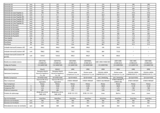
Modelo -- GWC07NA-D1NNB1E GWH07NA-D1NNB1E GWC09MA-D1NNC3E GWH09MA-D1NNC3E GWC12MB-D1NNC3E GWH12MB-D1NNC3E GWC18MC-D1NNC3E GWH18MC-D1NNC3E
Código do Produto -- CA136007300 CA136007400 CA136007500 CA136007600 CA136007900 CA136007800 CA136007100 CA136007200
Nome da Série -- Snow 双8显示 BEE系列 BEE系列 BEE系列 COZY Cozy系列 COZY COZY
Tipo do Produto -- 挂壁式 挂壁式 挂壁式 挂壁式 挂壁式 挂壁式 挂壁式 挂壁式
Tensão Nominal V~ 220 220 220 220 220 220 220 220
Frequência Hz 60 60 60 60 60 60 60 60
Fases -- 1 1 1 1 1 1 1 1
Capacidade de Refrigeração W 2052 2052 2637 2637 3520 3516 5275 5275
Capacidade de Refrigeração Btu/h 7000 7000 9000 9000 12010 12000 18000 18000
Capacidade de Aquecimento W / 2052 / 2696 / 3663 / 5715
Capacidade de Aquecimento Btu/h / 7000 / 9200 / 12500 / 19500
Corrente Nominal de Refrigeração W 690 720 915 880 1250 1220 1870 1870
Corrente Nominal de Aquecimento W / 670 / 800 / 1120 / 1700
Potência Nominal de Refrigeração A 3,20 3,34 4,24 4,08 5,68 5,66 8,67 8,67
Potência Nominal de
Raquecimento
A / 3,11 / 3,71 / 5,19 / 7,88
Potência Nominal W 920 920 1100 1250 1700 1600 2400 2350
Corrente Nominal A 4,27 4,27 5,10 5,80 7,73 7,42 13,24 12,96
EER W/W 2,97 2,85 2,88 3,00 2,82 2,88 2,82 2,82
EER (Btu/h)/W 10,14 9,72 9,84 10,23 9,61 9,84 9,63 9,63
COP W/W / 3,06 / 3,37 / 3,27 / 3,36
COP (Btu/h)/W / 10,45 / 11,50 / 11,16 / 11,47
Volume de Ar(SS) m3
/h 410 410 500 500 630 600 850 850
Volume de Ar(SS) CFM 241 241 294 294 371 353 500 500
Volume de Ar(H) m3
/h 350 350 430 430 530 500 780 780
Volume de Ar(H) CFM 206 206 253 253 312 294 459 459
Volume de Ar(M) m3
/h 310 310 380 380 430 420 650 650
Volume de Ar(M) CFM 182 182 224 224 253 247 383 383
Volume de Ar(L) m3
/h 280 280 320 320 330 350 550 550
Volume de Ar(L) CFM 165 165 188 188 194 206 324 324
Volume Desumidificador L/h 0,85 0,85 0,80 0,80 1,40 0,90 1,80 1,80
Volume Desumidificador Pint/h 0,40 0,40 0,38 0,38 0,66 0,43 0,85 0,85
Área de aplicação m2
10-16 10-16 12-18 12-18 16-24 16-24 23-34 23-34
Modelo do Controle -- YX1F YX1F YX1F YX1F YAA1FB YX1F YB1FA(XFAN) YB1FA(XFAN)
Modelo da Unidade Interna -- GWC07NA-D1NNB1E/I GWH07NA-D1NNB1E/I GWC09MA-D1NNC3E/I GWH09MA-D1NNC3E/I GWC12MB-D1NNC3E/I GWH12MB-D1NNC3E/I GWC18MC-D1NNC3E/I GWH18MC-D1NNC3E/I
Código da Unidade Interna -- CA136N07300 CA136N07400 CA136N07500 CA136N07600 CA136N07900 CA136N07800 CA136N07100 CA136N07200
Tipo de Ventilador -- Cross-flow Cross-flow Cross-flow Cross-flow Cross-flow Cross-flow Cross-flow Cross-flow
Comprimento/diâmetro do
Ventilador(D×L)
mm φ85 X 532 φ85 X 532 85×596 85×596 φ92 X 645 85×596 φ98×710 φ98×710
Comprimento/diâmetro do
Ventilador(D×L)
inch φ3.346 X 20.945 φ3.346 X 20.945 3.34×23.46 3.34×23.46 φ3.6 X 25.4 3.34×23.46 φ3.86×27.95 φ3.86×27.95
Velocidade de Refrigeração r/min 1390/1280/1180/1080 1390/1280/1180/1080 1260/1050/920/730 1260/1050/920/730 1290/1070/900/730 1260/1070/900/730 1350/1200/1050/900 1350/1200/1050/900
Velocidade de Aquecimento r/min / 1350/1250/1140/1040 / 1320/1200/1100/950 / 1280/1050/980/920 / 1420/1250/1150/1050
Potência do motor do ventilador W 10 10 10 10 20 20 20 20
Motor do ventilador LRA A 0,05 0,13 0,13 0,13 0,20 0,26 0,32 0,32
Capacitor do motor do ventilador μF 1 1 1,0 1,0 1 1,0 1,5 1,5
Forma da evaporadora --
Aluminum Fin-copper
Tube
Aluminum Fin-copper
Tube
Aluminum Fin-copper
Tube
Aluminum Fin-copper
Tube
Aluminum Fin-copper
Tube
Aluminum Fin-copper
Tube
Aluminum Fin-copper
Tube
Aluminum Fin-copper
Tube
Diâmetro do tubo da evaporadora mm φ7 φ7 φ7 φ7 φ7 φ7 φ7 φ7
Diâmetro do tubo da evaporadora inch
φ0.28 φ0.28 φ0.28 φ0.28 φ0.28 φ0.28
φ0.28 φ0.28
Coluna barbatana lacuna mm 2-1.5 2-1.5 2-1.5 2-1.5 2-1.4 2-1.4 2-1.4 2-1.4
Coluna barbatana lacuna inch 2-0.059 2-0.059 2-0.059 2-0.059 0.08-0.06 2-0.05511 2-0.06 2-0.06
Comprimento da bobina (LXDXW) mm 526X25.4X228.6 526X25.4X228.6 581X25.4X264 581X25.4X264 645X25.4X267 645X25.4X267 715×25.4×304.8 715×25.4×304.8
Comprimento da bobina (LXDXW) inch 20.71X1X9 20.71X1X9 22.87X1X10.39 22.87X1X10.39 25.4X1X10.5 25.40X1X10.512 28.2×1×12 28.2×1×12
Modelo do motor do swing -- MP24AA MP24AA MP24AA MP24AA MP24AA MP24AA MP28VB MP28VB
Swing Motor Power Output W 1,5 1,5 1,5 1,5 1,5 1,5 2 2
Fusível A
PCB 3.15A
Transformer 0.2A
PCB 3.15A
Transformer 0.2A
PCB 3.15A
Transformer 0.2A
PCB 3.15A
Transformer 0.2A
PCB 3.15A
Transformer 0.2A
PCB 3.15A
Transformer 0.2A
3,15 3,15
Alcance de Temperatura ℃ 16ºC~30ºC 16ºC~30ºC 16ºC~30ºC 16ºC~30ºC 16ºC~30ºC 16ºC~30ºC 16ºC~30ºC 16ºC~30ºC
Alcance de Temperatura ℉ 60.8℉~86℉ 60.8℉~86℉ 60.8℉~86℉ 60.8℉~86℉ 60.8ºC~86.0ºC 60.8℉~86℉ 60.8℉~86℉ 60.8℉~86℉
Nível da pressão do ruído(SS) dB (A) / / / / 42 42 47 47
Nível da pressão do ruído(H) dB (A) 40 38 40 40 39 38 44 44
Nível da pressão do ruído(MH) dB (A) / / / / / / / /
Nível da pressão do ruído(M) dB (A) / / / / 36 / 40 40
Nível da pressão do ruído(ML) dB (A) / / / / / / / /
Nível da pressão do ruído(L) dB (A) / / / / 33 / 35 35
Nível da pressão do ruído(SL) dB (A) / / / / / / / /
Nível de potência do ruído(SS) dB (A) / / / / 52 52 57 57
Nível de potência do ruído(H) dB (A) 50 48 50 50 49 48 54 54
Nível de potência do ruído(MH) dB (A) / / / / / / / /
Nível de potência do ruído(M) dB (A) / / / / 46 / 50 50
Nível de potência do ruído(ML) dB (A) / / / / / / / /
Nível de potência do ruído(L) dB (A) / / / / 43 / 45 45
Nível de potência do ruído(SL) dB (A) / / / / / / / /
Dimensão (W) mm 730 730 790 790 848 845 940 940
Dimensão (W) inch 28,7 28,7 31,1 31,1 33,4 33,3 37,0 37,0
Dimensão (H) mm 255 255 265 265 274 275 298 298
Dimensão (H) inch 10,0 10,0 10,4 10,4 10,8 10,8 11,7 11,7
Dimensão (D) mm 174 174 177 177 189 180 200 200
Dimensão (D) inch 6,9 6,9 7,0 7,0 7,4 7,1 7,9 7,9
Dimensão da Caixa Papelão (L) mm 790 790 870 870 915 975 1010 1010
Dimensão da Caixa Papelão (L) inch 31,1 31,1 34,3 34,3 36,0 38,4 39,8 39,8
Dimensão da Caixa Papelão (W) mm 245 245 248 248 255 320 380 380
Dimensão da Caixa Papelão (W) inch 9,6 9,6 9,8 9,8 10,0 12,6 15,0 15,0
Dimensão da Caixa Papelão (H) mm 325 325 355 355 355 385 285 285
Dimensão da Caixa Papelão (H) inch 12,8 12,8 14,0 14,0 14,0 15,2 11,2 11,2
Dimensão do Pacote(L) mm 793 793 873 873 918 978 1013 1013
Dimensão do Pacote(L) inch 31,2 31,2 34,4 34,4 36,1 38,5 39,9 39,9
Dimensão do Pacote(W) mm 248 248 251 251 258 323 383 383
Dimensão do Pacote(W) inch 9,8 9,8 9,9 9,9 10,2 12,7 15,1 15,1
Dimensão do Pacote(H) mm 340 340 370 370 370 400 300 300
Dimensão do Pacote(H) inch 13,4 13,4 14,6 14,6 14,6 15,7 11,8 11,8
Peso Líquido kg 8,0 8,0 8,5 9,0 10,0 10,0 13,0 13,0
Peso Líquido lb 17,6 17,6 18,7 19,8 22,1 22,1 28,7 28,7
Peso Bruto kg 10,5 10,5 11,5 12,0 13,0 13,0 17,0 17,0
Peso Bruto lb 23,2 23,2 25,4 26,5 28,7 28,7 37,5 37,5
Unidade InternasXContainer (20') unit 446,0 446,0 348,0 348,0 326 354,0 / /
Unidade InternasXContainer (40') unit 908,0 908,0 720,0 720,0 664 722,0 / /
Unidade InternasXContainer (40'
grande)
unit 1034,0 1034,0 840,0 840,0 746 806,0 / /
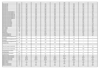
Modelo da unidade externa --
GWC07NA-
D1NNB1E/O
GWH07NA-
D1NNB1E/O
GWC09MA-
D1NNC3E/O
GWH09MA-
D1NNC3E/O
GWC12RB-D1NNA1B/O
GWH12MB-
D1NNC3E/O
GWC18MC-
D1NNC3E/O
GWH18MC-
D1NNC3E/O
Código do Produto -- CA136W07300 CA136W07400 CA136W07500 CA136W07600 CA144W07900 CA136W07800 CA136W07100 CA136W07200
Marca Compressor -- Hitachi HIGHLY GREE GREE GREE GREE GREE GREE
Fabricante Compressor --
Shanghai Hitachi
Electrical Appliance
Co., Ltd
Shanghai Hitachi
Electrical Appliance
Co., Ltd
Zhuhai Landa
Compressor Co.,Ltd
Zhuhai Landa
Compressor Co.,Ltd
ZHUHAI LANDA
COMPRESSOR CO., LTD
Zhuhai Landa
Compressor Co.,Ltd
ZHUHAI LANDA
COMPRESSOR CO., LTD
ZHUHAI LANDA
COMPRESSOR CO., LTD
Modelo Compressor -- SD104SN-H3AG SD104SN-H3AG QX-B14rA030 QX-B14rA030 QX-C184rE030g QX-C184rE030g QX-D267rF050 QX-D267rF050
Óleo Compressor --
Diamond Ms-56 or
equivalent
Diamond Ms-56 or
equivalent
ATMOS-NM56EP ATMOS-NM56EP TAMOS 56G/NM56EP
ATMOS NM56EP or
ATMOS 56G
ATMOS NM56EP ATMOS NM56EP
Tipo Compressor -- Rotary Rotary Rotary Rotary Rotary Rotary Rotary Rotary
Compressor LRA. A 18,00 18,00 25,00 25,00 38,00 38,00 41,00 41,00
Compressor RLA A 3,32 3,32 3,90 3,90 5,70 5,70 7,80 7,80
Potência Compressor W 685 685 875 875 1205 1205 1710 1710
Protetor de sobrecarga --
BF690-KB or B150-
160C-241E
BF690-KB or B150-
160C-241E
B180-155-141E B180-155-141E inner Built-in inner inner
Tipo do Ventilador -- Axial-flow Axial-flow Axial-flow Axial-flow Axial-flow Axial-flow Axial-flow Axial-flow
Diametro do Ventilador mm 400 400 400 400 400 400 400 460
Diametro do Ventilador inch 15,7 15,7 15,7 15,7 15,7 15,7 15,7 18,1
Velocidade do motor do ventilador rpm 800 800 800 800 820 820 920 815
Potência do motor do ventilador W 30 30 30 30 30 30 40 68
Motor do Ventilador LRA A 0,15 0,23 0,23 0,23 0,42 0,23 0,48 0,65
Capacitor do Motor do Ventilador μF 2,5 2,5 2,5 2,5 2 2 2,5 3,5
Volume de Ar m3
/h 1800 1800 1800 1800 1800 1850 1800 2800
Volume de Ar CFM 1059 1059 1059 1059 1089 1059 1648
Aluminum Fin-copper
Tube
Forma do Condensador --
Aluminum Fin-copper
Tube
Aluminum Fin-copper
Tube
Aluminum Fin-copper
Tube
Aluminum Fin-copper
Tube
φ7
Aluminum Fin-copper
Tube
Aluminum Fin-copper
Tube
Aluminum Fin-copper
Tube
Diâmetro do Tubo Condensador mm φ7 φ7 φ7 φ7 φ0.28 φ9.52 φ7 φ9.52
Diâmetro do Tubo Condensador inch φ0.276 φ0.276 φ0.276 φ0.276 1-1.4 φ0.3748 φ0.28 φ0.37
Conden. Coluna-barbatana coluna mm 1-1.4 1-1.4 1-1.4 1-1.4 0.04-0.06 1-1.4 2-1.4 1-1.6
Conden. Coluna-barbatana coluna inch 1-0.0551 1-0.0551 1-0.0551 1-0.0551 766×495×12.7 1-0.0551 2-0.06 1-0.06
Comprimento da bobina (LXDXW) mm 741×495.3×12.7 741×495.3×12.7 741×495.3×12.7 741×495.3×12.7 30.2×19.5×0.5 743X19.05X506 765×25.4×495 806×22×660
Comprimento da bobina (LXDXW) inch 29.17×19.5×0.5 29.17×19.5×0.5 29.17×19.5×0.5 29.17×19.5×0.5 29.25×0.75×19.92 30.1×1×19.5 31.7×0.9×26.0
3
Pressão de operação máxima
permitida para o lado da descarga
MPa 3 3 3 3 1,5 3 3 3
Pressão de operação máxima
permitida para o lado da sucção.
MPa 1,5 1,5 1,5 1,5 3 1,5 1,5 1,5
Pressão máxima permitida MPa 3 3 3 3 18ºC~45ºC 3 3 3
Temperatura ambiente para
refrigeração
℃ 16ºC~45ºC 18ºC~45ºC 18ºC~45ºC 18ºC~45ºC 64.4ºC~113.0ºC 18ºC~45ºC 18ºC~45ºC 18ºC~45ºC
Temperatura ambiente para
refrigeração
℉ 60.8ºF~113.0ºF 64.4ºF~113.0ºF 64.4ºF~113.0ºF 64.4ºF~113.0ºF / 64.4ºF~113.0ºF 64.4℉~113℉ 64.4℉~113℉
Temperatura ambiente para
aquecimento
℃ / -7ºC~24ºC / -7ºC~24ºC / -7ºC~24ºC / -5ºC~24ºC
Temperatura ambiente para
aquecimento
℉ / 19.4ºF~75.2 / 19.4ºF~75.2 Capillary 19.4ºF~75.2ºF / 23℉~75.2℉
Método de expansão -- Capillary Capillary Capillary Capillary Automatic Defrosting Capillary Capillary Capillary
Método de Descongelamento -- Automatic Defrosting Automatic Defrosting Automatic Defrosting Automatic Defrosting T1 Automatic Defrosting / Automatic Defrosting
Tipo de Clima -- T1 T1 T1 T1 I T1 T1 T1
Isolamento -- I I I I IP24 I I I
Proteção contra umidade -- IP24 IP24 IP24 IP24 52 IP24 IP24 IP24
Nível Pressão do Ruído (H) dB (A) 50 50 50 50 / 52 56 56
Nível Pressão do Ruído (M) dB (A) / / / / / / / /
Nível Pressão do Ruído (L) dB (A) / / / / 62 / / /
Nível Potência do Ruído (H) dB (A) 62 60 60 60 / 62 66 66
320
Dimensão (W) mm 320 320 320 320 12,6 320 848 913
Dimensão (W) inch 12,6 12,6 12,6 12,6 540 12,6 33,4 35,9
Dimensão (H) mm 540 540 540 540 21,3 540 540 680
Dimensão (H) inch 21,3 21,3 21,3 21,3 848 21,3 21,3 26,8
Dimensão (D) mm 848 848 848 848 33,4 848 320 378
Dimensão (D) inch 33,4 33,4 33,4 33,4 878 33,4 12,6 14,9
Dimensão da Caixa Papelão (L) mm 878 878 878 878 34,6 878 878 994
Dimensão da Caixa Papelão (L) inch 34,6 34,6 34,6 34,6 360 34,6 34,6 39,1
Dimensão da Caixa Papelão (W) mm 360 360 360 360 14,2 360 360 428
Dimensão da Caixa Papelão (W) inch 14,2 14,2 14,2 14,2 580 14,2 14,2 16,9
Dimensão da Caixa Papelão (H) mm 580 580 580 580 22,8 580 580 725
Dimensão da Caixa Papelão (H) inch 22,8 22,8 22,8 22,8 881 22,8 22,8 28,5
Dimensão do Pacote(L) mm 881 881 881 881 34,7 881 881 997
Dimensão do Pacote(L) inch 34,7 34,7 34,7 34,7 363 34,7 34,7 39,3
Dimensão do Pacote(W) mm 363 363 363 363 14,3 363 363 431
Dimensão do Pacote(W) inch 14,3 14,3 14,3 14,3 595 14,3 14,3 17,0
Dimensão do Pacote(H) mm 595 595 595 595 23,4 595 605 740
Dimensão do Pacote(H) inch 23,4 23,4 23,4 23,4 33,0 23,4 23,8 29,1
Peso Líquido kg 25,0 25,0 27,5 28,5 72,8 33,0 37,0 45,0
Peso Líquido lb 55,1 55,1 60,6 62,8 37,0 72,8 81,6 99,2
Peso Bruto kg 29,0 29,0 31,5 32,5 81,6 37,0 41,0 49,0
Peso Bruto lb 63,9 63,9 69,5 71,7 R22 81,6 90,4 108,0
Refrigerante -- R22 R22 R22 R22 0,68 R22 R22 R22
Carga de Refrigerante kg 0,60 0,70 0,570 0,73 24,0 1,05 1,05 1,25
Carga de Refrigerante oz 21,2 24,7 20,1 25,8 114 37,0 37,0 44,1
Quantidade de Carregamento (20'
Container)
unit 114 114 114 114 237 114 / /
Quantidade de Carregamento (40'
Container)
unit 240 240 240 240 316 240 / /
Quantidade de Carregamento (40'
Container Alto)
unit 320 320 320 320 320 / /
7,5
Tubo de Conexão Comprimento m 7,5 7,5 7,5 7,5 24,6 7,5 7,5 7,5
Tubo de Conexão Comprimento ft 24,6 24,6 24,6 24,6 15 24,6 24,6 24,6
Carga Adicional no tudo de
conexão do gás
g/m 15 20 15 20 0,2 20 15 20
Carga Adicional no tudo de
conexão do gás
oz/ft. 0,2 0,2 0,2 0,2 φ6 0,2 0,2 0,2
Diâmetro do tubo de líquidos mm φ6 φ6 φ6 φ6 φ0.24 φ6 φ6 φ6
Diâmetro do tubo de líquidos inch φ0.24 φ0.24 φ0.24 φ0.24 φ12 φ0.24 φ0.24 φ0.24
Diâmetro do tudo de gás mm φ9.52 φ9.52 φ9.52 φ9.52 φ0.48 φ12 φ12 φ12
Diâmetro do tudo de gás inch φ0.375 φ0.375 φ0.375 φ0.375 10 φ0.472 φ0.47 φ0.47
Máxima Altura m 5 5 10 10 32,8 10 10 10
Máxima Altura ft 16,4 16,4 32,8 32,8 20 32,8 32,8 32,8
Máximo Comprimento m 15 15 15 15 65,6 20 25 25
Máximo Comprimento ft 49,2 49,2 49,2 49,2 65,6 82,0 82,0
95
Quantidade de Carregamento (20'
Container)
unit 108 108 105 105 196 100 85 65
Quantidade de Carregamento (40'
Container)
unit 227 227 219 219 229 212 178 137
Quantidade de Carregamento (40'
Container Alto)
unit 270 270 261 261 246 209 157

Gree split bee - tabela comparativa

  • 1.
    Modelo -- GWC07NA-D1NNB1EGWH07NA-D1NNB1E GWC09MA-D1NNC3E GWH09MA-D1NNC3E GWC12MB-D1NNC3E GWH12MB-D1NNC3E GWC18MC-D1NNC3E GWH18MC-D1NNC3E Código do Produto -- CA136007300 CA136007400 CA136007500 CA136007600 CA136007900 CA136007800 CA136007100 CA136007200 Nome da Série -- Snow 双8显示 BEE系列 BEE系列 BEE系列 COZY Cozy系列 COZY COZY Tipo do Produto -- 挂壁式 挂壁式 挂壁式 挂壁式 挂壁式 挂壁式 挂壁式 挂壁式 Tensão Nominal V~ 220 220 220 220 220 220 220 220 Frequência Hz 60 60 60 60 60 60 60 60 Fases -- 1 1 1 1 1 1 1 1 Capacidade de Refrigeração W 2052 2052 2637 2637 3520 3516 5275 5275 Capacidade de Refrigeração Btu/h 7000 7000 9000 9000 12010 12000 18000 18000 Capacidade de Aquecimento W / 2052 / 2696 / 3663 / 5715 Capacidade de Aquecimento Btu/h / 7000 / 9200 / 12500 / 19500 Corrente Nominal de Refrigeração W 690 720 915 880 1250 1220 1870 1870 Corrente Nominal de Aquecimento W / 670 / 800 / 1120 / 1700 Potência Nominal de Refrigeração A 3,20 3,34 4,24 4,08 5,68 5,66 8,67 8,67 Potência Nominal de Raquecimento A / 3,11 / 3,71 / 5,19 / 7,88 Potência Nominal W 920 920 1100 1250 1700 1600 2400 2350 Corrente Nominal A 4,27 4,27 5,10 5,80 7,73 7,42 13,24 12,96 EER W/W 2,97 2,85 2,88 3,00 2,82 2,88 2,82 2,82 EER (Btu/h)/W 10,14 9,72 9,84 10,23 9,61 9,84 9,63 9,63 COP W/W / 3,06 / 3,37 / 3,27 / 3,36 COP (Btu/h)/W / 10,45 / 11,50 / 11,16 / 11,47 Volume de Ar(SS) m3 /h 410 410 500 500 630 600 850 850 Volume de Ar(SS) CFM 241 241 294 294 371 353 500 500 Volume de Ar(H) m3 /h 350 350 430 430 530 500 780 780 Volume de Ar(H) CFM 206 206 253 253 312 294 459 459 Volume de Ar(M) m3 /h 310 310 380 380 430 420 650 650 Volume de Ar(M) CFM 182 182 224 224 253 247 383 383 Volume de Ar(L) m3 /h 280 280 320 320 330 350 550 550 Volume de Ar(L) CFM 165 165 188 188 194 206 324 324 Volume Desumidificador L/h 0,85 0,85 0,80 0,80 1,40 0,90 1,80 1,80 Volume Desumidificador Pint/h 0,40 0,40 0,38 0,38 0,66 0,43 0,85 0,85 Área de aplicação m2 10-16 10-16 12-18 12-18 16-24 16-24 23-34 23-34 Modelo do Controle -- YX1F YX1F YX1F YX1F YAA1FB YX1F YB1FA(XFAN) YB1FA(XFAN) Modelo da Unidade Interna -- GWC07NA-D1NNB1E/I GWH07NA-D1NNB1E/I GWC09MA-D1NNC3E/I GWH09MA-D1NNC3E/I GWC12MB-D1NNC3E/I GWH12MB-D1NNC3E/I GWC18MC-D1NNC3E/I GWH18MC-D1NNC3E/I Código da Unidade Interna -- CA136N07300 CA136N07400 CA136N07500 CA136N07600 CA136N07900 CA136N07800 CA136N07100 CA136N07200
  • 2.
    Tipo de Ventilador-- Cross-flow Cross-flow Cross-flow Cross-flow Cross-flow Cross-flow Cross-flow Cross-flow Comprimento/diâmetro do Ventilador(D×L) mm φ85 X 532 φ85 X 532 85×596 85×596 φ92 X 645 85×596 φ98×710 φ98×710 Comprimento/diâmetro do Ventilador(D×L) inch φ3.346 X 20.945 φ3.346 X 20.945 3.34×23.46 3.34×23.46 φ3.6 X 25.4 3.34×23.46 φ3.86×27.95 φ3.86×27.95 Velocidade de Refrigeração r/min 1390/1280/1180/1080 1390/1280/1180/1080 1260/1050/920/730 1260/1050/920/730 1290/1070/900/730 1260/1070/900/730 1350/1200/1050/900 1350/1200/1050/900 Velocidade de Aquecimento r/min / 1350/1250/1140/1040 / 1320/1200/1100/950 / 1280/1050/980/920 / 1420/1250/1150/1050 Potência do motor do ventilador W 10 10 10 10 20 20 20 20 Motor do ventilador LRA A 0,05 0,13 0,13 0,13 0,20 0,26 0,32 0,32 Capacitor do motor do ventilador μF 1 1 1,0 1,0 1 1,0 1,5 1,5 Forma da evaporadora -- Aluminum Fin-copper Tube Aluminum Fin-copper Tube Aluminum Fin-copper Tube Aluminum Fin-copper Tube Aluminum Fin-copper Tube Aluminum Fin-copper Tube Aluminum Fin-copper Tube Aluminum Fin-copper Tube Diâmetro do tubo da evaporadora mm φ7 φ7 φ7 φ7 φ7 φ7 φ7 φ7 Diâmetro do tubo da evaporadora inch φ0.28 φ0.28 φ0.28 φ0.28 φ0.28 φ0.28 φ0.28 φ0.28 Coluna barbatana lacuna mm 2-1.5 2-1.5 2-1.5 2-1.5 2-1.4 2-1.4 2-1.4 2-1.4 Coluna barbatana lacuna inch 2-0.059 2-0.059 2-0.059 2-0.059 0.08-0.06 2-0.05511 2-0.06 2-0.06 Comprimento da bobina (LXDXW) mm 526X25.4X228.6 526X25.4X228.6 581X25.4X264 581X25.4X264 645X25.4X267 645X25.4X267 715×25.4×304.8 715×25.4×304.8 Comprimento da bobina (LXDXW) inch 20.71X1X9 20.71X1X9 22.87X1X10.39 22.87X1X10.39 25.4X1X10.5 25.40X1X10.512 28.2×1×12 28.2×1×12 Modelo do motor do swing -- MP24AA MP24AA MP24AA MP24AA MP24AA MP24AA MP28VB MP28VB Swing Motor Power Output W 1,5 1,5 1,5 1,5 1,5 1,5 2 2 Fusível A PCB 3.15A Transformer 0.2A PCB 3.15A Transformer 0.2A PCB 3.15A Transformer 0.2A PCB 3.15A Transformer 0.2A PCB 3.15A Transformer 0.2A PCB 3.15A Transformer 0.2A 3,15 3,15 Alcance de Temperatura ℃ 16ºC~30ºC 16ºC~30ºC 16ºC~30ºC 16ºC~30ºC 16ºC~30ºC 16ºC~30ºC 16ºC~30ºC 16ºC~30ºC Alcance de Temperatura ℉ 60.8℉~86℉ 60.8℉~86℉ 60.8℉~86℉ 60.8℉~86℉ 60.8ºC~86.0ºC 60.8℉~86℉ 60.8℉~86℉ 60.8℉~86℉ Nível da pressão do ruído(SS) dB (A) / / / / 42 42 47 47 Nível da pressão do ruído(H) dB (A) 40 38 40 40 39 38 44 44 Nível da pressão do ruído(MH) dB (A) / / / / / / / / Nível da pressão do ruído(M) dB (A) / / / / 36 / 40 40 Nível da pressão do ruído(ML) dB (A) / / / / / / / / Nível da pressão do ruído(L) dB (A) / / / / 33 / 35 35 Nível da pressão do ruído(SL) dB (A) / / / / / / / / Nível de potência do ruído(SS) dB (A) / / / / 52 52 57 57 Nível de potência do ruído(H) dB (A) 50 48 50 50 49 48 54 54 Nível de potência do ruído(MH) dB (A) / / / / / / / / Nível de potência do ruído(M) dB (A) / / / / 46 / 50 50 Nível de potência do ruído(ML) dB (A) / / / / / / / / Nível de potência do ruído(L) dB (A) / / / / 43 / 45 45 Nível de potência do ruído(SL) dB (A) / / / / / / / / Dimensão (W) mm 730 730 790 790 848 845 940 940 Dimensão (W) inch 28,7 28,7 31,1 31,1 33,4 33,3 37,0 37,0
  • 3.
    Dimensão (H) mm255 255 265 265 274 275 298 298 Dimensão (H) inch 10,0 10,0 10,4 10,4 10,8 10,8 11,7 11,7 Dimensão (D) mm 174 174 177 177 189 180 200 200 Dimensão (D) inch 6,9 6,9 7,0 7,0 7,4 7,1 7,9 7,9 Dimensão da Caixa Papelão (L) mm 790 790 870 870 915 975 1010 1010 Dimensão da Caixa Papelão (L) inch 31,1 31,1 34,3 34,3 36,0 38,4 39,8 39,8 Dimensão da Caixa Papelão (W) mm 245 245 248 248 255 320 380 380 Dimensão da Caixa Papelão (W) inch 9,6 9,6 9,8 9,8 10,0 12,6 15,0 15,0 Dimensão da Caixa Papelão (H) mm 325 325 355 355 355 385 285 285 Dimensão da Caixa Papelão (H) inch 12,8 12,8 14,0 14,0 14,0 15,2 11,2 11,2 Dimensão do Pacote(L) mm 793 793 873 873 918 978 1013 1013 Dimensão do Pacote(L) inch 31,2 31,2 34,4 34,4 36,1 38,5 39,9 39,9 Dimensão do Pacote(W) mm 248 248 251 251 258 323 383 383 Dimensão do Pacote(W) inch 9,8 9,8 9,9 9,9 10,2 12,7 15,1 15,1 Dimensão do Pacote(H) mm 340 340 370 370 370 400 300 300 Dimensão do Pacote(H) inch 13,4 13,4 14,6 14,6 14,6 15,7 11,8 11,8 Peso Líquido kg 8,0 8,0 8,5 9,0 10,0 10,0 13,0 13,0 Peso Líquido lb 17,6 17,6 18,7 19,8 22,1 22,1 28,7 28,7 Peso Bruto kg 10,5 10,5 11,5 12,0 13,0 13,0 17,0 17,0 Peso Bruto lb 23,2 23,2 25,4 26,5 28,7 28,7 37,5 37,5 Unidade InternasXContainer (20') unit 446,0 446,0 348,0 348,0 326 354,0 / / Unidade InternasXContainer (40') unit 908,0 908,0 720,0 720,0 664 722,0 / / Unidade InternasXContainer (40' grande) unit 1034,0 1034,0 840,0 840,0 746 806,0 / / Modelo da unidade externa -- GWC07NA- D1NNB1E/O GWH07NA- D1NNB1E/O GWC09MA- D1NNC3E/O GWH09MA- D1NNC3E/O GWC12RB-D1NNA1B/O GWH12MB- D1NNC3E/O GWC18MC- D1NNC3E/O GWH18MC- D1NNC3E/O Código do Produto -- CA136W07300 CA136W07400 CA136W07500 CA136W07600 CA144W07900 CA136W07800 CA136W07100 CA136W07200 Marca Compressor -- Hitachi HIGHLY GREE GREE GREE GREE GREE GREE Fabricante Compressor -- Shanghai Hitachi Electrical Appliance Co., Ltd Shanghai Hitachi Electrical Appliance Co., Ltd Zhuhai Landa Compressor Co.,Ltd Zhuhai Landa Compressor Co.,Ltd ZHUHAI LANDA COMPRESSOR CO., LTD Zhuhai Landa Compressor Co.,Ltd ZHUHAI LANDA COMPRESSOR CO., LTD ZHUHAI LANDA COMPRESSOR CO., LTD Modelo Compressor -- SD104SN-H3AG SD104SN-H3AG QX-B14rA030 QX-B14rA030 QX-C184rE030g QX-C184rE030g QX-D267rF050 QX-D267rF050 Óleo Compressor -- Diamond Ms-56 or equivalent Diamond Ms-56 or equivalent ATMOS-NM56EP ATMOS-NM56EP TAMOS 56G/NM56EP ATMOS NM56EP or ATMOS 56G ATMOS NM56EP ATMOS NM56EP Tipo Compressor -- Rotary Rotary Rotary Rotary Rotary Rotary Rotary Rotary Compressor LRA. A 18,00 18,00 25,00 25,00 38,00 38,00 41,00 41,00 Compressor RLA A 3,32 3,32 3,90 3,90 5,70 5,70 7,80 7,80 Potência Compressor W 685 685 875 875 1205 1205 1710 1710 Protetor de sobrecarga -- BF690-KB or B150- 160C-241E BF690-KB or B150- 160C-241E B180-155-141E B180-155-141E inner Built-in inner inner Tipo do Ventilador -- Axial-flow Axial-flow Axial-flow Axial-flow Axial-flow Axial-flow Axial-flow Axial-flow Diametro do Ventilador mm 400 400 400 400 400 400 400 460 Diametro do Ventilador inch 15,7 15,7 15,7 15,7 15,7 15,7 15,7 18,1 Velocidade do motor do ventilador rpm 800 800 800 800 820 820 920 815
  • 4.
    Potência do motordo ventilador W 30 30 30 30 30 30 40 68 Motor do Ventilador LRA A 0,15 0,23 0,23 0,23 0,42 0,23 0,48 0,65 Capacitor do Motor do Ventilador μF 2,5 2,5 2,5 2,5 2 2 2,5 3,5 Volume de Ar m3 /h 1800 1800 1800 1800 1800 1850 1800 2800 Volume de Ar CFM 1059 1059 1059 1059 1089 1059 1648 Aluminum Fin-copper Tube Forma do Condensador -- Aluminum Fin-copper Tube Aluminum Fin-copper Tube Aluminum Fin-copper Tube Aluminum Fin-copper Tube φ7 Aluminum Fin-copper Tube Aluminum Fin-copper Tube Aluminum Fin-copper Tube Diâmetro do Tubo Condensador mm φ7 φ7 φ7 φ7 φ0.28 φ9.52 φ7 φ9.52 Diâmetro do Tubo Condensador inch φ0.276 φ0.276 φ0.276 φ0.276 1-1.4 φ0.3748 φ0.28 φ0.37 Conden. Coluna-barbatana coluna mm 1-1.4 1-1.4 1-1.4 1-1.4 0.04-0.06 1-1.4 2-1.4 1-1.6 Conden. Coluna-barbatana coluna inch 1-0.0551 1-0.0551 1-0.0551 1-0.0551 766×495×12.7 1-0.0551 2-0.06 1-0.06 Comprimento da bobina (LXDXW) mm 741×495.3×12.7 741×495.3×12.7 741×495.3×12.7 741×495.3×12.7 30.2×19.5×0.5 743X19.05X506 765×25.4×495 806×22×660 Comprimento da bobina (LXDXW) inch 29.17×19.5×0.5 29.17×19.5×0.5 29.17×19.5×0.5 29.17×19.5×0.5 29.25×0.75×19.92 30.1×1×19.5 31.7×0.9×26.0 3 Pressão de operação máxima permitida para o lado da descarga MPa 3 3 3 3 1,5 3 3 3 Pressão de operação máxima permitida para o lado da sucção. MPa 1,5 1,5 1,5 1,5 3 1,5 1,5 1,5 Pressão máxima permitida MPa 3 3 3 3 18ºC~45ºC 3 3 3 Temperatura ambiente para refrigeração ℃ 16ºC~45ºC 18ºC~45ºC 18ºC~45ºC 18ºC~45ºC 64.4ºC~113.0ºC 18ºC~45ºC 18ºC~45ºC 18ºC~45ºC Temperatura ambiente para refrigeração ℉ 60.8ºF~113.0ºF 64.4ºF~113.0ºF 64.4ºF~113.0ºF 64.4ºF~113.0ºF / 64.4ºF~113.0ºF 64.4℉~113℉ 64.4℉~113℉ Temperatura ambiente para aquecimento ℃ / -7ºC~24ºC / -7ºC~24ºC / -7ºC~24ºC / -5ºC~24ºC Temperatura ambiente para aquecimento ℉ / 19.4ºF~75.2 / 19.4ºF~75.2 Capillary 19.4ºF~75.2ºF / 23℉~75.2℉ Método de expansão -- Capillary Capillary Capillary Capillary Automatic Defrosting Capillary Capillary Capillary Método de Descongelamento -- Automatic Defrosting Automatic Defrosting Automatic Defrosting Automatic Defrosting T1 Automatic Defrosting / Automatic Defrosting Tipo de Clima -- T1 T1 T1 T1 I T1 T1 T1 Isolamento -- I I I I IP24 I I I Proteção contra umidade -- IP24 IP24 IP24 IP24 52 IP24 IP24 IP24 Nível Pressão do Ruído (H) dB (A) 50 50 50 50 / 52 56 56 Nível Pressão do Ruído (M) dB (A) / / / / / / / / Nível Pressão do Ruído (L) dB (A) / / / / 62 / / / Nível Potência do Ruído (H) dB (A) 62 60 60 60 / 62 66 66
  • 5.
    320 Dimensão (W) mm320 320 320 320 12,6 320 848 913 Dimensão (W) inch 12,6 12,6 12,6 12,6 540 12,6 33,4 35,9 Dimensão (H) mm 540 540 540 540 21,3 540 540 680 Dimensão (H) inch 21,3 21,3 21,3 21,3 848 21,3 21,3 26,8 Dimensão (D) mm 848 848 848 848 33,4 848 320 378 Dimensão (D) inch 33,4 33,4 33,4 33,4 878 33,4 12,6 14,9 Dimensão da Caixa Papelão (L) mm 878 878 878 878 34,6 878 878 994 Dimensão da Caixa Papelão (L) inch 34,6 34,6 34,6 34,6 360 34,6 34,6 39,1 Dimensão da Caixa Papelão (W) mm 360 360 360 360 14,2 360 360 428 Dimensão da Caixa Papelão (W) inch 14,2 14,2 14,2 14,2 580 14,2 14,2 16,9 Dimensão da Caixa Papelão (H) mm 580 580 580 580 22,8 580 580 725 Dimensão da Caixa Papelão (H) inch 22,8 22,8 22,8 22,8 881 22,8 22,8 28,5 Dimensão do Pacote(L) mm 881 881 881 881 34,7 881 881 997 Dimensão do Pacote(L) inch 34,7 34,7 34,7 34,7 363 34,7 34,7 39,3 Dimensão do Pacote(W) mm 363 363 363 363 14,3 363 363 431 Dimensão do Pacote(W) inch 14,3 14,3 14,3 14,3 595 14,3 14,3 17,0 Dimensão do Pacote(H) mm 595 595 595 595 23,4 595 605 740 Dimensão do Pacote(H) inch 23,4 23,4 23,4 23,4 33,0 23,4 23,8 29,1 Peso Líquido kg 25,0 25,0 27,5 28,5 72,8 33,0 37,0 45,0 Peso Líquido lb 55,1 55,1 60,6 62,8 37,0 72,8 81,6 99,2 Peso Bruto kg 29,0 29,0 31,5 32,5 81,6 37,0 41,0 49,0 Peso Bruto lb 63,9 63,9 69,5 71,7 R22 81,6 90,4 108,0 Refrigerante -- R22 R22 R22 R22 0,68 R22 R22 R22 Carga de Refrigerante kg 0,60 0,70 0,570 0,73 24,0 1,05 1,05 1,25 Carga de Refrigerante oz 21,2 24,7 20,1 25,8 114 37,0 37,0 44,1 Quantidade de Carregamento (20' Container) unit 114 114 114 114 237 114 / / Quantidade de Carregamento (40' Container) unit 240 240 240 240 316 240 / / Quantidade de Carregamento (40' Container Alto) unit 320 320 320 320 320 / / 7,5 Tubo de Conexão Comprimento m 7,5 7,5 7,5 7,5 24,6 7,5 7,5 7,5 Tubo de Conexão Comprimento ft 24,6 24,6 24,6 24,6 15 24,6 24,6 24,6 Carga Adicional no tudo de conexão do gás g/m 15 20 15 20 0,2 20 15 20 Carga Adicional no tudo de conexão do gás oz/ft. 0,2 0,2 0,2 0,2 φ6 0,2 0,2 0,2 Diâmetro do tubo de líquidos mm φ6 φ6 φ6 φ6 φ0.24 φ6 φ6 φ6 Diâmetro do tubo de líquidos inch φ0.24 φ0.24 φ0.24 φ0.24 φ12 φ0.24 φ0.24 φ0.24 Diâmetro do tudo de gás mm φ9.52 φ9.52 φ9.52 φ9.52 φ0.48 φ12 φ12 φ12 Diâmetro do tudo de gás inch φ0.375 φ0.375 φ0.375 φ0.375 10 φ0.472 φ0.47 φ0.47 Máxima Altura m 5 5 10 10 32,8 10 10 10 Máxima Altura ft 16,4 16,4 32,8 32,8 20 32,8 32,8 32,8 Máximo Comprimento m 15 15 15 15 65,6 20 25 25 Máximo Comprimento ft 49,2 49,2 49,2 49,2 65,6 82,0 82,0 95
  • 6.
    Quantidade de Carregamento(20' Container) unit 108 108 105 105 196 100 85 65 Quantidade de Carregamento (40' Container) unit 227 227 219 219 229 212 178 137 Quantidade de Carregamento (40' Container Alto) unit 270 270 261 261 246 209 157