Rev 00– 06/2019
1
Manual de Antibiograma 2019 – Segundo BrCAST/EUCAST
Laborclin Produtos para Laboratórios Ltda
Rev 00– 06/2019
2
Manual de Antibiograma 2019 – Segundo BrCAST/EUCAST
Laborclin Produtos para Laboratórios Ltda
A Laborclin entende que muito além de nossos objetivos comerciais, possuímos a
missão e a responsabilidade de compartilhar conhecimento técnico e científico, ajudando a
melhor promover a saúde pública no país.
Em 14 de dezembro de 2018, o Ministério da Saúde publicou a Portaria nº 64 de
11/12/2018 que “Determina aos laboratórios de rede pública e privada, de todas as
Unidades Federadas, a utilização das normas de interpretação para os testes de
sensibilidade aos antimicrobianos (TSA), tendo como base os documentos da versão
brasileira do European Committee on Antimicrobial Susceptibility Testing.”
Os documentos do BrCAST incluem Tabelas de Pontos de Corte, Tabelas de
Controle de Qualidade, Manual de Disco Difusão, Guia de Leitura, Lista para implantação
entre outros. Estes documentos estão disponíveis gratuitamente pelo comitê do BrCAST,
podem ser baixados no site: http://brcast.org.br/documentos/. Disponibilizamos estes
doumentos a seguir, baixados em 12/06/2019.
Conteúdo Página Informação adicional
Notas 2
Orientações para leitura das tabelas de pontos de corte do BrCAST-EUCAST 4
Informações sobre incerteza técnica (AIT) 5
Alterações 6
Enterobacterales 11
Pseudomonas spp. 14
Stenotrophomonas maltophilia 16 Link para Documento de Orientação sobre Stenotrophomonas maltophilia
Burkholderia cepacia - Link para Documento de Orientação sobre o grupo Burkholderia cepacia
Acinetobacter spp. 17
Staphylococcus spp. 19
Enterococcus spp. 23
Streptococcus grupos A, B, C e G 26
Streptococcus pneumoniae 29
Streptococcus do Grupo Viridans 33
Haemophilus influenzae 36
Moraxella catarrhalis 39
Neisseria gonorrhoeae 41
Neisseria meningitidis 43
Anaeróbios gram-positivos 45
Clostridioides difficile 47
Anaeróbios gram-negativos 48
Helicobacter pylori 50
Listeria monocytogenes 51
Pasteurella multocida 52
Campylobacter jejuni e C. coli 54
Corynebacterium spp. 55
Aerococcus sanguinicola e A. urinae 57
Kingella kingae 58
Aeromonas spp. 60
Mycobacterium tuberculosis 62
Agentes Tópicos 63 Hiperlink p/ documento de Orientação do EUCAST sobre Agentes Tópicos
Pontos de corte baseados em PK/PD (sem relação com espécie) 64
Dosagens 67
Regras de Especialistas - Hiperlink para Regras de Especialistas do EUCAST
Detecção de Mecanismos de Resistência -
Testes de sensibilidade antimicrobiana em grupos de organismos ou de antimicrobianos
para os quais não há pontos de corte do EUCAST
-
Hiperlink p/ Documento de Orientação sobre como testar e interpretar resultados quando não há pontos
de corte
Brazilian Committee on Antimicrobial Susceptibility Testing - BrCAST
Tabelas de pontos de corte para interpretação de CIMs e diâmetros de halos
Este documento, exceto onde indicado, é baseado nos pontos de corte da versão 9.0, 2019 do EUCAST(www.eucast.org)
Versão válida a partir de 01-02-2019
Comitê Brasileiro de Testes de Sensibilidade aos Antimicrobianos - http://www.brcast.org.br
2
Brazilian Committee on Antimicrobial Susceptibility Testing - BrCAST
Tabelas de pontos de corte para interpretação de CIMs e diâmetros de halos
Comitê Brasileiro de Testes de Sensibilidade aos Antimicrobianos - http://www.brcast.org.br
Versão válida a partir de 01-02-2019
Este documento, exceto onde indicado, é baseado nos pontos de corte da versão 9.0, 2019 do EUCAST (www.eucast.org)
Notas
1. As tabelas de pontos de corte clínicos do BrCAST - EUCAST contêm pontos de corte clínicos para CIM (determinados ou revisados durante 2002-2018) e para os diâmetros de halo de inibição correspondentes. Esta
versão inclui a correção de erros tipográficos, esclarecimentos, pontos de cortes para novos organismos e/ou antimicrobianos, pontos de corte para CIM revisados bem como pontos de cortes para diâmetros de halos
de inibição revisados e novos. As mudanças são melhor visualizadas num monitor ou impressão colorida pois as células que apresentam mudanças estão em amarelo. Os comentários novos ou revisados estão
sublinhados. Comentários removidos estão sinalizados em fonte tachada.
Comentários ou pontos de corte propostos pelo BrCAST estão assinalados em verde. Visando facilitar o uso das tabelas na bancada, a categoria Intermediário e seus respectivos valores foram incluídos em cada uma
das tabelas específicas.
2. Pontos de corte conforme dados de farmacocinética/farmacodinâmica (PK/PD), não relacionados às espécies bacterianas, estão listados separadamente na parte final do documento.
3. Notas numeradas (1., 2., 3., ...) são relacionadas a comentários gerais ou pontos de corte para CIM. Notas com letras (A., B., C., ...) são relacionadas aos pontos de corte para o teste de disco-difusão.
4. Nomes de antimicrobianos em destaque (cor azul) contêm hiperlink para o racional das decisões do EUCAST. Pontos de corte para CIM e para diâmetro de halo de inibição em destaque (cor azul) são links para
documentos de distribuição de CIMs e de diâmetros de halo de inibição, respectivamente.
5. Uma versão do documento é disponibilizada no formato de arquivo Excel® para visualização em tela e outra em formato pdf para impressão. Para utilizar todas as funções do arquivo Excel®, use apenas software
original da MicrosoftTM
. O arquivo Excel® permite aos usuários alterar a lista dos agentes testados localmente. O conteúdo de células individuais não pode ser alterado. Ocultar linhas utilizando o botão direito do mouse
no número da linha e escolher "ocultar". Ocultar colunas utilizando o botão direito do mouse na letra da coluna e escolher "ocultar".
6. Um ponto de corte para diâmetro de halo de inibição de "S ≥ 50 mm" é um valor arbitrário "fora da escala" que corresponde a situações de ponto de corte para CIM nos quais cepas selvagens são categorizadas na
categoria Intermediário (ou seja, não existem isolados totalmente sensíveis).
6. Os pontos de corte do EUCAST são utilizados para categorizar os resultados em três categorias de sensibilidade:
S - Sensível, dose padrão: Um microrganismo é categorizado como Sensível, dosagem padrão quando há uma alta probabilidade de sucesso terapêutico utilizando o regime de dosagem padrão do agente.
I - Sensível, aumentando exposição: Um microrganismo é categorizado como Sensível, aumentando exposição * quando há uma alta probabilidade de sucesso terapêutico devido ao aumento da exposição ajustando-
se o regime de dosagem ou sua concentração no local de infecção.
R - Resistente: um microrganismo é categorizado como Resistente quando há alta probabilidade de falha terapêutica mesmo quando há aumento da exposição.
* Exposição é uma função de como o modo de administração, dose, intervalo entre as doses, tempo de infusão assim como a distribuição, metabolismo e excreção do antimicrobiano influenciam o microrganismo no
local de infecção.
7. Para algumas combinações microrganismo-antimicrobiano, os resultados podem estar em uma área na qual a interpretação é incerta. O EUCAST designou este intervalo de Área de Incerteza Técnica (AIT). Esta
área corresponde a um valor de CIM e/ou intervalo de halo de inibição onde a categorização é incerta. Ver página 4 para mais informações sobre AIT e como lidar com resultados na AIT.
8. A categoria Intermediário I - Sensível, aumentando exposição foi incluída para facilitar o uso das tabelas durante a leitura de antibiogramas.
9. Para E. coli ao testar fosfomicina, Stenotrophomonas maltophilia ao testar sulfametoxazol-trimetoprima, Staphylococcus aureus ao testar benzilpenicilina, Enterococcus spp. ao testar vancomicina e Aeromonas spp.
ao testar sulfametoxazol-trimetoprima, é crucial seguir as instruções de leitura específicas para a interpretação correta do teste de disco-difusão. Para ilustrar isso, figuras com exemplos de leitura estão incluídas no final
de cada tabela de ponto de corte correspondente. Para instruções gerais e outras instruções específicas de leitura, ver o documento "Guia de Leitura do EUCAST-BrCAST" disponível em www.brcast.org.br.
3
Notas
9. Para cefuroxima e fosfomicina existem pontos de corte para formas de administração oral e intravenosa.
10. Com algumas exceções, o EUCAST recomenda o uso do método de referência de microdiluição em caldo conforme descrito pela ISO para determinação da CIM de mircrorganismos não exigentes.
Para microrganismos fastidiosos, o EUCAST recomenda o uso da mesma metodologia, mas com o uso do caldo MH-F (caldo MH com sangue de cavalo lisado e beta-NAD). Consultar o documento de preparação de
meios do EUCAST - BrCAST em www.brcast.org.br. Há vários métodos alternativos comercialmente disponíveis, cuja responsabilidade em garantir a precisão do sistema é do fabricante e a responsabilidade do
usuário o controle de qualidade dos resultados.
11. Por convenção internacional, as diluições seriadas de CIM são baseadas em diluições 1/2 acima e abaixo de 1 mg/L. Em diluições abaixo de 0,25 mg/L, ocorre que as concentrações ficariam com múltiplas casas
decimais. Para evitar o uso de múltiplos decimais nas tabelas e documentos, o EUCAST decidiu usar as seguintes abreviações (em negrito): 0,125→0,125; 0,0625→0,06; 0,03125→0,03; 0,015625→0,016;
0,0078125→0,008; 0,00390625→0,004 e 0,001953125→0,002 mg/L.
"-" indica que o teste de sensibilidade não é recomendado pois a espécie é um alvo inadequado para terapia com o antimicrobiano.
"IE" indica que não há evidência suficiente de que a espécie em questão seja um bom alvo para a terapia com a droga testada. Uma CIM com algum comentário, mas sem a interpretação de S, I ou R pode ser
NA = Não Aplicável
IP = Em preparação
AE = Alta exposição ao agente (ver a tabela de dosagens, última aba da tabela de pontos de corte)
4
S ч I R > AIT S ш I R < AIT
Agente antimicrobiano A 1
1
- >1
1
X 20
A
- <20
A
1. Notas que são comentários gerais e/ou relacionados aos pontos de corte para CIM.
Agente antimicrobiano BAE
22
4 >4 Y 26 23-25 <23 2. Novo comentário
Agente antimicrobiano C EI EI EI EI EI EI Comentário removido
Agente antimicrobiano D, S. aureus - - - - - -
Agente antimicrobiano E EP EP EP EP EP EP A. Comentário sobre disco-difusão
Agente antimicrobiano F (triagem) NA NA NA Y 25 - <25
Agente antimicrobiano G 0,5 1-2 >2 Z 30 24-29 <24
Orientações para leitura das tabelas de pontos de corte do BrCAST
Notas
Números para comentários sobre pontos de corte para CIM
Letras para comentários sobre pontos de corte para disco-difusão
Agente antimicrobiano Conteúdo do
disco (µg)
Disco-difusão: (método de disco-difusão padronizado pelo EUCAST)
Meio de cultura:
Inóculo:
Incubação:
Leitura:
Controle de qualidade:
Determinação da CIM: (Microdiluição em caldo de acordo com a padronização ISO 20776-1)
Meio de cultura:
Inóculo:
Incubação:
Leitura:
Controle de qualidade:
Pontos de corte p/ CIM (mg/L) Pontos de corte p/ halo de inibição (mm)
Tabela de Pontos de Corte Clínicos do BrCAST - EUCAST, válida a partir de 01-02-2019
Antimicrobianos em cor azul
contêm hiperlink para o racional
das decisões do EUCAST
Pontos de corte p/ CIM em cor
azul contêm hiperlink para
distribuições de CIMs
Sem pontos de corte. O teste de
sensibilidade com este antimicrobiano
não é recomendado
Modificações em relação à última
versão destacadas em amarelo
Evidência insuficiente para que a
espécie em questão seja considerada
um bom alvo para terapia com o
antimicrobiano C
Em preparação
Pontos de corte para
uma determinada
espécie devem ser
utilizados apenas para
aquela espécie (neste
exemplo, S. aureus)
Não aplicável
Pontos de corte de triagem
para diferenciação entre
isolados com ou sem
mecanismos de resistência
Pontos de corte para halos de
inibição em cor azul contêm
hiperlink para distribuição de
diâmetros de halos de inibição
A categoria I - Sensível, aumentando
exposição foi tornada evidente nas tabelas para
facilitar o seu uso durante a leitura de
antibiogramas
Células preenchidas em
vermelho indicam alerta
quanto à potência do disco
Células ou frases em verde indicam
comentários ou pontos de corte adicionados
pelo BrCAST
Metodologia e controle de qualidade do
EUCAST-BrCAST para determinação de CIM
Metodologia e controle de qualidade do
EUCAST-BrCAST para disco-difusão
Área de Incerteza Técnica (AIT)
Ver informações específicas sobre como lidar
com incertezas técnicas em testes de
sensibilidade aos antimicrobianos
Alta exposição ao
agente (AE)
Ver tabela de
dosagens, última
aba na tabela de
pontos de corte.
Texto em
vermelho
indica alerta
quanto à
composição
do meio
Brazilian Committee on Antimicrobial Susceptibility Testing - BrCAST
Tabelas de pontos de corte para interpretação de CIMs e diâmetros de halos
Comitê Brasileiro de Testes de Sensibilidade aos Antimicrobianos - http://www.brcast.org.br
Versão válida a partir de 01-02-2019
Como lidar com incertezas técnicas em testes de sensibilidade aos antimicrobianos
Todas as medidas são afetadas por variação aleatória e algumas por variação sistemática. A variação sistemática deve ser evitada e a variação aleatória reduzida tanto quanto possível. O teste de sensibilidade aos
antimicrobianos (TSA), independentemente do método, não é uma exceção.
O EUCAST se esforça para minimizar as variações, fornecendo métodos padronizados para a determinação da CIM e do disco difusão e evitando a criação de pontos de corte que afetam seriamente a
reprodutibilidade do teste. A variação no TSA pode ser ainda mais reduzida, estabelecendo-se padrões mais rigorosos para os fabricantes de material para TSA (caldo, ágar, discos de antimicrobianos) e critérios
para o controle de processos de fabricação e práticas de laboratório.
É tentador pensar que gerar um valor de MIC resolverá todos os problemas. No entanto, as medições de MIC também têm variação e um único valor não é automaticamente correto. Mesmo quando usado o
método de referência, os CIMs variam entre os dias de teste e os técnicos. Sob as melhores circunstâncias, uma MIC de 1,0 deve ser considerada como um valor entre 0,5 e 2,0 mg/L. Não raramente, há
problemas com sistemas de testes comerciais, incluindo testes de microdiluição em caldo, testes de gradiente e dispositivos TSA semi-automáticos.
Embora o TSA seja simples para a maioria dos agentes e espécies, existem áreas problemáticas. É importante alertar os laboratórios sobre isso e a incerteza na categorização da sensibilidade. As análises dos
dados do EUCAST, gerados ao longo dos anos, identificaram tais situações, chamadas de Áreas de Incerteza Técnica (AIT). As AITs são alertas para o microbiologista de que existe uma incerteza que precisa
ser resolvido antes de relatar os resultados do TSA aos clínicos. A AIT não deve ser reportada aos clínicos, exceto em circunstâncias especiais e apenas como parte de uma discussão sobre alternativas
terapêuticas em casos difíceis.
Abaixo estão alternativas de como as AITs podem ser tratadas pelo laboratório. A escolha das ações dependerá da situação. O tipo de amostra (hemocultura versus cultura de urina), o número de agentes
alternativos disponíveis, a gravidade da doença e se uma discussão com clínicos é viável ou não, influenciarão a ação tomada.
• Repetir o teste
Isso só é relevante se houver razão para suspeitar de um erro técnico no TSA primário.
• Utilizar um teste alternativo (determine a CIM ou realize um teste genotípico)
Isso pode ser relevante se o laudo do teste de sensibilidade evidenciar apenas poucas alternativas terapêuticas ou se o resultado for considerado importante. Se o organismo for multirresistente, é aconselhável
determinar a CIM (ver acima em relação à acurácia e precisão da determinação da CIM) para vários antibióticos, possivelmente estendendo o TSA a novas combinações de inibidores de betalactamases e
colistina para bactérias Gram-negativas. Às vezes pode ser necessário realizar a caracterização genotípica ou fenotípica do mecanismo de resistência para obter mais informações.
• Modificar a categoria de sensibilidade
Se houver outras alternativas terapêuticas no laudo de TSA, é permitido modificar o resultado (de S para I, ou de I para R, ou de S para R). No entanto, um comentário deve ser incluído e o isolado deve ser
armazenado para testes adicionais.
• Incluir a incerteza como parte do laudo
É prática comum em muitas outras áreas de laboratório incluir informações sobre a incerteza do resultado relatado. Isso pode ser tratado de várias maneiras:
* Em situações graves, aproveite a oportunidade para entrar em contato com os clínicos para explicar e discutir os resultados.
* Categorize o resultado de acordo com os pontos de corte, mas inclua informações sobre as dificuldades técnicas e/ou as incertezas da interpretação. Em muitos casos, um “R” é menos ambíguo do que
outras alternativas, especialmente quando existem agentes alternativos.
A Área de Incerteza Técnica será tipicamente listada como um valor de MIC definido ou, em disco difusão, como um intervalo de 2-4 mm. AITs só serão listadas quando obviamente necessárias. A ausência de um
AIT (MIC e/ou diâmetro de halo) significa que não há necessidade imediata de um aviso. As AITs introduzidas em 2019 (v. 9.0) serão avaliadas e AITs podem ser adicionadas com o desenvolvimento de mais
informações.
Link para o material de orientação (Redefinição das categorias dos testes de sensibilidade) disponível no site do BrCAST.
6
Versão 9, EUCAST
Versão BrCAST 01-02-2019
Alterações (células contendo alguma alteração, deleção ou adição) em relação à versão de 30-07-2018 estão marcadas em amarelo.
Comentários modificados estão sublinhados. Comentários removidos estão escritos com fonte tachada.
Geral • Link para Regras de Especialistas do EUCAST e Tabelas de Resistência Intrínseca adicionado a cada tabela.
• Colunas para Área de Incerteza Técnica (AIT) adicionadas (CIM e diâmetros de halos).
• Os comentários relacionados à terapia com altas doses foram trocados por AE
(Alta Exposição) ao lado do nome antimicrobiano.
• Pontos de corte de meropenem-vaborbactam adicionados.
• Pontos de corte de eravaciclina adicionados.
• Pontos de corte de doripenem removidos.
• Links para documentos sobre o racional para nitroxolina e sulfametoxazol-trimetoprima adicionados.
Notas • Definições de categorias de sensibilidade adicionadas (Nota 6).
• Informações sobre Área de Incerteza Técnica (ATU) adicionadas (Nota 7).
• Nota 9 atualizada para incluir todos os exemplos específicos de leitura.
• Informações sobre teste de referência para CIM adicionadas (Nota 10).
• Explicação de AE (Alta Exposição) adicionada à lista de abreviaturas.
Taxonomia • Enterobacteriaceae alterado para Enterobacterales .
• Enterobacter aerogenes alterado para Klebsiella aerogenes .
• Clostridium difficile alterado para Clostridioides difficile .
• Propionibacterium acnes alterado para Cutibacterium acnes .
Incerteza técnica • Novo texto descrevendo as recomendações do EUCAST sobre como lidar com a incerteza técnica nos testes de sensibilidade aos antimicrobianos.
Geral
• Espécies listadas anteriormente como "E. coli , Klebsiella spp. e P. mirabilis " são agora listadas como "E. coli , Klebsiella spp. (Exceto K. aerogenes ), Raoultella spp. e P.
mirabilis " devido a mudanças na taxonomia.
• Morganella spp. mudou para Morganella morganii .
• Limitação de espécies adicionada à cefuroxima oral.
Novos pontos de corte
• Meropenem-vaborbactam (CIM)
• Eravaciclina (CIM)
Pontos de corte revisados
• Ertapenem (CIM e diâmetro de halo)
• Imipenem (CIM e diâmetro de halo). Pontos de corte específicos para Morganella morganii , Proteus spp. e Providencia spp.
• Ciprofloxacino (diâmetro de halo)
• Tigeciclina (CIM e diâmetro de halo). Limitação de espécies adicionada (pontos de corte válidos para E. coli e C. koseri ).
AITs adicionadas
• Amoxicilina-ácido clavulânico, piperacilina-tazobactam, ceftarolina e ciprofloxacino.
Novos comentários
• Carbapenêmicos - comentário 3
• Tetraciclinas - comentário 1
Comentários revisados
• Carbapenêmicos - comentário 2
• Aminoglicosídeos - comentário 1
• Tetraciclinas - comentário 3/A
• Tetraciclinas - comentário B
Tabelas de pontos de corte para interpretação de CIMs e diâmetros de halos de inibição
Versão válida a partir de 01-02-2019
Brazilian Committee on Antimicrobial Susceptibility Testing - BrCAST - EUCAST
Enterobacterales
A ordem Enterobacterales foi proposta em
2016 e inclui as famílias
Enterobacteriaceae , Erwiniaceae fam. nov.,
Pectobacteriaceae fam. nov., Yersiniaceae
fam. nov., Hafniaceae fam. nov.,
Morganellaceae fam. nov., e Budviciaceae
fam. nov. [Adeolu M et al. Int J Syst Evol
Microbiol. 2016;66(12):5575-5599].
7
Versão 9, EUCAST
Versão BrCAST 01-02-2019
Alterações (células contendo alguma alteração, deleção ou adição) em relação à versão de 30-07-2018 estão marcadas em amarelo.
Comentários modificados estão sublinhados. Comentários removidos estão escritos com fonte tachada.
Pseudomonas spp. Geral
• Informação adicionada sobre espécies incluídas na tabela
Novos pontos de corte
• Meropenem-vaborbactam (CIM)
Pontos de corte revisados
• Imipenem (CIM e diâmetro de halo)
• Aztreonam (CIM e diâmetro de halo)
Novos comentários
• Carbapenêmicos - comentário 1
Comentários revisados
• Aminoglicosídeos - comentário 1
AITs adicionadas
• Piperacilina-tazobactam, ceftazidima-avibactam e colistina.
Acinetobacter spp. Geral
• Informação adicionada sobre espécies incluídas na tabela
Pontos de corte revisados
• Imipenem (CIM e diâmetro de halo)
• Ciprofloxacina (CIM e diâmetro de halo)
Comentários revisados
• Aminoglicosídeos - comentário 1
Staphylococcus spp. Geral
• Informação adicionada sobre espécies incluídas na tabela
• "Alta Exposição" (AE) adicionada à cefotaxima e à ceftriaxona
Novos pontos de corte
• Eravaciclina (CIM)
AITs adicionadas
• "Triagem de cefoxitina para S. epidermidis ", ceftarolina, ceftobiprole e "amicacina para S. aureus "
Comentários removidos
• Aminoglicosídeos - comentário 1
Enterococcus spp. Geral
• Informação adicionada sobre espécies incluídas na tabela
Novos pontos de corte
• Eravaciclina (CIM).
Pontos de corte revisados
• Tigeciclina (CIM e diâmetro de halo)
• Trimetoprima (CIM e diâmetro de halo). Pontos de corte substituídos por nota.
• Sulfametoxazol-trimetoprima (CIM e diâmetro de halo). Pontos de corte substituídos por nota.
Comentários revisados
• Agentes diversos - comentário 2/A
Streptococcus grupos A, B, C e G Geral
• "Alta Exposição" (AE) adicionada ao levofloxacino
Pontos de corte revisados
• Tigeciclina (CIM e diâmetro de halo)
Novos comentários
• Carbapenêmicos - comentário 2
• Glicopeptídeos e lipoglicopeptídeos - comentário B
8
Versão 9, EUCAST
Versão BrCAST 01-02-2019
Alterações (células contendo alguma alteração, deleção ou adição) em relação à versão de 30-07-2018 estão marcadas em amarelo.
Comentários modificados estão sublinhados. Comentários removidos estão escritos com fonte tachada.
Streptococcus pneumoniae • Fluxograma atualizado
Novos pontos de corte
• Ampicilina (diâmetro de halo)
• Amoxicilina oral (CIM)
• Amoxicilina-ácido clavulânico oral (CIM)
Pontos de corte revisados
• Meropenem para meningite (CIM)
• Triagem - norfloxacina (diâmetro de halo)
• Sulfametoxazol-trimetoprima (diâmetro de halo)
Novos comentários
• Penicilinas - comentário 5
• Penicilinas - comentário C
Comentários revisados
• Penicilinas - comentário 1/A
• Penicilinas - comentário 4/B
• Penicilinas - comentário D
• Cefalosporinas - comentário 1/A
• Carbapenêmicos - comentário 1/A
• Glicopeptídeos e lipoglicopeptídeos - comentário A
Estreptococos do grupo Viridans Novos comentários
• Glicopeptídeos e lipoglicopeptídeos - comentário B
Novos pontos de corte
• Eravaciclina (CIM)
Haemophilus influenzae • Fluxograma atualizado
Novos pontos de corte
• Amoxicilina oral (CIM)
• Amoxicilina-ácido clavulânico oral (CIM e diâmetro de halo)
• Piperacilina (alterada de Nota para IE)
• Piperacilina-tazobactam (CIM e diâmetro de halo)
Pontos de corte revisados
• Cefpodoxima (CIM e diâmetro de halo)
• Ceftriaxona (diâmetro de halo)
• Cefuroxima iv (diâmetro de halo)
• Cefuroxima oral (diâmetro de halo)
• Ertapenem (diâmetro de halo)
• Meropenem para meningite (CIM)
AITs adicionados
• Ampicilina, amoxicilina-ácido clavulânico (iv e oral), piperacilina-tazobactam, cefepima, cefotaxima, cefpodoxima, ceftriaxona, cefuroxima (iv e oral) e
imipenem.
Novos comentários
• Penicilinas - comentário 6
• Penicilinas - comentário B
• Cefalosporinas - comentário B
• Cefalosporinas - comentário C
• Carbapenêmicos - comentário B
Comentários revisados
• Penicilinas - comentário 1/A
• Cefalosporinas - comentário 1/A
• Carbapenêmicos - comentário 1/A
9
Versão 9, EUCAST
Versão BrCAST 01-02-2019
Alterações (células contendo alguma alteração, deleção ou adição) em relação à versão de 30-07-2018 estão marcadas em amarelo.
Comentários modificados estão sublinhados. Comentários removidos estão escritos com fonte tachada.
Neisseria gonorrhoeae Pontos de corte revisados
• Azitromicina (substituída por Nota)
Neisseria meningitidis Pontos de corte revisados
• Cloranfenicol
Anaeróbios Gram-positivos Geral
• Staphylococcus saccharolyticus adicionado à lista de espécies
Pontos de corte revisados
• Ertapenem
• Imipenem
Clostridioides difficile Comentários revisados
• Glicopeptídeos - comentário 1
• Agentes diversos - comentário 5
Anaeróbios Gram-negativos Geral
• Parabacteroides adicionado à lista de espécies
Pontos de corte revisados
• Ertapenem
• Imipenem
Corynebacterium spp. Geral
• Informações sobre C. diphtheriae adicionadas
Novos pontos de corte
• Eritromicina (em preparação)
Novos comentários
• Glicopeptídeos - comentário A
Aerococcus sanguinicola e urinae Novos comentários
• Glicopeptídeos - comentário A.
Mycobacterium tuberculosis Geral
• Informação adicionada sobre espécies incluídas na tabela
• Informação adicionada sobre desenvolvimento de metodologia de referência
Agentes tópicos Pontos de corte revisados
• Acinetobacter spp. e ciprofloxacino
• Moraxella spp. e ciprofloxacino, levofloxacino e ofloxacino (das alterações de ponto de corte nas tabelas do EUCAST v. 8.1)
Pontos de corte conforme dados de
farmacocinética/farmacodinâmica
(PK/PD)
Novos pontos de corte
• Meropenem-vaborbactam
Pontos de corte revisados
• Ertapenem
• Imipenem
• Tigeciclina
Novos comentários
• Carbapenêmicos - comentário 1
10
Versão 9, EUCAST
Versão BrCAST 01-02-2019
Alterações (células contendo alguma alteração, deleção ou adição) em relação à versão de 30-07-2018 estão marcadas em amarelo.
Comentários modificados estão sublinhados. Comentários removidos estão escritos com fonte tachada.
Dosagens • Informação geral atualizada
Novos agentes
• Amoxicilina oral
• Amoxicilina-ácido clavulânico oral
• Meropenem-vaborbactam
• Eravaciclina
Dosagens revisadas
• Ampicilina
• Ampicilina-sulbactam
• Amoxicilina iv
• Amoxicilina-ácido clavulânico iv
• Ticarcilina-ácido clavulânico
• Oxacilina
• Flucloxacilina
• Cefazolina
• Cefepima
• Ceftazidima
• Ceftriaxona
• Meropenem
• Teicoplanina
• Clindamicina
• Colistina
• Daptomicina
• Nitrofurantoína
Novos comentários (situações especiais)
• Amoxicilina oral
• Amoxicilina-ácido clavulânico oral
Comentários revisados (situações especiais)
• Benzilpenicilina
• Cefotaxima
• Ceftriaxona
• Imipenem
• Meropenem
• Ciprofloxacino
• Levofloxacino
• Ofloxacino
• Vancomicina
• Cloranfenicol
• Nitrofurantoína
• Espectinomicina
11
Disco-difusão (método de disco-difusão padronizado pelo EUCAST)
Meio de cultura: Ágar Mueller-Hinton
Inóculo: McFarland 0,5
Incubação: Ar ambiente, 35±1ºC, 18±2h
Leitura: Salvo orientação contrária, ler as bordas dos halos de inibição do ponto em que não há mais crescimento, visto da parte posterior da placa,
contra um fundo escuro e sob luz refletida.
Controle de qualidade: Escherichia coli ATCC 25922. Para agentes não avaliados por tal cepa e para o controle de componente inibidor dos
discos de combinação betalactâmico-inibidor de betalactamase, ver tabela de CQ do BrCAST-EUCAST.
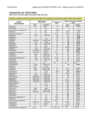
S ч I R > AIT S ш I R < AIT
Ampicilina 81 - >8 10 14A,B - <14B 1/A. Cepas selvagens de Enterobacteriaceae são categorizadas como sensíveis às aminopenicilinas.
Alguns países preferem categorizar isolados selvagens de E. coli e P. mirabilis como Intermediário. Se for esse o caso, utilizar ponto de corte S ≤
0,5 mg/L para CIM e o ponto de corte S ≥ 50 mm para a halo de inibição.
Ampicilina-sulbactam 81,2 - >82
10-10 14A,B - <14B 2. Para fins de testes de sensibilidade, a concentração de sulbactam é fixada em 4 mg/L.
Amoxicilina 81 - >8 - NotaC - NotaC 3. Para fins de testes de sensibilidade, a concentração de ácido clavulânico é fixada em 2 mg/L.
Amoxicilina-ácido clavulânico 81,3 - >83
20-10 19A,B - <19B 19-20 4. Para fins de testes de sensibilidade, a concentração de tazobactam é fixada em 4 mg/L.
Amoxicilina-ácido clavulânico, apenas para Infecção do
trato urinário (ITU) não complicada
321,3 - >323
20-10 16A,B - <16B B. Ignore crescimento que pode aparecer como um halo interno tênue em alguns lotes de ágar Mueller-Hinton.
Piperacilina-tazobactam 84 16 >164 16 30-6 20 17-19 <17 17-19 C. Sensibilidade inferida a partir da ampicilina.
S ч I R > AIT S ш I R < AIT
Cefaclor - - - - - -
Cefadroxila (apenas ITU não complicada) 16 - >16 30 12 - <12
Cefalexina (apenas ITU não complicada) 16 - >16 30 14 - <14
Cefazolina - - - - - -
Cefepima 1 2-4 >4 30 27 24-26 <24
Cefotaxima 1 2 >2 5 20 17-19 <17
Cefoxitina (triagem)2 NA NA NA 30 19 - <19
Cefpodoxima (apenas ITU não complicada) 1 - >1 10 21 - <21
Ceftarolina 0,5 - >0,5 5 23 - <23 22-23
Ceftazidima 1 2-4 >4 10 22 19-21 <19 3. Para fins de testes de sensibilidade, a concentração de avibactam é fixada em 4 mg/L.
Ceftazidima-avibactam 83
- >83
10-4 13 - <13 4. Para fins de testes de sensibilidade, a concentração de tazobactam é fixada em 4 mg/L.
Ceftolozana-tazobactam 14
- >14
30-10 23 - <23 5. Os pontos de corte são baseados em terapia com doses elevadas. Ver tabela de dosagens.
Ceftriaxona 1 2 >2 30 25 22-24 <22
Cefuroxima IVAE
, E. coli, Klebsiella spp. (exceto K.
aerogenes ), Raoultella spp. e P. mirabilis
8 - >8 30 19 - <19
Cefuroxima oral (apenas ITU não complicada), E. coli,
Klebsiella spp. (exceto K. aerogenes ), Raoultella spp. e P.
mirabilis
8 - >8 30 19 - <19
Enterobacterales*
Regras de Especialistas e Tabelas de Resistência Intrínseca
Determinação da CIM: (Microdiluição em caldo de acordo com a padronização ISO 20776-1, exceto para fosfomicina, para qual
diluição em ágar é usada).
Meio de cultura: Caldo Mueller-Hinton
Inóculo: 5 x105
UFC/mL
Incubação: Painéis selados, ar ambiente, 35±1ºC, 18±2h
Leitura: Salvo orientação contrária, ler a CIM como a menor concentração do antimicrobiano que visualmente inibe por completo o
crescimento bacteriano.
Controle de qualidade: Escherichia coli ATCC 25922. Para agentes não avaliados por tal cepa e para o controle do componente inibidor
da combinação betalactâmico-inibidor de betalactamase, ver tabela de CQ do BrCAST-EUCAST.
* Estudos taxonômicos recentes estreitaram a definição da família Enterobacteriaceae . Alguns membros anteriormente pertencentes a esta família estão agora incluídos em outras famílias da ordem Enterobacterales [Adeolu M et al. Int J Syst Evol Microbiol.
2016;66(12):5575-5599]. Os pontos de corte desta tabela são aplicáveis a todos os membros da ordem Enterobacterales.
Notas
Números para comentários gerais e/ou pontos de corte para CIM.
Letras para comentários sobre disco-difusão.
Penicilinas
1
Cefalosporinas1
Notas
Números para comentários gerais e/ou pontos de corte para CIM.
Letras para comentários sobre disco-difusão.
Conteúdo
do disco
(µg)
Ponto de corte p/ CIM (mg/L) Ponto de corte p/ diâmetro do halo
(mm)
Ponto de corte p/ CIM (mg/L) Ponto de corte p/ diâmetro do halo
(mm)
2. Um ECOFF (8 mg/L) de cefoxitina apresenta alta sensibilidade, porém baixa especificidade para a identificação de enterobactérias produtoras de
AmpC, uma vez que esse fármaco é afetado também por alterações de permeabilidade e algumas carbapenemases. Isolados classicamente não
produtores de AmpC tem perfil selvagem, enquanto os produtores de AmpCs plasmidiais ou hiperprodutores de AmpC cromossômica tem perfil não
selvagem.
1. Os pontos de corte de cefalosporinas para enterobactérias permitem detectar todos os mecanismos de resistência clinicamente relevantes
(incluindo ESBL e AmpC mediada por plasmídios). Alguns isolados produtores de β-lactamases são sensíveis ou intermediários a cefalosporinas de
3ª ou 4ª gerações, considerando-se estes pontos de corte, e devem ser relatados de acordo com o resultado do teste, ou seja, a presença ou
ausência de ESBL não influencia na categorização da sensibilidade. A detecção e caracterização de ESBL são recomendadas para fins de saúde
pública e controle de infecções.
Tabela de Pontos de Corte Clínicos do BrCAST - EUCAST, válida a partir de 01-02-2019
Conteúdo
do disco
(µg)
12
S ч I R > AIT S ш I R < AIT
Doripenem
Ertapenem 0,5 - >0,5 10 25 - <25
Imipenem 2 4 >4 10 22 17-21 <17
Imipenem, Morganella morganii, Proteus spp. Providencia
spp.2
0,125 0,25-4 >4 10 50 17-49 <17 2. A atividade intrinsecamente baixa do imipenem contra Morganella morganii, Proteus spp. e Providencia spp. requer alta exposição ao imipenem.
Meropenem 2 4-8 >8 10 22 16-21 <16 3. Para fins de teste de sensibilidade, a concentração de vaborbactam é fixada em 8 mg/L.
Meropenem-vaborbactam 83
- >83
EP EP EP EP
S ч I R > AIT S ш I R < AIT
Aztreonam1 1 2-4 >4 30 26 21-25 <21 1. Os pontos de corte de aztreonam para Enterobacteriaceae permitem detectar todos os mecanismos de resistência clinicamente relevantes
(incluindo ESBL). Alguns isolados produtores de β-lactamases são sensíveis ou intermediários ao aztreonam utilizando esses pontos de corte e
devem ser relatados de acordo com o resultado do teste, ou seja, a presença ou ausência de ESBL não influencia na categorização da
sensibilidade. A detecção e a caracterização de ESBL são recomendadas para fins de saúde pública e controle de infecções.
S ч I R > AIT S ш I R < AIT
Ciprofloxacino 0,25 0,5 >0,5 0,5 5 25 22-24 <22 22-24
Ciprofloxacino, Salmonella spp.1 0,06 - >0,06 NotaA
NotaA
NotaA
Pefloxacino (triagem), Salmonella spp.1 NA NA NA 5 24B - <24B
Levofloxacino 0,5 1 >1 5 23 19-22 <19
Moxifloxacino 0,25 - >0,25 5 22 - <22
Ácido nalidíxico (triagem) NA NA NA NA NA NA
Norfloxacino (apenas ITU não complicada) 0,5 1 >1 10 22 19-21 <19
Ofloxacino 0,25 0,5 >0,5 5 24 22-23 <22 B. A sensibilidade de Salmonella spp. ao ciprofloxacino pode ser inferida a partir do resultado do teste de disco-difusão de pefloxacino.
S ч I R > AIT S ш I R < AIT
AmicacinaAE 8 16 >16 30 18 15-17 <15
GentamicinaAE 2 4 >4 10 17 14-16 <14
NetilmicinaAE 2 4 >4 10 15 12-14 <12
TobramicinaAE 2 4 >4 10 17 14-16 <14
1. Existem evidências clínicas que indicam uma resposta inadequada ao tratamento com ciprofloxacino em infecções sistêmicas causadas por
Salmonella spp. com baixos níveis de resistência ao ciprofloxacino (CIM>0,06 mg/L). Os dados disponíveis relacionam-se principalmente a
Salmonella Typhi, mas também há relatos de casos com resposta inadequada em relação a outras espécies de Salmonella.
A. Os testes com disco de ciprofloxacino de 5 µg não são confiáveis para detectar baixos níveis de resistência em Salmonella spp. Para triagem de
resistência ao ciprofloxacino em Salmonella spp., utilizar discos de pefloxacino 5 µg. Ver Nota B.
Notas
Números para comentários gerais e/ou pontos de corte para CIM.
Letras para comentários sobre disco-difusão.
Monobactâmicos
Carbapenêmicos
1
Enterobacterales
Regras de Especialistas e Tabelas de Resistência Intrínseca
Tabela de Pontos de Corte Clínicos do BrCAST - EUCAST, válida a partir de 01-02-2019
1. Os pontos de corte para aminoglicosídeos são baseados em altas doses de aminoglicosídeos administradas em dose única diária. Usualmente,
aminoglicosídeos são administrados em combinação com agentes β-lactâmicos.
2. Os pontos de corte não se aplicam a Plesiomonas shigeloides visto que aminoglicosídeos têm baixa atividade contra esta espécie.
Notas
Números para comentários gerais e/ou pontos de corte para CIM.
Letras para comentários sobre disco-difusão.
Notas
Números para comentários gerais e/ou pontos de corte para CIM.
Letras para comentários sobre disco-difusão.
Notas
Números para comentários gerais e/ou pontos de corte para CIM.
Letras para comentários sobre disco-difusão.
1. Alguns isolados produtores de carbapenemases são categorizados como sensíveis utilizando esses pontos de corte e devem ser relatados de
acordo com o resultado do teste, ou seja, a presença ou ausência de carbapenemases não influencia na categorização da sensibilidade. A detecção
e a caracterização de carbapenemases são recomendadas para fins de saúde pública e controle de infecções. Para a triagem de carbapenemase, é
recomendado um ponto de corte para meropenem de >0,125 mg/L (diâmetro de halo <28 mm).
Ponto de corte p/ diâmetro do halo
(mm)
Ponto de corte p/ diâmetro do halo
(mm)
Ponto de corte p/ diâmetro do halo
(mm)
Ponto de corte p/ diâmetro do halo
(mm)
Aminoglicosídeos
1,2
Fluoroquinolonas Conteúdo
do disco
(µg)
Ponto de corte p/ CIM (mg/L)
Ponto de corte p/ CIM (mg/L)
Ponto de corte p/ CIM (mg/L)
Conteúdo
do disco
(µg)
Conteúdo
do disco
(µg)
Conteúdo
do disco
(µg)
Ponto de corte p/ CIM (mg/L)
13
Tabela de Pontos de Corte Clínicos do BrCAST - EUCAST, válida a partir de 01-02-2019
S ч I R > AIT S ш I R < AIT
Azitromicina1 - - - - - - 1. Azitromicina tem sido utilizada no tratamento de infecções por Salmonella Typhi (CIM ≤16 mg/L para isolados selvagens) e Shigella spp.
S ч I R > AIT S ш I R < AIT
Doxiciclina - - - - - - 1. A tetraciclina tem sido utilizada para prever a sensibilidade à doxiciclina no tratamento de infecções por Yersinia enterocolitica (CIM de tetraciclina
≤ 4 mg/L para isolados selvagens). O diâmetro de halo correspondente para o disco de 30 µg de tetraciclina é ≥19 mm.
Eravaciclina, E. coli 0,5 - >0,5 IP IP IP IP 1. Tigeciclina possui atividade reduzida contra Morganella spp., Proteus spp. e Providencia spp.
Minociclina - - - - - - 2. Para determinação da CIM de tigeciclina por microdiluição, o meio deve ser fresco, preparado no dia do uso.
Tetraciclina1 - - - - - -
Tigeciclina, E. coli e C. koseri 0,52,3 - >0,52,3
15 18A - <18A
S ч I R > AIT S ш I R < AIT
Cloranfenicol 8 - >8 30 17 - <17
Colistina1 2 - >2 - NotaA
NotaA
NotaA
Polimixina B3 2 - >2 - NotaA
NotaA
NotaA
Fosfomicina IV 322
- >322
200B
24C,D
- <24C,D
Fosfomicina oral (apenas ITU não complicada) 322
- >322
200B
24C,D
- <24C,D 3. Pontos de corte propostos pelo BrCAST
Nitrofurantoína (apenas ITU não complicada), E. coli 64 - >64 100 11 - <11 4. Sulfametoxazol-trimetoprima na proporção 19:1. Os pontos de corte de CIM estão expressos como concentração de trimetoprima.
Sulfametoxazol-trimetoprima4 2 4 >4 23,75-1,25 14 11-13 <11 A. Utilizar um método de determinação da CIM (somente microdiluição em caldo).
B. Os discos de fosfomicina de 200 µg devem conter 50 µg de glicose-6-fosfato.
C. Pontos de corte para diâmetro de halo aplicáveis apenas a E. coli. Para outras Enterobacterales determine a CIM.
D. Ignorar colônias isoladas dentro do halo de inibição. Ver figuras abaixo.
Exemplos de halos de inibição de Escherichia coli com fosfomicina.
a-c) Ignorar todas as colônias e ler a borda mais externa do halo.
d) Registrar como ausência de halo de inibição.
2. A diluição em ágar é o método de referência para testar fosfomicina. A CIM para fosfomicina deve ser determinada na presença de glicose-6-
fosfato (25 mg/L no meio para os métodos de diluição em caldo e diluição em ágar). Seguir as instruções do fabricante caso seja utilizado um
sistema comercial.
1. A determinação da CIM de colistina deve ser realizada com o método de microdiluição em caldo. O controle de qualidade da colistina deve ser
realizado com cepa controle sensível (E. coli ATCC 25922 ou P. aeruginosa ATCC 27853) e cepa controle resistente à colistina de E. coli NCTC
13846 (mcr-1 positivo).
Notas
Números para comentários gerais e/ou pontos de corte para CIM.
Letras para comentários sobre disco-difusão.
Notas
Números para comentários gerais e/ou pontos de corte para CIM.
Letras para comentários sobre disco-difusão.
3/A. Para outras Enterobacterales, a atividade de tigeciclina varia de insuficiente em Proteus spp., Morganella morganii e Providencia spp. para
variável em outras espécies. Para mais informações, consultar http://www.eucast.org/guidance_documents/.
B. Pontos de corte de diâmetro do halo de inibição validados apenas para E. coli. Para C.koseri, usar um método de determinação da CIM.
Agentes diversos
Tetraciclinas
Conteúdo
do disco
(µg)
Conteúdo
do disco
(µg)
Conteúdo
do disco
(µg)
Ponto de corte p/ CIM (mg/L)
Ponto de corte p/ CIM (mg/L)
Ponto de corte p/ CIM (mg/L)
Ponto de corte p/ diâmetro do halo
(mm)
Ponto de corte p/ diâmetro do halo
(mm)
Notas
Números para comentários gerais e/ou pontos de corte para CIM.
Letras para comentários sobre disco-difusão.
Enterobacterales
Regras de Especialistas e Tabelas de Resistência Intrínseca.
Macrolídeos, lincosamidas e estreptograminas Ponto de corte p/ diâmetro do halo
(mm)
a) b) c)
Sem halo
d)
14
Pseudomonas spp.
Disco-difusão (método de disco-difusão padronizado pelo EUCAST)
Meio de cultura: Ágar Mueller-Hinton
Inóculo: McFarland 0,5
Incubação: Ar ambiente, 35±1ºC, 18±2h
Leitura: Salvo orientação contrária, ler as bordas dos halos de inibição do ponto em que não há mais crescimento, visto da
parte posterior da placa, contra um fundo escuro e sob luz refletida.
Controle de qualidade: Pseudomonas aeruginosa ATCC 27853. Para agentes não avaliados por tal cepa e para o controle do
componente inibidor dos discos de combinação betalactâmico-inibidor de betalactamase, ver tabela de CQ do BrCAST-
EUCAST.
S ч I R > AIT S ш I R < AIT
18-19 1. Os pontos de corte são baseados em terapia com doses elevadas, ver tabela de dosagens.
2. Para fins de teste de sensibilidade, a concentração de tazobactam é fixada a 4 mg/L.
S ч I R > AIT S ш I R < AIT
Cefepima
AE 8 - >8 30 21 - <21 1. Os pontos de corte são baseados em terapia com doses elevadas, ver tabela de dosagens.
Ceftazidima
AE 8 - >8 10 17 - <17 1. Para fins de testes de sensibilidade, a concentração de avibactam é fixada em 4 mg/L.
Ceftazidima-avibactam, P. aeruginosa 8
1 - >8
1 10-4 17 - <17 16-17 2. Para fins de testes de sensibilidade, a concentração de tazobactam é fixada em 4 mg/L.
Ceftolozana-tazobactam, P. aeruginosa 4
2 - >4
2
30-10 24 - <24
S ч I R > AIT S ш I R < AIT
Doripenem
1 1. Os pontos de corte são baseados em terapia com doses elevadas, ver tabela de dosagens.
Ertapenem - - - - - - 1. Para fins de teste de sensibilidade, a concentração de vaborbactam é fixada em 8 mg/L.
Imipenem
AE 4 - >4 10 20 - <20
Meropenem 2 4-8 >8 10 24 18-23 <18
Meropenem-vaborbactam, P. aeruginosa 8
1 - >8
1
S ч I R > AIT S ш I R < AIT
AztreonamAE 16 - >16 30 18 - <18 A. O ponto de corte de resistência é confiável para categorizar os isolados, mas a sensibilidade (S ou I) deve ser avaliada pela
determinação da concentração inibitória mínima (CIM).
Notas
Números para comentários gerais e/ou pontos de corte para CIM.
Letras para comentários sobre disco-difusão.
Determinação da CIM: (Microdiluição em caldo de acordo com a padronização ISO 20776-1, exceto para fosfomicina, para
qual diluição em ágar é usada)
Meio de cultura: Caldo Mueller-Hinton
Inóculo: 5 x10
5
UFC/mL
Incubação: Painéis selados, ar ambiente, 35±1ºC, 18±2h
Leitura: Salvo orientação contrária, ler a CIM como a menor concentração do antimicrobiano que visualmente inibe por completo o
crescimento bacteriano.
Controle de qualidade: Pseudomonas aeruginosa ATCC 27853. Para agentes não avaliados por tal cepa e para o controle do
componente inibidor da combinação betalactâmico-inibidor de betalactamase, ver tabela de CQ do BrCAST-EUCAST.
Penicilinas
Conteúdo
do disco
(µg)
Cefalosporinas
Conteúdo
do disco
(µg)
>16
2
-
16
2
Piperacilina-tazobactam
AE 30-6
Ponto de corte p/ CIM (mg/L)
Ponto de corte p/ CIM (mg/L)
Tabela de Pontos de Corte Clínicos do BrCAST - EUCAST, válida a partir de 01-02-2019฀
Ponto de corte p/ diâmetro do
halo (mm)
Notas
Números para comentários gerais e/ou pontos de corte para CIM.
Letras para comentários sobre disco-difusão.
Notas
Números para comentários gerais e/ou pontos de corte para CIM.
Letras para comentários sobre disco-difusão.
18 <18
-
Ponto de corte p/ diâmetro do
halo (mm)
Ponto de corte p/ diâmetro do
halo (mm)
Ponto de corte p/ diâmetro do
halo (mm)
Notas
Números para comentários gerais e/ou pontos de corte para CIM.
Letras para comentários sobre disco-difusão.
Conteúdo
do disco
(µg)
Conteúdo
do disco
(µg)
Regras de Especialistas e Tabelas de Resistência Intrínseca.
Monobactâmicos
Pseudomonas aeruginosa é a espécie mais frequente deste gênero. Outras espécies menos frequentes de Pseudomonas recuperadas em amostras clínicas são: grupo P. fluorescens , grupo P. putida e grupo P. stutzeri .
Carbapenêmicos Ponto de corte p/ CIM (mg/L)
Ponto de corte p/ CIM (mg/L)
15
Pseudomonas spp.
S ч I R > AIT S ш I R < AIT
Ciprofloxacino
AE 0,5 - >0,5 5 26 - <26 1. Os pontos de corte são baseados em terapia com doses elevadas, ver tabela de dosagens.
Levofloxacino
AE 1 - >1 5 22 - <22
Moxifloxacino - - - - - -
Norfloxacino (apenas ITU não complicada) - - - - - -
Ofloxacino - - - - - -
S ч I R > AIT S ш I R < AIT
Amicacina
AE 8 16 >16 30 18 15-17 <15
Gentamicina
AE 4 - >4 10 15 - <15
Netilmicina
AE 4 - >4 10 12 - <12
Tobramicina
AE 4 - >4 10 16 - <16
S ч I R > AIT S ш I R < AIT
1. A determinação da CIM de colistina deve ser realizada pelo método de microdiluição em caldo. O controle de qualidade da
colistina deve ser realizado com cepa controle sensível (E. coli ATCC 25922 ou P. aeruginosa ATCC 27853) e cepa controle
resistente à colistina E. coli NCTC 13846 (mcr-1 positivo).
Polimixina B
2 2 - >2 Nota
A
Nota
A
Nota
A 2. Pontos de corte preconizados pelo BrCAST.
Fosfomicina iv
3
- - - - - -
A. Utilizar um método para a determinação da CIM (somente microdiluição em caldo).
Tabela de Pontos de Corte Clínicos do BrCAST - EUCAST, válida a partir de 01-02-2019฀
-
Ponto de corte p/ diâmetro do
halo (mm)
Ponto de corte p/ diâmetro do
halo (mm)
Nota
A
3. A diluição em ágar é o método de referência para testar fosfomicina. A CIM para fosfomicina deve ser determinada na
presença de glicose-6-fosfato (25 mg por litro de ágar MH). Seguir as instruções do fabricante caso seja utilizado um sistema
comercial. Infecções causadas por cepas selvagens (ECOFF: CIM 128mg/L; correspondendo ao diâmetro de halo de 12 mm
usando a potência do disco e instruções de leitura de E. coli ) têm sido tratadas usando combinações de fosfomicina e outros
agentes antimicrobianos.
1. Os pontos de corte para aminoglicosídeos são baseados em altas doses de aminoglicosídeos administradas em dose única
diária. Usualmente, aminoglicosídeos são administrados em combinação com agentes β-lactâmicos.
Notas
Números para comentários gerais e/ou pontos de corte para CIM.
Letras para comentários sobre disco-difusão.
Notas
Números para comentários gerais e/ou pontos de corte para CIM.
Letras para comentários sobre disco-difusão.
Notas
Números para comentários gerais e/ou pontos de corte para CIM.
Letras para comentários sobre disco-difusão.
Conteúdo
do disco
(µg)
-
-
Ponto de corte p/ diâmetro do
halo (mm)
Conteúdo
do disco
(µg)
Conteúdo
do disco
(µg)
Regras de Especialistas e Tabelas de Resistência Intrínseca.
Fosfomicina oral
3
Colistina
1
Aminoglicosídeos1
Fluoroquinolonas
Agentes diversos
Ponto de corte p/ CIM (mg/L)
4 Nota
A
Nota
A
Ponto de corte p/ CIM (mg/L)
Ponto de corte p/ CIM (mg/L)
2
- - -
>2
-
16
Stenotrophomonas maltophilia
Disco-difusão (método de disco-difusão padronizado pelo EUCAST)
Meio de cultura: Ágar Mueller-Hinton
Inóculo: McFarland 0,5
Incubação: Ar ambiente, 35±1ºC, 18±2h
Leitura: Ler as bordas dos halos de inibição com a parte posterior da placa voltada para o observador, contra um fundo escuro e sob
luz refletida (ver abaixo para instruções específicas de leitura).
Controle de qualidade: Escherichia coli ATCC 25922
S ч I R > AIT S ш I R < AIT
4 - >4 23,75-1,25 16
A - <16
A 1. Sulfametoxazol-trimetoprima na proporção 19:1. Os pontos de corte estão expressos como concentração de trimetoprim.
2. Os pontos de corte se referem a terapia com doses elevadas, ver tabela de dosagens.
A. Isolados apresentando qualquer sinal de halo de inibição 16 mm podem ser reportados como sensíveis e o crescimento dentro do
halo de inibição pode ser ignorado. A densidade do crescimento dentro do halo pode variar de uma névoa a um crescimento substancial
(ver figuras abaixo).
a-c) Um halo externo pode ser visualizado. Reportar como sensível se o diâmetro do halo for ≥ 16 mm.
d) Crescimento até a borda do disco e sem sinal de halo de inibição. Reportar como resistente.
Notas
Números para comentários gerais e/ou pontos de corte para CIM.
Letras para comentários sobre disco-difusão.
Agentes diversos Conteúdo
do disco
(µg)
Exemplos de halos de inibição de Stenotrophomonas maltophilia com sulfametoxazol-trimetoprima.
Ponto de corte p/ CIM
(mg/L)
Ponto de corte p/ diâmetro do
halo (mm)
Sulfametoxazol-trimetoprima
1,AE
Para informações adicionais, ver documento de orientação em www.eucast.org.
Tabela de Pontos de Corte Clínicos do BrCAST - EUCAST, válida a partir de 01-02-2019฀
Regras de Especialistas e Tabelas de Resistência Intrínseca.
Determinação da CIM: (Microdiluição em caldo de acordo com a padronização ISO 20776-1)
Meio de cultura: Caldo Mueller-Hinton
Inóculo: 5 x 10
5
UFC/mL
Incubação: Painéis selados, ar ambiente, 35±1ºC, 18±2h
Leitura: Para Sulfametoxazol-trimetoprim, deve-se ler a CIM da menor concentração antimicrobiana que inibiu
aproximadamente 80% do crescimento bacteriano comparado ao poço controle.
Controle de qualidade: Escherichia coli ATCC 25922
Sulfametoxazol-trimetoprima é o único agente atualmente para qual existem pontos de
corte do EUCAST.
b) c)
17
Acinetobacter spp.
Disco-difusão (método de disco-difusão padronizado pelo EUCAST)
Meio de cultura: Ágar Mueller-Hinton
Inóculo: McFarland 0,5
Incubação: Ar ambiente, 35±1ºC, 18±2h
Leitura: Salvo orientação contrária, ler as bordas dos halos de inibição do ponto em que não há mais crescimento, visto da parte
posterior da placa, contra um fundo escuro e sob luz refletida.
Controle de qualidade: Pseudomonas aeruginosa ATCC 27853. Para agentes não avaliados por tal cepa, ver tabela de CQ do BrCAST-
EUCAST.
S ч I R > AIT S ш I R < AIT
Ampicilina-sulbactam EI EI EI EI EI EI 1. O teste de sensibilidade de Acinetobacter spp. às penicilinas não é confiável. Na maioria dos casos, Acinetobacter spp. são
resistentes às penicilinas.
Piperacilina-tazobactam EI EI EI EI EI EI
S ч I R > AIT S ш I R < AIT
Cefepima - - - - - -
Ceftazidima - - - - - -
S ч I R > AIT S ш I R < AIT
Doripenem1 1. Os pontos de corte são baseados em terapia com altas doses, ver tabela de dosagens.
Ertapenem - - - - - -
Imipenem 2 4 >4 10 24 21-23 <21
Meropenem 2 4-8 >8 10 21 15-20 <15
Meropenem-vaborbactam EI EI EI EI EI EI
S ч I R > AIT S ш I R < AIT
Aztreonam - - - - - -
S ч I R > AIT S ш I R < AIT
Ciprofloxacino 0,06 0,12-1 >1 5 50 21-49 <21 1. Os pontos de corte são baseados em terapia com altas doses, ver tabela de dosagens.
Levofloxacino 0,5 1 >1 5 23 20-22 <20
Moxifloxacino - - - - - -
Norfloxacino (apenas ITU não complicada) - - - - - -
Ofloxacino - - - - - -
Conteúdo
do disco
(µg)
Conteúdo
do disco
(µg)
Notas
Números para comentários gerais e/ou pontos de corte para CIM.
Letras para comentários sobre disco-difusão.
Regras de Especialistas e Tabelas de Resistência Intrínseca.
Determinação da CIM: (Microdiluição em caldo de acordo com a padronização ISO 20776-1)
Meio de cultura: Caldo Mueller-Hinton
Inóculo: 5 x 105
UFC/mL
Incubação: Painéis selados, ar ambiente, 35±1ºC, 18±2h
Leitura: Salvo orientação contrária, ler a CIM da menor concentração antimicrobiana que visualmente inibe por completo o
crescimento bacteriano.
Controle de qualidade: Pseudomonas aeruginosa ATCC 27853. Para agentes não avaliados por tal cepa, ver tabela de CQ do
BrCAST-EUCAST.
Penicilinas
1 Conteúdo
do disco
(µg)
Cefalosporinas
Carbapenêmicos
Tabela de Pontos de Corte Clínicos do BrCAST - EUCAST, ฀
válida a partir de 01-02-2019
Notas
Números para comentários gerais e/ou pontos de corte para CIM.
Letras para comentários sobre disco-difusão.
Notas
Números para comentários gerais e/ou pontos de corte para CIM.
Letras para comentários sobre disco-difusão.
Notas
Números para comentários gerais e/ou pontos de corte para CIM.
Letras para comentários sobre disco-difusão.
Notas
Números para comentários gerais e/ou pontos de corte para CIM.
Letras para comentários sobre disco-difusão.
Monobactâmicos
Este gênero inclui várias espécies. As espécies de Acinetobacter mais frequentemente encontradas em amostras clínicas são aquelas incluídas no grupo A. baumannii , que inclui A. baumannii , A. nosocomialis , A. pittii , A. dijkshoorniae e
A. seifertii . Outras espécies são A. haemolyticus , A. junii , A. lwoffii , A. ursingii e A. variabilis .
Fluoroquinolonas Ponto de corte p/ CIM (mg/L)
Ponto de corte p/ diâmetro do
halo (mm)
Ponto de corte p/ diâmetro do
halo (mm)
Ponto de corte p/ diâmetro do
halo (mm)
Conteúdo
do disco
(µg)
Ponto de corte p/ CIM (mg/L) Ponto de corte p/ diâmetro do
halo (mm)
Ponto de corte p/ CIM (mg/L)
Ponto de corte p/ CIM (mg/L)
Ponto de corte p/ CIM (mg/L)
Conteúdo
do disco
(µg)
Ponto de corte p/ diâmetro do
halo (mm)
18
Acinetobacter spp. Tabela de Pontos de Corte Clínicos do BrCAST - EUCAST, ฀
válida a partir de 01-02-2019
S ч I R > AIT S ш I R < AIT
AmicacinaAE 8 16 >16 30 19 17-18 <17
GentamicinaAE 4 - >4 10 17 - <17
NetilmicinaAE 4 - >4 10 16 - <16
TobramicinaAE 4 - >4 10 17 - <17
S ч I R > AIT S ш I R < AIT
Doxiciclina - - - - - -
Minociclina EI EI EI EI EI EI
Tetraciclina - - - - - -
Tigeciclina EI EI EI EI EI EI
S ч I R > AIT S ш I R < AIT
Colistina1 2 - >2 NotaA
NotaA
NotaA 1. A determinação da CIM de colistina deve ser realizada com o método de microdiluição em caldo. O controle de qualidade da colistina
deve ser realizado com cepa controle sensível (E. coli ATCC 25922 ou P. aeruginosa ATCC 27853) e cepa controle resistente à colistina
de E. coli NCTC 13846 (mcr-1 positivo).
Polimixina B2 2 - >2 NotaA
NotaA
NotaA 2. Pontos de corte preconizados pelo BrCAST.
3. Sulfametoxazol-trimetoprima na proporção 19:1. Os pontos de corte estão expressos como concentração de trimetoprima.
A. Utilizar um método de determinação da CIM (somente microdiluição em caldo).
Regras de Especialistas e Tabelas de Resistência Intrínseca.
Notas
Números para comentários gerais e/ou pontos de corte para CIM.
Letras para comentários sobre disco-difusão.
14 11-13 <11
Ponto de corte p/ diâmetro do
halo (mm)
Ponto de corte p/ diâmetro do
halo (mm)
Ponto de corte p/ diâmetro do
halo (mm)
Notas
Números para comentários gerais e/ou pontos de corte para CIM.
Letras para comentários sobre disco-difusão.
Notas
Números para comentários gerais e/ou pontos de corte para CIM.
Letras para comentários sobre disco-difusão.
1. Os pontos de corte para aminoglicosídeos são baseados em altas doses de aminoglicosídeos administradas em dose única diária.
Usualmente, aminoglicosídeos são administrados em combinação com agentes β-lactâmicos.
Sulfametoxazol-trimetoprima3 2 4 >4 23,75-1,25
Agentes diversos
Tetraciclinas Conteúdo
do disco
(µg)
Conteúdo
do disco
(µg)
Conteúdo
do disco
(µg)
Ponto de corte p/ CIM (mg/L)
Ponto de corte p/ CIM (mg/L)
Ponto de corte p/ CIM (mg/L)
Aminoglicosídeos
1
19
Staphylococcus spp.
Disco-difusão (método de disco-difusão padronizado pelo EUCAST)
Meio de cultura: ágar Mueller-Hinton
Inóculo: McFarland 0,5
Incubação: Ar ambiente, 35±1ºC, 18±2h
Leitura: Salvo orientação contrária, ler as bordas dos halos de inibição do ponto em que não há mais crescimento, visto da parte
posterior da placa, contra um fundo escuro e sob luz refletida (exceto para penicilina e linezolida, veja abaixo).
Controle de qualidade: Staphylococcus aureus ATCC 29213. Para agentes não avaliados por tal cepa, ver tabela de CQ do BrCAST-
EUCAST.
S ч I R > AIT S ш I R < AIT
Benzilpenicilina, S. aureus 0,125
1 - >0,125
1 1 U 26
A,B - <26
A,B
Benzilpenicilina, S. lugdunensis 0,125
1 - >0,125
1 1 U 26
A - <26
A
Benzilpenicilina, estafilococos coagulase negativo -
1,2 - -
1,2
Nota
A,C
Nota
A,C
Nota
A,C
Ampicilina, S. saprophyticus Nota
1,3
Nota
1,3
Nota
1,3 2 18
A,D - <18
A,D
Ampicilina-sulbactam Nota
1,3
Nota
1,3
Nota
1,3
Nota
A,D
Nota
A,D
Nota
A,D
Amoxicilina Nota
1,3
Nota
1,3
Nota
1,3
Nota
A,D
Nota
A,D
Nota
A,D
Amoxicilina-ácido clavulânico Nota
1,3
Nota
1,3
Nota
1,3
Nota
A,D
Nota
A,D
Nota
A,D
Piperacilina-tazobactam Nota
1,3
Nota
1,3
Nota
1,3
Nota
A,D
Nota
A,D
Nota
A,D
Fenoximetilpenicilina, S. aureus Nota
1
Nota
1
Nota
1
Nota
A
Nota
A
Nota
A
Fenoximetilpenicilina, estafilococos coagulase negativo -
1,2
-
1,2
-
1,2
Nota
A
Nota
A
Nota
A
Oxacilina
4
Nota
1,4
Nota
1,4
Nota
1,4
Nota
A,C
Nota
A,C
Nota
A,C B. Para detecção de isolados de S. aureus produtores de penicilinase, o método de disco-difusão é mais confiável do que a
determinação da CIM, desde que o diâmetro do halo seja medido E as bordas do halo sejam cuidadosamente avaliadas (ver figuras
abaixo). Examine as bordas do halo de inibição com luz transmitida (placa contra a luz). Se o diâmetro do halo de inibição for <26mm,
relatar resistente. Se o diâmetro for >26mm E as bordas do halo bem definidas, relatar resistente. Se as bordas do halo forem mal
definidas (difusas) reportar sensível, mas se duvidoso relatar resistente. Testes de β-lactamase com cefalosporina cromogênica não
são confiáveis para detectar penicilinase estafilocócica.
C. Para a triagem de S. pseudintermedius resistente à meticilina, ver Nota C em cefalosporinas.
Notas
Números para comentários gerais e/ou pontos de corte para CIM.
Letras para comentários sobre disco-difusão.
Tabela de Pontos de Corte Clínicos do BrCAST - EUCAST, ฀
válida a partir de 01-02-2019
Regras de Especialistas e Tabelas de Resistência Intrínseca.
1/A. Estafilococos são, em sua maioria, produtores de penicilinase, sendo resistentes à benzilpenicilina, fenoximetilpenicilina,
ampicilina, amoxicilina, piperacilina e ticarcilina. Staphylococcus sensíveis à penicilina e cefoxitina podem ser reportados como
sensíveis aos antimicrobianos supracitados. No entanto, a eficácia de formulações orais, particularmente fenoximetilpenicilina, é
incerta. Isolados resistentes à penicilina, mas sensíveis à cefoxitina, são sensíveis às combinações com inibidor de β-lactamase e
isoxazolilpenicilinas (oxacilina, cloxacilina, dicloxacilina e flucloxacilina), nafcilina e várias cefalosporinas. Com exceção de ceftarolina e
ceftobiprole, isolados resistentes à cefoxitina são resistentes a todos os β-lactâmicos.
2/C. Nenhum método existente atualmente pode detectar produção de penicilinase de modo confiável em estafilococos coagulase
negativo.
3/D. S. saprophyticus sensíveis à ampicilina são gene mec A-negativo e sensíveis à ampicilina, amoxicilina e piperacilina (com ou sem
inibidor de β-lactamase).
4. S. aureus, S. lugdunensis e S. saprophyticus com CIM de oxacilina >2 mg/L são, em sua maioria, resistentes à meticilina pela
presença do gene mecA ou gene mecC . Ocasionalmente, valores de CIM de oxacilina são altos em S. aureus na ausência de
resistência mediada por gene mec. Essas cepas são conhecidas como BORSA (Borderline Oxacillin-Resistant S. aureus ). O EUCAST
não recomenda uma triagem sistemática para BORSA. Para estafilococos coagulase negativo, exceto S. saprophyticus e S.
lugdunensis , a CIM de oxacilina em cepas resistentes à meticilina é >0,25 mg/L.
Determinação da CIM: (Microdiluição em caldo de acordo com a padronização ISO 20776-1, exceto para fosfomicina, para
qual diluição em ágar é usada)
Meio de cultura: Caldo Mueller-Hinton
Inóculo: 5 x 10
5
UFC/mL
Incubação: Painéis selados, ar ambiente, 35±1ºC, 18±2h
Leitura: Salvo orientação contrária, ler a CIM como a menor concentração do antimicrobiano que visualmente inibe por completo o
crescimento bacteriano.
Controle de qualidade: Staphylococcus aureus ATCC 29213. Para agentes não avaliados por tal cepa, ver tabela de CQ do
BrCAST-EUCAST.
Ponto de corte p/ diâmetro
do halo (mm)
Penicilinas1 Ponto de corte p/ CIM (mg/L) Conteúdo
do disco
(µg)
Este gênero tem sido tradicionalmente dividido em S. aureus , agora considerado como um complexo [S. aureus, S. argenteus (encontrado em infecções humanas) e S. schweitzeri (encontrado até agora em
animais)], outras espécies coagulase positivo não pertencentes ao complexo S. aureus : S. intermedius , S. pseudintermedius , S. schleiferi subespécie coagulans e, por último, estafilococos coagulase negativo.
As espécies coagulase negativo mais frequentemente detectadas em amostras clínicas são S. capitis, S. cohnii, S. epidermidis, S. haemolyticus, S. hominis, S. hyicus, S. lugdunensis, S. saprophyticus,
S. schleiferi subespécie schleiferi, S. sciuri, S. simulans, S. warneri e S. xylosus . Salvo indicação contrária, os pontos de corte aplicam-se a todos os membros do gênero Staphylococcus , exceto quanto ao fato de
que pontos de corte para outras espécies além de S. aureus no complexo S. aureus não foram validados, e que S. saccharolyticus deve ser testado como um anaeróbio gram-positivo.
20
Staphylococcus spp.
S ч I R > AIT S ш I R < AIT
Cefaclor
AE
Nota
1
Nota
1
Nota
1
Nota
A
Nota
A
Nota
A
Cefadroxila Nota
1
Nota
1
Nota
1
Nota
A
Nota
A
Nota
A
Cefalexina Nota
1
Nota
1
Nota1
Nota
A
NotaA
NotaA
Cefazolina Nota
1
Nota
1
Nota
1
Nota
A
Nota
A
Nota
A 2. Para dosagens, ver tabela de dosagens.
Cefepima Nota
1
Nota
1
Nota
1
Nota
A
Nota
A
Nota
A
Cefoxitina (triagem) S. aureus e estafilococos
coagulase negativo exceto S. epidermidis
Nota
3,4
Nota
3,4
Nota
3,4 30 22
A,B - <22
A,B
Cefoxitina (triagem), S. epidermidis Nota
4
Nota
4
Nota
4 30 25
A,B - <25
A,B 25-27 3. Para estafilococos que não sejam S. aureus , S. lugdunensis ou S. saprohyticus , a CIM de cefoxitina é um pior preditor de
resistência à meticilina (oxacilina) do que o teste de disco-difusão.
Cefoxitina (triagem), S. pseudintermedius NA NA NA 30 Nota
C
Nota
C
Nota
C 4/D. Isolados sensíveis à meticilina (oxacilina) podem ser reportados como sensíveis à ceftarolina sem testes adicionais.
Ceftarolina, S. aureus (Outras indicações que não
pneumonia)
1
4 2 >2
4,5 1 5 20
D 17-19 <17
D,E 19-20 5/E. Isolados resistentes são raros.
B. Caso um estafilococo coagulase negativo não seja identificado em nível de espécie, utilizar pontos de corte para diâmetro de halo
S≥ 25, R<25mm.
C. Triagem com cefoxitina para S. pseudintermedius resistente à meticilina (oxacilina) tem menor valor preditivo para a presença do
gene mecA do que em outros estafilococos. Usar o disco de oxacilina 1µg com pontos de corte para diâmetro do halo S 20, R<20 mm
para triagem de resistência à meticilina.
S ч I R > AIT S ш I R < AIT
Doripenem 1/A. A sensibilidade dos estafilococos aos carbapenêmicos é inferida a partir da sensibilidade à cefoxitina.
Ertapenem Nota
1
Nota
1
Nota
1
Nota
A
Nota
A
Nota
A
Imipenem Nota
1
Nota
1
Nota
1
Nota
A
Nota
A
Nota
A
Meropenem Nota
1
Nota
1
Nota
1
Nota
A
Nota
A
Nota
A
Meropenem-vaborbactam Nota
1
Nota
1
Nota
1
Nota
A
Nota
A
Nota
A
S ч I R > AIT S ш I R < AIT
Ciprofloxacino
AE
, S. aureus 1 - >1 5 21
A - <21
A 1. Os pontos de corte se referem a terapia com doses elevadas, ver tabela de dosagens.
Ciprofloxacino
AE
, estafilococo coagulase negativo 1 - >1 5 24
A - <24
A A. O teste de disco-difusão com norfloxacino pode ser usado para triagem de resistência às fluoroquinolonas. Ver nota B.
Levofloxacino, S. aureus 1 - >1 5 22
A - <22
A
Levofloxacino, estafilococo coagulase negativo 1 - >1 5 24
A - <24
A
Moxifloxacino, S. aureus 0,25 - >0,25 5 25
A - <25
A
Moxifloxacino, estafilococo coagulase negativo 0,25 - >0,25 5 28
A - <28
A
Norfloxacino (triagem) NA NA NA 10 17
B - Nota
B
Ofloxacino
AE,
S. aureus 1 - >1 5 20
A - <20
A
Ofloxacino
AE
, estafilococo coagulase negativo 1 - >1 5 24
A - <24
A
Conteúdo
do disco
(µg)
1
Fluoroquinolonas Conteúdo
do disco
(µg)
Ponto de corte p/ CIM (mg/L)
Ponto de corte p/ CIM (mg/L)
>1
4
Carbapenêmicos1
Cefalosporinas1
-
1
4
Ceftarolina, S. aureus (Pneumonia)
Notas
Números para comentários gerais e/ou pontos de corte para CIM.
Letras para comentários sobre disco-difusão.
Notas
Números para comentários gerais e/ou pontos de corte para CIM.
Letras para comentários sobre disco-difusão.
1/A. A sensibilidade às cefalosporinas em estafilococos é inferida pela sensibilidade à cefoxitina, exceto para ceftazidima, ceftazidima-
avibactam e ceftolozana-tazobactam, que não têm pontos de corte definidos e não devem ser utilizadas para tratamento de infecções
estafilocócicas. Alguns S. aureus resistentes à meticilina (oxacilina) são sensíveis à ceftarolina, Ver Notas 4/D e 6/F.
<20
D
2. S. aureus e S. lugdunensis com valores de CIM para cefoxitina >4 mg/L e S. saprophyticus com valores de CIM para cefoxitina >8
mg/L são resistentes à meticilina (oxacilina) principalmente devido à presença do gene mecA ou mecC . Testes de disco-difusão são
confiáveis para predizer resistência à meticilina (oxacilina).
Regras de Especialistas e Tabelas de Resistência Intrínseca.
-
20
D 19-20
Ponto de corte p/ CIM (mg/L) Ponto de corte p/ diâmetro
do halo (mm)
5
Conteúdo
do disco
(µg)
Ponto de corte p/ diâmetro
do halo (mm)
Ponto de corte p/ diâmetro
do halo (mm)
Tabela de Pontos de Corte Clínicos do BrCAST - EUCAST, ฀
válida a partir de 01-02-2019
B. Isolados classificados como sensíveis ao norfloxacino podem ser reportados como sensíveis ao ciprofloxacino, levofloxacino,
moxifloxacino e ofloxacino. Isolados classificados como não sensíveis ao norfloxacino devem ser testados individualmente para cada
agente.
Notas
Números para comentários gerais e/ou pontos de corte para CIM.
Letras para comentários sobre disco-difusão.
21
Staphylococcus spp.
S ч I R > AIT S ш I R < AIT
Amicacina
1
, S. aureus 8 16 >16 16 30 18 16-17 <16 15-19 1. Os pontos de corte para aminoglicosídeos são baseados em altas doses de aminoglicosídeos administradas em dose única diária.
Amicacina
1
, estafilococos coagulase negativo 8 16 >16 30 22 19-21 <19
Gentamicina, S. aureus 1 - >1 10 18 - <18
Gentamicina, estafilococos coagulase negativo 1 - >1 10 22 - <22
Netilmicina, S. aureus 1 - >1 10 18 - <18
Netilmicina, estafilococos coagulase negativo 1 - >1 10 22 - <22
Tobramicina, S. aureus 1 - >1 10 18 - <18
Tobramicina, estafilococos coagulase negativo 1 - >1 10 22 - <22
S ч I R > AIT S ш I R < AIT
Teicoplanina
2
, S. aureus 2 - >2 Nota
A
Nota
A
Nota
A
Teicoplanina, estafilococos coagulase negativo 4 - >4 Nota
A
Nota
A
Nota
A
Vancomicina
2
, S. aureus 2 - >2 Nota
A
Nota
A
Nota
A
4 - >4 Nota
A
Nota
A
Nota
A
A. O método de disco-difusão não é confiável e não distingue isolados selvagens daqueles com resistência não mediada pelo gene
vanA .
Macrolídeos e lincosamidas
S ч I R > AIT S ш I R < AIT
Azitromicina 1
1 2 >2
1
Nota
A
Nota
A
Nota
A 1/A. A eritromicina pode ser utilizada para determinar a sensibilidade à azitromicina, claritromicina e roxitromicina.
Claritromicina 1
1 2 >2
1
Nota
A
Nota
A
Nota
A
Eritromicina 1
1 2 >2
1 15 21
A 18-20 <18
A
Clindamicina
2 0,25 0,5 >0,5 2 22
B 19-21 <19
B B. Posicione os discos de eritromicina e clindamicina a uma distância de 12-20 mm (borda-borda) e observe a ocorrência de
antagonismo (halo de inibição em forma de "D").
2. A resistência induzível à clindamicina pode ser detectada pelo antagonismo da atividade da clindamicina por agente macrolídeo. Se
antagonismo não for detectado, reportar como testado de acordo com os pontos de corte clínicos. Se detectado, reportar como
resistente e considerar a inclusão do comentário: “A clindamicina ainda pode ser utilizada para tratamento de curta duração ou
tratamento de infecções menos graves de pele e tecidos moles porque é improvável haver desenvolvimento de resistência plena
durante tais tratamentos”.
Notas
Números para comentários gerais e/ou pontos de corte para CIM.
Letras para comentários sobre disco-difusão.
Ponto de corte p/ diâmetro
do halo (mm)
Ponto de corte p/ diâmetro
do halo (mm)
Ponto de corte p/ diâmetro
do halo (mm)
Glicopeptídeos1
Ponto de corte p/ CIM (mg/L)
Ponto de corte p/ CIM (mg/L)
Ponto de corte p/ CIM (mg/L)
1. A CIM de glicopeptídeos é dependente do método e deve ser determinada por microdiluição em caldo (referência ISO 20776). S.
aureus com CIM de 2 mg/L para vancomicina estão no limite da distribuição da CIM do tipo selvagem e pode haver diminuição da
resposta clínica. O ponto de corte (resistente) foi diminuído para 2 mg/L para evitar que isolados intermediários “GISA” sejam
reportados, já que infecções graves por “GISA” não são tratáveis com doses altas de vancomicina ou teicoplanina.
2. Isolados não sensíveis são raros. A identificação e o teste de sensibilidade em isolados não sensíveis devem ser confirmados em
centro de referência.
1. A resistência à amicacina é melhor determinada testando-se a kanamicina (CIM > 8 mg/L). O diâmetro do halo de inibição
correspondente, para disco de kanamicina de 30 μg, é R < 18 mm para S. aureus e R < 22 mm para estafilococos coagulase negativo.
Notas
Números para comentários gerais e/ou pontos de corte para CIM.
Letras para comentários sobre disco-difusão.
Notas
Números para comentários gerais e/ou pontos de corte para CIM.
Letras para comentários sobre disco-difusão.
Aminogicosídeos Conteúdo
do disco
(µg)
Conteúdo
do disco
(µg)
Conteúdo
do disco
(µg)
Vancomicina
2
, estafilococos coagulase
negativo
Regras de Especialistas e Tabelas de Resistência Intrínseca.
Tabela de Pontos de Corte Clínicos do BrCAST - EUCAST, ฀
válida a partir de 01-02-2019
22
Staphylococcus spp.
S ч I R > AIT S ш I R < AIT
Doxiciclina 1
1 2 >2
1
Nota
A
Nota
A
Nota
A
Eravaciclina, S. aureus 0,25 - >0,25 EP EP EP EP
Minociclina 0.5
1 1 >1
1 30 23
A 20-22 <20
A
Tetraciclina 1
1 2 >2
1 30 22
A 19-21 <19
A
Tigeciclina
2
0,5
3 - >0,5
3 15 18 - <18
S ч I R > AIT S ш I R < AIT
Linezolida 4 - >4 10 21
A - <21
A
Tedizolida 0,5
1 - >0,5 NotaB Nota
B
Nota
B
S ч I R > AIT S ш I R < AIT
Ácido fusídico 1 - >1 10 24 - <24
Cloranfenicol 8 - >8 30 18 - <18
Daptomicina
1
1
2 - >1
2
Nota
A
Nota
A
Nota
A
Fosfomicina IV 32
3 - >32
3
Nota
A
Nota
A
Nota
A
Fosfomicina oral - - - - - -
Nitrofurantoína (apenas infecção do trato urinário
não complicada), S. saprophyticus
64 - >64 100 13 - <13
Rifampicina 0,06 0,12-0,5 >0,5 5 26 23-25 <23
Sulfametoxazol-trimetoprima
4 2 4 >4 23,75-1,25 17 14-16 <14
Exemplos de halos de inibição para Staphylococcus aureus com benzilpenicilina.
a) Bordas do halo mal definidas (irregulares) e diâmetro do halo de inibição ≥ 26 mm. Reportar como sensível.
b) Bordas do halo bem definidas e diâmetro do halo de inibição ≥ 26 mm. Reportar como resistente.
Notas
Números para comentários gerais e/ou pontos de corte para CIM.
Letras para comentários sobre disco-difusão.
1. Isolados não sensíveis são raros ou ainda não foram reportados. A identificação e o teste de sensibilidade em isolados não sensíveis
devem ser confirmados em centro de referência.
Notas
Números para comentários gerais e/ou pontos de corte para CIM.
Letras para comentários sobre disco-difusão.
Notas
Números para comentários gerais e/ou pontos de corte para CIM.
Letras para comentários sobre disco-difusão.
2.Para determinação da CIM de daptomicina o meio deve ser suplementado com Ca
++
para uma concentração final de 50 mg/L para o
método da microdiluição em caldo. A diluição em ágar não está validada. Seguir as instruções do fabricante caso utilize um sistema
comercial.
3. A diluição em ágar é o método de referência para testar fosfomicina. A CIM para fosfomicina deve ser determinada na presença de
glicose-6-fosfato (25 mg por litro de ágar MH). Seguir as instruções do fabricante caso utilize um sistema comercial.
4. Sulfametoxazol-trimetoprima na proporção 19:1. Os pontos de corte de CIM estão expressos como concentração de trimetoprima.
A. Utilizar método de determinação da CIM.
Ponto de corte p/ diâmetro
do halo (mm)
1/A. Isolados sensíveis à tetraciclina também são sensíveis à doxiciclina e à minociclina, mas alguns isolados resistentes à tetraciclina
podem ser sensíveis à minociclina e/ou à doxiciclina. Se necessário, deve ser utilizado um método de CIM para testar a sensibilidade à
doxiciclina em isolados resistentes à tetraciclina.
2. Isolados não sensíveis são raros ou ainda não foram reportados. A identificação e o teste de sensibilidade em isolados não sensíveis
devem ser confirmados em centro de referência.
3. Para determinação da CIM de tigeciclina por microdiluição, o meio deve ser preparado fresco no dia do uso.
1. Isolados sensíveis à linezolida podem ser considerados sensíveis à tedizolida.
A. Examine as margens do halo de inibição com luz transmitida (placa contra a luz).
B. Isolados sensíveis à linezolida podem ser considerados sensíveis à tedizolida. Para isolados resistentes à linezolida, realizar um
método de determinação da CIM.
Ponto de corte p/ diâmetro
do halo (mm)
Ponto de corte p/ diâmetro
do halo (mm)
Agentes Diversos
Regras de Especialistas e Tabelas de Resistência Intrínseca.
Tabela de Pontos de Corte Clínicos do BrCAST - EUCAST, ฀
válida a partir de 01-02-2019
Conteúdo
do disco
(µg)
Tetraciclinas Conteúdo
do disco
(µg)
Oxazolidinonas Conteúdo
do disco
(µg)
Ponto de corte p/ CIM (mg/L)
Ponto de corte p/ CIM (mg/L)
Ponto de corte p/ CIM (mg/L)
23
Enterococcus spp.
Disco-difusão (método de disco-difusão padronizado pelo EUCAST)
Meio de cultura: ágar Mueller-Hinton
Inóculo: McFarland 0,5
Incubação: Ar ambiente, 35±1ºC, 18±2h (para glicopeptídeos ler em 24h)
Leitura: Salvo orientação contrária, ler as bordas dos halos de inibição do ponto em que não há mais crescimento, visto da parte posterior
da placa, contra um fundo escuro e sob luz refletida (exceto para glicopeptídeos - ver abaixo).
Controle de qualidade: Enterococcus faecalis ATCC 29212. Para agentes não avaliados por tal cepa e para o controle do componente
inibidor dos discos de combinação betalactâmico-inibidor de betalactamase, ver tabela de CQ do BrCAST-EUCAST.
S ч I R > AIT S ш I R < AIT
Benzilpenicilina - - - - - -
Ampicilina 4 8 >8
2
2 10 8-9 <8
2
Ampicilina-sulbactam
3
4
4
8 >8
4
Nota
A
Nota
A
Nota
A
Amoxicilina
3
4 8 >8 Nota
A
Nota
A
Nota
A
Amoxicilina-ácido clavulânico3
4
5
8 >8
5
Nota
A
Nota
A
Nota
A
Piperacilina-tazobactam
3
Nota3
Nota3
Nota3
NotaA
NotaA
NotaA
S ч I R > AIT S ш I R < AIT
Doripenem
Ertapenem - - - - - -
Imipenem 4 8 >8 10 21 18-20 <18
Meropenem - - - - - -
Meropenem-vaborbactam - - - - - -
S ч I R > AIT S ш I R < AIT
Ciprofloxacino, apenas em infecção do trato
urinário (ITU) não complicada
4 - >4 5 15
A
- <15
A A. O teste de disco-difusão com norfloxacino pode ser utilizado como triagem para resistência às fluoroquinolonas. Ver Nota B.
Levofloxacino (apenas ITU não complicada) 4 - >4 5 15
A
- <15
A B. A sensibilidade ao ciprofloxacino e ao levofloxacino pode ser inferida a partir da sensibilidade ao norfloxacino.
Moxifloxacino - - - - - -
Norfloxacino (triagem) NA NA NA 10 12
B
- <12
B
Ofloxacino - - - - - -
Conteúdo
do disco
(µg)
Ponto de corte p/ diâmetro
do halo (mm)
Fluoroquinolonas Conteúdo
do disco
(µg)
Em endocardites, consultar diretrizes nacionais e internacionais sobre os pontos de corte para Enterococcus spp.
Determinação da CIM: (Microdiluição em caldo de acordo com a padronização ISO 20776-1)
Meio de cultura: Caldo Mueller-Hinton
Inóculo: 5 x 105
UFC/mL
Incubação: Painéis selados, ar ambiente, 35±1ºC, 18±2h
Leitura: Salvo orientação contrária, ler a CIM como a menor concentração do antimicrobiano que visualmente inibe por completo
o crescimento bacteriano.
Controle de qualidade: Enterococcus faecalis ATCC 29212. Para agentes não avaliados por tal cepa e para o controle do
componente inibidor da combinação betalactâmico-inibidor de betalactamase, ver tabela de CQ do BrCAST-EUCAST.
1. E. faecium resistente às penicilinas podem ser considerados resistentes a todos os agentes β-lactâmicos incluindo os carbapenêmicos.
2. Resistência à ampicilina em E. faecalis é rara e deve ser confirmada com um método de determinação da CIM.
3/A. A sensibilidade à ampicilina, amoxicilina e piperacilina com e sem inibidores de β-lactamase pode ser inferida a partir da ampicilina.
4. Para fins de teste de sensibilidade a concentração de sulbactam é fixada em 4 mg/L.
5. Para fins de teste de sensibilidade a concentração de ácido clavulânico é fixada em 2 mg/L.
Carbapenêmicos Conteúdo
do disco
(µg)
Ponto de corte p/ CIM (mg/L) Ponto de corte p/ diâmetro
do halo (mm)
Ponto de corte p/ diâmetro
do halo (mm)
Este gênero inclui várias espécies. Os enterococos mais frequentes recuperados em amostras clínicas são E. faecalis , E. faecium , E. avium , E. casseliflavus , E. durans , E. gallinarum , E. hirae , E. mundtii e E. raffinosus .
Salvo indicação contrária, os pontos de corte são aplicáveis a todos os membros do gênero Enterococcus .
Penicilinas1 Notas
Números para comentários gerais e/ou pontos de corte para CIM.
Letras para comentários sobre disco-difusão.
Ponto de corte p/ CIM (mg/L)
Notas
Números para comentários gerais e/ou pontos de corte para CIM.
Letras para comentários sobre disco-difusão.
Ponto de corte p/ CIM (mg/L)
Tabela de Pontos de Corte Clínicos do BrCAST - EUCAST, ฀
válida a partir de 01-02-2019
Regras de Especialistas e Tabelas de Resistência Intrínseca.
Notas
Números para comentários gerais e/ou pontos de corte para CIM.
Letras para comentários sobre disco-difusão.
24
Enterococcus spp.
S ч I R > AIT S ш I R < AIT
Amicacina Nota
2
Nota
2
Nota
2
Nota
A
Nota
A
Nota
A
Gentamicina (para triagem de alto nível de
resistência aos aminoglicosídeos)
Nota
2
Nota2
Nota2
30 NotaA
NotaA
NotaA 2/A. A gentamicina pode ser utilizada para triagem de resistência de alto nível aos aminoglicosídeos.
Netilmicina Nota
2
Nota
2
Nota
2
Nota
A
Nota
A
Nota
A
Estreptomicina (para triagem de alto nível de
resistência aos aminoglicosídeos)
Nota
3
Nota3
Nota3
300 NotaB
NotaB
NotaB
Tobramicina Nota
2
Nota
2
Nota
2
Nota
A
Nota
A
Nota
A
S ч I R > AIT S ш I R < AIT
Teicoplanina 2 - >2 30 16 - <16
B. Resultados duvidosos devem ser confirmados por determinação da CIM e/ou detecção dos genes van por PCR.
S ч I R > AIT S ш I R < AIT
Doxiciclina - - - - - -
Eravaciclina 0,125 - >0,125 EP EP EP EP
Minociclina - - - - - - 2.Para determinação da CIM de tigeciclina por microdiluição, o meio deve ser preparado fresco, no dia do uso.
Tetraciclina - - - - - -
Tigeciclina
1
0,25
2 - >0,252
15 18 - <18
S ч I R > AIT S ш I R < AIT
Linezolida 4 - >4 10 19 - <19
Tetraciclinas
Ponto de corte p/ CIM (mg/L)
Conteúdo
do disco
(µg)
Oxazolidinonas Conteúdo
do disco
(µg)
Notas
Números para comentários gerais e/ou pontos de corte para CIM.
Letras para comentários sobre disco-difusão.
Notas
Números para comentários gerais e/ou pontos de corte para CIM.
Letras para comentários sobre disco-difusão.
Ponto de corte p/ diâmetro
do halo (mm)
1. Isolados não sensíveis são raros ou ainda não foram reportados. A identificação e o teste de sensibilidade em isolados não sensíveis
devem ser confirmados em centro de referência.
Ponto de corte p/ diâmetro
do halo (mm)
Conteúdo
do disco
(µg)
Ponto de corte p/ CIM (mg/L)
4 - >4
Ponto de corte p/ diâmetro
do halo (mm)
Notas
Números para comentários gerais e/ou pontos de corte para CIM.
Letras para comentários sobre disco-difusão.
Vancomicina
A. Enterococos sensíveis à vancomicina apresentam halos de inibição com bordas bem definidas e não apresentam colônias dentro do halo
de inibição. Examinar as bordas dos halos de inibição com luz transmitida (placa erguida contra a luz). Suspeitar de resistência quando as
bordas forem mal definidas (irregulares ou difusas) ou quando houver crescimento de colônias dentro do halo de inibição, mesmo que o
diâmetro do halo seja ≥ 12 mm (ver figuras abaixo). Os isolados não podem ser reportados como sensíveis antes de 24h de incubação.
(Ver nota B).
Aminoglicosídeos1
5 12
A,B
- <12
A,B
Ponto de corte p/ CIM (mg/L)
Tabela de Pontos de Corte Clínicos do BrCAST - EUCAST, ฀
válida a partir de 01-02-2019
Regras de Especialistas e Tabelas de Resistência Intrínseca.
Glicopeptídeos Conteúdo
do disco
(µg)
Notas
Números para comentários gerais e/ou pontos de corte para CIM.
Letras para comentários sobre disco-difusão.
Ponto de corte p/ CIM (mg/L) Ponto de corte p/ diâmetro
do halo (mm)
1. Enterococos são intrinsecamente resistentes aos aminoglicosídeos e a monoterapia com aminoglicosídeos não é efetiva. É provável que
ocorra sinergismo entre aminoglicosídeos e penicilinas ou glicopeptídeos contra enterococos sem resistência adquirida de alto nível. Os
testes de sensibilidade com aminoglicosídeos visam distinguir entre resistência intrínseca e resistência adquirida de alto nível.
3/B. Isolados com alto nível de resistência à gentamicina podem não apresentar alto nível de resistência à estreptomicina.
Teste Negativo: Isolados com CIM para estreptomicina ≤512 mg/L ou com halo de inibição ≥14 mm. O isolado tem perfil selvagem para
estreptomicina e apresenta apenas resistência intrínseca de baixo nível. É provável o sinergismo com penicilinas ou glicopeptídeos se o
isolado for sensível à penicilina ou glicopeptídeo.
Teste Positivo: Isolados com CIM para estreptomicina >512 mg/L ou com halo de inibição <14 mm. O isolado apresenta resistência de alto
nível de estreptomicina. Não ocorrerá sinergismo com penicilinas ou glicopeptídeos.
Teste negativo: Isolados com CIM de gentamicina ≤128 mg/L ou com halo de inibição ≥8 mm. O isolado tem perfil selvagem para
gentamicina e apresenta apenas resistência intrínseca de baixo nível. Para outros aminoglicosídeos isso pode não ser o caso. É provável o
sinergismo com penicilinas ou glicopeptídeos se o isolado for sensível à penicilina ou a glicopeptídeo.
Teste Positivo: Isolados com CIM de gentamicina >128 mg/L ou com halo de inibição <8 mm. O isolado apresenta resistência de alto nível à
gentamicina e aos outros aminoglicosídeos, exceto à estreptomicina, a qual deve ser testada separadamente caso indicado (ver nota 3/B).
Não ocorrerá sinergismo com penicilinas ou glicopeptídeos.
25
Enterococcus spp.
S ч I R > AIT S ш I R < AIT
Daptomicina1 EI EI EI EI EI EI 1. Para mais informações veja http://www.eucast.org/guidance_documents/.
Fosfomicina IV - - - - - -
Fosfomicina oral - - - - - -
Nitrofurantoína (apenas ITU não complicada), E.
faecalis
64 - >64 100 15 - <15
Sulfametoxazol-Trimetoprima3
Nota2
Nota2
Nota2
23,75-1,25 NotaA
NotaA
NotaA B. O ponto de corte de resistência é confiável para categorizar os isolados, mas a sensibilidade (S ou I) deve ser avaliada pela determinação
da concentração inibitória mínima (CIM).
Exemplos de halos de inibição de vancomicina para Enterococcus spp.
a) Bordas do halo regulares (bem definidas) e diâmetro do halo ≥ 12 mm. Reportar como sensível.
b-d) Bordas irregulares (difusas ou mal definidas) ou presença de colônias dentro do halo de inibição. Realizar teste confirmatório por PCR para genes van ou reporte como resistente mesmo se o diâmetro da halo for ≥ 12 mm.
Notas
Números para comentários gerais e/ou pontos de corte para CIM.
Letras para comentários sobre disco-difusão.
Agentes diversos Conteúdo
do disco
(µg)
Ponto de corte p/ diâmetro
do halo (mm)
Ponto de corte p/ CIM (mg/L)
2/A. A atividade do sulfametoxazol-trimetoprim contra enterococos é incerta, não sendo possível prever o desfecho clínico. O ECOFF para
categorizar os isolados como selvagem ou não-selvagem para E. faecalis e E. faecium é de 1 mg/L, com um ECOFF de diâmetro de halo de
23 mm para sulfametoxazol-trimetoprima.
3. Sulfametoxazol-trimetoprima na proporção 19:1. Os pontos de corte de CIM são expressos como concentração de trimetoprima.
Regras de Especialistas e Tabelas de Resistência Intrínseca.
Tabela de Pontos de Corte Clínicos do BrCAST - EUCAST, ฀
válida a partir de 01-02-2019
a) c) d)
b)
26
Streptococcus dos grupos A, B, C e G Tabela de Pontos de Corte Clínicos do BrCAST - EUCAST, ฀
válida a partir de 01-02-2019
Disco-difusão (método de disco-difusão padronizado pelo EUCAST)
Meio de cultura: Ágar Mueller-Hinton + 5% sangue desfibrinado de cavalo e 20 mg/L de β-NAD (MH-F)
Inóculo: McFarland 0,5
Incubação: CO2 a 5%, 35±1ºC, 18±2h
Leitura: Salvo orientação contrária, ler as bordas dos halos de inibição do ponto em que não há mais crescimento, visto da parte anterior da
placa, com a tampa removida e luz refletida.
Controle da Qualidade: Streptococcus pneumoniae ATCC 49619. Para agentes não avaliados por tal cepa, ver tabela de CQ do BrCAST-
EUCAST.
S ч I R > AIT S ш I R < AIT
Benzilpenicilina 0,25
2 - >0,25
2
1 U 18 - <18 1/A. A sensibilidade dos estreptococos dos grupos A, B, C e G às penicilinas é inferida a partir da sensibilidade à benzilpenicilina, com
exceção da fenoximetilpenicilina e isoxazolilpenicilinas para estreptococos do grupo B.
Ampicilina Nota
1
Nota
1
Nota
1
Nota
A
Nota
A
Nota
A 2. Isolados não sensíveis são raros ou ainda não foram reportados. A identificação e o teste de sensibilidade em isolados não sensíveis
devem ser confirmados em centro de referência.
Ampicilina-sulbactam
3
Nota
1
Nota
1
Nota
1
Nota
A
Nota
A
Nota
A
3. Estreptococos dos grupos A, B, C e G não produzem β-lactamase. A adição de um inibidor de β-lactamase não agrega valor clínico.
Amoxicilina Nota
1
Nota
1
Nota
1
Nota
A
Nota
A
Nota
A
Amoxicilina-ácido clavulânico
3
Nota
1
Nota
1
Nota
1
Nota
A
Nota
A
Nota
A
Piperacilina-tazobactam
3
Nota
1
Nota
1
Nota
1
Nota
A
Nota
A
Nota
A
Fenoximetilpenicilina Nota
1
Nota
1
Nota
1
Nota
A
Nota
A
Nota
A
Oxacilina NA NA NA NA NA NA
S ч I R > AIT S ш I R < AIT
Cefaclor Nota
1
Nota
1
Nota
1
Nota
A
Nota
A
Nota
A
Cefadroxila Nota
1
Nota
1
Nota
1
Nota
A
Nota
A
Nota
A
Cefalexina Nota
1
Nota
1
Nota
1
Nota
A
Nota
A
Nota
A
Cefazolina Nota
1
Nota
1
Nota
1
Nota
A
Nota
A
Nota
A
Cefepima Nota
1
Nota
1
Nota
1
Nota
A
Nota
A
Nota
A
Cefotaxima Nota
1
Nota
1
Nota
1
Nota
A
Nota
A
Nota
A
Cefoxitina NA NA NA NA NA NA
Ceftarolina Nota
1
Nota
1
Nota
1
Nota
A
Nota
A
Nota
A
Ceftazidima - - - - - -
Ceftriaxona Nota
1
Nota
1
Nota
1
Nota
A
Nota
A
Nota
A
Cefuroxima iv Nota
1
Nota
1
Nota
1
Nota
A
Nota
A
Nota
A
Cefuroxima oral Nota
1
Nota
1
Nota
1
Nota
A
Nota
A
Nota
A
Notas
Números para comentários gerais e/ou pontos de corte para CIM.
Letras para comentários sobre disco-difusão.
1/A. A sensibilidade dos estreptococos dos grupos A, B, C e G às cefalosporinas é inferida a partir da sensibilidade à benzilpenicilina.
Notas
Números para comentários gerais e/ou pontos de corte para CIM.
Letras para comentários sobre disco-difusão.
Determinação da CIM: (Microdiluição em caldo de acordo com a padronização ISO 20776-1)
Meio de cultura: Caldo Mueller-Hinton + 5% de sangue lisado de cavalo e 20 mg/L β-NAD (Meio MH-F)
Inóculo: 5 x 10
5
UFC/mL
Incubação: Painéis selados, ar ambiente, 35±1ºC, 18±2h
Leitura: Salvo orientação contrária, ler a CIM como a menor concentração do antimicrobiano que visualmente inibe por
completo o crescimento bacteriano.
Controle de qualidade: Streptococcus pneumoniae ATCC 49619. Para agentes não avaliados por tal cepa, ver tabela
de CQ do BrCAST-EUCAST.
Cefalosporinas1 Conteúdo
do disco
(µg)
Penicilinas1 Conteúdo
do disco
(µg)
Regras de Especialistas e Tabelas de Resistência Intrínseca.
Ponto de corte p/ CIM
(mg/L)
Ponto de corte p/
diâmetro do halo (mm)
Ponto de corte p/
diâmetro do halo (mm)
Ponto de corte p/ CIM
(mg/L)
27
Streptococcus dos grupos A, B, C e G Tabela de Pontos de Corte Clínicos do BrCAST - EUCAST, ฀
válida a partir de 01-02-2019
S ч I R > AIT S ш I R < AIT
Doripenem
Ertapenem Nota
1
Nota
1
Nota
1
Nota
A
Nota
A
Nota
A
Imipenem Nota
1
Nota
1
Nota
1
Nota
A
Nota
A
Nota
A
Meropenem Nota
1
Nota
1
Nota
1
Nota
A
Nota
A
Nota
A
Meropenem-vaborbactam
2
Nota
1
Nota
1
Nota
1
Nota
A
Nota
A
Nota
A
S ч I R > AIT S ш I R < AIT
Ciprofloxacino - - - - - -
Levofloxacino
AE 2 - >2 5 17
A - <17
A
Moxifloxacino 0,5 - >0,5 5 19
A - <19
A
Norfloxacino (triagem) NA NA 10 12
B - Nota
B
Ofloxacino - - - -
S ч I R > AIT S ш I R < AIT
Teicoplanina
1 2 - >2 30 15
B - <15
B 1. Isolados não sensíveis são raros ou ainda não foram reportados. A identificação e o teste de sensibilidade em isolados não sensíveis
devem ser confirmados em centro de referência.
Vancomicina
1 2 - >2 5 13
B - <13
B B. Isolados não-selvagens não estavam disponíveis quando do desenvolvimento do método de disco-difusão.
S ч I R > AIT S ш I R < AIT
Azitromicina 0,25
1 0,5 >0,5
1
Nota
A
Nota
A
Nota
A 1/A. Eritromicina pode ser utilizada para determinar a sensibilidade à azitromicina, à claritromicina e à roxitromicina.
Claritromicina 0,25
1 0,5 >0,5
1
Nota
A
Nota
A
Nota
A
Eritromicina 0,25
1 0,5 >0,5
1
15 21
A 18-20 <18
A
Clindamicina
2 0,5 - >0,5 2 17
B - <17
B
Notas
Números para comentários gerais e/ou pontos de corte para CIM.
Letras para comentários sobre disco-difusão.
Notas
Números para comentários gerais e/ou pontos de corte para CIM.
Letras para comentários sobre disco-difusão.
A. O teste de disco-difusão com norfloxacino pode ser utilizado para triagem de resistência às fluoroquinolonas. Ver Nota B.
1/A. A sensibilidade dos estreptococos dos grupos A, B, C e G aos carbapenêmicos é inferida a partir da sensibilidade à benzilpenicilina.
2. Estreptococos dos grupos A, B, C e G não produzem β-lactamase. A adição de um inibidor de β-lactamase não agrega valor clínico.
B. Isolados classificados como sensíveis ao norfloxacino podem ser reportados como sensíveis ao levofloxacino e moxifloxacino. Isolados
classificados como não sensíveis devem ser testados individualmente frente a estes agentes.
Notas
Números para comentários gerais e/ou pontos de corte para CIM.
Letras para comentários sobre disco-difusão.
Notas
Números para comentários gerais e/ou pontos de corte para CIM.
Letras para comentários sobre disco-difusão.
2. A resistência induzível à clindamicina pode ser detectada pelo antagonismo da atividade da clindamicina por agente macrolídeo. Se
antagonismo não for detectado, reportar como testado de acordo com os pontos de corte clínicos. Se detectado, reportar como resistente e
considerar a inclusão do comentário: “A clindamicina ainda pode ser utilizada para tratamento de curta duração ou tratamento de infecções
menos graves de pele e tecidos moles porque é improvável haver desenvolvimento de resistência plena durante tais tratamentos”. A
importância clínica da resistência induzível à clindamicina em tratamento combinado nas infecções graves por Streptococcus pyogenes é
desconhecida.
B. Posicione os discos de eritromicina e clindamicina separados por 12-16 mm (borda a borda) e observe a ocorrência de antagonismo (halo
de inibição em forma de D).
Glicopeptídeos Conteúdo
do disco
(µg)
Conteúdo
do disco
(µg)
Macrolídeos e lincosamidas
Ponto de corte p/ CIM
(mg/L)
Ponto de corte p/ CIM
(mg/L)
Conteúdo
do disco
(µg)
Fluoroquinolonas
Ponto de corte p/
diâmetro do halo (mm)
Ponto de corte p/
diâmetro do halo (mm)
Ponto de corte p/ CIM
(mg/L)
Ponto de corte p/ CIM
(mg/L)
Conteúdo
do disco
(µg)
Carbapenêmicos1
Regras de Especialistas e Tabelas de Resistência Intrínseca.
Ponto de corte p/
diâmetro do halo (mm)
Ponto de corte p/
diâmetro do halo (mm)
28
Streptococcus dos grupos A, B, C e G Tabela de Pontos de Corte Clínicos do BrCAST - EUCAST, ฀
válida a partir de 01-02-2019
S ч I R > AIT S ш I R < AIT
Doxiciclina 1
1 2 >2
1
Nota
A
Nota
A
Nota
A 1/A. Isolados sensíveis à tetraciclina também são sensíveis à doxiciclina e à minociclina, mas algumas cepas resistentes à tetraciclina podem
ser sensíveis à minociclina e/ou à doxiciclina. Um método de determinação da CIM deve ser utilizado para testar a sensibilidade à doxiciclina
em isolados resistentes à tetraciclina, caso necessário.
Minociclina 0,5
1 1 >1
1
30 23
A 20-22 <20
A 2. Isolados não sensíveis são raros ou ainda não foram reportados. A identificação e o teste de sensibilidade em isolados não sensíveis
devem ser confirmados em centro de referência.
Tetraciclina 1
1 2 >2
1
30 23
A 20-22 <20
A 3. Para determinação da CIM de tigeciclina por microdiluição, o meio deve ser preparado fresco no dia do uso.
Tigeciclina
2
0,125
3 - >0,125
3
15 19 - <19
S ч I R > AIT S ш I R < AIT
Linezolida
1
2 4 >4 10 19 16-18 <16
1. Isolados não sensíveis são raros ou ainda não foram reportados. A identificação e o teste de sensibilidade em isolados não sensíveis
devem ser confirmados em centro de referência.
Tedizolida
1
0,5
2 - >0,5 Nota
A
Nota
A
Nota
A 2. Isolados sensíveis à linezolida podem ser considerados sensíveis à tedizolida.
A. Isolados sensíveis à linezolida podem ser considerados sensíveis à tedizolida. Para isolados resistentes à linezolida, realizar um método de
determinação da CIM.
S ч I R > AIT S ш I R < AIT
Cloranfenicol 8 - >8 30 19 - <19 1. Isolados não sensíveis são raros ou ainda não foram reportados. A identificação e o teste de sensibilidade em isolados não sensíveis
devem ser confirmados em centro de referência.
Daptomicina
1
1
2 - >1
2
Nota
A
Nota
A
Nota
A
2.Para determinação da CIM de daptomicina o meio deve ser suplementado com Ca
++
para uma concentração final de 50 mg/L para o método
da microdiluição em caldo. A diluição em ágar não está validada. Siga as instruções do fabricante caso utilize um sistema comercial.
Ácido fusídico
IE IE IE IE IE IE
3. Sulfametoxazol-trimetoprima na proporção 19:1. Os pontos de corte de CIM estão expressos como concentração de trimetoprim.
Nitrofurantoína (apenas em infecção do trato
urinário não complicada), Streptococcus agalactiae
(Estreptococo do grupo B)
64 - >64 100 15 - <15 A. Utilizar um método para determinar a CIM.
Rifampicina 0,06 0,12-0,5 >0,5 5 21 15-20 <15
Sulfametoxazol-trimetoprima
3 1 2 >2 23,75-1,25 18 15-17 <15
Notas
Números para comentários gerais e/ou pontos de corte para CIM.
Letras para comentários sobre disco-difusão.
Notas
Números para comentários gerais e/ou pontos de corte para CIM.
Letras para comentários sobre disco-difusão.
Notas
Números para comentários gerais e/ou pontos de corte para CIM.
Letras para comentários sobre disco-difusão.
Agentes Diversos Conteúdo
do disco
(µg)
Tetraciclinas Conteúdo
do disco
(µg)
Oxazolidinonas Conteúdo
do disco
(µg)
Ponto de corte p/ CIM
(mg/L)
Ponto de corte p/ CIM
(mg/L)
Ponto de corte p/ CIM
(mg/L)
Regras de Especialistas e Tabelas de Resistência Intrínseca.
Ponto de corte p/
diâmetro do halo (mm)
Ponto de corte p/
diâmetro do halo (mm)
Ponto de corte p/
diâmetro do halo (mm)
29
Streptococcus pneumoniae Tabela de Pontos de Corte Clínicos do BrCAST - EUCAST, ฀
válida a partir de 01-02-2019
Disco-difusão (Métodos padronizados de disco-difusão EUCAST)
Meio de cultura: Ágar Mueller-Hinton + sangue de cavalo desfibrinado 5% e 20 mg/L β-NAD (MH-F).
Inóculo: McFarland 0,5 a partir do ágar sangue ou McFarland 1,0 a partir do ágar chocolate.
Incubação: 5% CO2, 35±1ºC, 18±2h
Leitura: Salvo orientação contrária, ler as bordas dos halos de inibição do ponto em que não há mais crescimento, visto da parte anterior da
placa, com a tampa removida e luz refletida.
Controle de Qualidade: Streptococcus pneumoniae ATCC 49619. Para agentes não avaliados por tal cepa, ver tabela de CQ do BrCAST-
EUCAST.
S ч I R > AIT S ш I R < AIT
Benzilpenicilina (infecções não meníngeas)
3
0,06
1 0,12-2 >2
1
Nota
A
Nota
A
Nota
A
Benzilpenicilina (meningite) 0,06
1 - >0,06
1
Nota
A
Nota
A
Nota
A
Ampicilina 0,5
1 1-2 >2
1
2 22
A 16-21 <16
A
Ampicilina-sulbactam Nota
1,4
Nota
1,4
Nota
1,4
Nota
A,B
Nota
A,B
Nota
A,B
Amoxicilina iv
Nota
1,4
Nota
1,4
Nota
1,4
Nota
A,B
Nota
A,B
Nota
A,B 2. Os pontos de corte para penicilinas que não sejam "benzilpenicilina (meningite)" se referem exclusivamente a isolados de infecções não-
meníngeas.
Amoxicilina oral 0,5
1
1 >1
1
Nota
A,C
Nota
A,C
Nota
A,C 3. Para pontos de corte e dosagens em pneumonia, ver a tabela de dosagens.
Amoxicilina-ácido clavulânico iv Nota
1,4
Nota
1,4
Nota
1,4
Nota
A,B
Nota
A,B
Nota
A,B
Amoxicilina-ácido clavulânico oral 0,5
1
1 >1
1
Nota
A,C
Nota
A,C
Nota
A,C
Piperacilina-tazobactam Nota
1,4
Nota
1,4
Nota
1,4
Nota
A,B
Nota
A,B
Nota
A,B 4/B. Sensibilidade inferida a partir da ampicilina (CIM ou diâmetro de halo).
Fenoximetilpenicilina Nota1
Nota
1
Nota
1
Nota
A
Nota
A
Nota
A 5. Para fins de teste de sensibilidade, a concentração de ácido clavulânico é fixada em 2 mg/l.
Oxacilina (triagem) NA NA NA 1 20
D - Nota
D C. Determinar a CIM ou inferir sensibilidade a partir do teste de disco-difusão com ampicilina 2 µg usando pontos de corte de S≥22, R <19 mm.
D. Para interpretação do teste de triagem com disco de oxacilina, ver fluxograma abaixo. Para isolados não sensíveis à oxacilina, sempre
determinar a CIM para benzilpenicilina.
S ч I R > AIT S ш I R < AIT
Cefaclor 0,03 0,06-0,5 >0,5 30 Nota
B
Nota
B <28
Cefadroxila - - - - - -
Cefalexina - - - - - -
Cefazolina - - - - - -
Cefepima 1 2 >2 Nota
A
Nota
A
Nota
A
Cefotaxima 0,5 1-2 >2 Nota
A
Nota
A
Nota
A
Ceftarolina 0,25 - >0,25 Nota
A
Nota
A
Nota
A
Ceftriaxona 0,5 1-2 >2 Nota
A
Nota
A
Nota
A
Cefuroxima iv 0,5 1 >1 Nota
A
Nota
A
Nota
A
Cefuroxima oral 0,25 0,5 >0,5 Nota
A
Nota
A
Nota
A
Determinação da CIM: (Microdiluição em caldo de acordo com a padronização ISO 20776-1)
Meio de cultura: Caldo Mueller-Hinton + 5% de sangue lisado de cavalo e 20 mg/L β-NAD (Meio MH-F)
Inóculo: 5 x 105 UFC/mL
Incubação: Painéis selados, ar ambiente, 35±1ºC, 18±2h
Leitura: Salvo orientação contrária, ler a CIM como a menor concentração do antimicrobiano que visualmente inibe por
completo o crescimento bacteriano.
Controle de qualidade: Streptococcus pneumoniae ATCC 49619. Para agentes não avaliados por tal cepa, ver tabela de CQ
do BrCAST-EUCAST.
Penicilinas1,2 Notas
Números para comentários gerais e/ou pontos de corte para CIM.
Letras para comentários sobre disco-difusão.
Cefalosporinas1 Notas
Números para comentários gerais e/ou pontos de corte para CIM.
Letras para comentários sobre disco-difusão.
Conteúdo
do disco
(µg)
Conteúdo
do disco
(µg)
1/A. O teste de triagem com disco de oxacilina 1 µg deve ser utilizado para excluir mecanismos de resistência aos betalactâmicos. Quando o
teste de triagem for negativo (halo de inibição ≥ 20 mm), todos os agentes betalactâmicos para os quais estão disponíveis pontos de corte
clínicos, incluindo aqueles com “Nota”, poderão ser relatados como sensíveis sem testes adicionais. Quando a triagem for positiva (halo de
inibição <20 mm), consultar o fluxograma abaixo para interpretação.
Ponto de corte p/ CIM
(mg/L)
Ponto de corte p/ diâmetro
do halo (mm)
Ponto de corte p/ diâmetro
do halo (mm)
Ponto de corte p/ CIM
(mg/L)
B. O ponto de corte de resistência é confiável para categorizar os isolados, mas a sensibilidade (S ou I) deve ser avaliada pela determinação
da concentração inibitória mínima (CIM).
Regras de Especialistas e Tabelas de Resistência Intrínseca.
3. Para isolados categorizados como intermediários à ampicilina deve ser evitado o tratamento oral com ampicilina, amoxicilina ou amoxicilina-
ácido clavulânico.
1/A. O teste de triagem com disco de oxacilina 1 µg deve ser utilizado para excluir mecanismos de resistência aos betalactâmicos. Quando a
triagem for negativa (halo de inibição ≥ 20 mm), todos os agentes betalactâmicos para os quais estão disponíveis pontos de corte clínicos,
incluindo aqueles com “Nota”, poderão ser relatados como sensíveis sem testes adicionais. Quando a triagem for positiva (halo de inibição <20
mm), consultar o fluxograma abaixo para interpretação.
30
Streptococcus pneumoniae Tabela de Pontos de Corte Clínicos do BrCAST - EUCAST, ฀
válida a partir de 01-02-2019
S ч I R > AIT S ш I R < AIT
Doripenem
1
Ertapenem
2 0,5 - >0,5 Nota
A
Nota
A
Nota
A
Imipenem
2 2 - >2 Nota
A
Nota
A
Nota
A 2. Não testar para meningites (meropenem é o único carbapenêmico usado para meningite).
Meropenem
2
(infecções não meníngeas) 2 - >2 Nota
A
Nota
A
Nota
A 3. Meropenem é o único carbapenêmico utilizado para tratamento de meningite.
Meropenem
3
(meningite) 0,25 - >0,25 Nota
A,B
Nota
A,B
Nota
A,B B. Para uso em meningite determinar a CIM para meropenem.
Meropenem-vaborbactam EI EI EI EI EI EI
S ч I R > AIT S ш I R < AIT
Ciprofloxacino - - - - - - 1. Os pontos de corte para levofloxacino são baseados em doses elevadas. Ver tabela de dosagens.
Levofloxacino
AE 2 - >2 5 16
A - <16
A A. O teste de disco-difusão para norfloxacino pode ser utilizado como triagem para resistência às fluoroquinolonas. Ver Nota B.
Moxifloxacino 0,5 - >0,5 5 22
A - <22
A
Norfloxacino (triagem) NA NA NA 10 10
B - Nota
B
Ofloxacino - - - - - -
S ч I R > AIT S ш I R < AIT
Teicoplanina
1 2 - >2 30 17
A - <17
A 1. Isolados não sensíveis são raros ou ainda não foram reportados. A identificação e o teste de sensibilidade em isolados não sensíveis devem
ser confirmados em centro de referência.
Vancomicina
1 2 - >2 5 16
A - <16
A A. Isolados não-selvagens não estavam disponíveis quando do desenvolvimento do método de disco-difusão.
Carbapenêmicos1 Conteúdo
do disco
(µg)
Glicopeptídeos
Fluoroquinolonas Conteúdo
do disco
(µg)
Notas
Números para comentários gerais e/ou pontos de corte para CIM.
Letras para comentários sobre disco-difusão.
Conteúdo
do disco
(µg)
Notas
Números para comentários gerais e/ou pontos de corte para CIM.
Letras para comentários sobre disco-difusão.
Ponto de corte p/ diâmetro
do halo (mm)
B. Isolados classificados como sensíveis ao norfloxacino podem ser reportados como sensíveis ao levofloxacino e ao moxifloxacino. Isolados
classificados como não sensíveis devem ser testados individualmente frente a estes agentes.
Ponto de corte p/ diâmetro
do halo (mm)
Ponto de corte p/ diâmetro
do halo (mm)
Ponto de corte p/ CIM
(mg/L)
Ponto de corte p/ CIM
(mg/L)
Regras de Especialistas e Tabelas de Resistência Intrínseca.
Ponto de corte p/ CIM
(mg/L)
Notas
Números para comentários gerais e/ou pontos de corte para CIM.
Letras para comentários sobre disco-difusão.
1/A. O teste de triagem com disco de oxacilina 1 µg deve ser utilizado para excluir mecanismos de resistência aos betalactâmicos. Quando a
triagem for negativa (halo de inibição ≥ 20 mm), todos os agentes betalactâmicos para os quais estão disponíveis pontos de corte clínicos,
incluindo aqueles com “Nota”, poderão ser relatados como sensíveis sem testes adicionais. Quando a triagem for positiva (halo de inibição <20
mm), consultar o fluxograma abaixo para interpretação.
31
Streptococcus pneumoniae Tabela de Pontos de Corte Clínicos do BrCAST - EUCAST, ฀
válida a partir de 01-02-2019
S ч I R > AIT S ш I R < AIT
Azitromicina 0,25
1 0,5 >0,5
1
Nota
A
Nota
A
Nota
A 1/A. Eritromicina pode ser utilizada para determinar a sensibilidade à azitromicina, à claritromicina e à roxitromicina.
Claritromicina 0,25
1 0,5 >0,5
1
Nota
A
Nota
A
Nota
A
Eritromicina 0,25
1 0,5 >0,5
1
15 22
A 19-21 <19
A
Clindamicina
2 0,5 - >0,5 2 19
B - <19
B
S ч I R > AIT S ш I R < AIT
Doxiciclina 1
1 2 >2
1
Nota
A
Nota
A
Nota
A
Minociclina 0,5
1 1 >1
1
30 24
A 21-23 <21
A
Tetraciclina 1
1 2 >2
1
30 25
A 22-24 <22
A
Tigeciclina EI EI EI EI EI EI
S ч I R > AIT S ш I R < AIT
Linezolida 2 4 >4 10 22 19-21 <19
Tedizolida EI EI EI - EI EI EI
S ч I R > AIT S ш I R < AIT
Cloranfenicol 8 - >8 30 21 - <21 1. Sulfametoxazol-trimetoprima na proporção 19:1. Os pontos de corte de CIM estão expressos como concentração de trimetoprima.
Daptomicina IE IE IE IE IE IE
Rifampicina 0,06 0,12-0,5 >0,5 5 22 17-21 <17
Sulfametoxazol-trimetoprima
1 1 2 >2 23,75-1,25 13 10-12 <10
Macrolídeos e lincosamidas Conteúdo
do disco
(µg)
2. A resistência induzível à clindamicina pode ser detectada pelo antagonismo da atividade da clindamicina por um macrolídeo. Se
antagonismo não for detectado, reportar como testado de acordo com os pontos de corte clínicos. Se detectado, reporte como resistente.
B. Posicione os discos de eritromicina e clindamicina separados por 12-16 mm (borda a borda) e observe a ocorrência de antagonismo (halo
de inibição em forma de D).
Notas
Números para comentários gerais e/ou pontos de corte para CIM.
Letras para comentários sobre disco-difusão.
Ponto de corte p/ diâmetro
do halo (mm)
Ponto de corte p/ diâmetro
do halo (mm)
Tetraciclinas Conteúdo
do disco
(µg)
Oxazolidinonas Conteúdo
do disco
(µg)
Conteúdo
do disco
(µg)
Notas
Números para comentários gerais e/ou pontos de corte para CIM.
Letras para comentários sobre disco-difusão.
Notas
Números para comentários gerais e/ou pontos de corte para CIM.
Letras para comentários sobre disco-difusão.
Notas
Números para comentários gerais e/ou pontos de corte para CIM.
Letras para comentários sobre disco-difusão.
Agentes Diversos
1/A. Isolados sensíveis à tetraciclina também são sensíveis à doxiciclina e à minociclina, mas algumas cepas resistentes à tetraciclina podem
ser sensíveis à minociclina e/ou à doxiciclina. Um método de determinação da CIM deve ser utilizado para testar a sensibilidade à doxiciclina
em isolados resistentes à tetraciclina, caso necessário.
Regras de Especialistas e Tabelas de Resistência Intrínseca.
Ponto de corte p/ diâmetro
do halo (mm)
Ponto de corte p/ diâmetro
do halo (mm)
Ponto de corte p/ CIM
(mg/L)
Ponto de corte p/ CIM
(mg/L)
Ponto de corte p/ CIM
(mg/L)
Ponto de corte p/ CIM
(mg/L)
32
Streptococcus pneumoniae Tabela de Pontos de Corte Clínicos do BrCAST - EUCAST, ฀
válida a partir de 01-02-2019
* Em meningite, confirmar o resultado determinando a CIM para os agentes considerados para uso clínico.
Triagem de resistência aos betalactâmicos em S. pneumoniae
Regras de Especialistas e Tabelas de Resistência Intrínseca.
Disco-difusão com disco de oxacilina 1 µg
Diâmetro do halo ≥ 20 mm
Exclui todos os mecanismos de resistência aos betalactâmicos
Diâmetro do halo < 20 mm
Mecanismo de resistência a betalactâmicos detectado
Reportar como sensível (S) a todos os betalactâmicos para os quais os
pontos de corte clínicos estão disponíveis, incluindo aqueles com "Nota",
exceto para cefaclor, o qual, se reportado, deve ser reportado como
"sensível, aumentando exposição" (I).
Benzilpenicilina
(meningite)
e
fenoximetilpenicilina
(todas as indicações)
Benzilpenicilina
(infecções não meníngeas)
Ampicilina, amoxicilina e piperacilina
(com e sem inibidor de
betalactamase), cefepima, cefotaxima,
ceftarolina, ceftobiprole e ceftriaxona
Outros agentes
betalactâmicos
Reportar resistente (R) Determinar a CIM e
interpretar de acordo com os
pontos de corte clínicos
Reportar sensível (S)*
Diâmetro do halo
de oxacilina
≥ 8 mm
Para cefepima, cefotaxima, ceftarolina,
ceftobiprole e ceftriaxona determinar a CIM e
interpretar de acordo com os pontos de corte
clínicos.
Determinar a CIM e
interpretar de acordo com
os pontos de corte clínicos
Para ampicilina, amoxicilina e piperacilina
(sem e com inibidor) intravenosas inferir a
sensibilidade por meio da ampicilina
Para amoxicilina oral (sem e com
inibidor) ver recomendações de
ponto de corte
Diâmetro do halo
de oxacilina
< 8 mm
33
Streptococcus do Grupo Viridans Tabela de Pontos de Corte Clínicos do BrCAST - EUCAST, ฀
válida a partir de 01-02-2019
Disco-difusão (método de disco-difusão padronizado pelo EUCAST)
Meio de cultura: Ágar Mueller-Hinton + sangue desfibrinado de cavalo 5% e 20 mg/L β-NAD (MH-F)
Inóculo: McFarland 0,5
Incubação: 5% CO2, 35±1ºC, 18±2h
Leitura: Salvo orientação contrária, ler as bordas dos halos de inibição do ponto em que não há mais crescimento, visto da parte anterior da
placa, com a tampa removida e luz refletida.
Controle de Qualidade: Streptococcus pneumoniae ATCC 49619. Para agentes não avaliados por tal cepa, ver tabela de CQ do BrCAST-
EUCAST.
S ч I R > AIT S ш I R < AIT
Benzilpenicilina 0,25 0,5-2 >2 1 U 18 12-17 <12
Benzilpenicilina (triagem) NA NA NA 1 U 18
A - Nota
A
Ampicilina 0,5 1-2 >2 2 21 15-20 <15
Ampicilina-sulbactam Nota
1
Nota
1
Nota
1
Nota
A,B
Nota
A,B
Nota
A,B
Amoxicilina 0,5 1-2 >2 Nota
A,B
Nota
A,B
Nota
A,B
Amoxicilina-ácido clavulânico Nota
1
Nota
1
Nota
1
Nota
A,B
Nota
A,B
Nota
A,B
Piperacilina-tazobactam Nota
1
Nota
1
Nota
1
Nota
A,B
Nota
A,B
Nota
A,B
Fenoximetilpenicilina EI EI EI EI EI EI
Oxacilina - - - - - -
S ч I R > AIT S ш I R < AIT
Cefaclor - - - - - -
Cefadroxila - - - - - -
Cefalexina - - - - - -
Cefazolina 0,5 - >0,5 30 IP IP IP
Cefepima 0,5 - >0,5 30 25
A - <25
A
Cefotaxima 0,5 - >0,5 5 23
A - <23
A
Ceftolozana-tazobactam, Grupo S.
anginosus
EI EI EI EI EI EI
Ceftriaxona 0,5 - >0,5 30 27
A - <27
A
Cefuroxima iv 0,5 - >0,5 30 26
A - <26
A
Cefuroxima oral - - - - - -
Penicilinas
Determinação da CIM: (Microdiluição em caldo de acordo com a padronização ISO 20776-1)
Meio de cultura: Caldo Mueller-Hinton + 5% de sangue lisado de cavalo e 20 mg/L β-NAD (Meio MH-F)
Inóculo: 5 x 10
5
UFC/mL
Incubação: Painéis selados, ar ambiente, 35±1ºC, 18±2h
Leitura: Salvo orientação contrária, ler a CIM como a menor concentração do antimicrobiano que visualmente inibe
por completo o crescimento bacteriano.
Controle de qualidade: Streptococcus pneumoniae ATCC 49619. Para agentes não avaliados por tal cepa, ver
tabela de CQ do BrCAST-EUCAST.
Grupo S. anginosus : S. anginosus, S. constellatus, S. intermedius
Este grupo de bactérias inclui várias espécies, que podem ser agrupadas conforme segue:
Grupo S. mitis : S. australis, S. cristatus, S. infantis, S. mitis, S. oligofermentans, S. oralis, S. peroris, S. pseudopneumoniae, S. sinensis
Grupo S. bovis : S. equinus, S. gallolyticus (S. bovis ), S. infantarius
Grupo S. salivarius : S. salivarius, S. vestibularis, S. thermophilus
Grupo S. mutans : S. mutans, S. sobrinus
1/B. Para isolados sensíveis à benzilpenicilina, a sensibilidade pode ser inferida a partir da benzilpenicilina ou da ampicilina. Para isolados
resistentes à benzilpenicilina a sensibilidade deve ser inferida a partir da ampicilina.
A. O disco de benzilpenicilina de 1U pode ser utilizado para triagem de resistência aos β-lactâmicos em estreptococos do grupo viridans.
Isolados categorizados como sensíveis podem ser relatados como sensíveis para antimicrobianos β-lactâmicos para os quais os pontos de corte
clínicos estão listados (incluindo aqueles com "Nota"). Isolados classificados como não sensíveis devem ser testados frente a esses agentes
individualmente.
Em endocardites, consultar diretrizes nacionais ou internacionais sobre os pontos de corte para Streptococcus do Grupo Viridans.
Regras de Especialistas e Tabelas de Resistência Intrínseca.
Grupo S. sanguinis : S. sanguinis, S. parasanguinis, S. gordonii
A. O disco de benzilpenicilina de 1U pode ser utilizado para triagem de resistência aos β-lactâmicos em estreptococos do grupo viridans. Ver
Nota A em penicilinas.
Cefalosporinas Notas
Números para comentários gerais e/ou pontos de corte para CIM.
Letras para comentários sobre disco-difusão.
Conteúdo
do disco
(µg)
Conteúdo
do disco
(µg)
Ponto de corte p/ CIM (mg/L)
Ponto de corte p/ CIM (mg/L)
Ponto de corte p/ diâmetro
do halo (mm)
Ponto de corte p/ diâmetro
do halo (mm)
Notas
Números para comentários gerais e/ou pontos de corte para CIM.
Letras para comentários sobre disco-difusão.
34
Streptococcus do Grupo Viridans Tabela de Pontos de Corte Clínicos do BrCAST - EUCAST, ฀
válida a partir de 01-02-2019
S ч I R > AIT S ш I R < AIT
Doripenem
Ertapenem 0,5 - >0,5 Nota
A
Nota
A
Nota
A
Imipenem 2 - >2 Nota
A
Nota
A
Nota
A
Meropenem 2 - >2 Nota
A
Nota
A
Nota
A
Meropenem-vaborbactam EI EI EI EI
S ч I R > AIT S ш I R < AIT
Ciprofloxacino - - - - - -
Levofloxacino EI EI EI EI EI EI
Moxifloxacino EI EI EI EI EI EI
Norfloxacino - - - - - -
Ofloxacino - - - - - -
S ч I R > AIT S ш I R < AIT
Amicacina Nota
2
Nota
2
Nota
2 - - -
Gentamicina (para triagem de alto
nível de resistência aos
aminoglicosídeos)
Nota
2
Nota
2
Nota
2 - - -
Netilmicina Nota
2
Nota
2
Nota
2 - - - 2. A gentamicina pode ser utilizada para triagem de resistência de alto nível aos aminoglicosídeos.
Tobramicina Nota
2
Nota
2
Nota
2 - - -
S ч I R > AIT S ш I R < AIT
Teicoplanina1 2 - >2 30 16A - <16A 1. Isolados não-sensíveis são raros ou ainda não foram reportados. A identificação e o teste de sensibilidade em isolados não sensíveis devem
ser confirmados em centro de referência.
Vancomicina1 2 - >2 5 15
A - <15
A A. Isolados não-selvagens não estavam disponíveis quando do desenvolvimento do método de disco-difusão.
Aminoglicosídeos1 Conteúdo
do disco
(µg)
Fluoroquinolonas
Conteúdo
do disco
(µg)
Carbapenêmicos
Notas
Números para comentários gerais e/ou pontos de corte para CIM.
Letras para comentários sobre disco-difusão.
Glicopeptídeos Conteúdo
do disco
(µg)
Notas
Números para comentários gerais e/ou pontos de corte para CIM.
Letras para comentários sobre disco-difusão.
1. Os estreptococos do grupo viridans são intrinsecamente resistentes aos aminoglicosídeos e a monoterapia com aminoglicosídeos é
ineficiente. Há probabilidade de haver sinergia entre aminoglicosídeos e penicilinas ou glicopeptídeos contra estreptococos sem resistência
adquirida de alto nível. Todos os testes são utilizados para distinguir entre resistência intrínseca e resistência adquirida de alto nível.
Teste negativo: Isolados com CIM de gentamicina ≤128 mg/L. O isolado tem perfil selvagem para gentamicina e resistência intrínseca de baixo
nível. Para outros aminoglicosídeos, pode não ser este o caso. Sinergismo com penicilinas ou glicopeptídeos pode ser esperado se o isolado
for sensível a esses antimicrobianos.
Teste positivo: Isolados com CIM de gentamicina >128 mg/L. O isolado tem resistência de alto nível à gentamicina e outros aminoglicosídeos,
exceto estreptomicina. Não ocorrerá sinergismo com penicilinas ou glicopeptídeos.
Ponto de corte p/ CIM (mg/L) Ponto de corte p/ diâmetro
do halo (mm)
Notas
Números para comentários gerais e/ou pontos de corte para CIM.
Letras para comentários sobre disco-difusão.
A. O disco de benzilpenicilina de 1U pode ser utilizado para triagem de resistência aos β-lactâmicos em estreptococos do grupo viridans. Ver
Nota A em penicilinas.
Ponto de corte p/ diâmetro
do halo (mm)
Ponto de corte p/ diâmetro
do halo (mm)
Conteúdo
do disco
(µg)
Ponto de corte p/ CIM (mg/L)
Ponto de corte p/ CIM (mg/L)
Ponto de corte p/ CIM (mg/L) Notas
Números para comentários gerais e/ou pontos de corte para CIM.
Letras para comentários sobre disco-difusão.
Ponto de corte p/ diâmetro
do halo (mm)
Regras de Especialistas e Tabelas de Resistência Intrínseca.
35
Streptococcus do Grupo Viridans Tabela de Pontos de Corte Clínicos do BrCAST - EUCAST, ฀
válida a partir de 01-02-2019
S ч I R > AIT S ш I R < AIT
Azitromicina EI EI EI EI EI EI
Claritromicina EI EI EI EI EI EI
Eritromicina EI EI EI 15 EI EI EI
Clindamicina
1 0,5 - >0,5 2 19
A - <19
A
S ч I R > AIT S ш I R < AIT
Doxiciclina - - - - - -
Minociclina - - - - - -
Tetraciclina - - - - - -
Tigeciclina EI EI EI EI EI EI
S ч I R > ATU S ш I R < ATU
Linezolida - - - - - -
Tedizolida, Grupo S . anginosus 0,25 - >0,25 Nota
A
Nota
A
Nota
A A. Utilizar um método de determinação da CIM.
S ч I R > AIT S ш I R < AIT
Cloranfenicol - - - - - -
Daptomicina - - - - - -
Nitrofurantoína (apenas ITU não
complicada)
- - - - - -
Sulfametoxazol-trimetoprim - - - - - -
Macrolídeos e lincosamidas Ponto de corte p/ diâmetro
do halo (mm)
Conteúdo
do disco
(µg)
Regras de Especialistas e Tabelas de Resistência Intrínseca.
Ponto de corte p/ diâmetro
do halo (mm)
Ponto de corte p/ CIM (mg/L)
Notas
Números para comentários gerais e/ou pontos de corte para CIM.
Letras para comentários sobre disco-difusão.
Notas
Números para comentários gerais e/ou pontos de corte para CIM.
Letras para comentários sobre disco-difusão.
Conteúdo
do disco
(µg)
Ponto de corte p/ CIM (mg/L)
Ponto de corte p/ CIM (mg/L)
Agentes Diversos Conteúdo
do disco
(µg)
Tetraciclinas
Oxazolidinonas Conteúdo
do disco
(µg)
Ponto de corte p/ CIM (mg/L)
Notas
Números para comentários gerais e/ou pontos de corte para CIM.
Letras para comentários sobre disco-difusão.
Notas
Números para comentários gerais e/ou pontos de corte para CIM.
Letras para comentários sobre disco-difusão.
Ponto de corte p/ diâmetro
do halo (mm)
Ponto de corte p/ diâmetro
do halo (mm)
1. A resistência induzível à clindamicina pode ser detectada pelo antagonismo da atividade da clindamicina por um macrolídeo. Se antagonismo
não for detectado, reportar como testado de acordo com os pontos de corte clínicos. Se detectado, reportar como resistente.
A. Posicionar os discos de eritromicina e clindamicina separados por 12-16 mm (borda a borda) e observar a ocorrência de antagonismo (halo
de inibição em forma de D).
36
Disco-difusão (método de disco-difusão padronizado pelo EUCAST)
Meio de cultura: Ágar Mueller-Hinton + 5% de sangue desfibrinado de cavalo e 20 mg/L β-NAD (MH-F)
Inóculo: McFarland 0,5
Incubação: 5% CO2, 35±1ºC, 18±2h
Leitura: Salvo orientação contrária, ler as bordas dos halos de inibição do ponto em que não há mais crescimento, visto da parte anterior da
placa, com a tampa removida e luz refletida.
Controle de qualidade: Haemophilus influenzae ATCC 49766. Para agentes não avaliados por tal cepa e para o controle do componente
inibidor dos discos de combinação betalactâmico-inibidor de betalactamase, ver tabela de CQ do BrCAST-EUCAST.
S ч I R > AIT S ш I R < AIT
Benzilpenicilina (triagem)1 NA NA NA 1 U 12A - NoteA
Ampicilina2 1 - >1 2 16A - <16A
16-19B
Ampicilina-sulbactam 13,4 - >13,4 10-10 NotaA,C
NotaA,C
NotaA,C
Amoxicilina iv2 2 - >2 NotaA,D
NotaA,D
NotaA,D
Amoxicilina oral2,AE 2 - >2 NotaA,D
NotaA,D
NotaA,D
Amoxicilina-ácido clavulânico iv 25 - >25 2-1 15A - <15A
14-16B
Amoxicilina-ácido clavulânico oralAE
25 - >25 2-1 15A - <15A
14-16B
Piperacilina-tazobactam 0,256 - 0,256
27A - <27A
24-27B
S ч I R > AIT S ш I R < AIT
Cefaclor - - - - - -
Cefadroxila - - - - - -
Cefalexina - - - - - -
Cefazolina - - - - - -
Cefepima 0,25 - >0,25 30 28A,B - <28A,B
28-33B B. AIT relevante apenas se a triagem com disco de benzilpenicilina 1 unidade for positiva (halo de inibição <12 mm).
Cefixima 0,125 - >0,125 5 26A - <26A
Cefotaxima 0,125 - >0,125 5 27A - <27A
25-27B
Cefpodoxima 0,25 - >0,25 10 26A - <26A,B
26-29B
Ceftarolina 0,03 - >0,03 NotaA
NotaA
NotaA
Ceftazidima - - - - - -
Ceftazidima-avibactam - - - - - - -
Ceftriaxona 0,125 - >0,125 30 32A - <32A
31-33B
Cefuroxima iv 1 2 >2 22 30 27A
25-26A
<25A
25-27B
Cefuroxima oral 0,125 0,25-1 >1 30 NotaB
NotaB <27 25-27B
1/A. O teste de triagem com disco de oxacilina 1µg deve ser utilizado para excluir os mecanismos de resistência aos β-lactâmicos. Quando a
triagem for negativa (halo de inibição ≥ 12 mm), todos os agentes β-lactâmicos para os quais estão disponíveis pontos de corte clínicos,
incluindo aqueles com “Nota”, poderão ser relatados como sensíveis sem testes adicionais. Quando a triagem for positiva (halo de inibição
<12 mm), consultar o fluxograma abaixo para interpretação.
1/A. O teste de triagem com disco de oxacilina 1µg deve ser utilizado para excluir os mecanismos de resistência aos β-lactâmicos. Quando a
triagem for negativa (halo de inibição ≥ 12 mm), todos os agentes β-lactâmicos para os quais estão disponíveis pontos de corte clínicos,
incluindo aqueles com “Nota”, poderão ser relatados como sensíveis sem testes adicionais. Quando a triagem for positiva (halo de inibição
<12 mm), consultar o fluxograma abaixo para interpretação.
1. Os pontos de corte são baseados em administração intravenosa.
2. Isolados betalactamase positivos podem ser reportados como resistentes à ampicilina, amoxicilina e piperacilina sem inibidores. Testes
contendo cefalosporina cromogênica podem ser usados para detectar β-lactamase.
3. Para fins de testes de sensibilidade, a concentração de sulbactam é fixada em 4 mg/L.
4/C. A sensibilidade pode ser inferida a partir da amoxicilina-ácido clavulânico.
5. Para fins de testes de sensibilidade, a concentração de ácido clavulânico é fixada em 2 mg/L.
6. Para fins de testes de sensibilidade, a concentração de tazobactam é fixada em 4 mg/L.
6/D. Sensibilidade inferida a partir ampicilina ou amoxicilina.
B. AIT relevante apenas se a triagem com disco de benzilpenicilina 1 unidade for positiva (halo de inibição <12 mm).
D. Sensibilidade inferida a partir da ampicilina.
Ponto de corte p/ CIM (mg/L) Ponto de corte p/ diâmetro do
halo (mm)
Notas
Números para comentários gerais e/ou pontos de corte para CIM.
Letras para comentários sobre disco-difusão.
B. O ponto de corte de resistência é confiável para categorizar os isolados, mas a sensibilidade (S ou I) deve ser avaliada pela determinação
da concentração inibitória mínima (CIM).
Determinação da CIM: (Microdiluição em caldo de acordo com a padronização ISO 20776-1)
Meio de cultura: Caldo Mueller-Hinton + 5% de sangue lisado de cavalo e 20 mg/L β-NAD (Meio MH-F)
Inóculo: 5 x 105
UFC/mL
Incubação: Painéis selados, ar ambiente, 35±1ºC, 18±2h
Leitura: Salvo orientação contrária, ler a CIM como a menor concentração do antimicrobiano que visualmente inibe por
completo o crescimento bacteriano.
Controle de qualidade: Haemophilus influenzae ATCC 49766. Para agentes não avaliados por tal cepa e o para controle do
componente inibidor da combinação betalactâmico-inibidor de betalactamase, ver tabela de CQ do BrCAST-EUCAST.
Haemophilus influenzae
Penicilinas1
Os pontos de corte do EUCAST foram determinados apenas para H. influenzae . Informações clínicas sobre outras espécies de Haemophilus são escassas. As distribuições de CIM para H. parainfluenzae são similares
àquelas de H. influenzae . Na ausência de pontos de corte específicos, os pontos de corte de CIM para H. influenzae podem ser aplicados a H. parainfluenzae .
Ponto de corte p/ CIM (mg/L) Conteúdo
do disco
(µg)
Notas
Números para comentários gerais e/ou pontos de corte para CIM.
Letras para comentários sobre disco-difusão.
Ponto de corte p/ diâmetro do
halo (mm)
Tabela de Pontos de Corte Clínicos do BrCAST - EUCAST, ฀
válida a partir de 01-02-2019
Cefalosporinas1 Conteúdo
do disco
(µg)
Regras de Especialistas e Tabelas de Resistência Intrínseca.
37
Tabela de Pontos de Corte Clínicos do BrCAST - EUCAST, ฀
válida a partir de 01-02-2019
S ч I R > AIT S ш I R < AIT
Doripenem1
Ertapenem2 0,5 - >0,5 10 23A - <23A
Imipenem2 2 - >2 10 20A,B - <20A,B
6-19B
Meropenem2
(infecções não meníngeas) 2 - >2 10 20A - <20A
Meropenem3
(meningite) 0,25 - >0,25 NotaB
NotaB
NotaB
Meropenem-vaborbactam EI EI EI EI EI EI
S ч I R > AIT S ш I R < AIT
Ciprofloxacino 0,06 - >0,06 5 30A - <30A
Levofloxacino 0,06 - >0,06 5 30A - <30A
Moxifloxacino 0,125 - >0,125 5 28A - <28A
Ácido nalidíxico (triagem) NA NA NA 30 23B - NotaB
Norfloxacino (apenas em infecção do trato
urinário não complicada)
- - - - - -
Ofloxacino 0,06 - >0,06 5 30A - <30A
S ч I R > AIT S ш I R < AIT
Azitromicina Nota1
Nota1
Nota1
NotaA
NotaA
NotaA
Claritromicina Nota1
Nota1
Nota1
NotaA
NotaA
NotaA
S ч I R > AIT S ш I R < AIT
Doxiciclina 11 2 >21
NotaA
NotaA
NotaA
Minociclina 11 2 >21 30 24A 21-23 <21A
Tetraciclina 11 2 >21 30 25A 22-24 <22A
Tigeciclina EI EI EI EI EI EI
S ч I R > AIT S ш I R < AIT
Cloranfenicol 2 - >2 30 28 - <28 1. Sulfametoxazol -trimetoprima na proporção 19:1. Os pontos de corte estão expressos como concentração de trimetoprim.
Rifampicina (apenas profilaxia) 1 - >1 5 18 - <18
Sulfametoxazol-trimetoprim1 0,5 1 >1 23,75-1,25 23 20-22 <20
Conteúdo
do disco
(µg)
Ponto de corte p/ CIM (mg/L) Ponto de corte p/ diâmetro do
halo (mm)
Notas
Números para comentários gerais e/ou pontos de corte para CIM.
Letras para comentários sobre disco-difusão.
Haemophilus influenzae
Conteúdo
do disco
(µg)
Macrolídeos
1
Fluoroquinolonas
Carbapenêmicos1
Ponto de corte p/ CIM (mg/L) Conteúdo
do disco
(µg)
Ponto de corte p/ CIM (mg/L)
Ponto de corte p/ diâmetro do
halo (mm)
Ponto de corte p/ diâmetro do
halo (mm)
Regras de Especialistas e Tabelas de Resistência Intrínseca.
Agentes Diversos
Conteúdo
do disco
(µg)
Conteúdo
do disco
(µg)
Tetraciclinas Ponto de corte p/ CIM (mg/L)
Ponto de corte p/ CIM (mg/L)
Ponto de corte p/ diâmetro do
halo (mm)
Ponto de corte p/ diâmetro do
halo (mm)
Notas
Números para comentários gerais e/ou pontos de corte para CIM.
Letras para comentários sobre disco-difusão.
1/A. Isolados sensíveis à tetraciclina também são sensíveis à doxiciclina e à minociclina, mas alguns isolados resistentes à tetraciclina podem
ser sensíveis à minociclina e/ou à doxiciclina. Se necessário, deve ser usado um método de CIM para testar a sensibilidade à doxiciclina em
isolados resistentes à tetraciclina.
Notas
Números para comentários gerais e/ou pontos de corte para CIM.
Letras para comentários sobre disco-difusão.
1/A. As evidências clínicas sobre a eficácia de macrolídeos em infecções respiratórias por H. influenzae são conflitantes devido à alta taxa de
cura espontânea. Havendo a necessidade de testar algum macrolídeo contra essa espécie, os pontos de corte epidemiológicos (ECOFFs)
devem ser usados para detectar cepas com resistência adquirida. Os ECOFFs para cada agente são: azitromicina 4 mg/L e claritromicina 32
mg/L.
Notas
Números para comentários gerais e/ou pontos de corte para CIM.
Letras para comentários sobre disco-difusão.
A. O teste de disco-difusão com ácido nalidíxico pode ser usado como triagem para resistência às fluorquinolonas. Ver Nota B.
B. Isolados categorizados como sensíveis ao ácido nalidíxico podem ser relatados como sensíveis ao levofloxacino, ao ciprofloxacino, ao
moxifloxacino e ao ofloxacino. Isolados categorizados como não sensíveis podem apresentar resistência às fluoroquinolonas e devem ser
testados contra os agentes específicos.
Notas
Números para comentários gerais e/ou pontos de corte para CIM.
Letras para comentários sobre disco-difusão.
1/A. O teste de triagem com disco de oxacilina 1µg deve ser utilizado para excluir os mecanismos de resistência aos β-lactâmicos. Quando a
triagem for negativa (halo de inibição ≥ 12 mm), todos os agentes β-lactâmicos para os quais estão disponíveis pontos de corte clínicos,
incluindo aqueles com “Nota”, poderão ser relatados como sensíveis sem testes adicionais. Quando a triagem for positiva (halo de inibição
<12 mm), consultar o fluxograma abaixo para interpretação.
2. Não aplicável a meningites (meropenem é o único carbapenêmico usado para meningites).
3. Meropenem é o único carbapenêmico utilizado para meningites.
B. AIT relevante apenas se a triagem com disco de benzilpenicilina 1 unidade for positiva (halo de inibição <12 mm).
C. Para uso em meningites, determinar a CIM de meropenem.
38
Tabela de Pontos de Corte Clínicos do BrCAST - EUCAST, ฀
válida a partir de 01-02-2019
Haemophilus influenzae
* Para cefepima, cefpodoxima e imipenem, se resistente tanto na triagem quanto em agentes da disco-difusão, relatar resistência. Se resistente no teste de triagem e sensível em agentes de disco-difusão,
determinar a CIM do agente e interpretar de acordo com os pontos de corte.
Regras de Especialistas e Tabelas de Resistência Intrínseca.
Triagem de resistência aos betalactâmicos em H. influenzae
Disco-difusão com disco de benzilpenicilina 1 U
Sempre testar em paralelo com outros agentes betalactâmicos
Reportar como sensível (S) a todos os
betalactâmicos para os quais os pontos de
corte clínicos estão disponíveis, incluindo
aqueles com "Nota".
Ampicilina, amoxicilina e
piperacilina (sem inibidor de
betalactamase)
Outros agentes betalactâmicos,
exceto cefepima, cefpodoxima e
imipenem *
Reportar resistente (R)
Relatar a sensibilidade de acordo com os pontos de
corte clínicos para o agente em questão.
Diâmetro do halo ≥ 12 mm
Exclui todos os mecanismos de resistência aos
betalactâmicos
Diâmetro do halo < 12 mm
Betalactamase e/ou mutações na PBP3
Betalactamase
negativa
Betalactamase
positiva
39
Moraxella catarrhalis Tabela de Pontos de Corte Clínicos do BrCAST - EUCAST, ฀
válida a partir de 01-02-2019
Disco-difusão (Métodos padronizados de disco-difusão EUCAST)
Meio de cultura: Ágar Mueller-Hinton + sangue desfibrinado de cavalo 5% e 20 mg/L β-NAD (MH-F)
Inóculo: McFarland 0,5
Incubação: 5% CO2, 35±1ºC, 18±2h
Leitura: Salvo orientação contrária, ler as bordas dos halos de inibição do ponto em que não há mais crescimento, visto da parte anterior da
placa, com a tampa removida e luz refletida.
Controle de Qualidade: Haemophilus influenzae ATCC 49766. Para agentes não avaliados por tal cepa e para o controle do componente
inibidor dos discos de combinação betalactâmico-inibidor de betalactamase, ver tabela de CQ do BrCAST- EUCAST.
S ч I R > AIT S ш I R < AIT
Ampicilina -
1 - -
1 - - -
Ampicilina-sulbactam 1
2,3 - >1
2,3
Nota
A
Nota
A
Nota
A
Amoxicilina -
1 - -
1 - - -
Amoxicilina-ácido clavulânico 1
4 - >1
4
2-1 19 - <19 2. Para fins de testes de sensibilidade, a concentração de sulbactam é fixada em 4 mg/L.
Piperacilina-tazobactam Nota
3
Nota
3
Nota
3
Nota
A
Nota
A
Nota
A 3/A. A sensibilidade pode ser inferida a partir da amoxicilina-ácido clavulânico.
4. Para fins de testes de sensibilidade, a concentração de ácido clavulânico é fixada em 2 mg/L.
S ч I R > AIT S ш I R < AIT
Cefaclor - - - - - -
Cefadroxila - - - - - -
Cefalexina - - - - - -
Cefazolina - - - - - -
Cefepima 4 - >4 30 20 - <20
Cefixima 0,5 1 >1 5 21 18-20 <18
Cefotaxima 1 2 >2 5 20 17-19 <17
Ceftarolina EI EI EI EI EI EI
Ceftazidima - - - - - -
Ceftriaxona 1 2 >2 30 24 21-23 <21
Cefuroxima iv 4 8 >8 30 21 18-20 <18
Cefuroxima oral 0,125 0,25-4 >4 30 Nota
A
Nota
A <21
S ч I R > AIT S ш I R < AIT
Doripenem1
Ertapenem
1 0,5 - >0,5 10 29 - <29
Imipenem1 2 - >2 10 29 - <29
Meropenem
1 2 - >2 10 33 - <33
Meropenem-vaborbactam EI EI EI EI EI EI
Determinação da CIM: (Microdiluição em caldo de acordo com a padronização ISO 20776-1)
Meio de cultura: Caldo Mueller-Hinton + 5% de sangue lisado de cavalo e 20 mg/L β-NAD (Meio MH-F)
Inóculo: 5 x 10
5
UFC/mL
Incubação: Painéis selados, ar ambiente, 35±1ºC, 18±2h
Leitura: Salvo orientação contrária, ler a CIM como a menor concentração do antimicrobiano que visualmente inibe por
completo o crescimento bacteriano.
Controle de qualidade: Haemophilus influenzae ATCC 49766. Para agentes não avaliados por tal cepa e para o controle do
componente inibidor da combinação betalactâmico-inibidor de betalactamase, ver tabela de CQ do BrCAST-EUCAST.
Notas
Números para comentários gerais e/ou pontos de corte para CIM.
Letras para comentários sobre disco-difusão.
1. Isolados não sensíveis são raros ou ainda não foram reportados. A identificação e o teste de sensibilidade em isolados não sensíveis
devem ser confirmados em centro de referência.
Notas
Números para comentários gerais e/ou pontos de corte para CIM.
Letras para comentários sobre disco-difusão.
Conteúdo
do disco
(µg)
Cefalosporinas
1. A maioria dos isolados de M. catarrhalis produzem β-lactamase, embora a produção de β-lactamase seja lenta e possa gerar resultados
fracamente positivos nos testes in vitro . Produtores de β-lactamase devem ser reportados como resistentes à penicilinas e às
aminopenicilinas sem inibidores.
Ponto de corte p/ CIM (mg/L)
Ponto de corte p/ CIM (mg/L)
Ponto de corte p/ diâmetro
do halo (mm)
Ponto de corte p/ diâmetro
do halo (mm)
Carbapenêmicos Conteúdo
do disco
(µg)
Regras de Especialistas e Tabelas de Resistência Intrínseca.
Ponto de corte p/ diâmetro
do halo (mm)
Ponto de corte p/ CIM (mg/L)
A. O ponto de corte de resistência é confiável para categorizar os isolados como resistentes, mas a sensibilidade (S ou I) deve ser avaliada
pela determinação da concentração inibitória mínima (CIM).
Penicilinas Notas
Números para comentários gerais e/ou pontos de corte para CIM.
Letras para comentários sobre disco-difusão.
Conteúdo
do disco
(µg)
40
Moraxella catarrhalis Tabela de Pontos de Corte Clínicos do BrCAST - EUCAST, ฀
válida a partir de 01-02-2019
S ч I R > AIT S ш I R < AIT
Ciprofloxacino 0,125 - >0,125 5 31
A - <31
A
Levofloxacino 0,125 - >0,125 5 29
A - <29
A
Moxifloxacino 0,25 - >0,25 5 26
A - <26
A
Ácido Nalidíxico (triagem) NA NA NA 30 23
B - Nota
B
Norfloxacino (apenas em infecção do trato
urinário não complicada)
- - - - - -
Ofloxacino 0,25 - >0,25 5 28
A - <28
A
S ч I R > AIT S ш I R < AIT
Azitromicina 0,25
1 0,5 >0,5
1
Nota
A
Nota
A
Nota
A
Claritromicina 0,25
1 0,5 >0,5
1
Nota
A
Nota
A
Nota
A
Eritromicina 0,25 0,5 >0,5 15 23
A 20-22 <20
A
S ч I R > AIT S ш I R < AIT
Doxiciclina 1
1 2 >2
1
Nota
A
Nota
A
Nota
A
Minociclina 1
1 2 >2
1
30 25
A 22-24 <22
A
Tetraciclina 1 2 >2
1
30 28
A 25-27 <25
A
Tigeciclina EI EI EI EI EI EI
S ч I R > AIT S ш I R < AIT
Cloranfenicol 2
1 - >2
1
30 30
A - <30
A 1/A. Pontos de corte referentes ao uso tópico de cloranfenicol.
Sulfametoxazol-trimetoprim
2 0,5 1 >1 23,75-1,25 18 15-17 <15 2. Sulfametoxazol-trimetoprima na proporção 19:1. Os pontos de corte estão expressos de acordo com a concentração de trimetoprima.
Notas
Números para comentários gerais e/ou pontos de corte para CIM.
Letras para comentários sobre disco-difusão.
Notas
Números para comentários gerais e/ou pontos de corte para CIM.
Letras para comentários sobre disco-difusão.
Notas
Números para comentários gerais e/ou pontos de corte para CIM.
Letras para comentários sobre disco-difusão.
1/A. Eritromicina pode ser utilizada para determinar a sensibilidade à azitromicina, à claritromicina e à roxitromicina.
1/A. Isolados sensíveis à tetraciclina também são sensíveis à doxiciclina e à minociclina, mas alguns isolados resistentes à tetraciclina podem
ser sensíveis à minociclina e/ou à doxiciclina. Se necessário, deve ser usado um método de CIM para testar a sensibilidade à doxiciclina em
isolados resistentes à tetraciclina.
Notas
Números para comentários gerais e/ou pontos de corte para CIM.
Letras para comentários sobre disco-difusão.
Agentes Diversos
Conteúdo
do disco
(µg)
Conteúdo
do disco
(µg)
Tetraciclinas
Macrolídeos
Conteúdo
do disco
(µg)
Ponto de corte p/ CIM (mg/L)
Ponto de corte p/ CIM (mg/L)
Ponto de corte p/ CIM (mg/L)
Ponto de corte p/ diâmetro
do halo (mm)
Ponto de corte p/ diâmetro
do halo (mm)
Ponto de corte p/ diâmetro
do halo (mm)
A. O teste de disco-difusão com ácido nalidíxico pode ser utilizado para triagem de resistência às fluoroquinolonas. Ver Nota B.
B. Isolados categorizados como sensíveis ao ácido nalidíxico podem ser relatados como sensíveis ao levofloxacino, ciprofloxacino,
moxifloxacino e ofloxacino. Isolados categorizados como não sensíveis podem apresentar resistência às fluoroquinolonas e devem ser
testados contra os agentes específicos.
Regras de Especialistas e Tabelas de Resistência Intrínseca.
Ponto de corte p/ diâmetro
do halo (mm)
Fluoroquinolonas Conteúdo
do disco
(µg)
Ponto de corte p/ CIM (mg/L)
41
Neisseria gonorrhoeae Tabela de Pontos de Corte Clínicos do BrCAST - EUCAST, ฀
válida a partir de 01-02-2019
Os critérios de disco-difusão para o teste de sensibilidade de Neisseria gonorrhoeae ainda não foram definidos e um método de determinação da CIM deve ser utilizado.
Caso um sistema comercial seja utilizado, seguir as instruções do fabricante. Laboratórios com poucos isolados devem preferencialmente enviá-los a um laboratório de
referência para teste.
S ч I R > AIT
Benzilpenicilina 0,06 1 0,12-1 >1
Ampicilina
1
Nota
1
Nota
1
Nota
1
Ampicilina-sulbactam EI EI EI
Amoxicilina
1
Nota
1
Nota
1
Nota
1
Amoxicilina-ácido clavulânico Nota
1
Nota
1
Nota
1
S ч I R >
Cefotaxima 0,125 - >0,125
Ceftriaxona 0,125 - >0,125
S ч I R > AIT
Doripenem
Ertapenem EI EI EI
Imipenem EI EI EI
Meropenem EI EI EI
Meropenem-vaborbactam EI EI EI
Notas
Números para comentários gerais e/ou pontos de corte para CIM.
Penicilinas1
Carbapenêmicos
Notas
Números para comentários gerais e/ou pontos de corte para CIM.
Cefalosporinas
1. Sempre testar para β-lactamase. Se positivo, relatar como resistente à benzilpenicilina, à ampicilina e à amoxicilina. Um teste com cefalosporina cromogênica pode ser utilizado
para detecção de betalactamases. A sensibilidade à ampicilina e à amoxicilina dos isolados β-lactamase negativos pode ser deduzida a partir da benzilpenicilina.
Notas
Números para comentários gerais e/ou pontos de corte para CIM.
Para comentários sobre dosagens relacionadas aos pontos de corte, ver tabela de dosagens.
Ponto de corte p/ CIM
(mg/L)
Ponto de corte p/ CIM
(mg/L)
Ponto de corte p/ CIM
(mg/L)
Regras de Especialistas e Tabelas de Resistência Intrínseca.
42
Neisseria gonorrhoeae Tabela de Pontos de Corte Clínicos do BrCAST - EUCAST, ฀
válida a partir de 01-02-2019
S ч I R > AIT
Ciprofloxacino 0,03 0,06 >0,06
Levofloxacino EI EI EI
Moxifloxacino EI EI EI
Ácido nalidíxico (triagem) NA NA NA
Norfloxacino (apenas em infecção do trato urinário não
complicada)
- - -
Ofloxacino 0,125 0,25 >0,25
S ч I R > AIT
Azitromicina Nota
1
Nota
1
Nota
1 1. A azitromicina é sempre usada em conjunto com outro agente efetivo. Para fins de teste, com o objetivo de detectar mecanismos de resistência adquiridos, o ECOFF é de 1 mg/L.
S ч I R > AIT
Doxiciclina EI EI EI
Everaciclina EI EI EI
Minociclina EI EI EI
Tetraciclina 0,5 1 >1
Tigeciclina EI EI EI
S ч I R > AIT
Espectinomicina 64 - >64
Regras de Especialistas e Tabelas de Resistência Intrínseca.
Agentes Diversos
Macrolídeos
Tetraciclinas
Notas
Números para comentários gerais e/ou pontos de corte para CIM.
Notas
Números para comentários gerais e/ou pontos de corte para CIM.
Notas
Números para comentários gerais e/ou pontos de corte para CIM.
Notas
Números para comentários gerais e/ou pontos de corte para CIM.
Ponto de corte p/ CIM
(mg/L)
Ponto de corte p/ CIM
(mg/L)
Ponto de corte p/ CIM
(mg/L)
Fluorquinolonas Ponto de corte p/ CIM
(mg/L)
43
Neisseria meningitidis Tabela de Pontos de Corte Clínicos do BrCAST - EUCAST, ฀
válida a partir de 01-02-2019
Os critérios de disco-difusão para teste de sensibilidade aos antimicrobianos para Neisseria meningitidis ainda não foram definidos e um método para
determinar a CIM deve ser utilizado. Se um método comercial para determinar a CIM for utilizado, seguir as recomendações do fabricante.
S ч I R > AIT
Benzilpenicilina 0,06 0,12-0,25 >0,25
Ampicilina 0,125 0,25-1 >1
Ampicilina-sulbactam EI EI EI
Amoxicilina 0,125 0,25-1 >1
Amoxicilina-ácido clavulânico - - -
S ч I R > AIT
Cefotaxima
1 0,125 - >0,125
Ceftriaxona
1 0,125 - >0,125
S ч I R > AIT
Doripenem
Ertapenem - - -
Imipenem - - -
Meropenem
1
(meningite) 0,25 - >0,25
Meropenem-vaborbactam EI EI EI
S ч I R > AIT
Ciprofloxacino 0,03
1 - >0,03
1 1.Os pontos de corte se aplicam exclusivamente ao uso na profilaxia de doença meningocócica.
Levofloxacino EI EI EI
Moxifloxacino EI EI EI
Notas
Números para comentários gerais e/ou sobre pontos de corte para CIM.
Fluoroquinolonas Ponto de corte p/ CIM
(mg/L)
Notas
Números para comentários gerais e/ou sobre pontos de corte para CIM.
Notas
Números para comentários gerais e/ou sobre pontos de corte para CIM.
1. Isolados não sensíveis são raros ou ainda não foram reportados. A identificação e o teste de sensibilidade em isolados não sensíveis devem ser confirmados em
centro de referência.
Ponto de corte p/ CIM
(mg/L)
Ponto de corte p/ CIM
(mg/L)
Ponto de corte p/ CIM
(mg/L)
Regras de Especialistas e Tabelas de Resistência Intrínseca.
Penicilinas
Cefalosporinas
Carbapenêmicos Notas
Números para comentários gerais e/ou sobre pontos de corte para CIM.
1. Isolados não-sensíveis são raros ou ainda não foram reportados. A identificação e o teste de sensibilidade em isolados não sensíveis devem ser confirmados em
centro de referência.
44
Neisseria meningitidis Tabela de Pontos de Corte Clínicos do BrCAST - EUCAST,
válida a partir de 01-02-2019
S ч I R > AIT
Azitromicina - - -
Claritromicina - - -
Eritromicina - - -
S ч I R > AIT
Eravaciclina EI EI EI
Minociclina 1
1
2
1
>2
1
Tetraciclina 1
1
2
1
>2
1
Tigeciclina EI EI EI
S ч I R > AIT
Cloranfenicol
AE 2 - >2 1. Apenas para profilaxia de meningites (consultar diretrizes nacionais).
Rifampicina
1 0,25 - >0,25
Sulfametoxazol - trimetoprima - - -
Agentes Diversos Notas
Números para comentários gerais e/ou sobre pontos de corte para CIM.
Notas
Números para comentários gerais e/ou sobre pontos de corte para CIM.
Tetraciclinas
Macrolídeos Notas
Números para comentários gerais e/ou sobre pontos de corte para CIM.
Ponto de corte p/ CIM
(mg/L)
Ponto de corte p/ CIM
(mg/L)
Ponto de corte p/ CIM
(mg/L)
Regras de Especialistas e Tabelas de Resistência Intrínseca.
1. A tetraciclina pode ser utilizada para predizer a sensibilidade à minociclina, para uso profilático contra infecções por N. meningitidis .
45
Tabela de Pontos de Corte Clínicos do BrCAST - EUCAST, ฀
válida a partir de 01-02-2019
Regras de Especialistas e Tabelas de Resistência Intrínseca.
Os critérios de disco-difusão para teste de sensibilidade aos antimicrobianos para anaeróbios ainda não foram definidos e um
método para determinar a CIM deve ser utilizado. Caso seja utilizado um método comercial para determinar a CIM, seguir as
recomendações do fabricante.
S ч I R > AIT
Benzilpenicilina1 0,25 0,5 >0,5 1. Sensibilidade à ampicilina, à amoxicilina e à piperacilina sem inibidor de β-lactamase pode ser inferida a partir da benzilpenicilina.
Ampicilina1 4 8 >8 2. Para fins de testes de sensibilidade, a concentração de sulbactam é fixada em 4 mg/L.
Ampicilina-sulbactam 42 8 >82 3. Para fins de testes de sensibilidade, a concentração de ácido clavulânico é fixada em 2 mg/L.
Amoxicilina1 4 8 >8 4. Para fins de testes de sensibilidade, a concentração de tazobactam é fixada em 4 mg/L.
Amoxicilina-ácido clavulânico 43 8 >83
Piperacilina-tazobactam 84 16 >164
S ч I R > AIT
Cefotaxima - - -
Cefoxitina EI EI EI
Ceftriaxona - - -
S ч I R > AIT
Doripenem
Ertapenem 0,5 - >0,5
Imipenem 2 4 >4
Meropenem 2 4-8 >8
Meropenem-vaborbactam EI EI EI
Penicilinas
Cefalosporinas
Carbapenêmicos
Anaeróbios gram-positivos
Exceto Clostridioides difficile
Ponto de corte p/ CIM
(mg/L)
Ponto de corte p/ CIM
(mg/L)
Ponto de corte p/ CIM
(mg/L)
Este grupo de bactérias inclui muitos gêneros. Os anaeróbios gram-positivos mais frequentemente isolados são: Actinomyces, Bifidobacterium, Clostridioides, Clostridium,
Cutibacterium , Eggerthella, Eubacterium, Lactobacillus e Propionibacterium . Este grupo também inclui vários cocos gram-positivos, incluindo Staphylococcus saccharolyticus .
Anaeróbios são mais frequentemente definidos por ausência de crescimento em placas de cultura incubadas em atmosfera enriquecida com CO2, mas muitos bacilos gram-positivos,
não-formadores de esporos, tais como Actinomyces spp., muitos C. acnes e alguns Bifidobacterium spp. podem crescer em incubação com CO2 e ser suficientemente tolerantes para
crescer pobremente em ar ambiente, porém continuam a ser considerados bactérias anaeróbicas. Várias espécies de Clostridium , incluindo C. carnis , C. histolyticum e C. tertium ,
podem crescer, mas não esporulam quando expostas ao ar ambiente. Para todas essas espécies, o teste de sensibilidade deve ser realizado em anaerobiose.
Notas
Números para comentários gerais e/ou pontos de corte para CIM.
Notas
Números para comentários gerais e/ou pontos de corte para CIM.
Notas
Números para comentários gerais e/ou pontos de corte para CIM.
46
Anaeróbios gram-positivos
Exceto Clostridioides difficile
Tabela de Pontos de Corte Clínicos do BrCAST - EUCAST, ฀
válida a partir de 01-02-2019
S ч I R > AIT
Moxifloxacino EI EI EI
S ч I R > AIT
Teicoplanina EI EI EI
Vancomicina 2 - >2
S ч I R > AIT
Clindamicina 4 - >4
S ч I R > AIT
Eravaciclina EI EI EI
Tetraciclina Nota1
Nota1
Nota1
Tigeciclina Nota1
Nota1
Nota1
S ч I R > AIT
Cloranfenicol 8 - >8
Linezolida - - -
Metronidazol 4 - >4
Ponto de corte p/ CIM
(mg/L)
Agentes Diversos
Fluorquinolonas
Glicopeptídeos
Lincosamidas
Tetraciclinas1
Notas
Números para comentários gerais e/ou pontos de corte para CIM.
Notas
Números para comentários gerais e/ou pontos de corte para CIM.
Notas
Números para comentários gerais e/ou pontos de corte para CIM.
Notas
Números para comentários gerais e/ou pontos de corte para CIM.
Notas
Números para comentários gerais e/ou pontos de corte para CIM.
1. Para bactérias anaeróbias há evidência clínica da atividade em infecções intra-abdominais mistas, mas não há nenhuma correlação
entre os valores de CIM, dados de PK/PD e resposta clínica. Portanto, não é fornecido nenhum ponto de corte para sensibilidade.
Ponto de corte p/ CIM
(mg/L)
Ponto de corte p/ CIM
(mg/L)
Ponto de corte p/ CIM
(mg/L)
Ponto de corte p/ CIM
(mg/L)
Regras de Especialistas e Tabelas de Resistência Intrínseca.
47
Tabela de Pontos de Corte Clínicos do BrCAST - EUCAST, ฀
válida a partir de 01-02-2019
Os critérios de disco-difusão para teste de sensibilidade a antimicrobianos para Clostridioides difficile ainda não foram definidos e um método para
determinar a CIM deve ser utilizado. Caso seja utilizado um método comercial para determinar a CIM, seguir as recomendações do fabricante.
S ч I R > AIT
Moxifloxacino -1 - -1
1. Não utilizado clinicamente. Pode ser testado para fins exclusivamente epidemiológicos (ECOFF 4 mg/L).
S ч I R > AIT
1. Os pontos de corte são baseados em valores de corte epidemiológicos (ECOFFs) e são aplicáveis ao tratamento oral de infecções por C. difficile, com
vancomicina. Não há dados clínicos conclusivos sobre a relação entre CIMs e desfecho clínico.
2. Os pontos de corte são aplicáveis ao método de difusão do gradiente em ágar.
S ч I R > AIT
Tigeciclina -1,2 - -1,2
1. Para determinação da CIM de tigeciclina por microdiluição, o meio deve ser preparado fresco no dia do uso.
2. Não utilizado clinicamente. Pode ser testado para fins exclusivamente epidemiológicos (ECOFF 0,25 mg/L).
S ч I R > AIT
Daptomicina -1,2 - -1,2
1. Para determinação da CIM de daptomicina o meio deve ser suplementado com Ca++
para uma concentração final de 50 mg/L para o método da microdiluição em
caldo. A diluição em ágar não está validada. Siga as instruções do fabricante caso utilize um sistema comercial.
Ácido fusídico -3 - -3
2. Não utilizado clinicamente. Pode ser testado para fins exclusivamente epidemiológicos (ECOFF 4 mg/L).
Fidaxomicina EI4
EI4
EI4
3. Não utilizado clinicamente. Pode ser testado para fins exclusivamente epidemiológicos (ECOFF 2 mg/L).
Metronidazol 25
- >25
4. Os pontos de corte e ECOFF para fidaxomicina não foram estabelecidos porque os dados disponíveis evidenciam uma grande variação na distribuição de CIMs
entre os estudos.
Rifampicina -6 - -6 5. Os pontos de corte são baseados em valores de corte epidemiológicos (ECOFFs) e são aplicáveis ao tratamento oral de infecções por C. difficile, com
metronidazol. Não há dados clínicos conclusivos sobre a relação entre CIMs e desfecho clínico.
6. Não utilizado clinicamente. Pode ser testado para fins exclusivamente epidemiológicos (ECOFF 0,004 mg/L).
Regras de Especialistas e Tabelas de Resistência Intrínseca.
Clostridioides difficile
Notas
Números para comentários gerais e/ou pontos de corte para CIM.
Notas
Números para comentários gerais e/ou pontos de corte para CIM.
Glicopeptídeos Notas
Números para comentários gerais e/ou pontos de corte para CIM.
Tetraciclinas Notas
Números para comentários gerais e/ou pontos de corte para CIM.
21 - >21
Vancomicina
Fluoroquinolonas Ponto de corte p/ CIM
(mg/L)
Ponto de corte p/ CIM
(mg/L)
Ponto de corte p/ CIM
(mg/L)
Ponto de corte p/ CIM
(mg/L)
Agentes diversos
48
Anaeróbios gram-negativos Tabela de Pontos de Corte Clínicos do BrCAST - EUCAST, ฀
válida a partir de 01-02-2019
Os critérios de disco-difusão para teste de sensibilidade aos antimicrobianos para anaeróbios ainda não foram definidos e um método para
determinar a CIM deve ser utilizado. Caso seja utilizado um método comercial para determinar a CIM, seguir as recomendações do fabricante.
S ч I R > AIT
Benzilpenicilina1 0,25 0,5 >0,5 1. A sensibilidade à ampicilina, à amoxicilina e à piperacilina sem inibidor de β-lactamase pode ser inferida a partir da benzilpenicilina.
Ampicilina1 0,5 1-2 >2 2. Para fins de testes de sensibilidade, a concentração de sulbactam é fixada em 4 mg/L.
Ampicilina-sulbactam 42 8 >82
3. Para fins de testes de sensibilidade, a concentração de ácido clavulânico é fixada em 2 mg/L.
Amoxicilina1 0,5 1-2 >2 4. Para fins de testes de sensibilidade, a concentração de tazobactam é fixada em 4 mg/L.
Amoxicilina-ácido clavulânico 43 8 >83
Piperacilina-tazobactam 84 16 >164
S ч I R > AIT
Cefotaxima - - -
Cefoxitina EI EI EI
Ceftriaxona - - -
S ч I R > AIT
Doripenem
Ertapenem 0,5 - >0,5
Imipenem 2 4 >4
Meropenem 2 4-8 >8
Meropenem-vaborbactam EI EI EI
Carbapenêmicos Notas
Números para comentários gerais e/ou pontos de corte para CIM.
Ponto de corte p/ CIM
(mg/L)
Regras de Especialistas e Tabelas de Resistência Intrínseca.
Este grupo de bactérias inclui muitos gêneros. Os anaeróbios gram-negativos mais frequentemente isolados são Bacteroides, Bilophila, Fusobacterium, Mobiluncus, Parabacteroides ,
Porphyromonas e Prevotella . Anaeróbios são mais frequentemente definidos por ausência de crescimento em placas de cultura incubadas numa atmosfera enriquecida com CO2. Para todas
essas espécies, o teste de sensibilidade deve ser realizado em anaerobiose.
Notas
Números para comentários gerais e/ou pontos de corte para CIM.
Notas
Números para comentários gerais e/ou pontos de corte para CIM.
Penicilinas
Cefalosporinas
Ponto de corte p/ CIM
(mg/L)
Ponto de corte p/ CIM
(mg/L)
49
Tabela de Pontos de Corte Clínicos do BrCAST - EUCAST, ฀
válida a partir de 01-02-2019
S ч I R > AIT
Moxifloxacino EI EI EI
S ч I R > AIT
Clindamicina 4 - >4
S ч I R > AIT
Everaciclina EI EI EI
Tetraciclina Nota1
Nota1
Nota1
Tigeciclina Nota1
Nota1
Nota1
S ч I R > AIT
Cloranfenicol 8 - >8
Metronidazol 4 - >4
Notas
Números para comentários gerais e/ou pontos de corte para CIM.
Lincosamidas
Fluoroquinolonas Notas
Números para comentários gerais e/ou pontos de corte para CIM.
Ponto de corte p/ CIM
(mg/L)
Ponto de corte p/ CIM
(mg/L)
Notas
Números para comentários gerais e/ou pontos de corte para CIM.
Tetraciclinas1
Agentes diversos
Notas
Números para comentários gerais e/ou pontos de corte para CIM.
Ponto de corte p/ CIM
(mg/L)
Ponto de corte p/ CIM
(mg/L)
1. Para bactérias anaeróbias há evidência clínica da atividade em infecções intra-abdominais mistas, mas não há nenhuma correlação entre os valores
de CIM, dados de PK/PD e resposta clínica. Portanto, não é fornecido nenhum ponto de corte para sensibilidade.
Regras de Especialistas e Tabelas de Resistência Intrínseca.
Anaeróbios gram-negativos
50
Helicobacter pylori Tabela de Pontos de Corte Clínicos do BrCAST - EUCAST, ฀
válida a partir de 01-02-2019
Os critérios de disco-difusão para teste de sensibilidade aos antimicrobianos para Helicobacter pylori ainda não foram definidos e
um método para determinar a CIM deve ser utilizado. Caso seja utilizado um método comercial para determinar a CIM, seguir as
recomendações do fabricante.
S ч I R > AIT
Amoxicilina 0,1251
- >0,1251
1. Os pontos de corte são baseados em valores de corte epidemiológicos (ECOFFs), que diferenciam entre isolados com perfil selvagem e
aqueles com sensibilidade reduzida.
S ч I R > AIT
Levofloxacino 11
- >11
1. Os pontos de corte são baseados em valores de corte epidemiológicos (ECOFFs), que diferenciam entre isolados com perfil selvagem e
aqueles com sensibilidade reduzida.
S ч I R > AIT
Claritromicina 0,251
0,51
>0,51
1. Os pontos de corte são baseados em valores de corte epidemiológicos (ECOFFs), que diferenciam entre isolados com perfil selvagem e
aqueles com sensibilidade reduzida.
S ч I R > AIT
Tetraciclina 11 - >11
1. Os pontos de corte são baseados em valores de corte epidemiológicos (ECOFFs), que diferenciam entre isolados com perfil selvagem e
aqueles com sensibilidade reduzida.
S ч I R > AIT
Metronidazol 81 - >81
Rifampicina 11 - >11
1. Os pontos de corte são baseados em valores de corte epidemiológicos (ECOFFs), que diferenciam entre isolados com perfil selvagem e
aqueles com sensibilidade reduzida.
Agentes diversos Notas
Números para comentários gerais e/ou pontos de corte para CIM.
Macrolídeos Notas
Números para comentários gerais e/ou pontos de corte para CIM.
Tetraciclinas Notas
Números para comentários gerais e/ou pontos de corte para CIM.
Ponto de corte p/ CIM
(mg/L)
Ponto de corte p/ CIM
(mg/L)
Ponto de corte p/ CIM
(mg/L)
Regras de Especialistas e Tabelas de Resistência Intrínseca.
Notas
Números para comentários gerais e/ou pontos de corte para CIM.
Fluoroquinolonas Notas
Números para comentários gerais e/ou pontos de corte para CIM.
Penicilinas Ponto de corte p/ CIM
(mg/L)
Ponto de corte p/ CIM
(mg/L)
51
Listeria monocytogenes Tabela de Pontos de Corte Clínicos do BrCAST - EUCAST, ฀
válida a partir de 01-02-2019
Disco-difusão (método de disco-difusão padronizado pelo EUCAST)
Meio de cultura: Ágar Mueller-Hinton + 5% sangue desfibrinado de cavalo e 20 mg/L de β-NAD (MH-F)
Inóculo: McFarland 0,5
Incubação: CO2 a 5%, 35±1ºC, 18±2h
Leitura: Salvo orientação contrária, ler as bordas dos halos de inibição do ponto em que não há mais crescimento, visto da parte anterior da
placa, com a tampa removida e luz refletida.
Controle da Qualidade: Streptococcus pneumoniae ATCC 49619. Para agentes não avaliados por tal cepa, ver tabela de CQ do BrCAST-
EUCAST.
S ч I R > AIT S ш I R < AIT
Benzilpenicilina 1 - >1 1 U 13 - <13
Ampicilina 1 - >1 2 16 - <16
S ч I R > AIT S ш I R < AIT
Meropenem 0,25 - >0,25 10 26 - <26
S ч I R > AIT S ш I R < AIT
Eritromicina 1 - >1 15 25 - <25
S ч I R > AIT S ш I R < AIT
Sulfametoxazol-trimetoprim1 0,06 - >0,06 23,75-1,25 29 - <29 1. Sulfametoxazol-trimetoprima na proporção 19:1. Os pontos de corte de CIM estão expressos como concentração de trimetoprima.
Notas
Números para comentários gerais e/ou pontos de corte para CIM.
Letras para comentários sobre disco-difusão.
Penicilinas Conteúdo
do disco
(µg)
Notas
Números para comentários gerais e/ou pontos de corte para CIM.
Letras para comentários sobre disco-difusão.
Carbapenêmicos Conteúdo
do disco
(µg)
Ponto de corte p/ CIM
(mg/L)
Ponto de corte p/ CIM
(mg/L)
Ponto de corte p/ diâmetro
do halo (mm)
Ponto de corte p/ diâmetro
do halo (mm)
Determinação da CIM: (Microdiluição de acordo com a padronização ISO 20776-1)
Meio de cultura: Caldo Mueller-Hinton + 5% de sangue lisado de cavalo e 20 mg/L β-NAD (Meio MH-F)
Inóculo: 5 x 105
UFC/mL
Incubação: Painéis selados, ar ambiente, 35±1ºC, 18±2h.
Leitura: Salvo orientação contrária, ler a CIM como a menor concentração do antimicrobiano que visualmente inibe por
completo o crescimento bacteriano.
Controle de qualidade: Streptococcus pneumoniae ATCC 49619. Para agentes não avaliados por tal cepa, ver tabela de CQ
do BrCAST-EUCAST.
Regras de Especialistas e Tabelas de Resistência Intrínseca.
Notas
Números para comentários gerais e/ou pontos de corte para CIM.
Letras para comentários sobre disco-difusão.
Agentes diversos Conteúdo
do disco
(µg)
Notas
Números para comentários gerais e/ou pontos de corte para CIM.
Letras para comentários sobre disco-difusão.
Macrolídeos Conteúdo
do disco
(µg)
Ponto de corte p/ CIM
(mg/L)
Ponto de corte p/ CIM
(mg/L)
Ponto de corte p/ diâmetro
do halo (mm)
Ponto de corte p/ diâmetro
do halo (mm)
52
Pasteurella multocida Tabela de Pontos de Corte Clínicos do BrCAST - EUCAST, ฀
válida a partir de 01-02-2019
Disco-difusão (método de disco-difusão padronizado pelo EUCAST)
Meio de cultura: ágar Mueller-Hinton + 5% de sangue desfibrinado de cavalo e 20 mg/L β-NAD (MH-F)
Inóculo: McFarland 0,5
Incubação: CO2 a 5% , 35±1ºC, 18±2h
Leitura: Salvo orientação contrária, Ler as bordas dos halos de inibição do ponto em que não há mais crescimento, visto da parte
anterior da placa, com a tampa removida e luz refletida.
Controle de qualidade: Haemophilus influenzae ATCC 49766. Para agentes não avaliados por tal cepa e para o controle do
componente inibidor dos discos de combinação betalactâmico-inibidor de betalactamase, ver tabela de CQ do BrCAST- EUCAST.
S ч I R > AIT S ш I R < AIT
Benzilpenicilina 0,5 - >0,5 1 U 17 - <17 1. Para fins de testes de sensibilidade, a concentração de ácido clavulânico é fixada em 2 mg/L.
Ampicilina 1 - >1 NotaA
NotaA
NotaA
Amoxicilina 1 - >1 NotaA
NotaA
NotaA A. Sensibilidade inferida a partir da sensibilidade à benzilpenicilina.
Amoxicilina-ácido clavulânico 1 1 - >1 1 2-1 15 - <15
S ч I R > AIT S ш I R < AIT
Cefotaxima 0,03 - >0,03 5 26 - <26
S ч I R > AIT S ш I R < AIT
Ciprofloxacino 0,06 - >0,06 5 27A - <27A
Levofloxacino 0,06 - >0,06 5 27A - <27A
Ácido nalidíxico (triagem) NA NA NA 30 23A - NotaA
Notas
Números para comentários gerais e/ou pontos de corte para CIM.
Letras para comentários sobre disco-difusão.
Notas
Números para comentários gerais e/ou pontos de corte para CIM.
Letras para comentários sobre disco-difusão.
Cefalosporinas
A. O teste de disco-difusão com ácido nalidíxico pode ser utilizado para triagem de resistência às fluorquinolonas. Isolados categorizados
como sensíveis ao ácido nalidíxico podem ser reportados como sensíveis ao ciprofloxacino e ao levofloxacino. Isolados categorizados
como não sensíveis podem apresentar resistência às fluorquinolonas e devem ser testados contra os antimicrobianos específicos.
Notas
Números para comentários gerais e/ou pontos de corte para CIM.
Letras para comentários sobre disco-difusão.
Ponto de corte p/ CIM
(mg/L)
Ponto de corte p/ CIM
(mg/L)
Ponto de corte p/ diâmetro
do halo (mm)
Conteúdo
do disco
(µg)
Regras de Especialistas e Tabelas de Resistência Intrínseca.
Ponto de corte p/ diâmetro
do halo (mm)
Determinação da CIM: (Microdiluição em caldo de acordo com a padronização ISO 20776-1)
Meio de cultura: Caldo Mueller-Hinton + 5% de sangue lisado de cavalo e 20 mg/L β-NAD (Meio MH-F)
Inóculo: 5 x 105
UFC/mL
Incubação: Painéis selados, ar ambiente, 35±1ºC, 18±2h
Leitura: Salvo orientação contrária, ler a CIM como a menor concentração do antimicrobiano que visualmente inibe por
completo o crescimento bacteriano.
Controle de qualidade: Haemophilus influenzae ATCC 49766. Para agentes não avaliados por tal cepa e para o
controle do componente inibidor da combinação betalactâmico-inibidor de betalactamase, ver tabela de CQ do BrCAST-
EUCAST.
Fluoroquinolonas Conteúdo
do disco
(µg)
Penicilinas Conteúdo
do disco
(µg)
Ponto de corte p/ CIM
(mg/L)
Ponto de corte p/ diâmetro
do halo (mm)
53
Pasteurella multocida Tabela de Pontos de Corte Clínicos do BrCAST - EUCAST, ฀
válida a partir de 01-02-2019
S ч I R > AIT S ш I R < AIT
Doxiciclina 1 - >1 NotaA
NotaA
NotaA
Tetraciclina (triagem) NA NA NA 30 24A - >24A
S ч I R > AIT S ш I R < AIT
Sulfametoxazol-trimetoprim1 0,25 - >0,25 23,75-1,25 23 - <23 1.Sulfametoxazol-trimetoprima na proporção 19:1. Os pontos de corte de CIM estão expressos como concentração de trimetoprima.
Notas
Números para comentários gerais e/ou pontos de corte para CIM.
Letras para comentários sobre disco-difusão.
Agentes diversos Conteúdo
do disco
(µg)
A. Sensibilidade inferida a partir do teste de triagem com tetraciclina.
Tetraciclinas Conteúdo
do disco
(µg)
Notas
Números para comentários gerais e/ou pontos de corte para CIM.
Letras para comentários sobre disco-difusão.
Regras de Especialistas e Tabelas de Resistência Intrínseca.
Ponto de corte p/ CIM
(mg/L)
Ponto de corte p/ CIM
(mg/L)
Ponto de corte p/ diâmetro
do halo (mm)
Ponto de corte p/ diâmetro
do halo (mm)
54
Campylobacter jejuni e C. coli Tabela de Pontos de Corte Clínicos do BrCAST - EUCAST, ฀
válida a partir de 01-02-2019
Disco-difusão (método de disco-difusão padronizado pelo EUCAST)
Meio de cultura: Ágar Mueller-Hinton + 5% de sangue desfibrinado de cavalo e 20 mg/L β-NAD (MH-F). As pacas de MH-F devem ser secadas
antes da inoculação para reduzir o swarming (a 20-25°C over night ou a 35°C, com a tampa removida por 15 min).
Inóculo: McFarland 0,5
Incubação: Atmosfera de microaerofilia, 41±1ºC, 24h. Isolados com crescimento insuficiente após 24 h de incubação devem ser imediatamente
reincubados e os halos de inibição devem ser lidos após um total de 40-48 h de incubação.
Leitura: Salvo orientação contrária, ler as bordas dos halos de inibição do ponto em que não há mais crescimento, visto da parte anterior da
placa, com a tampa removida e luz refletida.
Controle de qualidade: Campylobacter jejuni ATCC 33560
S ч I R > AIT S ш I R < AIT
Ciprofloxacino 0,5 - >0,5 5 26 - <26
S ч I R > AIT S ш I R < AIT
Azitromicina Nota
1
Nota
1
Nota
1
Nota
A
Nota
A
Nota
A 1/A. A eritromicina pode ser utilizada para determinar a sensibilidade à azitromicina e à claritromicina.
Claritromicina Nota
1
Nota
1
Nota
1
Nota
A
Nota
A
Nota
A
Eritromicina, C. jejuni 4
1 - >4
1
15 20
A - <20
A
Eritromicina, C. coli 8
1 - >8
1
15 24
A - <24
A
S ч I R > AIT S ш I R < AIT
Doxiciclina Nota
1
Nota
1
Nota
1
Nota
A
Nota
A
Nota
A 1/A. A tetraciclina pode ser utilizada para determinar a sensibilidade à doxiciclina
Tetraciclina 2
1 - >2
1
30 30
A - <30
A
Macrolídeos Conteúdo
do disco
(µg)
Notas
Números para comentários gerais e/ou pontos de corte para CIM.
Letras para comentários sobre disco-difusão.
Notas
Números para comentários gerais e/ou pontos de corte para CIM.
Letras para comentários sobre disco-difusão.
Tetraciclinas Conteúdo
do disco
(µg)
Ponto de corte p/ CIM
(mg/L)
Ponto de corte p/ diâmetro
do halo (mm)
Ponto de corte p/ CIM
(mg/L)
Ponto de corte p/ diâmetro
do halo (mm)
Regras de Especialistas e Tabelas de Resistência Intrínseca.
Determinação da CIM: (Microdiluição em caldo de acordo com a padronização ISO 20776-1)
Meio de cultura: Caldo Mueller-Hinton + 5% de sangue lisado de cavalo e 20 mg/L β-NAD (Meio MH-F)
Inóculo: 5 x 10
5
UFC/mL
Incubação: Atmosfera de microaerofilia, 41±1ºC, 24h. Isolados com crescimento insuficiente após 24 h de
incubação devem ser imediatamente reincubados e os CIMs devem ser lidos após um total de 40-48 h de
incubação.
Leitura: Salvo orientação contrária, ler a CIM como a menor concentração do antimicrobiano que visualmente
inibe por completo o crescimento bacteriano.
Controle de qualidade: Staphylococcus aureus ATCC 29213 (condições padronizadas para estafilococos)
Fluoroquinolonas Conteúdo
do disco
(µg)
Notas
Números para comentários gerais e/ou pontos de corte para CIM.
Letras para comentários sobre disco-difusão.
Ponto de corte p/ CIM
(mg/L)
Ponto de corte p/ diâmetro
do halo (mm)
55
Corynebacterium spp. Tabela de Pontos de Corte Clínicos do BrCAST - EUCAST, ฀
válida a partir de 01-02-2019
Disco-difusão (método de disco-difusão padronizado pelo EUCAST)
Meio de cultura: Ágar Mueller-Hinton + sangue desfibrinado de cavalo 5% e 20 mg/L β-NAD (MH-F)
Inóculo: McFarland 0,5
Incubação: 5% CO2, 35±1ºC, 18±2h. Isolados com crescimento insuficiente após 16-20 h de incubação devem ser reincubados
imediatamente e os halos de inibição deverão ser lidos após um total de 40-44 h de incubação.
Leitura: Salvo orientação contrária, ler as bordas dos halos de inibição do ponto em que não há mais crescimento, visto da parte
anterior da placa, com a tampa removida e luz refletida.
Controle de Qualidade: Streptococcus pneumoniae ATCC 49619. Para agentes não avaliados por tal cepa, ver tabela de CQ do
BrCAST-EUCAST.
S ч I R > AIT S ш I R < AIT
Benzilpenicilina 0,125 - >0,125 1 U 29 - <29
S ч I R > AIT S ш I R < AIT
Ciprofloxacino 1 - >1 5 25 - <25
Moxifloxacino 0,5 - >0,5 5 25 - <25
S ч I R > AIT S ш I R < AIT
Gentamicina 1 - >1 10 23 - <23
S ч I R > AIT S ш I R < AIT
Vancomicina 2 - >2 5 17A - <17A A. Isolados do tipo não-selvagem não estavam disponíveis durante o desenvolvimento do método de disco-difusão.
Notas
Números para comentários gerais e/ou pontos de corte para CIM.
Letras para comentários sobre disco-difusão.
Conteúdo
do disco
(µg)
Ponto de corte p/ diâmetro
do halo (mm)
Notas
Números para comentários gerais e/ou pontos de corte para CIM.
Letras para comentários sobre disco-difusão.
Conteúdo
do disco
(µg)
Notas
Números para comentários gerais e/ou pontos de corte para CIM.
Letras para comentários sobre disco-difusão.
Notas
Números para comentários gerais e/ou pontos de corte para CIM.
Letras para comentários sobre disco-difusão.
Ponto de corte p/ diâmetro
do halo (mm)
Ponto de corte p/ diâmetro
do halo (mm)
Ponto de corte p/ diâmetro
do halo (mm)
Conteúdo
do disco
(µg)
Conteúdo
do disco
(µg)
Ponto de corte p/ CIM
(mg/L)
Ponto de corte p/ CIM
(mg/L)
Ponto de corte p/ CIM
(mg/L)
Ponto de corte p/ CIM
(mg/L)
Os pontos de corte para as corinebactérias foram desenvolvidos para espécies diferentes de C. diphtheriae . Em um estudo em andamento, os resultados preliminares indicam que os atuais pontos de
corte para benzilpenicilina e rifampicina não são úteis para C. diphtheriae .
Regras de Especialistas e Tabelas de Resistência Intrínseca.
Determinação da CIM: (Microdiluição em caldo de acordo com a padronização ISO 20776-1)
Meio de cultura: Caldo Mueller-Hinton + 5% de sangue lisado de cavalo e 20 mg/L β-NAD (Meio MH-F)
Inóculo: 5 x 105
UFC/mL
Incubação: Painéis selados, ar ambiente, 35±1ºC, 18±2h. Isolados com crescimento insuficiente após 16 - 20h de
incubação devem ser imediatamente reincubados e as CIMs devem ser lidos após um total de 40-44 h de incubação.
Leitura: Salvo orientação contrária, ler a CIM como a menor concentração do antimicrobiano que visualmente inibe por
completo o crescimento bacteriano.
Controle de qualidade: Streptococcus pneumoniae ATCC 49619. Para agentes não avaliados por tal cepa, ver tabela de
CQ do BrCAST-EUCAST.
Glicopeptídeos
Aminoglicosídeos
Penicilinas
Fluoroquinolonas
56
Corynebacterium spp.
S ч I R > AIT S ш I R < AIT
Eritromicina EP EP EP EP EP EP
Clindamicina 0,5 - >0,5 2 20 - <20
S ч I R > AIT S ш I R < AIT
Tetraciclina 2 - >2 30 24 - <24
S ч I R > AIT S ш I R < AIT
Linezolida 2 - >2 10 25 - <25
S ч I R > AIT S ш I R < AIT
Rifampicina 0,06 0,12-0,5 >0,5 5 30 25-29 <25
Notas
Números para comentários gerais e/ou pontos de corte para CIM.
Letras para comentários sobre disco-difusão.
Conteúdo
do disco
(µg)
Notas
Números para comentários gerais e/ou pontos de corte para CIM.
Letras para comentários sobre disco-difusão.
Notas
Números para comentários gerais e/ou pontos de corte para CIM.
Letras para comentários sobre disco-difusão.
Conteúdo
do disco
(µg)
Conteúdo
do disco
(µg)
Tabela de Pontos de Corte Clínicos do BrCAST - EUCAST, ฀
válida a partir de 01-02-2019
Ponto de corte p/ CIM
(mg/L)
Regras de Especialistas e Tabelas de Resistência Intrínseca.
Ponto de corte p/ CIM
(mg/L)
Ponto de corte p/ CIM
(mg/L)
Ponto de corte p/ diâmetro
do halo (mm)
Ponto de corte p/ diâmetro
do halo (mm)
Ponto de corte p/ diâmetro
do halo (mm)
Oxazolidinonas
Macrolídeos e lincosamidas
Tetraciclinas
Agentes diversos Ponto de corte p/ CIM
(mg/L)
Conteúdo
do disco
(µg)
Ponto de corte p/ diâmetro
do halo (mm)
Notas
Números para comentários gerais e/ou pontos de corte para CIM.
Letras para comentários sobre disco-difusão.
57
Aerococcus sanguinicola e A. urinae
Disco-difusão (método de disco-difusão padronizado pelo EUCAST)
Meio de cultura: Ágar Mueller-Hinton + sangue desfibrinado de cavalo 5% e 20 mg/L β-NAD (MH-F)
Inóculo: McFarland 0,5
Incubação: 5% CO2, 35±1ºC, 18±2h. Isolados com crescimento insuficiente após 16-20 h de incubação devem ser
reincubados imediatamente e os halos de inibição deverão ser lidos após um total de 40-44 h de incubação.
Leitura: Salvo orientação contrária, ler as bordas dos halos de inibição do ponto em que não há mais crescimento, visto da
parte anterior da placa, com a tampa removida e luz refletida.
Controle de Qualidade: Streptococcus pneumoniae ATCC 49619. Para agentes não testados com tal cepa, ver tabela de
CQ do BrCAST-EUCAST.
S ч I R > AIT S ш I R < AIT
Benzilpenicilina 0,125 - >0,125 1 U 21 - <21
Ampicilina 0,25 - >0,25 2 26 - <26
Amoxicilina Nota
1
- Nota
1
Nota
A
- Nota
A
S ч I R > AIT S ш I R < AIT
Meropenem 0,25 - >0,25 10 31 - <31
S ч I R > AIT S ш I R < AIT
Ciprofloxacino (apenas ITU não complicada) 2 - >2 5 21
A
- <21
A
Levofloxacino (apenas ITU não complicada) 2
1
- >2
1
5 Nota
B
- Nota
B
Norfloxacino (triagem) NA - NA 10 17
C - <17
C
S ч I R > AIT S ш I R < AIT
Vancomicina 1 - >1 5 16
A
- <16
A A. Isolados do tipo não-selvagem não estavam disponíveis ao desenvolver o método de difusão de disco.
S ч I R > AIT S ш I R < AIT
Nitrofurantoína (apenas ITU não complicada) 16 - >16 100 16 - <16
Rifampicina 0,125 - >0,125 5 25 - <25
Tabela de Pontos de Corte Clínicos do BrCAST - EUCAST, ฀
válida a partir de 01-02-2019
Fluoroquinolonas Conteúdo
do disco
(µg)
Notas
Números para comentários gerais e/ou pontos de corte para CIM.
Letras para comentários sobre disco-difusão.
Ponto de corte p/ CIM
(mg/L)
Ponto de corte p/ diâmetro
do halo (mm)
Carbapenêmicos Conteúdo
do disco
(µg)
Notas
Números para comentários gerais e/ou pontos de corte para CIM.
Letras para comentários sobre disco-difusão.
Ponto de corte p/ CIM
(mg/L)
Ponto de corte p/ diâmetro
do halo (mm)
Regras de Especialistas e Tabelas de Resistência Intrínseca.
Determinação da CIM: (Microdiluição em caldo de acordo com a padronização ISO 20776-1)
1
Meio de cultura: Caldo Mueller-Hinton + 5% de sangue lisado de cavalo e 20 mg/L β-NAD (Meio MH-F)
Inóculo: 5 x 10
5
UFC/mL
Incubação: Painéis selados, ar ambiente, 35±1ºC, 18±2h. Isolados com crescimento insuficiente após 16 - 20h de incubação devem
ser imediatamente reincubados e as CIMs devem ser lidas após um total de 40-44 h de incubação.
Leitura: Salvo orientação contrária, ler a CIM como a menor concentração do antimicrobiano que visualmente inibe por completo o
crescimento bacteriano.
Controle de qualidade: Streptococcus pneumoniae ATCC 49619. Para agentes não testados com tal cepa, ver tabela de CQ do
BrCAST-EUCAST.
1
Para fluoroquinolonas, a diluição em ágar pode produzir pontos finais mais bem definidos.
1/A. Sensibilidade inferida a partir da sensibilidade à ampicilina.
Penicilinas Conteúdo
do disco
(µg)
Glicopeptídeos Conteúdo
do disco
(µg)
Notas
Números para comentários gerais e/ou pontos de corte para CIM.
Letras para comentários sobre disco-difusão.
Agentes diversos Conteúdo
do disco
(µg)
Notas
Números para comentários gerais e/ou pontos de corte para CIM.
Letras para comentários sobre disco-difusão.
Ponto de corte p/ CIM
(mg/L)
Ponto de corte p/ CIM
(mg/L)
Ponto de corte p/ diâmetro
do halo (mm)
Ponto de corte p/ diâmetro
do halo (mm)
Notas
Números para comentários gerais e/ou pontos de corte para CIM.
Letras para comentários sobre disco-difusão.
Ponto de corte p/ CIM
(mg/L)
Ponto de corte p/ diâmetro
do halo (mm)
1. A sensibilidade pode ser inferida a partir da sensibilidade ao ciprofloxacino.
A. A sensibilidade pode ser inferida a partir da sensibilidade ao norfloxacino. Ver Nota C.
B. A sensibilidade pode ser inferida a partir da sensibilidade ao ciprofloxacino ou norfloxacino. Ver Nota C.
C. O teste de disco-difusão com norfloxacino pode ser utilizado para triagem de resistência às fluoroquinolonas.
58
Kingella kingae Tabela de Pontos de Corte Clínicos do BrCAST - EUCAST, ฀
válida a partir de 01-02-2019
Disco-difusão (método de disco-difusão padronizado pelo EUCAST)
Meio de cultura: Ágar Mueller-Hinton + sangue desfibrinado de cavalo 5% e 20 mg/L β-NAD (MH-F)
Inóculo: McFarland 0,5
Incubação: 5% CO2, 35±1ºC, 18±2h. Isolados com crescimento insuficiente após 16-20 h de incubação devem ser reincubados
imediatamente e os halos de inibição deverão ser lidos após um total de 40-44 h de incubação.
Leitura: Salvo orientação contrária, ler as bordas dos halos de inibição do ponto em que não há mais crescimento, visto da parte
anterior da placa, com a tampa removida e luz refletida.
Controle de Qualidade: Haemophilus influenzae ATCC 49766. Para agentes não testados com tal cepa, ver tabela de CQ do BrCAST-
EUCAST.
S ч I R > AIT S ш I R < AIT
Benzilpenicilina 0,03 - >0,03 1 U 25 - <25
Ampicilina 0,06
2
- >0,06
2
- Nota
A
- Nota
A
Amoxicilina 0,125
2
- >0,125
2
- Nota
A
- Nota
A
Amoxicilina-ácido clavulânico Nota
3 - Nota
3
- Nota
B - Nota
B
S ч I R > AIT S ш I R < AIT
Cefotaxima 0,125 - >0,125 5 27 - <27
Ceftriaxona 0,06 - >0,06 30 30 - <30
Cefuroxima IV 0,5 - >0,5 30 29 - <29
S ч I R > AIT S ш I R < AIT
Meropenem 0,03 - >0,03 10 30 - <30
Notas
Números para comentários gerais e/ou pontos de corte para CIM.
Letras para comentários sobre disco-difusão.
1. Isolados produtores de β-lactamase podem ser reportados como resistentes à benzilpenicilina e amoxicilina e à amoxicilina sem
inibidores. Testes baseados em cefalosporina cromogênica podem ser usados na detecção de β-lactamase. Outros mecanismos de
resistência aos β-lactâmicos que não sejam a produção de β-lactamase não foram, até o momento, descritos para K. kingae.
2. A sensibilidade pode ser inferida a partir da sensibilidade à benzilpenicilina.
3/B. O ácido clavulânico apresenta atividade intrínseca e pode inibir o crescimento deste microrganismo em concentrações de até 2
mg/L. Portanto, nenhum ponto de corte para amoxicilina-ácido clavulânico pode ser definido.
A. Inferir sensibilidade a partir da sensibilidade à benzilpenicilina.
Ponto de corte p/ diâmetro
do halo (mm)
Ponto de corte p/ diâmetro
do halo (mm)
Notas
Números para comentários gerais e/ou pontos de corte para CIM.
Letras para comentários sobre disco-difusão.
Notas
Números para comentários gerais e/ou pontos de corte para CIM.
Letras para comentários sobre disco-difusão.
Penicilinas1 Conteúdo
do disco
(µg)
Cefalosporinas Conteúdo
do disco
(µg)
Ponto de corte p/ CIM
(mg/L)
Ponto de corte p/ CIM
(mg/L)
Regras de Especialistas e Tabelas de Resistência Intrínseca.
Ponto de corte p/ diâmetro
do halo (mm)
Ponto de corte p/ CIM
(mg/L)
Determinação da CIM: (Microdiluição em caldo de acordo com a padronização ISO 20776-1)
Meio de cultura: Caldo Mueller-Hinton + 5% de sangue lisado de cavalo e 20 mg/L β-NAD (Meio MH-F)
Inóculo: 5 x 10
5
UFC/mL
Incubação: Painéis selados, ar ambiente, 35±1ºC, 18±2h. Isolados com crescimento insuficiente após 16 - 20h de
incubação devem ser imediatamente reincubados e as CIMs devem ser lidas após um total de 40-44 h de incubação.
Leitura: Salvo orientação contrária, ler a CIM como a menor concentração do antimicrobiano que visualmente inibe por
completo o crescimento bacteriano.
Controle de qualidade: Haemophilus influenzae ATCC 49766. Para agentes não testados com tal cepa, ver tabela de CQ
do BrCAST-EUCAST.
Carbapenêmicos Conteúdo
do disco
(µg)
59
Kingella kingae Tabela de Pontos de Corte Clínicos do BrCAST - EUCAST, ฀
válida a partir de 01-02-2019
S ч I R > AIT S ш I R < AIT
Ciprofloxacino 0,06 - >0,06 5 28 - <28
Levofloxacino 0,125 - >0,125 5 28 - <28
S ч I R > AIT S ш I R < AIT
Azitromicina 0,25
1
- >0,25
1
Nota
A
- Nota
A 1. A sensibilidade pode ser inferida a partir da sensibilidade à eritromicina.
Claritromicina 0,5
1 - >0,5
1
Nota
A
- Nota
A
Eritromicina 0,5 - >0,5 15 20 - <20 A. Inferir a sensibilidade a partir da sensibilidade à eritromicina.
Clindamicina - - - - - -
S ч I R > AIT S ш I R < AIT
Doxiciclina 0,5
1
- >0,5
1
Nota
A
- Nota
A
Tetraciclina 0,5 - >0,5 30 28 - <28
S ч I R > AIT S ш I R < AIT
Rifampicina 0,5 - >0,5 5 20 - <20
Sulfametoxazol-trimetoprim
1 0,25 - >0,25 23,75-1,25 28 - <28
1. Sulfametoxazol-trimetoprima na proporção 19:1. Os pontos de corte de CIM estão expressos como concentração de trimetoprima.
1/A. Isolados sensíveis às tetraciclinas são também sensíveis à doxiciclina, mas alguns isolados resistentes à tetraciclina podem ser
sensíveis à doxiciclina. Caso necessário, um método de determinação da CIM deve ser utilizado para avaliar a sensibilidade à
doxiciclina em isolados resistentes à tetraciclina.
Agentes diversos Conteúdo
do disco
(µg)
Notas
Números para comentários gerais e/ou pontos de corte para CIM.
Letras para comentários sobre disco-difusão.
Ponto de corte p/ diâmetro
do halo (mm)
Ponto de corte p/ CIM
(mg/L)
Tetraciclinas Conteúdo
do disco
(µg)
Notas
Números para comentários gerais e/ou pontos de corte para CIM.
Letras para comentários sobre disco-difusão.
Ponto de corte p/ diâmetro
do halo (mm)
Ponto de corte p/ CIM
(mg/L)
Ponto de corte p/ CIM
(mg/L)
Macrolídeos e lincosamidas Conteúdo
do disco
(µg)
Notas
Números para comentários gerais e/ou pontos de corte para CIM.
Letras para comentários sobre disco-difusão.
Ponto de corte p/ diâmetro
do halo (mm)
Ponto de corte p/ diâmetro
do halo (mm)
Notas
Números para comentários gerais e/ou pontos de corte para CIM.
Letras para comentários sobre disco-difusão.
Ponto de corte p/ CIM
(mg/L)
Conteúdo
do disco
(µg)
Fluoroquinolonas
Regras de Especialistas e Tabelas de Resistência Intrínseca.
60
Disco-difusão (método de disco-difusão padronizado pelo EUCAST)
Meio de cultura: Ágar Mueller-Hinton
Inóculo: McFarland 0,5
Incubação: Ar ambiente, 35±1ºC, 18±2h
Leitura: Salvo orientação contrária, ler as bordas dos halos de inibição do ponto em que não há mais crescimento, visto da parte posterior da
placa, contra um fundo escuro e sob luz refletida.
Controle de qualidade: Pseudomonas aeruginosa ATCC 27853. Para agentes não testados com tal cepa, ver tabela de CQ do BrCAST-
EUCAST.
S ч I R > AIT S ш I R < AIT
Cefepima 1 2-4 >4 30 27 24-26 <24
Ceftazidima 1 2-4 >4 10 24 21-23 <21
S ч I R > AIT S ш I R < AIT
Aztreonam 1 2-4 >4 30 29 26-28 <26
S ч I R > AIT S ш I R < AIT
Ciprofloxacino 0,25 0,5 >0,5 5 27 24-26 <24
Levofloxacino 0,5 1 >1 5 27 24-26 <24
Regras de Especialistas e Tabelas de Resistência Intrínseca.
Ponto de corte p/ diâmetro do
halo (mm)
Monobactâmicos Conteúdo
do disco
(µg)
Determinação da CIM: (Microdiluição em caldo de acordo com a padronização ISO 20776-1)
Meio de cultura: Caldo Mueller-Hinton
Inóculo: 5 x 10
5
UFC/mL
Incubação: Painéis selados, ar ambiente, 35±1ºC, 18±2h
Leitura: Salvo orientação contrária, ler a CIM como a menor concentração do antimicrobiano que visualmente inibe por
completo o crescimento bacteriano.
Controle de qualidade: Pseudomonas aeruginosa ATCC 27853. Para agentes não testados com tal cepa, ver tabela de
CQ do BrCAST-EUCAST.
Cefalosporinas Conteúdo
do disco
(µg)
Ponto de corte p/ CIM
(mg/L)
Ponto de corte p/ CIM
(mg/L)
Ponto de corte p/ diâmetro do
halo (mm)
Notas
Números para comentários gerais e/ou pontos de corte para CIM.
Letras para comentários sobre disco-difusão.
Fluoroquinolonas Conteúdo
do disco
(µg)
Notas
Números para comentários gerais e/ou pontos de corte para CIM.
Letras para comentários sobre disco-difusão.
Ponto de corte p/ CIM
(mg/L)
Ponto de corte p/ diâmetro do
halo (mm)
Notas
Números para comentários gerais e/ou pontos de corte para CIM.
Letras para comentários sobre disco-difusão.
Tabela de Pontos de Corte Clínicos do BrCAST - EUCAST, ฀
válida a partir de 01-02-2019
Aeromonas spp.
61
Aeromonas spp. Tabela de Pontos de Corte Clínicos do BrCAST - EUCAST, ฀
válida a partir de 01-02-2019
S ч I R > AIT S ш I R < AIT
Sulfametoxazol-trimetoprim
1 2 4 >4 23,75-1,25 19
A
16-18
A
<16
A 1. Sulfametoxazol-trimetoprima na proporção 19:1. Os pontos de corte de CIM estão expressos como concentração de trimetoprima.
A. Ao aferir o diâmetro do halo, considerar a borda bem definida e ignorar névoa ou crescimento dentro do halo. (Ver figuras abaixo).
Exemplos de zonas de inibição de Aeromonas spp. com sulfametoxazol-trimetoprima
a-c) Ao aferir o diâmetro do halo, considerar a borda bem definida e ignorar névoa ou crescimento dentro do halo de inibição.
Agentes diversos Conteúdo
do disco
(µg)
Regras de Especialistas e Tabelas de Resistência Intrínseca.
Notas
Números para comentários gerais e/ou pontos de corte para CIM.
Letras para comentários sobre disco-difusão.
Ponto de corte p/ diâmetro do
halo (mm)
Ponto de corte p/ CIM
(mg/L)
62
Mycobacterium tuberculosis Tabela de Pontos de Corte Clínicos do BrCAST - EUCAST, ฀
válida a partir de 01-02-2019
Regras de Especialistas e Tabelas de Resistência Intrínseca.
Os pontos de corte listados foram determinados em
paralelo com a autorização de comercialização pela EMA.
Os pontos de corte para outros agentes ainda não foram
estabelecidos.
A metodologia de referência está em desenvolvimento. Os pontos de corte listados podem mudar quando
os testes estiverem concluídos.
S ч I R > AIT
Delamanide 0,06 - >0,06
Bedaquilina 0,25
1 - 0,25
1
Notas
Números para comentários gerais e/ou pontos de corte para CIM.
1. Os pontos de corte aplicam-se apenas aos testes realizados em meio Middlebrook 7H11/7H10. A comparabilidade com outros meios não foi
estabelecida.
Ponto de corte p/ CIM
(mg/L)
O complexo Mycobacterium tuberculosis inclui diferentes espécies e variantes, tais como M. tuberculosis var. canetti, M. tuberculosis var. tuberculosis, M. tuberculosis var. africanum e M. tuberculosis
var. bovis. Os pontos de corte só foram estabelecidos para M. tuberculosis var. tuberculosis.
63
1. Utilizar ECOFFs para todos os agentes quando o uso for tópico.
2. Utilizar pontos de corte clínicos quando disponíveis e ECOFFs quando não houver pontos de corte clínicos.
ECOFF1,2
2 0,125 0,25 0,5 16 2 - 8 - - -
Ponto de corte clínico sistêmico1
2/4 0,25/0,5 0,5/1 0,25/0,5 8/8 2/2 - - - - -
ECOFF1
8 0,5 2 2 - 4 - ND - - -
Ponto de corte clínico sistêmico1
4/4 0,5/0,5 1/1 - - 2/2 - - - - -
ECOFF1,2
4 1 0,5 1 - 2 - ND - - -
Ponto de corte clínico sistêmico1
4/4 0,06/1 0,5/1 - - 2/2 - - - - -
ECOFF1
2 1 1 1 16 - 0,5 1 ND 14
0,5
Ponto de corte clínico sistêmico1
1/1 1/1 1/1 1/1 8/8 - 1/1 - - - -
ECOFF1
- 2 2 4 8 - 32 ND ND - -
Ponto de corte clínico sistêmico1
- - 2/2 - 8/8 - - - - - -
ECOFF1,2
- 2 2 4 8 - 32 ND ND 0,5 0,125
Ponto de corte clínico sistêmico1
- - 2/2 - 8/8 - IE - - - -
ECOFF1
4 0,06 0,06 0,125 1 - ND ND - - -
Ponto de corte clínico sistêmico1
EI 0,06/0,06 0,06/0,06 0,06/0,06 2/2 - - - - - -
ECOFF1,2
0,25 0,125 0,125 0,25 2 - ND ND - - -
Ponto de corte clínico sistêmico1
EI 0,125/0,125 0,125/0,125 0,25/0,25 2/2 - - - - - -
Notas
1
ECOFFs e pontos de corte clínicos sistêmicos em mg/L.
2
Este ECOFF é o representativo para as espécies mais relevantes.
3
Agentes também disponíveis para uso sistêmico.
4
Pontos de corte para descontaminação nasal S≤1, R>256 mg/L (S≥30, R<18 mm para discos de 200 µg de mupirocina). Isolados intermediários apresentam supressão temporária (útil em pré-operatório) mas, ao contrário dos
isolados sensíveis, as taxas de erradicação a longo prazo são baixas.
ND = ECOFF não definido nas distribuições de CIMs no site do EUCAST.
S. pneumoniae
Cloranfenicol
3
Colistina
3
(p/
Polimixina
B)
Ácido
Fusídico
3
Neomicina
Enterobacterales
P. aeruginosa
Acinetobacter spp.
S. aureus
Organismos
Gentamicina
3
Ciprofloxacino
3
Levofloxacino
3
Ofloxacino
3
ECOFFs e pontos de corte clínicos sistêmicos para antimicrobianos
de uso tópico
Tabela de Pontos de Corte Clínicos do BrCAST - EUCAST, ฀
válida a partir de 01-02-2019
Streptococcus A, B, C e G
H. influenzae
Moraxella spp.
Na ausência de dados clínicos sobre resposta relacionada à CIM do organismo infectante, o EUCAST não acha possível chegar a um consenso que resolva opiniões conflitantes sobre as duas alternativas propostas (para
detalhes ver o documento de orientações):
Para informação, a tabela apresenta pontos de corte clínicos sistêmicos e ECOFFs para agentes que são de uso sistêmico e tópico e de ECOFFs para agentes exclusivamente de uso tópico (notar que os pontos de corte de
mupirocina são a exceção).
Retapamulina
Bacitracina
Mupirocina
64
Pontos de corte PK/PD (Não relacionados à espécie) Tabela de Pontos de Corte Clínicos do BrCAST - EUCAST, ฀
válida a partir de 01-02-2019
S ч I R >
Benzilpenicilina 0,25 0,5-2 >2 1. Para fins de teste de sensibilidade, a concentração de sulbactam é fixada em 4 mg/L
Ampicilina 2 4-8 >8 2. Para fins de teste de sensibilidade, a concentração de ácido clavulânico é fixada em 2 mg/L.
Ampicilina-sulbactam 2
1
4-8
1
>8
1 3. Para fins de teste de sensibilidade, a concentração de tazobactam é fixada em 4 mg/L.
Amoxicilina 2 4-8 >8
Amoxicilina-ácido clavulânico 2
2
4-8
2
>8
2
Piperacilina 4 8-16 >16
Piperacilina-tazobactam 4
3
8-16
3
>16
3
Ticarcilina 8 16 >16
Ticarcilina-ácido clavulânico 8
2
16
2
>16
2
Fenoximetilpenicilina EI EI EI
Oxacilina EI EI EI
S ≤ I R >
Cefaclor EI EI EI
Cefadroxila EI EI EI
Cefalexina EI EI EI
Cefazolina 1 2 >2
Cefepima 4 8 >8
Cefixima EI EI EI
Cefotaxima 1 2 >2
Cefoxitina EI EI EI
Cefpodoxima EI EI EI
Ceftarolina 0,5
1 - >0,5
1
Ceftazidima 4 8 >8
Ceftazidima-avibactam 8
2 - >8
2
Ceftibuten EI EI EI
Ceftobiprole 4 - >4
Ceftolozana-tazobactam 4
3,4 - >4
3,4
Ceftriaxona 1 2 >2
Cefuroxima iv 4 8 >8
Cefuroxima oral EI EI EI
1. Baseado em alvo PK/PD de organismos gram-negativos.
2. Para fins de teste de sensibilidade a concentração de avibactam é fixada em 4 mg/L.
3. Pontos de corte baseados em dados de ceftolozana.
4. Para fins de teste de sensibilidade a concentração de tazobactam é fixada em 4 mg/L.
Estes pontos de corte devem ser utilizados apenas quando não houver pontos de corte específicos para a espécie ou outras recomendações (valor, "-" ou nota) nas tabelas específicas. A CIM deve ser
sempre reportada no resultado.
Se a CIM for maior que o ponto de corte PK/PD de resistência, desaconselhar o uso do agente.
Se a CIM for menor ou igual ao ponto de corte PK/PD de sensibilidade, sugerir que o agente pode ser usado com precaução.
Incluir uma nota de que a orientação é baseada apenas em Pontos de corte PK/PD e incluir a dosagem na qual o ponto de corte está baseado.
Mais informações estão disponíveis no documento " Antimicrobial susceptibility tests on groups of organisms or agents for which there are no EUCAST breakpoints"
Penicilinas Notas
Notas
Ponto de corte p/ CIM (mg/L)
Cefalosporinas Ponto de corte p/ CIM (mg/L)
65
Pontos de corte PK/PD (Não relacionados à espécie) Tabela de Pontos de Corte Clínicos do BrCAST - EUCAST, ฀
válida a partir de 01-02-2019
S ≤ I R >
Doripenem
Ertapenem 0,5 - >0,5
Imipenem 2 4 >4
Meropenem 2 4-8 >8
Meropenem 8
1 - >8
1
S ч I R >
Aztreonam 4 8 >8
S ч I R >
Ciprofloxacino 0,25 0,5 >0,5
Levofloxacino 0,5 1 >1
Moxifloxacino 0,25 - >0,25
Ácido nalidíxico (triagem) EI EI EI
Norfloxacino EI EI EI
Ofloxacino 0,25 0,5 >0,5
S ≤ I R >
Amicacina EI EI EI
Gentamicina EI EI EI
Netilmicina EI EI EI
Tobramicina EI EI EI
S ≤ I R >
Dalbavancina 0,25
1 - >0,25
1
Oritavancina 0,125
1,2 - >0,125
1,2
Teicoplanina EI EI EI
Telavancina EI EI EI
Vancomicina EI EI EI
Glicopeptídeos e Lipopeptídeos Ponto de corte p/ CIM (mg/L)
1. Para a determinação de CIM por microdiluição, o meio deve ser suplementado com polissorbato 80 a uma concentração final de 0,002%.
2. Os pontos de corte de PK/PD são para S. aureus . Para S. pyogenes, há incerteza em relação ao alvo PK/PD.
Notas
Notas
Aminoglicosídeos Ponto de corte p/ CIM (mg/L)
Notas
Ponto de corte p/ CIM (mg/L)
Monobactâmicos Ponto de corte p/ CIM (mg/L)
Fluoroquinolonas
Notas
Notas
1. Para fins de teste de susceptibilidade, a concentração de vaborbactam é fixada em 8 mg/l.
Carbapenêmicos Ponto de corte p/ CIM (mg/L)
66
Pontos de corte PK/PD (Não relacionados à espécie) Tabela de Pontos de Corte Clínicos do BrCAST - EUCAST, ฀
válida a partir de 01-02-2019
S ≤ I R >
Azitromicina EI EI EI
Claritromicina EI EI EI
Eritromicina EI EI EI
Roxitromicina EI EI EI
Telitromicina EI EI EI
Clindamicina EI EI EI
Quinupristina-dalfopristina EI EI EI
S ≤ I R >
Doxiciclina EI EI EI
Minociclina EI EI EI
Tetraciclina EI EI EI
Tigeciclina 0,5
1
- >0,5
1
S ≤ I R >
Cloranfenicol EI EI EI
Colistina EI EI EI
Daptomicina EI EI EI
Fosfomicina iv EI EI EI
Fosfomicina oral EI EI EI
Ácido fusídico EI EI EI
Linezolida 2 4 >4
Metronidazol EI EI EI
Nitrofurantoína EI EI EI
Rifampicina EI EI EI
Espectinomicina EI EI EI
Trimetoprima EI EI EI
Sulfametoxazol-trimetoprima EI EI EI
Agentes diversos Ponto de corte CIM (mg/L)
Tetraciclinas Ponto de corte CIM (mg/L)
Macrolídeos, lincosamidas e estreptograminas Ponto de corte p/ CIM (mg/L)
1. Para a determinação da CIM de tigeciclina por microdiluição em caldo, o meio deve ser preparado fresco no dia do uso.
Notas
Notas
Notas
67
Dosagens
Penicilinas Dose Padrão Dose Alta Situações específicas
Benzilpenicilina1
0,6 g1
(1 MU) x 4 iv 1,2 g1
(2 UM) x 4-6 iv Meningite:
Para uma dose de 2,4 g (4 MU) x 6 iv, isolados com CIM 0,06 mg/L são sensíveis.
Na pneumonia causada por S. pneumoniae os pontos de corte são relacionados
com a dosagem:
Para a dose de 1,2 g (2 MU) x 4 iv, isolados com CIM ≤0,5 mg/L são sensíveis.
Para a dose de 2,4 g (4 MU) x 4 iv ou 1,2 g (2 MU) x 6 iv, isolados com CIM ≤1 mg/L
são sensíveis.
Para a dose de 2,4 x 6 iv, isolados com CIM ≤2 mg/L são sensíveis.
Ampicilina 2 g x 3 iv 2 g x 4 iv Meningite: 2g x 6 iv
Ampicilina-sulbactam (2 g ampicilina + 1 g sulbactam) x 3 iv (2 g ampicilina + 1 g sulbactam) x 4 iv
1 g x 3-4 iv 2 g x 6 iv Meningite: 2g x 6 iv
em revisão
Amoxicilina oral 0,5 g x 3 0,75 g - 1g x 3 H. influenzae: somente doses altas
(1 g de amoxicilina + 0,2 g de ác. clavulânico) x 3-4 iv (2 g de amoxicilina + 0,2 g de ác. clavulânico) x 3 iv
em revisão
Amoxicilina-ácido clavulânico oral (0,5 g amoxicilina + 0,125 g ác. clavulânico) x 3 (0,875 g amoxicilina + 0,125 g ác. clavulânico) x 3 H. influenzae: somente doses altas
Piperacilina 4 g x 3 iv 4 g x 4 iv Pseudomonas spp.: Somente doses altas
Piperacilina-tazobactam (4 g piperacilina + 0,5 g tazobactam) x 3 iv (4 g piperacilina + 0,5 g tazobactam) x 4 iv Pseudomonas spp.: Somente doses altas
Ticarcilina 3 g x 4 iv 3 g x 6 iv Pseudomonas spp.: Somente doses altas
Ticarcilina-ácido clavulânico (3 g ticarcilina + 0,1/0,2 g ác. clavulânico) x 4 iv (3 g ticarcilina + 0,1 g ácido clavulânico) x 6 iv Pseudomonas spp.: Somente doses altas
Fenoximetilpenicilina 0,5-2 g x 3-4 oral
dependendo da espécie e ou tipo de infecção
Não há
Oxacilina 1 g x 4 iv 1 g x 6 iv
Cloxacilina 0,5 g x 4 oral ou 1 g x 4 iv 1 g x 4 oral ou 2 g x 6 iv
Dicloxacilina 0,5-1 g x 4 oral ou 1 g x 4 iv 2 g x 4 oral ou 2 g x 6 iv
Flucloxacilina 1 g x 3 oral ou 2 g x 4 iv (ou 1 g x 6 iv) 1 g x 4 oral ou 2 g x 6 iv
Mecilinam 0,2 g x 3 oral 0,4 g x 3 oral
Tabela de Pontos de Corte Clínicos do BrCAST - EUCAST, ฀
válida a partir de 01-02-2019
Os pontos de corte do EUCAST são baseados nas seguintes dosagens (consultar a seção 8 em Documentos do Racional). Regimes de dosagem alternativos que resultam em exposição equivalente
são aceitáveis. A tabela não deve ser considerada uma orientação exaustiva para a dosagem na prática clínica, e não substitui as diretrizes específicas locais, nacionais ou regionais.
Amoxicilina iv
Amoxicilina-ácido clavulânico iv
68
Dosagens
Cefalosporinas Dose Padrão Dose Alta Situações específicas
Cefaclor 0,25-1 g x 3 oral
dependendo da espécie e ou tipo de infecção
Não há Staphylococcus spp.: Dose mínima 0,5 g x 3
Cefadroxila 0,5-1 g x 2 oral
dependendo da espécie e ou tipo de infecção
Não há
Cefalexina 0,25-1 g x 2-3 oral
dependendo da espécie e ou tipo de infecção
Não há
Cefazolina 1 g x 3-4 (ou 2 g x 3) iv
dependendo da espécie e ou tipo de infecção
Não há
Cefepima 1 g x 3 ou 2 g x 2 iv 2 g x 3 iv Pseudomonas spp.: somente doses altas
Cefixima 0,2-0,4 g x 2 Não há Gonorreia: 0,4 g oral em dose única
Cefotaxima 1 g x 3 iv 2 g x 3 iv Meningite: 2 g x 4 iv
S. aureus: somente doses altas
Gonorreia: 0,5 g im em dose única
Cefpodoxima 0,1-0,2 g x 2 oral
dependendo da espécie e ou tipo de infecção
Não há
Ceftarolina 0,6 g x 2 iv infusão em 1 hora 0,6 g x 3 iv infusão em 2 horas S. aureus em infecções de pele complicadas: Existem algumas evidências de PK/PD
que sugerem que isolados com CIM de 4 mg/L podem ser tratados com doses altas.
Ceftazidima 1 g x 3 iv 2 g x 3 iv ou 1 g x 6 iv Pseudomonas spp.: Somente doses altas
Ceftazidima-avibactam (2 g ceftazidima + 0,5 g avibactam) x 3 infusão em 2 horas Não há
Ceftibuten 0,4 g x 1 oral Não há
Ceftobiprole 0,5 g x 3 iv infusão em 2 horas Não há
Ceftolozana-tazobactam (1 g ceftolozana + 0,5 g tazobactam) x 3 iv infusão em 1 hora Em avaliação
Ceftriaxona 1 g x 1 iv 2 g x 2 iv Meningite: 4g x 1 iv
S. aureus: somente doses altas
Gonorreia: 0,5 g im em dose única
Cefuroxima iv 0,75 g x 3 iv 1,5 g x 3 iv E. coli, Klebsiella spp. (exceto K. aerogenes ), Raoultella spp. e
P. mirabilis: Somente doses altas
Cefuroxima oral 0,25-0,5 g x 2 oral
dependendo da espécie e ou tipo de infecção
Não há
Carbapenêmicos Dose Padrão Dose Alta Situações específicas
Doripenem
Ertapenem 1 g x 1 iv durante 30 minutos Não há
Imipenem 0,5 g x 4 iv durante 30 minutos 1 g x 4 iv durante 30 minutos Pseudomonas spp.: Somente doses altas
Acinetobacter spp.: Somente doses altas
Meropenem 1 g x 3 iv durante 30 minutos 2 g x 3 iv durante 3 horas Meningite: 2 g x 3 iv em 30 minutos (ou 3 horas)
Meropenem-vaborbactam (2 g meropenem + 2 g vaborbactam) x 3 iv durante 3 horas Não há
Monobactâmicos Dose Padrão Dose Alta Situações específicas
Aztreonam 1 g x 3 iv 2 g x 4 iv Pseudomonas spp.: Somente doses altas
Tabela de Pontos de Corte Clínicos do BrCAST - EUCAST, ฀
válida a partir de 01-02-2019
69
Dosagens
Fluoroquinolonas Dose Padrão Dose Alta Situações específicas
Ciprofloxacino 0,5 g x 2 oral ou 0,4 g x 2 iv 0,75 g x 2 oral ou 0,4 g x 3 iv Pseudomonas spp.: Somente doses altas
Acinetobacter spp.: Somente doses altas
Staphylococcus spp.: Somente doses altas
Gonorreia: 0,5 g oral em dose única.
Levofloxacino 0,5 g x 1 oral ou 0,5 g x 1 iv 0,5 g x 2 oral ou 0,5 g x 2 iv Pseudomonas spp.: Somente doses altas
Acinetobacter spp.: Somente doses altas
Streptococcus grupo A, B, C e G: Somente doses altas
S. pneumoniae : Somente doses altas
Moxifloxacino 0,4 g x 1 oral ou 0,4 g x 1 iv Não há
Norfloxacino 0,4 g x 2 oral Não há
Ofloxacino 0,2 g x 2 oral ou 0,2 g x 2 iv 0,4 g x 2 oral ou 0,4 g x 2 iv Staphylococcus spp.: Somente doses altas + combinação
Aminoglicosídeos Dose Padrão Dose Alta Situações específicas
Amicacina 20 mg/kg x 1 iv 30 mg/kg x 1 iv Enterobacteriaceae : Somente doses altas
Pseudomonas spp.: Somente doses altas
Acinetobacter spp.: Somente doses altas
Gentamicina 5 mg/kg x 1 iv 7 mg/kg x 1 iv Enterobacteriaceae : Somente doses altas
Pseudomonas spp.: Somente doses altas
Acinetobacter spp.: Somente doses altas
Netilmicina 5 mg/kg x 1 iv 7 mg/kg x 1 iv Enterobacteriaceae : Somente doses altas
Pseudomonas spp.: Somente doses altas
Acinetobacter spp.: Somente doses altas
Tobramicina 5 mg/kg x 1 iv 7 mg/kg x 1 iv Enterobacteriaceae : Somente doses altas
Pseudomonas spp.: Somente doses altas
Acinetobacter spp.: Somente doses altas
Glicopeptídeos e lipopeptídeos Dose Padrão Dose Alta Situações específicas
1 g x 1 iv durante 30 minutos no dia 1
Se necessário, 0,5 g x 1 iv durante 30 minutos no dia 8
Oritavancina 1,2 g x 1 (dose única) iv durante 3 h Não há
Teicoplanina 0,4 g x 1 iv 0,8 g x 1 iv
Telavancina 10 mg/kg x 1 iv durante 1 h Não há
0,5 g x 4 iv ou 1 g x 2 iv
ou 2 g x 1 por infusão contínua
Macrolídeos, lincosamidas e
estreptograminas
Dose Padrão Dose Alta Situações específicas
Azitromicina 0,5 g x 1 oral ou 0,5 g x 1 iv Não há Gonorreia: 2 g oral em dose única
Claritromicina 0,25 g x 2 oral 0,5 g x 2 oral
Eritromicina 0,5 g x 2-4 oral ou 0,5 g x 2-4 iv 1 g x 4 oral ou 1 g x 4 iv
Roxitromicina 0,15 g x 2 oral Não há
Telitromicina 0,8 g x 1 oral Não há
Clindamicina 0,3 g x 2 oral ou 0,6 g x 3 iv 0,3 g x 4 oral ou 0,9 g x 3 iv
Quinupristina-dalfopristina 7,5 mg/kg x 2 7,5 mg/kg x 3
Dalbavancina Não há
Não há
Vancomicina
Tabela de Pontos de Corte Clínicos do BrCAST - EUCAST, ฀
válida a partir de 01-02-2019
Baseado no peso corporal. O monitoramento terapêutico deve orientar a dosagem.
70
Dosagens
Tetraciclinas Dose Padrão Dose Alta Situações específicas
Doxiciclina 0,1 g x 1 oral 0,2 g x 1 oral
Eravaciclina 1 mg/kg x 2 iv Não há
Minociclina 0,1 g x 2 oral Não há
Tetraciclina 0,25 g x 4 oral 0,5 g x 4 oral
Tigeciclina 0,1 g dose de ataque seguida por 50 mg x 2 iv Não há
Oxazolidinonas Dose Padrão Dose Alta Situações específicas
Linezolida 0,6 g x 2 oral ou 0,6 g x 2 iv Não há
Tedizolida 0,2 g x 1 oral Não há
Agentes Diversos Dose Padrão Dose Alta Situações específicas
Cloranfenicol 1 g x 4 oral ou 1 g x 4 iv 2 g x 4 oral ou 2 g x 4 iv Neisseria meningitidis: Somente doses altas
Polimixina B 15.000 - 25.000 U/Kg/dia IV, divididas 12/12h 30.000 U/Kg/dia IV, divididas 12/12h
Colistina 4,5 MU x 2 iv com dose de ataque de 9 MU Não há
Daptomicina 4 mg/kg x 1 iv 6 mg/kg x 1 iv
Fosfomicina iv 4 g x 3 iv 8 g x 3 iv
Fosfomicina oral 3 g x 1 oral em dose única Não há
Ácido fusídico 0,5 g x 2 oral ou 0,5 g x 2 iv 0,5 g x 3 oral ou 0,5 g x 3 iv
Metronidazol 0,4 g x 3 oral ou 0,4 g x 3 iv 0,5 g x 3 oral ou 0,5 g x 3 iv
Nitrofurantoína 50-100 mg x 3-4 oral Não há A dosagem dependente da formulação do fármaco.
Nitroxolina 0,25 g x 3 Não há
Rifampicina 0,6 g x 1 oral ou 0,6 g x 1 iv 0,6 g x 2 oral ou 0,6 g x 2 iv
Espectinomicina 2 g x 1 im Não há Gonorreia: 2 g oral em dose única
Trimetoprima 0,16 g x 2 oral Não há
(0,8 g sulfa + 0,16 g trimetoprima) x 2 oral (1,2 g sulfa + 0,24 g trimetoprima + ) x 2 oral
ou (0,8 g sulfa + 0,16 g trimetoprima) x 2 iv ou (1,2 g sulfa + 0,24 g trimetoprima) x 2 iv
Stenotrophomonas maltophilia : Somente doses altas
1- Para benzilpenicilina (penicilina G cristalina) a correspondência entre unidades internacionais (U) e miligramas (mg) é padronizada e depende do sal: 1.667 U/mg, para o sal sódico e 1.595 U/mg, para o sal potássico.
Sulfametoxazol-Trimetoprima
Tabela de Pontos de Corte Clínicos do BrCAST - EUCAST, ฀
válida a partir de 01-02-2019
Redefinição das categorias dos
testes de sensibilidade S, I e R.
Gunnar Kahlmeter e Comitê Gestor do EUCAST
Redefinição S, I e R 2019 - www.eucast.org
Esta apresentação pode ser usada tal como está, traduzida ou
adaptada. Deve incluir a citação Esta apresentação pode ser
consultada na sua versão original em www.eucast.org .
A apresentação descreve alterações nas definições das categorias
dos testes de sensibilidade S, I e R e as suas consequências. As
alterações entram em vigor com a tabela de pontos de corte
EUCAST v 9.0 (2019).
Redefinição S, I e R 2019 - www.eucast.org
Redefinição S, I e R 2019 - www.eucast.org
O Comitê Gestor do EUCAST (CG) decidiu alterar as definições
das categorias dos testes de sensibilidade mas manter as
abreviaturas S, I e R.
Esta decisão foi tomada em Junho, 2018, após três consultas
gerais (2015, 2017 e 2018). Os resultados destas consultas estão
disponíveis em www.eucast.org (ver Consultations).
As novas difinições são válidas a partir de 01-01-2019 (Tabela de
Pontos de Corte EUCAST v. 9.0).
As definições S, I e R desde 2002 – 2018
As defi ições a tigas
Desde 2002, o EUCAST tem usado as seguintes definições para categorizar os
microrganismos como possibilidade de utilização de determinado antimicrobiano
no seu tratamento.
Os pontos de corte na Tabela de Pontos de Corte são clínicos, i.e. são utilizados
para predizer a resposta clínica no paciente infetado.
S = Sensível
I = Intermediário
R = Resistente
Redefinição S, I e R 2019 - www.eucast.org
Redefinição S, I e R 2019 - www.eucast.org
Definições
2002
–
2018
(
aàdefi
içãoàa
tiga
Definições do EUCAST relativamente aos pontos de corte clínicos e valores de cut-off epidemiológicos
Resistência clínica e pontos de corte clínicos
Clinicamente Sensível (S)
• Um microrganismo é definido como sensível a determinado antimicrobiano quando é elevada a probabilidade
de sucesso terapêutico.
• Um microrganismo é considerado (S) aplicando o ponto de corte apropriado num determinado teste fenotípico.
• Este ponto de corte pode ser alterado quando legitimado por alteração das circunstâncias.
Clinicamente Intermediário (I)
• Um microrganismo é definido como intermediário a determinado antimicrobiano quando existe um certo grau
de incerteza na sua eficácia terapêutica. Implica que a infecção causada por este isolado pode ser tratada se
ocorrer em locais onde o fármaco esteja fisicamente concentrado ou quando altas doses do fármaco possam
ser usadas; também indica uma zona de transição que pode prevenir pequenos erros técnicos não
controláveis, evitando causar discrepâncias maiores na interpretação.
• Um microrganismo é categorizado como intermediário (I) por aplicação do ponto de corte apropriado a um
determinado teste fenotípico.
• Este ponto de corte pode ser alterado quando legitimado por alteração das circunstâncias.
Clinicamente resistente (R)
• Um microrganismo é definido como resistente a determinado antimicrobiano quando associado a elevada
probabilidade de falha terapêutica.
• Um microrganismo é categorizado como resistente (R) por aplicação do ponto de corte apropriado a um
determinado teste fenotípico.
• Este ponto de corte pode ser alterado quando legitimado por alteração das circunstâncias.
Pontos de corte clínicos são apresentados como S<=x mg/L; I>x, <=y mg/L; R>y mg/L
Na antiga definição a categoria intermediário no
resultado do TSA não era clara
Redefinição S, I e R 2019 - www.eucast.org
U à i rorga is oàéàdefi idoà o oài ter ediárioàporàu à ívelà
de atividade do antimicrobiano associado a um efeito terapêutico
incerto. Isto implica que uma infecção causada por este agente
pode ser apropriadamente tratada em sítios anatômicos onde o
antimicrobiano esteja fisiologicamente concentrado ou quando
uma dose alta do antimicrobiano pode ser utilizada; também
indica uma zona tampão para impedir que fatores técnicos
menores, não controlados, causem discrepâncias maiores nas
interpretações.
A antiga definição de intermediário engloba quatro
definições numa só
1. Efeito terapêutico incerto (farmacologia/microbiologia)
2. Onde os antimicrobianos são fisiologicamente
concentrados (farmacocinética)
3. Quando uma dose alta possa ser utilizada
(farmacologia/toxicologia)
4. Uma zona tampão para impedir erros técnicos
(metodologia)
Redefinição S, I e R 2019 – www.eucast.org
Resultados intermediários incluem…
• Incerteza
– Efeito terapêutico incerto
– Resultado laboratorial incerto
• Exposição
– Antimicrobiano fisiologicamente concentrado
– Estratégia terapêutica (dose, frequência, modo de
administração)
Redefinição S, I e R 2019 - www.eucast.org
Incerteza e Exposição
• Incerteza
– responsibilidade dos comitês de pontos de corte
Pontos de corte devem evitar dividir as distribuições de CIM da
população selvagem de espécies importantes; caso contrário a
reprodutibilidade nos TSA não poderá ser atingida.
– responsibilidade dos laboratórios
Os laboratórios são responsáveis por utilizar métodos e critérios
interpretativos apropriados e pelo controle de qualidade (CQ) dos
seus resultados.
Redefinição S, I e R 2019 - www.eucast.org
• Exposição
– Responsabilidade dos comitês de pontos de corte
Os comitês de pontos de corte devem informar aos usuários sobre
estratégias terapêuticas relevantes para os pontos de corte e sob
quais outras condições os pontos de corte são válidos.
– Responsabilidade dos clínicos
É possível ajustar o nível de exposição alterando a estratégia de
dosagem; dose individual, frequência da dose, de oral para
intravenosa, de intermitente para infusão contínua.
Incerteza e Exposição
Redefinição S, I e R 2019 - www.eucast.org
O nível atingível de exposição* depende de muitos fatores.
Diferenças individuais na farmacocinética são permitidas nos cálculos dos índices
farmacodinâmicos por simulação populacional. Outros fatores que se seguem são
determinados pelo local da infeção e podem variar ao longo da terapia:
1. Local da infeção
– concentração em certos tecidos e fluidos corporais pode ser alta (urina, bile, tecidos linfáticos)
2. Dose e frequência da administração
3. Modo de administração (oral, intravenosa, infusão intravenosa, etc)
*Exposição é a função de como o modo de administração, dose, intervalo entre as doses, tempo de
infusão, assim como a distribuição, o metabolismo e excreção do antimicrobiano irão influenciar o
organismo infectante no local da infecção.
Todos os pontos de corte clínicos estão relacionados a um nível
atingível de exposição* do microrganismo
Redefinição S, I e R 2019 - www.eucast.org
Dosagens e modos de administração estão na tabela
de pontos de corte do EUCAST
Os pontos de corte do EUCAST estão relacionados com as doses e modos de
ad i istraçãoàlistadosàpeloàEUCá“Tà osàdo u e tosàdoà Rationale àeà aà
tabela de pontos de corte, na aba Dosagens.
Com esquemas terapêuticos diferentes dos listados nas tabelas EUCAST, os
pontos de corte podem ser inválidos.
Por este motivo o EUCAST fez um grande esforço para consultar todos os
países a fim de verificar se as doses e o modos de administração listados nos
documentos do EUCAST são representativos das práticas internacionais.
Redefinição S, I e R 2019 - www.eucast.org
Novas definições de S, I e R
• As alterações nas definições das categorias S e R são menores.
Elas enfatizam a relação entre a categoria de sensibilidade e o
nível de exposição.
• As alterações na categoria I terão impacto maior em nível
clínico e técnico e afetarão a vigilância epidemiológica da
resistência antimicrobiana. Estas alterações implicaram na
mudança de alguns pontos de corte.
Redefinição S, I e R 2019 - www.eucast.org
As novas definições refletem a necessidade de exposição correta e a
responsabilidade dos laboratórios pela resolução das dificuldades
técnicas antes da finalização do TSA.
Os esquemas terapêuticos relevantes para os pontos de corte do EUCAST
estão disponíveis na tabela de pontos de corte, na aba Dosagens.
Estas são as novas definições:
As novas definições S, I e R
Redefinição S, I e R 2019 - www.eucast.org
Sensível, dosagem padrão ( S )
Redefinição S, I e R 2019 - www.eucast.org
S - Sensível, dose padrão: Um microrganismo é categorizado
como Sensível, dosagem padrão*, quando há uma alta
probabilidade de sucesso terapêutico utilizando o regime de
dosagem padrão do agente.
*Exposição depende do modo como, a via de administração, a dose, o intervalo entre as doses, o
tempo de infusão assim com a distribuição, o metabolismo e a excreção do antimicrobiano,
influenciam o microrganismo no local da infecção.
Sensível, aumentando exposição ( I )
I – Sensível, aumentando exposição: Um microrganismo é
categorizado como Sensível, aumentando exposição* quando há
uma alta probabilidade de sucesso terapêutico porque a exposição
foi aumentada ajustando-se o regime de dosagem ou sua
concentração no local de infecção.
*Exposição depende do modo como, a via de administração, a dose, o intervalo entre as doses, o
tempo de infusão assim com a distribuição, o metabolismo e a excreção do antimicrobiano,
influenciam o microrganismo no local da infecção.
Redefinição S, I e R 2019 - www.eucast.org
Resistente ( R )
R - Resistente: um microrganismo é categorizado como
Resistente quando há alta probabilidade de falha terapêutica
mesmo quando há aumento da exposição*.
*Exposição depende do modo como, a via de administração, a dose, o intervalo entre as doses, o
tempo de infusão assim com a distribuição, o metabolismo e a excreção do antimicrobiano,
influenciam o microrganismo no local da infecção.
Redefinição S, I e R 2019 - www.eucast.org
Redefining S, I and R 2019 -
www.eucast.org
SIR – as definições antigas
Resistente
Intermediário
Efeito incerto.
Zona tampão para variações técnicas.
Para dose alta.
Por razões farmacocinéticas está concentrado.
Sensível
Redefining S, I and R 2019 -
www.eucast.org
SIR - novas definições 2019
Sensível
Exposição
normal
Exposição
aumentada
Resistente
Decisão EUCAST 2018
• Alterar a definição de S, I e R.
• Manter as abreviaturas S, I e R.
• Enfatizar a relação entre exposição do microrganismo nos
locais de infeção e o ponto de corte, e encarregar os Comitês
Nacionais de TSA (National AST Committees-NAC) de informar
os colegas sobre a relação entre o esquema terapêutico e os
pontos de corte.
• Encarregar os laboratórios a assumir a responsabilidade de
lidarà o à variaçãoàté i aàeàerros .à
Redefinição S, I e R 2019 - www.eucast.org
Co àaàdefi içãoà odifi adaàdaà ategoriaà ategoria-I ….
….aàú i aàdifere çaàe tre “ àeà I àéàaà ua tidadeàdeàfár a o,à oà
local da infecção, necessária para obter uma resposta clínica
adequada.
O ter oà i ter ediário àéàsu stituídoàpelaàexpressão
“e sível,àexposição aumentada ,à asàaàa reviaturaàreportadaà
o ti uaàaàserà I .
Redefinição S, I e R 2019 - www.eucast.org
Mantendo as abreviaturas S, I e R
• EUCAST decidiu manter as abreviaturas.
• Há bons argumentos, tanto a favor como contra, relativamente à
alteração das abreviaturas. Contudo, durante o processo de consulta
uma clara maioria recomendou a sua não alteração neste momento.
Contudo, o EUCAST não exclui a possibilidade de vir a mudar no
futuro. Os fabricantes dos LIS e de equipamentos de TSA devem,
urgentemente, verificar como as alterações das abreviaturas
utilizadas para designar a categoria I afetarão os seus sistemas e
informar o EUCAST.
Redefinição S, I e R 2019 - www.eucast.org
Alguns pontos de corte serão revistos para se
adequarem às novas definições S, I e R
Microrganismo Antimicrobiano Ponto de corte 2018
mg/L
Ponto de corte 2019
mg/L
Pseudomonas Aztreonam 1 / 16 16 / 16
Enterococcus Trimetoprima WT categoria - I Nota+ECOFF
Enterococcus Trimetoprima-
sulfametoxazol
WT categoria - I Nota+ECOFF
N. meningitidis Cloranfenicol 2 / 4 2 / 2
H. influenzae Cefpodoxima 0,25 / 0,5 0,25 / 0,25
Proteus
Morganella
Providencia
Imipenem 2 / 4 0.12 / 4
Acinetobacter Ciprofloxacino 1 / 1 0,06 / 1
Inconsistências nos pontos de corte 2019
Há algumas inconsistências no novo sistema- isto necessita de ser corrigido, mais
provavelmente já em 2020.
• O tratamento de infeções por Pseudomonas spp. requer aumento de exposição para a
maioria dos antimicrobianos ativos (incluindo imipenem, mas possivelmente excluindo o
meropenem – assim, Pseudomonas selvagens deveriam ter sido categorizadas como
“e sível,àau e ta doàexposição àrelativa e teàaàtodosàosàa ti i ro ia osài porta tes.àOà
comitê decidiu que era necessário mais tempo para explicar que meropenem não deve ser
preferido a outros antimicrobianos.
• O tratamento de Enterobacterales com aminopenicilinas e cefuroxima, de S. aureus com
ciprofloxacino e S. pneumoniae com levofloxacino requerem aumento da exposição e
deveria àteràsidoà ategorizadosà o oà “e sível,àau e ta doàexposição .à
• Uma consulta geral sobre estes assuntos será necessária antes que uma decisão final possa
seràto adaàdura teà 9.àátéàlá,àdeveàseràreportadoà o oà “e sível à o àu aà otaàparaà
e fatizaràaà e essidadeàdeà au e toàdaàexposição .
Redefinição S, I e R 2019 - www.eucast.org
Inconsistências nos pontos de corte 2019, continuação
Nestes casos os laboratórios devem considerar adicionar uma nota
acerca da necessidade de uma alta exposição, particularmente
com...
• Pseudomonas e piperacilina-tazobactam, ceftazidima, cefepima,
imipenem, aztreonam, fluoroquinolonas, aminoglicosídeos.
• Enterobacterales e aminopenicilinas (com ou sem inibidor) e
cefuroxima.
Redefinição S, I e R 2019 - www.eucast.org
Nova terminologia
• U àorga is oàai daàpodeàseràreportadoà o oà Sensível (S àeà Resistente (R ,à asà ãoà
podeà aisàseràreportadoàutiliza doàaàpalavraà i ter ediário àaàu àa ti i ro ia o.àE àvezà
disso,àdeveàseràreportadoà o oà Sensível, aumentando exposição à asàai daà o àaà
a reviaturaà I .
O EUCAST sugere que durante 2019 uma das seguintes observações (uma mais longa e outra
mais curta) deva ser incluída nos resultados de TSA:
• Um microrganismo é categorizado como Sensível, aumentando exposição (abreviatura I à
quando há uma alta probabilidade de sucesso terapêutico porque a exposição ao agente
pode ser aumentada no local da infecção, ajustando-se o regime terapêutico, modo de
administração ou porque a concentração é naturalmente elevada no local da infecção (ver
http://www.eucast.org/clinical_breakpoints/).
• Um isolado pode ser categorizado como Sensível, aumentando exposição (abreviatura I à
ao antimicrobiano, desde que seja possível uma maior exposição do microrganismo (dose,
frequência, modo de administração).
Redefinição S, I e R 2019 - www.eucast.org
Nova terminologia
– A seguinte linguagem é apropriada após a mudança nas definições:
• O isolado pertence à categoria S, I ou R.
• O isolado pertence à categoria de sensibilidade S, I ou R.
• O isolado é sensível (que inclui S e I).
• O isolado é sensível na dose padrão (que inclui S).
• O isolado é sensível só se for possível aumentar a exposição (que inclui I).
• O isolado é resistente (que inclui R).
• Resultados dos testes de sensibilidade- reportar os isolados como S, I ou R
Redefinição S, I e R 2019 - www.eucast.org
Vigilância da resistência antimicrobiana
Tem sido uma prática comum combinar as categorias de
sensibilidade Resistente àeà Intermediário àcomo não-sensíveis,
ao reportar as taxas de resistência. A partir de 2019, isto não será
mais considerado correto.
Para fins de vigilância, evite a combinação de categorias –
apresente S, I e R separadamente.
• Se houver a necessidade de combiná-las, então combine S e I e
apresente R separadamente.
Redefinição S, I e R 2019 - www.eucast.org
Problemas técnicos laboratoriais e resultados duvidosos
• A definição antiga de I abrange um grau de incerteza e/ou de
problemas técnicos que não podem ser controlados.
• Esta parte da definição foi removida e o EUCAST tem
identificado situações óbvias, onde os laboratórios devem
tomar uma atitude para evitar que resultados altamente
duvidosos sejam reportados.
• Existem situações em que a baixa reprodutibilidade dos
resultados é previsível.
Redefinição S, I e R 2019 - www.eucast.org
Comitês de pontos de corte e laboratórios têm a
tarefa de minimizar problemas técnicos no TSA.
Problemas técnicos tipicamente aparecem quando
1. um ponto de corte divide a população selvagem.
2. um ponto de corte divide a população resistente.
3. Há uma variação não controlada do teste.
– Baixa qualidade do material do TSA (caldo, ágar, discos, dispositivos,
etc).
– Calibração incorreta/falha na validação dos procedimentos do TSA.
– Más práticas de CQ no laboratório.
Redefinição S, I e R 2019 - www.eucast.org
Alguns exemplos nos quais um alerta é necessário sobre
resultados duvidosos e com baixa reprodutibilidade
• Amoxicilina-ácido clavulânico vs. Enterobacterales.
– A distribuição da população selvagem da maioria das Enterobacterales termina em 8 mg/L.
A relação PK/PD da amoxicilina indica um ponto de corte máximo de 8 mg/L e somente se
uma exposição aumentada for obtida. Para ITU, uma dose padrão permitirá um ponto de
corte de 32 mg/L. Infelizmente, ao obter resultados de testes de CIMs ou disco-difusão, há
uma baixa reprodutibilidade ao redor de 16 mg/L.
• Piperacilina-tazobactam vs. Enterobacterales.
– A distribuição da população selvagem da maioria das Enterobacterales termina em 8 mg/L.
A relação PK/PD da piperacilina indica um ponto de corte de 8/16 mg/L com a maior
exposição possível pra organismos na categoria – I. Infelizmente, ao obter resultados de
testes de CIMs ou disco-difusão, há uma baixa reprodutibilidade ao redor de 16 mg/L.
Redefinição S, I e R 2019 - www.eucast.org
O EUCAST aconselhará os laboratórios de como lidar
com os resultados duvidosos de TSA
Os diapositivos a seguir são dirigidos principalmente para os
laboratórios de microbiologia
Redefinição S, I e R 2019 – www.eucast.org
Redefinindo as categorias de testes de sensibilidade
S, I e R -
Consequências para os laboratórios.
Redefining S, I and R 2019 -
www.eucast.org
Gunnar Kahlmeter e Comitê Gestor do EUCAST
Área de Incerteza Técnica (AIT)
• A capacidade do EUCAST para detectar áreas, onde a incerteza técnica
é tal que afeta seriamente o valor preditivo do teste de sensibilidade
antimicrobiana (TSA) tem melhorado.
• Em 2019, será introduzido o termo áIT à oàtesteàdeàsensibilidade,
onde um alerta é necessário para advertir o laboratório sobre a
incerteza do resultado do TSA.
• O alerta afeta o laboratório, não o clínico, e o laboratório precisa de
uma estratégia para (1) verificar a exatidão ou (2) para relatar a
incerteza do resultado.
Redefinição S, I e R 2019 - www.eucast.org
Para verificar a exatidão ou incerteza dos resultados
do TSA
Os alertas são tipicamente na forma de um intervalo definido de
CIM ou halo de inibição (sobreposição entre organismos sensíveis
e resistentes), onde a interpretação é duvidosa. O alerta é entre o
sistema de TSA e o laboratório, e o laboratório precisa decidir
como reagirá ao alerta.
Nos gráficos seguintes são apresentados alguns exemplos típicos
onde um alerta para o laboratório é mandatório.
Redefinição S, I e R 2019 - www.eucast.org
Alguns exemplos nos quais um alerta sobre resultados
duvidosos e com baixa reprodutibilidade é necessário
• Amoxicilina-ácido clavulânico vs. Enterobacterales.
– A distribuição da população selvagem da maioria das Enterobacterales termina em 8
mg/L. PK/PD da amoxicilina indica um ponto de corte máximo de 8 mg/L somente se
uma exposição aumentada for obtida. Para ITU, a dose padrão permitirá um ponto de
corte de 32 mg/L. Infelizmente, ao determinar os resultados dos testes por CIMs ou
disco-difusão, há uma área crítica de baixa reprodutibilidade ao redor de 16 mg/L.
• Piperacilina-tazobactam vs. Enterobacterales.
– A distribuição da população selvagem da maioria das Enterobacterales termina em 8
mg/L. PK/PD da piperacilina indica um ponto de corte de 8/16 mg/L com a máxima
exposição possível para os organismos na categoria I. Infelizmente, ao determinar os
resultados dos testes por CIMs ou disco-difusão, há uma área crítica de baixa
reprodutibilidade ao redor de 16 mg/L.
Redeinfição S, I e R 2019 - www.eucast.org
Amoxicilina-ácido clavulânico vs. Enterobacterales com pontos
de corte para ITU não complicadas
0
10
20
30
40
50
60
70
6
8
10
12
14
16
18
20
22
24
26
28
30
32
34
36
38
40
Nº
de
observações
Diâmetro do halo de inibição (mm)
Amoxicilina-ácido clavulânico 20-10 µg vs CIM
Enterobacterales, 325 isolados
≥128
64
32
16
8
4
2
1
0.5
CIM com concentração fixa de ácido clavulânico de 2 mg/L
CIM
(mg/L)
Pontos de corte (ITU não complicadas)
CIM S≤32, R>32 mg/L
Halo de inibição S≥16, R<16 mm
AIT desnecessária
Redefinição S, I e R 2019 – www.eucast.org
Amoxicilina-ácido clavulânico vs. Enterobacterales com
pontos de corte para infecções sistêmicas
0
10
20
30
40
50
60
70
6
8
10
12
14
16
18
20
22
24
26
28
30
32
34
36
38
40
Nº
de
observações
Diâmetro do halo de inibição (mm)
Amoxicilina-ácido clavulânico 20-10 µg vs CIM
Enterobacterales, 325 isolados
≥128
64
32
16
8
4
2
1
0.5
CIM com concentração fixa de ácido clavulânico de 2 mg/L
CIM
(mg/L)
Pontos de corte (infecções sistêmicas)
CIM S≤8, R>8 mg/L
Halo de inibição S≥19, R<19 mm
AIT 19-20 mm
Redefinição S, I e R 2019 – www.eucast.org
Piperacilina-tazobactam vs. Enterobacterales
0
10
20
30
40
50
60
70
80
90
100
6
8
10
12
14
16
18
20
22
24
26
28
30
32
34
36
38
40
No
de
obervações
Diâmetro do halo de inibição (mm)
Piperacilina-tazobactam 30-6 μg vs. CIM
Enterobacterales, 531 isolados (840 correlações)
≥128
64
32
16
8
4
2
≤1
CIM
(mg/L)
AIT 16 mg/L
17 – 19 mm
Pontos de corte
CIM S≤8, R>16 mg/L
Halo de inibição S≥20, R<17 mm
Redefinição S, I e R 2019 - www.eucast.org
Redefining S, I and R 2019 -
www.eucast.org
AIT 17 – 19 mm
Resultados de Piperacilina-
tazobactam para isolados
clínicos consecutivos e o
efeito da AIT of 17 – 19 mm
(3 – 4 % na AIT).
Ceftarolina vs. S. aureus
0
10
20
30
40
50
60
70
80
90
6
8
10
12
14
16
18
20
22
24
26
28
30
32
34
36
38
40
Nº
de
observações
Diâmetro do halo de inibição (mm)
Ceftarolina 5 µg vs. CIM
S. aureus, 216 isolados (593 correlações)
8
4
2
1
0.5
0.25
0.125
0.06
CIM
(mg/L)
Pontos de corte (pneumonia)
CIM S≤1, R>1mg/L
Halo de Inibição S≥20, R<20 mm
AIT 1 mg/L, 19-20 mm
Redefinição S, I e R 2019 – www.eucast.org
Ceftobiprole vs. S. aureus
0
5
10
15
20
25
30
6
8
10
12
14
16
18
20
22
24
26
28
30
32
34
36
38
40
Nº
de
observações
Diâmetro do halo de inibição (mm)
Ceftobiprole 5 µg vs. CIM
S. aureus, 114 isolados (228 correlações)
4
2
1
0.5
0.25
0.125
CIM
(mg/L)
Pontos de corte
CIM S≤2, R>2 mg/L
Halo de inibição S≥17, R<17 mm
AIT 2 mg/L, 16-17 mm
Redefinição S, I e R 2019 – www.eucast.org
Meropenem e Enterobacterales – Um dos muitos exemplos em que uma AIT não é necessária
0
10
20
30
40
50
60
70
80
90
100
6
8
10
12
14
16
18
20
22
24
26
28
30
32
34
36
38
40
Nº
de
observações
Diâmetro do halo de inibição (mm)
Meropenem 10 μg vs. CIM
Enterobacterales, 378 isolados (435 correlações)
≥32
16
8
4
2
1
0.5
0.25
0.125
0.06
0.03
≤0.016
CIM
(mg/L)
Pontos de corte
CIM S≤2, R>8 mg/L
Halo de inibição S≥22, R<16 mm
Redefinição S, I e R 2019 – www.eucast.org
Tabelas de Ponto de Corte v.9.0 EUCAST (2019) com colunas
para alertas de AIT para testes de CIM e/ou disco-difusão
S ≤ R > ATU S R < ATU
Benzylpenicillin - - - -
Ampicillin 81
8 10 14A,B
14B
Ampicillin-sulbactam 81,2
82
10-10 14A,B
14B
Amoxicillin 81
8 - NoteC
NoteC
Amoxicillin-clavulanic acid 81,3
83
20-10 19A,B
19B
19-20
Amoxicillin-clavulanic acid
(uncomplicated UTI only)
321,3
323
20-10 16A,B
16B
Piperacillin 8 16 30 20 17
Piperacillin-tazobactam 84
164
16 30-6 20 17 17-19
Ticarcillin 8 16 75 23 20
Ticarcillin-clavulanic acid 83
163
75-10 23 20
Temocillin Note5
Note5
Note5
Note5
Phenoxymethylpenicillin - - - -
Oxacillin - - - -
Cloxacillin - - - -
Dicloxacillin - - - -
Flucloxacillin - - - -
Mecillinam (uncomplicated UTI only)
E. coli, Klebsiella spp. (except K.
aerogenes ), Raoultella spp. and
P. mirabilis
86
86
10 15D
15D
1/A. Wild type Enterobacterales are categorised as susceptible to aminopenicillins.
Some countries prefer to categorise w ild type isolates of E. coli and P. mirabilis as "Susceptible, increased
exposure". When this is the case, use the MIC breakpoint S ≤ 0.5 mg/L and the corresponding zone diameter
breakpoint S ≥ 50 mm.
2. For susceptibility testing purposes, the concentration of sulbactam is fixed at 4 mg/L.
3. For susceptibility testing purposes, the concentration of clavulanic acid is fixed at 2 mg/L.
4. For susceptibility testing purposes, the concentration of tazobactam is fixed at 4 mg/L.
5. Breakpoints still under consideration.
6. Agar dilution is the reference method for mecillinam MIC determination.
B. Ignore grow th that may appear as a thin inner zone on some batches of Mueller-Hinton agars.
C. Susceptibility inferred from ampicillin.
D. Ignore isolated colonies w ithin the inhibition zone for E. coli.
Penicillins1 Disk
content
(µg)
Notes
Numbered notes relate to general comments and/or MIC breakpoints.
Lettered notes relate to the disk diffusion method.
MIC breakpoint
(mg/L)
Zone diameter
breakpoint (mm)
Redefinição S, I e R 2019 – www.eucast.org
Existem algumas propostas de AITs
Todas serão listadas nas tabelas de ponto de corte EUCAST 2019.
• Enterobacterales 4 antimicrobianos
• Pseudomonas spp. 3 antimicrobianos
• Staphylococcus spp. 3 antimicrobianos
• H. influenzae 8 antimicrobianos
• Outras espécies 0 antimicrobianos
Redefinição S, I e R 2019 - www.eucast.org
AITs preliminares para Enterobacterales, Pseudomonas e Staphylococcus
Microrganismo Antimicrobiano CIM
(mg/L, AIT)
Halo de Inibicão
(mm, AIT)
Enterobacterales Amoxicilina-ácido clavulânico - 19-20
Piperacilina-tazobactam 16 17-19
Ceftarolina - 22-23
Ciprofloxacino 0.5 22-24
P. aeruginosa Piperacilina-tazobactam - 18-19
Ceftazidima-avibactam - 16-17
Colistina 4 -
S. aureus Ceftarolina 1 19-20
Ceftobiprole 2 16-17
Amicacina 16 15-19
S. Epidermidis Cefoxitina - 25-27
AITs preliminares
AITs Preliminares para H. influenzae
Microrganismo Antimicrobiano CIM
(mg/L, AIT)
Halo de Inibição
(mm, AIT)
H. influenzae Ampicilina 16-19
Amoxicilina-ácido
clavulânico
14-16
Piperacilina-tazobactam 0.5 24-27
Cefotaxima 25-27
Ceftriaxona 31-33
Cefuroxima (iv e oral) 2 25-27
Cefepima, Cefpodoxima
e Imipenem
Consultar o fluxograma
AITs preliminares
Como a AIT pode ser implementada na rotina laboratorial?
• Laboratórios sem suporte de TI (categorização manual dos resultados de disco-difusão
ou CIM em S ,I e R)
– Listar manualmente espécies/agentes com AITs e propostas de como lidar com cada uma.
• Laboratórios com suporte de TI (onde a categorização em S ,I e R é realizada
automaticamente na entrada dos resultados de CIM ou disco-difusão)
– Desenvolver um software para incluir algoritmos SE/ENTÃO como:
SE S. aureus e ceftarolina e CIM 1 mg/L (ou halo 19-20 mm), ENTÃO realize uma áÇÃO*…
SE E. coli e piperacillin-tazobactam CIM 16 mg/L (ou halo 18 – 19 mm), ENTÃO realize uma
áÇÃO*...
O princípio básico é o mesmo independentemente do método utilizado. Porém, a
AIT pode ocorrer em somente um dos sistemas (métodos).
• Disco-difusão
• Determinação da CIM
• Equipamentos de TSA semi-automatizados
*A ação pode variar – veja os próximos diapositivos para as ações propostas!
Disco-difusão (AIT)
• Se há interface com o sistema de informação, onde os
diâmetros dos halos de inibição são (manualmente ou
automaticamente) registrados para interpretação da
categoria:
– Introduza AIT (microrganismo, antimicrobiano, intervalo) para gerar
• “i alàdeàálerta àà so ,àluz,àasteris oà oàresultado preli i ar,à….
• Bloquear a interpretação automática e forçar decisões manuais
• Se a interface é manual, imprima a lista de AITs ou utilize a
versão impressa da tabela de pontos de corte do EUCAST.
Redefinição S, I e R 2019 – www.eucast.org
Determinação da CIM
• Leitura automática com interpretação informatizada da
determinação da CIM em todas as diluições testadas
– Introduza AIT (espécie, agente, intervalo) para gerar:
• “i alàdeàálerta àà so ,àluz,àasteris oà oàresultadoàpreli i ar,à….
• Bloquear a interpretação automática e forçar decisões manuais.
• Leitura manual de todas as diluições testadas para
determinação da CIM
– imprima a lista de AITs ou utilize a versão impressa da tabela de
pontos de corte do EUCAST.
Redefinição S, I e R 2019 – www.eucast.org
Equipamentos de TSA semi-automatizados
• Comece por verificar quais AITs podem ser detectadas em
relação ao usualmente pequeno número de diluições testadas
(2 – 4 diluições)
• Se AITs se situam fora da faixa de diluições testadas, o controle
será impossível
• Se AITs se situam dentro da faixa de diluições testadas, utilize
AIT tal como se fosse para a determinação da CIM (diapositivo
anterior)
Redefinição S, I e R 2019 – www.eucast.org
AIT – ações laboratoriais possíveis
• repita o teste – isto somente se houver uma razão para suspeitar de erro técnico.
• faça um teste alternativo (determine CIM, faça PCR, um teste para determinar o
mecanismo de resistência) – isto é importante quando o teste alternativo é conclusivo
(PCR para detectar os genes vanA ou vanB gene em enterococos, um teste de
betalactamase em H. influenzae).
• reporte os resultados nas AIT como duvidosos – isto pode ser conseguido deixando a
interpretação em branco + um comentário. Ou desenvolvendo o sistema de informática
laboratorial para colocar um asterisco (ao invés de S, I ou R), que irá se referir a um
comentário explicando a incerteza.
• reporte os resultados nas AIT como R . Se houver várias boas alternativas no resultado
do TSA, esta pode ser a opção mais fácil e segura.
• aproveite a oportunidade para discutir os resultados com o clínico.
Redefinição S, I e R 2019 – www.eucast.org
AIT – a ação apropriada pode variar com as
circunstâncias
• Se houver poucos antibióticos disponíveis para o clínico, ENTÃO tente
obter uma categorização precisa.
• Se em hemocultura, ENTÃO tente obter uma categorização precisa.
• Se pode ser resolvido com um método alternativo sem demora, então
tente obter uma categorização.
• Se houver muitas alternativas de antibióticos disponíveis, ENTÃO
reporte R (com ou sem comentário).
• Se o resultado deve ser reportado, ENTÃO inclua um comentário
discutindo a incerteza.
Redefinição S, I e R 2019 – www.eucast.org
O fim
….do começo….
Questões e comentários podem ser enviados para
gunnar.kahlmeter@eucast.org ou brcast@brcast.org.br
Redefinição S, I e R 2019 - www.eucast.org
Orientações do EUCAST para a detecção de
mecanismos de resistência e resistências
específicas de importância clínica
e/ou epidemiológica
Versão 2.01
Julho de 2017
1Baseada na versão 1.0 de dezembro de 2013 dos subcomitês do EUCAST para
detecção de mecanismos de resistência e resistências específicas de
importância clínica e/ou epidemiológica:
Christian G. Giske (Sweden, EUCAST Steering Committee and EARS-Net Coordination
Group; chairman), Luis Martinez-Martinez (Spain, EUCAST Steering Committee),
Rafael Cantón (Spain, chairman of EUCAST), Stefania Stefani (Italy), Robert Skov
(Denmark, EUCAST Steering Committee), Youri Glupczynski (Belgium), Patrice
Nordmann (France), Mandy Wootton (UK), Vivi Miriagou (Greece), Gunnar Skov
Simonsen (Norway, EARS-Net Coordination Group), Helena Zemlickova (Czech
republic, EARS-Net Coordination Group), James Cohen-Stuart (The Netherlands) and
Marek Gniadkowski (Poland).
Versão para o Português
Setembro de 2018
Comitê Brasileiro de Testes de Sensibilidade aos Antimicrobianos
2
Conteúdo
Seção
Página
1. Introdução 3
2. Enterobacteriaceae produtoras de carbapenemases 4
3. Enterobacteriaceae produtoras de β-lactamases de espectro estendido 11
4. Enterobacteriaceae produtoras de β-lactamases AmpC adquiridas 20
5. Bacilos Gram negativos resistentes a polimixina 27
6. P. aeruginosa e Acinetobacter resistentes aos carbapenêmicos 29
7. Staphylococcus aureus resistente à Meticilina (Oxacilina) 31
8. Staphylococcus aureus não sensível aos glicopeptídeos 34
9. Enterococcus faecium e Enterococcus faecalis resistentes à Vancomicina 39
10. S. pneumoniae não sensíveis à Penicilina 44
3
1. Introdução
O atual documento é uma atualização das diretrizes desenvolvidas pelo
subcomitê de mecanismos de resistência do EUCAST. O comitê diretor do EUCAST
desenvolveu essa atualização. O documento foi desenvolvido principalmente
para uso rotineiro em laboratórios de análises clínicas e não abrange os
procedimentos técnicos para identificação de mecanismos de resistência a nível
molecular por laboratórios de referência ou especializados. No entanto, grande
parte do conteúdo também é aplicável a laboratórios nacionais de referência.
Além disso, é importante notar que este documento não inclui a triagem de
portadores assintomáticos (colonização) de microrganismos multirresistentes ou
a detecção direta em amostras clínicas.
Todos os capítulos deste documento contêm uma definição do mecanismo ou
resistência específica, uma explicação da necessidade clínica e / ou de saúde
pública para a detecção do mecanismo ou resistência específica, uma descrição
sucinta dos métodos recomendados de detecção, e as referências das descrições
detalhadas dos métodos. A necessidade de identificação do mecanismo de
resistência e o nível de identificação necessários para fins de controle de infecção
ou saúde pública podem variar geograficamente e temporalmente, dependendo
da prevalência e da heterogeneidade dos diferentes mecanismos de resistência.
As diretrizes foram desenvolvidas através da realização de pesquisas na literatura
científica, e as recomendações são baseadas em estudos multicêntricos ou
múltiplos estudos individuais. Vários métodos atualmente em desenvolvimento
não foram incluídos nas diretrizes, uma vez que avaliações multicêntricas ou
múltiplas avaliações individuais ainda não foram concluídas. Versões preliminares
destas diretrizes foram objeto de ampla revisão através de listas de consultores
do EUCAST, do site do EUCAST e consultores do ECDC.
Tanto quanto possível foram utilizados termos genéricos para os produtos
apresentados no documento, mas excluir todos os nomes de produtos específicos
teria tornado algumas das recomendações pouco claras. Deve-se notar que
alguns mecanismos de resistência nem sempre conferem resistência clínica. Isso
possivelmente se deve ao fato que alguns mecanismos não estão sendo expressos
ou são expressos somente em baixos níveis o que não resulta em resistência
fenotípica. Assim, enquanto a detecção desses mecanismos pode ser relevante
para o controle de infecção e de saúde pública, pode não ser necessária para fins
clínicos. Em consequência, para alguns mecanismos, especialmente β-lactamase
de espectro estendido e carbapenemases em bacilos Gram-negativos, a detecção
do mecanismo em si não leva à classificação como clinicamente resistente.
ChristianG.Giske
Chairman of EUCAST- Past Chairman of the subcommittee on detection of resistance
mechanisms
4
2. Enterobacteriaceae produtoras de carbapenemases
Importância da detecção do mecanismo de resistência
Necessário para categorização clínica de sensibilidade
antimicrobiana
Não
Para propósitos de controle de infecção Sim
Para propósitos de saúde pública Sim
2.1 Definição
Carbapenemases são β-lactamases que hidrolisam penicilinas, cefalosporinas na
maioria dos casos, e em vários graus carbapenêmicos e monobactâmicos (estes
últimos não são hidrolisados por metalo-β-lactamases).
2.2 Importância clínica e/ou epidemiológica
O problema da disseminação de carbapenemases na Europa data da segunda metade
da década de 1990 em vários países mediterrâneos, e foi observada principalmente em
P. aeruginosa (1). No início dos anos 2000, a Grécia viveu uma epidemia de Verona
metalo-β-lactamase (VIM), codificada por integrons, em K. pneumoniae (2), seguido por
uma epidemia relacionada a K. pneumoniae produtora de carbapenemase (KPC), que é
atualmente a carbapenemase mais comum na Europa entre as Enterobacteriaceae (1).
Atualmente, as carbapenemases OXA-48 compreendem o grupo de carbapenemases
que mais rapidamente aumentam na Europa (3). Na Grécia e na Itália em torno de 60 e
15%, respectivamente, das K. pneumoniae invasivas são atualmente não sensíveis aos
carbapenêmicos (4). Em 2015, 13/38 países relataram disseminação inter-regional de
situação endêmica de Enterobacteriaceae produtoras de carbapenemase (CPE), em
comparação com 6/38 em 2013 (3). Outras carbapenemases particularmente
problemáticas são as New Delhi metalo-β-lactamases (NDMs), que são altamente
prevalentes no subcontinente indiano e no Oriente Médio e em várias ocasiões tem sido
importadas para a Europa (3), existe também exemplos de disseminação regional em
alguns países (5). As carbapenemases do tipo IMP são também comuns em algumas
partes do mundo (6).
As carbapenemases são uma fonte de preocupação, pois podem conferir resistência a
praticamente todos os β-lactâmicos, cepas produtoras de carbapenemases
frequentemente possuem mecanismos de resistência a uma ampla gama de agentes
antimicrobianos e infecções por Enterobacteriaceae produtoras de carbapenemase
estão associados a altas taxas de mortalidade (7-9).
2.3 Mecanismos de resistência
A grande maioria das carbapenemases são enzimas adquiridas, codificadas por genes
localizados em elementos transponíveis localizados em plasmídeos. As carbapenemases
são expressas em vários níveis e diferem significativamente tanto em relação às
características bioquímicas quanto em relação à sua atividade contra β-lactâmicos
específicos. O nível de expressão, as propriedades das β-lactamases e a associação
frequente com outros mecanismos de resistência (outras β-lactamases, efluxo e / ou
permeabilidade alterada) resultam numa ampla gama de fenótipos de resistência
observados entre isolados produtores de carbapenemase (10-11). A redução da
5
sensibilidade aos carbapenêmicos em Enterobacteriaceae pode, no entanto, também
ser causada por β-lactamases de espectro estendido (ESBL) ou enzimas AmpC quando
coexiste diminuição da permeabilidade devido à alteração ou redução da expressão de
porinas (12), e possivelmente também por proteínas ligantes de penicilina (13).
CPE normalmente apresentam diminuição de sensibilidade aos carbapenêmicos e na
maioria dos casos são resistentes as cefalosporinas (oximino) de espectro estendido
(ceftaxima, ceftriaxona, ceftazidima e/ou cefepime) (14). No entanto, com algumas
dessas enzimas (enzimas OXA-48-like) os organismos podem se apresentar totalmente
sensíveis às cefalosporinas. Atualmente, a maioria dos CPE podem expressar também
enzimas que hidrolisam cefalosporinas, tipo as ESBLS como CTX-Ms, e serem resistentes
às cefalosporinas. Carbapenemases são consideradas de grande importância
epidemiológica, particularmente quando conferem redução da sensibilidade a qualquer
um dos carbapenêmicos (imipenem, meropenem, ertapenem e doripenem), ou seja,
quando as CIMs estão acima dos valores dos pontos de corte epidemiológicos (ECOFF)
definidos pelo EUCAST (15).
2.4 Métodos recomendados para a detecção de carbapenemases
em Enterobacteriaceae
2.4.1 Triagem para produção de carbapenemases
As CIMs de carbapenêmicos em Enterobacteriaceae produtoras de carbapenemase
podem estar abaixo dos pontos de corte clínicos (14-16). No entanto, os valores de
ECOFF definidos pelo EUCAST podem ser utilizados para detectar produtores de
carbapenemase. Meropenem oferece a melhor combinação entre sensibilidade e
especificidade em termos de detecção de produtores de carbapenemase (14-17).
Ertapenem tem excelente sensibilidade, mas pouca especificidade, particularmente em
espécies como Enterobacter spp., devido à sua relativa instabilidade frente às β-
lactamases de espectro estendido (ESBLs) e β-lactamases AmpC em associação com
perda de porina (14). Os valores de corte apropriados para a detecção de possíveis
produtores de carbapenemase são mostrados na Tabela 1. Deve-se notar que, a fim de
aumentar a especificidade, os pontos de corte para imipenem e ertapenem
correspondem a uma diluição acima dos ECOFFs atualmente definidos.
Tabela 1. Pontos de corte clínicos e para triagem de Enterobacteriaceae produtoras
de carbapenemases (de acordo com a metodologia do EUCAST).
Carbapenêmico
CIM (mg/L)
Diâmetro do halo de inibição
(mm) com discos de 10 µg
Valor de corte
S/I
Valor de corte
para triagem
Valor de corte
S/I
Valor de corte
para triagem
Meropenem1 >0,12 <282
Ertapenem3 ,5 >0,12 <25
1 Melhor equilíbrio entre sensibilidade e especificidade
2 Isolados com 25-27 mm só necessitam ser investigados para produção de carbapenemases se forem resistentes a piperacilina-
tazobactam e/ou temocilina (temocilina contribui mais para especificidade). Investigação de carbapenemases é sempre necessária
6
se o diâmetro da zona para meropenem for < 25 mm.
3 Elevada sensibilidade, mas baixa especificidade. Pode ser usado como um agente de triagem alternativo, mas isolados com ESBL e
AmpC podem apresentar resistência mesmo sem ter carbapenemase.
Uma vez detectada sensibilidade reduzida aos carbapenêmicos nos testes de
sensibilidade de rotina, os métodos fenotípicos para detecção de carbapenemases
devem ser aplicados. Os principais tipos de métodos incluem o teste de disco
combinado, teste colorimétricos baseados na hidrólise do carbapenêmico, outros
métodos de detecção de hidrólise de carbapenems e, finalmente, um método
imunocromatográfico (ensaio de fluxo lateral). Estes diversos testes são descritos
abaixo
2.4.2 Teste do disco combinado
O teste do disco combinado tem a vantagem de ser bem validado em estudos e
também estar disponível comercialmente (MAST, Reino Unido; Rosco, Dinamarca) (18-
22). Os discos ou tablets contém meropenem +/- vários inibidores. Resumidamente, o
ácido borônico inibe carbapenemases da classe A (embora dados além de KPC sejam
raros) e o ácido dipicolínico e o EDTA inibem carbapenemases classe B. Além disso, a
OXA-48 é inibida pelo avibactam, mas esse último ainda não foi incluído nos painéis
fenotípicos (21,22). Cloxacilina, que inibe β-lactamases AmpC, foi adicionada aos testes
para diferenciar entre hiperprodução de AmpC com perda simultânea de porinas e
produção de carbapenemase. O algoritmo para a interpretação desses testes com
inibidores está descrito na Figura 1 e tabela 2. A principal desvantagem é que eles
podem demorar 18 horas (na prática a incubação é feita durante a noite), por essa
razão novos métodos rápidos estão sendo atualmente pesquisados.
Figura 1. Algoritmo para detecção de carbapenemases.
1 Combinação de várias carbapenemases pode não mostrar o sinergismo – ou seja, MBL e KPC em combinação.
Testes moleculares são necessários nestes casos.
2 Alto nível de resistência à temocilina (CIM> 128 mg / L, diâmetro do halo <11 mm) é indicador fenotípico de
produção de OXA-48.
Diâmetro do halo do meropenem < 28
mm no disco-difusão (ou CIM > 0,12
mg/L) em todas as Enterobacteriaceae
Sinergismo apenas
com ác. borônico
Sinergismo com
ác. borônico e
cloxacilina
Sinergismo apenas
com ác.
dipicolínico
Sem sinergismo1
KPC (ou outra
carbapenemase da
classe A)
AmpC
(cromossômica ou
plasmidial) mais
perda de porina
Metalo-β-
lactamase (MBL)
S a temocilina:
ESBL mais perda
de porina
Exceção:
Meropenem 25-27 mm E
piperacilina/tazobactam = I/S:
Nenhum teste é necessário
R2 a temocilina:
OXA-48
7
O algoritmo na Tabela 2 permite a diferenciação entre metalo-β-lactamases,
carbapenemases da classe A, carbapenemases da classe D e não carbapenemases (ESBL
e / ou AmpC mais perda porina). Os testes podem ser feitos com o método de disco-
difusão, do EUCAST, para organismos não fastidiosos. Testes comerciais devem ser
realizados de acordo com as instruções do respectivo fabricante.
Até o momento não existem inibidores disponíveis para as enzimas OXA-48-like. Alto
nível de resistência à temocilina (CIM > 128 mg/L) tem sido proposto como um
marcador fenotípico para os produtores de carbapenemase OXA-48-like (23,24). No
entanto, este marcador não é específico para carbapenemases do tipo OXA-48, uma
vez que outros mecanismos de resistência podem conferir este fenótipo. A presença
de enzimas OXA-48-like, portanto, deve ser confirmada com um método genotípico.
A utilização do teste Hodge modificado não é recomendada, uma vez que os resultados
são difíceis de interpretar, a especificidade é baixa e, em alguns casos, a sensibilidade
não é ideal (12). Algumas novas modificações da técnica têm sido descritas, mas elas
são trabalhosas para uso em laboratórios clínicos de rotina e não resolvem todos os
problemas de sensibilidade e especificidade.
Tabela 2. Interpretação dos testes fenotípicos (carbapenemases em negrito) por
métodos de disco(tablets)-difusão. As definições exatas de sinergismo são fornecidas
em bulas para os vários produtos comerciais.
β-lactamase Sinergismo observado como aumento do halo de
inibição (mm) com disco de meropenem (10 µg)
CIM de
temocilina
>128 mg/Lou
diâmetro do
halo de inibição
<11 mm
ADP/EDTA AAFB/AFB ADP+AAFB CLX
MBL + - - - Variável1
KPC - + - - Variável1
MBL+KPC2
Variável Variável + - Variável1
OXA-48-like - - - - Sim
AmpC + perda de
porina
- + - + Variável1
ESBL + perda de
porina
- - - - Não
Abreviaturas: MBL = metalo-β-lactamase, KPC = Carbapenemase de Klebsiella pneumoniae, ADP = ácido
dipicolínico, EDTA = ácido etilenodiamino tetra-acético, AAFB = ácido aminofenilborônico, AFB = ácido
fenilborônico, CLX = cloxacilina.
1 O teste de sensibilidade com temocilina é recomendado apenas em casos em que não é detectado nenhum
sinergismo, a fim de diferenciar entre ESBL + perda de porinas e enzimas OXA-48-like (23, 24). Quando outras
enzimas estão presentes a sensibilidade é variável e não fornece qualquer indicação adicional da β-lactamase
presente.
2 Há um relato que suporta o uso de comprimidos comerciais contendo dois inibidores (ADP ou EDTA mais AAFB
ou AFB) (25), mas ainda faltam estudos multicêntricos ou múltiplos estudos de um único centro. Esta combinação
confere alto nível de resistência a carbapenêmicos e é rara fora da Grécia.
8
2.4.3 Testes bioquímicos (colorimétricos)
O teste Carba NP é um teste rápido (<2h) de detecção de hidrólise de carbapenêmico,
o qual resulta em alteração de pH e mudança de cor de amarelo para vermelho em uma
solução de vermelho de fenol (26, 27). O teste Carba NP foi validado com colônias de
bactérias cultivadas em ágar Mueller-Hinton, ágar sangue, ágar TSA e a maioria dos
meios seletivos utilizados no rastreamento de produtores carbapenemase. O teste
Carba NP não pode ser realizado com as colônias bacterianas cultivadas em ágar
Drigalski ou ágar MacConkey. Os diferentes passos do método devem ser seguidos
cuidadosamente, a fim de se obter resultados reprodutíveis. Várias publicações indicam
que o método apresenta alta sensibilidade e especificidade (28), embora uma
publicação tenha indicado problemas de sensibilidade para isolados com fenótipo
mucoide e para alguma Enterobacteriaceae produtoras de OXA-48 (29). Um produto
comercial baseado nesse método demonstrou apresentar boa performance para
detecção de carbapenemases em Enterobacteriaceae (30, 31). Alguns testes
comerciais, incluindo a versão comercial do Carba NP, apresentam alguns problemas
de interpretação visto que a leitura visual da mudança de coloração pode ser duvidosa;
além disso, uma certa proporção (3-5%) de resultados são não interpretáveis.
Um derivado do teste Carba NP, o teste Blue-Carba (BCT) é um teste bioquímico rápido
(<2 h) de detecção de produção de carbapenemase (32, 33). Baseia-se na hidrólise in
vitro do imipenem por colônias bacterianas (inoculação direta sem lise prévia), que é
detectada por variação no pH que resulta em alteração do indicador azul de
bromotimol (azul para verde/amarelo ou verde para amarelo). Em uma grande
avaliação realizada por Pasteran et al. (34), mas realizado em apenas um único
laboratório, o teste apresentou excelente sensibilidade para as enzimas classe A e B,
mas a sensibilidade subótima para detecção de enzimas OXA-48.
Um terceiro teste bioquímico é o βàCáRBáàtest®, que também pode ser realizado em
<2h. O teste é feito pela adição de 1 a 3 colônias nos reagentes. As leituras devem ser
feitas após um máximo de 30 min de incubação. Mudança de cor de amarelo para
laranja, vermelho ou roxo indica reação positiva. Um estudo indicou que o tempo de
incubação de 0,5 horas, recomendado pelo fabricante, é muito curto para cepas
produtoras de OXA-48. A coleção de cepas avaliada foi bastante limitada, e seria
necessário um estudo maior para investigar como o teste se compara a outros testes
bioquímicos (35). Numa outra avaliação, o βà CARBA test® mostrou excelente
desempenho para detectar CPE, especialmente OXA-48. No entanto, a capacidade de
detectar outras carbapenemases de classe A deve ser verificada sendo que alguns
resultados falso-positivosà o orrera à o à outrasà β-lactamases tais como a
superprodução de β-lactamase K1 em Klebsiella oxytoca (33).
2.4.4 Método de inativação de carbapenêmico (CIM)
O princípio deste método é detectar a hidrólise enzimática pela incubação de um
carbapenem com uma suspensão bacteriana. O teste CIM utiliza discos de teste de
sensibilidade a antibióticos como substrato. Após duas horas de incubação de uma alça
carregada de colônias bacterianas com um disco de meropenem, o disco é colocado em
um ágar previamente inoculado com Escherichia coli ATCC 25922. A inativação
enzimática é indicada por ausência de zona de inibição, enquanto que ausência de
atividade de carbapenemase implicará na formação de zona de inibição visto que o
meropenem no disco não foi hidrolisado. O teste CIM apresentou desempenho variável
9
em diferentes estudos (36-38), mas é uma técnica alternativa, embora o valor preditivo
negativo da mesma não esteja bem estabelecido. Uma das principais desvantagens dessa
técnica é que ela requer geralmente pelo menos 18 horas para obter os resultados.
2.4.5 Detecção de hidrólise de carbapenêmico por MALDI-TOF
O princípio é detectar em um equipamento de espectrometria de massa (MALDI TOF) a
diminuição ou desaparecimento de certos picos específicos de carbapenêmicos em um
espectro de massa quando a suspensão é previamente incubada com o carbapenêmico
(39, 40). Os espectros são medidos entre m/z 160 e 600, utilizando um espectrômetro
de massa Microflex LT (39). O método foi descrito em vários estudos como tendo boa
sensibilidade e especificidade, com exceção de enzimas do grupo OXA-48. Para corrigir
este problema, NH4HCO3 pode ser adicionado à reação, e esta modificação, conforme
mostrado indicado em um estudo, melhora a detecção de OXA-48 (41). No entanto,
essa metodologia ainda não foi avaliada em um estudo multicêntrico ou em vários
estudos de centro único. Outra característica pouco prática é que as configurações para
o MALDI-TOF precisam ser alteradas em comparação para o que é usado para
identificação de espécies (41).
Técnica de fluxo lateral
Uma nova técnica imunocromatográfica de fluxo lateral foi recentemente descrita. O
teste é baseado na captura imunológica de epítopos de OXA-48, utilizando
nanopartículas de ouro coloidais ligadas a uma membrana de nitrocelulose dentro de um
dispositivo de fluxo lateral. O teste se baseia no princípio que anticorpos monoclonais
anti-OXA-48 são selecionados como reagentes de captura específicos, para identificação
direta de enzimas OXA-48-like (42). O ensaio demora cerca de quatro minutos e foi
avaliado tanto em colônias e de frascos de hemocultura contaminados (43-46).
Recentemente, um teste semelhante para KPC também foi desenvolvido, mas a sua
robustez não foi avaliada em estudos multicêntricos ou em vários estudos de centro
único (46).
2.4.6 Cepas controle
Abaixo estão listadas algumas cepas controle para experimentos fenotípicos e
genotípicos. Intervalos de controle de qualidade para essas cepas não estão disponíveis.
Usuários de métodos comerciais devem consultar os manuais específicos para selecionar
a cepa controle mais adequada.
10
Tabela 3 – Exemplos de cepas controle para testes de carbapenemases.
Cepa Mecanismo
Enterobacter cloacae CCUG 59627
AmpC combinada com redução da expressão de
porinas
K. pneumoniae CCUG 58547 or K.
pneumoniae NCTC 13440
Metalo-β-lactamase (VIM)
K. pneumoniae NCTC 13443 Metalo-β-lactamase (NDM-1)
E. coli NCTC 13476 Metalo-β-lactamase (IMP)
K. pneumoniae CCUG 56233 or K.
pneumoniae NCTC 13438
Carbapenemase de Klebsiella pneumoniae (KPC)
K. pneumoniae NCTC 13442 Carbapenemase OXA-48
K. pneumoniae ATCC 25955 Controle negative
2.5 Referências
1. Canton R, Akova M, Carmeli Y, Giske CG, Glupczynski Y, et al. Rapid evolution and spread of carbapenemases
among Enterobacteriaceae in Europe. Clin Microbiol Infect. 2012;18:413-31.
2. Vatopoulos A. High rates of metallo-β-lactamase-producing Klebsiella pneumoniae in Greece – a review of
the current evidence. Euro Surveill. 2008;13(4). doi:pii: 8023.
3. Albiger B, Glasner C, Struelens MJ, Grundmann H, Monnet DL. Carbapenemase-producing
Enterobacteriaceae in Europe: assessment by national experts from 38 countries, May 2015. Euro Surveill.
2015;20(45).
4. European Centres for Disease Prevention and Control (ECDC). Antimicrobial resistance surveillance in
Europe 2014. Annual report of the European Antimicrobial Resistance Surveillance Network (EARS-Net)
5. Baraniak A, Izdebski R, Fiett J, Gawryszewska I, Bojarska K, et al. NDM-producing Enterobacteriaceae in
Poland, 2012-2014: interregional outbreak of Klebsiella pneumoniae ST11 and sporadic cases. J Antimicrob
Chemother. 2016;71:85-91.
6. Nordmann P, Naas T, Poirel L. Global spread of Carbapenemase-producing Enterobacteriaceae. Emerg Infect
Dis. 2011;17(10):1791-8.
7. Souli M, Galani I, Antoniadou A, Papadomichelakis E, Poulakou G et al. An outbreak of infection due to β-
lactamase Klebsiella pneumoniae carbapenemase 2-producing K. pneumoniae in a Greek University
Hospital: molecular characterization, epidemiology, and outcomes. Clin Infect Dis 2010;50:364–73.
8. Bratu S, Landman D, Haag R, Recco R, Eramo A, Alam M, Quale J. Rapid spread of carbapenem-resistant
Klebsiella pneumoniae in New York City: a new threat to our antibiotic armamentarium. Arch Intern Med.
2005; 165:1430-5.
9. Marchaim D, Navon-Venezia S, Schwaber MJ, Carmeli Y. Isolation of imipenem-resistant Enterobacter
species: emergence of KPC-2 carbapenemase, molecular characterization, epidemiology, and outcomes.
Antimicrob Agents Chemother. 2008;52:1413-8.
10. Queenan AM, Bush K. Carbapenemases: the versatile β-lactamases. Clin Microbiol Rev 2007;20:440–58.
11. Falcone M, Mezzatesta ML, Perilli M, Forcella C, Giordano A et al. Infections with VIM-1 metallo β-
lactamase producing Enterobacter cloacae and their correlation with clinical outcome. J Clin Microbiol
2009;47: 3514–9.
11
12. Doumith M, Ellington MJ, Livermore DM, Woodford N. Molecular mechanisms disrupting porin expression
in ertapenem-resistant Klebsiella and Enterobacter spp. clinical isolates from the UK. J Antimicrob
Chemother. 2009;63:659-67.
13. Yamachika S, Sugihara C, Kamai Y, Yamashita M. Correlation between penicillin-binding protein 2
mutations and carbapenem resistance in Escherichia coli. J Med Microbiol. 2013;62:429-36.
14. Nordmann P, Gniadkowski M, Giske CG, Poirel L, Woodford N, Miriagou V. Identification and screening of
carbapenemase-producing Enterobacteriaceae. Clin Microbiol Infect. 2012;18:432-8.
15. European Committee on Antimicrobial Susceptibility Testing (EUCAST). Website with MIC-distributions.
(http://mic.eucast.org/, accessed on 23 December 2012).
16. Glupczynski Y, Huang TD, Bouchahrouf W, Rezende de Castro R, Bauraing C et al. Rapid emergence and
spread of OXA-48-producing carbapenem-resistant Enterobacteriaceae isolates in Belgian hospitals. Int J
Antimicrob Agents. 2012;39:168-72.
17. Tato M, Coque TM, Ruiz-Garbajosa P, Pintado V, Cobo J et al. Complex clonal and plasmid epidemiology in
the first outbreak of Enterobacteriaceae infection involving VIM-1 metallo-β-lactamase in Spain: toward
endemicity? Clin Infect Dis. 2007;45(9):1171-8.
18. Vading M, Samuelsen O, Haldorsen B, Sundsfjord AS, Giske CG. Comparison of disk diffusion, Etest® and
VITEK2 for detection of carbapenemase-producing Klebsiella pneumoniae with the EUCAST and CLSI
breakpoint systems. Clin Microbiol Infect. 2011;17:668-74.
19. Giske CG, Gezelius L, Samuelsen O, Warner M, Sundsfjord A, Woodford N. A sensitive and specific
phenotypic assay for detection of metallo-β-lactamases and KPC in Klebsiella pneumoniae with the use of
meropenem disks supplemented with aminophenylboronic acid, dipicolinic acid and cloxacillin. Clin
Microbiol Infect. 2011;17:552-6.
20. Doyle D, Peirano G, Lascols C, Lloyd T, Church DL, Pitout JD. Laboratory detection of Enterobacteriaceae
that produce carbapenemases. J Clin Microbiol. 2012;50:3877-80.
21. Porres-Osante N, de Champs C, Dupont H, Torres C, Mammeri H. Use of avibactam to detect Ambler class
A carbapenemases and OXA-48 β-lactamases in Enterobacteriaceae. Diagn Microbiol Infect Dis. 2014;
79:399-400.
22. Huang TD, Berhin C, Bogaerts P, Glupczynski Y. Evaluation of avibactam-supplemented combination disk
tests for the detection of OXA-48 carbapenemase-producing Enterobacteriaceae. Diagn Microbiol Infect
Dis. 2014;79:252- 4.
23. van Dijk K, Voets G, Scharringa J, Voskuil S, Fluit A, Rottier W, Leverstein-Van Hall M, Cohen Stuart J. A disc
diffusion assay for detection of class A, B and OXA-48 carbapenemases in Enterobacteriaceae using phenyl
boronic acid, dipicolinic acid, and temocillin. Clin Microbiol Infect 2013. In press
24. Hartl R, Widhalm S, Kerschner H, Apfalter P. Temocillin and meropenem to discriminate resistance
mechanisms leading to decreased carbapenem susceptibility with focus on OXA-48 in Enterobacteriaceae.
Clin Microbiol Infect. 2013;19:E230-2.
25. Miriagou V, Tzelepi E, Kotsakis SD, Daikos GL, Bou Casals J, Tzouvelekis LS. Combined disc methods for the
detection of KPC- and/or VIM-positive Klebsiella pneumoniae: improving reliability for the double
carbapenemase producers. Clin Microbiol Infect. 2013;19:E412-5.
26. Nordmann P, Poirel L, Dortet L. Rapid detection of carbapenemase-producing Enterobacteriaceae. Emerg
Infect Dis. 2012;18:1503-7.
27. Dortet L, Poirel L, Nordmann P. Rapid Identification of carbapenemase types in Enterobacteriaceae and
Pseudomonas spp. by using a biochemical test. Antimicrob Agents Chemother. 2012;56:6437-40.
28. Vasoo S, Cunningham SA, Kohner PC, Simner PJ, Mandrekar JN, Lolans K, Hayden MK, Patel R. Comparison
of a novel, rapid chromogenic biochemical assay, the Carba NP test, with the modified Hodge test for
detection of carbapenemase-producing Gram-negative bacilli. J Clin Microbiol. 2013;51:3097-101.
29. Tijet N, Boyd D, Patel SN, Mulvey MR, Melano RG. Evaluation of the Carba NP test for rapid detection of
carbapenemase-producing Enterobacteriaceae and Pseudomonas aeruginosa. Antimicrob Agents
Chemother. 2013;57:4578-80.
30. Dortet L, Agathine A, Naas T, Cuzon G, Poirel L, Nordmann P. Evaluation of the RAPIDECR CARBA NP, the
Rapid CARB ScreenR and the Carba NP test for biochemical detection of carbapenemase-producing
Enterobacteriaceae. J Antimicrob Chemother. 2015 ; 70):3014-22.
31. Kabir MH, Meunier D, Hopkins KL, Giske CG, Woodford N. A two-centre evaluation of RAPIDECR CARBA NP
for carbapenemase detection in Enterobacteriaceae, Pseudomonas aeruginosa and Acinetobacter spp. J
Antimicrob Chemother. 2016 ;71:1213-6.
32. Huang TD, Berhin C, Bogaerts P, Glupczynski Y. Comparative evaluation of two chromogenic tests for rapid
detection of carbapenemase in Enterobacteriaceae and in Pseudomonas aeruginosa isolates. J Clin
Microbiol. 2014;52(8):3060-3.
12
33. Noel A, Huang TD, Berhin C, Hoebeke M, et al. Comparative Evaluation of Four Phenotypic Tests for
Detection of Carbapenemase-Producing Gram-Negative Bacteria. J Clin Microbiol. 2017 Feb;55(2):510-
518.
34. Pasteran F, Veliz O, Ceriana P, Lucero C, Rapoport M, et al. Evaluation of the Blue-Carba test for rapid
detection of carbapenemases in gram-negative bacilli. J Clin Microbiol. 2015 ;53(6):1996-8.
35. Compain F, Gallah S, Eckert C, Arlet G, Ramahefasolo A, et al. Assessment of Carbapenem Resistance in
Enterobacteriaceae with the Rapid and Easy-to-Use Chromogenic β-Carba Test. J Clin Microbiol.
2016;54(12):3065-3068
36. van der Zwaluw K, de Haan A, Pluister GN, Bootsma HJ, de Neeling AJ, et al. The carbapenem inactivation
method (CIM), a simple and low-cost alternative for the Carba NP test to assess phenotypic
carbapenemase activity in gram-negative rods. PLoS One. 2015;10(3):e0123690.
37. Yamada K, Kashiwa M, Arai K, Nagano N, Saito R. Comparison of the Modified-Hodge test, Carba NP test,
and carbapenem inactivation method as screening methods for carbapenemase-producing
Enterobacteriaceae. J Microbiol Methods. 2016;128:48-51.
38. Tijet N, Patel SN, Melano RG. Detection of carbapenemase activity in Enterobacteriaceae: comparison of
the carbapenem inactivation method versus the Carba NP test J Antimicrob Chemother. 2016 ;71(1):274-
6.
39. Hrabak J, Studentova V, Walkova R, Zemlickova H, Jakubu V et al. Detection of NDM-1, VIM-1, KPC, OXA-
48, and OXA-162 carbapenemases by matrix-assisted laser desorption ionization-time of flight mass
spectrometry. J Clin Microbiol. 2012;50:2441-3.
40. Lasserre C, De Saint Martin L, Cuzon G, Bogaerts P, Lamar E, et al. Efficient Detection of Carbapenemase
Activity in Enterobacteriaceae by Matrix-Assisted Laser Desorption Ionization-Time of Flight Mass
Spectrometry in Less Than 30 Minutes. J Clin Microbiol. 2015; 53:2163-71.
.àPapagia itsisàCC,àŠtude tovaàV,àIzde skiàR,àOiko o ouàO,àPfeiferàY,àetàal.àMatrix-assisted laser desorption
ionization-time of flight mass spectrometry meropenem hydrolysis assay with NH4HCO3, a reliable tool
for direct detection of carbapenemase activity. J Clin Microbiol. 2015;53(5):1731.
42. Pasteran F, Denorme L, Ote I, Gomez S, De Belder D, Glupczynski Y, Bogaerts P, Ghiglione B, Power P,
Mertens P, Corso A. Rapid identification of OXA-48 and OXA-163 Subfamilies in carbapenem-resistant
gram-negative bacilli with a novel immunochromatographic lateral flow assay. J Clin Microbiol.
2016;54(11):2832-2836.
43. Dortet L, Jousset A, Sainte-Rose V, Cuzon G, Naas T. Prospective evaluation of the OXA-48 K-SeT assay, an
immunochromatographic test for the rapid detection of OXA-48-type carbapenemases. J Antimicrob
Chemother. 2016;71(7):1834-40.
44. Wareham DW, Shah R, Betts JW, Phee LM, Momin MH. Evaluation of an Immunochromatographic Lateral
Flow Assay (OXA-48 K-SeT) for Rapid Detection of OXA-48-Like Carbapenemases in Enterobacteriaceae. J
Clin Microbiol. 2016;54(2):471-3.
45. Meunier D, Vickers A, Pike R, Hill RL, Woodford N, Hopkins KL. Evaluation of the K-SeT R.E.S.I.S.T.
immunochromatographic assay for the rapid detection of KPC and OXA-48-like carbapenemases. J
Antimicrob Chemother. 2016;71(8):2357-9.
46. Glupczynski Y, Evrard S, Ote I, Mertens P, Huang TD, et al. Evaluation of two new commercial
immunochromatographic assays for the rapid detection of OXA-48 and KPC carbapenemases from cultured
bacteria. J Antimicrob Chemother. 2016;71(5):1217-22.
13
3. Enterobacteriaceae produtoras de β-lactamases de
espectro estendido (ESBL)
Importância da detecção do mecanismo de resistência
Necessário para categorização clínica de sensibilidade
antimicrobiana
Não
Para propósitos de controle de infecção Sim
Para propósitos de saúde pública Sim
3.1 Definição
ESBLs são enzimas capazes de hidrolisar a maioria das penicilinas e cefalosporinas,
incluindo compostos oxiimino-β-lactâmicos (cefuroxima, cefalosporinas de terceira e
quarta gerações e aztreonam), mas não cefamicinas ou carbapenêmicos. A maioria das
ESBLs pertence à classe A de Ambler e é inibida por inibidores de β-lactamase (ácido
clavulânico, sulbactam e tazobactam) e por diazabiciclooctanonas (avibactam) (1).
3.2 Importância clínica e/ou epidemiológica
As primeiras cepas produtoras de ESBL foram identificadas em 1983, e desde então têm
sido detectadas em todo o mundo. Essa distribuição é um resultado da expansão clonal
de organismos produtores de ESBL, da transferência horizontal de genes de ESBL em
plasmídeos e, menos comumente, surgimento de novas enzimas. Certamente os grupos
clinicamente mais importantes de ESBLs são as enzimas CTX-M, seguido de SHV e ESBLs
derivados de TEM (2-5).
A produção de ESBL tem sido observada principalmente em Enterobacteriaceae,
inicialmente em ambientes hospitalares, mais tarde, em casas de repouso, e desde o
ano 2000, na comunidade (pacientes ambulatoriais, portadores saudáveis, animais
doentes e saudáveis, produtos alimentícios). As espécies produtoras de ESBL mais
frequentemente encontradas são Escherichia coli e K. pneumoniae. No entanto, todas
as outras espécies de Enterobacteriaceae clinicamente relevantes são também
comumente produtoras de ESBL. A prevalência de isolados ESBL positivo depende de
uma série de fatores, incluindo a espécie, a localidade geográfica, hospital/ala, grupo de
pacientes e tipo de infecção; grandes variações têm sido relatadas em diferentes
estudos (2,3,6,7). Os dados do EARS-Net de 2015 mostraram que a taxa de isolados de
K. pneumoniae invasivos não sensíveis às cefalosporinas de terceira geração ultrapassou
os 20% ou mesmo 50% em muitos países europeus. Com exceção da Grécia e da Itália
que apresentam uma alta proporção de isolados produtores de carbapenemases tipo
KPC, a maioria desses isolados foi assumida como produtores de ESBL com base nos
resultados de testes de ESBL locais (8).
3.3 Mecanismos de resistência
A grande maioria das ESBLs é constituída de enzimas adquiridas, codificadas por genes
localizados em plasmídeos. As ESBLs adquiridas são expressas em vários níveis, e
diferem significativamente quanto às suas características bioquímicas, tais como
atividade contra β-lactâmicos específicos (por exemplo, cefotaxima, ceftazidima,
aztreonam). O nível de expressão e as propriedades de uma determinada enzima, e a
presença simultânea de outros mecanismos de resistência (outras β-lactamases, efluxo,
14
permeabilidade alterada) resultam em uma grande diversidade de fenótipos de
resistência observados entre os isolados ESBL-positivos (1-4, 9-11).
3.4 Métodos recomendados para a detecção de ESBLs em Enterobacteriaceae
Em muitas áreas, a detecção e caracterização de ESBLs é recomendada ou obrigatória
para fins de controle de infecção. A estratégia recomendada para a detecção de ESBLs
em Enterobacteriaceae baseia-se na não sensibilidade a oxiimino-cefalosporinas, ditas
indicadoras, seguido por testes fenotípicos de confirmação (e em alguns casos
genotípicos) (Tabela 1, Figura 1).
O valor de corte para triagem > 1 mg/L é recomendado para cefotaxima, ceftriaxona,
ceftazidima e cefpodoxima, de acordo com as diretrizes do EUCAST e do CLSI (Tabela 1)
(12, 13). O ponto de corte clínico do EUCAST para Enterobacteriaceae é também S à1
mg/L (12). A cefpodoxima é a cefalosporina indicadora individualmente mais sensível
para a detecção da produção de ESBL e pode ser utilizada para triagem. No entanto, é
menos específica do que a combinação de cefotaxima (ou ceftriaxona) e ceftazidima
(14, 15) e apenas os últimos compostos são utilizados no teste de confirmação. Os
diâmetros dos halos correspondentes às cefalosporinas indicadoras estão apresentados
na Tabela 1.
Tabela 1. Métodos de triagem para detecção de ESBL em Enterobacteriaceae (13-19).
Método Antibiótico Realizar teste para ESBL se
Diluição em caldo ou
ágar1
Cefotaxima/ceftriaxona
E ceftazidima
CIM >1 mg/L para qualquer um
dos antimicrobianos
Cefpodoxima CIM >1 mg/L
Disco-difusão1
Cefotaxima (5 μg) ou
Ceftriaxona (30 μg)
E ceftazidima àμg
Halo de inibição < 21 mm
Halo de inibição < 23 mm
Halo de inibição < 22 mm
Cefpodoxima (10 µg) Halo de inibição < 21 mm
1 Em todos os métodos testar cefotaxima ou ceftriaxona E ceftazidima OU testar
cefpodoxima isoladamente.
15
Figura 1. Algoritmo para detecção fenotípica de ESBLs
1Caso a cefoxitina tenha sido testada e a CIM seja >8 mg/L, realizar teste confirmatório com cefepima +/- ácido
clavulânico.
2Não pode ser determinado como positivo ou negativo (i.e., a fita não pode ser lida devido ao crescimento além
da faixa de CIM da fita ou nenhum sinergismo evidente com o disco combinado e com o teste de sinergismo do
duplo disco). Caso a confirmação com cefepima +/- ácido clavulânico seja indeterminada há necessidade de teste
genotípico.
3.4.1 Triagem de ESBL em Enterobacteriaceae
A. Triagem no grupo 1 de Enterobacteriaceae (E. coli, Klebsiella spp., Raoutella
spp., P. mirabilis, Salmonella spp., Shigella spp.)
Os métodos recomendados para triagem de ESBL no grupo 1 de Enterobacteriaceae são
diluição em caldo, diluição em ágar, disco-difusão ou sistema automatizado (12, 19, 20).
É necessário que tanto a cefotaxima (ou ceftriaxona) e ceftazidima sejam utilizadas como
cefalosporinas indicadoras, uma vez que pode haver grandes diferenças de CIMs de
cefotaxima (ou ceftriaxona) e ceftazidima para diferentes isolados produtores de ESBL
(14, 22, 23).
O algoritmo de triagem e os métodos fenotípicos para confirmação de ESBL, para o grupo
1 de Enterobacteriaceae que são positivas em testes de triagem, estão descritos na
Figura 1 e Tabela 2.
B. Triagem no grupo 2 de Enterobacteriaceae (Enterobacter spp., Serratia spp.,
Citrobacter freundii, Morganella morganii, Providencia spp., Hafnia alvei)
Para o grupo 2 de Enterobacteriaceae, recomenda-se que a triagem de ESBL seja
realizada de acordo com os métodos acima descritos para o grupo 1 de
Enterobacteriaceae (Figura 1 e Tabela 3) (18). No entanto, um mecanismo muito comum
Triagem para ESBL:
I/R a uma ou ambas cefotaxima e ceftazidima (ou
cefpodoxima R)
Sem
ESBL
Não
Sim
Confirmação de ESBL dependente da espécie
Grupo 1: E. coli, Klebsiella spp., P.
mirabilis, Salmonella spp., Shigella spp.
Grupo 2: Enterobacteriaceae com AmpC
cromossômica indutiva: Enterobacter spp.,
Citrobacter freundii, Morganella morganii,
Providencia stuartii, Serratia spp., Hafnia alvei
CONFIRMAÇÃO DE ESBL1
com ceftazidima e cefotaxima +/- ácido
clavulânico CONFIRMAÇÃO DE ESBL
com cefepima +/- ácido clavulânico
Positivo: ESBL
Negativo:
sem ESBL
Indeterminado2
2
Positivo:
ESBL
Negativo:
sem ESBL
Indeterminado
16
deàresist iaà sà efalospori asàéàaàdesrepressãoàdaàexpressãoàdeàβ-lactamase AmpC
cromossômica nessas espécies. Uma vez que a cefepima é estável a hidrólise por AmpC,
pode ser utilizada em testes fenotípicos com ácido clavulânico.
3.4.2 Métodos fenotípicos de confirmação
Quatro dos vários métodos fenotípicos, com base na inibição in vitro da atividade de
ESBL por ácido clavulânico, são recomendados para confirmação ESBL: o teste do disco
combinado (TDC), o teste de sinergismo de duplo disco (TSDD), o teste de gradiente
ESBL, e teste de microdiluição em caldo (Tabelas 2 e 3) (20, 21, 24). Em um estudo
multicêntrico o TDC apresentou especificidade superior ao teste gradiente ESBL e
sensibilidade comparável (25). Os fabricantes de sistemas automatizados de testes de
sensibilidade implementaram os testes de detecção baseados na inibição de enzimas
ESBL pelo ácido clavulânico. Os desempenhos dos métodos de confirmação diferem em
diferentes estudos, dependendo da coleção de cepas testadas e do equipamento
utilizado (17-19).
A. Teste do disco combinado (TDC)
Para cada ensaio, os discos contendo a cefalosporina isoladamente (cefotaxima,
ceftazidima, cefepima) e em combinação com o ácido clavulânico, são aplicados. O halo
de inibição em torno do disco de cefalosporina combinado com o ácido clavulânico é
comparado com o halo em torno do disco com a cefalosporina isoladamente. O teste é
positivo se o diâmetro do halo de inibição com o disco combinado for pelo menos 5
mm maior do que aquele com o disco sem o ácido clavulânico (Tabela 3) (26, 27).
B. Teste de sinergismo de disco duplo (TSDD)
Os discos contendo as cefalosporinas (cefotaxima, ceftazidima, cefepima) são aplicados
à placa, próximos a um disco com o ácido clavulânico (amoxicilina-ácido clavulânico).
Um resultado positivo é indicado quando as zonas de inibição em torno de qualquer
um discos de cefalosporinas são aumentadas na direção do disco que contém o ácido
clavulânico. A distância entre os discos é crítica e 20 mm de centro a centro parece ser
a distância ótima para discos de cefalosporinas de 30 µg; no entanto, pode ser reduzida
(15 mm) ou aumentada (30 mm) para testar as cepas com níveis muito elevados ou
baixos de resistência, respectivamente (20). As recomendações precisam ser
reavaliadas para discos com menor conteúdo de cefalosporinas, como utilizado no
método de disco-difusão do EUCAST.
C. Método do gradiente
Testes de gradiente são realizados, lidos e interpretados de acordo com as instruções
do fabricante. O teste é positivo se uma redução de oito vezes é observada na CIM de
cefalosporina combinada com ácido clavulânico em comparação com a CIM da
cefalosporina isoladamente ou se uma zona fantasma ou elipse deformada está
presente (ver instruções do fabricante para as ilustrações) (Tabela 3). O resultado do
teste é indeterminado se a tira não puder ser lida, devido ao crescimento para além da
faixa de CIM da tira. Em todos os outros casos, o resultado do teste é negativo. O teste
do gradiente para ESBL deve ser utilizado para a confirmação da produção de ESBL e
não é confiável para determinação da CIM.
17
D. Microdiluição em caldo
A microdiluição em caldo é realizada com caldo Mueller-Hinton contendo diluições
seriadas de razão 2 de cefotaxima, ceftazidima e cefepima em concentrações
compreendidas entre 0,25 e 512 mg/L, com e sem ácido clavulânico, a uma
concentração fixa de 4 mg/L. O teste é positivo se uma redução igual ou maior que 8
vezes for observada na CIM da cefalosporina combinada com ácido clavulânico em
comparação com a CIM da cefalosporina isoladamente. Em todos os outros casos, o
resultado do teste é negativo (24).
E. Testes bioquímicos (colorimétricos)
O teste ESBL NDP foi descrito primeiramente em 2012, e usa cefotaxima como
indicador antimicrobiano, com tazobactam como inibidor (28). É realizado em placas
de 96 poços ou em tubos separados. Mudança de cor de vermelho para amarelo é
considerado um teste positivo. O teste também foi usado diretamente em amostras do
paciente (29). Excelentes sensibilidades e especificidades foram descritas, mas o teste
não foi avaliado em estudo multicêntrico.
Oàtesteàβ-LACTA é um teste colorimétrico utilizando um substrato de cefalosporina
cromogênica (HMRZ-86) em isolados bacterianos e também diretamente em amostras
clínicas (30). Em um estudo prospectivo multicêntrico na Bélgica e na França, verificou-
se que apresentava uma excelente sensibilidade e especificidade para E. coli e K.
pneumoniae (96% e 100%, respectivamente), enquanto mostrou menor sensibilidade
(67%) para espécies que produzem β-lactamases AmpC induzíveis. O alto valor
preditivo negativo para E. coli e K. pneumoniae (99% em áreas com prevalência de
resistência as C3G variando entre 10-30%) faz com que este teste simples seja muito
eficiente para a previsão de resistência a cefalosporinas de terceira geração,
parti ular e teàe à epasàprodutorasàdeàβ-lactamase de espectro estendido.
F. Considerações especiais na interpretação
Testes de confirmação de ESBL que usam cefotaxima como a cefalosporina indicadora
podem ser falsamente positivos para cepas de Klebsiella oxytoca com hiperprodução
de β-lactamase cromossômica K1 (OXY-like) (27). Um fenótipo semelhante também
pode ser encontrado em Proteus vulgaris, Proteus penneri, Citrobacter koseri e
Kluyvera spp. e em algumas espécies relacionadas a C. koseri, como C. sedlakii, C.
farmeri e C. amalonaticus, que têm β-lactamases cromossômicas que são inibidas pelo
ácido clavulânico (28, 29). Outra possível causa de resultados falso-positivos é
hiperprodução de SHV-1, TEM-1 ou β-lactamase OXA-1-like de amplo espectro
combinado com permeabilidade alterada (17). Problemas semelhantes com resultados
falso-positivos para K. oxytoca produtores de K1 podem surgir quando se utiliza os
testes de confirmação com base apenas em cefepima (34).
18
Tabela 2. Testes confirmatórios para ESBL em Enterobacteriaceae que são positivos
nos testes de triagem para ESBL (ver Tabela 1). Grupo 1 de Enterobacteriaceae (ver
Figura 1).
Método
Agente
antimicrobiano
(conteúdo do disco)
A confirmação de ESBL é
positiva se
Teste de gradiente
para ESBL
Cefotaxima +/-
ácido clavulânico
áàrazãoàdeàCIMsàforà à àou se
houver deformação da elipse
Ceftazidima +/-
ácido clavulânico
áàrazãoàdeàCIMsàforà à àouà se
houver deformação da elipse
Teste de disco-
difusão combinado
(TDC)
Cefotaxima (30 µg) +/-
ácido clavulânico (10 µg)
Aumento no halo de inibição à à
mm
Ceftazidima (30 µg) +/-
ácido clavulânico (10 µg)
áu e toà oà haloà deà i i içãoà à à
mm
Microdiluição em
caldo
Cefotaxima +/- ácido
clavulânico (4 mg/L)
Razão entre CIMs à8
Ceftazidima +/- ácido
clavulânico (4 mg/L)
Razãoàe treàCIMsà à
Cefepima +/- ácido
clavulânico (4 mg/L)
Razãoàe treàCIMsà à
Teste de
sinergismo do
duplo disco (TSDD)
Cefotaxima, ceftazidima e
cefepima
Expansão do halo de inibição da
cefalosporina indicadora em
direção ao disco de amoxicilina-
ácido clavulânico
Tabela 3. Testes confirmatórios para ESBL em Enterobacteriaceae que são positivas
nos testes de triagem para ESBL (ver Tabela 1). Grupo 2 de Enterobacteriaceae (ver
Figura 1).
Método Antimicrobiano A confirmação é positiva se
Teste de gradiente para
ESBL - Etest ESBL
Cefepima +/- ácido clavulânico áàrazãoàdeàCIMsàforà à àouàseà
houver deformação da elipse
Teste de disco-difusão
combinado (TDC)
Cefepima (30 µg)
+/- ácido clavulânico
(10 µg)
Aumento à à àno halo de inibição
Microdiluição em
caldo
Cefepima +/- ácido
clavulânico (concentração
fixa de 4 mg/L)
Razão entre CIMs à
Teste de
sinergismo do
duplo disco (TSDD)
Cefotaxima, ceftazidima,
cefepima
Expansão do halo de inibição da
cefalosporina indicadora em direção
ao disco de amoxicilina-ácido
clavulânico
19
3.4.3 Detecção fenotípica de ESBL na presença de outras β-lactamases que
mascaram o sinergismo
Testes com resultados indeterminados (Etest) e resultados falso-negativos (TDC, TSDD,
Etestemicrodiluição)podemresultardaexpressãodealtoníveldeβ-lactamasesAmpC,
que mascaram a presença de ESBLs (20, 34, 35). Isolados com expressão de alto nível
de β-lactamases AmpC geralmente mostram clara resistência às cefalosporinas de
terceira geração. Além disso, a resistência à cefamicinas, ou seja, CIM de cefoxitina >8
mg/L, podem ser indicativos de expressão de alto nível de β-lactamases AmpC, (34),
com a rara exceção das β-lactamases ACC, que não conferem resistência à cefoxitina
(36).
Para confirmar a presença de ESBL em isolados com expressão de alto nível de β-
lactamases AmpC, recomenda-se que um teste confirmatório adicional para ESBL seja
realizado com cefepima como cefalosporina indicadora, uma vez que a cefepima
geralmente não é hidrolisada por β-lactamases AmpC. A cefepima pode ser utilizada
em todos os formatos de ensaios TDC, TSDD, gradiente ou diluição em caldo (27, 37-
39). Abordagens alternativas incluem o uso de cloxacilina, que é um bom inibidor de
enzimas AmpC. Este formato de TDC utiliza discos que contêm as duas cefalosporinas
indicadoras (cefotaxima e ceftazidima) com ácido clavulânico e cloxacilina juntos; e TDC
ou TSDD padrão em placas de ágar suplementado com 200-250 mg de cloxacilina por
litro (19).Hátambém discos contendo tanto ácido clavulânico e cloxacilina no mercado,
mas as avaliações multicêntricas destes produtos são insuficientes.
A presença de ESBLs pode também ser mascarada por carbapenemases tais como MBL
ou KPCs (mas não enzimas OXA-48-like) e / ou por defeitos graves de permeabilidade
(40, 41). Se a detecção ainda é considerada relevante, recomenda-se que os métodos
moleculares para detecção de ESBL sejam utilizados.
3.4.4 Confirmação genotípica
Para a confirmação genotípica da presença de genes de ESBL, existem diversos
métodos disponíveis desde de PCR com sequenciamento até o sequenciamento de
genoma completo bacteriano seguido de mapeamento in silico dos genes de
resistência. Existem também técnicas à base de microarray de DNA. Existem métodos
comerciais e in-house disponíveis, mas estes métodos não foram sistematicamente
avaliados e, portanto, não serão abordados nesse documento. Informações sobre
sequenciamento de genoma completo estão descritas em outro documento do
EUCAST (42).
3.4.5 Controle de qualidade
Abaixo estão listadas algumas cepas controle para experimentos fenotípicos e
genotípicos. Intervalos de controle de qualidade para essas cepas não estão
disponíveis. Usuários de métodos comerciais devem consultar os manuais específicos
para selecionar a cepa controle mais adequada.
20
Table 4. Exemplos de cepas para controle de qualidade dos testes de detecção de
ESBLs.
Cepas Mecanismo
K. pneumoniae ATCC 700603 ESBL SHV-18
E. coli CCUG62975 ESBL grupo CTX-M-1 e AmpC CMY adquirida
E. coli ATCC 25922 ESBL negativo
3.5 Referências
1. Bush K, Jacoby GA, Medeiros AA. A functional classification scheme for β -lactamases and its correlation
with molecular structure. Antimicrob Agents Chemother. 1995;39:211-1233.
2. Livermore DM. β-Lactamases in laboratory and clinical resistance. Clin Microbiol Rev. 1995;8:557-584.
3. Bradford PA. Extended-spectrum β-lactamases in the 21st century: characterization, epidemiology, and
detection of this important resistance threat. Clin Microbiol Rev. 2001;14:933-951.
4. Naas T, Poirel L, Nordmann P. 2008. Minor extended-spectrum β-lactamases. Clin Microbiol Infect.
2008;14(Suppl1):42-52.
5. Cantón R, Novais A, Valverde A, Machado E, Peixe L, Baquero F, Coque TM. Prevalence and spread of
extended-spectrum β-lactamase-producing Enterobacteriaceae in Europe. Clin Microbiol Infect.
2008;14(Suppl1):144-153.
6. Livermore DM, Canton R, Gniadkowski M, Nordmann P, Rossolini GM, Arlet G, Ayala J, Coque TM, Kern-
Zdanowicz I, Luzzaro F, Poirel L, Woodford N. CTX-M: changing the face of ESBLs in Europe. J Antimicrob
Chemother. 2007;59:165-174.
7. Carattoli A. Animal reservoirs for extended-spectrum β-lactamase producers. Clin Microbiol Infect.
2008;14(Suppl1):117-123.
8. European Centres for Disease Prevention and Control (ECDC). Antimicrobial resistance surveillance in
Europe 2014. Annual report of the European Antimicrobial Resistance Surveillance Network (EARS-
Net).
9. Gniadkowski M. 2008. Evolution of extended-spectrum β-lactamases by mutation. Clin Microbiol Infect.
2008;14(Suppl1):11-32.
10. Livermore DM. Defining an extended-spectrum β-lactamase. Clin Microbiol Infect. 2008;14(Suppl1):3-
10.
11. European Committee on Antimicrobial Susceptibility Testing. Breakpoint tables for interpretation of
MICs and zone diameters. EUCAST; 2013. Version 3.0 http://www.eucast.org/clinical_breakpoints/
(last accessed 23 December 2012).
12. Clinical and Laboratory Standards Institute. Performance Standards for Antimicrobial Susceptibility
Testing: Twenty-first Informational Supplement M 100-S21. Wayne, PA, USA: CLSI; 2011.
13. Hope R, Potz NA, Warner M, Fagan EJ, Arnold E, Livermore DM. Efficacy of practised screening methods
for detection of cephalosporin-resistant Enterobacteriaceae. J Antimicrob Chemother. 2007;59(1):110-
3.
14. Oliver A, Weigel LM, Rasheed JK, McGowan Jr JE Jr, Raney P, Tenover FC. Mechanisms of decreased
susceptibility to cefpodoxime in Escherichia coli. Antimicrob Agents Chemother. 2002; 46:3829-36.
15. Garrec H, Drieux-Rouzet L, Golmard JL, Jarlier V, Robert J. Comparison of nine phenotypic methods for
detection of extended-spectrum β-lactamase production by Enterobacteriaceae. J Clin Microbiol.
2011;49:1048-57.
16. Leverstein-van Hall MA, Fluit AC, Paauw A, Box AT, Brisse S, Verhoef J. Evaluation of the EtestR ESBL
and the BD Phoenix, VITEK 1, and VITEK 2 automated instruments for detection of extended-spectrum
β-lactamases in multiresistant Escherichia coli and Klebsiella spp. J Clin Microbiol. 2002;40:3703-11.
17. Spanu T, Sanguinetti M, Tumbarello M, D'Inzeo T, Fiori B, Posteraro B, Santangelo R, Cauda R, Fadda
G. Evaluation of the new VITEK 2 extended-spectrum β-lactamase (ESBL) test for rapid detection of
ESBL production in Enterobacteriaceae isolates. J Clin Microbiol. 2006;44:3257-62.
18. Thomson KS, Cornish NE, Hong SG, Hemrick K, Herdt C, Moland ES. Comparison of Phoenix and VITEK
2 extended spectrum- β-lactamase detection tests for analysis of Escherichia coli and Klebsiella isolates
with well characterized β-lactamases. J Clin Microbiol. 2007;45:2380-4.
21
19. Drieux L, Brossier F, Sougakoff W, Jarlier V. Phenotypic detection of extended-spectrum β-lactamase
production in Enterobacteriaceae: review and bench guide. Clin Microbiol Infect. 2008; 14 (Suppl 1):90-
103.
20. Paterson DL, Bonomo RA. Extended-spectrum β-lactamases: a clinical update. Clin Microbiol Rev.
2005;18:657-86.
21. Biedenbach DJ, Toleman M, Walsh TR, Jones RN. Analysis of Salmonella spp. with resistance to
extended-spectrum cephalosporins and fluoroquinolones isolated in North America and Latin America:
report from the SENTRY Antimicrobial Surveillance Program (1997-2004). Diagn Microbiol Infect Dis.
2006;54:13-21.
22. Hirakata Y, Matsuda J, Miyazaki Y, Kamihira S, Kawakami S et al. Regional variation in the prevalence
of extended-spectrum β-lactamase-producing clinical isolates in the Asia-Pacific region (SENTRY 1998-
2002). Diagn Microbiol Infect Dis. 2005;52:323-9.
23. Jeong SH, Song W, Kim JS, Kim HS, Lee KM. Broth microdilution method to detect extended-spectrum
β- lactamases and AmpC β-lactamases in Enterobacteriaceae isolates by use of clavulanic acid and
boronic acid as inhibitors. J Clin Microbiol. 2009;47:3409-12.
24. Platteel TN, Cohen Stuart JW, de Neeling AJ, Voets GM, Scharringa J et al. Multi-centre evaluation of a
phenotypic extended spectrum β-lactamase detection guideline in the routine setting. Clin Microbiol
Infect. 2013;19:70-6.
25. M'Zali FH, Chanawong A, Kerr KG, Birkenhead D, Hawkey PM. Detection of extended-spectrum β-
lactamases in members of the family Enterobacteriaceae: comparison of the MAST DD test, the double
disc and the EtestR ESBL. J Antimicrob Chemother. 2000;45:881-5.
26. Towne TG, Lewis JS 2nd, Herrera M, Wickes B, Jorgensen JH. Detection of SHV-type extended-spectrum
β- lactamase in Enterobacter isolates. J Clin Microbiol. 2010;48:298-9.
27. Sturenburg E, Sobottka I, Noor D, Laufs R, Mack D. Evaluation of a new cefepime-clavulanate ESBL
EtestR to detect extended-spectrum β-lactamases in an Enterobacteriaceae strain collection. J
Antimicrob Chemother. 2004;54:134-8.
28. Nordmann P, Dortet L, Poirel L. Rapid detection of extended-spectrum-β-lactamase-producing
Enterobacteriaceae. J Clin Microbiol. 2012;50(9):3016-22.
29. Dortet L, Poirel L, Nordmann P. Rapid detection of ESBL-producing Enterobacteriaceae in blood
cultures. Emerg Infect Dis. 2015;21(3):504-7.
30. Renvoise A, Decre D, Amarsy-Guerle R, Huang TD, Jost C, et al. Evaluation of the β-Lacta test, a rapid
test detecting resistance to third-generation cephalosporins in clinical strains of Enterobacteriaceae. J
Clin Microbiol. 2013;51(12):4012-7.
31. Nukaga M, Mayama K, Crichlow GV, Knox JR. Structure of an extended-spectrum class A β-lactamase
from Proteus vulgaris K1. J Mol Biol. 2002;317:109-17.
32. Petrella S, Renard M, Ziental-Gelus N, Clermont D, Jarlier V, Sougakoff W. Characterization of the
chromosomal class A β-lactamase CKO from Citrobacter koseri. FEMS Microbiol Lett. 2006;254:285-92.
33. Sturenburg E, Sobottka I, Noor D, Laufs R, Mack D. Evaluation of a new cefepime-clavulanate ESBL
EtestR to detect extended-spectrum β-lactamases in an Enterobacteriaceae strain collection. J
Antimicrob Chemother. 2004; 54:134-8.
34. Jacoby GA. AmpC β-lactamases. Clin Microbiol Rev. 2009;22:161-82.
35. Munier GK, Johnson CL, Snyder JW, Moland ES, et al. Positive extended-spectrum-β-lactamase (ESBL)
screening results may be due to AmpC β-lactamases more often than to ESBLs. J Clin Microbiol.
2010;48:673-4.
36. Bauernfeind A, Schneider I, Jungwirth R, Sahly H, Ullmann U. A novel type of AmpC β-lactamase, ACC-
1, produced by a Klebsiella pneumoniae strain causing nosocomial pneumonia. Antimicrob Agents
Chemother. 1999;43:1924-31.
37. Polsfuss S, Bloemberg GV, Giger J, Meyer V, Bottger EC, Hombach M. Evaluation of a diagnostic flow
chart for detection and confirmation of extended spectrum β-lactamases (ESBL) in Enterobacteriaceae.
Clin Microbiol Infect. 2012;18:1194-204.
38. Yang JL, Wang JT, Lauderdale TL, Chang SC. Prevalence of extended-spectrum β-lactamases in
Enterobacter cloacae in Taiwan and comparison of 3 phenotypic confirmatory methods for detecting
extended-spectrum β-lactamase production. J Microbiol Immunol Infect. 2009;42:310-6.
39. Jeong SH, Song W, Kim JS, Kim HS, Lee KM. Broth microdilution method to detect extended-spectrum
β-lactamases and AmpC β-lactamases in enterobacteriaceae isolates by use of clavulanic acid and
boronic acid as inhibitors. J Clin Microbiol. 2009;47:3409-12.
22
40. Tsakris A, Poulou A, Themeli-Digalaki K, Voulgari E, Pittaras T, Sofianou D, Pournaras S, Petropoulou D.
Use of boronic acid disk tests to detect extended- spectrum β-lactamases in clinical isolates of KPC
carbapenemase possessing Enterobacteriaceae. J Clin Microbiol. 2009;47:3420-6.
41. March A, Aschbacher R, Dhanji H, Livermore DM, Bottcher A et al. Colonization of residents and staff
of a long term- care facility and adjacent acute-care hospital geriatric unit by multiresistant bacteria.
Clin Microbiol Infect. 2010;16:934-44.
42. Ellington MJ, Ekelund O, Aarestrup FM, et al. The role of whole genome sequencing in antimicrobial
susceptibility testing of bacteria: report from the EUCAST Subcommittee. Clin Microbiol Infect.
2017;23(1):2-22.
23
4. Enterobacteriaceae produtoras de β-lactamases AmpC
adquiridas
Importância da detecção de mecanismos de resistência
Necessário para categorização clínica de sensibilidade
antimicrobiana
Não
Para propósitos de controle de infecção Sim
Para propósitos de saúde pública Sim
4.1 Definição
Cefalosporinases do tipo AmpC são β-lactamases da classe C de Ambler. Elas hidrolisam
penicilinas, cefalosporinas (incluindo a terceira geração, mas geralmente não os
compostos de quarta geração) e monobactâmicos. Em geral, as enzimas do tipo AmpC
são fracamente inibidas pelos inibidores de ESBL clássicos, especialmente o ácido
clavulânico (1).
4.2 Importância clínica e/ou epidemiológica
Os primeiros isolados produtores de AmpCs adquiridas foram identificados no final da
década de 1980, e desde então têm sido detectadas globalmente, como resultado da
disseminação clonal e a transferência horizontal de genes AmpC (muitas vezes referida
como AmpC mediada por plasmídeo). Há diversas linhagens de genes AmpC móveis,
provenientes de produtores naturais, a saber, o grupo Enterobacter (MIR, ACT), o grupo
C. freundii (CMY-2 like LAT, FCE), o grupo M. morganii (DHA), o grupo Hafnia alvei (ACC),
o grupo Aeromonas (CMY-1-like, FOX, MOX) e o grupo Acinetobacter baumannii (ABA).
As mais comuns e mais amplamente disseminadas são as enzimas de CMY-2-like,
embora β-lactamases DHA-like induzíveis e algumas outras também tenham se
disseminado amplamente (1).
As principais espécies produtoras de AmpCs adquiridas são E. coli, K. pneumoniae, K.
oxytoca, Salmonella enterica e P. mirabilis. Isolados com essas enzimas foram
recuperados tanto a partir de pacientes hospitalizados quanto da comunidade, e foram
recuperadas em animais de produção e nos produtos alimentares (em E. coli e S.
enterica) anteriormente às enzimas ESBL clássicas. Embora as AmpCs adquiridas tenham
se disseminado amplamente e terem sido reportadas em estudos multicêntricos de
resistência de enterobactérias às cefalosporinas de terceira geração, a sua frequência
global tem se mantido muito abaixo daquela das ESBLs, pelo menos na Europa. No
entanto, em alguns locais e situações epidemiológicas específicas, o significado de
organismos produtores dessas enzimas pode aumentar substancialmente (1-5).
4.3 Mecanismos de resistência
Numerosas Enterobacteriaceae e alguns outros bacilos Gram-negativos produzem
AmpCs naturais, seja constitutivamente a um nível mínimo (por exemplo, E. coli,
24
Acinetobacter baumannii) ou por indução (por exemplo, Enterobacter spp., C. freundii,
M. morganii, P. aeruginosa). A desrepressão ou hiperprodução de AmpCs naturais são
devidas a várias alterações genéticas e conferem alto nível de resistência às
cefalosporinas e combinações de penicilina com inibidores de β-lactamase. As
cefalosporinases da classe C também podem ocorrer como enzimas adquiridas,
principalmente em Enterobacteriaceae. Exceto para alguns tipos induzíveis (por
exemplo, DHA), as AmpCs adquiridas são expressas constitutivamente, o que confere
resistência semelhante àquela observada em mutantes desreprimidos ou
hiperprodutores de AmpCs naturais. Os níveis de resistência dependem das
quantidades de enzimas expressas, bem como da presença de outros mecanismos de
resistência. De modo semelhante às ESBLs, as AmpCs adquiridas são normalmente
codificadas por genes mediados por plasmídeos (1-3).
4.4 Métodos recomendados para a detecção de AmpCs adquiridas em
Enterobacteriaceae
Uma CIM de cefoxitina >8 mg/L (zona de inibição < 19 mm) combinada com resistência
fenotípica de ceftazidima e/ou cefotaxima (conforme definida pelos pontos de corte)
podem ser utilizadas como critérios fenotípicos para investigação de produção de AmpC
no grupo 1 de Enterobacteriaceae, embora esta estratégia não detecte ACC-1, uma
AmpC mediada por plasmídeos que não hidrolisa cefoxitina (6). Deve-se notar que a
resistência à cefoxitina também pode ser devida à deficiência de porinas (1).
Figura 1. Algoritmo para detecção de AmpC.
1-Cefoxitina R é aqui definido como do tipo não selvagem (CIM > 8 mg/L ou diâmetro do halo
<19 mm). Para definição de resistência a cefotaxima e ceftazidima utilizar os pontos de corte
do EUCAST atuais. Investigação dos isolados com não sensibilidade à cefotaxima e
ceftazidima é uma abordagem com maior sensibilidade, mas baixa especificidade em
comparação com o foco em isolados resistentes à cefoxitina (7). AmpC também pode estar
presente em isolados com um teste positivo para ESBL (sinergismo com ácido clavulânico).
Para os laboratórios que não testam cefoxitina, sensibilidade à cefepima juntamente com
resistência à cefotaxima e/ou ceftazidima é outro indicador fenotípico de AmpC, embora
menos específico.
Cefotaxima R ou ceftazidima R E cefoxitina R1
em E.
coli, K. pneumoniae, P. mirabilis, Salmonella spp.,
Shigella spp.
Sinergismo com cloxacilina
detectado
Sinergismo com
cloxacilina NÃO detectado
Outros mecanismos (ex.
perda de porina)
E. coli e Shigella spp.:
PCR é necessária para
discriminar entre AmpC
cromossômica e
plasmidial
K. pneumoniae, P.
mirabilis, Salmonella
(não tem AmpC
cromossômica) AmpC
plasmidial detectada
25
Abaixo estão listadas algumas cepas controle para experimentos fenotípicos e
genotípicos. Intervalos de controle de qualidade para essas cepas não estão disponíveis.
Usuários de métodos comerciais devem consultar os manuais específicos para
selecionar a cepa controle mais adequada.
Tabela 1. Exemplos de cepas controle testes de detecção de AmpC
Cepa Mecanismo
E. coli CCUG 58543 AmpC CMY-2 adquirida
E. coli CCUG62975 AmpC CMY AmpC e ESBL grupo CTX-M-1
K. pneumoniae CCUG 58545 Acquired DHA
E. coli ATCC 25922 AmpC negativa
4.5 Referências
1. Jacoby GA. AmpC beta-lactamases. Clin Microbiol Rev. 2009;22:161-82.
2. Philippon A, Arlet G, Jacoby GA. Plasmid-determined AmpC-t peà β-lactamases. Antimicrob Agents
Chemother. 2002;46:1-11.
3. Be eiroà á,à Bouà G.à Classà Cà β-lactamases: an increasing problem worldwide. Rev Med Microbiol.
2004;15:141-152.
4. Empel J, Hrabák J,àKozioskaàá,àBergerováàT,àUr áškováàP,àKer -Zdanowicz I, Gniadkowski M. DHA1-
producing Klebsiella pneumoniae in a teaching hospital in the Czech Republic. Microb Drug Resist.
2010;16:291-295.
5. D’á dreaàMM,àLitera kaàE,à)iogaàá,àGia iàT,àBara iakàá,àFiettàJ,à“ado àE,àTassiosàPT,àRossoli ià
GM, Gniadkowski M, Miriagou V. Evolution of a multi-drug-resistant Proteus mirabilis clone with
chromosomal AmpC-type cephalosporinases spreading in Europe. Antimicrob Agents Chemother.
2011;55:2735-2742.
6. Bauernfeind A, Schneider I, Jungwirth R, Sahly H, Ullmann U. A novel type of AmpC β-lactamase,
ACC-1, produced by a Klebsiella pneumoniae strain causing nosocomial pneumonia. Antimicrob
Agents Chemother. 1999;43:1924-31.
7. Edquist P, Ringman M, Liljequist BO, Wisell KT, Giske CG. Phenotypic detection of plasmid-
acquired AmpC in Escherichia coli-evaluation of screening criteria and performance of two
commercial methods for the phenotypic confirmation of AmpC production. Eur J Clin Microbiol
Infect Dis. 2013; 32:1205-10.
8. Yagi T, Wachino J, Kurokawa H, Suzuki S, Yamane K et al. Practical methods using boronic acid
compounds for identification of class C beta-lactamase-producing Klebsiella pneumoniae and
Escherichia coli. J Clin Microbiol. 2005;43:2551-8.
9. Tenover FC, Emery SL, Spiegel CA, Bradford PA, Eells S et al. Identification of plasmid-mediated
AmpC β-lactamases in Escherichia coli, Klebsiella spp., and Proteus spp. can potentially improve
reporting of cephalosporin susceptibility testing results. J Clin Microbiol. 2009;47:294-9.
10. Tan TY, Ng LS, He J, Koh TH, Hsu LY. Evaluation of screening methods to detect plasmid-mediated
AmpC in Escherichia coli, Klebsiella pneumoniae, and Proteus mirabilis. Antimicrob Agents
Chemother. 2009;53:146-9.
11. Martinez-Martinez L. Extended-spectrum β-lactamases and the permeability barrier. Clin Microbiol
Infect. 2008;14 Suppl 1:82-9.
12. Halstead FD, Vanstone GL, Balakrishnan I. An evaluation of the Mast D69C AmpC Detection Disc
“età forà theà dete tio à ofà i du i leà a dà derepressedà á pCà β-lactamases. J Antimicrob Chemother.
2012;67:2303-4.
13. Ingram PR, Inglis TJ, Vanzetti TR, Henderson BA, Harnett GB, Murray RJ. Comparison of methods
for AmpC β-lactamase detection in Enterobacteriaceae. J Med Microbiol. 2011; 60(Pt 6):715-21.
14. Peter-Getzlaff S, Polsfuss S, Poledica M, Hombach M, Giger J et al. Detection of AmpC β-lactamase
in Escherichia coli: comparison of three phenotypic confirmation assays and genetic analysis. J
26
Clin Microbiol. 2011;49:2924-32.
15. Hansen F, Hammerum AM, Skov RL, Giske CG, Sundsfjord A, Samuelsen O. Evaluation of ROSCO
Neo-Sensitabs for phenotypic detection and subgrouping of ESBL-, AmpC- and carbapenemase-
producing Enterobacteriaceae. APMIS. 2012;120:724-32.
16. Pérez-Pérez FJ, Hanson ND. Detection of plasmid- ediatedà á pCà β-lactamase genes in clinical
isolates by using multiplex PCR. J Clin Microbiol. 2002;40:2153-62.
17. Brolund A, Wisell KT, Edquist PJ, Elfström L, Walder M, Giske CG. Development of a real-time
SYBRGreen PCR assay for rapid detection of acquired AmpC in Enterobacteriaceae. J Microbiol
Methods. 2010; 82:229-33.
18. Cuzon G, Naas T, Bogaerts P, Glupczynski Y, Nordmann P. Evaluation of a DNA microarray for the
rapid detection of extended-spe tru à β-lactamases (TEM, SHV and CTX-M), plasmid-mediated
cephalosporinases (CMY-2-like, DHA, FOX, ACC-1, ACT/MIR and CMY-1-like/MOX) and
carbapenemases (KPC, OXA-48, VIM, IMP and NDM). J Antimicrob Chemother. 2012;67:1865-9.
27
5. Bacilos Gram negativos resistentes a polimixina
Importância da detecção de mecanismos de resistência
Necessário para categorização clínica de sensibilidade
e antimicrobiana
Sim
Para propósito de controle de infecção Sim
Para propósito de saúde pública Sim
A resistência adquirida às polimixinas em Enterobacteriaceae surgiu nos últimos anos no mundo
inteiro. A resistência, em especial, a mediada por plasmídeos, tanto em animais, produtos
alimentares e seres humanos é preocupante, uma vez que há uma grande propensão para a
disseminação horizontal.
Anteriormente, a resistência às polimixinas foi relatada como sendo sempre mediada
cromossomicamente e geralmente relacionada a mutações em vários genes do sistema
regulador de dois componentes para a biossíntese do lípido A e, portanto, regulação da carga no
lipopolissacarídeo (LPS) (1,2). Em 2015, foram feitos os primeiros relatos sobre resistência à
colistina mediada por plasmídeo os quais foram relacionados a uma fosfoetanolamina
transferase de origem plasmidial, que adiciona um grupo fosfoetanolamina ao lípido A. O efeito
resultante é a diminuição da carga negativa no LPS e, assim, menor interação com as polimixinas
carregadas positivamente. O novo determinante de resistência foi denominado MCR-1 (3). Desde
então, este mecanismo de resistência foi documentado em todos os continentes. Um isolado
remonta à década de 1980, mas parece que o surgimento mundial ocorreu há cerca de 5 anos
(4). Durante 2016, duas novas variantes do MCR-1 foram descritas - MCR-1.2 e MCR-2 (5, 6).
Em cepas invasivas europeias de K. pneumoniae, as taxas gerais de resistência à colistina são de
8,6% e podem chegar a 29% em isolados resistentes aos carbapenêmicos (7). Deve-se notar que
a variação nas taxas entre diferentes países é muito alta e que questões metodológicas podem
contribuir para números inflacionados. Acredita-se que a maioria da resistência seja devido a
mecanismos cromossômicos, embora existam vários relatos sobre Enterobacteriaceae
produtora de carbapenemase com MCR-1 (4).
Atualmente, não existem métodos que tenham sido avaliados extensivamente para a
caracterização fenotípica dos diferentes mecanismos de resistência às polimixinas, exceto a
determinação da CIM pela microdiluição em caldo (as técnicas de gradiente de difusão e de disco-
difusão não são confiáveis para esta classe de antibióticos). Recentemente, descobriu-se que as
enzimas MCR são dependentes de zinco para sua hidrólise e que a quelação de zinco pode,
portanto, inibir sua atividade (8). Por conseguinte, são esperados o desenvolvimento de testes
de inibição baseados em EDTA ou ácido dipicolínico. No entanto, o foco atual está na detecção
da resistência às polimixinas, independentemente do mecanismo. Os laboratórios são
aconselhados a usar sempre a microdiluição em caldo para os testes de suscetibilidade à colistina
e a usar sempre o sulfato de colistina (9). Especificamente, os testes de disco-difusão e de
gradiente não devem ser usados, pois estão associados ao alto risco de erros maiores (major
erros) e erros muito maiores (very major erros) no teste de suscetibilidade (10). Recentemente,
um método colorimétrico também foi descrito, mas ainda não foi testado quanto à robustez em
mais de um centro (11). Quando necessário realizar estudos mais aprofundados sobre os
mecanismos de resistência, deve-se utilizar métodos moleculares. A recomendação atual é
realizar tais testes adicionais somente em isolados resistentes à colistina.
O controle de qualidade para teste da colistina deve ser realizado tanto com uma cepa sensível
28
de QC (E. coli ATCC 25922 ou P. aeruginosa ATCC 27853) como com cepa resistente à colistina E.
coli NCTC 13846 (positiva para mcr-1). Para E. coli NCTC 13846, o valor alvo de MIC para colistina
é 4 mg/L e apenas ocasionalmente, 2 ou 8 mg/L.
5.1 Referências
1. Giske CG. Contemporary resistance trends and mechanisms for the old antibiotics colistin, temocillin,
fosfomycin, mecillinam and nitrofurantoin. Clin Microbiol Infect. 2015;21(10):899-905.
2. Olaitan AO, Morand S, Rolain JM. Mechanisms of polymyxin resistance: acquired and intrinsic resistance in
bacteria. Front Microbiol. 2014; 5:643.
3. LiuYY,WangY,WalshTR,YiLX,ZhangR,etal.Emergenceofplasmid-mediatedcolistinresistancemechanism
MCR-1 in animals and human beings in China: a microbiological and molecular biological study.Lancet Infect
Dis. 2016 ;16(2):161-8.
4. Skov RL, Monnet DL. Plasmid-mediated colistin resistance (mcr-1 gene): three months later, the story
unfolds. Euro Surveill. 2016;21(9).
5. Di Pilato V, Arena F, Tascini C, Cannatelli A, Henrici De Angelis L, et al. mcr-1.2, a New mcr Variant Carried on
a Transferable Plasmid from a Colistin-Resistant KPC Carbapenemase-Producing Klebsiella pneumoniae
Strain of Sequence Type 512. Antimicrob Agents Chemother. 2016; 60:5612-5.
6. Xavier BB, Lammens C, Ruhal R, Kumar-Singh S, Butaye P, Goossens H, Malhotra-Kumar S. Identification of a
novel plasmid-mediated colistin-resistance gene, mcr-2, inEscherichiacoli,Belgium, June 2016.EuroSurveill.
2016; 21(27).
7. European CentresforDisease Prevention and Control(ECDC).Antimicrobialresistance surveillancein Europe
2014. Annual report of the European Antimicrobial Resistance Surveillance Network (EARS-Net)
8. Hinchliffe P, Yang QE, Portal E, Young T, Li H, et al. Insights into the Mechanistic Basis of Plasmid-Mediated
Colistin Resistance from Crystal Structures of the Catalytic Domain of MCR-1. Sci Rep. 2017;7: 39392.
9. Bergen PJ, Li J, Rayner CR, Nation RL. Colistin methanesulfonate is an inactive prodrug of colistin against
Pseudomonas aeruginosa. Antimicrob Agents Chemother. 2006;50(6):1953-8.
10. Dafopoulou K, Zarkotou O, Dimitroulia E, Hadjichristodoulou C, Gennimata V, Pournaras S, Tsakris A.
Comparative Evaluation of Colistin Susceptibility Testing Methods among Carbapenem-Nonsusceptible
Klebsiella pneumoniae and Acinetobacter baumannii Clinical Isolates. Antimicrob Agents Chemother. 2015
Aug;59(8):4625-30.
11. Nordmann P, Jayol A, Poirel L. Rapid Detection of Polymyxin Resistance in Enterobacteriaceae. Emerg Infect
Dis. 2016;22(6):1038-43.
29
6. P. aeruginosa e Acinetobacter produtores de carbapenemase
Importância da detecção de mecanismos de resistência
Necessário para categorização clínica de sensibilidade
e antimicrobiana
Não
Para propósito de controle de infecção Sim
Para propósito de saúde pública Sim
P. aeruginosa e o complexo Acinetobacter baumannii produtores de carbapenemases são
comuns em muitas partes da Europa (1). Em Pseudomonas aeruginosa, VIM, principalmente VIM-
2, é a enzima predominante na Europa, mas os produtores de KPC também têm sido notados em
países da América Latina (2). Em Acinetobacter, as carbapenemases OXA, principalmente as
enzimas OXA-23-, OXA 24/40-, OXA-58-, OXA-143-, OXA-235-like, são encontradas mais
frequentemente (3).
Atualmente, não há inibidores específicos das carbapenemases tipo OXA de classe D e nenhum
dos métodos fenotípicos existentes fornece resultados satisfatórios para a
detecção/identificação dessas carbapenemases em Acinetobacter. Testes colorimétricos foram
testados, mas em geral não se mostraram precisos neste gênero (4). Acinetobacter pode também
ter carbapenemases do tipo MBL e é possível que os ensaios possam funcionar melhor com estas
enzimas.
Para P. aeruginosa, os ensaios de Etest® para MBL, assim como os ensaios baseados em disco,
têm sido usados há várias décadas, mas são prejudicados pela sua baixa especificidade (5-7).
Recentemente, vários autores também sugeriram várias modificações dos testes de combinação
de disco (de imipenem ou meropenem combinado com vários compostos inibidores da classe B
(EDTA ou DPA), mas estes foram validados em estudos de centro único, podendo ser diferentes
em cenário diferentes (8, 9). Os testes colorimétricos apresentam melhor desempenho para P.
aeruginosa do que para Acinetobacter (10) e provavelmente são os testes com maior
especificidade comprovada no momento. Ainda assim, nenhum teste parece suficientemente
específico para ser usado como teste autônomo sem confirmação molecular.
Em geral, devem ser utilizadas métodos genotípicos para a caracterização de P. aeruginosa e
Acinetobacter possivelmente produtoras de carbapenemases, mas particularmente para
P. aeruginosa, algumas das abordagens fenotípicas acima mencionadas poderiam,
provavelmente, ter valor para testes iniciais.
Deve-se notar que o teste de carbapenemase seria clinicamente mais relevante em
P. aeruginosa, uma vez que esta espécie pode ser resistente a carbapenêmicos através de
múltiplos mecanismos cromossômicos (efluxo ativo, alteração ou deficiência de porina).
Inversamente, a resistência a carbapenêmicos em Acinetobacter é quase sempre devido à
produção de carbapenemases tipo OXA.
Algumas cepas controle sugeridas são P. aeruginosa NCTC 13437 (produtora de VIM-10) e
A. baumannii NCTC 13301 (produtora de OXA-23). Não existem intervalos de CQ para estas
cepas.
30
6.1 Referências
1. Walsh TR. Emerging carbapenemases: a global perspective. Int J Antimicrob Agents. 2010;36 Suppl 3:S8-
14.
2. Labarca JA, Salles MJ, Seas C, Guzmán-Blanco M. Carbapenem resistance in Pseudomonas aeruginosa
and Acinetobacter baumannii in the nosocomial setting in Latin America. Crit Rev Microbiol. 2016;
42:276-92.
3. Higgins PG, Pérez-Llarena FJ, Zander E, Fernández A, Bou G, Seifert H. OXA-235, a novel class D β-
lactamase involved in resistance to carbapenems in Acinetobacter baumannii. Antimicrob Agents
Chemother. 2013;57(5):2121-6
4. NoëlA,HuangTD,BerhinC,HoebekeM,BouchahroufW,YunusS,BogaertsP,GlupczynskiY.Comparative
EvaluationofFourPhenotypicTestsforDetectionofCarbapenemase-ProducingGram-NegativeBacteria.
J Clin Microbiol. 2017;55(2):510-518.
5. Lee K, Lim YS, Yong D, Yum JH,Chong Y.Evaluation of theHodgetest and the imipenem-EDTA double-disk
synergy test for differentiating metallo-β-lactamase-producing isolates of Pseudomonas spp. and
Acinetobacter spp. J Clin Microbiol 2003; 41, 4623-4629.
6. Hansen F, Hammerum AM, Skov R, Haldorsen B, Sundsfjord A, Samuelsen O. Evaluation of the total MBL
confirm kit (ROSCO) for detection of metallo-β-lactamases in Pseudomonas aeruginosa and
Acinetobacter baumannii. Diagn Microbiol Infect Dis. 2014;79(4):486-8.
7. Samuelsen O, Buarø L, Giske CG, Simonsen GS, Aasnaes B, Sundsfjord A. Evaluation of phenotypic tests
for the detection of metallo-β-lactamase-producing Pseudomonas aeruginosa in a low prevalence
country. J Antimicrob Chemother. 2008;61(4):827-30.
8. Fournier D, Garnier P, Jeannot K, Mille A, Gomez AS, Plésiat P. A convenient method to screen for
carbapenemase-producing Pseudomonas aeruginosa. J Clin Microbiol. 2013;51(11):3846-8.
9. Heinrichs A, Huang TD, Berhin C, Bogaerts P, Glupczynski Y. Evaluation of several phenotypic methods for
the detection of carbapenemase-producing Pseudomonas aeruginosa. Eur J Clin Microbiol Infect Dis.
2015;34(7):1467-74.
10.Kabir MH, Meunier D, Hopkins KL, Giske CG, Woodford N. A two-centre evaluation of RAPIDEC® CARBA
NP for carbapenemase detection in Enterobacteriaceae, Pseudomonas aeruginosa and Acinetobacter
spp. J Antimicrob Chemother. 2016;71(5):1213-6.
31
7. Staphylococcus aureus resistente à Meticilina (MRSA)
Importância do mecanismo de resistência
Necessário para categorização clínica da sensibilidade
antimicrobiana
Sim
Para propósito de controle de infecção Sim
Para propósito de saúde pública Sim
7.1 Definição
Isolados de S. aureus com uma proteína auxiliar de ligação à penicilina (PBP2a ou a PBP2c
codificada pelos genes mecAou mecC) para a qual os agentes β-lactâmicos têm uma baixa
afinidade, exceto para a nova classe de cefalosporinas que têm atividade anti-MRSA
(ceftarolina e ceftobiprole).
7.2 Importância clínica e/ou epidemiológica
S. aureus resistente à meticilina é uma das principais causas de morbidade e mortalidade
em todo o mundo (1,2). A mortalidade das infecções da corrente sanguínea por MRSA é
o dobro daquela das infecções semelhantes causadas por cepas sensíveis à meticilina
devido ao retardo no tratamento adequado e regimes de tratamento alternativos
inferiores (3). Infecções por MRSA são endêmicas tanto em hospitais quanto na
comunidade em todas as partes do mundo.
7.3 Mecanismos de resistência
O principal mecanismo de resistência é a produção de proteína auxiliar de ligação à
penicilina PBP2a/PBP2c que tornam o isolado resistente a todos os β-lactâmicos, exceto
a nova classe de cefalosporinas a ti-MR“á .à Essesà age tesà têm afinidade
suficientemente elevada à PBP2a, e provavelmente também à PBP2 codificada por mecC
(anteriormente designado mecALGA251), para serem ativos contra MRSA (4). As PBPs
auxiliares são codificadas pelo gene mecA ou mecC recentemente descrito (5). O
elemento mec é exógeno ao S. aureus e não está presente em S. aureus sensível à
meticilina. Cepas com expressão heterogênea do gene mecA e CIMs frequentemente
baixas prejudicam a acurácia dos testes de sensibilidade (5). Além disso, alguns isolados
expressam a resistência de baixo nível à oxacilina, mas são mecA e mecC negativo e não
produzem PBPs auxiliares [S. aureus com sensibilidade borderline (BORSA)]. Essas cepas
são relativamente raras e o mecanismo de resistência é mal caracterizado, mas pode
incluir hiperprodução de β-lactamases ou alteração das PBPs pré-existentes (6).
Isolados de S. aureus positivos para mecA que são sensíveis tanto a cefoxitina como a
oxacilina (OS-MRSA) devido à inativação do mecA foram descritos em diferentes partes
do mundo. Essas cepas são diferentes dos MRSA com resistência heterogênea, que
também são sensíveis à oxacilina, mas resistentes à cefoxitina (7, 8). Estima-se que a
frequência de tais isolados seja aproximadamente 3% de acordo com resultados
fenotípicos convencionais combinados com resultados de PCR positivos para mecA.
32
Reversão da suscetibilidade à resistência a meticilina durante o uso prolongado de
antibioticoterapia foi bem documentada em um caso (9), mas estima-se que tenha
ocorrido em outros casos; a taxa dessa resistência reversível é, no entanto, desconhecida
no momento atual. Tais isolados podem, por definição, ser detectados apenas por análise
molecular. Deve-se notar que isso não se aplica para o fato que a análise molecular deva
ser feita com todas as cepas, mas o fenômeno pode ter importância em caso de falha
terapêutica. Se o gene mecA for detectado aleatoriamente ou devido a triagem por falha
terapêutica, o isolado deve ser sempre relatado como resistente.
7.4 Métodosrecomendados paraa detecçãoda resistência à meticilina em
S. aureus
A resistência à oxacilina/meticilina pode ser detectada fenotipicamente pela
determinação da CIM bem como por teste de disco-difusão. Aglutinação com látex pode
ser usado para detectar PBP2a, mas não é confiável para detectar PBP2c. Detecção
genotípica utilizando a PCR é confiável.
7.4.1 Detecção por determinação da CIM ou disco-difusão
A expressão heterogênea de resistência afeta particularmente a CIM de oxacilina, a qual
pode se mostrar sensível. A cefoxitina é um marcador muito sensível e específico da
resistência mediada por mecA/mecC e é o fármaco de eleição para o disco-difusão. O uso
do teste de disco-difusão com oxacilina deve ser desencorajado e os critérios
interpretativos para os halos de inibição não estão mais incluídos na tabela de pontos de
corte do EUCAST devido à fraca correlação com a presença de mecA.
A. Microdiluição em caldo:
A metodologia padrão (ISSO 20776-1) deve ser utilizada e cepas com CIM > 4 mg/L deve
ser reportadas como resistentes a meticilina.
B. Disco-difusão:
Utilizar a metodologia de disco-difusão do EUCAST. Cepas com um halo de inibição < 22
mm para a cefoxitina devem ser reportadas como resistentes a meticilina.
7.4.2 Detecção por métodos genotípicos e aglutinação com látex
A detecção genotípica dos genes mecA e mecC por PCR (10, 11) e a detecção da proteína
PBP2a por kit de aglutinação com látex é possível pela utilização de testes comerciais ou
i àhouse .àáàproteína PBP2c não é detectada pela maioria dos testes comerciais.
7.4.3 Cepas controle
Abaixo estão listadas algumas cepas controle para experimentos fenotípicos e
genotípicos. Intervalos de controle de qualidade para essas cepas não estão disponíveis.
Usuários de métodos comerciais devem consultar os manuais específicos para selecionar
a cepa controle mais adequada.
33
Tabela 1. Exemplos de cepas controle para detecção de MRSA.
Cepa Mecanismo
S. aureus ATCC 29213 Sensível à meticilina
S. aureus NCTC 12493 Resistente à meticilina (mecA)
S. aureus NCTC 13552 Resistente à meticilina (mecC)
7.5 Referências
1. Cosgrove SE, Sakoulas G, Perencevich EN, Schwaber MJ, Karchmer AW, Carmeli Y. Comparison of
mortality associated with methicillin-resistant and methicillin-susceptible Staphylococcus aureus
bacteremia: a meta-analysis. Clin Infect Dis. 2003;36:53-9.
2. de Kraker ME, Wolkewitz M, Davey PG, Koller W, Berger J, et al. Clinical impact of antimicrobial
resistance in European hospitals: excess mortality and length of hospital stay related to
methicillin-resistant Staphylococcus aureus bloodstream infections. Antimicrob Agents
Chemother. 2011;55:1598-605.
3. de Kraker ME, Davey PG, Grundmann H; BURDEN study group. Mortality and hospital stay
associated with resistant Staphylococcus aureus and Escherichia coli bacteremia: estimating the
burden of antibiotic resistance in Europe. PLoS Med. 2011;8(10):e1001104.
4. Chambers HF, Deleo FR. Waves of resistance: Staphylococcus aureus in the antibiotic era. Nat Rev
Microbiol. 2009;7:629-41.
5. García-Álvarez L, Holden MT, Lindsay H, Webb CR, Brown DF, et al. Methicillin-resistant
Staphylococcus aureus with a novel mecA homologue in human and bovine populations in the UK
and Denmark: a descriptive study. Lancet Infect Dis. 2011;11:595-603.
6. Chambers HF. Methicillin resistance in staphylococci: molecular and biochemical basis and clinical
implications. Clin Microbiol Rev. 1997;10:781-91.
7. Hososaka Y, Hanaki H, Endo H, et al. Characterization of oxacillin-susceptible mecA-positive
Staphylococcus aureus: a new type of MRSA. J Infect Chemother 2007; 13:79–86.
8. Andrade-Figueiredo M, Leal-Balbino TC. Clonal diversity and epidemiological characteristics of
Staphylococcusaureus:highprevalenceofoxacillin-susceptiblemecA-positiveStaphylococcusaureus(OS-
MRSA) associated with clinical isolates in Brazil. BMC Microbiol. 2016; 16:115.
9. Proulx MK, Palace SG, Gandra S, Torres B, Weir S, Stiles T, Ellison RT 3rd, Goguen JD. Reversion From
Methicillin Susceptibility to Methicillin Resistance in Staphylococcus aureus During Treatment of
Bacteremia. J Infect Dis. 2016; 213:1041-8.
10. Stegger M, Andersen PS, Kearns A, Pichon B, Holmes MA, Edwards G, Laurent F, Teale C, Skov R,
Larsen AR. Rapid detection, differentiation and typing of methicillin-resistant Staphylococcus
aureus harbouring either mecA or the new mecA homologue mecALGA251. Clin Microbiol Infect. 2012;
4:395-400.
11. Pichon B, Hill R, Laurent F, Larsen AR, Skov RL, Holmes M, Edwards GF, Teale C, Kearns AM.
Development of a real-time quadruplex PCR assay for simultaneous detection of nuc, Panton-
Valentine leucocidin (PVL), mecA and homologue mecALGA251. J Antimicrob Chemother. 2012; 67:2338-
41.
34
8. Staphylococcus aureus resistente à vancomicina
Importância da detecção do mecanismo
Necessário para categorização clínica da sensibilidade
antimicrobiana
Sim
Para propósito de controle de infecção Sim
Para propósito de saúde pública Sim
8.1 Definição
O ponto de corte clínico (CIM) do EUCAST para a resistência à vancomicina em S. aureus
é > 2 mg/L. Nos últimos anos, os pontos de corte para vancomicina foram reduzidos,
eliminando assim o grupo intermediário. No entanto, existem diferenças importantes
no mecanismo de resistência de alto nível à vancomicina mediada por VanA (VRSA) e
isolados com resistência de baixo nível não mediada por VanA. Assim, a denominação
de S. aureus intermediário à vancomicina (VISA) e S. aureus com heterorresistência
intermediária aos vancomicina (hVISA) tem sido mantidas para os isolados com
resistência de baixo nível à vancomicina não mediada por VanA. A CIM deve ser sempre
determinada ao utilizar a vancomicina para tratar um paciente com uma infecção grave
por S. aureus. Em casos específicos, por exemplo, quando há suspeita de falha
terapêutica, o teste para hVISA é justificável. Devido à complexidade da confirmação de
um hVISA, a vigilância antimicrobiana está focada na detecção de VISA e VRSA.
VRSA: S. aureus resistente à vancomicina:
Isolados de S. aureus com alto nível de resistência à vancomicina (CIM > 8 mg/L).
VISA: S. aureus intermediário à vancomicina:
Isolados de S. aureus com resistência de baixo nível à vancomicina (CIM 4-8 mg/L).
hVISA: S. aureus com heterorresistência intermediária à vancomicina:
Isolados de S. aureus sensíveis à vancomicina (CIMsà mg/L), mas com populações
minoritárias (1 em cada 106 células) com CIM de vancomicina > 2 mg/L, conforme
investigação do perfil por análise populacional.
Deve ser mencionado que embora os termos acima ainda sejam utilizados, todas as
categorias acima devem ser consideradas como clinicamente resistentes.
8.2 Importância clínica e/ou epidemiológica
Não há pesquisas recentes sobre a prevalência de isolados com sensibilidade reduzida
aos glicopeptídeos na Europa. Com base em relatórios de instituições individuais,
estima-se que a prevalência de hVISA éà 2% dos MRSA na Europa, e VISA abaixo de
0,1% (1). VRSA ainda não foi relatado na Europa (1) e atualmente é extremamente raro
em todo o mundo (2). A prevalência de hVISA pode ser consideravelmente maior em
uma região específica (1), o que é mais frequentemente associado a disseminação de
linhagens clonais específicas (2). A grande maioria dos isolados com CIM elevada (VISA)
ou contendo subpopulações resistentes (hVISA) são MRSA.
35
Tem sido difícil determinar o significado clínico do hVISA uma vez que nenhum estudo
prospectivo bem controlado foi realizado. No entanto, acredita-se que a presença do
fenótipo hVISA possa estar associada com pior resposta clínica, pelo menos em
infecções graves (2, 3). Por isso, é prudente investigar hVISA em infecções da corrente
sanguínea que não respondem à terapia. Recentemente, tem surgido cada vez mais
evidências de que os isolados com CIMs correspondentes a valores no limite superior
do intervalo de sensibilidade (CIM > 1 mg/L) estão associados com resposta clínica
reduzida bem como a um aumento da mortalidade em, pelo menos, infecções da
corrente sanguínea (3-8). A possível causa dessas observações não é clara, mas pode
estar associada a exposição a baixos níveis de vancomicina (9,10). Além disso, a
interpretação dos achados de diferentes estudos se torna confusa devido as diferenças
de CIM as quais são geradas por diferentes métodos (8, 9).
O mecanismo de hVISA é complexo e a detecção depende de análise populacional (11),
o que é complicado porque requer equipamentos especiais bem como um alto nível de
conhecimento técnico. A metodologia para a detecção de hVISA será descrita, mas para
fins de vigilância a informação é restrita a VISA e VRSA, que são definidos em conjunto
como isolados com uma CIM > 2 mg/L.
8.3 Mecanismo de resistência
Para VRSA a resistência é mediada pelo gene vanA exogenamente adquirido de
Enterococcus. Tanto para os isolados VISA como hVISA a resistência é endógena (ou seja,
mutações cromossômicas) e o mecanismo é de alta complexidade, sem que apenas um
único gene seja responsável. O fenótipo VISA/hVISA está ligado a um espessamento da
parede celular bacteriana, com hiperprodução dos alvos de ligação de glicopeptídeos. O
fenótipo hVISA é frequentemente instável no laboratório, mas hVISA têm a capacidade
de se tornar um GISA in vivo (2).
8.4 Métodos recomendados para a detecção de S. aureus não sensíveis à
vancomicina
O método de disco-difusão não pode ser utilizado para detectar hVISA ou VISA, mas
possivelmente pode ser usado para detectar VRSA, embora exista apenas um número
limitado de estudos que suportem essa evidência (12).
8.4.1 Determinação da CIM
A metodologia de microdiluição em caldo como recomendado pelo EUCAST (ISO 20776-
1) é o padrão ouro. Deve ser mencionado que a CIM determinada por métodos de tira
gradiente apresentam resultados que podem ser 0,5 a 1 diluições de razão 2, mais altos
que a CIM determinada por microdiluição em caldo (8, 9). O ponto de corte do EUCAST
para resistência à vancomicina em S. aureus é CIM > 2 mg/L. Isolados com CIMs
confirmados como > 2 mg/L (de acordo com a microdiluição) devem ser encaminhados
para um laboratório de referência. hVISA não são detectados por determinação da CIM.
8.4.2 Teste para detecção de VRSA, VISA e hVISA
A detecção de hVISA tem-se revelado difícil e, portanto, a detecção é dividida em
36
triagem e confirmação. Para a triagem, uma série de métodos específicos foram
desenvolvidos. A confirmação deve ser feita por análise populacional em ágar contendo
uma gama de concentrações de vancomicina (PAP-AUC) (11). Este método é
tecnicamente desafiador, para aqueles sem uma vasta experiência laboratorial e,
consequentemente, é realizado principalmente por laboratórios de referência. Um
método baseado em triagem em ágar com vancomicina e caseína (13) mostrou alta
sensibilidade e especificidade, mas até agora só foi avaliado em um estudo, e por isso
não pode ser recomendado. Os métodos a seguir irão detectar VRSA e VISA, e foram
avaliados em estudos multicêntricos (14, 15).
A. Teste de macro gradiente:
Este teste fornece uma indicação da sensibilidade reduzida à vancomicina, mas deve
ficar claro que as leituras não são CIMs. Além disso, o teste não diferencia hVISA, VISA
e VRSA. O teste deve ser feito de acordo com as instruções do fabricante. É importante
ficar claro que o inóculo é bem maior (McFarland 2,0) do que aquele utilizado nos testes
convencionais com tiras de gradiente. Este teste deve ser feito com placas de Infuso
Cérebro-Coração (Brain Heart Infusion) e não em Mueller-Hinton. Além disso, o teste
deve ser lido em 48h. U àresultadoàpositivoàéài di adoàporàleiturasà 8 mg/L tanto de
vancomicina quanto de tei opla i aàOUà à à g/Làparaàaàtei opla i aàisoladamente.
Como ambos os critérios incluem a teicoplanina, o teste de vancomicina pode ser
dependente do resultado do teste de teicoplanina. O algoritmo seria:
 Leitura da teicoplanina 12mg/L: VRSA, VISA ou hVISA
 Leitura da teicoplanina 8 mg/L: Testar a vancomicina, se a leitura da vancomicina
for 8 mg/L, então se trata de VRSA, VISA ou hVISA
 Leitura da teicoplanina < 8 mg/L: Não é VRSA, VISA ou hVISA
B. Detecção da resistência aos glicopeptídeos pelo teste de gradiente
(GRD):
Testar de acordo com as instruções do fabricante. O teste é considerado positivo se o
resultado com fita GRD for 8mg/L de vancomicina ou teicoplanina.
C. Triagem em ágar com teicoplanina:
Uma placa de Mueller Hinton contendo 5 mg/L de teicoplanina é utilizada (14). Várias
colônias são suspensas em solução salina a 0,9% para se obter um inóculo com turbidez
equivalente ao padrão 2,0 da escala de McFarland. Dez microlitros de inóculo são
colocados sobre a superfície do ágar, e a placa deve ser incubada a 35 °C em ar ambiente
durante 24 a 48 h. Crescimento de mais de duas colônias em até 48h indica suspeita de
sensibilidade reduzida aos glicopeptídeos.
D. Teste confirmatório para hVISA/VISA:
Qualquer isolado com triagem positiva para sensibilidade reduzida e não identificado
como VRSA ou VISA por determinação da CIM pode ser hVISA e deve ser investigado por
análise de perfil populacional-área sob a curva (PAP-AUC) (9), normalmente via
encaminhamento para um laboratório de referência.
37
8.4.3 Cepas controle
Abaixo estão listadas algumas cepas controle para experimentos fenotípicos e
genotípicos. Intervalos de controle de qualidade para essas cepas não estão disponíveis.
Usuários de métodos comerciais devem consultar os manuais específicos para
selecionar a cepa controle mais adequada.
Tabela 1 – Exemplos de cepas controle para testes de resistência à vancomicina em
S. aureus.
Cepa Mecanismo
S. aureus ATCC 29213 Sensível aos glicopeptídeos
S. aureus ATCC 700698 hVISA (Mu3)
S. aureus ATCC 700699 VISA (Mu50)
8.5 Referências
1. Melo-Cristino J, Resina C, Manuel V, Lito L, Ramirez M. First case of infection with vancomycin-
resistant Staphylococcus aureus in Europe. Lancet. 2013;382(9888):205
2. Howden BP, Davies JK, Johnson PDR, Stinear TP, Grayson ML. Reduced vancomycin susceptibility
in Staphylococcus aureus, including vancomycin-intermediate and heterogeneous vancomycin-
intermediate strains: resistance mechanisms, laboratory detection and clinical implications. Clin
Microbiol Rev 2010;1: 99-139
3. Van Hal SJ, Lodise TP, Paterson DL. The clinical significance of vancomycin minimum inhibitory
concentration in Staphylococcus aureus infections: a systematic review and meta-analysis. Clinical
Infectious Diseases 2012; 54: 755-771.
4. Chang HJ, Hsu PC, Yang CC, Siu LK, Kuo AJ, et al. Influence of teicoplanin MICs on treatment
outcomes among patients with teicoplanin-treated methicillin resistant Staphylococcus aureus
bacteraemia: a hospital based retrospective study. J. Antimicrob Chemother 2012, 67:736-41.
5. Honda H, Doern CD, Michael-Dunne W Jr, Warren DK. The impact of vancomycin susceptibility on
treatment outcomes among patients with methicillin resistant Staphylococcus aureus bacteremia.
BMC Infect Dis. 2011; 5:11:335.
6. Lodise TP, Graves J, Evans A, Graffunder E, Helmecke M, et al. Relationship between vancomycin
MIC and failure among patients with methicillin-resistant Staphylococcus aureus bacteremia
treated with vancomycin. Antimicrob Agents Chemother 2008; 52: 3315-20
7. Rojas L, Bunsow E, Munoz P, Cercenado E, Rodrigueuz-Creixems, Bouza E. Vancomycin MICs do
not predict the outcome of methicillin-resistant Staphylococcus aureus bloodstream infections in
correctly treated patients. J. Antimicrob Chemother 2012; 7: 1760-8.
8. Sader HS, Jones RN, Rossi KL, Rybak MJ. Occurrence of vancomycin tolerant and heterogeneous
vancomycin resistant strains (hVISA) among Staphylococcus aureus causing bloodstream
infections in nine USA hospitals. Antimicrob Chemother. 2009; 64: 1024-8.
9. Holmes NE, Turnidge JD, Munckhof WJ, Robinson JO, Korman TM, O'Sullivan MV, Anderson TL,
Roberts SA, Warren SJ, Gao W, Howden BP, Johnson PD. Vancomycin AUC/MIC ratio and 30-day
mortality in patients with Staphylococcus aureus bacteremia. Antimicrob Agents Chemother. 2013
Apr;57(4):1654-63.
10. Holmes NE, Turnidge JD, Munckhof WJ, Robinson JO, Korman TM, O'Sullivan MV, Anderson TL,
Roberts SA, Warren SJ, Gao W, Johnson PD, Howden BP. Vancomycin minimum inhibitory
concentration, host comorbidities and mortality in Staphylococcus aureus bacteraemia. Clin
Microbiol Infect. 2013 Dec;19(12):1163-8.
11. Wootton M, Howe RA, Hillman R, Walsh TR, Bennett PM, MacGowan AP. A modified population
analysis profile (PAP) method to detect hetero-resistance to vancomycin in Staphylococcus aureus
in a UK hospital. J Antimicrob Chemother. 2001; 47: 399-403
12. Tenover FC, Weigel LM, Appelbaum PC, McDougal LK, Chaitram J, McAllister S, Clark N,
Killgore G, O'Hara CM, Jevitt L, Patel JB, Bozdogan B. Vancomycin-resistant
38
Staphylococcus aureus isolate from a patient in Pennsylvania. Antimicrob Agents
Chemother. 2004; 48:275-80
13. Satola SW, Farley MM, Anderson KF, Patel JB. Comparison of Detection Methods for
Heteroresistant Vancomycin-Intermediate Staphylococcus aureus, with the Population Analysis
Profile Method as the Reference Method. J Clin Microbiol. 2011; 49: 177–183.
14. Wootton M, MacGowan AP, Walsh TR, Howe RA. A multicenter study evaluating the current
strategies for isolating Staphylococcus aureus strains with reduced susceptibility to glycopeptides.
J Clin Microbiol. 2007;45:329-32.
15. Voss A, Mouton JW, van Elzakker EP, Hendrix RG, Goessens W, et al. A multi-center blinded study
on the efficiency of phenotypic screening methods to detect glycopeptide intermediately
susceptible Staphylococcus aureus (GISA) and heterogeneous GISA (hGISA). Ann Clin Microbiol
Antimicrob. 2007;6:9.
39
9. Enterococcus faecium e Enterococcus faecalis
resistentes à Vancomicina
Importância da detecção da resistência
Necessário para categorização clínica da sensibilidade Sim
Para propósito de controle de infecção/saúde pública Sim
Para propósito de saúde pública Sim
9.1 Definição
Enterococcus faecium ou Enterococcus faecalis com resistência à vancomicina (VRE)
(CIM de vancomicina > 4 mg/L).
9.2 Importância clínica e/ou epidemiológica
Enterococos, especialmente E. faecium, são geralmente resistentes aos agentes
antimicrobianos mais utilizadas na clínica. O tratamento de infecções causadas por
enterococos resistentes à vancomicina (VRE) é, portanto difícil, com poucas opções de
tratamento. VRE são conhecidos por se disseminarem de forma eficiente, persistirem
no ambiente hospitalar, e poder colonizar muitos indivíduos, dos quais apenas alguns
desenvolvem infecções (1, 2). Isolados expressando VanB são geralmente
fenotipicamente sensíveis à teicoplanina. Há dois relatos de casos de seleção de
resistência à teicoplanina durante o tratamento infecção por enterococos expressando
VanB (3, 4), e recentemente foram descritos quatro casos de falha terapêutica (5)
indicando que teicoplanina deve ser utilizada com cuidado para o tratamento de
infecção com Enterococo com VanB. Os valores de CIM típicos para as enzimas Van mais
importantes clinicamente são mostrados na Tabela 1.
Table 1. CIMs típicas de glicopeptídeos para enterococos expressando VanA ou VanB.
Glicopeptídeo
CIM (mg/L)
VanA VanB
Vancomicina 64-1024 4-1024
Teicoplanina 8-512 0,06-1
9. 3 Mecanismo de resistência
A resistência clinicamente relevante é mais frequentemente mediada por ligases VanA
e VanB, codificadas por plasmídeos, que substituem no peptidoglicano o terminal D-Ala
por D-Lac. Esta substituição reduz a ligação de glicopeptídeos ao alvo. As cepas VanA
exibem resistência tanto à vancomicina quanto à teicoplanina, enquanto as cepas VanB
geralmente permanecem sensíveis à teicoplanina, devido à ausência de indução do
operon de resistência. Outras enzimas Van de menor prevalência são VanD, VanE, VanG,
VanL, VanM e VanN (6-9), embora a VanM tenha aumentado significativamente em
E. faecium na China (10).
40
Outras espécies de enterococos (isto é, E. raffinosus, E. gallinarum e E. casseliflavus),
podem conter vanA, vanB ou outros genes que codificam as enzimas Van listadas acima,
mas estas cepas são relativamente raras. Enzimas VanC cromossomicamente
codificadas são encontradas em todos os isolados de E. gallinarum e E. casseliflavus.
VanC medeia baixo nível de resistência à vancomicina (CIM 4-16 mg/L), mas geralmente
não deve ser considerado importante do ponto de vista de controle de infecção (11).
Enterococo variável a vancomicina (VVE) é um termo utilizado para VRE quando a
expressão dos genes van é silenciosa devido a rearranjos genéticos os quais podem ser
revertidos sob pressão seletiva pelo uso de glicopeptídeos (12,13). Além disso, VRE com
baixa CIM é um termo utilizado para isolados VanB positivos que devido à pouca
capacidade de serem induzidos por vancomicina apresentam baixa expressão dos genes
vanB o que acarreta em valores de CIM abaixo do ponto de corte. Esses isolados com
baixas CIM podem aumentar a CIM acima do ponto de corte devido a longas exposições
à vancomicina (14). Ambos VVE e VRE com baixas CIM podem ser detectados apenas
por testes moleculares. Sua prevalência atual em diferentes regiões geográficas é
desconhecida.
9.4 Métodos recomendados para a detecção de resistência aos
glicopeptídeos em E. faecium e E. faecalis
A resistência à vancomicina pode ser detectada pelos métodos de determinação da CIM,
disco-difusão e triagem em ágar. Para todos os três métodos, é essencial que as placas
sejam incubadas durante um total de 24 h, a fim de detectar isolados com resistência
induzível.
Todos os três métodos detectam prontamente a resistência mediada por vanA. A
detecção de resistência mediada por vanB é mais desafiadora. A determinação da CIM
por diluição em ágar ou microdiluição em caldo nem sempre é confiável para detecção
de isolados VAnB positivos (15-17). Relatos mais antigos mostram que a detecção de
resistência mediada por vanB é problemática por métodos automatizados (18). Desde
então, atualizações tem sido feitas nos métodos automatizados, mas ainda faltam
estudos mais recentes sobre o desempenho desses métodos para detecção de
resistência mediada por vanB. O disco-difusão com um disco de vancomicina de 5 µg
pode ser difícil, mas o teste funciona bem desde que as diretrizes para a leitura,
conforme especificado pelo EUCAST, sejam seguidas meticulosamente (19).
Quando se interpreta resultados de teste de CIM ou disco-difusão é importante
assegurar que o isolado não é E. gallinarum ou E. casseliflavus, que podem ser
erradamente identificados como E. faecium, devido ao teste positivo de arabinose. A
espectrometria de massa MALDI-TOF nesse contexto é muito útil para a identificação
de espécies de enterococos (20). Em locais onde MALDI-TOF não está disponível, o MGP
(Metil-Alfa-D-Piranoside) ou o teste da motilidade pode ser utilizado para distinguir E.
gallinarum/E. casseliflavus de E. faecium (MGP negativo e imóvel).
9.4.1 Determinação da CIM
A determinação da CIM pode ser realizada por diluição em ágar, microdiluição em caldo
ou pelo método do gradiente em ágar.
A microdiluição em caldo deve ser realizada de acordo com a norma ISO 20776-1, como
recomendado pelo EUCAST.
41
9.4.2 Teste de disco-difusão
Para o disco-difusão o método especificado pelo EUCAST deve ser seguido
meticulosamente. Inspecione os halos de inibição quanto a bordas irregulares e / ou
microcolônias, utilizando luz transmitida. Bordas do halo bem delimitadas indicam que
o isolado é sensível e diâmetro de halos de inibição acima do ponto de corte podem ser
reportados sensíveis à vancomicina.
Isolados com bordas de halo de inibição difusas ou colônias dentro do halo (Figura 1)
podem ser resistentes, independentemente do tamanho do halo de inibição e não
devem ser relatados como sensíveis sem confirmação por determinação da CIM. Em um
estudo multicêntrico recente, o método de disco-difusão apresentou melhores
resultados que o VITEK2 para detecção de Enterococos produtores de VanB, em
particular em laboratórios com experiência na leitura de halos de inibição difusos (19).
O disco-difusão deve ser realizado de acordo com a metodologia de disco-difusão do
EUCAST para organismos não fastidiosos. A incubação durante 24 horas é necessária
para a detecção de resistência em alguns isolados com resistência induzível.
Figura 1. Leitura dos testes de disco-difusão para vancomicina em Enterococcus spp.
a)Halos de inibição com bordas bem delimitadas e diâmetro à .àReportar como
sensível.
b-d) Halos de inibição difusos com bordas irregulares e/ou colônias no interior do halo de
inibição.Reportarcomoresistenteindependentementedotamanhodazonadeinibição.
9.4.3 Triagem em ágar
Ensaios de triagem em Brain Heart Infusion Agar e 6 mg de vancomicina por litro são
confiáveis para a detecção de isolados vanA e vanB positivos (19). Placas de triagem
podem ser obtidas comercialmente ou preparadas no laboratório. O teste de triagem
em ágar é realizado por aplicação de 1 x 105 - 1 x 106 UFC (10 µl de uma suspensão
McFarland 0,5) em Brain Heart Infusion Agar com 6 mg/L de vancomicina. A incubação
durante 24 horas a 35 ± 1 ° C em ar ambiente é necessária a fim de detectar a resistência
emalgunsisoladoscomresistênciainduzível.Ocrescimentode maisdo que umacolônia
deve ser interpretado como positivo.
42
9.4.4 Testes genotípicos
A detecção de resistência à vancomicina pela utilização de PCR para vanA e vanB pode
também ser realizada utilizando-se metodologias in house ou comerciais (20-22).
9.4.5 Controle de qualidade
Abaixo estão listadas algumas cepas controle para experimentos fenotípicos e
genotípicos. Intervalos de controle de qualidade para essas cepas não estão disponíveis.
Usuários de métodos comerciais devem consultar os manuais específicos para
selecionar a cepa controle mais adequada.
Tabela 2. Exemplos de cepas controle para Enterococos.
Cepa Mecanismo
E. faecalis ATCC 29212 Vancomicina sensível
E. faecalis ATCC 51299 Vancomicina resistente (vanB)
E. faecium NCTC 12202 Vancomicina resistente (vanA)
9.5Referências
1. Mazuski JE. Vancomycin-resistant enterococcus: risk factors, surveillance, infections, and treatment.
Surg Infect. 2008;9:567-71.
2. Tenover FC, McDonald LC. Vancomycin-resistant staphylococci and enterococci: epidemiology and
control. Curr Opin Infect Dis. 2005;18:300-5.
3. Hayden MK, Trenholme GM, Schultz JE, Sahm DF. In vivo development of teicoplanin resistance in a
VanB Enterococcus faecium isolate. J Infect Dis. 1993;167:1224-7.
4. Kawalec M, Gniadkowski M, Kedzierska J, Skotnicki A, Fiett J, Hryniewicz W. Selection of a teicoplanin-
resistant Enterococcus faecium mutant during an outbreak caused by vancomycin-resistant
enterococci with the vanB phenotype. J Clin Microbiol. 2001;39:4274-82.
5. Holmes NE, Ballard SA, Lam MM, Johnson PD, Grayson ML, Stinear TP, Howden BP. Genomic analysis
of teicoplanin resistance emerging during treatment of vanB vancomycin-resistant Enterococcus
faecium infections in solid organ transplant recipients including donor-derived cases, J Antimicrob
Chemother. 2013;68(9):2134-9.
6. Depardieu F, Perichon B, Courvalin P. Detection of the van alphabet and identification of enterococci
and staphylococci at the species level by multiplex PCR. J Clin Microbiol. 2004;42:5857-60.
7. Boyd DA, Willey BM, Fawcett D, Gillani N, Mulvey MR. Molecular characterization of Enterococcus
faecalis N06-0364 with low-level vancomycin resistance harboring a novel D-Ala-D-Ser gene cluster,
vanL. Antimicrob Agents Chemother. 2008;52:2667-72.
8. Xu X, Lin D, Yan G, Ye X, Wu S, Guo Y, Zhu D, Hu F, Zhang Y, Wang F, Jacoby GA, Wang M. vanM, a
new glycopeptide resistance gene cluster found in Enterococcus faecium. Antimicrob Agents
Chemother. 2010;54:4643-7.
9. Lebreton F, Depardieu F, Bourdon N, Fines-Guyon M, Berger P, Camiade S, Leclercq R, Courvalin P,
Cattoir V. DAla-d-Ser VanN-type transferable vancomycin resistance in Enterococcus faecium.
Antimicrob Agents Chemother. 2011;55(10):4606-12.
10. Chen C, Sun J, Guo Y, Lin D, Guo Q, et al. High Prevalence of vanM in Vancomycin-Resistant
Enterococcus faecium Isolates from Shanghai, China. Antimicrob Agents Chemother.
2015;59(12):7795-8.
11. Ramotar K, Woods W, Larocque L, Toye B. Comparison of phenotypic methods to identify enterococci
intrinsicallyresistant to vancomycin (VanC VRE). Diagn Microbiol Infect Dis. 2000;36:119-24.
12. Sivertsen A, Pedersen T, Larssen KW, Bergh K, Ronning TG, et al. A Silenced vanA Gene Cluster on a
Transferable Plasmid Caused an Outbreak of Vancomycin-Variable Enterococci. Antimicrob Agents
Chemother. 2016;60(7):4119-27.
13. Thaker MN, Kalan L, Waglechner N, Eshaghi A, Patel SN, et al. Vancomycin-variable enterococci can
give rise to constitutive resistance during antibiotic therapy. Antimicrob Agents Chemother.
43
2015;59(3):1405-10.
14. Grabsch EA, Chua K, Xie S, Byrne J, Ballard SA, Ward PB, Grayson ML. Improved Detection of vanB2-
Containing Enterococcus faecium with Vancomycin Susceptibility by Etest Using Oxgall
Supplementation. J. Clin. Microbiol 2008; 46; 1961-4
15. Swenson JM, Clark NC, Sahm DF, Ferraro MJ, Doern G, Hindler J, Jorgensen JH, Pfaller MA, Reller LB,
Weinstein MP, et al. Molecular characterization and multilaboratory evaluation of Enterococcus
faecalis ATCC 51299 for quality control of screening tests for vancomycin and high-level
aminoglycoside resistance in enterococci. J Clin Microbiol. 1995;33:3019-21.
16. Klare I, Fleige C, Geringer U, Witte W, Werner G. Performance of three chromogenic VRE screening
agars, two EtestR vancomycin protocols, and different microdilution methods in detecting vanB
genotype Enterococcus faecium with varying vancomycin MICs. Diagn Microbiol Infect Dis.
2012;74:171-6.
17. Wijesuriya TM, Perry P, Pryce T, Boehm J, Kay I, Flexman J, Coombs GW, Ingram PR. Low vancomycin
MICs and fecal densities reduce the sensitivity of screening methods for vancomycin resistance in
Enterococci. J Clin Microbiol. 2014 Aug;52(8):2829-33
18. Endtz HP, Van Den Braak N, Van Belkum A, Goessens WH, Kreft D, Stroebel AB, Verbrugh HA.
Comparison of eight methods to detect vancomycin resistance in enterococci. J Clin Microbiol.
1998;36:592-4.
19. Hegstad K, Giske CG, Haldorsen B, Matuschek E, Schonning K, et al. Performance of the EUCAST disk
diffusion method, the CLSI agar screen method, and the Vitek 2 automated antimicrobial
susceptibility testing system for detection of clinical isolates of Enterococci with low- and medium-
level VanB-type vancomycin resistance: a multicenter study. J Clin Microbiol. 2014;52(5):1582-9
20. Fang H, Ohlsson AK, Ullberg M, Ozenci V. Evaluation of species-specific PCR, Bruker MS, VITEK MS
and the VITEK2 system for the identification of clinical Enterococcus isolates. Eur J Clin Microbiol
Infect Dis. 2012; 31: 3073-7
21. Dutka-Malen S, Evers S, Courvalin P. Detection of glycopeptide resistance genotypes and
identification to the species level of clinically relevant enterococci by PCR. J Clin Microbiol.
1995;33:1434.
22. Dahl KH, Simonsen GS, Olsvik O, Sundsfjord A. Heterogeneity in the vanB gene cluster of genomically
diverse clinical strains of vancomycin-resistant enterococci. Antimicrob Agents Chemother.
1999;43:1105-10.
23. Gazin M, Lammens C, Goossens H, Malhotra-Kumar S; MOSAR WP2 Study Team. Evaluation of
GeneOhm VanR and Xpert vanA/vanB molecular assays for the rapid detection of vancomycin-
resistant enterococci. Eur J Clin Microbiol Infect Dis. 2012;31:273-6.
44
10. Streptococcus pneumoniae (tipo não-selvagem) não
sensível à Penicilina
Importância da detecção da resistência
Necessário para categorização clínica da sensibilidade
antimicrobiana
Sim
Para propósito de controle de infecção Não
Para propósito de saúde pública Sim
10.1 Definição
Isolados de S. pneumoniae com sensibilidade reduzida à penicilina (CIMs superiores aos
do tipo selvagem, ou seja, > 0,06 mg/L), devido à presença de proteínas ligantes de
penicilina (PBPs) modificadas com menor afinidade aos β-lactâmicos.
10.2 Importância clínica e/ou epidemiológica
S. pneumoniae é a causa mais comum de pneumonia em todo o mundo. A morbidade e
a mortalidade são altas e estima-se que cerca de três milhões de pessoas morram
anualmente de infecções pneumocócicas. A não sensibilidade de baixo grau à penicilina
está associada com o aumento da mortalidade quando a meningite é tratada com
penicilina (1). Em outros tipos de infecção não é observado aumento da mortalidade
devido à resistência de baixa intensidade se doses mais elevadas são utilizadas. Muitos
países realizam programas de vacinação contra vários sorotipos de pneumococo, e isso
também pode afetar os níveis de resistência observados em isolados invasivos (2). No
entanto, S. pneumoniae não sensíveis à penicilina continuam sendo um problema clínico
importante, do ponto de vista da saúde pública, embora esses microrganismos não
estejam associados com a disseminação em instituições de saúde, ao contrário de
muitos outros agentes patogênicos descritos neste documento.
10.3 Mecanismo de resistência
S. pneumoniae contém seis PBPs, dos quais PBP2x é o alvo principal da penicilina (3). A
presença de genes "mosaico" que codificam PBPs de baixa afinidade é resultado de
transferência horizontal de genes de estreptococos viridans comensais (3). O nível de
resistência aos β-lactâmicos não depende apenas das PBPs em mosaico de baixa
afinidade presentes no isolado, mas também de alterações em PBPs específicas que são
essenciais para S. pneumoniae (4). As cepas com CIMs de benzilpenicilina no intervalo
0,12-2 mg/L são consideradas sensíveis em infecções não meníngeas quando uma dose
mais elevada de penicilina é utilizada, enquanto que para a meningite tais cepas devem
sempre ser reportadas como resistentes (5).
45
10.4 Métodos recomendados para a detecção de S. pneumoniae não
sensíveis à penicilina
A não sensibilidade à penicilina pode ser detectada fenotipicamente por métodos de
CIM ou disco-difusão.
10.4.1 Método de disco-difusão
O método de disco-difusão com discos de oxacilina 1 µg é um método de triagem eficaz
para a detecção de pneumococos não-tipos selvagens (sensíveis a penicilina) (6-8). O
método é muito sensível, mas não é altamente específico, uma vez que cepas com
diâmetro do halo de inibição 9à àpode àteràsensibilidade variada à benzilpenicilina,
e a CIM de benzilpenicilina deve ser determinada para todas as amostras que não sejam
sensíveis pelo método de triagem (8). O diâmetro do halo de inibição de oxacilina pode
ser utilizado para prever a sensibilidade a outros β-lactâmicos além da penicilina,
conforme Figura 1.
Figura 1:àTriage àparaàresist iaàaosàβ-lactâmicos em S. pneumoniae
*Oxacilina 1 μg <20 mm: sempre determinar a CIM de benzilpenicilina, mas não retardar o relato de
outros β-lactâmicos, como recomendado acima. Não retardar o relato de benzilpenicilina em
meningites.
10.4.2 Pontos de corte clínicos
Os pontos de corte de penicilina foram primariamente determinados principalmente
para garantir o sucesso da terapia para meningite pneumocócica. Entretanto, os
estudos clínicos demonstraram que a resposta clínica nos casos de pneumonia
pneumocócica causada por cepas com sensibilidade intermediária à penicilina e
tratados com penicilina parenteral não foi diferente daquele dos doentes tratados com
outros agentes. Considerando dados microbiológicos, farmacocinéticos e
farmacodinâmicos, os pontos de corte clínicos para benzilpenicilina para isolados de
46
infecções não meníngeas foram revisados (4) e os pontos de corte atuais do EUCAST
estão listados na Tabela 1 bem como na última versão da tabela de pontos de corte do
EUCAST.
Tabela 1. Reportando a sensibilidade à benzilpenicilina em meningites e não meningites.
Indicações Ponto de corte
CIM
(mg/L)
Notas
“à R >
Benzilpenicilina
(não meningite)
0,06 2 Na pneumonia, quando a dose de 1,2 g 6/6 h é
utilizada, os isolados com CIM ≤ ,5 mg/L devem ser
considerados sensíveis à benzilpenicilina.
Na pneumonia, quando a dose de 2,4 g 6/6 h ou 1,2
g 4/4 h é utilizada, os isolados com CIM ≤ g/L
devem ser considerados sensíveis à benzilpenicilina.
Na pneumonia, quando a dose de 2,4 g 4/4 h é
utilizada, os isolados com CIM ≤ g/L devem ser
considerados sensíveis.
Benzilpenicilina
(meningite)
0,06 0,06
Nota: 1,2 g de benzilpenicilina é igual a 2 milhões de unidades de benzilpenicilina.
10.4.3 Controle de qualidade
Abaixo está listada a cepa para controle de qualidade.
Tabela 2. Exemplo de cepas controle para teste de sensibilidade à benzilpenicilina.
Cepa Mecanismo
S. pneumoniae ATCC 49619 PBP mosaico, CIM de benzilpenicilina 0,5 mg/L
10.5 Referências
1. Kaplan SL, Mason EO Jr. Management of infections due to antibiotic-resistant Streptococcus
pneumoniae. Clin Microbiol Rev. 1998;11(4):628-44.
2. Dagan R. Impact of pneumococcal conjugate vaccine on infections caused by antibiotic-resistant
Streptococcus pneumoniae. Clin Microbiol Infect. 2009;15 (Suppl 3):16-20.
3. Hakenbeck R, Kaminski K, König A, van der Linden M, Paik J, Reichmann P, Zähner D. Penicillin-
binding proteins in beta-lactam-resistant Streptococcus pneumoniae. Microb Drug Resist 1999; 5:
91-99.
4. Grebe T, Hakenbeck R. Penicillin-binding proteins 2b and 2x of Streptococcus pneumoniae are
primary resistance determinants for different classes of β-lactam antibiotics. Antimicrob Agents
Chemother 1996; 40: 829-834.
5. Weinstein MP, Klugman KP, Jones RN. Rationale for revised penicillin susceptibility breakpoints
versus Streptococcus pneumoniae: Coping with antimicrobial susceptibility in an era of resistance.
Clin Infect Dis 2009; 48: 1596 – 1600.
6. Dixon JMS, Lipinski AE, Graham MEP. Detection and prevalence of pneumococci with increased
resistance to penicillin. Can Med Assoc J 1977; 117: 1159-61.
6. Swenson JM, Hill BC, Thornsberry C. Screening pneumococci for penicillin resistance. J Clin
Microbiol 1986; 24: 749-52.
7. Jetté LP and C Sinave. Use of an oxacillin disk screening test for detection of penicillin- and
ceftriaxone-resistant pneumococci. J Clin Microbiol 1999; 37: 1178-81
CQ de Rotina Tabelas de QC BrCAST-EUCAST V. 8.0 - válidas a partir de 10/08/2018
Comitê Europeu de Teste de Sensibilidade aos
Antimicrobianos
Controle de Qualidade de Rotina e Controle de Qualidade
Interno para Determinação da CIM e Disco-Difusão
Conforme Recomendação do EUCAST
Versão para
português válida a
partir de 10/03/2018
Este documento deve ser citado como:
Comitê Europeu de Teste de Sensibilidade aos Antimicrobianos
Controle de Qualidade de Rotina e Controle de Qualidade Interno para Determinação
da CIM e Disco-Difusão Conforme Recomendação do
Br-CAST-EUCAST:http://www.brcast.org
Geral Pag
Notas 1
Mudanças 2
Controle de qualidade de rotina Pag
Cepas recomendadas para o controle de qualidade de rotina 4
Escherichia coli ATCC 25922 6
Pseudomonas aeruginosa ATCC 27853 8
Staphylococcus aureus ATCC 29213 9
Enterococcus faecalis ATCC 29212 11
Streptococcus pneumoniae ATCC 49619 12
Haemophilus influenzae ATCC 49766 14
Campylobacter jejuni ATCC 33560 15
Controle do inibidor dos discos combinados de β-lactâmicos com inibidor de β-lactamase 16
Controle de qualidade estendido para detecção de mecanismos de resistência por
disco-difusão
Pag
Produção de ESBL em Enterobacteriaceae 18
Resistência à oxacilina (meticilina) em Staphylococcus aureus 18
Resistência aos glicopeptídeos mediada por vanB em Enterococcus 18
Alto nível de resistência para aminoglicosídeos em Enterococcus 18
Sensibilidade reduzida aos β-lactâmicos devido a mutações na PBP em Haemophilus
influenzae
19
CQ de Rotina Tabelas de QC BrCAST-EUCAST V. 8.0 - válidas a partir de 10/08/2018
Notas
1. Nas tabelas de controle de qualidade (CQ) do BrCAST- EUCAST, os limites e
os alvos estão listados. Os testes com as cepas de controle de qualidade devem
gerar valores individuais de concentração inibitória mínima (CIM) ou diâmetros
dos halos de inibição randomicamente distribuídos dentro dos limites
recomendados. Caso o número de testes seja ≥10, a moda dos valores da CIM
deve ser igual ao valor alvo estabelecido na tabela e no caso do disco-difusão a
média dos diâmetros dos halos de inibição deve ser próxima ao valor alvo.
2. Os limites destacados em negrito/itálico são estabelecidos pelo EUCAST. Todos
os alvos foram estabelecidos pelo EUCAST.
3. Para acesso aos documentos padrões da ISO consulte o link:
http://www.eucast.org/external_documents/.
4. As cepas controle do BrCAST-EUCAST para rotina do controle de qualidade
são utilizadas para monitorar o desempenho dos testes de sensibilidade. Os
controles devem ser realizados e analisados de acordo com o Anexo do
manual de Disco-Difusão do BrCAST-EUCAST.
5. As cepas produtoras de β-lactamase são recomendadas para verificar o
componente inibidor dos discos combinados de β-lactâmico com inibidor de β-
lactamase. As cepas devem ser parte do CQ de rotina. O componente ativo é
verificado com uma cepa sensível de CQ.
6. As cepas de controle de qualidade do BrCAST-EUCAST para CQ estendido são
complementares às cepas de CQ de rotina. Estas cepas são recomendadas para
controles dos discos utilizados para detecção de mecanismos específicos de
resistência (ESBL, MRSA, VRE, HLAR e mutações de PBP) e são utilizados para
assegurar que o teste de sensibilidade de rotina irá resultar em correta
categorização (S, I ou R). O CQ estendido deve ser realizado quando houver
qualquer mudança no sistema de teste de sensibilidade.
CQ de Rotina Tabelas de QC BrCAST-EUCAST V. 8.0 - válidas a partir de 10/08/2018
Alterações no documento da versão anterior
Versão 8.0
01/01/2018
Mudanças
Células contendo modificações ou adições em relação à versão
v. 7.0 estão marcadas em amarelo
Geral  Nova tabela com cepas recomendadas pelo EUCAST para CQ
de rotina de acordo com os microrganismos ou grupos das
tabelas de pontos de corte do EUCAST.
 Método de disco-difusão removido (referência às tabelas de
pontos de corte do EUCAST acrescentada)
Notas • Nota 2 nova.
ATCC 25922 Comentários revisados
Comentário 12 (numerous CCUG e DSM adicionados para
NCTC 13846)
ATCC 27853 Comentários revisados
Comentário 8 (Números CCUG e DSM adicionados para NCTC
13846)
CQ de Rotina Tabelas de QC BrCAST-EUCAST V. 8.0 - válidas a partir de 10/08/2018
Controle de Qualidade Interno de Rotina
CQ de Rotina Tabelas de QC BrCAST-EUCAST V. 8.0 - válidas a partir de 10/08/2018
Cepas recomendadas para o controle de qualidade de rotina
A Tabela 1 lista as cepas recomendadas para o CQ de acordo com cada microrganismo ou grupo de
microrganismos nas tabelas de pontos de corte do BrCAST-EUCAST. As recomendações são baseadas
utilizando uma cepa da mesma espécie (ou espécie semelhante) que o organismo a ser testado (i.e. CQ
principal); entretanto, algumas vezes outras cepas do CQ devem ser adicionadas para abranger todos os
agentes.
A Tabela 2 lista das cepas de CQ do BrCAST-EUCAST para controle das combinações de inibidores de β-
lactamases. (aonde esta Campy trocar and por e ajustar roxitromicina, eritromicina;)
Tabela 1
Recomendações para o CQ
principal1
Recomendações para agentes não
cobertos no CQ principal1
Organismo Cepa de CQ Antimicrobiano Cepa de CQ
Enterobacteriaceae
(Enterobacterales2
)
E. coli ATCC 25922 Colistina (MIC) Adicionar E. coli NCTC 13846
Pseudomonas spp. P. aeruginosa ATCC 27853
Piperacilina (halo de inibição) E. coli ATCC 25922
Ticarcilina (halo de inibição) E. coli ATCC 25922
Colistina (CIM) Adicionar E. coli NCTC 13846
Stenotrophomonas
maltophilia
E. coli ATCC 25922
Acinetobacter spp. P. aeruginosa ATCC 27853 Sulfametoxazol/Trimetoprim
CIM e halo de inibição
E. coli ATCC 25922
Colistina (CIM) Adicionar E. coli NCTC 13846
Staphylococcus spp. S. aureus ATCC 29213 Roxithromicin (CIM) H. influenzae ATCC 49766
Enterococcus spp. E. faecalis ATCC 29212 Ampicilina-sulbactam (CIM ) Ver tabela 2
Amoxicilina (CIM) E. coli ATCC 25922
Amoxicilina- ac. clavulânico (CIM) Ver tabela 2
Streptococcus grupos
A, B, C and G
Streptococcus pneumoniae
S. pneumoniae ATCC 49619
S. pneumoniae ATCC 49619
Teicoplanina (CIM) S. aureus ATCC 29213
Minocyclina (CIM) S. aureus ATCC 29213
Trimethoprim (CIM) S. aureus ATCC 29213
Roxithromicina (CIM) H. influenzae ATCC 49766
Teicoplanina (CIM) S. aureus ATCC 29213
Minociclina (CIM) S. aureus ATCC 29213
Roxithromicin (CIM) H. influenzae ATCC 49766
Streptococcus
grupo viridans
S. pneumoniae ATCC 49619 Teicoplanina (CIM) S. aureus ATCC 29213
Haemophilus influenzae H. influenzae ATCC 49766
Moraxella catarrhalis H. influenzae ATCC 49766
Listeria monocytogenes S. pneumoniae ATCC 49619
Pasteurella multocida H. influenzae ATCC 49766 Benzilpenicillin (CIM) S. pneumoniae ATCC 49619
Campylobacter jejuni
and coli
C. jejuni ATCC 33560 Ciprofloxacina (CIM) S. aureus ATCC 29213
Eritromicina (CIM) S. aureus ATCC 29213
Tetraciclina (CIM) S. aureus ATCC 29213
Corynebacterium spp. S. pneumoniae ATCC
49619
Ciprofloxacina (CIM) S. aureus ATCC 29213
Gentamicina (CIM e
halo de inibição)
S. aureus ATCC 29213
Aerococcus sanguinicola
e A. urinae
S. pneumoniae ATCC 49619 Ciprofloxacina (CIM) S. aureus ATCC 29213
Kingella kingae H. influenzae ATCC 49766 Benzilpenicilina (CIM) S. pneumoniae ATCC 49619
Aeromonas spp. P. aeruginosa ATCC 27853 Sulfametoxazol-Trimetoprim
(CIM e halo de inibição)
E. coli ATCC 25922
CQ de Rotina Tabelas de QC BrCAST-EUCAST V. 8.0 - válidas a partir de 10/08/2018
1 Combinações com inibidores de β-lactamases devem ser testadas com ambos isolados do CQ: isolados sensíveis e isoaldos
produtores de inibidores de β-lactamase (ver tabela 2)
2 Estudos taxonômicos recentes têm reduzido a definição para a família das Enterobacteriaceae. Alguns membros dessa família
agora estão incluídos em outras famílias dentro da Ordem Enterobacteriales.
CQ de Rotina Tabelas de QC BrCAST-EUCAST V. 8.0 - válidas a partir de 10/08/2018
Ver página 16
Cepas recomendadas para o controle de qualidade de rotina
Tabela 2
Controle das combinações com
inibidores de β-lactamase 1
Organismo
Isolado _ CQ – para
o componente ativo
Iado do CQ para o ver
página 16 ver nte
inibidor
Enterobacteriaceae
(Enterobacterales2
)
E. coli ATCC 25922
Pseudomonas spp. P. aeruginosa ATCC 27853 Ver página 16
Enterococcus spp. E. coli ATCC 25922 Ver página 16
Haemophilus influenzae H. influenzae ATCC 49766 Ver página 16
Moraxella catarrhalis H. influenzae ATCC 49766 Ver página 16
Pasteurella multocida H. influenzae ATCC 49766 Ver página 16
1
Combinações com inibidores de β-lactamases devem ser testadas com ambos isolados do CQ: isolados sensíveis e isoaldos
produtores de inibidores de β-lactamase (ver tabela 2)
2
Estudos taxonômicos recentes têm reduzido a definição para a família das Enterobacteriaceae. Alguns membros dessa família
agora estão incluídos em outras famílias dentro da Ordem Enterobacteriales.
Isolado do CQ para o
componente inibidor
CQ de Rotina Tabelas de QC BrCAST-EUCAST V. 8.0 - válidas a partir de 10/08/2018
Escherichia coli ATCC 25922
(NCTC 12241, CIP 76.24, DSM 1103, CCUG 17620, CECT 434)
Consulte as tabelas de Pontos de Corte do Br-CAST para explicação resumida dos métodos: CIM e disco difusão
Alvo1
Intervalo2
Alvo1
Range3
Amicacina 1-2 0.5-4 30 22-23 19-26
Amoxicilina 4 2-8 - - -
Amoxicilina-ác. clavulânico4,5
4 2-8 20-10 21 18-246
Ampicilina 4 2-8 10 18-19 15-22
6
Ampicilina-sulbactam5,7
2 1-4 10-10 21-22 19-246
Aztreonam 0.125 0.06-0.25 30 32 28-36
Cefadroxil - - 30 17 14-20
Cefalexina 8 4-16 30 18 15-21
Cefepima 0.03-0.06 0.016-0.125 30 34 31-37
Cefixima 0.5 0.25-1 5 23 20-26
Cefotaxima 0.06 0.03-0.125 5 28 25-31
Cefoxitina 4 2-8 30 26 23-29
Cefpodoxima 0.5 0.25-1 10 25-26 23-28
Ceftarolia 0.06 0.03-0.125 5 27 24-30
Ceftazidima 0.125-0.25 0.06-0.5 10 26 23-29
Ceftazidima-avibactam8,9
0.125-0.25 0.06-0.5 10-4 27 24-30
Ceftibuten 0.25 0.125-0.5 30 31 27-35
Ceftobiprole 0.06 0.03-0.125 5 28 25-31
Ceftolozana-tazobactam10,11
0.25 0.125-0.5 30-10 28 24-32
Ceftriaxona 0.06 0.03-0.125 30 32 29-35
Cefuroxima 4 2-8 30 23 20-26
Cloranfenicol 4 2-8 30 24 21-27
Ciprofloxacino 0.008 0.004-0.016 5 33 29-37
Colistina12
0.5-1 0.25-2 - - -
Doripenem 0.03 0.016-0.06 10 31 27-35
Ertapenem 0.008 0.004-0.016 10 32-33 29-36
Fosfomicina13
1 0.5-2 20014
30 26-34 15
Gentamicina 0.5 0.25-1 10 22-23 19-26
Imipenem 0.125 0.06-0.25 10 29 26-32
Levofloxacino 0.016-0.03 0.008-0.06 5 33 29-37
Mecillinam16
0.06-0.125 0.03-0.25 10 27 24-30
Meropenem 0.016-0.03 0.008-0.06 10 31-32 28-35
Moxifloxacino 0.016-0.03 0.008-0.06 5 31-32 28-35
Acido Nalidíxico 2 1-4 30 25 22-28
Netilmicina - ≤0.5-1 10 21 18-24
Nitrofurantoina 8 4-16 100 20 17-23
Nitroxolina Note17
Note17
30 21 18-24
Norfloxacino 0.06 0.03-0.125 10 31-32 28-35
Ofloxacino 0.03-0.06 0.016-0.125 5 31 29-33
Pefloxacino - - 5 29 26-32
Piperacilina 2 1-4 30 24 21-27
Piperacilina-tazobactam10,11
2 1-4 30-6 24 21-27
Ticarcilina 8 4-16 75 27 24-30
Ticarcilina-ac. clavulânico4,5
8 4-16 75-10 27 24-30
Tigecyclina18
0.06-0.125 0.03-0.25 15 23-24 20-27
Tobramicina 0.5 0.25-1 10 22 18-26
Trimetoprim 1 0.5-2 5 24-25 21-28
Sulfametoxazol-Trimetoprim19
≤0.52
- 23.75-1.25 26 23-29
Diâmetro do halo de inibição
(mm)
Conteúdo do
disco
Agente
antimicrobiano
CIM (mg/L)
CQ de Rotina Tabelas de QC BrCAST-EUCAST V. 8.0 - válidas a partir de 10/08/2018
Escherichia coli ATCC 25922
(NCTC 12241, CIP 76.24, DSM 1103, CCUG 17620, CECT 434)
1
Calculado pelo EUCAST.
2
Da normativa International Standards Organisation, ISO 20776-1: 2006 (com atualizações incluídas no documento M100 mais
recente do CLSI), exceto os intervalos em negrito/itálico estabelecidos pelo EUCAST. Todos os intervalos foram validados pelo
EUCAST.
3
Do documento M100-S27, 2017 do Clinical and Laboratory Standards Institute, exceto intervalos em negrito/itálico
estabelecidos pelo EUCAST. Todos os intervalos foram validados pelo EUCAST.
4
Para o teste da CIM, a concentração de ácido clavulânico é fixada em 2 mg / L.
5
E. coli ATCC 35218 é utilizada para verificar o componente inibidor (ver controle de qualidade de rotina para combinações de
β-lactâmicos-inibidores de β-lactamase).
6
Ignorar o crescimento que pode aparecer dentro do halo de inibição em alguns lotes de ágar Mueller-Hinton.
7
Para a determinação da CIM, a concentração de sulbactam é fixada em 4 mg/L.
8
Para o teste de MIC, a concentração de avibactam é fixada em 4 mg/L.
9
K. pneumoniae ATCC 700603 é utilizada para verificar o componente inibidor (ver controle de qualidade de rotina para
combinações de β-lactâmicos-inibidores de β-lactamase).
10
Para a determinação da CIM,, a concentração de tazobactam é fixada em 4 mg / L.
11
Tanto a cepa de E. coli ATCC 35218 como a cepa de K. pneumoniae ATCC 700603 podem ser utilizadas para verificar o
componente inibidor (ver controle de qualidade de rotina para combinações de β-lactâmicos-inibidores de β-lactamase).
12
O controle de qualidade da colistina deve ser realizado com uma cepa de QC sensível (E. coli ATCC 25922 ou P. aeruginosa
ATCC 27853) e uma cepa de E. coli resistente à colistina NCTC 13846 (mcr-1 positivo). Para E. coli NCTC 13846 (CCUG
70662, DSM 105182), o valor alvo de CIM da colistina é de 4 mg/L e apenas ocasionalmente de 2 ou 8 mg/L.
13
A diluição em ágar é o método de referência para testar a fosfomicina. As CIMs de fosfomicina devem ser determinadas na
presença de glicose-6-fosfato (25 mg/L no meio). Siga as instruções do fabricante para sistemas comerciais.
14
Os discos de fosfomicina de 200 g devem conter 50 µg de glicose-6-fosfato.
15
Ignorar colônias isoladas dentro do halo de inibição e leia a borda da zona externa (para exemplos de leitura, consulte o Guia
de leitura do EUCAST ou Tabelas de ponto de corte).
16
A diluição em ágar é o método de referência para determinação da MIC para mecilinam.
17
Atualmente não há intervalo de CIM para E. coli ATCC 25922 e nitroxolina.
18
Para determinação da CIM por microdiluição em caldo para tigeciclina, o meio deve ser fresco e preparado no dia do uso.
19
Sulfametoxazol;trimetoprim na proporção 19:1. Valores de CIM são expressos como concentração de trimetoprim.
.
CQ de Rotina Tabelas de QC BrCAST-EUCAST V. 8.0 - válidas a partir de 10/08/2018
Pseudomonas aeruginosa ATCC 27853
(NCTC 12903, CIP 76.110, DSM 1117, CCUG 17619, CECT 108)
Consulte as tabelas de pontos de corte do BrCAST-EUCAST para explicação resumida sobre os métodos: CIM e
disco difusão.
MIC (mg/L) Diâmetro do Halo de inibição
(mm)
Alvo1
Intervalo2
Alvo1
Intervalo3
Amicacina 2 1-4 30 22 18-26
Aztreonam 4 2-8 30 26 23-29
Cefepima 1-2 0.5-4 30 28 25-31
Ceftazidima 2 1-4 10 24 21-27
Ceftazidima-avibactam4,5
1-2 0.5-4 10-4 24 21-27
Ceftolozana-tazobactam6,7
0.5 0.25-1 30-10 28 25-31
Ciprofloxacino 0.5 0.25-1 5 29 25-33
Colistina8
1-2 0.5-4 - - -
Doripenem 0.25 0.125-0.5 10 31-32 28-35
Fosfomicina9
4 2-8 - - -
Gentamicina 1 0.5-2 10 20 17-23
Imipenem 2 1-4 10 24 20-28
Levofloxacino 1-2 0.5-4 5 22-23 19-26
Meropenem 0.5 0.25-1 10 30 27-33
Netilmicina 2 0.5-8 10 18 15-21
Piperacilina 2-4 1-8 - - -
Piperacillin-tazobactam6,7
2-4 1-8 30-6 26 23-29
Ticarcillin 16 8-32 - - -
Ticarcillin-clavulanic acid10,11
16 8-32 75-10 24 20-28
Tobramycin 0.5 0.25-1 10 23 20-26
1
Calculado pelo EUCAST.
2
Da normativa International Standards Organisation, ISO 20776-1: 2006 (com atualizações incluídas no documento M100 mais
recente do CLSI). Todos os intervalos foram validados pelo EUCAST.
3
Do documento M100-S27, 2017 do Clinical and Laboratory Standards Institute, exceto intervalos em negrito/itálico
estabelecidos pelo EUCAST. Todos os intervalos foram validados pelo EUCAST.
4
Para a determinação da CIM,, a concentração de avibactam é fixa em 4 mg / L.
5
A ATCC 700603 de K. pneumoniae é utilizada para verificar o componente inibidor (ver controle de qualidade de rotina para
combinações de β-lactâmicos-inibidores de -β-lactamases).
6
Para a determinação da CIM, a concentração de tazobactam é fixa em 4 mg/L.
7
Tanto a cepa de E. coli ATCC 35218 como a cepa de K. pneumoniae ATCC 700603 podem ser utilizadas para verificar o
componente inibidor (ver controle de qualidade de rotina para combinações de inibidores de β-lactâmicos-inibidores de -β-
lactamases).
8
O controle de qualidade da colistina deve ser realizado com uma cepa de QC sensível (E. coli ATCC 25922 ou P. aeruginosa
ATCC 27853) e uma cepa de E. coli resistente à colistina NCTC 13846 (mcr-1 positivo). Para E. coli NCTC 13846 (CCUG
70662, DSM 105182), o valor alvo da CIM da colistina é de 4 mg/L e apenas ocasionalmente de 2 ou 8 mg/L.
9
A diluição em ágar é o método de referência para testar a fosfomicina. As CIMs de fosfomicina devem ser determinadas na
presença de glicose-6-fosfato (25 mg/L no meio). Siga as instruções do fabricante para sistemas comerciais.
10
E. coli ATCC 35218 é usado para verificar o componente inibidor (ver controle de qualidade de rotina para combinações de
inibidores de β-lactâmicos-inibidores de β-lactamases).
11
Para a determinação da CIM, , a concentração de ácido clavulânico é fixa em 2 mg/L.
Agente
antimicrobiano
CIM (mg/L) Conteúdo do
disco
CQ de Rotina Tabelas de QC BrCAST-EUCAST V. 8.0 - válidas a partir de 10/08/2018
Staphylococcus aureus ATCC 29213
(NCTC 12973, CIP 103429, DSM 2569, CCUG 15915, CECT 794)
Cepa produtora de β-lactamase-(fraca)
Consultar tabelas de pontos de corte do BrCAST para explicação resumida dos métodos CIM e disco-difusão.
Antimicrobial agent CIM (mg/dL) Diâmetro do Halo de
Inibição (mm)
Alvo1 (µg)
Alvo1
Intervalo3
Amicacina 2 1-4 30 21 18-24
Ampicilina - - 2 18 15-21
Azithromicina 1 0.5-2 - - -
Benzilpenicilina 0.5-1 0.25-2 1 unidade 15 12-18
Cefoxitina 2 1-4 30 27 24-30
Ceftarolina 0.25 0.125-0.5 5 27 24-30
Ceftobiprole 0.25-0.5 0.125-1 5 25 22-28
Cloranfenicol 4-8 2-16 30 24 20-28
Ciprofloxacino 0.25 0.125-0.5 5 24 21-27
Clarithromicina 0.25 0.125-0.5 - - -
Clindamcina 0.125 0.06-0.25 2 26 23-29
Dalbavancina4
0.06 0.03-0.125 - - -
Daptomicina5
0.25-0.5 0.125-1 - - -
Doxycyclina 0.25 0.125-0.5 - - -
Erithromicina 0.5 0.25-1 15 26 23-29
Fosfomicina6
1-2 0.5-4 - - -
Ac. Fusidico 0.125 0.06-0.25 10 29 26-32
Gentamicina 0.25-0.5 0.125-1 10 22 19-25
Levofloxacina 0.125-0.25 0.06-0.5 5 26 23-29
Linezolida 2 1-4 10 24 21-27
Minocyclina 0.125-0.25 0.06-0.5 30 26 23-29
Moxifloxacino 0.03-0.06 0.016-0.125 5 28 25-31
Mupirocina 0.125 0.06-0.25 200 34 31-37
Netilmicina ≤0.252
- 10 23 20-26
Nitrofurantoina 16 8-32 100 20 17-23
Norfloxacino 1 0.5-2 10 21 18-24
Ofloxacino 0.25-0.5 0.125-1 5 24 21-27
Oritavancina4
0.03-0.06 0.016-0.125 - - -
Quinupristin-dalfopristin 0.5 0.25-1 15 24 21-27
Rifampicina 0.008 0.004-0.016 5 33 30-36
Tedizolida 0.5 0.25-1 - - -
Teicoplanina 0.5 0.25-1 - - -
Telavancina4
0.06 0.03-0.125 - - -
Telithromycina 0.125 0.06-0.25 15 IP IP
Tetracyclina 0.25-0.5 0.125-1 30 27 23-31
Tigecyclina7
0.06-0.125 0.03-0.25 15 22 19-25
Tobramycina 0.25-0.5 0.125-1 10 23 20-26
Trimethoprim 2 1-4 5 25 22-28
Sulfametoxazol Trimetoprim-8
≤0.52
- 23.75-1.25 29 26-32
Vancomicina 1 0.5-2 - - -
Agente antimicrobiano
Conteúdo do
disco
Intervalo2
CQ de Rotina Tabelas de QC BrCAST-EUCAST V. 8.0 - válidas a partir de 10/08/2018
Staphylococcus aureus ATCC 29213
(NCTC 12973, CIP 103429, DSM 2569, CCUG 15915, CECT 794)
Cepa produtora de β-lactamase (fraca)
1
Calculado pelo EUCAST.
2
Da normativa International Standards Organisation, ISO 20776-1: 2006 (com atualizações incluídas no documento M100 mais
recente do CLSI). Todos os intervalos foram validados pelo EUCAST.
3
Estabelecido e validado pelo EUCAST.
4
As CIMs devem ser determinadas na presença de polissorbato-80 (0,002% no meio para o método de microdiluição em caldo;
os métodos de diluição em ágar não foram validados). Siga as instruções do fabricante para sistemas comerciais.
5
As CIMs de daptomicina devem ser determinadas na presença de Ca2+
(50 mg/L no meio para o método de microdiluição em
caldo; os métodos de diluição em ágar não foram validados). Siga as instruções do fabricante para sistemas comerciais.
6
A diluição em ágar é o método de referência para testar a fosfomicina. As CIMs de fosfomicina devem ser determinadas na
presença de glicose-6-fosfato (25 m /L no meio). Siga as instruções do fabricante para sistemas comerciais.
7
Para a determinação da CIM por microdiluição em caldo para tigeciclina, o meio deve ser fresco e preparado no dia do uso.
8
Sulfametoxazol-Trimetroprim na proporção 19:1. Valores de CIM são expressos como concentração de trimetoprim. EP = em
preparação
CQ de Rotina Tabelas de QC BrCAST-EUCAST V. 8.0 - válidas a partir de 10/08/2018
Enterococcus faecalis ATCC 29212
(NCTC 12697, CIP 103214, DSM 2570, CCUG 9997, CECT 795)
Consultar tabelas de pontos de corte do BrCAST para explicação resumida dos métodos CIM e disco-difusão.
MIC
(mg/L)
Disk content
Alvo1 (µg)
Alvo1
Intervalo3
Ampicilina 1 0.5-2 2 18 15-21
Ciprofloxacino 0.5-1 0.25-2 5 22 19-25
Gentamicina 8 4-16 304
15 12-18
Imipenem 1 0.5-2 10 27 24-30
Levofloxacino 0.5-1 0.25-2 5 22 19-25
Linezolida 2 1-4 10 22 19-25
Nitrofurantoina 8 4-16 100 21 18-24
Norfloxacino 4 2-8 10 19 16-22
Quinupristin-dalfopristin 4 2-8 15 14 11-17
Estreptomicina Nota5
Nota5
3006
17 14-207
Teicoplanina 0.5 0.25-1 30 18 15-21
Tigeciclina8
0.06 0.03-0.125 15 23 20-26
Trimethoprim 0.25 0.125-0.5 5 28 24-32
Sulfametoxazol-trimetoprim-9
≤0.52
- 23.75-1,25 30 26-34
Vancomicina 2 1-4 5 13 10-16
1
Calculado pelo EUCAST.
2
De acordo com a International Standards Organisation, ISO 20776-1: 2006 (com atualizações incluídas no documento M100
mais recente do CLSI). Todos os intervalos foram validados pelo EUCAST.
3
Estabelecido e validado pelo EUCAST.
4
Disco para triagem de resistência de alto nível aos aminoglicosídeos em Enterococcus.
5
Atualmente não há intervalo de CIM para E. faecalis ATCC 29212 e estreptomicina.
6
Disco para triagem de resistência de alto nível à estreptomicina em Enterococcus.
7
De acordo com o Clinical and Laboratory Standards Institute, M100-S27, 2017.
8
Para determinação da CIM por microdiluição em caldo para tigeciclina, o meio deve ser fresco e preparado no dia do uso.
9
Sulfametoxazol-trimetoprim na proporção 19:1. Valores CIM são expressos como concentração de trimetoprim.
Diâmetro do halo de inibição
(mm)
Agente antimicrobiano CIM (mg/L) Conc.
Disco
Conteúdo
do Disco
Intervalo2
CQ de Rotina Tabelas de QC BrCAST-EUCAST V. 8.0 - válidas a partir de 10/08/2018
Streptococcus pneumoniae ATCC 49619*
(NCTC 12977, CIP 104340, DSM 11967, CCUG 33638)
Cepa com sensibilidade reduzida a benzilpenicilina
* Halos de inibição de isolados de S. pneumoniae no MH-F são quase sempre acompanhados de α-hemólise. Ler a
inibição do crescimento e não a inibição da hemólise. Inclinar a placa para facilitar a diferenciação entre hemólise e
crescimento. Usualmente há crescimento em toda área de α-hemólise, mas em alguns lotes de MH-F há α-hemólise sem
crescimento.
.
Consultar tabelas de pontos de corte do BrCAST para explicação resumida dos métodos CIM e disco-difusão
Antimicrobial agent MIC
(mg/L)
Disk content
Alvo1 (µg)
Alvo1
Intervalo3
Amoxicilina 0.06 0.03-0.125 - - -
Ampicilina 0.125 0.06-0.25 2 28 25-31
Azitromicina 0.125 0.06-0.25 - - -
Benzilpenicilina 0.5 0.25-1 1 unidade 19 16-22
Cefaclor 2 1-4 30 28 25-31
Cefepima 0.06-0.125 0.03-0.25 30 34 31-37
Cefotaxima 0.06 0.03-0.125 5 31 28-34
Cefpodoxima 0.06 0.03-0.125 10 32 29-35
Ceftarolina 0.016 0.008-0.03 - - -
Ceftobiprole 0.008-0.016 0.004-0.03 - - -
Ceftriaxona 0.06 0.03-0.125 30 35 32-38
Cefuroxima 0.5 0.25-1 30 31 28-34
Clorafenicol 4 2-8 30 27 24-30
Ciprofloxacin0 - - 5 25 22-28
Claritromicina 0.06 0.03-0.125 - - -
Clindamicina 0.06 0.03-0.125 2 25 22-28
Dalbavancina4
0.016 0.008-0.03 - - -
Daptomicina5
0.125-0.25 0.06-0.5 - - -
Doripenem 0.06 0.03-0.125 10 34 31-37
Doxiciclina 0.03-0.06 0.016-0.125 - - -
Ertapenem 0.06-0.125 0.03-0.25 10 31 28-34
Eritromicina 0.06 0.03-0.125 15 29 26-32
Imipenem 0.06 0.03-0.125 10 38 34-42
Levofloxacino 1 0.5-2 5 24 21-27
Linezolida 0.5-1 0.25-2 10 26 23-29
Meropenem 0.125 0.06-0.25 10 34 30-38
Minocyclina - - 30 28 25-31
Moxifloxacina 0.125 0.06-0.25 5 27 24-30
Nitrofurantoina 8 4-16 100 28 25-31
Norfloxacina 4 2-8 10 21 18-24
Ofloxacino 2 1-4 5 21 18-24
Oritavancina4
0.002 0.001-0.004 - - -
Oxacilina6
- - 1 11 8-14 6
Rifampicina 0.03 0.016-0.06 5 29 26-32
Tedizolide 0.25 0.125-0.5 - - -
Teicoplanina - - 30 21 18-24
Telitromicina 0.008-0.016 0.004-0.03 15 30 27-33
Tetraciclina 0.125-0.25 0.06-0.5 30 31 28-34
Tigeciclina7
0.03-0.06 0.016-0.125 15 27 24-30
Sulfametoxazol-trimetoprim8
0.25-0.5 0.125-1 23.75-1,25 22 18-26
Vancomicina 0.25 0.125-0.5 5 20 17-23
Agente antimicrobiano CIM (mg/L) Conteúdo
do Disco
Diâmetro do Halo de inibição
(mm)
Intervalo2
CQ de Rotina Tabelas de QC BrCAST-EUCAST V. 8.0 - válidas a partir de 10/08/2018
Streptococcus pneumoniae ATCC 49619*
(NCTC 12977, CIP 104340, DSM 11967, CCUG 33638)
Cepa com sensibilidade reduzida a benzilpenicilina
1
Calculado pelo EUCAST.
2
Da normativa International Standards Organisation, ISO 20776-1: 2006 (com atualizações incluídas no documento M100 mais
recente do CLSI). Todos os intervalos foram validados pelo EUCAST.
3
Estabelecido e validado pelo EUCAST.
4
As CIMs devem ser determinadas na presença de polissorbato-80 (0,002% no meio para o método de microdiluição em caldo;
os métodos de diluição em ágar não foram validados). Siga as instruções do fabricante para sistemas comerciais.
5
As CIMs de daptomicina devem ser determinadas na presença de Ca2+
(50 mg/L no meio para o método de microdiluição em
caldo; os métodos de diluição em ágar não foram validados). Siga as instruções do fabricante para sistemas comerciais.
6
A diluição em ágar é o método de referência para testar a fosfomicina. As CIMs de fosfomicina devem ser determinadas na
presença de glicose-6-fosfato (25 m /L no meio). Siga as instruções do fabricante para sistemas comerciais.
7
Para a determinação da CIM por microdiluição em caldo para tigeciclina, o meio deve ser fresco e preparado no dia do uso.
8
Sulfametoxazol-Trimetroprim na proporção 19:1. Valores de CIM são expressos como concentração de trimetoprim. EP = em
preparação
CQ de Rotina Tabelas de QC BrCAST-EUCAST V. 8.0 - válidas a partir de 10/08/2018
Haemophilus influenzae ATCC 49766
(NCTC 12975, CIP 103570, DSM 11970, CCUG 29539)
Consultar tabelas de pontos de corte do BrCAST para explicação resumida dos métodos CIM e disco-difusão
Antimicrobial agent
CIM (mg/L) Diâmetro do Halo de
inibição (mm)
Alvo1
Alvo1
Intervalo2
Amoxicilina ác. clavulânico3,4
0.25 0.125-0.5 2-1 20 17-23
Amoxicilina 0.25 0.125-0.5 - - -
Ampicilina 0.125 0.06-0.25 2 22 19-25
Ampicilina-sulbactam5
0.125 0.06-0.25 - - -
Azitromicina 1 0.5-2 - - -
Benzilpenicilina - - 1 unidade 18 15-21
Cefepima 0.06 0.03-0.125 30 33 30-36
Cefixima 0.03 0.016-0.06 5 32 29-35
Cefotaxima 0.008 0.004-0.016 5 33 29-37
Cefpodoxima 0.06 0.03-0.125 10 33 30-36
Ceftarolina 0.008 0.004-0.016 - - -
Ceftibuten 0.03 0.016-0.06 30 34 31-37
Ceftriaxona 0.004 0.002-0.008 30 38 34-42
Cefuroxima 0.5 0.25-16
30 30 26-34
Cloranfenicol 0.5 0.25-1 30 34 31-37
Ciprofloxacino 0.008 0.004-0.016 5 36 32-40
Claritromicina 8 4-16 - - -
Doripenem 0.125 0.06-0.256
10 29 26-32
Doxicilina 0.5 0.25-1 - - -
Ertapenem 0.03 0.016-0.066
10 30 27-33
Eritromicin 4 2-8 15 13 10-16
Imipenem 0.5 0.25-16
10 27 24-30
Levofloxacino 0.016 0.008-0.03 5 35 31-39
Meropenem 0.06 0.03-0.1256
10 31 27-35
Minocycline 0.25 0.125-0.5 30 29 26-32
Moxifloxacin 0.016 0.008-0.03 5 33 30-36
Ácido nalidíxico - - 30 30 27-33
Ofloxacino 0.03 0.016-0.06 5 34 31-37
Rifampicina 0.5 0.25-1 5 24 21-27
Roxitromycina 8 4-16 - - -
Telitromicina 2 1-4 15 17 14-20
Tetracicline 0.5 0.25-1 30 31 28-34
Sulfametoxazol- Trimetoprim7
0.03 0.016-0.06 23.75-1,25 31 27-35
1
Calculado pelo EUCAST.
2
Estabelecido e validado pelo EUCAST.
3
Para determinação da CIM, a concentração de ácido clavulânico é fixa em 2 mg/L.
4
As cepas de E. coli ATCC 35218 (CIM) e S. aureus ATCC 29213 (disco-difusão) são utilizadas para verificar o componente
inibidor (ver controle de qualidade de rotina para combinações β-lactâmicos-inibidores de β-lactamase).
5
Para determinação da CIM, a concentração do sulbactam é fixa em 4 mg/L.
6
De acordo com o Clinical and Laboratory Standards Institute, M100-S27, 2017, e validado pelo EUCAST.
7
Sulfametoxazol-trimetoprim: na proporção 19:1. Valores de CIM são expressos como a concentração de trimetoprim
.
Agente antimicrobiano
Conteúdo
do Disco
Intervalo2
CQ de Rotina Tabelas de QC BrCAST-EUCAST V. 8.0 - válidas a partir de 10/08/2018
Campylobacter jejuni ATCC 33560
(NCTC 11351, CIP 702, DSM 4688, CCUG 11284)
Consultar tabelas de pontos de corte do BrCAST para explicação resumida dos métodos CIM e disco-difusão
Antimicrobial agent
CIM (mg/L) Diâmetro do Halo de
inibição (mm)
Alvo Intervalo Alvo1
Intervalo2
Ciprofloxacino EP EP 5 38 34-42
Erithromycina EP EP 15 31 27-35
Tetraciclina EP EP 30 34 30-38
1
Calculado pelo EUCAST.
2
Estabelecido e validado pelo EUCAST
EP – Em preparação
Agente antimicrobiano
Conteúdo
do Disco
CQ de Rotina Tabelas de QC BrCAST-EUCAST V. 8.0 - válidas a partir de 10/08/2018
Controle do componente inibidor dos discos combinados de β-lactâmico com
inibidor de β-lactamase
Consultar tabelas de pontos de corte do BrCAST para explicação resumida dos métodos CIM e disco-difusão
Escherichia coli ATCC 35218
(NCTC 11954, CIP 102181, DSM 5923, CCUG 30600, CECT 943)
Cepa produtora de β-lactamase TEM-1 (não-ESBL)
Antimicrobial agent
CIM (mg/L) Diâmetro do Halo de
Inibição (mm)
Alvo1
Amoxicilina-ác. clavulânico3 8-16 4-32 20-10 19-20 17-224
Ampicilina-sulbactam5 32-64 16-128 10-10 16 13-194
Ceftolozana-tazobactam6,7
0.125 0.06-0.25 30-10 28 25-31
Piperacilina-tazobactam6,7 1 0.5-2 30-6 24 21-27
Ticarcilina- ác. clavulânico 3
16 8-32 75-10 23 21-25
Klebsiella pneumoniae ATCC 700603
(NCTC 13368, CCUG 45421, CECT 7787)
Cepa produtora de ESBL - SHV-18
Antimicrobial agent
Alvo1
Alvo1
Intervalo2
Ceftazidima-avibactam8
0.5-1 0.25-2 10-4 21 18-24
Ceftolozana-tazobactam6,7
1 0.5-2 30-10 21 17-25
Piperacilina-tazobactam6,7
16 8-32 30-6 17 14-20
Staphylococcus aureus ATCC 29213
(NCTC 12973, CIP 103429, DSM 2569, CCUG 15915, CECT 794)
Cepa produtora de β-lactamase (fraca)
Antimicrobial agent
CIM (mg/L) Diâmetro do Halo de
Inibição (mm)
Alvo1
Alvo1
Intervalo2
Amoxicilina- ác. clavulânico3
Nota9
Nota9 2-1 22 19-25
1
Calculado pelo EUCAST.
2
Do documento Clinical and Laboratory Standards Institute, M100-S27, 2017, exceto os intervalos em negrito/itálico
estabelecidos pelo EUCAST. Todos os intervalos foram validados pelo EUCAST.
3
Para o teste de CIM, a concentração de ácido clavulânico é fixa em 2 mg/L.
4
Ignorar o crescimento que pode aparecer como um fino halo interno em alguns lotes de ágar Mueller-Hinton.
5
Para a determinação da CIM,, a concentração de sulbactam é fixa em 4 mg/L.
6
Para a determinação da CIM,, a concentração de tazobactam é fixada em 4 mg/L.
7
Tanto cepa de E. coli ATCC 35218 como a cepa de K. pneumoniae ATCC 700603 podem ser utilizadas para verificar o
componente inibidor.
8
Para a determinação da CIM,, a concentração de avibactam é fixa em 4 mg/L.
9
Para a determinacão da CIM, a cepa de E. coli ATCC 35218 é utilizada para verificar o componente inibidor
Diâmetro do Halo de Inibição
(mm)
Agente antimicrobiano
Agente antimicrobiano
CIM (mg/L)
Agente antimicrobiano
Conteúdo
do Disco
Intervalo2
Intervalo2
Alvo1
Conteúdo
do Disco
Conteúdo
do Disco
Intervalo2
Intervalo2
Extended QC QC BrCAST V. 8.0 - Tabelas, válido a partir de 10/08/2018.
Controle de Qualidade Estendido para
Detecção de Mecanismos de Resistência
por Disco-Difusão
Extended QC QC BrCAST V. 8.0 - Tabelas, válido a partir de 10/08/2018.
Cepas para controle de qualidade para detecção de mecanismos de
resistência por disco-difusão no ágar Müeller-Hinton
Consultar tabelas de pontos de corte do BrCAST para explicação resumida dos métodos CIM e disco-difusão
Produção de ESBL em Enterobacteriaceae
Klebsiella pneumoniae ATCC 700603
(NCTC 13368, CCUG 45421, CECT 7787)
Cepa produtora de ESBL SHV-18
Antimicrobiano
Alvo
sensibilidade1
Aztreonam 30 R 9-17
Cefotaxima 5 I ou R 12-18
Cefpodoxima 10 R 9-16
Ceftazidima 10 I ou R 6-12
Ceftriaxona 30 I ou R 16-22
Staphylococcus aureus resistente à oxacilina (meticilina)
Staphylococcus aureus NCTC 12493
(CCUG 67181)
S. aureus resistente a meticilina (MRSA), mecA positivo
Antimicrobiano
Cefoxitin 30 R 14-20
Resistência aos glicopeptídeos mediada por VanB em Enterococcus
Enterococcus faecalis ATCC 51299
(NCTC 13379 ,CIP 104676, DSM 12956, CCUG 34289)
Cepa vanB -positiva
Antimicrobiano
Alvo
sensibilidade1
Teicoplanina 30 S 16-20
Vancomicina 5 R 6-12 Examinar as bordas do halo de inibição com luz
transmitida (segurar a placa contra a luz). Halos de
inibição com bordas mal definidas devem ser
interpretados como resistentes, mesmo que o diâmetro do
halo de inibição esteja acima do ponto de corte de
sensibilidade (veja os exemplos de leitura no guia de
leitura do BrCAST).
Alto nível de resistência aos aminoglicosídeos em Enterococcus
Enterococcus faecalis ATCC 51299
(NCTC 13379 ,CIP 104676, DSM 12956, CCUG 34289)
Gentamicina de alto-nível e streptomicina resistente
Antimicrobiano
Alvo
sensibilidade1
Gentamicina 30 R 6
Streptomicina 300 R 6
1
Alvos acordo com os pontos de corte clínicos do EUCAST e são estabalecidos para garantir que os mecanismos de
resistência sejam corretamente detectados. Interpretação de acordo com os pontos de corte clínicos do EUCAST: S =
Sensível, I = Intermediário, R = Resistente.
2
Do documento M100-S27, 2017 do Clinical and Laboratory Standards Institute, , exceto intervalos em negrito/itálico
estabelecidos pelo EUCAST. Todos os intervalos foram validados pelo EUCAST.
Intervalo2
(mm)
Comentários
Conteúdo
do Disco
Conteúdo
do Disco
Alvo
sensibilidade 1
Intervalo2
(mm)
Comentários
Conteúdo
do Disco
Intervalo2
(mm)
Comentários
Conteúdo
do Disco
Intervalo2
(mm)
Extended QC QC BrCAST V. 8.0 - Tabelas, válido a partir de 10/08/2018.
Cepas de controle de qualidade para detecção de mecanismos de resistência
por disco-difusão em ágar Müeller-Hinton para fastidiosos (MH-F)
Consultar tabelas de pontos de corte do BrCAST para explicação resumida dos métodos CIM e disco-difusão
Sensibilidade reduzida aos agentes β-lactâmicos devido a mutações em PBP
em Haemophilus influenzae
Haemophilus influenzae ATCC 49247
(NCTC 12699, CIP 104604, DSM 9999, CCUG 26214)
Os diâmetros de halos de inibição são particularmente
afetados por variações no meio, inóculo e condições de
incubação. Halos de inibição com presença de
pequenas colônias em seu interior devem ser
interpretados como 6 mm (sem halo”
Ampiciliina 2 R 6-12
Benzilpenicilin 1 unit R 6-9
1
Alvos de acordo com os pontos de corte clínicos do EUCAST e são estabelecidos para garantir que os mecanismos de
resistência sejam corretamente detectados. Interpretação de acordo com os pontos de corte clínicos do EUCAST: S = Sensível, I
= Intermediário, R = Resistente.
2
Estabelecido e validado por múltiplos testes pelo EUCAST.
Comentários
Conteúdo
do Disco
Intervalo2
(mm)
Alvo
sensibilidade1
Antimicrobiano
BrCAST - Método de Disco-Difusão para Teste de Sensibilidade aos Antimicrobianos
Versão 6.0 (Janeiro de 2017)
http://brcast.org.br/
Teste sensibilidade aos
antimicrobianos
Método de disco-difusão EUCAST
Versão 6.0
Janeiro 201
Versão para
português válida
a partir de
BrCAST - Método de Disco-Difusão para Teste de Sensibilidade aos Antimicrobianos
Versão 6.0 (Janeiro de 2017)
http://brcast.org.br/
Conteúdo Página
Alterações no documento
Abreviaturas e Terminologia
1 Introdução 6
2 Preparação e armazenamento dos meios
Preparação do inóculo
Inoculação das placas de ágar 11
Aplicação dos discos de antimicrobianos 12
6 Incubação das placas 1
Observação das placas após incubação 1
Aferição dos halos e interpretação 16
Controle de Qualidade 1
Apêndice A 21
BrCAST - Método de Disco-Difusão para Teste de Sensibilidade aos Antimicrobianos
Versão 6.0 (Janeiro de 2017)
http://brcast.org.br/
Alterações no documento da versão anterior (v.5.0)
Seção Alterações
Informação adicionada sobre as dimensões das placas de Petri
Informação adicionada sobre a secagem das placas
Modificação na recomendação de armazenamento de placas preparadas “in house”
Esclarecimento sobre a secagem das placas
Tabela 1 Aerococcus sanguinicola, A.urinae e Kingella kingae adicionados
Informações adicionadas sobre o preparo do inóculo
Esclarecimento sobre o uso do padrão 0,5 de McFarland
Resumo da regra 15-15-15 minutos adicionada (ver nota de rodapé 1)
Tabela 2 Informação sobre o padrão de McFarland removido
Informação adicionada sobre deixar as placas alcançarem a temperatura ambiente
antes da inoculação
Informação adicionada sobre inoculação das placas de gram-negativos e gram-
positivos
Informação adicionada sobre inoculação de mais de uma placa de agar
Informação adicionada sobre técnicas de semeadura
Resumo da regra 15-15-15 minutos adicionada (ver nota de rodapé 1)
Intervalo de tempo para aplicação dos discos adicionado. Resumo da regra de 15-
1 -1 minutos adicionada (ver nota de rodapé 1)
Informação adicionada sobre o empilhamento de placas na estufa
Esclarecimento sobre tempo de incubação
Tabela 3 Corrigido o intervalo de tempo para incubação prolongada de Corynebacterium spp.
Tabela Adicionado Aerococcus sanguinicola e A.urinae e Kingella kingae
Esclarecimento sobre leitura dos halos e uso de leitores automatizados de halos.
Informação adicionada sobre Guia de Leitura do BrCAST
BrCAST - Método de Disco-Difusão para Teste de Sensibilidade aos Antimicrobianos
Versão 6.0 (Janeiro de 2017)
http://brcast.org.br/
Esclarecimento sobre a leitura dos halos quando existe duplo halo ou colônias
isoladas dentro dos halos
Esclarecimento da leitura dos halos de sulfametoxazol-trimetoprim para
Stenotrophomonas maltophilia,
Instrução de leitura para Enterobacteriaceae com ampicilina-sulbactam e
amoxicilina-ácido clavulânico adicionada
Instrução de leitura para benzilpenicilina atualizada
Esclarecimento sobre como diferenciar hemólise de crescimento na leitura dos
halos de inibição.
Instrução para leitura dos halos de fosfomicina para Escherichia coli adicionada.
Informação adicionada para o controle do componente do inibidor da combinação
dos discos de β-lactâmico com inibidor de β-lactamase,
Informação adicionada sobre repique das cepas controle
Informação adicionada sobre como utilizar os alvos e intervalos do EUCAST CQ
Mudança na recomendação da frequência do controle de qualidade
Tabela 4 Informação adicionada sobre as características da Escherichia coli ATCC 35218
Tabela 4 Klebsiella pneumoniae ATCC 700603 adicionada
Tabela 4 Haemophilus influenzae NCTC 8468 removido
Tabela 5 Características para Haemophilus influenzae ATCC 49766 reformuladas
BrCAST - Método de Disco-Difusão para Teste de Sensibilidade aos Antimicrobianos
Versão 6.0 (Janeiro de 2017)
http://brcast.org.br/
Abreviaturas e terminologia
Abreviaturas e terminologia
ATCC American Type Culture Collection
http://www.atcc.org
CCUG Culture Collection Universtity of Göteborg
http://www.ccug.se
CECT Colección Española de Cultivos Tipo
http://www.cect.org
CIP Collection de Institute Pasteur
http://www.cabri.org/CABRI/srs-doc/cip_bact.info.html
DSM Culturas bacteriana do “Deutsche Stammsammlung für
Mikroorganismen und Zellkulturen (DSMZ)” agora com número DSM
http://www.dsmz.de/
ESBL β-lactamase de espectro estendido
EUCAST European Committee on Antimicrobial Susceptibility Testing
http://www.eucast.org
MH Ágar Müeller-Hinton
MH-F Ágar Müeller-Hinton - para microrganismos fastidiosos (MH
suplementado)
MRSA Staphylococcus aureus resistente à oxacilina (meticilina) [com gene
mecA ou mecC]
NCTC National Collection of Type Cultures
http://www.hpacultures.org.uk
ß-NAD β-nicotinamida-adenina-dinucleotídio
Salina Solução de NaCl a 0,85% em água (8,5g/L)
BrCAST - Método de Disco-Difusão para Teste de Sensibilidade aos Antimicrobianos
Versão 6.0 (Janeiro de 2017)
http://brcast.org.br/
. Introdução
O método de disco-difusão é uma das abordagens mais antigas para
realização de testes de sensibilidade aos antimicrobianos e permanece como
um dos mais amplamente utilizados na rotina dos laboratórios clínicos. É
adequado para testar a maioria dos patógenos bacterianos, incluindo as
bactérias fastidiosas mais comuns, é versátil em relação a gama de agentes
antimicrobianos que podem ser testados e não requer equipamento especial.
Da mesma forma que várias outras técnicas de disco-difusão, o método
sugerido pelo EUCAST é padronizado e baseado nos princípios definidos no
relatório do “International Collaborative Study of Antimicrobial Susceptibility
Testing” de 1972, e a experiência dos grupos de especialistas em todo o
mundo.
Os pontos de corte dos halos de inibição no método BrCAST-EUCAST são
calibrados para os pontos de corte europeus harmonizados, que estão
publicados pelo BrCAST-EUCAST e são gratuitamente disponíveis no site do
EUCAST (http://www.eucast.org). A versão dessas tabelas em Português
está disponível no site do BrCAST (www.brcast.org.br).
Assim como todos os métodos, as técnicas descritas devem ser seguidas sem
modificações com objetivo de gerar resultados confiáveis.
Textos incluídos pelo BrCAST estão marcados em verde.
BrCAST - Método de Disco-Difusão para Teste de Sensibilidade aos Antimicrobianos
Versão 6.0 (Janeiro de 2017)
http://brcast.org.br/
Preparação e armazenamento de meios
2 1 Preparar o ágar Müeller Hinton (MH) de acordo com as instruções do
fabricante, com suplementação para microrganismos fastidiosos como indicado
na Tabela 1. A preparação e adição de suplementos estão descritas em
detalhes no site http://www.eucast.org. A versão desses documentos em
Português está disponível no site do BrCAST (http://brcast.org.br).
2 2 O meio deve ter uma espessura de 4,0 ± 0,5 mm (aproximadamente 25 mL
em uma placa circular de 90 mm de diâmetro; 31 mL em uma placa circular de
100 mm de diâmetro; 71 mL em uma placa circular de 150 mm de diâmetro; 40
mL em uma placa quadrada de 100 mm).
2 A superfície do ágar deve estar seca antes do uso. Nenhuma gota de água
deve estar visível na superfície do ágar ou no interior da tampa . Se necessário,
seque as placas a 20-25°C overnight, ou a 35 °C, com a tampa removida por 15
minutos. Não secar as placas excessivamente.
2 Armazenar as placas preparadas no laboratório a -8°C.
2 Para placas preparadas no laboratório a secagem, condições de estocagem
e estabilidade devem ser determinadas como parte do programa de garantia da
qualidade do laboratório.
2.6 Placas preparadas comercialmente devem ser estocadas de acordo com o
recomendado pelo fabricante e utilizadas dentro do prazo de validade.
2 Para placas (preparadas no laboratório ou comercialmente), estocadas em
sacos plásticos ou em recipientes selados, pode ser necessária a secagem
antes do uso (ver seção 2. . Isto é necessário para impedir o excesso de
umidade que pode resultar em halos com bordas distorcidas e/ou névoa no
interior dos halos.
BrCAST - Método de Disco-Difusão para Teste de Sensibilidade aos Antimicrobianos
Versão 6.0 (Janeiro de 2017)
http://brcast.org.br/
Tabela 1: Meios para realização do teste de sensibilidade aos antimicrobianos
Microrganismo Meio
Enterobacterales MH ágar
Pseudomonas spp. MH ágar
Stenotrophomonas maltophilia MH ágar
Acinetobacter spp. MH ágar
Staphylococcus spp. MH ágar
Enterococcus spp MH ágar
Streptococcus grupos A, B, C e G MH-F ágar
1
Streptococcus pneumoniae MH-F ágar
1
Streptococcus grupo viridans MH-F ágar
1
Haemophilus influenzae MH-F ágar
1
Moraxella catarrhalis MH-F ágar
1
Listeria monocytogenes MH-F ágar
1
Pasteurella multocida MH-F ágar
1
Campylobacter jejuni e coli MH-F ágar
1
Corynebacterium spp. MH-F ágar
1
Aerococcus sanguinicola e urinae MH-F ágar
1
Kingella kingae MH-F ágar
1
Outros fastidiosos Pendente
1
MH-F = 5% de sangue desfibrinado de cavalo + 20mg/L β-NAD
BrCAST - Método de Disco-Difusão para Teste de Sensibilidade aos Antimicrobianos
Versão 6.0 (Janeiro de 2017)
http://brcast.org.br/
Preparação do inóculo
1 Usar o método de suspensão direta das colônias em salina para fazer a
suspensão de microrganismos de modo a obter densidade equivalente ao
padrão de turbidez 0,5 da escala de McFarland (Tabela 2), que corresponde
aproximadamente a 1-2 x10 UFC/mL para Escherichia coli.
O método da suspensão direta das colônias é apropriado para todos os
microrganismos, incluindo os microrganismos fastidiosos da Tabela 1.
2 Preparar a suspensão a partir de um crescimento overnight em um meio
não seletivo. Usar várias colônias morfologicamente similares (quando
possível) para evitar selecionar variantes atípicas e suspenda as colônias em
salina com alça estéril ou swab de algodão.
Ajustar a suspensão do inóculo de modo a obter turbidez equivalente ao
padrão 0,5 da escala de McFarland adicionando salina ou mais bactérias. Um
inóculo mais denso pode resultar em halos menores e inóculo com menor
densidade terá um efeito oposto.
1 É recomendado que um dispositivo fotométrico seja utilizado para
ajustar a densidade da suspensão. O fotômetro deve ser calibrado com
o padrão 0,5 da escala de McFarland, de acordo com as instruções do
fabricante.
2 Alternativamente, a densidade da suspensão pode ser comparada
visualmente com a turbidez do padrão 0,5 da escala de McFarland.
Para auxiliar a comparação, comparar o teste e padrão contra um fundo
branco com linhas pretas.
As suspensões de Streptococcus pneumoniae devem ser
preferencialmente preparadas a partir de cultura obtida em de ágar
sangue de modo a obter densidade equivalente ao padrão 0,5 da
escala de McFarland. Quando a suspensão for preparada a partir de
cultura em ágar chocolate, a turbidez do inóculo deve ser equivalente
ao padrão 1.0 da escala de McFarland.
BrCAST - Método de Disco-Difusão para Teste de Sensibilidade aos Antimicrobianos
Versão 6.0 (Janeiro de 2017)
http://brcast.org.br/
A suspensão deve ser utilizada de preferência em até 15 min e
obrigatoriamente até 60 min após a preparação.
Parte da regra dos 15-15-15 minutos: use a suspensão do inóculo dentro de 15 minutos da
preparação, aplique os discos dentro de 15 minutos da semeadura e incube as placas dentro de 15
minutos da aplicação do discos.
BrCAST - Método de Disco-Difusão para Teste de Sensibilidade aos Antimicrobianos
Versão 6.0 (Janeiro de 2017)
http://brcast.org.br/
Tabela 2 Preparação do padrão de turbidez 0,5 de McFarland
1 Adicionar 0,5 mL de solução de BaCl2 0,048 mol/L (1,175% w/v BaCl2·2H20)
a 99,5 mL de solução 0,18 mol/L (0,36 N)de H2S0 (1% v/v) e misturar bem.
2 Conferir a densidade óptica da suspensão em um espectrofotômetro com
trajeto de luz de 1 cm e cubetas apropriadas. A absorbância em 625 nm
deve estar na faixa de 0,08 a 0,13.
Distribuir a suspensão em tubos de mesmo tamanho que aqueles utilizados
para testar o ajuste do inóculo. Vedar os tubos.
Armazenar os padrões vedados no escuro, em temperatura ambiente.
Agitar os padrões vigorosamente em um misturador vórtex imediatamente
antes do uso.
6 Renove os padrões ou confera a absorbância após 6 meses de
armazenamento.
BrCAST - Método de Disco-Difusão para Teste de Sensibilidade aos Antimicrobianos
Versão 6.0 (Janeiro de 2017)
http://brcast.org.br/
Inoculação das placas de ágar.
1 Garantir que as placas estejam em temperatura ambiente previamente à
inoculação.
2 Preferencialmente utilizar a suspensão ajustada do inóculo em até 15
minutos após a preparação. A suspensão deve ser obrigatoriamente utilizada
em até 60 minutos após a preparação.
Mergulhar um swab de algodão estéril na suspensão
4.3.1 Para evitar a inoculação excessiva das placas de microrganismos
gram-negativos, remova o excesso de líquido pressionando e girando o
swab contra a parte interna do tubo acima do nível da suspensão.
4.3.2 Para bactérias gram-positivas, não pressione o swab contra a parte
interna do tubo.
Quando inocular várias placas com a mesma suspensão do inóculo,
repita o procedimento do item 4.3 para cada placa de ágar.
As placas podem ser inoculadas tanto espalhando o inóculo uniformemente
em três direções como por um inoculador automatizado. Espalhar o inóculo
uniformemente sobre toda a superfície assegurando que não haja falhas.
1 Para bactérias gram-positivas, tenha atenção especial a fim de
garantir que não exista diferença na semeadura.
4.6 Aplicar os discos em até 15 min1
após a inoculação da placa.
Se as placas inoculadas forem deixadas em temperatura ambiente por
períodos prolongados de tempo antes da aplicação dos discos, os
microrganismos podem começar a crescer, resultando em redução errônea do
tamanho dos halos de inibição.
Parte da regra dos 15-15-15 minutos: use a suspensão do inóculo dentro de 15 minutos da
BrCAST - Método de Disco-Difusão para Teste de Sensibilidade aos Antimicrobianos
Versão 6.0 (Janeiro de 2017)
http://brcast.org.br/
preparação, aplique os discos dentro de 15 minutos da semeadura e incube as placas
dentro de 15 minutos da aplicação do discos
BrCAST - Método de Disco-Difusão para Teste de Sensibilidade aos Antimicrobianos
Versão 6.0 (Janeiro de 2017)
http://brcast.org.br/
Aplicação dos discos de antimicrobianos
1 O conteúdo (potência) dos discos a serem utilizados está descrito nas
tabelas de pontos de corte e controle de qualidade em http://www.eucast.org.
A versão desses documentos em Português está disponível no site do BrCAST
(http://brcast.org.br).
2 Permitir que os discos alcancem a temperatura ambiente antes da
abertura dos cartuchos ou recipientes utilizados para o armazenamento dos
discos. Isto previne a condensação, que leva a rápida deterioração de alguns
agentes.
Aplicar os discos firmemente na superfície da placa de ágar dentro de
15 minutos da inoculação. O contato dos discos com a superfície do ágar
deve ser completo. Os discos não podem ser removidos após a aplicação nas
placas, uma vez que a difusão dos agentes antimicrobianos dos discos é
muito rápida.
O número de discos nas placas deve ser limitado para impedir
sobreposição dos halos e a interferência entre os antimicrobianos. É
importante que os diâmetros dos halos sejam medidos corretamente. O
número máximo de discos varia de acordo com o microrganismo e a seleção
dos discos. Normalmente, 6 e 12 discos são os números máximos possíveis,
respectivamente, em placas circulares de 90 e 150 mm.
1 Para detecção da resistência induzível à clindamicina em
estafilococos e estreptococos, os discos de eritromicina e
clindamicina devem ser posicionados em uma distância de 12 a 20
mm borda a borda para os estafilococos e 12 a16 mm para
estreptococos.
A perda de potência dos agentes antimicrobianos contidos nos discos
resulta na redução dos diâmetros dos halos e é uma fonte comum de erro.
Os cuidados listados a seguir são essenciais:
BrCAST - Método de Disco-Difusão para Teste de Sensibilidade aos Antimicrobianos
Versão 6.0 (Janeiro de 2017)
http://brcast.org.br/
.1 Armazenar os discos, incluindo os que estão em dispensadores,
em embalagens fechadas com dessecador (sílica gel) e protegidos da
luz (alguns agentes como rifampicina, tigeciclina, metronidazol,
cloranfenicol e fluorquinolonas, são inativados por exposição
prolongada à luz). Especial atenção a refrigeradores, freezer com
porta de vidro e iluminação interna!
2 Armazenar os discos em estoque de acordo com as instruções do
fabricante. Alguns agentes são mais sensíveis que outros (como,por
exemplo, amoxicilina-ácido clavulânico, cefaclor e carbapenens) e
existem recomendações específicas dos fabricantes.
Armazenar os discos em uso de acordo com as instruções do
fabricante. Uma vez os recipientes abertos, os discos devem ser
utilizados dentro da data de validade estabelecida pelo fabricante.
Descartar os discos na data de expiração indicada na embalagem.
5.5.5 Realizar frequentemente o controle de qualidade (ver Seção 9) dos
insumos em uso para garantir que os discos antimicrobianos não
perderam a potência durante o armazenamento.
BrCAST - Método de Disco-Difusão para Teste de Sensibilidade aos Antimicrobianos
Versão 6.0 (Janeiro de 2017)
http://brcast.org.br/
Incubação das placas
6 1 Inverter as placas e assegurar que os discos não caiam na superfície do
ágar. Incubar em até 15 minutos após a aplicação dos discos. Se as placas
forem deixadas em temperatura ambiente após a aplicação dos discos, a pré-
difusão pode resultar em halos de inibição erroneamente aumentados.
6 2 O empilhamento das placas na estufa pode alterar os resultados devido ao
aquecimento desigual entre elas. A eficiência das estufas varia e dessa forma o
controle de incubação, incluindo o número apropriado de placas empilhadas
deve fazer parte do programa de garantia de qualidade do laboratório.
6.3 Incubar as placas de acordo com as condições apresentadas na Tabela 3.
6 1 Incubação além do limite de tempo recomendado não é permitido
uma vez que resulta no crescimento dentro do halo de inibição e reporte
de isolados falso-resistentes.
6 2 Para testes de sensibilidade dos glicopeptídeos com algumas
cepas de Enterococcus spp. colônias resistentes não são visíveis até
que as placas tenham sido incubadas por 24 horas completas. Mesmo
assim, as placas podem ser examinadas depois de 16-20 horas e
qualquer resistência reportada, mas placas de isolados aparentemente
sensíveis devem ser reincubadas e novamente lidas com 24h.
Parte da regra dos 15-15-15 minutos: use a suspensão do inóculo dentro de 15 minutos de
preparação, aplique os discos dentro de 15 minutos da semeadura e incube as placas dentro de 15
minutos da aplicação do discos
BrCAST - Método de Disco-Difusão para Teste de Sensibilidade aos Antimicrobianos
Versão 6.0 (Janeiro de 2017)
http://brcast.org.br/
Tabela 3 - Condições de incubação para placas de teste de sensibilidade
Microrganismo Condições de incubação
Enterobacteriaceae
35±1°C em ar por 16-20 h
Pseudomonas spp.
35±1°C em ar por 16-20 h
Stenotrophomonas maltophilia
35±1°C em ar por 16-20 h
Acinetobacter spp.
35±1°C em ar por 16-20 h
Staphylococcus spp.
35±1°C em ar por 16-20 h
Enterococcus spp.
35±1°C em ar por 16-20 h (24 h para glicopeptídeos)
Streptococcus spp. grupos A, B, C e G
35±1°C em ar com 4-6% de CO2 por 16-20 h
Streptococcus pneumoniae
35±1°C em ar com 4-6% de CO2 por 16-20 h
Estreptococos do grupo viridans
35±1°C em ar com 4-6% de CO2 por 16-20 h
Haemophilus influenzae
35±1°C em ar com 4-6% de CO2 por 16-20 h
Moraxella catarrhalis
35±1°C em ar com 4-6% de CO2 por 16-20 h
Listeria monocytogenes
35±1°C em ar com 4-6% de CO2 por 16-20 h
Pasteurella multocida
35±1°C em ar com 4-6% de CO2 por 16-20 h
Campylobacter jejuni , C. coli Ver apêndice A
Corynebacterium spp.
35±1°C em ar com 4-6% de CO2 por 16-20 h
Isolados com crescimento insuficiente em 16-20 h devem ser
reincubados imediatamente e os halos de inibição devem ser
lidos após um total de 40-44 h de incubação
Aerococcus sanguinicola e urinae
35±1°C em ar com 4-6% de CO2 por 16-20 h
Isolados com crescimento insuficiente em 16-20 h devem ser
reincubados imediatamente e os halos de inibição devem ser
lidos após um total de 40-44 h de incubação
Kingella kingae
35±1°C em ar com 4-6% de CO2 por 16-20 h
Isolados com crescimento insuficiente em 16-20 h devem ser
reincubados imediatamente e os halos de inibição devem ser
lidos após um total de 40-44 h de incubação
Outros microrganismos fastidiosos Pendente
BrCAST - Método de Disco-Difusão para Teste de Sensibilidade aos Antimicrobianos
Versão 6.0 (Janeiro de 2017)
http://brcast.org.br/
Observação das placas após incubação
1 Um inóculo correto e placas satisfatoriamente semeadas devem resultar em
crescimento confluente.
1 1 Quando forem observadas colônias isoladas, o inóculo é muito
escasso e o teste deve ser repetido.
2 O crescimento deve ser uniformemente distribuído na superfície do ágar
para obter halos de inibição uniformemente circulares (não distorcidos)
Verificar se os diâmetros dos halos de inibição das cepas de controle de
qualidade estão dentro dos limites aceitáveis. (http://www.eucast.org). A
versão desses documentos em Português está disponível no site do
BrCAST (brcast.org.br).
BrCAST - Método de Disco-Difusão para Teste de Sensibilidade aos Antimicrobianos
Versão 6.0 (Janeiro de 2017)
http://brcast.org.br/
. Aferição e interpretação dos diâmetros dos halos de inibição
1 Para todos os antimicrobianos (exceto para aqueles citados na seção
, as bordas dos halos devem ser lidas no ponto de completa inibição do
crescimento, visto a olho nu, com a placa posicionada a cerca de 30 cm dos
olhos.
2 Ler as placas de ágar Müeller-Hinton não suplementadas pelo seu fundo,
com luz refletida contra um fundo escuro.
Ler as placas de ágar Müeller-Hinton suplementadas com a tampa
removida, observando a superfície contendo os discos, sob luz refletida.
Não utilizar luz transmitida (placas observadas contra a luz) ou lupa,
exceto quando indicado (veja seção 8.9).
Aferir os diâmetros dos halos de inibição em milímetros com uma régua
calibrada ou paquímetro.
1 Se um leitor automatizado for utilizado, ele deve ser calibrado
com a leitura manual.
8.6 Interpretar os diâmetros dos halos de acordo com valores de corte contidos
nas tabelas em http://www.eucast.org. A versão desses documentos em
Português está disponível no site do BrCAST (http://brcast.org.br).
Se um padrão modelo for utilizado para interpretar os diâmetros dos halos,
a placa deve ser colocada sobre o padrão e os halos interpretados de acordo
com os valores de corte do EUCAST contidos no modelo. Certifique-se de que
os valores de corte utilizados estão de acordo com a última versão da tabela
dos valores de corte do EUCAST. Um programa para preparação dos modelos
padrões está disponível livremente no: http://bsac.org.uk/susceptibility/template-
program.
BrCAST - Método de Disco-Difusão para Teste de Sensibilidade aos Antimicrobianos
Versão 6.0 (Janeiro de 2017)
http://brcast.org.br/
Vários exemplos de figuras mostrando leitura dos diâmetros dos halos de
inibição estão disponíveis no Guia de leitura em http://www.eucast.org. Estes
documentos também incluem instruções de leitura para combinações
específicas de microrganismo-agente antimicrobiano.
Instruções específicas de leitura:
1 Em caso de halo duplo ou colônias isoladas dentro do halo de
inibição verificar a pureza e repetir o teste, se necessário. Se a cultura
estiver pura, as colônias dentro do halo devem ser consideradas.
2 Para sulfametoxazol-trimetoprim ou trimetoprim, pode aparecer um
crescimento reduzido dentro do halo de inibição até o disco devido à
presença de antagonistas no meio. Este crescimento deve ser ignorado
e o diâmetro do halo aferido na borda mais nítida do halo.
Para Stenotrophomonas maltophilia, ao testar sulfametoxazol-
trimetoprim, o crescimento no interior do halo de inibição pode ser
substancial. Tal crescimento deve ser ignorado e o halo de inibição
deve ser lido onde a borda do halo possa ser vista. Ler como ausência
de halo somente se houver crescimento até o disco e se não houver
qualquer halo de inibição. Observar as figuras que estão disponíveis na
Tabela de Pontos de Corte Clínicos no site fo BrCAST (brcast.org.br).
Para Enterobacteriaceae, ao testar ampicilina, ampicilina-
sulbactam e amoxicilina-ácido clavulânico ignorar o crescimento que
possa aparecer como uma fina película produzida no interior do halo
em alguns lotes de ágar Müeller-Hinton.
Para E. coli, ao testar mecilinam, desprezar colônias isoladas dentro
do halo de inibição.
Para Proteus spp., ignore o véu (swarming) e ler a inibição do
BrCAST - Método de Disco-Difusão para Teste de Sensibilidade aos Antimicrobianos
Versão 6.0 (Janeiro de 2017)
http://brcast.org.br/
crescimento.
6 Para Staphylococcus aureus, ao testar benzilpenicilina, examinar a
borda do halo com a placa voltada contra a luz (luz transmitida). Isolados
com valores de diâmetro do halo de inibição ≥ aos valores de corte de
sensibilidade, mas com bordas bem definidas, devem ser reportados
como resistentes à benzilpenicilina. Observar as figuras que estão
disponíveis na Tabela de Pontos de Corte Clínicos.
. Quando a cefoxitina for utilizada para detecção da resistência à
oxacilina (meticilina) em Staphylococcus aureus, aferir o halo evidente
e examinar os halos de inibição cuidadosamente contra a luz para
detectar colônias dentro do halo. Isto pode ser devido a presença de
mais de um microrganismo ou expressão de resistência heterogênea
à oxacilina (meticilina).
Ler os testes de sensibilidade de linezolida a partir do fundo da
placa, com a placa contra a luz (luz transmitida).
Para Enterococcus, ao testar vancomicina, inspecionar as bordas
do halo de inibição cuidadosamente com a placa contra a luz (luz
transmitida). Bordas irregulares e colônias dentro do halo de inibição
indicam resistência à vancomicina e devem ser melhor investigadas
Isolados não podem ser reportados sensíveis antes de 24 horas de
incubação. Ver recomendações na Tabela de Pontos de Corte Clínicos.
.10 Para estreptococos hemolíticos, ler a inibição de crescimento e
não da hemólise. A β-Hemólise é usualmente livre de crescimento,
enquanto α-hemólise e o crescimento geralmente coincidem. Inclinar a
placa para frente e para trás para melhor diferenciar hemólise de
crescimento.
BrCAST - Método de Disco-Difusão para Teste de Sensibilidade aos Antimicrobianos
Versão 6.0 (Janeiro de 2017)
http://brcast.org.br/
11 Para Escherichia coli e fosfomicina, não considere colônias isoladas
dentro do halo de inibição e efetuar a leitura na borda externa do
halo.
BrCAST - Método de Disco-Difusão para Teste de Sensibilidade aos Antimicrobianos
Versão 6.0 (Janeiro de 2017)
http://brcast.org.br/
. Controle de Qualidade
9.1 Utilizar as cepas controle especificadas (Tabela 4) para monitorar o
desempenho do teste. As principais cepas controle recomendadas são cepas
tipicamente sensíveis, mas cepas resistentes (isolados-desafio) também podem
ser utilizadas para confirmar que um método é capaz de detectar resistência
mediada por mecanismos de resistência conhecidos (Tabela 5). Estas cepas
podem ser adquiridas de coleções de cultura ou através de fontes comerciais
(Atenção: as cepas controle devem ser adquiridas preferencialmente até a 4º
geração).
1 1 Para o controle dos componentes inibidores nos discos
combinados de ẞ-lactâmico-inibidor de ẞ-lactamase, é recomendado
utilizar cepas produtoras de ẞ-lactamases específicas (Tabela 4). Estas
devem fazer parte da rotina do controle de qualidade. O componente
ativo é avaliado com uma cepa sensível do Controle de Qualidade.
2 A ativação das cepas controles deve seguir as recomendações do
fornecedor, realizar o maior número possível de tubos contendo a cepa controle
(Sugestão: preparar 15 criotubos, suficientes para utilizar 1 tubo por mês e os
demais para serem utilizados nos anos subsequentes durante o período de
validade estabelecido pelo laboratório e conforme a geração e temperatura de
armazenamento). Sugere-se armazenar as cepas controle em condições que
mantenham a viabilidade e característica dos microrganismos. O
armazenamento em miçangas com caldo glicerol a - 0°C (caldo TSB com
glicerol a 10 a 1 , solução de leite desnatado 10-2 ou equivalente
comercial) é um método conveniente. Microrganismos não fastidiosos podem
ser armazenados a temperatura inferior ou igual a -20°C. Pelo menos dois tubos
de cada cepa controle devem ser armazenados, um para uso e outro como
reserva para reposição do tubo em uso quando necessário.
Mensalmente (ou semanalmente) retirar um criotubo do freezer e
BrCAST - Método de Disco-Difusão para Teste de Sensibilidade aos Antimicrobianos
Versão 6.0 (Janeiro de 2017)
http://brcast.org.br/
subcultivar uma miçanga ou alíquota em meio não seletivo apropriado e
verificar a pureza. Desta cultura pura, preparar um subcultivo a cada dia de
teste. Para microrganismos fastidiosos que não sobrevivem na placa por 5 a 6
dias, se necessário, subcultivar com maior frequência e, por não mais do que
uma semana.
Quando subcultivar uma cepa controle, utilize várias colônias para evitar a
seleção de mutantes.
Os intervalos aceitáveis para as cepas controle são listados no
http://www.eucast.org. A versão desses documentos em Português está
disponível no site do BrCAST (http://brcast.org.br).
1 Nas tabelas de controle de qualidade do BrCAST-EUCAST, são
listados tanto o intervalo esperado quanto o valor do alvo. A repetição dos
testes das cepas de controle de qualidade do BrCAST-EUCAST devem
fornecer valores de halos de inibição randomicamente distribuídos dentro
do intervalo recomendado Se o número de testes for ≥ 1 , a média dos
halos de inibição deve ser próxima do valor alvo (±1 mm).
9.5 Utilizar as cepas recomendadas para o controle de qualidade de rotina para
monitorar o desempenho dos testes. Os testes controle devem ser realizados e
verificados semanalmente para os antibióticos que fazem parte dos testes de
rotina. A cada dia que os testes forem realizados, além de verificar o intervalo
daquele resultado, verificar os resultados de pelo menos 20 testes consecutivos
pregressos. Verificar os resultados quanto à ocorrência de tendência ou
diâmetros de halos consistentemente acima ou abaixo do alvo. As cepas de
controle de qualidade devem mostrar desempenho satisfatório (não mais que 1
em 20 testes fora dos limites estabelecidos). Caso 2 ou mais testes estejam fora
do intervalo aceitável, é necessária uma investigação.
Para facilitar a análise dos resultados de CQ recomendamos o uso do gráfico de
BrCAST - Método de Disco-Difusão para Teste de Sensibilidade aos Antimicrobianos
Versão 6.0 (Janeiro de 2017)
http://brcast.org.br/
Levey-Jennings disponível no site www.brcast.org.br.
6 Em adição com o CQ de rotina, testar cada novo lote ou remessa de ágar
Müeller-Hinton ou de discos de sensibilidade, para garantir que os halos
estejam dentro dos limites aceitáveis.
Aminoglicosídeos podem evidenciar variação inaceitável de cátions
divalentes no meio; tigeciclina pode evidenciar variação no magnésio;
sulfametoxazol-trimetoprim apresentará problemas com o conteúdo de timina
e eritromicina pode evidenciar pH fora do aceitável.
Ao analisar problemas de controle de qualidade deve-se considerar que
problemas com o ágar Müeller-Hinton usualmente afetam toda uma classe de
antimicrobianos, enquanto problemas com a potência do disco restringem-se ao
disco em questão. Abaixo se encontram alguns pontos a serem observados
caso o controle de qualidade não apresente resultados esperados.
Ao iniciar um programa de CQ, ou sempre que houver mudança na potência
do disco, formulação ou fabricante de insumos (meios de cultura e/ou discos),
mudança no preparo do inóculo ou mesmo adição de um novo antimicrobiano,
deve-se realizar a verificação/validação deste procedimento.
.1 A verificação/validação requer a realização de 20 testes com as
mesmas combinações de cada uma das cepas controle e discos de
antimicrobianos. Os testes podem ser realizados em cinco replicatas, ou
seja, devem ser preparadas cinco suspensões distintas de cada cepa
controle, sendo que todo o procedimento deve ser realizado de forma
independente, durante quatro dias consecutivos. A análise dos resultados
deve ser realizada conforme os critérios a seguir (ver Figura 1):
a. Desempenho satisfatório: não mais que 1 em 20 testes fora dos
limites aceitáveis para que se passe para o CQ semanal.
BrCAST - Método de Disco-Difusão para Teste de Sensibilidade aos Antimicrobianos
Versão 6.0 (Janeiro de 2017)
http://brcast.org.br/
b. Caso 2 testes estejam fora do intervalo aceitável, recomenda-se a
realização de 10 testes adicionais (5 replicatas em 2 dias
consecutivos), nos quais todos os resultados devem estar dentro
do intervalo aceitável para que se passe ao CQ semanal.
c. Caso 1 ou mais resultados dentre os 10 testes adicionais ou 3 ou
mais resultados dentre os 20 testes iniciais apresentarem-se fora
do intervalo aceitável, uma investigação deve ser iniciada.
2 Passos básicos para investigação de erros no método de disco-
difusão:
Nota: Sugestões de investigação podem ser encontradas no documento
Anexo 1.
a. Verificar se foi utilizada a cepa controle correta e sua pureza.
Verificar se a cepa controle foi armazenada nas condições e
tempos recomendados.
b. Verificar a densidade do inóculo, principalmente quando
preparado manualmente. Recomenda-se utilizar sempre uma
escala padrão ou utilizar um turbidímetro para preparar os testes.
Inóculos com turbidez acima do ideal resultam em diâmetros de
halos de inibição abaixo dos limites estabelecidos, assim como
inóculos com turbidez abaixo do ideal resultam em diâmetros de
halos de inibição acima dos limites estabelecidos. Deve-se
suspeitar deste problema caso vários antimicrobianos
apresentem o mesmo problema.
c. Com relação ao ágar Müeller-Hinton, verificar:
Nota: Em caso de meios de cultura adquiridos comercialmente,
comunicar o fabricante.
BrCAST - Método de Disco-Difusão para Teste de Sensibilidade aos Antimicrobianos
Versão 6.0 (Janeiro de 2017)
http://brcast.org.br/
 Espessura da placa de ágar Müeller-Hinton, utilizando
bisturi ou estilete. Realizar a secção transversal no centro da
placa. Aferir a espessura do ágar, que deve ser de 4,0 ± 0,5
mm. Espessuras menores do que 3,5 mm resultam em
diâmetros de halos de inibição acima dos limites estabelecidos,
assim como espessuras acima de 4,5 mm resultam em
diâmetros de halos de inibição abaixo dos limites
estabelecidos. Deve-se suspeitar deste problema caso vários
antimicrobianos apresentem o mesmo erro.
 pH do ágar Müeller-Hinton. Utilizar eletrodo de superfície e
aferir o pH que deve ser de 7,3 ± 0,2. Valores abaixo do limite
estabelecido resultam em diâmetros de halos de inibição
diminuídos para aminoglicosídeos (amicacina, gentamicina,
tobramicina), clindamicina e macrolídeos (eritromicina e
claritromicina), mas diâmetros de halo aumentados para
tetraciclina. Valores de pH acima do limite estabelecido tem
efeito inverso àquele observado para a redução do pH. Deve-
se suspeitar deste problema caso dois ou mais antimicrobianos
da mesma classe apresentem o mesmo problema.
 Halos reduzidos para combinações de β-lactâmicos-
inibidores com β-lactamases frente à cepa E. coli ATCC 35218
ou K. pneumoniae ATCC 700603 indicam degradação do
componente inibidor e usualmente resultam de acúmulo de
umidade resultante de acondicionamento sem sílica ou
abertura do recipiente sem que tenham atingido a temperatura
ambiente. Halos aumentados podem indicar acondicionamento
das cepas em temperatura de armazenamento acima da
recomendada.
Quando houver mudança nos critérios para interpretação das
BrCAST - Método de Disco-Difusão para Teste de Sensibilidade aos Antimicrobianos
Versão 6.0 (Janeiro de 2017)
http://brcast.org.br/
categorias, não há necessidade de realizar nova verificação/validação.
Figura 1. Fluxograma para validação do teste de sensibilidade.
20 testes
(5 replicatas
/ 4 dias)
0 ou 1
teste fora
do
intervalo
aceitável
Prosseguir
para o CQ
semanal
2 testes
fora do
intervalo
aceitável
10 testes
adicionais
(5 replicatas
/ 2 dias)
Nenhum
teste fora do
intervalo
aceitável
Prosseguir
para o CQ
semanal
1 ou mais
teste fora do
intervalo
aceitável
Iniciar
investigação
3 ou mais
testes fora
do
intervalo
aceitável
Iniciar
investigação
BrCAST - Método de Disco-Difusão para Teste de Sensibilidade aos Antimicrobianos
Versão 6.0 (Janeiro de 2017)
http://brcast.org.br/
Tabela 4: Cepas para controle de qualidade de rotina
Microrganismo Cepa Características
Escherichia coli ATCC 25922 Sensível, selvagem
NCTC 12241
CIP 7624
DSM 1103
CCUG 17620
CECT 434
Escherichia coli ATCC 35218 ß-lactamase TEM-1 , resistente à ampicilina
NCTC 11954
(para controle do componente inibidor de discos combinados de β-
lactâmico-inibidor de β-lactamase)
CIP 102181
DSM 5564
CCUG 30600
CECT 943
Klebsiella pneumoniae ATCC 700603 Produtor de ß-lactamase (SHV-
NCTC 13368
(para controle do componente inibidor de discos combinados de β-
lactâmico-inibidor de β-lactamase)
CCUG 45421
CECT 7787
Pseudomonas aeruginosa ATCC 27853 Sensível, selvagem
NCTC 12934
CIP 76110
DSM 1117
CCUG 17619
CECT 108
Staphylococcus aureus ATCC 29213 Fraco produtor de ß-lactamase
NCTC 12973
CIP 103429
DSM 2569
CCUG 15915
CECT 794
Enterococcus faecalis ATCC 29212 Sensível, selvagem
NCTC 12697
CIP 103214
DSM 2570
CCUG 9997
CECT 795
Streptococcus pneumoniae ATCC 49619 Sensibilidade reduzida à benzilpeniclina
NCTC 12977
CIP 104340
DSM 11967
CCUG 33638
Haemophilus influenzae ATCC 49766 Sensível, selvagem
NCTC 12975
CIP 103570
DSM 11970
CCUG 29539
Campylobacter jejuni ATCC 33560 Sensível, selvagem
NCTC 11351 Ver Apêndice A para condições de teste
CIP 702
DSM 4688,
CCUG 11284
BrCAST - Método de Disco-Difusão para Teste de Sensibilidade aos Antimicrobianos
Versão 6.0 (Janeiro de 2017)
http://brcast.org.br/
BrCAST - Método de Disco-Difusão para Teste de Sensibilidade aos Antimicrobianos
Versão 6.0 (Janeiro de 2017)
http://brcast.org.br/
Tabela 5:Cepas controle para detecção de mecanismos específicos de resistência (CQ estendido)
Microrganismo Cepa Características
Klebsiella pneumoniae ATCC 700603 Produtora de ESBL (SHV-1
NCTC 13368
CCUG 45421
CECT
Staphylococcus aureus NCTC 12493 mecA positivo, MRSA heterorresistente
Enterococcus faecalis ATCC 51299
Resistência de alto nível os aminoglicosídeos (HLAR) e
vancomicina resistente (vanB positivo)
NCTC 13379
CIP 104676
DSM 12956
CCUG 34289
Haemophilus influenzae ATCC 49247
ß-lactamase negativo, ampicilina resistente (BLNAR)
NCTC 12699
CIP 104604
DSM 9999
CCUG 26214
BrCAST - Método de Disco-Difusão para Teste de Sensibilidade aos Antimicrobianos
Versão 6.0 (Janeiro de 2017)
http://brcast.org.br/
Apêndice A
Teste de disco-difusão para Campylobacter jejuni e C. coli
A metodologia a seguir (Tabela A1) deve ser seguida quando for realizado
teste de disco difusão para Campylobacter jejuni e C. coli de acordo com o
EUCAST.
Tabela A1: Metodologia de disco-difusão para Campylobacter jejuni e C. coli
Meio
Ágar Müeller-Hinton com 5% de sangue desfibrinado de cavalo e 20 mg/L β-NAD
(MH-F)
Para reduzir o véu (swarming), as placas de MH-F devem ser submetidas a
secagem antes da inoculação (20-25°C overnight ou a 35°C, com a tampa
removida por 15 min).
Inóculo 0,5 McFarland
Incubação
Ambiente micro aeróbio
41±1°C
24 horas
A incubação deve resultar em crescimento confluente. Alguns isolados de C. coli
podem não ter crescimento suficiente depois de 24 h Incubação. Esses isolados
devem ser reincubados imediatamente e as halos devem ser lidos depois de um
total de 40-48 h de incubação.
A temperatura de incubação de 41±1°C foi escolhida para criar condições
favoráveis de incubação para o crescimento de Campylobacter spp.
Leitura
As instruções de leitura do EUCAST devem ser utilizadas:
Leia as placas de MH-F com a tampa removida e luz refletida. As bordas dos halos
devem ser lidas no ponto de completa inibição, a olho nu, com a placa posicionada a
cerca de 30 cm dos olhos.
Controle de
Qualidade
Os halos de inibição de Campylobacter jejuni ATCC 33560 devem ser dentro
dos limites definidos (http://www.eucast.org) e www.brcast.org.br
BrCAST - Método de Disco-Difusão para Teste de Sensibilidade aos Antimicrobianos
Versão 6.0 (Janeiro de 2017)
http://brcast.org.br/
ANEXO 1
Controle de qualidade disco-difusão – sugestões para investigação:
Realizar 20 testes consecutivos (4 quintuplicatas), sempre que houver:
-Mudança de metodologia
- Mudança de método de leitura para preparo do inóculo de visual para
fotométrico ou vice-versa
-Conversão de leitura manual para automatizada
- Novo antibiótico ou novo painel com concentração diferente das drogas
Caso dois ou mais resultados estejam fora do intervalo (combinação droga
X microrganismo) considerar:
- Contaminação
- Teste com a cepa incorreta
- Disco incorreto
- Condições da prova incorretas (tempo de incubação, atmosfera)
- Inóculo
Conduta: Realizar mais 10 testes (2 quintuplicatas).
Se estiver OK, voltar à rotina semanal
Se não estiver OK (erros não óbvios): seguir a investigação
Lista de Verificação p/ Ações Corretivas:
- Zonas de inibição ou CIM foram medidas corretamente?
- Escala de McFarland homogênea e dentro da validade?
- Suspensão do inóculo foi preparada adequadamente?
- Os materiais estão armazenados adequadamente?
- Os materiais estão dentro da data de validade?
- O meio Müeller Hinton apresenta espessura e condições satisfatórias no
CQ da origem?
- A temperatura da estufa e atmosfera estão adequadas?
BrCAST - Método de Disco-Difusão para Teste de Sensibilidade aos Antimicrobianos
Versão 6.0 (Janeiro de 2017)
http://brcast.org.br/
- O técnico é qualificado?
Erros Sistemáticos (Problemas no Sistema de Controle de Qualidade)
- Os resultados podem estar fora do intervalo por um problema na
metodologia
- Podem envolver múltiplos componentes do sistema
- Podem levar a resultados errôneos de pacientes se não corrigidos
- As ações corretivas devem ser realizadas imediatamente e
documentadas
Exemplos de erros sistemáticos
- Um único antibiótico está fora do intervalo em mais de uma cepa do CQ
- Um único antibiótico está fora do intervalo por mais de um dia de prova
- Vários antibióticos fora do intervalo (excluindo-se possível troca de
cepa)
Ações corretivas / Resultados de Pacientes:
- Revisar retrospectivamente os resultados dos testes de sensibilidade
dos pacientes desde a última vez que se obteve resultados de CQ
aceitáveis.
- Realizar novamente as provas dos isolados dos pacientes, se
necessário e possível.
- Se necessário, enviar os resultados corrigidos e avisar os médicos se os
resultados forem clinicamente relevantes.
1
Guia de leitura
Método de disco-difusão para teste de sensibilidade aos
antimicrobianos do EUCAST
Versão 4.0
Junho 2014
Versão para Português válida a partir de 01/03/2016
2
Alterações na apresentação do guia de leitura do EUCAST
Versão Alterações
Versão 4.0
Junho 2014
• Fora adi io adas i for ações so re ordas difusas/mal definidas de halo de inibição
para os estreptococos, slide 11.
• Melhoria as figuras de S. maltophilia com sulfametoxazol-trimetoprim, S.aureus com
benzilpenicilina e enterococo com vancomicina, slides 17, 20 e 21.
• I struções espe ífi as para a dete ção de resistê ia i duzível à clindamicina para
estafilococos e estreptococos, slides 22-23.
Versão 3.0
Abril 2013
• Es lare i e tos so re a leitura de halos de inibição com bordas difusas /mal definidas,
slide 11.
• Staphylococci alterado para S. aureus, slides 15 e 21.
• Adi io ada i for ação para S. maltophilia e sulfametoxazol-trimetoprim, slide17.
• Exe plo adi io al para e tero o o e va o i i a, slide .
Versão 2.0
Maio 2012
• Es lare i e tos so re leitura, slides , 9, e .
• Exe plos adi io ais de colônias dentro do halo de inibição, slide 6.
• Exe plo adi io al de halo de inibição com bordas difusas / mal definidas para
estafilococos, slide 10.
• Exe plo o β-hemólise, slide 13.
• I struções espe ífi as para S. maltophilia, slide17.
• I struções espe ífi as para E. coli e mecilinam, slide 19.
• Exe plo adi io al para e tero o o e va o i i a, slide .
• I struções espe ífi as para estafilo o os e e zilpe i ili a, slide .
Versão 1.1
Maio 2010
• Es lare i e tos a respeito de Enterobacteriaceae e ampicilina nos slides 3 e 17.
Versão 1.0
Abril 2010
• Aprese tação do guia de leitura EUCAST pu li ada pela pri eira vez a pági a
eletrônica do EUCAST
3
Leitura dos halos de inibição
• As instruções para a leitura dos halos de inibição
listadas a seguir fazem parte do método de disco-
difusão do EUCAST.
• As bordas dos halos de inibição devem ser lidas no
ponto de inibição completa do crescimento bacteriano,
avaliada a olho nu, com a placa posicionada a cerca de
30 cm dos olhos(para exceções e instruções de leitura
específicas, ver slides 15-23).
• Aferir o diâmetro do halo com régua, paquímetro
ou um leitor automatizado de halos de inibição.
4
Leitura dos halos
• Fazer a leitura na parte
posterior (fundo) das placas
de MH, contra fundo
escuro, sob luz refletida.
• Fazer a leitura da placa de
MH-F sem tampa, e
observando a superfície
que contém os discos, sob
luz refletida.
5
Colônias dentro do halo de inibição
• Caso haja colônias dentro do halo de inibição,
subcultivar as colônias, verificar a pureza do isolado
e, se necessário, repetir o teste.
• Colônias que não forem contaminação devem ser
levadas em consideração na leitura do halo de
inibição.
Sem halo
de inibição
ou sem
halo
Ler o halo considerando as colônias que estão dentro do halo.
6
Colônias dentro do halo de inibição
• Caso haja colônias dentro do halo de inibição,
subcultivar as colônias, verificar a pureza do isolado e,
se necessário, repetir o teste.
• Colônias que não forem contaminação devem ser
levadas em consideração na leitura do halo de inibição.
E. coli com H. influenzae com
ESBL mutações em PBP
Sem halo de inibição Sem halo de inibição
Ler o halo considerando as colônias dentro do halo.
7
Swarming
• Ler a inibição do crescimento ignorando o swarming
(observado mais frequentemente com Proteus spp).
8
Halos de inibição duplos
• Verificar a pureza do isolado e repetir o teste se
necessário.
• Colônias que não são contaminação devem ser
consideradas quando for feita a leitura do halo de
inibição.
Leitura dos halos de inibição duplos
9
Halo de inibição com bordas difusas/mal definidas
Enterobacteriaceae
• Posicionar a placa contra um fundo escuro a cerca de 30
cm do olho nu e estimar as bordas dos halos de inibição.
Não segurar a placa contra a luz (luz transmitida); não
usar lente de aumento.
Leitura do halo de inibição com bordas difusas / mal definidas em para
Enterobacteriaceae.
10
Halos de inibição com bordas difusas/mal definidas
Estafilococos
• Posicionar a placa contra um fundo escuro a cerca de 30
cm do olho nu e estimar as bordas dos halos de inibição.
Não segurar a placa contra a luz (luz transmitida); não
usar lente de aumento.
Leitura do halo de inibição com bordas difusas/mal definidas para
estafilococos.
11
Halo de inibição com bordas difusas/mal definidas
S. pneumoniae
• As pequenas colônias que são visíveis quando a placa está
posicionada a cerca de 30 cm do olho nu devem ser
consideradas quando se faz a leitura do halo de inibição.
• A presença de pequenas colônias próximas à borda do halo
de inibição pode estar relacionada ao excesso de umidade no
meio MH-F, que pode ser reduzida com a secagem das
placas antes do uso.
Leitura do halo de inibição com bordas difusas/mal definidas para S.
pneumoniae.
12
Crescimento ou hemólise?
• Ler a inibição do crescimento e não a
inibição da hemólise.
• Às vezes é difícil distinguir entre hemólise e
crescimento.
– As β-hemolisinas difundem no ágar. A β- hemólise é
geralmente livre de crescimento.
– As α-hemolisinas não difundem no ágar. É frequente o
crescimento dentro da área de α-hemólise.
– As bordas dos halos de inibição acompanhadas de α-
hemólise são mais comuns com S. pneumoniae e
antibióticos β-lactâmicos.
13
β-hemólise
• Inclinar a placa para facilitar a diferenciação entre
hemólise e crescimento. A β-hemólise é usualmente
livre de crescimento.
S. pyogenes Streptococcus do grupo C
14
α-hemólise
• Inclinar a placa para facilitar a diferenciação entre
hemólise e crescimento.
Usualmente há crescimento em
toda a área de α-hemólise.
Para alguns organismos, há uma α-
hemólise adicional sem crescimento.
Inclinar a placa para diferenciar
hemólise de crescimento!
15
Instruções para leituras específicas
• Trimetoprim e sulfametoxazol-trimetoprim em geral
• Stenotrophomonas maltophilia e sulfametoxazol-
trimetoprim
• Enterobacteriaceae e ampicilina
• E. coli e mecilinam
• Enterococos e vancomicina
• S. aureus e benzilpenicilina
• Detecção de resistência induzível à clindamicina em
estafilococos e estreptococos.
16
Trimetoprim e
sulfametoxazol-trimetoprim
• Seguir as instruções para a leitura e ler o halo interno
quando hopuver halos de inibição duplos. (Ver
exemplos abaixo).
• Ignorar névoa ou crescimento suave até o disco dentro
de um halo de inibição com bordas bem definidas.
E. coli SCoN Moraxella Haemophilus
17
Stenotrophomonas maltophilia e
sulfametoxazol-trimetoprim
• Ignorar o crescimento dentro do halo de inibição, que é
comum em Stenotrophomonas maltophilia e
sulfametoxazol-trimetoprim. A densidade desse
crescimento pode variar desde uma névoa fina até um
crescimento substancial.
Ignorar o crescimento e ler o halo de inibição se as bordas
forem visíveis. Se o halo de inibição for ≥ 16 mm = Sensível
Crescimento próximo
ao disco e sem halo de
inibição = Resistente
Sem halo de
inibição
18
Enterobacteriaceae e ampicilina
• Ignorar o crescimento que pode aparecer como um halo
interno em alguns lotes de ágar Mueller-Hinton. Este
crescimento não é visto em alguns lotes de ágar e
quando o halo exterior é lido não existe nenhuma
diferença entre os lotes.
19
E. coli e mecilinam
• Ignorar colônias isoladas dentro do halo de
inibição.
Sem halo de
inibição
20
Enterococos e vancomicina
• Examinar com luz transmitida (placa posicionada contra
a luz).
– Halos de inibição com bordas difusas/mal definidas e
colônias dentro do halo indicam resistência à vancomicina.
Se o halo de inibição for ≥ 12 mm e as bordas do halo
forem difusas / mal definidas, o isolado deverá ser
investigado mais detalhadamente.
E. faecalis E. faecium
não-VRE VRE
21
S. aureus e benzilpenicilina
• Examinar com luz transmitida (com a placa posicionada
contra a luz).
– A disco-difusão é mais segura do que CIM para a detecção de
isolados produtores de penicilinase, desde que o diâmetro do
halo de inibição seja aferido E as bordas do halo sejam
cuidadosamente inspecionadas.
S. aureus com bordas de halo
de inibição bem definidas e
diâmetro de halo de inibição ≥
26 mm = Resistente
S. aureus com bordas de halo de
inibição mal definidas/difusas E
diâmetro do halo de inibição
≥ 26 mm = Sensível
22
Detecção de resistência induzível à
clindamicina em estafilococos
• A resistência induzível à clindamicina pode ser
detectada pelo antagonismo da atividade da
clindamicina e um macrolídeo.
• Posicionar os discos de eritromicina e clindamicina a
uma distância de 12-20 mm (borda a borda) e observar
se há antagonismo (fenômeno D).
Exemplos de fenômeno D em relação a estafilococos.
23
Detecção de resistência induzível à
clindamicina em estreptococos
• A resistência induzível à clindamicina pode ser
detectada pelo antagonismo da atividade da
clindamicina e um macrolídeo.
• Posicionar os discos de eritromicina e clindamicina a
uma distância de 12-16 mm (borda a borda) e observar
se há antagonismo (fenômeno D).
Exemplos de fenômeno D para estreptococos.
24
Guia de leitura
As bordas dos halos de inibição devem ser lidas no ponto de
completa inibição do crescimento, a olho nu com a placa posicionada a
cerca de 30 cm dos olhos.
Exceção
E. coli S. aureus S. aureus Enterobacteriaceae
Ciprofloxacino Linezolida Eritromicina Ampicilina
Quase sempre há
crescimento dentro da
área de α-hemólise!
S. pneumoniae
Cloranfenicol
S. pneumoniae
Tetraciclina
S. pneumoniae
Cefaclor
Versão para Português 03/2016 Versão 1.0 – 28-05-2010
1
Lista de verificação para facilitar a
implementação
dos testes de sensibilidade aos
antimicrobianos com os pontos de corte
do EUCAST
Antes de implementar os pontos de corte e métodos de teste de
sensibilidade aos antimicrobianos (TSA) do EUCAST no laboratório,
considerar o seguinte:
1. Comentários marcados em verde foram editados ou incluídos pelo
BrCAST.
2. Seguir as recomendações do BrCAST, que é o único comitê de testes
de sensibilidade aos antimicrobianos do Brasil oficialmente reconhecido
pelo EUCAST. Os comitês nacionais reconhecidos pelo EUCAST são
designados NAC (National Antimicrobial Susceptibility Testing Committee)
e tem direito a representação no Comitê Geral do EUCAST
(http://www.eucast.org/organization/general_committee/)
3. Identificar todos os métodos de TSA utilizados no laboratório (disco-
difusão, sistemas automatizados, testes de gradiente e outros).
Certificar-se de que todos os métodos estão prontos para
implementação, com pontos de corte do EUCAST.
4. Identificar sistemas de apoio que podem ser afetados (acreditação do
laboratório, manuais, sistemas de informação do laboratório e sistemas
de informação obrigatória).
Versão para Português 03/2016 Versão 1.0 – 28-05-2010
2
5. Identificar um líder entre o pessoal de laboratório. O líder terá a
responsabilidade de liderar todo o processo de implementação.
6. Entrar em contato com um laboratório que já implementou pontos de
corte de sensibilidade e métodos EUCAST. Organizar uma visita
técnica.
7. Identificar e informar todos parceiros (pessoal de laboratório, clientes /
usuários, programas de vigilância de resistência antimicrobiana, comissões
de controle de infecções e distribuidores de materiais e dispositivos para
testes de sensibilidade antimicrobiana). Programar compra e estoque de
insumos.
8. Certificar-se de que os "materiais para TSA" necessários estão disponíveis.
Consultar a página do BrCAST para lista de fabricantes que comercializam
os discos de sensibilidade com a potência necessária e o ágar MH-F
(www.brcast.org.br).
9. Estabelecer um programa educacional por 3-6 meses dentro do laboratório
com uma data pré-determinada para a implementação.
10.Informar aos organizadores dos programas de controle de qualidade externo.
11.Consultar quando necessário, o EUCAST (informações de contato
disponíveis em www.eucast.org), ou preferencialemente o BrCAST
(informações de contato disponíveis em www.brcast.org.br).
Versão para Português 03/2016 Versão 1.0 – 28-05-2010
3
Problemas com a implementação de sistemas de TSA
automatizados
1. Consultar o NAC (BrCAST) sobre quaisquer questões nacionais.
2. Certifique-se de que o sistema pode suportar os pontos de corte do
EUCAST para todos os antimicrobianos necessários. Solicitar ao fabricante
para listar as discrepâncias entre as recomendações do Sistema e do
EUCAST - estas podem ser diferentes em diferentes pontos no tempo e
entre países e / ou instalações.
3. Observar que nas tabelas EUCAST, para alguns antimicrobianos, um "IE" ou
um "-" estão no lugar de pontos de corte. Um laboratório que deseja aderir
às recomendações do EUCAST não deve utilizar outros pontos de corte, a
não ser quando recomendado pelo BrCAST.
Problemas com a implementação do método de disco-difusão do
EUCAST
O método de disco-difusão do EUCAST baseia-se em um inóculo (McFarland 0,5)
que permitirá crescimento confluente em ágar Mueller-Hinton, com ou sem 5% de
sangue desfibrinado de cavalo e 20 mg / L de β-NAD. É importante seguir a
descrição do método (disponível em www.eucast.org). O documento traduzido para
o Português está disponível no link (www.brcast.org.br).
Observar os seguintes detalhes importantes:
 A suspensão de inóculo deve ter turbidez equivalente ao padrão
0,5 da escala de McFarland, de preferência ajustada em dispositivo
de medição fotométrica. Exceção: Streptococcus pneumoniae
(McFarland 0,5 para cultura obtida em placa de ágar de sangue e
McFarland 1,0 para cultura obtida em placa de ágar de chocolate).
 O crescimento deve estar confluente e uniformemente espalhado sobre o
ágar. Um inóculo correto e uma semeadura adequada devem resultar em uma
camada confluente de crescimento e halos de inibição uniformemente circulares.
O inóculo deve estar uniformemente espalhado sobre a superfície do ágar para
que se obtenha diâmetros de halos reprodutíveis. Para se evitar um inóculo
demasiado pesado de microrganismos Gram-negativos, deve-se ter especial
Versão para Português 03/2016 Versão 1.0 – 28-05-2010
4
cuidado ao remover o excesso de fluido do swab, girando-o sobre seu próprio
eixo e pressionando-o contra a parede interna do tubo, acima do nível da
suspensão, antes da inoculação da placa.
 Aderir à regra 15-15-15 minutos para obter resultados reprodutíveis:
1- Usar o inóculo em até 15 minutos após a preparação.
2- Aplicar os discos em até 15 minutos após a inoculação das placas.
3- Iniciar a incubação em até 15 minutos após a aplicação dos discos.
Pequenas mudanças nas rotinas atuais do laboratório, tais como a
criação de lotes menores de testes podem ser necessárias para aderir à
regra "15-15-15".
• Usar discos com conteúdo (potência) correto. O conteúdo dos discos está
detalhado nas tabelas de ponto de corte e tabelas de controle de qualidade do
BrCAST-EUCAST. Nas tabelas do BrCAST-EUCAST, as células de conteúdo dos
discos, que são distintos daquelas recomendadas pelo CLSI, estão preenchidas em
vermelho. A Tabela 1 contém a lista dos discos preconizados pelo EUCAST, com
conteúdo diferente daquele preconizado pelo CLSI.
Tabela 1 – Discos recomendados pelo EUCAST e com conteúdo distinto
daquele recomendado pelo CLSI
Antimicrobiano Microrganismo Conteúdo do
Disco - EUCAST
Conteúdo do
Disco - CLSI
Amoxicilina-ácido
clavulânico
Haemophilus spp. e Moraxella catharralis 2-1 µg 20-10 µg
Ampicilina Todos para os quais o teste está indicado,
EXCETO ao testar Enterobacteriaceae, quando é
utilizado o disco de 10 µg
2 µg 10 µg
Cefotaxima Todos para os quais o teste está indicado 5 µg 30 µg
Ceftarolina Todos para os quais o teste está indicado 5 µg 30 µg
Ceftazidima Todos para os quais o teste está indicado 10 µg 30 µg
Gentamicina Enterococcus 30 µg 120 µg
Nitrofurantoína Todos para os quais o teste está indicado 100 µg 300 µg
Penicilina Todos para os quais o teste está indicado 1 U 10 U
Piperacilina-
tazobactam
Todos para os quais o teste está indicado 30-6 µg 100-10 µg
Vancomicina Todos para os quais o teste está indicado 5 µg 30 µg
Versão para Português 03/2016 Versão 1.0 – 28-05-2010
5
 Não encurtar ou prolongar o tempo de incubação (16-20 h), exceto
quando expressamente indicado nas tabelas, a exemplo de Corynebacterium.
 Seguir as instruções para a leitura.
As bordas dos halos de inibição devem ser lidas no ponto de completa inibição do
crescimento, avaliado a olho nu. Ler as placas de ágar Mueller-Hinton não
suplementado pelo seu fundo, com luz refletida, contra um fundo escuro. Ler as
placas de Agar Mueller-Hinton suplementadas com a tampa removida, observando a
superfície contendo os discos, sob luz refletida.
Sugestões para a implementação do método de difusão em disco EUCAST no
laboratório: Um guia prático para o líder
1. Educar o pessoal de laboratório na metodologia de disco-difusão
do EUCAST com foco na inoculação de placas e leitura de halos. Uma
apresentação de slides está disponível em www.eucast.org. A versão desse
documento em Português está disponível no site do BrCAST (http://brcast.org.br).
2. Iniciar o treinamento prático solicitando que todos os analistas
leiam as mesmas placas. O objetivo do exercício é harmonizar a leitura
de halos de inibição no laboratório. Novos colaboradores devem realizar
esses exercícios antes de serem considerados aptos para o trabalho de
rotina. Um guia de leitura está disponível em www.eucast.org. A versão
desse documento em Português está disponível no site do BrCAST
(http://brcast.org.br).
• Começar lendo os halos obtidos com duas cepas de controle em ágar
Mueller-Hinton, sem suplementos, por exemplo, E. coli ATCC 25922 e S.
aureus ATCC 29213. Escolher quatro antimicrobianos rotineiramente
testados com as respectivas espécies. Repetir três dias seguidos.
Comparar os resultados dos analistas obtidos em um mesmo dia e
aqueles obtidos em dias distintos. Verificar se os valores médios de
diâmetro de halo de inibição estão próximos do alvo e todos os valores
estão dentro dos intervalos de controle de qualidade. As tabelas de
controle de qualidade estão disponíveis em www.eucast.org. A versão
Versão para Português 03/2016 Versão 1.0 – 28-05-2010
6
desse documento em Português está disponível no site do BrCAST
(http://brcast.org.br).
• Discutir os resultados durante as reuniões de equipe. Repitir o exercício
usando as mesmas cepas de controle e antimicrobianos até que todos
obtenham o mesmo resultado.
• Repetir o exercício com P. aeruginosa ATCC 27853 e E. faecalis ATCC
29212.
• Repetir o exercício utilizando MH-F (ágar Mueller-Hinton com 5% de
sangue desfibrinado de cavalo e 20 mg/L de β-NAD) com H. influenzae
ATCC 49766 e S. pneumoniae ATCC 49619.
• Repetir o exercício com alguns isolados clínicos de microrganismos
adicionais, por exemplo, estreptococos dos grupos de A, B, C e G, Proteus
mirabilis, Enterococcus resistentes à vancomicina e Stenotrophomonas
maltophilia. Comparar os resultados individuais com a média do grupo.
3. O próximo passo é a preparação do inóculo e a semeadura de
placas. O objetivo é obter um crescimento padronizado, homogêneo e
confluente. Os melhores resultados são obtidos quando se utiliza um
nefelômetro/espectrofotômetro para controlar a densidade do inóculo. Seja
qual for a técnica utilizada para inocular as placas (swab com um rotor de
placas ou espalhando com o swab em três direções diferentes), certificar-
se de que o crescimento bacteriano resultante seja homogêneo as bordas
e os halos não sejam irregulares. Utilizar alguns discos de antimicrobianos
que produzam halos bem definidos, de modo que a leitura não seja um
problema.
A equipe deve repetir o processo para todas as cepas de controle
recomendadas pelo EUCAST. Comparar os resultados dos analistas
obtidos em um mesmo dia e aqueles obtidos em dias distintos. Verificar se
os valores médios de diâmetro de halo de inibição estão próximos do alvo
e se todos os valores estão dentro dos intervalos de controle de qualidade.
As tabelas de controle de qualidade estão disponíveis em www.eucast.org.
A versão desse documento em Português está disponível no site do BrCAST
Versão para Português 03/2016 Versão 1.0 – 28-05-2010
7
(http://brcast.org.br).
4. Antes de introduzir a disco-difusão do EUCAST na rotina do
laboratório, testar cepas de controle de qualidade diariamente
(utilizando todos os discos de antibióticos utilizados rotineiramente) até
que os resultados estejam de acordo com as especificações do EUCAST e
harmonizados dentro do laboratório.
Você tem perguntas sobre o método de disco-difusão do EUCAST?
Ou você precisa de suporte para a implementação do teste de disco-
difusão?
Entre em contato com o BrCAST na página www.brcast.org.br.
Alternativamente, entre em contato com erika.matuschek@ltkronoberg.se
ou com a secretaria do EUCAST.

Manual-Antibiograma-BRCAST-2019.pdf

  • 1.
    Rev 00– 06/2019 1 Manualde Antibiograma 2019 – Segundo BrCAST/EUCAST Laborclin Produtos para Laboratórios Ltda
  • 2.
    Rev 00– 06/2019 2 Manualde Antibiograma 2019 – Segundo BrCAST/EUCAST Laborclin Produtos para Laboratórios Ltda A Laborclin entende que muito além de nossos objetivos comerciais, possuímos a missão e a responsabilidade de compartilhar conhecimento técnico e científico, ajudando a melhor promover a saúde pública no país. Em 14 de dezembro de 2018, o Ministério da Saúde publicou a Portaria nº 64 de 11/12/2018 que “Determina aos laboratórios de rede pública e privada, de todas as Unidades Federadas, a utilização das normas de interpretação para os testes de sensibilidade aos antimicrobianos (TSA), tendo como base os documentos da versão brasileira do European Committee on Antimicrobial Susceptibility Testing.” Os documentos do BrCAST incluem Tabelas de Pontos de Corte, Tabelas de Controle de Qualidade, Manual de Disco Difusão, Guia de Leitura, Lista para implantação entre outros. Estes documentos estão disponíveis gratuitamente pelo comitê do BrCAST, podem ser baixados no site: http://brcast.org.br/documentos/. Disponibilizamos estes doumentos a seguir, baixados em 12/06/2019.
  • 3.
    Conteúdo Página Informaçãoadicional Notas 2 Orientações para leitura das tabelas de pontos de corte do BrCAST-EUCAST 4 Informações sobre incerteza técnica (AIT) 5 Alterações 6 Enterobacterales 11 Pseudomonas spp. 14 Stenotrophomonas maltophilia 16 Link para Documento de Orientação sobre Stenotrophomonas maltophilia Burkholderia cepacia - Link para Documento de Orientação sobre o grupo Burkholderia cepacia Acinetobacter spp. 17 Staphylococcus spp. 19 Enterococcus spp. 23 Streptococcus grupos A, B, C e G 26 Streptococcus pneumoniae 29 Streptococcus do Grupo Viridans 33 Haemophilus influenzae 36 Moraxella catarrhalis 39 Neisseria gonorrhoeae 41 Neisseria meningitidis 43 Anaeróbios gram-positivos 45 Clostridioides difficile 47 Anaeróbios gram-negativos 48 Helicobacter pylori 50 Listeria monocytogenes 51 Pasteurella multocida 52 Campylobacter jejuni e C. coli 54 Corynebacterium spp. 55 Aerococcus sanguinicola e A. urinae 57 Kingella kingae 58 Aeromonas spp. 60 Mycobacterium tuberculosis 62 Agentes Tópicos 63 Hiperlink p/ documento de Orientação do EUCAST sobre Agentes Tópicos Pontos de corte baseados em PK/PD (sem relação com espécie) 64 Dosagens 67 Regras de Especialistas - Hiperlink para Regras de Especialistas do EUCAST Detecção de Mecanismos de Resistência - Testes de sensibilidade antimicrobiana em grupos de organismos ou de antimicrobianos para os quais não há pontos de corte do EUCAST - Hiperlink p/ Documento de Orientação sobre como testar e interpretar resultados quando não há pontos de corte Brazilian Committee on Antimicrobial Susceptibility Testing - BrCAST Tabelas de pontos de corte para interpretação de CIMs e diâmetros de halos Este documento, exceto onde indicado, é baseado nos pontos de corte da versão 9.0, 2019 do EUCAST(www.eucast.org) Versão válida a partir de 01-02-2019 Comitê Brasileiro de Testes de Sensibilidade aos Antimicrobianos - http://www.brcast.org.br
  • 4.
    2 Brazilian Committee onAntimicrobial Susceptibility Testing - BrCAST Tabelas de pontos de corte para interpretação de CIMs e diâmetros de halos Comitê Brasileiro de Testes de Sensibilidade aos Antimicrobianos - http://www.brcast.org.br Versão válida a partir de 01-02-2019 Este documento, exceto onde indicado, é baseado nos pontos de corte da versão 9.0, 2019 do EUCAST (www.eucast.org) Notas 1. As tabelas de pontos de corte clínicos do BrCAST - EUCAST contêm pontos de corte clínicos para CIM (determinados ou revisados durante 2002-2018) e para os diâmetros de halo de inibição correspondentes. Esta versão inclui a correção de erros tipográficos, esclarecimentos, pontos de cortes para novos organismos e/ou antimicrobianos, pontos de corte para CIM revisados bem como pontos de cortes para diâmetros de halos de inibição revisados e novos. As mudanças são melhor visualizadas num monitor ou impressão colorida pois as células que apresentam mudanças estão em amarelo. Os comentários novos ou revisados estão sublinhados. Comentários removidos estão sinalizados em fonte tachada. Comentários ou pontos de corte propostos pelo BrCAST estão assinalados em verde. Visando facilitar o uso das tabelas na bancada, a categoria Intermediário e seus respectivos valores foram incluídos em cada uma das tabelas específicas. 2. Pontos de corte conforme dados de farmacocinética/farmacodinâmica (PK/PD), não relacionados às espécies bacterianas, estão listados separadamente na parte final do documento. 3. Notas numeradas (1., 2., 3., ...) são relacionadas a comentários gerais ou pontos de corte para CIM. Notas com letras (A., B., C., ...) são relacionadas aos pontos de corte para o teste de disco-difusão. 4. Nomes de antimicrobianos em destaque (cor azul) contêm hiperlink para o racional das decisões do EUCAST. Pontos de corte para CIM e para diâmetro de halo de inibição em destaque (cor azul) são links para documentos de distribuição de CIMs e de diâmetros de halo de inibição, respectivamente. 5. Uma versão do documento é disponibilizada no formato de arquivo Excel® para visualização em tela e outra em formato pdf para impressão. Para utilizar todas as funções do arquivo Excel®, use apenas software original da MicrosoftTM . O arquivo Excel® permite aos usuários alterar a lista dos agentes testados localmente. O conteúdo de células individuais não pode ser alterado. Ocultar linhas utilizando o botão direito do mouse no número da linha e escolher "ocultar". Ocultar colunas utilizando o botão direito do mouse na letra da coluna e escolher "ocultar". 6. Um ponto de corte para diâmetro de halo de inibição de "S ≥ 50 mm" é um valor arbitrário "fora da escala" que corresponde a situações de ponto de corte para CIM nos quais cepas selvagens são categorizadas na categoria Intermediário (ou seja, não existem isolados totalmente sensíveis). 6. Os pontos de corte do EUCAST são utilizados para categorizar os resultados em três categorias de sensibilidade: S - Sensível, dose padrão: Um microrganismo é categorizado como Sensível, dosagem padrão quando há uma alta probabilidade de sucesso terapêutico utilizando o regime de dosagem padrão do agente. I - Sensível, aumentando exposição: Um microrganismo é categorizado como Sensível, aumentando exposição * quando há uma alta probabilidade de sucesso terapêutico devido ao aumento da exposição ajustando- se o regime de dosagem ou sua concentração no local de infecção. R - Resistente: um microrganismo é categorizado como Resistente quando há alta probabilidade de falha terapêutica mesmo quando há aumento da exposição. * Exposição é uma função de como o modo de administração, dose, intervalo entre as doses, tempo de infusão assim como a distribuição, metabolismo e excreção do antimicrobiano influenciam o microrganismo no local de infecção. 7. Para algumas combinações microrganismo-antimicrobiano, os resultados podem estar em uma área na qual a interpretação é incerta. O EUCAST designou este intervalo de Área de Incerteza Técnica (AIT). Esta área corresponde a um valor de CIM e/ou intervalo de halo de inibição onde a categorização é incerta. Ver página 4 para mais informações sobre AIT e como lidar com resultados na AIT. 8. A categoria Intermediário I - Sensível, aumentando exposição foi incluída para facilitar o uso das tabelas durante a leitura de antibiogramas. 9. Para E. coli ao testar fosfomicina, Stenotrophomonas maltophilia ao testar sulfametoxazol-trimetoprima, Staphylococcus aureus ao testar benzilpenicilina, Enterococcus spp. ao testar vancomicina e Aeromonas spp. ao testar sulfametoxazol-trimetoprima, é crucial seguir as instruções de leitura específicas para a interpretação correta do teste de disco-difusão. Para ilustrar isso, figuras com exemplos de leitura estão incluídas no final de cada tabela de ponto de corte correspondente. Para instruções gerais e outras instruções específicas de leitura, ver o documento "Guia de Leitura do EUCAST-BrCAST" disponível em www.brcast.org.br.
  • 5.
    3 Notas 9. Para cefuroximae fosfomicina existem pontos de corte para formas de administração oral e intravenosa. 10. Com algumas exceções, o EUCAST recomenda o uso do método de referência de microdiluição em caldo conforme descrito pela ISO para determinação da CIM de mircrorganismos não exigentes. Para microrganismos fastidiosos, o EUCAST recomenda o uso da mesma metodologia, mas com o uso do caldo MH-F (caldo MH com sangue de cavalo lisado e beta-NAD). Consultar o documento de preparação de meios do EUCAST - BrCAST em www.brcast.org.br. Há vários métodos alternativos comercialmente disponíveis, cuja responsabilidade em garantir a precisão do sistema é do fabricante e a responsabilidade do usuário o controle de qualidade dos resultados. 11. Por convenção internacional, as diluições seriadas de CIM são baseadas em diluições 1/2 acima e abaixo de 1 mg/L. Em diluições abaixo de 0,25 mg/L, ocorre que as concentrações ficariam com múltiplas casas decimais. Para evitar o uso de múltiplos decimais nas tabelas e documentos, o EUCAST decidiu usar as seguintes abreviações (em negrito): 0,125→0,125; 0,0625→0,06; 0,03125→0,03; 0,015625→0,016; 0,0078125→0,008; 0,00390625→0,004 e 0,001953125→0,002 mg/L. "-" indica que o teste de sensibilidade não é recomendado pois a espécie é um alvo inadequado para terapia com o antimicrobiano. "IE" indica que não há evidência suficiente de que a espécie em questão seja um bom alvo para a terapia com a droga testada. Uma CIM com algum comentário, mas sem a interpretação de S, I ou R pode ser NA = Não Aplicável IP = Em preparação AE = Alta exposição ao agente (ver a tabela de dosagens, última aba da tabela de pontos de corte)
  • 6.
    4 S ч IR > AIT S ш I R < AIT Agente antimicrobiano A 1 1 - >1 1 X 20 A - <20 A 1. Notas que são comentários gerais e/ou relacionados aos pontos de corte para CIM. Agente antimicrobiano BAE 22 4 >4 Y 26 23-25 <23 2. Novo comentário Agente antimicrobiano C EI EI EI EI EI EI Comentário removido Agente antimicrobiano D, S. aureus - - - - - - Agente antimicrobiano E EP EP EP EP EP EP A. Comentário sobre disco-difusão Agente antimicrobiano F (triagem) NA NA NA Y 25 - <25 Agente antimicrobiano G 0,5 1-2 >2 Z 30 24-29 <24 Orientações para leitura das tabelas de pontos de corte do BrCAST Notas Números para comentários sobre pontos de corte para CIM Letras para comentários sobre pontos de corte para disco-difusão Agente antimicrobiano Conteúdo do disco (µg) Disco-difusão: (método de disco-difusão padronizado pelo EUCAST) Meio de cultura: Inóculo: Incubação: Leitura: Controle de qualidade: Determinação da CIM: (Microdiluição em caldo de acordo com a padronização ISO 20776-1) Meio de cultura: Inóculo: Incubação: Leitura: Controle de qualidade: Pontos de corte p/ CIM (mg/L) Pontos de corte p/ halo de inibição (mm) Tabela de Pontos de Corte Clínicos do BrCAST - EUCAST, válida a partir de 01-02-2019 Antimicrobianos em cor azul contêm hiperlink para o racional das decisões do EUCAST Pontos de corte p/ CIM em cor azul contêm hiperlink para distribuições de CIMs Sem pontos de corte. O teste de sensibilidade com este antimicrobiano não é recomendado Modificações em relação à última versão destacadas em amarelo Evidência insuficiente para que a espécie em questão seja considerada um bom alvo para terapia com o antimicrobiano C Em preparação Pontos de corte para uma determinada espécie devem ser utilizados apenas para aquela espécie (neste exemplo, S. aureus) Não aplicável Pontos de corte de triagem para diferenciação entre isolados com ou sem mecanismos de resistência Pontos de corte para halos de inibição em cor azul contêm hiperlink para distribuição de diâmetros de halos de inibição A categoria I - Sensível, aumentando exposição foi tornada evidente nas tabelas para facilitar o seu uso durante a leitura de antibiogramas Células preenchidas em vermelho indicam alerta quanto à potência do disco Células ou frases em verde indicam comentários ou pontos de corte adicionados pelo BrCAST Metodologia e controle de qualidade do EUCAST-BrCAST para determinação de CIM Metodologia e controle de qualidade do EUCAST-BrCAST para disco-difusão Área de Incerteza Técnica (AIT) Ver informações específicas sobre como lidar com incertezas técnicas em testes de sensibilidade aos antimicrobianos Alta exposição ao agente (AE) Ver tabela de dosagens, última aba na tabela de pontos de corte. Texto em vermelho indica alerta quanto à composição do meio
  • 7.
    Brazilian Committee onAntimicrobial Susceptibility Testing - BrCAST Tabelas de pontos de corte para interpretação de CIMs e diâmetros de halos Comitê Brasileiro de Testes de Sensibilidade aos Antimicrobianos - http://www.brcast.org.br Versão válida a partir de 01-02-2019 Como lidar com incertezas técnicas em testes de sensibilidade aos antimicrobianos Todas as medidas são afetadas por variação aleatória e algumas por variação sistemática. A variação sistemática deve ser evitada e a variação aleatória reduzida tanto quanto possível. O teste de sensibilidade aos antimicrobianos (TSA), independentemente do método, não é uma exceção. O EUCAST se esforça para minimizar as variações, fornecendo métodos padronizados para a determinação da CIM e do disco difusão e evitando a criação de pontos de corte que afetam seriamente a reprodutibilidade do teste. A variação no TSA pode ser ainda mais reduzida, estabelecendo-se padrões mais rigorosos para os fabricantes de material para TSA (caldo, ágar, discos de antimicrobianos) e critérios para o controle de processos de fabricação e práticas de laboratório. É tentador pensar que gerar um valor de MIC resolverá todos os problemas. No entanto, as medições de MIC também têm variação e um único valor não é automaticamente correto. Mesmo quando usado o método de referência, os CIMs variam entre os dias de teste e os técnicos. Sob as melhores circunstâncias, uma MIC de 1,0 deve ser considerada como um valor entre 0,5 e 2,0 mg/L. Não raramente, há problemas com sistemas de testes comerciais, incluindo testes de microdiluição em caldo, testes de gradiente e dispositivos TSA semi-automáticos. Embora o TSA seja simples para a maioria dos agentes e espécies, existem áreas problemáticas. É importante alertar os laboratórios sobre isso e a incerteza na categorização da sensibilidade. As análises dos dados do EUCAST, gerados ao longo dos anos, identificaram tais situações, chamadas de Áreas de Incerteza Técnica (AIT). As AITs são alertas para o microbiologista de que existe uma incerteza que precisa ser resolvido antes de relatar os resultados do TSA aos clínicos. A AIT não deve ser reportada aos clínicos, exceto em circunstâncias especiais e apenas como parte de uma discussão sobre alternativas terapêuticas em casos difíceis. Abaixo estão alternativas de como as AITs podem ser tratadas pelo laboratório. A escolha das ações dependerá da situação. O tipo de amostra (hemocultura versus cultura de urina), o número de agentes alternativos disponíveis, a gravidade da doença e se uma discussão com clínicos é viável ou não, influenciarão a ação tomada. • Repetir o teste Isso só é relevante se houver razão para suspeitar de um erro técnico no TSA primário. • Utilizar um teste alternativo (determine a CIM ou realize um teste genotípico) Isso pode ser relevante se o laudo do teste de sensibilidade evidenciar apenas poucas alternativas terapêuticas ou se o resultado for considerado importante. Se o organismo for multirresistente, é aconselhável determinar a CIM (ver acima em relação à acurácia e precisão da determinação da CIM) para vários antibióticos, possivelmente estendendo o TSA a novas combinações de inibidores de betalactamases e colistina para bactérias Gram-negativas. Às vezes pode ser necessário realizar a caracterização genotípica ou fenotípica do mecanismo de resistência para obter mais informações. • Modificar a categoria de sensibilidade Se houver outras alternativas terapêuticas no laudo de TSA, é permitido modificar o resultado (de S para I, ou de I para R, ou de S para R). No entanto, um comentário deve ser incluído e o isolado deve ser armazenado para testes adicionais. • Incluir a incerteza como parte do laudo É prática comum em muitas outras áreas de laboratório incluir informações sobre a incerteza do resultado relatado. Isso pode ser tratado de várias maneiras: * Em situações graves, aproveite a oportunidade para entrar em contato com os clínicos para explicar e discutir os resultados. * Categorize o resultado de acordo com os pontos de corte, mas inclua informações sobre as dificuldades técnicas e/ou as incertezas da interpretação. Em muitos casos, um “R” é menos ambíguo do que outras alternativas, especialmente quando existem agentes alternativos. A Área de Incerteza Técnica será tipicamente listada como um valor de MIC definido ou, em disco difusão, como um intervalo de 2-4 mm. AITs só serão listadas quando obviamente necessárias. A ausência de um AIT (MIC e/ou diâmetro de halo) significa que não há necessidade imediata de um aviso. As AITs introduzidas em 2019 (v. 9.0) serão avaliadas e AITs podem ser adicionadas com o desenvolvimento de mais informações. Link para o material de orientação (Redefinição das categorias dos testes de sensibilidade) disponível no site do BrCAST.
  • 8.
    6 Versão 9, EUCAST VersãoBrCAST 01-02-2019 Alterações (células contendo alguma alteração, deleção ou adição) em relação à versão de 30-07-2018 estão marcadas em amarelo. Comentários modificados estão sublinhados. Comentários removidos estão escritos com fonte tachada. Geral • Link para Regras de Especialistas do EUCAST e Tabelas de Resistência Intrínseca adicionado a cada tabela. • Colunas para Área de Incerteza Técnica (AIT) adicionadas (CIM e diâmetros de halos). • Os comentários relacionados à terapia com altas doses foram trocados por AE (Alta Exposição) ao lado do nome antimicrobiano. • Pontos de corte de meropenem-vaborbactam adicionados. • Pontos de corte de eravaciclina adicionados. • Pontos de corte de doripenem removidos. • Links para documentos sobre o racional para nitroxolina e sulfametoxazol-trimetoprima adicionados. Notas • Definições de categorias de sensibilidade adicionadas (Nota 6). • Informações sobre Área de Incerteza Técnica (ATU) adicionadas (Nota 7). • Nota 9 atualizada para incluir todos os exemplos específicos de leitura. • Informações sobre teste de referência para CIM adicionadas (Nota 10). • Explicação de AE (Alta Exposição) adicionada à lista de abreviaturas. Taxonomia • Enterobacteriaceae alterado para Enterobacterales . • Enterobacter aerogenes alterado para Klebsiella aerogenes . • Clostridium difficile alterado para Clostridioides difficile . • Propionibacterium acnes alterado para Cutibacterium acnes . Incerteza técnica • Novo texto descrevendo as recomendações do EUCAST sobre como lidar com a incerteza técnica nos testes de sensibilidade aos antimicrobianos. Geral • Espécies listadas anteriormente como "E. coli , Klebsiella spp. e P. mirabilis " são agora listadas como "E. coli , Klebsiella spp. (Exceto K. aerogenes ), Raoultella spp. e P. mirabilis " devido a mudanças na taxonomia. • Morganella spp. mudou para Morganella morganii . • Limitação de espécies adicionada à cefuroxima oral. Novos pontos de corte • Meropenem-vaborbactam (CIM) • Eravaciclina (CIM) Pontos de corte revisados • Ertapenem (CIM e diâmetro de halo) • Imipenem (CIM e diâmetro de halo). Pontos de corte específicos para Morganella morganii , Proteus spp. e Providencia spp. • Ciprofloxacino (diâmetro de halo) • Tigeciclina (CIM e diâmetro de halo). Limitação de espécies adicionada (pontos de corte válidos para E. coli e C. koseri ). AITs adicionadas • Amoxicilina-ácido clavulânico, piperacilina-tazobactam, ceftarolina e ciprofloxacino. Novos comentários • Carbapenêmicos - comentário 3 • Tetraciclinas - comentário 1 Comentários revisados • Carbapenêmicos - comentário 2 • Aminoglicosídeos - comentário 1 • Tetraciclinas - comentário 3/A • Tetraciclinas - comentário B Tabelas de pontos de corte para interpretação de CIMs e diâmetros de halos de inibição Versão válida a partir de 01-02-2019 Brazilian Committee on Antimicrobial Susceptibility Testing - BrCAST - EUCAST Enterobacterales A ordem Enterobacterales foi proposta em 2016 e inclui as famílias Enterobacteriaceae , Erwiniaceae fam. nov., Pectobacteriaceae fam. nov., Yersiniaceae fam. nov., Hafniaceae fam. nov., Morganellaceae fam. nov., e Budviciaceae fam. nov. [Adeolu M et al. Int J Syst Evol Microbiol. 2016;66(12):5575-5599].
  • 9.
    7 Versão 9, EUCAST VersãoBrCAST 01-02-2019 Alterações (células contendo alguma alteração, deleção ou adição) em relação à versão de 30-07-2018 estão marcadas em amarelo. Comentários modificados estão sublinhados. Comentários removidos estão escritos com fonte tachada. Pseudomonas spp. Geral • Informação adicionada sobre espécies incluídas na tabela Novos pontos de corte • Meropenem-vaborbactam (CIM) Pontos de corte revisados • Imipenem (CIM e diâmetro de halo) • Aztreonam (CIM e diâmetro de halo) Novos comentários • Carbapenêmicos - comentário 1 Comentários revisados • Aminoglicosídeos - comentário 1 AITs adicionadas • Piperacilina-tazobactam, ceftazidima-avibactam e colistina. Acinetobacter spp. Geral • Informação adicionada sobre espécies incluídas na tabela Pontos de corte revisados • Imipenem (CIM e diâmetro de halo) • Ciprofloxacina (CIM e diâmetro de halo) Comentários revisados • Aminoglicosídeos - comentário 1 Staphylococcus spp. Geral • Informação adicionada sobre espécies incluídas na tabela • "Alta Exposição" (AE) adicionada à cefotaxima e à ceftriaxona Novos pontos de corte • Eravaciclina (CIM) AITs adicionadas • "Triagem de cefoxitina para S. epidermidis ", ceftarolina, ceftobiprole e "amicacina para S. aureus " Comentários removidos • Aminoglicosídeos - comentário 1 Enterococcus spp. Geral • Informação adicionada sobre espécies incluídas na tabela Novos pontos de corte • Eravaciclina (CIM). Pontos de corte revisados • Tigeciclina (CIM e diâmetro de halo) • Trimetoprima (CIM e diâmetro de halo). Pontos de corte substituídos por nota. • Sulfametoxazol-trimetoprima (CIM e diâmetro de halo). Pontos de corte substituídos por nota. Comentários revisados • Agentes diversos - comentário 2/A Streptococcus grupos A, B, C e G Geral • "Alta Exposição" (AE) adicionada ao levofloxacino Pontos de corte revisados • Tigeciclina (CIM e diâmetro de halo) Novos comentários • Carbapenêmicos - comentário 2 • Glicopeptídeos e lipoglicopeptídeos - comentário B
  • 10.
    8 Versão 9, EUCAST VersãoBrCAST 01-02-2019 Alterações (células contendo alguma alteração, deleção ou adição) em relação à versão de 30-07-2018 estão marcadas em amarelo. Comentários modificados estão sublinhados. Comentários removidos estão escritos com fonte tachada. Streptococcus pneumoniae • Fluxograma atualizado Novos pontos de corte • Ampicilina (diâmetro de halo) • Amoxicilina oral (CIM) • Amoxicilina-ácido clavulânico oral (CIM) Pontos de corte revisados • Meropenem para meningite (CIM) • Triagem - norfloxacina (diâmetro de halo) • Sulfametoxazol-trimetoprima (diâmetro de halo) Novos comentários • Penicilinas - comentário 5 • Penicilinas - comentário C Comentários revisados • Penicilinas - comentário 1/A • Penicilinas - comentário 4/B • Penicilinas - comentário D • Cefalosporinas - comentário 1/A • Carbapenêmicos - comentário 1/A • Glicopeptídeos e lipoglicopeptídeos - comentário A Estreptococos do grupo Viridans Novos comentários • Glicopeptídeos e lipoglicopeptídeos - comentário B Novos pontos de corte • Eravaciclina (CIM) Haemophilus influenzae • Fluxograma atualizado Novos pontos de corte • Amoxicilina oral (CIM) • Amoxicilina-ácido clavulânico oral (CIM e diâmetro de halo) • Piperacilina (alterada de Nota para IE) • Piperacilina-tazobactam (CIM e diâmetro de halo) Pontos de corte revisados • Cefpodoxima (CIM e diâmetro de halo) • Ceftriaxona (diâmetro de halo) • Cefuroxima iv (diâmetro de halo) • Cefuroxima oral (diâmetro de halo) • Ertapenem (diâmetro de halo) • Meropenem para meningite (CIM) AITs adicionados • Ampicilina, amoxicilina-ácido clavulânico (iv e oral), piperacilina-tazobactam, cefepima, cefotaxima, cefpodoxima, ceftriaxona, cefuroxima (iv e oral) e imipenem. Novos comentários • Penicilinas - comentário 6 • Penicilinas - comentário B • Cefalosporinas - comentário B • Cefalosporinas - comentário C • Carbapenêmicos - comentário B Comentários revisados • Penicilinas - comentário 1/A • Cefalosporinas - comentário 1/A • Carbapenêmicos - comentário 1/A
  • 11.
    9 Versão 9, EUCAST VersãoBrCAST 01-02-2019 Alterações (células contendo alguma alteração, deleção ou adição) em relação à versão de 30-07-2018 estão marcadas em amarelo. Comentários modificados estão sublinhados. Comentários removidos estão escritos com fonte tachada. Neisseria gonorrhoeae Pontos de corte revisados • Azitromicina (substituída por Nota) Neisseria meningitidis Pontos de corte revisados • Cloranfenicol Anaeróbios Gram-positivos Geral • Staphylococcus saccharolyticus adicionado à lista de espécies Pontos de corte revisados • Ertapenem • Imipenem Clostridioides difficile Comentários revisados • Glicopeptídeos - comentário 1 • Agentes diversos - comentário 5 Anaeróbios Gram-negativos Geral • Parabacteroides adicionado à lista de espécies Pontos de corte revisados • Ertapenem • Imipenem Corynebacterium spp. Geral • Informações sobre C. diphtheriae adicionadas Novos pontos de corte • Eritromicina (em preparação) Novos comentários • Glicopeptídeos - comentário A Aerococcus sanguinicola e urinae Novos comentários • Glicopeptídeos - comentário A. Mycobacterium tuberculosis Geral • Informação adicionada sobre espécies incluídas na tabela • Informação adicionada sobre desenvolvimento de metodologia de referência Agentes tópicos Pontos de corte revisados • Acinetobacter spp. e ciprofloxacino • Moraxella spp. e ciprofloxacino, levofloxacino e ofloxacino (das alterações de ponto de corte nas tabelas do EUCAST v. 8.1) Pontos de corte conforme dados de farmacocinética/farmacodinâmica (PK/PD) Novos pontos de corte • Meropenem-vaborbactam Pontos de corte revisados • Ertapenem • Imipenem • Tigeciclina Novos comentários • Carbapenêmicos - comentário 1
  • 12.
    10 Versão 9, EUCAST VersãoBrCAST 01-02-2019 Alterações (células contendo alguma alteração, deleção ou adição) em relação à versão de 30-07-2018 estão marcadas em amarelo. Comentários modificados estão sublinhados. Comentários removidos estão escritos com fonte tachada. Dosagens • Informação geral atualizada Novos agentes • Amoxicilina oral • Amoxicilina-ácido clavulânico oral • Meropenem-vaborbactam • Eravaciclina Dosagens revisadas • Ampicilina • Ampicilina-sulbactam • Amoxicilina iv • Amoxicilina-ácido clavulânico iv • Ticarcilina-ácido clavulânico • Oxacilina • Flucloxacilina • Cefazolina • Cefepima • Ceftazidima • Ceftriaxona • Meropenem • Teicoplanina • Clindamicina • Colistina • Daptomicina • Nitrofurantoína Novos comentários (situações especiais) • Amoxicilina oral • Amoxicilina-ácido clavulânico oral Comentários revisados (situações especiais) • Benzilpenicilina • Cefotaxima • Ceftriaxona • Imipenem • Meropenem • Ciprofloxacino • Levofloxacino • Ofloxacino • Vancomicina • Cloranfenicol • Nitrofurantoína • Espectinomicina
  • 13.
    11 Disco-difusão (método dedisco-difusão padronizado pelo EUCAST) Meio de cultura: Ágar Mueller-Hinton Inóculo: McFarland 0,5 Incubação: Ar ambiente, 35±1ºC, 18±2h Leitura: Salvo orientação contrária, ler as bordas dos halos de inibição do ponto em que não há mais crescimento, visto da parte posterior da placa, contra um fundo escuro e sob luz refletida. Controle de qualidade: Escherichia coli ATCC 25922. Para agentes não avaliados por tal cepa e para o controle de componente inibidor dos discos de combinação betalactâmico-inibidor de betalactamase, ver tabela de CQ do BrCAST-EUCAST. S ч I R > AIT S ш I R < AIT Ampicilina 81 - >8 10 14A,B - <14B 1/A. Cepas selvagens de Enterobacteriaceae são categorizadas como sensíveis às aminopenicilinas. Alguns países preferem categorizar isolados selvagens de E. coli e P. mirabilis como Intermediário. Se for esse o caso, utilizar ponto de corte S ≤ 0,5 mg/L para CIM e o ponto de corte S ≥ 50 mm para a halo de inibição. Ampicilina-sulbactam 81,2 - >82 10-10 14A,B - <14B 2. Para fins de testes de sensibilidade, a concentração de sulbactam é fixada em 4 mg/L. Amoxicilina 81 - >8 - NotaC - NotaC 3. Para fins de testes de sensibilidade, a concentração de ácido clavulânico é fixada em 2 mg/L. Amoxicilina-ácido clavulânico 81,3 - >83 20-10 19A,B - <19B 19-20 4. Para fins de testes de sensibilidade, a concentração de tazobactam é fixada em 4 mg/L. Amoxicilina-ácido clavulânico, apenas para Infecção do trato urinário (ITU) não complicada 321,3 - >323 20-10 16A,B - <16B B. Ignore crescimento que pode aparecer como um halo interno tênue em alguns lotes de ágar Mueller-Hinton. Piperacilina-tazobactam 84 16 >164 16 30-6 20 17-19 <17 17-19 C. Sensibilidade inferida a partir da ampicilina. S ч I R > AIT S ш I R < AIT Cefaclor - - - - - - Cefadroxila (apenas ITU não complicada) 16 - >16 30 12 - <12 Cefalexina (apenas ITU não complicada) 16 - >16 30 14 - <14 Cefazolina - - - - - - Cefepima 1 2-4 >4 30 27 24-26 <24 Cefotaxima 1 2 >2 5 20 17-19 <17 Cefoxitina (triagem)2 NA NA NA 30 19 - <19 Cefpodoxima (apenas ITU não complicada) 1 - >1 10 21 - <21 Ceftarolina 0,5 - >0,5 5 23 - <23 22-23 Ceftazidima 1 2-4 >4 10 22 19-21 <19 3. Para fins de testes de sensibilidade, a concentração de avibactam é fixada em 4 mg/L. Ceftazidima-avibactam 83 - >83 10-4 13 - <13 4. Para fins de testes de sensibilidade, a concentração de tazobactam é fixada em 4 mg/L. Ceftolozana-tazobactam 14 - >14 30-10 23 - <23 5. Os pontos de corte são baseados em terapia com doses elevadas. Ver tabela de dosagens. Ceftriaxona 1 2 >2 30 25 22-24 <22 Cefuroxima IVAE , E. coli, Klebsiella spp. (exceto K. aerogenes ), Raoultella spp. e P. mirabilis 8 - >8 30 19 - <19 Cefuroxima oral (apenas ITU não complicada), E. coli, Klebsiella spp. (exceto K. aerogenes ), Raoultella spp. e P. mirabilis 8 - >8 30 19 - <19 Enterobacterales* Regras de Especialistas e Tabelas de Resistência Intrínseca Determinação da CIM: (Microdiluição em caldo de acordo com a padronização ISO 20776-1, exceto para fosfomicina, para qual diluição em ágar é usada). Meio de cultura: Caldo Mueller-Hinton Inóculo: 5 x105 UFC/mL Incubação: Painéis selados, ar ambiente, 35±1ºC, 18±2h Leitura: Salvo orientação contrária, ler a CIM como a menor concentração do antimicrobiano que visualmente inibe por completo o crescimento bacteriano. Controle de qualidade: Escherichia coli ATCC 25922. Para agentes não avaliados por tal cepa e para o controle do componente inibidor da combinação betalactâmico-inibidor de betalactamase, ver tabela de CQ do BrCAST-EUCAST. * Estudos taxonômicos recentes estreitaram a definição da família Enterobacteriaceae . Alguns membros anteriormente pertencentes a esta família estão agora incluídos em outras famílias da ordem Enterobacterales [Adeolu M et al. Int J Syst Evol Microbiol. 2016;66(12):5575-5599]. Os pontos de corte desta tabela são aplicáveis a todos os membros da ordem Enterobacterales. Notas Números para comentários gerais e/ou pontos de corte para CIM. Letras para comentários sobre disco-difusão. Penicilinas 1 Cefalosporinas1 Notas Números para comentários gerais e/ou pontos de corte para CIM. Letras para comentários sobre disco-difusão. Conteúdo do disco (µg) Ponto de corte p/ CIM (mg/L) Ponto de corte p/ diâmetro do halo (mm) Ponto de corte p/ CIM (mg/L) Ponto de corte p/ diâmetro do halo (mm) 2. Um ECOFF (8 mg/L) de cefoxitina apresenta alta sensibilidade, porém baixa especificidade para a identificação de enterobactérias produtoras de AmpC, uma vez que esse fármaco é afetado também por alterações de permeabilidade e algumas carbapenemases. Isolados classicamente não produtores de AmpC tem perfil selvagem, enquanto os produtores de AmpCs plasmidiais ou hiperprodutores de AmpC cromossômica tem perfil não selvagem. 1. Os pontos de corte de cefalosporinas para enterobactérias permitem detectar todos os mecanismos de resistência clinicamente relevantes (incluindo ESBL e AmpC mediada por plasmídios). Alguns isolados produtores de β-lactamases são sensíveis ou intermediários a cefalosporinas de 3ª ou 4ª gerações, considerando-se estes pontos de corte, e devem ser relatados de acordo com o resultado do teste, ou seja, a presença ou ausência de ESBL não influencia na categorização da sensibilidade. A detecção e caracterização de ESBL são recomendadas para fins de saúde pública e controle de infecções. Tabela de Pontos de Corte Clínicos do BrCAST - EUCAST, válida a partir de 01-02-2019 Conteúdo do disco (µg)
  • 14.
    12 S ч IR > AIT S ш I R < AIT Doripenem Ertapenem 0,5 - >0,5 10 25 - <25 Imipenem 2 4 >4 10 22 17-21 <17 Imipenem, Morganella morganii, Proteus spp. Providencia spp.2 0,125 0,25-4 >4 10 50 17-49 <17 2. A atividade intrinsecamente baixa do imipenem contra Morganella morganii, Proteus spp. e Providencia spp. requer alta exposição ao imipenem. Meropenem 2 4-8 >8 10 22 16-21 <16 3. Para fins de teste de sensibilidade, a concentração de vaborbactam é fixada em 8 mg/L. Meropenem-vaborbactam 83 - >83 EP EP EP EP S ч I R > AIT S ш I R < AIT Aztreonam1 1 2-4 >4 30 26 21-25 <21 1. Os pontos de corte de aztreonam para Enterobacteriaceae permitem detectar todos os mecanismos de resistência clinicamente relevantes (incluindo ESBL). Alguns isolados produtores de β-lactamases são sensíveis ou intermediários ao aztreonam utilizando esses pontos de corte e devem ser relatados de acordo com o resultado do teste, ou seja, a presença ou ausência de ESBL não influencia na categorização da sensibilidade. A detecção e a caracterização de ESBL são recomendadas para fins de saúde pública e controle de infecções. S ч I R > AIT S ш I R < AIT Ciprofloxacino 0,25 0,5 >0,5 0,5 5 25 22-24 <22 22-24 Ciprofloxacino, Salmonella spp.1 0,06 - >0,06 NotaA NotaA NotaA Pefloxacino (triagem), Salmonella spp.1 NA NA NA 5 24B - <24B Levofloxacino 0,5 1 >1 5 23 19-22 <19 Moxifloxacino 0,25 - >0,25 5 22 - <22 Ácido nalidíxico (triagem) NA NA NA NA NA NA Norfloxacino (apenas ITU não complicada) 0,5 1 >1 10 22 19-21 <19 Ofloxacino 0,25 0,5 >0,5 5 24 22-23 <22 B. A sensibilidade de Salmonella spp. ao ciprofloxacino pode ser inferida a partir do resultado do teste de disco-difusão de pefloxacino. S ч I R > AIT S ш I R < AIT AmicacinaAE 8 16 >16 30 18 15-17 <15 GentamicinaAE 2 4 >4 10 17 14-16 <14 NetilmicinaAE 2 4 >4 10 15 12-14 <12 TobramicinaAE 2 4 >4 10 17 14-16 <14 1. Existem evidências clínicas que indicam uma resposta inadequada ao tratamento com ciprofloxacino em infecções sistêmicas causadas por Salmonella spp. com baixos níveis de resistência ao ciprofloxacino (CIM>0,06 mg/L). Os dados disponíveis relacionam-se principalmente a Salmonella Typhi, mas também há relatos de casos com resposta inadequada em relação a outras espécies de Salmonella. A. Os testes com disco de ciprofloxacino de 5 µg não são confiáveis para detectar baixos níveis de resistência em Salmonella spp. Para triagem de resistência ao ciprofloxacino em Salmonella spp., utilizar discos de pefloxacino 5 µg. Ver Nota B. Notas Números para comentários gerais e/ou pontos de corte para CIM. Letras para comentários sobre disco-difusão. Monobactâmicos Carbapenêmicos 1 Enterobacterales Regras de Especialistas e Tabelas de Resistência Intrínseca Tabela de Pontos de Corte Clínicos do BrCAST - EUCAST, válida a partir de 01-02-2019 1. Os pontos de corte para aminoglicosídeos são baseados em altas doses de aminoglicosídeos administradas em dose única diária. Usualmente, aminoglicosídeos são administrados em combinação com agentes β-lactâmicos. 2. Os pontos de corte não se aplicam a Plesiomonas shigeloides visto que aminoglicosídeos têm baixa atividade contra esta espécie. Notas Números para comentários gerais e/ou pontos de corte para CIM. Letras para comentários sobre disco-difusão. Notas Números para comentários gerais e/ou pontos de corte para CIM. Letras para comentários sobre disco-difusão. Notas Números para comentários gerais e/ou pontos de corte para CIM. Letras para comentários sobre disco-difusão. 1. Alguns isolados produtores de carbapenemases são categorizados como sensíveis utilizando esses pontos de corte e devem ser relatados de acordo com o resultado do teste, ou seja, a presença ou ausência de carbapenemases não influencia na categorização da sensibilidade. A detecção e a caracterização de carbapenemases são recomendadas para fins de saúde pública e controle de infecções. Para a triagem de carbapenemase, é recomendado um ponto de corte para meropenem de >0,125 mg/L (diâmetro de halo <28 mm). Ponto de corte p/ diâmetro do halo (mm) Ponto de corte p/ diâmetro do halo (mm) Ponto de corte p/ diâmetro do halo (mm) Ponto de corte p/ diâmetro do halo (mm) Aminoglicosídeos 1,2 Fluoroquinolonas Conteúdo do disco (µg) Ponto de corte p/ CIM (mg/L) Ponto de corte p/ CIM (mg/L) Ponto de corte p/ CIM (mg/L) Conteúdo do disco (µg) Conteúdo do disco (µg) Conteúdo do disco (µg) Ponto de corte p/ CIM (mg/L)
  • 15.
    13 Tabela de Pontosde Corte Clínicos do BrCAST - EUCAST, válida a partir de 01-02-2019 S ч I R > AIT S ш I R < AIT Azitromicina1 - - - - - - 1. Azitromicina tem sido utilizada no tratamento de infecções por Salmonella Typhi (CIM ≤16 mg/L para isolados selvagens) e Shigella spp. S ч I R > AIT S ш I R < AIT Doxiciclina - - - - - - 1. A tetraciclina tem sido utilizada para prever a sensibilidade à doxiciclina no tratamento de infecções por Yersinia enterocolitica (CIM de tetraciclina ≤ 4 mg/L para isolados selvagens). O diâmetro de halo correspondente para o disco de 30 µg de tetraciclina é ≥19 mm. Eravaciclina, E. coli 0,5 - >0,5 IP IP IP IP 1. Tigeciclina possui atividade reduzida contra Morganella spp., Proteus spp. e Providencia spp. Minociclina - - - - - - 2. Para determinação da CIM de tigeciclina por microdiluição, o meio deve ser fresco, preparado no dia do uso. Tetraciclina1 - - - - - - Tigeciclina, E. coli e C. koseri 0,52,3 - >0,52,3 15 18A - <18A S ч I R > AIT S ш I R < AIT Cloranfenicol 8 - >8 30 17 - <17 Colistina1 2 - >2 - NotaA NotaA NotaA Polimixina B3 2 - >2 - NotaA NotaA NotaA Fosfomicina IV 322 - >322 200B 24C,D - <24C,D Fosfomicina oral (apenas ITU não complicada) 322 - >322 200B 24C,D - <24C,D 3. Pontos de corte propostos pelo BrCAST Nitrofurantoína (apenas ITU não complicada), E. coli 64 - >64 100 11 - <11 4. Sulfametoxazol-trimetoprima na proporção 19:1. Os pontos de corte de CIM estão expressos como concentração de trimetoprima. Sulfametoxazol-trimetoprima4 2 4 >4 23,75-1,25 14 11-13 <11 A. Utilizar um método de determinação da CIM (somente microdiluição em caldo). B. Os discos de fosfomicina de 200 µg devem conter 50 µg de glicose-6-fosfato. C. Pontos de corte para diâmetro de halo aplicáveis apenas a E. coli. Para outras Enterobacterales determine a CIM. D. Ignorar colônias isoladas dentro do halo de inibição. Ver figuras abaixo. Exemplos de halos de inibição de Escherichia coli com fosfomicina. a-c) Ignorar todas as colônias e ler a borda mais externa do halo. d) Registrar como ausência de halo de inibição. 2. A diluição em ágar é o método de referência para testar fosfomicina. A CIM para fosfomicina deve ser determinada na presença de glicose-6- fosfato (25 mg/L no meio para os métodos de diluição em caldo e diluição em ágar). Seguir as instruções do fabricante caso seja utilizado um sistema comercial. 1. A determinação da CIM de colistina deve ser realizada com o método de microdiluição em caldo. O controle de qualidade da colistina deve ser realizado com cepa controle sensível (E. coli ATCC 25922 ou P. aeruginosa ATCC 27853) e cepa controle resistente à colistina de E. coli NCTC 13846 (mcr-1 positivo). Notas Números para comentários gerais e/ou pontos de corte para CIM. Letras para comentários sobre disco-difusão. Notas Números para comentários gerais e/ou pontos de corte para CIM. Letras para comentários sobre disco-difusão. 3/A. Para outras Enterobacterales, a atividade de tigeciclina varia de insuficiente em Proteus spp., Morganella morganii e Providencia spp. para variável em outras espécies. Para mais informações, consultar http://www.eucast.org/guidance_documents/. B. Pontos de corte de diâmetro do halo de inibição validados apenas para E. coli. Para C.koseri, usar um método de determinação da CIM. Agentes diversos Tetraciclinas Conteúdo do disco (µg) Conteúdo do disco (µg) Conteúdo do disco (µg) Ponto de corte p/ CIM (mg/L) Ponto de corte p/ CIM (mg/L) Ponto de corte p/ CIM (mg/L) Ponto de corte p/ diâmetro do halo (mm) Ponto de corte p/ diâmetro do halo (mm) Notas Números para comentários gerais e/ou pontos de corte para CIM. Letras para comentários sobre disco-difusão. Enterobacterales Regras de Especialistas e Tabelas de Resistência Intrínseca. Macrolídeos, lincosamidas e estreptograminas Ponto de corte p/ diâmetro do halo (mm) a) b) c) Sem halo d)
  • 16.
    14 Pseudomonas spp. Disco-difusão (métodode disco-difusão padronizado pelo EUCAST) Meio de cultura: Ágar Mueller-Hinton Inóculo: McFarland 0,5 Incubação: Ar ambiente, 35±1ºC, 18±2h Leitura: Salvo orientação contrária, ler as bordas dos halos de inibição do ponto em que não há mais crescimento, visto da parte posterior da placa, contra um fundo escuro e sob luz refletida. Controle de qualidade: Pseudomonas aeruginosa ATCC 27853. Para agentes não avaliados por tal cepa e para o controle do componente inibidor dos discos de combinação betalactâmico-inibidor de betalactamase, ver tabela de CQ do BrCAST- EUCAST. S ч I R > AIT S ш I R < AIT 18-19 1. Os pontos de corte são baseados em terapia com doses elevadas, ver tabela de dosagens. 2. Para fins de teste de sensibilidade, a concentração de tazobactam é fixada a 4 mg/L. S ч I R > AIT S ш I R < AIT Cefepima AE 8 - >8 30 21 - <21 1. Os pontos de corte são baseados em terapia com doses elevadas, ver tabela de dosagens. Ceftazidima AE 8 - >8 10 17 - <17 1. Para fins de testes de sensibilidade, a concentração de avibactam é fixada em 4 mg/L. Ceftazidima-avibactam, P. aeruginosa 8 1 - >8 1 10-4 17 - <17 16-17 2. Para fins de testes de sensibilidade, a concentração de tazobactam é fixada em 4 mg/L. Ceftolozana-tazobactam, P. aeruginosa 4 2 - >4 2 30-10 24 - <24 S ч I R > AIT S ш I R < AIT Doripenem 1 1. Os pontos de corte são baseados em terapia com doses elevadas, ver tabela de dosagens. Ertapenem - - - - - - 1. Para fins de teste de sensibilidade, a concentração de vaborbactam é fixada em 8 mg/L. Imipenem AE 4 - >4 10 20 - <20 Meropenem 2 4-8 >8 10 24 18-23 <18 Meropenem-vaborbactam, P. aeruginosa 8 1 - >8 1 S ч I R > AIT S ш I R < AIT AztreonamAE 16 - >16 30 18 - <18 A. O ponto de corte de resistência é confiável para categorizar os isolados, mas a sensibilidade (S ou I) deve ser avaliada pela determinação da concentração inibitória mínima (CIM). Notas Números para comentários gerais e/ou pontos de corte para CIM. Letras para comentários sobre disco-difusão. Determinação da CIM: (Microdiluição em caldo de acordo com a padronização ISO 20776-1, exceto para fosfomicina, para qual diluição em ágar é usada) Meio de cultura: Caldo Mueller-Hinton Inóculo: 5 x10 5 UFC/mL Incubação: Painéis selados, ar ambiente, 35±1ºC, 18±2h Leitura: Salvo orientação contrária, ler a CIM como a menor concentração do antimicrobiano que visualmente inibe por completo o crescimento bacteriano. Controle de qualidade: Pseudomonas aeruginosa ATCC 27853. Para agentes não avaliados por tal cepa e para o controle do componente inibidor da combinação betalactâmico-inibidor de betalactamase, ver tabela de CQ do BrCAST-EUCAST. Penicilinas Conteúdo do disco (µg) Cefalosporinas Conteúdo do disco (µg) >16 2 - 16 2 Piperacilina-tazobactam AE 30-6 Ponto de corte p/ CIM (mg/L) Ponto de corte p/ CIM (mg/L) Tabela de Pontos de Corte Clínicos do BrCAST - EUCAST, válida a partir de 01-02-2019฀ Ponto de corte p/ diâmetro do halo (mm) Notas Números para comentários gerais e/ou pontos de corte para CIM. Letras para comentários sobre disco-difusão. Notas Números para comentários gerais e/ou pontos de corte para CIM. Letras para comentários sobre disco-difusão. 18 <18 - Ponto de corte p/ diâmetro do halo (mm) Ponto de corte p/ diâmetro do halo (mm) Ponto de corte p/ diâmetro do halo (mm) Notas Números para comentários gerais e/ou pontos de corte para CIM. Letras para comentários sobre disco-difusão. Conteúdo do disco (µg) Conteúdo do disco (µg) Regras de Especialistas e Tabelas de Resistência Intrínseca. Monobactâmicos Pseudomonas aeruginosa é a espécie mais frequente deste gênero. Outras espécies menos frequentes de Pseudomonas recuperadas em amostras clínicas são: grupo P. fluorescens , grupo P. putida e grupo P. stutzeri . Carbapenêmicos Ponto de corte p/ CIM (mg/L) Ponto de corte p/ CIM (mg/L)
  • 17.
    15 Pseudomonas spp. S чI R > AIT S ш I R < AIT Ciprofloxacino AE 0,5 - >0,5 5 26 - <26 1. Os pontos de corte são baseados em terapia com doses elevadas, ver tabela de dosagens. Levofloxacino AE 1 - >1 5 22 - <22 Moxifloxacino - - - - - - Norfloxacino (apenas ITU não complicada) - - - - - - Ofloxacino - - - - - - S ч I R > AIT S ш I R < AIT Amicacina AE 8 16 >16 30 18 15-17 <15 Gentamicina AE 4 - >4 10 15 - <15 Netilmicina AE 4 - >4 10 12 - <12 Tobramicina AE 4 - >4 10 16 - <16 S ч I R > AIT S ш I R < AIT 1. A determinação da CIM de colistina deve ser realizada pelo método de microdiluição em caldo. O controle de qualidade da colistina deve ser realizado com cepa controle sensível (E. coli ATCC 25922 ou P. aeruginosa ATCC 27853) e cepa controle resistente à colistina E. coli NCTC 13846 (mcr-1 positivo). Polimixina B 2 2 - >2 Nota A Nota A Nota A 2. Pontos de corte preconizados pelo BrCAST. Fosfomicina iv 3 - - - - - - A. Utilizar um método para a determinação da CIM (somente microdiluição em caldo). Tabela de Pontos de Corte Clínicos do BrCAST - EUCAST, válida a partir de 01-02-2019฀ - Ponto de corte p/ diâmetro do halo (mm) Ponto de corte p/ diâmetro do halo (mm) Nota A 3. A diluição em ágar é o método de referência para testar fosfomicina. A CIM para fosfomicina deve ser determinada na presença de glicose-6-fosfato (25 mg por litro de ágar MH). Seguir as instruções do fabricante caso seja utilizado um sistema comercial. Infecções causadas por cepas selvagens (ECOFF: CIM 128mg/L; correspondendo ao diâmetro de halo de 12 mm usando a potência do disco e instruções de leitura de E. coli ) têm sido tratadas usando combinações de fosfomicina e outros agentes antimicrobianos. 1. Os pontos de corte para aminoglicosídeos são baseados em altas doses de aminoglicosídeos administradas em dose única diária. Usualmente, aminoglicosídeos são administrados em combinação com agentes β-lactâmicos. Notas Números para comentários gerais e/ou pontos de corte para CIM. Letras para comentários sobre disco-difusão. Notas Números para comentários gerais e/ou pontos de corte para CIM. Letras para comentários sobre disco-difusão. Notas Números para comentários gerais e/ou pontos de corte para CIM. Letras para comentários sobre disco-difusão. Conteúdo do disco (µg) - - Ponto de corte p/ diâmetro do halo (mm) Conteúdo do disco (µg) Conteúdo do disco (µg) Regras de Especialistas e Tabelas de Resistência Intrínseca. Fosfomicina oral 3 Colistina 1 Aminoglicosídeos1 Fluoroquinolonas Agentes diversos Ponto de corte p/ CIM (mg/L) 4 Nota A Nota A Ponto de corte p/ CIM (mg/L) Ponto de corte p/ CIM (mg/L) 2 - - - >2 -
  • 18.
    16 Stenotrophomonas maltophilia Disco-difusão (métodode disco-difusão padronizado pelo EUCAST) Meio de cultura: Ágar Mueller-Hinton Inóculo: McFarland 0,5 Incubação: Ar ambiente, 35±1ºC, 18±2h Leitura: Ler as bordas dos halos de inibição com a parte posterior da placa voltada para o observador, contra um fundo escuro e sob luz refletida (ver abaixo para instruções específicas de leitura). Controle de qualidade: Escherichia coli ATCC 25922 S ч I R > AIT S ш I R < AIT 4 - >4 23,75-1,25 16 A - <16 A 1. Sulfametoxazol-trimetoprima na proporção 19:1. Os pontos de corte estão expressos como concentração de trimetoprim. 2. Os pontos de corte se referem a terapia com doses elevadas, ver tabela de dosagens. A. Isolados apresentando qualquer sinal de halo de inibição 16 mm podem ser reportados como sensíveis e o crescimento dentro do halo de inibição pode ser ignorado. A densidade do crescimento dentro do halo pode variar de uma névoa a um crescimento substancial (ver figuras abaixo). a-c) Um halo externo pode ser visualizado. Reportar como sensível se o diâmetro do halo for ≥ 16 mm. d) Crescimento até a borda do disco e sem sinal de halo de inibição. Reportar como resistente. Notas Números para comentários gerais e/ou pontos de corte para CIM. Letras para comentários sobre disco-difusão. Agentes diversos Conteúdo do disco (µg) Exemplos de halos de inibição de Stenotrophomonas maltophilia com sulfametoxazol-trimetoprima. Ponto de corte p/ CIM (mg/L) Ponto de corte p/ diâmetro do halo (mm) Sulfametoxazol-trimetoprima 1,AE Para informações adicionais, ver documento de orientação em www.eucast.org. Tabela de Pontos de Corte Clínicos do BrCAST - EUCAST, válida a partir de 01-02-2019฀ Regras de Especialistas e Tabelas de Resistência Intrínseca. Determinação da CIM: (Microdiluição em caldo de acordo com a padronização ISO 20776-1) Meio de cultura: Caldo Mueller-Hinton Inóculo: 5 x 10 5 UFC/mL Incubação: Painéis selados, ar ambiente, 35±1ºC, 18±2h Leitura: Para Sulfametoxazol-trimetoprim, deve-se ler a CIM da menor concentração antimicrobiana que inibiu aproximadamente 80% do crescimento bacteriano comparado ao poço controle. Controle de qualidade: Escherichia coli ATCC 25922 Sulfametoxazol-trimetoprima é o único agente atualmente para qual existem pontos de corte do EUCAST. b) c)
  • 19.
    17 Acinetobacter spp. Disco-difusão (métodode disco-difusão padronizado pelo EUCAST) Meio de cultura: Ágar Mueller-Hinton Inóculo: McFarland 0,5 Incubação: Ar ambiente, 35±1ºC, 18±2h Leitura: Salvo orientação contrária, ler as bordas dos halos de inibição do ponto em que não há mais crescimento, visto da parte posterior da placa, contra um fundo escuro e sob luz refletida. Controle de qualidade: Pseudomonas aeruginosa ATCC 27853. Para agentes não avaliados por tal cepa, ver tabela de CQ do BrCAST- EUCAST. S ч I R > AIT S ш I R < AIT Ampicilina-sulbactam EI EI EI EI EI EI 1. O teste de sensibilidade de Acinetobacter spp. às penicilinas não é confiável. Na maioria dos casos, Acinetobacter spp. são resistentes às penicilinas. Piperacilina-tazobactam EI EI EI EI EI EI S ч I R > AIT S ш I R < AIT Cefepima - - - - - - Ceftazidima - - - - - - S ч I R > AIT S ш I R < AIT Doripenem1 1. Os pontos de corte são baseados em terapia com altas doses, ver tabela de dosagens. Ertapenem - - - - - - Imipenem 2 4 >4 10 24 21-23 <21 Meropenem 2 4-8 >8 10 21 15-20 <15 Meropenem-vaborbactam EI EI EI EI EI EI S ч I R > AIT S ш I R < AIT Aztreonam - - - - - - S ч I R > AIT S ш I R < AIT Ciprofloxacino 0,06 0,12-1 >1 5 50 21-49 <21 1. Os pontos de corte são baseados em terapia com altas doses, ver tabela de dosagens. Levofloxacino 0,5 1 >1 5 23 20-22 <20 Moxifloxacino - - - - - - Norfloxacino (apenas ITU não complicada) - - - - - - Ofloxacino - - - - - - Conteúdo do disco (µg) Conteúdo do disco (µg) Notas Números para comentários gerais e/ou pontos de corte para CIM. Letras para comentários sobre disco-difusão. Regras de Especialistas e Tabelas de Resistência Intrínseca. Determinação da CIM: (Microdiluição em caldo de acordo com a padronização ISO 20776-1) Meio de cultura: Caldo Mueller-Hinton Inóculo: 5 x 105 UFC/mL Incubação: Painéis selados, ar ambiente, 35±1ºC, 18±2h Leitura: Salvo orientação contrária, ler a CIM da menor concentração antimicrobiana que visualmente inibe por completo o crescimento bacteriano. Controle de qualidade: Pseudomonas aeruginosa ATCC 27853. Para agentes não avaliados por tal cepa, ver tabela de CQ do BrCAST-EUCAST. Penicilinas 1 Conteúdo do disco (µg) Cefalosporinas Carbapenêmicos Tabela de Pontos de Corte Clínicos do BrCAST - EUCAST, ฀ válida a partir de 01-02-2019 Notas Números para comentários gerais e/ou pontos de corte para CIM. Letras para comentários sobre disco-difusão. Notas Números para comentários gerais e/ou pontos de corte para CIM. Letras para comentários sobre disco-difusão. Notas Números para comentários gerais e/ou pontos de corte para CIM. Letras para comentários sobre disco-difusão. Notas Números para comentários gerais e/ou pontos de corte para CIM. Letras para comentários sobre disco-difusão. Monobactâmicos Este gênero inclui várias espécies. As espécies de Acinetobacter mais frequentemente encontradas em amostras clínicas são aquelas incluídas no grupo A. baumannii , que inclui A. baumannii , A. nosocomialis , A. pittii , A. dijkshoorniae e A. seifertii . Outras espécies são A. haemolyticus , A. junii , A. lwoffii , A. ursingii e A. variabilis . Fluoroquinolonas Ponto de corte p/ CIM (mg/L) Ponto de corte p/ diâmetro do halo (mm) Ponto de corte p/ diâmetro do halo (mm) Ponto de corte p/ diâmetro do halo (mm) Conteúdo do disco (µg) Ponto de corte p/ CIM (mg/L) Ponto de corte p/ diâmetro do halo (mm) Ponto de corte p/ CIM (mg/L) Ponto de corte p/ CIM (mg/L) Ponto de corte p/ CIM (mg/L) Conteúdo do disco (µg) Ponto de corte p/ diâmetro do halo (mm)
  • 20.
    18 Acinetobacter spp. Tabelade Pontos de Corte Clínicos do BrCAST - EUCAST, ฀ válida a partir de 01-02-2019 S ч I R > AIT S ш I R < AIT AmicacinaAE 8 16 >16 30 19 17-18 <17 GentamicinaAE 4 - >4 10 17 - <17 NetilmicinaAE 4 - >4 10 16 - <16 TobramicinaAE 4 - >4 10 17 - <17 S ч I R > AIT S ш I R < AIT Doxiciclina - - - - - - Minociclina EI EI EI EI EI EI Tetraciclina - - - - - - Tigeciclina EI EI EI EI EI EI S ч I R > AIT S ш I R < AIT Colistina1 2 - >2 NotaA NotaA NotaA 1. A determinação da CIM de colistina deve ser realizada com o método de microdiluição em caldo. O controle de qualidade da colistina deve ser realizado com cepa controle sensível (E. coli ATCC 25922 ou P. aeruginosa ATCC 27853) e cepa controle resistente à colistina de E. coli NCTC 13846 (mcr-1 positivo). Polimixina B2 2 - >2 NotaA NotaA NotaA 2. Pontos de corte preconizados pelo BrCAST. 3. Sulfametoxazol-trimetoprima na proporção 19:1. Os pontos de corte estão expressos como concentração de trimetoprima. A. Utilizar um método de determinação da CIM (somente microdiluição em caldo). Regras de Especialistas e Tabelas de Resistência Intrínseca. Notas Números para comentários gerais e/ou pontos de corte para CIM. Letras para comentários sobre disco-difusão. 14 11-13 <11 Ponto de corte p/ diâmetro do halo (mm) Ponto de corte p/ diâmetro do halo (mm) Ponto de corte p/ diâmetro do halo (mm) Notas Números para comentários gerais e/ou pontos de corte para CIM. Letras para comentários sobre disco-difusão. Notas Números para comentários gerais e/ou pontos de corte para CIM. Letras para comentários sobre disco-difusão. 1. Os pontos de corte para aminoglicosídeos são baseados em altas doses de aminoglicosídeos administradas em dose única diária. Usualmente, aminoglicosídeos são administrados em combinação com agentes β-lactâmicos. Sulfametoxazol-trimetoprima3 2 4 >4 23,75-1,25 Agentes diversos Tetraciclinas Conteúdo do disco (µg) Conteúdo do disco (µg) Conteúdo do disco (µg) Ponto de corte p/ CIM (mg/L) Ponto de corte p/ CIM (mg/L) Ponto de corte p/ CIM (mg/L) Aminoglicosídeos 1
  • 21.
    19 Staphylococcus spp. Disco-difusão (métodode disco-difusão padronizado pelo EUCAST) Meio de cultura: ágar Mueller-Hinton Inóculo: McFarland 0,5 Incubação: Ar ambiente, 35±1ºC, 18±2h Leitura: Salvo orientação contrária, ler as bordas dos halos de inibição do ponto em que não há mais crescimento, visto da parte posterior da placa, contra um fundo escuro e sob luz refletida (exceto para penicilina e linezolida, veja abaixo). Controle de qualidade: Staphylococcus aureus ATCC 29213. Para agentes não avaliados por tal cepa, ver tabela de CQ do BrCAST- EUCAST. S ч I R > AIT S ш I R < AIT Benzilpenicilina, S. aureus 0,125 1 - >0,125 1 1 U 26 A,B - <26 A,B Benzilpenicilina, S. lugdunensis 0,125 1 - >0,125 1 1 U 26 A - <26 A Benzilpenicilina, estafilococos coagulase negativo - 1,2 - - 1,2 Nota A,C Nota A,C Nota A,C Ampicilina, S. saprophyticus Nota 1,3 Nota 1,3 Nota 1,3 2 18 A,D - <18 A,D Ampicilina-sulbactam Nota 1,3 Nota 1,3 Nota 1,3 Nota A,D Nota A,D Nota A,D Amoxicilina Nota 1,3 Nota 1,3 Nota 1,3 Nota A,D Nota A,D Nota A,D Amoxicilina-ácido clavulânico Nota 1,3 Nota 1,3 Nota 1,3 Nota A,D Nota A,D Nota A,D Piperacilina-tazobactam Nota 1,3 Nota 1,3 Nota 1,3 Nota A,D Nota A,D Nota A,D Fenoximetilpenicilina, S. aureus Nota 1 Nota 1 Nota 1 Nota A Nota A Nota A Fenoximetilpenicilina, estafilococos coagulase negativo - 1,2 - 1,2 - 1,2 Nota A Nota A Nota A Oxacilina 4 Nota 1,4 Nota 1,4 Nota 1,4 Nota A,C Nota A,C Nota A,C B. Para detecção de isolados de S. aureus produtores de penicilinase, o método de disco-difusão é mais confiável do que a determinação da CIM, desde que o diâmetro do halo seja medido E as bordas do halo sejam cuidadosamente avaliadas (ver figuras abaixo). Examine as bordas do halo de inibição com luz transmitida (placa contra a luz). Se o diâmetro do halo de inibição for <26mm, relatar resistente. Se o diâmetro for >26mm E as bordas do halo bem definidas, relatar resistente. Se as bordas do halo forem mal definidas (difusas) reportar sensível, mas se duvidoso relatar resistente. Testes de β-lactamase com cefalosporina cromogênica não são confiáveis para detectar penicilinase estafilocócica. C. Para a triagem de S. pseudintermedius resistente à meticilina, ver Nota C em cefalosporinas. Notas Números para comentários gerais e/ou pontos de corte para CIM. Letras para comentários sobre disco-difusão. Tabela de Pontos de Corte Clínicos do BrCAST - EUCAST, ฀ válida a partir de 01-02-2019 Regras de Especialistas e Tabelas de Resistência Intrínseca. 1/A. Estafilococos são, em sua maioria, produtores de penicilinase, sendo resistentes à benzilpenicilina, fenoximetilpenicilina, ampicilina, amoxicilina, piperacilina e ticarcilina. Staphylococcus sensíveis à penicilina e cefoxitina podem ser reportados como sensíveis aos antimicrobianos supracitados. No entanto, a eficácia de formulações orais, particularmente fenoximetilpenicilina, é incerta. Isolados resistentes à penicilina, mas sensíveis à cefoxitina, são sensíveis às combinações com inibidor de β-lactamase e isoxazolilpenicilinas (oxacilina, cloxacilina, dicloxacilina e flucloxacilina), nafcilina e várias cefalosporinas. Com exceção de ceftarolina e ceftobiprole, isolados resistentes à cefoxitina são resistentes a todos os β-lactâmicos. 2/C. Nenhum método existente atualmente pode detectar produção de penicilinase de modo confiável em estafilococos coagulase negativo. 3/D. S. saprophyticus sensíveis à ampicilina são gene mec A-negativo e sensíveis à ampicilina, amoxicilina e piperacilina (com ou sem inibidor de β-lactamase). 4. S. aureus, S. lugdunensis e S. saprophyticus com CIM de oxacilina >2 mg/L são, em sua maioria, resistentes à meticilina pela presença do gene mecA ou gene mecC . Ocasionalmente, valores de CIM de oxacilina são altos em S. aureus na ausência de resistência mediada por gene mec. Essas cepas são conhecidas como BORSA (Borderline Oxacillin-Resistant S. aureus ). O EUCAST não recomenda uma triagem sistemática para BORSA. Para estafilococos coagulase negativo, exceto S. saprophyticus e S. lugdunensis , a CIM de oxacilina em cepas resistentes à meticilina é >0,25 mg/L. Determinação da CIM: (Microdiluição em caldo de acordo com a padronização ISO 20776-1, exceto para fosfomicina, para qual diluição em ágar é usada) Meio de cultura: Caldo Mueller-Hinton Inóculo: 5 x 10 5 UFC/mL Incubação: Painéis selados, ar ambiente, 35±1ºC, 18±2h Leitura: Salvo orientação contrária, ler a CIM como a menor concentração do antimicrobiano que visualmente inibe por completo o crescimento bacteriano. Controle de qualidade: Staphylococcus aureus ATCC 29213. Para agentes não avaliados por tal cepa, ver tabela de CQ do BrCAST-EUCAST. Ponto de corte p/ diâmetro do halo (mm) Penicilinas1 Ponto de corte p/ CIM (mg/L) Conteúdo do disco (µg) Este gênero tem sido tradicionalmente dividido em S. aureus , agora considerado como um complexo [S. aureus, S. argenteus (encontrado em infecções humanas) e S. schweitzeri (encontrado até agora em animais)], outras espécies coagulase positivo não pertencentes ao complexo S. aureus : S. intermedius , S. pseudintermedius , S. schleiferi subespécie coagulans e, por último, estafilococos coagulase negativo. As espécies coagulase negativo mais frequentemente detectadas em amostras clínicas são S. capitis, S. cohnii, S. epidermidis, S. haemolyticus, S. hominis, S. hyicus, S. lugdunensis, S. saprophyticus, S. schleiferi subespécie schleiferi, S. sciuri, S. simulans, S. warneri e S. xylosus . Salvo indicação contrária, os pontos de corte aplicam-se a todos os membros do gênero Staphylococcus , exceto quanto ao fato de que pontos de corte para outras espécies além de S. aureus no complexo S. aureus não foram validados, e que S. saccharolyticus deve ser testado como um anaeróbio gram-positivo.
  • 22.
    20 Staphylococcus spp. S чI R > AIT S ш I R < AIT Cefaclor AE Nota 1 Nota 1 Nota 1 Nota A Nota A Nota A Cefadroxila Nota 1 Nota 1 Nota 1 Nota A Nota A Nota A Cefalexina Nota 1 Nota 1 Nota1 Nota A NotaA NotaA Cefazolina Nota 1 Nota 1 Nota 1 Nota A Nota A Nota A 2. Para dosagens, ver tabela de dosagens. Cefepima Nota 1 Nota 1 Nota 1 Nota A Nota A Nota A Cefoxitina (triagem) S. aureus e estafilococos coagulase negativo exceto S. epidermidis Nota 3,4 Nota 3,4 Nota 3,4 30 22 A,B - <22 A,B Cefoxitina (triagem), S. epidermidis Nota 4 Nota 4 Nota 4 30 25 A,B - <25 A,B 25-27 3. Para estafilococos que não sejam S. aureus , S. lugdunensis ou S. saprohyticus , a CIM de cefoxitina é um pior preditor de resistência à meticilina (oxacilina) do que o teste de disco-difusão. Cefoxitina (triagem), S. pseudintermedius NA NA NA 30 Nota C Nota C Nota C 4/D. Isolados sensíveis à meticilina (oxacilina) podem ser reportados como sensíveis à ceftarolina sem testes adicionais. Ceftarolina, S. aureus (Outras indicações que não pneumonia) 1 4 2 >2 4,5 1 5 20 D 17-19 <17 D,E 19-20 5/E. Isolados resistentes são raros. B. Caso um estafilococo coagulase negativo não seja identificado em nível de espécie, utilizar pontos de corte para diâmetro de halo S≥ 25, R<25mm. C. Triagem com cefoxitina para S. pseudintermedius resistente à meticilina (oxacilina) tem menor valor preditivo para a presença do gene mecA do que em outros estafilococos. Usar o disco de oxacilina 1µg com pontos de corte para diâmetro do halo S 20, R<20 mm para triagem de resistência à meticilina. S ч I R > AIT S ш I R < AIT Doripenem 1/A. A sensibilidade dos estafilococos aos carbapenêmicos é inferida a partir da sensibilidade à cefoxitina. Ertapenem Nota 1 Nota 1 Nota 1 Nota A Nota A Nota A Imipenem Nota 1 Nota 1 Nota 1 Nota A Nota A Nota A Meropenem Nota 1 Nota 1 Nota 1 Nota A Nota A Nota A Meropenem-vaborbactam Nota 1 Nota 1 Nota 1 Nota A Nota A Nota A S ч I R > AIT S ш I R < AIT Ciprofloxacino AE , S. aureus 1 - >1 5 21 A - <21 A 1. Os pontos de corte se referem a terapia com doses elevadas, ver tabela de dosagens. Ciprofloxacino AE , estafilococo coagulase negativo 1 - >1 5 24 A - <24 A A. O teste de disco-difusão com norfloxacino pode ser usado para triagem de resistência às fluoroquinolonas. Ver nota B. Levofloxacino, S. aureus 1 - >1 5 22 A - <22 A Levofloxacino, estafilococo coagulase negativo 1 - >1 5 24 A - <24 A Moxifloxacino, S. aureus 0,25 - >0,25 5 25 A - <25 A Moxifloxacino, estafilococo coagulase negativo 0,25 - >0,25 5 28 A - <28 A Norfloxacino (triagem) NA NA NA 10 17 B - Nota B Ofloxacino AE, S. aureus 1 - >1 5 20 A - <20 A Ofloxacino AE , estafilococo coagulase negativo 1 - >1 5 24 A - <24 A Conteúdo do disco (µg) 1 Fluoroquinolonas Conteúdo do disco (µg) Ponto de corte p/ CIM (mg/L) Ponto de corte p/ CIM (mg/L) >1 4 Carbapenêmicos1 Cefalosporinas1 - 1 4 Ceftarolina, S. aureus (Pneumonia) Notas Números para comentários gerais e/ou pontos de corte para CIM. Letras para comentários sobre disco-difusão. Notas Números para comentários gerais e/ou pontos de corte para CIM. Letras para comentários sobre disco-difusão. 1/A. A sensibilidade às cefalosporinas em estafilococos é inferida pela sensibilidade à cefoxitina, exceto para ceftazidima, ceftazidima- avibactam e ceftolozana-tazobactam, que não têm pontos de corte definidos e não devem ser utilizadas para tratamento de infecções estafilocócicas. Alguns S. aureus resistentes à meticilina (oxacilina) são sensíveis à ceftarolina, Ver Notas 4/D e 6/F. <20 D 2. S. aureus e S. lugdunensis com valores de CIM para cefoxitina >4 mg/L e S. saprophyticus com valores de CIM para cefoxitina >8 mg/L são resistentes à meticilina (oxacilina) principalmente devido à presença do gene mecA ou mecC . Testes de disco-difusão são confiáveis para predizer resistência à meticilina (oxacilina). Regras de Especialistas e Tabelas de Resistência Intrínseca. - 20 D 19-20 Ponto de corte p/ CIM (mg/L) Ponto de corte p/ diâmetro do halo (mm) 5 Conteúdo do disco (µg) Ponto de corte p/ diâmetro do halo (mm) Ponto de corte p/ diâmetro do halo (mm) Tabela de Pontos de Corte Clínicos do BrCAST - EUCAST, ฀ válida a partir de 01-02-2019 B. Isolados classificados como sensíveis ao norfloxacino podem ser reportados como sensíveis ao ciprofloxacino, levofloxacino, moxifloxacino e ofloxacino. Isolados classificados como não sensíveis ao norfloxacino devem ser testados individualmente para cada agente. Notas Números para comentários gerais e/ou pontos de corte para CIM. Letras para comentários sobre disco-difusão.
  • 23.
    21 Staphylococcus spp. S чI R > AIT S ш I R < AIT Amicacina 1 , S. aureus 8 16 >16 16 30 18 16-17 <16 15-19 1. Os pontos de corte para aminoglicosídeos são baseados em altas doses de aminoglicosídeos administradas em dose única diária. Amicacina 1 , estafilococos coagulase negativo 8 16 >16 30 22 19-21 <19 Gentamicina, S. aureus 1 - >1 10 18 - <18 Gentamicina, estafilococos coagulase negativo 1 - >1 10 22 - <22 Netilmicina, S. aureus 1 - >1 10 18 - <18 Netilmicina, estafilococos coagulase negativo 1 - >1 10 22 - <22 Tobramicina, S. aureus 1 - >1 10 18 - <18 Tobramicina, estafilococos coagulase negativo 1 - >1 10 22 - <22 S ч I R > AIT S ш I R < AIT Teicoplanina 2 , S. aureus 2 - >2 Nota A Nota A Nota A Teicoplanina, estafilococos coagulase negativo 4 - >4 Nota A Nota A Nota A Vancomicina 2 , S. aureus 2 - >2 Nota A Nota A Nota A 4 - >4 Nota A Nota A Nota A A. O método de disco-difusão não é confiável e não distingue isolados selvagens daqueles com resistência não mediada pelo gene vanA . Macrolídeos e lincosamidas S ч I R > AIT S ш I R < AIT Azitromicina 1 1 2 >2 1 Nota A Nota A Nota A 1/A. A eritromicina pode ser utilizada para determinar a sensibilidade à azitromicina, claritromicina e roxitromicina. Claritromicina 1 1 2 >2 1 Nota A Nota A Nota A Eritromicina 1 1 2 >2 1 15 21 A 18-20 <18 A Clindamicina 2 0,25 0,5 >0,5 2 22 B 19-21 <19 B B. Posicione os discos de eritromicina e clindamicina a uma distância de 12-20 mm (borda-borda) e observe a ocorrência de antagonismo (halo de inibição em forma de "D"). 2. A resistência induzível à clindamicina pode ser detectada pelo antagonismo da atividade da clindamicina por agente macrolídeo. Se antagonismo não for detectado, reportar como testado de acordo com os pontos de corte clínicos. Se detectado, reportar como resistente e considerar a inclusão do comentário: “A clindamicina ainda pode ser utilizada para tratamento de curta duração ou tratamento de infecções menos graves de pele e tecidos moles porque é improvável haver desenvolvimento de resistência plena durante tais tratamentos”. Notas Números para comentários gerais e/ou pontos de corte para CIM. Letras para comentários sobre disco-difusão. Ponto de corte p/ diâmetro do halo (mm) Ponto de corte p/ diâmetro do halo (mm) Ponto de corte p/ diâmetro do halo (mm) Glicopeptídeos1 Ponto de corte p/ CIM (mg/L) Ponto de corte p/ CIM (mg/L) Ponto de corte p/ CIM (mg/L) 1. A CIM de glicopeptídeos é dependente do método e deve ser determinada por microdiluição em caldo (referência ISO 20776). S. aureus com CIM de 2 mg/L para vancomicina estão no limite da distribuição da CIM do tipo selvagem e pode haver diminuição da resposta clínica. O ponto de corte (resistente) foi diminuído para 2 mg/L para evitar que isolados intermediários “GISA” sejam reportados, já que infecções graves por “GISA” não são tratáveis com doses altas de vancomicina ou teicoplanina. 2. Isolados não sensíveis são raros. A identificação e o teste de sensibilidade em isolados não sensíveis devem ser confirmados em centro de referência. 1. A resistência à amicacina é melhor determinada testando-se a kanamicina (CIM > 8 mg/L). O diâmetro do halo de inibição correspondente, para disco de kanamicina de 30 μg, é R < 18 mm para S. aureus e R < 22 mm para estafilococos coagulase negativo. Notas Números para comentários gerais e/ou pontos de corte para CIM. Letras para comentários sobre disco-difusão. Notas Números para comentários gerais e/ou pontos de corte para CIM. Letras para comentários sobre disco-difusão. Aminogicosídeos Conteúdo do disco (µg) Conteúdo do disco (µg) Conteúdo do disco (µg) Vancomicina 2 , estafilococos coagulase negativo Regras de Especialistas e Tabelas de Resistência Intrínseca. Tabela de Pontos de Corte Clínicos do BrCAST - EUCAST, ฀ válida a partir de 01-02-2019
  • 24.
    22 Staphylococcus spp. S чI R > AIT S ш I R < AIT Doxiciclina 1 1 2 >2 1 Nota A Nota A Nota A Eravaciclina, S. aureus 0,25 - >0,25 EP EP EP EP Minociclina 0.5 1 1 >1 1 30 23 A 20-22 <20 A Tetraciclina 1 1 2 >2 1 30 22 A 19-21 <19 A Tigeciclina 2 0,5 3 - >0,5 3 15 18 - <18 S ч I R > AIT S ш I R < AIT Linezolida 4 - >4 10 21 A - <21 A Tedizolida 0,5 1 - >0,5 NotaB Nota B Nota B S ч I R > AIT S ш I R < AIT Ácido fusídico 1 - >1 10 24 - <24 Cloranfenicol 8 - >8 30 18 - <18 Daptomicina 1 1 2 - >1 2 Nota A Nota A Nota A Fosfomicina IV 32 3 - >32 3 Nota A Nota A Nota A Fosfomicina oral - - - - - - Nitrofurantoína (apenas infecção do trato urinário não complicada), S. saprophyticus 64 - >64 100 13 - <13 Rifampicina 0,06 0,12-0,5 >0,5 5 26 23-25 <23 Sulfametoxazol-trimetoprima 4 2 4 >4 23,75-1,25 17 14-16 <14 Exemplos de halos de inibição para Staphylococcus aureus com benzilpenicilina. a) Bordas do halo mal definidas (irregulares) e diâmetro do halo de inibição ≥ 26 mm. Reportar como sensível. b) Bordas do halo bem definidas e diâmetro do halo de inibição ≥ 26 mm. Reportar como resistente. Notas Números para comentários gerais e/ou pontos de corte para CIM. Letras para comentários sobre disco-difusão. 1. Isolados não sensíveis são raros ou ainda não foram reportados. A identificação e o teste de sensibilidade em isolados não sensíveis devem ser confirmados em centro de referência. Notas Números para comentários gerais e/ou pontos de corte para CIM. Letras para comentários sobre disco-difusão. Notas Números para comentários gerais e/ou pontos de corte para CIM. Letras para comentários sobre disco-difusão. 2.Para determinação da CIM de daptomicina o meio deve ser suplementado com Ca ++ para uma concentração final de 50 mg/L para o método da microdiluição em caldo. A diluição em ágar não está validada. Seguir as instruções do fabricante caso utilize um sistema comercial. 3. A diluição em ágar é o método de referência para testar fosfomicina. A CIM para fosfomicina deve ser determinada na presença de glicose-6-fosfato (25 mg por litro de ágar MH). Seguir as instruções do fabricante caso utilize um sistema comercial. 4. Sulfametoxazol-trimetoprima na proporção 19:1. Os pontos de corte de CIM estão expressos como concentração de trimetoprima. A. Utilizar método de determinação da CIM. Ponto de corte p/ diâmetro do halo (mm) 1/A. Isolados sensíveis à tetraciclina também são sensíveis à doxiciclina e à minociclina, mas alguns isolados resistentes à tetraciclina podem ser sensíveis à minociclina e/ou à doxiciclina. Se necessário, deve ser utilizado um método de CIM para testar a sensibilidade à doxiciclina em isolados resistentes à tetraciclina. 2. Isolados não sensíveis são raros ou ainda não foram reportados. A identificação e o teste de sensibilidade em isolados não sensíveis devem ser confirmados em centro de referência. 3. Para determinação da CIM de tigeciclina por microdiluição, o meio deve ser preparado fresco no dia do uso. 1. Isolados sensíveis à linezolida podem ser considerados sensíveis à tedizolida. A. Examine as margens do halo de inibição com luz transmitida (placa contra a luz). B. Isolados sensíveis à linezolida podem ser considerados sensíveis à tedizolida. Para isolados resistentes à linezolida, realizar um método de determinação da CIM. Ponto de corte p/ diâmetro do halo (mm) Ponto de corte p/ diâmetro do halo (mm) Agentes Diversos Regras de Especialistas e Tabelas de Resistência Intrínseca. Tabela de Pontos de Corte Clínicos do BrCAST - EUCAST, ฀ válida a partir de 01-02-2019 Conteúdo do disco (µg) Tetraciclinas Conteúdo do disco (µg) Oxazolidinonas Conteúdo do disco (µg) Ponto de corte p/ CIM (mg/L) Ponto de corte p/ CIM (mg/L) Ponto de corte p/ CIM (mg/L)
  • 25.
    23 Enterococcus spp. Disco-difusão (métodode disco-difusão padronizado pelo EUCAST) Meio de cultura: ágar Mueller-Hinton Inóculo: McFarland 0,5 Incubação: Ar ambiente, 35±1ºC, 18±2h (para glicopeptídeos ler em 24h) Leitura: Salvo orientação contrária, ler as bordas dos halos de inibição do ponto em que não há mais crescimento, visto da parte posterior da placa, contra um fundo escuro e sob luz refletida (exceto para glicopeptídeos - ver abaixo). Controle de qualidade: Enterococcus faecalis ATCC 29212. Para agentes não avaliados por tal cepa e para o controle do componente inibidor dos discos de combinação betalactâmico-inibidor de betalactamase, ver tabela de CQ do BrCAST-EUCAST. S ч I R > AIT S ш I R < AIT Benzilpenicilina - - - - - - Ampicilina 4 8 >8 2 2 10 8-9 <8 2 Ampicilina-sulbactam 3 4 4 8 >8 4 Nota A Nota A Nota A Amoxicilina 3 4 8 >8 Nota A Nota A Nota A Amoxicilina-ácido clavulânico3 4 5 8 >8 5 Nota A Nota A Nota A Piperacilina-tazobactam 3 Nota3 Nota3 Nota3 NotaA NotaA NotaA S ч I R > AIT S ш I R < AIT Doripenem Ertapenem - - - - - - Imipenem 4 8 >8 10 21 18-20 <18 Meropenem - - - - - - Meropenem-vaborbactam - - - - - - S ч I R > AIT S ш I R < AIT Ciprofloxacino, apenas em infecção do trato urinário (ITU) não complicada 4 - >4 5 15 A - <15 A A. O teste de disco-difusão com norfloxacino pode ser utilizado como triagem para resistência às fluoroquinolonas. Ver Nota B. Levofloxacino (apenas ITU não complicada) 4 - >4 5 15 A - <15 A B. A sensibilidade ao ciprofloxacino e ao levofloxacino pode ser inferida a partir da sensibilidade ao norfloxacino. Moxifloxacino - - - - - - Norfloxacino (triagem) NA NA NA 10 12 B - <12 B Ofloxacino - - - - - - Conteúdo do disco (µg) Ponto de corte p/ diâmetro do halo (mm) Fluoroquinolonas Conteúdo do disco (µg) Em endocardites, consultar diretrizes nacionais e internacionais sobre os pontos de corte para Enterococcus spp. Determinação da CIM: (Microdiluição em caldo de acordo com a padronização ISO 20776-1) Meio de cultura: Caldo Mueller-Hinton Inóculo: 5 x 105 UFC/mL Incubação: Painéis selados, ar ambiente, 35±1ºC, 18±2h Leitura: Salvo orientação contrária, ler a CIM como a menor concentração do antimicrobiano que visualmente inibe por completo o crescimento bacteriano. Controle de qualidade: Enterococcus faecalis ATCC 29212. Para agentes não avaliados por tal cepa e para o controle do componente inibidor da combinação betalactâmico-inibidor de betalactamase, ver tabela de CQ do BrCAST-EUCAST. 1. E. faecium resistente às penicilinas podem ser considerados resistentes a todos os agentes β-lactâmicos incluindo os carbapenêmicos. 2. Resistência à ampicilina em E. faecalis é rara e deve ser confirmada com um método de determinação da CIM. 3/A. A sensibilidade à ampicilina, amoxicilina e piperacilina com e sem inibidores de β-lactamase pode ser inferida a partir da ampicilina. 4. Para fins de teste de sensibilidade a concentração de sulbactam é fixada em 4 mg/L. 5. Para fins de teste de sensibilidade a concentração de ácido clavulânico é fixada em 2 mg/L. Carbapenêmicos Conteúdo do disco (µg) Ponto de corte p/ CIM (mg/L) Ponto de corte p/ diâmetro do halo (mm) Ponto de corte p/ diâmetro do halo (mm) Este gênero inclui várias espécies. Os enterococos mais frequentes recuperados em amostras clínicas são E. faecalis , E. faecium , E. avium , E. casseliflavus , E. durans , E. gallinarum , E. hirae , E. mundtii e E. raffinosus . Salvo indicação contrária, os pontos de corte são aplicáveis a todos os membros do gênero Enterococcus . Penicilinas1 Notas Números para comentários gerais e/ou pontos de corte para CIM. Letras para comentários sobre disco-difusão. Ponto de corte p/ CIM (mg/L) Notas Números para comentários gerais e/ou pontos de corte para CIM. Letras para comentários sobre disco-difusão. Ponto de corte p/ CIM (mg/L) Tabela de Pontos de Corte Clínicos do BrCAST - EUCAST, ฀ válida a partir de 01-02-2019 Regras de Especialistas e Tabelas de Resistência Intrínseca. Notas Números para comentários gerais e/ou pontos de corte para CIM. Letras para comentários sobre disco-difusão.
  • 26.
    24 Enterococcus spp. S чI R > AIT S ш I R < AIT Amicacina Nota 2 Nota 2 Nota 2 Nota A Nota A Nota A Gentamicina (para triagem de alto nível de resistência aos aminoglicosídeos) Nota 2 Nota2 Nota2 30 NotaA NotaA NotaA 2/A. A gentamicina pode ser utilizada para triagem de resistência de alto nível aos aminoglicosídeos. Netilmicina Nota 2 Nota 2 Nota 2 Nota A Nota A Nota A Estreptomicina (para triagem de alto nível de resistência aos aminoglicosídeos) Nota 3 Nota3 Nota3 300 NotaB NotaB NotaB Tobramicina Nota 2 Nota 2 Nota 2 Nota A Nota A Nota A S ч I R > AIT S ш I R < AIT Teicoplanina 2 - >2 30 16 - <16 B. Resultados duvidosos devem ser confirmados por determinação da CIM e/ou detecção dos genes van por PCR. S ч I R > AIT S ш I R < AIT Doxiciclina - - - - - - Eravaciclina 0,125 - >0,125 EP EP EP EP Minociclina - - - - - - 2.Para determinação da CIM de tigeciclina por microdiluição, o meio deve ser preparado fresco, no dia do uso. Tetraciclina - - - - - - Tigeciclina 1 0,25 2 - >0,252 15 18 - <18 S ч I R > AIT S ш I R < AIT Linezolida 4 - >4 10 19 - <19 Tetraciclinas Ponto de corte p/ CIM (mg/L) Conteúdo do disco (µg) Oxazolidinonas Conteúdo do disco (µg) Notas Números para comentários gerais e/ou pontos de corte para CIM. Letras para comentários sobre disco-difusão. Notas Números para comentários gerais e/ou pontos de corte para CIM. Letras para comentários sobre disco-difusão. Ponto de corte p/ diâmetro do halo (mm) 1. Isolados não sensíveis são raros ou ainda não foram reportados. A identificação e o teste de sensibilidade em isolados não sensíveis devem ser confirmados em centro de referência. Ponto de corte p/ diâmetro do halo (mm) Conteúdo do disco (µg) Ponto de corte p/ CIM (mg/L) 4 - >4 Ponto de corte p/ diâmetro do halo (mm) Notas Números para comentários gerais e/ou pontos de corte para CIM. Letras para comentários sobre disco-difusão. Vancomicina A. Enterococos sensíveis à vancomicina apresentam halos de inibição com bordas bem definidas e não apresentam colônias dentro do halo de inibição. Examinar as bordas dos halos de inibição com luz transmitida (placa erguida contra a luz). Suspeitar de resistência quando as bordas forem mal definidas (irregulares ou difusas) ou quando houver crescimento de colônias dentro do halo de inibição, mesmo que o diâmetro do halo seja ≥ 12 mm (ver figuras abaixo). Os isolados não podem ser reportados como sensíveis antes de 24h de incubação. (Ver nota B). Aminoglicosídeos1 5 12 A,B - <12 A,B Ponto de corte p/ CIM (mg/L) Tabela de Pontos de Corte Clínicos do BrCAST - EUCAST, ฀ válida a partir de 01-02-2019 Regras de Especialistas e Tabelas de Resistência Intrínseca. Glicopeptídeos Conteúdo do disco (µg) Notas Números para comentários gerais e/ou pontos de corte para CIM. Letras para comentários sobre disco-difusão. Ponto de corte p/ CIM (mg/L) Ponto de corte p/ diâmetro do halo (mm) 1. Enterococos são intrinsecamente resistentes aos aminoglicosídeos e a monoterapia com aminoglicosídeos não é efetiva. É provável que ocorra sinergismo entre aminoglicosídeos e penicilinas ou glicopeptídeos contra enterococos sem resistência adquirida de alto nível. Os testes de sensibilidade com aminoglicosídeos visam distinguir entre resistência intrínseca e resistência adquirida de alto nível. 3/B. Isolados com alto nível de resistência à gentamicina podem não apresentar alto nível de resistência à estreptomicina. Teste Negativo: Isolados com CIM para estreptomicina ≤512 mg/L ou com halo de inibição ≥14 mm. O isolado tem perfil selvagem para estreptomicina e apresenta apenas resistência intrínseca de baixo nível. É provável o sinergismo com penicilinas ou glicopeptídeos se o isolado for sensível à penicilina ou glicopeptídeo. Teste Positivo: Isolados com CIM para estreptomicina >512 mg/L ou com halo de inibição <14 mm. O isolado apresenta resistência de alto nível de estreptomicina. Não ocorrerá sinergismo com penicilinas ou glicopeptídeos. Teste negativo: Isolados com CIM de gentamicina ≤128 mg/L ou com halo de inibição ≥8 mm. O isolado tem perfil selvagem para gentamicina e apresenta apenas resistência intrínseca de baixo nível. Para outros aminoglicosídeos isso pode não ser o caso. É provável o sinergismo com penicilinas ou glicopeptídeos se o isolado for sensível à penicilina ou a glicopeptídeo. Teste Positivo: Isolados com CIM de gentamicina >128 mg/L ou com halo de inibição <8 mm. O isolado apresenta resistência de alto nível à gentamicina e aos outros aminoglicosídeos, exceto à estreptomicina, a qual deve ser testada separadamente caso indicado (ver nota 3/B). Não ocorrerá sinergismo com penicilinas ou glicopeptídeos.
  • 27.
    25 Enterococcus spp. S чI R > AIT S ш I R < AIT Daptomicina1 EI EI EI EI EI EI 1. Para mais informações veja http://www.eucast.org/guidance_documents/. Fosfomicina IV - - - - - - Fosfomicina oral - - - - - - Nitrofurantoína (apenas ITU não complicada), E. faecalis 64 - >64 100 15 - <15 Sulfametoxazol-Trimetoprima3 Nota2 Nota2 Nota2 23,75-1,25 NotaA NotaA NotaA B. O ponto de corte de resistência é confiável para categorizar os isolados, mas a sensibilidade (S ou I) deve ser avaliada pela determinação da concentração inibitória mínima (CIM). Exemplos de halos de inibição de vancomicina para Enterococcus spp. a) Bordas do halo regulares (bem definidas) e diâmetro do halo ≥ 12 mm. Reportar como sensível. b-d) Bordas irregulares (difusas ou mal definidas) ou presença de colônias dentro do halo de inibição. Realizar teste confirmatório por PCR para genes van ou reporte como resistente mesmo se o diâmetro da halo for ≥ 12 mm. Notas Números para comentários gerais e/ou pontos de corte para CIM. Letras para comentários sobre disco-difusão. Agentes diversos Conteúdo do disco (µg) Ponto de corte p/ diâmetro do halo (mm) Ponto de corte p/ CIM (mg/L) 2/A. A atividade do sulfametoxazol-trimetoprim contra enterococos é incerta, não sendo possível prever o desfecho clínico. O ECOFF para categorizar os isolados como selvagem ou não-selvagem para E. faecalis e E. faecium é de 1 mg/L, com um ECOFF de diâmetro de halo de 23 mm para sulfametoxazol-trimetoprima. 3. Sulfametoxazol-trimetoprima na proporção 19:1. Os pontos de corte de CIM são expressos como concentração de trimetoprima. Regras de Especialistas e Tabelas de Resistência Intrínseca. Tabela de Pontos de Corte Clínicos do BrCAST - EUCAST, ฀ válida a partir de 01-02-2019 a) c) d) b)
  • 28.
    26 Streptococcus dos gruposA, B, C e G Tabela de Pontos de Corte Clínicos do BrCAST - EUCAST, ฀ válida a partir de 01-02-2019 Disco-difusão (método de disco-difusão padronizado pelo EUCAST) Meio de cultura: Ágar Mueller-Hinton + 5% sangue desfibrinado de cavalo e 20 mg/L de β-NAD (MH-F) Inóculo: McFarland 0,5 Incubação: CO2 a 5%, 35±1ºC, 18±2h Leitura: Salvo orientação contrária, ler as bordas dos halos de inibição do ponto em que não há mais crescimento, visto da parte anterior da placa, com a tampa removida e luz refletida. Controle da Qualidade: Streptococcus pneumoniae ATCC 49619. Para agentes não avaliados por tal cepa, ver tabela de CQ do BrCAST- EUCAST. S ч I R > AIT S ш I R < AIT Benzilpenicilina 0,25 2 - >0,25 2 1 U 18 - <18 1/A. A sensibilidade dos estreptococos dos grupos A, B, C e G às penicilinas é inferida a partir da sensibilidade à benzilpenicilina, com exceção da fenoximetilpenicilina e isoxazolilpenicilinas para estreptococos do grupo B. Ampicilina Nota 1 Nota 1 Nota 1 Nota A Nota A Nota A 2. Isolados não sensíveis são raros ou ainda não foram reportados. A identificação e o teste de sensibilidade em isolados não sensíveis devem ser confirmados em centro de referência. Ampicilina-sulbactam 3 Nota 1 Nota 1 Nota 1 Nota A Nota A Nota A 3. Estreptococos dos grupos A, B, C e G não produzem β-lactamase. A adição de um inibidor de β-lactamase não agrega valor clínico. Amoxicilina Nota 1 Nota 1 Nota 1 Nota A Nota A Nota A Amoxicilina-ácido clavulânico 3 Nota 1 Nota 1 Nota 1 Nota A Nota A Nota A Piperacilina-tazobactam 3 Nota 1 Nota 1 Nota 1 Nota A Nota A Nota A Fenoximetilpenicilina Nota 1 Nota 1 Nota 1 Nota A Nota A Nota A Oxacilina NA NA NA NA NA NA S ч I R > AIT S ш I R < AIT Cefaclor Nota 1 Nota 1 Nota 1 Nota A Nota A Nota A Cefadroxila Nota 1 Nota 1 Nota 1 Nota A Nota A Nota A Cefalexina Nota 1 Nota 1 Nota 1 Nota A Nota A Nota A Cefazolina Nota 1 Nota 1 Nota 1 Nota A Nota A Nota A Cefepima Nota 1 Nota 1 Nota 1 Nota A Nota A Nota A Cefotaxima Nota 1 Nota 1 Nota 1 Nota A Nota A Nota A Cefoxitina NA NA NA NA NA NA Ceftarolina Nota 1 Nota 1 Nota 1 Nota A Nota A Nota A Ceftazidima - - - - - - Ceftriaxona Nota 1 Nota 1 Nota 1 Nota A Nota A Nota A Cefuroxima iv Nota 1 Nota 1 Nota 1 Nota A Nota A Nota A Cefuroxima oral Nota 1 Nota 1 Nota 1 Nota A Nota A Nota A Notas Números para comentários gerais e/ou pontos de corte para CIM. Letras para comentários sobre disco-difusão. 1/A. A sensibilidade dos estreptococos dos grupos A, B, C e G às cefalosporinas é inferida a partir da sensibilidade à benzilpenicilina. Notas Números para comentários gerais e/ou pontos de corte para CIM. Letras para comentários sobre disco-difusão. Determinação da CIM: (Microdiluição em caldo de acordo com a padronização ISO 20776-1) Meio de cultura: Caldo Mueller-Hinton + 5% de sangue lisado de cavalo e 20 mg/L β-NAD (Meio MH-F) Inóculo: 5 x 10 5 UFC/mL Incubação: Painéis selados, ar ambiente, 35±1ºC, 18±2h Leitura: Salvo orientação contrária, ler a CIM como a menor concentração do antimicrobiano que visualmente inibe por completo o crescimento bacteriano. Controle de qualidade: Streptococcus pneumoniae ATCC 49619. Para agentes não avaliados por tal cepa, ver tabela de CQ do BrCAST-EUCAST. Cefalosporinas1 Conteúdo do disco (µg) Penicilinas1 Conteúdo do disco (µg) Regras de Especialistas e Tabelas de Resistência Intrínseca. Ponto de corte p/ CIM (mg/L) Ponto de corte p/ diâmetro do halo (mm) Ponto de corte p/ diâmetro do halo (mm) Ponto de corte p/ CIM (mg/L)
  • 29.
    27 Streptococcus dos gruposA, B, C e G Tabela de Pontos de Corte Clínicos do BrCAST - EUCAST, ฀ válida a partir de 01-02-2019 S ч I R > AIT S ш I R < AIT Doripenem Ertapenem Nota 1 Nota 1 Nota 1 Nota A Nota A Nota A Imipenem Nota 1 Nota 1 Nota 1 Nota A Nota A Nota A Meropenem Nota 1 Nota 1 Nota 1 Nota A Nota A Nota A Meropenem-vaborbactam 2 Nota 1 Nota 1 Nota 1 Nota A Nota A Nota A S ч I R > AIT S ш I R < AIT Ciprofloxacino - - - - - - Levofloxacino AE 2 - >2 5 17 A - <17 A Moxifloxacino 0,5 - >0,5 5 19 A - <19 A Norfloxacino (triagem) NA NA 10 12 B - Nota B Ofloxacino - - - - S ч I R > AIT S ш I R < AIT Teicoplanina 1 2 - >2 30 15 B - <15 B 1. Isolados não sensíveis são raros ou ainda não foram reportados. A identificação e o teste de sensibilidade em isolados não sensíveis devem ser confirmados em centro de referência. Vancomicina 1 2 - >2 5 13 B - <13 B B. Isolados não-selvagens não estavam disponíveis quando do desenvolvimento do método de disco-difusão. S ч I R > AIT S ш I R < AIT Azitromicina 0,25 1 0,5 >0,5 1 Nota A Nota A Nota A 1/A. Eritromicina pode ser utilizada para determinar a sensibilidade à azitromicina, à claritromicina e à roxitromicina. Claritromicina 0,25 1 0,5 >0,5 1 Nota A Nota A Nota A Eritromicina 0,25 1 0,5 >0,5 1 15 21 A 18-20 <18 A Clindamicina 2 0,5 - >0,5 2 17 B - <17 B Notas Números para comentários gerais e/ou pontos de corte para CIM. Letras para comentários sobre disco-difusão. Notas Números para comentários gerais e/ou pontos de corte para CIM. Letras para comentários sobre disco-difusão. A. O teste de disco-difusão com norfloxacino pode ser utilizado para triagem de resistência às fluoroquinolonas. Ver Nota B. 1/A. A sensibilidade dos estreptococos dos grupos A, B, C e G aos carbapenêmicos é inferida a partir da sensibilidade à benzilpenicilina. 2. Estreptococos dos grupos A, B, C e G não produzem β-lactamase. A adição de um inibidor de β-lactamase não agrega valor clínico. B. Isolados classificados como sensíveis ao norfloxacino podem ser reportados como sensíveis ao levofloxacino e moxifloxacino. Isolados classificados como não sensíveis devem ser testados individualmente frente a estes agentes. Notas Números para comentários gerais e/ou pontos de corte para CIM. Letras para comentários sobre disco-difusão. Notas Números para comentários gerais e/ou pontos de corte para CIM. Letras para comentários sobre disco-difusão. 2. A resistência induzível à clindamicina pode ser detectada pelo antagonismo da atividade da clindamicina por agente macrolídeo. Se antagonismo não for detectado, reportar como testado de acordo com os pontos de corte clínicos. Se detectado, reportar como resistente e considerar a inclusão do comentário: “A clindamicina ainda pode ser utilizada para tratamento de curta duração ou tratamento de infecções menos graves de pele e tecidos moles porque é improvável haver desenvolvimento de resistência plena durante tais tratamentos”. A importância clínica da resistência induzível à clindamicina em tratamento combinado nas infecções graves por Streptococcus pyogenes é desconhecida. B. Posicione os discos de eritromicina e clindamicina separados por 12-16 mm (borda a borda) e observe a ocorrência de antagonismo (halo de inibição em forma de D). Glicopeptídeos Conteúdo do disco (µg) Conteúdo do disco (µg) Macrolídeos e lincosamidas Ponto de corte p/ CIM (mg/L) Ponto de corte p/ CIM (mg/L) Conteúdo do disco (µg) Fluoroquinolonas Ponto de corte p/ diâmetro do halo (mm) Ponto de corte p/ diâmetro do halo (mm) Ponto de corte p/ CIM (mg/L) Ponto de corte p/ CIM (mg/L) Conteúdo do disco (µg) Carbapenêmicos1 Regras de Especialistas e Tabelas de Resistência Intrínseca. Ponto de corte p/ diâmetro do halo (mm) Ponto de corte p/ diâmetro do halo (mm)
  • 30.
    28 Streptococcus dos gruposA, B, C e G Tabela de Pontos de Corte Clínicos do BrCAST - EUCAST, ฀ válida a partir de 01-02-2019 S ч I R > AIT S ш I R < AIT Doxiciclina 1 1 2 >2 1 Nota A Nota A Nota A 1/A. Isolados sensíveis à tetraciclina também são sensíveis à doxiciclina e à minociclina, mas algumas cepas resistentes à tetraciclina podem ser sensíveis à minociclina e/ou à doxiciclina. Um método de determinação da CIM deve ser utilizado para testar a sensibilidade à doxiciclina em isolados resistentes à tetraciclina, caso necessário. Minociclina 0,5 1 1 >1 1 30 23 A 20-22 <20 A 2. Isolados não sensíveis são raros ou ainda não foram reportados. A identificação e o teste de sensibilidade em isolados não sensíveis devem ser confirmados em centro de referência. Tetraciclina 1 1 2 >2 1 30 23 A 20-22 <20 A 3. Para determinação da CIM de tigeciclina por microdiluição, o meio deve ser preparado fresco no dia do uso. Tigeciclina 2 0,125 3 - >0,125 3 15 19 - <19 S ч I R > AIT S ш I R < AIT Linezolida 1 2 4 >4 10 19 16-18 <16 1. Isolados não sensíveis são raros ou ainda não foram reportados. A identificação e o teste de sensibilidade em isolados não sensíveis devem ser confirmados em centro de referência. Tedizolida 1 0,5 2 - >0,5 Nota A Nota A Nota A 2. Isolados sensíveis à linezolida podem ser considerados sensíveis à tedizolida. A. Isolados sensíveis à linezolida podem ser considerados sensíveis à tedizolida. Para isolados resistentes à linezolida, realizar um método de determinação da CIM. S ч I R > AIT S ш I R < AIT Cloranfenicol 8 - >8 30 19 - <19 1. Isolados não sensíveis são raros ou ainda não foram reportados. A identificação e o teste de sensibilidade em isolados não sensíveis devem ser confirmados em centro de referência. Daptomicina 1 1 2 - >1 2 Nota A Nota A Nota A 2.Para determinação da CIM de daptomicina o meio deve ser suplementado com Ca ++ para uma concentração final de 50 mg/L para o método da microdiluição em caldo. A diluição em ágar não está validada. Siga as instruções do fabricante caso utilize um sistema comercial. Ácido fusídico IE IE IE IE IE IE 3. Sulfametoxazol-trimetoprima na proporção 19:1. Os pontos de corte de CIM estão expressos como concentração de trimetoprim. Nitrofurantoína (apenas em infecção do trato urinário não complicada), Streptococcus agalactiae (Estreptococo do grupo B) 64 - >64 100 15 - <15 A. Utilizar um método para determinar a CIM. Rifampicina 0,06 0,12-0,5 >0,5 5 21 15-20 <15 Sulfametoxazol-trimetoprima 3 1 2 >2 23,75-1,25 18 15-17 <15 Notas Números para comentários gerais e/ou pontos de corte para CIM. Letras para comentários sobre disco-difusão. Notas Números para comentários gerais e/ou pontos de corte para CIM. Letras para comentários sobre disco-difusão. Notas Números para comentários gerais e/ou pontos de corte para CIM. Letras para comentários sobre disco-difusão. Agentes Diversos Conteúdo do disco (µg) Tetraciclinas Conteúdo do disco (µg) Oxazolidinonas Conteúdo do disco (µg) Ponto de corte p/ CIM (mg/L) Ponto de corte p/ CIM (mg/L) Ponto de corte p/ CIM (mg/L) Regras de Especialistas e Tabelas de Resistência Intrínseca. Ponto de corte p/ diâmetro do halo (mm) Ponto de corte p/ diâmetro do halo (mm) Ponto de corte p/ diâmetro do halo (mm)
  • 31.
    29 Streptococcus pneumoniae Tabelade Pontos de Corte Clínicos do BrCAST - EUCAST, ฀ válida a partir de 01-02-2019 Disco-difusão (Métodos padronizados de disco-difusão EUCAST) Meio de cultura: Ágar Mueller-Hinton + sangue de cavalo desfibrinado 5% e 20 mg/L β-NAD (MH-F). Inóculo: McFarland 0,5 a partir do ágar sangue ou McFarland 1,0 a partir do ágar chocolate. Incubação: 5% CO2, 35±1ºC, 18±2h Leitura: Salvo orientação contrária, ler as bordas dos halos de inibição do ponto em que não há mais crescimento, visto da parte anterior da placa, com a tampa removida e luz refletida. Controle de Qualidade: Streptococcus pneumoniae ATCC 49619. Para agentes não avaliados por tal cepa, ver tabela de CQ do BrCAST- EUCAST. S ч I R > AIT S ш I R < AIT Benzilpenicilina (infecções não meníngeas) 3 0,06 1 0,12-2 >2 1 Nota A Nota A Nota A Benzilpenicilina (meningite) 0,06 1 - >0,06 1 Nota A Nota A Nota A Ampicilina 0,5 1 1-2 >2 1 2 22 A 16-21 <16 A Ampicilina-sulbactam Nota 1,4 Nota 1,4 Nota 1,4 Nota A,B Nota A,B Nota A,B Amoxicilina iv Nota 1,4 Nota 1,4 Nota 1,4 Nota A,B Nota A,B Nota A,B 2. Os pontos de corte para penicilinas que não sejam "benzilpenicilina (meningite)" se referem exclusivamente a isolados de infecções não- meníngeas. Amoxicilina oral 0,5 1 1 >1 1 Nota A,C Nota A,C Nota A,C 3. Para pontos de corte e dosagens em pneumonia, ver a tabela de dosagens. Amoxicilina-ácido clavulânico iv Nota 1,4 Nota 1,4 Nota 1,4 Nota A,B Nota A,B Nota A,B Amoxicilina-ácido clavulânico oral 0,5 1 1 >1 1 Nota A,C Nota A,C Nota A,C Piperacilina-tazobactam Nota 1,4 Nota 1,4 Nota 1,4 Nota A,B Nota A,B Nota A,B 4/B. Sensibilidade inferida a partir da ampicilina (CIM ou diâmetro de halo). Fenoximetilpenicilina Nota1 Nota 1 Nota 1 Nota A Nota A Nota A 5. Para fins de teste de sensibilidade, a concentração de ácido clavulânico é fixada em 2 mg/l. Oxacilina (triagem) NA NA NA 1 20 D - Nota D C. Determinar a CIM ou inferir sensibilidade a partir do teste de disco-difusão com ampicilina 2 µg usando pontos de corte de S≥22, R <19 mm. D. Para interpretação do teste de triagem com disco de oxacilina, ver fluxograma abaixo. Para isolados não sensíveis à oxacilina, sempre determinar a CIM para benzilpenicilina. S ч I R > AIT S ш I R < AIT Cefaclor 0,03 0,06-0,5 >0,5 30 Nota B Nota B <28 Cefadroxila - - - - - - Cefalexina - - - - - - Cefazolina - - - - - - Cefepima 1 2 >2 Nota A Nota A Nota A Cefotaxima 0,5 1-2 >2 Nota A Nota A Nota A Ceftarolina 0,25 - >0,25 Nota A Nota A Nota A Ceftriaxona 0,5 1-2 >2 Nota A Nota A Nota A Cefuroxima iv 0,5 1 >1 Nota A Nota A Nota A Cefuroxima oral 0,25 0,5 >0,5 Nota A Nota A Nota A Determinação da CIM: (Microdiluição em caldo de acordo com a padronização ISO 20776-1) Meio de cultura: Caldo Mueller-Hinton + 5% de sangue lisado de cavalo e 20 mg/L β-NAD (Meio MH-F) Inóculo: 5 x 105 UFC/mL Incubação: Painéis selados, ar ambiente, 35±1ºC, 18±2h Leitura: Salvo orientação contrária, ler a CIM como a menor concentração do antimicrobiano que visualmente inibe por completo o crescimento bacteriano. Controle de qualidade: Streptococcus pneumoniae ATCC 49619. Para agentes não avaliados por tal cepa, ver tabela de CQ do BrCAST-EUCAST. Penicilinas1,2 Notas Números para comentários gerais e/ou pontos de corte para CIM. Letras para comentários sobre disco-difusão. Cefalosporinas1 Notas Números para comentários gerais e/ou pontos de corte para CIM. Letras para comentários sobre disco-difusão. Conteúdo do disco (µg) Conteúdo do disco (µg) 1/A. O teste de triagem com disco de oxacilina 1 µg deve ser utilizado para excluir mecanismos de resistência aos betalactâmicos. Quando o teste de triagem for negativo (halo de inibição ≥ 20 mm), todos os agentes betalactâmicos para os quais estão disponíveis pontos de corte clínicos, incluindo aqueles com “Nota”, poderão ser relatados como sensíveis sem testes adicionais. Quando a triagem for positiva (halo de inibição <20 mm), consultar o fluxograma abaixo para interpretação. Ponto de corte p/ CIM (mg/L) Ponto de corte p/ diâmetro do halo (mm) Ponto de corte p/ diâmetro do halo (mm) Ponto de corte p/ CIM (mg/L) B. O ponto de corte de resistência é confiável para categorizar os isolados, mas a sensibilidade (S ou I) deve ser avaliada pela determinação da concentração inibitória mínima (CIM). Regras de Especialistas e Tabelas de Resistência Intrínseca. 3. Para isolados categorizados como intermediários à ampicilina deve ser evitado o tratamento oral com ampicilina, amoxicilina ou amoxicilina- ácido clavulânico. 1/A. O teste de triagem com disco de oxacilina 1 µg deve ser utilizado para excluir mecanismos de resistência aos betalactâmicos. Quando a triagem for negativa (halo de inibição ≥ 20 mm), todos os agentes betalactâmicos para os quais estão disponíveis pontos de corte clínicos, incluindo aqueles com “Nota”, poderão ser relatados como sensíveis sem testes adicionais. Quando a triagem for positiva (halo de inibição <20 mm), consultar o fluxograma abaixo para interpretação.
  • 32.
    30 Streptococcus pneumoniae Tabelade Pontos de Corte Clínicos do BrCAST - EUCAST, ฀ válida a partir de 01-02-2019 S ч I R > AIT S ш I R < AIT Doripenem 1 Ertapenem 2 0,5 - >0,5 Nota A Nota A Nota A Imipenem 2 2 - >2 Nota A Nota A Nota A 2. Não testar para meningites (meropenem é o único carbapenêmico usado para meningite). Meropenem 2 (infecções não meníngeas) 2 - >2 Nota A Nota A Nota A 3. Meropenem é o único carbapenêmico utilizado para tratamento de meningite. Meropenem 3 (meningite) 0,25 - >0,25 Nota A,B Nota A,B Nota A,B B. Para uso em meningite determinar a CIM para meropenem. Meropenem-vaborbactam EI EI EI EI EI EI S ч I R > AIT S ш I R < AIT Ciprofloxacino - - - - - - 1. Os pontos de corte para levofloxacino são baseados em doses elevadas. Ver tabela de dosagens. Levofloxacino AE 2 - >2 5 16 A - <16 A A. O teste de disco-difusão para norfloxacino pode ser utilizado como triagem para resistência às fluoroquinolonas. Ver Nota B. Moxifloxacino 0,5 - >0,5 5 22 A - <22 A Norfloxacino (triagem) NA NA NA 10 10 B - Nota B Ofloxacino - - - - - - S ч I R > AIT S ш I R < AIT Teicoplanina 1 2 - >2 30 17 A - <17 A 1. Isolados não sensíveis são raros ou ainda não foram reportados. A identificação e o teste de sensibilidade em isolados não sensíveis devem ser confirmados em centro de referência. Vancomicina 1 2 - >2 5 16 A - <16 A A. Isolados não-selvagens não estavam disponíveis quando do desenvolvimento do método de disco-difusão. Carbapenêmicos1 Conteúdo do disco (µg) Glicopeptídeos Fluoroquinolonas Conteúdo do disco (µg) Notas Números para comentários gerais e/ou pontos de corte para CIM. Letras para comentários sobre disco-difusão. Conteúdo do disco (µg) Notas Números para comentários gerais e/ou pontos de corte para CIM. Letras para comentários sobre disco-difusão. Ponto de corte p/ diâmetro do halo (mm) B. Isolados classificados como sensíveis ao norfloxacino podem ser reportados como sensíveis ao levofloxacino e ao moxifloxacino. Isolados classificados como não sensíveis devem ser testados individualmente frente a estes agentes. Ponto de corte p/ diâmetro do halo (mm) Ponto de corte p/ diâmetro do halo (mm) Ponto de corte p/ CIM (mg/L) Ponto de corte p/ CIM (mg/L) Regras de Especialistas e Tabelas de Resistência Intrínseca. Ponto de corte p/ CIM (mg/L) Notas Números para comentários gerais e/ou pontos de corte para CIM. Letras para comentários sobre disco-difusão. 1/A. O teste de triagem com disco de oxacilina 1 µg deve ser utilizado para excluir mecanismos de resistência aos betalactâmicos. Quando a triagem for negativa (halo de inibição ≥ 20 mm), todos os agentes betalactâmicos para os quais estão disponíveis pontos de corte clínicos, incluindo aqueles com “Nota”, poderão ser relatados como sensíveis sem testes adicionais. Quando a triagem for positiva (halo de inibição <20 mm), consultar o fluxograma abaixo para interpretação.
  • 33.
    31 Streptococcus pneumoniae Tabelade Pontos de Corte Clínicos do BrCAST - EUCAST, ฀ válida a partir de 01-02-2019 S ч I R > AIT S ш I R < AIT Azitromicina 0,25 1 0,5 >0,5 1 Nota A Nota A Nota A 1/A. Eritromicina pode ser utilizada para determinar a sensibilidade à azitromicina, à claritromicina e à roxitromicina. Claritromicina 0,25 1 0,5 >0,5 1 Nota A Nota A Nota A Eritromicina 0,25 1 0,5 >0,5 1 15 22 A 19-21 <19 A Clindamicina 2 0,5 - >0,5 2 19 B - <19 B S ч I R > AIT S ш I R < AIT Doxiciclina 1 1 2 >2 1 Nota A Nota A Nota A Minociclina 0,5 1 1 >1 1 30 24 A 21-23 <21 A Tetraciclina 1 1 2 >2 1 30 25 A 22-24 <22 A Tigeciclina EI EI EI EI EI EI S ч I R > AIT S ш I R < AIT Linezolida 2 4 >4 10 22 19-21 <19 Tedizolida EI EI EI - EI EI EI S ч I R > AIT S ш I R < AIT Cloranfenicol 8 - >8 30 21 - <21 1. Sulfametoxazol-trimetoprima na proporção 19:1. Os pontos de corte de CIM estão expressos como concentração de trimetoprima. Daptomicina IE IE IE IE IE IE Rifampicina 0,06 0,12-0,5 >0,5 5 22 17-21 <17 Sulfametoxazol-trimetoprima 1 1 2 >2 23,75-1,25 13 10-12 <10 Macrolídeos e lincosamidas Conteúdo do disco (µg) 2. A resistência induzível à clindamicina pode ser detectada pelo antagonismo da atividade da clindamicina por um macrolídeo. Se antagonismo não for detectado, reportar como testado de acordo com os pontos de corte clínicos. Se detectado, reporte como resistente. B. Posicione os discos de eritromicina e clindamicina separados por 12-16 mm (borda a borda) e observe a ocorrência de antagonismo (halo de inibição em forma de D). Notas Números para comentários gerais e/ou pontos de corte para CIM. Letras para comentários sobre disco-difusão. Ponto de corte p/ diâmetro do halo (mm) Ponto de corte p/ diâmetro do halo (mm) Tetraciclinas Conteúdo do disco (µg) Oxazolidinonas Conteúdo do disco (µg) Conteúdo do disco (µg) Notas Números para comentários gerais e/ou pontos de corte para CIM. Letras para comentários sobre disco-difusão. Notas Números para comentários gerais e/ou pontos de corte para CIM. Letras para comentários sobre disco-difusão. Notas Números para comentários gerais e/ou pontos de corte para CIM. Letras para comentários sobre disco-difusão. Agentes Diversos 1/A. Isolados sensíveis à tetraciclina também são sensíveis à doxiciclina e à minociclina, mas algumas cepas resistentes à tetraciclina podem ser sensíveis à minociclina e/ou à doxiciclina. Um método de determinação da CIM deve ser utilizado para testar a sensibilidade à doxiciclina em isolados resistentes à tetraciclina, caso necessário. Regras de Especialistas e Tabelas de Resistência Intrínseca. Ponto de corte p/ diâmetro do halo (mm) Ponto de corte p/ diâmetro do halo (mm) Ponto de corte p/ CIM (mg/L) Ponto de corte p/ CIM (mg/L) Ponto de corte p/ CIM (mg/L) Ponto de corte p/ CIM (mg/L)
  • 34.
    32 Streptococcus pneumoniae Tabelade Pontos de Corte Clínicos do BrCAST - EUCAST, ฀ válida a partir de 01-02-2019 * Em meningite, confirmar o resultado determinando a CIM para os agentes considerados para uso clínico. Triagem de resistência aos betalactâmicos em S. pneumoniae Regras de Especialistas e Tabelas de Resistência Intrínseca. Disco-difusão com disco de oxacilina 1 µg Diâmetro do halo ≥ 20 mm Exclui todos os mecanismos de resistência aos betalactâmicos Diâmetro do halo < 20 mm Mecanismo de resistência a betalactâmicos detectado Reportar como sensível (S) a todos os betalactâmicos para os quais os pontos de corte clínicos estão disponíveis, incluindo aqueles com "Nota", exceto para cefaclor, o qual, se reportado, deve ser reportado como "sensível, aumentando exposição" (I). Benzilpenicilina (meningite) e fenoximetilpenicilina (todas as indicações) Benzilpenicilina (infecções não meníngeas) Ampicilina, amoxicilina e piperacilina (com e sem inibidor de betalactamase), cefepima, cefotaxima, ceftarolina, ceftobiprole e ceftriaxona Outros agentes betalactâmicos Reportar resistente (R) Determinar a CIM e interpretar de acordo com os pontos de corte clínicos Reportar sensível (S)* Diâmetro do halo de oxacilina ≥ 8 mm Para cefepima, cefotaxima, ceftarolina, ceftobiprole e ceftriaxona determinar a CIM e interpretar de acordo com os pontos de corte clínicos. Determinar a CIM e interpretar de acordo com os pontos de corte clínicos Para ampicilina, amoxicilina e piperacilina (sem e com inibidor) intravenosas inferir a sensibilidade por meio da ampicilina Para amoxicilina oral (sem e com inibidor) ver recomendações de ponto de corte Diâmetro do halo de oxacilina < 8 mm
  • 35.
    33 Streptococcus do GrupoViridans Tabela de Pontos de Corte Clínicos do BrCAST - EUCAST, ฀ válida a partir de 01-02-2019 Disco-difusão (método de disco-difusão padronizado pelo EUCAST) Meio de cultura: Ágar Mueller-Hinton + sangue desfibrinado de cavalo 5% e 20 mg/L β-NAD (MH-F) Inóculo: McFarland 0,5 Incubação: 5% CO2, 35±1ºC, 18±2h Leitura: Salvo orientação contrária, ler as bordas dos halos de inibição do ponto em que não há mais crescimento, visto da parte anterior da placa, com a tampa removida e luz refletida. Controle de Qualidade: Streptococcus pneumoniae ATCC 49619. Para agentes não avaliados por tal cepa, ver tabela de CQ do BrCAST- EUCAST. S ч I R > AIT S ш I R < AIT Benzilpenicilina 0,25 0,5-2 >2 1 U 18 12-17 <12 Benzilpenicilina (triagem) NA NA NA 1 U 18 A - Nota A Ampicilina 0,5 1-2 >2 2 21 15-20 <15 Ampicilina-sulbactam Nota 1 Nota 1 Nota 1 Nota A,B Nota A,B Nota A,B Amoxicilina 0,5 1-2 >2 Nota A,B Nota A,B Nota A,B Amoxicilina-ácido clavulânico Nota 1 Nota 1 Nota 1 Nota A,B Nota A,B Nota A,B Piperacilina-tazobactam Nota 1 Nota 1 Nota 1 Nota A,B Nota A,B Nota A,B Fenoximetilpenicilina EI EI EI EI EI EI Oxacilina - - - - - - S ч I R > AIT S ш I R < AIT Cefaclor - - - - - - Cefadroxila - - - - - - Cefalexina - - - - - - Cefazolina 0,5 - >0,5 30 IP IP IP Cefepima 0,5 - >0,5 30 25 A - <25 A Cefotaxima 0,5 - >0,5 5 23 A - <23 A Ceftolozana-tazobactam, Grupo S. anginosus EI EI EI EI EI EI Ceftriaxona 0,5 - >0,5 30 27 A - <27 A Cefuroxima iv 0,5 - >0,5 30 26 A - <26 A Cefuroxima oral - - - - - - Penicilinas Determinação da CIM: (Microdiluição em caldo de acordo com a padronização ISO 20776-1) Meio de cultura: Caldo Mueller-Hinton + 5% de sangue lisado de cavalo e 20 mg/L β-NAD (Meio MH-F) Inóculo: 5 x 10 5 UFC/mL Incubação: Painéis selados, ar ambiente, 35±1ºC, 18±2h Leitura: Salvo orientação contrária, ler a CIM como a menor concentração do antimicrobiano que visualmente inibe por completo o crescimento bacteriano. Controle de qualidade: Streptococcus pneumoniae ATCC 49619. Para agentes não avaliados por tal cepa, ver tabela de CQ do BrCAST-EUCAST. Grupo S. anginosus : S. anginosus, S. constellatus, S. intermedius Este grupo de bactérias inclui várias espécies, que podem ser agrupadas conforme segue: Grupo S. mitis : S. australis, S. cristatus, S. infantis, S. mitis, S. oligofermentans, S. oralis, S. peroris, S. pseudopneumoniae, S. sinensis Grupo S. bovis : S. equinus, S. gallolyticus (S. bovis ), S. infantarius Grupo S. salivarius : S. salivarius, S. vestibularis, S. thermophilus Grupo S. mutans : S. mutans, S. sobrinus 1/B. Para isolados sensíveis à benzilpenicilina, a sensibilidade pode ser inferida a partir da benzilpenicilina ou da ampicilina. Para isolados resistentes à benzilpenicilina a sensibilidade deve ser inferida a partir da ampicilina. A. O disco de benzilpenicilina de 1U pode ser utilizado para triagem de resistência aos β-lactâmicos em estreptococos do grupo viridans. Isolados categorizados como sensíveis podem ser relatados como sensíveis para antimicrobianos β-lactâmicos para os quais os pontos de corte clínicos estão listados (incluindo aqueles com "Nota"). Isolados classificados como não sensíveis devem ser testados frente a esses agentes individualmente. Em endocardites, consultar diretrizes nacionais ou internacionais sobre os pontos de corte para Streptococcus do Grupo Viridans. Regras de Especialistas e Tabelas de Resistência Intrínseca. Grupo S. sanguinis : S. sanguinis, S. parasanguinis, S. gordonii A. O disco de benzilpenicilina de 1U pode ser utilizado para triagem de resistência aos β-lactâmicos em estreptococos do grupo viridans. Ver Nota A em penicilinas. Cefalosporinas Notas Números para comentários gerais e/ou pontos de corte para CIM. Letras para comentários sobre disco-difusão. Conteúdo do disco (µg) Conteúdo do disco (µg) Ponto de corte p/ CIM (mg/L) Ponto de corte p/ CIM (mg/L) Ponto de corte p/ diâmetro do halo (mm) Ponto de corte p/ diâmetro do halo (mm) Notas Números para comentários gerais e/ou pontos de corte para CIM. Letras para comentários sobre disco-difusão.
  • 36.
    34 Streptococcus do GrupoViridans Tabela de Pontos de Corte Clínicos do BrCAST - EUCAST, ฀ válida a partir de 01-02-2019 S ч I R > AIT S ш I R < AIT Doripenem Ertapenem 0,5 - >0,5 Nota A Nota A Nota A Imipenem 2 - >2 Nota A Nota A Nota A Meropenem 2 - >2 Nota A Nota A Nota A Meropenem-vaborbactam EI EI EI EI S ч I R > AIT S ш I R < AIT Ciprofloxacino - - - - - - Levofloxacino EI EI EI EI EI EI Moxifloxacino EI EI EI EI EI EI Norfloxacino - - - - - - Ofloxacino - - - - - - S ч I R > AIT S ш I R < AIT Amicacina Nota 2 Nota 2 Nota 2 - - - Gentamicina (para triagem de alto nível de resistência aos aminoglicosídeos) Nota 2 Nota 2 Nota 2 - - - Netilmicina Nota 2 Nota 2 Nota 2 - - - 2. A gentamicina pode ser utilizada para triagem de resistência de alto nível aos aminoglicosídeos. Tobramicina Nota 2 Nota 2 Nota 2 - - - S ч I R > AIT S ш I R < AIT Teicoplanina1 2 - >2 30 16A - <16A 1. Isolados não-sensíveis são raros ou ainda não foram reportados. A identificação e o teste de sensibilidade em isolados não sensíveis devem ser confirmados em centro de referência. Vancomicina1 2 - >2 5 15 A - <15 A A. Isolados não-selvagens não estavam disponíveis quando do desenvolvimento do método de disco-difusão. Aminoglicosídeos1 Conteúdo do disco (µg) Fluoroquinolonas Conteúdo do disco (µg) Carbapenêmicos Notas Números para comentários gerais e/ou pontos de corte para CIM. Letras para comentários sobre disco-difusão. Glicopeptídeos Conteúdo do disco (µg) Notas Números para comentários gerais e/ou pontos de corte para CIM. Letras para comentários sobre disco-difusão. 1. Os estreptococos do grupo viridans são intrinsecamente resistentes aos aminoglicosídeos e a monoterapia com aminoglicosídeos é ineficiente. Há probabilidade de haver sinergia entre aminoglicosídeos e penicilinas ou glicopeptídeos contra estreptococos sem resistência adquirida de alto nível. Todos os testes são utilizados para distinguir entre resistência intrínseca e resistência adquirida de alto nível. Teste negativo: Isolados com CIM de gentamicina ≤128 mg/L. O isolado tem perfil selvagem para gentamicina e resistência intrínseca de baixo nível. Para outros aminoglicosídeos, pode não ser este o caso. Sinergismo com penicilinas ou glicopeptídeos pode ser esperado se o isolado for sensível a esses antimicrobianos. Teste positivo: Isolados com CIM de gentamicina >128 mg/L. O isolado tem resistência de alto nível à gentamicina e outros aminoglicosídeos, exceto estreptomicina. Não ocorrerá sinergismo com penicilinas ou glicopeptídeos. Ponto de corte p/ CIM (mg/L) Ponto de corte p/ diâmetro do halo (mm) Notas Números para comentários gerais e/ou pontos de corte para CIM. Letras para comentários sobre disco-difusão. A. O disco de benzilpenicilina de 1U pode ser utilizado para triagem de resistência aos β-lactâmicos em estreptococos do grupo viridans. Ver Nota A em penicilinas. Ponto de corte p/ diâmetro do halo (mm) Ponto de corte p/ diâmetro do halo (mm) Conteúdo do disco (µg) Ponto de corte p/ CIM (mg/L) Ponto de corte p/ CIM (mg/L) Ponto de corte p/ CIM (mg/L) Notas Números para comentários gerais e/ou pontos de corte para CIM. Letras para comentários sobre disco-difusão. Ponto de corte p/ diâmetro do halo (mm) Regras de Especialistas e Tabelas de Resistência Intrínseca.
  • 37.
    35 Streptococcus do GrupoViridans Tabela de Pontos de Corte Clínicos do BrCAST - EUCAST, ฀ válida a partir de 01-02-2019 S ч I R > AIT S ш I R < AIT Azitromicina EI EI EI EI EI EI Claritromicina EI EI EI EI EI EI Eritromicina EI EI EI 15 EI EI EI Clindamicina 1 0,5 - >0,5 2 19 A - <19 A S ч I R > AIT S ш I R < AIT Doxiciclina - - - - - - Minociclina - - - - - - Tetraciclina - - - - - - Tigeciclina EI EI EI EI EI EI S ч I R > ATU S ш I R < ATU Linezolida - - - - - - Tedizolida, Grupo S . anginosus 0,25 - >0,25 Nota A Nota A Nota A A. Utilizar um método de determinação da CIM. S ч I R > AIT S ш I R < AIT Cloranfenicol - - - - - - Daptomicina - - - - - - Nitrofurantoína (apenas ITU não complicada) - - - - - - Sulfametoxazol-trimetoprim - - - - - - Macrolídeos e lincosamidas Ponto de corte p/ diâmetro do halo (mm) Conteúdo do disco (µg) Regras de Especialistas e Tabelas de Resistência Intrínseca. Ponto de corte p/ diâmetro do halo (mm) Ponto de corte p/ CIM (mg/L) Notas Números para comentários gerais e/ou pontos de corte para CIM. Letras para comentários sobre disco-difusão. Notas Números para comentários gerais e/ou pontos de corte para CIM. Letras para comentários sobre disco-difusão. Conteúdo do disco (µg) Ponto de corte p/ CIM (mg/L) Ponto de corte p/ CIM (mg/L) Agentes Diversos Conteúdo do disco (µg) Tetraciclinas Oxazolidinonas Conteúdo do disco (µg) Ponto de corte p/ CIM (mg/L) Notas Números para comentários gerais e/ou pontos de corte para CIM. Letras para comentários sobre disco-difusão. Notas Números para comentários gerais e/ou pontos de corte para CIM. Letras para comentários sobre disco-difusão. Ponto de corte p/ diâmetro do halo (mm) Ponto de corte p/ diâmetro do halo (mm) 1. A resistência induzível à clindamicina pode ser detectada pelo antagonismo da atividade da clindamicina por um macrolídeo. Se antagonismo não for detectado, reportar como testado de acordo com os pontos de corte clínicos. Se detectado, reportar como resistente. A. Posicionar os discos de eritromicina e clindamicina separados por 12-16 mm (borda a borda) e observar a ocorrência de antagonismo (halo de inibição em forma de D).
  • 38.
    36 Disco-difusão (método dedisco-difusão padronizado pelo EUCAST) Meio de cultura: Ágar Mueller-Hinton + 5% de sangue desfibrinado de cavalo e 20 mg/L β-NAD (MH-F) Inóculo: McFarland 0,5 Incubação: 5% CO2, 35±1ºC, 18±2h Leitura: Salvo orientação contrária, ler as bordas dos halos de inibição do ponto em que não há mais crescimento, visto da parte anterior da placa, com a tampa removida e luz refletida. Controle de qualidade: Haemophilus influenzae ATCC 49766. Para agentes não avaliados por tal cepa e para o controle do componente inibidor dos discos de combinação betalactâmico-inibidor de betalactamase, ver tabela de CQ do BrCAST-EUCAST. S ч I R > AIT S ш I R < AIT Benzilpenicilina (triagem)1 NA NA NA 1 U 12A - NoteA Ampicilina2 1 - >1 2 16A - <16A 16-19B Ampicilina-sulbactam 13,4 - >13,4 10-10 NotaA,C NotaA,C NotaA,C Amoxicilina iv2 2 - >2 NotaA,D NotaA,D NotaA,D Amoxicilina oral2,AE 2 - >2 NotaA,D NotaA,D NotaA,D Amoxicilina-ácido clavulânico iv 25 - >25 2-1 15A - <15A 14-16B Amoxicilina-ácido clavulânico oralAE 25 - >25 2-1 15A - <15A 14-16B Piperacilina-tazobactam 0,256 - 0,256 27A - <27A 24-27B S ч I R > AIT S ш I R < AIT Cefaclor - - - - - - Cefadroxila - - - - - - Cefalexina - - - - - - Cefazolina - - - - - - Cefepima 0,25 - >0,25 30 28A,B - <28A,B 28-33B B. AIT relevante apenas se a triagem com disco de benzilpenicilina 1 unidade for positiva (halo de inibição <12 mm). Cefixima 0,125 - >0,125 5 26A - <26A Cefotaxima 0,125 - >0,125 5 27A - <27A 25-27B Cefpodoxima 0,25 - >0,25 10 26A - <26A,B 26-29B Ceftarolina 0,03 - >0,03 NotaA NotaA NotaA Ceftazidima - - - - - - Ceftazidima-avibactam - - - - - - - Ceftriaxona 0,125 - >0,125 30 32A - <32A 31-33B Cefuroxima iv 1 2 >2 22 30 27A 25-26A <25A 25-27B Cefuroxima oral 0,125 0,25-1 >1 30 NotaB NotaB <27 25-27B 1/A. O teste de triagem com disco de oxacilina 1µg deve ser utilizado para excluir os mecanismos de resistência aos β-lactâmicos. Quando a triagem for negativa (halo de inibição ≥ 12 mm), todos os agentes β-lactâmicos para os quais estão disponíveis pontos de corte clínicos, incluindo aqueles com “Nota”, poderão ser relatados como sensíveis sem testes adicionais. Quando a triagem for positiva (halo de inibição <12 mm), consultar o fluxograma abaixo para interpretação. 1/A. O teste de triagem com disco de oxacilina 1µg deve ser utilizado para excluir os mecanismos de resistência aos β-lactâmicos. Quando a triagem for negativa (halo de inibição ≥ 12 mm), todos os agentes β-lactâmicos para os quais estão disponíveis pontos de corte clínicos, incluindo aqueles com “Nota”, poderão ser relatados como sensíveis sem testes adicionais. Quando a triagem for positiva (halo de inibição <12 mm), consultar o fluxograma abaixo para interpretação. 1. Os pontos de corte são baseados em administração intravenosa. 2. Isolados betalactamase positivos podem ser reportados como resistentes à ampicilina, amoxicilina e piperacilina sem inibidores. Testes contendo cefalosporina cromogênica podem ser usados para detectar β-lactamase. 3. Para fins de testes de sensibilidade, a concentração de sulbactam é fixada em 4 mg/L. 4/C. A sensibilidade pode ser inferida a partir da amoxicilina-ácido clavulânico. 5. Para fins de testes de sensibilidade, a concentração de ácido clavulânico é fixada em 2 mg/L. 6. Para fins de testes de sensibilidade, a concentração de tazobactam é fixada em 4 mg/L. 6/D. Sensibilidade inferida a partir ampicilina ou amoxicilina. B. AIT relevante apenas se a triagem com disco de benzilpenicilina 1 unidade for positiva (halo de inibição <12 mm). D. Sensibilidade inferida a partir da ampicilina. Ponto de corte p/ CIM (mg/L) Ponto de corte p/ diâmetro do halo (mm) Notas Números para comentários gerais e/ou pontos de corte para CIM. Letras para comentários sobre disco-difusão. B. O ponto de corte de resistência é confiável para categorizar os isolados, mas a sensibilidade (S ou I) deve ser avaliada pela determinação da concentração inibitória mínima (CIM). Determinação da CIM: (Microdiluição em caldo de acordo com a padronização ISO 20776-1) Meio de cultura: Caldo Mueller-Hinton + 5% de sangue lisado de cavalo e 20 mg/L β-NAD (Meio MH-F) Inóculo: 5 x 105 UFC/mL Incubação: Painéis selados, ar ambiente, 35±1ºC, 18±2h Leitura: Salvo orientação contrária, ler a CIM como a menor concentração do antimicrobiano que visualmente inibe por completo o crescimento bacteriano. Controle de qualidade: Haemophilus influenzae ATCC 49766. Para agentes não avaliados por tal cepa e o para controle do componente inibidor da combinação betalactâmico-inibidor de betalactamase, ver tabela de CQ do BrCAST-EUCAST. Haemophilus influenzae Penicilinas1 Os pontos de corte do EUCAST foram determinados apenas para H. influenzae . Informações clínicas sobre outras espécies de Haemophilus são escassas. As distribuições de CIM para H. parainfluenzae são similares àquelas de H. influenzae . Na ausência de pontos de corte específicos, os pontos de corte de CIM para H. influenzae podem ser aplicados a H. parainfluenzae . Ponto de corte p/ CIM (mg/L) Conteúdo do disco (µg) Notas Números para comentários gerais e/ou pontos de corte para CIM. Letras para comentários sobre disco-difusão. Ponto de corte p/ diâmetro do halo (mm) Tabela de Pontos de Corte Clínicos do BrCAST - EUCAST, ฀ válida a partir de 01-02-2019 Cefalosporinas1 Conteúdo do disco (µg) Regras de Especialistas e Tabelas de Resistência Intrínseca.
  • 39.
    37 Tabela de Pontosde Corte Clínicos do BrCAST - EUCAST, ฀ válida a partir de 01-02-2019 S ч I R > AIT S ш I R < AIT Doripenem1 Ertapenem2 0,5 - >0,5 10 23A - <23A Imipenem2 2 - >2 10 20A,B - <20A,B 6-19B Meropenem2 (infecções não meníngeas) 2 - >2 10 20A - <20A Meropenem3 (meningite) 0,25 - >0,25 NotaB NotaB NotaB Meropenem-vaborbactam EI EI EI EI EI EI S ч I R > AIT S ш I R < AIT Ciprofloxacino 0,06 - >0,06 5 30A - <30A Levofloxacino 0,06 - >0,06 5 30A - <30A Moxifloxacino 0,125 - >0,125 5 28A - <28A Ácido nalidíxico (triagem) NA NA NA 30 23B - NotaB Norfloxacino (apenas em infecção do trato urinário não complicada) - - - - - - Ofloxacino 0,06 - >0,06 5 30A - <30A S ч I R > AIT S ш I R < AIT Azitromicina Nota1 Nota1 Nota1 NotaA NotaA NotaA Claritromicina Nota1 Nota1 Nota1 NotaA NotaA NotaA S ч I R > AIT S ш I R < AIT Doxiciclina 11 2 >21 NotaA NotaA NotaA Minociclina 11 2 >21 30 24A 21-23 <21A Tetraciclina 11 2 >21 30 25A 22-24 <22A Tigeciclina EI EI EI EI EI EI S ч I R > AIT S ш I R < AIT Cloranfenicol 2 - >2 30 28 - <28 1. Sulfametoxazol -trimetoprima na proporção 19:1. Os pontos de corte estão expressos como concentração de trimetoprim. Rifampicina (apenas profilaxia) 1 - >1 5 18 - <18 Sulfametoxazol-trimetoprim1 0,5 1 >1 23,75-1,25 23 20-22 <20 Conteúdo do disco (µg) Ponto de corte p/ CIM (mg/L) Ponto de corte p/ diâmetro do halo (mm) Notas Números para comentários gerais e/ou pontos de corte para CIM. Letras para comentários sobre disco-difusão. Haemophilus influenzae Conteúdo do disco (µg) Macrolídeos 1 Fluoroquinolonas Carbapenêmicos1 Ponto de corte p/ CIM (mg/L) Conteúdo do disco (µg) Ponto de corte p/ CIM (mg/L) Ponto de corte p/ diâmetro do halo (mm) Ponto de corte p/ diâmetro do halo (mm) Regras de Especialistas e Tabelas de Resistência Intrínseca. Agentes Diversos Conteúdo do disco (µg) Conteúdo do disco (µg) Tetraciclinas Ponto de corte p/ CIM (mg/L) Ponto de corte p/ CIM (mg/L) Ponto de corte p/ diâmetro do halo (mm) Ponto de corte p/ diâmetro do halo (mm) Notas Números para comentários gerais e/ou pontos de corte para CIM. Letras para comentários sobre disco-difusão. 1/A. Isolados sensíveis à tetraciclina também são sensíveis à doxiciclina e à minociclina, mas alguns isolados resistentes à tetraciclina podem ser sensíveis à minociclina e/ou à doxiciclina. Se necessário, deve ser usado um método de CIM para testar a sensibilidade à doxiciclina em isolados resistentes à tetraciclina. Notas Números para comentários gerais e/ou pontos de corte para CIM. Letras para comentários sobre disco-difusão. 1/A. As evidências clínicas sobre a eficácia de macrolídeos em infecções respiratórias por H. influenzae são conflitantes devido à alta taxa de cura espontânea. Havendo a necessidade de testar algum macrolídeo contra essa espécie, os pontos de corte epidemiológicos (ECOFFs) devem ser usados para detectar cepas com resistência adquirida. Os ECOFFs para cada agente são: azitromicina 4 mg/L e claritromicina 32 mg/L. Notas Números para comentários gerais e/ou pontos de corte para CIM. Letras para comentários sobre disco-difusão. A. O teste de disco-difusão com ácido nalidíxico pode ser usado como triagem para resistência às fluorquinolonas. Ver Nota B. B. Isolados categorizados como sensíveis ao ácido nalidíxico podem ser relatados como sensíveis ao levofloxacino, ao ciprofloxacino, ao moxifloxacino e ao ofloxacino. Isolados categorizados como não sensíveis podem apresentar resistência às fluoroquinolonas e devem ser testados contra os agentes específicos. Notas Números para comentários gerais e/ou pontos de corte para CIM. Letras para comentários sobre disco-difusão. 1/A. O teste de triagem com disco de oxacilina 1µg deve ser utilizado para excluir os mecanismos de resistência aos β-lactâmicos. Quando a triagem for negativa (halo de inibição ≥ 12 mm), todos os agentes β-lactâmicos para os quais estão disponíveis pontos de corte clínicos, incluindo aqueles com “Nota”, poderão ser relatados como sensíveis sem testes adicionais. Quando a triagem for positiva (halo de inibição <12 mm), consultar o fluxograma abaixo para interpretação. 2. Não aplicável a meningites (meropenem é o único carbapenêmico usado para meningites). 3. Meropenem é o único carbapenêmico utilizado para meningites. B. AIT relevante apenas se a triagem com disco de benzilpenicilina 1 unidade for positiva (halo de inibição <12 mm). C. Para uso em meningites, determinar a CIM de meropenem.
  • 40.
    38 Tabela de Pontosde Corte Clínicos do BrCAST - EUCAST, ฀ válida a partir de 01-02-2019 Haemophilus influenzae * Para cefepima, cefpodoxima e imipenem, se resistente tanto na triagem quanto em agentes da disco-difusão, relatar resistência. Se resistente no teste de triagem e sensível em agentes de disco-difusão, determinar a CIM do agente e interpretar de acordo com os pontos de corte. Regras de Especialistas e Tabelas de Resistência Intrínseca. Triagem de resistência aos betalactâmicos em H. influenzae Disco-difusão com disco de benzilpenicilina 1 U Sempre testar em paralelo com outros agentes betalactâmicos Reportar como sensível (S) a todos os betalactâmicos para os quais os pontos de corte clínicos estão disponíveis, incluindo aqueles com "Nota". Ampicilina, amoxicilina e piperacilina (sem inibidor de betalactamase) Outros agentes betalactâmicos, exceto cefepima, cefpodoxima e imipenem * Reportar resistente (R) Relatar a sensibilidade de acordo com os pontos de corte clínicos para o agente em questão. Diâmetro do halo ≥ 12 mm Exclui todos os mecanismos de resistência aos betalactâmicos Diâmetro do halo < 12 mm Betalactamase e/ou mutações na PBP3 Betalactamase negativa Betalactamase positiva
  • 41.
    39 Moraxella catarrhalis Tabelade Pontos de Corte Clínicos do BrCAST - EUCAST, ฀ válida a partir de 01-02-2019 Disco-difusão (Métodos padronizados de disco-difusão EUCAST) Meio de cultura: Ágar Mueller-Hinton + sangue desfibrinado de cavalo 5% e 20 mg/L β-NAD (MH-F) Inóculo: McFarland 0,5 Incubação: 5% CO2, 35±1ºC, 18±2h Leitura: Salvo orientação contrária, ler as bordas dos halos de inibição do ponto em que não há mais crescimento, visto da parte anterior da placa, com a tampa removida e luz refletida. Controle de Qualidade: Haemophilus influenzae ATCC 49766. Para agentes não avaliados por tal cepa e para o controle do componente inibidor dos discos de combinação betalactâmico-inibidor de betalactamase, ver tabela de CQ do BrCAST- EUCAST. S ч I R > AIT S ш I R < AIT Ampicilina - 1 - - 1 - - - Ampicilina-sulbactam 1 2,3 - >1 2,3 Nota A Nota A Nota A Amoxicilina - 1 - - 1 - - - Amoxicilina-ácido clavulânico 1 4 - >1 4 2-1 19 - <19 2. Para fins de testes de sensibilidade, a concentração de sulbactam é fixada em 4 mg/L. Piperacilina-tazobactam Nota 3 Nota 3 Nota 3 Nota A Nota A Nota A 3/A. A sensibilidade pode ser inferida a partir da amoxicilina-ácido clavulânico. 4. Para fins de testes de sensibilidade, a concentração de ácido clavulânico é fixada em 2 mg/L. S ч I R > AIT S ш I R < AIT Cefaclor - - - - - - Cefadroxila - - - - - - Cefalexina - - - - - - Cefazolina - - - - - - Cefepima 4 - >4 30 20 - <20 Cefixima 0,5 1 >1 5 21 18-20 <18 Cefotaxima 1 2 >2 5 20 17-19 <17 Ceftarolina EI EI EI EI EI EI Ceftazidima - - - - - - Ceftriaxona 1 2 >2 30 24 21-23 <21 Cefuroxima iv 4 8 >8 30 21 18-20 <18 Cefuroxima oral 0,125 0,25-4 >4 30 Nota A Nota A <21 S ч I R > AIT S ш I R < AIT Doripenem1 Ertapenem 1 0,5 - >0,5 10 29 - <29 Imipenem1 2 - >2 10 29 - <29 Meropenem 1 2 - >2 10 33 - <33 Meropenem-vaborbactam EI EI EI EI EI EI Determinação da CIM: (Microdiluição em caldo de acordo com a padronização ISO 20776-1) Meio de cultura: Caldo Mueller-Hinton + 5% de sangue lisado de cavalo e 20 mg/L β-NAD (Meio MH-F) Inóculo: 5 x 10 5 UFC/mL Incubação: Painéis selados, ar ambiente, 35±1ºC, 18±2h Leitura: Salvo orientação contrária, ler a CIM como a menor concentração do antimicrobiano que visualmente inibe por completo o crescimento bacteriano. Controle de qualidade: Haemophilus influenzae ATCC 49766. Para agentes não avaliados por tal cepa e para o controle do componente inibidor da combinação betalactâmico-inibidor de betalactamase, ver tabela de CQ do BrCAST-EUCAST. Notas Números para comentários gerais e/ou pontos de corte para CIM. Letras para comentários sobre disco-difusão. 1. Isolados não sensíveis são raros ou ainda não foram reportados. A identificação e o teste de sensibilidade em isolados não sensíveis devem ser confirmados em centro de referência. Notas Números para comentários gerais e/ou pontos de corte para CIM. Letras para comentários sobre disco-difusão. Conteúdo do disco (µg) Cefalosporinas 1. A maioria dos isolados de M. catarrhalis produzem β-lactamase, embora a produção de β-lactamase seja lenta e possa gerar resultados fracamente positivos nos testes in vitro . Produtores de β-lactamase devem ser reportados como resistentes à penicilinas e às aminopenicilinas sem inibidores. Ponto de corte p/ CIM (mg/L) Ponto de corte p/ CIM (mg/L) Ponto de corte p/ diâmetro do halo (mm) Ponto de corte p/ diâmetro do halo (mm) Carbapenêmicos Conteúdo do disco (µg) Regras de Especialistas e Tabelas de Resistência Intrínseca. Ponto de corte p/ diâmetro do halo (mm) Ponto de corte p/ CIM (mg/L) A. O ponto de corte de resistência é confiável para categorizar os isolados como resistentes, mas a sensibilidade (S ou I) deve ser avaliada pela determinação da concentração inibitória mínima (CIM). Penicilinas Notas Números para comentários gerais e/ou pontos de corte para CIM. Letras para comentários sobre disco-difusão. Conteúdo do disco (µg)
  • 42.
    40 Moraxella catarrhalis Tabelade Pontos de Corte Clínicos do BrCAST - EUCAST, ฀ válida a partir de 01-02-2019 S ч I R > AIT S ш I R < AIT Ciprofloxacino 0,125 - >0,125 5 31 A - <31 A Levofloxacino 0,125 - >0,125 5 29 A - <29 A Moxifloxacino 0,25 - >0,25 5 26 A - <26 A Ácido Nalidíxico (triagem) NA NA NA 30 23 B - Nota B Norfloxacino (apenas em infecção do trato urinário não complicada) - - - - - - Ofloxacino 0,25 - >0,25 5 28 A - <28 A S ч I R > AIT S ш I R < AIT Azitromicina 0,25 1 0,5 >0,5 1 Nota A Nota A Nota A Claritromicina 0,25 1 0,5 >0,5 1 Nota A Nota A Nota A Eritromicina 0,25 0,5 >0,5 15 23 A 20-22 <20 A S ч I R > AIT S ш I R < AIT Doxiciclina 1 1 2 >2 1 Nota A Nota A Nota A Minociclina 1 1 2 >2 1 30 25 A 22-24 <22 A Tetraciclina 1 2 >2 1 30 28 A 25-27 <25 A Tigeciclina EI EI EI EI EI EI S ч I R > AIT S ш I R < AIT Cloranfenicol 2 1 - >2 1 30 30 A - <30 A 1/A. Pontos de corte referentes ao uso tópico de cloranfenicol. Sulfametoxazol-trimetoprim 2 0,5 1 >1 23,75-1,25 18 15-17 <15 2. Sulfametoxazol-trimetoprima na proporção 19:1. Os pontos de corte estão expressos de acordo com a concentração de trimetoprima. Notas Números para comentários gerais e/ou pontos de corte para CIM. Letras para comentários sobre disco-difusão. Notas Números para comentários gerais e/ou pontos de corte para CIM. Letras para comentários sobre disco-difusão. Notas Números para comentários gerais e/ou pontos de corte para CIM. Letras para comentários sobre disco-difusão. 1/A. Eritromicina pode ser utilizada para determinar a sensibilidade à azitromicina, à claritromicina e à roxitromicina. 1/A. Isolados sensíveis à tetraciclina também são sensíveis à doxiciclina e à minociclina, mas alguns isolados resistentes à tetraciclina podem ser sensíveis à minociclina e/ou à doxiciclina. Se necessário, deve ser usado um método de CIM para testar a sensibilidade à doxiciclina em isolados resistentes à tetraciclina. Notas Números para comentários gerais e/ou pontos de corte para CIM. Letras para comentários sobre disco-difusão. Agentes Diversos Conteúdo do disco (µg) Conteúdo do disco (µg) Tetraciclinas Macrolídeos Conteúdo do disco (µg) Ponto de corte p/ CIM (mg/L) Ponto de corte p/ CIM (mg/L) Ponto de corte p/ CIM (mg/L) Ponto de corte p/ diâmetro do halo (mm) Ponto de corte p/ diâmetro do halo (mm) Ponto de corte p/ diâmetro do halo (mm) A. O teste de disco-difusão com ácido nalidíxico pode ser utilizado para triagem de resistência às fluoroquinolonas. Ver Nota B. B. Isolados categorizados como sensíveis ao ácido nalidíxico podem ser relatados como sensíveis ao levofloxacino, ciprofloxacino, moxifloxacino e ofloxacino. Isolados categorizados como não sensíveis podem apresentar resistência às fluoroquinolonas e devem ser testados contra os agentes específicos. Regras de Especialistas e Tabelas de Resistência Intrínseca. Ponto de corte p/ diâmetro do halo (mm) Fluoroquinolonas Conteúdo do disco (µg) Ponto de corte p/ CIM (mg/L)
  • 43.
    41 Neisseria gonorrhoeae Tabelade Pontos de Corte Clínicos do BrCAST - EUCAST, ฀ válida a partir de 01-02-2019 Os critérios de disco-difusão para o teste de sensibilidade de Neisseria gonorrhoeae ainda não foram definidos e um método de determinação da CIM deve ser utilizado. Caso um sistema comercial seja utilizado, seguir as instruções do fabricante. Laboratórios com poucos isolados devem preferencialmente enviá-los a um laboratório de referência para teste. S ч I R > AIT Benzilpenicilina 0,06 1 0,12-1 >1 Ampicilina 1 Nota 1 Nota 1 Nota 1 Ampicilina-sulbactam EI EI EI Amoxicilina 1 Nota 1 Nota 1 Nota 1 Amoxicilina-ácido clavulânico Nota 1 Nota 1 Nota 1 S ч I R > Cefotaxima 0,125 - >0,125 Ceftriaxona 0,125 - >0,125 S ч I R > AIT Doripenem Ertapenem EI EI EI Imipenem EI EI EI Meropenem EI EI EI Meropenem-vaborbactam EI EI EI Notas Números para comentários gerais e/ou pontos de corte para CIM. Penicilinas1 Carbapenêmicos Notas Números para comentários gerais e/ou pontos de corte para CIM. Cefalosporinas 1. Sempre testar para β-lactamase. Se positivo, relatar como resistente à benzilpenicilina, à ampicilina e à amoxicilina. Um teste com cefalosporina cromogênica pode ser utilizado para detecção de betalactamases. A sensibilidade à ampicilina e à amoxicilina dos isolados β-lactamase negativos pode ser deduzida a partir da benzilpenicilina. Notas Números para comentários gerais e/ou pontos de corte para CIM. Para comentários sobre dosagens relacionadas aos pontos de corte, ver tabela de dosagens. Ponto de corte p/ CIM (mg/L) Ponto de corte p/ CIM (mg/L) Ponto de corte p/ CIM (mg/L) Regras de Especialistas e Tabelas de Resistência Intrínseca.
  • 44.
    42 Neisseria gonorrhoeae Tabelade Pontos de Corte Clínicos do BrCAST - EUCAST, ฀ válida a partir de 01-02-2019 S ч I R > AIT Ciprofloxacino 0,03 0,06 >0,06 Levofloxacino EI EI EI Moxifloxacino EI EI EI Ácido nalidíxico (triagem) NA NA NA Norfloxacino (apenas em infecção do trato urinário não complicada) - - - Ofloxacino 0,125 0,25 >0,25 S ч I R > AIT Azitromicina Nota 1 Nota 1 Nota 1 1. A azitromicina é sempre usada em conjunto com outro agente efetivo. Para fins de teste, com o objetivo de detectar mecanismos de resistência adquiridos, o ECOFF é de 1 mg/L. S ч I R > AIT Doxiciclina EI EI EI Everaciclina EI EI EI Minociclina EI EI EI Tetraciclina 0,5 1 >1 Tigeciclina EI EI EI S ч I R > AIT Espectinomicina 64 - >64 Regras de Especialistas e Tabelas de Resistência Intrínseca. Agentes Diversos Macrolídeos Tetraciclinas Notas Números para comentários gerais e/ou pontos de corte para CIM. Notas Números para comentários gerais e/ou pontos de corte para CIM. Notas Números para comentários gerais e/ou pontos de corte para CIM. Notas Números para comentários gerais e/ou pontos de corte para CIM. Ponto de corte p/ CIM (mg/L) Ponto de corte p/ CIM (mg/L) Ponto de corte p/ CIM (mg/L) Fluorquinolonas Ponto de corte p/ CIM (mg/L)
  • 45.
    43 Neisseria meningitidis Tabelade Pontos de Corte Clínicos do BrCAST - EUCAST, ฀ válida a partir de 01-02-2019 Os critérios de disco-difusão para teste de sensibilidade aos antimicrobianos para Neisseria meningitidis ainda não foram definidos e um método para determinar a CIM deve ser utilizado. Se um método comercial para determinar a CIM for utilizado, seguir as recomendações do fabricante. S ч I R > AIT Benzilpenicilina 0,06 0,12-0,25 >0,25 Ampicilina 0,125 0,25-1 >1 Ampicilina-sulbactam EI EI EI Amoxicilina 0,125 0,25-1 >1 Amoxicilina-ácido clavulânico - - - S ч I R > AIT Cefotaxima 1 0,125 - >0,125 Ceftriaxona 1 0,125 - >0,125 S ч I R > AIT Doripenem Ertapenem - - - Imipenem - - - Meropenem 1 (meningite) 0,25 - >0,25 Meropenem-vaborbactam EI EI EI S ч I R > AIT Ciprofloxacino 0,03 1 - >0,03 1 1.Os pontos de corte se aplicam exclusivamente ao uso na profilaxia de doença meningocócica. Levofloxacino EI EI EI Moxifloxacino EI EI EI Notas Números para comentários gerais e/ou sobre pontos de corte para CIM. Fluoroquinolonas Ponto de corte p/ CIM (mg/L) Notas Números para comentários gerais e/ou sobre pontos de corte para CIM. Notas Números para comentários gerais e/ou sobre pontos de corte para CIM. 1. Isolados não sensíveis são raros ou ainda não foram reportados. A identificação e o teste de sensibilidade em isolados não sensíveis devem ser confirmados em centro de referência. Ponto de corte p/ CIM (mg/L) Ponto de corte p/ CIM (mg/L) Ponto de corte p/ CIM (mg/L) Regras de Especialistas e Tabelas de Resistência Intrínseca. Penicilinas Cefalosporinas Carbapenêmicos Notas Números para comentários gerais e/ou sobre pontos de corte para CIM. 1. Isolados não-sensíveis são raros ou ainda não foram reportados. A identificação e o teste de sensibilidade em isolados não sensíveis devem ser confirmados em centro de referência.
  • 46.
    44 Neisseria meningitidis Tabelade Pontos de Corte Clínicos do BrCAST - EUCAST, válida a partir de 01-02-2019 S ч I R > AIT Azitromicina - - - Claritromicina - - - Eritromicina - - - S ч I R > AIT Eravaciclina EI EI EI Minociclina 1 1 2 1 >2 1 Tetraciclina 1 1 2 1 >2 1 Tigeciclina EI EI EI S ч I R > AIT Cloranfenicol AE 2 - >2 1. Apenas para profilaxia de meningites (consultar diretrizes nacionais). Rifampicina 1 0,25 - >0,25 Sulfametoxazol - trimetoprima - - - Agentes Diversos Notas Números para comentários gerais e/ou sobre pontos de corte para CIM. Notas Números para comentários gerais e/ou sobre pontos de corte para CIM. Tetraciclinas Macrolídeos Notas Números para comentários gerais e/ou sobre pontos de corte para CIM. Ponto de corte p/ CIM (mg/L) Ponto de corte p/ CIM (mg/L) Ponto de corte p/ CIM (mg/L) Regras de Especialistas e Tabelas de Resistência Intrínseca. 1. A tetraciclina pode ser utilizada para predizer a sensibilidade à minociclina, para uso profilático contra infecções por N. meningitidis .
  • 47.
    45 Tabela de Pontosde Corte Clínicos do BrCAST - EUCAST, ฀ válida a partir de 01-02-2019 Regras de Especialistas e Tabelas de Resistência Intrínseca. Os critérios de disco-difusão para teste de sensibilidade aos antimicrobianos para anaeróbios ainda não foram definidos e um método para determinar a CIM deve ser utilizado. Caso seja utilizado um método comercial para determinar a CIM, seguir as recomendações do fabricante. S ч I R > AIT Benzilpenicilina1 0,25 0,5 >0,5 1. Sensibilidade à ampicilina, à amoxicilina e à piperacilina sem inibidor de β-lactamase pode ser inferida a partir da benzilpenicilina. Ampicilina1 4 8 >8 2. Para fins de testes de sensibilidade, a concentração de sulbactam é fixada em 4 mg/L. Ampicilina-sulbactam 42 8 >82 3. Para fins de testes de sensibilidade, a concentração de ácido clavulânico é fixada em 2 mg/L. Amoxicilina1 4 8 >8 4. Para fins de testes de sensibilidade, a concentração de tazobactam é fixada em 4 mg/L. Amoxicilina-ácido clavulânico 43 8 >83 Piperacilina-tazobactam 84 16 >164 S ч I R > AIT Cefotaxima - - - Cefoxitina EI EI EI Ceftriaxona - - - S ч I R > AIT Doripenem Ertapenem 0,5 - >0,5 Imipenem 2 4 >4 Meropenem 2 4-8 >8 Meropenem-vaborbactam EI EI EI Penicilinas Cefalosporinas Carbapenêmicos Anaeróbios gram-positivos Exceto Clostridioides difficile Ponto de corte p/ CIM (mg/L) Ponto de corte p/ CIM (mg/L) Ponto de corte p/ CIM (mg/L) Este grupo de bactérias inclui muitos gêneros. Os anaeróbios gram-positivos mais frequentemente isolados são: Actinomyces, Bifidobacterium, Clostridioides, Clostridium, Cutibacterium , Eggerthella, Eubacterium, Lactobacillus e Propionibacterium . Este grupo também inclui vários cocos gram-positivos, incluindo Staphylococcus saccharolyticus . Anaeróbios são mais frequentemente definidos por ausência de crescimento em placas de cultura incubadas em atmosfera enriquecida com CO2, mas muitos bacilos gram-positivos, não-formadores de esporos, tais como Actinomyces spp., muitos C. acnes e alguns Bifidobacterium spp. podem crescer em incubação com CO2 e ser suficientemente tolerantes para crescer pobremente em ar ambiente, porém continuam a ser considerados bactérias anaeróbicas. Várias espécies de Clostridium , incluindo C. carnis , C. histolyticum e C. tertium , podem crescer, mas não esporulam quando expostas ao ar ambiente. Para todas essas espécies, o teste de sensibilidade deve ser realizado em anaerobiose. Notas Números para comentários gerais e/ou pontos de corte para CIM. Notas Números para comentários gerais e/ou pontos de corte para CIM. Notas Números para comentários gerais e/ou pontos de corte para CIM.
  • 48.
    46 Anaeróbios gram-positivos Exceto Clostridioidesdifficile Tabela de Pontos de Corte Clínicos do BrCAST - EUCAST, ฀ válida a partir de 01-02-2019 S ч I R > AIT Moxifloxacino EI EI EI S ч I R > AIT Teicoplanina EI EI EI Vancomicina 2 - >2 S ч I R > AIT Clindamicina 4 - >4 S ч I R > AIT Eravaciclina EI EI EI Tetraciclina Nota1 Nota1 Nota1 Tigeciclina Nota1 Nota1 Nota1 S ч I R > AIT Cloranfenicol 8 - >8 Linezolida - - - Metronidazol 4 - >4 Ponto de corte p/ CIM (mg/L) Agentes Diversos Fluorquinolonas Glicopeptídeos Lincosamidas Tetraciclinas1 Notas Números para comentários gerais e/ou pontos de corte para CIM. Notas Números para comentários gerais e/ou pontos de corte para CIM. Notas Números para comentários gerais e/ou pontos de corte para CIM. Notas Números para comentários gerais e/ou pontos de corte para CIM. Notas Números para comentários gerais e/ou pontos de corte para CIM. 1. Para bactérias anaeróbias há evidência clínica da atividade em infecções intra-abdominais mistas, mas não há nenhuma correlação entre os valores de CIM, dados de PK/PD e resposta clínica. Portanto, não é fornecido nenhum ponto de corte para sensibilidade. Ponto de corte p/ CIM (mg/L) Ponto de corte p/ CIM (mg/L) Ponto de corte p/ CIM (mg/L) Ponto de corte p/ CIM (mg/L) Regras de Especialistas e Tabelas de Resistência Intrínseca.
  • 49.
    47 Tabela de Pontosde Corte Clínicos do BrCAST - EUCAST, ฀ válida a partir de 01-02-2019 Os critérios de disco-difusão para teste de sensibilidade a antimicrobianos para Clostridioides difficile ainda não foram definidos e um método para determinar a CIM deve ser utilizado. Caso seja utilizado um método comercial para determinar a CIM, seguir as recomendações do fabricante. S ч I R > AIT Moxifloxacino -1 - -1 1. Não utilizado clinicamente. Pode ser testado para fins exclusivamente epidemiológicos (ECOFF 4 mg/L). S ч I R > AIT 1. Os pontos de corte são baseados em valores de corte epidemiológicos (ECOFFs) e são aplicáveis ao tratamento oral de infecções por C. difficile, com vancomicina. Não há dados clínicos conclusivos sobre a relação entre CIMs e desfecho clínico. 2. Os pontos de corte são aplicáveis ao método de difusão do gradiente em ágar. S ч I R > AIT Tigeciclina -1,2 - -1,2 1. Para determinação da CIM de tigeciclina por microdiluição, o meio deve ser preparado fresco no dia do uso. 2. Não utilizado clinicamente. Pode ser testado para fins exclusivamente epidemiológicos (ECOFF 0,25 mg/L). S ч I R > AIT Daptomicina -1,2 - -1,2 1. Para determinação da CIM de daptomicina o meio deve ser suplementado com Ca++ para uma concentração final de 50 mg/L para o método da microdiluição em caldo. A diluição em ágar não está validada. Siga as instruções do fabricante caso utilize um sistema comercial. Ácido fusídico -3 - -3 2. Não utilizado clinicamente. Pode ser testado para fins exclusivamente epidemiológicos (ECOFF 4 mg/L). Fidaxomicina EI4 EI4 EI4 3. Não utilizado clinicamente. Pode ser testado para fins exclusivamente epidemiológicos (ECOFF 2 mg/L). Metronidazol 25 - >25 4. Os pontos de corte e ECOFF para fidaxomicina não foram estabelecidos porque os dados disponíveis evidenciam uma grande variação na distribuição de CIMs entre os estudos. Rifampicina -6 - -6 5. Os pontos de corte são baseados em valores de corte epidemiológicos (ECOFFs) e são aplicáveis ao tratamento oral de infecções por C. difficile, com metronidazol. Não há dados clínicos conclusivos sobre a relação entre CIMs e desfecho clínico. 6. Não utilizado clinicamente. Pode ser testado para fins exclusivamente epidemiológicos (ECOFF 0,004 mg/L). Regras de Especialistas e Tabelas de Resistência Intrínseca. Clostridioides difficile Notas Números para comentários gerais e/ou pontos de corte para CIM. Notas Números para comentários gerais e/ou pontos de corte para CIM. Glicopeptídeos Notas Números para comentários gerais e/ou pontos de corte para CIM. Tetraciclinas Notas Números para comentários gerais e/ou pontos de corte para CIM. 21 - >21 Vancomicina Fluoroquinolonas Ponto de corte p/ CIM (mg/L) Ponto de corte p/ CIM (mg/L) Ponto de corte p/ CIM (mg/L) Ponto de corte p/ CIM (mg/L) Agentes diversos
  • 50.
    48 Anaeróbios gram-negativos Tabelade Pontos de Corte Clínicos do BrCAST - EUCAST, ฀ válida a partir de 01-02-2019 Os critérios de disco-difusão para teste de sensibilidade aos antimicrobianos para anaeróbios ainda não foram definidos e um método para determinar a CIM deve ser utilizado. Caso seja utilizado um método comercial para determinar a CIM, seguir as recomendações do fabricante. S ч I R > AIT Benzilpenicilina1 0,25 0,5 >0,5 1. A sensibilidade à ampicilina, à amoxicilina e à piperacilina sem inibidor de β-lactamase pode ser inferida a partir da benzilpenicilina. Ampicilina1 0,5 1-2 >2 2. Para fins de testes de sensibilidade, a concentração de sulbactam é fixada em 4 mg/L. Ampicilina-sulbactam 42 8 >82 3. Para fins de testes de sensibilidade, a concentração de ácido clavulânico é fixada em 2 mg/L. Amoxicilina1 0,5 1-2 >2 4. Para fins de testes de sensibilidade, a concentração de tazobactam é fixada em 4 mg/L. Amoxicilina-ácido clavulânico 43 8 >83 Piperacilina-tazobactam 84 16 >164 S ч I R > AIT Cefotaxima - - - Cefoxitina EI EI EI Ceftriaxona - - - S ч I R > AIT Doripenem Ertapenem 0,5 - >0,5 Imipenem 2 4 >4 Meropenem 2 4-8 >8 Meropenem-vaborbactam EI EI EI Carbapenêmicos Notas Números para comentários gerais e/ou pontos de corte para CIM. Ponto de corte p/ CIM (mg/L) Regras de Especialistas e Tabelas de Resistência Intrínseca. Este grupo de bactérias inclui muitos gêneros. Os anaeróbios gram-negativos mais frequentemente isolados são Bacteroides, Bilophila, Fusobacterium, Mobiluncus, Parabacteroides , Porphyromonas e Prevotella . Anaeróbios são mais frequentemente definidos por ausência de crescimento em placas de cultura incubadas numa atmosfera enriquecida com CO2. Para todas essas espécies, o teste de sensibilidade deve ser realizado em anaerobiose. Notas Números para comentários gerais e/ou pontos de corte para CIM. Notas Números para comentários gerais e/ou pontos de corte para CIM. Penicilinas Cefalosporinas Ponto de corte p/ CIM (mg/L) Ponto de corte p/ CIM (mg/L)
  • 51.
    49 Tabela de Pontosde Corte Clínicos do BrCAST - EUCAST, ฀ válida a partir de 01-02-2019 S ч I R > AIT Moxifloxacino EI EI EI S ч I R > AIT Clindamicina 4 - >4 S ч I R > AIT Everaciclina EI EI EI Tetraciclina Nota1 Nota1 Nota1 Tigeciclina Nota1 Nota1 Nota1 S ч I R > AIT Cloranfenicol 8 - >8 Metronidazol 4 - >4 Notas Números para comentários gerais e/ou pontos de corte para CIM. Lincosamidas Fluoroquinolonas Notas Números para comentários gerais e/ou pontos de corte para CIM. Ponto de corte p/ CIM (mg/L) Ponto de corte p/ CIM (mg/L) Notas Números para comentários gerais e/ou pontos de corte para CIM. Tetraciclinas1 Agentes diversos Notas Números para comentários gerais e/ou pontos de corte para CIM. Ponto de corte p/ CIM (mg/L) Ponto de corte p/ CIM (mg/L) 1. Para bactérias anaeróbias há evidência clínica da atividade em infecções intra-abdominais mistas, mas não há nenhuma correlação entre os valores de CIM, dados de PK/PD e resposta clínica. Portanto, não é fornecido nenhum ponto de corte para sensibilidade. Regras de Especialistas e Tabelas de Resistência Intrínseca. Anaeróbios gram-negativos
  • 52.
    50 Helicobacter pylori Tabelade Pontos de Corte Clínicos do BrCAST - EUCAST, ฀ válida a partir de 01-02-2019 Os critérios de disco-difusão para teste de sensibilidade aos antimicrobianos para Helicobacter pylori ainda não foram definidos e um método para determinar a CIM deve ser utilizado. Caso seja utilizado um método comercial para determinar a CIM, seguir as recomendações do fabricante. S ч I R > AIT Amoxicilina 0,1251 - >0,1251 1. Os pontos de corte são baseados em valores de corte epidemiológicos (ECOFFs), que diferenciam entre isolados com perfil selvagem e aqueles com sensibilidade reduzida. S ч I R > AIT Levofloxacino 11 - >11 1. Os pontos de corte são baseados em valores de corte epidemiológicos (ECOFFs), que diferenciam entre isolados com perfil selvagem e aqueles com sensibilidade reduzida. S ч I R > AIT Claritromicina 0,251 0,51 >0,51 1. Os pontos de corte são baseados em valores de corte epidemiológicos (ECOFFs), que diferenciam entre isolados com perfil selvagem e aqueles com sensibilidade reduzida. S ч I R > AIT Tetraciclina 11 - >11 1. Os pontos de corte são baseados em valores de corte epidemiológicos (ECOFFs), que diferenciam entre isolados com perfil selvagem e aqueles com sensibilidade reduzida. S ч I R > AIT Metronidazol 81 - >81 Rifampicina 11 - >11 1. Os pontos de corte são baseados em valores de corte epidemiológicos (ECOFFs), que diferenciam entre isolados com perfil selvagem e aqueles com sensibilidade reduzida. Agentes diversos Notas Números para comentários gerais e/ou pontos de corte para CIM. Macrolídeos Notas Números para comentários gerais e/ou pontos de corte para CIM. Tetraciclinas Notas Números para comentários gerais e/ou pontos de corte para CIM. Ponto de corte p/ CIM (mg/L) Ponto de corte p/ CIM (mg/L) Ponto de corte p/ CIM (mg/L) Regras de Especialistas e Tabelas de Resistência Intrínseca. Notas Números para comentários gerais e/ou pontos de corte para CIM. Fluoroquinolonas Notas Números para comentários gerais e/ou pontos de corte para CIM. Penicilinas Ponto de corte p/ CIM (mg/L) Ponto de corte p/ CIM (mg/L)
  • 53.
    51 Listeria monocytogenes Tabelade Pontos de Corte Clínicos do BrCAST - EUCAST, ฀ válida a partir de 01-02-2019 Disco-difusão (método de disco-difusão padronizado pelo EUCAST) Meio de cultura: Ágar Mueller-Hinton + 5% sangue desfibrinado de cavalo e 20 mg/L de β-NAD (MH-F) Inóculo: McFarland 0,5 Incubação: CO2 a 5%, 35±1ºC, 18±2h Leitura: Salvo orientação contrária, ler as bordas dos halos de inibição do ponto em que não há mais crescimento, visto da parte anterior da placa, com a tampa removida e luz refletida. Controle da Qualidade: Streptococcus pneumoniae ATCC 49619. Para agentes não avaliados por tal cepa, ver tabela de CQ do BrCAST- EUCAST. S ч I R > AIT S ш I R < AIT Benzilpenicilina 1 - >1 1 U 13 - <13 Ampicilina 1 - >1 2 16 - <16 S ч I R > AIT S ш I R < AIT Meropenem 0,25 - >0,25 10 26 - <26 S ч I R > AIT S ш I R < AIT Eritromicina 1 - >1 15 25 - <25 S ч I R > AIT S ш I R < AIT Sulfametoxazol-trimetoprim1 0,06 - >0,06 23,75-1,25 29 - <29 1. Sulfametoxazol-trimetoprima na proporção 19:1. Os pontos de corte de CIM estão expressos como concentração de trimetoprima. Notas Números para comentários gerais e/ou pontos de corte para CIM. Letras para comentários sobre disco-difusão. Penicilinas Conteúdo do disco (µg) Notas Números para comentários gerais e/ou pontos de corte para CIM. Letras para comentários sobre disco-difusão. Carbapenêmicos Conteúdo do disco (µg) Ponto de corte p/ CIM (mg/L) Ponto de corte p/ CIM (mg/L) Ponto de corte p/ diâmetro do halo (mm) Ponto de corte p/ diâmetro do halo (mm) Determinação da CIM: (Microdiluição de acordo com a padronização ISO 20776-1) Meio de cultura: Caldo Mueller-Hinton + 5% de sangue lisado de cavalo e 20 mg/L β-NAD (Meio MH-F) Inóculo: 5 x 105 UFC/mL Incubação: Painéis selados, ar ambiente, 35±1ºC, 18±2h. Leitura: Salvo orientação contrária, ler a CIM como a menor concentração do antimicrobiano que visualmente inibe por completo o crescimento bacteriano. Controle de qualidade: Streptococcus pneumoniae ATCC 49619. Para agentes não avaliados por tal cepa, ver tabela de CQ do BrCAST-EUCAST. Regras de Especialistas e Tabelas de Resistência Intrínseca. Notas Números para comentários gerais e/ou pontos de corte para CIM. Letras para comentários sobre disco-difusão. Agentes diversos Conteúdo do disco (µg) Notas Números para comentários gerais e/ou pontos de corte para CIM. Letras para comentários sobre disco-difusão. Macrolídeos Conteúdo do disco (µg) Ponto de corte p/ CIM (mg/L) Ponto de corte p/ CIM (mg/L) Ponto de corte p/ diâmetro do halo (mm) Ponto de corte p/ diâmetro do halo (mm)
  • 54.
    52 Pasteurella multocida Tabelade Pontos de Corte Clínicos do BrCAST - EUCAST, ฀ válida a partir de 01-02-2019 Disco-difusão (método de disco-difusão padronizado pelo EUCAST) Meio de cultura: ágar Mueller-Hinton + 5% de sangue desfibrinado de cavalo e 20 mg/L β-NAD (MH-F) Inóculo: McFarland 0,5 Incubação: CO2 a 5% , 35±1ºC, 18±2h Leitura: Salvo orientação contrária, Ler as bordas dos halos de inibição do ponto em que não há mais crescimento, visto da parte anterior da placa, com a tampa removida e luz refletida. Controle de qualidade: Haemophilus influenzae ATCC 49766. Para agentes não avaliados por tal cepa e para o controle do componente inibidor dos discos de combinação betalactâmico-inibidor de betalactamase, ver tabela de CQ do BrCAST- EUCAST. S ч I R > AIT S ш I R < AIT Benzilpenicilina 0,5 - >0,5 1 U 17 - <17 1. Para fins de testes de sensibilidade, a concentração de ácido clavulânico é fixada em 2 mg/L. Ampicilina 1 - >1 NotaA NotaA NotaA Amoxicilina 1 - >1 NotaA NotaA NotaA A. Sensibilidade inferida a partir da sensibilidade à benzilpenicilina. Amoxicilina-ácido clavulânico 1 1 - >1 1 2-1 15 - <15 S ч I R > AIT S ш I R < AIT Cefotaxima 0,03 - >0,03 5 26 - <26 S ч I R > AIT S ш I R < AIT Ciprofloxacino 0,06 - >0,06 5 27A - <27A Levofloxacino 0,06 - >0,06 5 27A - <27A Ácido nalidíxico (triagem) NA NA NA 30 23A - NotaA Notas Números para comentários gerais e/ou pontos de corte para CIM. Letras para comentários sobre disco-difusão. Notas Números para comentários gerais e/ou pontos de corte para CIM. Letras para comentários sobre disco-difusão. Cefalosporinas A. O teste de disco-difusão com ácido nalidíxico pode ser utilizado para triagem de resistência às fluorquinolonas. Isolados categorizados como sensíveis ao ácido nalidíxico podem ser reportados como sensíveis ao ciprofloxacino e ao levofloxacino. Isolados categorizados como não sensíveis podem apresentar resistência às fluorquinolonas e devem ser testados contra os antimicrobianos específicos. Notas Números para comentários gerais e/ou pontos de corte para CIM. Letras para comentários sobre disco-difusão. Ponto de corte p/ CIM (mg/L) Ponto de corte p/ CIM (mg/L) Ponto de corte p/ diâmetro do halo (mm) Conteúdo do disco (µg) Regras de Especialistas e Tabelas de Resistência Intrínseca. Ponto de corte p/ diâmetro do halo (mm) Determinação da CIM: (Microdiluição em caldo de acordo com a padronização ISO 20776-1) Meio de cultura: Caldo Mueller-Hinton + 5% de sangue lisado de cavalo e 20 mg/L β-NAD (Meio MH-F) Inóculo: 5 x 105 UFC/mL Incubação: Painéis selados, ar ambiente, 35±1ºC, 18±2h Leitura: Salvo orientação contrária, ler a CIM como a menor concentração do antimicrobiano que visualmente inibe por completo o crescimento bacteriano. Controle de qualidade: Haemophilus influenzae ATCC 49766. Para agentes não avaliados por tal cepa e para o controle do componente inibidor da combinação betalactâmico-inibidor de betalactamase, ver tabela de CQ do BrCAST- EUCAST. Fluoroquinolonas Conteúdo do disco (µg) Penicilinas Conteúdo do disco (µg) Ponto de corte p/ CIM (mg/L) Ponto de corte p/ diâmetro do halo (mm)
  • 55.
    53 Pasteurella multocida Tabelade Pontos de Corte Clínicos do BrCAST - EUCAST, ฀ válida a partir de 01-02-2019 S ч I R > AIT S ш I R < AIT Doxiciclina 1 - >1 NotaA NotaA NotaA Tetraciclina (triagem) NA NA NA 30 24A - >24A S ч I R > AIT S ш I R < AIT Sulfametoxazol-trimetoprim1 0,25 - >0,25 23,75-1,25 23 - <23 1.Sulfametoxazol-trimetoprima na proporção 19:1. Os pontos de corte de CIM estão expressos como concentração de trimetoprima. Notas Números para comentários gerais e/ou pontos de corte para CIM. Letras para comentários sobre disco-difusão. Agentes diversos Conteúdo do disco (µg) A. Sensibilidade inferida a partir do teste de triagem com tetraciclina. Tetraciclinas Conteúdo do disco (µg) Notas Números para comentários gerais e/ou pontos de corte para CIM. Letras para comentários sobre disco-difusão. Regras de Especialistas e Tabelas de Resistência Intrínseca. Ponto de corte p/ CIM (mg/L) Ponto de corte p/ CIM (mg/L) Ponto de corte p/ diâmetro do halo (mm) Ponto de corte p/ diâmetro do halo (mm)
  • 56.
    54 Campylobacter jejuni eC. coli Tabela de Pontos de Corte Clínicos do BrCAST - EUCAST, ฀ válida a partir de 01-02-2019 Disco-difusão (método de disco-difusão padronizado pelo EUCAST) Meio de cultura: Ágar Mueller-Hinton + 5% de sangue desfibrinado de cavalo e 20 mg/L β-NAD (MH-F). As pacas de MH-F devem ser secadas antes da inoculação para reduzir o swarming (a 20-25°C over night ou a 35°C, com a tampa removida por 15 min). Inóculo: McFarland 0,5 Incubação: Atmosfera de microaerofilia, 41±1ºC, 24h. Isolados com crescimento insuficiente após 24 h de incubação devem ser imediatamente reincubados e os halos de inibição devem ser lidos após um total de 40-48 h de incubação. Leitura: Salvo orientação contrária, ler as bordas dos halos de inibição do ponto em que não há mais crescimento, visto da parte anterior da placa, com a tampa removida e luz refletida. Controle de qualidade: Campylobacter jejuni ATCC 33560 S ч I R > AIT S ш I R < AIT Ciprofloxacino 0,5 - >0,5 5 26 - <26 S ч I R > AIT S ш I R < AIT Azitromicina Nota 1 Nota 1 Nota 1 Nota A Nota A Nota A 1/A. A eritromicina pode ser utilizada para determinar a sensibilidade à azitromicina e à claritromicina. Claritromicina Nota 1 Nota 1 Nota 1 Nota A Nota A Nota A Eritromicina, C. jejuni 4 1 - >4 1 15 20 A - <20 A Eritromicina, C. coli 8 1 - >8 1 15 24 A - <24 A S ч I R > AIT S ш I R < AIT Doxiciclina Nota 1 Nota 1 Nota 1 Nota A Nota A Nota A 1/A. A tetraciclina pode ser utilizada para determinar a sensibilidade à doxiciclina Tetraciclina 2 1 - >2 1 30 30 A - <30 A Macrolídeos Conteúdo do disco (µg) Notas Números para comentários gerais e/ou pontos de corte para CIM. Letras para comentários sobre disco-difusão. Notas Números para comentários gerais e/ou pontos de corte para CIM. Letras para comentários sobre disco-difusão. Tetraciclinas Conteúdo do disco (µg) Ponto de corte p/ CIM (mg/L) Ponto de corte p/ diâmetro do halo (mm) Ponto de corte p/ CIM (mg/L) Ponto de corte p/ diâmetro do halo (mm) Regras de Especialistas e Tabelas de Resistência Intrínseca. Determinação da CIM: (Microdiluição em caldo de acordo com a padronização ISO 20776-1) Meio de cultura: Caldo Mueller-Hinton + 5% de sangue lisado de cavalo e 20 mg/L β-NAD (Meio MH-F) Inóculo: 5 x 10 5 UFC/mL Incubação: Atmosfera de microaerofilia, 41±1ºC, 24h. Isolados com crescimento insuficiente após 24 h de incubação devem ser imediatamente reincubados e os CIMs devem ser lidos após um total de 40-48 h de incubação. Leitura: Salvo orientação contrária, ler a CIM como a menor concentração do antimicrobiano que visualmente inibe por completo o crescimento bacteriano. Controle de qualidade: Staphylococcus aureus ATCC 29213 (condições padronizadas para estafilococos) Fluoroquinolonas Conteúdo do disco (µg) Notas Números para comentários gerais e/ou pontos de corte para CIM. Letras para comentários sobre disco-difusão. Ponto de corte p/ CIM (mg/L) Ponto de corte p/ diâmetro do halo (mm)
  • 57.
    55 Corynebacterium spp. Tabelade Pontos de Corte Clínicos do BrCAST - EUCAST, ฀ válida a partir de 01-02-2019 Disco-difusão (método de disco-difusão padronizado pelo EUCAST) Meio de cultura: Ágar Mueller-Hinton + sangue desfibrinado de cavalo 5% e 20 mg/L β-NAD (MH-F) Inóculo: McFarland 0,5 Incubação: 5% CO2, 35±1ºC, 18±2h. Isolados com crescimento insuficiente após 16-20 h de incubação devem ser reincubados imediatamente e os halos de inibição deverão ser lidos após um total de 40-44 h de incubação. Leitura: Salvo orientação contrária, ler as bordas dos halos de inibição do ponto em que não há mais crescimento, visto da parte anterior da placa, com a tampa removida e luz refletida. Controle de Qualidade: Streptococcus pneumoniae ATCC 49619. Para agentes não avaliados por tal cepa, ver tabela de CQ do BrCAST-EUCAST. S ч I R > AIT S ш I R < AIT Benzilpenicilina 0,125 - >0,125 1 U 29 - <29 S ч I R > AIT S ш I R < AIT Ciprofloxacino 1 - >1 5 25 - <25 Moxifloxacino 0,5 - >0,5 5 25 - <25 S ч I R > AIT S ш I R < AIT Gentamicina 1 - >1 10 23 - <23 S ч I R > AIT S ш I R < AIT Vancomicina 2 - >2 5 17A - <17A A. Isolados do tipo não-selvagem não estavam disponíveis durante o desenvolvimento do método de disco-difusão. Notas Números para comentários gerais e/ou pontos de corte para CIM. Letras para comentários sobre disco-difusão. Conteúdo do disco (µg) Ponto de corte p/ diâmetro do halo (mm) Notas Números para comentários gerais e/ou pontos de corte para CIM. Letras para comentários sobre disco-difusão. Conteúdo do disco (µg) Notas Números para comentários gerais e/ou pontos de corte para CIM. Letras para comentários sobre disco-difusão. Notas Números para comentários gerais e/ou pontos de corte para CIM. Letras para comentários sobre disco-difusão. Ponto de corte p/ diâmetro do halo (mm) Ponto de corte p/ diâmetro do halo (mm) Ponto de corte p/ diâmetro do halo (mm) Conteúdo do disco (µg) Conteúdo do disco (µg) Ponto de corte p/ CIM (mg/L) Ponto de corte p/ CIM (mg/L) Ponto de corte p/ CIM (mg/L) Ponto de corte p/ CIM (mg/L) Os pontos de corte para as corinebactérias foram desenvolvidos para espécies diferentes de C. diphtheriae . Em um estudo em andamento, os resultados preliminares indicam que os atuais pontos de corte para benzilpenicilina e rifampicina não são úteis para C. diphtheriae . Regras de Especialistas e Tabelas de Resistência Intrínseca. Determinação da CIM: (Microdiluição em caldo de acordo com a padronização ISO 20776-1) Meio de cultura: Caldo Mueller-Hinton + 5% de sangue lisado de cavalo e 20 mg/L β-NAD (Meio MH-F) Inóculo: 5 x 105 UFC/mL Incubação: Painéis selados, ar ambiente, 35±1ºC, 18±2h. Isolados com crescimento insuficiente após 16 - 20h de incubação devem ser imediatamente reincubados e as CIMs devem ser lidos após um total de 40-44 h de incubação. Leitura: Salvo orientação contrária, ler a CIM como a menor concentração do antimicrobiano que visualmente inibe por completo o crescimento bacteriano. Controle de qualidade: Streptococcus pneumoniae ATCC 49619. Para agentes não avaliados por tal cepa, ver tabela de CQ do BrCAST-EUCAST. Glicopeptídeos Aminoglicosídeos Penicilinas Fluoroquinolonas
  • 58.
    56 Corynebacterium spp. S чI R > AIT S ш I R < AIT Eritromicina EP EP EP EP EP EP Clindamicina 0,5 - >0,5 2 20 - <20 S ч I R > AIT S ш I R < AIT Tetraciclina 2 - >2 30 24 - <24 S ч I R > AIT S ш I R < AIT Linezolida 2 - >2 10 25 - <25 S ч I R > AIT S ш I R < AIT Rifampicina 0,06 0,12-0,5 >0,5 5 30 25-29 <25 Notas Números para comentários gerais e/ou pontos de corte para CIM. Letras para comentários sobre disco-difusão. Conteúdo do disco (µg) Notas Números para comentários gerais e/ou pontos de corte para CIM. Letras para comentários sobre disco-difusão. Notas Números para comentários gerais e/ou pontos de corte para CIM. Letras para comentários sobre disco-difusão. Conteúdo do disco (µg) Conteúdo do disco (µg) Tabela de Pontos de Corte Clínicos do BrCAST - EUCAST, ฀ válida a partir de 01-02-2019 Ponto de corte p/ CIM (mg/L) Regras de Especialistas e Tabelas de Resistência Intrínseca. Ponto de corte p/ CIM (mg/L) Ponto de corte p/ CIM (mg/L) Ponto de corte p/ diâmetro do halo (mm) Ponto de corte p/ diâmetro do halo (mm) Ponto de corte p/ diâmetro do halo (mm) Oxazolidinonas Macrolídeos e lincosamidas Tetraciclinas Agentes diversos Ponto de corte p/ CIM (mg/L) Conteúdo do disco (µg) Ponto de corte p/ diâmetro do halo (mm) Notas Números para comentários gerais e/ou pontos de corte para CIM. Letras para comentários sobre disco-difusão.
  • 59.
    57 Aerococcus sanguinicola eA. urinae Disco-difusão (método de disco-difusão padronizado pelo EUCAST) Meio de cultura: Ágar Mueller-Hinton + sangue desfibrinado de cavalo 5% e 20 mg/L β-NAD (MH-F) Inóculo: McFarland 0,5 Incubação: 5% CO2, 35±1ºC, 18±2h. Isolados com crescimento insuficiente após 16-20 h de incubação devem ser reincubados imediatamente e os halos de inibição deverão ser lidos após um total de 40-44 h de incubação. Leitura: Salvo orientação contrária, ler as bordas dos halos de inibição do ponto em que não há mais crescimento, visto da parte anterior da placa, com a tampa removida e luz refletida. Controle de Qualidade: Streptococcus pneumoniae ATCC 49619. Para agentes não testados com tal cepa, ver tabela de CQ do BrCAST-EUCAST. S ч I R > AIT S ш I R < AIT Benzilpenicilina 0,125 - >0,125 1 U 21 - <21 Ampicilina 0,25 - >0,25 2 26 - <26 Amoxicilina Nota 1 - Nota 1 Nota A - Nota A S ч I R > AIT S ш I R < AIT Meropenem 0,25 - >0,25 10 31 - <31 S ч I R > AIT S ш I R < AIT Ciprofloxacino (apenas ITU não complicada) 2 - >2 5 21 A - <21 A Levofloxacino (apenas ITU não complicada) 2 1 - >2 1 5 Nota B - Nota B Norfloxacino (triagem) NA - NA 10 17 C - <17 C S ч I R > AIT S ш I R < AIT Vancomicina 1 - >1 5 16 A - <16 A A. Isolados do tipo não-selvagem não estavam disponíveis ao desenvolver o método de difusão de disco. S ч I R > AIT S ш I R < AIT Nitrofurantoína (apenas ITU não complicada) 16 - >16 100 16 - <16 Rifampicina 0,125 - >0,125 5 25 - <25 Tabela de Pontos de Corte Clínicos do BrCAST - EUCAST, ฀ válida a partir de 01-02-2019 Fluoroquinolonas Conteúdo do disco (µg) Notas Números para comentários gerais e/ou pontos de corte para CIM. Letras para comentários sobre disco-difusão. Ponto de corte p/ CIM (mg/L) Ponto de corte p/ diâmetro do halo (mm) Carbapenêmicos Conteúdo do disco (µg) Notas Números para comentários gerais e/ou pontos de corte para CIM. Letras para comentários sobre disco-difusão. Ponto de corte p/ CIM (mg/L) Ponto de corte p/ diâmetro do halo (mm) Regras de Especialistas e Tabelas de Resistência Intrínseca. Determinação da CIM: (Microdiluição em caldo de acordo com a padronização ISO 20776-1) 1 Meio de cultura: Caldo Mueller-Hinton + 5% de sangue lisado de cavalo e 20 mg/L β-NAD (Meio MH-F) Inóculo: 5 x 10 5 UFC/mL Incubação: Painéis selados, ar ambiente, 35±1ºC, 18±2h. Isolados com crescimento insuficiente após 16 - 20h de incubação devem ser imediatamente reincubados e as CIMs devem ser lidas após um total de 40-44 h de incubação. Leitura: Salvo orientação contrária, ler a CIM como a menor concentração do antimicrobiano que visualmente inibe por completo o crescimento bacteriano. Controle de qualidade: Streptococcus pneumoniae ATCC 49619. Para agentes não testados com tal cepa, ver tabela de CQ do BrCAST-EUCAST. 1 Para fluoroquinolonas, a diluição em ágar pode produzir pontos finais mais bem definidos. 1/A. Sensibilidade inferida a partir da sensibilidade à ampicilina. Penicilinas Conteúdo do disco (µg) Glicopeptídeos Conteúdo do disco (µg) Notas Números para comentários gerais e/ou pontos de corte para CIM. Letras para comentários sobre disco-difusão. Agentes diversos Conteúdo do disco (µg) Notas Números para comentários gerais e/ou pontos de corte para CIM. Letras para comentários sobre disco-difusão. Ponto de corte p/ CIM (mg/L) Ponto de corte p/ CIM (mg/L) Ponto de corte p/ diâmetro do halo (mm) Ponto de corte p/ diâmetro do halo (mm) Notas Números para comentários gerais e/ou pontos de corte para CIM. Letras para comentários sobre disco-difusão. Ponto de corte p/ CIM (mg/L) Ponto de corte p/ diâmetro do halo (mm) 1. A sensibilidade pode ser inferida a partir da sensibilidade ao ciprofloxacino. A. A sensibilidade pode ser inferida a partir da sensibilidade ao norfloxacino. Ver Nota C. B. A sensibilidade pode ser inferida a partir da sensibilidade ao ciprofloxacino ou norfloxacino. Ver Nota C. C. O teste de disco-difusão com norfloxacino pode ser utilizado para triagem de resistência às fluoroquinolonas.
  • 60.
    58 Kingella kingae Tabelade Pontos de Corte Clínicos do BrCAST - EUCAST, ฀ válida a partir de 01-02-2019 Disco-difusão (método de disco-difusão padronizado pelo EUCAST) Meio de cultura: Ágar Mueller-Hinton + sangue desfibrinado de cavalo 5% e 20 mg/L β-NAD (MH-F) Inóculo: McFarland 0,5 Incubação: 5% CO2, 35±1ºC, 18±2h. Isolados com crescimento insuficiente após 16-20 h de incubação devem ser reincubados imediatamente e os halos de inibição deverão ser lidos após um total de 40-44 h de incubação. Leitura: Salvo orientação contrária, ler as bordas dos halos de inibição do ponto em que não há mais crescimento, visto da parte anterior da placa, com a tampa removida e luz refletida. Controle de Qualidade: Haemophilus influenzae ATCC 49766. Para agentes não testados com tal cepa, ver tabela de CQ do BrCAST- EUCAST. S ч I R > AIT S ш I R < AIT Benzilpenicilina 0,03 - >0,03 1 U 25 - <25 Ampicilina 0,06 2 - >0,06 2 - Nota A - Nota A Amoxicilina 0,125 2 - >0,125 2 - Nota A - Nota A Amoxicilina-ácido clavulânico Nota 3 - Nota 3 - Nota B - Nota B S ч I R > AIT S ш I R < AIT Cefotaxima 0,125 - >0,125 5 27 - <27 Ceftriaxona 0,06 - >0,06 30 30 - <30 Cefuroxima IV 0,5 - >0,5 30 29 - <29 S ч I R > AIT S ш I R < AIT Meropenem 0,03 - >0,03 10 30 - <30 Notas Números para comentários gerais e/ou pontos de corte para CIM. Letras para comentários sobre disco-difusão. 1. Isolados produtores de β-lactamase podem ser reportados como resistentes à benzilpenicilina e amoxicilina e à amoxicilina sem inibidores. Testes baseados em cefalosporina cromogênica podem ser usados na detecção de β-lactamase. Outros mecanismos de resistência aos β-lactâmicos que não sejam a produção de β-lactamase não foram, até o momento, descritos para K. kingae. 2. A sensibilidade pode ser inferida a partir da sensibilidade à benzilpenicilina. 3/B. O ácido clavulânico apresenta atividade intrínseca e pode inibir o crescimento deste microrganismo em concentrações de até 2 mg/L. Portanto, nenhum ponto de corte para amoxicilina-ácido clavulânico pode ser definido. A. Inferir sensibilidade a partir da sensibilidade à benzilpenicilina. Ponto de corte p/ diâmetro do halo (mm) Ponto de corte p/ diâmetro do halo (mm) Notas Números para comentários gerais e/ou pontos de corte para CIM. Letras para comentários sobre disco-difusão. Notas Números para comentários gerais e/ou pontos de corte para CIM. Letras para comentários sobre disco-difusão. Penicilinas1 Conteúdo do disco (µg) Cefalosporinas Conteúdo do disco (µg) Ponto de corte p/ CIM (mg/L) Ponto de corte p/ CIM (mg/L) Regras de Especialistas e Tabelas de Resistência Intrínseca. Ponto de corte p/ diâmetro do halo (mm) Ponto de corte p/ CIM (mg/L) Determinação da CIM: (Microdiluição em caldo de acordo com a padronização ISO 20776-1) Meio de cultura: Caldo Mueller-Hinton + 5% de sangue lisado de cavalo e 20 mg/L β-NAD (Meio MH-F) Inóculo: 5 x 10 5 UFC/mL Incubação: Painéis selados, ar ambiente, 35±1ºC, 18±2h. Isolados com crescimento insuficiente após 16 - 20h de incubação devem ser imediatamente reincubados e as CIMs devem ser lidas após um total de 40-44 h de incubação. Leitura: Salvo orientação contrária, ler a CIM como a menor concentração do antimicrobiano que visualmente inibe por completo o crescimento bacteriano. Controle de qualidade: Haemophilus influenzae ATCC 49766. Para agentes não testados com tal cepa, ver tabela de CQ do BrCAST-EUCAST. Carbapenêmicos Conteúdo do disco (µg)
  • 61.
    59 Kingella kingae Tabelade Pontos de Corte Clínicos do BrCAST - EUCAST, ฀ válida a partir de 01-02-2019 S ч I R > AIT S ш I R < AIT Ciprofloxacino 0,06 - >0,06 5 28 - <28 Levofloxacino 0,125 - >0,125 5 28 - <28 S ч I R > AIT S ш I R < AIT Azitromicina 0,25 1 - >0,25 1 Nota A - Nota A 1. A sensibilidade pode ser inferida a partir da sensibilidade à eritromicina. Claritromicina 0,5 1 - >0,5 1 Nota A - Nota A Eritromicina 0,5 - >0,5 15 20 - <20 A. Inferir a sensibilidade a partir da sensibilidade à eritromicina. Clindamicina - - - - - - S ч I R > AIT S ш I R < AIT Doxiciclina 0,5 1 - >0,5 1 Nota A - Nota A Tetraciclina 0,5 - >0,5 30 28 - <28 S ч I R > AIT S ш I R < AIT Rifampicina 0,5 - >0,5 5 20 - <20 Sulfametoxazol-trimetoprim 1 0,25 - >0,25 23,75-1,25 28 - <28 1. Sulfametoxazol-trimetoprima na proporção 19:1. Os pontos de corte de CIM estão expressos como concentração de trimetoprima. 1/A. Isolados sensíveis às tetraciclinas são também sensíveis à doxiciclina, mas alguns isolados resistentes à tetraciclina podem ser sensíveis à doxiciclina. Caso necessário, um método de determinação da CIM deve ser utilizado para avaliar a sensibilidade à doxiciclina em isolados resistentes à tetraciclina. Agentes diversos Conteúdo do disco (µg) Notas Números para comentários gerais e/ou pontos de corte para CIM. Letras para comentários sobre disco-difusão. Ponto de corte p/ diâmetro do halo (mm) Ponto de corte p/ CIM (mg/L) Tetraciclinas Conteúdo do disco (µg) Notas Números para comentários gerais e/ou pontos de corte para CIM. Letras para comentários sobre disco-difusão. Ponto de corte p/ diâmetro do halo (mm) Ponto de corte p/ CIM (mg/L) Ponto de corte p/ CIM (mg/L) Macrolídeos e lincosamidas Conteúdo do disco (µg) Notas Números para comentários gerais e/ou pontos de corte para CIM. Letras para comentários sobre disco-difusão. Ponto de corte p/ diâmetro do halo (mm) Ponto de corte p/ diâmetro do halo (mm) Notas Números para comentários gerais e/ou pontos de corte para CIM. Letras para comentários sobre disco-difusão. Ponto de corte p/ CIM (mg/L) Conteúdo do disco (µg) Fluoroquinolonas Regras de Especialistas e Tabelas de Resistência Intrínseca.
  • 62.
    60 Disco-difusão (método dedisco-difusão padronizado pelo EUCAST) Meio de cultura: Ágar Mueller-Hinton Inóculo: McFarland 0,5 Incubação: Ar ambiente, 35±1ºC, 18±2h Leitura: Salvo orientação contrária, ler as bordas dos halos de inibição do ponto em que não há mais crescimento, visto da parte posterior da placa, contra um fundo escuro e sob luz refletida. Controle de qualidade: Pseudomonas aeruginosa ATCC 27853. Para agentes não testados com tal cepa, ver tabela de CQ do BrCAST- EUCAST. S ч I R > AIT S ш I R < AIT Cefepima 1 2-4 >4 30 27 24-26 <24 Ceftazidima 1 2-4 >4 10 24 21-23 <21 S ч I R > AIT S ш I R < AIT Aztreonam 1 2-4 >4 30 29 26-28 <26 S ч I R > AIT S ш I R < AIT Ciprofloxacino 0,25 0,5 >0,5 5 27 24-26 <24 Levofloxacino 0,5 1 >1 5 27 24-26 <24 Regras de Especialistas e Tabelas de Resistência Intrínseca. Ponto de corte p/ diâmetro do halo (mm) Monobactâmicos Conteúdo do disco (µg) Determinação da CIM: (Microdiluição em caldo de acordo com a padronização ISO 20776-1) Meio de cultura: Caldo Mueller-Hinton Inóculo: 5 x 10 5 UFC/mL Incubação: Painéis selados, ar ambiente, 35±1ºC, 18±2h Leitura: Salvo orientação contrária, ler a CIM como a menor concentração do antimicrobiano que visualmente inibe por completo o crescimento bacteriano. Controle de qualidade: Pseudomonas aeruginosa ATCC 27853. Para agentes não testados com tal cepa, ver tabela de CQ do BrCAST-EUCAST. Cefalosporinas Conteúdo do disco (µg) Ponto de corte p/ CIM (mg/L) Ponto de corte p/ CIM (mg/L) Ponto de corte p/ diâmetro do halo (mm) Notas Números para comentários gerais e/ou pontos de corte para CIM. Letras para comentários sobre disco-difusão. Fluoroquinolonas Conteúdo do disco (µg) Notas Números para comentários gerais e/ou pontos de corte para CIM. Letras para comentários sobre disco-difusão. Ponto de corte p/ CIM (mg/L) Ponto de corte p/ diâmetro do halo (mm) Notas Números para comentários gerais e/ou pontos de corte para CIM. Letras para comentários sobre disco-difusão. Tabela de Pontos de Corte Clínicos do BrCAST - EUCAST, ฀ válida a partir de 01-02-2019 Aeromonas spp.
  • 63.
    61 Aeromonas spp. Tabelade Pontos de Corte Clínicos do BrCAST - EUCAST, ฀ válida a partir de 01-02-2019 S ч I R > AIT S ш I R < AIT Sulfametoxazol-trimetoprim 1 2 4 >4 23,75-1,25 19 A 16-18 A <16 A 1. Sulfametoxazol-trimetoprima na proporção 19:1. Os pontos de corte de CIM estão expressos como concentração de trimetoprima. A. Ao aferir o diâmetro do halo, considerar a borda bem definida e ignorar névoa ou crescimento dentro do halo. (Ver figuras abaixo). Exemplos de zonas de inibição de Aeromonas spp. com sulfametoxazol-trimetoprima a-c) Ao aferir o diâmetro do halo, considerar a borda bem definida e ignorar névoa ou crescimento dentro do halo de inibição. Agentes diversos Conteúdo do disco (µg) Regras de Especialistas e Tabelas de Resistência Intrínseca. Notas Números para comentários gerais e/ou pontos de corte para CIM. Letras para comentários sobre disco-difusão. Ponto de corte p/ diâmetro do halo (mm) Ponto de corte p/ CIM (mg/L)
  • 64.
    62 Mycobacterium tuberculosis Tabelade Pontos de Corte Clínicos do BrCAST - EUCAST, ฀ válida a partir de 01-02-2019 Regras de Especialistas e Tabelas de Resistência Intrínseca. Os pontos de corte listados foram determinados em paralelo com a autorização de comercialização pela EMA. Os pontos de corte para outros agentes ainda não foram estabelecidos. A metodologia de referência está em desenvolvimento. Os pontos de corte listados podem mudar quando os testes estiverem concluídos. S ч I R > AIT Delamanide 0,06 - >0,06 Bedaquilina 0,25 1 - 0,25 1 Notas Números para comentários gerais e/ou pontos de corte para CIM. 1. Os pontos de corte aplicam-se apenas aos testes realizados em meio Middlebrook 7H11/7H10. A comparabilidade com outros meios não foi estabelecida. Ponto de corte p/ CIM (mg/L) O complexo Mycobacterium tuberculosis inclui diferentes espécies e variantes, tais como M. tuberculosis var. canetti, M. tuberculosis var. tuberculosis, M. tuberculosis var. africanum e M. tuberculosis var. bovis. Os pontos de corte só foram estabelecidos para M. tuberculosis var. tuberculosis.
  • 65.
    63 1. Utilizar ECOFFspara todos os agentes quando o uso for tópico. 2. Utilizar pontos de corte clínicos quando disponíveis e ECOFFs quando não houver pontos de corte clínicos. ECOFF1,2 2 0,125 0,25 0,5 16 2 - 8 - - - Ponto de corte clínico sistêmico1 2/4 0,25/0,5 0,5/1 0,25/0,5 8/8 2/2 - - - - - ECOFF1 8 0,5 2 2 - 4 - ND - - - Ponto de corte clínico sistêmico1 4/4 0,5/0,5 1/1 - - 2/2 - - - - - ECOFF1,2 4 1 0,5 1 - 2 - ND - - - Ponto de corte clínico sistêmico1 4/4 0,06/1 0,5/1 - - 2/2 - - - - - ECOFF1 2 1 1 1 16 - 0,5 1 ND 14 0,5 Ponto de corte clínico sistêmico1 1/1 1/1 1/1 1/1 8/8 - 1/1 - - - - ECOFF1 - 2 2 4 8 - 32 ND ND - - Ponto de corte clínico sistêmico1 - - 2/2 - 8/8 - - - - - - ECOFF1,2 - 2 2 4 8 - 32 ND ND 0,5 0,125 Ponto de corte clínico sistêmico1 - - 2/2 - 8/8 - IE - - - - ECOFF1 4 0,06 0,06 0,125 1 - ND ND - - - Ponto de corte clínico sistêmico1 EI 0,06/0,06 0,06/0,06 0,06/0,06 2/2 - - - - - - ECOFF1,2 0,25 0,125 0,125 0,25 2 - ND ND - - - Ponto de corte clínico sistêmico1 EI 0,125/0,125 0,125/0,125 0,25/0,25 2/2 - - - - - - Notas 1 ECOFFs e pontos de corte clínicos sistêmicos em mg/L. 2 Este ECOFF é o representativo para as espécies mais relevantes. 3 Agentes também disponíveis para uso sistêmico. 4 Pontos de corte para descontaminação nasal S≤1, R>256 mg/L (S≥30, R<18 mm para discos de 200 µg de mupirocina). Isolados intermediários apresentam supressão temporária (útil em pré-operatório) mas, ao contrário dos isolados sensíveis, as taxas de erradicação a longo prazo são baixas. ND = ECOFF não definido nas distribuições de CIMs no site do EUCAST. S. pneumoniae Cloranfenicol 3 Colistina 3 (p/ Polimixina B) Ácido Fusídico 3 Neomicina Enterobacterales P. aeruginosa Acinetobacter spp. S. aureus Organismos Gentamicina 3 Ciprofloxacino 3 Levofloxacino 3 Ofloxacino 3 ECOFFs e pontos de corte clínicos sistêmicos para antimicrobianos de uso tópico Tabela de Pontos de Corte Clínicos do BrCAST - EUCAST, ฀ válida a partir de 01-02-2019 Streptococcus A, B, C e G H. influenzae Moraxella spp. Na ausência de dados clínicos sobre resposta relacionada à CIM do organismo infectante, o EUCAST não acha possível chegar a um consenso que resolva opiniões conflitantes sobre as duas alternativas propostas (para detalhes ver o documento de orientações): Para informação, a tabela apresenta pontos de corte clínicos sistêmicos e ECOFFs para agentes que são de uso sistêmico e tópico e de ECOFFs para agentes exclusivamente de uso tópico (notar que os pontos de corte de mupirocina são a exceção). Retapamulina Bacitracina Mupirocina
  • 66.
    64 Pontos de cortePK/PD (Não relacionados à espécie) Tabela de Pontos de Corte Clínicos do BrCAST - EUCAST, ฀ válida a partir de 01-02-2019 S ч I R > Benzilpenicilina 0,25 0,5-2 >2 1. Para fins de teste de sensibilidade, a concentração de sulbactam é fixada em 4 mg/L Ampicilina 2 4-8 >8 2. Para fins de teste de sensibilidade, a concentração de ácido clavulânico é fixada em 2 mg/L. Ampicilina-sulbactam 2 1 4-8 1 >8 1 3. Para fins de teste de sensibilidade, a concentração de tazobactam é fixada em 4 mg/L. Amoxicilina 2 4-8 >8 Amoxicilina-ácido clavulânico 2 2 4-8 2 >8 2 Piperacilina 4 8-16 >16 Piperacilina-tazobactam 4 3 8-16 3 >16 3 Ticarcilina 8 16 >16 Ticarcilina-ácido clavulânico 8 2 16 2 >16 2 Fenoximetilpenicilina EI EI EI Oxacilina EI EI EI S ≤ I R > Cefaclor EI EI EI Cefadroxila EI EI EI Cefalexina EI EI EI Cefazolina 1 2 >2 Cefepima 4 8 >8 Cefixima EI EI EI Cefotaxima 1 2 >2 Cefoxitina EI EI EI Cefpodoxima EI EI EI Ceftarolina 0,5 1 - >0,5 1 Ceftazidima 4 8 >8 Ceftazidima-avibactam 8 2 - >8 2 Ceftibuten EI EI EI Ceftobiprole 4 - >4 Ceftolozana-tazobactam 4 3,4 - >4 3,4 Ceftriaxona 1 2 >2 Cefuroxima iv 4 8 >8 Cefuroxima oral EI EI EI 1. Baseado em alvo PK/PD de organismos gram-negativos. 2. Para fins de teste de sensibilidade a concentração de avibactam é fixada em 4 mg/L. 3. Pontos de corte baseados em dados de ceftolozana. 4. Para fins de teste de sensibilidade a concentração de tazobactam é fixada em 4 mg/L. Estes pontos de corte devem ser utilizados apenas quando não houver pontos de corte específicos para a espécie ou outras recomendações (valor, "-" ou nota) nas tabelas específicas. A CIM deve ser sempre reportada no resultado. Se a CIM for maior que o ponto de corte PK/PD de resistência, desaconselhar o uso do agente. Se a CIM for menor ou igual ao ponto de corte PK/PD de sensibilidade, sugerir que o agente pode ser usado com precaução. Incluir uma nota de que a orientação é baseada apenas em Pontos de corte PK/PD e incluir a dosagem na qual o ponto de corte está baseado. Mais informações estão disponíveis no documento " Antimicrobial susceptibility tests on groups of organisms or agents for which there are no EUCAST breakpoints" Penicilinas Notas Notas Ponto de corte p/ CIM (mg/L) Cefalosporinas Ponto de corte p/ CIM (mg/L)
  • 67.
    65 Pontos de cortePK/PD (Não relacionados à espécie) Tabela de Pontos de Corte Clínicos do BrCAST - EUCAST, ฀ válida a partir de 01-02-2019 S ≤ I R > Doripenem Ertapenem 0,5 - >0,5 Imipenem 2 4 >4 Meropenem 2 4-8 >8 Meropenem 8 1 - >8 1 S ч I R > Aztreonam 4 8 >8 S ч I R > Ciprofloxacino 0,25 0,5 >0,5 Levofloxacino 0,5 1 >1 Moxifloxacino 0,25 - >0,25 Ácido nalidíxico (triagem) EI EI EI Norfloxacino EI EI EI Ofloxacino 0,25 0,5 >0,5 S ≤ I R > Amicacina EI EI EI Gentamicina EI EI EI Netilmicina EI EI EI Tobramicina EI EI EI S ≤ I R > Dalbavancina 0,25 1 - >0,25 1 Oritavancina 0,125 1,2 - >0,125 1,2 Teicoplanina EI EI EI Telavancina EI EI EI Vancomicina EI EI EI Glicopeptídeos e Lipopeptídeos Ponto de corte p/ CIM (mg/L) 1. Para a determinação de CIM por microdiluição, o meio deve ser suplementado com polissorbato 80 a uma concentração final de 0,002%. 2. Os pontos de corte de PK/PD são para S. aureus . Para S. pyogenes, há incerteza em relação ao alvo PK/PD. Notas Notas Aminoglicosídeos Ponto de corte p/ CIM (mg/L) Notas Ponto de corte p/ CIM (mg/L) Monobactâmicos Ponto de corte p/ CIM (mg/L) Fluoroquinolonas Notas Notas 1. Para fins de teste de susceptibilidade, a concentração de vaborbactam é fixada em 8 mg/l. Carbapenêmicos Ponto de corte p/ CIM (mg/L)
  • 68.
    66 Pontos de cortePK/PD (Não relacionados à espécie) Tabela de Pontos de Corte Clínicos do BrCAST - EUCAST, ฀ válida a partir de 01-02-2019 S ≤ I R > Azitromicina EI EI EI Claritromicina EI EI EI Eritromicina EI EI EI Roxitromicina EI EI EI Telitromicina EI EI EI Clindamicina EI EI EI Quinupristina-dalfopristina EI EI EI S ≤ I R > Doxiciclina EI EI EI Minociclina EI EI EI Tetraciclina EI EI EI Tigeciclina 0,5 1 - >0,5 1 S ≤ I R > Cloranfenicol EI EI EI Colistina EI EI EI Daptomicina EI EI EI Fosfomicina iv EI EI EI Fosfomicina oral EI EI EI Ácido fusídico EI EI EI Linezolida 2 4 >4 Metronidazol EI EI EI Nitrofurantoína EI EI EI Rifampicina EI EI EI Espectinomicina EI EI EI Trimetoprima EI EI EI Sulfametoxazol-trimetoprima EI EI EI Agentes diversos Ponto de corte CIM (mg/L) Tetraciclinas Ponto de corte CIM (mg/L) Macrolídeos, lincosamidas e estreptograminas Ponto de corte p/ CIM (mg/L) 1. Para a determinação da CIM de tigeciclina por microdiluição em caldo, o meio deve ser preparado fresco no dia do uso. Notas Notas Notas
  • 69.
    67 Dosagens Penicilinas Dose PadrãoDose Alta Situações específicas Benzilpenicilina1 0,6 g1 (1 MU) x 4 iv 1,2 g1 (2 UM) x 4-6 iv Meningite: Para uma dose de 2,4 g (4 MU) x 6 iv, isolados com CIM 0,06 mg/L são sensíveis. Na pneumonia causada por S. pneumoniae os pontos de corte são relacionados com a dosagem: Para a dose de 1,2 g (2 MU) x 4 iv, isolados com CIM ≤0,5 mg/L são sensíveis. Para a dose de 2,4 g (4 MU) x 4 iv ou 1,2 g (2 MU) x 6 iv, isolados com CIM ≤1 mg/L são sensíveis. Para a dose de 2,4 x 6 iv, isolados com CIM ≤2 mg/L são sensíveis. Ampicilina 2 g x 3 iv 2 g x 4 iv Meningite: 2g x 6 iv Ampicilina-sulbactam (2 g ampicilina + 1 g sulbactam) x 3 iv (2 g ampicilina + 1 g sulbactam) x 4 iv 1 g x 3-4 iv 2 g x 6 iv Meningite: 2g x 6 iv em revisão Amoxicilina oral 0,5 g x 3 0,75 g - 1g x 3 H. influenzae: somente doses altas (1 g de amoxicilina + 0,2 g de ác. clavulânico) x 3-4 iv (2 g de amoxicilina + 0,2 g de ác. clavulânico) x 3 iv em revisão Amoxicilina-ácido clavulânico oral (0,5 g amoxicilina + 0,125 g ác. clavulânico) x 3 (0,875 g amoxicilina + 0,125 g ác. clavulânico) x 3 H. influenzae: somente doses altas Piperacilina 4 g x 3 iv 4 g x 4 iv Pseudomonas spp.: Somente doses altas Piperacilina-tazobactam (4 g piperacilina + 0,5 g tazobactam) x 3 iv (4 g piperacilina + 0,5 g tazobactam) x 4 iv Pseudomonas spp.: Somente doses altas Ticarcilina 3 g x 4 iv 3 g x 6 iv Pseudomonas spp.: Somente doses altas Ticarcilina-ácido clavulânico (3 g ticarcilina + 0,1/0,2 g ác. clavulânico) x 4 iv (3 g ticarcilina + 0,1 g ácido clavulânico) x 6 iv Pseudomonas spp.: Somente doses altas Fenoximetilpenicilina 0,5-2 g x 3-4 oral dependendo da espécie e ou tipo de infecção Não há Oxacilina 1 g x 4 iv 1 g x 6 iv Cloxacilina 0,5 g x 4 oral ou 1 g x 4 iv 1 g x 4 oral ou 2 g x 6 iv Dicloxacilina 0,5-1 g x 4 oral ou 1 g x 4 iv 2 g x 4 oral ou 2 g x 6 iv Flucloxacilina 1 g x 3 oral ou 2 g x 4 iv (ou 1 g x 6 iv) 1 g x 4 oral ou 2 g x 6 iv Mecilinam 0,2 g x 3 oral 0,4 g x 3 oral Tabela de Pontos de Corte Clínicos do BrCAST - EUCAST, ฀ válida a partir de 01-02-2019 Os pontos de corte do EUCAST são baseados nas seguintes dosagens (consultar a seção 8 em Documentos do Racional). Regimes de dosagem alternativos que resultam em exposição equivalente são aceitáveis. A tabela não deve ser considerada uma orientação exaustiva para a dosagem na prática clínica, e não substitui as diretrizes específicas locais, nacionais ou regionais. Amoxicilina iv Amoxicilina-ácido clavulânico iv
  • 70.
    68 Dosagens Cefalosporinas Dose PadrãoDose Alta Situações específicas Cefaclor 0,25-1 g x 3 oral dependendo da espécie e ou tipo de infecção Não há Staphylococcus spp.: Dose mínima 0,5 g x 3 Cefadroxila 0,5-1 g x 2 oral dependendo da espécie e ou tipo de infecção Não há Cefalexina 0,25-1 g x 2-3 oral dependendo da espécie e ou tipo de infecção Não há Cefazolina 1 g x 3-4 (ou 2 g x 3) iv dependendo da espécie e ou tipo de infecção Não há Cefepima 1 g x 3 ou 2 g x 2 iv 2 g x 3 iv Pseudomonas spp.: somente doses altas Cefixima 0,2-0,4 g x 2 Não há Gonorreia: 0,4 g oral em dose única Cefotaxima 1 g x 3 iv 2 g x 3 iv Meningite: 2 g x 4 iv S. aureus: somente doses altas Gonorreia: 0,5 g im em dose única Cefpodoxima 0,1-0,2 g x 2 oral dependendo da espécie e ou tipo de infecção Não há Ceftarolina 0,6 g x 2 iv infusão em 1 hora 0,6 g x 3 iv infusão em 2 horas S. aureus em infecções de pele complicadas: Existem algumas evidências de PK/PD que sugerem que isolados com CIM de 4 mg/L podem ser tratados com doses altas. Ceftazidima 1 g x 3 iv 2 g x 3 iv ou 1 g x 6 iv Pseudomonas spp.: Somente doses altas Ceftazidima-avibactam (2 g ceftazidima + 0,5 g avibactam) x 3 infusão em 2 horas Não há Ceftibuten 0,4 g x 1 oral Não há Ceftobiprole 0,5 g x 3 iv infusão em 2 horas Não há Ceftolozana-tazobactam (1 g ceftolozana + 0,5 g tazobactam) x 3 iv infusão em 1 hora Em avaliação Ceftriaxona 1 g x 1 iv 2 g x 2 iv Meningite: 4g x 1 iv S. aureus: somente doses altas Gonorreia: 0,5 g im em dose única Cefuroxima iv 0,75 g x 3 iv 1,5 g x 3 iv E. coli, Klebsiella spp. (exceto K. aerogenes ), Raoultella spp. e P. mirabilis: Somente doses altas Cefuroxima oral 0,25-0,5 g x 2 oral dependendo da espécie e ou tipo de infecção Não há Carbapenêmicos Dose Padrão Dose Alta Situações específicas Doripenem Ertapenem 1 g x 1 iv durante 30 minutos Não há Imipenem 0,5 g x 4 iv durante 30 minutos 1 g x 4 iv durante 30 minutos Pseudomonas spp.: Somente doses altas Acinetobacter spp.: Somente doses altas Meropenem 1 g x 3 iv durante 30 minutos 2 g x 3 iv durante 3 horas Meningite: 2 g x 3 iv em 30 minutos (ou 3 horas) Meropenem-vaborbactam (2 g meropenem + 2 g vaborbactam) x 3 iv durante 3 horas Não há Monobactâmicos Dose Padrão Dose Alta Situações específicas Aztreonam 1 g x 3 iv 2 g x 4 iv Pseudomonas spp.: Somente doses altas Tabela de Pontos de Corte Clínicos do BrCAST - EUCAST, ฀ válida a partir de 01-02-2019
  • 71.
    69 Dosagens Fluoroquinolonas Dose PadrãoDose Alta Situações específicas Ciprofloxacino 0,5 g x 2 oral ou 0,4 g x 2 iv 0,75 g x 2 oral ou 0,4 g x 3 iv Pseudomonas spp.: Somente doses altas Acinetobacter spp.: Somente doses altas Staphylococcus spp.: Somente doses altas Gonorreia: 0,5 g oral em dose única. Levofloxacino 0,5 g x 1 oral ou 0,5 g x 1 iv 0,5 g x 2 oral ou 0,5 g x 2 iv Pseudomonas spp.: Somente doses altas Acinetobacter spp.: Somente doses altas Streptococcus grupo A, B, C e G: Somente doses altas S. pneumoniae : Somente doses altas Moxifloxacino 0,4 g x 1 oral ou 0,4 g x 1 iv Não há Norfloxacino 0,4 g x 2 oral Não há Ofloxacino 0,2 g x 2 oral ou 0,2 g x 2 iv 0,4 g x 2 oral ou 0,4 g x 2 iv Staphylococcus spp.: Somente doses altas + combinação Aminoglicosídeos Dose Padrão Dose Alta Situações específicas Amicacina 20 mg/kg x 1 iv 30 mg/kg x 1 iv Enterobacteriaceae : Somente doses altas Pseudomonas spp.: Somente doses altas Acinetobacter spp.: Somente doses altas Gentamicina 5 mg/kg x 1 iv 7 mg/kg x 1 iv Enterobacteriaceae : Somente doses altas Pseudomonas spp.: Somente doses altas Acinetobacter spp.: Somente doses altas Netilmicina 5 mg/kg x 1 iv 7 mg/kg x 1 iv Enterobacteriaceae : Somente doses altas Pseudomonas spp.: Somente doses altas Acinetobacter spp.: Somente doses altas Tobramicina 5 mg/kg x 1 iv 7 mg/kg x 1 iv Enterobacteriaceae : Somente doses altas Pseudomonas spp.: Somente doses altas Acinetobacter spp.: Somente doses altas Glicopeptídeos e lipopeptídeos Dose Padrão Dose Alta Situações específicas 1 g x 1 iv durante 30 minutos no dia 1 Se necessário, 0,5 g x 1 iv durante 30 minutos no dia 8 Oritavancina 1,2 g x 1 (dose única) iv durante 3 h Não há Teicoplanina 0,4 g x 1 iv 0,8 g x 1 iv Telavancina 10 mg/kg x 1 iv durante 1 h Não há 0,5 g x 4 iv ou 1 g x 2 iv ou 2 g x 1 por infusão contínua Macrolídeos, lincosamidas e estreptograminas Dose Padrão Dose Alta Situações específicas Azitromicina 0,5 g x 1 oral ou 0,5 g x 1 iv Não há Gonorreia: 2 g oral em dose única Claritromicina 0,25 g x 2 oral 0,5 g x 2 oral Eritromicina 0,5 g x 2-4 oral ou 0,5 g x 2-4 iv 1 g x 4 oral ou 1 g x 4 iv Roxitromicina 0,15 g x 2 oral Não há Telitromicina 0,8 g x 1 oral Não há Clindamicina 0,3 g x 2 oral ou 0,6 g x 3 iv 0,3 g x 4 oral ou 0,9 g x 3 iv Quinupristina-dalfopristina 7,5 mg/kg x 2 7,5 mg/kg x 3 Dalbavancina Não há Não há Vancomicina Tabela de Pontos de Corte Clínicos do BrCAST - EUCAST, ฀ válida a partir de 01-02-2019 Baseado no peso corporal. O monitoramento terapêutico deve orientar a dosagem.
  • 72.
    70 Dosagens Tetraciclinas Dose PadrãoDose Alta Situações específicas Doxiciclina 0,1 g x 1 oral 0,2 g x 1 oral Eravaciclina 1 mg/kg x 2 iv Não há Minociclina 0,1 g x 2 oral Não há Tetraciclina 0,25 g x 4 oral 0,5 g x 4 oral Tigeciclina 0,1 g dose de ataque seguida por 50 mg x 2 iv Não há Oxazolidinonas Dose Padrão Dose Alta Situações específicas Linezolida 0,6 g x 2 oral ou 0,6 g x 2 iv Não há Tedizolida 0,2 g x 1 oral Não há Agentes Diversos Dose Padrão Dose Alta Situações específicas Cloranfenicol 1 g x 4 oral ou 1 g x 4 iv 2 g x 4 oral ou 2 g x 4 iv Neisseria meningitidis: Somente doses altas Polimixina B 15.000 - 25.000 U/Kg/dia IV, divididas 12/12h 30.000 U/Kg/dia IV, divididas 12/12h Colistina 4,5 MU x 2 iv com dose de ataque de 9 MU Não há Daptomicina 4 mg/kg x 1 iv 6 mg/kg x 1 iv Fosfomicina iv 4 g x 3 iv 8 g x 3 iv Fosfomicina oral 3 g x 1 oral em dose única Não há Ácido fusídico 0,5 g x 2 oral ou 0,5 g x 2 iv 0,5 g x 3 oral ou 0,5 g x 3 iv Metronidazol 0,4 g x 3 oral ou 0,4 g x 3 iv 0,5 g x 3 oral ou 0,5 g x 3 iv Nitrofurantoína 50-100 mg x 3-4 oral Não há A dosagem dependente da formulação do fármaco. Nitroxolina 0,25 g x 3 Não há Rifampicina 0,6 g x 1 oral ou 0,6 g x 1 iv 0,6 g x 2 oral ou 0,6 g x 2 iv Espectinomicina 2 g x 1 im Não há Gonorreia: 2 g oral em dose única Trimetoprima 0,16 g x 2 oral Não há (0,8 g sulfa + 0,16 g trimetoprima) x 2 oral (1,2 g sulfa + 0,24 g trimetoprima + ) x 2 oral ou (0,8 g sulfa + 0,16 g trimetoprima) x 2 iv ou (1,2 g sulfa + 0,24 g trimetoprima) x 2 iv Stenotrophomonas maltophilia : Somente doses altas 1- Para benzilpenicilina (penicilina G cristalina) a correspondência entre unidades internacionais (U) e miligramas (mg) é padronizada e depende do sal: 1.667 U/mg, para o sal sódico e 1.595 U/mg, para o sal potássico. Sulfametoxazol-Trimetoprima Tabela de Pontos de Corte Clínicos do BrCAST - EUCAST, ฀ válida a partir de 01-02-2019
  • 73.
    Redefinição das categoriasdos testes de sensibilidade S, I e R. Gunnar Kahlmeter e Comitê Gestor do EUCAST Redefinição S, I e R 2019 - www.eucast.org
  • 74.
    Esta apresentação podeser usada tal como está, traduzida ou adaptada. Deve incluir a citação Esta apresentação pode ser consultada na sua versão original em www.eucast.org . A apresentação descreve alterações nas definições das categorias dos testes de sensibilidade S, I e R e as suas consequências. As alterações entram em vigor com a tabela de pontos de corte EUCAST v 9.0 (2019). Redefinição S, I e R 2019 - www.eucast.org
  • 75.
    Redefinição S, Ie R 2019 - www.eucast.org O Comitê Gestor do EUCAST (CG) decidiu alterar as definições das categorias dos testes de sensibilidade mas manter as abreviaturas S, I e R. Esta decisão foi tomada em Junho, 2018, após três consultas gerais (2015, 2017 e 2018). Os resultados destas consultas estão disponíveis em www.eucast.org (ver Consultations). As novas difinições são válidas a partir de 01-01-2019 (Tabela de Pontos de Corte EUCAST v. 9.0).
  • 76.
    As definições S,I e R desde 2002 – 2018 As defi ições a tigas Desde 2002, o EUCAST tem usado as seguintes definições para categorizar os microrganismos como possibilidade de utilização de determinado antimicrobiano no seu tratamento. Os pontos de corte na Tabela de Pontos de Corte são clínicos, i.e. são utilizados para predizer a resposta clínica no paciente infetado. S = Sensível I = Intermediário R = Resistente Redefinição S, I e R 2019 - www.eucast.org
  • 77.
    Redefinição S, Ie R 2019 - www.eucast.org Definições 2002 – 2018 ( aàdefi içãoàa tiga Definições do EUCAST relativamente aos pontos de corte clínicos e valores de cut-off epidemiológicos Resistência clínica e pontos de corte clínicos Clinicamente Sensível (S) • Um microrganismo é definido como sensível a determinado antimicrobiano quando é elevada a probabilidade de sucesso terapêutico. • Um microrganismo é considerado (S) aplicando o ponto de corte apropriado num determinado teste fenotípico. • Este ponto de corte pode ser alterado quando legitimado por alteração das circunstâncias. Clinicamente Intermediário (I) • Um microrganismo é definido como intermediário a determinado antimicrobiano quando existe um certo grau de incerteza na sua eficácia terapêutica. Implica que a infecção causada por este isolado pode ser tratada se ocorrer em locais onde o fármaco esteja fisicamente concentrado ou quando altas doses do fármaco possam ser usadas; também indica uma zona de transição que pode prevenir pequenos erros técnicos não controláveis, evitando causar discrepâncias maiores na interpretação. • Um microrganismo é categorizado como intermediário (I) por aplicação do ponto de corte apropriado a um determinado teste fenotípico. • Este ponto de corte pode ser alterado quando legitimado por alteração das circunstâncias. Clinicamente resistente (R) • Um microrganismo é definido como resistente a determinado antimicrobiano quando associado a elevada probabilidade de falha terapêutica. • Um microrganismo é categorizado como resistente (R) por aplicação do ponto de corte apropriado a um determinado teste fenotípico. • Este ponto de corte pode ser alterado quando legitimado por alteração das circunstâncias. Pontos de corte clínicos são apresentados como S<=x mg/L; I>x, <=y mg/L; R>y mg/L
  • 78.
    Na antiga definiçãoa categoria intermediário no resultado do TSA não era clara Redefinição S, I e R 2019 - www.eucast.org U à i rorga is oàéàdefi idoà o oài ter ediárioàporàu à ívelà de atividade do antimicrobiano associado a um efeito terapêutico incerto. Isto implica que uma infecção causada por este agente pode ser apropriadamente tratada em sítios anatômicos onde o antimicrobiano esteja fisiologicamente concentrado ou quando uma dose alta do antimicrobiano pode ser utilizada; também indica uma zona tampão para impedir que fatores técnicos menores, não controlados, causem discrepâncias maiores nas interpretações.
  • 79.
    A antiga definiçãode intermediário engloba quatro definições numa só 1. Efeito terapêutico incerto (farmacologia/microbiologia) 2. Onde os antimicrobianos são fisiologicamente concentrados (farmacocinética) 3. Quando uma dose alta possa ser utilizada (farmacologia/toxicologia) 4. Uma zona tampão para impedir erros técnicos (metodologia) Redefinição S, I e R 2019 – www.eucast.org
  • 80.
    Resultados intermediários incluem… •Incerteza – Efeito terapêutico incerto – Resultado laboratorial incerto • Exposição – Antimicrobiano fisiologicamente concentrado – Estratégia terapêutica (dose, frequência, modo de administração) Redefinição S, I e R 2019 - www.eucast.org
  • 81.
    Incerteza e Exposição •Incerteza – responsibilidade dos comitês de pontos de corte Pontos de corte devem evitar dividir as distribuições de CIM da população selvagem de espécies importantes; caso contrário a reprodutibilidade nos TSA não poderá ser atingida. – responsibilidade dos laboratórios Os laboratórios são responsáveis por utilizar métodos e critérios interpretativos apropriados e pelo controle de qualidade (CQ) dos seus resultados. Redefinição S, I e R 2019 - www.eucast.org
  • 82.
    • Exposição – Responsabilidadedos comitês de pontos de corte Os comitês de pontos de corte devem informar aos usuários sobre estratégias terapêuticas relevantes para os pontos de corte e sob quais outras condições os pontos de corte são válidos. – Responsabilidade dos clínicos É possível ajustar o nível de exposição alterando a estratégia de dosagem; dose individual, frequência da dose, de oral para intravenosa, de intermitente para infusão contínua. Incerteza e Exposição Redefinição S, I e R 2019 - www.eucast.org
  • 83.
    O nível atingívelde exposição* depende de muitos fatores. Diferenças individuais na farmacocinética são permitidas nos cálculos dos índices farmacodinâmicos por simulação populacional. Outros fatores que se seguem são determinados pelo local da infeção e podem variar ao longo da terapia: 1. Local da infeção – concentração em certos tecidos e fluidos corporais pode ser alta (urina, bile, tecidos linfáticos) 2. Dose e frequência da administração 3. Modo de administração (oral, intravenosa, infusão intravenosa, etc) *Exposição é a função de como o modo de administração, dose, intervalo entre as doses, tempo de infusão, assim como a distribuição, o metabolismo e excreção do antimicrobiano irão influenciar o organismo infectante no local da infecção. Todos os pontos de corte clínicos estão relacionados a um nível atingível de exposição* do microrganismo Redefinição S, I e R 2019 - www.eucast.org
  • 84.
    Dosagens e modosde administração estão na tabela de pontos de corte do EUCAST Os pontos de corte do EUCAST estão relacionados com as doses e modos de ad i istraçãoàlistadosàpeloàEUCá“Tà osàdo u e tosàdoà Rationale àeà aà tabela de pontos de corte, na aba Dosagens. Com esquemas terapêuticos diferentes dos listados nas tabelas EUCAST, os pontos de corte podem ser inválidos. Por este motivo o EUCAST fez um grande esforço para consultar todos os países a fim de verificar se as doses e o modos de administração listados nos documentos do EUCAST são representativos das práticas internacionais. Redefinição S, I e R 2019 - www.eucast.org
  • 85.
    Novas definições deS, I e R • As alterações nas definições das categorias S e R são menores. Elas enfatizam a relação entre a categoria de sensibilidade e o nível de exposição. • As alterações na categoria I terão impacto maior em nível clínico e técnico e afetarão a vigilância epidemiológica da resistência antimicrobiana. Estas alterações implicaram na mudança de alguns pontos de corte. Redefinição S, I e R 2019 - www.eucast.org
  • 86.
    As novas definiçõesrefletem a necessidade de exposição correta e a responsabilidade dos laboratórios pela resolução das dificuldades técnicas antes da finalização do TSA. Os esquemas terapêuticos relevantes para os pontos de corte do EUCAST estão disponíveis na tabela de pontos de corte, na aba Dosagens. Estas são as novas definições: As novas definições S, I e R Redefinição S, I e R 2019 - www.eucast.org
  • 87.
    Sensível, dosagem padrão( S ) Redefinição S, I e R 2019 - www.eucast.org S - Sensível, dose padrão: Um microrganismo é categorizado como Sensível, dosagem padrão*, quando há uma alta probabilidade de sucesso terapêutico utilizando o regime de dosagem padrão do agente. *Exposição depende do modo como, a via de administração, a dose, o intervalo entre as doses, o tempo de infusão assim com a distribuição, o metabolismo e a excreção do antimicrobiano, influenciam o microrganismo no local da infecção.
  • 88.
    Sensível, aumentando exposição( I ) I – Sensível, aumentando exposição: Um microrganismo é categorizado como Sensível, aumentando exposição* quando há uma alta probabilidade de sucesso terapêutico porque a exposição foi aumentada ajustando-se o regime de dosagem ou sua concentração no local de infecção. *Exposição depende do modo como, a via de administração, a dose, o intervalo entre as doses, o tempo de infusão assim com a distribuição, o metabolismo e a excreção do antimicrobiano, influenciam o microrganismo no local da infecção. Redefinição S, I e R 2019 - www.eucast.org
  • 89.
    Resistente ( R) R - Resistente: um microrganismo é categorizado como Resistente quando há alta probabilidade de falha terapêutica mesmo quando há aumento da exposição*. *Exposição depende do modo como, a via de administração, a dose, o intervalo entre as doses, o tempo de infusão assim com a distribuição, o metabolismo e a excreção do antimicrobiano, influenciam o microrganismo no local da infecção. Redefinição S, I e R 2019 - www.eucast.org
  • 90.
    Redefining S, Iand R 2019 - www.eucast.org SIR – as definições antigas Resistente Intermediário Efeito incerto. Zona tampão para variações técnicas. Para dose alta. Por razões farmacocinéticas está concentrado. Sensível
  • 91.
    Redefining S, Iand R 2019 - www.eucast.org SIR - novas definições 2019 Sensível Exposição normal Exposição aumentada Resistente
  • 92.
    Decisão EUCAST 2018 •Alterar a definição de S, I e R. • Manter as abreviaturas S, I e R. • Enfatizar a relação entre exposição do microrganismo nos locais de infeção e o ponto de corte, e encarregar os Comitês Nacionais de TSA (National AST Committees-NAC) de informar os colegas sobre a relação entre o esquema terapêutico e os pontos de corte. • Encarregar os laboratórios a assumir a responsabilidade de lidarà o à variaçãoàté i aàeàerros .à Redefinição S, I e R 2019 - www.eucast.org
  • 93.
    Co àaàdefi içãoàodifi adaàdaà ategoriaà ategoria-I …. ….aàú i aàdifere çaàe tre “ àeà I àéàaà ua tidadeàdeàfár a o,à oà local da infecção, necessária para obter uma resposta clínica adequada. O ter oà i ter ediário àéàsu stituídoàpelaàexpressão “e sível,àexposição aumentada ,à asàaàa reviaturaàreportadaà o ti uaàaàserà I . Redefinição S, I e R 2019 - www.eucast.org
  • 94.
    Mantendo as abreviaturasS, I e R • EUCAST decidiu manter as abreviaturas. • Há bons argumentos, tanto a favor como contra, relativamente à alteração das abreviaturas. Contudo, durante o processo de consulta uma clara maioria recomendou a sua não alteração neste momento. Contudo, o EUCAST não exclui a possibilidade de vir a mudar no futuro. Os fabricantes dos LIS e de equipamentos de TSA devem, urgentemente, verificar como as alterações das abreviaturas utilizadas para designar a categoria I afetarão os seus sistemas e informar o EUCAST. Redefinição S, I e R 2019 - www.eucast.org
  • 95.
    Alguns pontos decorte serão revistos para se adequarem às novas definições S, I e R Microrganismo Antimicrobiano Ponto de corte 2018 mg/L Ponto de corte 2019 mg/L Pseudomonas Aztreonam 1 / 16 16 / 16 Enterococcus Trimetoprima WT categoria - I Nota+ECOFF Enterococcus Trimetoprima- sulfametoxazol WT categoria - I Nota+ECOFF N. meningitidis Cloranfenicol 2 / 4 2 / 2 H. influenzae Cefpodoxima 0,25 / 0,5 0,25 / 0,25 Proteus Morganella Providencia Imipenem 2 / 4 0.12 / 4 Acinetobacter Ciprofloxacino 1 / 1 0,06 / 1
  • 96.
    Inconsistências nos pontosde corte 2019 Há algumas inconsistências no novo sistema- isto necessita de ser corrigido, mais provavelmente já em 2020. • O tratamento de infeções por Pseudomonas spp. requer aumento de exposição para a maioria dos antimicrobianos ativos (incluindo imipenem, mas possivelmente excluindo o meropenem – assim, Pseudomonas selvagens deveriam ter sido categorizadas como “e sível,àau e ta doàexposição àrelativa e teàaàtodosàosàa ti i ro ia osài porta tes.àOà comitê decidiu que era necessário mais tempo para explicar que meropenem não deve ser preferido a outros antimicrobianos. • O tratamento de Enterobacterales com aminopenicilinas e cefuroxima, de S. aureus com ciprofloxacino e S. pneumoniae com levofloxacino requerem aumento da exposição e deveria àteràsidoà ategorizadosà o oà “e sível,àau e ta doàexposição .à • Uma consulta geral sobre estes assuntos será necessária antes que uma decisão final possa seràto adaàdura teà 9.àátéàlá,àdeveàseràreportadoà o oà “e sível à o àu aà otaàparaà e fatizaràaà e essidadeàdeà au e toàdaàexposição . Redefinição S, I e R 2019 - www.eucast.org
  • 97.
    Inconsistências nos pontosde corte 2019, continuação Nestes casos os laboratórios devem considerar adicionar uma nota acerca da necessidade de uma alta exposição, particularmente com... • Pseudomonas e piperacilina-tazobactam, ceftazidima, cefepima, imipenem, aztreonam, fluoroquinolonas, aminoglicosídeos. • Enterobacterales e aminopenicilinas (com ou sem inibidor) e cefuroxima. Redefinição S, I e R 2019 - www.eucast.org
  • 98.
    Nova terminologia • Uàorga is oàai daàpodeàseràreportadoà o oà Sensível (S àeà Resistente (R ,à asà ãoà podeà aisàseràreportadoàutiliza doàaàpalavraà i ter ediário àaàu àa ti i ro ia o.àE àvezà disso,àdeveàseràreportadoà o oà Sensível, aumentando exposição à asàai daà o àaà a reviaturaà I . O EUCAST sugere que durante 2019 uma das seguintes observações (uma mais longa e outra mais curta) deva ser incluída nos resultados de TSA: • Um microrganismo é categorizado como Sensível, aumentando exposição (abreviatura I à quando há uma alta probabilidade de sucesso terapêutico porque a exposição ao agente pode ser aumentada no local da infecção, ajustando-se o regime terapêutico, modo de administração ou porque a concentração é naturalmente elevada no local da infecção (ver http://www.eucast.org/clinical_breakpoints/). • Um isolado pode ser categorizado como Sensível, aumentando exposição (abreviatura I à ao antimicrobiano, desde que seja possível uma maior exposição do microrganismo (dose, frequência, modo de administração). Redefinição S, I e R 2019 - www.eucast.org
  • 99.
    Nova terminologia – Aseguinte linguagem é apropriada após a mudança nas definições: • O isolado pertence à categoria S, I ou R. • O isolado pertence à categoria de sensibilidade S, I ou R. • O isolado é sensível (que inclui S e I). • O isolado é sensível na dose padrão (que inclui S). • O isolado é sensível só se for possível aumentar a exposição (que inclui I). • O isolado é resistente (que inclui R). • Resultados dos testes de sensibilidade- reportar os isolados como S, I ou R Redefinição S, I e R 2019 - www.eucast.org
  • 100.
    Vigilância da resistênciaantimicrobiana Tem sido uma prática comum combinar as categorias de sensibilidade Resistente àeà Intermediário àcomo não-sensíveis, ao reportar as taxas de resistência. A partir de 2019, isto não será mais considerado correto. Para fins de vigilância, evite a combinação de categorias – apresente S, I e R separadamente. • Se houver a necessidade de combiná-las, então combine S e I e apresente R separadamente. Redefinição S, I e R 2019 - www.eucast.org
  • 101.
    Problemas técnicos laboratoriaise resultados duvidosos • A definição antiga de I abrange um grau de incerteza e/ou de problemas técnicos que não podem ser controlados. • Esta parte da definição foi removida e o EUCAST tem identificado situações óbvias, onde os laboratórios devem tomar uma atitude para evitar que resultados altamente duvidosos sejam reportados. • Existem situações em que a baixa reprodutibilidade dos resultados é previsível. Redefinição S, I e R 2019 - www.eucast.org
  • 102.
    Comitês de pontosde corte e laboratórios têm a tarefa de minimizar problemas técnicos no TSA. Problemas técnicos tipicamente aparecem quando 1. um ponto de corte divide a população selvagem. 2. um ponto de corte divide a população resistente. 3. Há uma variação não controlada do teste. – Baixa qualidade do material do TSA (caldo, ágar, discos, dispositivos, etc). – Calibração incorreta/falha na validação dos procedimentos do TSA. – Más práticas de CQ no laboratório. Redefinição S, I e R 2019 - www.eucast.org
  • 103.
    Alguns exemplos nosquais um alerta é necessário sobre resultados duvidosos e com baixa reprodutibilidade • Amoxicilina-ácido clavulânico vs. Enterobacterales. – A distribuição da população selvagem da maioria das Enterobacterales termina em 8 mg/L. A relação PK/PD da amoxicilina indica um ponto de corte máximo de 8 mg/L e somente se uma exposição aumentada for obtida. Para ITU, uma dose padrão permitirá um ponto de corte de 32 mg/L. Infelizmente, ao obter resultados de testes de CIMs ou disco-difusão, há uma baixa reprodutibilidade ao redor de 16 mg/L. • Piperacilina-tazobactam vs. Enterobacterales. – A distribuição da população selvagem da maioria das Enterobacterales termina em 8 mg/L. A relação PK/PD da piperacilina indica um ponto de corte de 8/16 mg/L com a maior exposição possível pra organismos na categoria – I. Infelizmente, ao obter resultados de testes de CIMs ou disco-difusão, há uma baixa reprodutibilidade ao redor de 16 mg/L. Redefinição S, I e R 2019 - www.eucast.org
  • 104.
    O EUCAST aconselharáos laboratórios de como lidar com os resultados duvidosos de TSA Os diapositivos a seguir são dirigidos principalmente para os laboratórios de microbiologia Redefinição S, I e R 2019 – www.eucast.org
  • 105.
    Redefinindo as categoriasde testes de sensibilidade S, I e R - Consequências para os laboratórios. Redefining S, I and R 2019 - www.eucast.org Gunnar Kahlmeter e Comitê Gestor do EUCAST
  • 106.
    Área de IncertezaTécnica (AIT) • A capacidade do EUCAST para detectar áreas, onde a incerteza técnica é tal que afeta seriamente o valor preditivo do teste de sensibilidade antimicrobiana (TSA) tem melhorado. • Em 2019, será introduzido o termo áIT à oàtesteàdeàsensibilidade, onde um alerta é necessário para advertir o laboratório sobre a incerteza do resultado do TSA. • O alerta afeta o laboratório, não o clínico, e o laboratório precisa de uma estratégia para (1) verificar a exatidão ou (2) para relatar a incerteza do resultado. Redefinição S, I e R 2019 - www.eucast.org
  • 107.
    Para verificar aexatidão ou incerteza dos resultados do TSA Os alertas são tipicamente na forma de um intervalo definido de CIM ou halo de inibição (sobreposição entre organismos sensíveis e resistentes), onde a interpretação é duvidosa. O alerta é entre o sistema de TSA e o laboratório, e o laboratório precisa decidir como reagirá ao alerta. Nos gráficos seguintes são apresentados alguns exemplos típicos onde um alerta para o laboratório é mandatório. Redefinição S, I e R 2019 - www.eucast.org
  • 108.
    Alguns exemplos nosquais um alerta sobre resultados duvidosos e com baixa reprodutibilidade é necessário • Amoxicilina-ácido clavulânico vs. Enterobacterales. – A distribuição da população selvagem da maioria das Enterobacterales termina em 8 mg/L. PK/PD da amoxicilina indica um ponto de corte máximo de 8 mg/L somente se uma exposição aumentada for obtida. Para ITU, a dose padrão permitirá um ponto de corte de 32 mg/L. Infelizmente, ao determinar os resultados dos testes por CIMs ou disco-difusão, há uma área crítica de baixa reprodutibilidade ao redor de 16 mg/L. • Piperacilina-tazobactam vs. Enterobacterales. – A distribuição da população selvagem da maioria das Enterobacterales termina em 8 mg/L. PK/PD da piperacilina indica um ponto de corte de 8/16 mg/L com a máxima exposição possível para os organismos na categoria I. Infelizmente, ao determinar os resultados dos testes por CIMs ou disco-difusão, há uma área crítica de baixa reprodutibilidade ao redor de 16 mg/L. Redeinfição S, I e R 2019 - www.eucast.org
  • 109.
    Amoxicilina-ácido clavulânico vs.Enterobacterales com pontos de corte para ITU não complicadas 0 10 20 30 40 50 60 70 6 8 10 12 14 16 18 20 22 24 26 28 30 32 34 36 38 40 Nº de observações Diâmetro do halo de inibição (mm) Amoxicilina-ácido clavulânico 20-10 µg vs CIM Enterobacterales, 325 isolados ≥128 64 32 16 8 4 2 1 0.5 CIM com concentração fixa de ácido clavulânico de 2 mg/L CIM (mg/L) Pontos de corte (ITU não complicadas) CIM S≤32, R>32 mg/L Halo de inibição S≥16, R<16 mm AIT desnecessária Redefinição S, I e R 2019 – www.eucast.org
  • 110.
    Amoxicilina-ácido clavulânico vs.Enterobacterales com pontos de corte para infecções sistêmicas 0 10 20 30 40 50 60 70 6 8 10 12 14 16 18 20 22 24 26 28 30 32 34 36 38 40 Nº de observações Diâmetro do halo de inibição (mm) Amoxicilina-ácido clavulânico 20-10 µg vs CIM Enterobacterales, 325 isolados ≥128 64 32 16 8 4 2 1 0.5 CIM com concentração fixa de ácido clavulânico de 2 mg/L CIM (mg/L) Pontos de corte (infecções sistêmicas) CIM S≤8, R>8 mg/L Halo de inibição S≥19, R<19 mm AIT 19-20 mm Redefinição S, I e R 2019 – www.eucast.org
  • 111.
    Piperacilina-tazobactam vs. Enterobacterales 0 10 20 30 40 50 60 70 80 90 100 6 8 10 12 14 16 18 20 22 24 26 28 30 32 34 36 38 40 No de obervações Diâmetrodo halo de inibição (mm) Piperacilina-tazobactam 30-6 μg vs. CIM Enterobacterales, 531 isolados (840 correlações) ≥128 64 32 16 8 4 2 ≤1 CIM (mg/L) AIT 16 mg/L 17 – 19 mm Pontos de corte CIM S≤8, R>16 mg/L Halo de inibição S≥20, R<17 mm Redefinição S, I e R 2019 - www.eucast.org
  • 112.
    Redefining S, Iand R 2019 - www.eucast.org AIT 17 – 19 mm Resultados de Piperacilina- tazobactam para isolados clínicos consecutivos e o efeito da AIT of 17 – 19 mm (3 – 4 % na AIT).
  • 113.
    Ceftarolina vs. S.aureus 0 10 20 30 40 50 60 70 80 90 6 8 10 12 14 16 18 20 22 24 26 28 30 32 34 36 38 40 Nº de observações Diâmetro do halo de inibição (mm) Ceftarolina 5 µg vs. CIM S. aureus, 216 isolados (593 correlações) 8 4 2 1 0.5 0.25 0.125 0.06 CIM (mg/L) Pontos de corte (pneumonia) CIM S≤1, R>1mg/L Halo de Inibição S≥20, R<20 mm AIT 1 mg/L, 19-20 mm Redefinição S, I e R 2019 – www.eucast.org
  • 114.
    Ceftobiprole vs. S.aureus 0 5 10 15 20 25 30 6 8 10 12 14 16 18 20 22 24 26 28 30 32 34 36 38 40 Nº de observações Diâmetro do halo de inibição (mm) Ceftobiprole 5 µg vs. CIM S. aureus, 114 isolados (228 correlações) 4 2 1 0.5 0.25 0.125 CIM (mg/L) Pontos de corte CIM S≤2, R>2 mg/L Halo de inibição S≥17, R<17 mm AIT 2 mg/L, 16-17 mm Redefinição S, I e R 2019 – www.eucast.org
  • 115.
    Meropenem e Enterobacterales– Um dos muitos exemplos em que uma AIT não é necessária 0 10 20 30 40 50 60 70 80 90 100 6 8 10 12 14 16 18 20 22 24 26 28 30 32 34 36 38 40 Nº de observações Diâmetro do halo de inibição (mm) Meropenem 10 μg vs. CIM Enterobacterales, 378 isolados (435 correlações) ≥32 16 8 4 2 1 0.5 0.25 0.125 0.06 0.03 ≤0.016 CIM (mg/L) Pontos de corte CIM S≤2, R>8 mg/L Halo de inibição S≥22, R<16 mm Redefinição S, I e R 2019 – www.eucast.org
  • 116.
    Tabelas de Pontode Corte v.9.0 EUCAST (2019) com colunas para alertas de AIT para testes de CIM e/ou disco-difusão S ≤ R > ATU S R < ATU Benzylpenicillin - - - - Ampicillin 81 8 10 14A,B 14B Ampicillin-sulbactam 81,2 82 10-10 14A,B 14B Amoxicillin 81 8 - NoteC NoteC Amoxicillin-clavulanic acid 81,3 83 20-10 19A,B 19B 19-20 Amoxicillin-clavulanic acid (uncomplicated UTI only) 321,3 323 20-10 16A,B 16B Piperacillin 8 16 30 20 17 Piperacillin-tazobactam 84 164 16 30-6 20 17 17-19 Ticarcillin 8 16 75 23 20 Ticarcillin-clavulanic acid 83 163 75-10 23 20 Temocillin Note5 Note5 Note5 Note5 Phenoxymethylpenicillin - - - - Oxacillin - - - - Cloxacillin - - - - Dicloxacillin - - - - Flucloxacillin - - - - Mecillinam (uncomplicated UTI only) E. coli, Klebsiella spp. (except K. aerogenes ), Raoultella spp. and P. mirabilis 86 86 10 15D 15D 1/A. Wild type Enterobacterales are categorised as susceptible to aminopenicillins. Some countries prefer to categorise w ild type isolates of E. coli and P. mirabilis as "Susceptible, increased exposure". When this is the case, use the MIC breakpoint S ≤ 0.5 mg/L and the corresponding zone diameter breakpoint S ≥ 50 mm. 2. For susceptibility testing purposes, the concentration of sulbactam is fixed at 4 mg/L. 3. For susceptibility testing purposes, the concentration of clavulanic acid is fixed at 2 mg/L. 4. For susceptibility testing purposes, the concentration of tazobactam is fixed at 4 mg/L. 5. Breakpoints still under consideration. 6. Agar dilution is the reference method for mecillinam MIC determination. B. Ignore grow th that may appear as a thin inner zone on some batches of Mueller-Hinton agars. C. Susceptibility inferred from ampicillin. D. Ignore isolated colonies w ithin the inhibition zone for E. coli. Penicillins1 Disk content (µg) Notes Numbered notes relate to general comments and/or MIC breakpoints. Lettered notes relate to the disk diffusion method. MIC breakpoint (mg/L) Zone diameter breakpoint (mm) Redefinição S, I e R 2019 – www.eucast.org
  • 117.
    Existem algumas propostasde AITs Todas serão listadas nas tabelas de ponto de corte EUCAST 2019. • Enterobacterales 4 antimicrobianos • Pseudomonas spp. 3 antimicrobianos • Staphylococcus spp. 3 antimicrobianos • H. influenzae 8 antimicrobianos • Outras espécies 0 antimicrobianos Redefinição S, I e R 2019 - www.eucast.org
  • 118.
    AITs preliminares paraEnterobacterales, Pseudomonas e Staphylococcus Microrganismo Antimicrobiano CIM (mg/L, AIT) Halo de Inibicão (mm, AIT) Enterobacterales Amoxicilina-ácido clavulânico - 19-20 Piperacilina-tazobactam 16 17-19 Ceftarolina - 22-23 Ciprofloxacino 0.5 22-24 P. aeruginosa Piperacilina-tazobactam - 18-19 Ceftazidima-avibactam - 16-17 Colistina 4 - S. aureus Ceftarolina 1 19-20 Ceftobiprole 2 16-17 Amicacina 16 15-19 S. Epidermidis Cefoxitina - 25-27 AITs preliminares
  • 119.
    AITs Preliminares paraH. influenzae Microrganismo Antimicrobiano CIM (mg/L, AIT) Halo de Inibição (mm, AIT) H. influenzae Ampicilina 16-19 Amoxicilina-ácido clavulânico 14-16 Piperacilina-tazobactam 0.5 24-27 Cefotaxima 25-27 Ceftriaxona 31-33 Cefuroxima (iv e oral) 2 25-27 Cefepima, Cefpodoxima e Imipenem Consultar o fluxograma AITs preliminares
  • 120.
    Como a AITpode ser implementada na rotina laboratorial? • Laboratórios sem suporte de TI (categorização manual dos resultados de disco-difusão ou CIM em S ,I e R) – Listar manualmente espécies/agentes com AITs e propostas de como lidar com cada uma. • Laboratórios com suporte de TI (onde a categorização em S ,I e R é realizada automaticamente na entrada dos resultados de CIM ou disco-difusão) – Desenvolver um software para incluir algoritmos SE/ENTÃO como: SE S. aureus e ceftarolina e CIM 1 mg/L (ou halo 19-20 mm), ENTÃO realize uma áÇÃO*… SE E. coli e piperacillin-tazobactam CIM 16 mg/L (ou halo 18 – 19 mm), ENTÃO realize uma áÇÃO*... O princípio básico é o mesmo independentemente do método utilizado. Porém, a AIT pode ocorrer em somente um dos sistemas (métodos). • Disco-difusão • Determinação da CIM • Equipamentos de TSA semi-automatizados *A ação pode variar – veja os próximos diapositivos para as ações propostas!
  • 121.
    Disco-difusão (AIT) • Sehá interface com o sistema de informação, onde os diâmetros dos halos de inibição são (manualmente ou automaticamente) registrados para interpretação da categoria: – Introduza AIT (microrganismo, antimicrobiano, intervalo) para gerar • “i alàdeàálerta àà so ,àluz,àasteris oà oàresultado preli i ar,à…. • Bloquear a interpretação automática e forçar decisões manuais • Se a interface é manual, imprima a lista de AITs ou utilize a versão impressa da tabela de pontos de corte do EUCAST. Redefinição S, I e R 2019 – www.eucast.org
  • 122.
    Determinação da CIM •Leitura automática com interpretação informatizada da determinação da CIM em todas as diluições testadas – Introduza AIT (espécie, agente, intervalo) para gerar: • “i alàdeàálerta àà so ,àluz,àasteris oà oàresultadoàpreli i ar,à…. • Bloquear a interpretação automática e forçar decisões manuais. • Leitura manual de todas as diluições testadas para determinação da CIM – imprima a lista de AITs ou utilize a versão impressa da tabela de pontos de corte do EUCAST. Redefinição S, I e R 2019 – www.eucast.org
  • 123.
    Equipamentos de TSAsemi-automatizados • Comece por verificar quais AITs podem ser detectadas em relação ao usualmente pequeno número de diluições testadas (2 – 4 diluições) • Se AITs se situam fora da faixa de diluições testadas, o controle será impossível • Se AITs se situam dentro da faixa de diluições testadas, utilize AIT tal como se fosse para a determinação da CIM (diapositivo anterior) Redefinição S, I e R 2019 – www.eucast.org
  • 124.
    AIT – açõeslaboratoriais possíveis • repita o teste – isto somente se houver uma razão para suspeitar de erro técnico. • faça um teste alternativo (determine CIM, faça PCR, um teste para determinar o mecanismo de resistência) – isto é importante quando o teste alternativo é conclusivo (PCR para detectar os genes vanA ou vanB gene em enterococos, um teste de betalactamase em H. influenzae). • reporte os resultados nas AIT como duvidosos – isto pode ser conseguido deixando a interpretação em branco + um comentário. Ou desenvolvendo o sistema de informática laboratorial para colocar um asterisco (ao invés de S, I ou R), que irá se referir a um comentário explicando a incerteza. • reporte os resultados nas AIT como R . Se houver várias boas alternativas no resultado do TSA, esta pode ser a opção mais fácil e segura. • aproveite a oportunidade para discutir os resultados com o clínico. Redefinição S, I e R 2019 – www.eucast.org
  • 125.
    AIT – aação apropriada pode variar com as circunstâncias • Se houver poucos antibióticos disponíveis para o clínico, ENTÃO tente obter uma categorização precisa. • Se em hemocultura, ENTÃO tente obter uma categorização precisa. • Se pode ser resolvido com um método alternativo sem demora, então tente obter uma categorização. • Se houver muitas alternativas de antibióticos disponíveis, ENTÃO reporte R (com ou sem comentário). • Se o resultado deve ser reportado, ENTÃO inclua um comentário discutindo a incerteza. Redefinição S, I e R 2019 – www.eucast.org
  • 126.
    O fim ….do começo…. Questõese comentários podem ser enviados para gunnar.kahlmeter@eucast.org ou brcast@brcast.org.br Redefinição S, I e R 2019 - www.eucast.org
  • 127.
    Orientações do EUCASTpara a detecção de mecanismos de resistência e resistências específicas de importância clínica e/ou epidemiológica Versão 2.01 Julho de 2017 1Baseada na versão 1.0 de dezembro de 2013 dos subcomitês do EUCAST para detecção de mecanismos de resistência e resistências específicas de importância clínica e/ou epidemiológica: Christian G. Giske (Sweden, EUCAST Steering Committee and EARS-Net Coordination Group; chairman), Luis Martinez-Martinez (Spain, EUCAST Steering Committee), Rafael Cantón (Spain, chairman of EUCAST), Stefania Stefani (Italy), Robert Skov (Denmark, EUCAST Steering Committee), Youri Glupczynski (Belgium), Patrice Nordmann (France), Mandy Wootton (UK), Vivi Miriagou (Greece), Gunnar Skov Simonsen (Norway, EARS-Net Coordination Group), Helena Zemlickova (Czech republic, EARS-Net Coordination Group), James Cohen-Stuart (The Netherlands) and Marek Gniadkowski (Poland). Versão para o Português Setembro de 2018 Comitê Brasileiro de Testes de Sensibilidade aos Antimicrobianos
  • 128.
    2 Conteúdo Seção Página 1. Introdução 3 2.Enterobacteriaceae produtoras de carbapenemases 4 3. Enterobacteriaceae produtoras de β-lactamases de espectro estendido 11 4. Enterobacteriaceae produtoras de β-lactamases AmpC adquiridas 20 5. Bacilos Gram negativos resistentes a polimixina 27 6. P. aeruginosa e Acinetobacter resistentes aos carbapenêmicos 29 7. Staphylococcus aureus resistente à Meticilina (Oxacilina) 31 8. Staphylococcus aureus não sensível aos glicopeptídeos 34 9. Enterococcus faecium e Enterococcus faecalis resistentes à Vancomicina 39 10. S. pneumoniae não sensíveis à Penicilina 44
  • 129.
    3 1. Introdução O atualdocumento é uma atualização das diretrizes desenvolvidas pelo subcomitê de mecanismos de resistência do EUCAST. O comitê diretor do EUCAST desenvolveu essa atualização. O documento foi desenvolvido principalmente para uso rotineiro em laboratórios de análises clínicas e não abrange os procedimentos técnicos para identificação de mecanismos de resistência a nível molecular por laboratórios de referência ou especializados. No entanto, grande parte do conteúdo também é aplicável a laboratórios nacionais de referência. Além disso, é importante notar que este documento não inclui a triagem de portadores assintomáticos (colonização) de microrganismos multirresistentes ou a detecção direta em amostras clínicas. Todos os capítulos deste documento contêm uma definição do mecanismo ou resistência específica, uma explicação da necessidade clínica e / ou de saúde pública para a detecção do mecanismo ou resistência específica, uma descrição sucinta dos métodos recomendados de detecção, e as referências das descrições detalhadas dos métodos. A necessidade de identificação do mecanismo de resistência e o nível de identificação necessários para fins de controle de infecção ou saúde pública podem variar geograficamente e temporalmente, dependendo da prevalência e da heterogeneidade dos diferentes mecanismos de resistência. As diretrizes foram desenvolvidas através da realização de pesquisas na literatura científica, e as recomendações são baseadas em estudos multicêntricos ou múltiplos estudos individuais. Vários métodos atualmente em desenvolvimento não foram incluídos nas diretrizes, uma vez que avaliações multicêntricas ou múltiplas avaliações individuais ainda não foram concluídas. Versões preliminares destas diretrizes foram objeto de ampla revisão através de listas de consultores do EUCAST, do site do EUCAST e consultores do ECDC. Tanto quanto possível foram utilizados termos genéricos para os produtos apresentados no documento, mas excluir todos os nomes de produtos específicos teria tornado algumas das recomendações pouco claras. Deve-se notar que alguns mecanismos de resistência nem sempre conferem resistência clínica. Isso possivelmente se deve ao fato que alguns mecanismos não estão sendo expressos ou são expressos somente em baixos níveis o que não resulta em resistência fenotípica. Assim, enquanto a detecção desses mecanismos pode ser relevante para o controle de infecção e de saúde pública, pode não ser necessária para fins clínicos. Em consequência, para alguns mecanismos, especialmente β-lactamase de espectro estendido e carbapenemases em bacilos Gram-negativos, a detecção do mecanismo em si não leva à classificação como clinicamente resistente. ChristianG.Giske Chairman of EUCAST- Past Chairman of the subcommittee on detection of resistance mechanisms
  • 130.
    4 2. Enterobacteriaceae produtorasde carbapenemases Importância da detecção do mecanismo de resistência Necessário para categorização clínica de sensibilidade antimicrobiana Não Para propósitos de controle de infecção Sim Para propósitos de saúde pública Sim 2.1 Definição Carbapenemases são β-lactamases que hidrolisam penicilinas, cefalosporinas na maioria dos casos, e em vários graus carbapenêmicos e monobactâmicos (estes últimos não são hidrolisados por metalo-β-lactamases). 2.2 Importância clínica e/ou epidemiológica O problema da disseminação de carbapenemases na Europa data da segunda metade da década de 1990 em vários países mediterrâneos, e foi observada principalmente em P. aeruginosa (1). No início dos anos 2000, a Grécia viveu uma epidemia de Verona metalo-β-lactamase (VIM), codificada por integrons, em K. pneumoniae (2), seguido por uma epidemia relacionada a K. pneumoniae produtora de carbapenemase (KPC), que é atualmente a carbapenemase mais comum na Europa entre as Enterobacteriaceae (1). Atualmente, as carbapenemases OXA-48 compreendem o grupo de carbapenemases que mais rapidamente aumentam na Europa (3). Na Grécia e na Itália em torno de 60 e 15%, respectivamente, das K. pneumoniae invasivas são atualmente não sensíveis aos carbapenêmicos (4). Em 2015, 13/38 países relataram disseminação inter-regional de situação endêmica de Enterobacteriaceae produtoras de carbapenemase (CPE), em comparação com 6/38 em 2013 (3). Outras carbapenemases particularmente problemáticas são as New Delhi metalo-β-lactamases (NDMs), que são altamente prevalentes no subcontinente indiano e no Oriente Médio e em várias ocasiões tem sido importadas para a Europa (3), existe também exemplos de disseminação regional em alguns países (5). As carbapenemases do tipo IMP são também comuns em algumas partes do mundo (6). As carbapenemases são uma fonte de preocupação, pois podem conferir resistência a praticamente todos os β-lactâmicos, cepas produtoras de carbapenemases frequentemente possuem mecanismos de resistência a uma ampla gama de agentes antimicrobianos e infecções por Enterobacteriaceae produtoras de carbapenemase estão associados a altas taxas de mortalidade (7-9). 2.3 Mecanismos de resistência A grande maioria das carbapenemases são enzimas adquiridas, codificadas por genes localizados em elementos transponíveis localizados em plasmídeos. As carbapenemases são expressas em vários níveis e diferem significativamente tanto em relação às características bioquímicas quanto em relação à sua atividade contra β-lactâmicos específicos. O nível de expressão, as propriedades das β-lactamases e a associação frequente com outros mecanismos de resistência (outras β-lactamases, efluxo e / ou permeabilidade alterada) resultam numa ampla gama de fenótipos de resistência observados entre isolados produtores de carbapenemase (10-11). A redução da
  • 131.
    5 sensibilidade aos carbapenêmicosem Enterobacteriaceae pode, no entanto, também ser causada por β-lactamases de espectro estendido (ESBL) ou enzimas AmpC quando coexiste diminuição da permeabilidade devido à alteração ou redução da expressão de porinas (12), e possivelmente também por proteínas ligantes de penicilina (13). CPE normalmente apresentam diminuição de sensibilidade aos carbapenêmicos e na maioria dos casos são resistentes as cefalosporinas (oximino) de espectro estendido (ceftaxima, ceftriaxona, ceftazidima e/ou cefepime) (14). No entanto, com algumas dessas enzimas (enzimas OXA-48-like) os organismos podem se apresentar totalmente sensíveis às cefalosporinas. Atualmente, a maioria dos CPE podem expressar também enzimas que hidrolisam cefalosporinas, tipo as ESBLS como CTX-Ms, e serem resistentes às cefalosporinas. Carbapenemases são consideradas de grande importância epidemiológica, particularmente quando conferem redução da sensibilidade a qualquer um dos carbapenêmicos (imipenem, meropenem, ertapenem e doripenem), ou seja, quando as CIMs estão acima dos valores dos pontos de corte epidemiológicos (ECOFF) definidos pelo EUCAST (15). 2.4 Métodos recomendados para a detecção de carbapenemases em Enterobacteriaceae 2.4.1 Triagem para produção de carbapenemases As CIMs de carbapenêmicos em Enterobacteriaceae produtoras de carbapenemase podem estar abaixo dos pontos de corte clínicos (14-16). No entanto, os valores de ECOFF definidos pelo EUCAST podem ser utilizados para detectar produtores de carbapenemase. Meropenem oferece a melhor combinação entre sensibilidade e especificidade em termos de detecção de produtores de carbapenemase (14-17). Ertapenem tem excelente sensibilidade, mas pouca especificidade, particularmente em espécies como Enterobacter spp., devido à sua relativa instabilidade frente às β- lactamases de espectro estendido (ESBLs) e β-lactamases AmpC em associação com perda de porina (14). Os valores de corte apropriados para a detecção de possíveis produtores de carbapenemase são mostrados na Tabela 1. Deve-se notar que, a fim de aumentar a especificidade, os pontos de corte para imipenem e ertapenem correspondem a uma diluição acima dos ECOFFs atualmente definidos. Tabela 1. Pontos de corte clínicos e para triagem de Enterobacteriaceae produtoras de carbapenemases (de acordo com a metodologia do EUCAST). Carbapenêmico CIM (mg/L) Diâmetro do halo de inibição (mm) com discos de 10 µg Valor de corte S/I Valor de corte para triagem Valor de corte S/I Valor de corte para triagem Meropenem1 >0,12 <282 Ertapenem3 ,5 >0,12 <25 1 Melhor equilíbrio entre sensibilidade e especificidade 2 Isolados com 25-27 mm só necessitam ser investigados para produção de carbapenemases se forem resistentes a piperacilina- tazobactam e/ou temocilina (temocilina contribui mais para especificidade). Investigação de carbapenemases é sempre necessária
  • 132.
    6 se o diâmetroda zona para meropenem for < 25 mm. 3 Elevada sensibilidade, mas baixa especificidade. Pode ser usado como um agente de triagem alternativo, mas isolados com ESBL e AmpC podem apresentar resistência mesmo sem ter carbapenemase. Uma vez detectada sensibilidade reduzida aos carbapenêmicos nos testes de sensibilidade de rotina, os métodos fenotípicos para detecção de carbapenemases devem ser aplicados. Os principais tipos de métodos incluem o teste de disco combinado, teste colorimétricos baseados na hidrólise do carbapenêmico, outros métodos de detecção de hidrólise de carbapenems e, finalmente, um método imunocromatográfico (ensaio de fluxo lateral). Estes diversos testes são descritos abaixo 2.4.2 Teste do disco combinado O teste do disco combinado tem a vantagem de ser bem validado em estudos e também estar disponível comercialmente (MAST, Reino Unido; Rosco, Dinamarca) (18- 22). Os discos ou tablets contém meropenem +/- vários inibidores. Resumidamente, o ácido borônico inibe carbapenemases da classe A (embora dados além de KPC sejam raros) e o ácido dipicolínico e o EDTA inibem carbapenemases classe B. Além disso, a OXA-48 é inibida pelo avibactam, mas esse último ainda não foi incluído nos painéis fenotípicos (21,22). Cloxacilina, que inibe β-lactamases AmpC, foi adicionada aos testes para diferenciar entre hiperprodução de AmpC com perda simultânea de porinas e produção de carbapenemase. O algoritmo para a interpretação desses testes com inibidores está descrito na Figura 1 e tabela 2. A principal desvantagem é que eles podem demorar 18 horas (na prática a incubação é feita durante a noite), por essa razão novos métodos rápidos estão sendo atualmente pesquisados. Figura 1. Algoritmo para detecção de carbapenemases. 1 Combinação de várias carbapenemases pode não mostrar o sinergismo – ou seja, MBL e KPC em combinação. Testes moleculares são necessários nestes casos. 2 Alto nível de resistência à temocilina (CIM> 128 mg / L, diâmetro do halo <11 mm) é indicador fenotípico de produção de OXA-48. Diâmetro do halo do meropenem < 28 mm no disco-difusão (ou CIM > 0,12 mg/L) em todas as Enterobacteriaceae Sinergismo apenas com ác. borônico Sinergismo com ác. borônico e cloxacilina Sinergismo apenas com ác. dipicolínico Sem sinergismo1 KPC (ou outra carbapenemase da classe A) AmpC (cromossômica ou plasmidial) mais perda de porina Metalo-β- lactamase (MBL) S a temocilina: ESBL mais perda de porina Exceção: Meropenem 25-27 mm E piperacilina/tazobactam = I/S: Nenhum teste é necessário R2 a temocilina: OXA-48
  • 133.
    7 O algoritmo naTabela 2 permite a diferenciação entre metalo-β-lactamases, carbapenemases da classe A, carbapenemases da classe D e não carbapenemases (ESBL e / ou AmpC mais perda porina). Os testes podem ser feitos com o método de disco- difusão, do EUCAST, para organismos não fastidiosos. Testes comerciais devem ser realizados de acordo com as instruções do respectivo fabricante. Até o momento não existem inibidores disponíveis para as enzimas OXA-48-like. Alto nível de resistência à temocilina (CIM > 128 mg/L) tem sido proposto como um marcador fenotípico para os produtores de carbapenemase OXA-48-like (23,24). No entanto, este marcador não é específico para carbapenemases do tipo OXA-48, uma vez que outros mecanismos de resistência podem conferir este fenótipo. A presença de enzimas OXA-48-like, portanto, deve ser confirmada com um método genotípico. A utilização do teste Hodge modificado não é recomendada, uma vez que os resultados são difíceis de interpretar, a especificidade é baixa e, em alguns casos, a sensibilidade não é ideal (12). Algumas novas modificações da técnica têm sido descritas, mas elas são trabalhosas para uso em laboratórios clínicos de rotina e não resolvem todos os problemas de sensibilidade e especificidade. Tabela 2. Interpretação dos testes fenotípicos (carbapenemases em negrito) por métodos de disco(tablets)-difusão. As definições exatas de sinergismo são fornecidas em bulas para os vários produtos comerciais. β-lactamase Sinergismo observado como aumento do halo de inibição (mm) com disco de meropenem (10 µg) CIM de temocilina >128 mg/Lou diâmetro do halo de inibição <11 mm ADP/EDTA AAFB/AFB ADP+AAFB CLX MBL + - - - Variável1 KPC - + - - Variável1 MBL+KPC2 Variável Variável + - Variável1 OXA-48-like - - - - Sim AmpC + perda de porina - + - + Variável1 ESBL + perda de porina - - - - Não Abreviaturas: MBL = metalo-β-lactamase, KPC = Carbapenemase de Klebsiella pneumoniae, ADP = ácido dipicolínico, EDTA = ácido etilenodiamino tetra-acético, AAFB = ácido aminofenilborônico, AFB = ácido fenilborônico, CLX = cloxacilina. 1 O teste de sensibilidade com temocilina é recomendado apenas em casos em que não é detectado nenhum sinergismo, a fim de diferenciar entre ESBL + perda de porinas e enzimas OXA-48-like (23, 24). Quando outras enzimas estão presentes a sensibilidade é variável e não fornece qualquer indicação adicional da β-lactamase presente. 2 Há um relato que suporta o uso de comprimidos comerciais contendo dois inibidores (ADP ou EDTA mais AAFB ou AFB) (25), mas ainda faltam estudos multicêntricos ou múltiplos estudos de um único centro. Esta combinação confere alto nível de resistência a carbapenêmicos e é rara fora da Grécia.
  • 134.
    8 2.4.3 Testes bioquímicos(colorimétricos) O teste Carba NP é um teste rápido (<2h) de detecção de hidrólise de carbapenêmico, o qual resulta em alteração de pH e mudança de cor de amarelo para vermelho em uma solução de vermelho de fenol (26, 27). O teste Carba NP foi validado com colônias de bactérias cultivadas em ágar Mueller-Hinton, ágar sangue, ágar TSA e a maioria dos meios seletivos utilizados no rastreamento de produtores carbapenemase. O teste Carba NP não pode ser realizado com as colônias bacterianas cultivadas em ágar Drigalski ou ágar MacConkey. Os diferentes passos do método devem ser seguidos cuidadosamente, a fim de se obter resultados reprodutíveis. Várias publicações indicam que o método apresenta alta sensibilidade e especificidade (28), embora uma publicação tenha indicado problemas de sensibilidade para isolados com fenótipo mucoide e para alguma Enterobacteriaceae produtoras de OXA-48 (29). Um produto comercial baseado nesse método demonstrou apresentar boa performance para detecção de carbapenemases em Enterobacteriaceae (30, 31). Alguns testes comerciais, incluindo a versão comercial do Carba NP, apresentam alguns problemas de interpretação visto que a leitura visual da mudança de coloração pode ser duvidosa; além disso, uma certa proporção (3-5%) de resultados são não interpretáveis. Um derivado do teste Carba NP, o teste Blue-Carba (BCT) é um teste bioquímico rápido (<2 h) de detecção de produção de carbapenemase (32, 33). Baseia-se na hidrólise in vitro do imipenem por colônias bacterianas (inoculação direta sem lise prévia), que é detectada por variação no pH que resulta em alteração do indicador azul de bromotimol (azul para verde/amarelo ou verde para amarelo). Em uma grande avaliação realizada por Pasteran et al. (34), mas realizado em apenas um único laboratório, o teste apresentou excelente sensibilidade para as enzimas classe A e B, mas a sensibilidade subótima para detecção de enzimas OXA-48. Um terceiro teste bioquímico é o βàCáRBáàtest®, que também pode ser realizado em <2h. O teste é feito pela adição de 1 a 3 colônias nos reagentes. As leituras devem ser feitas após um máximo de 30 min de incubação. Mudança de cor de amarelo para laranja, vermelho ou roxo indica reação positiva. Um estudo indicou que o tempo de incubação de 0,5 horas, recomendado pelo fabricante, é muito curto para cepas produtoras de OXA-48. A coleção de cepas avaliada foi bastante limitada, e seria necessário um estudo maior para investigar como o teste se compara a outros testes bioquímicos (35). Numa outra avaliação, o βà CARBA test® mostrou excelente desempenho para detectar CPE, especialmente OXA-48. No entanto, a capacidade de detectar outras carbapenemases de classe A deve ser verificada sendo que alguns resultados falso-positivosà o orrera à o à outrasà β-lactamases tais como a superprodução de β-lactamase K1 em Klebsiella oxytoca (33). 2.4.4 Método de inativação de carbapenêmico (CIM) O princípio deste método é detectar a hidrólise enzimática pela incubação de um carbapenem com uma suspensão bacteriana. O teste CIM utiliza discos de teste de sensibilidade a antibióticos como substrato. Após duas horas de incubação de uma alça carregada de colônias bacterianas com um disco de meropenem, o disco é colocado em um ágar previamente inoculado com Escherichia coli ATCC 25922. A inativação enzimática é indicada por ausência de zona de inibição, enquanto que ausência de atividade de carbapenemase implicará na formação de zona de inibição visto que o meropenem no disco não foi hidrolisado. O teste CIM apresentou desempenho variável
  • 135.
    9 em diferentes estudos(36-38), mas é uma técnica alternativa, embora o valor preditivo negativo da mesma não esteja bem estabelecido. Uma das principais desvantagens dessa técnica é que ela requer geralmente pelo menos 18 horas para obter os resultados. 2.4.5 Detecção de hidrólise de carbapenêmico por MALDI-TOF O princípio é detectar em um equipamento de espectrometria de massa (MALDI TOF) a diminuição ou desaparecimento de certos picos específicos de carbapenêmicos em um espectro de massa quando a suspensão é previamente incubada com o carbapenêmico (39, 40). Os espectros são medidos entre m/z 160 e 600, utilizando um espectrômetro de massa Microflex LT (39). O método foi descrito em vários estudos como tendo boa sensibilidade e especificidade, com exceção de enzimas do grupo OXA-48. Para corrigir este problema, NH4HCO3 pode ser adicionado à reação, e esta modificação, conforme mostrado indicado em um estudo, melhora a detecção de OXA-48 (41). No entanto, essa metodologia ainda não foi avaliada em um estudo multicêntrico ou em vários estudos de centro único. Outra característica pouco prática é que as configurações para o MALDI-TOF precisam ser alteradas em comparação para o que é usado para identificação de espécies (41). Técnica de fluxo lateral Uma nova técnica imunocromatográfica de fluxo lateral foi recentemente descrita. O teste é baseado na captura imunológica de epítopos de OXA-48, utilizando nanopartículas de ouro coloidais ligadas a uma membrana de nitrocelulose dentro de um dispositivo de fluxo lateral. O teste se baseia no princípio que anticorpos monoclonais anti-OXA-48 são selecionados como reagentes de captura específicos, para identificação direta de enzimas OXA-48-like (42). O ensaio demora cerca de quatro minutos e foi avaliado tanto em colônias e de frascos de hemocultura contaminados (43-46). Recentemente, um teste semelhante para KPC também foi desenvolvido, mas a sua robustez não foi avaliada em estudos multicêntricos ou em vários estudos de centro único (46). 2.4.6 Cepas controle Abaixo estão listadas algumas cepas controle para experimentos fenotípicos e genotípicos. Intervalos de controle de qualidade para essas cepas não estão disponíveis. Usuários de métodos comerciais devem consultar os manuais específicos para selecionar a cepa controle mais adequada.
  • 136.
    10 Tabela 3 –Exemplos de cepas controle para testes de carbapenemases. Cepa Mecanismo Enterobacter cloacae CCUG 59627 AmpC combinada com redução da expressão de porinas K. pneumoniae CCUG 58547 or K. pneumoniae NCTC 13440 Metalo-β-lactamase (VIM) K. pneumoniae NCTC 13443 Metalo-β-lactamase (NDM-1) E. coli NCTC 13476 Metalo-β-lactamase (IMP) K. pneumoniae CCUG 56233 or K. pneumoniae NCTC 13438 Carbapenemase de Klebsiella pneumoniae (KPC) K. pneumoniae NCTC 13442 Carbapenemase OXA-48 K. pneumoniae ATCC 25955 Controle negative 2.5 Referências 1. Canton R, Akova M, Carmeli Y, Giske CG, Glupczynski Y, et al. Rapid evolution and spread of carbapenemases among Enterobacteriaceae in Europe. Clin Microbiol Infect. 2012;18:413-31. 2. Vatopoulos A. High rates of metallo-β-lactamase-producing Klebsiella pneumoniae in Greece – a review of the current evidence. Euro Surveill. 2008;13(4). doi:pii: 8023. 3. Albiger B, Glasner C, Struelens MJ, Grundmann H, Monnet DL. Carbapenemase-producing Enterobacteriaceae in Europe: assessment by national experts from 38 countries, May 2015. Euro Surveill. 2015;20(45). 4. European Centres for Disease Prevention and Control (ECDC). Antimicrobial resistance surveillance in Europe 2014. Annual report of the European Antimicrobial Resistance Surveillance Network (EARS-Net) 5. Baraniak A, Izdebski R, Fiett J, Gawryszewska I, Bojarska K, et al. NDM-producing Enterobacteriaceae in Poland, 2012-2014: interregional outbreak of Klebsiella pneumoniae ST11 and sporadic cases. J Antimicrob Chemother. 2016;71:85-91. 6. Nordmann P, Naas T, Poirel L. Global spread of Carbapenemase-producing Enterobacteriaceae. Emerg Infect Dis. 2011;17(10):1791-8. 7. Souli M, Galani I, Antoniadou A, Papadomichelakis E, Poulakou G et al. An outbreak of infection due to β- lactamase Klebsiella pneumoniae carbapenemase 2-producing K. pneumoniae in a Greek University Hospital: molecular characterization, epidemiology, and outcomes. Clin Infect Dis 2010;50:364–73. 8. Bratu S, Landman D, Haag R, Recco R, Eramo A, Alam M, Quale J. Rapid spread of carbapenem-resistant Klebsiella pneumoniae in New York City: a new threat to our antibiotic armamentarium. Arch Intern Med. 2005; 165:1430-5. 9. Marchaim D, Navon-Venezia S, Schwaber MJ, Carmeli Y. Isolation of imipenem-resistant Enterobacter species: emergence of KPC-2 carbapenemase, molecular characterization, epidemiology, and outcomes. Antimicrob Agents Chemother. 2008;52:1413-8. 10. Queenan AM, Bush K. Carbapenemases: the versatile β-lactamases. Clin Microbiol Rev 2007;20:440–58. 11. Falcone M, Mezzatesta ML, Perilli M, Forcella C, Giordano A et al. Infections with VIM-1 metallo β- lactamase producing Enterobacter cloacae and their correlation with clinical outcome. J Clin Microbiol 2009;47: 3514–9.
  • 137.
    11 12. Doumith M,Ellington MJ, Livermore DM, Woodford N. Molecular mechanisms disrupting porin expression in ertapenem-resistant Klebsiella and Enterobacter spp. clinical isolates from the UK. J Antimicrob Chemother. 2009;63:659-67. 13. Yamachika S, Sugihara C, Kamai Y, Yamashita M. Correlation between penicillin-binding protein 2 mutations and carbapenem resistance in Escherichia coli. J Med Microbiol. 2013;62:429-36. 14. Nordmann P, Gniadkowski M, Giske CG, Poirel L, Woodford N, Miriagou V. Identification and screening of carbapenemase-producing Enterobacteriaceae. Clin Microbiol Infect. 2012;18:432-8. 15. European Committee on Antimicrobial Susceptibility Testing (EUCAST). Website with MIC-distributions. (http://mic.eucast.org/, accessed on 23 December 2012). 16. Glupczynski Y, Huang TD, Bouchahrouf W, Rezende de Castro R, Bauraing C et al. Rapid emergence and spread of OXA-48-producing carbapenem-resistant Enterobacteriaceae isolates in Belgian hospitals. Int J Antimicrob Agents. 2012;39:168-72. 17. Tato M, Coque TM, Ruiz-Garbajosa P, Pintado V, Cobo J et al. Complex clonal and plasmid epidemiology in the first outbreak of Enterobacteriaceae infection involving VIM-1 metallo-β-lactamase in Spain: toward endemicity? Clin Infect Dis. 2007;45(9):1171-8. 18. Vading M, Samuelsen O, Haldorsen B, Sundsfjord AS, Giske CG. Comparison of disk diffusion, Etest® and VITEK2 for detection of carbapenemase-producing Klebsiella pneumoniae with the EUCAST and CLSI breakpoint systems. Clin Microbiol Infect. 2011;17:668-74. 19. Giske CG, Gezelius L, Samuelsen O, Warner M, Sundsfjord A, Woodford N. A sensitive and specific phenotypic assay for detection of metallo-β-lactamases and KPC in Klebsiella pneumoniae with the use of meropenem disks supplemented with aminophenylboronic acid, dipicolinic acid and cloxacillin. Clin Microbiol Infect. 2011;17:552-6. 20. Doyle D, Peirano G, Lascols C, Lloyd T, Church DL, Pitout JD. Laboratory detection of Enterobacteriaceae that produce carbapenemases. J Clin Microbiol. 2012;50:3877-80. 21. Porres-Osante N, de Champs C, Dupont H, Torres C, Mammeri H. Use of avibactam to detect Ambler class A carbapenemases and OXA-48 β-lactamases in Enterobacteriaceae. Diagn Microbiol Infect Dis. 2014; 79:399-400. 22. Huang TD, Berhin C, Bogaerts P, Glupczynski Y. Evaluation of avibactam-supplemented combination disk tests for the detection of OXA-48 carbapenemase-producing Enterobacteriaceae. Diagn Microbiol Infect Dis. 2014;79:252- 4. 23. van Dijk K, Voets G, Scharringa J, Voskuil S, Fluit A, Rottier W, Leverstein-Van Hall M, Cohen Stuart J. A disc diffusion assay for detection of class A, B and OXA-48 carbapenemases in Enterobacteriaceae using phenyl boronic acid, dipicolinic acid, and temocillin. Clin Microbiol Infect 2013. In press 24. Hartl R, Widhalm S, Kerschner H, Apfalter P. Temocillin and meropenem to discriminate resistance mechanisms leading to decreased carbapenem susceptibility with focus on OXA-48 in Enterobacteriaceae. Clin Microbiol Infect. 2013;19:E230-2. 25. Miriagou V, Tzelepi E, Kotsakis SD, Daikos GL, Bou Casals J, Tzouvelekis LS. Combined disc methods for the detection of KPC- and/or VIM-positive Klebsiella pneumoniae: improving reliability for the double carbapenemase producers. Clin Microbiol Infect. 2013;19:E412-5. 26. Nordmann P, Poirel L, Dortet L. Rapid detection of carbapenemase-producing Enterobacteriaceae. Emerg Infect Dis. 2012;18:1503-7. 27. Dortet L, Poirel L, Nordmann P. Rapid Identification of carbapenemase types in Enterobacteriaceae and Pseudomonas spp. by using a biochemical test. Antimicrob Agents Chemother. 2012;56:6437-40. 28. Vasoo S, Cunningham SA, Kohner PC, Simner PJ, Mandrekar JN, Lolans K, Hayden MK, Patel R. Comparison of a novel, rapid chromogenic biochemical assay, the Carba NP test, with the modified Hodge test for detection of carbapenemase-producing Gram-negative bacilli. J Clin Microbiol. 2013;51:3097-101. 29. Tijet N, Boyd D, Patel SN, Mulvey MR, Melano RG. Evaluation of the Carba NP test for rapid detection of carbapenemase-producing Enterobacteriaceae and Pseudomonas aeruginosa. Antimicrob Agents Chemother. 2013;57:4578-80. 30. Dortet L, Agathine A, Naas T, Cuzon G, Poirel L, Nordmann P. Evaluation of the RAPIDECR CARBA NP, the Rapid CARB ScreenR and the Carba NP test for biochemical detection of carbapenemase-producing Enterobacteriaceae. J Antimicrob Chemother. 2015 ; 70):3014-22. 31. Kabir MH, Meunier D, Hopkins KL, Giske CG, Woodford N. A two-centre evaluation of RAPIDECR CARBA NP for carbapenemase detection in Enterobacteriaceae, Pseudomonas aeruginosa and Acinetobacter spp. J Antimicrob Chemother. 2016 ;71:1213-6. 32. Huang TD, Berhin C, Bogaerts P, Glupczynski Y. Comparative evaluation of two chromogenic tests for rapid detection of carbapenemase in Enterobacteriaceae and in Pseudomonas aeruginosa isolates. J Clin Microbiol. 2014;52(8):3060-3.
  • 138.
    12 33. Noel A,Huang TD, Berhin C, Hoebeke M, et al. Comparative Evaluation of Four Phenotypic Tests for Detection of Carbapenemase-Producing Gram-Negative Bacteria. J Clin Microbiol. 2017 Feb;55(2):510- 518. 34. Pasteran F, Veliz O, Ceriana P, Lucero C, Rapoport M, et al. Evaluation of the Blue-Carba test for rapid detection of carbapenemases in gram-negative bacilli. J Clin Microbiol. 2015 ;53(6):1996-8. 35. Compain F, Gallah S, Eckert C, Arlet G, Ramahefasolo A, et al. Assessment of Carbapenem Resistance in Enterobacteriaceae with the Rapid and Easy-to-Use Chromogenic β-Carba Test. J Clin Microbiol. 2016;54(12):3065-3068 36. van der Zwaluw K, de Haan A, Pluister GN, Bootsma HJ, de Neeling AJ, et al. The carbapenem inactivation method (CIM), a simple and low-cost alternative for the Carba NP test to assess phenotypic carbapenemase activity in gram-negative rods. PLoS One. 2015;10(3):e0123690. 37. Yamada K, Kashiwa M, Arai K, Nagano N, Saito R. Comparison of the Modified-Hodge test, Carba NP test, and carbapenem inactivation method as screening methods for carbapenemase-producing Enterobacteriaceae. J Microbiol Methods. 2016;128:48-51. 38. Tijet N, Patel SN, Melano RG. Detection of carbapenemase activity in Enterobacteriaceae: comparison of the carbapenem inactivation method versus the Carba NP test J Antimicrob Chemother. 2016 ;71(1):274- 6. 39. Hrabak J, Studentova V, Walkova R, Zemlickova H, Jakubu V et al. Detection of NDM-1, VIM-1, KPC, OXA- 48, and OXA-162 carbapenemases by matrix-assisted laser desorption ionization-time of flight mass spectrometry. J Clin Microbiol. 2012;50:2441-3. 40. Lasserre C, De Saint Martin L, Cuzon G, Bogaerts P, Lamar E, et al. Efficient Detection of Carbapenemase Activity in Enterobacteriaceae by Matrix-Assisted Laser Desorption Ionization-Time of Flight Mass Spectrometry in Less Than 30 Minutes. J Clin Microbiol. 2015; 53:2163-71. .àPapagia itsisàCC,àŠtude tovaàV,àIzde skiàR,àOiko o ouàO,àPfeiferàY,àetàal.àMatrix-assisted laser desorption ionization-time of flight mass spectrometry meropenem hydrolysis assay with NH4HCO3, a reliable tool for direct detection of carbapenemase activity. J Clin Microbiol. 2015;53(5):1731. 42. Pasteran F, Denorme L, Ote I, Gomez S, De Belder D, Glupczynski Y, Bogaerts P, Ghiglione B, Power P, Mertens P, Corso A. Rapid identification of OXA-48 and OXA-163 Subfamilies in carbapenem-resistant gram-negative bacilli with a novel immunochromatographic lateral flow assay. J Clin Microbiol. 2016;54(11):2832-2836. 43. Dortet L, Jousset A, Sainte-Rose V, Cuzon G, Naas T. Prospective evaluation of the OXA-48 K-SeT assay, an immunochromatographic test for the rapid detection of OXA-48-type carbapenemases. J Antimicrob Chemother. 2016;71(7):1834-40. 44. Wareham DW, Shah R, Betts JW, Phee LM, Momin MH. Evaluation of an Immunochromatographic Lateral Flow Assay (OXA-48 K-SeT) for Rapid Detection of OXA-48-Like Carbapenemases in Enterobacteriaceae. J Clin Microbiol. 2016;54(2):471-3. 45. Meunier D, Vickers A, Pike R, Hill RL, Woodford N, Hopkins KL. Evaluation of the K-SeT R.E.S.I.S.T. immunochromatographic assay for the rapid detection of KPC and OXA-48-like carbapenemases. J Antimicrob Chemother. 2016;71(8):2357-9. 46. Glupczynski Y, Evrard S, Ote I, Mertens P, Huang TD, et al. Evaluation of two new commercial immunochromatographic assays for the rapid detection of OXA-48 and KPC carbapenemases from cultured bacteria. J Antimicrob Chemother. 2016;71(5):1217-22.
  • 139.
    13 3. Enterobacteriaceae produtorasde β-lactamases de espectro estendido (ESBL) Importância da detecção do mecanismo de resistência Necessário para categorização clínica de sensibilidade antimicrobiana Não Para propósitos de controle de infecção Sim Para propósitos de saúde pública Sim 3.1 Definição ESBLs são enzimas capazes de hidrolisar a maioria das penicilinas e cefalosporinas, incluindo compostos oxiimino-β-lactâmicos (cefuroxima, cefalosporinas de terceira e quarta gerações e aztreonam), mas não cefamicinas ou carbapenêmicos. A maioria das ESBLs pertence à classe A de Ambler e é inibida por inibidores de β-lactamase (ácido clavulânico, sulbactam e tazobactam) e por diazabiciclooctanonas (avibactam) (1). 3.2 Importância clínica e/ou epidemiológica As primeiras cepas produtoras de ESBL foram identificadas em 1983, e desde então têm sido detectadas em todo o mundo. Essa distribuição é um resultado da expansão clonal de organismos produtores de ESBL, da transferência horizontal de genes de ESBL em plasmídeos e, menos comumente, surgimento de novas enzimas. Certamente os grupos clinicamente mais importantes de ESBLs são as enzimas CTX-M, seguido de SHV e ESBLs derivados de TEM (2-5). A produção de ESBL tem sido observada principalmente em Enterobacteriaceae, inicialmente em ambientes hospitalares, mais tarde, em casas de repouso, e desde o ano 2000, na comunidade (pacientes ambulatoriais, portadores saudáveis, animais doentes e saudáveis, produtos alimentícios). As espécies produtoras de ESBL mais frequentemente encontradas são Escherichia coli e K. pneumoniae. No entanto, todas as outras espécies de Enterobacteriaceae clinicamente relevantes são também comumente produtoras de ESBL. A prevalência de isolados ESBL positivo depende de uma série de fatores, incluindo a espécie, a localidade geográfica, hospital/ala, grupo de pacientes e tipo de infecção; grandes variações têm sido relatadas em diferentes estudos (2,3,6,7). Os dados do EARS-Net de 2015 mostraram que a taxa de isolados de K. pneumoniae invasivos não sensíveis às cefalosporinas de terceira geração ultrapassou os 20% ou mesmo 50% em muitos países europeus. Com exceção da Grécia e da Itália que apresentam uma alta proporção de isolados produtores de carbapenemases tipo KPC, a maioria desses isolados foi assumida como produtores de ESBL com base nos resultados de testes de ESBL locais (8). 3.3 Mecanismos de resistência A grande maioria das ESBLs é constituída de enzimas adquiridas, codificadas por genes localizados em plasmídeos. As ESBLs adquiridas são expressas em vários níveis, e diferem significativamente quanto às suas características bioquímicas, tais como atividade contra β-lactâmicos específicos (por exemplo, cefotaxima, ceftazidima, aztreonam). O nível de expressão e as propriedades de uma determinada enzima, e a presença simultânea de outros mecanismos de resistência (outras β-lactamases, efluxo,
  • 140.
    14 permeabilidade alterada) resultamem uma grande diversidade de fenótipos de resistência observados entre os isolados ESBL-positivos (1-4, 9-11). 3.4 Métodos recomendados para a detecção de ESBLs em Enterobacteriaceae Em muitas áreas, a detecção e caracterização de ESBLs é recomendada ou obrigatória para fins de controle de infecção. A estratégia recomendada para a detecção de ESBLs em Enterobacteriaceae baseia-se na não sensibilidade a oxiimino-cefalosporinas, ditas indicadoras, seguido por testes fenotípicos de confirmação (e em alguns casos genotípicos) (Tabela 1, Figura 1). O valor de corte para triagem > 1 mg/L é recomendado para cefotaxima, ceftriaxona, ceftazidima e cefpodoxima, de acordo com as diretrizes do EUCAST e do CLSI (Tabela 1) (12, 13). O ponto de corte clínico do EUCAST para Enterobacteriaceae é também S à1 mg/L (12). A cefpodoxima é a cefalosporina indicadora individualmente mais sensível para a detecção da produção de ESBL e pode ser utilizada para triagem. No entanto, é menos específica do que a combinação de cefotaxima (ou ceftriaxona) e ceftazidima (14, 15) e apenas os últimos compostos são utilizados no teste de confirmação. Os diâmetros dos halos correspondentes às cefalosporinas indicadoras estão apresentados na Tabela 1. Tabela 1. Métodos de triagem para detecção de ESBL em Enterobacteriaceae (13-19). Método Antibiótico Realizar teste para ESBL se Diluição em caldo ou ágar1 Cefotaxima/ceftriaxona E ceftazidima CIM >1 mg/L para qualquer um dos antimicrobianos Cefpodoxima CIM >1 mg/L Disco-difusão1 Cefotaxima (5 μg) ou Ceftriaxona (30 μg) E ceftazidima àμg Halo de inibição < 21 mm Halo de inibição < 23 mm Halo de inibição < 22 mm Cefpodoxima (10 µg) Halo de inibição < 21 mm 1 Em todos os métodos testar cefotaxima ou ceftriaxona E ceftazidima OU testar cefpodoxima isoladamente.
  • 141.
    15 Figura 1. Algoritmopara detecção fenotípica de ESBLs 1Caso a cefoxitina tenha sido testada e a CIM seja >8 mg/L, realizar teste confirmatório com cefepima +/- ácido clavulânico. 2Não pode ser determinado como positivo ou negativo (i.e., a fita não pode ser lida devido ao crescimento além da faixa de CIM da fita ou nenhum sinergismo evidente com o disco combinado e com o teste de sinergismo do duplo disco). Caso a confirmação com cefepima +/- ácido clavulânico seja indeterminada há necessidade de teste genotípico. 3.4.1 Triagem de ESBL em Enterobacteriaceae A. Triagem no grupo 1 de Enterobacteriaceae (E. coli, Klebsiella spp., Raoutella spp., P. mirabilis, Salmonella spp., Shigella spp.) Os métodos recomendados para triagem de ESBL no grupo 1 de Enterobacteriaceae são diluição em caldo, diluição em ágar, disco-difusão ou sistema automatizado (12, 19, 20). É necessário que tanto a cefotaxima (ou ceftriaxona) e ceftazidima sejam utilizadas como cefalosporinas indicadoras, uma vez que pode haver grandes diferenças de CIMs de cefotaxima (ou ceftriaxona) e ceftazidima para diferentes isolados produtores de ESBL (14, 22, 23). O algoritmo de triagem e os métodos fenotípicos para confirmação de ESBL, para o grupo 1 de Enterobacteriaceae que são positivas em testes de triagem, estão descritos na Figura 1 e Tabela 2. B. Triagem no grupo 2 de Enterobacteriaceae (Enterobacter spp., Serratia spp., Citrobacter freundii, Morganella morganii, Providencia spp., Hafnia alvei) Para o grupo 2 de Enterobacteriaceae, recomenda-se que a triagem de ESBL seja realizada de acordo com os métodos acima descritos para o grupo 1 de Enterobacteriaceae (Figura 1 e Tabela 3) (18). No entanto, um mecanismo muito comum Triagem para ESBL: I/R a uma ou ambas cefotaxima e ceftazidima (ou cefpodoxima R) Sem ESBL Não Sim Confirmação de ESBL dependente da espécie Grupo 1: E. coli, Klebsiella spp., P. mirabilis, Salmonella spp., Shigella spp. Grupo 2: Enterobacteriaceae com AmpC cromossômica indutiva: Enterobacter spp., Citrobacter freundii, Morganella morganii, Providencia stuartii, Serratia spp., Hafnia alvei CONFIRMAÇÃO DE ESBL1 com ceftazidima e cefotaxima +/- ácido clavulânico CONFIRMAÇÃO DE ESBL com cefepima +/- ácido clavulânico Positivo: ESBL Negativo: sem ESBL Indeterminado2 2 Positivo: ESBL Negativo: sem ESBL Indeterminado
  • 142.
    16 deàresist iaà sàefalospori asàéàaàdesrepressãoàdaàexpressãoàdeàβ-lactamase AmpC cromossômica nessas espécies. Uma vez que a cefepima é estável a hidrólise por AmpC, pode ser utilizada em testes fenotípicos com ácido clavulânico. 3.4.2 Métodos fenotípicos de confirmação Quatro dos vários métodos fenotípicos, com base na inibição in vitro da atividade de ESBL por ácido clavulânico, são recomendados para confirmação ESBL: o teste do disco combinado (TDC), o teste de sinergismo de duplo disco (TSDD), o teste de gradiente ESBL, e teste de microdiluição em caldo (Tabelas 2 e 3) (20, 21, 24). Em um estudo multicêntrico o TDC apresentou especificidade superior ao teste gradiente ESBL e sensibilidade comparável (25). Os fabricantes de sistemas automatizados de testes de sensibilidade implementaram os testes de detecção baseados na inibição de enzimas ESBL pelo ácido clavulânico. Os desempenhos dos métodos de confirmação diferem em diferentes estudos, dependendo da coleção de cepas testadas e do equipamento utilizado (17-19). A. Teste do disco combinado (TDC) Para cada ensaio, os discos contendo a cefalosporina isoladamente (cefotaxima, ceftazidima, cefepima) e em combinação com o ácido clavulânico, são aplicados. O halo de inibição em torno do disco de cefalosporina combinado com o ácido clavulânico é comparado com o halo em torno do disco com a cefalosporina isoladamente. O teste é positivo se o diâmetro do halo de inibição com o disco combinado for pelo menos 5 mm maior do que aquele com o disco sem o ácido clavulânico (Tabela 3) (26, 27). B. Teste de sinergismo de disco duplo (TSDD) Os discos contendo as cefalosporinas (cefotaxima, ceftazidima, cefepima) são aplicados à placa, próximos a um disco com o ácido clavulânico (amoxicilina-ácido clavulânico). Um resultado positivo é indicado quando as zonas de inibição em torno de qualquer um discos de cefalosporinas são aumentadas na direção do disco que contém o ácido clavulânico. A distância entre os discos é crítica e 20 mm de centro a centro parece ser a distância ótima para discos de cefalosporinas de 30 µg; no entanto, pode ser reduzida (15 mm) ou aumentada (30 mm) para testar as cepas com níveis muito elevados ou baixos de resistência, respectivamente (20). As recomendações precisam ser reavaliadas para discos com menor conteúdo de cefalosporinas, como utilizado no método de disco-difusão do EUCAST. C. Método do gradiente Testes de gradiente são realizados, lidos e interpretados de acordo com as instruções do fabricante. O teste é positivo se uma redução de oito vezes é observada na CIM de cefalosporina combinada com ácido clavulânico em comparação com a CIM da cefalosporina isoladamente ou se uma zona fantasma ou elipse deformada está presente (ver instruções do fabricante para as ilustrações) (Tabela 3). O resultado do teste é indeterminado se a tira não puder ser lida, devido ao crescimento para além da faixa de CIM da tira. Em todos os outros casos, o resultado do teste é negativo. O teste do gradiente para ESBL deve ser utilizado para a confirmação da produção de ESBL e não é confiável para determinação da CIM.
  • 143.
    17 D. Microdiluição emcaldo A microdiluição em caldo é realizada com caldo Mueller-Hinton contendo diluições seriadas de razão 2 de cefotaxima, ceftazidima e cefepima em concentrações compreendidas entre 0,25 e 512 mg/L, com e sem ácido clavulânico, a uma concentração fixa de 4 mg/L. O teste é positivo se uma redução igual ou maior que 8 vezes for observada na CIM da cefalosporina combinada com ácido clavulânico em comparação com a CIM da cefalosporina isoladamente. Em todos os outros casos, o resultado do teste é negativo (24). E. Testes bioquímicos (colorimétricos) O teste ESBL NDP foi descrito primeiramente em 2012, e usa cefotaxima como indicador antimicrobiano, com tazobactam como inibidor (28). É realizado em placas de 96 poços ou em tubos separados. Mudança de cor de vermelho para amarelo é considerado um teste positivo. O teste também foi usado diretamente em amostras do paciente (29). Excelentes sensibilidades e especificidades foram descritas, mas o teste não foi avaliado em estudo multicêntrico. Oàtesteàβ-LACTA é um teste colorimétrico utilizando um substrato de cefalosporina cromogênica (HMRZ-86) em isolados bacterianos e também diretamente em amostras clínicas (30). Em um estudo prospectivo multicêntrico na Bélgica e na França, verificou- se que apresentava uma excelente sensibilidade e especificidade para E. coli e K. pneumoniae (96% e 100%, respectivamente), enquanto mostrou menor sensibilidade (67%) para espécies que produzem β-lactamases AmpC induzíveis. O alto valor preditivo negativo para E. coli e K. pneumoniae (99% em áreas com prevalência de resistência as C3G variando entre 10-30%) faz com que este teste simples seja muito eficiente para a previsão de resistência a cefalosporinas de terceira geração, parti ular e teàe à epasàprodutorasàdeàβ-lactamase de espectro estendido. F. Considerações especiais na interpretação Testes de confirmação de ESBL que usam cefotaxima como a cefalosporina indicadora podem ser falsamente positivos para cepas de Klebsiella oxytoca com hiperprodução de β-lactamase cromossômica K1 (OXY-like) (27). Um fenótipo semelhante também pode ser encontrado em Proteus vulgaris, Proteus penneri, Citrobacter koseri e Kluyvera spp. e em algumas espécies relacionadas a C. koseri, como C. sedlakii, C. farmeri e C. amalonaticus, que têm β-lactamases cromossômicas que são inibidas pelo ácido clavulânico (28, 29). Outra possível causa de resultados falso-positivos é hiperprodução de SHV-1, TEM-1 ou β-lactamase OXA-1-like de amplo espectro combinado com permeabilidade alterada (17). Problemas semelhantes com resultados falso-positivos para K. oxytoca produtores de K1 podem surgir quando se utiliza os testes de confirmação com base apenas em cefepima (34).
  • 144.
    18 Tabela 2. Testesconfirmatórios para ESBL em Enterobacteriaceae que são positivos nos testes de triagem para ESBL (ver Tabela 1). Grupo 1 de Enterobacteriaceae (ver Figura 1). Método Agente antimicrobiano (conteúdo do disco) A confirmação de ESBL é positiva se Teste de gradiente para ESBL Cefotaxima +/- ácido clavulânico áàrazãoàdeàCIMsàforà à àou se houver deformação da elipse Ceftazidima +/- ácido clavulânico áàrazãoàdeàCIMsàforà à àouà se houver deformação da elipse Teste de disco- difusão combinado (TDC) Cefotaxima (30 µg) +/- ácido clavulânico (10 µg) Aumento no halo de inibição à à mm Ceftazidima (30 µg) +/- ácido clavulânico (10 µg) áu e toà oà haloà deà i i içãoà à à mm Microdiluição em caldo Cefotaxima +/- ácido clavulânico (4 mg/L) Razão entre CIMs à8 Ceftazidima +/- ácido clavulânico (4 mg/L) Razãoàe treàCIMsà à Cefepima +/- ácido clavulânico (4 mg/L) Razãoàe treàCIMsà à Teste de sinergismo do duplo disco (TSDD) Cefotaxima, ceftazidima e cefepima Expansão do halo de inibição da cefalosporina indicadora em direção ao disco de amoxicilina- ácido clavulânico Tabela 3. Testes confirmatórios para ESBL em Enterobacteriaceae que são positivas nos testes de triagem para ESBL (ver Tabela 1). Grupo 2 de Enterobacteriaceae (ver Figura 1). Método Antimicrobiano A confirmação é positiva se Teste de gradiente para ESBL - Etest ESBL Cefepima +/- ácido clavulânico áàrazãoàdeàCIMsàforà à àouàseà houver deformação da elipse Teste de disco-difusão combinado (TDC) Cefepima (30 µg) +/- ácido clavulânico (10 µg) Aumento à à àno halo de inibição Microdiluição em caldo Cefepima +/- ácido clavulânico (concentração fixa de 4 mg/L) Razão entre CIMs à Teste de sinergismo do duplo disco (TSDD) Cefotaxima, ceftazidima, cefepima Expansão do halo de inibição da cefalosporina indicadora em direção ao disco de amoxicilina-ácido clavulânico
  • 145.
    19 3.4.3 Detecção fenotípicade ESBL na presença de outras β-lactamases que mascaram o sinergismo Testes com resultados indeterminados (Etest) e resultados falso-negativos (TDC, TSDD, Etestemicrodiluição)podemresultardaexpressãodealtoníveldeβ-lactamasesAmpC, que mascaram a presença de ESBLs (20, 34, 35). Isolados com expressão de alto nível de β-lactamases AmpC geralmente mostram clara resistência às cefalosporinas de terceira geração. Além disso, a resistência à cefamicinas, ou seja, CIM de cefoxitina >8 mg/L, podem ser indicativos de expressão de alto nível de β-lactamases AmpC, (34), com a rara exceção das β-lactamases ACC, que não conferem resistência à cefoxitina (36). Para confirmar a presença de ESBL em isolados com expressão de alto nível de β- lactamases AmpC, recomenda-se que um teste confirmatório adicional para ESBL seja realizado com cefepima como cefalosporina indicadora, uma vez que a cefepima geralmente não é hidrolisada por β-lactamases AmpC. A cefepima pode ser utilizada em todos os formatos de ensaios TDC, TSDD, gradiente ou diluição em caldo (27, 37- 39). Abordagens alternativas incluem o uso de cloxacilina, que é um bom inibidor de enzimas AmpC. Este formato de TDC utiliza discos que contêm as duas cefalosporinas indicadoras (cefotaxima e ceftazidima) com ácido clavulânico e cloxacilina juntos; e TDC ou TSDD padrão em placas de ágar suplementado com 200-250 mg de cloxacilina por litro (19).Hátambém discos contendo tanto ácido clavulânico e cloxacilina no mercado, mas as avaliações multicêntricas destes produtos são insuficientes. A presença de ESBLs pode também ser mascarada por carbapenemases tais como MBL ou KPCs (mas não enzimas OXA-48-like) e / ou por defeitos graves de permeabilidade (40, 41). Se a detecção ainda é considerada relevante, recomenda-se que os métodos moleculares para detecção de ESBL sejam utilizados. 3.4.4 Confirmação genotípica Para a confirmação genotípica da presença de genes de ESBL, existem diversos métodos disponíveis desde de PCR com sequenciamento até o sequenciamento de genoma completo bacteriano seguido de mapeamento in silico dos genes de resistência. Existem também técnicas à base de microarray de DNA. Existem métodos comerciais e in-house disponíveis, mas estes métodos não foram sistematicamente avaliados e, portanto, não serão abordados nesse documento. Informações sobre sequenciamento de genoma completo estão descritas em outro documento do EUCAST (42). 3.4.5 Controle de qualidade Abaixo estão listadas algumas cepas controle para experimentos fenotípicos e genotípicos. Intervalos de controle de qualidade para essas cepas não estão disponíveis. Usuários de métodos comerciais devem consultar os manuais específicos para selecionar a cepa controle mais adequada.
  • 146.
    20 Table 4. Exemplosde cepas para controle de qualidade dos testes de detecção de ESBLs. Cepas Mecanismo K. pneumoniae ATCC 700603 ESBL SHV-18 E. coli CCUG62975 ESBL grupo CTX-M-1 e AmpC CMY adquirida E. coli ATCC 25922 ESBL negativo 3.5 Referências 1. Bush K, Jacoby GA, Medeiros AA. A functional classification scheme for β -lactamases and its correlation with molecular structure. Antimicrob Agents Chemother. 1995;39:211-1233. 2. Livermore DM. β-Lactamases in laboratory and clinical resistance. Clin Microbiol Rev. 1995;8:557-584. 3. Bradford PA. Extended-spectrum β-lactamases in the 21st century: characterization, epidemiology, and detection of this important resistance threat. Clin Microbiol Rev. 2001;14:933-951. 4. Naas T, Poirel L, Nordmann P. 2008. Minor extended-spectrum β-lactamases. Clin Microbiol Infect. 2008;14(Suppl1):42-52. 5. Cantón R, Novais A, Valverde A, Machado E, Peixe L, Baquero F, Coque TM. Prevalence and spread of extended-spectrum β-lactamase-producing Enterobacteriaceae in Europe. Clin Microbiol Infect. 2008;14(Suppl1):144-153. 6. Livermore DM, Canton R, Gniadkowski M, Nordmann P, Rossolini GM, Arlet G, Ayala J, Coque TM, Kern- Zdanowicz I, Luzzaro F, Poirel L, Woodford N. CTX-M: changing the face of ESBLs in Europe. J Antimicrob Chemother. 2007;59:165-174. 7. Carattoli A. Animal reservoirs for extended-spectrum β-lactamase producers. Clin Microbiol Infect. 2008;14(Suppl1):117-123. 8. European Centres for Disease Prevention and Control (ECDC). Antimicrobial resistance surveillance in Europe 2014. Annual report of the European Antimicrobial Resistance Surveillance Network (EARS- Net). 9. Gniadkowski M. 2008. Evolution of extended-spectrum β-lactamases by mutation. Clin Microbiol Infect. 2008;14(Suppl1):11-32. 10. Livermore DM. Defining an extended-spectrum β-lactamase. Clin Microbiol Infect. 2008;14(Suppl1):3- 10. 11. European Committee on Antimicrobial Susceptibility Testing. Breakpoint tables for interpretation of MICs and zone diameters. EUCAST; 2013. Version 3.0 http://www.eucast.org/clinical_breakpoints/ (last accessed 23 December 2012). 12. Clinical and Laboratory Standards Institute. Performance Standards for Antimicrobial Susceptibility Testing: Twenty-first Informational Supplement M 100-S21. Wayne, PA, USA: CLSI; 2011. 13. Hope R, Potz NA, Warner M, Fagan EJ, Arnold E, Livermore DM. Efficacy of practised screening methods for detection of cephalosporin-resistant Enterobacteriaceae. J Antimicrob Chemother. 2007;59(1):110- 3. 14. Oliver A, Weigel LM, Rasheed JK, McGowan Jr JE Jr, Raney P, Tenover FC. Mechanisms of decreased susceptibility to cefpodoxime in Escherichia coli. Antimicrob Agents Chemother. 2002; 46:3829-36. 15. Garrec H, Drieux-Rouzet L, Golmard JL, Jarlier V, Robert J. Comparison of nine phenotypic methods for detection of extended-spectrum β-lactamase production by Enterobacteriaceae. J Clin Microbiol. 2011;49:1048-57. 16. Leverstein-van Hall MA, Fluit AC, Paauw A, Box AT, Brisse S, Verhoef J. Evaluation of the EtestR ESBL and the BD Phoenix, VITEK 1, and VITEK 2 automated instruments for detection of extended-spectrum β-lactamases in multiresistant Escherichia coli and Klebsiella spp. J Clin Microbiol. 2002;40:3703-11. 17. Spanu T, Sanguinetti M, Tumbarello M, D'Inzeo T, Fiori B, Posteraro B, Santangelo R, Cauda R, Fadda G. Evaluation of the new VITEK 2 extended-spectrum β-lactamase (ESBL) test for rapid detection of ESBL production in Enterobacteriaceae isolates. J Clin Microbiol. 2006;44:3257-62. 18. Thomson KS, Cornish NE, Hong SG, Hemrick K, Herdt C, Moland ES. Comparison of Phoenix and VITEK 2 extended spectrum- β-lactamase detection tests for analysis of Escherichia coli and Klebsiella isolates with well characterized β-lactamases. J Clin Microbiol. 2007;45:2380-4.
  • 147.
    21 19. Drieux L,Brossier F, Sougakoff W, Jarlier V. Phenotypic detection of extended-spectrum β-lactamase production in Enterobacteriaceae: review and bench guide. Clin Microbiol Infect. 2008; 14 (Suppl 1):90- 103. 20. Paterson DL, Bonomo RA. Extended-spectrum β-lactamases: a clinical update. Clin Microbiol Rev. 2005;18:657-86. 21. Biedenbach DJ, Toleman M, Walsh TR, Jones RN. Analysis of Salmonella spp. with resistance to extended-spectrum cephalosporins and fluoroquinolones isolated in North America and Latin America: report from the SENTRY Antimicrobial Surveillance Program (1997-2004). Diagn Microbiol Infect Dis. 2006;54:13-21. 22. Hirakata Y, Matsuda J, Miyazaki Y, Kamihira S, Kawakami S et al. Regional variation in the prevalence of extended-spectrum β-lactamase-producing clinical isolates in the Asia-Pacific region (SENTRY 1998- 2002). Diagn Microbiol Infect Dis. 2005;52:323-9. 23. Jeong SH, Song W, Kim JS, Kim HS, Lee KM. Broth microdilution method to detect extended-spectrum β- lactamases and AmpC β-lactamases in Enterobacteriaceae isolates by use of clavulanic acid and boronic acid as inhibitors. J Clin Microbiol. 2009;47:3409-12. 24. Platteel TN, Cohen Stuart JW, de Neeling AJ, Voets GM, Scharringa J et al. Multi-centre evaluation of a phenotypic extended spectrum β-lactamase detection guideline in the routine setting. Clin Microbiol Infect. 2013;19:70-6. 25. M'Zali FH, Chanawong A, Kerr KG, Birkenhead D, Hawkey PM. Detection of extended-spectrum β- lactamases in members of the family Enterobacteriaceae: comparison of the MAST DD test, the double disc and the EtestR ESBL. J Antimicrob Chemother. 2000;45:881-5. 26. Towne TG, Lewis JS 2nd, Herrera M, Wickes B, Jorgensen JH. Detection of SHV-type extended-spectrum β- lactamase in Enterobacter isolates. J Clin Microbiol. 2010;48:298-9. 27. Sturenburg E, Sobottka I, Noor D, Laufs R, Mack D. Evaluation of a new cefepime-clavulanate ESBL EtestR to detect extended-spectrum β-lactamases in an Enterobacteriaceae strain collection. J Antimicrob Chemother. 2004;54:134-8. 28. Nordmann P, Dortet L, Poirel L. Rapid detection of extended-spectrum-β-lactamase-producing Enterobacteriaceae. J Clin Microbiol. 2012;50(9):3016-22. 29. Dortet L, Poirel L, Nordmann P. Rapid detection of ESBL-producing Enterobacteriaceae in blood cultures. Emerg Infect Dis. 2015;21(3):504-7. 30. Renvoise A, Decre D, Amarsy-Guerle R, Huang TD, Jost C, et al. Evaluation of the β-Lacta test, a rapid test detecting resistance to third-generation cephalosporins in clinical strains of Enterobacteriaceae. J Clin Microbiol. 2013;51(12):4012-7. 31. Nukaga M, Mayama K, Crichlow GV, Knox JR. Structure of an extended-spectrum class A β-lactamase from Proteus vulgaris K1. J Mol Biol. 2002;317:109-17. 32. Petrella S, Renard M, Ziental-Gelus N, Clermont D, Jarlier V, Sougakoff W. Characterization of the chromosomal class A β-lactamase CKO from Citrobacter koseri. FEMS Microbiol Lett. 2006;254:285-92. 33. Sturenburg E, Sobottka I, Noor D, Laufs R, Mack D. Evaluation of a new cefepime-clavulanate ESBL EtestR to detect extended-spectrum β-lactamases in an Enterobacteriaceae strain collection. J Antimicrob Chemother. 2004; 54:134-8. 34. Jacoby GA. AmpC β-lactamases. Clin Microbiol Rev. 2009;22:161-82. 35. Munier GK, Johnson CL, Snyder JW, Moland ES, et al. Positive extended-spectrum-β-lactamase (ESBL) screening results may be due to AmpC β-lactamases more often than to ESBLs. J Clin Microbiol. 2010;48:673-4. 36. Bauernfeind A, Schneider I, Jungwirth R, Sahly H, Ullmann U. A novel type of AmpC β-lactamase, ACC- 1, produced by a Klebsiella pneumoniae strain causing nosocomial pneumonia. Antimicrob Agents Chemother. 1999;43:1924-31. 37. Polsfuss S, Bloemberg GV, Giger J, Meyer V, Bottger EC, Hombach M. Evaluation of a diagnostic flow chart for detection and confirmation of extended spectrum β-lactamases (ESBL) in Enterobacteriaceae. Clin Microbiol Infect. 2012;18:1194-204. 38. Yang JL, Wang JT, Lauderdale TL, Chang SC. Prevalence of extended-spectrum β-lactamases in Enterobacter cloacae in Taiwan and comparison of 3 phenotypic confirmatory methods for detecting extended-spectrum β-lactamase production. J Microbiol Immunol Infect. 2009;42:310-6. 39. Jeong SH, Song W, Kim JS, Kim HS, Lee KM. Broth microdilution method to detect extended-spectrum β-lactamases and AmpC β-lactamases in enterobacteriaceae isolates by use of clavulanic acid and boronic acid as inhibitors. J Clin Microbiol. 2009;47:3409-12.
  • 148.
    22 40. Tsakris A,Poulou A, Themeli-Digalaki K, Voulgari E, Pittaras T, Sofianou D, Pournaras S, Petropoulou D. Use of boronic acid disk tests to detect extended- spectrum β-lactamases in clinical isolates of KPC carbapenemase possessing Enterobacteriaceae. J Clin Microbiol. 2009;47:3420-6. 41. March A, Aschbacher R, Dhanji H, Livermore DM, Bottcher A et al. Colonization of residents and staff of a long term- care facility and adjacent acute-care hospital geriatric unit by multiresistant bacteria. Clin Microbiol Infect. 2010;16:934-44. 42. Ellington MJ, Ekelund O, Aarestrup FM, et al. The role of whole genome sequencing in antimicrobial susceptibility testing of bacteria: report from the EUCAST Subcommittee. Clin Microbiol Infect. 2017;23(1):2-22.
  • 149.
    23 4. Enterobacteriaceae produtorasde β-lactamases AmpC adquiridas Importância da detecção de mecanismos de resistência Necessário para categorização clínica de sensibilidade antimicrobiana Não Para propósitos de controle de infecção Sim Para propósitos de saúde pública Sim 4.1 Definição Cefalosporinases do tipo AmpC são β-lactamases da classe C de Ambler. Elas hidrolisam penicilinas, cefalosporinas (incluindo a terceira geração, mas geralmente não os compostos de quarta geração) e monobactâmicos. Em geral, as enzimas do tipo AmpC são fracamente inibidas pelos inibidores de ESBL clássicos, especialmente o ácido clavulânico (1). 4.2 Importância clínica e/ou epidemiológica Os primeiros isolados produtores de AmpCs adquiridas foram identificados no final da década de 1980, e desde então têm sido detectadas globalmente, como resultado da disseminação clonal e a transferência horizontal de genes AmpC (muitas vezes referida como AmpC mediada por plasmídeo). Há diversas linhagens de genes AmpC móveis, provenientes de produtores naturais, a saber, o grupo Enterobacter (MIR, ACT), o grupo C. freundii (CMY-2 like LAT, FCE), o grupo M. morganii (DHA), o grupo Hafnia alvei (ACC), o grupo Aeromonas (CMY-1-like, FOX, MOX) e o grupo Acinetobacter baumannii (ABA). As mais comuns e mais amplamente disseminadas são as enzimas de CMY-2-like, embora β-lactamases DHA-like induzíveis e algumas outras também tenham se disseminado amplamente (1). As principais espécies produtoras de AmpCs adquiridas são E. coli, K. pneumoniae, K. oxytoca, Salmonella enterica e P. mirabilis. Isolados com essas enzimas foram recuperados tanto a partir de pacientes hospitalizados quanto da comunidade, e foram recuperadas em animais de produção e nos produtos alimentares (em E. coli e S. enterica) anteriormente às enzimas ESBL clássicas. Embora as AmpCs adquiridas tenham se disseminado amplamente e terem sido reportadas em estudos multicêntricos de resistência de enterobactérias às cefalosporinas de terceira geração, a sua frequência global tem se mantido muito abaixo daquela das ESBLs, pelo menos na Europa. No entanto, em alguns locais e situações epidemiológicas específicas, o significado de organismos produtores dessas enzimas pode aumentar substancialmente (1-5). 4.3 Mecanismos de resistência Numerosas Enterobacteriaceae e alguns outros bacilos Gram-negativos produzem AmpCs naturais, seja constitutivamente a um nível mínimo (por exemplo, E. coli,
  • 150.
    24 Acinetobacter baumannii) oupor indução (por exemplo, Enterobacter spp., C. freundii, M. morganii, P. aeruginosa). A desrepressão ou hiperprodução de AmpCs naturais são devidas a várias alterações genéticas e conferem alto nível de resistência às cefalosporinas e combinações de penicilina com inibidores de β-lactamase. As cefalosporinases da classe C também podem ocorrer como enzimas adquiridas, principalmente em Enterobacteriaceae. Exceto para alguns tipos induzíveis (por exemplo, DHA), as AmpCs adquiridas são expressas constitutivamente, o que confere resistência semelhante àquela observada em mutantes desreprimidos ou hiperprodutores de AmpCs naturais. Os níveis de resistência dependem das quantidades de enzimas expressas, bem como da presença de outros mecanismos de resistência. De modo semelhante às ESBLs, as AmpCs adquiridas são normalmente codificadas por genes mediados por plasmídeos (1-3). 4.4 Métodos recomendados para a detecção de AmpCs adquiridas em Enterobacteriaceae Uma CIM de cefoxitina >8 mg/L (zona de inibição < 19 mm) combinada com resistência fenotípica de ceftazidima e/ou cefotaxima (conforme definida pelos pontos de corte) podem ser utilizadas como critérios fenotípicos para investigação de produção de AmpC no grupo 1 de Enterobacteriaceae, embora esta estratégia não detecte ACC-1, uma AmpC mediada por plasmídeos que não hidrolisa cefoxitina (6). Deve-se notar que a resistência à cefoxitina também pode ser devida à deficiência de porinas (1). Figura 1. Algoritmo para detecção de AmpC. 1-Cefoxitina R é aqui definido como do tipo não selvagem (CIM > 8 mg/L ou diâmetro do halo <19 mm). Para definição de resistência a cefotaxima e ceftazidima utilizar os pontos de corte do EUCAST atuais. Investigação dos isolados com não sensibilidade à cefotaxima e ceftazidima é uma abordagem com maior sensibilidade, mas baixa especificidade em comparação com o foco em isolados resistentes à cefoxitina (7). AmpC também pode estar presente em isolados com um teste positivo para ESBL (sinergismo com ácido clavulânico). Para os laboratórios que não testam cefoxitina, sensibilidade à cefepima juntamente com resistência à cefotaxima e/ou ceftazidima é outro indicador fenotípico de AmpC, embora menos específico. Cefotaxima R ou ceftazidima R E cefoxitina R1 em E. coli, K. pneumoniae, P. mirabilis, Salmonella spp., Shigella spp. Sinergismo com cloxacilina detectado Sinergismo com cloxacilina NÃO detectado Outros mecanismos (ex. perda de porina) E. coli e Shigella spp.: PCR é necessária para discriminar entre AmpC cromossômica e plasmidial K. pneumoniae, P. mirabilis, Salmonella (não tem AmpC cromossômica) AmpC plasmidial detectada
  • 151.
    25 Abaixo estão listadasalgumas cepas controle para experimentos fenotípicos e genotípicos. Intervalos de controle de qualidade para essas cepas não estão disponíveis. Usuários de métodos comerciais devem consultar os manuais específicos para selecionar a cepa controle mais adequada. Tabela 1. Exemplos de cepas controle testes de detecção de AmpC Cepa Mecanismo E. coli CCUG 58543 AmpC CMY-2 adquirida E. coli CCUG62975 AmpC CMY AmpC e ESBL grupo CTX-M-1 K. pneumoniae CCUG 58545 Acquired DHA E. coli ATCC 25922 AmpC negativa 4.5 Referências 1. Jacoby GA. AmpC beta-lactamases. Clin Microbiol Rev. 2009;22:161-82. 2. Philippon A, Arlet G, Jacoby GA. Plasmid-determined AmpC-t peà β-lactamases. Antimicrob Agents Chemother. 2002;46:1-11. 3. Be eiroà á,à Bouà G.à Classà Cà β-lactamases: an increasing problem worldwide. Rev Med Microbiol. 2004;15:141-152. 4. Empel J, Hrabák J,àKozioskaàá,àBergerováàT,àUr áškováàP,àKer -Zdanowicz I, Gniadkowski M. DHA1- producing Klebsiella pneumoniae in a teaching hospital in the Czech Republic. Microb Drug Resist. 2010;16:291-295. 5. D’á dreaàMM,àLitera kaàE,à)iogaàá,àGia iàT,àBara iakàá,àFiettàJ,à“ado àE,àTassiosàPT,àRossoli ià GM, Gniadkowski M, Miriagou V. Evolution of a multi-drug-resistant Proteus mirabilis clone with chromosomal AmpC-type cephalosporinases spreading in Europe. Antimicrob Agents Chemother. 2011;55:2735-2742. 6. Bauernfeind A, Schneider I, Jungwirth R, Sahly H, Ullmann U. A novel type of AmpC β-lactamase, ACC-1, produced by a Klebsiella pneumoniae strain causing nosocomial pneumonia. Antimicrob Agents Chemother. 1999;43:1924-31. 7. Edquist P, Ringman M, Liljequist BO, Wisell KT, Giske CG. Phenotypic detection of plasmid- acquired AmpC in Escherichia coli-evaluation of screening criteria and performance of two commercial methods for the phenotypic confirmation of AmpC production. Eur J Clin Microbiol Infect Dis. 2013; 32:1205-10. 8. Yagi T, Wachino J, Kurokawa H, Suzuki S, Yamane K et al. Practical methods using boronic acid compounds for identification of class C beta-lactamase-producing Klebsiella pneumoniae and Escherichia coli. J Clin Microbiol. 2005;43:2551-8. 9. Tenover FC, Emery SL, Spiegel CA, Bradford PA, Eells S et al. Identification of plasmid-mediated AmpC β-lactamases in Escherichia coli, Klebsiella spp., and Proteus spp. can potentially improve reporting of cephalosporin susceptibility testing results. J Clin Microbiol. 2009;47:294-9. 10. Tan TY, Ng LS, He J, Koh TH, Hsu LY. Evaluation of screening methods to detect plasmid-mediated AmpC in Escherichia coli, Klebsiella pneumoniae, and Proteus mirabilis. Antimicrob Agents Chemother. 2009;53:146-9. 11. Martinez-Martinez L. Extended-spectrum β-lactamases and the permeability barrier. Clin Microbiol Infect. 2008;14 Suppl 1:82-9. 12. Halstead FD, Vanstone GL, Balakrishnan I. An evaluation of the Mast D69C AmpC Detection Disc “età forà theà dete tio à ofà i du i leà a dà derepressedà á pCà β-lactamases. J Antimicrob Chemother. 2012;67:2303-4. 13. Ingram PR, Inglis TJ, Vanzetti TR, Henderson BA, Harnett GB, Murray RJ. Comparison of methods for AmpC β-lactamase detection in Enterobacteriaceae. J Med Microbiol. 2011; 60(Pt 6):715-21. 14. Peter-Getzlaff S, Polsfuss S, Poledica M, Hombach M, Giger J et al. Detection of AmpC β-lactamase in Escherichia coli: comparison of three phenotypic confirmation assays and genetic analysis. J
  • 152.
    26 Clin Microbiol. 2011;49:2924-32. 15.Hansen F, Hammerum AM, Skov RL, Giske CG, Sundsfjord A, Samuelsen O. Evaluation of ROSCO Neo-Sensitabs for phenotypic detection and subgrouping of ESBL-, AmpC- and carbapenemase- producing Enterobacteriaceae. APMIS. 2012;120:724-32. 16. Pérez-Pérez FJ, Hanson ND. Detection of plasmid- ediatedà á pCà β-lactamase genes in clinical isolates by using multiplex PCR. J Clin Microbiol. 2002;40:2153-62. 17. Brolund A, Wisell KT, Edquist PJ, Elfström L, Walder M, Giske CG. Development of a real-time SYBRGreen PCR assay for rapid detection of acquired AmpC in Enterobacteriaceae. J Microbiol Methods. 2010; 82:229-33. 18. Cuzon G, Naas T, Bogaerts P, Glupczynski Y, Nordmann P. Evaluation of a DNA microarray for the rapid detection of extended-spe tru à β-lactamases (TEM, SHV and CTX-M), plasmid-mediated cephalosporinases (CMY-2-like, DHA, FOX, ACC-1, ACT/MIR and CMY-1-like/MOX) and carbapenemases (KPC, OXA-48, VIM, IMP and NDM). J Antimicrob Chemother. 2012;67:1865-9.
  • 153.
    27 5. Bacilos Gramnegativos resistentes a polimixina Importância da detecção de mecanismos de resistência Necessário para categorização clínica de sensibilidade e antimicrobiana Sim Para propósito de controle de infecção Sim Para propósito de saúde pública Sim A resistência adquirida às polimixinas em Enterobacteriaceae surgiu nos últimos anos no mundo inteiro. A resistência, em especial, a mediada por plasmídeos, tanto em animais, produtos alimentares e seres humanos é preocupante, uma vez que há uma grande propensão para a disseminação horizontal. Anteriormente, a resistência às polimixinas foi relatada como sendo sempre mediada cromossomicamente e geralmente relacionada a mutações em vários genes do sistema regulador de dois componentes para a biossíntese do lípido A e, portanto, regulação da carga no lipopolissacarídeo (LPS) (1,2). Em 2015, foram feitos os primeiros relatos sobre resistência à colistina mediada por plasmídeo os quais foram relacionados a uma fosfoetanolamina transferase de origem plasmidial, que adiciona um grupo fosfoetanolamina ao lípido A. O efeito resultante é a diminuição da carga negativa no LPS e, assim, menor interação com as polimixinas carregadas positivamente. O novo determinante de resistência foi denominado MCR-1 (3). Desde então, este mecanismo de resistência foi documentado em todos os continentes. Um isolado remonta à década de 1980, mas parece que o surgimento mundial ocorreu há cerca de 5 anos (4). Durante 2016, duas novas variantes do MCR-1 foram descritas - MCR-1.2 e MCR-2 (5, 6). Em cepas invasivas europeias de K. pneumoniae, as taxas gerais de resistência à colistina são de 8,6% e podem chegar a 29% em isolados resistentes aos carbapenêmicos (7). Deve-se notar que a variação nas taxas entre diferentes países é muito alta e que questões metodológicas podem contribuir para números inflacionados. Acredita-se que a maioria da resistência seja devido a mecanismos cromossômicos, embora existam vários relatos sobre Enterobacteriaceae produtora de carbapenemase com MCR-1 (4). Atualmente, não existem métodos que tenham sido avaliados extensivamente para a caracterização fenotípica dos diferentes mecanismos de resistência às polimixinas, exceto a determinação da CIM pela microdiluição em caldo (as técnicas de gradiente de difusão e de disco- difusão não são confiáveis para esta classe de antibióticos). Recentemente, descobriu-se que as enzimas MCR são dependentes de zinco para sua hidrólise e que a quelação de zinco pode, portanto, inibir sua atividade (8). Por conseguinte, são esperados o desenvolvimento de testes de inibição baseados em EDTA ou ácido dipicolínico. No entanto, o foco atual está na detecção da resistência às polimixinas, independentemente do mecanismo. Os laboratórios são aconselhados a usar sempre a microdiluição em caldo para os testes de suscetibilidade à colistina e a usar sempre o sulfato de colistina (9). Especificamente, os testes de disco-difusão e de gradiente não devem ser usados, pois estão associados ao alto risco de erros maiores (major erros) e erros muito maiores (very major erros) no teste de suscetibilidade (10). Recentemente, um método colorimétrico também foi descrito, mas ainda não foi testado quanto à robustez em mais de um centro (11). Quando necessário realizar estudos mais aprofundados sobre os mecanismos de resistência, deve-se utilizar métodos moleculares. A recomendação atual é realizar tais testes adicionais somente em isolados resistentes à colistina. O controle de qualidade para teste da colistina deve ser realizado tanto com uma cepa sensível
  • 154.
    28 de QC (E.coli ATCC 25922 ou P. aeruginosa ATCC 27853) como com cepa resistente à colistina E. coli NCTC 13846 (positiva para mcr-1). Para E. coli NCTC 13846, o valor alvo de MIC para colistina é 4 mg/L e apenas ocasionalmente, 2 ou 8 mg/L. 5.1 Referências 1. Giske CG. Contemporary resistance trends and mechanisms for the old antibiotics colistin, temocillin, fosfomycin, mecillinam and nitrofurantoin. Clin Microbiol Infect. 2015;21(10):899-905. 2. Olaitan AO, Morand S, Rolain JM. Mechanisms of polymyxin resistance: acquired and intrinsic resistance in bacteria. Front Microbiol. 2014; 5:643. 3. LiuYY,WangY,WalshTR,YiLX,ZhangR,etal.Emergenceofplasmid-mediatedcolistinresistancemechanism MCR-1 in animals and human beings in China: a microbiological and molecular biological study.Lancet Infect Dis. 2016 ;16(2):161-8. 4. Skov RL, Monnet DL. Plasmid-mediated colistin resistance (mcr-1 gene): three months later, the story unfolds. Euro Surveill. 2016;21(9). 5. Di Pilato V, Arena F, Tascini C, Cannatelli A, Henrici De Angelis L, et al. mcr-1.2, a New mcr Variant Carried on a Transferable Plasmid from a Colistin-Resistant KPC Carbapenemase-Producing Klebsiella pneumoniae Strain of Sequence Type 512. Antimicrob Agents Chemother. 2016; 60:5612-5. 6. Xavier BB, Lammens C, Ruhal R, Kumar-Singh S, Butaye P, Goossens H, Malhotra-Kumar S. Identification of a novel plasmid-mediated colistin-resistance gene, mcr-2, inEscherichiacoli,Belgium, June 2016.EuroSurveill. 2016; 21(27). 7. European CentresforDisease Prevention and Control(ECDC).Antimicrobialresistance surveillancein Europe 2014. Annual report of the European Antimicrobial Resistance Surveillance Network (EARS-Net) 8. Hinchliffe P, Yang QE, Portal E, Young T, Li H, et al. Insights into the Mechanistic Basis of Plasmid-Mediated Colistin Resistance from Crystal Structures of the Catalytic Domain of MCR-1. Sci Rep. 2017;7: 39392. 9. Bergen PJ, Li J, Rayner CR, Nation RL. Colistin methanesulfonate is an inactive prodrug of colistin against Pseudomonas aeruginosa. Antimicrob Agents Chemother. 2006;50(6):1953-8. 10. Dafopoulou K, Zarkotou O, Dimitroulia E, Hadjichristodoulou C, Gennimata V, Pournaras S, Tsakris A. Comparative Evaluation of Colistin Susceptibility Testing Methods among Carbapenem-Nonsusceptible Klebsiella pneumoniae and Acinetobacter baumannii Clinical Isolates. Antimicrob Agents Chemother. 2015 Aug;59(8):4625-30. 11. Nordmann P, Jayol A, Poirel L. Rapid Detection of Polymyxin Resistance in Enterobacteriaceae. Emerg Infect Dis. 2016;22(6):1038-43.
  • 155.
    29 6. P. aeruginosae Acinetobacter produtores de carbapenemase Importância da detecção de mecanismos de resistência Necessário para categorização clínica de sensibilidade e antimicrobiana Não Para propósito de controle de infecção Sim Para propósito de saúde pública Sim P. aeruginosa e o complexo Acinetobacter baumannii produtores de carbapenemases são comuns em muitas partes da Europa (1). Em Pseudomonas aeruginosa, VIM, principalmente VIM- 2, é a enzima predominante na Europa, mas os produtores de KPC também têm sido notados em países da América Latina (2). Em Acinetobacter, as carbapenemases OXA, principalmente as enzimas OXA-23-, OXA 24/40-, OXA-58-, OXA-143-, OXA-235-like, são encontradas mais frequentemente (3). Atualmente, não há inibidores específicos das carbapenemases tipo OXA de classe D e nenhum dos métodos fenotípicos existentes fornece resultados satisfatórios para a detecção/identificação dessas carbapenemases em Acinetobacter. Testes colorimétricos foram testados, mas em geral não se mostraram precisos neste gênero (4). Acinetobacter pode também ter carbapenemases do tipo MBL e é possível que os ensaios possam funcionar melhor com estas enzimas. Para P. aeruginosa, os ensaios de Etest® para MBL, assim como os ensaios baseados em disco, têm sido usados há várias décadas, mas são prejudicados pela sua baixa especificidade (5-7). Recentemente, vários autores também sugeriram várias modificações dos testes de combinação de disco (de imipenem ou meropenem combinado com vários compostos inibidores da classe B (EDTA ou DPA), mas estes foram validados em estudos de centro único, podendo ser diferentes em cenário diferentes (8, 9). Os testes colorimétricos apresentam melhor desempenho para P. aeruginosa do que para Acinetobacter (10) e provavelmente são os testes com maior especificidade comprovada no momento. Ainda assim, nenhum teste parece suficientemente específico para ser usado como teste autônomo sem confirmação molecular. Em geral, devem ser utilizadas métodos genotípicos para a caracterização de P. aeruginosa e Acinetobacter possivelmente produtoras de carbapenemases, mas particularmente para P. aeruginosa, algumas das abordagens fenotípicas acima mencionadas poderiam, provavelmente, ter valor para testes iniciais. Deve-se notar que o teste de carbapenemase seria clinicamente mais relevante em P. aeruginosa, uma vez que esta espécie pode ser resistente a carbapenêmicos através de múltiplos mecanismos cromossômicos (efluxo ativo, alteração ou deficiência de porina). Inversamente, a resistência a carbapenêmicos em Acinetobacter é quase sempre devido à produção de carbapenemases tipo OXA. Algumas cepas controle sugeridas são P. aeruginosa NCTC 13437 (produtora de VIM-10) e A. baumannii NCTC 13301 (produtora de OXA-23). Não existem intervalos de CQ para estas cepas.
  • 156.
    30 6.1 Referências 1. WalshTR. Emerging carbapenemases: a global perspective. Int J Antimicrob Agents. 2010;36 Suppl 3:S8- 14. 2. Labarca JA, Salles MJ, Seas C, Guzmán-Blanco M. Carbapenem resistance in Pseudomonas aeruginosa and Acinetobacter baumannii in the nosocomial setting in Latin America. Crit Rev Microbiol. 2016; 42:276-92. 3. Higgins PG, Pérez-Llarena FJ, Zander E, Fernández A, Bou G, Seifert H. OXA-235, a novel class D β- lactamase involved in resistance to carbapenems in Acinetobacter baumannii. Antimicrob Agents Chemother. 2013;57(5):2121-6 4. NoëlA,HuangTD,BerhinC,HoebekeM,BouchahroufW,YunusS,BogaertsP,GlupczynskiY.Comparative EvaluationofFourPhenotypicTestsforDetectionofCarbapenemase-ProducingGram-NegativeBacteria. J Clin Microbiol. 2017;55(2):510-518. 5. Lee K, Lim YS, Yong D, Yum JH,Chong Y.Evaluation of theHodgetest and the imipenem-EDTA double-disk synergy test for differentiating metallo-β-lactamase-producing isolates of Pseudomonas spp. and Acinetobacter spp. J Clin Microbiol 2003; 41, 4623-4629. 6. Hansen F, Hammerum AM, Skov R, Haldorsen B, Sundsfjord A, Samuelsen O. Evaluation of the total MBL confirm kit (ROSCO) for detection of metallo-β-lactamases in Pseudomonas aeruginosa and Acinetobacter baumannii. Diagn Microbiol Infect Dis. 2014;79(4):486-8. 7. Samuelsen O, Buarø L, Giske CG, Simonsen GS, Aasnaes B, Sundsfjord A. Evaluation of phenotypic tests for the detection of metallo-β-lactamase-producing Pseudomonas aeruginosa in a low prevalence country. J Antimicrob Chemother. 2008;61(4):827-30. 8. Fournier D, Garnier P, Jeannot K, Mille A, Gomez AS, Plésiat P. A convenient method to screen for carbapenemase-producing Pseudomonas aeruginosa. J Clin Microbiol. 2013;51(11):3846-8. 9. Heinrichs A, Huang TD, Berhin C, Bogaerts P, Glupczynski Y. Evaluation of several phenotypic methods for the detection of carbapenemase-producing Pseudomonas aeruginosa. Eur J Clin Microbiol Infect Dis. 2015;34(7):1467-74. 10.Kabir MH, Meunier D, Hopkins KL, Giske CG, Woodford N. A two-centre evaluation of RAPIDEC® CARBA NP for carbapenemase detection in Enterobacteriaceae, Pseudomonas aeruginosa and Acinetobacter spp. J Antimicrob Chemother. 2016;71(5):1213-6.
  • 157.
    31 7. Staphylococcus aureusresistente à Meticilina (MRSA) Importância do mecanismo de resistência Necessário para categorização clínica da sensibilidade antimicrobiana Sim Para propósito de controle de infecção Sim Para propósito de saúde pública Sim 7.1 Definição Isolados de S. aureus com uma proteína auxiliar de ligação à penicilina (PBP2a ou a PBP2c codificada pelos genes mecAou mecC) para a qual os agentes β-lactâmicos têm uma baixa afinidade, exceto para a nova classe de cefalosporinas que têm atividade anti-MRSA (ceftarolina e ceftobiprole). 7.2 Importância clínica e/ou epidemiológica S. aureus resistente à meticilina é uma das principais causas de morbidade e mortalidade em todo o mundo (1,2). A mortalidade das infecções da corrente sanguínea por MRSA é o dobro daquela das infecções semelhantes causadas por cepas sensíveis à meticilina devido ao retardo no tratamento adequado e regimes de tratamento alternativos inferiores (3). Infecções por MRSA são endêmicas tanto em hospitais quanto na comunidade em todas as partes do mundo. 7.3 Mecanismos de resistência O principal mecanismo de resistência é a produção de proteína auxiliar de ligação à penicilina PBP2a/PBP2c que tornam o isolado resistente a todos os β-lactâmicos, exceto a nova classe de cefalosporinas a ti-MR“á .à Essesà age tesà têm afinidade suficientemente elevada à PBP2a, e provavelmente também à PBP2 codificada por mecC (anteriormente designado mecALGA251), para serem ativos contra MRSA (4). As PBPs auxiliares são codificadas pelo gene mecA ou mecC recentemente descrito (5). O elemento mec é exógeno ao S. aureus e não está presente em S. aureus sensível à meticilina. Cepas com expressão heterogênea do gene mecA e CIMs frequentemente baixas prejudicam a acurácia dos testes de sensibilidade (5). Além disso, alguns isolados expressam a resistência de baixo nível à oxacilina, mas são mecA e mecC negativo e não produzem PBPs auxiliares [S. aureus com sensibilidade borderline (BORSA)]. Essas cepas são relativamente raras e o mecanismo de resistência é mal caracterizado, mas pode incluir hiperprodução de β-lactamases ou alteração das PBPs pré-existentes (6). Isolados de S. aureus positivos para mecA que são sensíveis tanto a cefoxitina como a oxacilina (OS-MRSA) devido à inativação do mecA foram descritos em diferentes partes do mundo. Essas cepas são diferentes dos MRSA com resistência heterogênea, que também são sensíveis à oxacilina, mas resistentes à cefoxitina (7, 8). Estima-se que a frequência de tais isolados seja aproximadamente 3% de acordo com resultados fenotípicos convencionais combinados com resultados de PCR positivos para mecA.
  • 158.
    32 Reversão da suscetibilidadeà resistência a meticilina durante o uso prolongado de antibioticoterapia foi bem documentada em um caso (9), mas estima-se que tenha ocorrido em outros casos; a taxa dessa resistência reversível é, no entanto, desconhecida no momento atual. Tais isolados podem, por definição, ser detectados apenas por análise molecular. Deve-se notar que isso não se aplica para o fato que a análise molecular deva ser feita com todas as cepas, mas o fenômeno pode ter importância em caso de falha terapêutica. Se o gene mecA for detectado aleatoriamente ou devido a triagem por falha terapêutica, o isolado deve ser sempre relatado como resistente. 7.4 Métodosrecomendados paraa detecçãoda resistência à meticilina em S. aureus A resistência à oxacilina/meticilina pode ser detectada fenotipicamente pela determinação da CIM bem como por teste de disco-difusão. Aglutinação com látex pode ser usado para detectar PBP2a, mas não é confiável para detectar PBP2c. Detecção genotípica utilizando a PCR é confiável. 7.4.1 Detecção por determinação da CIM ou disco-difusão A expressão heterogênea de resistência afeta particularmente a CIM de oxacilina, a qual pode se mostrar sensível. A cefoxitina é um marcador muito sensível e específico da resistência mediada por mecA/mecC e é o fármaco de eleição para o disco-difusão. O uso do teste de disco-difusão com oxacilina deve ser desencorajado e os critérios interpretativos para os halos de inibição não estão mais incluídos na tabela de pontos de corte do EUCAST devido à fraca correlação com a presença de mecA. A. Microdiluição em caldo: A metodologia padrão (ISSO 20776-1) deve ser utilizada e cepas com CIM > 4 mg/L deve ser reportadas como resistentes a meticilina. B. Disco-difusão: Utilizar a metodologia de disco-difusão do EUCAST. Cepas com um halo de inibição < 22 mm para a cefoxitina devem ser reportadas como resistentes a meticilina. 7.4.2 Detecção por métodos genotípicos e aglutinação com látex A detecção genotípica dos genes mecA e mecC por PCR (10, 11) e a detecção da proteína PBP2a por kit de aglutinação com látex é possível pela utilização de testes comerciais ou i àhouse .àáàproteína PBP2c não é detectada pela maioria dos testes comerciais. 7.4.3 Cepas controle Abaixo estão listadas algumas cepas controle para experimentos fenotípicos e genotípicos. Intervalos de controle de qualidade para essas cepas não estão disponíveis. Usuários de métodos comerciais devem consultar os manuais específicos para selecionar a cepa controle mais adequada.
  • 159.
    33 Tabela 1. Exemplosde cepas controle para detecção de MRSA. Cepa Mecanismo S. aureus ATCC 29213 Sensível à meticilina S. aureus NCTC 12493 Resistente à meticilina (mecA) S. aureus NCTC 13552 Resistente à meticilina (mecC) 7.5 Referências 1. Cosgrove SE, Sakoulas G, Perencevich EN, Schwaber MJ, Karchmer AW, Carmeli Y. Comparison of mortality associated with methicillin-resistant and methicillin-susceptible Staphylococcus aureus bacteremia: a meta-analysis. Clin Infect Dis. 2003;36:53-9. 2. de Kraker ME, Wolkewitz M, Davey PG, Koller W, Berger J, et al. Clinical impact of antimicrobial resistance in European hospitals: excess mortality and length of hospital stay related to methicillin-resistant Staphylococcus aureus bloodstream infections. Antimicrob Agents Chemother. 2011;55:1598-605. 3. de Kraker ME, Davey PG, Grundmann H; BURDEN study group. Mortality and hospital stay associated with resistant Staphylococcus aureus and Escherichia coli bacteremia: estimating the burden of antibiotic resistance in Europe. PLoS Med. 2011;8(10):e1001104. 4. Chambers HF, Deleo FR. Waves of resistance: Staphylococcus aureus in the antibiotic era. Nat Rev Microbiol. 2009;7:629-41. 5. García-Álvarez L, Holden MT, Lindsay H, Webb CR, Brown DF, et al. Methicillin-resistant Staphylococcus aureus with a novel mecA homologue in human and bovine populations in the UK and Denmark: a descriptive study. Lancet Infect Dis. 2011;11:595-603. 6. Chambers HF. Methicillin resistance in staphylococci: molecular and biochemical basis and clinical implications. Clin Microbiol Rev. 1997;10:781-91. 7. Hososaka Y, Hanaki H, Endo H, et al. Characterization of oxacillin-susceptible mecA-positive Staphylococcus aureus: a new type of MRSA. J Infect Chemother 2007; 13:79–86. 8. Andrade-Figueiredo M, Leal-Balbino TC. Clonal diversity and epidemiological characteristics of Staphylococcusaureus:highprevalenceofoxacillin-susceptiblemecA-positiveStaphylococcusaureus(OS- MRSA) associated with clinical isolates in Brazil. BMC Microbiol. 2016; 16:115. 9. Proulx MK, Palace SG, Gandra S, Torres B, Weir S, Stiles T, Ellison RT 3rd, Goguen JD. Reversion From Methicillin Susceptibility to Methicillin Resistance in Staphylococcus aureus During Treatment of Bacteremia. J Infect Dis. 2016; 213:1041-8. 10. Stegger M, Andersen PS, Kearns A, Pichon B, Holmes MA, Edwards G, Laurent F, Teale C, Skov R, Larsen AR. Rapid detection, differentiation and typing of methicillin-resistant Staphylococcus aureus harbouring either mecA or the new mecA homologue mecALGA251. Clin Microbiol Infect. 2012; 4:395-400. 11. Pichon B, Hill R, Laurent F, Larsen AR, Skov RL, Holmes M, Edwards GF, Teale C, Kearns AM. Development of a real-time quadruplex PCR assay for simultaneous detection of nuc, Panton- Valentine leucocidin (PVL), mecA and homologue mecALGA251. J Antimicrob Chemother. 2012; 67:2338- 41.
  • 160.
    34 8. Staphylococcus aureusresistente à vancomicina Importância da detecção do mecanismo Necessário para categorização clínica da sensibilidade antimicrobiana Sim Para propósito de controle de infecção Sim Para propósito de saúde pública Sim 8.1 Definição O ponto de corte clínico (CIM) do EUCAST para a resistência à vancomicina em S. aureus é > 2 mg/L. Nos últimos anos, os pontos de corte para vancomicina foram reduzidos, eliminando assim o grupo intermediário. No entanto, existem diferenças importantes no mecanismo de resistência de alto nível à vancomicina mediada por VanA (VRSA) e isolados com resistência de baixo nível não mediada por VanA. Assim, a denominação de S. aureus intermediário à vancomicina (VISA) e S. aureus com heterorresistência intermediária aos vancomicina (hVISA) tem sido mantidas para os isolados com resistência de baixo nível à vancomicina não mediada por VanA. A CIM deve ser sempre determinada ao utilizar a vancomicina para tratar um paciente com uma infecção grave por S. aureus. Em casos específicos, por exemplo, quando há suspeita de falha terapêutica, o teste para hVISA é justificável. Devido à complexidade da confirmação de um hVISA, a vigilância antimicrobiana está focada na detecção de VISA e VRSA. VRSA: S. aureus resistente à vancomicina: Isolados de S. aureus com alto nível de resistência à vancomicina (CIM > 8 mg/L). VISA: S. aureus intermediário à vancomicina: Isolados de S. aureus com resistência de baixo nível à vancomicina (CIM 4-8 mg/L). hVISA: S. aureus com heterorresistência intermediária à vancomicina: Isolados de S. aureus sensíveis à vancomicina (CIMsà mg/L), mas com populações minoritárias (1 em cada 106 células) com CIM de vancomicina > 2 mg/L, conforme investigação do perfil por análise populacional. Deve ser mencionado que embora os termos acima ainda sejam utilizados, todas as categorias acima devem ser consideradas como clinicamente resistentes. 8.2 Importância clínica e/ou epidemiológica Não há pesquisas recentes sobre a prevalência de isolados com sensibilidade reduzida aos glicopeptídeos na Europa. Com base em relatórios de instituições individuais, estima-se que a prevalência de hVISA éà 2% dos MRSA na Europa, e VISA abaixo de 0,1% (1). VRSA ainda não foi relatado na Europa (1) e atualmente é extremamente raro em todo o mundo (2). A prevalência de hVISA pode ser consideravelmente maior em uma região específica (1), o que é mais frequentemente associado a disseminação de linhagens clonais específicas (2). A grande maioria dos isolados com CIM elevada (VISA) ou contendo subpopulações resistentes (hVISA) são MRSA.
  • 161.
    35 Tem sido difícildeterminar o significado clínico do hVISA uma vez que nenhum estudo prospectivo bem controlado foi realizado. No entanto, acredita-se que a presença do fenótipo hVISA possa estar associada com pior resposta clínica, pelo menos em infecções graves (2, 3). Por isso, é prudente investigar hVISA em infecções da corrente sanguínea que não respondem à terapia. Recentemente, tem surgido cada vez mais evidências de que os isolados com CIMs correspondentes a valores no limite superior do intervalo de sensibilidade (CIM > 1 mg/L) estão associados com resposta clínica reduzida bem como a um aumento da mortalidade em, pelo menos, infecções da corrente sanguínea (3-8). A possível causa dessas observações não é clara, mas pode estar associada a exposição a baixos níveis de vancomicina (9,10). Além disso, a interpretação dos achados de diferentes estudos se torna confusa devido as diferenças de CIM as quais são geradas por diferentes métodos (8, 9). O mecanismo de hVISA é complexo e a detecção depende de análise populacional (11), o que é complicado porque requer equipamentos especiais bem como um alto nível de conhecimento técnico. A metodologia para a detecção de hVISA será descrita, mas para fins de vigilância a informação é restrita a VISA e VRSA, que são definidos em conjunto como isolados com uma CIM > 2 mg/L. 8.3 Mecanismo de resistência Para VRSA a resistência é mediada pelo gene vanA exogenamente adquirido de Enterococcus. Tanto para os isolados VISA como hVISA a resistência é endógena (ou seja, mutações cromossômicas) e o mecanismo é de alta complexidade, sem que apenas um único gene seja responsável. O fenótipo VISA/hVISA está ligado a um espessamento da parede celular bacteriana, com hiperprodução dos alvos de ligação de glicopeptídeos. O fenótipo hVISA é frequentemente instável no laboratório, mas hVISA têm a capacidade de se tornar um GISA in vivo (2). 8.4 Métodos recomendados para a detecção de S. aureus não sensíveis à vancomicina O método de disco-difusão não pode ser utilizado para detectar hVISA ou VISA, mas possivelmente pode ser usado para detectar VRSA, embora exista apenas um número limitado de estudos que suportem essa evidência (12). 8.4.1 Determinação da CIM A metodologia de microdiluição em caldo como recomendado pelo EUCAST (ISO 20776- 1) é o padrão ouro. Deve ser mencionado que a CIM determinada por métodos de tira gradiente apresentam resultados que podem ser 0,5 a 1 diluições de razão 2, mais altos que a CIM determinada por microdiluição em caldo (8, 9). O ponto de corte do EUCAST para resistência à vancomicina em S. aureus é CIM > 2 mg/L. Isolados com CIMs confirmados como > 2 mg/L (de acordo com a microdiluição) devem ser encaminhados para um laboratório de referência. hVISA não são detectados por determinação da CIM. 8.4.2 Teste para detecção de VRSA, VISA e hVISA A detecção de hVISA tem-se revelado difícil e, portanto, a detecção é dividida em
  • 162.
    36 triagem e confirmação.Para a triagem, uma série de métodos específicos foram desenvolvidos. A confirmação deve ser feita por análise populacional em ágar contendo uma gama de concentrações de vancomicina (PAP-AUC) (11). Este método é tecnicamente desafiador, para aqueles sem uma vasta experiência laboratorial e, consequentemente, é realizado principalmente por laboratórios de referência. Um método baseado em triagem em ágar com vancomicina e caseína (13) mostrou alta sensibilidade e especificidade, mas até agora só foi avaliado em um estudo, e por isso não pode ser recomendado. Os métodos a seguir irão detectar VRSA e VISA, e foram avaliados em estudos multicêntricos (14, 15). A. Teste de macro gradiente: Este teste fornece uma indicação da sensibilidade reduzida à vancomicina, mas deve ficar claro que as leituras não são CIMs. Além disso, o teste não diferencia hVISA, VISA e VRSA. O teste deve ser feito de acordo com as instruções do fabricante. É importante ficar claro que o inóculo é bem maior (McFarland 2,0) do que aquele utilizado nos testes convencionais com tiras de gradiente. Este teste deve ser feito com placas de Infuso Cérebro-Coração (Brain Heart Infusion) e não em Mueller-Hinton. Além disso, o teste deve ser lido em 48h. U àresultadoàpositivoàéài di adoàporàleiturasà 8 mg/L tanto de vancomicina quanto de tei opla i aàOUà à à g/Làparaàaàtei opla i aàisoladamente. Como ambos os critérios incluem a teicoplanina, o teste de vancomicina pode ser dependente do resultado do teste de teicoplanina. O algoritmo seria:  Leitura da teicoplanina 12mg/L: VRSA, VISA ou hVISA  Leitura da teicoplanina 8 mg/L: Testar a vancomicina, se a leitura da vancomicina for 8 mg/L, então se trata de VRSA, VISA ou hVISA  Leitura da teicoplanina < 8 mg/L: Não é VRSA, VISA ou hVISA B. Detecção da resistência aos glicopeptídeos pelo teste de gradiente (GRD): Testar de acordo com as instruções do fabricante. O teste é considerado positivo se o resultado com fita GRD for 8mg/L de vancomicina ou teicoplanina. C. Triagem em ágar com teicoplanina: Uma placa de Mueller Hinton contendo 5 mg/L de teicoplanina é utilizada (14). Várias colônias são suspensas em solução salina a 0,9% para se obter um inóculo com turbidez equivalente ao padrão 2,0 da escala de McFarland. Dez microlitros de inóculo são colocados sobre a superfície do ágar, e a placa deve ser incubada a 35 °C em ar ambiente durante 24 a 48 h. Crescimento de mais de duas colônias em até 48h indica suspeita de sensibilidade reduzida aos glicopeptídeos. D. Teste confirmatório para hVISA/VISA: Qualquer isolado com triagem positiva para sensibilidade reduzida e não identificado como VRSA ou VISA por determinação da CIM pode ser hVISA e deve ser investigado por análise de perfil populacional-área sob a curva (PAP-AUC) (9), normalmente via encaminhamento para um laboratório de referência.
  • 163.
    37 8.4.3 Cepas controle Abaixoestão listadas algumas cepas controle para experimentos fenotípicos e genotípicos. Intervalos de controle de qualidade para essas cepas não estão disponíveis. Usuários de métodos comerciais devem consultar os manuais específicos para selecionar a cepa controle mais adequada. Tabela 1 – Exemplos de cepas controle para testes de resistência à vancomicina em S. aureus. Cepa Mecanismo S. aureus ATCC 29213 Sensível aos glicopeptídeos S. aureus ATCC 700698 hVISA (Mu3) S. aureus ATCC 700699 VISA (Mu50) 8.5 Referências 1. Melo-Cristino J, Resina C, Manuel V, Lito L, Ramirez M. First case of infection with vancomycin- resistant Staphylococcus aureus in Europe. Lancet. 2013;382(9888):205 2. Howden BP, Davies JK, Johnson PDR, Stinear TP, Grayson ML. Reduced vancomycin susceptibility in Staphylococcus aureus, including vancomycin-intermediate and heterogeneous vancomycin- intermediate strains: resistance mechanisms, laboratory detection and clinical implications. Clin Microbiol Rev 2010;1: 99-139 3. Van Hal SJ, Lodise TP, Paterson DL. The clinical significance of vancomycin minimum inhibitory concentration in Staphylococcus aureus infections: a systematic review and meta-analysis. Clinical Infectious Diseases 2012; 54: 755-771. 4. Chang HJ, Hsu PC, Yang CC, Siu LK, Kuo AJ, et al. Influence of teicoplanin MICs on treatment outcomes among patients with teicoplanin-treated methicillin resistant Staphylococcus aureus bacteraemia: a hospital based retrospective study. J. Antimicrob Chemother 2012, 67:736-41. 5. Honda H, Doern CD, Michael-Dunne W Jr, Warren DK. The impact of vancomycin susceptibility on treatment outcomes among patients with methicillin resistant Staphylococcus aureus bacteremia. BMC Infect Dis. 2011; 5:11:335. 6. Lodise TP, Graves J, Evans A, Graffunder E, Helmecke M, et al. Relationship between vancomycin MIC and failure among patients with methicillin-resistant Staphylococcus aureus bacteremia treated with vancomycin. Antimicrob Agents Chemother 2008; 52: 3315-20 7. Rojas L, Bunsow E, Munoz P, Cercenado E, Rodrigueuz-Creixems, Bouza E. Vancomycin MICs do not predict the outcome of methicillin-resistant Staphylococcus aureus bloodstream infections in correctly treated patients. J. Antimicrob Chemother 2012; 7: 1760-8. 8. Sader HS, Jones RN, Rossi KL, Rybak MJ. Occurrence of vancomycin tolerant and heterogeneous vancomycin resistant strains (hVISA) among Staphylococcus aureus causing bloodstream infections in nine USA hospitals. Antimicrob Chemother. 2009; 64: 1024-8. 9. Holmes NE, Turnidge JD, Munckhof WJ, Robinson JO, Korman TM, O'Sullivan MV, Anderson TL, Roberts SA, Warren SJ, Gao W, Howden BP, Johnson PD. Vancomycin AUC/MIC ratio and 30-day mortality in patients with Staphylococcus aureus bacteremia. Antimicrob Agents Chemother. 2013 Apr;57(4):1654-63. 10. Holmes NE, Turnidge JD, Munckhof WJ, Robinson JO, Korman TM, O'Sullivan MV, Anderson TL, Roberts SA, Warren SJ, Gao W, Johnson PD, Howden BP. Vancomycin minimum inhibitory concentration, host comorbidities and mortality in Staphylococcus aureus bacteraemia. Clin Microbiol Infect. 2013 Dec;19(12):1163-8. 11. Wootton M, Howe RA, Hillman R, Walsh TR, Bennett PM, MacGowan AP. A modified population analysis profile (PAP) method to detect hetero-resistance to vancomycin in Staphylococcus aureus in a UK hospital. J Antimicrob Chemother. 2001; 47: 399-403 12. Tenover FC, Weigel LM, Appelbaum PC, McDougal LK, Chaitram J, McAllister S, Clark N, Killgore G, O'Hara CM, Jevitt L, Patel JB, Bozdogan B. Vancomycin-resistant
  • 164.
    38 Staphylococcus aureus isolatefrom a patient in Pennsylvania. Antimicrob Agents Chemother. 2004; 48:275-80 13. Satola SW, Farley MM, Anderson KF, Patel JB. Comparison of Detection Methods for Heteroresistant Vancomycin-Intermediate Staphylococcus aureus, with the Population Analysis Profile Method as the Reference Method. J Clin Microbiol. 2011; 49: 177–183. 14. Wootton M, MacGowan AP, Walsh TR, Howe RA. A multicenter study evaluating the current strategies for isolating Staphylococcus aureus strains with reduced susceptibility to glycopeptides. J Clin Microbiol. 2007;45:329-32. 15. Voss A, Mouton JW, van Elzakker EP, Hendrix RG, Goessens W, et al. A multi-center blinded study on the efficiency of phenotypic screening methods to detect glycopeptide intermediately susceptible Staphylococcus aureus (GISA) and heterogeneous GISA (hGISA). Ann Clin Microbiol Antimicrob. 2007;6:9.
  • 165.
    39 9. Enterococcus faeciume Enterococcus faecalis resistentes à Vancomicina Importância da detecção da resistência Necessário para categorização clínica da sensibilidade Sim Para propósito de controle de infecção/saúde pública Sim Para propósito de saúde pública Sim 9.1 Definição Enterococcus faecium ou Enterococcus faecalis com resistência à vancomicina (VRE) (CIM de vancomicina > 4 mg/L). 9.2 Importância clínica e/ou epidemiológica Enterococos, especialmente E. faecium, são geralmente resistentes aos agentes antimicrobianos mais utilizadas na clínica. O tratamento de infecções causadas por enterococos resistentes à vancomicina (VRE) é, portanto difícil, com poucas opções de tratamento. VRE são conhecidos por se disseminarem de forma eficiente, persistirem no ambiente hospitalar, e poder colonizar muitos indivíduos, dos quais apenas alguns desenvolvem infecções (1, 2). Isolados expressando VanB são geralmente fenotipicamente sensíveis à teicoplanina. Há dois relatos de casos de seleção de resistência à teicoplanina durante o tratamento infecção por enterococos expressando VanB (3, 4), e recentemente foram descritos quatro casos de falha terapêutica (5) indicando que teicoplanina deve ser utilizada com cuidado para o tratamento de infecção com Enterococo com VanB. Os valores de CIM típicos para as enzimas Van mais importantes clinicamente são mostrados na Tabela 1. Table 1. CIMs típicas de glicopeptídeos para enterococos expressando VanA ou VanB. Glicopeptídeo CIM (mg/L) VanA VanB Vancomicina 64-1024 4-1024 Teicoplanina 8-512 0,06-1 9. 3 Mecanismo de resistência A resistência clinicamente relevante é mais frequentemente mediada por ligases VanA e VanB, codificadas por plasmídeos, que substituem no peptidoglicano o terminal D-Ala por D-Lac. Esta substituição reduz a ligação de glicopeptídeos ao alvo. As cepas VanA exibem resistência tanto à vancomicina quanto à teicoplanina, enquanto as cepas VanB geralmente permanecem sensíveis à teicoplanina, devido à ausência de indução do operon de resistência. Outras enzimas Van de menor prevalência são VanD, VanE, VanG, VanL, VanM e VanN (6-9), embora a VanM tenha aumentado significativamente em E. faecium na China (10).
  • 166.
    40 Outras espécies deenterococos (isto é, E. raffinosus, E. gallinarum e E. casseliflavus), podem conter vanA, vanB ou outros genes que codificam as enzimas Van listadas acima, mas estas cepas são relativamente raras. Enzimas VanC cromossomicamente codificadas são encontradas em todos os isolados de E. gallinarum e E. casseliflavus. VanC medeia baixo nível de resistência à vancomicina (CIM 4-16 mg/L), mas geralmente não deve ser considerado importante do ponto de vista de controle de infecção (11). Enterococo variável a vancomicina (VVE) é um termo utilizado para VRE quando a expressão dos genes van é silenciosa devido a rearranjos genéticos os quais podem ser revertidos sob pressão seletiva pelo uso de glicopeptídeos (12,13). Além disso, VRE com baixa CIM é um termo utilizado para isolados VanB positivos que devido à pouca capacidade de serem induzidos por vancomicina apresentam baixa expressão dos genes vanB o que acarreta em valores de CIM abaixo do ponto de corte. Esses isolados com baixas CIM podem aumentar a CIM acima do ponto de corte devido a longas exposições à vancomicina (14). Ambos VVE e VRE com baixas CIM podem ser detectados apenas por testes moleculares. Sua prevalência atual em diferentes regiões geográficas é desconhecida. 9.4 Métodos recomendados para a detecção de resistência aos glicopeptídeos em E. faecium e E. faecalis A resistência à vancomicina pode ser detectada pelos métodos de determinação da CIM, disco-difusão e triagem em ágar. Para todos os três métodos, é essencial que as placas sejam incubadas durante um total de 24 h, a fim de detectar isolados com resistência induzível. Todos os três métodos detectam prontamente a resistência mediada por vanA. A detecção de resistência mediada por vanB é mais desafiadora. A determinação da CIM por diluição em ágar ou microdiluição em caldo nem sempre é confiável para detecção de isolados VAnB positivos (15-17). Relatos mais antigos mostram que a detecção de resistência mediada por vanB é problemática por métodos automatizados (18). Desde então, atualizações tem sido feitas nos métodos automatizados, mas ainda faltam estudos mais recentes sobre o desempenho desses métodos para detecção de resistência mediada por vanB. O disco-difusão com um disco de vancomicina de 5 µg pode ser difícil, mas o teste funciona bem desde que as diretrizes para a leitura, conforme especificado pelo EUCAST, sejam seguidas meticulosamente (19). Quando se interpreta resultados de teste de CIM ou disco-difusão é importante assegurar que o isolado não é E. gallinarum ou E. casseliflavus, que podem ser erradamente identificados como E. faecium, devido ao teste positivo de arabinose. A espectrometria de massa MALDI-TOF nesse contexto é muito útil para a identificação de espécies de enterococos (20). Em locais onde MALDI-TOF não está disponível, o MGP (Metil-Alfa-D-Piranoside) ou o teste da motilidade pode ser utilizado para distinguir E. gallinarum/E. casseliflavus de E. faecium (MGP negativo e imóvel). 9.4.1 Determinação da CIM A determinação da CIM pode ser realizada por diluição em ágar, microdiluição em caldo ou pelo método do gradiente em ágar. A microdiluição em caldo deve ser realizada de acordo com a norma ISO 20776-1, como recomendado pelo EUCAST.
  • 167.
    41 9.4.2 Teste dedisco-difusão Para o disco-difusão o método especificado pelo EUCAST deve ser seguido meticulosamente. Inspecione os halos de inibição quanto a bordas irregulares e / ou microcolônias, utilizando luz transmitida. Bordas do halo bem delimitadas indicam que o isolado é sensível e diâmetro de halos de inibição acima do ponto de corte podem ser reportados sensíveis à vancomicina. Isolados com bordas de halo de inibição difusas ou colônias dentro do halo (Figura 1) podem ser resistentes, independentemente do tamanho do halo de inibição e não devem ser relatados como sensíveis sem confirmação por determinação da CIM. Em um estudo multicêntrico recente, o método de disco-difusão apresentou melhores resultados que o VITEK2 para detecção de Enterococos produtores de VanB, em particular em laboratórios com experiência na leitura de halos de inibição difusos (19). O disco-difusão deve ser realizado de acordo com a metodologia de disco-difusão do EUCAST para organismos não fastidiosos. A incubação durante 24 horas é necessária para a detecção de resistência em alguns isolados com resistência induzível. Figura 1. Leitura dos testes de disco-difusão para vancomicina em Enterococcus spp. a)Halos de inibição com bordas bem delimitadas e diâmetro à .àReportar como sensível. b-d) Halos de inibição difusos com bordas irregulares e/ou colônias no interior do halo de inibição.Reportarcomoresistenteindependentementedotamanhodazonadeinibição. 9.4.3 Triagem em ágar Ensaios de triagem em Brain Heart Infusion Agar e 6 mg de vancomicina por litro são confiáveis para a detecção de isolados vanA e vanB positivos (19). Placas de triagem podem ser obtidas comercialmente ou preparadas no laboratório. O teste de triagem em ágar é realizado por aplicação de 1 x 105 - 1 x 106 UFC (10 µl de uma suspensão McFarland 0,5) em Brain Heart Infusion Agar com 6 mg/L de vancomicina. A incubação durante 24 horas a 35 ± 1 ° C em ar ambiente é necessária a fim de detectar a resistência emalgunsisoladoscomresistênciainduzível.Ocrescimentode maisdo que umacolônia deve ser interpretado como positivo.
  • 168.
    42 9.4.4 Testes genotípicos Adetecção de resistência à vancomicina pela utilização de PCR para vanA e vanB pode também ser realizada utilizando-se metodologias in house ou comerciais (20-22). 9.4.5 Controle de qualidade Abaixo estão listadas algumas cepas controle para experimentos fenotípicos e genotípicos. Intervalos de controle de qualidade para essas cepas não estão disponíveis. Usuários de métodos comerciais devem consultar os manuais específicos para selecionar a cepa controle mais adequada. Tabela 2. Exemplos de cepas controle para Enterococos. Cepa Mecanismo E. faecalis ATCC 29212 Vancomicina sensível E. faecalis ATCC 51299 Vancomicina resistente (vanB) E. faecium NCTC 12202 Vancomicina resistente (vanA) 9.5Referências 1. Mazuski JE. Vancomycin-resistant enterococcus: risk factors, surveillance, infections, and treatment. Surg Infect. 2008;9:567-71. 2. Tenover FC, McDonald LC. Vancomycin-resistant staphylococci and enterococci: epidemiology and control. Curr Opin Infect Dis. 2005;18:300-5. 3. Hayden MK, Trenholme GM, Schultz JE, Sahm DF. In vivo development of teicoplanin resistance in a VanB Enterococcus faecium isolate. J Infect Dis. 1993;167:1224-7. 4. Kawalec M, Gniadkowski M, Kedzierska J, Skotnicki A, Fiett J, Hryniewicz W. Selection of a teicoplanin- resistant Enterococcus faecium mutant during an outbreak caused by vancomycin-resistant enterococci with the vanB phenotype. J Clin Microbiol. 2001;39:4274-82. 5. Holmes NE, Ballard SA, Lam MM, Johnson PD, Grayson ML, Stinear TP, Howden BP. Genomic analysis of teicoplanin resistance emerging during treatment of vanB vancomycin-resistant Enterococcus faecium infections in solid organ transplant recipients including donor-derived cases, J Antimicrob Chemother. 2013;68(9):2134-9. 6. Depardieu F, Perichon B, Courvalin P. Detection of the van alphabet and identification of enterococci and staphylococci at the species level by multiplex PCR. J Clin Microbiol. 2004;42:5857-60. 7. Boyd DA, Willey BM, Fawcett D, Gillani N, Mulvey MR. Molecular characterization of Enterococcus faecalis N06-0364 with low-level vancomycin resistance harboring a novel D-Ala-D-Ser gene cluster, vanL. Antimicrob Agents Chemother. 2008;52:2667-72. 8. Xu X, Lin D, Yan G, Ye X, Wu S, Guo Y, Zhu D, Hu F, Zhang Y, Wang F, Jacoby GA, Wang M. vanM, a new glycopeptide resistance gene cluster found in Enterococcus faecium. Antimicrob Agents Chemother. 2010;54:4643-7. 9. Lebreton F, Depardieu F, Bourdon N, Fines-Guyon M, Berger P, Camiade S, Leclercq R, Courvalin P, Cattoir V. DAla-d-Ser VanN-type transferable vancomycin resistance in Enterococcus faecium. Antimicrob Agents Chemother. 2011;55(10):4606-12. 10. Chen C, Sun J, Guo Y, Lin D, Guo Q, et al. High Prevalence of vanM in Vancomycin-Resistant Enterococcus faecium Isolates from Shanghai, China. Antimicrob Agents Chemother. 2015;59(12):7795-8. 11. Ramotar K, Woods W, Larocque L, Toye B. Comparison of phenotypic methods to identify enterococci intrinsicallyresistant to vancomycin (VanC VRE). Diagn Microbiol Infect Dis. 2000;36:119-24. 12. Sivertsen A, Pedersen T, Larssen KW, Bergh K, Ronning TG, et al. A Silenced vanA Gene Cluster on a Transferable Plasmid Caused an Outbreak of Vancomycin-Variable Enterococci. Antimicrob Agents Chemother. 2016;60(7):4119-27. 13. Thaker MN, Kalan L, Waglechner N, Eshaghi A, Patel SN, et al. Vancomycin-variable enterococci can give rise to constitutive resistance during antibiotic therapy. Antimicrob Agents Chemother.
  • 169.
    43 2015;59(3):1405-10. 14. Grabsch EA,Chua K, Xie S, Byrne J, Ballard SA, Ward PB, Grayson ML. Improved Detection of vanB2- Containing Enterococcus faecium with Vancomycin Susceptibility by Etest Using Oxgall Supplementation. J. Clin. Microbiol 2008; 46; 1961-4 15. Swenson JM, Clark NC, Sahm DF, Ferraro MJ, Doern G, Hindler J, Jorgensen JH, Pfaller MA, Reller LB, Weinstein MP, et al. Molecular characterization and multilaboratory evaluation of Enterococcus faecalis ATCC 51299 for quality control of screening tests for vancomycin and high-level aminoglycoside resistance in enterococci. J Clin Microbiol. 1995;33:3019-21. 16. Klare I, Fleige C, Geringer U, Witte W, Werner G. Performance of three chromogenic VRE screening agars, two EtestR vancomycin protocols, and different microdilution methods in detecting vanB genotype Enterococcus faecium with varying vancomycin MICs. Diagn Microbiol Infect Dis. 2012;74:171-6. 17. Wijesuriya TM, Perry P, Pryce T, Boehm J, Kay I, Flexman J, Coombs GW, Ingram PR. Low vancomycin MICs and fecal densities reduce the sensitivity of screening methods for vancomycin resistance in Enterococci. J Clin Microbiol. 2014 Aug;52(8):2829-33 18. Endtz HP, Van Den Braak N, Van Belkum A, Goessens WH, Kreft D, Stroebel AB, Verbrugh HA. Comparison of eight methods to detect vancomycin resistance in enterococci. J Clin Microbiol. 1998;36:592-4. 19. Hegstad K, Giske CG, Haldorsen B, Matuschek E, Schonning K, et al. Performance of the EUCAST disk diffusion method, the CLSI agar screen method, and the Vitek 2 automated antimicrobial susceptibility testing system for detection of clinical isolates of Enterococci with low- and medium- level VanB-type vancomycin resistance: a multicenter study. J Clin Microbiol. 2014;52(5):1582-9 20. Fang H, Ohlsson AK, Ullberg M, Ozenci V. Evaluation of species-specific PCR, Bruker MS, VITEK MS and the VITEK2 system for the identification of clinical Enterococcus isolates. Eur J Clin Microbiol Infect Dis. 2012; 31: 3073-7 21. Dutka-Malen S, Evers S, Courvalin P. Detection of glycopeptide resistance genotypes and identification to the species level of clinically relevant enterococci by PCR. J Clin Microbiol. 1995;33:1434. 22. Dahl KH, Simonsen GS, Olsvik O, Sundsfjord A. Heterogeneity in the vanB gene cluster of genomically diverse clinical strains of vancomycin-resistant enterococci. Antimicrob Agents Chemother. 1999;43:1105-10. 23. Gazin M, Lammens C, Goossens H, Malhotra-Kumar S; MOSAR WP2 Study Team. Evaluation of GeneOhm VanR and Xpert vanA/vanB molecular assays for the rapid detection of vancomycin- resistant enterococci. Eur J Clin Microbiol Infect Dis. 2012;31:273-6.
  • 170.
    44 10. Streptococcus pneumoniae(tipo não-selvagem) não sensível à Penicilina Importância da detecção da resistência Necessário para categorização clínica da sensibilidade antimicrobiana Sim Para propósito de controle de infecção Não Para propósito de saúde pública Sim 10.1 Definição Isolados de S. pneumoniae com sensibilidade reduzida à penicilina (CIMs superiores aos do tipo selvagem, ou seja, > 0,06 mg/L), devido à presença de proteínas ligantes de penicilina (PBPs) modificadas com menor afinidade aos β-lactâmicos. 10.2 Importância clínica e/ou epidemiológica S. pneumoniae é a causa mais comum de pneumonia em todo o mundo. A morbidade e a mortalidade são altas e estima-se que cerca de três milhões de pessoas morram anualmente de infecções pneumocócicas. A não sensibilidade de baixo grau à penicilina está associada com o aumento da mortalidade quando a meningite é tratada com penicilina (1). Em outros tipos de infecção não é observado aumento da mortalidade devido à resistência de baixa intensidade se doses mais elevadas são utilizadas. Muitos países realizam programas de vacinação contra vários sorotipos de pneumococo, e isso também pode afetar os níveis de resistência observados em isolados invasivos (2). No entanto, S. pneumoniae não sensíveis à penicilina continuam sendo um problema clínico importante, do ponto de vista da saúde pública, embora esses microrganismos não estejam associados com a disseminação em instituições de saúde, ao contrário de muitos outros agentes patogênicos descritos neste documento. 10.3 Mecanismo de resistência S. pneumoniae contém seis PBPs, dos quais PBP2x é o alvo principal da penicilina (3). A presença de genes "mosaico" que codificam PBPs de baixa afinidade é resultado de transferência horizontal de genes de estreptococos viridans comensais (3). O nível de resistência aos β-lactâmicos não depende apenas das PBPs em mosaico de baixa afinidade presentes no isolado, mas também de alterações em PBPs específicas que são essenciais para S. pneumoniae (4). As cepas com CIMs de benzilpenicilina no intervalo 0,12-2 mg/L são consideradas sensíveis em infecções não meníngeas quando uma dose mais elevada de penicilina é utilizada, enquanto que para a meningite tais cepas devem sempre ser reportadas como resistentes (5).
  • 171.
    45 10.4 Métodos recomendadospara a detecção de S. pneumoniae não sensíveis à penicilina A não sensibilidade à penicilina pode ser detectada fenotipicamente por métodos de CIM ou disco-difusão. 10.4.1 Método de disco-difusão O método de disco-difusão com discos de oxacilina 1 µg é um método de triagem eficaz para a detecção de pneumococos não-tipos selvagens (sensíveis a penicilina) (6-8). O método é muito sensível, mas não é altamente específico, uma vez que cepas com diâmetro do halo de inibição 9à àpode àteràsensibilidade variada à benzilpenicilina, e a CIM de benzilpenicilina deve ser determinada para todas as amostras que não sejam sensíveis pelo método de triagem (8). O diâmetro do halo de inibição de oxacilina pode ser utilizado para prever a sensibilidade a outros β-lactâmicos além da penicilina, conforme Figura 1. Figura 1:àTriage àparaàresist iaàaosàβ-lactâmicos em S. pneumoniae *Oxacilina 1 μg <20 mm: sempre determinar a CIM de benzilpenicilina, mas não retardar o relato de outros β-lactâmicos, como recomendado acima. Não retardar o relato de benzilpenicilina em meningites. 10.4.2 Pontos de corte clínicos Os pontos de corte de penicilina foram primariamente determinados principalmente para garantir o sucesso da terapia para meningite pneumocócica. Entretanto, os estudos clínicos demonstraram que a resposta clínica nos casos de pneumonia pneumocócica causada por cepas com sensibilidade intermediária à penicilina e tratados com penicilina parenteral não foi diferente daquele dos doentes tratados com outros agentes. Considerando dados microbiológicos, farmacocinéticos e farmacodinâmicos, os pontos de corte clínicos para benzilpenicilina para isolados de
  • 172.
    46 infecções não meníngeasforam revisados (4) e os pontos de corte atuais do EUCAST estão listados na Tabela 1 bem como na última versão da tabela de pontos de corte do EUCAST. Tabela 1. Reportando a sensibilidade à benzilpenicilina em meningites e não meningites. Indicações Ponto de corte CIM (mg/L) Notas “à R > Benzilpenicilina (não meningite) 0,06 2 Na pneumonia, quando a dose de 1,2 g 6/6 h é utilizada, os isolados com CIM ≤ ,5 mg/L devem ser considerados sensíveis à benzilpenicilina. Na pneumonia, quando a dose de 2,4 g 6/6 h ou 1,2 g 4/4 h é utilizada, os isolados com CIM ≤ g/L devem ser considerados sensíveis à benzilpenicilina. Na pneumonia, quando a dose de 2,4 g 4/4 h é utilizada, os isolados com CIM ≤ g/L devem ser considerados sensíveis. Benzilpenicilina (meningite) 0,06 0,06 Nota: 1,2 g de benzilpenicilina é igual a 2 milhões de unidades de benzilpenicilina. 10.4.3 Controle de qualidade Abaixo está listada a cepa para controle de qualidade. Tabela 2. Exemplo de cepas controle para teste de sensibilidade à benzilpenicilina. Cepa Mecanismo S. pneumoniae ATCC 49619 PBP mosaico, CIM de benzilpenicilina 0,5 mg/L 10.5 Referências 1. Kaplan SL, Mason EO Jr. Management of infections due to antibiotic-resistant Streptococcus pneumoniae. Clin Microbiol Rev. 1998;11(4):628-44. 2. Dagan R. Impact of pneumococcal conjugate vaccine on infections caused by antibiotic-resistant Streptococcus pneumoniae. Clin Microbiol Infect. 2009;15 (Suppl 3):16-20. 3. Hakenbeck R, Kaminski K, König A, van der Linden M, Paik J, Reichmann P, Zähner D. Penicillin- binding proteins in beta-lactam-resistant Streptococcus pneumoniae. Microb Drug Resist 1999; 5: 91-99. 4. Grebe T, Hakenbeck R. Penicillin-binding proteins 2b and 2x of Streptococcus pneumoniae are primary resistance determinants for different classes of β-lactam antibiotics. Antimicrob Agents Chemother 1996; 40: 829-834. 5. Weinstein MP, Klugman KP, Jones RN. Rationale for revised penicillin susceptibility breakpoints versus Streptococcus pneumoniae: Coping with antimicrobial susceptibility in an era of resistance. Clin Infect Dis 2009; 48: 1596 – 1600. 6. Dixon JMS, Lipinski AE, Graham MEP. Detection and prevalence of pneumococci with increased resistance to penicillin. Can Med Assoc J 1977; 117: 1159-61. 6. Swenson JM, Hill BC, Thornsberry C. Screening pneumococci for penicillin resistance. J Clin Microbiol 1986; 24: 749-52. 7. Jetté LP and C Sinave. Use of an oxacillin disk screening test for detection of penicillin- and ceftriaxone-resistant pneumococci. J Clin Microbiol 1999; 37: 1178-81
  • 173.
    CQ de RotinaTabelas de QC BrCAST-EUCAST V. 8.0 - válidas a partir de 10/08/2018 Comitê Europeu de Teste de Sensibilidade aos Antimicrobianos Controle de Qualidade de Rotina e Controle de Qualidade Interno para Determinação da CIM e Disco-Difusão Conforme Recomendação do EUCAST Versão para português válida a partir de 10/03/2018 Este documento deve ser citado como: Comitê Europeu de Teste de Sensibilidade aos Antimicrobianos Controle de Qualidade de Rotina e Controle de Qualidade Interno para Determinação da CIM e Disco-Difusão Conforme Recomendação do Br-CAST-EUCAST:http://www.brcast.org Geral Pag Notas 1 Mudanças 2 Controle de qualidade de rotina Pag Cepas recomendadas para o controle de qualidade de rotina 4 Escherichia coli ATCC 25922 6 Pseudomonas aeruginosa ATCC 27853 8 Staphylococcus aureus ATCC 29213 9 Enterococcus faecalis ATCC 29212 11 Streptococcus pneumoniae ATCC 49619 12 Haemophilus influenzae ATCC 49766 14 Campylobacter jejuni ATCC 33560 15 Controle do inibidor dos discos combinados de β-lactâmicos com inibidor de β-lactamase 16 Controle de qualidade estendido para detecção de mecanismos de resistência por disco-difusão Pag Produção de ESBL em Enterobacteriaceae 18 Resistência à oxacilina (meticilina) em Staphylococcus aureus 18 Resistência aos glicopeptídeos mediada por vanB em Enterococcus 18 Alto nível de resistência para aminoglicosídeos em Enterococcus 18 Sensibilidade reduzida aos β-lactâmicos devido a mutações na PBP em Haemophilus influenzae 19
  • 174.
    CQ de RotinaTabelas de QC BrCAST-EUCAST V. 8.0 - válidas a partir de 10/08/2018 Notas 1. Nas tabelas de controle de qualidade (CQ) do BrCAST- EUCAST, os limites e os alvos estão listados. Os testes com as cepas de controle de qualidade devem gerar valores individuais de concentração inibitória mínima (CIM) ou diâmetros dos halos de inibição randomicamente distribuídos dentro dos limites recomendados. Caso o número de testes seja ≥10, a moda dos valores da CIM deve ser igual ao valor alvo estabelecido na tabela e no caso do disco-difusão a média dos diâmetros dos halos de inibição deve ser próxima ao valor alvo. 2. Os limites destacados em negrito/itálico são estabelecidos pelo EUCAST. Todos os alvos foram estabelecidos pelo EUCAST. 3. Para acesso aos documentos padrões da ISO consulte o link: http://www.eucast.org/external_documents/. 4. As cepas controle do BrCAST-EUCAST para rotina do controle de qualidade são utilizadas para monitorar o desempenho dos testes de sensibilidade. Os controles devem ser realizados e analisados de acordo com o Anexo do manual de Disco-Difusão do BrCAST-EUCAST. 5. As cepas produtoras de β-lactamase são recomendadas para verificar o componente inibidor dos discos combinados de β-lactâmico com inibidor de β- lactamase. As cepas devem ser parte do CQ de rotina. O componente ativo é verificado com uma cepa sensível de CQ. 6. As cepas de controle de qualidade do BrCAST-EUCAST para CQ estendido são complementares às cepas de CQ de rotina. Estas cepas são recomendadas para controles dos discos utilizados para detecção de mecanismos específicos de resistência (ESBL, MRSA, VRE, HLAR e mutações de PBP) e são utilizados para assegurar que o teste de sensibilidade de rotina irá resultar em correta categorização (S, I ou R). O CQ estendido deve ser realizado quando houver qualquer mudança no sistema de teste de sensibilidade.
  • 175.
    CQ de RotinaTabelas de QC BrCAST-EUCAST V. 8.0 - válidas a partir de 10/08/2018 Alterações no documento da versão anterior Versão 8.0 01/01/2018 Mudanças Células contendo modificações ou adições em relação à versão v. 7.0 estão marcadas em amarelo Geral  Nova tabela com cepas recomendadas pelo EUCAST para CQ de rotina de acordo com os microrganismos ou grupos das tabelas de pontos de corte do EUCAST.  Método de disco-difusão removido (referência às tabelas de pontos de corte do EUCAST acrescentada) Notas • Nota 2 nova. ATCC 25922 Comentários revisados Comentário 12 (numerous CCUG e DSM adicionados para NCTC 13846) ATCC 27853 Comentários revisados Comentário 8 (Números CCUG e DSM adicionados para NCTC 13846)
  • 176.
    CQ de RotinaTabelas de QC BrCAST-EUCAST V. 8.0 - válidas a partir de 10/08/2018 Controle de Qualidade Interno de Rotina
  • 177.
    CQ de RotinaTabelas de QC BrCAST-EUCAST V. 8.0 - válidas a partir de 10/08/2018 Cepas recomendadas para o controle de qualidade de rotina A Tabela 1 lista as cepas recomendadas para o CQ de acordo com cada microrganismo ou grupo de microrganismos nas tabelas de pontos de corte do BrCAST-EUCAST. As recomendações são baseadas utilizando uma cepa da mesma espécie (ou espécie semelhante) que o organismo a ser testado (i.e. CQ principal); entretanto, algumas vezes outras cepas do CQ devem ser adicionadas para abranger todos os agentes. A Tabela 2 lista das cepas de CQ do BrCAST-EUCAST para controle das combinações de inibidores de β- lactamases. (aonde esta Campy trocar and por e ajustar roxitromicina, eritromicina;) Tabela 1 Recomendações para o CQ principal1 Recomendações para agentes não cobertos no CQ principal1 Organismo Cepa de CQ Antimicrobiano Cepa de CQ Enterobacteriaceae (Enterobacterales2 ) E. coli ATCC 25922 Colistina (MIC) Adicionar E. coli NCTC 13846 Pseudomonas spp. P. aeruginosa ATCC 27853 Piperacilina (halo de inibição) E. coli ATCC 25922 Ticarcilina (halo de inibição) E. coli ATCC 25922 Colistina (CIM) Adicionar E. coli NCTC 13846 Stenotrophomonas maltophilia E. coli ATCC 25922 Acinetobacter spp. P. aeruginosa ATCC 27853 Sulfametoxazol/Trimetoprim CIM e halo de inibição E. coli ATCC 25922 Colistina (CIM) Adicionar E. coli NCTC 13846 Staphylococcus spp. S. aureus ATCC 29213 Roxithromicin (CIM) H. influenzae ATCC 49766 Enterococcus spp. E. faecalis ATCC 29212 Ampicilina-sulbactam (CIM ) Ver tabela 2 Amoxicilina (CIM) E. coli ATCC 25922 Amoxicilina- ac. clavulânico (CIM) Ver tabela 2 Streptococcus grupos A, B, C and G Streptococcus pneumoniae S. pneumoniae ATCC 49619 S. pneumoniae ATCC 49619 Teicoplanina (CIM) S. aureus ATCC 29213 Minocyclina (CIM) S. aureus ATCC 29213 Trimethoprim (CIM) S. aureus ATCC 29213 Roxithromicina (CIM) H. influenzae ATCC 49766 Teicoplanina (CIM) S. aureus ATCC 29213 Minociclina (CIM) S. aureus ATCC 29213 Roxithromicin (CIM) H. influenzae ATCC 49766 Streptococcus grupo viridans S. pneumoniae ATCC 49619 Teicoplanina (CIM) S. aureus ATCC 29213 Haemophilus influenzae H. influenzae ATCC 49766 Moraxella catarrhalis H. influenzae ATCC 49766 Listeria monocytogenes S. pneumoniae ATCC 49619 Pasteurella multocida H. influenzae ATCC 49766 Benzilpenicillin (CIM) S. pneumoniae ATCC 49619 Campylobacter jejuni and coli C. jejuni ATCC 33560 Ciprofloxacina (CIM) S. aureus ATCC 29213 Eritromicina (CIM) S. aureus ATCC 29213 Tetraciclina (CIM) S. aureus ATCC 29213 Corynebacterium spp. S. pneumoniae ATCC 49619 Ciprofloxacina (CIM) S. aureus ATCC 29213 Gentamicina (CIM e halo de inibição) S. aureus ATCC 29213 Aerococcus sanguinicola e A. urinae S. pneumoniae ATCC 49619 Ciprofloxacina (CIM) S. aureus ATCC 29213 Kingella kingae H. influenzae ATCC 49766 Benzilpenicilina (CIM) S. pneumoniae ATCC 49619 Aeromonas spp. P. aeruginosa ATCC 27853 Sulfametoxazol-Trimetoprim (CIM e halo de inibição) E. coli ATCC 25922
  • 178.
    CQ de RotinaTabelas de QC BrCAST-EUCAST V. 8.0 - válidas a partir de 10/08/2018 1 Combinações com inibidores de β-lactamases devem ser testadas com ambos isolados do CQ: isolados sensíveis e isoaldos produtores de inibidores de β-lactamase (ver tabela 2) 2 Estudos taxonômicos recentes têm reduzido a definição para a família das Enterobacteriaceae. Alguns membros dessa família agora estão incluídos em outras famílias dentro da Ordem Enterobacteriales.
  • 179.
    CQ de RotinaTabelas de QC BrCAST-EUCAST V. 8.0 - válidas a partir de 10/08/2018 Ver página 16 Cepas recomendadas para o controle de qualidade de rotina Tabela 2 Controle das combinações com inibidores de β-lactamase 1 Organismo Isolado _ CQ – para o componente ativo Iado do CQ para o ver página 16 ver nte inibidor Enterobacteriaceae (Enterobacterales2 ) E. coli ATCC 25922 Pseudomonas spp. P. aeruginosa ATCC 27853 Ver página 16 Enterococcus spp. E. coli ATCC 25922 Ver página 16 Haemophilus influenzae H. influenzae ATCC 49766 Ver página 16 Moraxella catarrhalis H. influenzae ATCC 49766 Ver página 16 Pasteurella multocida H. influenzae ATCC 49766 Ver página 16 1 Combinações com inibidores de β-lactamases devem ser testadas com ambos isolados do CQ: isolados sensíveis e isoaldos produtores de inibidores de β-lactamase (ver tabela 2) 2 Estudos taxonômicos recentes têm reduzido a definição para a família das Enterobacteriaceae. Alguns membros dessa família agora estão incluídos em outras famílias dentro da Ordem Enterobacteriales. Isolado do CQ para o componente inibidor
  • 180.
    CQ de RotinaTabelas de QC BrCAST-EUCAST V. 8.0 - válidas a partir de 10/08/2018 Escherichia coli ATCC 25922 (NCTC 12241, CIP 76.24, DSM 1103, CCUG 17620, CECT 434) Consulte as tabelas de Pontos de Corte do Br-CAST para explicação resumida dos métodos: CIM e disco difusão Alvo1 Intervalo2 Alvo1 Range3 Amicacina 1-2 0.5-4 30 22-23 19-26 Amoxicilina 4 2-8 - - - Amoxicilina-ác. clavulânico4,5 4 2-8 20-10 21 18-246 Ampicilina 4 2-8 10 18-19 15-22 6 Ampicilina-sulbactam5,7 2 1-4 10-10 21-22 19-246 Aztreonam 0.125 0.06-0.25 30 32 28-36 Cefadroxil - - 30 17 14-20 Cefalexina 8 4-16 30 18 15-21 Cefepima 0.03-0.06 0.016-0.125 30 34 31-37 Cefixima 0.5 0.25-1 5 23 20-26 Cefotaxima 0.06 0.03-0.125 5 28 25-31 Cefoxitina 4 2-8 30 26 23-29 Cefpodoxima 0.5 0.25-1 10 25-26 23-28 Ceftarolia 0.06 0.03-0.125 5 27 24-30 Ceftazidima 0.125-0.25 0.06-0.5 10 26 23-29 Ceftazidima-avibactam8,9 0.125-0.25 0.06-0.5 10-4 27 24-30 Ceftibuten 0.25 0.125-0.5 30 31 27-35 Ceftobiprole 0.06 0.03-0.125 5 28 25-31 Ceftolozana-tazobactam10,11 0.25 0.125-0.5 30-10 28 24-32 Ceftriaxona 0.06 0.03-0.125 30 32 29-35 Cefuroxima 4 2-8 30 23 20-26 Cloranfenicol 4 2-8 30 24 21-27 Ciprofloxacino 0.008 0.004-0.016 5 33 29-37 Colistina12 0.5-1 0.25-2 - - - Doripenem 0.03 0.016-0.06 10 31 27-35 Ertapenem 0.008 0.004-0.016 10 32-33 29-36 Fosfomicina13 1 0.5-2 20014 30 26-34 15 Gentamicina 0.5 0.25-1 10 22-23 19-26 Imipenem 0.125 0.06-0.25 10 29 26-32 Levofloxacino 0.016-0.03 0.008-0.06 5 33 29-37 Mecillinam16 0.06-0.125 0.03-0.25 10 27 24-30 Meropenem 0.016-0.03 0.008-0.06 10 31-32 28-35 Moxifloxacino 0.016-0.03 0.008-0.06 5 31-32 28-35 Acido Nalidíxico 2 1-4 30 25 22-28 Netilmicina - ≤0.5-1 10 21 18-24 Nitrofurantoina 8 4-16 100 20 17-23 Nitroxolina Note17 Note17 30 21 18-24 Norfloxacino 0.06 0.03-0.125 10 31-32 28-35 Ofloxacino 0.03-0.06 0.016-0.125 5 31 29-33 Pefloxacino - - 5 29 26-32 Piperacilina 2 1-4 30 24 21-27 Piperacilina-tazobactam10,11 2 1-4 30-6 24 21-27 Ticarcilina 8 4-16 75 27 24-30 Ticarcilina-ac. clavulânico4,5 8 4-16 75-10 27 24-30 Tigecyclina18 0.06-0.125 0.03-0.25 15 23-24 20-27 Tobramicina 0.5 0.25-1 10 22 18-26 Trimetoprim 1 0.5-2 5 24-25 21-28 Sulfametoxazol-Trimetoprim19 ≤0.52 - 23.75-1.25 26 23-29 Diâmetro do halo de inibição (mm) Conteúdo do disco Agente antimicrobiano CIM (mg/L)
  • 181.
    CQ de RotinaTabelas de QC BrCAST-EUCAST V. 8.0 - válidas a partir de 10/08/2018 Escherichia coli ATCC 25922 (NCTC 12241, CIP 76.24, DSM 1103, CCUG 17620, CECT 434) 1 Calculado pelo EUCAST. 2 Da normativa International Standards Organisation, ISO 20776-1: 2006 (com atualizações incluídas no documento M100 mais recente do CLSI), exceto os intervalos em negrito/itálico estabelecidos pelo EUCAST. Todos os intervalos foram validados pelo EUCAST. 3 Do documento M100-S27, 2017 do Clinical and Laboratory Standards Institute, exceto intervalos em negrito/itálico estabelecidos pelo EUCAST. Todos os intervalos foram validados pelo EUCAST. 4 Para o teste da CIM, a concentração de ácido clavulânico é fixada em 2 mg / L. 5 E. coli ATCC 35218 é utilizada para verificar o componente inibidor (ver controle de qualidade de rotina para combinações de β-lactâmicos-inibidores de β-lactamase). 6 Ignorar o crescimento que pode aparecer dentro do halo de inibição em alguns lotes de ágar Mueller-Hinton. 7 Para a determinação da CIM, a concentração de sulbactam é fixada em 4 mg/L. 8 Para o teste de MIC, a concentração de avibactam é fixada em 4 mg/L. 9 K. pneumoniae ATCC 700603 é utilizada para verificar o componente inibidor (ver controle de qualidade de rotina para combinações de β-lactâmicos-inibidores de β-lactamase). 10 Para a determinação da CIM,, a concentração de tazobactam é fixada em 4 mg / L. 11 Tanto a cepa de E. coli ATCC 35218 como a cepa de K. pneumoniae ATCC 700603 podem ser utilizadas para verificar o componente inibidor (ver controle de qualidade de rotina para combinações de β-lactâmicos-inibidores de β-lactamase). 12 O controle de qualidade da colistina deve ser realizado com uma cepa de QC sensível (E. coli ATCC 25922 ou P. aeruginosa ATCC 27853) e uma cepa de E. coli resistente à colistina NCTC 13846 (mcr-1 positivo). Para E. coli NCTC 13846 (CCUG 70662, DSM 105182), o valor alvo de CIM da colistina é de 4 mg/L e apenas ocasionalmente de 2 ou 8 mg/L. 13 A diluição em ágar é o método de referência para testar a fosfomicina. As CIMs de fosfomicina devem ser determinadas na presença de glicose-6-fosfato (25 mg/L no meio). Siga as instruções do fabricante para sistemas comerciais. 14 Os discos de fosfomicina de 200 g devem conter 50 µg de glicose-6-fosfato. 15 Ignorar colônias isoladas dentro do halo de inibição e leia a borda da zona externa (para exemplos de leitura, consulte o Guia de leitura do EUCAST ou Tabelas de ponto de corte). 16 A diluição em ágar é o método de referência para determinação da MIC para mecilinam. 17 Atualmente não há intervalo de CIM para E. coli ATCC 25922 e nitroxolina. 18 Para determinação da CIM por microdiluição em caldo para tigeciclina, o meio deve ser fresco e preparado no dia do uso. 19 Sulfametoxazol;trimetoprim na proporção 19:1. Valores de CIM são expressos como concentração de trimetoprim. .
  • 182.
    CQ de RotinaTabelas de QC BrCAST-EUCAST V. 8.0 - válidas a partir de 10/08/2018 Pseudomonas aeruginosa ATCC 27853 (NCTC 12903, CIP 76.110, DSM 1117, CCUG 17619, CECT 108) Consulte as tabelas de pontos de corte do BrCAST-EUCAST para explicação resumida sobre os métodos: CIM e disco difusão. MIC (mg/L) Diâmetro do Halo de inibição (mm) Alvo1 Intervalo2 Alvo1 Intervalo3 Amicacina 2 1-4 30 22 18-26 Aztreonam 4 2-8 30 26 23-29 Cefepima 1-2 0.5-4 30 28 25-31 Ceftazidima 2 1-4 10 24 21-27 Ceftazidima-avibactam4,5 1-2 0.5-4 10-4 24 21-27 Ceftolozana-tazobactam6,7 0.5 0.25-1 30-10 28 25-31 Ciprofloxacino 0.5 0.25-1 5 29 25-33 Colistina8 1-2 0.5-4 - - - Doripenem 0.25 0.125-0.5 10 31-32 28-35 Fosfomicina9 4 2-8 - - - Gentamicina 1 0.5-2 10 20 17-23 Imipenem 2 1-4 10 24 20-28 Levofloxacino 1-2 0.5-4 5 22-23 19-26 Meropenem 0.5 0.25-1 10 30 27-33 Netilmicina 2 0.5-8 10 18 15-21 Piperacilina 2-4 1-8 - - - Piperacillin-tazobactam6,7 2-4 1-8 30-6 26 23-29 Ticarcillin 16 8-32 - - - Ticarcillin-clavulanic acid10,11 16 8-32 75-10 24 20-28 Tobramycin 0.5 0.25-1 10 23 20-26 1 Calculado pelo EUCAST. 2 Da normativa International Standards Organisation, ISO 20776-1: 2006 (com atualizações incluídas no documento M100 mais recente do CLSI). Todos os intervalos foram validados pelo EUCAST. 3 Do documento M100-S27, 2017 do Clinical and Laboratory Standards Institute, exceto intervalos em negrito/itálico estabelecidos pelo EUCAST. Todos os intervalos foram validados pelo EUCAST. 4 Para a determinação da CIM,, a concentração de avibactam é fixa em 4 mg / L. 5 A ATCC 700603 de K. pneumoniae é utilizada para verificar o componente inibidor (ver controle de qualidade de rotina para combinações de β-lactâmicos-inibidores de -β-lactamases). 6 Para a determinação da CIM, a concentração de tazobactam é fixa em 4 mg/L. 7 Tanto a cepa de E. coli ATCC 35218 como a cepa de K. pneumoniae ATCC 700603 podem ser utilizadas para verificar o componente inibidor (ver controle de qualidade de rotina para combinações de inibidores de β-lactâmicos-inibidores de -β- lactamases). 8 O controle de qualidade da colistina deve ser realizado com uma cepa de QC sensível (E. coli ATCC 25922 ou P. aeruginosa ATCC 27853) e uma cepa de E. coli resistente à colistina NCTC 13846 (mcr-1 positivo). Para E. coli NCTC 13846 (CCUG 70662, DSM 105182), o valor alvo da CIM da colistina é de 4 mg/L e apenas ocasionalmente de 2 ou 8 mg/L. 9 A diluição em ágar é o método de referência para testar a fosfomicina. As CIMs de fosfomicina devem ser determinadas na presença de glicose-6-fosfato (25 mg/L no meio). Siga as instruções do fabricante para sistemas comerciais. 10 E. coli ATCC 35218 é usado para verificar o componente inibidor (ver controle de qualidade de rotina para combinações de inibidores de β-lactâmicos-inibidores de β-lactamases). 11 Para a determinação da CIM, , a concentração de ácido clavulânico é fixa em 2 mg/L. Agente antimicrobiano CIM (mg/L) Conteúdo do disco
  • 183.
    CQ de RotinaTabelas de QC BrCAST-EUCAST V. 8.0 - válidas a partir de 10/08/2018 Staphylococcus aureus ATCC 29213 (NCTC 12973, CIP 103429, DSM 2569, CCUG 15915, CECT 794) Cepa produtora de β-lactamase-(fraca) Consultar tabelas de pontos de corte do BrCAST para explicação resumida dos métodos CIM e disco-difusão. Antimicrobial agent CIM (mg/dL) Diâmetro do Halo de Inibição (mm) Alvo1 (µg) Alvo1 Intervalo3 Amicacina 2 1-4 30 21 18-24 Ampicilina - - 2 18 15-21 Azithromicina 1 0.5-2 - - - Benzilpenicilina 0.5-1 0.25-2 1 unidade 15 12-18 Cefoxitina 2 1-4 30 27 24-30 Ceftarolina 0.25 0.125-0.5 5 27 24-30 Ceftobiprole 0.25-0.5 0.125-1 5 25 22-28 Cloranfenicol 4-8 2-16 30 24 20-28 Ciprofloxacino 0.25 0.125-0.5 5 24 21-27 Clarithromicina 0.25 0.125-0.5 - - - Clindamcina 0.125 0.06-0.25 2 26 23-29 Dalbavancina4 0.06 0.03-0.125 - - - Daptomicina5 0.25-0.5 0.125-1 - - - Doxycyclina 0.25 0.125-0.5 - - - Erithromicina 0.5 0.25-1 15 26 23-29 Fosfomicina6 1-2 0.5-4 - - - Ac. Fusidico 0.125 0.06-0.25 10 29 26-32 Gentamicina 0.25-0.5 0.125-1 10 22 19-25 Levofloxacina 0.125-0.25 0.06-0.5 5 26 23-29 Linezolida 2 1-4 10 24 21-27 Minocyclina 0.125-0.25 0.06-0.5 30 26 23-29 Moxifloxacino 0.03-0.06 0.016-0.125 5 28 25-31 Mupirocina 0.125 0.06-0.25 200 34 31-37 Netilmicina ≤0.252 - 10 23 20-26 Nitrofurantoina 16 8-32 100 20 17-23 Norfloxacino 1 0.5-2 10 21 18-24 Ofloxacino 0.25-0.5 0.125-1 5 24 21-27 Oritavancina4 0.03-0.06 0.016-0.125 - - - Quinupristin-dalfopristin 0.5 0.25-1 15 24 21-27 Rifampicina 0.008 0.004-0.016 5 33 30-36 Tedizolida 0.5 0.25-1 - - - Teicoplanina 0.5 0.25-1 - - - Telavancina4 0.06 0.03-0.125 - - - Telithromycina 0.125 0.06-0.25 15 IP IP Tetracyclina 0.25-0.5 0.125-1 30 27 23-31 Tigecyclina7 0.06-0.125 0.03-0.25 15 22 19-25 Tobramycina 0.25-0.5 0.125-1 10 23 20-26 Trimethoprim 2 1-4 5 25 22-28 Sulfametoxazol Trimetoprim-8 ≤0.52 - 23.75-1.25 29 26-32 Vancomicina 1 0.5-2 - - - Agente antimicrobiano Conteúdo do disco Intervalo2
  • 184.
    CQ de RotinaTabelas de QC BrCAST-EUCAST V. 8.0 - válidas a partir de 10/08/2018 Staphylococcus aureus ATCC 29213 (NCTC 12973, CIP 103429, DSM 2569, CCUG 15915, CECT 794) Cepa produtora de β-lactamase (fraca) 1 Calculado pelo EUCAST. 2 Da normativa International Standards Organisation, ISO 20776-1: 2006 (com atualizações incluídas no documento M100 mais recente do CLSI). Todos os intervalos foram validados pelo EUCAST. 3 Estabelecido e validado pelo EUCAST. 4 As CIMs devem ser determinadas na presença de polissorbato-80 (0,002% no meio para o método de microdiluição em caldo; os métodos de diluição em ágar não foram validados). Siga as instruções do fabricante para sistemas comerciais. 5 As CIMs de daptomicina devem ser determinadas na presença de Ca2+ (50 mg/L no meio para o método de microdiluição em caldo; os métodos de diluição em ágar não foram validados). Siga as instruções do fabricante para sistemas comerciais. 6 A diluição em ágar é o método de referência para testar a fosfomicina. As CIMs de fosfomicina devem ser determinadas na presença de glicose-6-fosfato (25 m /L no meio). Siga as instruções do fabricante para sistemas comerciais. 7 Para a determinação da CIM por microdiluição em caldo para tigeciclina, o meio deve ser fresco e preparado no dia do uso. 8 Sulfametoxazol-Trimetroprim na proporção 19:1. Valores de CIM são expressos como concentração de trimetoprim. EP = em preparação
  • 185.
    CQ de RotinaTabelas de QC BrCAST-EUCAST V. 8.0 - válidas a partir de 10/08/2018 Enterococcus faecalis ATCC 29212 (NCTC 12697, CIP 103214, DSM 2570, CCUG 9997, CECT 795) Consultar tabelas de pontos de corte do BrCAST para explicação resumida dos métodos CIM e disco-difusão. MIC (mg/L) Disk content Alvo1 (µg) Alvo1 Intervalo3 Ampicilina 1 0.5-2 2 18 15-21 Ciprofloxacino 0.5-1 0.25-2 5 22 19-25 Gentamicina 8 4-16 304 15 12-18 Imipenem 1 0.5-2 10 27 24-30 Levofloxacino 0.5-1 0.25-2 5 22 19-25 Linezolida 2 1-4 10 22 19-25 Nitrofurantoina 8 4-16 100 21 18-24 Norfloxacino 4 2-8 10 19 16-22 Quinupristin-dalfopristin 4 2-8 15 14 11-17 Estreptomicina Nota5 Nota5 3006 17 14-207 Teicoplanina 0.5 0.25-1 30 18 15-21 Tigeciclina8 0.06 0.03-0.125 15 23 20-26 Trimethoprim 0.25 0.125-0.5 5 28 24-32 Sulfametoxazol-trimetoprim-9 ≤0.52 - 23.75-1,25 30 26-34 Vancomicina 2 1-4 5 13 10-16 1 Calculado pelo EUCAST. 2 De acordo com a International Standards Organisation, ISO 20776-1: 2006 (com atualizações incluídas no documento M100 mais recente do CLSI). Todos os intervalos foram validados pelo EUCAST. 3 Estabelecido e validado pelo EUCAST. 4 Disco para triagem de resistência de alto nível aos aminoglicosídeos em Enterococcus. 5 Atualmente não há intervalo de CIM para E. faecalis ATCC 29212 e estreptomicina. 6 Disco para triagem de resistência de alto nível à estreptomicina em Enterococcus. 7 De acordo com o Clinical and Laboratory Standards Institute, M100-S27, 2017. 8 Para determinação da CIM por microdiluição em caldo para tigeciclina, o meio deve ser fresco e preparado no dia do uso. 9 Sulfametoxazol-trimetoprim na proporção 19:1. Valores CIM são expressos como concentração de trimetoprim. Diâmetro do halo de inibição (mm) Agente antimicrobiano CIM (mg/L) Conc. Disco Conteúdo do Disco Intervalo2
  • 186.
    CQ de RotinaTabelas de QC BrCAST-EUCAST V. 8.0 - válidas a partir de 10/08/2018 Streptococcus pneumoniae ATCC 49619* (NCTC 12977, CIP 104340, DSM 11967, CCUG 33638) Cepa com sensibilidade reduzida a benzilpenicilina * Halos de inibição de isolados de S. pneumoniae no MH-F são quase sempre acompanhados de α-hemólise. Ler a inibição do crescimento e não a inibição da hemólise. Inclinar a placa para facilitar a diferenciação entre hemólise e crescimento. Usualmente há crescimento em toda área de α-hemólise, mas em alguns lotes de MH-F há α-hemólise sem crescimento. . Consultar tabelas de pontos de corte do BrCAST para explicação resumida dos métodos CIM e disco-difusão Antimicrobial agent MIC (mg/L) Disk content Alvo1 (µg) Alvo1 Intervalo3 Amoxicilina 0.06 0.03-0.125 - - - Ampicilina 0.125 0.06-0.25 2 28 25-31 Azitromicina 0.125 0.06-0.25 - - - Benzilpenicilina 0.5 0.25-1 1 unidade 19 16-22 Cefaclor 2 1-4 30 28 25-31 Cefepima 0.06-0.125 0.03-0.25 30 34 31-37 Cefotaxima 0.06 0.03-0.125 5 31 28-34 Cefpodoxima 0.06 0.03-0.125 10 32 29-35 Ceftarolina 0.016 0.008-0.03 - - - Ceftobiprole 0.008-0.016 0.004-0.03 - - - Ceftriaxona 0.06 0.03-0.125 30 35 32-38 Cefuroxima 0.5 0.25-1 30 31 28-34 Clorafenicol 4 2-8 30 27 24-30 Ciprofloxacin0 - - 5 25 22-28 Claritromicina 0.06 0.03-0.125 - - - Clindamicina 0.06 0.03-0.125 2 25 22-28 Dalbavancina4 0.016 0.008-0.03 - - - Daptomicina5 0.125-0.25 0.06-0.5 - - - Doripenem 0.06 0.03-0.125 10 34 31-37 Doxiciclina 0.03-0.06 0.016-0.125 - - - Ertapenem 0.06-0.125 0.03-0.25 10 31 28-34 Eritromicina 0.06 0.03-0.125 15 29 26-32 Imipenem 0.06 0.03-0.125 10 38 34-42 Levofloxacino 1 0.5-2 5 24 21-27 Linezolida 0.5-1 0.25-2 10 26 23-29 Meropenem 0.125 0.06-0.25 10 34 30-38 Minocyclina - - 30 28 25-31 Moxifloxacina 0.125 0.06-0.25 5 27 24-30 Nitrofurantoina 8 4-16 100 28 25-31 Norfloxacina 4 2-8 10 21 18-24 Ofloxacino 2 1-4 5 21 18-24 Oritavancina4 0.002 0.001-0.004 - - - Oxacilina6 - - 1 11 8-14 6 Rifampicina 0.03 0.016-0.06 5 29 26-32 Tedizolide 0.25 0.125-0.5 - - - Teicoplanina - - 30 21 18-24 Telitromicina 0.008-0.016 0.004-0.03 15 30 27-33 Tetraciclina 0.125-0.25 0.06-0.5 30 31 28-34 Tigeciclina7 0.03-0.06 0.016-0.125 15 27 24-30 Sulfametoxazol-trimetoprim8 0.25-0.5 0.125-1 23.75-1,25 22 18-26 Vancomicina 0.25 0.125-0.5 5 20 17-23 Agente antimicrobiano CIM (mg/L) Conteúdo do Disco Diâmetro do Halo de inibição (mm) Intervalo2
  • 187.
    CQ de RotinaTabelas de QC BrCAST-EUCAST V. 8.0 - válidas a partir de 10/08/2018 Streptococcus pneumoniae ATCC 49619* (NCTC 12977, CIP 104340, DSM 11967, CCUG 33638) Cepa com sensibilidade reduzida a benzilpenicilina 1 Calculado pelo EUCAST. 2 Da normativa International Standards Organisation, ISO 20776-1: 2006 (com atualizações incluídas no documento M100 mais recente do CLSI). Todos os intervalos foram validados pelo EUCAST. 3 Estabelecido e validado pelo EUCAST. 4 As CIMs devem ser determinadas na presença de polissorbato-80 (0,002% no meio para o método de microdiluição em caldo; os métodos de diluição em ágar não foram validados). Siga as instruções do fabricante para sistemas comerciais. 5 As CIMs de daptomicina devem ser determinadas na presença de Ca2+ (50 mg/L no meio para o método de microdiluição em caldo; os métodos de diluição em ágar não foram validados). Siga as instruções do fabricante para sistemas comerciais. 6 A diluição em ágar é o método de referência para testar a fosfomicina. As CIMs de fosfomicina devem ser determinadas na presença de glicose-6-fosfato (25 m /L no meio). Siga as instruções do fabricante para sistemas comerciais. 7 Para a determinação da CIM por microdiluição em caldo para tigeciclina, o meio deve ser fresco e preparado no dia do uso. 8 Sulfametoxazol-Trimetroprim na proporção 19:1. Valores de CIM são expressos como concentração de trimetoprim. EP = em preparação
  • 188.
    CQ de RotinaTabelas de QC BrCAST-EUCAST V. 8.0 - válidas a partir de 10/08/2018 Haemophilus influenzae ATCC 49766 (NCTC 12975, CIP 103570, DSM 11970, CCUG 29539) Consultar tabelas de pontos de corte do BrCAST para explicação resumida dos métodos CIM e disco-difusão Antimicrobial agent CIM (mg/L) Diâmetro do Halo de inibição (mm) Alvo1 Alvo1 Intervalo2 Amoxicilina ác. clavulânico3,4 0.25 0.125-0.5 2-1 20 17-23 Amoxicilina 0.25 0.125-0.5 - - - Ampicilina 0.125 0.06-0.25 2 22 19-25 Ampicilina-sulbactam5 0.125 0.06-0.25 - - - Azitromicina 1 0.5-2 - - - Benzilpenicilina - - 1 unidade 18 15-21 Cefepima 0.06 0.03-0.125 30 33 30-36 Cefixima 0.03 0.016-0.06 5 32 29-35 Cefotaxima 0.008 0.004-0.016 5 33 29-37 Cefpodoxima 0.06 0.03-0.125 10 33 30-36 Ceftarolina 0.008 0.004-0.016 - - - Ceftibuten 0.03 0.016-0.06 30 34 31-37 Ceftriaxona 0.004 0.002-0.008 30 38 34-42 Cefuroxima 0.5 0.25-16 30 30 26-34 Cloranfenicol 0.5 0.25-1 30 34 31-37 Ciprofloxacino 0.008 0.004-0.016 5 36 32-40 Claritromicina 8 4-16 - - - Doripenem 0.125 0.06-0.256 10 29 26-32 Doxicilina 0.5 0.25-1 - - - Ertapenem 0.03 0.016-0.066 10 30 27-33 Eritromicin 4 2-8 15 13 10-16 Imipenem 0.5 0.25-16 10 27 24-30 Levofloxacino 0.016 0.008-0.03 5 35 31-39 Meropenem 0.06 0.03-0.1256 10 31 27-35 Minocycline 0.25 0.125-0.5 30 29 26-32 Moxifloxacin 0.016 0.008-0.03 5 33 30-36 Ácido nalidíxico - - 30 30 27-33 Ofloxacino 0.03 0.016-0.06 5 34 31-37 Rifampicina 0.5 0.25-1 5 24 21-27 Roxitromycina 8 4-16 - - - Telitromicina 2 1-4 15 17 14-20 Tetracicline 0.5 0.25-1 30 31 28-34 Sulfametoxazol- Trimetoprim7 0.03 0.016-0.06 23.75-1,25 31 27-35 1 Calculado pelo EUCAST. 2 Estabelecido e validado pelo EUCAST. 3 Para determinação da CIM, a concentração de ácido clavulânico é fixa em 2 mg/L. 4 As cepas de E. coli ATCC 35218 (CIM) e S. aureus ATCC 29213 (disco-difusão) são utilizadas para verificar o componente inibidor (ver controle de qualidade de rotina para combinações β-lactâmicos-inibidores de β-lactamase). 5 Para determinação da CIM, a concentração do sulbactam é fixa em 4 mg/L. 6 De acordo com o Clinical and Laboratory Standards Institute, M100-S27, 2017, e validado pelo EUCAST. 7 Sulfametoxazol-trimetoprim: na proporção 19:1. Valores de CIM são expressos como a concentração de trimetoprim . Agente antimicrobiano Conteúdo do Disco Intervalo2
  • 189.
    CQ de RotinaTabelas de QC BrCAST-EUCAST V. 8.0 - válidas a partir de 10/08/2018 Campylobacter jejuni ATCC 33560 (NCTC 11351, CIP 702, DSM 4688, CCUG 11284) Consultar tabelas de pontos de corte do BrCAST para explicação resumida dos métodos CIM e disco-difusão Antimicrobial agent CIM (mg/L) Diâmetro do Halo de inibição (mm) Alvo Intervalo Alvo1 Intervalo2 Ciprofloxacino EP EP 5 38 34-42 Erithromycina EP EP 15 31 27-35 Tetraciclina EP EP 30 34 30-38 1 Calculado pelo EUCAST. 2 Estabelecido e validado pelo EUCAST EP – Em preparação Agente antimicrobiano Conteúdo do Disco
  • 190.
    CQ de RotinaTabelas de QC BrCAST-EUCAST V. 8.0 - válidas a partir de 10/08/2018 Controle do componente inibidor dos discos combinados de β-lactâmico com inibidor de β-lactamase Consultar tabelas de pontos de corte do BrCAST para explicação resumida dos métodos CIM e disco-difusão Escherichia coli ATCC 35218 (NCTC 11954, CIP 102181, DSM 5923, CCUG 30600, CECT 943) Cepa produtora de β-lactamase TEM-1 (não-ESBL) Antimicrobial agent CIM (mg/L) Diâmetro do Halo de Inibição (mm) Alvo1 Amoxicilina-ác. clavulânico3 8-16 4-32 20-10 19-20 17-224 Ampicilina-sulbactam5 32-64 16-128 10-10 16 13-194 Ceftolozana-tazobactam6,7 0.125 0.06-0.25 30-10 28 25-31 Piperacilina-tazobactam6,7 1 0.5-2 30-6 24 21-27 Ticarcilina- ác. clavulânico 3 16 8-32 75-10 23 21-25 Klebsiella pneumoniae ATCC 700603 (NCTC 13368, CCUG 45421, CECT 7787) Cepa produtora de ESBL - SHV-18 Antimicrobial agent Alvo1 Alvo1 Intervalo2 Ceftazidima-avibactam8 0.5-1 0.25-2 10-4 21 18-24 Ceftolozana-tazobactam6,7 1 0.5-2 30-10 21 17-25 Piperacilina-tazobactam6,7 16 8-32 30-6 17 14-20 Staphylococcus aureus ATCC 29213 (NCTC 12973, CIP 103429, DSM 2569, CCUG 15915, CECT 794) Cepa produtora de β-lactamase (fraca) Antimicrobial agent CIM (mg/L) Diâmetro do Halo de Inibição (mm) Alvo1 Alvo1 Intervalo2 Amoxicilina- ác. clavulânico3 Nota9 Nota9 2-1 22 19-25 1 Calculado pelo EUCAST. 2 Do documento Clinical and Laboratory Standards Institute, M100-S27, 2017, exceto os intervalos em negrito/itálico estabelecidos pelo EUCAST. Todos os intervalos foram validados pelo EUCAST. 3 Para o teste de CIM, a concentração de ácido clavulânico é fixa em 2 mg/L. 4 Ignorar o crescimento que pode aparecer como um fino halo interno em alguns lotes de ágar Mueller-Hinton. 5 Para a determinação da CIM,, a concentração de sulbactam é fixa em 4 mg/L. 6 Para a determinação da CIM,, a concentração de tazobactam é fixada em 4 mg/L. 7 Tanto cepa de E. coli ATCC 35218 como a cepa de K. pneumoniae ATCC 700603 podem ser utilizadas para verificar o componente inibidor. 8 Para a determinação da CIM,, a concentração de avibactam é fixa em 4 mg/L. 9 Para a determinacão da CIM, a cepa de E. coli ATCC 35218 é utilizada para verificar o componente inibidor Diâmetro do Halo de Inibição (mm) Agente antimicrobiano Agente antimicrobiano CIM (mg/L) Agente antimicrobiano Conteúdo do Disco Intervalo2 Intervalo2 Alvo1 Conteúdo do Disco Conteúdo do Disco Intervalo2 Intervalo2
  • 191.
    Extended QC QCBrCAST V. 8.0 - Tabelas, válido a partir de 10/08/2018. Controle de Qualidade Estendido para Detecção de Mecanismos de Resistência por Disco-Difusão
  • 192.
    Extended QC QCBrCAST V. 8.0 - Tabelas, válido a partir de 10/08/2018. Cepas para controle de qualidade para detecção de mecanismos de resistência por disco-difusão no ágar Müeller-Hinton Consultar tabelas de pontos de corte do BrCAST para explicação resumida dos métodos CIM e disco-difusão Produção de ESBL em Enterobacteriaceae Klebsiella pneumoniae ATCC 700603 (NCTC 13368, CCUG 45421, CECT 7787) Cepa produtora de ESBL SHV-18 Antimicrobiano Alvo sensibilidade1 Aztreonam 30 R 9-17 Cefotaxima 5 I ou R 12-18 Cefpodoxima 10 R 9-16 Ceftazidima 10 I ou R 6-12 Ceftriaxona 30 I ou R 16-22 Staphylococcus aureus resistente à oxacilina (meticilina) Staphylococcus aureus NCTC 12493 (CCUG 67181) S. aureus resistente a meticilina (MRSA), mecA positivo Antimicrobiano Cefoxitin 30 R 14-20 Resistência aos glicopeptídeos mediada por VanB em Enterococcus Enterococcus faecalis ATCC 51299 (NCTC 13379 ,CIP 104676, DSM 12956, CCUG 34289) Cepa vanB -positiva Antimicrobiano Alvo sensibilidade1 Teicoplanina 30 S 16-20 Vancomicina 5 R 6-12 Examinar as bordas do halo de inibição com luz transmitida (segurar a placa contra a luz). Halos de inibição com bordas mal definidas devem ser interpretados como resistentes, mesmo que o diâmetro do halo de inibição esteja acima do ponto de corte de sensibilidade (veja os exemplos de leitura no guia de leitura do BrCAST). Alto nível de resistência aos aminoglicosídeos em Enterococcus Enterococcus faecalis ATCC 51299 (NCTC 13379 ,CIP 104676, DSM 12956, CCUG 34289) Gentamicina de alto-nível e streptomicina resistente Antimicrobiano Alvo sensibilidade1 Gentamicina 30 R 6 Streptomicina 300 R 6 1 Alvos acordo com os pontos de corte clínicos do EUCAST e são estabalecidos para garantir que os mecanismos de resistência sejam corretamente detectados. Interpretação de acordo com os pontos de corte clínicos do EUCAST: S = Sensível, I = Intermediário, R = Resistente. 2 Do documento M100-S27, 2017 do Clinical and Laboratory Standards Institute, , exceto intervalos em negrito/itálico estabelecidos pelo EUCAST. Todos os intervalos foram validados pelo EUCAST. Intervalo2 (mm) Comentários Conteúdo do Disco Conteúdo do Disco Alvo sensibilidade 1 Intervalo2 (mm) Comentários Conteúdo do Disco Intervalo2 (mm) Comentários Conteúdo do Disco Intervalo2 (mm)
  • 193.
    Extended QC QCBrCAST V. 8.0 - Tabelas, válido a partir de 10/08/2018. Cepas de controle de qualidade para detecção de mecanismos de resistência por disco-difusão em ágar Müeller-Hinton para fastidiosos (MH-F) Consultar tabelas de pontos de corte do BrCAST para explicação resumida dos métodos CIM e disco-difusão Sensibilidade reduzida aos agentes β-lactâmicos devido a mutações em PBP em Haemophilus influenzae Haemophilus influenzae ATCC 49247 (NCTC 12699, CIP 104604, DSM 9999, CCUG 26214) Os diâmetros de halos de inibição são particularmente afetados por variações no meio, inóculo e condições de incubação. Halos de inibição com presença de pequenas colônias em seu interior devem ser interpretados como 6 mm (sem halo” Ampiciliina 2 R 6-12 Benzilpenicilin 1 unit R 6-9 1 Alvos de acordo com os pontos de corte clínicos do EUCAST e são estabelecidos para garantir que os mecanismos de resistência sejam corretamente detectados. Interpretação de acordo com os pontos de corte clínicos do EUCAST: S = Sensível, I = Intermediário, R = Resistente. 2 Estabelecido e validado por múltiplos testes pelo EUCAST. Comentários Conteúdo do Disco Intervalo2 (mm) Alvo sensibilidade1 Antimicrobiano
  • 194.
    BrCAST - Métodode Disco-Difusão para Teste de Sensibilidade aos Antimicrobianos Versão 6.0 (Janeiro de 2017) http://brcast.org.br/ Teste sensibilidade aos antimicrobianos Método de disco-difusão EUCAST Versão 6.0 Janeiro 201 Versão para português válida a partir de
  • 195.
    BrCAST - Métodode Disco-Difusão para Teste de Sensibilidade aos Antimicrobianos Versão 6.0 (Janeiro de 2017) http://brcast.org.br/ Conteúdo Página Alterações no documento Abreviaturas e Terminologia 1 Introdução 6 2 Preparação e armazenamento dos meios Preparação do inóculo Inoculação das placas de ágar 11 Aplicação dos discos de antimicrobianos 12 6 Incubação das placas 1 Observação das placas após incubação 1 Aferição dos halos e interpretação 16 Controle de Qualidade 1 Apêndice A 21
  • 196.
    BrCAST - Métodode Disco-Difusão para Teste de Sensibilidade aos Antimicrobianos Versão 6.0 (Janeiro de 2017) http://brcast.org.br/ Alterações no documento da versão anterior (v.5.0) Seção Alterações Informação adicionada sobre as dimensões das placas de Petri Informação adicionada sobre a secagem das placas Modificação na recomendação de armazenamento de placas preparadas “in house” Esclarecimento sobre a secagem das placas Tabela 1 Aerococcus sanguinicola, A.urinae e Kingella kingae adicionados Informações adicionadas sobre o preparo do inóculo Esclarecimento sobre o uso do padrão 0,5 de McFarland Resumo da regra 15-15-15 minutos adicionada (ver nota de rodapé 1) Tabela 2 Informação sobre o padrão de McFarland removido Informação adicionada sobre deixar as placas alcançarem a temperatura ambiente antes da inoculação Informação adicionada sobre inoculação das placas de gram-negativos e gram- positivos Informação adicionada sobre inoculação de mais de uma placa de agar Informação adicionada sobre técnicas de semeadura Resumo da regra 15-15-15 minutos adicionada (ver nota de rodapé 1) Intervalo de tempo para aplicação dos discos adicionado. Resumo da regra de 15- 1 -1 minutos adicionada (ver nota de rodapé 1) Informação adicionada sobre o empilhamento de placas na estufa Esclarecimento sobre tempo de incubação Tabela 3 Corrigido o intervalo de tempo para incubação prolongada de Corynebacterium spp. Tabela Adicionado Aerococcus sanguinicola e A.urinae e Kingella kingae Esclarecimento sobre leitura dos halos e uso de leitores automatizados de halos. Informação adicionada sobre Guia de Leitura do BrCAST
  • 197.
    BrCAST - Métodode Disco-Difusão para Teste de Sensibilidade aos Antimicrobianos Versão 6.0 (Janeiro de 2017) http://brcast.org.br/ Esclarecimento sobre a leitura dos halos quando existe duplo halo ou colônias isoladas dentro dos halos Esclarecimento da leitura dos halos de sulfametoxazol-trimetoprim para Stenotrophomonas maltophilia, Instrução de leitura para Enterobacteriaceae com ampicilina-sulbactam e amoxicilina-ácido clavulânico adicionada Instrução de leitura para benzilpenicilina atualizada Esclarecimento sobre como diferenciar hemólise de crescimento na leitura dos halos de inibição. Instrução para leitura dos halos de fosfomicina para Escherichia coli adicionada. Informação adicionada para o controle do componente do inibidor da combinação dos discos de β-lactâmico com inibidor de β-lactamase, Informação adicionada sobre repique das cepas controle Informação adicionada sobre como utilizar os alvos e intervalos do EUCAST CQ Mudança na recomendação da frequência do controle de qualidade Tabela 4 Informação adicionada sobre as características da Escherichia coli ATCC 35218 Tabela 4 Klebsiella pneumoniae ATCC 700603 adicionada Tabela 4 Haemophilus influenzae NCTC 8468 removido Tabela 5 Características para Haemophilus influenzae ATCC 49766 reformuladas
  • 198.
    BrCAST - Métodode Disco-Difusão para Teste de Sensibilidade aos Antimicrobianos Versão 6.0 (Janeiro de 2017) http://brcast.org.br/ Abreviaturas e terminologia Abreviaturas e terminologia ATCC American Type Culture Collection http://www.atcc.org CCUG Culture Collection Universtity of Göteborg http://www.ccug.se CECT Colección Española de Cultivos Tipo http://www.cect.org CIP Collection de Institute Pasteur http://www.cabri.org/CABRI/srs-doc/cip_bact.info.html DSM Culturas bacteriana do “Deutsche Stammsammlung für Mikroorganismen und Zellkulturen (DSMZ)” agora com número DSM http://www.dsmz.de/ ESBL β-lactamase de espectro estendido EUCAST European Committee on Antimicrobial Susceptibility Testing http://www.eucast.org MH Ágar Müeller-Hinton MH-F Ágar Müeller-Hinton - para microrganismos fastidiosos (MH suplementado) MRSA Staphylococcus aureus resistente à oxacilina (meticilina) [com gene mecA ou mecC] NCTC National Collection of Type Cultures http://www.hpacultures.org.uk ß-NAD β-nicotinamida-adenina-dinucleotídio Salina Solução de NaCl a 0,85% em água (8,5g/L)
  • 199.
    BrCAST - Métodode Disco-Difusão para Teste de Sensibilidade aos Antimicrobianos Versão 6.0 (Janeiro de 2017) http://brcast.org.br/ . Introdução O método de disco-difusão é uma das abordagens mais antigas para realização de testes de sensibilidade aos antimicrobianos e permanece como um dos mais amplamente utilizados na rotina dos laboratórios clínicos. É adequado para testar a maioria dos patógenos bacterianos, incluindo as bactérias fastidiosas mais comuns, é versátil em relação a gama de agentes antimicrobianos que podem ser testados e não requer equipamento especial. Da mesma forma que várias outras técnicas de disco-difusão, o método sugerido pelo EUCAST é padronizado e baseado nos princípios definidos no relatório do “International Collaborative Study of Antimicrobial Susceptibility Testing” de 1972, e a experiência dos grupos de especialistas em todo o mundo. Os pontos de corte dos halos de inibição no método BrCAST-EUCAST são calibrados para os pontos de corte europeus harmonizados, que estão publicados pelo BrCAST-EUCAST e são gratuitamente disponíveis no site do EUCAST (http://www.eucast.org). A versão dessas tabelas em Português está disponível no site do BrCAST (www.brcast.org.br). Assim como todos os métodos, as técnicas descritas devem ser seguidas sem modificações com objetivo de gerar resultados confiáveis. Textos incluídos pelo BrCAST estão marcados em verde.
  • 200.
    BrCAST - Métodode Disco-Difusão para Teste de Sensibilidade aos Antimicrobianos Versão 6.0 (Janeiro de 2017) http://brcast.org.br/ Preparação e armazenamento de meios 2 1 Preparar o ágar Müeller Hinton (MH) de acordo com as instruções do fabricante, com suplementação para microrganismos fastidiosos como indicado na Tabela 1. A preparação e adição de suplementos estão descritas em detalhes no site http://www.eucast.org. A versão desses documentos em Português está disponível no site do BrCAST (http://brcast.org.br). 2 2 O meio deve ter uma espessura de 4,0 ± 0,5 mm (aproximadamente 25 mL em uma placa circular de 90 mm de diâmetro; 31 mL em uma placa circular de 100 mm de diâmetro; 71 mL em uma placa circular de 150 mm de diâmetro; 40 mL em uma placa quadrada de 100 mm). 2 A superfície do ágar deve estar seca antes do uso. Nenhuma gota de água deve estar visível na superfície do ágar ou no interior da tampa . Se necessário, seque as placas a 20-25°C overnight, ou a 35 °C, com a tampa removida por 15 minutos. Não secar as placas excessivamente. 2 Armazenar as placas preparadas no laboratório a -8°C. 2 Para placas preparadas no laboratório a secagem, condições de estocagem e estabilidade devem ser determinadas como parte do programa de garantia da qualidade do laboratório. 2.6 Placas preparadas comercialmente devem ser estocadas de acordo com o recomendado pelo fabricante e utilizadas dentro do prazo de validade. 2 Para placas (preparadas no laboratório ou comercialmente), estocadas em sacos plásticos ou em recipientes selados, pode ser necessária a secagem antes do uso (ver seção 2. . Isto é necessário para impedir o excesso de umidade que pode resultar em halos com bordas distorcidas e/ou névoa no interior dos halos.
  • 201.
    BrCAST - Métodode Disco-Difusão para Teste de Sensibilidade aos Antimicrobianos Versão 6.0 (Janeiro de 2017) http://brcast.org.br/ Tabela 1: Meios para realização do teste de sensibilidade aos antimicrobianos Microrganismo Meio Enterobacterales MH ágar Pseudomonas spp. MH ágar Stenotrophomonas maltophilia MH ágar Acinetobacter spp. MH ágar Staphylococcus spp. MH ágar Enterococcus spp MH ágar Streptococcus grupos A, B, C e G MH-F ágar 1 Streptococcus pneumoniae MH-F ágar 1 Streptococcus grupo viridans MH-F ágar 1 Haemophilus influenzae MH-F ágar 1 Moraxella catarrhalis MH-F ágar 1 Listeria monocytogenes MH-F ágar 1 Pasteurella multocida MH-F ágar 1 Campylobacter jejuni e coli MH-F ágar 1 Corynebacterium spp. MH-F ágar 1 Aerococcus sanguinicola e urinae MH-F ágar 1 Kingella kingae MH-F ágar 1 Outros fastidiosos Pendente 1 MH-F = 5% de sangue desfibrinado de cavalo + 20mg/L β-NAD
  • 202.
    BrCAST - Métodode Disco-Difusão para Teste de Sensibilidade aos Antimicrobianos Versão 6.0 (Janeiro de 2017) http://brcast.org.br/ Preparação do inóculo 1 Usar o método de suspensão direta das colônias em salina para fazer a suspensão de microrganismos de modo a obter densidade equivalente ao padrão de turbidez 0,5 da escala de McFarland (Tabela 2), que corresponde aproximadamente a 1-2 x10 UFC/mL para Escherichia coli. O método da suspensão direta das colônias é apropriado para todos os microrganismos, incluindo os microrganismos fastidiosos da Tabela 1. 2 Preparar a suspensão a partir de um crescimento overnight em um meio não seletivo. Usar várias colônias morfologicamente similares (quando possível) para evitar selecionar variantes atípicas e suspenda as colônias em salina com alça estéril ou swab de algodão. Ajustar a suspensão do inóculo de modo a obter turbidez equivalente ao padrão 0,5 da escala de McFarland adicionando salina ou mais bactérias. Um inóculo mais denso pode resultar em halos menores e inóculo com menor densidade terá um efeito oposto. 1 É recomendado que um dispositivo fotométrico seja utilizado para ajustar a densidade da suspensão. O fotômetro deve ser calibrado com o padrão 0,5 da escala de McFarland, de acordo com as instruções do fabricante. 2 Alternativamente, a densidade da suspensão pode ser comparada visualmente com a turbidez do padrão 0,5 da escala de McFarland. Para auxiliar a comparação, comparar o teste e padrão contra um fundo branco com linhas pretas. As suspensões de Streptococcus pneumoniae devem ser preferencialmente preparadas a partir de cultura obtida em de ágar sangue de modo a obter densidade equivalente ao padrão 0,5 da escala de McFarland. Quando a suspensão for preparada a partir de cultura em ágar chocolate, a turbidez do inóculo deve ser equivalente ao padrão 1.0 da escala de McFarland.
  • 203.
    BrCAST - Métodode Disco-Difusão para Teste de Sensibilidade aos Antimicrobianos Versão 6.0 (Janeiro de 2017) http://brcast.org.br/ A suspensão deve ser utilizada de preferência em até 15 min e obrigatoriamente até 60 min após a preparação. Parte da regra dos 15-15-15 minutos: use a suspensão do inóculo dentro de 15 minutos da preparação, aplique os discos dentro de 15 minutos da semeadura e incube as placas dentro de 15 minutos da aplicação do discos.
  • 204.
    BrCAST - Métodode Disco-Difusão para Teste de Sensibilidade aos Antimicrobianos Versão 6.0 (Janeiro de 2017) http://brcast.org.br/ Tabela 2 Preparação do padrão de turbidez 0,5 de McFarland 1 Adicionar 0,5 mL de solução de BaCl2 0,048 mol/L (1,175% w/v BaCl2·2H20) a 99,5 mL de solução 0,18 mol/L (0,36 N)de H2S0 (1% v/v) e misturar bem. 2 Conferir a densidade óptica da suspensão em um espectrofotômetro com trajeto de luz de 1 cm e cubetas apropriadas. A absorbância em 625 nm deve estar na faixa de 0,08 a 0,13. Distribuir a suspensão em tubos de mesmo tamanho que aqueles utilizados para testar o ajuste do inóculo. Vedar os tubos. Armazenar os padrões vedados no escuro, em temperatura ambiente. Agitar os padrões vigorosamente em um misturador vórtex imediatamente antes do uso. 6 Renove os padrões ou confera a absorbância após 6 meses de armazenamento.
  • 205.
    BrCAST - Métodode Disco-Difusão para Teste de Sensibilidade aos Antimicrobianos Versão 6.0 (Janeiro de 2017) http://brcast.org.br/ Inoculação das placas de ágar. 1 Garantir que as placas estejam em temperatura ambiente previamente à inoculação. 2 Preferencialmente utilizar a suspensão ajustada do inóculo em até 15 minutos após a preparação. A suspensão deve ser obrigatoriamente utilizada em até 60 minutos após a preparação. Mergulhar um swab de algodão estéril na suspensão 4.3.1 Para evitar a inoculação excessiva das placas de microrganismos gram-negativos, remova o excesso de líquido pressionando e girando o swab contra a parte interna do tubo acima do nível da suspensão. 4.3.2 Para bactérias gram-positivas, não pressione o swab contra a parte interna do tubo. Quando inocular várias placas com a mesma suspensão do inóculo, repita o procedimento do item 4.3 para cada placa de ágar. As placas podem ser inoculadas tanto espalhando o inóculo uniformemente em três direções como por um inoculador automatizado. Espalhar o inóculo uniformemente sobre toda a superfície assegurando que não haja falhas. 1 Para bactérias gram-positivas, tenha atenção especial a fim de garantir que não exista diferença na semeadura. 4.6 Aplicar os discos em até 15 min1 após a inoculação da placa. Se as placas inoculadas forem deixadas em temperatura ambiente por períodos prolongados de tempo antes da aplicação dos discos, os microrganismos podem começar a crescer, resultando em redução errônea do tamanho dos halos de inibição. Parte da regra dos 15-15-15 minutos: use a suspensão do inóculo dentro de 15 minutos da
  • 206.
    BrCAST - Métodode Disco-Difusão para Teste de Sensibilidade aos Antimicrobianos Versão 6.0 (Janeiro de 2017) http://brcast.org.br/ preparação, aplique os discos dentro de 15 minutos da semeadura e incube as placas dentro de 15 minutos da aplicação do discos
  • 207.
    BrCAST - Métodode Disco-Difusão para Teste de Sensibilidade aos Antimicrobianos Versão 6.0 (Janeiro de 2017) http://brcast.org.br/ Aplicação dos discos de antimicrobianos 1 O conteúdo (potência) dos discos a serem utilizados está descrito nas tabelas de pontos de corte e controle de qualidade em http://www.eucast.org. A versão desses documentos em Português está disponível no site do BrCAST (http://brcast.org.br). 2 Permitir que os discos alcancem a temperatura ambiente antes da abertura dos cartuchos ou recipientes utilizados para o armazenamento dos discos. Isto previne a condensação, que leva a rápida deterioração de alguns agentes. Aplicar os discos firmemente na superfície da placa de ágar dentro de 15 minutos da inoculação. O contato dos discos com a superfície do ágar deve ser completo. Os discos não podem ser removidos após a aplicação nas placas, uma vez que a difusão dos agentes antimicrobianos dos discos é muito rápida. O número de discos nas placas deve ser limitado para impedir sobreposição dos halos e a interferência entre os antimicrobianos. É importante que os diâmetros dos halos sejam medidos corretamente. O número máximo de discos varia de acordo com o microrganismo e a seleção dos discos. Normalmente, 6 e 12 discos são os números máximos possíveis, respectivamente, em placas circulares de 90 e 150 mm. 1 Para detecção da resistência induzível à clindamicina em estafilococos e estreptococos, os discos de eritromicina e clindamicina devem ser posicionados em uma distância de 12 a 20 mm borda a borda para os estafilococos e 12 a16 mm para estreptococos. A perda de potência dos agentes antimicrobianos contidos nos discos resulta na redução dos diâmetros dos halos e é uma fonte comum de erro. Os cuidados listados a seguir são essenciais:
  • 208.
    BrCAST - Métodode Disco-Difusão para Teste de Sensibilidade aos Antimicrobianos Versão 6.0 (Janeiro de 2017) http://brcast.org.br/ .1 Armazenar os discos, incluindo os que estão em dispensadores, em embalagens fechadas com dessecador (sílica gel) e protegidos da luz (alguns agentes como rifampicina, tigeciclina, metronidazol, cloranfenicol e fluorquinolonas, são inativados por exposição prolongada à luz). Especial atenção a refrigeradores, freezer com porta de vidro e iluminação interna! 2 Armazenar os discos em estoque de acordo com as instruções do fabricante. Alguns agentes são mais sensíveis que outros (como,por exemplo, amoxicilina-ácido clavulânico, cefaclor e carbapenens) e existem recomendações específicas dos fabricantes. Armazenar os discos em uso de acordo com as instruções do fabricante. Uma vez os recipientes abertos, os discos devem ser utilizados dentro da data de validade estabelecida pelo fabricante. Descartar os discos na data de expiração indicada na embalagem. 5.5.5 Realizar frequentemente o controle de qualidade (ver Seção 9) dos insumos em uso para garantir que os discos antimicrobianos não perderam a potência durante o armazenamento.
  • 209.
    BrCAST - Métodode Disco-Difusão para Teste de Sensibilidade aos Antimicrobianos Versão 6.0 (Janeiro de 2017) http://brcast.org.br/ Incubação das placas 6 1 Inverter as placas e assegurar que os discos não caiam na superfície do ágar. Incubar em até 15 minutos após a aplicação dos discos. Se as placas forem deixadas em temperatura ambiente após a aplicação dos discos, a pré- difusão pode resultar em halos de inibição erroneamente aumentados. 6 2 O empilhamento das placas na estufa pode alterar os resultados devido ao aquecimento desigual entre elas. A eficiência das estufas varia e dessa forma o controle de incubação, incluindo o número apropriado de placas empilhadas deve fazer parte do programa de garantia de qualidade do laboratório. 6.3 Incubar as placas de acordo com as condições apresentadas na Tabela 3. 6 1 Incubação além do limite de tempo recomendado não é permitido uma vez que resulta no crescimento dentro do halo de inibição e reporte de isolados falso-resistentes. 6 2 Para testes de sensibilidade dos glicopeptídeos com algumas cepas de Enterococcus spp. colônias resistentes não são visíveis até que as placas tenham sido incubadas por 24 horas completas. Mesmo assim, as placas podem ser examinadas depois de 16-20 horas e qualquer resistência reportada, mas placas de isolados aparentemente sensíveis devem ser reincubadas e novamente lidas com 24h. Parte da regra dos 15-15-15 minutos: use a suspensão do inóculo dentro de 15 minutos de preparação, aplique os discos dentro de 15 minutos da semeadura e incube as placas dentro de 15 minutos da aplicação do discos
  • 210.
    BrCAST - Métodode Disco-Difusão para Teste de Sensibilidade aos Antimicrobianos Versão 6.0 (Janeiro de 2017) http://brcast.org.br/ Tabela 3 - Condições de incubação para placas de teste de sensibilidade Microrganismo Condições de incubação Enterobacteriaceae 35±1°C em ar por 16-20 h Pseudomonas spp. 35±1°C em ar por 16-20 h Stenotrophomonas maltophilia 35±1°C em ar por 16-20 h Acinetobacter spp. 35±1°C em ar por 16-20 h Staphylococcus spp. 35±1°C em ar por 16-20 h Enterococcus spp. 35±1°C em ar por 16-20 h (24 h para glicopeptídeos) Streptococcus spp. grupos A, B, C e G 35±1°C em ar com 4-6% de CO2 por 16-20 h Streptococcus pneumoniae 35±1°C em ar com 4-6% de CO2 por 16-20 h Estreptococos do grupo viridans 35±1°C em ar com 4-6% de CO2 por 16-20 h Haemophilus influenzae 35±1°C em ar com 4-6% de CO2 por 16-20 h Moraxella catarrhalis 35±1°C em ar com 4-6% de CO2 por 16-20 h Listeria monocytogenes 35±1°C em ar com 4-6% de CO2 por 16-20 h Pasteurella multocida 35±1°C em ar com 4-6% de CO2 por 16-20 h Campylobacter jejuni , C. coli Ver apêndice A Corynebacterium spp. 35±1°C em ar com 4-6% de CO2 por 16-20 h Isolados com crescimento insuficiente em 16-20 h devem ser reincubados imediatamente e os halos de inibição devem ser lidos após um total de 40-44 h de incubação Aerococcus sanguinicola e urinae 35±1°C em ar com 4-6% de CO2 por 16-20 h Isolados com crescimento insuficiente em 16-20 h devem ser reincubados imediatamente e os halos de inibição devem ser lidos após um total de 40-44 h de incubação Kingella kingae 35±1°C em ar com 4-6% de CO2 por 16-20 h Isolados com crescimento insuficiente em 16-20 h devem ser reincubados imediatamente e os halos de inibição devem ser lidos após um total de 40-44 h de incubação Outros microrganismos fastidiosos Pendente
  • 211.
    BrCAST - Métodode Disco-Difusão para Teste de Sensibilidade aos Antimicrobianos Versão 6.0 (Janeiro de 2017) http://brcast.org.br/ Observação das placas após incubação 1 Um inóculo correto e placas satisfatoriamente semeadas devem resultar em crescimento confluente. 1 1 Quando forem observadas colônias isoladas, o inóculo é muito escasso e o teste deve ser repetido. 2 O crescimento deve ser uniformemente distribuído na superfície do ágar para obter halos de inibição uniformemente circulares (não distorcidos) Verificar se os diâmetros dos halos de inibição das cepas de controle de qualidade estão dentro dos limites aceitáveis. (http://www.eucast.org). A versão desses documentos em Português está disponível no site do BrCAST (brcast.org.br).
  • 212.
    BrCAST - Métodode Disco-Difusão para Teste de Sensibilidade aos Antimicrobianos Versão 6.0 (Janeiro de 2017) http://brcast.org.br/ . Aferição e interpretação dos diâmetros dos halos de inibição 1 Para todos os antimicrobianos (exceto para aqueles citados na seção , as bordas dos halos devem ser lidas no ponto de completa inibição do crescimento, visto a olho nu, com a placa posicionada a cerca de 30 cm dos olhos. 2 Ler as placas de ágar Müeller-Hinton não suplementadas pelo seu fundo, com luz refletida contra um fundo escuro. Ler as placas de ágar Müeller-Hinton suplementadas com a tampa removida, observando a superfície contendo os discos, sob luz refletida. Não utilizar luz transmitida (placas observadas contra a luz) ou lupa, exceto quando indicado (veja seção 8.9). Aferir os diâmetros dos halos de inibição em milímetros com uma régua calibrada ou paquímetro. 1 Se um leitor automatizado for utilizado, ele deve ser calibrado com a leitura manual. 8.6 Interpretar os diâmetros dos halos de acordo com valores de corte contidos nas tabelas em http://www.eucast.org. A versão desses documentos em Português está disponível no site do BrCAST (http://brcast.org.br). Se um padrão modelo for utilizado para interpretar os diâmetros dos halos, a placa deve ser colocada sobre o padrão e os halos interpretados de acordo com os valores de corte do EUCAST contidos no modelo. Certifique-se de que os valores de corte utilizados estão de acordo com a última versão da tabela dos valores de corte do EUCAST. Um programa para preparação dos modelos padrões está disponível livremente no: http://bsac.org.uk/susceptibility/template- program.
  • 213.
    BrCAST - Métodode Disco-Difusão para Teste de Sensibilidade aos Antimicrobianos Versão 6.0 (Janeiro de 2017) http://brcast.org.br/ Vários exemplos de figuras mostrando leitura dos diâmetros dos halos de inibição estão disponíveis no Guia de leitura em http://www.eucast.org. Estes documentos também incluem instruções de leitura para combinações específicas de microrganismo-agente antimicrobiano. Instruções específicas de leitura: 1 Em caso de halo duplo ou colônias isoladas dentro do halo de inibição verificar a pureza e repetir o teste, se necessário. Se a cultura estiver pura, as colônias dentro do halo devem ser consideradas. 2 Para sulfametoxazol-trimetoprim ou trimetoprim, pode aparecer um crescimento reduzido dentro do halo de inibição até o disco devido à presença de antagonistas no meio. Este crescimento deve ser ignorado e o diâmetro do halo aferido na borda mais nítida do halo. Para Stenotrophomonas maltophilia, ao testar sulfametoxazol- trimetoprim, o crescimento no interior do halo de inibição pode ser substancial. Tal crescimento deve ser ignorado e o halo de inibição deve ser lido onde a borda do halo possa ser vista. Ler como ausência de halo somente se houver crescimento até o disco e se não houver qualquer halo de inibição. Observar as figuras que estão disponíveis na Tabela de Pontos de Corte Clínicos no site fo BrCAST (brcast.org.br). Para Enterobacteriaceae, ao testar ampicilina, ampicilina- sulbactam e amoxicilina-ácido clavulânico ignorar o crescimento que possa aparecer como uma fina película produzida no interior do halo em alguns lotes de ágar Müeller-Hinton. Para E. coli, ao testar mecilinam, desprezar colônias isoladas dentro do halo de inibição. Para Proteus spp., ignore o véu (swarming) e ler a inibição do
  • 214.
    BrCAST - Métodode Disco-Difusão para Teste de Sensibilidade aos Antimicrobianos Versão 6.0 (Janeiro de 2017) http://brcast.org.br/ crescimento. 6 Para Staphylococcus aureus, ao testar benzilpenicilina, examinar a borda do halo com a placa voltada contra a luz (luz transmitida). Isolados com valores de diâmetro do halo de inibição ≥ aos valores de corte de sensibilidade, mas com bordas bem definidas, devem ser reportados como resistentes à benzilpenicilina. Observar as figuras que estão disponíveis na Tabela de Pontos de Corte Clínicos. . Quando a cefoxitina for utilizada para detecção da resistência à oxacilina (meticilina) em Staphylococcus aureus, aferir o halo evidente e examinar os halos de inibição cuidadosamente contra a luz para detectar colônias dentro do halo. Isto pode ser devido a presença de mais de um microrganismo ou expressão de resistência heterogênea à oxacilina (meticilina). Ler os testes de sensibilidade de linezolida a partir do fundo da placa, com a placa contra a luz (luz transmitida). Para Enterococcus, ao testar vancomicina, inspecionar as bordas do halo de inibição cuidadosamente com a placa contra a luz (luz transmitida). Bordas irregulares e colônias dentro do halo de inibição indicam resistência à vancomicina e devem ser melhor investigadas Isolados não podem ser reportados sensíveis antes de 24 horas de incubação. Ver recomendações na Tabela de Pontos de Corte Clínicos. .10 Para estreptococos hemolíticos, ler a inibição de crescimento e não da hemólise. A β-Hemólise é usualmente livre de crescimento, enquanto α-hemólise e o crescimento geralmente coincidem. Inclinar a placa para frente e para trás para melhor diferenciar hemólise de crescimento.
  • 215.
    BrCAST - Métodode Disco-Difusão para Teste de Sensibilidade aos Antimicrobianos Versão 6.0 (Janeiro de 2017) http://brcast.org.br/ 11 Para Escherichia coli e fosfomicina, não considere colônias isoladas dentro do halo de inibição e efetuar a leitura na borda externa do halo.
  • 216.
    BrCAST - Métodode Disco-Difusão para Teste de Sensibilidade aos Antimicrobianos Versão 6.0 (Janeiro de 2017) http://brcast.org.br/ . Controle de Qualidade 9.1 Utilizar as cepas controle especificadas (Tabela 4) para monitorar o desempenho do teste. As principais cepas controle recomendadas são cepas tipicamente sensíveis, mas cepas resistentes (isolados-desafio) também podem ser utilizadas para confirmar que um método é capaz de detectar resistência mediada por mecanismos de resistência conhecidos (Tabela 5). Estas cepas podem ser adquiridas de coleções de cultura ou através de fontes comerciais (Atenção: as cepas controle devem ser adquiridas preferencialmente até a 4º geração). 1 1 Para o controle dos componentes inibidores nos discos combinados de ẞ-lactâmico-inibidor de ẞ-lactamase, é recomendado utilizar cepas produtoras de ẞ-lactamases específicas (Tabela 4). Estas devem fazer parte da rotina do controle de qualidade. O componente ativo é avaliado com uma cepa sensível do Controle de Qualidade. 2 A ativação das cepas controles deve seguir as recomendações do fornecedor, realizar o maior número possível de tubos contendo a cepa controle (Sugestão: preparar 15 criotubos, suficientes para utilizar 1 tubo por mês e os demais para serem utilizados nos anos subsequentes durante o período de validade estabelecido pelo laboratório e conforme a geração e temperatura de armazenamento). Sugere-se armazenar as cepas controle em condições que mantenham a viabilidade e característica dos microrganismos. O armazenamento em miçangas com caldo glicerol a - 0°C (caldo TSB com glicerol a 10 a 1 , solução de leite desnatado 10-2 ou equivalente comercial) é um método conveniente. Microrganismos não fastidiosos podem ser armazenados a temperatura inferior ou igual a -20°C. Pelo menos dois tubos de cada cepa controle devem ser armazenados, um para uso e outro como reserva para reposição do tubo em uso quando necessário. Mensalmente (ou semanalmente) retirar um criotubo do freezer e
  • 217.
    BrCAST - Métodode Disco-Difusão para Teste de Sensibilidade aos Antimicrobianos Versão 6.0 (Janeiro de 2017) http://brcast.org.br/ subcultivar uma miçanga ou alíquota em meio não seletivo apropriado e verificar a pureza. Desta cultura pura, preparar um subcultivo a cada dia de teste. Para microrganismos fastidiosos que não sobrevivem na placa por 5 a 6 dias, se necessário, subcultivar com maior frequência e, por não mais do que uma semana. Quando subcultivar uma cepa controle, utilize várias colônias para evitar a seleção de mutantes. Os intervalos aceitáveis para as cepas controle são listados no http://www.eucast.org. A versão desses documentos em Português está disponível no site do BrCAST (http://brcast.org.br). 1 Nas tabelas de controle de qualidade do BrCAST-EUCAST, são listados tanto o intervalo esperado quanto o valor do alvo. A repetição dos testes das cepas de controle de qualidade do BrCAST-EUCAST devem fornecer valores de halos de inibição randomicamente distribuídos dentro do intervalo recomendado Se o número de testes for ≥ 1 , a média dos halos de inibição deve ser próxima do valor alvo (±1 mm). 9.5 Utilizar as cepas recomendadas para o controle de qualidade de rotina para monitorar o desempenho dos testes. Os testes controle devem ser realizados e verificados semanalmente para os antibióticos que fazem parte dos testes de rotina. A cada dia que os testes forem realizados, além de verificar o intervalo daquele resultado, verificar os resultados de pelo menos 20 testes consecutivos pregressos. Verificar os resultados quanto à ocorrência de tendência ou diâmetros de halos consistentemente acima ou abaixo do alvo. As cepas de controle de qualidade devem mostrar desempenho satisfatório (não mais que 1 em 20 testes fora dos limites estabelecidos). Caso 2 ou mais testes estejam fora do intervalo aceitável, é necessária uma investigação. Para facilitar a análise dos resultados de CQ recomendamos o uso do gráfico de
  • 218.
    BrCAST - Métodode Disco-Difusão para Teste de Sensibilidade aos Antimicrobianos Versão 6.0 (Janeiro de 2017) http://brcast.org.br/ Levey-Jennings disponível no site www.brcast.org.br. 6 Em adição com o CQ de rotina, testar cada novo lote ou remessa de ágar Müeller-Hinton ou de discos de sensibilidade, para garantir que os halos estejam dentro dos limites aceitáveis. Aminoglicosídeos podem evidenciar variação inaceitável de cátions divalentes no meio; tigeciclina pode evidenciar variação no magnésio; sulfametoxazol-trimetoprim apresentará problemas com o conteúdo de timina e eritromicina pode evidenciar pH fora do aceitável. Ao analisar problemas de controle de qualidade deve-se considerar que problemas com o ágar Müeller-Hinton usualmente afetam toda uma classe de antimicrobianos, enquanto problemas com a potência do disco restringem-se ao disco em questão. Abaixo se encontram alguns pontos a serem observados caso o controle de qualidade não apresente resultados esperados. Ao iniciar um programa de CQ, ou sempre que houver mudança na potência do disco, formulação ou fabricante de insumos (meios de cultura e/ou discos), mudança no preparo do inóculo ou mesmo adição de um novo antimicrobiano, deve-se realizar a verificação/validação deste procedimento. .1 A verificação/validação requer a realização de 20 testes com as mesmas combinações de cada uma das cepas controle e discos de antimicrobianos. Os testes podem ser realizados em cinco replicatas, ou seja, devem ser preparadas cinco suspensões distintas de cada cepa controle, sendo que todo o procedimento deve ser realizado de forma independente, durante quatro dias consecutivos. A análise dos resultados deve ser realizada conforme os critérios a seguir (ver Figura 1): a. Desempenho satisfatório: não mais que 1 em 20 testes fora dos limites aceitáveis para que se passe para o CQ semanal.
  • 219.
    BrCAST - Métodode Disco-Difusão para Teste de Sensibilidade aos Antimicrobianos Versão 6.0 (Janeiro de 2017) http://brcast.org.br/ b. Caso 2 testes estejam fora do intervalo aceitável, recomenda-se a realização de 10 testes adicionais (5 replicatas em 2 dias consecutivos), nos quais todos os resultados devem estar dentro do intervalo aceitável para que se passe ao CQ semanal. c. Caso 1 ou mais resultados dentre os 10 testes adicionais ou 3 ou mais resultados dentre os 20 testes iniciais apresentarem-se fora do intervalo aceitável, uma investigação deve ser iniciada. 2 Passos básicos para investigação de erros no método de disco- difusão: Nota: Sugestões de investigação podem ser encontradas no documento Anexo 1. a. Verificar se foi utilizada a cepa controle correta e sua pureza. Verificar se a cepa controle foi armazenada nas condições e tempos recomendados. b. Verificar a densidade do inóculo, principalmente quando preparado manualmente. Recomenda-se utilizar sempre uma escala padrão ou utilizar um turbidímetro para preparar os testes. Inóculos com turbidez acima do ideal resultam em diâmetros de halos de inibição abaixo dos limites estabelecidos, assim como inóculos com turbidez abaixo do ideal resultam em diâmetros de halos de inibição acima dos limites estabelecidos. Deve-se suspeitar deste problema caso vários antimicrobianos apresentem o mesmo problema. c. Com relação ao ágar Müeller-Hinton, verificar: Nota: Em caso de meios de cultura adquiridos comercialmente, comunicar o fabricante.
  • 220.
    BrCAST - Métodode Disco-Difusão para Teste de Sensibilidade aos Antimicrobianos Versão 6.0 (Janeiro de 2017) http://brcast.org.br/  Espessura da placa de ágar Müeller-Hinton, utilizando bisturi ou estilete. Realizar a secção transversal no centro da placa. Aferir a espessura do ágar, que deve ser de 4,0 ± 0,5 mm. Espessuras menores do que 3,5 mm resultam em diâmetros de halos de inibição acima dos limites estabelecidos, assim como espessuras acima de 4,5 mm resultam em diâmetros de halos de inibição abaixo dos limites estabelecidos. Deve-se suspeitar deste problema caso vários antimicrobianos apresentem o mesmo erro.  pH do ágar Müeller-Hinton. Utilizar eletrodo de superfície e aferir o pH que deve ser de 7,3 ± 0,2. Valores abaixo do limite estabelecido resultam em diâmetros de halos de inibição diminuídos para aminoglicosídeos (amicacina, gentamicina, tobramicina), clindamicina e macrolídeos (eritromicina e claritromicina), mas diâmetros de halo aumentados para tetraciclina. Valores de pH acima do limite estabelecido tem efeito inverso àquele observado para a redução do pH. Deve- se suspeitar deste problema caso dois ou mais antimicrobianos da mesma classe apresentem o mesmo problema.  Halos reduzidos para combinações de β-lactâmicos- inibidores com β-lactamases frente à cepa E. coli ATCC 35218 ou K. pneumoniae ATCC 700603 indicam degradação do componente inibidor e usualmente resultam de acúmulo de umidade resultante de acondicionamento sem sílica ou abertura do recipiente sem que tenham atingido a temperatura ambiente. Halos aumentados podem indicar acondicionamento das cepas em temperatura de armazenamento acima da recomendada. Quando houver mudança nos critérios para interpretação das
  • 221.
    BrCAST - Métodode Disco-Difusão para Teste de Sensibilidade aos Antimicrobianos Versão 6.0 (Janeiro de 2017) http://brcast.org.br/ categorias, não há necessidade de realizar nova verificação/validação. Figura 1. Fluxograma para validação do teste de sensibilidade. 20 testes (5 replicatas / 4 dias) 0 ou 1 teste fora do intervalo aceitável Prosseguir para o CQ semanal 2 testes fora do intervalo aceitável 10 testes adicionais (5 replicatas / 2 dias) Nenhum teste fora do intervalo aceitável Prosseguir para o CQ semanal 1 ou mais teste fora do intervalo aceitável Iniciar investigação 3 ou mais testes fora do intervalo aceitável Iniciar investigação
  • 222.
    BrCAST - Métodode Disco-Difusão para Teste de Sensibilidade aos Antimicrobianos Versão 6.0 (Janeiro de 2017) http://brcast.org.br/ Tabela 4: Cepas para controle de qualidade de rotina Microrganismo Cepa Características Escherichia coli ATCC 25922 Sensível, selvagem NCTC 12241 CIP 7624 DSM 1103 CCUG 17620 CECT 434 Escherichia coli ATCC 35218 ß-lactamase TEM-1 , resistente à ampicilina NCTC 11954 (para controle do componente inibidor de discos combinados de β- lactâmico-inibidor de β-lactamase) CIP 102181 DSM 5564 CCUG 30600 CECT 943 Klebsiella pneumoniae ATCC 700603 Produtor de ß-lactamase (SHV- NCTC 13368 (para controle do componente inibidor de discos combinados de β- lactâmico-inibidor de β-lactamase) CCUG 45421 CECT 7787 Pseudomonas aeruginosa ATCC 27853 Sensível, selvagem NCTC 12934 CIP 76110 DSM 1117 CCUG 17619 CECT 108 Staphylococcus aureus ATCC 29213 Fraco produtor de ß-lactamase NCTC 12973 CIP 103429 DSM 2569 CCUG 15915 CECT 794 Enterococcus faecalis ATCC 29212 Sensível, selvagem NCTC 12697 CIP 103214 DSM 2570 CCUG 9997 CECT 795 Streptococcus pneumoniae ATCC 49619 Sensibilidade reduzida à benzilpeniclina NCTC 12977 CIP 104340 DSM 11967 CCUG 33638 Haemophilus influenzae ATCC 49766 Sensível, selvagem NCTC 12975 CIP 103570 DSM 11970 CCUG 29539 Campylobacter jejuni ATCC 33560 Sensível, selvagem NCTC 11351 Ver Apêndice A para condições de teste CIP 702 DSM 4688, CCUG 11284
  • 223.
    BrCAST - Métodode Disco-Difusão para Teste de Sensibilidade aos Antimicrobianos Versão 6.0 (Janeiro de 2017) http://brcast.org.br/
  • 224.
    BrCAST - Métodode Disco-Difusão para Teste de Sensibilidade aos Antimicrobianos Versão 6.0 (Janeiro de 2017) http://brcast.org.br/ Tabela 5:Cepas controle para detecção de mecanismos específicos de resistência (CQ estendido) Microrganismo Cepa Características Klebsiella pneumoniae ATCC 700603 Produtora de ESBL (SHV-1 NCTC 13368 CCUG 45421 CECT Staphylococcus aureus NCTC 12493 mecA positivo, MRSA heterorresistente Enterococcus faecalis ATCC 51299 Resistência de alto nível os aminoglicosídeos (HLAR) e vancomicina resistente (vanB positivo) NCTC 13379 CIP 104676 DSM 12956 CCUG 34289 Haemophilus influenzae ATCC 49247 ß-lactamase negativo, ampicilina resistente (BLNAR) NCTC 12699 CIP 104604 DSM 9999 CCUG 26214
  • 225.
    BrCAST - Métodode Disco-Difusão para Teste de Sensibilidade aos Antimicrobianos Versão 6.0 (Janeiro de 2017) http://brcast.org.br/ Apêndice A Teste de disco-difusão para Campylobacter jejuni e C. coli A metodologia a seguir (Tabela A1) deve ser seguida quando for realizado teste de disco difusão para Campylobacter jejuni e C. coli de acordo com o EUCAST. Tabela A1: Metodologia de disco-difusão para Campylobacter jejuni e C. coli Meio Ágar Müeller-Hinton com 5% de sangue desfibrinado de cavalo e 20 mg/L β-NAD (MH-F) Para reduzir o véu (swarming), as placas de MH-F devem ser submetidas a secagem antes da inoculação (20-25°C overnight ou a 35°C, com a tampa removida por 15 min). Inóculo 0,5 McFarland Incubação Ambiente micro aeróbio 41±1°C 24 horas A incubação deve resultar em crescimento confluente. Alguns isolados de C. coli podem não ter crescimento suficiente depois de 24 h Incubação. Esses isolados devem ser reincubados imediatamente e as halos devem ser lidos depois de um total de 40-48 h de incubação. A temperatura de incubação de 41±1°C foi escolhida para criar condições favoráveis de incubação para o crescimento de Campylobacter spp. Leitura As instruções de leitura do EUCAST devem ser utilizadas: Leia as placas de MH-F com a tampa removida e luz refletida. As bordas dos halos devem ser lidas no ponto de completa inibição, a olho nu, com a placa posicionada a cerca de 30 cm dos olhos. Controle de Qualidade Os halos de inibição de Campylobacter jejuni ATCC 33560 devem ser dentro dos limites definidos (http://www.eucast.org) e www.brcast.org.br
  • 226.
    BrCAST - Métodode Disco-Difusão para Teste de Sensibilidade aos Antimicrobianos Versão 6.0 (Janeiro de 2017) http://brcast.org.br/ ANEXO 1 Controle de qualidade disco-difusão – sugestões para investigação: Realizar 20 testes consecutivos (4 quintuplicatas), sempre que houver: -Mudança de metodologia - Mudança de método de leitura para preparo do inóculo de visual para fotométrico ou vice-versa -Conversão de leitura manual para automatizada - Novo antibiótico ou novo painel com concentração diferente das drogas Caso dois ou mais resultados estejam fora do intervalo (combinação droga X microrganismo) considerar: - Contaminação - Teste com a cepa incorreta - Disco incorreto - Condições da prova incorretas (tempo de incubação, atmosfera) - Inóculo Conduta: Realizar mais 10 testes (2 quintuplicatas). Se estiver OK, voltar à rotina semanal Se não estiver OK (erros não óbvios): seguir a investigação Lista de Verificação p/ Ações Corretivas: - Zonas de inibição ou CIM foram medidas corretamente? - Escala de McFarland homogênea e dentro da validade? - Suspensão do inóculo foi preparada adequadamente? - Os materiais estão armazenados adequadamente? - Os materiais estão dentro da data de validade? - O meio Müeller Hinton apresenta espessura e condições satisfatórias no CQ da origem? - A temperatura da estufa e atmosfera estão adequadas?
  • 227.
    BrCAST - Métodode Disco-Difusão para Teste de Sensibilidade aos Antimicrobianos Versão 6.0 (Janeiro de 2017) http://brcast.org.br/ - O técnico é qualificado? Erros Sistemáticos (Problemas no Sistema de Controle de Qualidade) - Os resultados podem estar fora do intervalo por um problema na metodologia - Podem envolver múltiplos componentes do sistema - Podem levar a resultados errôneos de pacientes se não corrigidos - As ações corretivas devem ser realizadas imediatamente e documentadas Exemplos de erros sistemáticos - Um único antibiótico está fora do intervalo em mais de uma cepa do CQ - Um único antibiótico está fora do intervalo por mais de um dia de prova - Vários antibióticos fora do intervalo (excluindo-se possível troca de cepa) Ações corretivas / Resultados de Pacientes: - Revisar retrospectivamente os resultados dos testes de sensibilidade dos pacientes desde a última vez que se obteve resultados de CQ aceitáveis. - Realizar novamente as provas dos isolados dos pacientes, se necessário e possível. - Se necessário, enviar os resultados corrigidos e avisar os médicos se os resultados forem clinicamente relevantes.
  • 228.
    1 Guia de leitura Métodode disco-difusão para teste de sensibilidade aos antimicrobianos do EUCAST Versão 4.0 Junho 2014 Versão para Português válida a partir de 01/03/2016
  • 229.
    2 Alterações na apresentaçãodo guia de leitura do EUCAST Versão Alterações Versão 4.0 Junho 2014 • Fora adi io adas i for ações so re ordas difusas/mal definidas de halo de inibição para os estreptococos, slide 11. • Melhoria as figuras de S. maltophilia com sulfametoxazol-trimetoprim, S.aureus com benzilpenicilina e enterococo com vancomicina, slides 17, 20 e 21. • I struções espe ífi as para a dete ção de resistê ia i duzível à clindamicina para estafilococos e estreptococos, slides 22-23. Versão 3.0 Abril 2013 • Es lare i e tos so re a leitura de halos de inibição com bordas difusas /mal definidas, slide 11. • Staphylococci alterado para S. aureus, slides 15 e 21. • Adi io ada i for ação para S. maltophilia e sulfametoxazol-trimetoprim, slide17. • Exe plo adi io al para e tero o o e va o i i a, slide . Versão 2.0 Maio 2012 • Es lare i e tos so re leitura, slides , 9, e . • Exe plos adi io ais de colônias dentro do halo de inibição, slide 6. • Exe plo adi io al de halo de inibição com bordas difusas / mal definidas para estafilococos, slide 10. • Exe plo o β-hemólise, slide 13. • I struções espe ífi as para S. maltophilia, slide17. • I struções espe ífi as para E. coli e mecilinam, slide 19. • Exe plo adi io al para e tero o o e va o i i a, slide . • I struções espe ífi as para estafilo o os e e zilpe i ili a, slide . Versão 1.1 Maio 2010 • Es lare i e tos a respeito de Enterobacteriaceae e ampicilina nos slides 3 e 17. Versão 1.0 Abril 2010 • Aprese tação do guia de leitura EUCAST pu li ada pela pri eira vez a pági a eletrônica do EUCAST
  • 230.
    3 Leitura dos halosde inibição • As instruções para a leitura dos halos de inibição listadas a seguir fazem parte do método de disco- difusão do EUCAST. • As bordas dos halos de inibição devem ser lidas no ponto de inibição completa do crescimento bacteriano, avaliada a olho nu, com a placa posicionada a cerca de 30 cm dos olhos(para exceções e instruções de leitura específicas, ver slides 15-23). • Aferir o diâmetro do halo com régua, paquímetro ou um leitor automatizado de halos de inibição.
  • 231.
    4 Leitura dos halos •Fazer a leitura na parte posterior (fundo) das placas de MH, contra fundo escuro, sob luz refletida. • Fazer a leitura da placa de MH-F sem tampa, e observando a superfície que contém os discos, sob luz refletida.
  • 232.
    5 Colônias dentro dohalo de inibição • Caso haja colônias dentro do halo de inibição, subcultivar as colônias, verificar a pureza do isolado e, se necessário, repetir o teste. • Colônias que não forem contaminação devem ser levadas em consideração na leitura do halo de inibição. Sem halo de inibição ou sem halo Ler o halo considerando as colônias que estão dentro do halo.
  • 233.
    6 Colônias dentro dohalo de inibição • Caso haja colônias dentro do halo de inibição, subcultivar as colônias, verificar a pureza do isolado e, se necessário, repetir o teste. • Colônias que não forem contaminação devem ser levadas em consideração na leitura do halo de inibição. E. coli com H. influenzae com ESBL mutações em PBP Sem halo de inibição Sem halo de inibição Ler o halo considerando as colônias dentro do halo.
  • 234.
    7 Swarming • Ler ainibição do crescimento ignorando o swarming (observado mais frequentemente com Proteus spp).
  • 235.
    8 Halos de inibiçãoduplos • Verificar a pureza do isolado e repetir o teste se necessário. • Colônias que não são contaminação devem ser consideradas quando for feita a leitura do halo de inibição. Leitura dos halos de inibição duplos
  • 236.
    9 Halo de inibiçãocom bordas difusas/mal definidas Enterobacteriaceae • Posicionar a placa contra um fundo escuro a cerca de 30 cm do olho nu e estimar as bordas dos halos de inibição. Não segurar a placa contra a luz (luz transmitida); não usar lente de aumento. Leitura do halo de inibição com bordas difusas / mal definidas em para Enterobacteriaceae.
  • 237.
    10 Halos de inibiçãocom bordas difusas/mal definidas Estafilococos • Posicionar a placa contra um fundo escuro a cerca de 30 cm do olho nu e estimar as bordas dos halos de inibição. Não segurar a placa contra a luz (luz transmitida); não usar lente de aumento. Leitura do halo de inibição com bordas difusas/mal definidas para estafilococos.
  • 238.
    11 Halo de inibiçãocom bordas difusas/mal definidas S. pneumoniae • As pequenas colônias que são visíveis quando a placa está posicionada a cerca de 30 cm do olho nu devem ser consideradas quando se faz a leitura do halo de inibição. • A presença de pequenas colônias próximas à borda do halo de inibição pode estar relacionada ao excesso de umidade no meio MH-F, que pode ser reduzida com a secagem das placas antes do uso. Leitura do halo de inibição com bordas difusas/mal definidas para S. pneumoniae.
  • 239.
    12 Crescimento ou hemólise? •Ler a inibição do crescimento e não a inibição da hemólise. • Às vezes é difícil distinguir entre hemólise e crescimento. – As β-hemolisinas difundem no ágar. A β- hemólise é geralmente livre de crescimento. – As α-hemolisinas não difundem no ágar. É frequente o crescimento dentro da área de α-hemólise. – As bordas dos halos de inibição acompanhadas de α- hemólise são mais comuns com S. pneumoniae e antibióticos β-lactâmicos.
  • 240.
    13 β-hemólise • Inclinar aplaca para facilitar a diferenciação entre hemólise e crescimento. A β-hemólise é usualmente livre de crescimento. S. pyogenes Streptococcus do grupo C
  • 241.
    14 α-hemólise • Inclinar aplaca para facilitar a diferenciação entre hemólise e crescimento. Usualmente há crescimento em toda a área de α-hemólise. Para alguns organismos, há uma α- hemólise adicional sem crescimento. Inclinar a placa para diferenciar hemólise de crescimento!
  • 242.
    15 Instruções para leiturasespecíficas • Trimetoprim e sulfametoxazol-trimetoprim em geral • Stenotrophomonas maltophilia e sulfametoxazol- trimetoprim • Enterobacteriaceae e ampicilina • E. coli e mecilinam • Enterococos e vancomicina • S. aureus e benzilpenicilina • Detecção de resistência induzível à clindamicina em estafilococos e estreptococos.
  • 243.
    16 Trimetoprim e sulfametoxazol-trimetoprim • Seguiras instruções para a leitura e ler o halo interno quando hopuver halos de inibição duplos. (Ver exemplos abaixo). • Ignorar névoa ou crescimento suave até o disco dentro de um halo de inibição com bordas bem definidas. E. coli SCoN Moraxella Haemophilus
  • 244.
    17 Stenotrophomonas maltophilia e sulfametoxazol-trimetoprim •Ignorar o crescimento dentro do halo de inibição, que é comum em Stenotrophomonas maltophilia e sulfametoxazol-trimetoprim. A densidade desse crescimento pode variar desde uma névoa fina até um crescimento substancial. Ignorar o crescimento e ler o halo de inibição se as bordas forem visíveis. Se o halo de inibição for ≥ 16 mm = Sensível Crescimento próximo ao disco e sem halo de inibição = Resistente Sem halo de inibição
  • 245.
    18 Enterobacteriaceae e ampicilina •Ignorar o crescimento que pode aparecer como um halo interno em alguns lotes de ágar Mueller-Hinton. Este crescimento não é visto em alguns lotes de ágar e quando o halo exterior é lido não existe nenhuma diferença entre os lotes.
  • 246.
    19 E. coli emecilinam • Ignorar colônias isoladas dentro do halo de inibição. Sem halo de inibição
  • 247.
    20 Enterococos e vancomicina •Examinar com luz transmitida (placa posicionada contra a luz). – Halos de inibição com bordas difusas/mal definidas e colônias dentro do halo indicam resistência à vancomicina. Se o halo de inibição for ≥ 12 mm e as bordas do halo forem difusas / mal definidas, o isolado deverá ser investigado mais detalhadamente. E. faecalis E. faecium não-VRE VRE
  • 248.
    21 S. aureus ebenzilpenicilina • Examinar com luz transmitida (com a placa posicionada contra a luz). – A disco-difusão é mais segura do que CIM para a detecção de isolados produtores de penicilinase, desde que o diâmetro do halo de inibição seja aferido E as bordas do halo sejam cuidadosamente inspecionadas. S. aureus com bordas de halo de inibição bem definidas e diâmetro de halo de inibição ≥ 26 mm = Resistente S. aureus com bordas de halo de inibição mal definidas/difusas E diâmetro do halo de inibição ≥ 26 mm = Sensível
  • 249.
    22 Detecção de resistênciainduzível à clindamicina em estafilococos • A resistência induzível à clindamicina pode ser detectada pelo antagonismo da atividade da clindamicina e um macrolídeo. • Posicionar os discos de eritromicina e clindamicina a uma distância de 12-20 mm (borda a borda) e observar se há antagonismo (fenômeno D). Exemplos de fenômeno D em relação a estafilococos.
  • 250.
    23 Detecção de resistênciainduzível à clindamicina em estreptococos • A resistência induzível à clindamicina pode ser detectada pelo antagonismo da atividade da clindamicina e um macrolídeo. • Posicionar os discos de eritromicina e clindamicina a uma distância de 12-16 mm (borda a borda) e observar se há antagonismo (fenômeno D). Exemplos de fenômeno D para estreptococos.
  • 251.
    24 Guia de leitura Asbordas dos halos de inibição devem ser lidas no ponto de completa inibição do crescimento, a olho nu com a placa posicionada a cerca de 30 cm dos olhos. Exceção E. coli S. aureus S. aureus Enterobacteriaceae Ciprofloxacino Linezolida Eritromicina Ampicilina Quase sempre há crescimento dentro da área de α-hemólise! S. pneumoniae Cloranfenicol S. pneumoniae Tetraciclina S. pneumoniae Cefaclor
  • 252.
    Versão para Português03/2016 Versão 1.0 – 28-05-2010 1 Lista de verificação para facilitar a implementação dos testes de sensibilidade aos antimicrobianos com os pontos de corte do EUCAST Antes de implementar os pontos de corte e métodos de teste de sensibilidade aos antimicrobianos (TSA) do EUCAST no laboratório, considerar o seguinte: 1. Comentários marcados em verde foram editados ou incluídos pelo BrCAST. 2. Seguir as recomendações do BrCAST, que é o único comitê de testes de sensibilidade aos antimicrobianos do Brasil oficialmente reconhecido pelo EUCAST. Os comitês nacionais reconhecidos pelo EUCAST são designados NAC (National Antimicrobial Susceptibility Testing Committee) e tem direito a representação no Comitê Geral do EUCAST (http://www.eucast.org/organization/general_committee/) 3. Identificar todos os métodos de TSA utilizados no laboratório (disco- difusão, sistemas automatizados, testes de gradiente e outros). Certificar-se de que todos os métodos estão prontos para implementação, com pontos de corte do EUCAST. 4. Identificar sistemas de apoio que podem ser afetados (acreditação do laboratório, manuais, sistemas de informação do laboratório e sistemas de informação obrigatória).
  • 253.
    Versão para Português03/2016 Versão 1.0 – 28-05-2010 2 5. Identificar um líder entre o pessoal de laboratório. O líder terá a responsabilidade de liderar todo o processo de implementação. 6. Entrar em contato com um laboratório que já implementou pontos de corte de sensibilidade e métodos EUCAST. Organizar uma visita técnica. 7. Identificar e informar todos parceiros (pessoal de laboratório, clientes / usuários, programas de vigilância de resistência antimicrobiana, comissões de controle de infecções e distribuidores de materiais e dispositivos para testes de sensibilidade antimicrobiana). Programar compra e estoque de insumos. 8. Certificar-se de que os "materiais para TSA" necessários estão disponíveis. Consultar a página do BrCAST para lista de fabricantes que comercializam os discos de sensibilidade com a potência necessária e o ágar MH-F (www.brcast.org.br). 9. Estabelecer um programa educacional por 3-6 meses dentro do laboratório com uma data pré-determinada para a implementação. 10.Informar aos organizadores dos programas de controle de qualidade externo. 11.Consultar quando necessário, o EUCAST (informações de contato disponíveis em www.eucast.org), ou preferencialemente o BrCAST (informações de contato disponíveis em www.brcast.org.br).
  • 254.
    Versão para Português03/2016 Versão 1.0 – 28-05-2010 3 Problemas com a implementação de sistemas de TSA automatizados 1. Consultar o NAC (BrCAST) sobre quaisquer questões nacionais. 2. Certifique-se de que o sistema pode suportar os pontos de corte do EUCAST para todos os antimicrobianos necessários. Solicitar ao fabricante para listar as discrepâncias entre as recomendações do Sistema e do EUCAST - estas podem ser diferentes em diferentes pontos no tempo e entre países e / ou instalações. 3. Observar que nas tabelas EUCAST, para alguns antimicrobianos, um "IE" ou um "-" estão no lugar de pontos de corte. Um laboratório que deseja aderir às recomendações do EUCAST não deve utilizar outros pontos de corte, a não ser quando recomendado pelo BrCAST. Problemas com a implementação do método de disco-difusão do EUCAST O método de disco-difusão do EUCAST baseia-se em um inóculo (McFarland 0,5) que permitirá crescimento confluente em ágar Mueller-Hinton, com ou sem 5% de sangue desfibrinado de cavalo e 20 mg / L de β-NAD. É importante seguir a descrição do método (disponível em www.eucast.org). O documento traduzido para o Português está disponível no link (www.brcast.org.br). Observar os seguintes detalhes importantes:  A suspensão de inóculo deve ter turbidez equivalente ao padrão 0,5 da escala de McFarland, de preferência ajustada em dispositivo de medição fotométrica. Exceção: Streptococcus pneumoniae (McFarland 0,5 para cultura obtida em placa de ágar de sangue e McFarland 1,0 para cultura obtida em placa de ágar de chocolate).  O crescimento deve estar confluente e uniformemente espalhado sobre o ágar. Um inóculo correto e uma semeadura adequada devem resultar em uma camada confluente de crescimento e halos de inibição uniformemente circulares. O inóculo deve estar uniformemente espalhado sobre a superfície do ágar para que se obtenha diâmetros de halos reprodutíveis. Para se evitar um inóculo demasiado pesado de microrganismos Gram-negativos, deve-se ter especial
  • 255.
    Versão para Português03/2016 Versão 1.0 – 28-05-2010 4 cuidado ao remover o excesso de fluido do swab, girando-o sobre seu próprio eixo e pressionando-o contra a parede interna do tubo, acima do nível da suspensão, antes da inoculação da placa.  Aderir à regra 15-15-15 minutos para obter resultados reprodutíveis: 1- Usar o inóculo em até 15 minutos após a preparação. 2- Aplicar os discos em até 15 minutos após a inoculação das placas. 3- Iniciar a incubação em até 15 minutos após a aplicação dos discos. Pequenas mudanças nas rotinas atuais do laboratório, tais como a criação de lotes menores de testes podem ser necessárias para aderir à regra "15-15-15". • Usar discos com conteúdo (potência) correto. O conteúdo dos discos está detalhado nas tabelas de ponto de corte e tabelas de controle de qualidade do BrCAST-EUCAST. Nas tabelas do BrCAST-EUCAST, as células de conteúdo dos discos, que são distintos daquelas recomendadas pelo CLSI, estão preenchidas em vermelho. A Tabela 1 contém a lista dos discos preconizados pelo EUCAST, com conteúdo diferente daquele preconizado pelo CLSI. Tabela 1 – Discos recomendados pelo EUCAST e com conteúdo distinto daquele recomendado pelo CLSI Antimicrobiano Microrganismo Conteúdo do Disco - EUCAST Conteúdo do Disco - CLSI Amoxicilina-ácido clavulânico Haemophilus spp. e Moraxella catharralis 2-1 µg 20-10 µg Ampicilina Todos para os quais o teste está indicado, EXCETO ao testar Enterobacteriaceae, quando é utilizado o disco de 10 µg 2 µg 10 µg Cefotaxima Todos para os quais o teste está indicado 5 µg 30 µg Ceftarolina Todos para os quais o teste está indicado 5 µg 30 µg Ceftazidima Todos para os quais o teste está indicado 10 µg 30 µg Gentamicina Enterococcus 30 µg 120 µg Nitrofurantoína Todos para os quais o teste está indicado 100 µg 300 µg Penicilina Todos para os quais o teste está indicado 1 U 10 U Piperacilina- tazobactam Todos para os quais o teste está indicado 30-6 µg 100-10 µg Vancomicina Todos para os quais o teste está indicado 5 µg 30 µg
  • 256.
    Versão para Português03/2016 Versão 1.0 – 28-05-2010 5  Não encurtar ou prolongar o tempo de incubação (16-20 h), exceto quando expressamente indicado nas tabelas, a exemplo de Corynebacterium.  Seguir as instruções para a leitura. As bordas dos halos de inibição devem ser lidas no ponto de completa inibição do crescimento, avaliado a olho nu. Ler as placas de ágar Mueller-Hinton não suplementado pelo seu fundo, com luz refletida, contra um fundo escuro. Ler as placas de Agar Mueller-Hinton suplementadas com a tampa removida, observando a superfície contendo os discos, sob luz refletida. Sugestões para a implementação do método de difusão em disco EUCAST no laboratório: Um guia prático para o líder 1. Educar o pessoal de laboratório na metodologia de disco-difusão do EUCAST com foco na inoculação de placas e leitura de halos. Uma apresentação de slides está disponível em www.eucast.org. A versão desse documento em Português está disponível no site do BrCAST (http://brcast.org.br). 2. Iniciar o treinamento prático solicitando que todos os analistas leiam as mesmas placas. O objetivo do exercício é harmonizar a leitura de halos de inibição no laboratório. Novos colaboradores devem realizar esses exercícios antes de serem considerados aptos para o trabalho de rotina. Um guia de leitura está disponível em www.eucast.org. A versão desse documento em Português está disponível no site do BrCAST (http://brcast.org.br). • Começar lendo os halos obtidos com duas cepas de controle em ágar Mueller-Hinton, sem suplementos, por exemplo, E. coli ATCC 25922 e S. aureus ATCC 29213. Escolher quatro antimicrobianos rotineiramente testados com as respectivas espécies. Repetir três dias seguidos. Comparar os resultados dos analistas obtidos em um mesmo dia e aqueles obtidos em dias distintos. Verificar se os valores médios de diâmetro de halo de inibição estão próximos do alvo e todos os valores estão dentro dos intervalos de controle de qualidade. As tabelas de controle de qualidade estão disponíveis em www.eucast.org. A versão
  • 257.
    Versão para Português03/2016 Versão 1.0 – 28-05-2010 6 desse documento em Português está disponível no site do BrCAST (http://brcast.org.br). • Discutir os resultados durante as reuniões de equipe. Repitir o exercício usando as mesmas cepas de controle e antimicrobianos até que todos obtenham o mesmo resultado. • Repetir o exercício com P. aeruginosa ATCC 27853 e E. faecalis ATCC 29212. • Repetir o exercício utilizando MH-F (ágar Mueller-Hinton com 5% de sangue desfibrinado de cavalo e 20 mg/L de β-NAD) com H. influenzae ATCC 49766 e S. pneumoniae ATCC 49619. • Repetir o exercício com alguns isolados clínicos de microrganismos adicionais, por exemplo, estreptococos dos grupos de A, B, C e G, Proteus mirabilis, Enterococcus resistentes à vancomicina e Stenotrophomonas maltophilia. Comparar os resultados individuais com a média do grupo. 3. O próximo passo é a preparação do inóculo e a semeadura de placas. O objetivo é obter um crescimento padronizado, homogêneo e confluente. Os melhores resultados são obtidos quando se utiliza um nefelômetro/espectrofotômetro para controlar a densidade do inóculo. Seja qual for a técnica utilizada para inocular as placas (swab com um rotor de placas ou espalhando com o swab em três direções diferentes), certificar- se de que o crescimento bacteriano resultante seja homogêneo as bordas e os halos não sejam irregulares. Utilizar alguns discos de antimicrobianos que produzam halos bem definidos, de modo que a leitura não seja um problema. A equipe deve repetir o processo para todas as cepas de controle recomendadas pelo EUCAST. Comparar os resultados dos analistas obtidos em um mesmo dia e aqueles obtidos em dias distintos. Verificar se os valores médios de diâmetro de halo de inibição estão próximos do alvo e se todos os valores estão dentro dos intervalos de controle de qualidade. As tabelas de controle de qualidade estão disponíveis em www.eucast.org. A versão desse documento em Português está disponível no site do BrCAST
  • 258.
    Versão para Português03/2016 Versão 1.0 – 28-05-2010 7 (http://brcast.org.br). 4. Antes de introduzir a disco-difusão do EUCAST na rotina do laboratório, testar cepas de controle de qualidade diariamente (utilizando todos os discos de antibióticos utilizados rotineiramente) até que os resultados estejam de acordo com as especificações do EUCAST e harmonizados dentro do laboratório. Você tem perguntas sobre o método de disco-difusão do EUCAST? Ou você precisa de suporte para a implementação do teste de disco- difusão? Entre em contato com o BrCAST na página www.brcast.org.br. Alternativamente, entre em contato com erika.matuschek@ltkronoberg.se ou com a secretaria do EUCAST.