Universidade do Extremo Sul Catarinense – UNESC
Engenharia
Disciplina: Cálculo Numérico
Aula 12
Professor: Lucas Sid
Durante a realização de um experimento foram coletados
valores que correspondem ao conceito de função. Esses valores
foram expresso na seguinte tabela:
A partir dos dados coletados, qual é a lei da função que melhor
se aproxima desse valores?
Função polinomial do primeiro grau (𝑦 = 𝑎𝑥 + 𝑏).
𝑥 𝑦
2 3
3 4.9
4 7.1
5 8.95
Os dados coletados se aproximam da lei da função polinomial
do primeiro grau: 𝑦 = 𝑎𝑥 + 𝑏.
𝑥 𝑦
2 3
3 4.9
4 7.1
5 8.95
O erro entre o valor coletado ( 𝑦𝑖 ) e o valor da função
aproximada g(𝑥𝑖) tem que ser o menor possível.
Erro = 𝑦𝑖 − g(𝑥𝑖)
Menor valor possível remete
ao valor mínimo.
Valor mínimo implica na
derivada primeira igual
a zero.
Determinar g(𝑥𝑖) com o
menor erro.
Erro = 𝑦𝑖 − g(𝑥𝑖)
𝑛
𝑖=1
Determinar g(𝑥𝑖) com o menor erro significa usar a derivada.
Função modular
Em x = 3 não possui derivada.
𝑦𝑖 − g(𝑥𝑖) 2
𝑛
𝑖=1
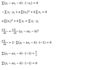
Derivada parcial igual a zero.
𝑦𝑖 − a𝑥𝑖 − 𝑏 2
𝑛
𝑖=1
Derivada parcial igual a zero.
𝑦𝑖 − a𝑥𝑖 − 𝑏 2
𝑛
𝑖=1
𝜕
𝜕𝑎
= 0
𝜕
𝜕𝑏
= 0 erro mínimo.
𝜕
𝜕𝑎
=
𝜕
𝜕𝑎
𝑦𝑖 − a𝑥𝑖 − 𝑏 2
𝜕
𝜕𝑎
= 2 ∙ 𝑦𝑖 − a𝑥𝑖 − 𝑏 ∙ −𝑥𝑖 = 0
𝑦𝑖 − a𝑥𝑖 − 𝑏 ∙ −𝑥𝑖 =
0
2
𝑦𝑖 − a𝑥𝑖 − 𝑏 ∙ −𝑥𝑖 = 0
𝑦𝑖 − a𝑥𝑖 − 𝑏 ∙ −𝑥𝑖 = 0
− 𝑥𝑖 ∙ 𝑦𝑖 + 𝑎 𝑥𝑖
2 + 𝑏 𝑥𝑖 = 0
𝑎 𝑥𝑖
2 + 𝑏 𝑥𝑖 = 𝑥𝑖 ∙ 𝑦𝑖
𝜕
𝜕𝑏
=
𝜕
𝜕𝑏
𝑦𝑖 − a𝑥𝑖 − 𝑏 2
𝜕
𝜕𝑏
= 2 ∙ 𝑦𝑖 − a𝑥𝑖 − 𝑏 ∙ −1 = 0
𝑦𝑖 − a𝑥𝑖 − 𝑏 ∙ −1 =
0
2
𝑦𝑖 − a𝑥𝑖 − 𝑏 ∙ −1 = 0
𝑦𝑖 − a𝑥𝑖 − 𝑏 ∙ −1 = 0
− 𝑦𝑖 + 𝑎 𝑥𝑖 + 𝑏 = 0
𝑎 𝑥𝑖 + 𝑛 ∙ 𝑏 = 𝑦𝑖
A determinação dos valores de 𝑎 e 𝑏 é obtida por:
𝑎 𝑥𝑖
2
+ 𝑏 𝑥𝑖 = 𝑥𝑖 ∙ 𝑦𝑖
𝑎 𝑥𝑖 + 𝑛 ∙ 𝑏 = 𝑦𝑖
A determinação dos valores de 𝑎 e 𝑏 é obtida por:
𝑎 𝑥𝑖
2 + 𝑏 𝑥𝑖 = 𝑥𝑖 ∙ 𝑦𝑖
𝑎 𝑥𝑖 + 𝑛 ∙ 𝑏 = 𝑦𝑖
𝑥 𝑦
2 3
3 4.9
4 7.1
5 8.95
𝑥 𝑦 𝑥 ∙ 𝑦 𝑥2
2 3
3 4.9
4 7.1
5 8.95
𝑥 𝑦 𝑥 ∙ 𝑦 𝑥2
2 3 6 4
3 4.9 14.7 9
4 7.1 28.4 16
5 8.95 44.75 25
14 23.95 93.85 54
𝑥𝑖 𝑦𝑖 𝑥𝑖𝑦𝑖 𝑥𝑖
2
A determinação dos valores de 𝑎 e 𝑏 é obtida por:
𝑎 𝑥𝑖
2 + 𝑏 𝑥𝑖 = 𝑥𝑖 ∙ 𝑦𝑖
𝑎 𝑥𝑖 + 𝑛 ∙ 𝑏 = 𝑦𝑖
𝑎 ∙ 54 + 𝑏 ∙ 14 = 93.85
𝑎 ∙ 14 + 4 ∙ 𝑏 = 23.95
𝑥 𝑦 𝑥 ∙ 𝑦 𝑥2
2 3 6 4
3 4.9 14.7 9
4 7.1 28.4 16
5 8.95 44.75 25
14 23.95 93.85 54
𝑥𝑖 𝑦𝑖 𝑥𝑖𝑦𝑖 𝑥𝑖
2
𝑎 ∙ 54 + 𝑏 ∙ 14 = 93.85 ∙ (−4)
𝑎 ∙ 14 + 4 ∙ 𝑏 = 23.95 ∙ 14
−216 ∙ 𝑎 − 56 ∙ 𝑏 = −375.4
196 ∙ 𝑎 + 56 ∙ 𝑏 = 335.5
−20 ∙ 𝑎 = −40.1
𝑎 = 2.005
2.005 ∙ 14 + 4 ∙ 𝑏 = 23.95
4 ∙ 𝑏 = 23.95 − 28.07
𝑏 =
−4.12
4
= −1.03
𝑦 = 2.005𝑥 − 1.03
𝑥 𝑦 𝑥 ∙ 𝑦 𝑥2
2 3 6 4
3 4.9 14.7 9
4 7.1 28.4 16
5 8.95 44.75 25
14 23.95 93.85 54
𝑥𝑖 𝑦𝑖 𝑥𝑖𝑦𝑖 𝑥𝑖
2
𝑦 = 2.005𝑥 − 1.03
𝑥 𝑦
2 3
3 4.9
4 7.1
5 8.95
𝑦 = 2.005𝑥 − 1.03
𝑥 𝑦
2 3
3 4.9
4 7.1
5 8.95
𝑦 = 2.005𝑥 − 1.03
𝑥 𝑦
2 3
3 4.9
4 7.1
5 8.95
Obtenha a lei da função que mais se aproxima dos dados da
seguinte tabela.
Os dados da tabela se
aproximam da lei função:
𝑦 = 𝑎𝑥 + 𝑏
𝑥 𝑦
1 7
3 0.5
4 −2.1
6 −8.1
A determinação dos valores de 𝑎 e 𝑏 é obtida por:
𝑎 𝑥𝑖
2 + 𝑏 𝑥𝑖 = 𝑥𝑖 ∙ 𝑦𝑖
𝑎 𝑥𝑖 + 𝑛 ∙ 𝑏 = 𝑦𝑖
𝑥 𝑦
1 7
3 0.5
4 −2.1
6 −8.1
𝑥 𝑦 𝑥 ∙ 𝑦 𝑥2
1 7
3 0.5
4 −2.1
6 −8.1
A determinação dos valores de 𝑎 e 𝑏 é obtida por:
𝑎 𝑥𝑖
2 + 𝑏 𝑥𝑖 = 𝑥𝑖 ∙ 𝑦𝑖
𝑎 𝑥𝑖 + 𝑛 ∙ 𝑏 = 𝑦𝑖
𝑥 𝑦 𝑥 ∙ 𝑦 𝑥2
1 7 7 1
3 0.5 1.5 9
4 −2.1 −8.4 16
6 −8.1 −48.6 36
14 −2.7 −48.5 62
𝑥𝑖 𝑦𝑖 𝑥𝑖𝑦𝑖 𝑥𝑖
2
𝑥 𝑦 𝑥 ∙ 𝑦 𝑥2
1 7
3 0.5
4 −2.1
6 −8.1
A determinação dos valores de 𝑎 e 𝑏 é obtida por:
𝑎 𝑥𝑖
2 + 𝑏 𝑥𝑖 = 𝑥𝑖 ∙ 𝑦𝑖
𝑎 𝑥𝑖 + 𝑛 ∙ 𝑏 = 𝑦𝑖
𝑎 ∙ 62 + 𝑏 ∙ 14 = −48.5
𝑎 ∙ 14 + 4 ∙ 𝑏 = −2.7
𝑎 ∙ 62 + 𝑏 ∙ 14 = −48.5 ∙ (4)
𝑎 ∙ 14 + 4 ∙ 𝑏 = −2.7 ∙ (−14)
248 ∙ 𝑎 + 56 ∙ 𝑏 = −194
−196 ∙ 𝑎 − 56 ∙ 𝑏 = 37.8
𝑥 𝑦 𝑥 ∙ 𝑦 𝑥2
1 7 7 1
3 0.5 1.5 9
4 −2.1 −8.4 16
6 −8.1 −48.6 36
14 −2.7 −48.5 62
𝑥𝑖 𝑦𝑖 𝑥𝑖𝑦𝑖 𝑥𝑖
2
248 ∙ 𝑎 + 56 ∙ 𝑏 = −194
−196 ∙ 𝑎 − 56 ∙ 𝑏 = 37.8
52 ∙ 𝑎 = −156.2
𝑎 = −3.0038
14 ∙ (−3.0038) + 4 ∙ 𝑏 = −2.7
−42.0532 + 4 ∙ 𝑏 = −2.7
4 ∙ 𝑏 = 39.3532
𝑏 = 9.8383
𝑦 = −3.0038 + 9.8383
Obtenha a lei da função que mais se aproxima dos dados da
seguinte tabela.
Os dados da tabela se
aproximam da lei função:
𝑦 = 𝑎𝑥 + 𝑏
𝑥 𝑦
−3 −7.4
−2 −5.8
−1 −4.6
1 −1.3
4 2.8
Obtenha a lei da função que mais se aproxima dos dados da
seguinte tabela.
𝑥 𝑦 𝑥 ∙ 𝑦 𝑥2
−3 −7.4
−2 −5.8
−1 −4.6
1 −1.3
4 2.8
𝑥 𝑦 𝑥 ∙ 𝑦 𝑥2
−3 −7.4 22.2 9
−2 −5.8 11.6 4
−1 −4.6 4.6 1
1 −1.3 −1.3 1
4 2.8 11.2 16
−1 −16.3 48.3 31
𝑥𝑖 𝑦𝑖 𝑥𝑖𝑦𝑖 𝑥𝑖
2
A determinação dos valores de 𝑎 e 𝑏 é obtida por:
𝑎 𝑥𝑖
2 + 𝑏 𝑥𝑖 = 𝑥𝑖 ∙ 𝑦𝑖
𝑎 𝑥𝑖 + 𝑛 ∙ 𝑏 = 𝑦𝑖
𝑎 ∙ 31 + 𝑏 ∙ (−1) = 48.3
𝑎 ∙ (−1) + 5 ∙ 𝑏 = −16.3
𝑎 ∙ 31 + 𝑏 ∙ (−1) = 48.3 ∙ (5)
𝑎 ∙ (−1) + 5 ∙ 𝑏 = −16.3
155 ∙ 𝑎 − 5 ∙ 𝑏 = 241.5
−1 ∙ 𝑎 + 5 ∙ 𝑏 = −16.3
𝑥 𝑦 𝑥 ∙ 𝑦 𝑥2
−3 −7.4 22.2 9
−2 −5.8 11.6 4
−1 −4.6 4.6 1
1 −1.3 −1.3 1
4 2.8 11.2 16
−1 −16.3 48.3 31
𝑥𝑖 𝑦𝑖 𝑥𝑖𝑦𝑖 𝑥𝑖
2
A determinação dos valores de 𝑎 e 𝑏 é obtida por:
𝑎 𝑥𝑖
2 + 𝑏 𝑥𝑖 = 𝑥𝑖 ∙ 𝑦𝑖
𝑎 𝑥𝑖 + 𝑛 ∙ 𝑏 = 𝑦𝑖
𝑎 ∙ 31 + 𝑏 ∙ (−1) = 48.3
𝑎 ∙ (−1) + 5 ∙ 𝑏 = −16.3
𝑎 ∙ 31 + 𝑏 ∙ (−1) = 48.3 ∙ (5)
𝑎 ∙ (−1) + 5 ∙ 𝑏 = −16.3
155 ∙ 𝑎 − 5 ∙ 𝑏 = 241.5
−1 ∙ 𝑎 + 5 ∙ 𝑏 = −16.3
𝑥 𝑦 𝑥 ∙ 𝑦 𝑥2
−3 −7.4 22.2 9
−2 −5.8 11.6 4
−1 −4.6 4.6 1
1 −1.3 −1.3 1
4 2.8 11.2 16
−1 −16.3 48.3 31
𝑥𝑖 𝑦𝑖 𝑥𝑖𝑦𝑖 𝑥𝑖
2
155 ∙ 𝑎 − 5 ∙ 𝑏 = 241.5
−1 ∙ 𝑎 + 5 ∙ 𝑏 = −16.3
154 ∙ 𝑎 = 225.2
𝑎 = 1.4623
𝑎 ∙ (−1) + 5 ∙ 𝑏 = −16.3
1.4623 ∙ (−1) + 5 ∙ 𝑏 = −16.3
5 ∙ 𝑏 = −14.8377
𝑏 = −2.96754
𝑦 = 1.4623𝑥 − 2.96754

Aula 12.pdf

  • 1.
    Universidade do ExtremoSul Catarinense – UNESC Engenharia Disciplina: Cálculo Numérico Aula 12 Professor: Lucas Sid
  • 2.
    Durante a realizaçãode um experimento foram coletados valores que correspondem ao conceito de função. Esses valores foram expresso na seguinte tabela: A partir dos dados coletados, qual é a lei da função que melhor se aproxima desse valores? Função polinomial do primeiro grau (𝑦 = 𝑎𝑥 + 𝑏). 𝑥 𝑦 2 3 3 4.9 4 7.1 5 8.95
  • 3.
    Os dados coletadosse aproximam da lei da função polinomial do primeiro grau: 𝑦 = 𝑎𝑥 + 𝑏. 𝑥 𝑦 2 3 3 4.9 4 7.1 5 8.95
  • 4.
    O erro entreo valor coletado ( 𝑦𝑖 ) e o valor da função aproximada g(𝑥𝑖) tem que ser o menor possível. Erro = 𝑦𝑖 − g(𝑥𝑖) Menor valor possível remete ao valor mínimo. Valor mínimo implica na derivada primeira igual a zero. Determinar g(𝑥𝑖) com o menor erro.
  • 5.
    Erro = 𝑦𝑖− g(𝑥𝑖) 𝑛 𝑖=1 Determinar g(𝑥𝑖) com o menor erro significa usar a derivada. Função modular Em x = 3 não possui derivada. 𝑦𝑖 − g(𝑥𝑖) 2 𝑛 𝑖=1 Derivada parcial igual a zero. 𝑦𝑖 − a𝑥𝑖 − 𝑏 2 𝑛 𝑖=1
  • 6.
    Derivada parcial iguala zero. 𝑦𝑖 − a𝑥𝑖 − 𝑏 2 𝑛 𝑖=1 𝜕 𝜕𝑎 = 0 𝜕 𝜕𝑏 = 0 erro mínimo. 𝜕 𝜕𝑎 = 𝜕 𝜕𝑎 𝑦𝑖 − a𝑥𝑖 − 𝑏 2 𝜕 𝜕𝑎 = 2 ∙ 𝑦𝑖 − a𝑥𝑖 − 𝑏 ∙ −𝑥𝑖 = 0 𝑦𝑖 − a𝑥𝑖 − 𝑏 ∙ −𝑥𝑖 = 0 2 𝑦𝑖 − a𝑥𝑖 − 𝑏 ∙ −𝑥𝑖 = 0
  • 7.
    𝑦𝑖 − a𝑥𝑖− 𝑏 ∙ −𝑥𝑖 = 0 − 𝑥𝑖 ∙ 𝑦𝑖 + 𝑎 𝑥𝑖 2 + 𝑏 𝑥𝑖 = 0 𝑎 𝑥𝑖 2 + 𝑏 𝑥𝑖 = 𝑥𝑖 ∙ 𝑦𝑖 𝜕 𝜕𝑏 = 𝜕 𝜕𝑏 𝑦𝑖 − a𝑥𝑖 − 𝑏 2 𝜕 𝜕𝑏 = 2 ∙ 𝑦𝑖 − a𝑥𝑖 − 𝑏 ∙ −1 = 0 𝑦𝑖 − a𝑥𝑖 − 𝑏 ∙ −1 = 0 2 𝑦𝑖 − a𝑥𝑖 − 𝑏 ∙ −1 = 0
  • 8.
    𝑦𝑖 − a𝑥𝑖− 𝑏 ∙ −1 = 0 − 𝑦𝑖 + 𝑎 𝑥𝑖 + 𝑏 = 0 𝑎 𝑥𝑖 + 𝑛 ∙ 𝑏 = 𝑦𝑖 A determinação dos valores de 𝑎 e 𝑏 é obtida por: 𝑎 𝑥𝑖 2 + 𝑏 𝑥𝑖 = 𝑥𝑖 ∙ 𝑦𝑖 𝑎 𝑥𝑖 + 𝑛 ∙ 𝑏 = 𝑦𝑖
  • 9.
    A determinação dosvalores de 𝑎 e 𝑏 é obtida por: 𝑎 𝑥𝑖 2 + 𝑏 𝑥𝑖 = 𝑥𝑖 ∙ 𝑦𝑖 𝑎 𝑥𝑖 + 𝑛 ∙ 𝑏 = 𝑦𝑖 𝑥 𝑦 2 3 3 4.9 4 7.1 5 8.95 𝑥 𝑦 𝑥 ∙ 𝑦 𝑥2 2 3 3 4.9 4 7.1 5 8.95 𝑥 𝑦 𝑥 ∙ 𝑦 𝑥2 2 3 6 4 3 4.9 14.7 9 4 7.1 28.4 16 5 8.95 44.75 25 14 23.95 93.85 54 𝑥𝑖 𝑦𝑖 𝑥𝑖𝑦𝑖 𝑥𝑖 2
  • 10.
    A determinação dosvalores de 𝑎 e 𝑏 é obtida por: 𝑎 𝑥𝑖 2 + 𝑏 𝑥𝑖 = 𝑥𝑖 ∙ 𝑦𝑖 𝑎 𝑥𝑖 + 𝑛 ∙ 𝑏 = 𝑦𝑖 𝑎 ∙ 54 + 𝑏 ∙ 14 = 93.85 𝑎 ∙ 14 + 4 ∙ 𝑏 = 23.95 𝑥 𝑦 𝑥 ∙ 𝑦 𝑥2 2 3 6 4 3 4.9 14.7 9 4 7.1 28.4 16 5 8.95 44.75 25 14 23.95 93.85 54 𝑥𝑖 𝑦𝑖 𝑥𝑖𝑦𝑖 𝑥𝑖 2
  • 11.
    𝑎 ∙ 54+ 𝑏 ∙ 14 = 93.85 ∙ (−4) 𝑎 ∙ 14 + 4 ∙ 𝑏 = 23.95 ∙ 14 −216 ∙ 𝑎 − 56 ∙ 𝑏 = −375.4 196 ∙ 𝑎 + 56 ∙ 𝑏 = 335.5 −20 ∙ 𝑎 = −40.1 𝑎 = 2.005 2.005 ∙ 14 + 4 ∙ 𝑏 = 23.95 4 ∙ 𝑏 = 23.95 − 28.07 𝑏 = −4.12 4 = −1.03 𝑦 = 2.005𝑥 − 1.03 𝑥 𝑦 𝑥 ∙ 𝑦 𝑥2 2 3 6 4 3 4.9 14.7 9 4 7.1 28.4 16 5 8.95 44.75 25 14 23.95 93.85 54 𝑥𝑖 𝑦𝑖 𝑥𝑖𝑦𝑖 𝑥𝑖 2
  • 12.
    𝑦 = 2.005𝑥− 1.03 𝑥 𝑦 2 3 3 4.9 4 7.1 5 8.95
  • 13.
    𝑦 = 2.005𝑥− 1.03 𝑥 𝑦 2 3 3 4.9 4 7.1 5 8.95
  • 14.
    𝑦 = 2.005𝑥− 1.03 𝑥 𝑦 2 3 3 4.9 4 7.1 5 8.95
  • 15.
    Obtenha a leida função que mais se aproxima dos dados da seguinte tabela. Os dados da tabela se aproximam da lei função: 𝑦 = 𝑎𝑥 + 𝑏 𝑥 𝑦 1 7 3 0.5 4 −2.1 6 −8.1
  • 16.
    A determinação dosvalores de 𝑎 e 𝑏 é obtida por: 𝑎 𝑥𝑖 2 + 𝑏 𝑥𝑖 = 𝑥𝑖 ∙ 𝑦𝑖 𝑎 𝑥𝑖 + 𝑛 ∙ 𝑏 = 𝑦𝑖 𝑥 𝑦 1 7 3 0.5 4 −2.1 6 −8.1 𝑥 𝑦 𝑥 ∙ 𝑦 𝑥2 1 7 3 0.5 4 −2.1 6 −8.1
  • 17.
    A determinação dosvalores de 𝑎 e 𝑏 é obtida por: 𝑎 𝑥𝑖 2 + 𝑏 𝑥𝑖 = 𝑥𝑖 ∙ 𝑦𝑖 𝑎 𝑥𝑖 + 𝑛 ∙ 𝑏 = 𝑦𝑖 𝑥 𝑦 𝑥 ∙ 𝑦 𝑥2 1 7 7 1 3 0.5 1.5 9 4 −2.1 −8.4 16 6 −8.1 −48.6 36 14 −2.7 −48.5 62 𝑥𝑖 𝑦𝑖 𝑥𝑖𝑦𝑖 𝑥𝑖 2 𝑥 𝑦 𝑥 ∙ 𝑦 𝑥2 1 7 3 0.5 4 −2.1 6 −8.1
  • 18.
    A determinação dosvalores de 𝑎 e 𝑏 é obtida por: 𝑎 𝑥𝑖 2 + 𝑏 𝑥𝑖 = 𝑥𝑖 ∙ 𝑦𝑖 𝑎 𝑥𝑖 + 𝑛 ∙ 𝑏 = 𝑦𝑖 𝑎 ∙ 62 + 𝑏 ∙ 14 = −48.5 𝑎 ∙ 14 + 4 ∙ 𝑏 = −2.7 𝑎 ∙ 62 + 𝑏 ∙ 14 = −48.5 ∙ (4) 𝑎 ∙ 14 + 4 ∙ 𝑏 = −2.7 ∙ (−14) 248 ∙ 𝑎 + 56 ∙ 𝑏 = −194 −196 ∙ 𝑎 − 56 ∙ 𝑏 = 37.8 𝑥 𝑦 𝑥 ∙ 𝑦 𝑥2 1 7 7 1 3 0.5 1.5 9 4 −2.1 −8.4 16 6 −8.1 −48.6 36 14 −2.7 −48.5 62 𝑥𝑖 𝑦𝑖 𝑥𝑖𝑦𝑖 𝑥𝑖 2
  • 19.
    248 ∙ 𝑎+ 56 ∙ 𝑏 = −194 −196 ∙ 𝑎 − 56 ∙ 𝑏 = 37.8 52 ∙ 𝑎 = −156.2 𝑎 = −3.0038 14 ∙ (−3.0038) + 4 ∙ 𝑏 = −2.7 −42.0532 + 4 ∙ 𝑏 = −2.7 4 ∙ 𝑏 = 39.3532 𝑏 = 9.8383 𝑦 = −3.0038 + 9.8383
  • 20.
    Obtenha a leida função que mais se aproxima dos dados da seguinte tabela. Os dados da tabela se aproximam da lei função: 𝑦 = 𝑎𝑥 + 𝑏 𝑥 𝑦 −3 −7.4 −2 −5.8 −1 −4.6 1 −1.3 4 2.8
  • 21.
    Obtenha a leida função que mais se aproxima dos dados da seguinte tabela. 𝑥 𝑦 𝑥 ∙ 𝑦 𝑥2 −3 −7.4 −2 −5.8 −1 −4.6 1 −1.3 4 2.8 𝑥 𝑦 𝑥 ∙ 𝑦 𝑥2 −3 −7.4 22.2 9 −2 −5.8 11.6 4 −1 −4.6 4.6 1 1 −1.3 −1.3 1 4 2.8 11.2 16 −1 −16.3 48.3 31 𝑥𝑖 𝑦𝑖 𝑥𝑖𝑦𝑖 𝑥𝑖 2
  • 22.
    A determinação dosvalores de 𝑎 e 𝑏 é obtida por: 𝑎 𝑥𝑖 2 + 𝑏 𝑥𝑖 = 𝑥𝑖 ∙ 𝑦𝑖 𝑎 𝑥𝑖 + 𝑛 ∙ 𝑏 = 𝑦𝑖 𝑎 ∙ 31 + 𝑏 ∙ (−1) = 48.3 𝑎 ∙ (−1) + 5 ∙ 𝑏 = −16.3 𝑎 ∙ 31 + 𝑏 ∙ (−1) = 48.3 ∙ (5) 𝑎 ∙ (−1) + 5 ∙ 𝑏 = −16.3 155 ∙ 𝑎 − 5 ∙ 𝑏 = 241.5 −1 ∙ 𝑎 + 5 ∙ 𝑏 = −16.3 𝑥 𝑦 𝑥 ∙ 𝑦 𝑥2 −3 −7.4 22.2 9 −2 −5.8 11.6 4 −1 −4.6 4.6 1 1 −1.3 −1.3 1 4 2.8 11.2 16 −1 −16.3 48.3 31 𝑥𝑖 𝑦𝑖 𝑥𝑖𝑦𝑖 𝑥𝑖 2
  • 23.
    A determinação dosvalores de 𝑎 e 𝑏 é obtida por: 𝑎 𝑥𝑖 2 + 𝑏 𝑥𝑖 = 𝑥𝑖 ∙ 𝑦𝑖 𝑎 𝑥𝑖 + 𝑛 ∙ 𝑏 = 𝑦𝑖 𝑎 ∙ 31 + 𝑏 ∙ (−1) = 48.3 𝑎 ∙ (−1) + 5 ∙ 𝑏 = −16.3 𝑎 ∙ 31 + 𝑏 ∙ (−1) = 48.3 ∙ (5) 𝑎 ∙ (−1) + 5 ∙ 𝑏 = −16.3 155 ∙ 𝑎 − 5 ∙ 𝑏 = 241.5 −1 ∙ 𝑎 + 5 ∙ 𝑏 = −16.3 𝑥 𝑦 𝑥 ∙ 𝑦 𝑥2 −3 −7.4 22.2 9 −2 −5.8 11.6 4 −1 −4.6 4.6 1 1 −1.3 −1.3 1 4 2.8 11.2 16 −1 −16.3 48.3 31 𝑥𝑖 𝑦𝑖 𝑥𝑖𝑦𝑖 𝑥𝑖 2
  • 24.
    155 ∙ 𝑎− 5 ∙ 𝑏 = 241.5 −1 ∙ 𝑎 + 5 ∙ 𝑏 = −16.3 154 ∙ 𝑎 = 225.2 𝑎 = 1.4623 𝑎 ∙ (−1) + 5 ∙ 𝑏 = −16.3 1.4623 ∙ (−1) + 5 ∙ 𝑏 = −16.3 5 ∙ 𝑏 = −14.8377 𝑏 = −2.96754 𝑦 = 1.4623𝑥 − 2.96754