO MEDIDAS DE CONTROLE EXISTENTES PELE VIARESPIRATÓRIA OLHOS BOCA AP.AUDITIVO HABITUAL EVENTUAL FÍSICO RUÍDO X USO DE PROTETOR AURICULAR VIBRAÇÃO Não há RADIAÇÃO Não há CHOQUE ELÉTRICO Não há CALOR Não há ERGONOMICO Movimentos repetitivos X Adaptar ferramenta de trabalho de forma ergonômica. Posturas incorretas X BIOLOGICO Fungos e bactérias Não há QUÍMICO Tintas Não há Solventes Não há Poeira X Uso de mascaras descartáveis Outros Não há ACIDENTES Corte Não há Queda Queda de material nos pés x Uso de bota de segurança B/A Perda de membro Não há Outros OBS: o Programador de PCOnão tem exposição a produtos químicos. Utiliza telefone para contatos e computador. Há necessidade de se estar adequando o mobiliário de acordo com a NR 17, pois não esta em conformidade com a mesma. Deverá ser adequado um suporte para o teclado. O braço do funcionário com relação ao teclado deverá fazer um ângulo de 90º. Recomenda – se a cada 60 minutos parar 10 para alongar –se. DADOS EXISTENTES NA EMPRESA: Vide PCMSO DADOS LITERATURA TÉCNICA (COMPROMETIMENTO DA SAÚDE): 02 - RECONHECIMENTO DOS RISCOS AMBIENTAIS REVISÃO: 00 EMPRESA: SINALMIG SINAIS E SISTEMAS E PROGRAMAÇÃO VISUAL LTDA RAMO DE ATIVIDADE: Indústria e comércio de Sinalização Rodoviária LOCAL / SETOR: ESCRITÓRIO BRASÍLIA FUNÇÃO OU CARGO: Programador de PCO Nº DE TRABALHADORES EXPOSTOS: 01 CARGA HORÁRIA SEMANAL: 44:00 SEMANAIS Rua A, nº 725 Distrito Industrial do Jatobá Belo Horizonte MG cep: 30670 – 120. Tel: (031) 33857600 25
  • 26.
    Loquem da empresa Programa de Prevençãode Riscos Ambientais SESMT 2005 SINALMIG SINAIS E SISTEMAS E PROGRAMAÇÃO VISUAL Ltda ATIVIDADES / OPERAÇÕES / EQUIPAMENTOS: Faz requisição de materiais e equipamentos, controla o almoxarifado, elabora planilhas, faz fechamento de caixa, faz controle dos veículos, e acompanha toda parte burocrática de obras. AGENTES DE RISCO FONTE GERADORA TRAJETÓRIA TIPO DE EXPOSIÇÃO MEDIDAS DE CONTROLE EXISTENTES PELE VIARESPIRATÓRIA OLHOS BOCA AP.AUDITIVO HABITUAL EVENTUAL FÍSICO RUÍDO Não há VIBRAÇÃO Não há RADIAÇÃO Não há CHOQUE ELÉTRICO Não há CALOR Não há ERGONOMICO Movimentos repetitivos X Adaptar ferramenta de trabalho de forma ergonômica. Posturas incorretas X BIOLOGICO Fungos e bactérias Não há QUÍMICO Tintas Não há Solventes Não há Poeira Não há Outros Não há ACIDENTES Corte Não há Queda Não há Queda de material nos pés Uso de bota de segurança B/A Perda de membro Não há Outros OBS: o Programador de PCO não tem exposição a produtos químicos. Utiliza telefone para contatos e computador. Há necessidade de se estar adequando o mobiliário de acordo com a NR 17, pois não esta em conformidade com a mesma. Deverá ser adequado um suporte para o teclado. O braço do funcionário com relação ao teclado deverá fazer um ângulo de 90º. Recomenda – se a cada 60 minutos parar 10 para alongar –se. DADOS EXISTENTES NA EMPRESA: Vide PCMSO DADOS LITERATURA TÉCNICA (COMPROMETIMENTO DA SAÚDE): 03- RECONHECIMENTO DOS RISCOS AMBIENTAIS REVISÃO: 00 EMPRESA: SINALMIG SINAIS E SISTEMAS E PROGRAMAÇÃO VISUAL LTDA RAMO DE ATIVIDADE: Indústria e comércio de Sinalização Rodoviária LOCAL / SETOR: Escritório Brasília FUNÇÃO OU CARGO: Nº DE TRABALHADORES EXPOSTOS: 03 CARGA HORÁRIA SEMANAL: 44:00 SEMANAIS Rua A, nº 725 Distrito Industrial do Jatobá Belo Horizonte MG cep: 30670 – 120. Tel: (031) 33857600 26
  • 27.
    Loquem da empresa Programa de Prevençãode Riscos Ambientais SESMT 2005 SINALMIG SINAIS E SISTEMAS E PROGRAMAÇÃO VISUAL Ltda DADOS COMPLEMENTARES DO SETOR EPI – EQUIPAMENTO DE PROTEÇÃO INDIVIDUAL Bota bico de aço, protetor auricular, , óculos de segurança, mascara descartável (quando necessário), Capacete Quando fazem vistorias em obras… SISTEMA DE PROTEÇÃO COLETIVA A SER MELHORADA Extintor de .CO2 DADOS LITERATURA TÉCNICA (COMPROMETIMENTO DA SAÚDE): 04 - RECONHECIMENTO DOS RISCOS AMBIENTAIS REVISÃO: 00 EMPRESA: SINALMIG SINAIS E SISTEMAS E PROGRAMAÇÃO VISUAL LTDA RAMO DE ATIVIDADE: Indústria e comércio de Sinalização Rodoviária LOCAL / SETOR: INSTALAÇÕES FUNÇÃO OU CARGO: Encarregado de Obra Nº DE TRABALHADORES EXPOSTOS: 02 CARGA HORÁRIA SEMANAL: 44:00 SEMANAIS Rua A, nº 725 Distrito Industrial do Jatobá Belo Horizonte MG cep: 30670 – 120. Tel: (031) 33857600 27
  • 28.
    Loquem da empresa Programa de Prevençãode Riscos Ambientais SESMT 2005 SINALMIG SINAIS E SISTEMAS E PROGRAMAÇÃO VISUAL Ltda ATIVIDADES / OPERAÇÕES / EQUIPAMENTOS: Coordena o pessoal na execução de obras, administra a mão de obra, controla materiais, interpreta objetos e planilhas, confere medições preenche controle e caixas de credenciamento de fornecedores. AGENTES DE RISCO FONTE GERADORA TRAJETÓRIA TIPO DE EXPOSIÇÃO MEDIDAS DE CONTROLE EXISTENTES PELE VIARESPIRATÓRIA OLHOS BOCA AP.AUDITIVO HABITUAL EVENTUAL FÍSICO RUÍDO X USO DE PROTETOR AURICULAR VIBRAÇÃO X RADIAÇÃO Não há CHOQUE ELÉTRICO Não há CALOR X ERGONOMICO Movimentos repetitivos X Posturas incorretas X BIOLOGICO Fungos e bactérias Não há QUÍMICO Tintas Não há Solventes Não há Poeira X Uso de mascaras descartáveis Outros ACIDENTES Corte X Uso de luva de vaqueta. Queda X Queda de material nos pés X Uso de bota de seg. B/A Perda de membro Não há Outros - OBS: Risco de explosão do tanque de gasolina caso não haja a inertização para neutralizar o gás. Risco de soterramento por deslize de terra caso não haja escoramento nas escavações e fundações. DADOS EXISTENTES NA EMPRESA: Vide PCMSO DADOS LITERATURA TÉCNICA (COMPROMETIMENTO DA SAÚDE): 05 - RECONHECIMENTO DOS RISCOS AMBIENTAIS REVISÃO: 00 EMPRESA: SINALMIG SINAIS E SISTEMAS E PROGRAMAÇÃO VISUAL LTDA RAMO DE ATIVIDADE: Indústria e comércio de Sinalização Rodoviária LOCAL / SETOR: INSTALAÇÃO FUNÇÃO OU CARGO: Ajudante Nº DE TRABALHADORES EXPOSTOS: 03 CARGA HORÁRIA SEMANAL: 44:00 SEMANAIS Rua A, nº 725 Distrito Industrial do Jatobá Belo Horizonte MG cep: 30670 – 120. Tel: (031) 33857600 28
  • 29.
    Loquem da empresa Programa de Prevençãode Riscos Ambientais SESMT 2005 SINALMIG SINAIS E SISTEMAS E PROGRAMAÇÃO VISUAL Ltda ATIVIDADES / OPERAÇÕES / EQUIPAMENTOS: Ajuda na montagem de tanques.Ajuda na escavação retirando terra e entulhos.Compacta as camadas de terra.Manuseia ferramentas manuais e acondiciona materiais. AGENTES DE RISCO FONTE GERADORA TRAJETÓRIA TIPO DE EXPOSIÇÃO MEDIDAS DE CONTROLE EXISTENTES PELE VIARESPIRATÓRIA OLHOS BOCA AP.AUDITIVO HABITUAL EVENTUAL FÍSICO RUÍDO X Uso de protetor auricular VIBRAÇÃO X RADIAÇÃO Não há CHOQUE ELÉTRICO Não há CALOR X ERGONOMICO Movimentos repetitivos X Não há Posturas incorretas X Não há BIOLOGICO Fungos e bactérias Não há QUÍMICO Tintas Não há Solventes X Uso de mascaras Poeira X Uso de mascara descartaveis Outros Não há ACIDENTES Corte X Uso de luva de raspa Queda X Eliminar ato e condição insegura Queda de material nos pés X Uso de bota de segurança B/A Perda de membro Outros - OBS: OBS: Risco de explosão do tanque de gasolina caso não haja a inertização para neutralizar o gás. Risco de soterramento por deslize de terra caso não haja escoramento nas escavações e fundações. DADOS EXISTENTES NA EMPRESA: Vide PCMSO DADOS LITERATURA TÉCNICA (COMPROMETIMENTO DA SAÚDE): 06 - RECONHECIMENTO DOS RISCOS AMBIENTAIS REVISÃO: 00 EMPRESA: SINALMIG SINAIS E SISTEMAS E PROGRAMAÇÃO VISUAL LTDA RAMO DE ATIVIDADE: Indústria e comércio de Sinalização Rodoviária LOCAL / SETOR: INSTALAÇÃO FUNÇÃO OU CARGO: Instalador Nº DE TRABALHADORES EXPOSTOS: 01 CARGA HORÁRIA SEMANAL: 44:00 SEMANAIS ATIVIDADES / OPERAÇÕES / EQUIPAMENTOS: Solda em ilhas de bombas,Montagem de Tanque de gasolina,Montagem de eletrodutos,Solda por eletro fusão,Inertisação de tanque de gasolina Rua A, nº 725 Distrito Industrial do Jatobá Belo Horizonte MG cep: 30670 – 120. Tel: (031) 33857600 29
  • 30.
    Loquem da empresa Programa de Prevençãode Riscos Ambientais SESMT 2005 SINALMIG SINAIS E SISTEMAS E PROGRAMAÇÃO VISUAL Ltda AGENTES DE RISCO FONTE GERADORA TRAJETÓRIA TIPO DE EXPOSIÇÃO MEDIDAS DE CONTROLE EXISTENTES PELE VIARESPIRATÓRIA OLHOS BOCA AP.AUDITIVO HABITUAL EVENTUAL FÍSICO RUÍDO VIBRAÇÃO RADIAÇÃO CHOQUE ELÉTRICO CALOR ERGONOMICO Movimentos repetitivos X Não há Posturas incorretas X Não há BIOLOGICO Fungos e bactérias QUÍMICO Tintas Solventes Poeira Outros ACIDENTES Corte Queda Queda de material nos pés Perda de membro Outros - OBS: OBS: Risco de explosão do tanque de gasolina caso não haja a inertização para neutralizar o gás. Risco de soterramento por deslize de terra caso não haja escoramento nas escavações e fundações. DADOS EXISTENTES NA EMPRESA: Vide PCMSO DADOS LITERATURA TÉCNICA (COMPROMETIMENTO DA SAÚDE): 07- RECONHECIMENTO DOS RISCOS AMBIENTAIS REVISÃO: 00 EMPRESA: SINALMIG SINAIS E SISTEMAS E PROGRAMAÇÃO VISUAL LTDA RAMO DE ATIVIDADE: Indústria e comércio de Sinalização Rodoviária LOCAL / SETOR: INSTALAÇÕES FUNÇÃO OU CARGO: Nº DE TRABALHADORES EXPOSTOS: 06 CARGA HORÁRIA SEMANAL: 44:00 SEMANAIS DADOS COMPLEMENTARES DO SETOR EPI – EQUIPAMENTO DE PROTEÇÃO INDIVIDUAL Rua A, nº 725 Distrito Industrial do Jatobá Belo Horizonte MG cep: 30670 – 120. Tel: (031) 33857600 30
  • 31.
    Loquem da empresa Programa de Prevençãode Riscos Ambientais SESMT 2005 SINALMIG SINAIS E SISTEMAS E PROGRAMAÇÃO VISUAL Ltda Bota bico de aço, protetor auricular, luvas de raspa, luvas de vaqueta, óculos de segurança, mascara descartável (quando necessário), cinto de segurança tipo pára-quedista, Capacete, Blusão de raspa, Mascara de celerom. SISTEMA DE PROTEÇÃO COLETIVA A SER MELHORADA Extintor de Pó Químico, Fita zebrada, Tapume, e escoramento de barranco. DADOS LITERATURA TÉCNICA (COMPROMETIMENTO DA SAÚDE): Rua A, nº 725 Distrito Industrial do Jatobá Belo Horizonte MG cep: 30670 – 120. Tel: (031) 33857600 31
  • 32.
    Loquem da empresa Programa de Prevençãode Riscos Ambientais SESMT 2005 SINALMIG SINAIS E SISTEMAS E PROGRAMAÇÃO VISUAL Ltda 7- PLANILHAS DE AVALIAÇÃO DA EXPOSIÇÃO OCUPACIONAL RISCOS AMBIENTAIS AVALIAÇÃO DA EXPOSIÇÃO OCUPACIONAL PLANILHA N.º 01 CARGO/FUNÇÃO ÁREA / SETOR Rua A, nº 725 Distrito Industrial do Jatobá Belo Horizonte MG cep: 30670 – 120. Tel: (031) 33857600 32
  • 33.
    Loquem da empresa Programa de Prevençãode Riscos Ambientais SESMT 2005 SINALMIG SINAIS E SISTEMAS E PROGRAMAÇÃO VISUAL Ltda Engenheiro, Programador de PCO Escritório Brasília DESCRIÇÃO DO LOCAL DE TRABALHO: Sala com pé direito de mais ou menos 2,5 mts com aproximadamente 18 mts² paredes em alvenaria, possui iluminação artificial com ventilação natural e artificial. ITEM AGENTE DE RISCO METODOLOGIA DE AVALIAÇÃO INSTRUMENTOS UTILIZADOS VALOR DETECTADO LIMITE DE TOLERÂNCIA UNIDADE DE MEDIDA FORMA DE EXPOSIÇÃO 01 Ruído Qualitativa -------------- ----------- ------------ Decibéis Eventual 02 Ergonomia Qualitativa ---------------- ---------- ----------- -------- Habitual 03 Acidentes Qualitativa ------------- ---------- --------- -------- Eventual 04 05 06 07 08 EPI: Quando houver necessidade de vistoria nas obras deverá usar protetor auricular, Capacete com jogular, óculos de segurança, bota de vaqueta com bico de aço e máscara contra poeiras, fumos e névoas nos locais determinados pelo serviço de Segurança e Medicina do Trabalho da empresa. OBSERVAÇÕES: EMPREGADO (S) MONITORADO (S) PARECER TÉCNICO: RUÍDO : Os níveis de ruído não excederam o limite de tolerância da NR-15, anexo n.º 1, Portaria 3214/78, para exposição diária de 08 (oito) horas sem proteção auditiva. Descaracterizada a insalubridade pelo agente físico ruído Maria dos Santos Mendonça Técnica de Segurança do Trabalho Nº R.21/01492-8 DATA 04/07/2005 assinatura RISCOS AMBIENTAIS AVALIAÇÃO DA EXPOSIÇÃO OCUPACIONAL PLANILHA N.º 02 CARGO Ajudante de produção, Encarregado de Obra, Instalador, Engenheiro. ÁREA / SETOR Instalações DESCRIÇÃO DO LOCAL DE TRABALHO: Rua A, nº 725 Distrito Industrial do Jatobá Belo Horizonte MG cep: 30670 – 120. Tel: (031) 33857600 33
  • 34.
    Loquem da empresa Programa de Prevençãode Riscos Ambientais SESMT 2005 SINALMIG SINAIS E SISTEMAS E PROGRAMAÇÃO VISUAL Ltda Atividades desenvolvidas fora da empresa em diversos Postos de gasolina. ITEM AGENTE DE RISCO METODOLOGIA DE AVALIAÇÃO INSTRUMENTOS UTILIZADOS VALOR DETECTADO LIMITE DE TOLERÂNCIA UNIDADE DE MEDIDA FORMA DE EXPOSIÇÃO 01 Ruído Qualitativa -------- ------ ------ Decibéis Habitual 02 Ergonômico Qualitativa ------ ------ ------ ------ Habitual 03 Acidentes Qualitativa ------ ------ ------ ------ Habitual 04 05 06 07 08 EPI : Óculos de segurança, protetor auricular, luvas de raspa, bota com bico de aço, máscara de celerom, mascara descartáveis, e cinto de segurança tipo pára-quedista, avental de raspa, blusão de raspa, capacete com jogular. OBSERVAÇÕES: EMPREGADO (S) MONITORADO (S) : PARECER TÉCNICO : RUÍDO : Os níveis de ruído não excederam o limite de tolerância da NR-15, anexo n.º 1, Portaria 3214/78, para exposição diária de 08 (oito) horas sem proteção auditiva. Descaracterizada a insalubridade pelo agente físico ruído Maria dos Santos Mendonça Técnica de Segurança do Trabalho Nº R. 21/01492-8 DATA 04/07/2005 assinatura 8 - INTERPRETAÇÃO DOS RESULTADOS 8- INTERPRETAÇÃO DOS RESULTADOS 8.1. ASPECTOS DA INSALUBRIDADE Rua A, nº 725 Distrito Industrial do Jatobá Belo Horizonte MG cep: 30670 – 120. Tel: (031) 33857600 34
  • 35.
    Loquem da empresa Programa de Prevençãode Riscos Ambientais SESMT 2005 SINALMIG SINAIS E SISTEMAS E PROGRAMAÇÃO VISUAL Ltda RUÍDO As atividades e operações que exponham o trabalhador, sem as medidas adequadas de controle, aos níveis de ruído contínuos, intermitentes ou de impacto superiores aos limites de tolerância da NR 15, anexos n.º 1 e 2, (veja Critérios Legais deste relatório), são consideradas insalubres em grau médio, correspondendo ao adicional de 20% do salário mínimo da região. A caracterização do ruído se dá para a exposição durante toda jornada de trabalho, do qual se terá o valor através da avaliação quantitativa utilizando Audiodosimetro e, se obtendo o valor real através do seguinte calculo: Dose real (X) = dose % x jornada (480 minutos) ------------------------------------------- Tempo da amostragem Leq = Log. Dose real (X) + 5,117 ----------------------------------- 0,06 Onde, Dose real é o resultado da dose registrada na dosimetria que se multiplica pela jornada de trabalho que é de 480 minutos (8 horas) e, divide pelo tempo da amostragem (dosimetria). Leq seria a intensidade de ruído que o trabalhador estará exposto durante toda jornada de trabalho obtida através da equação: Logaritmo da dose real somado a 5,117 e dividido por 0,06. 8.2. ENQUADRAMENTO LEGAL Aos agentes de risco que tenham excedido aos respectivos limites de tolerância, geram a condição de insalubridade, a qual requer o emprego de medidas de controle coletivas nos equipamentos/ambiente, ou individuais, no homem através do EPI. A entrega do EPI deverá ser procedida de treinamento (demonstração do seu uso), pelos profissionais da segurança e documentados através de ficha de controle assinada pelo funcionário que o recebeu. Em casos de EPI não descartável, deverá ser efetuada a manutenção e higienização periódica, também documentada, para efeito legal; ao descartável deverá ser controlada a sua substituição. A eliminação ou neutralização da insalubridade ocorre na forma da legislação de acordo com o subitem 15.4 da NR 15 da Portaria 3214/78 : com “adoção de medidas de ordem geral que conserve o ambiente de trabalho dentro dos limites de tolerância” ou “com utilização de equipamento de proteção individual”. Os parâmetros da ACGIH, quando excedidos requerem medidas de controle, mas não estão relacionados à insalubridade, tendo neste caso, aspecto preventivo. Os referidos parâmetros são empregados em casos de omissão da legislação brasileira, de acordo com a NR 9. 8.3. AVALIAÇÃO POR SETOR/FUNÇÃO E/OU GHE (Grupo Homogêneo de Exposição) 8.3.1 Administração Não foram identificados agentes agressivos (químicos, físicos e biológicos) a saúde dos trabalhadores desse setor. Rua A, nº 725 Distrito Industrial do Jatobá Belo Horizonte MG cep: 30670 – 120. Tel: (031) 33857600 35
  • 36.
    Loquem da empresa Programa de Prevençãode Riscos Ambientais SESMT 2005 SINALMIG SINAIS E SISTEMAS E PROGRAMAÇÃO VISUAL Ltda No entanto para aqueles que tenham que transitar eventualmente pelas Obras será obrigatório o uso de protetor auricular pelos mesmos. 9- MEDIDAS DE CONTROLE 9- MEDIDAS DE CONTROLE 9.1. CONCEITOS LEGAIS As medidas corretivas e preventivas visando à neutralização dos agentes de risco ou minimização de seus efeitos têm geralmente quatro classes de controle: a) Controle no homem: este é o mais cômodo de ser aplicado, porém o mais difícil de se conseguir bons resultados, em virtude de envolver o comportamento humano, que depende de sensibilização para se ter atitudes prevencionistas, precauções e profissionalismo. O controle consiste no uso de equipamento de proteção individual – EPI, os quais deverão ser de boa qualidade e portadores do C.A. (Certificado de Aprovação) do MTE. Incluem-se no controle no homem, os exames médicos admissionais, periódicos e demissionais, o treinamento a ações educativas. b) Medidas Administrativas: consiste na programação da produção, de tal forma que permita o revezamento entre trabalhadores que atuem em situações de risco à saúde ou que gerem “stress”, para outras condições mais amenas, reduzindo os tempos de exposição ao risco ou às operações monótonas ou repetitivas. Estas medidas demandam treinamento de pessoal e em alguns casos resultam em implicações legais, que deverão ser corrigidas com revisões no Plano de cargos e Salários; as vantagens, entretanto, compensam em termos de melhoria nas condições de saúde ocupacional e de produtividade. No conceito legal, os limites de tolerância delimitam as condições salubres e insalubres, habilitando ou não o trabalhador ao recebimento do adicional. No conceito preventivo, a NR-9, estabelece os níveis de ação para evitar que a situação se torne agressiva ao trabalhador, os quais estabelecem que as providências preventivas sejam tomadas quando a concentração ou intensidade do agente de risco ultrapassem a metade (50%) dos limites de tolerância (LT). Quanto ao serviço médico, o levantamento ambiental fornece importantes dados para que o médico elabore o PCMSO, conforme o tipo de risco evidenciado em cada setor, caracterizando os grupos de risco conforme as atividades e operações exercidas, estabelecendo os exames clínicos e laboratoriais específicos a cada grupo, bem como os intervalos de tempo entre cada exame, conforme a NR-7, a critério do médico do trabalho. 10- CONCLUSÃO Em todos os canteiros de obras da empresa Sinalmig, os níveis de ruído não ultrapassaram o limite de tolerância da NR-15 da Portaria 3.214. Para as atividades que exponham os trabalhadores a níveis de ruído acima do limite de tolerância e seja necessário a utilização de protetores auriculares tipo plug ou concha, estes deverão ser selecionados Rua A, nº 725 Distrito Industrial do Jatobá Belo Horizonte MG cep: 30670 – 120. Tel: (031) 33857600 36
  • 37.
    Loquem da empresa Programa de Prevençãode Riscos Ambientais SESMT 2005 SINALMIG SINAIS E SISTEMAS E PROGRAMAÇÃO VISUAL Ltda de forma que os níveis de ruído sejam reduzidos a intensidades inferiores ao nível de ação conforme item 9.3.6 da Norma Regulamentadora NR-9 da portaria 3.214 de 8 de junho de 1978. A constatação da eficácia do protetor auricular se dará considerando os resultados encontrados a partir do calculo: NPS = NPSA – (NRR x F – 7) Onde: NPS = Nível de Pressão Sonora no ouvido com protetor em dB (A). NPSA = Nível de Pressão Sonora no ambiente em dB (A). NRR = Nível de Redução de Ruído (conforme CA do EPI) F = Fator de Correção onde:  Para Abafador tipo Concha F = 0,75  Para Protetor auricular do tipo Espuma moldável F = 0,5  Para Protetor auricular do tipo Plug de inserção F = 0,3 Exemplo: Um setor onde o nível de pressão sonora no ambiente e de 90,7 dB (A), o nível de redução de ruído do abafador utilizado pelo individuo (abafador tipo concha) e de 25 dB, o nível de pressão sonora no ouvido com protetor será de: NPS = NPSA – (NRR x F – 7) NPS = 90,7 – (25 x 0.75 – 7) NPS = 78,95 OBS. : É IMPORTANTE SALIENTAR QUE O EPI É A ÚLTIMA ALTERNATIVA A SER ADOTADA, NO CASO DA INVIABILIDADE E/OU IMPOSSIBILIDADE DE SE ELIMINAR OS AGENTES AGRESSIVOS NA SUA FONTE. Belo Horizonte, 04 de Julho de 2005. SINALMIG SINAIS E SISTEMAS E PROGRAMAÇÃO VISUAL LTDA Rua A, nº 725 Distrito Industrial do Jatobá Belo Horizonte MG cep: 30670 – 120. Tel: (031) 33857600 37
  • 38.
    Loquem da empresa Programa de Prevençãode Riscos Ambientais SESMT 2005 SINALMIG SINAIS E SISTEMAS E PROGRAMAÇÃO VISUAL Ltda EQUIPE TÉCNICA RESPONSÁVEL ____________________________ Maria dos Santos Mendonça Moises Alves Gbriel Tec. Seg. Trabalho Eng.Seg. Trabalho R-21/01492-8 CREA- 05000096 12- ANEXOS Fotos tirada do Posto da BR localizado na PLLN 405 Bloco A CEP: 70846-000 Rua A, nº 725 Distrito Industrial do Jatobá Belo Horizonte MG cep: 30670 – 120. Tel: (031) 33857600 38
  • 39.
    Loquem da empresa Programa de Prevençãode Riscos Ambientais SESMT 2005 SINALMIG SINAIS E SISTEMAS E PROGRAMAÇÃO VISUAL Ltda 12.1- ANEXOS Os C.A Certificado de Aprovação, dos Equipamentos de Segurança EPI´S. MAPA DE RISCO GERAL CHÃO DE FÁBRICA SINALMIG SINAIS E SISTEMAS E PROGRAMAÇÃO VISUAL Ltda - 2005 Riscos: Rua A, nº 725 Distrito Industrial do Jatobá Belo Horizonte MG cep: 30670 – 120. Tel: (031) 33857600 39
  • 40.
    Loquem da empresa Programa de Prevençãode Riscos Ambientais SESMT 2005 SINALMIG SINAIS E SISTEMAS E PROGRAMAÇÃO VISUAL Ltda GALPÃO (A) Lado direito: 1 - portaria 2 – almoxarifado 3 – adesivagem 4 – embalagem 5 – qualidade 6 – secagem de peças 7 – estufa 8 – estante de chapas 9 – corte e dobra Lado esquerdo: 10 – recepção 11 – banheiro e vestuário masculino 12 – manufatura 13 – SESMT 14 – serigrafia 15 – legenda 16 – pintura 17 – modelagem 18 – elétrica 19 – manutenção Fundo: 20- serralharia 21 – depósito de liquido combustível GALPÃO (B) 22- refeitório 23 – pintura 24 – caldeiraria 25 – acabamento 26 – expedição CRONOGRAMA DAS PRIORIDADES 2005/2006 PRAZO PARA EXECUÇÃO: 2004/2005 Rua A, nº 725 Distrito Industrial do Jatobá Belo Horizonte MG cep: 30670 – 120. Tel: (031) 33857600 40 GRAU DE RISCO - 04 Nº DE FUNCIONÁRIOS 234
  • 41.
    Loquem da empresa Programa de Prevençãode Riscos Ambientais SESMT 2005 SINALMIG SINAIS E SISTEMAS E PROGRAMAÇÃO VISUAL Ltda MEDIDAS Dezembro Janeiro Fevereiro Março Abril Maio Junho Julho Agosto Setembro Outubro Novembro Elaboração do PPRA X Uso de EPIs X X X X X X X X X X X X Treinamento sobre o uso de EPIs X X X X X X Treinamento contra incêndios X Primeiros Socorros X Revisão do PPRA X SIPAT X Treinamento de proteção respiratória X Treinamento de proteção auditiva X Treinamento de CIPA X Palestra sobre AIDS X Rua A, nº 725 Distrito Industrial do Jatobá Belo Horizonte MG cep: 30670 – 120. Tel: (031) 33857600 41