1
Ana Bárbara Dias Lopes Urzedo – 2021
2
Ana Bárbara Dias Lopes Urzedo – 2021
Sumário
SÍNDROMES DE TRANSMISSÃO SEXUAL ......................................................................................................................... 3
INCONTINÊNCIA URINÁRIA...........................................................................................................................................11
PROLAPSO GENITAL......................................................................................................................................................13
ONCOLOGIA..................................................................................................................................................................14
CICLO MENSTRUAL .......................................................................................................................................................26
ANTICONCEPÇÃO..........................................................................................................................................................27
AMENORREIA................................................................................................................................................................29
SANGRAMENTO UTERINO ANORMAL...........................................................................................................................32
CLIMATÉRIO..................................................................................................................................................................36
3
Ana Bárbara Dias Lopes Urzedo – 2021
GINECOLOGIA E OBSTETRÍCIA
SÍNDROMES DE TRANSMISSÃO SEXUAL
CORRIMENTO VAGINAL
ALTO
dor abdominal, dor anexial, alteração do
estado geral, alteração laboratorial, febre..
 DIP
BAIXO
 Vulvovaginite
 Cervicite
*Exame especular diferencia!
FISIOLÓGICO:
consistência flocular, transparente/branco, pH 4-4.5, bacilos gram positivos (Lactobacilos – bacilos de Doderlein),
alguns leucócitos
VAGINOSE BACTERIANA – mais comum, NÃO é DST!
a. Etiologia
 Gardnerella vaginalis (ou outros anaeróbios)
*Só ter Gardnerella não significa ter vaginose, pois pode fazer parte da microbiota vaginal!
b. Fisiopatologia
Perda da microbiota vaginal normal (diminui Lactobacilos > diminui ácido lático > pH mais alto) > aumenta
proliferação de outras bactérias
c. Diagnóstico
Critérios de Amsel (3 de 4):
 Corrimento branco acinzentado, fino, homogêneo – pode ter microbolhas
 pH > 4.5
 Teste das aminas/KOH/whiff positivo – odor piora com coito e menstruação
 Clue cells (células alvo) – bactérias aderidas na membrana celular
Vaginose bacteriana (clue cells)
Critérios de Nugent (gram): padrão-ouro (MS)!
d. Tratamento
 Metronidazol 500mg VO 12/12h por 7 dias
 Clindamicina 300mg VO 12/12h por 7 dias
*Efeito antabuze!
*Pode usar em gestante
*NÃO trata parceiro!
*Vitamina C
4
Ana Bárbara Dias Lopes Urzedo – 2021
CANDIDÍASE – 2ª mais comum
a. Etiologia
 Candida
*Faz parte da microbiota vaginal!
b. Fisiopatologia
Aumento do calor e umidade local > aumenta proliferação fúngica
c. Diagnóstico
 Corrimento branco aderido tipo “nata de leite”, grumoso, inodoro
 Prurido intenso
 Hiperemia
 pH < 4.5
 Pseudo-hifas
Candidíase
Tratamento
 Miconazol creme por 7 dias
 Nistatina creme por 14 noites
 Fluconazol 150mg VO – se recorrente
*NÃO trata parceiro!
TRICOMONÍASE – é uma DST!
a. Etiologia
 Trichomonas vaginalis
*Sempre patológica, por isso sempre trata! É sinal de contato sexual!
*Pode alterar o PCCU: tratar e repetir após 3m
b. Diagnóstico
 Corrimento amarelo-esverdeado, bolhoso, odor fétido
 Teste das aminas/KOH/whiff positivo
 Colo em framboesa/morango – colpite focal
 pH > 5
 Schiller de aspecto tigroide
 Protozoário móvel flagelado
Tricomoníase
Recorrente
 ≥ 4/ano
 Fluconazol VO 150mg 1cp dias 1/4/7 >
1cp/semana por 6 meses
5
Ana Bárbara Dias Lopes Urzedo – 2021
c. Tratamento
 Metronidazol 500mg VO 12/12h por 7 dias
 Convocar e tratar parceiro: Metronidazol 2g VO dose única
*Efeito antabuze!
*Rastrear outras DST!
VAGINOSE CITOLÍTICA
Aumento da proliferação de Lactobacilos
*Fase lútea, gestação, DM
 Corrimento branco grumoso,
inodoro
 Prurido
 pH < 4.5
 Poucos sinais inflamatórios
 Ausência de patógenos +
Lactobacilos abundantes +
núcleos nus (citólise)
Bicarbonato de sódio
vaginal
Vaginose citolítica
VAGINITE ATRÓFICA
Pós menopausa > hipoestrogenismo >
parede vaginal fina
 Corrimento amarelado
 Prurido
 pH > 5
 Ausência de patógenos + aumento
de PMN + aumento de células basais
e parabasais
Estrogênio vaginal
VAGINITE INESPECÍFICA
Má higiene > germes saprófitas
multiplicam-se e tornam-se agressivos
*Ausência de agente etiológico
específico!
Crianças!
 Leucorreia
 Prurido
 Ardência
 Hiperemia
Pesquisar corpo
estranho + EPF para
oxiuríase + higiene
CERVICITES
a. Etiologia
 Neisseria gonorrhoeae – gonococo
 Chlamydia trachomatis – clamídia
b. Fatores de risco
 Transmissão sexual
c. Diagnóstico
 Corrimento cervical
 Colo hiperemiado e friável
6
Ana Bárbara Dias Lopes Urzedo – 2021
 Sinusorragia – sangramento pós coito
 Dispareunia
Gonococo = diplococo gram negativo
Clamídia = bacilo gram negativo
d. Tratamento
 Ceftriaxona 500mg IM + Azitromicina 1g VO
*Tratar parceiro!
*Rastrear outras DST
Gram disponível?
NÃO > trata gonococo + clamídia (Ceftriaxona + Azitromicina)
SIM > Diplococo gram negativo (gonococo)?
Sim: trata gonococo + clamídia (Ceftriaxona + Azitromicina)
Não: trata clamídia (Azitromicina)
BARTOLINITE
a. Etiologia
 Neisseria gonorrhoeae – gonococo
 Chlamydia trachomatis – clamídia
b. Tratamento
 Marsupialização
 Bartolinectomia
 Drenagem – porém tem alta recorrência
DIP
a. Etiologia
 Neisseria gonorrhoeae – gonococo
 Chlamydia trachomatis – clamídia
*Depois torna-se polimicrobiana
b. Diagnóstico
MAIORES/MÍNIMOS
 Dor hipogástrica
 Dor anexial
 Dor à mobilização do colo
MENORES/ADICIONAIS
 Febre
 Leucocitose
 Aumento de VHS/PCR
 Cervicite – cultura para gonococo + PCR para clamídia
DEFINITIVOS/ELABORADOS
 Endometrite na biópsia
 Abscesso tubo-ovarino (massa anexial palpável) ou no fundo de saco
 DIP na laparoscopia: aderência em corda de violino, edema tubário,
exsudato purulento nas tubas
3 maiores + 1 menor
OU
1 definitivo/elaborado
Ceftriaxona = gonococo
Azitromicina = clamídia
7
Ana Bárbara Dias Lopes Urzedo – 2021
c. Tratamento
CLASSIFICAÇÃO DE MONIF
1- DIP não complicada
2- DIP com peritonite
3- DIP com oclusão da trompa/abscesso
4- DIP com abscesso > 10cm ou roto
DIP 1 Ambulatorial
 Ceftriaxona 500mg IM dose única +
 Metronidazol 500mg VO 12/12h 14 dias +
 Doxiciclina 100mg VO 12/12h 14 dias
+ Reavaliar em 48-72h!
DIP 2, 3, 4
gestante, sem melhora > 48-72h
Hospitalar
 Ceftriaxona 1g IV 14 dias +
 Metronidazol 400mg IV 12/12h 14 dias +
 Doxiciclina 100mg VO 12/12h 14 dias
*DIP 4: + cirurgia!
*Opção: Clindamicina + Gentamicina IV
*Não precisa tirar DIU – mas se tirar, iniciar ATB antes!
d. Complicações
 Infertilidade – oclusão tubária
 Gravidez ectópica
 Dor pélvica crônica
 Hidrossalpinge
 Síndrome de Fitz-Hugh-Curtis: aderência peri-hepática em cordas de violino > peri-hepatite > dor pleurítica
+ dor em HD
Hidrossalpinge Sd. Fitz-Hugh-Curtis
8
Ana Bárbara Dias Lopes Urzedo – 2021
CORRIMENTAL URETRAL
URETRITE
= CERVICITE!
ÚLCERA GENITAL
1) MÚLTIPLAS?
Sim Não
 Herpes
 Cancro mole
 Donovanose
 Sífilis
 Linfogranuloma
2) DOLOROSAS?
Sim Não
 Herpes – limpa
 Cancro mole – suja
 Sífilis
 Linfogranuloma
 Donovanose
*CHora de dor
3) FISTULIZAÇÃO DE LINFONODOS?
Sim Não
 Cancro mole – único
 Linfogranuloma – múltiplos
 Sífilis
 Herpes
 Donovanose
HERPES
a. Etiologia
 Herpes simplex
b. Diagnóstico
 Vesículas e úlceras dolorosas, fundo limpo
 Adenopatia dolorosa que não fistuliza
 Sintomas prodrômicos (mal estar, mialgia, febre)
*Teste de Tzanck: células multinucleadas (gigantes), balonização celular –
não é específico
c. Tratamento
 Aciclovir 400mg 3x/dia por 7 dias (primo-infecção) ou 5 dias (recorrência)
 Se ≥ 6/ano: tratamento supressivo por 6m
CANCRO MOLE
a. Etiologia
 Haemophilus ducreyi – coco gram negativo
b. Diagnóstico
 Múltiplas úlceras, dolorosas, fundo sujo
 Adenopatia que fistuliza por 1 orifício
Gestante:
 Mesmo tratamento, mas para evitar recidiva, considerar Aciclovir > 36 semanas
 Herpes ativo no parto = cesárea!
9
Ana Bárbara Dias Lopes Urzedo – 2021
c. Tratamento
 Azitromicina 1g dose única VO
 Ceftriaxona 500mg IM
*Trata parceiro!
*Rastrear outras DST
SÍFILIS
a. Etiologia
 Treponema pallidum – espiroqueta
b. Clínica
Primária
 Úlcera única, indolor, fundo limpo que some sozinha (mesmo sem tratamento) – cancro duro
Secundária – após 6 semanas a 6m do cancro
 Condiloma plano
 Lesão cutaneomucosa não ulcerada
Terciária – após 2 a 40 anos do cancro
 Goma sifilítica: tumoração com liquefação
 Tabes dorsalis
 Aneurisma aórtico
 Artropatia de Charcot
c. Laboratório
Campo escuro Padrão ouro na sífilis primária
Treponêmico – FTA-abs, TR Positiva primeiro, mas fica positivo pra sempre
Não treponêmico – VDRL Positiva após 1-3 semanas
*Solicitar os 2 para diagnóstico!
 Ideal iniciar com TR (treponêmico)
 Se discordância: pedir outro teste treponêmico
 Gestante: com 1 teste positivo > inicia tratamento +
pede outro exame diferente
d. Tratamento
 Penicilina benzatina
Primária / Secundária / Latente recente (< 1ano) / Parceiro 1 dose de 2.4 milhões IM
Terciária / Latente tardia (> 1 ano) / Indeterminada 3 doses/semana de 2.4 milhões IM
*Se alergia: dessensibilização
*Tratar parceiro!
*Rastrear outras DST
Fenômeno de Jarisch-Herxheimer: exacerbação das
lesões cutâneas, febre, cefaleia, artralgia após 24h do
inicio do tratamento e tem regressão espontânea
10
Ana Bárbara Dias Lopes Urzedo – 2021
Controle de cura:
 VDRL trimestral (gestante: mensal!): tem que cair > 2 diluições em 3 meses e 4 diluições até 6 meses
*Cicatriz sorológica: VDRL positivo com queda > 2 diluições após tratamento adequado tendo descartado nova
exposição de risco
LINFOGRANULOMA
a. Etiologia
 Chlamydia trachomatis L1, L2, L3
b. Diagnóstico
 Pápula/úlcera indolor que some sozinha
 Adenopatia dolorosa que fistuliza por múltiplos orifícios (em “bico
de regador”)
c. Tratamento
 Doxiciclina 100mg VO 12/12h por 14-21 dias
C Cervicite
L Linfogranuloma
A Adenite que fistuliza
M Múltiplos orifícios
I Imunofluorescência
Di Doxiciclina – linfogranuloma
A Azitromicina – cervicite
DONOVANOSE
a. Etiologia
 Klebsiella (Calymmatobacterium) granulomatis
b. Diagnóstico
 Úlcera profunda, crônica, indolor – dd com CA!
 Biópsia: corpúsculos de Donovan
c. Tratamento
 Azitromicina 1g VO 1x/semana por 21 dias
 Doxiciclina 100mg VO 12/12h por 21 dias
ÚLCERA SEM LABORATÓRIO
Úlcera > 4 semanas?
SIM: tratar tudo
Tratamento inadequado na gestação:
 Incompleto
 Outra medicação
 Iniciado < 30 dias do parto
11
Ana Bárbara Dias Lopes Urzedo – 2021
NÃO: tem vesícula?
- Sim: tratar herpes
- Não: tratar sífilis + cancro mole
VIOLÊNCIA SEXUAL
 Notificação compulsória imediata (até 24h)
 Se for adolescente, acionar Conselho Tutelar
 Comunicar autoridade policial (nota do MS??)
 Não é obrigatório fazer BO
 Para aborto: apenas termo de consentimento e mais nada! – só pode ser feito até 20-22 semanas ou peso <
500g
Conduta:
1) Pedir exames para rastrear DST
2) Contracepção de emergência, SN (se uso irregular de ACO, apenas camisinha etc):
 Levonorgestrel 1.5mg VO (até 5 dias)
3) Profilaxia de DST
VIRAIS
HIV Tenofovir (TDF) + Lamivudina (3TC) + Dolutegravir (DTG) até 72h
Hepatite B
Imunoglobulina (se abusador com HB ou de grupo de risco) até 14
dias + Vacina (SN)
NÃO VIRAIS
Sífilis Penicilina benzatina 2.4 milhões IM dose única
Gonorreia Ceftriaxona 500mg IM dose única
Clamídia, Cancro mole Azitromicina 1g VO dose única
Tricomoníase Metronidazol 2g VO dose única
HIV NA GESTAÇÃO
AVALIAR CV > 34 SEMANAS:
CV indetectável: parto vaginal (sem AZT)
CV < 1.000: AZT por 3h + parto vaginal
CV > 1.000: AZT por 3h + cesárea eletiva
*Contraindicação absoluta à amamentação – cabergolina!
INCONTINÊNCIA URINÁRIA
1) URINA ROTINA + UROCULTURA
*Hematúria sem ITU + > 50 anos + tabagista = cistoscopia
2) MOBILIDADE DO COLO VESICAL
 Teste do cotonete
 USG
3) URODINÂMICA – padrão-ouro
Indicações:
 De esforço sem perda no exame físico
 Falha no tratamento clínico
 Antes do tratamento cirúrgico
 Associado a prolapso grande – o prolapso pode mascarar a
incontinência urinária por obstrução > após cirurgia, a incontinência se manifesta
Fístula vesico/ureterovaginal
FR: cirurgia pélvica, radioterapia
*Ureterovaginal: perda de urina pela vagina com
micção normal
Transbordamento – bexiga não contrai (bexigoma)
FR: lesões neurológicas, DM
Atrofia vaginal (hipoestrogenismo) pode
causar incontinência urinária de esforço
pelo encurtamento da uretra atrófica!
*Controverso
12
Ana Bárbara Dias Lopes Urzedo – 2021
Urofluxometria
 Esvaziamento inicial: volume, fluxo máximo e
volume residual
Cistometria –
fase de enchimento
Não pode ter:
 Atividade do detrusor
 Perda de urina
 Dor
*Compara pressão vesical com abdominal (retal)
Estudo miccional –
estudo de fluxo-pressão
Obstrução x hipocontratilidade
BEXIGA HIPERATIVA INCONTINÊNCIA DE ESFORÇO
CLÍNICA
Urgência miccional, polaciúria, noctúria
Contração não inibida do detrusor
*O diagnóstico é clínico!
Tosse, espirro
Hipermobilidade vesical: PPE > 90 cmH2O
Defeito esfincteriano: PPE < 60 cmH2O
*PPE = pressão de perda ao esforço
TTO
Clínico
 Perda de peso, diminuir consumo de cafeína e
fumo, treinamento vesical
 Fisioterapia – exercícios perineais,
eletroestimulação
 Anticolinérgicos (M2, M3): Oxibutinina /
Tolterodina / Darifenacina / Solifenacina –
muito efeito colateral
 Imipramina – 2ª linha
 B3-agonista: Mirabegrona – relaxa detrusor +
diminui acetilcolina
Clínico
 Perda de peso
 Fisioterapia – Kegel, biofeedback
 Duloxetina – aumenta suicídio
 Agonistas alfa-adrenérgicos – aumenta AVE
Cirúrgico
 Sling – TVT (preferir!), TOT
*Se TVT: cistoscopia intraoperatório!
*CI dos anticolinérgicos: arritmias, glaucoma de ângulo fechado, gestação / lactação
Bexiga hiperativa
Síndrome da bexiga dolorosa
 Urgência miccional e polaciúria + dor à
distensão vesical que alivia ao esvaziar
 Cistoscopia: úlcera de Hunner
 Diagnóstico: de exclusão
13
Ana Bárbara Dias Lopes Urzedo – 2021
Incontinência de esforço
PROLAPSO GENITAL
PROLAPSO UTERINO
*Alongamento hipertrófico do colo:
cervicometria alterada (diferença > 2 entre
o ponto C e D)
Sintomáticas:
 Histerectomia vaginal total
 Manchester – se alongamento hipertrófico do colo / caso leve com
desejo reprodutivo
Sintomáticas de alto risco:
 Colpocleise (LeFort) – contraindicar se vida sexual ativa
 Pessários – + incontinência de esforço
PROLAPSO DE CÚPULA
– pós histerectomia
 Fixar cúpula ao promontório/sacroespinhoso/uterossacro
 Colpocleise (LeFort)
PROLAPSO DE PAREDE ANTERIOR
– cistocele
*Defeito paravaginal (80%)
 Colporrafia/colpoperineoplastia anterior com correção da fáscia
pubovesicocervical
 Tela – se recidiva
PROLAPSO DE PAREDE POSTERIOR
– retocele
 Colporrafia posterior com correção da fáscia retovaginal
*Enterocele: exérese do saco herniário com obliteração do fundo de saco
CLASSIFICAÇÃO POP-Q
Aa, Ba Parede anterior
Ap, Bp Parede posterior
C
Colo ou cúpula
D+: colo
D-: cúpula
D
só tem quem tem útero
Fundo de saco de Douglas
14
Ana Bárbara Dias Lopes Urzedo – 2021
CVT Comprimento vaginal total
CP
Corpo perineal – distância entre o ânus e
a vagina (< 3 na rotura perineal)
Negativo: antes do hímen
Positivo: além do hímen
*Carúncula himenal: ponto 0
I < -1
II -1 e +1
III ≥ +2, mas não total
IV Total (> CVT – 2cm)
ANATOMIA
SUSTENTAÇÃO
1) DIAFRAGMA PÉLVICO
 M. levantador do ânus – pubococcígeo + puborretal + iliococcígeo
 M. coccígeo
2) DIAFRAGMA UROGENITAL
 M. transverso profundo
 Esfíncter uretral externo
3) FÁSCIA ENDOPÉLVICA
SUSPENSÃO
1) ANTERIORES
 Lig. pubovesicouterinos
2) LATERAIS
 Lig. cardinais
3) POSTERIORES
 Lig. uterossacros
ONCOLOGIA
MAMA
DERRAME PAPILAR
Lácteo
Hiperprolactinemia
 Gestação
 Medicamentosa – psicotrópicos
 Prolactinoma (> 100)
 Hipotireoidismo
Multicolor
(verde/amarelo/marrom)
 Alteração funcional benigna da mama – + adensamento + mastalgia cíclica
 Ectasia ductal – múltiplos ductos, bilateral, à expressão
Sanguíneo
 Papiloma intraductal – principal causa
 CA
Investigar – Ressecção ductal
 Espontâneo
 Uniductal
 Unilateral
 “Água de rocha”
 Sanguinolento
*Mesmo com exame de imagem normal!!!!!!
15
Ana Bárbara Dias Lopes Urzedo – 2021
MASTALGIA
Cíclica Acíclica
Fase lútea
Bilateral em QSE
Ex: alteração funcional da mama
*Orientar e melhorar sustentação!
Mamária ou não
Unilateral
Ex: mastite, abscesso, neuralgia, angina
NÓDULO PALPÁVEL
1) EXAME CLÍNICO
Suspeito:
 Aderido
 Irregular
 Pétreo
2) PAAF – diferencia sólido x cístico
Amarelo esverdeado
Sem lesão residual
> 2 recidivas
Sanguinolento
Lesão residual
Sólido
USG / MMG USG / MMG + Biópsia
*Pode ser terapêutica no esvaziamento de macrocisto sintomático!
*Se negativo, NÃO EXCLUI CA!
3) USG/MMG
▪ USG
Indicações:
 Diferenciar sólido x cístico
 MMG inconclusiva
 Jovem e gestante – mama densa
Benigno Maligno
 Anecoico
 Homogêneo
 Bem delimitado
 Reforço acústico posterior
 Ovo deitado
 Misto
 Heterogêneo
 Mal delimitado
 Sombra acústica posterior
 Ovo em pé
US: benigno US: maligno
Provavelmente benignos
MMG é o método de rastreio SEMPRE!
Inclusive em próteses mamárias
16
Ana Bárbara Dias Lopes Urzedo – 2021
Suspeitos
▪ RM
Indicações:
 Prótese mamária
 Múltiplas cirurgias
 BI-RADS 0
*Não mostra microcalcificações e lesões < 2mm
▪ MMG – único que vê microcalcificações!!
Mediolateral – superior (perto do peitoral), inferior
Craniocaudal – externo (superior), interno (inferior)
Calcificações suspeitas
Achados suspeitos
17
Ana Bárbara Dias Lopes Urzedo – 2021
BI-RADS
0 Inconclusivo Mama densa
USG / RM / Compressão
localizada
1 Nenhuma alteração Só mama Repetir de acordo com idade
2 Alteração benigna
Regular, homogênea, calcificação
grosseira/em pipoca/vascular
Repetir de acordo com idade
3 Provavelmente benigna -
Repetir em 6 meses
(acompanha por 3 anos)
4/5 Provavelmente maligna
Espiculado, microcalcificações
pleomórficas agrupadas
Biópsia
6 CA confirmado Avaliar resposta ao tratamento -
▪ BIÓPSIA
 Core biopsy / PAG: vários disparos
 Mamotomia: disparo único, de escolha em microcalcificações
 Biópsia cirúrgica: padrão-ouro, PAG / mamotomia
inconclusiva
*Se impalpável/microcalcificações: estereotaxia
MALIGNAS – CA DE MAMA
a. Fatores de risco – hormônio dependente
 Sexo feminino
 Idade
 HF 1º grau (mãe, irmã, filha)
 Mutação BRCA 1 e 2
 Nuliparidade
 Menacme prolongado
 Dieta rica em gordura
 Obesidade pós-menopausa
 Álcool
 CA in situ (ductal ou lobular)
 Hiperplasia atípica – ressecção!
*Não tem relação: tabagismo, ACO
b. Rastreamento
MS
50-69 anos: MMG 2/2 anos
Alto risco: > 35 anos MMG anual
FEBRASGO 40-69 anos: MMG anual
*Alto risco: mutação BRCA, hiperplasia atípica, 1º grau < 50 anos, bilateral ou ovário, HF de CA de mama masculino
c. Tipos histológicos
Ductal infiltrante / Não especial
 Invasor mais comum
 Bom prognóstico
Lobular infiltrante  Bilateral e multicêntrico
CA inflamatório
 Localmente avançado – T4d
 Aspecto em “casca de laranja”
Paget
 Descamação unilateral com destruição do complexo
areolopapilar
 Biópsia: incluir pele na ressecção
*Diferenciar de eczema – pruriginoso, não destrói complexo, melhora
com corticoide
Incisional Excisional
Lesões grandes Lesões pequenas, cistos
Principal FR para recidiva:
acometimento linfonodal
BRCA
Gene supressor tumoral
Autossômica dominante
1: c17, pré-menopausa
2: c13, pós-menopausa
METÁSTASE – disseminação linfática
1) Ossos
2) Pulmão
3) Fígado
4) Cérebro
18
Ana Bárbara Dias Lopes Urzedo – 2021
d. Imuno-histoquímica
Luminal A –
melhor prognóstico,
mais velhas
RH +
HER –
Ki67 baixo (< 14%)
Luminal B
RH +
HER – / +
Ki67 alto (> 14%)
Triplo negativo –
jovens
RH –
HER –
Superexpressão HER
RH –
HER +
e. Estadiamento
1 < 2cm sem invasão
2 2-5cm com invasão dos linfonodos axilares
3 > 5cm com invasão dos linfonodos torácicos ou da pele
4 Invade linfonodo contralateral ou metástase
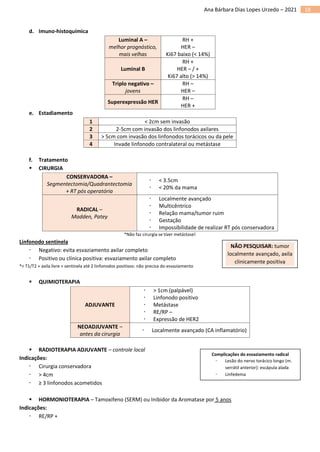
f. Tratamento
▪ CIRURGIA
CONSERVADORA –
Segmentectomia/Quadrantectomia
+ RT pós operatória
 < 3.5cm
 < 20% da mama
RADICAL –
Madden, Patey
 Localmente avançado
 Multicêntrico
 Relação mama/tumor ruim
 Gestação
 Impossibilidade de realizar RT pós conservadora
*Não faz cirurgia se tiver metástase!
Linfonodo sentinela
 Negativo: evita esvaziamento axilar completo
 Positivo ou clínica positiva: esvaziamento axilar completo
*< T1/T2 + axila livre + sentinela até 2 linfonodos positivos: não precisa do esvaziamento
▪ QUIMIOTERAPIA
ADJUVANTE
 > 1cm (palpável)
 Linfonodo positivo
 Metástase
 RE/RP –
 Expressão de HER2
NEOADJUVANTE –
antes da cirurgia
 Localmente avançado (CA inflamatório)
▪ RADIOTERAPIA ADJUVANTE – controle local
Indicações:
 Cirurgia conservadora
 > 4cm
 ≥ 3 linfonodos acometidos
▪ HORMONIOTERAPIA – Tamoxifeno (SERM) ou Inibidor da Aromatase por 5 anos
Indicações:
 RE/RP +
NÃO PESQUISAR: tumor
localmente avançado, axila
clinicamente positiva
Complicações do esvaziamento radical
 Lesão do nervo torácico longo (m.
serrátil anterior): escápula alada
 Linfedema
19
Ana Bárbara Dias Lopes Urzedo – 2021
Inibidores da aromatase
– anastrozol
Pós menopausa Aumenta desmineralização óssea
Inibidores da recaptação do estrogênio
– tamoxifeno
Pré menopausa Aumenta CA de endométrio e trombose
▪ TERAPIA ALVO DIRIGIDA – Transtuzumabe, menos efeito adverso
Indicações:
 Superexpressão HER2 (3+)
BENIGNAS
FIBROADENOMA
 Mais comum
 Jovens (20-35 anos)
 Nódulo bem delimitado, móvel, regular, consistência fibroelástica
 Retirar se: > 35 anos, crescimento rápido
TUMOR FILOIDES
 Parece fibroadenoma, mas cresce muito rápido (estroma hipercelular)
 30-50 anos
 Tratamento: exérese com margem – tendência à recidiva
ESTEATONECROSE  Nódulo após trauma
ALTERAÇÃO FUNCIONAL
BENIGNA DA MAMA
 Pode se manifestar como adensamento, cisto, mastalgia cíclica ou
derrame papilar multicolor
ABSCESSO SUBAREOLAR
RECIDIVANTE
 Tabagista, 30-50 anos
 Doença congênita da papila
 Tratamento: ATB
OVÁRIO
a. Fatores de risco
 HF – principal (3x)
 Idade (> 60 anos)
 Mutação BRCA 1 e 2
 Dieta rica em gordura
 Obesidade
 Menacme longo
 Nuliparidade
 Indutor de ovulação
 Tabagismo – mucinoso
b. Fatores de proteção
 Amamentação
 Multiparidade
 Uso de anovulatório
 Laqueadura tubária / fimbriectomia
c. Diagnóstico
1) CLÍNICA + USG – suspeita
S Sólida
U USG Doppler com baixa resistência (< 0.4) – neovascularização
S Septações espessas (> 3mm)
P Papilas
E Espessamento de parede
I Irregular
T Tamanho > 8cm
A Antes ou após menacme / Ascite
METÁSTASE – disseminação transcelômica
Fígado
*NUNCA faz punção!
20
Ana Bárbara Dias Lopes Urzedo – 2021
Não existe rastreamento!!!!
CA-125
 Principal marcador
 NÃO é específico!
2) HISTOPATOLÓGICO – definitivo
MALIGNAS
Epiteliais
Adenocarcinoma seroso
 Mais comum
 CA 125
Adenocarcinoma mucinoso
 Pseudomixoma peritoneal –
também ocorre no tumor de
apêndice
 CA 19.9, CEA
Células claras
 Pior prognóstico dos epiteliais
– “sombrio”
Germinativo
Disgerminoma
 Germinativo maligno mais
comum
 Crianças
 Disseminação linfática
 Sensível à RT
 LDH
Embrionário
 Puberdade precoce
 AFP, HCG
Teratoma imaturo
 Contém tecidos fetais pouco
diferenciados
Seio endodérmico
 Pior prognóstico dos
germinativos
 AFP
*Na infância, 80% dos tumores ovarianos são malignos
*Pedir cariótipo!
Cordão sexual
Androblastoma
 Androgênios
 Virilização
*SDHEA normal – dd com tumor
adrenal
Metastáticos
Krukenberg
 Tumor primário do TGI
(maioria gástrico)
 Presença de células em anel
de sinete
d. Estadiamento
I – Limitado ao ovário
IA 1 ovário
IB 2 ovários
IC
1/2 ovários + superfície externa do ovário/ruptura da cápsula/lavado
peritoneal ou ascítico
II – Invade cavidade
pélvica
IIA Invade tubas/útero
IIB Invade outros órgãos pélvicos
IIC Invade lavado peritoneal ou ascítico
Ruim: CA ovário inicial pode dar normal,
inespecífico (aumenta em DIP, mioma, gravidez..)
Bom: complementa avaliação tumoral, seguimento
pós tratamento
21
Ana Bárbara Dias Lopes Urzedo – 2021
III – Acometimento
peritoneal ou
linfonodal
IIIA Invade peritoneo microscopicamente
IIIB Invade peritoneo < 2cm
IIIC Invade peritoneo > 2cm ou linfonodo retroperitoneal/inguinal
IV – Metástase IV Invade órgãos a distancia – fígado, pleura..
*A ruptura da cápsula durante a cirurgia altera o estadiamento de IA para IC1
e. Tratamento
▪ CIRURGIA FUNDAMENTAL – Laparotomia
 Lavado peritoneal + biópsias peritoneais + histerectomia
total + anexectomia bilateral + omentectomia infracólica +
ressecção de implantes, linfonodos pélvicos e para-aórticos
*Se mucinoso: + apendicectomia
Se desejo de engravidar:
 Epitelial + estádio IA (Apenas 1 ovário) G1/G2 ou borderline: avaliar salpingooforectomia unilateral
▪ CIRURGIA DE CITORREDUÇÃO – melhora resposta à QT
 Visa retirar o máximo possível de tumor – ótima se restar < 1cm
Se doença avançada: QT neoadjuvante (3 ciclos) > cirurgia de citorredução > QT adjuvante
▪ QT ADJUVANTE
 Todos, exceto IA e IB (Bilateral) G1/G2
BENIGNAS
NÃO NEOPLÁSICOS
Cistos funcionais –
mais comum
Folicular
 Cisto funcional mais comum
 Cisto simples > 3cm
Corpo lúteo hemorrágico
 2º cisto funcional mais comum
 Dor pélvica – dd com gravidez ectópica
 USG: aspecto heterogêneo/reticular, doppler com anel de fogo com baixa
resistência
 Conduta: expectante (ACO evita novos cistos) / cirurgia se dor intensa ou
instabilidade
Endometrioma
 Líquido achocolatado
 Conduta: excisão se sintomático – não responde à medicamento!
Abscesso  Debris ecogênicos + septações + febre
NEOPLÁSICOS
Teratoma benigno
/ maduro /
dermoide –
mais comum
 Formação heterogênea, com calcificações e sombra acústica
 Risco de torção anexial
 Conduta: cirurgia
Cistoadenoma
 Seroso: multiloculado, corpos de Psammoma
 Mucinoso: atinge grandes dimensões
Struma ovarii  Contém tecido tireoidiano – crises tireotóxicas!
Fibromas
 Síndrome de Meigs: tumor de ovário benigno (fibroma ou Brenner) + ascite +
derrame pleural
Tumor de Brenner
 Epitélio semelhante ao urotélio (de transição)
 Síndrome de Meigs
Cirurgia:
diagnóstico + estadiamento (biópsia de
congelação) + tratamento
22
Ana Bárbara Dias Lopes Urzedo – 2021
Cisto persistente / Cisto na pós menopausa:
CA-125
Tratamento
 Expectante
 Ooforoplastia
COLO DE ÚTERO
a. Conceitos
Endocérvice Epitélio colunar/cilíndrico/glandular
Ectocérvice Epitélio escamoso
JEC Onde os 2 epitélios se encontram – é dinâmica, varia com estímulo hormonal!
Ectopia/Eversão JEC exteriorizada – mácula rubra
Metaplasia escamosa
Ectopia > acidez vaginal > transformação do epitélio cilíndrico da endocérvice em
epitélio escamoso da ectocérvice
*É fisiológico!!!!!!
Zona de transformação –
onde surge o CA
Área onde a metaplasia escamosa ocorre – área entre a JEC original e a nova JEC
Tipo 1: totalmente na ectocérvice
Tipo 2: parte na endocérvice, porém visível
Tipo 3: parte na endocérvice, não visível
Cistos de Naboth Metaplasia escamosa > oclusão de glândulas do epitélio colunar
b. Características
 Mais comum: epidermoide / escamoso / espinocelular (HPV 16)
 2º mais comum: adenocarcinoma (HPV 18)
 Evolução lenta (10-15 anos)
c. Fatores de risco
 HPV + fatores de risco para IST
 Idade > 30 anos
 Tabagismo
 Imunodepressão
HPV – 16, 18
VACINAÇÃO:
Geral: quadrivalente (6, 11, 16, 18) em 2 doses (0, 6m) – meninas 9-14 anos, meninos 11-14 anos
HIV, transplante, CA: 3 doses (0, 2, 6m) – meninas 9-45 anos, meninos 9-26 anos
d. Clínica
 Dor, corrimento, sinusorragia – estágios avançados
e. Rastreamento
Colpocitologia
1) QUANDO COLHER? – 123
 1x/ano > após 2 negativos > a cada 3 anos
 25-64 anos, após sexarca
HPV é um fator necessário, mas não suficiente, para o CA!
23
Ana Bárbara Dias Lopes Urzedo – 2021
Situações especiais
Gestante Tudo igual
HIV / imunodepressão
Após sexarca 6/6m no 1º ano > anual
*CD4 < 200: manter 6/6m
Virgem / Histerectomia
total por doença benigna
Não faz
2) COMO COLHER?
 Coleta ectocervical – espátula de Ayre 360 graus
 Coleta endocervical – escova dentro do OEC
3) COMO CONDUZIR? – Bethesda
LIE-BG (LSIL) –
manifestação citológica do
HPV
Repetir
 < 25 anos: 3 anos
 ≥ 25 anos: 6m
2 alterados > colposcopia
ASC-US
Repetir
 < 25 anos: 3 anos
 25-29 anos: 1 ano
 ≥ 30: 6m
ASC-H Colposcopia
AGC (AGUS)
Colposcopia + avaliar canal endocervical (escovado, curetagem, histeroscopia) +
avaliar endométrio (≥ 35 anos)
LIE-AG (HSIL) Colposcopia
AOI (origem indefinida) Colposcopia
Parece CA Colposcopia
HIV / imunodepressão Colposcopia
*Coilocitose, discariose e disceratose: efeito citopático do HPV
f. Diagnóstico
Colposcopia + Biópsia
 Ácido acético – marca proteínas do epitélio alterado: área acetobranca
 Teste de Schiller (lugol) – marca glicogênio das células normais: iodo negativo
(Schiller positivo)
 Vasos atípicos – achado mais suspeito de invasão
Se não visualizou JEC (colposcopia insatisfatória):
abrir mais o espéculo / espéculo endocervical / estrogênio
Resultados da biópsia – Richart
NIC I –
não vira CA (80% regride)
 Acompanhar
Permanecer por 2 anos:
acompanhar / destrutivo (crioterapia, cauterização)
NIC II
NIC III
 Exérese
EZT I (CAF) / EZT II: resto
EZT III (Cone): suspeita de invasão, não vê limite da lesão, JEC não visível
*< 20 anos: colposcopia 6/6m por 2 anos
CA Estadiamento
*Ver e tratar: LIE-AG > 25 anos com lesão visível (limite, JEC) na colposcopia pode já fazer EZT antes da biópsia
*NIC II/III com margens comprometidas: colposcopia 6/6m por 2 anos
GESTANTE:
suspeita de invasão: biópsia
sem suspeita de invasão:
citologia 90 dias após parto
24
Ana Bárbara Dias Lopes Urzedo – 2021
g. Estadiamento – é CLÍNICO!!!!
0 – carcinoma in situ - *Se já fez EZT III (Cone), já está tratado!
1 – restrito ao colo uterino
IA1 < 3mm
IA2 3-5mm
IB1 5mm-2cm
IB2 2-4cm
IB3 ≥ 4cm
2 – invasão perto
IIA1 Parte superior da vagina < 4cm
IIA2 Parte superior da vagina ≥ 4cm
IIB Paramétrio
3 – invasão mais longe
IIIA Terço inferior da vagina
IIIB Parede pélvica/ureter (hidronefrose)
IIIC1 Linfonodo pélvco
IIIC2 Linfonodo paraórtico
4 – invasão distante
IVA Bexiga e reto
IVB À distância
h. Tratamento
0 EZT III (cone)
IA1 Histerectomia tipo 1 – quer engravidar: EZT III
IA2 Histerectomia tipo 2 + linfadenectomia pélvica
IB1 / IB2 Histerectomia tipo 3 (Wertheim-Meigs)
IB3 / IIA1 Histerectomia tipo 3 (Wertheim-Meigs) ou QT + RT
≥ IIA2 QT + RT
*Pode fazer RT primária em qualquer estágio – exceto IVB
Do condiloma acuminado – HPV 6, 11
 Cautério/laser: lesão extensa
 Ácido tricloroacético: lesão pequena, gestante
 Imunomodulador: uso domiciliar, pior resposta
VULVA
a. Características
 Idosas (70-80 anos)
 Mais comum: escamoso / epidermoide / espinocelular
 Local mais comum: grandes lábios
 Disseminação linfática
b. Fatores de risco
 HPV
 Tabagismo
 Linfogranuloma venéreo
 Líquen
c. Clínica
 Prurido – mais comum (70%)
d. Diagnóstico
Teste de Collins + Biópsia
e. Tratamento
*Wertheim-Meigs: histerectomia total + retirada de
paramétrios, uterossacros e terço superior da
vagina + linfadenectomia pélvica
Anexectomia não é obrigatória!
25
Ana Bárbara Dias Lopes Urzedo – 2021
 > 2cm (> IB): vulvectomia
f. Diagnóstico diferencial
Líquen escleroso
 Prurido, dispareunia
 Placas hipocrômicas, brilhantes, com fusão de pequenos/grandes lábios
 Lesão “em 8” / “em fechadura”, simétrica, envolve região perianal
 Poupa mucosa – dd com líquen plano
 Tratamento: corticoide tópico
ENDOMÉTRIO
Suspeita de CA
USG na menopausa > 4mm sem TRH / > 8mm com TRH
Colpocitologia na menopausa Presença de células endometriais
a. Características
Tipo I
 Mais comum – endometrioide
 Origina-se a partir da hiperplasia endometrial
 Relação com estrogênio
Tipo II
 Pior prognóstico
 Origina-se a partir do endométrio atrófico
 Mulheres mais velhas e magras
b. Fatores de risco – ação do estrogênio sem proteção da progesterona
 Obesidade – principal
 > 60 anos
 Nuliparidade
 Tamoxifeno
 Nível socioeconômico elevado
 Branca
 Anovulação crônica
 Menacme longo
 DM
 Hiperplasia
 Síndrome de Lynch II – colorretal + endométrio/ovário
c. Fatores de proteção
 Contracepção com progesterona
 Multiparidade
 Tabagismo
d. Diagnóstico
Sangramento anormal + endométrio espesso > biópsia
 Cureta de Novak – ambulatorial, às cegas
 Curetagem fracionada / semiótica – cirúrgico, às cegas
 Histeroscopia com biópsia – padrão-ouro
Resultado da biópsia
Hiperplasia –
precede 80% dos
casos
Sem atipia / Benigna
 Progesterona + biópsia após 3-6m
*Falha: Histerectomia
A principal causa de sangramento na
menopausa é a atrofia endometrial!
26
Ana Bárbara Dias Lopes Urzedo – 2021
Com atipia / NIE
 Histerectomia
*Deseja engravidar: Progesterona + biópsia após 3-6m
CA de endométrio Cirurgia
e. Tratamento
▪ CIRURGIA – estadiamento + tratamento
 Laparotomia: lavado peritoneal + histerectomia total + anexectomia + linfadenectomia
▪ RT
 ≥ 50% invasão miometrial (≥ IB)
▪ QT
 Associar se passou do útero
CICLO MENSTRUAL
Normal
Duração 21-35 dias
Fluxo 2-6 dias
Perda sanguínea 20-60 ml
FASE FOLICULAR (variável) – 1ª fase
Hipotálamo > GnRH pulsátil (baixa amplitude, alta frequência) > aumenta LH
FASE LÚTEA (14 dias, fixa) – 2ª fase
Hipotálamo > GnRH pulsátil (alta amplitude, baixa frequência) > aumenta FSH
▪ CICLO OVARIANO
 FSH alto – aumenta no fim do ciclo anterior
 FSH estimula vários folículos que secretam estrogênio + inibina B (inibe FSH)
 1 folículo se destaca – folículo dominante (mais aromatase, mais receptores para FSH e receptores de LH na
granulosa)
 Pico de estrogênio (> 200 + 50h) gera pico de LH
 Pico de LH (aumento de prostaglandinas, aumento de receptores de LH na granulosa) gera ovulação –
discreto aumento de progesterona/FSH 12-24h antes da ovulação
 Formação do corpo lúteo que secreta progesterona (inibe LH) + inibina A (inibe FSH)
 Regressão do corpo lúteo (não tem HCG para sustentar): queda de estrogênio, progesterona e inibina A +
aumento do FSH
Ovulação ocorre 32-36h após início do aumento e 10-12h após pico máximo do LH
▪ CICLO UTERINO
1) Proliferativa: glândulas curtas e pequenas – estrogênio
2) Secretora: glândulas longas, tortuosas e dilatadas – progesterona
3) Menstrual
Disseminação linfática!
27
Ana Bárbara Dias Lopes Urzedo – 2021
*Fase proliferativa: útero trilaminar
NO OVÁRIO – esteroidogênese (teoria das 2 células e 2 gonadotrofinas)
Células da teca LH
Colesterol >
Androgênios (Androstenediona, Testosterona)
Células da granulosa FSH
Androgênios (Androstenediona, Testosterona) >
Estrogênio (Estrona, Estradiol)
*Aromatase
Menacme Estradiol – ovários
Menopausa Estrona – aromatização periférica
Gravidez Estriol – placenta
ANTICONCEPÇÃO
COMPORTAMENTAIS
Tabelinha
 Registrar ciclo menstrual por 6m, se a diferença entre o ciclo mais longo e o mais curto
for < 10: pode usar – subtrair 18 do mais curto e 11 do mais longo (período de
abstinência)
Curva térmica
 Ovulação aumenta 0.3 na temperatura – progesterona
Muco cervical (Billings)
 Muco elástico, com filância e cristalização (estrogênio) > ovulação > muco espesso,
sem filância (progesterona)
DIU
Cobre – dura 10 anos
 Ação espermicida, irritativa e
inflamatória
 Aumenta dismenorreia e fluxo
Progesterona – dura 5 anos
 Atrofia endometrial + muco hostil
 Gera amenorreia
 Alterações intrauterinas – suspeita de
gravidez, distorção da cavidade, SUA
inexplicado, CA de colo/endométrio,
infecção uterina
 Entre 48h e 4 semanas pós-parto
 CA de mama – Progesterona
28
Ana Bárbara Dias Lopes Urzedo – 2021
Cobre + Prata – dura 5 anos
 Forma em “Y” que facilita a inserção e
remoção
NÃO É ANOVULATÓRIO!
MINIPÍLULA –
progesterona
 Altera muco cervical + atrofia
endometrial
 Ideal: amamentando ou peri-
menopausa
NÃO É ANOVULATÓRIO!
*Pílula de Desogestrel (não é minipílula): é anovulatório
3:
 Gravidez
 Tumor hepático
 HAS grave
 AVE / TVP / TEP aguda
 Amamentação < 6 semanas pós-parto
– Injetável
4:
 CA de mama atual
INJETÁVEL
TRIMESTRAL /
IMPLANTE
SUBDÉRMICO –
progesterona
 Altera muco + atrofia endometrial +
anovulação
< 6 semanas após parto amamentando:
minipílula ou implante
ACO / ANEL
VAGINAL / ADESIVO
/ INJETÁVEL MENSAL
–
progesterona +
estrogênio
 Altera muco cervical + atrofia
endometrial + altera motilidade
tubária + anovulação
*Estrogênio: inibe FSH
*Progesterona: inibe LH
4:
 Amamentação < 6 meses pós-parto
 CA de mama atual
 Tabagismo > 35 anos – ≥ 15 cigarros é
4, qualquer cigarro é 3
 IAM / TVP / TEP / AVE atual ou prévio
 LES + SAF
 Hepatopatia grave
 Enxaqueca com aura
*Anticonvulsivantes (exceto ácido valproico)
e Rifampicina diminuem eficácia do ACO VO!
*LARC: DIU + implante subdérmico
*Pearl ideal < 4
AMAMENTAÇÃO E ACO
NÃO
< 21 dias + sem risco de TVP: 3
< 21 dias + com risco de TVP: 4
21-42 dias + sem risco de TVP: 2
21-42 dias + com risco de TVP: 3
SIM
< 6 semanas: 4
6 semanas a 6 meses: 3
DEFINITIVA
> 25 anos OU 2 filhos vivos + 60 dias entre a vontade e a cirurgia + 42 dias após parto/aborto
*Só pode fazer na cesárea se: cesárea de repetição ou doença de base muito grave
DE EMERGÊNCIA
Altera ovulação + atrofia endométrio
Levonorgestrel 1.5mg VO dose única
72h a 5 dias
1 Pode usar
2 Pode usar com cautela
3 Contraindicação relativa
4 Contraindicação absoluta
29
Ana Bárbara Dias Lopes Urzedo – 2021
AMENORREIA
PRIMÁRIA SECUNDÁRIA
Sem caracteres sexuais: 13-14 anos
Com caracteres sexuais: 15-16 anos
3 ciclos ou > 3-6m
GENITÁLIA INTERNA – células de Sertoli: anti-Mulleriano
Mulher XX
Ausência do hormônio anti-Mulleriano > ducto de Muller
(paramesonéfrico) > útero, tubas e 2/3 superiores da vagina
Homem XY
Presença do hormônio anti-Mulleriano > ducto de Wolff > epidídimo,
ducto deferente, ducto ejaculatório e vesícula seminal
GENITÁLIA EXTERNA – células de Leydig: testosterona
Mulher XX Ausência de testículos > ausência de testosterona > 1/3 distal da vagina
Homem XY Presença de testículos > presença de testosterona > pênis
MULHER HOMEM
Seio urogenital Uretra e 1/3 distal da vagina Uretra prostática e próstata
Tubérculo genital Clitóris Glande
Eminência urogenital Grandes lábios Bolsa escrotal
Prega urogenital Pequenos lábios Corpo peniano
Compartimentos
IV Hipotálamo
III Hipófise
II Ovário
I Útero, vagina
AMENORREIA SECUNDÁRIA
1) EXCLUIR GRAVIDEZ
 B-HCG quantitativo
2) TSH + PROLACTINA
 Hipotireoidismo + Hiperprolactinemia: tratar hipotireoidismo
 Hiperprolactinemia:
- Prolactinoma (> 200): RM > cabergolina, bromocriptina
- Medicamentosa (mais comum): metoclopramida, neurolépticos, tricíclicos, ranitidina, ACO..
- Outras: gestação/lactação, estimulação, lesão torácica, insuficiência renal
3) TESTE DA PROGESTERONA (Medroxiprogesterona 10mg 5-10d) – avalia estrogênio e trato de saída
 Sangrou: anovulação – ex: SOP
 Não sangrou: deficiência de estrogênio / lesão do endométrio / obstrução ao fluxo?
4) TESTE DO ESTROGÊNIO + PROGESTERONA (ACO 21d) – avalia
endométrio e trato de saída
 Não sangrou: causa anatômica
- Síndrome de Asherman: sinéquias após curetagem
- Hiperplasia adrenal congênita: pseudo-hermafroditismo feminino – principal causa de genitália ambígua
 Sangrou: não é causa anatômica > ovário / central?
5) FSH – diferencia causa ovariana e central
 FSH > 20: causa ovariana > hipogonadismo hipergonadotrófico
- Insuficiência ovariana prematura (< 40 anos): idiopática, irradiação, QT, doença autoimune, infecção
- Síndrome de Savage: resistência dos ovários ao LH e FSH > biópsia > terapia hormonal
 FSH < 5 ou normal: causa central > hipogonadismo hipogonadotrófico > TC/RM + teste do GnRh
Dopamina inibe prolactina
Hiperplasia adrenal congênita forma
não clássica (tardia):
diagnóstico diferencial com SOP!
Síndrome de Savage:
pode ser amenorreia 1ª ou 2ª!!
30
Ana Bárbara Dias Lopes Urzedo – 2021
6) TESTE DO GNRH
 Sem aumento de LH/FSH: causa hipofisária
- Síndrome de Sheehan: hipotireoidismo + hipocortisolismo + hipogonadismo + agalactorreia pós parto
 Aumento de LH/FSH: causa hipotalâmica
- Craniofaringioma
- Anorexia, exercício, estresse
AMENORREIA PRIMÁRIA
▪ COM CARACTERES SEXUAIS – tem ovário funcionante > causa anatômica!
 Hímen imperfurado: cólica menstrual intensa (sangue menstrual acumulado – criptomenorreia)
 Septo vaginal transverso: não dá pra ver no exame clínico (diagnóstico: US)
 Síndrome de Rokitansky/agenesia dos ductos de Muller (46XX): US com ausência de útero, tubas e terço
superior da vagina
Rokitansky – 46XX Morris – 46XY
 46XX > tem ovário
 Agenesia dos ductos de Muller
 Amenorreia primária com caracteres sexuais +
ausência de útero, tubas e 2/3 superiores da
vagina + dispareunia (vagina curta) + pelos
normais + ovários normais
*Sempre investigar alteração renal (US!), pois os ductos
de Muller tem a mesma origem dos paramétrios
 46XY > tem testículo
 Insensibilidade androgênica (completa ou
incompleta)
 Amenorreia primária com mama pequena +
ausência de útero, tubas e 2/3 superiores da
vagina + dispareunia (vagina curta) + ausência
de pelos + presença de testículos
*Genótipo masculino, fenótipo feminino
*O dd é feito pelo cariótipo e é importante pois, caso haja presença de testículos, estes devem ser retirados pelo risco de virar CA!
▪ SEM CARACTERES SEXUAIS – ovário não funcionante (hipogonadismo) > primário ou secundário?
1) FSH
 FSH alto: causa ovariana > hipogonadismo hipergonadotrófico (disgenesia gonadal) > cariótipo
- Disgenesia gonadal – ex: Síndrome de Turner (45X0, pescoço alado + tórax em escudo + baixa estatura)
- Síndrome de Savage
 FSH baixo: causa central (hipotalâmica ou hipofisária) > hipogonadismo hipogonadotrófico > teste do GnRH
- Síndrome de Kallman: deficiência do GnRH – anosmia + cegueira para cores + amenorreia primária
SÍNDROME DOS OVÁRIOS POLICÍSTICOS
a. Fisiopatologia
Resistência à insulina > diminuição da SHBG (proteína carreadora de hormônios) > excesso de estrogênio e
androgênio > inibição do FSH e estímulo ao LH > maior produção de androgênios nas células da teca > ciclo vicioso >
hiperandrogenismo + anovulação
Resistência à insulina + Hiperandrogenismo + Anovulação
 Afeta 5-10% das mulheres
 Anovulação crônica hiperandrogênica
 Associação com resistência à insulina
b. Clínica
 Acantose nigricans
 Acne, alopecia, hirsutismo (pelo grosso em regiões masculinas) – Ferriman ≥ 8
 Irregularidade menstrual, infertilidade
31
Ana Bárbara Dias Lopes Urzedo – 2021
Laboratório – excluir outras doenças
 TSH
 Prolactina
 17-OH-progesterona
 Cortisol
 SDHEA – > 700: pedir TC/RM (tumor adrenal?)
c. Diagnóstico
CRITÉRIOS DE ROTTERDAM – pelo menos 2
Ovários policísticos à USG ≥ 12 folículos com 2-9mm ou ovário > 10cm³
Oligo ou anovulação -
Hiperandrogenismo Clínico ou laboratorial
d. Tratamento
 Mudança do estilo de vida (dieta, exercício, perda de peso)
 ACO (Etinilestradiol + Ciproterona/Drospirenona/Dienogeste) ou
progesterona – se não quer engravidar
 Clomifeno / Letrozol (inibidor da aromatase) +/- Metformina – se quer
engravidar (diminui estrogênio > aumenta FSH)
e. Complicações
 Obesidade
 Infertilidade
 Abortamento
 DM
 Doença cardiovascular
 CA de endométrio
INFERTILIDADE
Sem gravidez após 1 ano de atividade sexual regular
a. Causas
 Fator masculino
 Fator tuboperitoneal – DIP: mais comum
 Anovulação
*Avaliar idade da mulher e frequência das relações (2-4x/semana)
b. Investigação
 Hormônios: FSH, progesterona, TSH, prolactina
 USG-TV – documenta ovulação, acompanha
 Histerossalpingografia
 Espermograma
*Avançada: videolaparoscopia / histeroscopia
INFERTILIDADE MASCULINA
Normal Alterado
Não repetir
*> 15 milhões/ml, > 1/3 normal, > 1/3 móvel
Repetir após 3m (12 semanas)
Azoospermia:
 Biópsia + cariótipo + FSH + tamanho do testículo
*Diferenciar obstrutiva x não obstrutiva (mais comum)
Tudo aumenta, exceto:
FSH
SHBG
Progesterona
Ciproterona: progesterona mais
antiandrogênica e mais
trombogênica
*Não usar Levonorgestrel!
< 35 anos: aguardar 1 ano
> 35 anos: imediato ou após 6m
ACO:
 Regulariza ciclo
 Aumenta SHBG – diminui estrogênio e
androgênio > aumenta FSH
 Diminui risco de CA de endométrio
32
Ana Bárbara Dias Lopes Urzedo – 2021
INFERTILIDADE FEMININA
FATOR OVARIANO
1) Progesterona – avaliar se há ovulação
 Fase lútea: 21-24 dia – normal: > 3-5
2) FSH – avaliar reserva ovariana (quantidade e qualidade)
 Fase folicular: 2-5 dia – normal: < 10
 Opção: hormônio antimulleriano (em qualquer fase) – normal: > 2.5
 A idade é o melhor preditor de reserva ovariana!
3) US-TV – documenta ovulação
 Programar coito ou intervenções
 Contagem de folículos: prognóstico na reprodução assistida
FATOR
TUBOPERITONEAL
1) Histerossalpingografia – exame inicial
 Prova de Cotte: positiva (tubas pérvias) x negativa (tubas não pérvias)
2) Videolaparoscopia – padrão-ouro
 Diagnóstico e terapêutico
FATOR UTERINO
1) US-TV
2) Histerossalpingografia
3) Histeroscopia – padrão-ouro
c. Tratamento
 Fator masculino: FIV
 Fator ovariano: indução (clomifeno) ou FIV
 Fator tuboperitoneal: laparoscopia – retirar aderência, endometriose, salpingoplastia
 Fator uterino: histeroscopia – retirada de pólipos, septos
*Inseminação intrauterina: infertilidade sem causa aparente, fator masculino leve (> 5 milhões de SPTZ normais)
ATUALIZAÇÃO – 2021
Limite de doação de gametas
 Mulher: 37 anos
 Homem: 45 anos
Número de embriões a serem
transferidos
 Mulher < 37 anos: 2
 Mulher > 37 anos: 3
 Embriões euploides ao diagnóstico genético: 2
SANGRAMENTO UTERINO ANORMAL
ESTRUTURAIS NÃO ESTRUTURAIS
P – Pólipo
A – Adenomiose
L – Leiomioma
M – Maligna
C – Coagulopatia
O – Ovulatória
E – Endometriais
I – Iatrogênica
N – Não classificada
1) AVALIAR ORIGEM
 1º exame: exame especular
2) AVALIAR IDADE
Neonatal  Privação do estrogênio materno
Infância
 Corpo estranho
 Infecção – vulvovaginite inespecífica
 Trauma
*Excluir: abuso sexual, neoplasia (sarcoma botroide)
Adolescência  Anovulação – imaturidade do eixo HHO (primeiros 2 anos da menarca)
33
Ana Bárbara Dias Lopes Urzedo – 2021
 Sangramento da gestação
*Excluir: DST, SOP, coagulopatia (ex: PTI, deficiência de VWB)
Adultos
 Anovulação
 Sangramento da gestação
*Excluir: neoplasias benignas e malignas, DST
Pós-menopausa
 Atrofia endometrial
 TRH
*Excluir: CA de endométrio
3) AVALIAR MOMENTO DO SANGRAMENTO
Pós-coito
 Cervicite
 CA de colo
 Laceração vaginal
Menacme  Sexualmente ativa: B-HCG
Medicamento
 Escape do ACO
 TRH na pós-menopausa
4) EXAMES COMPLEMENTARES
▪ USG-TV
Sem TRH < 4mm
Com TRH < 8mm
Se alterado: histeroscopia + biópsia
CONDUTA NO SUA AGUDO DISFUNCIONAL
1) Estabilização hemodinâmica
2) Excluir gravidez
3) Tratamento medicamentoso
 Estrogênio equino conjugado (EEC): Estrogênio 1.25mg VO 6/6h por 21 dias > Progesterona por 10 dias
 ACO: Estrogênio 30-35mcg 1cp 8/8h até para sangramento (min 48h) > 1cp/dia por 21 dias
 + Ácido tranexâmico
 AINE
*Instável: curetagem uterina
MIOMA ADENOMIOSE ENDOMETRIOSE
Sangramento Sangramento + dismenorreia 2ª Dismenorreia 2ª + dor pélvica + infertilidade
PÓLIPOS
CERVICAL ENDOMETRIAL
Sinusorragia Maioria assintomático – USG > histeroscopia
Polipectomia histeroscópica
MIOMA
Tumor benigno (monoclonal) da musculatura lisa uterina hormônio-dependente
Maioria assintomático!
Sangramento anovulatório do
climatério: Progesterona na 2ª fase
Ovulatório (SUD): ciclos anovulatórios >
estrogênio sem oposição da
progesterona > período de amenorreia
seguido de hemorragia
34
Ana Bárbara Dias Lopes Urzedo – 2021
a. Classificação
Subseroso 5, 6, 7 (pediculado) Compressão, dor
Intramural 3, 4 (só intramural)
Sangramento, infertilidade
Submucoso 0 (pediculado), 1, 2
*8: cervical / subseroso parasita
b. Diagnóstico
 USG: nódulo hipoecoico com vascularização periférica
 RM: antes de cirurgia de múltiplos miomas, antes de embolização (avalia distância da serosa – risco de
perfuração)
c. Tratamento
Assintomática Expectante
Sintomática
 Sangramento leve/moderado: clínico (ACO)
 Sangramento intenso + nulípara: miomectomia
 Sangramento intenso + multípara: histerectomia
*Miomectomia histeroscópica: só submucoso
*Embolização: multípara + múltiplos, mas não pediculados
Análogo do GnRH: diminui mioma e anemia no pré-operatório
*Muito efeito adverso – usar no max 6m
*ACO não diminui mioma, só diminui sangramento!
Degeneração
 Hialina: mais comum
 Rubra/necrose asséptica: dor na gravidez
 Sarcomatosa: rara, mioma que cresce após a menopausa
ADENOMIOSE
Tecido endometrial no miométrio hormônio-dependente
a. Clínica
 SUA
 Dismenorreia 2ª
 Útero aumentado difusamente
b. Diagnóstico
 USG: normal / miométrio heterogêneo
 RM: zona juncional mioendometrial > 12mm
 Biópsia: diagnóstico definitivo
c. Tratamento
 Histerectomia – definitivo
Outros: SIU progesterona (melhor!), ACO, ablação endometrial
35
Ana Bárbara Dias Lopes Urzedo – 2021
ENDOMETRIOSE
Endométrio (glândulas e estroma) fora do útero – maior expressão de aromatase e resistência a progesterona
Local mais comum: ovário > ligamento uterossacro
Infiltrativa profunda: penetra espaço retroperitoneal / órgãos pélvicos > 5mm de profundidade
a. Fisiopatologia – teorias
 Menstruação retrógrada
 Imunológica
 Metaplásica
b. Fatores de risco
 Menacme longo
 Primiparidade tardia
 Nuliparidade
 HF
 Raça branca
 Malformação uterina
 Excesso de álcool e café
c. Clínica
 Dismenorreia 2ª
 Infertilidade – aderências, distorções anatômicas, fluido peritoneal com prostaglandinas e citocinas
 Dispareunia de profundidade
*Melhora na gestação!
Exame físico:
 Nódulo ao toque vaginal / retal
 Útero fixo, doloroso
 Massa anexial – endometrioma
d. Diagnóstico
 USG-TV: endometrioma (aspecto em vidro fosco/moído)
 USG-TV com preparo intestinal: visualiza lesões intestinais, incluindo as camadas acometidas
 RM: ótimo, mas não vê implantes pequenos – se normal, NÃO exclui
 Laparoscopia: se falha no tratamento clínico – padrão-ouro
(controverso!)
*Atividade das lesões: vermelha > preta > branca
e. Tratamento
Dor
 Clínico: ACO / progesterona / análogo de GnRH / inibidores da aromatase
Se refratário: laparoscopia
*Não age na infertilidade e endometrioma!
Endometrioma (> 4-6cm)  Cistectomia – melhora infertilidade e dor
Infertilidade
 Leve: laparoscopia – retira implantes
 Grave: FIV
*CA-125: útil no controle do tratamento
Não há relação entre a intensidade da dor e o
tamanho da lesão!
Atualmente exame clínico + imagem são
suficientes para o diagnóstico!
36
Ana Bárbara Dias Lopes Urzedo – 2021
DISMENORREIA
PRIMÁRIA SECUNDÁRIA
 Surge com ciclos ovulatórios
 Dor inicia com fluxo e perdura por 2-3 dias
 Pode ter náuseas/vômitos, cefaleia, diarreia
 Responde à analgésicos comuns
 Não tem doença pélvica detectável – é de
exclusão!
 Pode diminuir após 20 anos ou 1ª gestação
*Aumento da produção endometrial de leucotrienos e
prostaglandinas > contração uterina > diminui fluxo
sanguíneo > hipoxia > dor
 Surge ao longo da menacme
 Pode ser progressiva
 Pode não responder à analgésicos comuns
 Presença de doença detectável – adenomiose,
endometriose, DIP, aderência.. / SII, doença de
Chron.. / síndrome da bexiga dolorosa, cistite..
/ escoliose, dor miofascial..
Tratamento
 AINE 1-2 dias antes do fluxo
 ACO
 SIU de Levonorgestrel
 MEV: atividade física + redução da ingesta de
gordura
Tratamento
 Depende da causa
CLIMATÉRIO
a. Conceito
 Vai dos primeiros indícios de falência ovariana até os 65 anos (senilidade)
 Engloba a perimenopausa (ciclos irregulares) e a pós-menopausa
 Menopausa: 46-52 anos – diagnóstico retrospectivo (12m sem menstruação)
Diminuição da quantidade e qualidade dos folículos > diminui inibina (produzida pelas células da granulosa) >
aumenta FSH > esgotamento folicular (menopausa) > cessa produção de estradiol e progesterona pelo ovário (mas
mantém produção de androgênios) > androgênio é convertido em estrona através da aromatização periférica no
tecido adiposo, mas não é suficiente
b. Diagnóstico
 Clínico!!!!
 FSH (> 40) / estradiol (< 20) – se insuficiência ovariana prematura (< 40 anos)
c. Clínica – hipoestrogenismo
 Irregularidade menstrual – mais precoce e mais comum
 Sintomas vasomotores (fogachos)
 Distúrbio do sono
 Diminuição da libido
 Alterações do humor
 Alterações atróficas
 Doenças CV
 Osteoporose
d. Tratamento
TERAPIA HORMONAL
1) Avaliação
Antes de iniciar Durante o uso
 Anamnese + exame físico
 Glicemia de jejum + lipidograma
 Mamografia
 Avaliar FR para DCV
 Lipidograma – anual se TH VO
 Glicemia de jejum – 3/3 anos
 Mamografia anual
 USG-TV – se SUA, TH estrogênica, alto risco
para CA de endométrio
Obesas: tem menos sintomas, mais risco
de CA de endométrio – maior conversão
periférica sem oposição da progesterona
37
Ana Bárbara Dias Lopes Urzedo – 2021
*Outros: USG-TV anual para todos, PSO, PCCU,
densitometria óssea
2) Indicações – primeiros 10 anos (janela de oportunidade) – após isso, aumenta risco CV
FOGACHOS
Com útero / Endometriose: E + P
Sem útero: E
Patologias: Parenteral
Colesterol: Comprimido
*Progesterona: VO ou SIU de Levonorgestrel
SÍNDROME
GENITURINÁRIA
Estrogênio local
DISFUNÇÃO SEXUAL +
OUTROS SINTOMAS
Tibolona (estrogênico + progestagênico + androgênico)
Diminui atrofia, melhora fogachos, diminui fraturas – estrogênicos
Melhora na função sexual, aumento da libido – androgênicos
3) Contraindicações
 CA de mama / lesões precursoras
 CA de endométrio
 SUA de causa desconhecida
 IAM / AVC / TVP / TEP
 Hepatopatia descompensada
 Porfiria
 LES
 Meningioma – para progesterona!
4) Riscos x Benefícios
Riscos Benefícios
 Aumenta DCV – fora da janela de oportunidade
(> 10 anos)
 Aumenta CA de mama – após 5º ano de TH
 Aumenta CA de endométrio
 Diminui DCV – dentro da janela de
oportunidade (< 10 anos)
 Diminui CA colorretal
TERAPIA NÃO HORMONAL
FOGACHOS
 Venlafaxina (ISRSN)
 Paroxetina (ISRS)
*Menos fluoxetina!
SÍNDROME GENITURINÁRIA  Lubrificantes vaginais
LIBIDO  Bupropiona
OSTEOPOROSE
Fraturas mais comuns: vertebrais, antebraço (Colles) e quadril (fêmur proximal)
a. Classificação
 Primária: ausência de doenças
 Secundária: decorrente de doenças ou medicamentos (corticoide!)
b. Fatores de risco
 Idade – principal!
 HF
 Raça branca
 Magras
 Hipoestrogenismo
c. Diagnóstico
▪ DENSITOMETRIA ÓSSEA
38
Ana Bárbara Dias Lopes Urzedo – 2021
Indicações:
 Mulheres ≥ 65 anos / Homens ≥ 70 anos
 Após menopausa
 Fratura por fragilidade
T-SCORE (compara com jovens) –
pós-menopausa
-1 a -2.5: osteopenia
≤ -2.5: osteoporose
FRATURA DE FRAGILIDADE
Queda de baixa impacto + fratura de
rádio / coluna / fêmur
*Z-SCORE (compara com a mesma idade) – crianças, menacme
d. Tratamento
CÁLCIO
*Ingesta diária 1.200mg/dia
 Carbonato de cálcio
 Citrato de cálcio – se nefrolitíase, gastrite
atrófica, CA gástrico, acloridria, bariátrica
BIFOSFONATOS
 Alendronato 70mg/semana VO
 Risendronato 35mg/semana VO
 Zolendronato 5mg/ano IV
*CI: TFG < 30
DENOSUMABE Indicações: TFG < 30, refratário
TERIPARATIDA
Indicações: osteoporose grave (T-score < -3.5)
*Máximo 2 anos, tem efeito anabólico
*Raloxifeno
FRAX: avalia a probabilidade de fratura

Ginecologia RESUMO TOP.pdf

  • 1.
    1 Ana Bárbara DiasLopes Urzedo – 2021
  • 2.
    2 Ana Bárbara DiasLopes Urzedo – 2021 Sumário SÍNDROMES DE TRANSMISSÃO SEXUAL ......................................................................................................................... 3 INCONTINÊNCIA URINÁRIA...........................................................................................................................................11 PROLAPSO GENITAL......................................................................................................................................................13 ONCOLOGIA..................................................................................................................................................................14 CICLO MENSTRUAL .......................................................................................................................................................26 ANTICONCEPÇÃO..........................................................................................................................................................27 AMENORREIA................................................................................................................................................................29 SANGRAMENTO UTERINO ANORMAL...........................................................................................................................32 CLIMATÉRIO..................................................................................................................................................................36
  • 3.
    3 Ana Bárbara DiasLopes Urzedo – 2021 GINECOLOGIA E OBSTETRÍCIA SÍNDROMES DE TRANSMISSÃO SEXUAL CORRIMENTO VAGINAL ALTO dor abdominal, dor anexial, alteração do estado geral, alteração laboratorial, febre..  DIP BAIXO  Vulvovaginite  Cervicite *Exame especular diferencia! FISIOLÓGICO: consistência flocular, transparente/branco, pH 4-4.5, bacilos gram positivos (Lactobacilos – bacilos de Doderlein), alguns leucócitos VAGINOSE BACTERIANA – mais comum, NÃO é DST! a. Etiologia  Gardnerella vaginalis (ou outros anaeróbios) *Só ter Gardnerella não significa ter vaginose, pois pode fazer parte da microbiota vaginal! b. Fisiopatologia Perda da microbiota vaginal normal (diminui Lactobacilos > diminui ácido lático > pH mais alto) > aumenta proliferação de outras bactérias c. Diagnóstico Critérios de Amsel (3 de 4):  Corrimento branco acinzentado, fino, homogêneo – pode ter microbolhas  pH > 4.5  Teste das aminas/KOH/whiff positivo – odor piora com coito e menstruação  Clue cells (células alvo) – bactérias aderidas na membrana celular Vaginose bacteriana (clue cells) Critérios de Nugent (gram): padrão-ouro (MS)! d. Tratamento  Metronidazol 500mg VO 12/12h por 7 dias  Clindamicina 300mg VO 12/12h por 7 dias *Efeito antabuze! *Pode usar em gestante *NÃO trata parceiro! *Vitamina C
  • 4.
    4 Ana Bárbara DiasLopes Urzedo – 2021 CANDIDÍASE – 2ª mais comum a. Etiologia  Candida *Faz parte da microbiota vaginal! b. Fisiopatologia Aumento do calor e umidade local > aumenta proliferação fúngica c. Diagnóstico  Corrimento branco aderido tipo “nata de leite”, grumoso, inodoro  Prurido intenso  Hiperemia  pH < 4.5  Pseudo-hifas Candidíase Tratamento  Miconazol creme por 7 dias  Nistatina creme por 14 noites  Fluconazol 150mg VO – se recorrente *NÃO trata parceiro! TRICOMONÍASE – é uma DST! a. Etiologia  Trichomonas vaginalis *Sempre patológica, por isso sempre trata! É sinal de contato sexual! *Pode alterar o PCCU: tratar e repetir após 3m b. Diagnóstico  Corrimento amarelo-esverdeado, bolhoso, odor fétido  Teste das aminas/KOH/whiff positivo  Colo em framboesa/morango – colpite focal  pH > 5  Schiller de aspecto tigroide  Protozoário móvel flagelado Tricomoníase Recorrente  ≥ 4/ano  Fluconazol VO 150mg 1cp dias 1/4/7 > 1cp/semana por 6 meses
  • 5.
    5 Ana Bárbara DiasLopes Urzedo – 2021 c. Tratamento  Metronidazol 500mg VO 12/12h por 7 dias  Convocar e tratar parceiro: Metronidazol 2g VO dose única *Efeito antabuze! *Rastrear outras DST! VAGINOSE CITOLÍTICA Aumento da proliferação de Lactobacilos *Fase lútea, gestação, DM  Corrimento branco grumoso, inodoro  Prurido  pH < 4.5  Poucos sinais inflamatórios  Ausência de patógenos + Lactobacilos abundantes + núcleos nus (citólise) Bicarbonato de sódio vaginal Vaginose citolítica VAGINITE ATRÓFICA Pós menopausa > hipoestrogenismo > parede vaginal fina  Corrimento amarelado  Prurido  pH > 5  Ausência de patógenos + aumento de PMN + aumento de células basais e parabasais Estrogênio vaginal VAGINITE INESPECÍFICA Má higiene > germes saprófitas multiplicam-se e tornam-se agressivos *Ausência de agente etiológico específico! Crianças!  Leucorreia  Prurido  Ardência  Hiperemia Pesquisar corpo estranho + EPF para oxiuríase + higiene CERVICITES a. Etiologia  Neisseria gonorrhoeae – gonococo  Chlamydia trachomatis – clamídia b. Fatores de risco  Transmissão sexual c. Diagnóstico  Corrimento cervical  Colo hiperemiado e friável
  • 6.
    6 Ana Bárbara DiasLopes Urzedo – 2021  Sinusorragia – sangramento pós coito  Dispareunia Gonococo = diplococo gram negativo Clamídia = bacilo gram negativo d. Tratamento  Ceftriaxona 500mg IM + Azitromicina 1g VO *Tratar parceiro! *Rastrear outras DST Gram disponível? NÃO > trata gonococo + clamídia (Ceftriaxona + Azitromicina) SIM > Diplococo gram negativo (gonococo)? Sim: trata gonococo + clamídia (Ceftriaxona + Azitromicina) Não: trata clamídia (Azitromicina) BARTOLINITE a. Etiologia  Neisseria gonorrhoeae – gonococo  Chlamydia trachomatis – clamídia b. Tratamento  Marsupialização  Bartolinectomia  Drenagem – porém tem alta recorrência DIP a. Etiologia  Neisseria gonorrhoeae – gonococo  Chlamydia trachomatis – clamídia *Depois torna-se polimicrobiana b. Diagnóstico MAIORES/MÍNIMOS  Dor hipogástrica  Dor anexial  Dor à mobilização do colo MENORES/ADICIONAIS  Febre  Leucocitose  Aumento de VHS/PCR  Cervicite – cultura para gonococo + PCR para clamídia DEFINITIVOS/ELABORADOS  Endometrite na biópsia  Abscesso tubo-ovarino (massa anexial palpável) ou no fundo de saco  DIP na laparoscopia: aderência em corda de violino, edema tubário, exsudato purulento nas tubas 3 maiores + 1 menor OU 1 definitivo/elaborado Ceftriaxona = gonococo Azitromicina = clamídia
  • 7.
    7 Ana Bárbara DiasLopes Urzedo – 2021 c. Tratamento CLASSIFICAÇÃO DE MONIF 1- DIP não complicada 2- DIP com peritonite 3- DIP com oclusão da trompa/abscesso 4- DIP com abscesso > 10cm ou roto DIP 1 Ambulatorial  Ceftriaxona 500mg IM dose única +  Metronidazol 500mg VO 12/12h 14 dias +  Doxiciclina 100mg VO 12/12h 14 dias + Reavaliar em 48-72h! DIP 2, 3, 4 gestante, sem melhora > 48-72h Hospitalar  Ceftriaxona 1g IV 14 dias +  Metronidazol 400mg IV 12/12h 14 dias +  Doxiciclina 100mg VO 12/12h 14 dias *DIP 4: + cirurgia! *Opção: Clindamicina + Gentamicina IV *Não precisa tirar DIU – mas se tirar, iniciar ATB antes! d. Complicações  Infertilidade – oclusão tubária  Gravidez ectópica  Dor pélvica crônica  Hidrossalpinge  Síndrome de Fitz-Hugh-Curtis: aderência peri-hepática em cordas de violino > peri-hepatite > dor pleurítica + dor em HD Hidrossalpinge Sd. Fitz-Hugh-Curtis
  • 8.
    8 Ana Bárbara DiasLopes Urzedo – 2021 CORRIMENTAL URETRAL URETRITE = CERVICITE! ÚLCERA GENITAL 1) MÚLTIPLAS? Sim Não  Herpes  Cancro mole  Donovanose  Sífilis  Linfogranuloma 2) DOLOROSAS? Sim Não  Herpes – limpa  Cancro mole – suja  Sífilis  Linfogranuloma  Donovanose *CHora de dor 3) FISTULIZAÇÃO DE LINFONODOS? Sim Não  Cancro mole – único  Linfogranuloma – múltiplos  Sífilis  Herpes  Donovanose HERPES a. Etiologia  Herpes simplex b. Diagnóstico  Vesículas e úlceras dolorosas, fundo limpo  Adenopatia dolorosa que não fistuliza  Sintomas prodrômicos (mal estar, mialgia, febre) *Teste de Tzanck: células multinucleadas (gigantes), balonização celular – não é específico c. Tratamento  Aciclovir 400mg 3x/dia por 7 dias (primo-infecção) ou 5 dias (recorrência)  Se ≥ 6/ano: tratamento supressivo por 6m CANCRO MOLE a. Etiologia  Haemophilus ducreyi – coco gram negativo b. Diagnóstico  Múltiplas úlceras, dolorosas, fundo sujo  Adenopatia que fistuliza por 1 orifício Gestante:  Mesmo tratamento, mas para evitar recidiva, considerar Aciclovir > 36 semanas  Herpes ativo no parto = cesárea!
  • 9.
    9 Ana Bárbara DiasLopes Urzedo – 2021 c. Tratamento  Azitromicina 1g dose única VO  Ceftriaxona 500mg IM *Trata parceiro! *Rastrear outras DST SÍFILIS a. Etiologia  Treponema pallidum – espiroqueta b. Clínica Primária  Úlcera única, indolor, fundo limpo que some sozinha (mesmo sem tratamento) – cancro duro Secundária – após 6 semanas a 6m do cancro  Condiloma plano  Lesão cutaneomucosa não ulcerada Terciária – após 2 a 40 anos do cancro  Goma sifilítica: tumoração com liquefação  Tabes dorsalis  Aneurisma aórtico  Artropatia de Charcot c. Laboratório Campo escuro Padrão ouro na sífilis primária Treponêmico – FTA-abs, TR Positiva primeiro, mas fica positivo pra sempre Não treponêmico – VDRL Positiva após 1-3 semanas *Solicitar os 2 para diagnóstico!  Ideal iniciar com TR (treponêmico)  Se discordância: pedir outro teste treponêmico  Gestante: com 1 teste positivo > inicia tratamento + pede outro exame diferente d. Tratamento  Penicilina benzatina Primária / Secundária / Latente recente (< 1ano) / Parceiro 1 dose de 2.4 milhões IM Terciária / Latente tardia (> 1 ano) / Indeterminada 3 doses/semana de 2.4 milhões IM *Se alergia: dessensibilização *Tratar parceiro! *Rastrear outras DST Fenômeno de Jarisch-Herxheimer: exacerbação das lesões cutâneas, febre, cefaleia, artralgia após 24h do inicio do tratamento e tem regressão espontânea
  • 10.
    10 Ana Bárbara DiasLopes Urzedo – 2021 Controle de cura:  VDRL trimestral (gestante: mensal!): tem que cair > 2 diluições em 3 meses e 4 diluições até 6 meses *Cicatriz sorológica: VDRL positivo com queda > 2 diluições após tratamento adequado tendo descartado nova exposição de risco LINFOGRANULOMA a. Etiologia  Chlamydia trachomatis L1, L2, L3 b. Diagnóstico  Pápula/úlcera indolor que some sozinha  Adenopatia dolorosa que fistuliza por múltiplos orifícios (em “bico de regador”) c. Tratamento  Doxiciclina 100mg VO 12/12h por 14-21 dias C Cervicite L Linfogranuloma A Adenite que fistuliza M Múltiplos orifícios I Imunofluorescência Di Doxiciclina – linfogranuloma A Azitromicina – cervicite DONOVANOSE a. Etiologia  Klebsiella (Calymmatobacterium) granulomatis b. Diagnóstico  Úlcera profunda, crônica, indolor – dd com CA!  Biópsia: corpúsculos de Donovan c. Tratamento  Azitromicina 1g VO 1x/semana por 21 dias  Doxiciclina 100mg VO 12/12h por 21 dias ÚLCERA SEM LABORATÓRIO Úlcera > 4 semanas? SIM: tratar tudo Tratamento inadequado na gestação:  Incompleto  Outra medicação  Iniciado < 30 dias do parto
  • 11.
    11 Ana Bárbara DiasLopes Urzedo – 2021 NÃO: tem vesícula? - Sim: tratar herpes - Não: tratar sífilis + cancro mole VIOLÊNCIA SEXUAL  Notificação compulsória imediata (até 24h)  Se for adolescente, acionar Conselho Tutelar  Comunicar autoridade policial (nota do MS??)  Não é obrigatório fazer BO  Para aborto: apenas termo de consentimento e mais nada! – só pode ser feito até 20-22 semanas ou peso < 500g Conduta: 1) Pedir exames para rastrear DST 2) Contracepção de emergência, SN (se uso irregular de ACO, apenas camisinha etc):  Levonorgestrel 1.5mg VO (até 5 dias) 3) Profilaxia de DST VIRAIS HIV Tenofovir (TDF) + Lamivudina (3TC) + Dolutegravir (DTG) até 72h Hepatite B Imunoglobulina (se abusador com HB ou de grupo de risco) até 14 dias + Vacina (SN) NÃO VIRAIS Sífilis Penicilina benzatina 2.4 milhões IM dose única Gonorreia Ceftriaxona 500mg IM dose única Clamídia, Cancro mole Azitromicina 1g VO dose única Tricomoníase Metronidazol 2g VO dose única HIV NA GESTAÇÃO AVALIAR CV > 34 SEMANAS: CV indetectável: parto vaginal (sem AZT) CV < 1.000: AZT por 3h + parto vaginal CV > 1.000: AZT por 3h + cesárea eletiva *Contraindicação absoluta à amamentação – cabergolina! INCONTINÊNCIA URINÁRIA 1) URINA ROTINA + UROCULTURA *Hematúria sem ITU + > 50 anos + tabagista = cistoscopia 2) MOBILIDADE DO COLO VESICAL  Teste do cotonete  USG 3) URODINÂMICA – padrão-ouro Indicações:  De esforço sem perda no exame físico  Falha no tratamento clínico  Antes do tratamento cirúrgico  Associado a prolapso grande – o prolapso pode mascarar a incontinência urinária por obstrução > após cirurgia, a incontinência se manifesta Fístula vesico/ureterovaginal FR: cirurgia pélvica, radioterapia *Ureterovaginal: perda de urina pela vagina com micção normal Transbordamento – bexiga não contrai (bexigoma) FR: lesões neurológicas, DM Atrofia vaginal (hipoestrogenismo) pode causar incontinência urinária de esforço pelo encurtamento da uretra atrófica! *Controverso
  • 12.
    12 Ana Bárbara DiasLopes Urzedo – 2021 Urofluxometria  Esvaziamento inicial: volume, fluxo máximo e volume residual Cistometria – fase de enchimento Não pode ter:  Atividade do detrusor  Perda de urina  Dor *Compara pressão vesical com abdominal (retal) Estudo miccional – estudo de fluxo-pressão Obstrução x hipocontratilidade BEXIGA HIPERATIVA INCONTINÊNCIA DE ESFORÇO CLÍNICA Urgência miccional, polaciúria, noctúria Contração não inibida do detrusor *O diagnóstico é clínico! Tosse, espirro Hipermobilidade vesical: PPE > 90 cmH2O Defeito esfincteriano: PPE < 60 cmH2O *PPE = pressão de perda ao esforço TTO Clínico  Perda de peso, diminuir consumo de cafeína e fumo, treinamento vesical  Fisioterapia – exercícios perineais, eletroestimulação  Anticolinérgicos (M2, M3): Oxibutinina / Tolterodina / Darifenacina / Solifenacina – muito efeito colateral  Imipramina – 2ª linha  B3-agonista: Mirabegrona – relaxa detrusor + diminui acetilcolina Clínico  Perda de peso  Fisioterapia – Kegel, biofeedback  Duloxetina – aumenta suicídio  Agonistas alfa-adrenérgicos – aumenta AVE Cirúrgico  Sling – TVT (preferir!), TOT *Se TVT: cistoscopia intraoperatório! *CI dos anticolinérgicos: arritmias, glaucoma de ângulo fechado, gestação / lactação Bexiga hiperativa Síndrome da bexiga dolorosa  Urgência miccional e polaciúria + dor à distensão vesical que alivia ao esvaziar  Cistoscopia: úlcera de Hunner  Diagnóstico: de exclusão
  • 13.
    13 Ana Bárbara DiasLopes Urzedo – 2021 Incontinência de esforço PROLAPSO GENITAL PROLAPSO UTERINO *Alongamento hipertrófico do colo: cervicometria alterada (diferença > 2 entre o ponto C e D) Sintomáticas:  Histerectomia vaginal total  Manchester – se alongamento hipertrófico do colo / caso leve com desejo reprodutivo Sintomáticas de alto risco:  Colpocleise (LeFort) – contraindicar se vida sexual ativa  Pessários – + incontinência de esforço PROLAPSO DE CÚPULA – pós histerectomia  Fixar cúpula ao promontório/sacroespinhoso/uterossacro  Colpocleise (LeFort) PROLAPSO DE PAREDE ANTERIOR – cistocele *Defeito paravaginal (80%)  Colporrafia/colpoperineoplastia anterior com correção da fáscia pubovesicocervical  Tela – se recidiva PROLAPSO DE PAREDE POSTERIOR – retocele  Colporrafia posterior com correção da fáscia retovaginal *Enterocele: exérese do saco herniário com obliteração do fundo de saco CLASSIFICAÇÃO POP-Q Aa, Ba Parede anterior Ap, Bp Parede posterior C Colo ou cúpula D+: colo D-: cúpula D só tem quem tem útero Fundo de saco de Douglas
  • 14.
    14 Ana Bárbara DiasLopes Urzedo – 2021 CVT Comprimento vaginal total CP Corpo perineal – distância entre o ânus e a vagina (< 3 na rotura perineal) Negativo: antes do hímen Positivo: além do hímen *Carúncula himenal: ponto 0 I < -1 II -1 e +1 III ≥ +2, mas não total IV Total (> CVT – 2cm) ANATOMIA SUSTENTAÇÃO 1) DIAFRAGMA PÉLVICO  M. levantador do ânus – pubococcígeo + puborretal + iliococcígeo  M. coccígeo 2) DIAFRAGMA UROGENITAL  M. transverso profundo  Esfíncter uretral externo 3) FÁSCIA ENDOPÉLVICA SUSPENSÃO 1) ANTERIORES  Lig. pubovesicouterinos 2) LATERAIS  Lig. cardinais 3) POSTERIORES  Lig. uterossacros ONCOLOGIA MAMA DERRAME PAPILAR Lácteo Hiperprolactinemia  Gestação  Medicamentosa – psicotrópicos  Prolactinoma (> 100)  Hipotireoidismo Multicolor (verde/amarelo/marrom)  Alteração funcional benigna da mama – + adensamento + mastalgia cíclica  Ectasia ductal – múltiplos ductos, bilateral, à expressão Sanguíneo  Papiloma intraductal – principal causa  CA Investigar – Ressecção ductal  Espontâneo  Uniductal  Unilateral  “Água de rocha”  Sanguinolento *Mesmo com exame de imagem normal!!!!!!
  • 15.
    15 Ana Bárbara DiasLopes Urzedo – 2021 MASTALGIA Cíclica Acíclica Fase lútea Bilateral em QSE Ex: alteração funcional da mama *Orientar e melhorar sustentação! Mamária ou não Unilateral Ex: mastite, abscesso, neuralgia, angina NÓDULO PALPÁVEL 1) EXAME CLÍNICO Suspeito:  Aderido  Irregular  Pétreo 2) PAAF – diferencia sólido x cístico Amarelo esverdeado Sem lesão residual > 2 recidivas Sanguinolento Lesão residual Sólido USG / MMG USG / MMG + Biópsia *Pode ser terapêutica no esvaziamento de macrocisto sintomático! *Se negativo, NÃO EXCLUI CA! 3) USG/MMG ▪ USG Indicações:  Diferenciar sólido x cístico  MMG inconclusiva  Jovem e gestante – mama densa Benigno Maligno  Anecoico  Homogêneo  Bem delimitado  Reforço acústico posterior  Ovo deitado  Misto  Heterogêneo  Mal delimitado  Sombra acústica posterior  Ovo em pé US: benigno US: maligno Provavelmente benignos MMG é o método de rastreio SEMPRE! Inclusive em próteses mamárias
  • 16.
    16 Ana Bárbara DiasLopes Urzedo – 2021 Suspeitos ▪ RM Indicações:  Prótese mamária  Múltiplas cirurgias  BI-RADS 0 *Não mostra microcalcificações e lesões < 2mm ▪ MMG – único que vê microcalcificações!! Mediolateral – superior (perto do peitoral), inferior Craniocaudal – externo (superior), interno (inferior) Calcificações suspeitas Achados suspeitos
  • 17.
    17 Ana Bárbara DiasLopes Urzedo – 2021 BI-RADS 0 Inconclusivo Mama densa USG / RM / Compressão localizada 1 Nenhuma alteração Só mama Repetir de acordo com idade 2 Alteração benigna Regular, homogênea, calcificação grosseira/em pipoca/vascular Repetir de acordo com idade 3 Provavelmente benigna - Repetir em 6 meses (acompanha por 3 anos) 4/5 Provavelmente maligna Espiculado, microcalcificações pleomórficas agrupadas Biópsia 6 CA confirmado Avaliar resposta ao tratamento - ▪ BIÓPSIA  Core biopsy / PAG: vários disparos  Mamotomia: disparo único, de escolha em microcalcificações  Biópsia cirúrgica: padrão-ouro, PAG / mamotomia inconclusiva *Se impalpável/microcalcificações: estereotaxia MALIGNAS – CA DE MAMA a. Fatores de risco – hormônio dependente  Sexo feminino  Idade  HF 1º grau (mãe, irmã, filha)  Mutação BRCA 1 e 2  Nuliparidade  Menacme prolongado  Dieta rica em gordura  Obesidade pós-menopausa  Álcool  CA in situ (ductal ou lobular)  Hiperplasia atípica – ressecção! *Não tem relação: tabagismo, ACO b. Rastreamento MS 50-69 anos: MMG 2/2 anos Alto risco: > 35 anos MMG anual FEBRASGO 40-69 anos: MMG anual *Alto risco: mutação BRCA, hiperplasia atípica, 1º grau < 50 anos, bilateral ou ovário, HF de CA de mama masculino c. Tipos histológicos Ductal infiltrante / Não especial  Invasor mais comum  Bom prognóstico Lobular infiltrante  Bilateral e multicêntrico CA inflamatório  Localmente avançado – T4d  Aspecto em “casca de laranja” Paget  Descamação unilateral com destruição do complexo areolopapilar  Biópsia: incluir pele na ressecção *Diferenciar de eczema – pruriginoso, não destrói complexo, melhora com corticoide Incisional Excisional Lesões grandes Lesões pequenas, cistos Principal FR para recidiva: acometimento linfonodal BRCA Gene supressor tumoral Autossômica dominante 1: c17, pré-menopausa 2: c13, pós-menopausa METÁSTASE – disseminação linfática 1) Ossos 2) Pulmão 3) Fígado 4) Cérebro
  • 18.
    18 Ana Bárbara DiasLopes Urzedo – 2021 d. Imuno-histoquímica Luminal A – melhor prognóstico, mais velhas RH + HER – Ki67 baixo (< 14%) Luminal B RH + HER – / + Ki67 alto (> 14%) Triplo negativo – jovens RH – HER – Superexpressão HER RH – HER + e. Estadiamento 1 < 2cm sem invasão 2 2-5cm com invasão dos linfonodos axilares 3 > 5cm com invasão dos linfonodos torácicos ou da pele 4 Invade linfonodo contralateral ou metástase f. Tratamento ▪ CIRURGIA CONSERVADORA – Segmentectomia/Quadrantectomia + RT pós operatória  < 3.5cm  < 20% da mama RADICAL – Madden, Patey  Localmente avançado  Multicêntrico  Relação mama/tumor ruim  Gestação  Impossibilidade de realizar RT pós conservadora *Não faz cirurgia se tiver metástase! Linfonodo sentinela  Negativo: evita esvaziamento axilar completo  Positivo ou clínica positiva: esvaziamento axilar completo *< T1/T2 + axila livre + sentinela até 2 linfonodos positivos: não precisa do esvaziamento ▪ QUIMIOTERAPIA ADJUVANTE  > 1cm (palpável)  Linfonodo positivo  Metástase  RE/RP –  Expressão de HER2 NEOADJUVANTE – antes da cirurgia  Localmente avançado (CA inflamatório) ▪ RADIOTERAPIA ADJUVANTE – controle local Indicações:  Cirurgia conservadora  > 4cm  ≥ 3 linfonodos acometidos ▪ HORMONIOTERAPIA – Tamoxifeno (SERM) ou Inibidor da Aromatase por 5 anos Indicações:  RE/RP + NÃO PESQUISAR: tumor localmente avançado, axila clinicamente positiva Complicações do esvaziamento radical  Lesão do nervo torácico longo (m. serrátil anterior): escápula alada  Linfedema
  • 19.
    19 Ana Bárbara DiasLopes Urzedo – 2021 Inibidores da aromatase – anastrozol Pós menopausa Aumenta desmineralização óssea Inibidores da recaptação do estrogênio – tamoxifeno Pré menopausa Aumenta CA de endométrio e trombose ▪ TERAPIA ALVO DIRIGIDA – Transtuzumabe, menos efeito adverso Indicações:  Superexpressão HER2 (3+) BENIGNAS FIBROADENOMA  Mais comum  Jovens (20-35 anos)  Nódulo bem delimitado, móvel, regular, consistência fibroelástica  Retirar se: > 35 anos, crescimento rápido TUMOR FILOIDES  Parece fibroadenoma, mas cresce muito rápido (estroma hipercelular)  30-50 anos  Tratamento: exérese com margem – tendência à recidiva ESTEATONECROSE  Nódulo após trauma ALTERAÇÃO FUNCIONAL BENIGNA DA MAMA  Pode se manifestar como adensamento, cisto, mastalgia cíclica ou derrame papilar multicolor ABSCESSO SUBAREOLAR RECIDIVANTE  Tabagista, 30-50 anos  Doença congênita da papila  Tratamento: ATB OVÁRIO a. Fatores de risco  HF – principal (3x)  Idade (> 60 anos)  Mutação BRCA 1 e 2  Dieta rica em gordura  Obesidade  Menacme longo  Nuliparidade  Indutor de ovulação  Tabagismo – mucinoso b. Fatores de proteção  Amamentação  Multiparidade  Uso de anovulatório  Laqueadura tubária / fimbriectomia c. Diagnóstico 1) CLÍNICA + USG – suspeita S Sólida U USG Doppler com baixa resistência (< 0.4) – neovascularização S Septações espessas (> 3mm) P Papilas E Espessamento de parede I Irregular T Tamanho > 8cm A Antes ou após menacme / Ascite METÁSTASE – disseminação transcelômica Fígado *NUNCA faz punção!
  • 20.
    20 Ana Bárbara DiasLopes Urzedo – 2021 Não existe rastreamento!!!! CA-125  Principal marcador  NÃO é específico! 2) HISTOPATOLÓGICO – definitivo MALIGNAS Epiteliais Adenocarcinoma seroso  Mais comum  CA 125 Adenocarcinoma mucinoso  Pseudomixoma peritoneal – também ocorre no tumor de apêndice  CA 19.9, CEA Células claras  Pior prognóstico dos epiteliais – “sombrio” Germinativo Disgerminoma  Germinativo maligno mais comum  Crianças  Disseminação linfática  Sensível à RT  LDH Embrionário  Puberdade precoce  AFP, HCG Teratoma imaturo  Contém tecidos fetais pouco diferenciados Seio endodérmico  Pior prognóstico dos germinativos  AFP *Na infância, 80% dos tumores ovarianos são malignos *Pedir cariótipo! Cordão sexual Androblastoma  Androgênios  Virilização *SDHEA normal – dd com tumor adrenal Metastáticos Krukenberg  Tumor primário do TGI (maioria gástrico)  Presença de células em anel de sinete d. Estadiamento I – Limitado ao ovário IA 1 ovário IB 2 ovários IC 1/2 ovários + superfície externa do ovário/ruptura da cápsula/lavado peritoneal ou ascítico II – Invade cavidade pélvica IIA Invade tubas/útero IIB Invade outros órgãos pélvicos IIC Invade lavado peritoneal ou ascítico Ruim: CA ovário inicial pode dar normal, inespecífico (aumenta em DIP, mioma, gravidez..) Bom: complementa avaliação tumoral, seguimento pós tratamento
  • 21.
    21 Ana Bárbara DiasLopes Urzedo – 2021 III – Acometimento peritoneal ou linfonodal IIIA Invade peritoneo microscopicamente IIIB Invade peritoneo < 2cm IIIC Invade peritoneo > 2cm ou linfonodo retroperitoneal/inguinal IV – Metástase IV Invade órgãos a distancia – fígado, pleura.. *A ruptura da cápsula durante a cirurgia altera o estadiamento de IA para IC1 e. Tratamento ▪ CIRURGIA FUNDAMENTAL – Laparotomia  Lavado peritoneal + biópsias peritoneais + histerectomia total + anexectomia bilateral + omentectomia infracólica + ressecção de implantes, linfonodos pélvicos e para-aórticos *Se mucinoso: + apendicectomia Se desejo de engravidar:  Epitelial + estádio IA (Apenas 1 ovário) G1/G2 ou borderline: avaliar salpingooforectomia unilateral ▪ CIRURGIA DE CITORREDUÇÃO – melhora resposta à QT  Visa retirar o máximo possível de tumor – ótima se restar < 1cm Se doença avançada: QT neoadjuvante (3 ciclos) > cirurgia de citorredução > QT adjuvante ▪ QT ADJUVANTE  Todos, exceto IA e IB (Bilateral) G1/G2 BENIGNAS NÃO NEOPLÁSICOS Cistos funcionais – mais comum Folicular  Cisto funcional mais comum  Cisto simples > 3cm Corpo lúteo hemorrágico  2º cisto funcional mais comum  Dor pélvica – dd com gravidez ectópica  USG: aspecto heterogêneo/reticular, doppler com anel de fogo com baixa resistência  Conduta: expectante (ACO evita novos cistos) / cirurgia se dor intensa ou instabilidade Endometrioma  Líquido achocolatado  Conduta: excisão se sintomático – não responde à medicamento! Abscesso  Debris ecogênicos + septações + febre NEOPLÁSICOS Teratoma benigno / maduro / dermoide – mais comum  Formação heterogênea, com calcificações e sombra acústica  Risco de torção anexial  Conduta: cirurgia Cistoadenoma  Seroso: multiloculado, corpos de Psammoma  Mucinoso: atinge grandes dimensões Struma ovarii  Contém tecido tireoidiano – crises tireotóxicas! Fibromas  Síndrome de Meigs: tumor de ovário benigno (fibroma ou Brenner) + ascite + derrame pleural Tumor de Brenner  Epitélio semelhante ao urotélio (de transição)  Síndrome de Meigs Cirurgia: diagnóstico + estadiamento (biópsia de congelação) + tratamento
  • 22.
    22 Ana Bárbara DiasLopes Urzedo – 2021 Cisto persistente / Cisto na pós menopausa: CA-125 Tratamento  Expectante  Ooforoplastia COLO DE ÚTERO a. Conceitos Endocérvice Epitélio colunar/cilíndrico/glandular Ectocérvice Epitélio escamoso JEC Onde os 2 epitélios se encontram – é dinâmica, varia com estímulo hormonal! Ectopia/Eversão JEC exteriorizada – mácula rubra Metaplasia escamosa Ectopia > acidez vaginal > transformação do epitélio cilíndrico da endocérvice em epitélio escamoso da ectocérvice *É fisiológico!!!!!! Zona de transformação – onde surge o CA Área onde a metaplasia escamosa ocorre – área entre a JEC original e a nova JEC Tipo 1: totalmente na ectocérvice Tipo 2: parte na endocérvice, porém visível Tipo 3: parte na endocérvice, não visível Cistos de Naboth Metaplasia escamosa > oclusão de glândulas do epitélio colunar b. Características  Mais comum: epidermoide / escamoso / espinocelular (HPV 16)  2º mais comum: adenocarcinoma (HPV 18)  Evolução lenta (10-15 anos) c. Fatores de risco  HPV + fatores de risco para IST  Idade > 30 anos  Tabagismo  Imunodepressão HPV – 16, 18 VACINAÇÃO: Geral: quadrivalente (6, 11, 16, 18) em 2 doses (0, 6m) – meninas 9-14 anos, meninos 11-14 anos HIV, transplante, CA: 3 doses (0, 2, 6m) – meninas 9-45 anos, meninos 9-26 anos d. Clínica  Dor, corrimento, sinusorragia – estágios avançados e. Rastreamento Colpocitologia 1) QUANDO COLHER? – 123  1x/ano > após 2 negativos > a cada 3 anos  25-64 anos, após sexarca HPV é um fator necessário, mas não suficiente, para o CA!
  • 23.
    23 Ana Bárbara DiasLopes Urzedo – 2021 Situações especiais Gestante Tudo igual HIV / imunodepressão Após sexarca 6/6m no 1º ano > anual *CD4 < 200: manter 6/6m Virgem / Histerectomia total por doença benigna Não faz 2) COMO COLHER?  Coleta ectocervical – espátula de Ayre 360 graus  Coleta endocervical – escova dentro do OEC 3) COMO CONDUZIR? – Bethesda LIE-BG (LSIL) – manifestação citológica do HPV Repetir  < 25 anos: 3 anos  ≥ 25 anos: 6m 2 alterados > colposcopia ASC-US Repetir  < 25 anos: 3 anos  25-29 anos: 1 ano  ≥ 30: 6m ASC-H Colposcopia AGC (AGUS) Colposcopia + avaliar canal endocervical (escovado, curetagem, histeroscopia) + avaliar endométrio (≥ 35 anos) LIE-AG (HSIL) Colposcopia AOI (origem indefinida) Colposcopia Parece CA Colposcopia HIV / imunodepressão Colposcopia *Coilocitose, discariose e disceratose: efeito citopático do HPV f. Diagnóstico Colposcopia + Biópsia  Ácido acético – marca proteínas do epitélio alterado: área acetobranca  Teste de Schiller (lugol) – marca glicogênio das células normais: iodo negativo (Schiller positivo)  Vasos atípicos – achado mais suspeito de invasão Se não visualizou JEC (colposcopia insatisfatória): abrir mais o espéculo / espéculo endocervical / estrogênio Resultados da biópsia – Richart NIC I – não vira CA (80% regride)  Acompanhar Permanecer por 2 anos: acompanhar / destrutivo (crioterapia, cauterização) NIC II NIC III  Exérese EZT I (CAF) / EZT II: resto EZT III (Cone): suspeita de invasão, não vê limite da lesão, JEC não visível *< 20 anos: colposcopia 6/6m por 2 anos CA Estadiamento *Ver e tratar: LIE-AG > 25 anos com lesão visível (limite, JEC) na colposcopia pode já fazer EZT antes da biópsia *NIC II/III com margens comprometidas: colposcopia 6/6m por 2 anos GESTANTE: suspeita de invasão: biópsia sem suspeita de invasão: citologia 90 dias após parto
  • 24.
    24 Ana Bárbara DiasLopes Urzedo – 2021 g. Estadiamento – é CLÍNICO!!!! 0 – carcinoma in situ - *Se já fez EZT III (Cone), já está tratado! 1 – restrito ao colo uterino IA1 < 3mm IA2 3-5mm IB1 5mm-2cm IB2 2-4cm IB3 ≥ 4cm 2 – invasão perto IIA1 Parte superior da vagina < 4cm IIA2 Parte superior da vagina ≥ 4cm IIB Paramétrio 3 – invasão mais longe IIIA Terço inferior da vagina IIIB Parede pélvica/ureter (hidronefrose) IIIC1 Linfonodo pélvco IIIC2 Linfonodo paraórtico 4 – invasão distante IVA Bexiga e reto IVB À distância h. Tratamento 0 EZT III (cone) IA1 Histerectomia tipo 1 – quer engravidar: EZT III IA2 Histerectomia tipo 2 + linfadenectomia pélvica IB1 / IB2 Histerectomia tipo 3 (Wertheim-Meigs) IB3 / IIA1 Histerectomia tipo 3 (Wertheim-Meigs) ou QT + RT ≥ IIA2 QT + RT *Pode fazer RT primária em qualquer estágio – exceto IVB Do condiloma acuminado – HPV 6, 11  Cautério/laser: lesão extensa  Ácido tricloroacético: lesão pequena, gestante  Imunomodulador: uso domiciliar, pior resposta VULVA a. Características  Idosas (70-80 anos)  Mais comum: escamoso / epidermoide / espinocelular  Local mais comum: grandes lábios  Disseminação linfática b. Fatores de risco  HPV  Tabagismo  Linfogranuloma venéreo  Líquen c. Clínica  Prurido – mais comum (70%) d. Diagnóstico Teste de Collins + Biópsia e. Tratamento *Wertheim-Meigs: histerectomia total + retirada de paramétrios, uterossacros e terço superior da vagina + linfadenectomia pélvica Anexectomia não é obrigatória!
  • 25.
    25 Ana Bárbara DiasLopes Urzedo – 2021  > 2cm (> IB): vulvectomia f. Diagnóstico diferencial Líquen escleroso  Prurido, dispareunia  Placas hipocrômicas, brilhantes, com fusão de pequenos/grandes lábios  Lesão “em 8” / “em fechadura”, simétrica, envolve região perianal  Poupa mucosa – dd com líquen plano  Tratamento: corticoide tópico ENDOMÉTRIO Suspeita de CA USG na menopausa > 4mm sem TRH / > 8mm com TRH Colpocitologia na menopausa Presença de células endometriais a. Características Tipo I  Mais comum – endometrioide  Origina-se a partir da hiperplasia endometrial  Relação com estrogênio Tipo II  Pior prognóstico  Origina-se a partir do endométrio atrófico  Mulheres mais velhas e magras b. Fatores de risco – ação do estrogênio sem proteção da progesterona  Obesidade – principal  > 60 anos  Nuliparidade  Tamoxifeno  Nível socioeconômico elevado  Branca  Anovulação crônica  Menacme longo  DM  Hiperplasia  Síndrome de Lynch II – colorretal + endométrio/ovário c. Fatores de proteção  Contracepção com progesterona  Multiparidade  Tabagismo d. Diagnóstico Sangramento anormal + endométrio espesso > biópsia  Cureta de Novak – ambulatorial, às cegas  Curetagem fracionada / semiótica – cirúrgico, às cegas  Histeroscopia com biópsia – padrão-ouro Resultado da biópsia Hiperplasia – precede 80% dos casos Sem atipia / Benigna  Progesterona + biópsia após 3-6m *Falha: Histerectomia A principal causa de sangramento na menopausa é a atrofia endometrial!
  • 26.
    26 Ana Bárbara DiasLopes Urzedo – 2021 Com atipia / NIE  Histerectomia *Deseja engravidar: Progesterona + biópsia após 3-6m CA de endométrio Cirurgia e. Tratamento ▪ CIRURGIA – estadiamento + tratamento  Laparotomia: lavado peritoneal + histerectomia total + anexectomia + linfadenectomia ▪ RT  ≥ 50% invasão miometrial (≥ IB) ▪ QT  Associar se passou do útero CICLO MENSTRUAL Normal Duração 21-35 dias Fluxo 2-6 dias Perda sanguínea 20-60 ml FASE FOLICULAR (variável) – 1ª fase Hipotálamo > GnRH pulsátil (baixa amplitude, alta frequência) > aumenta LH FASE LÚTEA (14 dias, fixa) – 2ª fase Hipotálamo > GnRH pulsátil (alta amplitude, baixa frequência) > aumenta FSH ▪ CICLO OVARIANO  FSH alto – aumenta no fim do ciclo anterior  FSH estimula vários folículos que secretam estrogênio + inibina B (inibe FSH)  1 folículo se destaca – folículo dominante (mais aromatase, mais receptores para FSH e receptores de LH na granulosa)  Pico de estrogênio (> 200 + 50h) gera pico de LH  Pico de LH (aumento de prostaglandinas, aumento de receptores de LH na granulosa) gera ovulação – discreto aumento de progesterona/FSH 12-24h antes da ovulação  Formação do corpo lúteo que secreta progesterona (inibe LH) + inibina A (inibe FSH)  Regressão do corpo lúteo (não tem HCG para sustentar): queda de estrogênio, progesterona e inibina A + aumento do FSH Ovulação ocorre 32-36h após início do aumento e 10-12h após pico máximo do LH ▪ CICLO UTERINO 1) Proliferativa: glândulas curtas e pequenas – estrogênio 2) Secretora: glândulas longas, tortuosas e dilatadas – progesterona 3) Menstrual Disseminação linfática!
  • 27.
    27 Ana Bárbara DiasLopes Urzedo – 2021 *Fase proliferativa: útero trilaminar NO OVÁRIO – esteroidogênese (teoria das 2 células e 2 gonadotrofinas) Células da teca LH Colesterol > Androgênios (Androstenediona, Testosterona) Células da granulosa FSH Androgênios (Androstenediona, Testosterona) > Estrogênio (Estrona, Estradiol) *Aromatase Menacme Estradiol – ovários Menopausa Estrona – aromatização periférica Gravidez Estriol – placenta ANTICONCEPÇÃO COMPORTAMENTAIS Tabelinha  Registrar ciclo menstrual por 6m, se a diferença entre o ciclo mais longo e o mais curto for < 10: pode usar – subtrair 18 do mais curto e 11 do mais longo (período de abstinência) Curva térmica  Ovulação aumenta 0.3 na temperatura – progesterona Muco cervical (Billings)  Muco elástico, com filância e cristalização (estrogênio) > ovulação > muco espesso, sem filância (progesterona) DIU Cobre – dura 10 anos  Ação espermicida, irritativa e inflamatória  Aumenta dismenorreia e fluxo Progesterona – dura 5 anos  Atrofia endometrial + muco hostil  Gera amenorreia  Alterações intrauterinas – suspeita de gravidez, distorção da cavidade, SUA inexplicado, CA de colo/endométrio, infecção uterina  Entre 48h e 4 semanas pós-parto  CA de mama – Progesterona
  • 28.
    28 Ana Bárbara DiasLopes Urzedo – 2021 Cobre + Prata – dura 5 anos  Forma em “Y” que facilita a inserção e remoção NÃO É ANOVULATÓRIO! MINIPÍLULA – progesterona  Altera muco cervical + atrofia endometrial  Ideal: amamentando ou peri- menopausa NÃO É ANOVULATÓRIO! *Pílula de Desogestrel (não é minipílula): é anovulatório 3:  Gravidez  Tumor hepático  HAS grave  AVE / TVP / TEP aguda  Amamentação < 6 semanas pós-parto – Injetável 4:  CA de mama atual INJETÁVEL TRIMESTRAL / IMPLANTE SUBDÉRMICO – progesterona  Altera muco + atrofia endometrial + anovulação < 6 semanas após parto amamentando: minipílula ou implante ACO / ANEL VAGINAL / ADESIVO / INJETÁVEL MENSAL – progesterona + estrogênio  Altera muco cervical + atrofia endometrial + altera motilidade tubária + anovulação *Estrogênio: inibe FSH *Progesterona: inibe LH 4:  Amamentação < 6 meses pós-parto  CA de mama atual  Tabagismo > 35 anos – ≥ 15 cigarros é 4, qualquer cigarro é 3  IAM / TVP / TEP / AVE atual ou prévio  LES + SAF  Hepatopatia grave  Enxaqueca com aura *Anticonvulsivantes (exceto ácido valproico) e Rifampicina diminuem eficácia do ACO VO! *LARC: DIU + implante subdérmico *Pearl ideal < 4 AMAMENTAÇÃO E ACO NÃO < 21 dias + sem risco de TVP: 3 < 21 dias + com risco de TVP: 4 21-42 dias + sem risco de TVP: 2 21-42 dias + com risco de TVP: 3 SIM < 6 semanas: 4 6 semanas a 6 meses: 3 DEFINITIVA > 25 anos OU 2 filhos vivos + 60 dias entre a vontade e a cirurgia + 42 dias após parto/aborto *Só pode fazer na cesárea se: cesárea de repetição ou doença de base muito grave DE EMERGÊNCIA Altera ovulação + atrofia endométrio Levonorgestrel 1.5mg VO dose única 72h a 5 dias 1 Pode usar 2 Pode usar com cautela 3 Contraindicação relativa 4 Contraindicação absoluta
  • 29.
    29 Ana Bárbara DiasLopes Urzedo – 2021 AMENORREIA PRIMÁRIA SECUNDÁRIA Sem caracteres sexuais: 13-14 anos Com caracteres sexuais: 15-16 anos 3 ciclos ou > 3-6m GENITÁLIA INTERNA – células de Sertoli: anti-Mulleriano Mulher XX Ausência do hormônio anti-Mulleriano > ducto de Muller (paramesonéfrico) > útero, tubas e 2/3 superiores da vagina Homem XY Presença do hormônio anti-Mulleriano > ducto de Wolff > epidídimo, ducto deferente, ducto ejaculatório e vesícula seminal GENITÁLIA EXTERNA – células de Leydig: testosterona Mulher XX Ausência de testículos > ausência de testosterona > 1/3 distal da vagina Homem XY Presença de testículos > presença de testosterona > pênis MULHER HOMEM Seio urogenital Uretra e 1/3 distal da vagina Uretra prostática e próstata Tubérculo genital Clitóris Glande Eminência urogenital Grandes lábios Bolsa escrotal Prega urogenital Pequenos lábios Corpo peniano Compartimentos IV Hipotálamo III Hipófise II Ovário I Útero, vagina AMENORREIA SECUNDÁRIA 1) EXCLUIR GRAVIDEZ  B-HCG quantitativo 2) TSH + PROLACTINA  Hipotireoidismo + Hiperprolactinemia: tratar hipotireoidismo  Hiperprolactinemia: - Prolactinoma (> 200): RM > cabergolina, bromocriptina - Medicamentosa (mais comum): metoclopramida, neurolépticos, tricíclicos, ranitidina, ACO.. - Outras: gestação/lactação, estimulação, lesão torácica, insuficiência renal 3) TESTE DA PROGESTERONA (Medroxiprogesterona 10mg 5-10d) – avalia estrogênio e trato de saída  Sangrou: anovulação – ex: SOP  Não sangrou: deficiência de estrogênio / lesão do endométrio / obstrução ao fluxo? 4) TESTE DO ESTROGÊNIO + PROGESTERONA (ACO 21d) – avalia endométrio e trato de saída  Não sangrou: causa anatômica - Síndrome de Asherman: sinéquias após curetagem - Hiperplasia adrenal congênita: pseudo-hermafroditismo feminino – principal causa de genitália ambígua  Sangrou: não é causa anatômica > ovário / central? 5) FSH – diferencia causa ovariana e central  FSH > 20: causa ovariana > hipogonadismo hipergonadotrófico - Insuficiência ovariana prematura (< 40 anos): idiopática, irradiação, QT, doença autoimune, infecção - Síndrome de Savage: resistência dos ovários ao LH e FSH > biópsia > terapia hormonal  FSH < 5 ou normal: causa central > hipogonadismo hipogonadotrófico > TC/RM + teste do GnRh Dopamina inibe prolactina Hiperplasia adrenal congênita forma não clássica (tardia): diagnóstico diferencial com SOP! Síndrome de Savage: pode ser amenorreia 1ª ou 2ª!!
  • 30.
    30 Ana Bárbara DiasLopes Urzedo – 2021 6) TESTE DO GNRH  Sem aumento de LH/FSH: causa hipofisária - Síndrome de Sheehan: hipotireoidismo + hipocortisolismo + hipogonadismo + agalactorreia pós parto  Aumento de LH/FSH: causa hipotalâmica - Craniofaringioma - Anorexia, exercício, estresse AMENORREIA PRIMÁRIA ▪ COM CARACTERES SEXUAIS – tem ovário funcionante > causa anatômica!  Hímen imperfurado: cólica menstrual intensa (sangue menstrual acumulado – criptomenorreia)  Septo vaginal transverso: não dá pra ver no exame clínico (diagnóstico: US)  Síndrome de Rokitansky/agenesia dos ductos de Muller (46XX): US com ausência de útero, tubas e terço superior da vagina Rokitansky – 46XX Morris – 46XY  46XX > tem ovário  Agenesia dos ductos de Muller  Amenorreia primária com caracteres sexuais + ausência de útero, tubas e 2/3 superiores da vagina + dispareunia (vagina curta) + pelos normais + ovários normais *Sempre investigar alteração renal (US!), pois os ductos de Muller tem a mesma origem dos paramétrios  46XY > tem testículo  Insensibilidade androgênica (completa ou incompleta)  Amenorreia primária com mama pequena + ausência de útero, tubas e 2/3 superiores da vagina + dispareunia (vagina curta) + ausência de pelos + presença de testículos *Genótipo masculino, fenótipo feminino *O dd é feito pelo cariótipo e é importante pois, caso haja presença de testículos, estes devem ser retirados pelo risco de virar CA! ▪ SEM CARACTERES SEXUAIS – ovário não funcionante (hipogonadismo) > primário ou secundário? 1) FSH  FSH alto: causa ovariana > hipogonadismo hipergonadotrófico (disgenesia gonadal) > cariótipo - Disgenesia gonadal – ex: Síndrome de Turner (45X0, pescoço alado + tórax em escudo + baixa estatura) - Síndrome de Savage  FSH baixo: causa central (hipotalâmica ou hipofisária) > hipogonadismo hipogonadotrófico > teste do GnRH - Síndrome de Kallman: deficiência do GnRH – anosmia + cegueira para cores + amenorreia primária SÍNDROME DOS OVÁRIOS POLICÍSTICOS a. Fisiopatologia Resistência à insulina > diminuição da SHBG (proteína carreadora de hormônios) > excesso de estrogênio e androgênio > inibição do FSH e estímulo ao LH > maior produção de androgênios nas células da teca > ciclo vicioso > hiperandrogenismo + anovulação Resistência à insulina + Hiperandrogenismo + Anovulação  Afeta 5-10% das mulheres  Anovulação crônica hiperandrogênica  Associação com resistência à insulina b. Clínica  Acantose nigricans  Acne, alopecia, hirsutismo (pelo grosso em regiões masculinas) – Ferriman ≥ 8  Irregularidade menstrual, infertilidade
  • 31.
    31 Ana Bárbara DiasLopes Urzedo – 2021 Laboratório – excluir outras doenças  TSH  Prolactina  17-OH-progesterona  Cortisol  SDHEA – > 700: pedir TC/RM (tumor adrenal?) c. Diagnóstico CRITÉRIOS DE ROTTERDAM – pelo menos 2 Ovários policísticos à USG ≥ 12 folículos com 2-9mm ou ovário > 10cm³ Oligo ou anovulação - Hiperandrogenismo Clínico ou laboratorial d. Tratamento  Mudança do estilo de vida (dieta, exercício, perda de peso)  ACO (Etinilestradiol + Ciproterona/Drospirenona/Dienogeste) ou progesterona – se não quer engravidar  Clomifeno / Letrozol (inibidor da aromatase) +/- Metformina – se quer engravidar (diminui estrogênio > aumenta FSH) e. Complicações  Obesidade  Infertilidade  Abortamento  DM  Doença cardiovascular  CA de endométrio INFERTILIDADE Sem gravidez após 1 ano de atividade sexual regular a. Causas  Fator masculino  Fator tuboperitoneal – DIP: mais comum  Anovulação *Avaliar idade da mulher e frequência das relações (2-4x/semana) b. Investigação  Hormônios: FSH, progesterona, TSH, prolactina  USG-TV – documenta ovulação, acompanha  Histerossalpingografia  Espermograma *Avançada: videolaparoscopia / histeroscopia INFERTILIDADE MASCULINA Normal Alterado Não repetir *> 15 milhões/ml, > 1/3 normal, > 1/3 móvel Repetir após 3m (12 semanas) Azoospermia:  Biópsia + cariótipo + FSH + tamanho do testículo *Diferenciar obstrutiva x não obstrutiva (mais comum) Tudo aumenta, exceto: FSH SHBG Progesterona Ciproterona: progesterona mais antiandrogênica e mais trombogênica *Não usar Levonorgestrel! < 35 anos: aguardar 1 ano > 35 anos: imediato ou após 6m ACO:  Regulariza ciclo  Aumenta SHBG – diminui estrogênio e androgênio > aumenta FSH  Diminui risco de CA de endométrio
  • 32.
    32 Ana Bárbara DiasLopes Urzedo – 2021 INFERTILIDADE FEMININA FATOR OVARIANO 1) Progesterona – avaliar se há ovulação  Fase lútea: 21-24 dia – normal: > 3-5 2) FSH – avaliar reserva ovariana (quantidade e qualidade)  Fase folicular: 2-5 dia – normal: < 10  Opção: hormônio antimulleriano (em qualquer fase) – normal: > 2.5  A idade é o melhor preditor de reserva ovariana! 3) US-TV – documenta ovulação  Programar coito ou intervenções  Contagem de folículos: prognóstico na reprodução assistida FATOR TUBOPERITONEAL 1) Histerossalpingografia – exame inicial  Prova de Cotte: positiva (tubas pérvias) x negativa (tubas não pérvias) 2) Videolaparoscopia – padrão-ouro  Diagnóstico e terapêutico FATOR UTERINO 1) US-TV 2) Histerossalpingografia 3) Histeroscopia – padrão-ouro c. Tratamento  Fator masculino: FIV  Fator ovariano: indução (clomifeno) ou FIV  Fator tuboperitoneal: laparoscopia – retirar aderência, endometriose, salpingoplastia  Fator uterino: histeroscopia – retirada de pólipos, septos *Inseminação intrauterina: infertilidade sem causa aparente, fator masculino leve (> 5 milhões de SPTZ normais) ATUALIZAÇÃO – 2021 Limite de doação de gametas  Mulher: 37 anos  Homem: 45 anos Número de embriões a serem transferidos  Mulher < 37 anos: 2  Mulher > 37 anos: 3  Embriões euploides ao diagnóstico genético: 2 SANGRAMENTO UTERINO ANORMAL ESTRUTURAIS NÃO ESTRUTURAIS P – Pólipo A – Adenomiose L – Leiomioma M – Maligna C – Coagulopatia O – Ovulatória E – Endometriais I – Iatrogênica N – Não classificada 1) AVALIAR ORIGEM  1º exame: exame especular 2) AVALIAR IDADE Neonatal  Privação do estrogênio materno Infância  Corpo estranho  Infecção – vulvovaginite inespecífica  Trauma *Excluir: abuso sexual, neoplasia (sarcoma botroide) Adolescência  Anovulação – imaturidade do eixo HHO (primeiros 2 anos da menarca)
  • 33.
    33 Ana Bárbara DiasLopes Urzedo – 2021  Sangramento da gestação *Excluir: DST, SOP, coagulopatia (ex: PTI, deficiência de VWB) Adultos  Anovulação  Sangramento da gestação *Excluir: neoplasias benignas e malignas, DST Pós-menopausa  Atrofia endometrial  TRH *Excluir: CA de endométrio 3) AVALIAR MOMENTO DO SANGRAMENTO Pós-coito  Cervicite  CA de colo  Laceração vaginal Menacme  Sexualmente ativa: B-HCG Medicamento  Escape do ACO  TRH na pós-menopausa 4) EXAMES COMPLEMENTARES ▪ USG-TV Sem TRH < 4mm Com TRH < 8mm Se alterado: histeroscopia + biópsia CONDUTA NO SUA AGUDO DISFUNCIONAL 1) Estabilização hemodinâmica 2) Excluir gravidez 3) Tratamento medicamentoso  Estrogênio equino conjugado (EEC): Estrogênio 1.25mg VO 6/6h por 21 dias > Progesterona por 10 dias  ACO: Estrogênio 30-35mcg 1cp 8/8h até para sangramento (min 48h) > 1cp/dia por 21 dias  + Ácido tranexâmico  AINE *Instável: curetagem uterina MIOMA ADENOMIOSE ENDOMETRIOSE Sangramento Sangramento + dismenorreia 2ª Dismenorreia 2ª + dor pélvica + infertilidade PÓLIPOS CERVICAL ENDOMETRIAL Sinusorragia Maioria assintomático – USG > histeroscopia Polipectomia histeroscópica MIOMA Tumor benigno (monoclonal) da musculatura lisa uterina hormônio-dependente Maioria assintomático! Sangramento anovulatório do climatério: Progesterona na 2ª fase Ovulatório (SUD): ciclos anovulatórios > estrogênio sem oposição da progesterona > período de amenorreia seguido de hemorragia
  • 34.
    34 Ana Bárbara DiasLopes Urzedo – 2021 a. Classificação Subseroso 5, 6, 7 (pediculado) Compressão, dor Intramural 3, 4 (só intramural) Sangramento, infertilidade Submucoso 0 (pediculado), 1, 2 *8: cervical / subseroso parasita b. Diagnóstico  USG: nódulo hipoecoico com vascularização periférica  RM: antes de cirurgia de múltiplos miomas, antes de embolização (avalia distância da serosa – risco de perfuração) c. Tratamento Assintomática Expectante Sintomática  Sangramento leve/moderado: clínico (ACO)  Sangramento intenso + nulípara: miomectomia  Sangramento intenso + multípara: histerectomia *Miomectomia histeroscópica: só submucoso *Embolização: multípara + múltiplos, mas não pediculados Análogo do GnRH: diminui mioma e anemia no pré-operatório *Muito efeito adverso – usar no max 6m *ACO não diminui mioma, só diminui sangramento! Degeneração  Hialina: mais comum  Rubra/necrose asséptica: dor na gravidez  Sarcomatosa: rara, mioma que cresce após a menopausa ADENOMIOSE Tecido endometrial no miométrio hormônio-dependente a. Clínica  SUA  Dismenorreia 2ª  Útero aumentado difusamente b. Diagnóstico  USG: normal / miométrio heterogêneo  RM: zona juncional mioendometrial > 12mm  Biópsia: diagnóstico definitivo c. Tratamento  Histerectomia – definitivo Outros: SIU progesterona (melhor!), ACO, ablação endometrial
  • 35.
    35 Ana Bárbara DiasLopes Urzedo – 2021 ENDOMETRIOSE Endométrio (glândulas e estroma) fora do útero – maior expressão de aromatase e resistência a progesterona Local mais comum: ovário > ligamento uterossacro Infiltrativa profunda: penetra espaço retroperitoneal / órgãos pélvicos > 5mm de profundidade a. Fisiopatologia – teorias  Menstruação retrógrada  Imunológica  Metaplásica b. Fatores de risco  Menacme longo  Primiparidade tardia  Nuliparidade  HF  Raça branca  Malformação uterina  Excesso de álcool e café c. Clínica  Dismenorreia 2ª  Infertilidade – aderências, distorções anatômicas, fluido peritoneal com prostaglandinas e citocinas  Dispareunia de profundidade *Melhora na gestação! Exame físico:  Nódulo ao toque vaginal / retal  Útero fixo, doloroso  Massa anexial – endometrioma d. Diagnóstico  USG-TV: endometrioma (aspecto em vidro fosco/moído)  USG-TV com preparo intestinal: visualiza lesões intestinais, incluindo as camadas acometidas  RM: ótimo, mas não vê implantes pequenos – se normal, NÃO exclui  Laparoscopia: se falha no tratamento clínico – padrão-ouro (controverso!) *Atividade das lesões: vermelha > preta > branca e. Tratamento Dor  Clínico: ACO / progesterona / análogo de GnRH / inibidores da aromatase Se refratário: laparoscopia *Não age na infertilidade e endometrioma! Endometrioma (> 4-6cm)  Cistectomia – melhora infertilidade e dor Infertilidade  Leve: laparoscopia – retira implantes  Grave: FIV *CA-125: útil no controle do tratamento Não há relação entre a intensidade da dor e o tamanho da lesão! Atualmente exame clínico + imagem são suficientes para o diagnóstico!
  • 36.
    36 Ana Bárbara DiasLopes Urzedo – 2021 DISMENORREIA PRIMÁRIA SECUNDÁRIA  Surge com ciclos ovulatórios  Dor inicia com fluxo e perdura por 2-3 dias  Pode ter náuseas/vômitos, cefaleia, diarreia  Responde à analgésicos comuns  Não tem doença pélvica detectável – é de exclusão!  Pode diminuir após 20 anos ou 1ª gestação *Aumento da produção endometrial de leucotrienos e prostaglandinas > contração uterina > diminui fluxo sanguíneo > hipoxia > dor  Surge ao longo da menacme  Pode ser progressiva  Pode não responder à analgésicos comuns  Presença de doença detectável – adenomiose, endometriose, DIP, aderência.. / SII, doença de Chron.. / síndrome da bexiga dolorosa, cistite.. / escoliose, dor miofascial.. Tratamento  AINE 1-2 dias antes do fluxo  ACO  SIU de Levonorgestrel  MEV: atividade física + redução da ingesta de gordura Tratamento  Depende da causa CLIMATÉRIO a. Conceito  Vai dos primeiros indícios de falência ovariana até os 65 anos (senilidade)  Engloba a perimenopausa (ciclos irregulares) e a pós-menopausa  Menopausa: 46-52 anos – diagnóstico retrospectivo (12m sem menstruação) Diminuição da quantidade e qualidade dos folículos > diminui inibina (produzida pelas células da granulosa) > aumenta FSH > esgotamento folicular (menopausa) > cessa produção de estradiol e progesterona pelo ovário (mas mantém produção de androgênios) > androgênio é convertido em estrona através da aromatização periférica no tecido adiposo, mas não é suficiente b. Diagnóstico  Clínico!!!!  FSH (> 40) / estradiol (< 20) – se insuficiência ovariana prematura (< 40 anos) c. Clínica – hipoestrogenismo  Irregularidade menstrual – mais precoce e mais comum  Sintomas vasomotores (fogachos)  Distúrbio do sono  Diminuição da libido  Alterações do humor  Alterações atróficas  Doenças CV  Osteoporose d. Tratamento TERAPIA HORMONAL 1) Avaliação Antes de iniciar Durante o uso  Anamnese + exame físico  Glicemia de jejum + lipidograma  Mamografia  Avaliar FR para DCV  Lipidograma – anual se TH VO  Glicemia de jejum – 3/3 anos  Mamografia anual  USG-TV – se SUA, TH estrogênica, alto risco para CA de endométrio Obesas: tem menos sintomas, mais risco de CA de endométrio – maior conversão periférica sem oposição da progesterona
  • 37.
    37 Ana Bárbara DiasLopes Urzedo – 2021 *Outros: USG-TV anual para todos, PSO, PCCU, densitometria óssea 2) Indicações – primeiros 10 anos (janela de oportunidade) – após isso, aumenta risco CV FOGACHOS Com útero / Endometriose: E + P Sem útero: E Patologias: Parenteral Colesterol: Comprimido *Progesterona: VO ou SIU de Levonorgestrel SÍNDROME GENITURINÁRIA Estrogênio local DISFUNÇÃO SEXUAL + OUTROS SINTOMAS Tibolona (estrogênico + progestagênico + androgênico) Diminui atrofia, melhora fogachos, diminui fraturas – estrogênicos Melhora na função sexual, aumento da libido – androgênicos 3) Contraindicações  CA de mama / lesões precursoras  CA de endométrio  SUA de causa desconhecida  IAM / AVC / TVP / TEP  Hepatopatia descompensada  Porfiria  LES  Meningioma – para progesterona! 4) Riscos x Benefícios Riscos Benefícios  Aumenta DCV – fora da janela de oportunidade (> 10 anos)  Aumenta CA de mama – após 5º ano de TH  Aumenta CA de endométrio  Diminui DCV – dentro da janela de oportunidade (< 10 anos)  Diminui CA colorretal TERAPIA NÃO HORMONAL FOGACHOS  Venlafaxina (ISRSN)  Paroxetina (ISRS) *Menos fluoxetina! SÍNDROME GENITURINÁRIA  Lubrificantes vaginais LIBIDO  Bupropiona OSTEOPOROSE Fraturas mais comuns: vertebrais, antebraço (Colles) e quadril (fêmur proximal) a. Classificação  Primária: ausência de doenças  Secundária: decorrente de doenças ou medicamentos (corticoide!) b. Fatores de risco  Idade – principal!  HF  Raça branca  Magras  Hipoestrogenismo c. Diagnóstico ▪ DENSITOMETRIA ÓSSEA
  • 38.
    38 Ana Bárbara DiasLopes Urzedo – 2021 Indicações:  Mulheres ≥ 65 anos / Homens ≥ 70 anos  Após menopausa  Fratura por fragilidade T-SCORE (compara com jovens) – pós-menopausa -1 a -2.5: osteopenia ≤ -2.5: osteoporose FRATURA DE FRAGILIDADE Queda de baixa impacto + fratura de rádio / coluna / fêmur *Z-SCORE (compara com a mesma idade) – crianças, menacme d. Tratamento CÁLCIO *Ingesta diária 1.200mg/dia  Carbonato de cálcio  Citrato de cálcio – se nefrolitíase, gastrite atrófica, CA gástrico, acloridria, bariátrica BIFOSFONATOS  Alendronato 70mg/semana VO  Risendronato 35mg/semana VO  Zolendronato 5mg/ano IV *CI: TFG < 30 DENOSUMABE Indicações: TFG < 30, refratário TERIPARATIDA Indicações: osteoporose grave (T-score < -3.5) *Máximo 2 anos, tem efeito anabólico *Raloxifeno FRAX: avalia a probabilidade de fratura