MeusInvestimentos.xls
              Apoio ao livro Avaliação de Investimentos, publicado pela Editora Atlas.
              Adriano Leal Bruni
              www.MinhasAulas.com.br
              albruni@minhasaulas.com.br
              Clique sobre o nome da planilha desejada.

Capítulo 2                                 Capítulo 6                 Capítulo 12
Valor do dinheiro no tempo                 Análise de prazos          Incerteza
Capítulo 3                                 Capítulo 7                 Tornado
Projeção de fluxos de caixa                Análise de valores
Capítulo 4                                 Capítulo 8                 Capítulo 13
Taxa mínima de atratividade                Análise de taxas           Monte Carlo
Capítulo 5                                 Capítulo 9                 Opções Reais
Ponto de Equilíbrio                        Seleção de projetos
Atlas.
Valor do dinheiro no tempo




             Operações financeiras com juros compostos.
           Regime             N             I               PV                PMT
   þÿ         3               5           7.00%         (400.00)

        Juros Compostos

   Resposta                          O valor futuro é igual a 561.020,69 no regime de juros compostos

   Operações na HP12C                [f] [REG] 5 [n] 7 [i] 400 [CHS] [PV] [g] [END] [FV] Visor => 561.0207

   Operações no Excel                =VF(0.07;5;;-400;0)




   Equivalência e proporcionalidade de taxas



               3           Regime    þÿ                                Juros Compostos

                                                             ?

                          Equivalência de taxas de juros.

                           Taxa A      Nper A              Taxa B            Nper B
36.0%   1
                    12
            2.60%
N          I          PV              PMT
JS   1 0 [ENTER] [ENTER] [ENTER] [-] 5=> 0,000,000 1 [+] [/]
              0 400 [/] 0 [-] 7 [/] VisorNão Visor => 0,000,000
                        1 400 1 0.07[/] existe [x]
                                           [ENTER]5
D    2 1 [ENTER] [ENTER] 400 [ENTER] 0 existe [/] [ENTER]
              1 400 [ENTER] 0 [/]1[-] 0.07 [/] Visor => 0,000
                      0 [ENTER] [ENTER] 0.07 Visor =>
                                    Não [/] [-] 5
JC   3 [f] [REG] [f] [i] 400 [CHS] [PV][n] [f] [i] [g] [END] 7 [i][i]Viso
                 7 [REG] [f] [n] 400 5 [g]7[END] [g] [END]=> 0 . [
                              5 [REG] [CHS] [REG] 5 Visor 400
                                                [PV] [n] [n] [PV] Vis
l              3c                         5 fómula ==>
Opção :              3          juros compostos                               (Não Mexa !!!)
                  1 - Juros Simples

                  2 - Desconto Bancário

                  3 - Juros Compostos




Cálculos Financeiros Gerais (Não Mexa !!!)
                          2                   3                     4                          5
        1                  (14.29)            -20.00%                          -           Não tem


        2                 #DIV/0!             #DIV/0!                          -           Não tem


        3                  #NUM!             -100.00%                          -                      97.56




Cálculos na HP 12C - Não Mexa Nunca !!!
      Juros               N                   I                     PV                      PMT
                                                         [CHS]


                  5 [n]              7 [i]               400 [CHS] [PV]


N                 [f] [REG] 7 [i] 400 [CHS] [PV] [g] [END] [n] Visor => 0 . A HP aproxima o cálculo de n para o inteiro superior. S


I                 [f] [REG] 5 [n] 400 [CHS] [PV] [g] [END] [i] Visor => 0


PV                [f] [REG] 5 [n] 7 [i] [g] [END] [PV] Visor => 0
PMT   [f] [REG] 5 [n] 7 [i] 400 [CHS] [PV] [g] [END] [PMT] Visor => 0


FV    [f] [REG] 5 [n] 7 [i] 400 [CHS] [PV] [g] [END] [FV] Visor => 561.0207
Regimes
1 - Juros simples
2 - Desconto comercial                                TAXA(nper;pgto;vp;vf;tipo;estimativ

3 - Juros compostos                                   VF(taxa;nper;pgto;vp;tipo)

                                                      VP(taxa;nper;pgto;vf;tipo)

Tipos
0 - postecipado

1 - antecipado

Legenda
cod                desc      simb     conc
1                  O número períodos =NPER(0.07;;-400;;0)
                            de períodos

2                            % a.p.
                   A taxa de juros    =TAXA(5;;-400;;0;)
3                  O valor presente   =VP(0.07;5;;;0)
4                  A prestação        =PGTO(0.07;5;-400;;0)
5                  O valor futuro     =VF(0.07;5;;-400;0)


Taxa
                  1 % a.d.   dias                 1
                  2 % a.m. meses                30
3 % a.b.   bimestres        60
4 % a.t.   trimestres       90
5 % a.q.   quadrimestres   120
6 % a.s.   semestres       180
7 % a.a.   ano comercial   360
8 % a.a. (exato)
           ano civil       365
1




                    FV               Tipo
                                þÿ    0

                  561.02         Sem entrada

me de juros compostos

D] [FV] Visor => 561.0207




Compostos
5
FV              Tipo
400 [ENTER] 0.07 [ENTER] 5 [x] 1 [+] [x] Visor => 0,000,561
400 [ENTER] 1 [ENTER] 0.07 [ENTER] 5 [x] [-] [/] Visor => 0,000,561
[f] [REG] 5 [n] 7 [i] 400 [CHS] [PV] [g] [END] [FV] Visor => 561.0207
[f] [REG] 5 [n] 7 [i] 400 [CHS] [PV] [g] [END] [FV] Visor => 561.0207
Mexa !!!)




                             6
                                   540.00

                                   615.38

                                   561.02




                            FV                       TIPO


                                             [g] [END]


álculo de n para o inteiro superior. Seu valor com quatro casas é igual a 0
per;pgto;vp;vf;tipo;estimativa)

nper;pgto;vp;tipo)

nper;pgto;vf;tipo)
Projeção de fluxos de caixa




                                       Descrição                         Período 0
     (+) Receitas
       (-) Custos e despesas variáveis
       (-) Custos e despesas fixos (exceto depreciação)
       (-) Depreciação
     = Lucro Operacional Tributável                                                  -
       (-) IR
     = Lucro Líquido Operacional                                                     -
       (+) Depreciação                                                               -
     = FCO (Fluxo de Caixa Operacional)                                              -
       (+/-) Investimento ou desinvestimentos líquidos em equipamentos
       (+/-) Investimentos ou desinvestimentos em capital de giro
     = FCL (Fluxo de Caixa Livre)                                                    -




     Venda de imobilizado
                                       Descrição                           Valor
     Valor de venda                                                         5,000.00
     (-) Valor contábil líquido (histórico - depreciação acumulada)                -
     Resultado não operacional decorrente da venda                          5,000.00
     Alíquota do imposto de renda                                          30%
     (-) Imposto de renda sobre o resultado                                (1,500.00)
     Resultado líquido                                                   3,500.00
     Fluxo incremental decorrente da venda                                  3,500.00
Período 1   Período 2   Período 3   Período 4   Período 5   Período 6   Período 7




        -           -           -           -           -           -           -

        -           -           -           -           -           -           -
        -           -           -           -           -           -           -
        -           -           -           -           -           -           -


        -           -           -           -           -           -           -
Período 8   Período 9   Período 10   Período 11   Período 12   Período 13   Período 14




        -           -           -            -            -            -            -

        -           -           -            -            -            -            -
        -           -           -            -            -            -            -
        -           -           -            -            -            -            -


        -           -           -            -            -            -            -
Período 15   Período 16   Período 17   Período 18   Período 19   Período 20




        -            -            -            -            -            -

        -            -            -            -            -            -
        -            -            -            -            -            -
        -            -            -            -            -            -


        -            -            -            -            -            -
Taxa mínima de atratividade




          Cálculo do custo de capital




                                                1
          Custo do capital de terceiros - Empréstimos

               N             I            I
              30%         25.00%
                                        17.50%




          Custo do capital de terceiros - Emissão de obrigações
               N             I             PV         PMT          FV




              IR%                                Cálculo da taxa equival.
           Taxa bruta                             N períodos
            Taxa líq                              Taxa equiv
1
Custo do capital próprio - Modelo de Gordon e Shapiro
     Ks           D1           P0                  g      F

                 8.00        40.00              4.00%    0.00%
  24.00%




           1
Custo do capital próprio - CAPM
     Ks            Rf          Rm                Beta
                 2.00%        6.00%              1.40
   7.60%




Custo do capital próprio                                   Beta =    1.5624
Cálculo do beta                     Diagrama de dispersão : Mercado x Ação
  Mercado        Ação        15%
                                      f(x) = 1.56x - 0
    1.0%          2.0%                R² = 1
                             10%
   -3.0%         -5.0%
    8.0%         12.0%       5%

                             0%

                             -5%

                            -10%

                            -15%
15%
                                  f(x) = 1.56x - 0
                                  R² = 1
                            10%

                             5%
  -4.0%         -7.0%
                             0%
  6.0%           9.0%
  -2.0%         -4.0%       -5%
  -1.0%         -1.5%
                           -10%
  0.0%           0.0%
  4.0%           6.0%      -15%
  3.0%           4.5%          -8%     -6%   -4%     -2%   0%   2%   4%   6%   8%   10%
  -7.0%        -11.0%
  4.0%           6.0%




  Fonte       Volume ($)   Custo (%)
 Patrim Liq   500,000.00    12.00%                 60000
Emprest LP    400,000.00    14.00%                 56000
                                                       0
                                                       0
                                                       0
  Soma        900,000.00    12.89%
%   8%   10%
PontoDeEquilíbrio




            Descrição                   $            30,000.00       GF    GV    GT     Receita
    Gastos Fixos Totais                 6,000.00
    Gasto Variável Unitário                12.00     25,000.00
    Preço de Venda Unitário                24.00
    Vendas atuais (qtde)                    600      20,000.00

    Intervalo do gráfico                50           15,000.00

    Ponto de Equilíbrio (q)             500          10,000.00
    Ponto de Equilíbrio ($)          12,000.00
                                                      5,000.00
    Margem Segurança (Qtde)           100.00
    Margem Segurança ($)             2,400.00               -
    Margem Segurança (%)                     17%                 0         200    400         600   800   1000   1


                Qtde.                   GF                            GV
                                 0        6,000.00                                          -
                                50        6,000.00                                      600.00
                               100        6,000.00                                     1,200.00
                               150        6,000.00                                     1,800.00
                               200        6,000.00                                     2,400.00
                               250        6,000.00                                     3,000.00
                               300        6,000.00                                     3,600.00
                               350        6,000.00                                     4,200.00
                               400        6,000.00                                     4,800.00
                               450        6,000.00                                     5,400.00
                               500        6,000.00                                     6,000.00
                               550        6,000.00                                     6,600.00
                               600        6,000.00                                     7,200.00
                               650        6,000.00                                     7,800.00
                               700        6,000.00                                     8,400.00
                               750        6,000.00                                     9,000.00
                               800        6,000.00                                     9,600.00
                               850        6,000.00                                    10,200.00
                               900        6,000.00                                    10,800.00
                               950        6,000.00                                    11,400.00
                              1000        6,000.00                                    12,000.00
GT     Receita




 400        600    800        1000      1200


                  GT             Receita
                   6,000.00                 -
                   6,600.00           1,200.00
                   7,200.00           2,400.00
                   7,800.00           3,600.00
                   8,400.00           4,800.00
                   9,000.00           6,000.00
                   9,600.00           7,200.00
                  10,200.00           8,400.00
                  10,800.00           9,600.00
                  11,400.00          10,800.00
                  12,000.00          12,000.00
                  12,600.00          13,200.00
                  13,200.00          14,400.00
                  13,800.00          15,600.00
                  14,400.00          16,800.00
                  15,000.00          18,000.00
                  15,600.00          19,200.00
                  16,200.00          20,400.00
                  16,800.00          21,600.00
                  17,400.00          22,800.00
                  18,000.00          24,000.00
Análise de prazos



    Payback simples



                                                     PayBack   Resposta
      Período       Fluxo de caixa   Saldo Simples
                                                     Simples
         0             (600.00)         (600.00)                  PBS = 0,001 períodos
         1              400.00          (200.00)       -
         2              800.00           600.00       1.25
         3
         4
         5
         6
         7
         8
         9
        10
        11
        12
        13
        14
        15
        16
        17
        18
        19
        20
        21
        22
        23
        24
        25
        26
        27
        28
        29
        30
     Cálculos                            PBS          1.25
Payback descontado

                                                                    k=
                               Fluxos            Simples               Descontado
 Período   Fluxos Nominais
                             Descontados   Saldo           PBS    Saldo
    0          (90.00)          (90.00)    (90.00)                (90.00)
    1           10.00             8.70     (80.00)          -     (81.30)
    2           20.00            15.12     (60.00)          -     (66.18)
    3           30.00            19.73     (30.00)          -     (46.46)
    4           40.00            22.87      10.00          3.75   (23.59)
    5           30.00            14.92      40.00           -      (8.67)
    6           30.00            12.97      70.00           -       4.30
    7           80.00            30.07     150.00           -      34.37
    8           90.00            29.42     240.00           -      63.80
Cálculos   PBS   3.75   PBD
PBS = 0,001 períodos
15%
Descontado     Resposta
         PBD
                                         PBS = 0,004
                                          períodos
         -
         -
                                     PBD = 0,006
         -
                                      períodos
         -
         -
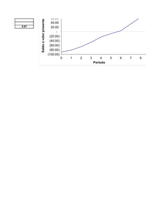
        5.67   Saldo e payback simples
         -
         -                                  300.00
                                            250.00
                Saldo a valor presente




                                            200.00
                                            150.00
                                            100.00
                                             50.00
                                                 -
                                            (50.00)
                                           (100.00)
                                           (150.00)
                                                       0   1   2   3       4     5   6   7   8   9
                                                                       Período
               Saldo e payback descontado

                                             80.00
                                             60.00
                alor presente




                                             40.00
                                             20.00
                                                 -
                                            (20.00)
80.00
                                  60.00




       Saldo a valor presente
                                  40.00
5.67                              20.00
                                      -
                                 (20.00)
                                 (40.00)
                                 (60.00)
                                 (80.00)
                                (100.00)
                                           0   1   2   3       4     5   6   7   8   9
                                                           Período
7   8   9
7   8   9
Análise de valores

          Cálculo de VPL, VFL, VUL e IL


                                                                              k        14%
                Ano          Fluxos de Caixa
                  0              (800.00)                               Resposta
                  1               300.00
                  2               400.00                                 VPL = $269.480,00
                  3               300.00
                  4               500.00
                  5                                                       VFL = $455.140,00
                  6
                  7
                  8                                                       VUL = $92.485,62
                  9
                 10
                 11                                                           IL = 1.336,85
                 12
                 13
                 14
                 15
                 16
                 17
                 18
                 19
                 20
                 21
                 22
                 23
                 24
                 25
                 26
                 27
                 28
                 29
                 30
                VPL               269.48




          Gráficos : VPL versus K


                 K                 VPL
                                                                     300.00
                                  269.48
                0%                700.00                             250.00
                                               or Presente Líquido




                                                                     200.00

                                                                     150.00

                                                                     100.00
300.00

                                         250.00




                Valor Presente Líquido
 5%    519.03
10%    370.21                            200.00
15%    246.46
20%    142.52                            150.00
25%    54.40
30%    -20.93                            100.00
35%    -85.83
40%   -142.15                             50.00
45%   -191.34
50%   -234.57                              0.00
55%   -272.77                                  0%   10%   20%    30%      40%     50%   60%
60%   -306.71                                              Custo de Capital (k)
Parâmetros
 Mínimo      0%
  Step       5%
40%      50%   60%   70%
Capital (k)
Análise de taxas

          Cálculo de taxas de juros


                                                k              10%
                   Ano        Fluxos de Caixa
                                                TIR estimada   70%
                    0             (800.00)
                    1              300.00
                    2              400.00       Resultados
                    3              500.00             TIR         21%
                    4                                VPL        178.96
                    5
                    6
                    7
                    8
                    9
                   10
                   11
                   12
                   13
                   14
                   15
                   16
                   17
                   18
                   19
                   20
                   21
                   22
                   23
                   24
                   25
                   26
                   27
                   28
                   29
                   30
Gráficos : VPL versus K
                     TIR corresponde ao valor de k para VPL nulo



     K            VPL
                            178.96
    0%            400.00                                                                    VPL versus k
   30%           (104.96)                                   200.00
   60%           (334.18)
   90%           (458.41)
                                     k (custo de capital)
   120%          (534.03)                                   150.00
   150%          (584.00)
   180%          (619.06)                                   100.00
   210%          (644.82)
   240%          (664.44)
                                                             50.00
   270%          (679.83)
   300%          (692.19)
   330%          (702.31)                                       -
   360%          (710.74)                                            0%    50%       100%    150%     200%   250%
                                                                                                    VPL




Cálculo das taxas: TER (modelo 01)

                                                                      Cálculo da TER
  Período    Fluxos de Caixa
                                                                         k financ           18%
     0          -500.00                                                 k reinvest          14%
     1           400.00
     2          -600.00                                               Respostas
     3          1,500.00                                                TER (MTIR)      29.46%
     4                                                                     TIR          42.92%
     5                                                                     VPL          321.02
     6
     7
8
        9
       10
       11
       12
       13
       14
       15
       16
       17
       18
       19
       20
       21
       22
       23
       24
       25
       26
       27
       28
       29
       30




Cálculo das taxas: TER (modelo 02)


                                          Capitais Equivalentes
    Período        Fluxo de Caixa
                                        Pos (t = n)      Neg (t = 0)
       0              (500.00)                      -          500.00
       1               400.00                   519.84               -
       2              (600.00)                      -          430.91
       3              1,500.00                1,500.00               -
       4                                            -                -
       5                                            -                -
Soma                                          2,019.84         930.91
TER                                                          29.460%

Parâmetros                          K1 (aplicação) =             14%
                                    K2 (captação) =              18%

Valor calculado com a função MTIR                          29.46021%
DECISÕES DE INVESTIMENTO NO EXCEL
                           Cálculo das taxas: TIJ


                                                    Parâmetros
Período   Fluxo de Caixa    Saldo do Projeto
                                                         k
  0          (700.00)                (700.00)           TIJ
  1           800.00                 (424.73)
  2          (400.00)              (1,143.11)
  3          2,000.00                  (0.00)
  4
  5
  6
  7
  8
  9
Saldo                                  (0.00)
Parâmetros
                                Mínimo     0%
                                 Step     30%




     VPL versus k




0%    150%     200%   250%   300%   350%   400%
             VPL
O NO EXCEL


     5.0000%
     74.9612%
Seleção de projetos

          Comparando diferentes projetos




           Período                                    Projetos
                            A                 B          C          D
              0          (50.00)           (100.00)   (200.00)   (300.00)
              1           20.00             60.00      80.00      100.00
              2           25.00             40.00      70.00      110.00
              3           30.00             30.00      50.00      120.00
              4           35.00             20.00      60.00      130.00
              5
              6
              7
              8
              9
             10
             11
             12
             13
             14
             15
             16
             17
             18
             19
             20
             21
             22
             23
             24
             25
             26
             27
             28
             29
             30
Cálculos de PayBack
Não abasteça nada aqui !!!!!!

Cálculo do PayBack
             FCs do            FCs     Saldo
  Ano
             Projeto        Descont    Simples   PBS
    0        (50.00)         (50.00)   (50.00)
    1         20.00           17.39    (30.00)    -
    2         25.00           18.90     (5.00)    -
    3         30.00           19.73     25.00    2.17
    4         35.00           20.01     60.00     -
    5
    6
    7
    8
    9
   10
   11
   12
   13
   14
   15
   16
   17
   18
   19
   20
   21
   22
   23
   24
   25
26
   27
   28
   29
   30
Cálculos   PBS   2.17
Valores do custo de capital
                            A             B             C             D
            k financ     15.00%        15.00%        15.00%        15.00%
   E         k aplic     15.00%        15.00%        15.00%        15.00%
(500.00)
 150.00
 160.00    Respostas para os projetos
 170.00                      A              B             C             D
 200.00       PBS               2.17           2.00          3.00         2.75
              PBD               2.69           2.89             -         3.69
              VPL              26.03         13.58         (10.32)       23.36
              VFL              45.53         23.75         (18.06)       40.86
              VUL               9.12           4.76         (3.62)        8.18
                IL              1.52           1.14          0.95         1.08
               TIR           36.44%         23.05%        12.24%        18.63%
              TER            27.70%         18.72%        13.49%        17.18%
           Para obter a TIJ de cada projeto, é preciso ir até o modelo para
           o cálculo da taxa interna de juros.
Projeto A
Saldo
Descont      PBD
(50.00)       -
(32.61)       -
(13.71)       -
 6.02        2.69
 26.03        -
PBD   2.69
E
15.00%
15.00%




  E
    3.10
      -
  (22.45)
  (39.27)
   (7.86)
    0.96
  12.86%
  13.69%
Simulações diversas
Não abasteça nada aqui !!!!!!
Simulação em relação aos valore
Projeto A
   K        VPL
             26.03
   4.00%     48.93
   5.27%     45.78
   6.53%     42.79
   7.80%     39.93
   9.07%     37.21
  10.33%     34.62
  11.60%     32.14
  12.87%     29.78
  14.13%     27.52
  15.40%     25.36
  16.67%     23.29
  17.93%     21.32
  19.20%     19.42
  20.47%     17.61
  21.73%     15.87
  23.00%     14.20
  24.27%     12.59
  25.53%     11.06
  26.80%      9.58
  28.07%      8.15
  29.33%      6.79
  30.60%      5.47
  31.87%      4.20
  33.13%      2.98
  34.40%      1.81
  35.67%      0.67
  36.93%     (0.42)
  38.20%     (1.48)
  39.47%     (2.50)
  40.73%     (3.48)
  42.00%     (4.43)
  43.27%     (5.35)
  44.53%     (6.24)
  45.80%     (7.10)
  47.07%     (7.93)
  48.33%     (8.73)
  49.60%     (9.51)
  50.87%    (10.27)
  52.13%    (11.00)
  53.40%    (11.71)
  54.67%    (12.39)
  55.93%    (13.06)
57.20%   (13.71)
58.47%   (14.33)
59.73%   (14.94)
61.00%   (15.54)
62.27%   (16.11)
63.53%   (16.67)
64.80%   (17.21)
66.07%   (17.74)
67.33%   (18.25)
68.60%   (18.75)
69.87%   (19.24)
71.13%   (19.71)
72.40%   (20.17)
73.67%   (20.62)
74.93%   (21.06)
76.20%   (21.48)
77.47%   (21.90)
78.73%   (22.30)
Cálculo do PayBack                                          Projeto B   Cálculo do PayBack
         FCs do       FCs      Saldo             Saldo
  Ano                                                                     Ano
         Projeto    Descont    Simples    PBS    Descont       PBD
   0     (100.00)   (100.00)   (100.00)          (100.00)       -          0
   1      60.00      52.17      (40.00)    -      (47.83)       -          1
   2      40.00      30.25        -       2.00    (17.58)       -          2
   3      30.00      19.73       30.00    2.00      2.15       2.89        3
   4      20.00      11.44       50.00     -       13.58        -          4
   5                                                                       5
   6                                                                       6
   7                                                                       7
   8                                                                       8
   9                                                                       9
  10                                                                      10
  11                                                                      11
  12                                                                      12
  13                                                                      13
  14                                                                      14
  15                                                                      15
  16                                                                      16
  17                                                                      17
  18                                                                      18
  19                                                                      19
  20                                                                      20
  21                                                                      21
  22                                                                      22
  23                                                                      23
  24                                                                      24
  25                                                                      25
26                                   26
   27                                   27
   28                                   28
   29                                   29
   30                                   30
Cálculos   PBS   2.00   PBD   2.89   Cálculos
ções diversas
asteça nada aqui !!!!!!
ção em relação aos valores de k (gerada com o recurso Dados/Tabela)
                     Projeto B             Projeto C             Projeto D
                        K        VPL          K        VPL          K         VPL
                                  13.58                (10.32)                 23.36
                      4.00%       38.44     4.00%       37.38     4.00%       115.66
                      5.27%       35.10     5.27%       30.90     5.27%       103.01
                      6.53%       31.90     6.53%       24.71     6.53%        90.96
                      7.80%       28.84     7.80%       18.79     7.80%        79.48
                      9.07%       25.90     9.07%       13.14     9.07%        68.52
                      10.33%      23.07    10.33%        7.72    10.33%        58.06
                      11.60%      20.36    11.60%        2.54    11.60%        48.07
                      12.87%      17.75    12.87%       (2.42)   12.87%        38.52
                      14.13%      15.24    14.13%       (7.18)   14.13%        29.39
                      15.40%      12.83    15.40%      (11.74)   15.40%        20.64
                      16.67%      10.50    16.67%      (16.13)   16.67%        12.27
                      17.93%       8.27    17.93%      (20.33)   17.93%         4.25
                      19.20%       6.11    19.20%      (24.38)   19.20%        (3.44)
                      20.47%       4.03    20.47%      (28.27)   20.47%       (10.82)
                      21.73%       2.02    21.73%      (32.01)   21.73%       (17.91)
                      23.00%       0.08    23.00%      (35.61)   23.00%       (24.71)
                      24.27%      (1.79)   24.27%      (39.07)   24.27%       (31.24)
                      25.53%      (3.60)   25.53%      (42.42)   25.53%       (37.53)
                      26.80%      (5.35)   26.80%      (45.64)   26.80%       (43.57)
                      28.07%      (7.04)   28.07%      (48.74)   28.07%       (49.39)
                      29.33%      (8.68)   29.33%      (51.74)   29.33%       (54.99)
                      30.60%     (10.26)   30.60%      (54.63)   30.60%       (60.38)
                      31.87%     (11.80)   31.87%      (57.43)   31.87%       (65.58)
                      33.13%     (13.29)   33.13%      (60.13)   33.13%       (70.59)
                      34.40%     (14.73)   34.40%      (62.74)   34.40%       (75.43)
                      35.67%     (16.12)   35.67%      (65.26)   35.67%       (80.09)
                      36.93%     (17.48)   36.93%      (67.71)   36.93%       (84.60)
                      38.20%     (18.79)   38.20%      (70.07)   38.20%       (88.95)
                      39.47%     (20.07)   39.47%      (72.36)   39.47%       (93.15)
                      40.73%     (21.31)   40.73%      (74.58)   40.73%       (97.21)
                      42.00%     (22.51)   42.00%      (76.73)   42.00%      (101.14)
                      43.27%     (23.68)   43.27%      (78.81)   43.27%      (104.94)
                      44.53%     (24.82)   44.53%      (80.83)   44.53%      (108.62)
                      45.80%     (25.93)   45.80%      (82.79)   45.80%      (112.18)
                      47.07%     (27.00)   47.07%      (84.69)   47.07%      (115.63)
                      48.33%     (28.05)   48.33%      (86.54)   48.33%      (118.97)
                      49.60%     (29.07)   49.60%      (88.33)   49.60%      (122.21)
                      50.87%     (30.06)   50.87%      (90.08)   50.87%      (125.35)
                      52.13%     (31.02)   52.13%      (91.77)   52.13%      (128.39)
                      53.40%     (31.97)   53.40%      (93.41)   53.40%      (131.34)
                      54.67%     (32.88)   54.67%      (95.02)   54.67%      (134.21)
                      55.93%     (33.78)   55.93%      (96.57)   55.93%      (136.99)
57.20%   (34.65)   57.20%    (98.09)   57.20%   (139.70)
58.47%   (35.50)   58.47%    (99.56)   58.47%   (142.32)
59.73%   (36.33)   59.73%   (101.00)   59.73%   (144.87)
61.00%   (37.14)   61.00%   (102.39)   61.00%   (147.35)
62.27%   (37.93)   62.27%   (103.76)   62.27%   (149.76)
63.53%   (38.70)   63.53%   (105.08)   63.53%   (152.10)
64.80%   (39.45)   64.80%   (106.38)   64.80%   (154.38)
66.07%   (40.19)   66.07%   (107.64)   66.07%   (156.60)
67.33%   (40.90)   67.33%   (108.87)   67.33%   (158.76)
68.60%   (41.61)   68.60%   (110.07)   68.60%   (160.86)
69.87%   (42.29)   69.87%   (111.24)   69.87%   (162.91)
71.13%   (42.96)   71.13%   (112.38)   71.13%   (164.91)
72.40%   (43.62)   72.40%   (113.49)   72.40%   (166.85)
73.67%   (44.26)   73.67%   (114.58)   73.67%   (168.74)
74.93%   (44.89)   74.93%   (115.65)   74.93%   (170.59)
76.20%   (45.50)   76.20%   (116.69)   76.20%   (172.39)
77.47%   (46.11)   77.47%   (117.70)   77.47%   (174.15)
78.73%   (46.70)   78.73%   (118.69)   78.73%   (175.86)
Cálculo do PayBack                                          Projeto C   Cálculo do PayBack
         FCs do       FCs      Saldo             Saldo                           FCs do
                                                                          Ano
         Projeto    Descont    Simples    PBS    Descont       PBD               Projeto
         (200.00)   (200.00)   (200.00)          (200.00)       -          0     (300.00)
          80.00      69.57     (120.00)    -     (130.43)       -          1      100.00
          70.00      52.93      (50.00)    -      (77.50)       -          2      110.00
          50.00      32.88        -       3.00    (44.63)       -          3      120.00
          60.00      34.31       60.00    3.00    (10.32)       -          4      130.00
                                                                           5
                                                                           6
                                                                           7
                                                                           8
                                                                           9
                                                                          10
                                                                          11
                                                                          12
                                                                          13
                                                                          14
                                                                          15
                                                                          16
                                                                          17
                                                                          18
                                                                          19
                                                                          20
                                                                          21
                                                                          22
                                                                          23
                                                                          24
                                                                          25
26
                          27
                          28
                          29
                          30
PBS   3.00   PBD   -   Cálculos
Análise de Sensibilidade
                       VPLs versus K
Projeto E
   K         VPL           k        A         B         C
             (22.45)
4.00%        114.25      4.00%       48.93     38.44     37.38
5.27%         95.50      5.27%       45.78     35.10     30.90
6.53%         77.65      6.53%       42.79     31.90     24.71
7.80%         60.63      7.80%       39.93     28.84     18.79
9.07%         44.40      9.07%       37.21     25.90     13.14
10.33%        28.91     10.33%       34.62     23.07      7.72
11.60%        14.12     11.60%       32.14     20.36      2.54
12.87%        (0.02)    12.87%       29.78     17.75     (2.42)
14.13%       (13.54)    14.13%       27.52     15.24     (7.18)
15.40%       (26.48)    15.40%       25.36     12.83    (11.74)
16.67%       (38.87)    16.67%       23.29     10.50    (16.13)
17.93%       (50.74)    17.93%       21.32      8.27    (20.33)
19.20%       (62.11)    19.20%       19.42      6.11    (24.38)
20.47%       (73.03)    20.47%       17.61      4.03    (28.27)
21.73%       (83.50)    21.73%       15.87      2.02    (32.01)
23.00%       (93.56)    23.00%       14.20      0.08    (35.61)
24.27%      (103.22)    24.27%       12.59     (1.79)   (39.07)
25.53%      (112.51)    25.53%       11.06     (3.60)   (42.42)
26.80%      (121.44)    26.80%        9.58     (5.35)   (45.64)
28.07%      (130.03)    28.07%        8.15     (7.04)   (48.74)
29.33%      (138.31)    29.33%        6.79     (8.68)   (51.74)
30.60%      (146.27)    30.60%        5.47    (10.26)   (54.63)
31.87%      (153.95)    31.87%        4.20    (11.80)   (57.43)
33.13%      (161.36)    33.13%        2.98    (13.29)   (60.13)
34.40%      (168.49)    34.40%        1.81    (14.73)   (62.74)
35.67%      (175.38)    35.67%        0.67    (16.12)   (65.26)
36.93%      (182.03)    36.93%       (0.42)   (17.48)   (67.71)
38.20%      (188.46)    38.20%       (1.48)   (18.79)   (70.07)
39.47%      (194.66)    39.47%       (2.50)   (20.07)   (72.36)
40.73%      (200.66)    40.73%       (3.48)   (21.31)   (74.58)
42.00%      (206.45)    42.00%       (4.43)   (22.51)   (76.73)
43.27%      (212.06)    43.27%       (5.35)   (23.68)   (78.81)
44.53%      (217.49)    44.53%       (6.24)   (24.82)   (80.83)
45.80%      (222.74)    45.80%       (7.10)   (25.93)   (82.79)
47.07%      (227.83)    47.07%       (7.93)   (27.00)   (84.69)
48.33%      (232.76)    48.33%       (8.73)   (28.05)   (86.54)
49.60%      (237.53)    49.60%       (9.51)   (29.07)   (88.33)
50.87%      (242.16)    50.87%      (10.27)   (30.06)   (90.08)
52.13%      (246.65)    52.13%      (11.00)   (31.02)   (91.77)
53.40%      (251.01)    53.40%      (11.71)   (31.97)   (93.41)
54.67%      (255.24)    54.67%      (12.39)   (32.88)   (95.02)
55.93%      (259.34)    55.93%      (13.06)   (33.78)   (96.57)
57.20%   (263.32)   57.20%   (13.71)   (34.65)    (98.09)
58.47%   (267.19)   58.47%   (14.33)   (35.50)    (99.56)
59.73%   (270.95)   59.73%   (14.94)   (36.33)   (101.00)
61.00%   (274.60)   61.00%   (15.54)   (37.14)   (102.39)
62.27%   (278.16)   62.27%   (16.11)   (37.93)   (103.76)
63.53%   (281.61)   63.53%   (16.67)   (38.70)   (105.08)
64.80%   (284.97)   64.80%   (17.21)   (39.45)   (106.38)
66.07%   (288.24)   66.07%   (17.74)   (40.19)   (107.64)
67.33%   (291.42)   67.33%   (18.25)   (40.90)   (108.87)
68.60%   (294.52)   68.60%   (18.75)   (41.61)   (110.07)
69.87%   (297.54)   69.87%   (19.24)   (42.29)   (111.24)
71.13%   (300.48)   71.13%   (19.71)   (42.96)   (112.38)
72.40%   (303.34)   72.40%   (20.17)   (43.62)   (113.49)
73.67%   (306.13)   73.67%   (20.62)   (44.26)   (114.58)
74.93%   (308.85)   74.93%   (21.06)   (44.89)   (115.65)
76.20%   (311.51)   76.20%   (21.48)   (45.50)   (116.69)
77.47%   (314.10)   77.47%   (21.90)   (46.11)   (117.70)
78.73%   (316.62)   78.73%   (22.30)   (46.70)   (118.69)
do PayBack                                      Projeto D   Cálculo do PayBack
          FCs      Saldo             Saldo                              FCs do
                                                               Ano
        Descont    Simples    PBS    Descont      PBD                   Projeto
        (300.00)   (300.00)          (300.00)      -            0       (500.00)
         86.96     (200.00)    -     (213.04)      -            1        150.00
         83.18      (90.00)    -     (129.87)      -            2        160.00
         78.90       30.00    2.75    (50.97)      -            3        170.00
         74.33      160.00     -       23.36      3.69          4        200.00
                                                                5
                                                                6
                                                                7
                                                                8
                                                                9
                                                               10
                                                               11
                                                               12
                                                               13
                                                               14
                                                               15
                                                               16
                                                               17
                                                               18
                                                               19
                                                               20
                                                               21
                                                               22
                                                               23
                                                               24
                                                               25
26
                             27
                             28
                             29
                             30
PBS   2.75   PBD   3.69   Cálculos
Parâmetros do gráfico
                                                           K min
D          E                                               K max
                                                           Step
 115.66     114.25     100.00
 103.01      95.50
  90.96      77.65      50.00
  79.48      60.63
  68.52      44.40         -
  58.06      28.91
  48.07      14.12     (50.00)
  38.52      (0.02)
  29.39     (13.54)   (100.00)
  20.64     (26.48)
                      (150.00)
  12.27     (38.87)
   4.25     (50.74)
                      (200.00)
                       A    B         C   D   E
  (3.44)    (62.11)              4%           9%   14%   19%      24%       29%
 (10.82)    (73.03)
 (17.91)    (83.50)
 (24.71)    (93.56)
 (31.24)   (103.22)
 (37.53)   (112.51)
 (43.57)   (121.44)
 (49.39)   (130.03)
 (54.99)   (138.31)
 (60.38)   (146.27)
 (65.58)   (153.95)
 (70.59)   (161.36)
 (75.43)   (168.49)
 (80.09)   (175.38)
 (84.60)   (182.03)
 (88.95)   (188.46)
 (93.15)   (194.66)
 (97.21)   (200.66)
(101.14)   (206.45)
(104.94)   (212.06)
(108.62)   (217.49)
(112.18)   (222.74)
(115.63)   (227.83)
(118.97)   (232.76)
(122.21)   (237.53)
(125.35)   (242.16)
(128.39)   (246.65)
(131.34)   (251.01)
(134.21)   (255.24)
(136.99)   (259.34)
(139.70)   (263.32)
(142.32)   (267.19)
(144.87)   (270.95)
(147.35)   (274.60)
(149.76)   (278.16)
(152.10)   (281.61)
(154.38)   (284.97)
(156.60)   (288.24)
(158.76)   (291.42)
(160.86)   (294.52)
(162.91)   (297.54)
(164.91)   (300.48)
(166.85)   (303.34)
(168.74)   (306.13)
(170.59)   (308.85)
(172.39)   (311.51)
(174.15)   (314.10)
(175.86)   (316.62)
Projeto E
  FCs      Saldo             Saldo
Descont    Simples    PBS    Descont       PBD
(500.00)   (500.00)          (500.00)       -
 130.43    (350.00)    -     (369.57)       -
 120.98    (190.00)    -     (248.58)       -
 111.78     (20.00)    -     (136.80)       -
 114.35     180.00    3.10    (22.45)       -
PBS   3.10   PBD   -
Parâmetros do gráfico
                   4%
                  80%
                1.27%




%      24%       29%
Incerteza


Incerteza




                                                                    Cte de Hurwicz          0.50
                                1               2                 3               4            5
                   Resultados possíveis (desejáveis = positivo, indesejáveis = negativo)
      Alternativas
                         R1              R2              R3                R4            R5
    1     Alfa             1              2               3
    2     Beta            -4              3               8
    3     Delta          -20              0              50
    4 Lâmbda
    5    Õmega
    6                    A1              A2              A3                A4            A5
        Probab          30%            20%              50%
      Ok! Soma = 100%

      Resultados sob incerteza
         Maximax       Err:502           Laplace        Delta
          Maximin      Err:502           Savage        Err:502
          Hurwicz      Err:502

      Resultados sob risco
         Alternativa     Alfa         Beta              Delta            Lâmbda     Õmega
               E(X)       2.2          3.4                19                0          0
      Maior valor                      19          Melhor escolha                    Delta
      Valor com inf perfeita         Err:502       Valor da inf perfeita            Err:502




                                            Página 272
Incerteza




                                                     Arrependimentos de Savage
          Máximo    Mínimo    Hurwicz      Laplace
   Alfa      3          1        2             2         Alfa
   Beta      8         -4        2           2.33       Beta
  Delta     50        -20       15            10        Delta
Lâmbda    Err:502   Err:502   Err:502                  Lâmbda
 Õmega    Err:502   Err:502   Err:502                  Õmega

Máximo    Err:502   Err:502   Err:502        10
          Err:502   Err:502   Err:502         3
Cenário   Err:502   Err:502   Err:502       Delta




                              Página 273
Incerteza




Arrependimentos de Savage
                R1          R2   R3   R4               R5   Máximo    Mín Max
                 0           1   47                           47      Err:502
                 5           0   42                           42      Err:502
                21           3    0                           21      Err:502
                                                            Err:502   Err:502
                                                            Err:502   Err:502
                                                            Melhor    Err:502




                                       Página 274
Incerteza




          Anternativa   E(X)                 Cenário            R1
Err:502      Alfa        2.2                 Maior valor         1
Err:502      Beta        3.4                 Prob              30%
             Delta       19                  Maior.Prob         0.3
Err:502    Lâmbda         0                  Valor com informação perfeita
Err:502     Õmega         0                  Valor sem informação perfeita
           Máximo        19                  Valor da informação perfeita
            Melhor      Delta




                                Página 275
Incerteza




                  R2     R3     R4        R5
                   3     50   Err:502   Err:502
                 20%    50%     0%        0%
                  0.6    25   Err:502   Err:502
mação perfeita                             Err:502
mação perfeita                                  19
ação perfeita                              Err:502




                                            Página 276
Tornado




      Parâmetro        Pior           Melhor
         alfa         (10.00)         30.00
         beta         (50.00)         60.00
        gama          (80.00)         50.00



      gama                 (80.00)                    50.00



      beta                       (50.00)               60.00



          alfa                             (10.00) 30.00


           (100.00)    (50.00)                -                50.00   100.00
Cálculos auxiliares



    Custos Fixos
        70
        90
        120



    Custos Fixos
-       70
-       90
-       120



    Custos Fixos
        70
        90
        120
Cálculos auxiliares

                         K=        10%
                Custos variáveis
            30%      40%         60%
            857.49   554.22      (52.30)
            781.67   478.41     (128.12)
            667.95   364.68     (241.84)

                         K=        15%
                Custos variáveis
            30%      40%         60%
            642.56   374.38     (161.96)
            575.51   307.34     (229.00)
            474.95   206.78     (329.57)

                         K=        20%
                Custos variáveis
            30%      40%         60%
            465.40   226.15     (252.35)
            405.59   166.34     (312.16)
            315.87     76.62    (401.88)
MonteCarlo


MonteCarlo


                                                                   #MACRO?
                                                                   #MACRO?

                Descrição                                     Valor
              Valor a simular                                 7.00
           Número de simulações                                10                  Sugestão: entre 295 e 400
            Freio (fim didático)
     (O CD do livro e o site MinhasAulas.com.br apresentam a planilha MonteCarlo.xls, que permite simulações mais rápidas)
                          N                                Simulado                        Média                  Desvio                      12



                                                                                                                                              10



                                                                                                                                               8




                                                                                                                             Média e Desvio
                                                                                                                                               6



                                                                                                                                               4                                  M

                                                                                                                                               2



                                                                                                                                               0
                                                                                                                                                   0              2




                                                                                                                                               12

                                                                                                                                               10

                                                                                                                                                   8




                                                                                                                             Frequência
                                                                                                                                                   6

                                                                                                                                                   4

                                                                                                                                                   2

                                                                                                                                                   0




                                                                                                                                                       Err:502


                                                                                                                                                                 Err:502


                                                                                                                                                                              Err:502
                                                                                                                                                                           Limites




                                                                 Página 281
MonteCarlo




Página 282
MonteCarlo




Página 283
MonteCarlo




Página 284
MonteCarlo




Página 285
MonteCarlo




Página 286
MonteCarlo




Página 287
MonteCarlo




Página 288
MonteCarlo




                                                                            Resultados
                                                                            Média                                              #N/A
                                                                            Desvio                                             #N/A
                                                                            Prob > 0                                           #N/A
                 12



                 10



                  8
Média e Desvio




                  6



                  4                                  Média               Desvio

                  2



                  0
                      0              2                     4                          6               8                 10                         12
                                                                   Numero de Simulações



                  12                                                                                                                                    Máximo           Err:502
                  10
                                                                                                                                                        Mínimo           Err:502
                                                                                                                                                        H Classe         Err:502
                      8                                                                                                                                 N Classes       10
Frequência




                      6
                                                                                                                                                         Limite Sup      Fi
                      4                                                                                                                                    Err:502    Err:502
                      2                                                                                                                                    Err:502    Err:502
                                                                                                                                                           Err:502    Err:502
                      0                                                                                                                                    Err:502    Err:502
                          Err:502


                                    Err:502


                                                 Err:502


                                                               Err:502


                                                                            Err:502


                                                                                          Err:502


                                                                                                    Err:502


                                                                                                              Err:502


                                                                                                                             Err:502


                                                                                                                                         Err:502




                                                                                                                                                           Err:502    Err:502
                                                                                                                                                           Err:502    Err:502
                                              Limites superiores dos valores simulados                                                                     Err:502    Err:502
                                                                                                                                                           Err:502    Err:502
                                                                                                                                                           Err:502    Err:502
                                                                                                                                                           Err:502    Err:502




                                                                                                                                       Página 289
MonteCarlo




Página 290
MonteCarlo




Página 291
MonteCarlo




Página 292
MonteCarlo




Página 293
MonteCarlo




Página 294
MonteCarlo




Página 295
MonteCarlo




Página 296
OpçõesReais


OpçõesReais




                                                               Fórmulas algébricas
       Variável       Descrição          Valor
          S         VP Fcs futuros      500.00
                                                               C = SN ( d 1 ) − Xe −rT N ( d 2 )
          X       Valor Investimento    300.00        inputs                              σ2 
                                                                            S 
           t      Tempo postergável        3                              ln  +  R f +    t
          Rf       Custo de capital     18.00%
                                                                            X           2 
                                                                   d1 =
          σ          Volatilidade        2.00                                       σ t
         C                     476.17        resultados                      S          σ2 
         d1               2.03539804                                      ln   +  R f −    t
                                                                             X          2 
         d2              (1.42870358)                             d2 =
                                                                                    σ t




                                        Página 297
OpçõesReais




        σ2 
+ R f +    t
         2 
 σ t
       σ2 
+ Rf −    t
       2 
 σ t




                 Página 298

Meus investimentos

  • 1.
    MeusInvestimentos.xls Apoio ao livro Avaliação de Investimentos, publicado pela Editora Atlas. Adriano Leal Bruni www.MinhasAulas.com.br albruni@minhasaulas.com.br Clique sobre o nome da planilha desejada. Capítulo 2 Capítulo 6 Capítulo 12 Valor do dinheiro no tempo Análise de prazos Incerteza Capítulo 3 Capítulo 7 Tornado Projeção de fluxos de caixa Análise de valores Capítulo 4 Capítulo 8 Capítulo 13 Taxa mínima de atratividade Análise de taxas Monte Carlo Capítulo 5 Capítulo 9 Opções Reais Ponto de Equilíbrio Seleção de projetos
  • 2.
  • 3.
    Valor do dinheirono tempo Operações financeiras com juros compostos. Regime N I PV PMT þÿ 3 5 7.00% (400.00) Juros Compostos Resposta O valor futuro é igual a 561.020,69 no regime de juros compostos Operações na HP12C [f] [REG] 5 [n] 7 [i] 400 [CHS] [PV] [g] [END] [FV] Visor => 561.0207 Operações no Excel =VF(0.07;5;;-400;0) Equivalência e proporcionalidade de taxas 3 Regime þÿ Juros Compostos ? Equivalência de taxas de juros. Taxa A Nper A Taxa B Nper B
  • 4.
    36.0% 1 12 2.60%
  • 5.
    N I PV PMT JS 1 0 [ENTER] [ENTER] [ENTER] [-] 5=> 0,000,000 1 [+] [/] 0 400 [/] 0 [-] 7 [/] VisorNão Visor => 0,000,000 1 400 1 0.07[/] existe [x] [ENTER]5 D 2 1 [ENTER] [ENTER] 400 [ENTER] 0 existe [/] [ENTER] 1 400 [ENTER] 0 [/]1[-] 0.07 [/] Visor => 0,000 0 [ENTER] [ENTER] 0.07 Visor => Não [/] [-] 5 JC 3 [f] [REG] [f] [i] 400 [CHS] [PV][n] [f] [i] [g] [END] 7 [i][i]Viso 7 [REG] [f] [n] 400 5 [g]7[END] [g] [END]=> 0 . [ 5 [REG] [CHS] [REG] 5 Visor 400 [PV] [n] [n] [PV] Vis l 3c 5 fómula ==>
  • 6.
    Opção : 3 juros compostos (Não Mexa !!!) 1 - Juros Simples 2 - Desconto Bancário 3 - Juros Compostos Cálculos Financeiros Gerais (Não Mexa !!!) 2 3 4 5 1 (14.29) -20.00% - Não tem 2 #DIV/0! #DIV/0! - Não tem 3 #NUM! -100.00% - 97.56 Cálculos na HP 12C - Não Mexa Nunca !!! Juros N I PV PMT [CHS] 5 [n] 7 [i] 400 [CHS] [PV] N [f] [REG] 7 [i] 400 [CHS] [PV] [g] [END] [n] Visor => 0 . A HP aproxima o cálculo de n para o inteiro superior. S I [f] [REG] 5 [n] 400 [CHS] [PV] [g] [END] [i] Visor => 0 PV [f] [REG] 5 [n] 7 [i] [g] [END] [PV] Visor => 0
  • 7.
    PMT [f] [REG] 5 [n] 7 [i] 400 [CHS] [PV] [g] [END] [PMT] Visor => 0 FV [f] [REG] 5 [n] 7 [i] 400 [CHS] [PV] [g] [END] [FV] Visor => 561.0207
  • 8.
    Regimes 1 - Jurossimples 2 - Desconto comercial TAXA(nper;pgto;vp;vf;tipo;estimativ 3 - Juros compostos VF(taxa;nper;pgto;vp;tipo) VP(taxa;nper;pgto;vf;tipo) Tipos 0 - postecipado 1 - antecipado Legenda cod desc simb conc 1 O número períodos =NPER(0.07;;-400;;0) de períodos 2 % a.p. A taxa de juros =TAXA(5;;-400;;0;) 3 O valor presente =VP(0.07;5;;;0) 4 A prestação =PGTO(0.07;5;-400;;0) 5 O valor futuro =VF(0.07;5;;-400;0) Taxa 1 % a.d. dias 1 2 % a.m. meses 30
  • 9.
    3 % a.b. bimestres 60 4 % a.t. trimestres 90 5 % a.q. quadrimestres 120 6 % a.s. semestres 180 7 % a.a. ano comercial 360 8 % a.a. (exato) ano civil 365
  • 10.
    1 FV Tipo þÿ 0 561.02 Sem entrada me de juros compostos D] [FV] Visor => 561.0207 Compostos
  • 12.
    5 FV Tipo 400 [ENTER] 0.07 [ENTER] 5 [x] 1 [+] [x] Visor => 0,000,561 400 [ENTER] 1 [ENTER] 0.07 [ENTER] 5 [x] [-] [/] Visor => 0,000,561 [f] [REG] 5 [n] 7 [i] 400 [CHS] [PV] [g] [END] [FV] Visor => 561.0207 [f] [REG] 5 [n] 7 [i] 400 [CHS] [PV] [g] [END] [FV] Visor => 561.0207
  • 13.
    Mexa !!!) 6 540.00 615.38 561.02 FV TIPO [g] [END] álculo de n para o inteiro superior. Seu valor com quatro casas é igual a 0
  • 15.
  • 17.
    Projeção de fluxosde caixa Descrição Período 0 (+) Receitas (-) Custos e despesas variáveis (-) Custos e despesas fixos (exceto depreciação) (-) Depreciação = Lucro Operacional Tributável - (-) IR = Lucro Líquido Operacional - (+) Depreciação - = FCO (Fluxo de Caixa Operacional) - (+/-) Investimento ou desinvestimentos líquidos em equipamentos (+/-) Investimentos ou desinvestimentos em capital de giro = FCL (Fluxo de Caixa Livre) - Venda de imobilizado Descrição Valor Valor de venda 5,000.00 (-) Valor contábil líquido (histórico - depreciação acumulada) - Resultado não operacional decorrente da venda 5,000.00 Alíquota do imposto de renda 30% (-) Imposto de renda sobre o resultado (1,500.00) Resultado líquido 3,500.00 Fluxo incremental decorrente da venda 3,500.00
  • 19.
    Período 1 Período 2 Período 3 Período 4 Período 5 Período 6 Período 7 - - - - - - - - - - - - - - - - - - - - - - - - - - - - - - - - - - -
  • 21.
    Período 8 Período 9 Período 10 Período 11 Período 12 Período 13 Período 14 - - - - - - - - - - - - - - - - - - - - - - - - - - - - - - - - - - -
  • 23.
    Período 15 Período 16 Período 17 Período 18 Período 19 Período 20 - - - - - - - - - - - - - - - - - - - - - - - - - - - - - -
  • 35.
    Taxa mínima deatratividade Cálculo do custo de capital 1 Custo do capital de terceiros - Empréstimos N I I 30% 25.00% 17.50% Custo do capital de terceiros - Emissão de obrigações N I PV PMT FV IR% Cálculo da taxa equival. Taxa bruta N períodos Taxa líq Taxa equiv
  • 36.
    1 Custo do capitalpróprio - Modelo de Gordon e Shapiro Ks D1 P0 g F 8.00 40.00 4.00% 0.00% 24.00% 1 Custo do capital próprio - CAPM Ks Rf Rm Beta 2.00% 6.00% 1.40 7.60% Custo do capital próprio Beta = 1.5624 Cálculo do beta Diagrama de dispersão : Mercado x Ação Mercado Ação 15% f(x) = 1.56x - 0 1.0% 2.0% R² = 1 10% -3.0% -5.0% 8.0% 12.0% 5% 0% -5% -10% -15%
  • 37.
    15% f(x) = 1.56x - 0 R² = 1 10% 5% -4.0% -7.0% 0% 6.0% 9.0% -2.0% -4.0% -5% -1.0% -1.5% -10% 0.0% 0.0% 4.0% 6.0% -15% 3.0% 4.5% -8% -6% -4% -2% 0% 2% 4% 6% 8% 10% -7.0% -11.0% 4.0% 6.0% Fonte Volume ($) Custo (%) Patrim Liq 500,000.00 12.00% 60000 Emprest LP 400,000.00 14.00% 56000 0 0 0 Soma 900,000.00 12.89%
  • 40.
    % 8% 10%
  • 41.
    PontoDeEquilíbrio Descrição $ 30,000.00 GF GV GT Receita Gastos Fixos Totais 6,000.00 Gasto Variável Unitário 12.00 25,000.00 Preço de Venda Unitário 24.00 Vendas atuais (qtde) 600 20,000.00 Intervalo do gráfico 50 15,000.00 Ponto de Equilíbrio (q) 500 10,000.00 Ponto de Equilíbrio ($) 12,000.00 5,000.00 Margem Segurança (Qtde) 100.00 Margem Segurança ($) 2,400.00 - Margem Segurança (%) 17% 0 200 400 600 800 1000 1 Qtde. GF GV 0 6,000.00 - 50 6,000.00 600.00 100 6,000.00 1,200.00 150 6,000.00 1,800.00 200 6,000.00 2,400.00 250 6,000.00 3,000.00 300 6,000.00 3,600.00 350 6,000.00 4,200.00 400 6,000.00 4,800.00 450 6,000.00 5,400.00 500 6,000.00 6,000.00 550 6,000.00 6,600.00 600 6,000.00 7,200.00 650 6,000.00 7,800.00 700 6,000.00 8,400.00 750 6,000.00 9,000.00 800 6,000.00 9,600.00 850 6,000.00 10,200.00 900 6,000.00 10,800.00 950 6,000.00 11,400.00 1000 6,000.00 12,000.00
  • 42.
    GT Receita 400 600 800 1000 1200 GT Receita 6,000.00 - 6,600.00 1,200.00 7,200.00 2,400.00 7,800.00 3,600.00 8,400.00 4,800.00 9,000.00 6,000.00 9,600.00 7,200.00 10,200.00 8,400.00 10,800.00 9,600.00 11,400.00 10,800.00 12,000.00 12,000.00 12,600.00 13,200.00 13,200.00 14,400.00 13,800.00 15,600.00 14,400.00 16,800.00 15,000.00 18,000.00 15,600.00 19,200.00 16,200.00 20,400.00 16,800.00 21,600.00 17,400.00 22,800.00 18,000.00 24,000.00
  • 43.
    Análise de prazos Payback simples PayBack Resposta Período Fluxo de caixa Saldo Simples Simples 0 (600.00) (600.00) PBS = 0,001 períodos 1 400.00 (200.00) - 2 800.00 600.00 1.25 3 4 5 6 7 8 9 10 11 12 13 14 15 16 17 18 19 20 21 22 23 24 25 26 27 28 29 30 Cálculos PBS 1.25
  • 44.
    Payback descontado k= Fluxos Simples Descontado Período Fluxos Nominais Descontados Saldo PBS Saldo 0 (90.00) (90.00) (90.00) (90.00) 1 10.00 8.70 (80.00) - (81.30) 2 20.00 15.12 (60.00) - (66.18) 3 30.00 19.73 (30.00) - (46.46) 4 40.00 22.87 10.00 3.75 (23.59) 5 30.00 14.92 40.00 - (8.67) 6 30.00 12.97 70.00 - 4.30 7 80.00 30.07 150.00 - 34.37 8 90.00 29.42 240.00 - 63.80
  • 45.
    Cálculos PBS 3.75 PBD
  • 46.
    PBS = 0,001períodos
  • 47.
    15% Descontado Resposta PBD PBS = 0,004 períodos - - PBD = 0,006 - períodos - - 5.67 Saldo e payback simples - - 300.00 250.00 Saldo a valor presente 200.00 150.00 100.00 50.00 - (50.00) (100.00) (150.00) 0 1 2 3 4 5 6 7 8 9 Período Saldo e payback descontado 80.00 60.00 alor presente 40.00 20.00 - (20.00)
  • 48.
    80.00 60.00 Saldo a valor presente 40.00 5.67 20.00 - (20.00) (40.00) (60.00) (80.00) (100.00) 0 1 2 3 4 5 6 7 8 9 Período
  • 50.
    7 8 9
  • 51.
    7 8 9
  • 52.
    Análise de valores Cálculo de VPL, VFL, VUL e IL k 14% Ano Fluxos de Caixa 0 (800.00) Resposta 1 300.00 2 400.00 VPL = $269.480,00 3 300.00 4 500.00 5 VFL = $455.140,00 6 7 8 VUL = $92.485,62 9 10 11 IL = 1.336,85 12 13 14 15 16 17 18 19 20 21 22 23 24 25 26 27 28 29 30 VPL 269.48 Gráficos : VPL versus K K VPL 300.00 269.48 0% 700.00 250.00 or Presente Líquido 200.00 150.00 100.00
  • 53.
    300.00 250.00 Valor Presente Líquido 5% 519.03 10% 370.21 200.00 15% 246.46 20% 142.52 150.00 25% 54.40 30% -20.93 100.00 35% -85.83 40% -142.15 50.00 45% -191.34 50% -234.57 0.00 55% -272.77 0% 10% 20% 30% 40% 50% 60% 60% -306.71 Custo de Capital (k)
  • 54.
  • 55.
    40% 50% 60% 70% Capital (k)
  • 56.
    Análise de taxas Cálculo de taxas de juros k 10% Ano Fluxos de Caixa TIR estimada 70% 0 (800.00) 1 300.00 2 400.00 Resultados 3 500.00 TIR 21% 4 VPL 178.96 5 6 7 8 9 10 11 12 13 14 15 16 17 18 19 20 21 22 23 24 25 26 27 28 29 30
  • 57.
    Gráficos : VPLversus K TIR corresponde ao valor de k para VPL nulo K VPL 178.96 0% 400.00 VPL versus k 30% (104.96) 200.00 60% (334.18) 90% (458.41) k (custo de capital) 120% (534.03) 150.00 150% (584.00) 180% (619.06) 100.00 210% (644.82) 240% (664.44) 50.00 270% (679.83) 300% (692.19) 330% (702.31) - 360% (710.74) 0% 50% 100% 150% 200% 250% VPL Cálculo das taxas: TER (modelo 01) Cálculo da TER Período Fluxos de Caixa k financ 18% 0 -500.00 k reinvest 14% 1 400.00 2 -600.00 Respostas 3 1,500.00 TER (MTIR) 29.46% 4 TIR 42.92% 5 VPL 321.02 6 7
  • 58.
    8 9 10 11 12 13 14 15 16 17 18 19 20 21 22 23 24 25 26 27 28 29 30 Cálculo das taxas: TER (modelo 02) Capitais Equivalentes Período Fluxo de Caixa Pos (t = n) Neg (t = 0) 0 (500.00) - 500.00 1 400.00 519.84 - 2 (600.00) - 430.91 3 1,500.00 1,500.00 - 4 - - 5 - - Soma 2,019.84 930.91 TER 29.460% Parâmetros K1 (aplicação) = 14% K2 (captação) = 18% Valor calculado com a função MTIR 29.46021%
  • 59.
    DECISÕES DE INVESTIMENTONO EXCEL Cálculo das taxas: TIJ Parâmetros Período Fluxo de Caixa Saldo do Projeto k 0 (700.00) (700.00) TIJ 1 800.00 (424.73) 2 (400.00) (1,143.11) 3 2,000.00 (0.00) 4 5 6 7 8 9 Saldo (0.00)
  • 61.
    Parâmetros Mínimo 0% Step 30% VPL versus k 0% 150% 200% 250% 300% 350% 400% VPL
  • 63.
    O NO EXCEL 5.0000% 74.9612%
  • 64.
    Seleção de projetos Comparando diferentes projetos Período Projetos A B C D 0 (50.00) (100.00) (200.00) (300.00) 1 20.00 60.00 80.00 100.00 2 25.00 40.00 70.00 110.00 3 30.00 30.00 50.00 120.00 4 35.00 20.00 60.00 130.00 5 6 7 8 9 10 11 12 13 14 15 16 17 18 19 20 21 22 23 24 25 26 27 28 29 30
  • 78.
    Cálculos de PayBack Nãoabasteça nada aqui !!!!!! Cálculo do PayBack FCs do FCs Saldo Ano Projeto Descont Simples PBS 0 (50.00) (50.00) (50.00) 1 20.00 17.39 (30.00) - 2 25.00 18.90 (5.00) - 3 30.00 19.73 25.00 2.17 4 35.00 20.01 60.00 - 5 6 7 8 9 10 11 12 13 14 15 16 17 18 19 20 21 22 23 24 25
  • 79.
    26 27 28 29 30 Cálculos PBS 2.17
  • 80.
    Valores do custode capital A B C D k financ 15.00% 15.00% 15.00% 15.00% E k aplic 15.00% 15.00% 15.00% 15.00% (500.00) 150.00 160.00 Respostas para os projetos 170.00 A B C D 200.00 PBS 2.17 2.00 3.00 2.75 PBD 2.69 2.89 - 3.69 VPL 26.03 13.58 (10.32) 23.36 VFL 45.53 23.75 (18.06) 40.86 VUL 9.12 4.76 (3.62) 8.18 IL 1.52 1.14 0.95 1.08 TIR 36.44% 23.05% 12.24% 18.63% TER 27.70% 18.72% 13.49% 17.18% Para obter a TIJ de cada projeto, é preciso ir até o modelo para o cálculo da taxa interna de juros.
  • 94.
    Projeto A Saldo Descont PBD (50.00) - (32.61) - (13.71) - 6.02 2.69 26.03 -
  • 95.
    PBD 2.69
  • 96.
    E 15.00% 15.00% E 3.10 - (22.45) (39.27) (7.86) 0.96 12.86% 13.69%
  • 192.
    Simulações diversas Não abasteçanada aqui !!!!!! Simulação em relação aos valore Projeto A K VPL 26.03 4.00% 48.93 5.27% 45.78 6.53% 42.79 7.80% 39.93 9.07% 37.21 10.33% 34.62 11.60% 32.14 12.87% 29.78 14.13% 27.52 15.40% 25.36 16.67% 23.29 17.93% 21.32 19.20% 19.42 20.47% 17.61 21.73% 15.87 23.00% 14.20 24.27% 12.59 25.53% 11.06 26.80% 9.58 28.07% 8.15 29.33% 6.79 30.60% 5.47 31.87% 4.20 33.13% 2.98 34.40% 1.81 35.67% 0.67 36.93% (0.42) 38.20% (1.48) 39.47% (2.50) 40.73% (3.48) 42.00% (4.43) 43.27% (5.35) 44.53% (6.24) 45.80% (7.10) 47.07% (7.93) 48.33% (8.73) 49.60% (9.51) 50.87% (10.27) 52.13% (11.00) 53.40% (11.71) 54.67% (12.39) 55.93% (13.06)
  • 193.
    57.20% (13.71) 58.47% (14.33) 59.73% (14.94) 61.00% (15.54) 62.27% (16.11) 63.53% (16.67) 64.80% (17.21) 66.07% (17.74) 67.33% (18.25) 68.60% (18.75) 69.87% (19.24) 71.13% (19.71) 72.40% (20.17) 73.67% (20.62) 74.93% (21.06) 76.20% (21.48) 77.47% (21.90) 78.73% (22.30)
  • 206.
    Cálculo do PayBack Projeto B Cálculo do PayBack FCs do FCs Saldo Saldo Ano Ano Projeto Descont Simples PBS Descont PBD 0 (100.00) (100.00) (100.00) (100.00) - 0 1 60.00 52.17 (40.00) - (47.83) - 1 2 40.00 30.25 - 2.00 (17.58) - 2 3 30.00 19.73 30.00 2.00 2.15 2.89 3 4 20.00 11.44 50.00 - 13.58 - 4 5 5 6 6 7 7 8 8 9 9 10 10 11 11 12 12 13 13 14 14 15 15 16 16 17 17 18 18 19 19 20 20 21 21 22 22 23 23 24 24 25 25
  • 207.
    26 26 27 27 28 28 29 29 30 30 Cálculos PBS 2.00 PBD 2.89 Cálculos
  • 208.
    ções diversas asteça nadaaqui !!!!!! ção em relação aos valores de k (gerada com o recurso Dados/Tabela) Projeto B Projeto C Projeto D K VPL K VPL K VPL 13.58 (10.32) 23.36 4.00% 38.44 4.00% 37.38 4.00% 115.66 5.27% 35.10 5.27% 30.90 5.27% 103.01 6.53% 31.90 6.53% 24.71 6.53% 90.96 7.80% 28.84 7.80% 18.79 7.80% 79.48 9.07% 25.90 9.07% 13.14 9.07% 68.52 10.33% 23.07 10.33% 7.72 10.33% 58.06 11.60% 20.36 11.60% 2.54 11.60% 48.07 12.87% 17.75 12.87% (2.42) 12.87% 38.52 14.13% 15.24 14.13% (7.18) 14.13% 29.39 15.40% 12.83 15.40% (11.74) 15.40% 20.64 16.67% 10.50 16.67% (16.13) 16.67% 12.27 17.93% 8.27 17.93% (20.33) 17.93% 4.25 19.20% 6.11 19.20% (24.38) 19.20% (3.44) 20.47% 4.03 20.47% (28.27) 20.47% (10.82) 21.73% 2.02 21.73% (32.01) 21.73% (17.91) 23.00% 0.08 23.00% (35.61) 23.00% (24.71) 24.27% (1.79) 24.27% (39.07) 24.27% (31.24) 25.53% (3.60) 25.53% (42.42) 25.53% (37.53) 26.80% (5.35) 26.80% (45.64) 26.80% (43.57) 28.07% (7.04) 28.07% (48.74) 28.07% (49.39) 29.33% (8.68) 29.33% (51.74) 29.33% (54.99) 30.60% (10.26) 30.60% (54.63) 30.60% (60.38) 31.87% (11.80) 31.87% (57.43) 31.87% (65.58) 33.13% (13.29) 33.13% (60.13) 33.13% (70.59) 34.40% (14.73) 34.40% (62.74) 34.40% (75.43) 35.67% (16.12) 35.67% (65.26) 35.67% (80.09) 36.93% (17.48) 36.93% (67.71) 36.93% (84.60) 38.20% (18.79) 38.20% (70.07) 38.20% (88.95) 39.47% (20.07) 39.47% (72.36) 39.47% (93.15) 40.73% (21.31) 40.73% (74.58) 40.73% (97.21) 42.00% (22.51) 42.00% (76.73) 42.00% (101.14) 43.27% (23.68) 43.27% (78.81) 43.27% (104.94) 44.53% (24.82) 44.53% (80.83) 44.53% (108.62) 45.80% (25.93) 45.80% (82.79) 45.80% (112.18) 47.07% (27.00) 47.07% (84.69) 47.07% (115.63) 48.33% (28.05) 48.33% (86.54) 48.33% (118.97) 49.60% (29.07) 49.60% (88.33) 49.60% (122.21) 50.87% (30.06) 50.87% (90.08) 50.87% (125.35) 52.13% (31.02) 52.13% (91.77) 52.13% (128.39) 53.40% (31.97) 53.40% (93.41) 53.40% (131.34) 54.67% (32.88) 54.67% (95.02) 54.67% (134.21) 55.93% (33.78) 55.93% (96.57) 55.93% (136.99)
  • 209.
    57.20% (34.65) 57.20% (98.09) 57.20% (139.70) 58.47% (35.50) 58.47% (99.56) 58.47% (142.32) 59.73% (36.33) 59.73% (101.00) 59.73% (144.87) 61.00% (37.14) 61.00% (102.39) 61.00% (147.35) 62.27% (37.93) 62.27% (103.76) 62.27% (149.76) 63.53% (38.70) 63.53% (105.08) 63.53% (152.10) 64.80% (39.45) 64.80% (106.38) 64.80% (154.38) 66.07% (40.19) 66.07% (107.64) 66.07% (156.60) 67.33% (40.90) 67.33% (108.87) 67.33% (158.76) 68.60% (41.61) 68.60% (110.07) 68.60% (160.86) 69.87% (42.29) 69.87% (111.24) 69.87% (162.91) 71.13% (42.96) 71.13% (112.38) 71.13% (164.91) 72.40% (43.62) 72.40% (113.49) 72.40% (166.85) 73.67% (44.26) 73.67% (114.58) 73.67% (168.74) 74.93% (44.89) 74.93% (115.65) 74.93% (170.59) 76.20% (45.50) 76.20% (116.69) 76.20% (172.39) 77.47% (46.11) 77.47% (117.70) 77.47% (174.15) 78.73% (46.70) 78.73% (118.69) 78.73% (175.86)
  • 222.
    Cálculo do PayBack Projeto C Cálculo do PayBack FCs do FCs Saldo Saldo FCs do Ano Projeto Descont Simples PBS Descont PBD Projeto (200.00) (200.00) (200.00) (200.00) - 0 (300.00) 80.00 69.57 (120.00) - (130.43) - 1 100.00 70.00 52.93 (50.00) - (77.50) - 2 110.00 50.00 32.88 - 3.00 (44.63) - 3 120.00 60.00 34.31 60.00 3.00 (10.32) - 4 130.00 5 6 7 8 9 10 11 12 13 14 15 16 17 18 19 20 21 22 23 24 25
  • 223.
    26 27 28 29 30 PBS 3.00 PBD - Cálculos
  • 224.
    Análise de Sensibilidade VPLs versus K Projeto E K VPL k A B C (22.45) 4.00% 114.25 4.00% 48.93 38.44 37.38 5.27% 95.50 5.27% 45.78 35.10 30.90 6.53% 77.65 6.53% 42.79 31.90 24.71 7.80% 60.63 7.80% 39.93 28.84 18.79 9.07% 44.40 9.07% 37.21 25.90 13.14 10.33% 28.91 10.33% 34.62 23.07 7.72 11.60% 14.12 11.60% 32.14 20.36 2.54 12.87% (0.02) 12.87% 29.78 17.75 (2.42) 14.13% (13.54) 14.13% 27.52 15.24 (7.18) 15.40% (26.48) 15.40% 25.36 12.83 (11.74) 16.67% (38.87) 16.67% 23.29 10.50 (16.13) 17.93% (50.74) 17.93% 21.32 8.27 (20.33) 19.20% (62.11) 19.20% 19.42 6.11 (24.38) 20.47% (73.03) 20.47% 17.61 4.03 (28.27) 21.73% (83.50) 21.73% 15.87 2.02 (32.01) 23.00% (93.56) 23.00% 14.20 0.08 (35.61) 24.27% (103.22) 24.27% 12.59 (1.79) (39.07) 25.53% (112.51) 25.53% 11.06 (3.60) (42.42) 26.80% (121.44) 26.80% 9.58 (5.35) (45.64) 28.07% (130.03) 28.07% 8.15 (7.04) (48.74) 29.33% (138.31) 29.33% 6.79 (8.68) (51.74) 30.60% (146.27) 30.60% 5.47 (10.26) (54.63) 31.87% (153.95) 31.87% 4.20 (11.80) (57.43) 33.13% (161.36) 33.13% 2.98 (13.29) (60.13) 34.40% (168.49) 34.40% 1.81 (14.73) (62.74) 35.67% (175.38) 35.67% 0.67 (16.12) (65.26) 36.93% (182.03) 36.93% (0.42) (17.48) (67.71) 38.20% (188.46) 38.20% (1.48) (18.79) (70.07) 39.47% (194.66) 39.47% (2.50) (20.07) (72.36) 40.73% (200.66) 40.73% (3.48) (21.31) (74.58) 42.00% (206.45) 42.00% (4.43) (22.51) (76.73) 43.27% (212.06) 43.27% (5.35) (23.68) (78.81) 44.53% (217.49) 44.53% (6.24) (24.82) (80.83) 45.80% (222.74) 45.80% (7.10) (25.93) (82.79) 47.07% (227.83) 47.07% (7.93) (27.00) (84.69) 48.33% (232.76) 48.33% (8.73) (28.05) (86.54) 49.60% (237.53) 49.60% (9.51) (29.07) (88.33) 50.87% (242.16) 50.87% (10.27) (30.06) (90.08) 52.13% (246.65) 52.13% (11.00) (31.02) (91.77) 53.40% (251.01) 53.40% (11.71) (31.97) (93.41) 54.67% (255.24) 54.67% (12.39) (32.88) (95.02) 55.93% (259.34) 55.93% (13.06) (33.78) (96.57)
  • 225.
    57.20% (263.32) 57.20% (13.71) (34.65) (98.09) 58.47% (267.19) 58.47% (14.33) (35.50) (99.56) 59.73% (270.95) 59.73% (14.94) (36.33) (101.00) 61.00% (274.60) 61.00% (15.54) (37.14) (102.39) 62.27% (278.16) 62.27% (16.11) (37.93) (103.76) 63.53% (281.61) 63.53% (16.67) (38.70) (105.08) 64.80% (284.97) 64.80% (17.21) (39.45) (106.38) 66.07% (288.24) 66.07% (17.74) (40.19) (107.64) 67.33% (291.42) 67.33% (18.25) (40.90) (108.87) 68.60% (294.52) 68.60% (18.75) (41.61) (110.07) 69.87% (297.54) 69.87% (19.24) (42.29) (111.24) 71.13% (300.48) 71.13% (19.71) (42.96) (112.38) 72.40% (303.34) 72.40% (20.17) (43.62) (113.49) 73.67% (306.13) 73.67% (20.62) (44.26) (114.58) 74.93% (308.85) 74.93% (21.06) (44.89) (115.65) 76.20% (311.51) 76.20% (21.48) (45.50) (116.69) 77.47% (314.10) 77.47% (21.90) (46.11) (117.70) 78.73% (316.62) 78.73% (22.30) (46.70) (118.69)
  • 238.
    do PayBack Projeto D Cálculo do PayBack FCs Saldo Saldo FCs do Ano Descont Simples PBS Descont PBD Projeto (300.00) (300.00) (300.00) - 0 (500.00) 86.96 (200.00) - (213.04) - 1 150.00 83.18 (90.00) - (129.87) - 2 160.00 78.90 30.00 2.75 (50.97) - 3 170.00 74.33 160.00 - 23.36 3.69 4 200.00 5 6 7 8 9 10 11 12 13 14 15 16 17 18 19 20 21 22 23 24 25
  • 239.
    26 27 28 29 30 PBS 2.75 PBD 3.69 Cálculos
  • 240.
    Parâmetros do gráfico K min D E K max Step 115.66 114.25 100.00 103.01 95.50 90.96 77.65 50.00 79.48 60.63 68.52 44.40 - 58.06 28.91 48.07 14.12 (50.00) 38.52 (0.02) 29.39 (13.54) (100.00) 20.64 (26.48) (150.00) 12.27 (38.87) 4.25 (50.74) (200.00) A B C D E (3.44) (62.11) 4% 9% 14% 19% 24% 29% (10.82) (73.03) (17.91) (83.50) (24.71) (93.56) (31.24) (103.22) (37.53) (112.51) (43.57) (121.44) (49.39) (130.03) (54.99) (138.31) (60.38) (146.27) (65.58) (153.95) (70.59) (161.36) (75.43) (168.49) (80.09) (175.38) (84.60) (182.03) (88.95) (188.46) (93.15) (194.66) (97.21) (200.66) (101.14) (206.45) (104.94) (212.06) (108.62) (217.49) (112.18) (222.74) (115.63) (227.83) (118.97) (232.76) (122.21) (237.53) (125.35) (242.16) (128.39) (246.65) (131.34) (251.01) (134.21) (255.24) (136.99) (259.34)
  • 241.
    (139.70) (263.32) (142.32) (267.19) (144.87) (270.95) (147.35) (274.60) (149.76) (278.16) (152.10) (281.61) (154.38) (284.97) (156.60) (288.24) (158.76) (291.42) (160.86) (294.52) (162.91) (297.54) (164.91) (300.48) (166.85) (303.34) (168.74) (306.13) (170.59) (308.85) (172.39) (311.51) (174.15) (314.10) (175.86) (316.62)
  • 254.
    Projeto E FCs Saldo Saldo Descont Simples PBS Descont PBD (500.00) (500.00) (500.00) - 130.43 (350.00) - (369.57) - 120.98 (190.00) - (248.58) - 111.78 (20.00) - (136.80) - 114.35 180.00 3.10 (22.45) -
  • 255.
    PBS 3.10 PBD -
  • 256.
    Parâmetros do gráfico 4% 80% 1.27% % 24% 29%
  • 272.
    Incerteza Incerteza Cte de Hurwicz 0.50 1 2 3 4 5 Resultados possíveis (desejáveis = positivo, indesejáveis = negativo) Alternativas R1 R2 R3 R4 R5 1 Alfa 1 2 3 2 Beta -4 3 8 3 Delta -20 0 50 4 Lâmbda 5 Õmega 6 A1 A2 A3 A4 A5 Probab 30% 20% 50% Ok! Soma = 100% Resultados sob incerteza Maximax Err:502 Laplace Delta Maximin Err:502 Savage Err:502 Hurwicz Err:502 Resultados sob risco Alternativa Alfa Beta Delta Lâmbda Õmega E(X) 2.2 3.4 19 0 0 Maior valor 19 Melhor escolha Delta Valor com inf perfeita Err:502 Valor da inf perfeita Err:502 Página 272
  • 273.
    Incerteza Arrependimentos de Savage Máximo Mínimo Hurwicz Laplace Alfa 3 1 2 2 Alfa Beta 8 -4 2 2.33 Beta Delta 50 -20 15 10 Delta Lâmbda Err:502 Err:502 Err:502 Lâmbda Õmega Err:502 Err:502 Err:502 Õmega Máximo Err:502 Err:502 Err:502 10 Err:502 Err:502 Err:502 3 Cenário Err:502 Err:502 Err:502 Delta Página 273
  • 274.
    Incerteza Arrependimentos de Savage R1 R2 R3 R4 R5 Máximo Mín Max 0 1 47 47 Err:502 5 0 42 42 Err:502 21 3 0 21 Err:502 Err:502 Err:502 Err:502 Err:502 Melhor Err:502 Página 274
  • 275.
    Incerteza Anternativa E(X) Cenário R1 Err:502 Alfa 2.2 Maior valor 1 Err:502 Beta 3.4 Prob 30% Delta 19 Maior.Prob 0.3 Err:502 Lâmbda 0 Valor com informação perfeita Err:502 Õmega 0 Valor sem informação perfeita Máximo 19 Valor da informação perfeita Melhor Delta Página 275
  • 276.
    Incerteza R2 R3 R4 R5 3 50 Err:502 Err:502 20% 50% 0% 0% 0.6 25 Err:502 Err:502 mação perfeita Err:502 mação perfeita 19 ação perfeita Err:502 Página 276
  • 277.
    Tornado Parâmetro Pior Melhor alfa (10.00) 30.00 beta (50.00) 60.00 gama (80.00) 50.00 gama (80.00) 50.00 beta (50.00) 60.00 alfa (10.00) 30.00 (100.00) (50.00) - 50.00 100.00
  • 279.
    Cálculos auxiliares Custos Fixos 70 90 120 Custos Fixos - 70 - 90 - 120 Custos Fixos 70 90 120
  • 280.
    Cálculos auxiliares K= 10% Custos variáveis 30% 40% 60% 857.49 554.22 (52.30) 781.67 478.41 (128.12) 667.95 364.68 (241.84) K= 15% Custos variáveis 30% 40% 60% 642.56 374.38 (161.96) 575.51 307.34 (229.00) 474.95 206.78 (329.57) K= 20% Custos variáveis 30% 40% 60% 465.40 226.15 (252.35) 405.59 166.34 (312.16) 315.87 76.62 (401.88)
  • 281.
    MonteCarlo MonteCarlo #MACRO? #MACRO? Descrição Valor Valor a simular 7.00 Número de simulações 10 Sugestão: entre 295 e 400 Freio (fim didático) (O CD do livro e o site MinhasAulas.com.br apresentam a planilha MonteCarlo.xls, que permite simulações mais rápidas) N Simulado Média Desvio 12 10 8 Média e Desvio 6 4 M 2 0 0 2 12 10 8 Frequência 6 4 2 0 Err:502 Err:502 Err:502 Limites Página 281
  • 282.
  • 283.
  • 284.
  • 285.
  • 286.
  • 287.
  • 288.
  • 289.
    MonteCarlo Resultados Média #N/A Desvio #N/A Prob > 0 #N/A 12 10 8 Média e Desvio 6 4 Média Desvio 2 0 0 2 4 6 8 10 12 Numero de Simulações 12 Máximo Err:502 10 Mínimo Err:502 H Classe Err:502 8 N Classes 10 Frequência 6 Limite Sup Fi 4 Err:502 Err:502 2 Err:502 Err:502 Err:502 Err:502 0 Err:502 Err:502 Err:502 Err:502 Err:502 Err:502 Err:502 Err:502 Err:502 Err:502 Err:502 Err:502 Err:502 Err:502 Err:502 Err:502 Limites superiores dos valores simulados Err:502 Err:502 Err:502 Err:502 Err:502 Err:502 Err:502 Err:502 Página 289
  • 290.
  • 291.
  • 292.
  • 293.
  • 294.
  • 295.
  • 296.
  • 297.
    OpçõesReais OpçõesReais Fórmulas algébricas Variável Descrição Valor S VP Fcs futuros 500.00 C = SN ( d 1 ) − Xe −rT N ( d 2 ) X Valor Investimento 300.00 inputs σ2  S  t Tempo postergável 3 ln  +  R f + t Rf Custo de capital 18.00% X  2  d1 = σ Volatilidade 2.00 σ t C 476.17 resultados S  σ2  d1 2.03539804 ln   +  R f − t X  2  d2 (1.42870358) d2 = σ t Página 297
  • 298.
    OpçõesReais  σ2  + R f + t  2  σ t  σ2  + Rf − t  2  σ t Página 298