Incorporar apresentação
Baixado 35 vezes





































































































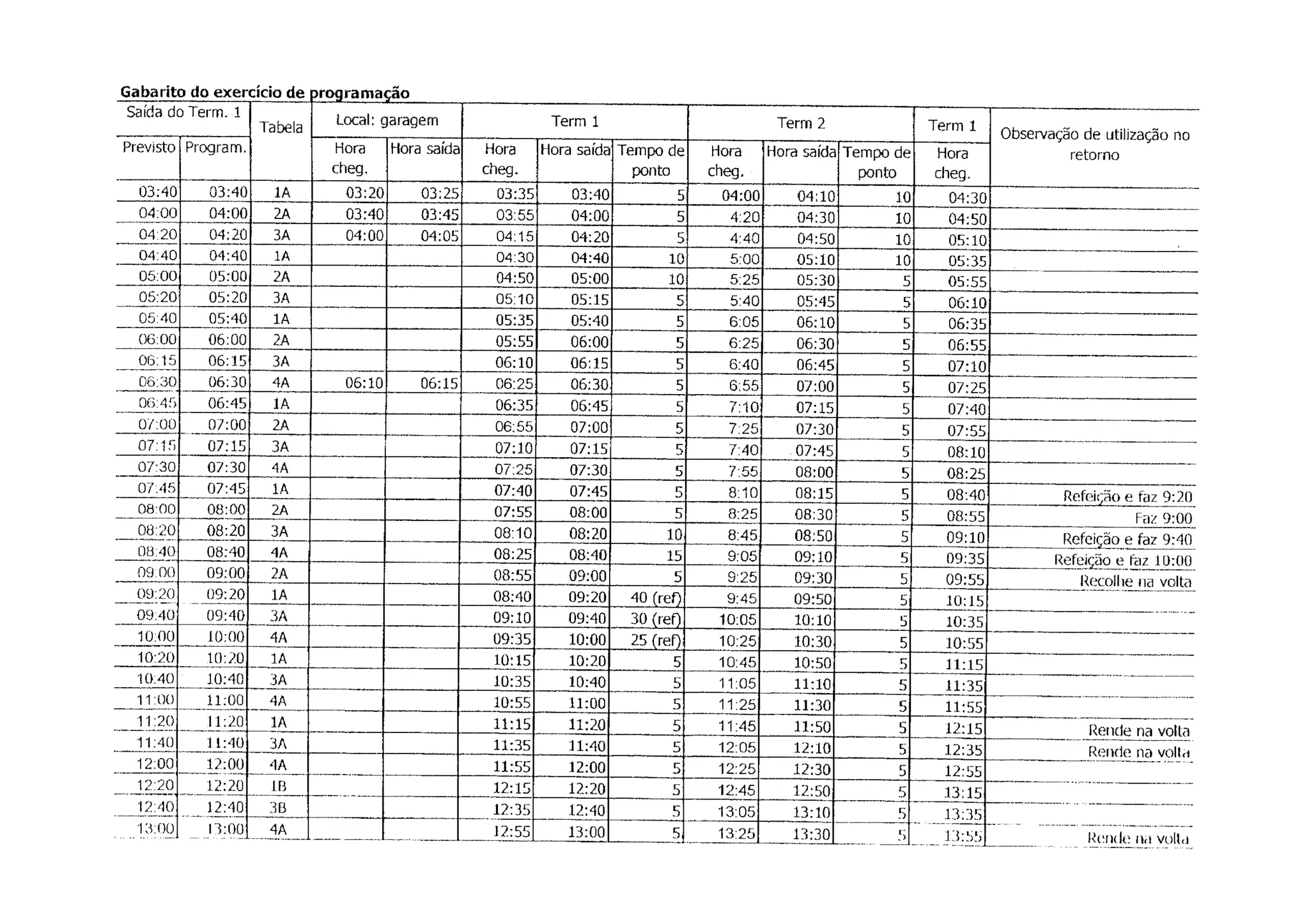
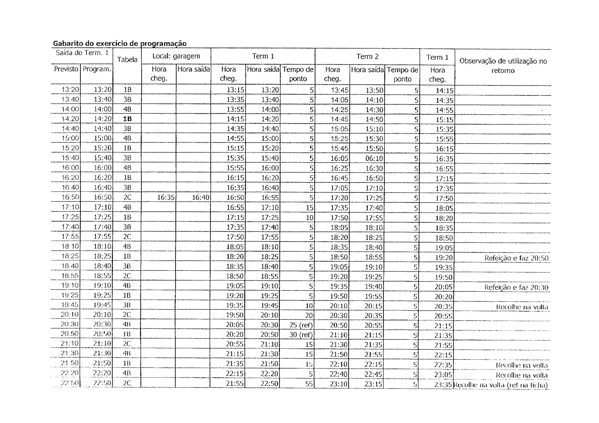
O documento discute planejamento operacional de transporte coletivo, abordando tópicos como isenção e evasão de passagens, tempos de tráfego, estágios de embarque e conceitos evoluindo no setor. É apresentada uma tabela com dados sobre desvios padrão e outro sobre a evolução dos conceitos no transporte coletivo. O autor é Alberto Lima e fornece seus contatos no final.



































































































