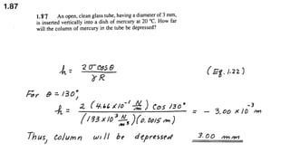
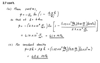
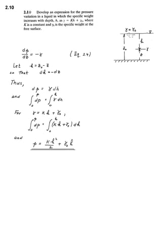
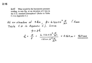
Incorporar apresentação
Baixado 8.498 vezes




























































































































































































































































































































































































































































































































































































































































































































































































































































































































































































































































































































































































































































































































































































































































































































































































O documento discute os avanços na tecnologia de inteligência artificial e suas aplicações em diferentes setores. Ele destaca os benefícios e desafios associados à implementação dessas tecnologias. Além disso, apresenta previsões para o futuro da IA e seu impacto na sociedade.



























































































































































































































































































































































































































































































































































































































































































































































































































































































































































































































































































































































































































































































































































































































































































































































































