ConceitosConceitos básicosbásicos dede ligaçãoligação
químicaquímicaquímicaquímica
• Ligação química: é a força atrativa que mantém dois ou mais• Ligação química: é a força atrativa que mantém dois ou mais
átomos unidos.
• Ligação covalente: resulta do compartilhamento de elétrons entre
dois átomos ou grupos de átomos Normalmente encontrada entredois átomos ou grupos de átomos. Normalmente encontrada entre
elementos não-metálicos.
• Ligação iônica: geralmente resulta da transferência de elétrons deg ç o ô c : ge a e e esu a da a s e ê c a de e é o s de
um metal para um não-metal.
• Ligação metálica: é a força atrativa que mantém metais puros
unidos.
Para qualquer composto estável que se
forma a partir de elementos ocorre umaforma a partir de elementos, ocorre uma
queda da energia potencial.
ii iô iiô i
id ódi l
LigaçãoLigação iônicaiônica
Considere a reação entre o sódio e o cloro:
Na(s) + ½Cl2(g) → NaCl(s) ΔHºf = - 411,3 kJ
ΔH = variação de entalpia. Entalpia é calor a pressão
constante.
Condições que favorecem aCondições que favorecem a
Formação de Compostos IônicosFormação de Compostos Iônicos
Figura- Empacotamento de íons no NaCl: Forças Eletrostáticas no
NaCl mantêm os íons nas posições no sólido. Estas forças constituem as
ligações iônicas.
• O NaCl forma uma estrutura muito regular na qual cada íon Na+ é
i d d 6 í Cl−circundado por 6 íons Cl−.
• Similarmente, cada íon Cl− é circundado por seis íons Na+.
• Há um arranjo regular de Na+ e Cl− em 3D• Há um arranjo regular de Na e Cl em 3D.
• Observe que os íons são empacotados o mais próximo possível.
• Observe que não é fácil encontrar uma fórmula molecular paraq p
descrever a rede iônica.
A Importância da Energia da RedeA Importância da Energia da Rede
Afinidade
Eletrônica
te)
Eletrônica
do Cl
Energia de
ionização do
Na
onstantessãocolorapre
Energia da rede
gia:cal
Energia necessária para
formar átomos gasosos de Cl
a(Energ
Energia necessária para
formar átomos gasosos de Na
EntalpiaE
Figura anterior: Mudanças na energia durante a
formação do NaCl, apresentadas na forma de um diagrama
de energia. O caminho com o rótulo ΔHf
o leva diretamenteg f
ao NaCl. O outro envolve a formação de átomos gasosos a
i d l í i d fi lpartir dos elementos, íons a partir destes gases e finalmente
a condensação dos íons gasosos produzindo NaCl sólido.
Ambos os caminhos envolvem, a mesma mudança
resultante de energiaresultante de energia.
1 mol de NaCl
(NaCl sólido, cristalino)
1 mol de Na+ e Cl-
(íons gasosos a partir do NaCl)
Figura - Energia da rede: A energia da rede é igual à quantidade de energia
necessária para separar os íons em um mol de um composto iônico. Para o NaCl, o
processo requer converter um mol de NaCl cristalino em dois mols de íons (1 mol de
Na+ e 1 mol de Cl-) A quantidade de energia é igual a 787 kJ.
alpia
alpia
Enta
Enta
(a) (b)
Figura - A importância da energia da rede na formação de compostos
iônicos: (a) A diminuição da energia provocada pela energia da rede é maior que a energia
necessária para formar os íons e por isso o composto iônico é estável e pode ser produzido anecessária para formar os íons, e por isso o composto iônico é estável e pode ser produzido a
partir dos elementos (b) A diminuição da energia provocada pela energia da rede é menor que
a energia necessária para formar os íons, e por isso o composto iônico é instável.
Ligação iônicaLigação iônica
Energias envolvidas nag
formação da ligação iônica
• Energia de rede: é a energia necessária para separarg g p p
completamente um mol de um composto sólido iônico em íons
gasosos.
• A energia de rede depende das cargas nos íons e dos tamanhos dos
íons:
QQ
d
QQ
E l
21κ=rede
κ é uma constante (8,99 x 109 J m/C2), Q1 e Q2 são as cargas nas
l d di i
d
partículas e d é a distância entre seus centros.
Ligação iônicaLigação iônica
E i l idEnergias envolvidas na
formação da ligação iônica
• A energia de rede aumenta à medida que:• A energia de rede aumenta à medida que:
• As cargas nos íons aumentam
• A distância entre os íons diminui
Ligação iônicaLigação iônica
MudançasMudanças nana ConfiguraçãoConfiguração EletrônicaEletrônica
dd íí ff AA dd t tt tquandoquando osos íonsíons sese formamformam:: AA regraregra dodo octetoocteto
Na 1s2 2s2 2p6 3s1
N + 1 2 2 2 2 6 N 1 2 2 2 2 6
≡Na+ 1s2 2s2 2p6 Ne 1s2 2s2 2p6
≡
1ª EI = + 496 kJ/mol
2ª EI = + 4563 kJ/mol
Ca 1s2 2s2 2p6 3s2 3p6 4s2
Ca2+ 1s2 2s2 2p6 3s2 3p6Ca2 1s2 2s2 2p6 3s2 3p6
≡
Ar 1s2 2s2 2p6 3s2 3p6
1ª EI = + 590 kJ/mol/
2ª EI = + 1146 kJ/mol/
3ª EI = + 4940 kJ/mol/
Cl 1s2 2s2 2p6 3s2 3p5Cl 1s2 2s2 2p6 3s2 3p5
Cl- 1s2 2s2 2p6 3s2 3p6
≡
Ar 1s2 2s2 2p6 3s2 3p6
O 1s2 2s2 2p4 O2- 1s2 2s2 2p6
AE resultante = + 703 kJ/mol
• A reação é violentamente exotérmica.
• Inferimos que o NaCl é mais estável do que os elementosInferimos que o NaCl é mais estável do que os elementos
que o constituem.
• O Na perdeu um elétron para se transformar em Na+ e o• O Na perdeu um elétron para se transformar em Na+ e o
cloro ganhou o elétron para se transformar em Cl−.
Observe: Na+ tem a configuração eletrônica do Ne e o Cl−Observe: Na tem a configuração eletrônica do Ne e o Cl
tem a configuração do Ar.
I t é t t N + Cl tê t t d lét• Isto é, tanto o Na+ como o Cl− têm um octeto de elétrons
circundando o íon central.
A regra do octetog
• Todos os gases nobres, com exceção do He, têm uma configuração
s2p6.
• A regra do octeto: os átomos tendem a ganhar, perder ou
compartilhar elétrons até que eles estejam rodeados por 8 elétrons
de valência (4 pares de elétrons).
• Cuidado: existem várias exceções à regra do octeto.
A regra do octeto funciona
bem para íons destes metais ebem para íons destes metais e
para os ânions de não-metais
do 1º e 2º períododo 1 e 2 período
A regra do octeto nãog
funciona bem para íons
destes metais. Não é também
para metais de
pós transição
Para obter a configuração eletrônica correta dos cátions
destes metais:destes metais:
1. O primeiro elétron que será pedido por um átomo ou
íon será da camada com o maior n (ou seja a camadaíon será da camada com o maior n (ou seja a camada
mais externa)
2 s < p < d < f2. s < p < d < f
EX: Qual a configuração eletrônica do íon V3+?
Dê o diag ama de o bitais do íonDê o diagrama de orbitais do íon.
Configuração do Argônio
3d2
Símbolos de Lewis
• Para um entendimento através de figuras sobre a localização dos• Para um entendimento através de figuras sobre a localização dos
elétrons em um átomo, representamos os elétrons como pontos ao
redor do símbolo do elemento.
• O número de elétrons disponíveis para a ligação é indicado por• O número de elétrons disponíveis para a ligação é indicado por
pontos desemparelhados.
• Esses símbolos são chamados símbolos de Lewis.
G l l lé l d d• Geralmente colocamos os elétrons nos quatro lados de um
quadrado ao redor do símbolo do elemento.
Símbolos de LewisSímbolos de Lewis
Grupo
Símbolo
LigaçõesLigações químicasquímicas,, símbolossímbolos
de Lewis e ade Lewis e a regraregra dodo octetooctetode Lewis e ade Lewis e a regraregra dodo octetoocteto
Símbolos de Lewis
EX: Utilize os símbolos de Lewis para escreverEX: Utilize os símbolos de Lewis para escrever
o diagrama da reação que ocorre entre os
átomos de sódio e de oxigênio formando osátomos de sódio e de oxigênio, formando os
íons O2- e Na+.
EX: Utilize os símbolos de Lewis para escrever
o diag ama da eação q e oco e ent e oso diagrama da reação que ocorre entre os
átomos de sódio e de cloro, formando os íons
Cl e Na+Cl- e Na+.
EX: Utilize os símbolos de Lewis para
esc e e o diag ama da eação q e oco eescrever o diagrama da reação que ocorre
entre os átomos de cálcio e de cloro,
formando os íons Cl e Ca2+formando os íons Cl- e Ca2+.
Ligação covalenteLigação covalente
• Quando dois átomos similares se ligam, nenhum deles quer perder
h lét f t tou ganhar um elétron para formar um octeto.
• Quando átomos similares se ligam, eles compartilham pares de
elétrons para que cada um atinja o octetoelétrons para que cada um atinja o octeto.
• Cada par de elétrons compartilhado constitui uma ligação química.
• Por exemplo: H + H → H tem elétrons em uma linha conectando• Por exemplo: H + H → H2 tem elétrons em uma linha conectando
os dois núcleos de H.
(a)
(b) (c)
Figura - Formação de uma ligação covalente entre átomos de
hidrogênio: (a) Dois átomos de H separados por uma grande distância. (b) Ao
passo que os átomos se aproximam um do outro, suas densidades eletrônicas são
puxadas para a região entre os núcleos. (c) Na molécula de H2, a densidade
eletrônica está concentrada entre os núcleos. Ambos os elétrons na ligação são
distribuídos pelos núcleos
Figura – A representação da formação
de uma ligação covalente entre doisg ç
átomos de hidrogênio. A posição de
cada núcleo carregado positivamente é
t d t t Arepresentada por um ponto preto. A
densidade eletrônica é indicada pela
intensidade do sombreamento. (a) Doisintensidade do sombreamento. (a) Dois
átomos de hidrogênio separados por
uma larga distância (b) Ao passo que os
átomos se aproximam, o elétron de cada
átomo é atraído pelo núcleo carregado
positivamente do outro átomo depositivamente do outro átomo, de
maneira que a densidade eletrônica
começa a se deslocar. (c) Os dois
elétrons podem ambos ocupar a região
aonde os dois orbitais 1s se recobrem;
a densidade eletrônica é mais alta naa densidade eletrônica é mais alta na
região entre os núcleos dos dois átomos
LigaçãoLigação covalentecovalente no Hno H22
Figura – A ligação covalente no H2: (a) As atrações e repulsões entre
elétrons e núcleos na molécula de hidrogênio. (b) A distribuição eletrônica na
molécula de H2. A concentração de densidade eletrônica entre os núcelos leva a
uma força atrativa líquida que constitui a ligação covalente mantendo a molécula
unida.
A energia aumenta devido
a repulsão internuclear Energia de
nte dois átomos
infinitamente
separados
rescenrgiaC
Uma molécula é mais
estável quando sua
Ener
Molécula de H2
estável quando sua
energia é mínima
Distância internuclear Crescente
Figura - Mudanças nas energias potenciais de dois átomos de
hidrogênio quando estes formam H2: A energia da molécula atinge um
mínimo quando há um equilíbrio entre as atrações e repulsões.
H-H
Ligação covalente e a regra do octetoLigação covalente e a regra do octeto
Quando átomos formam ligações covalentes,
eles te de a c pa tilha elét s até q eeles tendem a compartilhar elétrons até que
adquiram uma configuração com a camada
mais exter a co te do oito elétro smais externa contendo oito elétrons.
ee
ou ou ou
metano amônia água
Ligação covalenteLigação covalente
E t t d L iEstruturas de Lewis
• As ligações covalentes podem ser representadas pelos símbolos de
L i d l tLewis dos elementos:
Cl + Cl Cl Cl
• Nas estruturas de Lewis, cada par de elétrons em uma ligação é
representado por uma única linha:
Cl + Cl Cl Cl
representado por uma única linha:
Cl Cl H F
H O H N H
CH
H
HCl Cl H F
H H
CH H
H
LigaçãoLigação CovalenteCovalente MúltiplasMúltiplas
• É possível que mais de um par de elétrons seja compartilhado entre
dois átomos (ligações múltiplas):
• Um par de elétrons compartilhado = ligação simples (H2);
• Dois pares de elétrons compartilhados = ligação dupla (O2);2
• Três pares de elétrons compartilhados = ligação tripla (N2).
H H O O N N
• Em geral, a distância entre os átomos ligados diminui à medida que
o número de pares de elétrons compartilhados aumenta.
8 elétrons
8 elétrons 8 elétrons
OrdemOrdem dede LigaçãoLigaçãoOrdemOrdem dede LigaçãoLigação
É definida como o número de pares de elétrons
ilh d d i ácompartilhados entre dois átomos.
Ordem de ligação 3
no
oda
Ordem de ligação 3
nuição
imento
gação
Ordem de ligação 2
Dimin
compri
lig
c
Ordem de ligação 1
Polaridade da ligação ePolaridade da ligação e
eletronegatividadeeletronegatividadeeletronegatividadeeletronegatividade
• Em uma ligação covalente os elétrons estão compartilhados• Em uma ligação covalente, os elétrons estão compartilhados.
• O compartilhamento de elétrons para formar uma ligação covalente
não significa compartilhamento igual daqueles elétrons.
E i l li õ l i lé ã• Existem algumas ligações covalentes nas quais os elétrons estão
localizados mais próximos a um átomo do que a outro.
• O compartilhamento desigual de elétrons resulta em ligações
lpolares.
Eletronegatividadeg
• Eletronegatividade: é a habilidade de um átomo de atrair elétrons
para si em certa moléculapara si em certa molécula .
• Pauling estabeleceu as eletronegatividades em uma escala de 0,9
(Cs) a 4 0 (F)(Cs) a 4,0 (F).
• A eletronegatividade aumenta:• A eletronegatividade aumenta:
• Da esquerda para a direita em um período e
• ao subirmos em um grupo• ao subirmos em um grupo.
EletronegatividadeEletronegatividade
Lantanídeos 1,0- 1,2, ,
Actinídeos 1,0- 1,2
Figura - A eletronegatividade dos elementos
Figura - Variação na porcentagem do caráter iônico
de uma ligação entre átomos de diferentes
eletronegatividades: A ligação torna se 50% iônica quandoeletronegatividades: A ligação torna-se 50% iônica quando
a diferença de eletronegatividade é 1,7. Isto significa que os
átomos na ligação carregam uma carga parcial deg ç g g p
aproximadamente + 0,5 unidades.
Eletronegatividade e
polaridade de ligação
• A diferença na eletronegatividade entre dois átomos é
uma medida da polaridade de ligação:uma medida da polaridade de ligação:
• as diferenças de eletronegatividade próximas a 0
resultam em ligações covalentes apolaresresultam em ligações covalentes apolares
(compartilhamento de elétrons igual ou quase igual);
• as diferenças de eletronegatividade próximas a 2ç g p
resultam em ligações covalentes polares
(compartilhamento de elétrons desigual);
dif d l i id d i• as diferenças de eletronegatividade próximas a 3
resultam em ligações iônicas (transferência de
elétrons)elétrons).
Eletronegatividade e
polaridade de ligaçãop g ç
• Não há distinção acentuada entre os tipos de ligação.
• A extremidade positiva (ou polo) em uma ligação polar ép ( p ) g ç p
representada por δ+ e o polo negativo por δ-.
Figura- Ligações covalentesFigura Ligações covalentes
polares e não-polares: (a) A
densidade eletrônica do par de
elétron na ligação é dispersa
igualmente entre os dois átomos
de H no H o qual gera umade H no H2, o qual gera uma
ligação não-polar. (b) No HCl, a
densidade eletrônica é puxadadensidade eletrônica é puxada
mais fortemente pelo Cl, fazendo
esta parte da molécula
ligeiramente negativa. Ao
mesmo tempo, a parte do
molécula onde está o H émolécula onde está o H é
ligeiramente positiva. O
resultado é uma ligaçãoresultado é uma ligação
covalente polar.
Polaridade da ligação ePolaridade da ligação e
eletronegatividadeeletronegatividade
M t d di l
eletronegatividadeeletronegatividade
Momentos de dipolo
• Considere HF:
• A diferença de eletronegatividade leva a uma ligação polar• A diferença de eletronegatividade leva a uma ligação polar.
• Há mais densidade eletrônica no F do que no H.
• Uma vez que há duas ‘extremidades’ diferentes da moléculaUma vez que há duas extremidades diferentes da molécula,
chamamos o HF de um dipolo.
• O momento de dipolo, μ, é a ordem de grandeza do dipolo:
d Q é d d
Qr=μ
onde Q é a grandeza das cargas.
• Os momentos de dipolo são medidos em debyes (D).
No cloreto de amônio, a ligação entre o cátion NH4
+ e o ânion
Cl- é iônica Portanto nem sempre a ligação iônica ocorreCl é iônica. Portanto, nem sempre a ligação iônica ocorre
entre um metal e um não-metal. Nesta substância todos os
elementos são não-metais. De fato, a ligação iônica é aquelag ç q
que se dá entre um ânion e um cátion.
Observe também que além da ligação iônica o cloreto de
ô i i li õ l t t it ê iamônio possui ligações covalentes entre o nitrogênio e os
hidrogênios.
Íons poliatômicosÍons poliatômicos
O í li ô i ã f d d há• Os íons poliatômicos são formados quando há uma
carga global em um composto contendo ligações
l t P l SO 2 NOcovalentes. Por exemplo, SO4
2−, NO3
−.
El t ti id dEl t ti id d R ti id dR ti id d ddEletronegatividade e aEletronegatividade e a ReatividadeReatividade dede
MetaisMetais ee NãoNão--MetaisMetais
EletronegatividadeEletronegatividade
Lantanídeos 1,0- 1,2, ,
Actinídeos 1,0- 1,2
Figura - A eletronegatividade dos elementos
Reatividade dos Metais: facilidade de oxidação
Oxidado menos facilmente
Oxidado mais facilmente
Figura - A variação da facilidade de oxidação dos
metais com a posição na tabela periódica’
Reatividade dos Não-Metais : facilidade de redução
( id d d t t id t )(capacidade de atuar como agente oxidante).
O mais poderoso agente oxidante é o flúor (maiorp g (
eletronegatividade)
F2 + 2 Cl- 2F- + Cl2
Flúor
F2 + 2 Br- 2F- + Br2
F2 + 2 I- 2F- + I2
Cloro
Cl2 + 2 Br- 2Cl- + Br2
Cl2 + 2 I- 2Cl- + I2
BromoBromo
Br2 + 2 I- 2Br- + I2
Exceções à regra do octetoExceções à regra do octetoç gç g
• Existem três classes de exceções à regra do octeto:
• moléculas com número ímpar de elétrons;• moléculas com número ímpar de elétrons;
• moléculas nas quais um átomo tem menos de um octeto, ou seja, moléculas
deficientes em elétrons;
• moléculas nas quais um átomo tem mais do que um octeto ou seja• moléculas nas quais um átomo tem mais do que um octeto, ou seja,
moléculas com expansão de octeto.
Número ímpar de elétrons
• Poucos exemplos. Geralmente, moléculas como ClO2, NO e NO2 têm um
número ímpar de elétrons.número ímpar de elétrons.
N O N ON O N O
ExceçõesExceções àà regraregra dodo octetooctetoExceçõesExceções àà regraregra dodo octetoocteto
Deficiência em elétrons
• Relativamente raro.
• As moléculas com menos de um octeto são típicas para compostos
3A.
• O exemplo mais típico é o BF3.
ExceçõesExceções àà regraregra dodo octetoocteto
Quatro elétrons em volta do berílio
Seis elétrons em volta do boro
Exceções à regra do octetoExceções à regra do octetoç gç g
Expansão do octeto
• Esta é a maior classe de exceções.
• Os átomos do 3º período em diante podem acomodar mais de um
octeto.
• Além do terceiro período, os orbitais d são baixos o suficiente em
energia para participarem de ligações e receberem a densidade
eletrônica extraeletrônica extra.
ExceçõesExceções àà regraregra dodo octetoocteto
UmUm MétodoMétodo parapara EscreverEscrever EstruturasEstruturas dede
LewisLewis
1.
Decida o arranjo inicial dos átomos (como se
)conectam)
2.
Conte todos os elétrons de valênciaConte todos os elétrons de valência
3.
Coloque dois elétrons em cada ligaçãoColoque dois elétrons em cada ligação
continua
4.
Complete os octetos dos átomos ligados ao
átomo central, colocando pares de e-.
5.
Coloque os elétrons restantes no átomo central
aos pares
6.
Se o átomo central não completar o octeto, faça
ligações duplas ou triplas, se necessário.
EX: Qual a estrutura de Lewis para a molécula de ácido
clórico, HClO3.
Como os átomos
se conectam
El t Elét d d V lê i T t l d Elét d
se conectam
Elemento Elétrons de de Valência
dos elementos (ver
tabela periódica)
Total de Elétrons de
valência por elemento
H 1 1 x 1 = 1
Cl 7 1 x 7 = 7
O 6 3 x 6 = 18
TOTAL 26
Utilizamos 8 elétrons Faltam colocar 18 elétrons para dar 26Utilizamos 8 elétrons. Faltam colocar 18 elétrons para dar 26.
Utilizamos 24 elétrons. Faltam colocar 2 elétrons para dar 26.
EX: Qual a estrutura de Lewis para a molécula de SO3.
O S O
O
Como os átomos
se conectam
El t Elét d d V lê i T t l d Elét d
O S O se conectam
Elemento Elétrons de de Valência
dos elementos (ver
tabela periódica)
Total de Elétrons de
valência por elemento
S 6 1 x 6 = 6
O 6 3 x 6 = 18
TOTAL 24
dá ou
CargaCarga formalformalCargaCarga formalformal
A carga formal é a carga que um átomo teria em uma
molécula se todos os outros átomos tivessem a mesmamolécula se todos os outros átomos tivessem a mesma
eletronegatividade.
CargaCarga formalformalgg
• Para calcular a carga formal:g
• Todos os elétrons não compartilhados (não-ligantes) são
atribuídos ao átomo no qual estão localizados.q
• Metade dos elétrons ligantes é atribuída a cada átomo em uma
ligação.
Carga formal =
Número de
elétrons na
Número de
ligações no
Número de
elétrons não-+camada de
valência do
gações o
átomo
e ét o s ão
compartilhados- +
átomos isolado
Carga formal
• Considere:
• Para o C:
C N
• Existem 4 elétrons de valência (pela tabela periódica).
• Na estrutura de Lewis, existem 2 elétrons não-ligantes e 3 da
ligação tripla. Há 5 elétrons pela estrutura de Lewis.
• Carga formal: 4 – (3 +2) = -1.
Desenhando as estruturasDesenhando as estruturas
de Lewisde Lewisde Lewisde Lewis
Carga formal
• Considere:
• Para o N:
C N
• Para o N:
• Existem 5 elétrons de valência.
• Na estrutura de Lewis, existem 2 elétrons não-ligantes e 3 da ligação tripla.
Há 5 elétrons pela estr t ra de Le isHá 5 elétrons pela estrutura de Lewis.
• Carga formal = 5 – (3+2) = 0.
• Escrevemos:
C N
AA cargacarga formal e aformal e a SeleçãoSeleção dede
estruturasestruturas de Lewisde Lewisestruturasestruturas de Lewisde Lewis
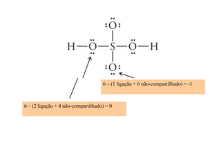
Vamos analisar estrutura de Lewis para o ácido sulfúricoVamos analisar estrutura de Lewis para o ácido sulfúrico
Estrutura 1
dá Estrutura 2dá
S O H
Figura - A estrutura do ácido sulfúrico no estado de vapor: Note a
diferença nos comprimentos das ligações S-O
Elétrons não-compartilhados
t l i t
Os elétrons numa ligação
são divididos igualmente
pertencem exclusivamente a
um átomo
são divididos igualmente
entre os dois átomos
Há 4 ligações no átomo de
Carga formal no S
Há 4 ligações no átomo de
enxofre
Carga formal no S
Um átomo isolado neutro
de S tem 6 elétrons
Não há pares não-
compartilhados no enxofrede S tem 6 elétrons p
6 – (1 ligação + 6 não-compartilhado) = -1
6 – (2 ligação + 4 não-compartilhado) = 0
Carga formal zero
para todos os átomosp
Quando temos várias estruturas de
Lewis possíveis damos preferênciaLewis possíveis, damos preferência
àquela com as memores cargas formais,
pois são as mais estáveis e portanto aspois são as mais estáveis e, portanto, as
mais prováveis de ocorrer.
EX: Um estudante escreveu três estruturas de Lewis
para a molécula de ácido nítrico.
Qual é a mais provável de ocorrer (a mais estável)?
III não é viável, pois o nitrogênio, elemento do 2º período
Não comporta 10 elétrons
Estrutura I
Estrutura II
Mais estável
EX: Podemos escrever duas estruturas para o
BCl3.3
Qual é a mais provável de ocorrer (a mais
estável)?)
Mais estável
EX: Qual a estrutura de Lewis para a molécula de NH4
1+.
H N H
H
H N H
H
Elemento Elétrons de de Valência
dos elementos (ver tabela
periódica)
Total de Elétrons de
valência por elemento
periódica)
N 5 1 x 5 = 5
H 1 4 x 1 = 4
Total Parcial 9
TOTAL 8
EX: Qual a estrutura de Lewis para a molécula de IF4
1-.
Elemento Elétrons de de Valência
dos elementos (ver tabela
periódica)
Total de Elétrons de
valência por elemento
periódica)
I 7 1 x 7 = 7
F 7 4 x 7 = 28
Total Parcial 35
TOTAL 36
ou
Utilizamos 32 elétrons. Faltam colocar 4 elétrons para dar 36.
EstruturasEstruturas dede ressonânciaressonância
• Algumas moléculas não são bem representadas pelas estruturas de
LewisLewis.
• Normalmente, as estruturas com ligações múltiplas podem ter
estruturas similares às ligações múltiplas entre diferentes pares de
átomos.
A estrutura mais estável tem:
• a carga formal mais baixa em cada
átomoátomo
• a carga formal mais negativa nos
átomos mais eletronegativosátomos mais eletronegativos
EstruturasEstruturas dede ressonânciaressonância
• Exemplo: experimentalmente, o ozônio tem duas ligações
idênticas ao passo que a estrutura de Lewis requer uma simplesidênticas, ao passo que a estrutura de Lewis requer uma simples
(mais longa) e uma ligação dupla (mais curta).
O
O
O
O
Estruturas de ressonância
EstruturasEstruturas dede ressonânciaressonânciaEstruturasEstruturas dede ressonânciaressonância
• As estruturas de ressonância são tentativas de representar uma
estrutura real, que é uma mistura entre várias possibilidades
textremas.
Outra metáfora para compreender fórmulas de ressonância
jumento cavalo
mulamula
Uma mula que é o híbrido entre um jumento e um cavalo não é umUma mula , que é o híbrido entre um jumento e um cavalo, não é um
jumento num minuto e um cavalo em outro. Embora tenha
característica de ambos, uma mula é sempre uma mula. Um híbrido de, p
ressonânica também possui características dos contribuintes de
ressonância, mas nunca terá a estrutura de nenhum deles.
EstruturasEstruturas dede ressonânciaressonância
E l ô i ibilid d ê li ã
EstruturasEstruturas dede ressonânciaressonância
• Exemplo: no ozônio, as possibilidades extremas têm uma ligação
dupla e uma simples. A estrutura de ressonância tem duas ligações
idênticas de caráter intermediário.
O O
O
O
O
O
O
O
• Exemplos comuns: O3, NO3
-, SO4
2-, NO2 e benzeno.
Exemplos
Na+ F-
H-H
Exemplos
H+ H- Na-F
[Ca2+] 2 Br- Br-Ca- Br-
Caráter
covalente C át iô i
Contribuição
desprezível
Contribuição
desprezível
Caráter parcialmente covalente e iônico
covalente Caráter iônico
Uma das etapas ao
se fazer estrutura dese fazer estrutura de
Lewis do NO3
1-
EX: Escreva as estruturas de ressonância para o íon
sulfito, SO3
2-.
dá
DesenhandoDesenhando asas estruturasestruturas
de Lewisde Lewisde Lewisde Lewis
Ressonância no benzeno
• O benzeno consiste de seis átomos de carbono em um anel
hexagonal Cada átomo de C está ligado a dois outros átomos dehexagonal. Cada átomo de C está ligado a dois outros átomos de
C e um átomo de hidrogênio.
• Existem ligações simples e duplas alternadas entre os átomos de
CC.
• A estrutura experimental do benzeno mostra que todas as ligaçõesp q g ç
C-C têm o mesmo comprimento.
• Da mesma forma, sua estrutura mostra que o benzeno é plano.
Ressonância no benzeno
• Escrevemos as estruturas de ressonância para o benzeno de tal
forma que haja ligações simples entre cada par de átomos de C eforma que haja ligações simples entre cada par de átomos de C e
os seis elétrons adicionais estejam deslocalizados por todo o anel:
• O benzeno pertence a uma categoria de moléculas orgânicas
h d d t áti (d id h i )chamada de compostos aromáticos (devido ao seu cheiro).
Figura.Benzeno : A molécula tem uma estrutura
hexagonal.hexagonal.
LigaçõesLigações CovalentesCovalentes CoordenadasCoordenadas ((dativadativa))
LigaçõesLigações CovalentesCovalentes CoordenadasCoordenadas ((dativadativa))
Duas propriedades relacionadas ao números de paresp p p
de elétrons que formam uma ligação:
-a distância entre os núcleos (comprimento de ligação)( p g ç )
e
- a energia necessária para separar os átomos ligadosg p p g
e torná-los novamente partículas neutras, a energia de
ligação.g ç
Conforme a ordem de ligaçãoConforme a ordem de ligação
aumenta, o comprimento de ligação
diminui e a energia de ligaçãodiminui e a energia de ligação
aumenta, quando comparamos
ligações similaresligações similares
ForçasForças dasdas ligaçõesligações
covalentescovalentescovalentescovalentes
• A energia necessária para quebrar uma ligação covalente é
denominada entalpia de dissociação de ligação, D. Isto é, para ap ç g ç , , p
molécula de Cl2, a D(Cl-Cl) é dada pelo ΔH para a reação:
Cl2(g) → 2Cl(g).
• Quando mais de uma ligação é quebrada:
CH4(g) → C(g) + 4H(g) ΔH = 1660 kJ
• A entalpia de ligação é uma fração do ΔH para a reação de
atomização:
D(C-H) = ¼ ΔH = ¼(1660 kJ) = 415 kJ
ΔH : variação de calor a pressão constante
Tabela: Comprimento de ligação e energias de
ligação médios medidos para ligações carbono-
b
Comprimento Energia
carbono
ligação de ligação (pm)
Energia
de ligação (kJ/mol)
- Quebrar ligações é sempre um processo endotérmico
(requer energia)
-Formar ligações é sempre um processo exotérmico (libera
energia).
Supõe-se que a reação ocorra em duas etapas:
-Nós fornecemos energia suficiente para quebrar aquelas
ligações que não estão presentes nos produtos
-Nós formamos ligações (há liberação de energia) que não
estão presentes nos reagentes
ΔH reação = Σ (entalpias de ligação das ligações quebradas) –
Σ (entalpias de ligação das ligações formadas)
CH4(g) + Cl2(g) → CH3Cl(g) + HCl(g) ΔHreação = ?
forma
ΔH reaçãoç
É importante lembrar que as entalpias de ligação sãoÉ importante lembrar que as entalpias de ligação são
derivadas para moléculas gasosas e que elas são
frequentemente valores médios. Portanto, entalpias defrequentemente valores médios. Portanto, entalpias de
ligações médias são úteis para rápidas estimativas de
entalpias (calor a pressão constante) de reação,entalpias (calor a pressão constante) de reação,
especialmente para reações em fase gasosa.

Quimica geral 10

  • 1.
    ConceitosConceitos básicosbásicos dedeligaçãoligação químicaquímicaquímicaquímica
  • 2.
    • Ligação química:é a força atrativa que mantém dois ou mais• Ligação química: é a força atrativa que mantém dois ou mais átomos unidos. • Ligação covalente: resulta do compartilhamento de elétrons entre dois átomos ou grupos de átomos Normalmente encontrada entredois átomos ou grupos de átomos. Normalmente encontrada entre elementos não-metálicos. • Ligação iônica: geralmente resulta da transferência de elétrons deg ç o ô c : ge a e e esu a da a s e ê c a de e é o s de um metal para um não-metal. • Ligação metálica: é a força atrativa que mantém metais puros unidos.
  • 3.
    Para qualquer compostoestável que se forma a partir de elementos ocorre umaforma a partir de elementos, ocorre uma queda da energia potencial.
  • 4.
    ii iô iiôi id ódi l LigaçãoLigação iônicaiônica Considere a reação entre o sódio e o cloro: Na(s) + ½Cl2(g) → NaCl(s) ΔHºf = - 411,3 kJ ΔH = variação de entalpia. Entalpia é calor a pressão constante.
  • 6.
    Condições que favorecemaCondições que favorecem a Formação de Compostos IônicosFormação de Compostos Iônicos Figura- Empacotamento de íons no NaCl: Forças Eletrostáticas no NaCl mantêm os íons nas posições no sólido. Estas forças constituem as ligações iônicas.
  • 7.
    • O NaClforma uma estrutura muito regular na qual cada íon Na+ é i d d 6 í Cl−circundado por 6 íons Cl−. • Similarmente, cada íon Cl− é circundado por seis íons Na+. • Há um arranjo regular de Na+ e Cl− em 3D• Há um arranjo regular de Na e Cl em 3D. • Observe que os íons são empacotados o mais próximo possível. • Observe que não é fácil encontrar uma fórmula molecular paraq p descrever a rede iônica.
  • 8.
    A Importância daEnergia da RedeA Importância da Energia da Rede
  • 9.
    Afinidade Eletrônica te) Eletrônica do Cl Energia de ionizaçãodo Na onstantessãocolorapre Energia da rede gia:cal Energia necessária para formar átomos gasosos de Cl a(Energ Energia necessária para formar átomos gasosos de Na EntalpiaE
  • 10.
    Figura anterior: Mudançasna energia durante a formação do NaCl, apresentadas na forma de um diagrama de energia. O caminho com o rótulo ΔHf o leva diretamenteg f ao NaCl. O outro envolve a formação de átomos gasosos a i d l í i d fi lpartir dos elementos, íons a partir destes gases e finalmente a condensação dos íons gasosos produzindo NaCl sólido. Ambos os caminhos envolvem, a mesma mudança resultante de energiaresultante de energia.
  • 11.
    1 mol deNaCl (NaCl sólido, cristalino) 1 mol de Na+ e Cl- (íons gasosos a partir do NaCl) Figura - Energia da rede: A energia da rede é igual à quantidade de energia necessária para separar os íons em um mol de um composto iônico. Para o NaCl, o processo requer converter um mol de NaCl cristalino em dois mols de íons (1 mol de Na+ e 1 mol de Cl-) A quantidade de energia é igual a 787 kJ.
  • 12.
    alpia alpia Enta Enta (a) (b) Figura -A importância da energia da rede na formação de compostos iônicos: (a) A diminuição da energia provocada pela energia da rede é maior que a energia necessária para formar os íons e por isso o composto iônico é estável e pode ser produzido anecessária para formar os íons, e por isso o composto iônico é estável e pode ser produzido a partir dos elementos (b) A diminuição da energia provocada pela energia da rede é menor que a energia necessária para formar os íons, e por isso o composto iônico é instável.
  • 13.
    Ligação iônicaLigação iônica Energiasenvolvidas nag formação da ligação iônica • Energia de rede: é a energia necessária para separarg g p p completamente um mol de um composto sólido iônico em íons gasosos. • A energia de rede depende das cargas nos íons e dos tamanhos dos íons: QQ d QQ E l 21κ=rede κ é uma constante (8,99 x 109 J m/C2), Q1 e Q2 são as cargas nas l d di i d partículas e d é a distância entre seus centros.
  • 14.
    Ligação iônicaLigação iônica Ei l idEnergias envolvidas na formação da ligação iônica • A energia de rede aumenta à medida que:• A energia de rede aumenta à medida que: • As cargas nos íons aumentam • A distância entre os íons diminui
  • 15.
  • 16.
    MudançasMudanças nana ConfiguraçãoConfiguraçãoEletrônicaEletrônica dd íí ff AA dd t tt tquandoquando osos íonsíons sese formamformam:: AA regraregra dodo octetoocteto Na 1s2 2s2 2p6 3s1 N + 1 2 2 2 2 6 N 1 2 2 2 2 6 ≡Na+ 1s2 2s2 2p6 Ne 1s2 2s2 2p6 ≡ 1ª EI = + 496 kJ/mol 2ª EI = + 4563 kJ/mol
  • 17.
    Ca 1s2 2s22p6 3s2 3p6 4s2 Ca2+ 1s2 2s2 2p6 3s2 3p6Ca2 1s2 2s2 2p6 3s2 3p6 ≡ Ar 1s2 2s2 2p6 3s2 3p6 1ª EI = + 590 kJ/mol/ 2ª EI = + 1146 kJ/mol/ 3ª EI = + 4940 kJ/mol/
  • 18.
    Cl 1s2 2s22p6 3s2 3p5Cl 1s2 2s2 2p6 3s2 3p5 Cl- 1s2 2s2 2p6 3s2 3p6 ≡ Ar 1s2 2s2 2p6 3s2 3p6 O 1s2 2s2 2p4 O2- 1s2 2s2 2p6 AE resultante = + 703 kJ/mol
  • 19.
    • A reaçãoé violentamente exotérmica. • Inferimos que o NaCl é mais estável do que os elementosInferimos que o NaCl é mais estável do que os elementos que o constituem. • O Na perdeu um elétron para se transformar em Na+ e o• O Na perdeu um elétron para se transformar em Na+ e o cloro ganhou o elétron para se transformar em Cl−. Observe: Na+ tem a configuração eletrônica do Ne e o Cl−Observe: Na tem a configuração eletrônica do Ne e o Cl tem a configuração do Ar. I t é t t N + Cl tê t t d lét• Isto é, tanto o Na+ como o Cl− têm um octeto de elétrons circundando o íon central.
  • 20.
    A regra dooctetog • Todos os gases nobres, com exceção do He, têm uma configuração s2p6. • A regra do octeto: os átomos tendem a ganhar, perder ou compartilhar elétrons até que eles estejam rodeados por 8 elétrons de valência (4 pares de elétrons). • Cuidado: existem várias exceções à regra do octeto.
  • 21.
    A regra doocteto funciona bem para íons destes metais ebem para íons destes metais e para os ânions de não-metais do 1º e 2º períododo 1 e 2 período A regra do octeto nãog funciona bem para íons destes metais. Não é também para metais de pós transição
  • 22.
    Para obter aconfiguração eletrônica correta dos cátions destes metais:destes metais: 1. O primeiro elétron que será pedido por um átomo ou íon será da camada com o maior n (ou seja a camadaíon será da camada com o maior n (ou seja a camada mais externa) 2 s < p < d < f2. s < p < d < f
  • 23.
    EX: Qual aconfiguração eletrônica do íon V3+? Dê o diag ama de o bitais do íonDê o diagrama de orbitais do íon. Configuração do Argônio 3d2
  • 24.
    Símbolos de Lewis •Para um entendimento através de figuras sobre a localização dos• Para um entendimento através de figuras sobre a localização dos elétrons em um átomo, representamos os elétrons como pontos ao redor do símbolo do elemento. • O número de elétrons disponíveis para a ligação é indicado por• O número de elétrons disponíveis para a ligação é indicado por pontos desemparelhados. • Esses símbolos são chamados símbolos de Lewis. G l l lé l d d• Geralmente colocamos os elétrons nos quatro lados de um quadrado ao redor do símbolo do elemento.
  • 25.
    Símbolos de LewisSímbolosde Lewis Grupo Símbolo
  • 26.
    LigaçõesLigações químicasquímicas,, símbolossímbolos deLewis e ade Lewis e a regraregra dodo octetooctetode Lewis e ade Lewis e a regraregra dodo octetoocteto Símbolos de Lewis
  • 27.
    EX: Utilize ossímbolos de Lewis para escreverEX: Utilize os símbolos de Lewis para escrever o diagrama da reação que ocorre entre os átomos de sódio e de oxigênio formando osátomos de sódio e de oxigênio, formando os íons O2- e Na+.
  • 28.
    EX: Utilize ossímbolos de Lewis para escrever o diag ama da eação q e oco e ent e oso diagrama da reação que ocorre entre os átomos de sódio e de cloro, formando os íons Cl e Na+Cl- e Na+.
  • 29.
    EX: Utilize ossímbolos de Lewis para esc e e o diag ama da eação q e oco eescrever o diagrama da reação que ocorre entre os átomos de cálcio e de cloro, formando os íons Cl e Ca2+formando os íons Cl- e Ca2+.
  • 30.
    Ligação covalenteLigação covalente •Quando dois átomos similares se ligam, nenhum deles quer perder h lét f t tou ganhar um elétron para formar um octeto. • Quando átomos similares se ligam, eles compartilham pares de elétrons para que cada um atinja o octetoelétrons para que cada um atinja o octeto. • Cada par de elétrons compartilhado constitui uma ligação química. • Por exemplo: H + H → H tem elétrons em uma linha conectando• Por exemplo: H + H → H2 tem elétrons em uma linha conectando os dois núcleos de H.
  • 31.
    (a) (b) (c) Figura -Formação de uma ligação covalente entre átomos de hidrogênio: (a) Dois átomos de H separados por uma grande distância. (b) Ao passo que os átomos se aproximam um do outro, suas densidades eletrônicas são puxadas para a região entre os núcleos. (c) Na molécula de H2, a densidade eletrônica está concentrada entre os núcleos. Ambos os elétrons na ligação são distribuídos pelos núcleos
  • 32.
    Figura – Arepresentação da formação de uma ligação covalente entre doisg ç átomos de hidrogênio. A posição de cada núcleo carregado positivamente é t d t t Arepresentada por um ponto preto. A densidade eletrônica é indicada pela intensidade do sombreamento. (a) Doisintensidade do sombreamento. (a) Dois átomos de hidrogênio separados por uma larga distância (b) Ao passo que os átomos se aproximam, o elétron de cada átomo é atraído pelo núcleo carregado positivamente do outro átomo depositivamente do outro átomo, de maneira que a densidade eletrônica começa a se deslocar. (c) Os dois elétrons podem ambos ocupar a região aonde os dois orbitais 1s se recobrem; a densidade eletrônica é mais alta naa densidade eletrônica é mais alta na região entre os núcleos dos dois átomos
  • 33.
    LigaçãoLigação covalentecovalente noHno H22 Figura – A ligação covalente no H2: (a) As atrações e repulsões entre elétrons e núcleos na molécula de hidrogênio. (b) A distribuição eletrônica na molécula de H2. A concentração de densidade eletrônica entre os núcelos leva a uma força atrativa líquida que constitui a ligação covalente mantendo a molécula unida.
  • 34.
    A energia aumentadevido a repulsão internuclear Energia de nte dois átomos infinitamente separados rescenrgiaC Uma molécula é mais estável quando sua Ener Molécula de H2 estável quando sua energia é mínima Distância internuclear Crescente Figura - Mudanças nas energias potenciais de dois átomos de hidrogênio quando estes formam H2: A energia da molécula atinge um mínimo quando há um equilíbrio entre as atrações e repulsões.
  • 35.
  • 36.
    Ligação covalente ea regra do octetoLigação covalente e a regra do octeto Quando átomos formam ligações covalentes, eles te de a c pa tilha elét s até q eeles tendem a compartilhar elétrons até que adquiram uma configuração com a camada mais exter a co te do oito elétro smais externa contendo oito elétrons.
  • 37.
  • 38.
    ou ou ou metanoamônia água
  • 39.
    Ligação covalenteLigação covalente Et t d L iEstruturas de Lewis • As ligações covalentes podem ser representadas pelos símbolos de L i d l tLewis dos elementos: Cl + Cl Cl Cl • Nas estruturas de Lewis, cada par de elétrons em uma ligação é representado por uma única linha: Cl + Cl Cl Cl representado por uma única linha: Cl Cl H F H O H N H CH H HCl Cl H F H H CH H H
  • 40.
    LigaçãoLigação CovalenteCovalente MúltiplasMúltiplas •É possível que mais de um par de elétrons seja compartilhado entre dois átomos (ligações múltiplas): • Um par de elétrons compartilhado = ligação simples (H2); • Dois pares de elétrons compartilhados = ligação dupla (O2);2 • Três pares de elétrons compartilhados = ligação tripla (N2). H H O O N N • Em geral, a distância entre os átomos ligados diminui à medida que o número de pares de elétrons compartilhados aumenta.
  • 41.
  • 42.
    8 elétrons 8elétrons
  • 43.
    OrdemOrdem dede LigaçãoLigaçãoOrdemOrdemdede LigaçãoLigação É definida como o número de pares de elétrons ilh d d i ácompartilhados entre dois átomos. Ordem de ligação 3 no oda Ordem de ligação 3 nuição imento gação Ordem de ligação 2 Dimin compri lig c Ordem de ligação 1
  • 44.
    Polaridade da ligaçãoePolaridade da ligação e eletronegatividadeeletronegatividadeeletronegatividadeeletronegatividade • Em uma ligação covalente os elétrons estão compartilhados• Em uma ligação covalente, os elétrons estão compartilhados. • O compartilhamento de elétrons para formar uma ligação covalente não significa compartilhamento igual daqueles elétrons. E i l li õ l i lé ã• Existem algumas ligações covalentes nas quais os elétrons estão localizados mais próximos a um átomo do que a outro. • O compartilhamento desigual de elétrons resulta em ligações lpolares.
  • 45.
    Eletronegatividadeg • Eletronegatividade: éa habilidade de um átomo de atrair elétrons para si em certa moléculapara si em certa molécula . • Pauling estabeleceu as eletronegatividades em uma escala de 0,9 (Cs) a 4 0 (F)(Cs) a 4,0 (F). • A eletronegatividade aumenta:• A eletronegatividade aumenta: • Da esquerda para a direita em um período e • ao subirmos em um grupo• ao subirmos em um grupo.
  • 46.
    EletronegatividadeEletronegatividade Lantanídeos 1,0- 1,2,, Actinídeos 1,0- 1,2 Figura - A eletronegatividade dos elementos
  • 47.
    Figura - Variaçãona porcentagem do caráter iônico de uma ligação entre átomos de diferentes eletronegatividades: A ligação torna se 50% iônica quandoeletronegatividades: A ligação torna-se 50% iônica quando a diferença de eletronegatividade é 1,7. Isto significa que os átomos na ligação carregam uma carga parcial deg ç g g p aproximadamente + 0,5 unidades.
  • 48.
    Eletronegatividade e polaridade deligação • A diferença na eletronegatividade entre dois átomos é uma medida da polaridade de ligação:uma medida da polaridade de ligação: • as diferenças de eletronegatividade próximas a 0 resultam em ligações covalentes apolaresresultam em ligações covalentes apolares (compartilhamento de elétrons igual ou quase igual); • as diferenças de eletronegatividade próximas a 2ç g p resultam em ligações covalentes polares (compartilhamento de elétrons desigual); dif d l i id d i• as diferenças de eletronegatividade próximas a 3 resultam em ligações iônicas (transferência de elétrons)elétrons).
  • 49.
    Eletronegatividade e polaridade deligaçãop g ç • Não há distinção acentuada entre os tipos de ligação. • A extremidade positiva (ou polo) em uma ligação polar ép ( p ) g ç p representada por δ+ e o polo negativo por δ-.
  • 50.
    Figura- Ligações covalentesFiguraLigações covalentes polares e não-polares: (a) A densidade eletrônica do par de elétron na ligação é dispersa igualmente entre os dois átomos de H no H o qual gera umade H no H2, o qual gera uma ligação não-polar. (b) No HCl, a densidade eletrônica é puxadadensidade eletrônica é puxada mais fortemente pelo Cl, fazendo esta parte da molécula ligeiramente negativa. Ao mesmo tempo, a parte do molécula onde está o H émolécula onde está o H é ligeiramente positiva. O resultado é uma ligaçãoresultado é uma ligação covalente polar.
  • 51.
    Polaridade da ligaçãoePolaridade da ligação e eletronegatividadeeletronegatividade M t d di l eletronegatividadeeletronegatividade Momentos de dipolo • Considere HF: • A diferença de eletronegatividade leva a uma ligação polar• A diferença de eletronegatividade leva a uma ligação polar. • Há mais densidade eletrônica no F do que no H. • Uma vez que há duas ‘extremidades’ diferentes da moléculaUma vez que há duas extremidades diferentes da molécula, chamamos o HF de um dipolo. • O momento de dipolo, μ, é a ordem de grandeza do dipolo: d Q é d d Qr=μ onde Q é a grandeza das cargas. • Os momentos de dipolo são medidos em debyes (D).
  • 53.
    No cloreto deamônio, a ligação entre o cátion NH4 + e o ânion Cl- é iônica Portanto nem sempre a ligação iônica ocorreCl é iônica. Portanto, nem sempre a ligação iônica ocorre entre um metal e um não-metal. Nesta substância todos os elementos são não-metais. De fato, a ligação iônica é aquelag ç q que se dá entre um ânion e um cátion. Observe também que além da ligação iônica o cloreto de ô i i li õ l t t it ê iamônio possui ligações covalentes entre o nitrogênio e os hidrogênios.
  • 54.
    Íons poliatômicosÍons poliatômicos Oí li ô i ã f d d há• Os íons poliatômicos são formados quando há uma carga global em um composto contendo ligações l t P l SO 2 NOcovalentes. Por exemplo, SO4 2−, NO3 −.
  • 55.
    El t tiid dEl t ti id d R ti id dR ti id d ddEletronegatividade e aEletronegatividade e a ReatividadeReatividade dede MetaisMetais ee NãoNão--MetaisMetais
  • 56.
    EletronegatividadeEletronegatividade Lantanídeos 1,0- 1,2,, Actinídeos 1,0- 1,2 Figura - A eletronegatividade dos elementos
  • 57.
    Reatividade dos Metais:facilidade de oxidação Oxidado menos facilmente Oxidado mais facilmente Figura - A variação da facilidade de oxidação dos metais com a posição na tabela periódica’
  • 58.
    Reatividade dos Não-Metais: facilidade de redução ( id d d t t id t )(capacidade de atuar como agente oxidante). O mais poderoso agente oxidante é o flúor (maiorp g ( eletronegatividade)
  • 59.
    F2 + 2Cl- 2F- + Cl2 Flúor F2 + 2 Br- 2F- + Br2 F2 + 2 I- 2F- + I2 Cloro Cl2 + 2 Br- 2Cl- + Br2 Cl2 + 2 I- 2Cl- + I2 BromoBromo Br2 + 2 I- 2Br- + I2
  • 60.
    Exceções à regrado octetoExceções à regra do octetoç gç g • Existem três classes de exceções à regra do octeto: • moléculas com número ímpar de elétrons;• moléculas com número ímpar de elétrons; • moléculas nas quais um átomo tem menos de um octeto, ou seja, moléculas deficientes em elétrons; • moléculas nas quais um átomo tem mais do que um octeto ou seja• moléculas nas quais um átomo tem mais do que um octeto, ou seja, moléculas com expansão de octeto. Número ímpar de elétrons • Poucos exemplos. Geralmente, moléculas como ClO2, NO e NO2 têm um número ímpar de elétrons.número ímpar de elétrons. N O N ON O N O
  • 61.
    ExceçõesExceções àà regraregradodo octetooctetoExceçõesExceções àà regraregra dodo octetoocteto Deficiência em elétrons • Relativamente raro. • As moléculas com menos de um octeto são típicas para compostos 3A. • O exemplo mais típico é o BF3.
  • 62.
    ExceçõesExceções àà regraregradodo octetoocteto Quatro elétrons em volta do berílio Seis elétrons em volta do boro
  • 63.
    Exceções à regrado octetoExceções à regra do octetoç gç g Expansão do octeto • Esta é a maior classe de exceções. • Os átomos do 3º período em diante podem acomodar mais de um octeto. • Além do terceiro período, os orbitais d são baixos o suficiente em energia para participarem de ligações e receberem a densidade eletrônica extraeletrônica extra.
  • 64.
  • 65.
    UmUm MétodoMétodo paraparaEscreverEscrever EstruturasEstruturas dede LewisLewis
  • 66.
    1. Decida o arranjoinicial dos átomos (como se )conectam) 2. Conte todos os elétrons de valênciaConte todos os elétrons de valência 3. Coloque dois elétrons em cada ligaçãoColoque dois elétrons em cada ligação continua
  • 67.
    4. Complete os octetosdos átomos ligados ao átomo central, colocando pares de e-. 5. Coloque os elétrons restantes no átomo central aos pares 6. Se o átomo central não completar o octeto, faça ligações duplas ou triplas, se necessário.
  • 68.
    EX: Qual aestrutura de Lewis para a molécula de ácido clórico, HClO3. Como os átomos se conectam El t Elét d d V lê i T t l d Elét d se conectam Elemento Elétrons de de Valência dos elementos (ver tabela periódica) Total de Elétrons de valência por elemento H 1 1 x 1 = 1 Cl 7 1 x 7 = 7 O 6 3 x 6 = 18 TOTAL 26
  • 69.
    Utilizamos 8 elétronsFaltam colocar 18 elétrons para dar 26Utilizamos 8 elétrons. Faltam colocar 18 elétrons para dar 26. Utilizamos 24 elétrons. Faltam colocar 2 elétrons para dar 26.
  • 71.
    EX: Qual aestrutura de Lewis para a molécula de SO3. O S O O Como os átomos se conectam El t Elét d d V lê i T t l d Elét d O S O se conectam Elemento Elétrons de de Valência dos elementos (ver tabela periódica) Total de Elétrons de valência por elemento S 6 1 x 6 = 6 O 6 3 x 6 = 18 TOTAL 24
  • 72.
  • 73.
    CargaCarga formalformalCargaCarga formalformal Acarga formal é a carga que um átomo teria em uma molécula se todos os outros átomos tivessem a mesmamolécula se todos os outros átomos tivessem a mesma eletronegatividade.
  • 74.
    CargaCarga formalformalgg • Paracalcular a carga formal:g • Todos os elétrons não compartilhados (não-ligantes) são atribuídos ao átomo no qual estão localizados.q • Metade dos elétrons ligantes é atribuída a cada átomo em uma ligação.
  • 75.
    Carga formal = Númerode elétrons na Número de ligações no Número de elétrons não-+camada de valência do gações o átomo e ét o s ão compartilhados- + átomos isolado
  • 76.
    Carga formal • Considere: •Para o C: C N • Existem 4 elétrons de valência (pela tabela periódica). • Na estrutura de Lewis, existem 2 elétrons não-ligantes e 3 da ligação tripla. Há 5 elétrons pela estrutura de Lewis. • Carga formal: 4 – (3 +2) = -1.
  • 77.
    Desenhando as estruturasDesenhandoas estruturas de Lewisde Lewisde Lewisde Lewis Carga formal • Considere: • Para o N: C N • Para o N: • Existem 5 elétrons de valência. • Na estrutura de Lewis, existem 2 elétrons não-ligantes e 3 da ligação tripla. Há 5 elétrons pela estr t ra de Le isHá 5 elétrons pela estrutura de Lewis. • Carga formal = 5 – (3+2) = 0. • Escrevemos: C N
  • 78.
    AA cargacarga formale aformal e a SeleçãoSeleção dede estruturasestruturas de Lewisde Lewisestruturasestruturas de Lewisde Lewis Vamos analisar estrutura de Lewis para o ácido sulfúricoVamos analisar estrutura de Lewis para o ácido sulfúrico Estrutura 1 dá Estrutura 2dá
  • 79.
    S O H Figura- A estrutura do ácido sulfúrico no estado de vapor: Note a diferença nos comprimentos das ligações S-O
  • 80.
    Elétrons não-compartilhados t li t Os elétrons numa ligação são divididos igualmente pertencem exclusivamente a um átomo são divididos igualmente entre os dois átomos Há 4 ligações no átomo de Carga formal no S Há 4 ligações no átomo de enxofre Carga formal no S Um átomo isolado neutro de S tem 6 elétrons Não há pares não- compartilhados no enxofrede S tem 6 elétrons p
  • 81.
    6 – (1ligação + 6 não-compartilhado) = -1 6 – (2 ligação + 4 não-compartilhado) = 0
  • 82.
    Carga formal zero paratodos os átomosp
  • 83.
    Quando temos váriasestruturas de Lewis possíveis damos preferênciaLewis possíveis, damos preferência àquela com as memores cargas formais, pois são as mais estáveis e portanto aspois são as mais estáveis e, portanto, as mais prováveis de ocorrer.
  • 84.
    EX: Um estudanteescreveu três estruturas de Lewis para a molécula de ácido nítrico. Qual é a mais provável de ocorrer (a mais estável)? III não é viável, pois o nitrogênio, elemento do 2º período Não comporta 10 elétrons
  • 85.
  • 86.
  • 87.
    EX: Podemos escreverduas estruturas para o BCl3.3 Qual é a mais provável de ocorrer (a mais estável)?)
  • 88.
  • 89.
    EX: Qual aestrutura de Lewis para a molécula de NH4 1+. H N H H H N H H Elemento Elétrons de de Valência dos elementos (ver tabela periódica) Total de Elétrons de valência por elemento periódica) N 5 1 x 5 = 5 H 1 4 x 1 = 4 Total Parcial 9 TOTAL 8
  • 90.
    EX: Qual aestrutura de Lewis para a molécula de IF4 1-. Elemento Elétrons de de Valência dos elementos (ver tabela periódica) Total de Elétrons de valência por elemento periódica) I 7 1 x 7 = 7 F 7 4 x 7 = 28 Total Parcial 35 TOTAL 36
  • 91.
    ou Utilizamos 32 elétrons.Faltam colocar 4 elétrons para dar 36.
  • 92.
    EstruturasEstruturas dede ressonânciaressonância •Algumas moléculas não são bem representadas pelas estruturas de LewisLewis. • Normalmente, as estruturas com ligações múltiplas podem ter estruturas similares às ligações múltiplas entre diferentes pares de átomos.
  • 93.
    A estrutura maisestável tem: • a carga formal mais baixa em cada átomoátomo • a carga formal mais negativa nos átomos mais eletronegativosátomos mais eletronegativos
  • 94.
    EstruturasEstruturas dede ressonânciaressonância •Exemplo: experimentalmente, o ozônio tem duas ligações idênticas ao passo que a estrutura de Lewis requer uma simplesidênticas, ao passo que a estrutura de Lewis requer uma simples (mais longa) e uma ligação dupla (mais curta). O O O O
  • 95.
  • 96.
    EstruturasEstruturas dede ressonânciaressonânciaEstruturasEstruturasdede ressonânciaressonância • As estruturas de ressonância são tentativas de representar uma estrutura real, que é uma mistura entre várias possibilidades textremas.
  • 97.
    Outra metáfora paracompreender fórmulas de ressonância jumento cavalo mulamula Uma mula que é o híbrido entre um jumento e um cavalo não é umUma mula , que é o híbrido entre um jumento e um cavalo, não é um jumento num minuto e um cavalo em outro. Embora tenha característica de ambos, uma mula é sempre uma mula. Um híbrido de, p ressonânica também possui características dos contribuintes de ressonância, mas nunca terá a estrutura de nenhum deles.
  • 98.
    EstruturasEstruturas dede ressonânciaressonância El ô i ibilid d ê li ã EstruturasEstruturas dede ressonânciaressonância • Exemplo: no ozônio, as possibilidades extremas têm uma ligação dupla e uma simples. A estrutura de ressonância tem duas ligações idênticas de caráter intermediário. O O O O O O O O • Exemplos comuns: O3, NO3 -, SO4 2-, NO2 e benzeno.
  • 99.
    Exemplos Na+ F- H-H Exemplos H+ H-Na-F [Ca2+] 2 Br- Br-Ca- Br- Caráter covalente C át iô i Contribuição desprezível Contribuição desprezível Caráter parcialmente covalente e iônico covalente Caráter iônico
  • 101.
    Uma das etapasao se fazer estrutura dese fazer estrutura de Lewis do NO3 1-
  • 102.
    EX: Escreva asestruturas de ressonância para o íon sulfito, SO3 2-.
  • 103.
  • 104.
    DesenhandoDesenhando asas estruturasestruturas deLewisde Lewisde Lewisde Lewis Ressonância no benzeno • O benzeno consiste de seis átomos de carbono em um anel hexagonal Cada átomo de C está ligado a dois outros átomos dehexagonal. Cada átomo de C está ligado a dois outros átomos de C e um átomo de hidrogênio. • Existem ligações simples e duplas alternadas entre os átomos de CC. • A estrutura experimental do benzeno mostra que todas as ligaçõesp q g ç C-C têm o mesmo comprimento. • Da mesma forma, sua estrutura mostra que o benzeno é plano.
  • 105.
    Ressonância no benzeno •Escrevemos as estruturas de ressonância para o benzeno de tal forma que haja ligações simples entre cada par de átomos de C eforma que haja ligações simples entre cada par de átomos de C e os seis elétrons adicionais estejam deslocalizados por todo o anel: • O benzeno pertence a uma categoria de moléculas orgânicas h d d t áti (d id h i )chamada de compostos aromáticos (devido ao seu cheiro).
  • 106.
    Figura.Benzeno : Amolécula tem uma estrutura hexagonal.hexagonal.
  • 107.
  • 108.
  • 109.
    Duas propriedades relacionadasao números de paresp p p de elétrons que formam uma ligação: -a distância entre os núcleos (comprimento de ligação)( p g ç ) e - a energia necessária para separar os átomos ligadosg p p g e torná-los novamente partículas neutras, a energia de ligação.g ç Conforme a ordem de ligaçãoConforme a ordem de ligação aumenta, o comprimento de ligação diminui e a energia de ligaçãodiminui e a energia de ligação aumenta, quando comparamos ligações similaresligações similares
  • 110.
    ForçasForças dasdas ligaçõesligações covalentescovalentescovalentescovalentes •A energia necessária para quebrar uma ligação covalente é denominada entalpia de dissociação de ligação, D. Isto é, para ap ç g ç , , p molécula de Cl2, a D(Cl-Cl) é dada pelo ΔH para a reação: Cl2(g) → 2Cl(g). • Quando mais de uma ligação é quebrada: CH4(g) → C(g) + 4H(g) ΔH = 1660 kJ • A entalpia de ligação é uma fração do ΔH para a reação de atomização: D(C-H) = ¼ ΔH = ¼(1660 kJ) = 415 kJ ΔH : variação de calor a pressão constante
  • 112.
    Tabela: Comprimento deligação e energias de ligação médios medidos para ligações carbono- b Comprimento Energia carbono ligação de ligação (pm) Energia de ligação (kJ/mol)
  • 113.
    - Quebrar ligaçõesé sempre um processo endotérmico (requer energia) -Formar ligações é sempre um processo exotérmico (libera energia). Supõe-se que a reação ocorra em duas etapas: -Nós fornecemos energia suficiente para quebrar aquelas ligações que não estão presentes nos produtos -Nós formamos ligações (há liberação de energia) que não estão presentes nos reagentes ΔH reação = Σ (entalpias de ligação das ligações quebradas) – Σ (entalpias de ligação das ligações formadas)
  • 114.
    CH4(g) + Cl2(g)→ CH3Cl(g) + HCl(g) ΔHreação = ? forma ΔH reaçãoç
  • 115.
    É importante lembrarque as entalpias de ligação sãoÉ importante lembrar que as entalpias de ligação são derivadas para moléculas gasosas e que elas são frequentemente valores médios. Portanto, entalpias defrequentemente valores médios. Portanto, entalpias de ligações médias são úteis para rápidas estimativas de entalpias (calor a pressão constante) de reação,entalpias (calor a pressão constante) de reação, especialmente para reações em fase gasosa.