Energia Cinética                 Associada ao
                                movimento.


                                              Em
                                           joules(J)



                                        mv 2
                                   EC =
                                         2


           Em quilogramas(kg)        Em
                                     m/s
Energia Potencial            Associada a
Gravitacional               uma altura.

           Em
                       EPG = mgh
        joules(J)
                                    Em m
                    Em kg

                              Em m/s2
Energia Potencial        Associada a um
                       corpo deformado
                       dentro do limite
Elástica               elástico.
                                     Em
                                  joules(J)
                              2
                         kx
                 EPE   =
                          2
             Em N/m
                                  Em m


                        F
                *** k =
                        x
F1-Módulo 04 página 7
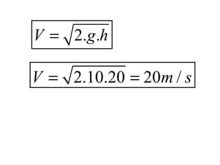
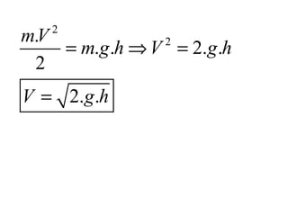
1) EM Final = EM Inicial
2
mV
 .
   = m.g .h ⇒ V = 2.g .h
               2

 2
V = 2.g .h
V = 2.g .h

V = 2.10.20 = 20m / s
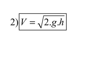
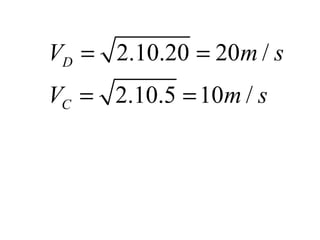
2) V = 2.g.h
VD = 2.10.20 = 20m / s
VC = 2.10.5 = 10m / s
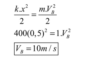
3)
a ) EM A = EM B
2       2
k .x   mV
        .
     =    B
  2     2
400(0,5) = 1.VB
        2      2


VB = 10m / s
b ) EM C = EM B
2
         mV  .
m.g .h =    B

             2
           2
       10
10.h =         ⇒ h = 5m
         2

Intensivão f1 módulo 04

  • 2.
    Energia Cinética Associada ao movimento. Em joules(J) mv 2 EC = 2 Em quilogramas(kg) Em m/s
  • 3.
    Energia Potencial Associada a Gravitacional uma altura. Em EPG = mgh joules(J) Em m Em kg Em m/s2
  • 4.
    Energia Potencial Associada a um corpo deformado dentro do limite Elástica elástico. Em joules(J) 2 kx EPE = 2 Em N/m Em m F *** k = x
  • 5.
  • 6.
    1) EM Final= EM Inicial
  • 7.
    2 mV . = m.g .h ⇒ V = 2.g .h 2 2 V = 2.g .h
  • 8.
    V = 2.g.h V = 2.10.20 = 20m / s
  • 9.
    2) V =2.g.h
  • 10.
    VD = 2.10.20= 20m / s VC = 2.10.5 = 10m / s
  • 11.
    3) a ) EMA = EM B
  • 12.
    2 2 k .x mV . = B 2 2 400(0,5) = 1.VB 2 2 VB = 10m / s
  • 13.
    b ) EMC = EM B
  • 14.
    2 mV . m.g .h = B 2 2 10 10.h = ⇒ h = 5m 2