INSS
  Cargo: Técnico do Seguro Social
                                                 DIREITO
                                              PREVIDENCIÁRIO

                              Sumário:
01. SEGURO SOCIAL_________________________________________________________01
02. LEGISLAÇÃO PREVIDENCIÁRIA_____________________________________________ 05
03. REGIME GERAL DA PREVIDÊNCIA___________________________________________ 07
04. CONCEITO PREVIDENCIÁRIO DE EMPRESA E EMPREGADOR DOMÉSTICO________      12
05. FINANCIAMENTO DA SEGURIDADE SOCIAL___________________________________  13
06. CONTRIBUIÇÃO DOS SEGUROS SOCIAIS_____________________________________  14
07. CONTRIBUIÇÃO DE EMPRESA______________________________________________  16
08. SALÁRIO-DE-CONTRIBUIÇÃO______________________________________________ 18
09. ARRECADAÇÃO DAS CONTRIBUIÇÕES DESTINADAS À SEGURIDADE SOCIAL_____ 19
10. OBRIGAÇÕES ACESSÓRIAS________________________________________________  23
11. FOLHA DE PAGAMENTO___________________________________________________ 23
12. RESPONSABILIDADE SOLIDÁRIA____________________________________________ 24
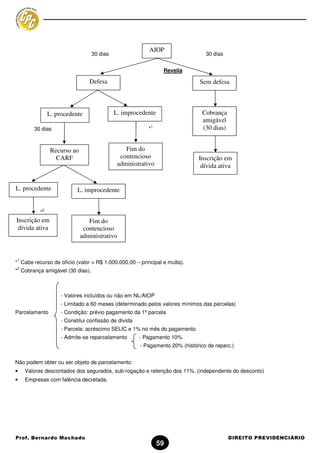
13. RETENÇÃO DE 11%_______________________________________________________25
14. DECADÊNCIA E PRESCRIÇÃO_______________________________________________ 29
15. RESTITUIÇÃO, COMPENSAÇÃO E REEMBOLSO________________________________   30
16. PROVA DE INEXISTÊNCIA DE DÉBITO_______________________________________ 34
17. CRIMES CONTRA A SEGURIDADE SOCIAL____________________________________36
18. PRESTAÇÕES PREVIDENCIÁRIAS___________________________________________  41
19. OUTRAS QUESTÕES SOBRE BENEFÍCIOS____________________________________   46
20. OUTRAS QUESTÕES PREVISTAS NA CF/88____________________________________ 50
21. EXERCÍCIOS DAS AULAS__________________________________________________ 65
22. PROVA DE TÉCNICO DO SEGURO SOCIAL - INSS 2008__________________________88
Outro ponto importante do período da evolução
            SEGURIDADE SOCIAL                                    securitária é o relatório Beveridge na Inglaterra em
                                                                 1942. Este relatório foi o responsável pela origem da
    Origem da Proteção Social                                    Seguridade Social, onde o Estado passa a ser
                                                                 responsável não só no seguro social, mas, também, nas
     A proteção social tem como finalidade reduzir os            áreas de saúde e assistência social.
efeitos das adversidades da vida, como fome, doença,
velhice, etc.                                                        No Brasil, a seguridade social foi tratada pela
                                                                 primeira vez em 1824, com a criação dos socorros
    Inicialmente, a proteção social vinha da própria             públicos na Constituição Federal de 1824 (saúde). Já no
família, onde os mais idosos e desprovidos da                    ano de 1835 foi instituído o MONGERAL (Montepio
capacidade de trabalhar eram auxiliados pelos mais               Geral dos Servidores do Estado), que tinha o objetivo de
jovens e aptos ao trabalho.                                      beneficiar as famílias dos empregados públicos que
     Com o passar do tempo, viu-se a necessidade da              falecessem sem lhes deixar meios de subsistência.
proteção social por parte do Estado, principalmente para             A Constituição Federal de 1891 foi a primeira a
as pessoas que não eram dotadas da proteção familiar             estabelecer a aposentadoria, entretanto, esta era
e, quando esta existia, era precária. Esse papel era feito       concedida apenas a funcionários públicos e em casos
pela igreja, passando alguma responsabilidade para o             de invalidez a serviço da Nação.
Estado apenas no século XVII, com a edição da famosa
Lei dos Pobres (Poor Law – Inglaterra 1601). Anterior a               Em 1919, foi estabelecido o precursor para o seguro
Lei dos Pobres, encontram-se indícios de seguro                  de acidentes do trabalho, compulsório para algumas
coletivo no Império Romano, que visa à garantia de               atividades, por meio do Decreto-Legislativo nº. 3.724.
seus participantes, além da preocupação com os                        Em 1923, foi editado o Decreto-Legislativo nº.
necessitados, porém sem uma intervenção direta do                4.682, denominado Lei Ely Chaves, que é considerado o
Estado, sendo este apenas um fiscalizador dos                    marco inicial da previdência social brasileira. A Lei Eloy
interesses gerais da sociedade.                                  Chaves criou a Caixa de Aposentadoria e Pensões
     Portanto, nota-se a preocupação inicial do Estado           (CAP) para os empregados de cada empresa
pela assistência dos desprovidos de renda até,                   ferroviária.
finalmente, a criação de um sistema securitário, coletivo            No decorrer da década de 30, a tendência da
e compulsório, visando à proteção total, ou seja, a              organização do sistema previdenciário deixou de ser por
seguridade social.                                               empresa e passou a ser por categoria profissional. Já
    Hoje, no Brasil, entende-se por seguridade social o          nos anos de 1933 e 1934, foram criados os Institutos de
conjunto de ações do Estado no sentido de atender as             Aposentadorias e Pensões dos Marítimos (IAPM), dos
necessidades básicas de seu povo nas áreas de                    Comerciários (IAPC) e dos Bancários (IAPB).
previdência social, assistência social e saúde, sendo                A Constituição Federal de 1934 foi a primeira a
classificados como direitos sociais pela Constituição            fazer    referência  à       expressão     “previdência”,
Federal no seu Título VIII – Da Ordem Social.                    estabelecendo a forma tríplice de custeio previdenciária,
                                                                 com contribuições do Estado, empregador e
                                                                 empregado.
    Evolução Histórica e Legislativa no Brasil
                                                                      A Constituição Federal de 1937 não traz grandes
   Para entendermos a evolução histórica no Brasil é             alterações, apenas o uso da palavra “seguro social”
importante entendermos a evolução histórica mundial da           como sinônimo de previdência social.
seguridade social.
                                                                       A Constituição Federal de 1946 foi a primeira a
     A Poor Law, mencionada acima, foi o primeiro ato            utilizar a expressão “previdência social”.
relativo à assistência social no mundo. Esta criou uma
contribuição obrigatória, arrecadada pelo Estado para                A Lei Orgânica da Previdência Social (LOPS), nº.
fins sociais.                                                    3.807 de 1960, padronizou o sistema assistencial
                                                                 ampliando os benefícios, instituiu o auxílio-natalidade, o
    Outro ponto fundamental foi o projeto de seguro de           auxílio-funeral, o auxílio-reclusão, e estendeu a área de
doença (1884), seguro de acidentes de trabalho (1884)            assistência social para outras categorias profissionais.
e seguro de invalidez e velhice (1889), todos na
Alemanha. Foi a primeira vez em que havia a proteção                 Em 1963, houve a criação do Fundo de Assistência
garantida pelo Estado, sendo este um arrecadador de              do Trabalhador Rural (FUNRURAL), instituído pela Lei
contribuições compulsórias dos participantes do sistema          4.214, além da criação do salário-família pela Lei 4.266.
securitário. Podem-se observar duas características dos              A Emenda Constitucional nº. 11, de 1965, criou o
regimes previdenciários modernos: organização estatal            princípio da seguridade social, que foi o princípio da
e compulsoriedade.                                               precedência da fonte de custeio, ou seja, nenhuma
   As primeiras constituições a surgirem com os                  prestação de serviço de caráter assistencial ou
denominados direitos sociais foram a Constituição do             benefício da previdência social poderia ser criado,
México de 1917 e Constituição de Weimar de 1919.                 majorado ou estendido sem a correspondente fonte de
                                                                 custeio total, princípio seguido até os dias atuais.
   A primeira citação feita à Seguridade Social foi o
Social Security Act nos Estados Unidos em 1935.                     Os IAP somente foram unificados em 1966, por
                                                                 meio do Decreto-Lei nº. 72, centralizando a organização


Prof. Bernardo Machado                                                                    DIREITO PREVIDENCIÁRIO
                                                             1
previdenciária no Instituto Nacional de Previdência            INSS foi criada a Secretaria da Receita Previdenciária
Social (INPS), realmente implementado em 1967. Ainda           (SRP), por meio da Medida Provisória nº 222/04,
em 1966, foi criado o Fundo de Garantia do Tempo de            convertida na Lei nº 11.098/05, integrando a estrutura
Serviço (FGTS), por meio da Lei nº. 5.107.                     do Ministério da Previdência Social.
    Em 1967, a Lei nº. 5.316 integrou o seguro de                   A criação da SRP foi o requisito necessário para a
acidentes de trabalho (SAT) ao sistema da previdência          unificação com a Secretaria da Receita Federal (SRF).
social.                                                        A primeira tentativa ocorreu por meio da Medida
    No ano de 1969, o Decreto-Lei nº. 564 estendeu a           Provisória nº 258/05, a qual foi rejeitada por decurso de
previdência social ao trabalhador rural, especialmente         prazo. Entretanto, a Lei nº 11.457/07 extinguiu a SRP e
ao setor agrário da agroindústria canavieira e das             modificou a denominação da SRF para Secretaria da
empresas de outras atividades que, pelo seu nível de           Receita Federal do Brasil (RFB).
organização, possam ser incluídas.
    Em 1970, foram instituídos o Programa de                       Conceituação
Integração Social (PIS) e o Programa de Amparo ao                   A seguridade social compreende um conjunto
Servidor Público (PASEP) como maneira de integrar o            integrado de ações de iniciativa dos Poderes Públicos e
trabalhador na participação dos trabalhadores.                 da sociedade, destinadas a assegurar os direitos
     Já em 1971, foi criado o Programa de Assistência          relativos à saúde, à previdência e à assistência social
ao Trabalhador Rural (Pró-Rural), de natureza                  (CF/88, art. 194, caput).
assistencial, cujo principal benefício era aposentadoria
por velhice, após 65 anos de idade, equivalente a meio
salário mínimo de maior valor no país. No mesmo ano                Saúde
foi criado o Ministério do Trabalho e Previdência Social           A saúde é direito de todos e dever do Estado,
(MTPS).                                                        garantido mediante políticas sociais e econômicas que
    Em 1974, a previdência e a assistência social              visem à redução do risco de doença e de outros
obtiveram um Ministério exclusivo, desvinculado do             agravos e ao acesso universal e igualitário às ações e
Ministério do Trabalho, sendo criado o Ministério da           serviços para sua promoção, proteção e recuperação.
Previdência e Assistência Social.                              Ou seja, independente de contribuição, qualquer pessoa
                                                               tem direito ao atendimento na rede pública de saúde.
    No ano de 1977 foi instituído o Sistema Nacional de
Previdência e Assistência Social (SINPAS), por meio da             A saúde é organizada atualmente pelo Ministério da
Lei nº. 6.439, que tinha como objetivo a reorganização         Saúde por meio do Sistema Único de Saúde – SUS,
da Previdência Social. O SINPAS agregava o INPS,               sendo financiada com recursos do orçamento da
IAPAS, INAMPS, LBA, FUNABEM, DATAPREV e                        seguridade social, da União, dos Estados, do Distrito
CEME.                                                          Federal e dos Municípios, além de outras fontes. Essas
                                                               outras fontes estão elencadas na Lei nº. 8.080/90, no
    A Constituição Federal de 1988 tratou, pela primeira       seu art. 32 (ajuda, doações, alienações patrimoniais...).
vez no Brasil, da Seguridade Social, entendida esta
como um conjunto de ações nas áreas de saúde,                     As ações e serviços públicos de saúde integram
previdência e assistência social.                              uma rede regionalizada e hierarquizada e constituem
                                                               um sistema único, organizado de acordo com as
    O SINPAS foi extinto em 1990. A Lei nº. 8.029/90           seguintes diretrizes:
criou o Instituto Nacional do Seguro Social (INSS),
autarquia federal, vinculada hoje ao Ministério da                 • Descentralização, com direção única em cada
Previdência Social (MPS), por meio da fusão do INPS                esfera de governo;
com o IAPAS. O INAMPS foi extinto, sendo “substituído”             • Atendimento integral, com prioridade para as
pelo SUS. A LBA e a CEME também foram extintas.                    atividades preventivas, sem prejuízo dos serviços
     Em 24 de julho de 1991, entraram em vigor as Leis             assistenciais;
nº. 8.212 (Plano de Custeio e Organização da                       • Participação da comunidade.
Seguridade Social) e a Lei nº. 8.213 (Plano de
Benefícios da Previdência Social), que são as leis
relativas a organização da seguridade social e planos               Ações e serviços de saúde são de relevância
de custeio e benefício.                                        pública, cabendo ao Poder Público dispor, nos termos
    Essas leis básicas da seguridade social vêm                da lei, sobre sua regulamentação, fiscalização e
sofrendo inúmeras alterações ao longo do tempo, como           controle, devendo sua execução ser feita diretamente
por exemplo, a Lei nº. 10.666/03, a qual, entre outras         ou através de terceiros e, também, por pessoa física ou
inovações, criou a alteração da forma de arrecadação           jurídica de direito privado.
dos contribuintes individuais que prestam serviços às              Ou seja, a assistência à saúde é livre à iniciativa
empresas.                                                      privada sendo executadas por profissionais liberais,
                                                               legalmente habilitados, e pessoas jurídicas de direito
    Atualmente, o Regulamento da Previdência Social é
aprovado pelo Decreto nº. 3.048/99.                            privado.
                                                                    Entretanto, essa assistência só será prestada de
     Com o intuito de retirar a tarefa de arrecadar,
                                                               maneira complementar, ou seja, quando o SUS não
fiscalizar e cobrar as contribuições previdenciárias do
                                                               tiver disponibilidades suficientes para garantir a

Prof. Bernardo Machado                                                                 DIREITO PREVIDENCIÁRIO
                                                           2
cobertura assistencial à população de uma determinada               A assistência social é organizada pelo Ministério do
área, poderá recorrer aos serviços ofertados pela               Desenvolvimento Social e Combate à Fome e tem por
iniciativa privada.                                             princípios:
    A participação complementar dos serviços privados               • A proteção à família, à maternidade, à infância, à
será formalizada mediante contrato ou convênio,                     adolescência e à velhice;
observadas, a respeito, as normas de direito público,
                                                                    • O amparo às crianças e adolescentes carentes;
sendo dada preferência as entidades filantrópicas e as
sem fins lucrativos.                                                • A promoção da integração ao mercado de
                                                                    trabalho;
    Atentem para o fato de que é dada preferência. Ou
seja, pessoas jurídicas de direito privado podem                    • A habilitação e reabilitação das pessoas
participar da assistência a saúde no país, sempre de                portadoras de deficiência e a promoção de sua
forma complementar, ainda que tenha finalidade                      integração à vida comunitária;
lucrativa. Entretanto, é vedada a destinação de recursos            • A garantia de um salário mínimo de benefício
públicos para auxílios ou subvenções às instituições                mensal à pessoa portadora de deficiência e ao
privadas com fins lucrativos.                                       idoso que comprovem não possuir meios de prover
     É vedada, também, a participação direta ou indireta            à própria manutenção ou de tê-la provida por sua
de empresas ou capitais estrangeiros na assistência à               família, conforme dispuser a lei.
saúde no País, salvo nos casos previstos em lei. A Lei
nº. 8.080/90, nos seu art. 23 determina o caso de
exceção,     permitindo   doações    de     organismos               Apesar de a constituição mencionar no seu texto
internacionais vinculados à Organização das Nações              “objetivos”, estamos a frente de verdadeiros princípios,
Unidas - ONU, de entidades de cooperação técnica e de           visto que a constituição não determina algo a ser
financiamento e empréstimos.                                    alcançado, mas sim algo que norteia o funcionamento
                                                                da assistência social.
     Por fim, compete ao SUS, além           de outras
atribuições, nos termos da lei:                                     Atentem para o fato do benefício mensal somente
                                                                ser pago à pessoa portadora de deficiência ou ao idoso
    • Controlar e fiscalizar procedimentos, produtos e          e desde que não possam se manter. Pessoa idosa é
    substâncias de interesse para a saúde e participar          aquela acima de 65 (sessenta e cinco) anos conforme
    da produção de medicamentos, equipamentos,                  determina o art. 34 do Estatuto do Idoso – Lei nº.
    imunobiológicos, hemoderivados e outros insumos;            10.741/03. Idoso pelo próprio estatuto é aquela pessoa
    • Executar as ações de vigilância sanitária e               com idade igual ou superior a 60 (sessenta) anos.
    epidemiológica, bem como as de saúde do                     Apenas para fins de recebimento de prestação
    trabalhador;                                                continuada da Lei Orgânica da Assistência Social –
                                                                LOAS (Lei nº. 8.742/93) é que o estatuto do idoso
    • Ordenar a formação de recursos humanos na
                                                                determina a idade de 65 (sessenta e cinco) anos.
    área de saúde;
                                                                    Além da questão da deficiência ou da idade é
    • Participar da formulação da política e          da        necessária a comprovação de não possuir meios de
    execução das ações de saneamento básico;                    prover à própria manutenção ou de tê-la provida por sua
    • Incrementar em sua área de atuação               o        família. A LOAS vem determinar de uma maneira
    desenvolvimento científico e tecnológico;                   objetiva esse conceito, determinando que considera-se
    • Fiscalizar e inspecionar alimentos, compreendido          incapaz de prover a manutenção da pessoa portadora
    o controle de seu teor nutricional, bem como                de deficiência ou idosa a família cuja renda mensal per
    bebidas e águas para consumo humano;                        capita seja inferior a 1/4 (um quarto) do salário mínimo.
                                                                    Esse benefício, apesar de não ser um benefício
    • Participar do controle e fiscalização da produção,
                                                                previdenciário, é pago pelo INSS, pois já possui a
    transporte, guarda e utilização de substâncias e
                                                                estrutura necessária para o pagamento de benefício de
    produtos psicoativos, tóxicos e radioativos;
                                                                prestação continuada. Não haveria necessidade do
    • Colaborar na proteção do meio ambiente, nele              governo criar mais uma estrutura para se pagar esse
    compreendido o do trabalho.                                 benefício, acarretando assim mais um gasto público
    A Lei que regulamenta a saúde é a Lei nº. 8.080, de         desnecessário.
19/09/1990.                                                          Além desse benefício de prestação continuada,
                                                                existem outros benefícios previstos na LOAS. São os
                                                                chamados benefícios eventuais, como é o caso do
    Assistência Social
                                                                auxílio-natalidade e auxílio-funeral. A condição básica
    A assistência social será prestada a quem dela              para o pagamento desses benefícios é justamente a
necessitar, independentemente de contribuição à                 mesma do benefício de prestação continuada, ou seja,
seguridade social. Portanto, o único pré-requisito para o       não possuir meios prover à própria manutenção ou de
auxílio assistencial é a necessidade do assistido e,            tê-la provida por sua família (renda mensal familiar per
assim como a saúde, independe de contribuição.                  capita inferior a 1/4 (um quarto) do salário mínimo).
                                                                    As ações governamentais na área da assistência
                                                                social serão realizadas com recursos do orçamento da

Prof. Bernardo Machado                                                                  DIREITO PREVIDENCIÁRIO
                                                            3
seguridade social, além de outras fontes, e organizadas             Princípios Específicos:
com base nas seguintes diretrizes:                                  • Solidariedade (art. 3º, I, CF/88): busca reduzir as
    • Descentralização político-administrativa, cabendo         desigualdades      sociais,   permitindo    que   alguns
a coordenação e as normas gerais à esfera federal e a           contribuam para o sistema, para que outros, sem
coordenação e a execução dos respectivos programas              condições     financeiras,    estejam    cobertos    pela
às esferas estadual e municipal, bem como a entidades           seguridade social. Este princípio permite que uma
beneficentes e de assistência social;                           pessoa se aposente por invalidez, sem ter qualquer
     • Participação da população, por meio de                   contribuição para o sistema;
organizações representativas, na formulação das                      • Universalidade de cobertura e atendimento:
políticas e no controle das ações em todos os níveis.           estabelece que qualquer pessoa pode participar da
     É facultado aos Estados e ao Distrito Federal              proteção social. Para a área de saúde e assistência
vincular a programa de apoio à inclusão e promoção              social, viu-se que qualquer pessoa tem acesso,
social até 0,5 % (cinco décimos por cento) de sua               independente de contribuição. Entretanto, quanto à
receita tributária líquida, vedada a aplicação desses           previdência social, a pessoa deve contribuir para o
recursos no pagamento de:                                       sistema (sistema contributivo), Portanto, para que todas
                                                                as pessoas possam ter acesso ao sistema foi criada a
   • Despesas com pessoal e encargos sociais;                   figura do segurado facultativo;
   • Serviço da dívida;                                              • Uniformidade e equivalência dos benefícios e
     • Qualquer outra despesa corrente não vinculada            serviços às populações urbanas e rurais: busca a não
diretamente aos investimentos ou ações apoiados.                distinção de valores entre os benefícios pagos às
                                                                populações urbanas e rurais;
     A Lei que regulamenta a assistência social é a Lei
nº. 8.742, de 07/12/1993.                                            • Seletividade e distributividade na prestação dos
                                                                benefícios e serviços: a seletividade determina que
                                                                alguns benefícios são disponíveis apenas para certos
   Previdência Social                                           segurados, como salário-família e auxílio-reclusão. Já a
    A previdência social será organizada sob a forma de         distributividade tem      por objetivo diminuir as
regime geral, de caráter contributivo e de filiação             desigualdades sociais, buscando otimizar a distribuição
obrigatória, observados critérios que preservem o               de renda e bem-estar social no país;
equilíbrio financeiro e atuarial.                                    • Irredutibilidade do valor dos benefícios: busca
   Diferentemente dos demais ramos da Seguridade                manter o valor nominal e real (atualizar o valor do
Social, a previdência social depende de contribuição.           benefício de acordo com a inflação do período do
                                                                benefício concedido). Cabe apenas ressaltar que,
   A previdência social é organizada pelo Ministério da
                                                                conforme entendimento do STF, o princípio elencado no
Previdência Social e tem por princípio:
                                                                art. 194, § único, IV da CF/88 visa apenas proteger o
   • Cobertura dos eventos de doença, invalidez,                valor nominal do benefício, uma vez que o valor real já
   morte e idade avançada;                                      está protegido por outro dispositivo previsto na Carta
   • Proteção      à    maternidade,   especialmente    à       Magna (art. 201, § 4º da CF/88);
   gestante;                                                        • Equidade na forma de participação no custeio:
   • Proteção ao trabalhador           em   situação   de       estabelece que a contribuição para o sistema será
   desemprego involuntário;                                     determinada de acordo com a capacidade econômica
                                                                de cada contribuinte, ou seja, recebendo mais pagará
   • Salário-família e auxílio-reclusão para           os       mais. Portanto, o princípio da equidade é corolário (se
   dependentes dos segurados de baixa renda;                    deriva) do princípio da solidariedade;
   • Pensão por morte do segurado, homem ou                         • Diversidade da base de financiamento: busca
   mulher, ao cônjuge ou companheiro e dependentes.             garantir a arrecadação de contribuições, de modo que a
    A previdência social será o tema de todo o nosso            base de financiamento da seguridade social seja a mais
estudo, sendo tecido maiores detalhes posteriormente.           variada possível;
                                                                    • Caráter democrático e descentralizado da
   Organização e Princípios Constitucionais                     administração: visa a participação da sociedade na
                                                                gestão da seguridade social, mediante gestão
     O art. 194 da Constituição Federal menciona alguns         quadripartite, com participação dos trabalhadores,
dos princípios da seguridade social brasileira, são os          empregadores, aposentados e do governo;
chamados princípios específicos. Além destes, se
aplicam à seguridade social alguns princípios gerais,               • Tríplice forma de custeio: determina que a
elencados abaixo:                                               seguridade social será financiada por recursos da
                                                                União, das contribuições sociais das empresas e dos
   Princípios Gerais:                                           trabalhadores;
   • Igualdade;                                                      • Preexistência do custeio em relação ao benefício
   • Legalidade;                                                ou serviço: busca o equilíbrio atuarial e financeiro do
   • Direito Adquirido.                                         sistema securitário, ou seja, nenhuma prestação de


Prof. Bernardo Machado                                                                  DIREITO PREVIDENCIÁRIO
                                                            4
serviço de caráter assistencial ou benefício da                 cônjuges, que exerçam suas atividades em regime de
previdência social poderia ser criado, majorado ou              economia familiar, sem empregados permanentes,
estendido sem a correspondente fonte de custeio total.          contribuirão para a seguridade social mediante a
                                                                aplicação de uma alíquota sobre o resultado da
                                                                comercialização da produção e farão jus aos benefícios
   A Seguridade Social na Constituição Federal de               nos termos da lei.
1988
                                                                      As contribuições sociais previstas no inciso I, deste
    A seguridade social será financiada por toda a              item, poderão ter alíquotas ou bases de cálculo
sociedade, de forma direta e indireta, nos termos da lei,       diferenciadas, em razão da atividade econômica, da
mediante recursos provenientes dos orçamentos da                utilização intensiva de mão-de-obra, do porte da
União, dos Estados, do Distrito Federal e dos                   empresa ou da condição estrutural do mercado de
Municípios, e das seguintes contribuições sociais:              trabalho.
I - do empregador, da empresa e da entidade a ela                   A lei definirá os critérios de transferência de
equiparada na forma da lei, incidentes sobre:                   recursos para o sistema único de saúde e ações de
 a) a folha de salários e demais rendimentos do trabalho        assistência social da União para os Estados, o Distrito
pagos ou creditados, a qualquer título, à pessoa física         Federal e os Municípios, e dos Estados para os
que lhe preste serviço, mesmo sem vínculo                       Municípios, observada a respectiva contrapartida de
empregatício;                                                   recursos.
b) a receita ou o faturamento;                                      É vedada a concessão de remissão ou anistia das
c) o lucro;                                                     contribuições sociais de que tratam os incisos I, a, e II
                                                                deste item, para débitos em montante superior ao fixado
 II - do trabalhador e dos demais segurados da                  em lei complementar.
previdência social, não incidindo contribuição sobre
aposentadoria e pensão concedidas pelo regime geral                  A lei definirá os setores de atividade econômica
de previdência social de que trata o art. 201;                  para os quais as contribuições incidentes na forma dos
                                                                incisos I, b; e IV deste item, serão não-cumulativas.
III - sobre a receita de concursos de prognósticos.
                                                                    Aplica-se o disposto no parágrafo anterior inclusive
IV - do importador de bens ou serviços do exterior, ou          na hipótese de substituição gradual, total ou parcial, da
de quem a lei a ele equiparar.                                  contribuição incidente na forma do inciso I, a, deste
    As receitas dos Estados, do Distrito Federal e dos          item, pela incidente sobre a receita ou o faturamento.
Municípios destinadas à seguridade social constarão
dos respectivos orçamentos, não integrando o
orçamento da União.                                                   LEGISLAÇÃO PREVIDENCIÁRIA
    A proposta de orçamento da seguridade social será
elaborada de forma integrada pelos            órgãos                Conceito
responsáveis pela saúde, previdência social e
assistência social, tendo em vista as metas e                        A expressão Legislação Previdenciária compreende
prioridades estabelecidas na lei de diretrizes                  as leis e os atos normativos referentes ao
orçamentárias, assegurada a cada área a gestão de               funcionamento do sistema securitário. Portanto, a
seus recursos.                                                  legislação previdenciária tem relação com toda a
                                                                seguridade social (saúde, assistência social e
   A pessoa jurídica em débito com o sistema da                 previdência social), não tratando apenas da matéria
seguridade social, como estabelecido em lei, não                previdenciária. Lembra-se que a Lei nº. 8.212/91 trata
poderá contratar com o Poder Público nem dele receber           da organização e custeio da seguridade social, e não
benefícios ou incentivos fiscais ou creditícios.                apenas de previdência social.
    A lei poderá instituir outras fontes destinadas a
garantir a manutenção ou expansão da seguridade
social, obedecido o disposto no art. 154, I.                        Fontes

    Nenhum benefício ou serviço da seguridade social                A legislação previdenciária tem como fontes as leis
poderá ser criado, majorado ou estendido sem a                  e a jurisprudência. Neste raciocino, deve-se entender lei
correspondente fonte de custeio total.                          em sentido amplo, ou seja, Constituição Federal, leis
                                                                ordinárias, leis complementares, leis delegadas e
    As contribuições sociais de que trata este artigo só        medidas      provisórias,    sendo      tais    diplomas
poderão ser exigidas após decorridos noventa dias da            complementados pelos atos administrativos em geral.
data da publicação da lei que as houver instituído ou
modificado, não se lhes aplicando o disposto no art.                Os atos administrativos visam dirimir as dúvidas em
150, III, "b".                                                  relação à interpretação da lei, ou seja, permitir com que
                                                                a lei seja aplicada aos atos concretos, mas sem nunca
    São isentas de contribuição para a seguridade               trazer inovações não previstas em lei, ainda que em
social as entidades beneficentes de assistência social          favor do segurado.
que atendam às exigências estabelecidas em lei.
                                                                    Em relação à doutrina, não há consenso quanto à
    O produtor, o parceiro, o meeiro e o arrendatário           sua condição de fonte de direito, em virtude da ausência
rurais e o pescador artesanal, bem como os respectivos          de coercibilidade dos entendimentos doutrinários.

Prof. Bernardo Machado                                                                   DIREITO PREVIDENCIÁRIO
                                                            5
Deve-se, também, reconhecer como fonte do direito                • Restritiva/Extensiva: a interpretação restritiva é
previdenciário os demais ramos do direito, como, por                 feita quando o legislador disse mais do que queria,
exemplo, o direito tributário, que trata de contribuições            atingindo situações não previstas. Já a interpretação
sociais.                                                             extensiva é quando o legislador disse menos do que
    Como principais fontes formais do direito                        queria. Em ambas as situações, o intérprete busca a
previdenciário temos a Constituição Federal de 1988, as              correta mens legis sem inovar no mundo jurídico.
Leis nº. 8.212/91 e 8.213/91, além do Regulamento da                 Uma interpretação extensiva que fuja às
Previdência Social, aprovado pelo Decreto nº. 3.048/99.              possibilidades interpretativas da letra da lei já é, em
                                                                     verdade, integração do direito, e não interpretação.

    Autonomia
                                                                     A integração difere da interpretação na medida em
    É praticamente pacífica na doutrina e jurisprudência         que a integração não visa a mens legis de determinada
a independência do direito previdenciário frente aos             norma, mas sim o preenchimento de lacuna do
demais ramos do direito, entre eles, o direito do trabalho       ordenamento jurídico.
e o direito administrativo.
                                                                     As ferramentas para a integração são a analogia, a
    Essa autonomia é conseqüência do conjunto de                 eqüidade, os costumes e os princípios gerais do direito.
princípios jurídicos próprios, além do complexo de
normas aplicáveis a este segmento. Pode-se, ainda,                   A analogia consiste na utilização de previsões
encontrar conceitos jurídicos exclusivos do direito              similares existentes no ordenamento jurídico, análoga à
previdenciário, como, por exemplo, salário-de-benefício          considerada.
e salário-de-contribuição.                                            A eqüidade é um meio de humanizar a aplicação da
                                                                 lei, quando o aplicador faz às vezes de legislador, a fim
                                                                 de completá-la ou dar-lhe maior sentido de justiça.
    Aplicação das Normas Previdenciárias:
Interpretação, Integração, Vigência e Hierarquia                     Os costumes são práticas reiteradas, de longa data,
                                                                 pela sociedade e aceitas como corretas.
      A interpretação da lei, texto genérico e abstrato,
visa determinar o sentido e alcance das normas                        Os princípios gerais do direito são aqueles que
jurídicas, de modo que seu aplicador alcance a correta           fornecem as principais diretrizes do ordenamento
mens legis (finalidade da lei).                                  jurídico, responsáveis pela fundação de toda a
                                                                 construção jurídica.
    Aplicar a lei significa enquadrar um caso concreto à
situação prevista em lei.                                             A vigência da lei diz respeito à sua existência
                                                                 jurídica em um determinado momento. É requisito
     Ao interpretar um texto legal, o intérprete deve            necessário para a eficácia da lei, sua produção de
buscar, dentro das opções existentes no texto legal,             efeitos.
aquela que seja a mais compatível com o caso
concreto, não se limitando às situações previstas pelo                De acordo com a Lei de Introdução ao Código Civil
legislador, quando da elaboração do texto.                       – LICC – Decreto-Lei nº. 4.657/42, salvo disposição de
                                                                 lei em contrário, a lei começa a vigorar em todo o País
   Existem diversos processos de interpretação, na               45 (quarenta e cinco) dias depois de oficialmente
busca da interpretação mais adequada, tais como:                 publicada, não sendo diferente em relação à lei
    • Gramatical: determina a interpretação somente à            previdenciária.
    luz do próprio dispositivo legal, sendo um método                Todavia, a vigência da lei não implica, por si só, sua
    bastante restritivo;                                         eficácia. Isto é, sua aplicabilidade.
    • Histórico ou genético: determina o exame dos                    No caso das contribuições sociais, o art. 195,
    elementos, as circunstâncias, as causas que                  parágrafo 6º, CF, diz que as mesmas só poderão ser
    implicaram a criação da lei sob exame;                       exigidas após decorridos noventa dias da data da
    • Teleológico ou finalístico: determina ser a                publicação da lei que as houver instituído ou modificado,
    interpretação da norma feita mediante a apuração             não se lhes aplicando o disposto no art. 150, III, b , CF
    da finalidade objetivada pela mesma;                         (princípio da anterioridade ou anualidade).
    • Lógico-sistemático: determina que todas as regras              Portanto, apesar da lei já estar em vigor após
    jurídicas devem ter, entre si, um nexo, pois são             decorridos 45 (quarenta e cinco) dias, as contribuições
    parte de um só sistema jurídico. Devido a isto, deve-        sociais somente poderão ser exigidas após decorridos
    se buscar uma interpretação compatível com o                 90 (noventa) dias. É o chamado princípio da
    ordenamento        jurídico,     verificando-se     a        anterioridade previdenciária, mitigada ou nonagesimal.
    compatibilidade da lei a ser interpretada com outros             Ainda temos as leis relativas às alterações nos
    diplomas legais e, principalmente, com os princípios         benefícios previdenciários, que estabelecem, com
    de direito envolvidos;                                       freqüência, períodos de transição, onde a lei também
    • Autêntica: método executado pelo próprio poder             tem sua eficácia restrita ou reduzida.
    legislativo, mediante a edição de uma nova lei que               A hierarquia das normas é a ordem de graduação
    interpreta a anterior;                                       entre estas, segundo uma escala decrescente: normas
                                                                 constitucionais, leis complementares, leis ordinárias, leis


Prof. Bernardo Machado                                                                    DIREITO PREVIDENCIÁRIO
                                                             6
delegadas, medidas provisórias, decretos legislativos e             Empregado:
resoluções, decretos regulamentares, normas internas                Conforme determina a legislação previdenciária,
(portarias, despachos, etc.) e normas individuais               segurado empregado é aquele que presta serviço de
(contratos, sentenças, etc.).                                   natureza urbana ou rural à empresa, em caráter não
     A legislação previdenciária é submetida a esta             eventual, sob sua subordinação e mediante
mesma hierarquia. Entretanto, deve-se atentar para              remuneração, inclusive como diretor empregado.
algumas regras de prevalência em caso de conflitos de               Podemos      observar,   portanto,   4   (quatro)
normas: norma específica prevalece sobre a genérica e           características    básicas:    pessoalidade,    não-
o in dubio pro misero.                                          eventualidade, subordinação e onerosidade.
                                                                    A pessoalidade significa que o empregado não se
    Orientação dos Tribunais Superiores                         pode fazer substituir por outra pessoa, uma vez que o
    Os Tribunais Superiores são órgãos colegiados de            contrato de trabalho é intuitu personae, ou seja, é
segundo grau. Com jurisdição em todo o território               personalíssimo.
nacional, integrantes do Poder Judiciário, como o                   A não-eventualidade, como a própria legislação
Supremo Tribunal Federal, o Superior Tribunal de                previdenciária define, é quando o serviço prestado está
Justiça, o Tribunal Superior do Trabalho, o Tribunal            relacionado direta ou indiretamente com as atividades
Superior Eleitoral e o Superior Tribunal Militar.               normais da empresa.
    A Lei nº. 8.213/91, no seu art. 131, possibilita a               Quando falamos em subordinação não estamos
desistência ou abstenção de propor ação ou recurso em           falando de subordinação econômica e sim de uma
processos judiciais sempre que a ação versar matéria            subordinação jurídica. Ou seja, pela subordinação o
sobre a qual haja declaração de inconstitucionalidade           empregado sujeita o exercício de suas atividades
proferida pelo Supremo Tribunal Federal - STF, súmula           laborais à vontade do empregador, uma vez que o
ou jurisprudência consolidada do STF ou dos tribunais           mesmo detém o poder para dirigir, regulamentar,
superiores. Para isso, deve-se ter autorização por parte        fiscalizar e punir.
do ministro da Previdência Social.                                  Por fim, a onerosidade se refere ao valor a ser pago
                                                                pela contraprestação do serviço prestado.
             REGIME GERAL DA                                        Feita essa sucinta análise, devem ser verificadas as
                                                                hipóteses previstas no art. 12 da Lei nº. 8.212/91, art. 13
            PREVIDÊNCIA SOCIAL                                  da Lei nº. 8.213/91 e art. 9º do Decreto nº. 3.048/99.
     A Previdência Social compreende o Regime Geral
de Previdência Social (RGPS), os regimes próprios de                Situações previstas no art. 9º, inciso I do Decreto nº.
previdência social dos servidores públicos e dos                3.048/99:
militares e o sistema complementar.
                                                                “I - como empregado:
    O RGPS visa garantir a cobertura de todas as
situações expressas no art. 1º da Lei nº. 8.213/91 e art.       a) aquele que presta serviço de natureza urbana ou
5º do Decreto nº. 3.048/99, exceto a de desemprego              rural a empresa, em caráter não eventual, sob sua
involuntário, pois o seguro-desemprego é hoje uma               subordinação e mediante remuneração, inclusive como
incumbência do Ministério do Trabalho.                          diretor empregado;
                                                                b) aquele que, contratado por empresa de trabalho
                                                                temporário, por prazo não superior a três meses,
    Beneficiários do RGPS                                       prorrogável, presta serviço para atender a necessidade
     São beneficiários do RGPS os segurados, que se             transitória de substituição de pessoal regular e
dividem em segurados obrigatórios e facultativos, e             permanente ou a acréscimo extraordinário de serviço de
dependentes. Esses beneficiários são aptos a                    outras empresas, na forma da legislação própria;
receberem os benefícios e serviços do RGPS. Nessa               c) o brasileiro ou o estrangeiro domiciliado e contratado
parte estudaremos apenas os segurados, deixando                 no Brasil para trabalhar como empregado no exterior,
mais para frente o estudo sobre os dependentes.                 em sucursal ou agência de empresa constituída sob as
                                                                leis brasileiras e que tenha sede e administração no
    Segurados Obrigatórios:                                     País;
     Os segurados obrigatórios são aqueles filiados ao          d) o brasileiro ou o estrangeiro domiciliado e contratado
sistema de modo compulsório, pelo simples fato de               no Brasil para trabalhar como empregado em empresa
exercerem alguma atividade remunerada. Os segurados             domiciliada no exterior com maioria do capital votante
obrigatórios se dividem em: empregado, empregado                pertencente a empresa constituída sob as leis
doméstico, contribuinte individual, trabalhador avulso e        brasileiras, que tenha sede e administração no País e
segurado especial.                                              cujo controle efetivo esteja em caráter permanente sob
                                                                a titularidade direta ou indireta de pessoas físicas
                                                                domiciliadas e residentes no País ou de entidade de
                                                                direito público interno;



Prof. Bernardo Machado                                                                   DIREITO PREVIDENCIÁRIO
                                                            7
e) aquele que presta serviço no Brasil a missão                        Observação 1:
diplomática ou a repartição consular de carreira                          Em relação a letra “m” transcrita acima, a partir da
estrangeira e a órgãos a elas subordinados, ou a                   EC nº 19/98, não há mais a exigência de um regime
membros dessas missões e repartições, excluídos o                  jurídico único para os servidores da administração
não-brasileiro sem residência permanente no Brasil e o             direta, autárquica e fundacional. Ou seja, cada esfera do
brasileiro amparado pela legislação previdenciária do              governo poderá instituir regime estatutário ou contratual,
país da respectiva missão diplomática ou repartição                com a possibilidade de conviverem os dois, sendo que o
consular;                                                          regime adotado pela administração direta poderá ser
f) o brasileiro civil que trabalha para a União no exterior,       diverso do das autarquias e fundações.
em organismos oficiais internacionais dos quais o Brasil                 Entretanto, o STF concedeu liminar na ADIN nº
seja membro efetivo, ainda que lá domiciliado e                    2.135-4 para suspender a eficácia do art. 39, caput, da
contratado, salvo se amparado por regime próprio de                CF/88, com a redação da EC nº 19/98, mas com efeitos
previdência social;                                                ex nunc subsistindo a legislação editada nos termos da
g) o brasileiro civil que presta serviços à União no               emenda declarada suspensa.
exterior, em repartições governamentais brasileiras, lá
domiciliado e contratado, inclusive o auxiliar local de que
tratam os arts. 56 e 57 da Lei no 11.440, de 29 de                     Observação 2:
dezembro de 2006, este desde que, em razão de                             É considerado segurado empregado o servidor
proibição legal, não possa filiar-se ao sistema                    ocupante, exclusivamente, de cargo em comissão; o
previdenciário local;                                              exercente de mandato eletivo, desde que não vinculado
h) o bolsista e o estagiário que prestam serviços a                a regime próprio de previdência social; e o brasileiro civil
empresa, em desacordo com a Lei no 11.788, de 25 de                que trabalha para a União no exterior, em organismos
setembro de 2008;                                                  oficiais internacionais dos quais o Brasil seja membro
                                                                   efetivo, ainda que lá domiciliado e contratado, salvo se
i) o servidor da União, Estado, Distrito Federal ou                amparado por regime próprio de previdência social.
Município, incluídas suas autarquias e fundações,
ocupante, exclusivamente, de cargo em comissão
declarado em lei de livre nomeação e exoneração;                       Empregado Doméstico:
j) o servidor do Estado, Distrito Federal ou Município,                Empregado doméstico é aquele que presta serviço
bem como o das respectivas autarquias e fundações,                 de natureza contínua, mediante remuneração, a pessoa
ocupante de cargo efetivo, desde que, nessa qualidade,             ou família, no âmbito residencial desta, em atividades
não esteja amparado por regime próprio de previdência              sem fins lucrativos.
social;                                                                 Façamos uma análise mais detalhada da definição.
l) o servidor contratado pela União, Estado, Distrito              Primeiramente, o serviço deve ser contínuo. Apesar da
Federal ou Município, bem como pelas respectivas                   legislação previdenciária não definir o que seria um
autarquias e fundações, por tempo determinado, para                serviço contínuo, vamos nos basear nos entendimentos
atender a necessidade temporária de excepcional                    jurisprudenciais, apesar de não existir súmula ou
interesse público, nos termos do inciso IX do art. 37 da           orientação jurisprudencial das seções especializadas.
Constituição Federal;                                              Para esses entendimentos, continuidade pressupõe
m) o servidor da União, Estado, Distrito Federal ou                ausência de interrupção, de forma que o trabalho se
Município, incluídas suas autarquias e fundações,                  desenvolva de maneira expressiva ao longo da semana,
ocupante de emprego público;                                       diferente de não-eventualidade visto anteriormente.
                                                                   Com base nessa interpretação, a diarista que presta
n) Revogado;                                                       serviço
o) o escrevente e o auxiliar contratados por titular de            numa residência apenas em alguns dias da semana,
serviços notariais e de registro a partir de 21 de                 recebendo                     por                   dia,
novembro de 1994, bem como aquele que optou pelo                   não se enquadra no critério do trabalho de natureza
Regime Geral de Previdência Social, em conformidade                contínua. Portanto, o importante para não caracterizar o
com a Lei nº 8.935, de 18 de novembro de 1994;                     vínculo é o pagamento diário do serviço e não a
p) o exercente de mandato eletivo federal, estadual ou             quantidade de dias trabalhados.
municipal, desde que não vinculado a regime próprio de                 O serviço deve ser prestado à pessoa ou família, ou
previdência social; e                                              seja, para o empregador doméstico e não para
q) o empregado de organismo oficial internacional ou               empresa.
estrangeiro em funcionamento no Brasil, salvo quando                    Além disso, o serviço deve ser prestado no âmbito
coberto por regime próprio de previdência social;                  residencial do empregador doméstico que pode ser,
r) o trabalhador rural contratado por produtor rural               entre outras, a sua casa, casa de campo, inclusive
pessoa física, na forma do art. 14-A da Lei no 5.889, de           veículos    de     transporte   particular   (automóvel,
8 de junho de 1973, para o exercício de atividades de              helicóptero...). Portanto, um motorista particular, nada
natureza temporária por prazo não superior a dois                  mais é do que um empregado doméstico, assim como a
meses dentro do período de um ano”                                 babá, um jardineiro, caseiro...



Prof. Bernardo Machado                                                                      DIREITO PREVIDENCIÁRIO
                                                               8
Deverá ainda ser prestado em atividades sem fins             c) o ministro de confissão religiosa e o membro de
lucrativos. Ou seja, uma vez que o empregador                     instituto de vida consagrada, de congregação ou de
doméstico utilize o seu empregado doméstico em uma                ordem religiosa;
atividade com fins lucrativos essa relação deixa de               d) o brasileiro civil que trabalha no exterior para
existir. O empregador doméstico passará a ser                     organismo oficial internacional do qual o Brasil é
enquadrado como contribuinte individual e, como possui            membro efetivo, ainda que lá domiciliado e contratado,
segurados a seu serviço (empregado doméstico que se               salvo quando coberto por regime próprio de previdência
tornou empregado), passa a ser considerado empresa                social;
para fins previdenciários, como veremos mais a frente.
Isso faz com que essa pessoa, agora empresa, seja                 e) o titular de firma individual urbana ou rural;
tributada como tal, tendo que, inclusive, cumprir as              f) o diretor não empregado e o membro de conselho de
obrigações acessórias, como elaborar folha de                     administração na sociedade anônima;
pagamento, elaborar Guia de Recolhimento do Fundo                 g) todos os sócios, nas sociedades em nome coletivo e
de Garantia e Informações à Previdência Social (GFIP),            de capital e indústria;
entre outras.
                                                                  h) o sócio gerente e o sócio cotista que recebam
    Por fim, deve receber remuneração pela                        remuneração decorrente de seu trabalho e o
contraprestação do serviço prestado ao empregador                 administrador não empregado na sociedade por cotas
doméstico.                                                        de responsabilidade limitada, urbana ou rural;
                                                                  i) o associado eleito para cargo de direção em
    Contribuinte individual:                                      cooperativa, associação ou entidade de qualquer
    A categoria de contribuinte individual foi criada pela        natureza ou finalidade, bem como o síndico ou
Lei nº. 9.876/99, e unificou as categorias de segurado            administrador eleito para exercer atividade de direção
empresário, segurado trabalhador autônomo e segurado              condominial, desde que recebam remuneração;
equiparado a trabalhador autônomo, existentes até                 j) quem presta serviço de natureza urbana ou rural, em
aquela data.                                                      caráter eventual, a uma ou mais empresas, sem relação
     A definição básica de contribuinte individual se             de emprego;
divide em duas. A primeira seria aquela pessoa que                l) a pessoa física que exerce, por conta própria,
presta serviço em caráter eventual, a uma ou mais                 atividade econômica de natureza urbana, com fins
empresas, sem relação de emprego. Podemos citar                   lucrativos ou não;
como exemplo um pintor que no mesmo mês presta                    m) o aposentado de qualquer regime previdenciário
serviço a diversas empresas, sem ter vínculo com                  nomeado magistrado classista temporário da Justiça do
nenhuma delas.                                                    Trabalho, na forma dos incisos II do §1º do art. 111 ou
    A segunda seria uma pessoa que presta um serviço              III do art. 115 ou do parágrafo único do art. 116 da
por conta própria. Podemos citar como exemplo uma                 Constituição Federal, ou nomeado magistrado da
pessoa que exerce atividade comercial em via pública.             Justiça Eleitoral, na forma dos incisos II do art. 119 ou III
    Devem ser verificadas as hipóteses previstas no art.          do §1º do art. 120 da Constituição Federal;
12 da Lei nº. 8.212/91, art. 13 da Lei nº. 8.213/91 e art.        n) o cooperado de cooperativa de produção que, nesta
9º do Decreto nº. 3.048/99.                                       condição, presta serviço à sociedade cooperativa
                                                                  mediante remuneração ajustada ao trabalho executado;
    Situações previstas no art. 9º, inciso V e art. 9º, §15       o) (Revogado pelo Decreto nº 7.054 de 2009)
do Decreto nº. 3.048/99:                                          p) o Micro Empreendedor Individual - MEI de que tratam
                                                                                                            o
“V - como contribuinte individual:                                os arts. 18-A e 18-C da Lei Complementar n 123, de 14
                                                                  de dezembro de 2006, que opte pelo recolhimento dos
a) a pessoa física, proprietária ou não, que explora              impostos e contribuições abrangidos pelo Simples
atividade agropecuária, a qualquer título, em caráter             Nacional em valores fixos mensais.”
permanente ou temporário, em área, contínua ou
descontínua, superior a quatro módulos fiscais; ou,
quando em área igual ou inferior a quatro módulos                     Observação 1:
fiscais ou atividade pesqueira ou extrativista, com auxílio              Caso o segurado exerça atividade agropecuária,
de empregados ou por intermédio de prepostos; ou                  qualquer que seja a sua forma, em área superior a 4
                                o
ainda nas hipóteses dos §§ 8 e 23 deste artigo (vide              (quatro) módulos fiscais será contribuinte individual.
observação abaixo);                                               Entretanto, caso exerça atividade agropecuária em área
b) a pessoa física, proprietária ou não, que explora              inferior ou igual a 4 (quatro) módulos fiscais ou atividade
atividade de extração mineral - garimpo -, em caráter             pesqueira poderá ser contribuinte individual ou
permanente ou temporário, diretamente ou por                      segurado especial. Será contribuinte individual quando
intermédio de prepostos, com ou sem o auxílio de                  exercer a atividade com empregados ou preposto,
empregados, utilizados a qualquer título, ainda que de            enquanto que será segurado especial quando exercer a
forma não contínua;                                               atividade individualmente ou em regime de economia
                                                                  familiar, ainda que com o auxílio de terceiros.



Prof. Bernardo Machado                                                                      DIREITO PREVIDENCIÁRIO
                                                              9
o
     As hipóteses dos §§ 8 e 23 do art. 9º do RPS são              XIV - o árbitro e seus auxiliares que atuam em
aquelas em que o segurado não é enquadrado como                    conformidade com a Lei nº 9.615, de 24 de março de
segurado especial ou é excluído da categoria de                    1998.(Incluído pelo Decreto nº 3.265, de 1999)
segurado especial, devendo, portanto, ser enquadrado               XV - o membro de conselho tutelar de que trata o art.
como contribuinte individual.                                      132 da Lei nº 8.069, de 13 de julho de 1990, quando
                                                                   remunerado; (Incluído pelo Decreto nº 4.032, de 2001)
    Observação 2:                                                  XVI - o interventor, o liquidante, o administrador especial
       É considerado contribuinte individual o brasileiro          e o diretor fiscal de instituição financeira de que trata o
civil que trabalha no exterior para organismo oficial              § 6º do art. 201.
internacional do qual o Brasil é membro efetivo, ainda
que lá domiciliado e contratado, salvo quando coberto                  Trabalhador avulso:
por regime próprio de previdência social. Deve-se
reparar a falta de menção à União para ser considerado                  Trabalhador avulso é aquele que, sindicalizado ou
contribuinte individual.                                           não, presta serviço de natureza urbana ou rural, a
                                                                   diversas empresas, sem vínculo empregatício, com a
§ 15. Enquadram-se nas situações previstas              nas        intermediação obrigatória do órgão gestor de mão-de-
alíneas "j" e "l" do inciso V do caput, entre outros:              obra ou sindicato da categoria.
I - o condutor autônomo de veículo rodoviário, assim                    Vamos reproduzir aqui a definição das Leis n
                                                                                                                            os
considerado aquele que exerce atividade profissional               8.212/91 e 8.213/91 e do Decreto nº 3.048/99 para
sem vínculo empregatício, quando proprietário, co-                 tirarmos algumas conclusões:
proprietário ou promitente comprador de um só veículo;                        os
                                                                       Leis n 8.212/91 e 8.213/91: “quem presta, a
II - aquele que exerce atividade de auxiliar de condutor           diversas empresas, sem vínculo empregatício, serviços
autônomo de veículo rodoviário, em automóvel cedido                de natureza urbana ou rural definidos no regulamento”.
em regime de colaboração, nos termos da Lei nº 6.094,
de 30 de agosto de 1974;                                                Decreto nº 3.048/99: “aquele que, sindicalizado ou
                                                                   não, presta serviço de natureza urbana ou rural, a
 III - aquele que, pessoalmente, por conta própria e a             diversas empresas, sem vínculo empregatício, com a
seu risco, exerce pequena atividade comercial em via               intermediação obrigatória do órgão gestor de mão-de-
pública ou de porta em porta, como comerciante                     obra, nos termos da Lei nº 8.630, de 25 de fevereiro de
ambulante, nos termos da Lei nº 6.586, de 6 de                     1993, ou do sindicato da categoria”.
novembro de 1978;
                                                                       Atentem para o fato de as leis definirem o
IV - o trabalhador associado a cooperativa que, nessa              trabalhador avulso sem determinar a intermediação
qualidade, presta serviços a terceiros;                            obrigatória, fato que só é feito pelo Regulamento.
V - o membro de conselho fiscal de sociedade por                   Portanto, para fins de prova, a definição de trabalhador
ações;                                                             avulso, conforme as leis, se assemelha demais com o
VI - aquele que presta serviço de natureza não contínua,           contribuinte individual. A diferença está no fato da
por conta própria, a pessoa ou família, no âmbito                  seguinte expressão: serviços de natureza urbana ou
residencial desta, sem fins lucrativos;                            rural definidos no regulamento.
VII - o notário ou tabelião e o oficial de registros ou
registrador, titular de cartório, que detêm a delegação do             Segurado especial:
exercício da atividade notarial e de registro, não                      O segurado especial é o produtor que explore
remunerados pelos cofres públicos, admitidos a partir de           atividade agropecuária em área de até 4 (quatro)
21 de novembro de 1994;                                            módulos fiscais, ou de seringueiro ou extrativista
VIII - aquele que, na condição de pequeno feirante,                vegetal, além do pescador artesanal, inclusive cônjuge
compra para revenda produtos hortifrutigranjeiros ou               ou companheiros e filhos maiores de 16 (dezesseis)
assemelhados;                                                      anos de idade ou a estes equiparados, que,
IX - a pessoa física que edifica obra de construção civil;         comprovadamente, trabalhem com o grupo familiar
                                                                   respectivo, individualmente ou em regime de economia
X - o médico residente de que trata a Lei nº 6.932, de 7           familiar, ainda que com o auxílio eventual de terceiros a
de julho de 1981.                                                  título de mútua colaboração.
XI - o pescador que trabalha em regime de parceria,                     Essa definição do segurado especial veio com o
meação ou arrendamento, em embarcação com mais de                  advento da Lei nº 11.718/08. Antes dessa lei, nós
seis toneladas de arqueação bruta, ressalvado o                    tínhamos uma antinomia (conflito de normas) entre a
disposto no inciso III do § 14;                                                                   os
                                                                   redação da CF/88 e das Leis n 8.212/91 e 8.213/91,
XII - o incorporador de que trata o art. 29 da Lei nº              além do Decreto nº 3.048/99. Enquanto que a CF/88, no
4.591, de 16 de dezembro de 1964.                                  art. 195, §8º, definia que segurado especial poderia
XIII - o bolsista da Fundação Habitacional do Exército             exercer as suas atividades sem empregados
contratado em conformidade com a Lei nº 6.855, de 18               permanentes, as leis e o decreto determinavam no
de novembro de 1980; e (Incluído pelo Decreto nº 3.265,            conceito de regime de economia familiar o serviço
de 1999)                                                           deveria ser prestado sem empregados, fazendo com
                                                                   que o grupo familiar não pudesse ter empregados em

Prof. Bernardo Machado                                                                      DIREITO PREVIDENCIÁRIO
                                                              10
nenhum momento, inclusive no período da colheita da                  • A outorga, por meio de contrato escrito de
safra. A Lei nº 11.718/08 terminou com esse conflito,                parceria, meação ou comodato, de até cinqüenta
determinando a seguinte definição para o conceito de                 por cento de imóvel rural cuja área total, contínua ou
regime de economia familiar: “Entende-se como regime                 descontínua, não seja superior a quatro módulos
de economia familiar a atividade em que o trabalho dos               fiscais, desde que outorgante e outorgado
membros da família é indispensável à própria                         continuem a exercer a respectiva atividade,
subsistência e ao desenvolvimento socioeconômico do                  individualmente ou em regime de economia familiar;
núcleo familiar e é exercido em condições de mútua
                                                                     • A exploração da atividade turística da propriedade
dependência e colaboração, sem a utilização de
                                                                     rural, inclusive com hospedagem, por não mais de
empregados permanentes”.
                                                                     cento e vinte dias ao ano;
    Percebam que agora o grupo familiar poderá ter
                                                                     • A participação em plano de previdência
empregados, bastando que os mesmo não sejam
                                                                     complementar instituído por entidade classista a que
permanentes. É permitido, portanto, a contratação por
                                                                     seja associado, em razão da condição de
prazo determinado em épocas de safra, à razão de no
                                                                     trabalhador rural ou de produtor rural em regime de
máximo cento e vinte pessoas/dia dentro do ano civil,
                                                                     economia familiar;
em períodos corridos ou intercalados ou, ainda, por
tempo equivalente em horas de trabalho, à razão de oito              • A participação como beneficiário ou integrante de
horas/dia e quarenta e quatro horas/semana.                          grupo familiar que tem algum componente que seja
    Vale lembra que, regra geral, o segurado especial                beneficiário de programa assistencial oficial de
não pode receber outra fonte de rendimento, sob pena                 governo;
de ser desenquadrado da categoria de segurado                        • A utilização pelo próprio grupo familiar de
especial, salvo algumas situações. Portanto, outra                   processo de beneficiamento ou industrialização
inovação da Lei nº 11.718/08 foi a ampliação das                     artesanal, na exploração da atividade;
situações onde o segurado apesar de possuir outra                    • A associação a cooperativa agropecuária.
fonte de rendimento mantém a seu enquadramento
como segurado especial. Seguem abaixo as situações:
   • Benefício de pensão por morte, auxílio-acidente                 Observação:
   ou auxílio-reclusão, cujo valor não supere o do                      Considera-se pescador artesanal aquele que,
   menor benefício de prestação continuada da                    individualmente ou em regime de economia familiar, faz
   Previdência Social;                                           da pesca sua profissão habitual ou meio principal de
   • Benefício previdenciário pela participação em               vida, desde que:
   plano de previdência complementar instituído por                  o Não utilize embarcação;
   entidade classista a que seja associado, em razão                 o Utilize embarcação de até seis toneladas de
   da condição de trabalhador rural ou de produtor               arqueação bruta, ainda que com auxílio de parceiro;
   rural em regime de economia familiar;
                                                                     o Na condição, exclusivamente, de parceiro
   • Exercício de atividade remunerada em período de             outorgado, utilize embarcação de até dez toneladas de
   entressafra ou do defeso, não superior a 120 (cento           arqueação bruta.
   e vinte) dias, corridos ou intercalados, no ano civil;
   • Exercício de mandato eletivo de dirigente sindical
                                                                     Segurado Facultativo
   de organização da categoria de trabalhadores
   rurais;                                                           Os segurados facultativos são aqueles, acima dos
                                                                 16 (dezesseis) anos, que desejam integrar o sistema
   • Exercício de mandato de vereador do município
                                                                 previdenciário, apesar de não exercerem atividade
   onde desenvolve a atividade rural, ou de dirigente
                                                                 remunerada que o enquadre como segurado obrigatório
   de cooperativa rural constituída exclusivamente por
                                                                 da previdência social. São exemplos de segurados
   segurados especiais;
                                                                 facultativos: dona de casa, estagiário, estudante, etc.
   • Parceria ou meação outorgada na forma e
   condições estabelecidas na lei;
                                                                     Situações previstas no art. 11, § 1º do Decreto nº.
   • Atividade artesanal desenvolvida com matéria-               3.048/99:
   prima produzida pelo respectivo grupo familiar,
   podendo ser utilizada matéria-prima de outra                  § 1º Podem filiar-se facultativamente, entre outros:
   origem, desde que a renda mensal obtida na                    I - a dona-de-casa;
   atividade não exceda ao menor benefício de                    II - o síndico de condomínio, quando não remunerado;
   prestação continuada da Previdência Social; e
                                                                 II - o estudante;
   • Atividade artística, desde que em valor mensal
   inferior ao menor benefício de prestação continuada           IV- o brasileiro que acompanha cônjuge que presta
   da Previdência Social.                                        serviço no exterior;
   Por fim, caber ressaltar as situações que não                 V - aquele que deixou de ser segurado obrigatório da
descaracterizam a condição de segurado especial.                 previdência social;
Seguem abaixo as situações:

Prof. Bernardo Machado                                                                    DIREITO PREVIDENCIÁRIO
                                                            11
VI - o membro de conselho tutelar de que trata o art. 132            Observações:
da Lei nº 8.069, de 13 de julho de 1990, quando não                    A inscrição do segurado em qualquer categoria
esteja vinculado a qualquer regime de previdência                exige a idade mínima de 16 (dezesseis) anos, exceto o
social;                                                          menor aprendiz a partir dos 14 (quatorze) anos de
VII - o bolsista e o estagiário que prestam serviços a           idade.
empresa de acordo com a Lei nº 6.494, de 1977 (Leia-                    Todo aquele que exercer, concomitantemente,
se Lei nº 11.788 de 2008);                                       mais de uma atividade remunerada sujeita ao RGPS
VIII - o bolsista que se dedique em tempo integral a             será obrigatoriamente inscrito em relação a cada uma
pesquisa, curso de especialização, pós-graduação,                delas.
mestrado ou doutorado, no Brasil ou no exterior, desde                  Admite-se a inscrição post mortem do segurado
que não esteja vinculado a qualquer regime de                    especial, desde que presentes os pressupostos da
previdência social;                                              filiação.
IX - o presidiário que não exerce atividade remunerada
nem esteja vinculado a qualquer regime de previdência                Trabalhadores Excluídos do RGPS
social; (Redação dada pelo Decreto nº 7.054, de 2009)
                                                                      Alguns trabalhadores, apesar de exercerem
X - o brasileiro residente ou domiciliado no exterior,           atividade remunerada, são excluídos do RGPS, por já
salvo se filiado a regime previdenciário de país com o           possuírem regime próprio de previdência em relação a
qual o Brasil mantenha acordo internacional; e                   esta atividade, como os servidores públicos federais e
(Redação dada pelo Decreto nº 7.054, de 2009)                    militares.
XI - o segurado recolhido à prisão sob regime fechado                Entretanto, caso venham exercer atividade que os
ou semi-aberto, que, nesta condição, preste serviço,             enquadre como segurado obrigatório do RGPS, será
dentro ou fora da unidade penal, a uma ou mais                   considerado como tal, devendo efetuar suas
empresas, com ou sem intermediação da organização                contribuições, ainda que amparado por regime
carcerária ou entidade afim, ou que exerce atividade             previdenciário próprio.
artesanal por conta própria. (Incluído pelo Decreto nº
7.054, de 2009)                                                      Excepcionalmente, os trabalhadores amparados por
                                                                 regime próprio de previdência poderão obter filiação
                                                                 facultativa, na hipótese de afastamento sem vencimento
    Observação:                                                  e desde que não permita, nesta condição, contribuição
       Com o advento do Decreto nº 7.054 de 2009, o              ao regime próprio (art. 11, § 2º do RPS). Essa regra não
presidiário que exerce atividade remunerada deixou de            se aplica para a esfera federal, uma vez que a Lei nº
ser considerado contribuinte individual, sendo permitida         8.112/90, no seu art. 183, § 3º, permite que o servidor
apenas a sua filiação ao RGPS como segurado                      quando se afasta sem vencimento contribua para o seu
facultativo.                                                     próprio regime.


    Filiação e Inscrição
                                                                      CONCEITO PREVIDENCIÁRIO DE
      Filiação é o vínculo que se estabelece entre
pessoas que contribuem para a previdência social e
                                                                        EMPRESA E EMPREGADOR
esta, do qual decorrem direitos e obrigações. A filiação                      DOMÉSTICO
à previdência social decorre automaticamente do                       Considera-se empresa, para fins previdenciários, a
exercício de atividade remunerada para os segurados              firma individual ou a sociedade que assume o risco de
obrigatórios, observado o trabalhador rural contratado           atividade econômica urbana ou rural, com fins lucrativos
por produtor rural pessoa física por prazo de até dois           ou não, bem como os órgãos e as entidades da
meses dentro do período de um ano, para o exercício              administração pública direta, indireta e fundacional.
de atividades de natureza temporária. Nesse caso, a
                                                                     Já o empregador doméstico é aquele que admite a
filiação decorre automaticamente de sua inclusão na
                                                                 seu serviço, mediante remuneração, sem finalidade
GFIP, mediante identificação específica.
                                                                 lucrativa, empregado doméstico.
     Considera-se inscrição de segurado para os efeitos
                                                                     Deve-se atentar para o fato da lei determinar
da previdência social o ato pelo qual o segurado é
                                                                 separadamente empresa e empregador doméstico, ou
cadastrado no Regime Geral de Previdência Social,
                                                                 seja, empregador doméstico não é empresa. O
mediante comprovação dos dados pessoais e de outros
                                                                 empregador doméstico é sujeito à contribuição patronal
elementos necessários e úteis a sua caracterização (ver
                                                                 em relação ao seu empregado doméstico, porém, não é
art. 18 do Decreto nº. 3.048/99).
                                                                 equiparado a empresa.
    Portanto, a filiação, em geral, ocorre antes da
                                                                     Equipara-se a empresa o contribuinte individual, em
inscrição junto à previdência social. Entretanto, o
                                                                 relação a segurado que lhe presta serviço; a
segurado facultativo somente estará filiado ao RGPS
                                                                 cooperativa, a associação ou a entidade de qualquer
após sua inscrição formalizada com o pagamento da
                                                                 natureza ou finalidade, inclusive a missão diplomática e
primeira contribuição.
                                                                 a repartição consular de carreiras estrangeiras; o
                                                                 operador portuário e o órgão gestor de mão-de-obra de
                                                                 que trata a Lei nº. 8.630/93; e o proprietário ou dono de

Prof. Bernardo Machado                                                                   DIREITO PREVIDENCIÁRIO
                                                            12
obra de construção civil, quando pessoa física, em                União, dos Estados, do Distrito Federal e dos
relação a segurado que lhe presta serviço.                        Municípios, e das seguintes contribuições sociais:
                                                                   I - do empregador, da empresa e da entidade a ela
    Matrícula da Empresa                                          equiparada na forma da lei, incidentes sobre:
    A Matrícula é a identificação dos sujeitos passivos            a) a folha de salários e demais rendimentos do trabalho
perante a Secretaria da Receita Federal do Brasil                 pagos ou creditados, a qualquer título, à pessoa física
(RFB), podendo ser o número do:                                   que lhe preste serviço, mesmo sem vínculo
                                                                  empregatício;
    • Cadastro Nacional de Pessoa Jurídica (CNPJ)
    para empresas e equiparados a ele obrigados;                  b) a receita ou o faturamento;
                                                                  c) o lucro;
    • Cadastro Específico do INSS (CEI) para
    empresas e equiparados desobrigados de inscrição              II - do trabalhador e dos demais segurados da
    no CNPJ ou que ainda não a tenham efetuado e                  previdência social, não incidindo contribuição sobre
    toda obra de construção civil;                                aposentadoria e pensão concedidas pelo regime geral
                                                                  de previdência social de que trata o art. 201;
                                                                  III - sobre a receita de concursos de prognósticos;
     A matrícula será efetuada no Cadastro Específico
do INSS (CEI), no prazo de 30 (trinta) dias contados do           IV - do importador de bens ou serviços do exterior, ou
inicio de suas atividades, para a empresa e equiparado,           de quem a lei a ele equiparar.”
quando for o caso, e obra de construção civil.
    A data do início da atividade corresponderá à data                Observação:
do arquivamento do ato constitutivo na Junta Comercial
ou Cartório de Registro Civil ou a data do início da obra.               Constitui receita da seguridade social a renda
                                                                  líquida dos concursos de prognósticos, excetuando-se
    Caso a empresa não efetue a inscrição, no prazo               os valores destinados ao Programa de Crédito
previsto anteriormente, estará sujeita a aplicação de             Educativo.
multa (auto-de-infração), nos termos do art. 283 do
                                                                         A contribuição constitui-se de toda a renda líquida
RPS, além da inscrição de ofício por parte da RFB.
                                                                  do concurso, quando organizado pelo Poder Público, ou
                                                                  5% (cinco por cento) do movimento global de apostas
     • A matrícula atribuída pela Secretaria da Receita           em prado de corridas ou do sorteio de números ou de
Federal do Brasil ao produtor rural pessoa física ou              quaisquer modalidades de símbolos, quando organizado
segurado especial é o documento de inscrição do                   pela iniciativa privada.
contribuinte, em substituição à inscrição no Cadastro                   O movimento global de apostas é o total das
Nacional de Pessoa Jurídica - CNPJ, a ser apresentado             importâncias relativas às várias modalidades de jogos,
em suas relações: (I) com o Poder Público, inclusive              enquanto que o movimento global de sorteio de
para licenciamento sanitário de produtos de origem                números é o total da receita bruta.
animal ou vegetal submetidos a processos de
beneficiamento ou industrialização artesanal; (II) com as
instituições financeiras, para fins de contratação de                 A contribuição da União é constituída de recursos
operações de crédito; e (III) com os adquirentes de sua           adicionais    do     Orçamento      Fiscal,    fixados
produção ou fornecedores de sementes, insumos,                    obrigatoriamente na Lei Orçamentária anual.
ferramentas e demais implementos agrícolas.                           A União é responsável pela cobertura de eventuais
                                                                  insuficiências financeiras da Seguridade Social, quando
                                                                  decorrentes do pagamento de benefícios de prestação
    Para fins de recolhimento das contribuições
                                                                  continuada da Previdência Social, na forma da Lei
previdenciárias, a matrícula será atribuída ao grupo
                                                                  Orçamentária Anual – LOA.
familiar no ato de sua inscrição.
                                                                      Além de recursos provenientes da União e das
                                                                  contribuições sociais, a seguridade social, no âmbito
            FINANCIAMENTO DA                                      federal, também é financiada por recurso de outras
                                                                  fontes, que são:
            SEGURIDADE SOCIAL                                         • As multas, a atualização monetária e os juros
    A seguridade social será financiada por toda a                    moratórios;
sociedade, de forma direta e indireta, nos termos da lei,             • A remuneração recebida pela prestação de
mediante recursos provenientes dos orçamentos da                      serviços de arrecadação, fiscalização e cobrança
União, dos Estados, do Distrito Federal e dos                         prestados a terceiros;
Municípios e das contribuições sociais, conforme
determina a Constituição Federal:                                     • As receitas provenientes de prestação de outros
                                                                      serviços e de fornecimento ou arrendamento de
“Art. 195. A seguridade social será financiada por toda a
                                                                      bens;
sociedade, de forma direta e indireta, nos termos da lei,
mediante recursos provenientes dos orçamentos da                      • As demais receitas patrimoniais, industriais e
                                                                      financeiras;

Prof. Bernardo Machado                                                                     DIREITO PREVIDENCIÁRIO
                                                             13
• As doações, legados, subvenções e outras                     Remuneração a partir de 1º de janeiro de 2011
    receitas eventuais;
    • Cinqüenta por cento da receita obtida na forma do           Salário-de-contribuição (R$)            Alíquota (%)
    parágrafo único do art. 243 da Constituição Federal,          até R$ 1.106,90                         8,00
    repassados pelo Instituto Nacional do Seguro Social
    aos órgãos responsáveis pelas ações de proteção à             de R$ 1.106,91 a R$ 1.844,83            9,00
    saúde e a ser aplicada no tratamento e recuperação
    de viciados em entorpecentes e drogas afins;                  de R$ 1.844,84 até R$ 3.689,66          11,00
    • Quarenta por cento do resultado dos leilões dos
    bens apreendidos pela Secretaria da Receita
                                                                      A forma de recolhimento, para esses segurados, a
    Federal do Brasil; e
                                                                  obrigação de efetuar o desconto e do recolhimento da
    • Outras    receitas    previstas    em    legislação         contribuição é encargo da empresa e do empregador
    específica.                                                   doméstico, respectivamente. Será feito em conjunto
                                                                  com o recolhimento dos empregadores ou empresas, na
                                                                  mesma guia.
    Observação:
       Com o advento da Lei nº 11.457/07, a
remuneração recebida pela prestação de serviços de                    Observação:
arrecadação, fiscalização e cobrança prestados a                         A contribuição do segurado trabalhador rural
terceiros deixou de figurar como outras fontes da                 contratado por produtor rural pessoa física para o
Seguridade Social, sendo destinada para o Fundo                   exercício de atividades de natureza temporária por
Especial de Desenvolvimento e Aperfeiçoamento das                 prazo não superior a dois meses dentro do período de
Atividades de Fiscalização (FUNDAF).                              um ano é de 8% (oito por cento) sobre o respectivo
                                                                  salário-de-contribuição.
    As companhias seguradoras que mantém seguro
obrigatório de danos pessoais causados por veículos                   Contribuinte Individual e Facultativo
automotores de vias terrestres, de que trata a Lei nº.
                                                                      A contribuição do segurado contribuinte individual e
6.194, de 19 de dezembro de 1974, deverão repassar à
                                                                  facultativo será de 20% (vinte por cento) sobre o
seguridade social 45% (quarenta e cinco por cento) do
                                                                  respectivo salário-de-contribuição.
valor total do prêmio recolhido, destinados ao Sistema
Único de Saúde, para custeio da assistência médico-                   A contribuição do segurado facultativo é maior
hospitalar dos segurados vitimados em acidentes de                devido a não contribuição patronal sobre essa
trânsito.                                                         remuneração. E nem poderia ser diferente. Este
                                                                  contribui para o sistema por um mero ato volitivo.
     Apesar da Lei nº. 8.212/91 (art. 27, parágrafo único)
falar em 50% (cinqüenta por cento) do valor total do                 Já o contribuinte individual devido à ausência, no
prêmio recolhido, 10% (dez por cento) da arrecadação              passado, de contribuição patronal sobre essas
da seguridade social é destinada ao coordenador do                remunerações.
sistema nacional de trânsito, para aplicação exclusiva                Entretanto, a partir de maio de 1996, a empresa
em programas destinados à prevenção de acidentes, ou              passou a contribuir sobre a remuneração paga ou
seja, 5% (cinco por cento) do total.                              creditada ao contribuinte individual.
    Vamos nos atentar para as contribuições                           Em virtude disso, a Lei nº. 9.876/99 determinou: “Na
previdenciárias, cujos recursos provenientes, conforme            hipótese de o contribuinte individual prestar serviço a
determina o art. 167 da CF, XI, só podem ser utilizados           uma ou mais empresas, poderá deduzir, da sua
para o pagamento de benefícios do RGPS, que são as                contribuição mensal, quarenta e cinco por cento da
do art. 195, I, a, e II da CF (empresa sobre folha de             contribuição da empresa, efetivamente recolhida ou
salários e remunerações pagas e dos trabalhadores).               declarada, incidente sobre a remuneração que esta lhe
                                                                  tenha pago ou creditado, limitada a dedução a nove por
                                                                  cento do respectivo salário-de-contribuição”.
   CONTRIBUIÇÃO DOS SEGURADOS
                                                                      Deve-se analisar esse fato por meio de um caso
                                                                  prático:
   Empregado, Trabalhador Avulso e Empregado                          - Remuneração do trabalhador: R$ 1.500,00
Doméstico
                                                                      - Contribuição patronal: 20% x R$ 1.500,00 = R$
   A contribuição do empregado, inclusive o                           300,00
doméstico, e a do trabalhador avulso é calculada
                                                                      - Possível dedução: 45% x R$ 300,00 = R$ 135,00
mediante a aplicação da correspondente alíquota sobre
o seu salário-de-contribuição mensal, de forma não                    - Limite: 9% x R$ 1.500,00 = R$ 135,00
cumulativa.                                                           - Contr. do segurado: (20% x R$ 1.500,00) – R$
                                                                      135,00 = R$ 165,00



Prof. Bernardo Machado                                                                    DIREITO PREVIDENCIÁRIO
                                                             14
Atente para o fato de o limite ser exatamente o valor            Quadro resumo a partir de 01/04/2003:
da possível dedução. Isso será sempre possível quando
a remuneração for inferior ao teto do salário-de-                                         Responsável
contribuição, ou seja, atualmente R$ 3.689,66.                   Contratante   Alíquota   pelo             Observações
                                                                                          recolhimento
    Caso a remuneração fosse superior ao teto do
salário-de-contribuição:                                         Pessoa                   Próprio          - Sem dedução
                                                                               20%
    - Remuneração do trabalhador: R$ 5.000,00                    física                   segurado         legal
    - Contribuição patronal: 20% x R$ 5.000,00 = R$              Empresa ou                                - Já com a
    1.000,00                                                                   11%        Contratante
                                                                 equiparado                                dedução legal
    - Possível dedução: 45% x R$ 1.000,00 = R$ 450,00
                                                                 Entidade                                  - Sem dedução
    - Limite: 9% x R$ 3.689,66 = R$ 332,07                                     20%        Contratante
                                                                 beneficente                               legal
    - Contr. do segurado: (20% x R$ 3.689,66) – R$
    332,07 = R$ 405,86                                                                                     -           Não
                                                                                                           obrigatoriedade
                                                                 CI, PRFP,                                 de
    Caso o contribuinte individual não preste serviço à          missão                                    recolhimento
empresa contribuirá, ainda, com 20% (vinte por cento)            diplomática   20% ou     Próprio          pelo
sobre o seu salário-de-contribuição.                             ou            11%        segurado         contratante
                                                                 repartição
    A partir da competência abril de 2003, conforme              consular                                  - Possibilidade
determina a MP nº. 83/02, posteriormente convertida na                                                     de    dedução
Lei nº. 10.666/03, fica a empresa obrigada a arrecadar a                                                   legal
contribuição do segurado contribuinte individual a seu
serviço, descontando-a da respectiva remuneração, e a
recolher o valor arrecadado juntamente com a                         Observação:
contribuição a seu cargo até o dia vinte do mês seguinte                No caso de opção pela exclusão do direito ao
ao da competência.                                               benefício de aposentadoria por tempo de contribuição, a
     Portanto, até a competência 03/2003, a                      alíquota de contribuição, incidente sobre o limite mínimo
responsabilidade pelo recolhimento do contribuinte               mensal do salário de contribuição, será de 11% (onze
individual é do próprio segurado. A partir da                    por cento), no caso do segurado contribuinte individual,
competência 04/2003, a responsabilidade pelo                     que trabalhe por conta própria, sem relação de trabalho
recolhimento da contribuição do contribuinte individual é        com empresa ou equiparado e do segurado facultativo;
da empresa que o contrata. Ou seja, a partir da                  e 5% (cinco por cento), no caso do microempreendedor
competência 04/2003, a contribuição descontada pela              individual, de que trata o art. 18-A da Lei Complementar
empresa sobre a remuneração paga, devida ou                      nº 123, de 14 de dezembro de 2006.
creditada ao contribuinte individual a seu serviço,                    O segurado que tenha contribuído na forma do
observado o limite máximo do salário-de-contribuição, é          parágrafo anterior e pretenda contar o tempo de
de 11% (onze por cento) no caso das empresas em                  contribuição correspondente para fins de obtenção da
geral e de vinte por cento quando se tratar de entidade          aposentadoria por tempo de contribuição ou da
beneficente de assistência social isenta das                     contagem recíproca do tempo de contribuição a que se
contribuições sociais patronais.                                 refere o art. 94 da Lei nº 8.213, de 24 de julho de 1991,
     Além disso, se o contribuinte individual prestar            deverá complementar a contribuição mensal mediante
serviço a outro contribuinte individual, a produtor rural        recolhimento, sobre o valor correspondente ao limite
pessoa física, a missão diplomática ou a repartição              mínimo mensal do salário-de-contribuição em vigor na
consular de carreira estrangeira, o mesmo fará o seu             competência a ser complementada, da diferença entre o
recolhimento, entretanto, poderá efetuar a dedução               percentual pago e o de 20% (vinte por cento), acrescido
legal, visto que essas pessoas contribuem sobre a                dos juros moratórios.
remuneração paga ou creditada ao contribuinte
individual.
                                                                     Segurado Especial
    O contribuinte individual que presta serviço para
pessoa física e o segurado facultativo continuam                     Em virtude de mandamento constitucional (art. 195,
fazendo o seu recolhimento por conta própria.                    § 8° da CF/88), O produtor, o parceiro, o meeiro e o
                                                                 arrendatário rurais e o pescador artesanal, bem como
                                                                 os respectivos cônjuges, que exerçam suas atividades
                                                                 em regime de economia familiar, sem empregados
                                                                 permanentes, contribuirão para a seguridade social
                                                                 mediante a aplicação de uma alíquota sobre o resultado
                                                                 da comercialização da produção e farão jus aos
                                                                 benefícios nos termos da lei.
                                                                    Portanto, a contribuição do segurado especial é de
                                                                 2,0% (dois por cento) sobre a receita bruta, proveniente

Prof. Bernardo Machado                                                                    DIREITO PREVIDENCIÁRIO
                                                            15
da comercialização da sua produção rural, além de                     Contribuição sobre o valor bruto da nota fiscal
0,1% (um décimo por cento) para financiamento de                  de cooperativa de trabalho
benefícios concedidos em razão do grau de incidência                  A empresa contribuirá com 15% (quinze por cento)
de incapacidade laborativa decorrente dos riscos                  sobre o valor bruto da nota fiscal ou fatura de prestação
ambientais do trabalho (GILRAT). (art. 200, I e II do             de serviços, relativamente a serviços que lhe são
RPS).                                                             prestados por cooperados por intermédio de
                                                                  cooperativas de trabalho.
      CONTRIBUIÇÃO DA EMPRESA
                                                                      Contribuição decorrente dos riscos ambientais
                                                                  do trabalho – GILRAT
   Contribuição sobre a remuneração dos
segurado empregados e trabalhadores avulsos
                                                                      Para o financiamento dos benefícios concedidos
                                                                  em razão do grau de incidência de incapacidade
     Em relação aos segurados empregados e                        laborativa decorrente dos riscos ambientais do
trabalhadores avulsos, a empresa contribuirá com                  trabalho (GILRAT), sobre o total das remunerações
20% (vinte por cento) sobre o total das remunerações              pagas ou creditadas, no decorrer do mês, aos
pagas, devidas ou creditadas a qualquer título, durante           segurados empregados e trabalhadores avulsos:
o mês, a esses segurados que lhe prestem serviços,
destinadas a retribuir o trabalho, qualquer que seja a                • 1% (um por cento) para as empresas em cuja
sua forma, inclusive as gorjetas, os ganhos habituais                 atividade preponderante o risco de acidentes do
sob a forma de utilidades e os adiantamentos                          trabalho seja considerado leve;
decorrentes de reajuste salarial, quer pelos serviços                 • 2% (dois por cento) para as empresas em cuja
efetivamente prestados, quer pelo tempo à disposição                  atividade   preponderante   esse   risco  seja
do empregador ou tomador de serviços, nos termos da                   considerado médio;
lei ou do contrato ou, ainda, de convenção ou acordo
                                                                      • 3% (três por cento) para as empresas em cuja
coletivo de trabalho ou sentença normativa.
                                                                      atividade   preponderante   esse   risco  seja
                                                                      considerado grave.
   Contribuição sobre          a    remuneração      dos             Considera-se atividade preponderante, aquela que
contribuintes individuais                                         ocupa, na empresa, o maior número de segurados
                                                                  empregados e trabalhadores avulsos.
     Em relação aos contribuintes individuais, 20%                     O enquadramento no correspondente grau de risco
(vinte por cento) sobre o total das remunerações pagas            é de responsabilidade da empresa, observada a sua
ou creditadas a qualquer título, no decorrer do mês, a            atividade econômica preponderante e será feito
esses segurados que lhe prestem serviços.                         mensalmente, cabendo a Secretaria da Receita
                                                                  Federal do Brasil rever o auto-enquadramento em
                                                                  qualquer tempo.
    Contribuição adicional sobre a remuneração dos
                                                                      A atividade econômica preponderante da empresa e
segurados empregados, trabalhadores avulsos e
                                                                  os respectivos riscos de acidentes do trabalho
contribuintes individuais por parte das instituições
                                                                  compõem a Relação de Atividades Preponderantes e
financeiras
                                                                  correspondentes Graus de Risco, prevista no anexo V
     No caso de bancos comerciais, bancos de                      do RPS.
investimentos, bancos de desenvolvimento, caixas
econômicas, sociedades de crédito, financiamento e
investimento, sociedades de crédito imobiliário,                      Observação:
sociedades corretoras, distribuidoras de títulos e valores              A Lei nº. 10.666/03 diz, ainda, que a alíquota de
mobiliários, empresas de arrendamento mercantil,                  contribuição de 1% (um por cento), 2% (dois por cento)
cooperativas de crédito, empresas de seguros privados             ou 3% (três por cento), destinada ao financiamento do
e de capitalização, agentes autônomos de seguros                  benefício de aposentadoria especial ou daqueles
privados e de crédito e entidades de previdência privada          concedidos em razão do grau de incidência de
abertas e fechadas, além das contribuições referidas              incapacidade laborativa decorrente dos riscos
nos itens anteriores, é devida a contribuição adicional           ambientais do trabalho, poderá ser reduzida, em até
de 2,5% (dois inteiros e cinco décimos por cento) sobre           50% (cinqüenta por cento), ou aumentada, em até 100%
a respectiva base de cálculo, ou seja, pagará 22,5%               (cem por cento), conforme dispuser o regulamento, em
(vinte e dois inteiros e cinco décimos por cento) sobre a         razão do desempenho da empresa em relação à
remuneração desses segurados.                                     respectiva    atividade   econômica,     apurado    em
                                                                  conformidade com os resultados obtidos a partir dos
                                                                  índices de freqüência, gravidade e custo, calculados
                                                                  segundo metodologia aprovada pelo Conselho Nacional
                                                                  de Previdência Social.



Prof. Bernardo Machado                                                                    DIREITO PREVIDENCIÁRIO
                                                             16
Contribuição para o custeio da aposentadoria                  cooperado por intermédio de cooperativa de trabalho e
especial                                                         nem as contribuições por responsabilidade (desconto
    As alíquotas constantes do item anterior serão               dos segurados, as decorrentes de sub-rogação e a
acrescidas de 12 (doze), 9 (nove) ou 6 (seis) pontos             retenção dos 11% por serviços prestados por pessoas
percentuais, respectivamente, se a atividade exercida            jurídicas mediante cessão de mão-de-obra).
pelo segurado a serviço da empresa ensejar a
concessão de aposentadoria especial após 15 (quinze),                Contribuição do Produtor Rural
20 (vinte) ou 25 (vinte e cinco) anos de contribuição.
                                                                      Além do segurado especial, têm-se duas outras
     O acréscimo incide exclusivamente sobre a                   espécies de produtores rurais: o produtor rural pessoa
remuneração do segurado sujeito às condições                     física (PRPF) e o produtor rural pessoa jurídica (PRPJ).
especiais que prejudiquem a saúde ou a integridade               Todos são segurados obrigatórios do RGPS, mas estes
física.                                                          dois últimos são contribuintes individuais, sujeitando-se
      Será devida contribuição adicional de 12 (doze), 9         às regras de recolhimento desta categoria de segurado.
(nove) ou 6 (seis) pontos percentuais, a cargo da                Além disso, são o PRPF e o PRPJ também empresas
cooperativa de produção, incidente sobre a                       para fins previdenciários, sujeitando-se a recolhimentos
remuneração paga, devida ou creditada ao cooperado               diferenciados.
filiado, na hipótese de exercício de atividade que                   Portanto, a contribuição do PRPF, na condição de
autorize a concessão de aposentadoria especial após              equiparado à empresa, é de 2,0% (dois por cento) da
15 (quinze), 20 (vinte) ou 25 (vinte) e cinco anos de            receita bruta proveniente da comercialização da
contribuição, respectivamente.                                   produção rural, mais 0,1% (um décimo por cento) da
    Será devida contribuição adicional de 9 (nove), 7            receita bruta proveniente da comercialização da
(sete) ou 5 (cinco) pontos percentuais, a cargo da               produção rural, para financiamento das prestações por
empresa tomadora de serviços de cooperado filiado a              acidente do trabalho, totalizando 2,1% (dois inteiros e
cooperativa de trabalho, incidente sobre o valor bruto da        um décimo por cento).
nota fiscal ou fatura de prestação de serviços, conforme              Já a contribuição do PRPJ, como empresa, é de
a atividade exercida pelo cooperado permita a                    2,5% (dois inteiros e cinco décimos por cento) da receita
concessão de aposentadoria especial após 15 (quinze),            bruta proveniente da comercialização da produção rural,
20 (vinte) ou 25 (vinte e cinco) anos de contribuição,           mais 0,1% (um décimo por cento) da receita bruta
respectivamente.                                                 proveniente da comercialização da produção rural, para
                                                                 financiamento das prestações por acidente do trabalho,
    Contribuições substitutivas                                  totalizando 2,6% (dois inteiros e seis décimos por
                                                                 cento).
    • Associação desportiva que mantém equipe de
    futebol profissional;
                                                                     Observação:
    • Produtor rural pessoas física e jurídica;
                                                                      Esta    contribuição    somente     substitui as
    • SIMPLES.
                                                                 contribuições sobre as remunerações dos segurados
                                                                 empregados, trabalhadores avulsos, a GILRAT e o
    Associação desportiva que mantém equipe de                   eventual adicional para financiamento da aposentadoria
futebol profissional                                             especial.
     A contribuição      empresarial   da associação                    Esta contribuição não substitui a contribuição
desportiva que mantém equipe de futebol profissional             sobre a remuneração paga ou creditada a contribuinte
destinada à Seguridade Social corresponde a 5% (cinco            individual que lhe preste serviço, contratação de
por cento) da receita bruta, decorrente dos espetáculos          cooperado por intermédio de cooperativa de trabalho e
desportivos de que participem em todo território                 nem as contribuições por responsabilidade (desconto
nacional em qualquer modalidade desportiva,                      dos segurados, as decorrentes de sub-rogação e a
inclusive jogos internacionais, e de qualquer forma de           retenção dos 11% por serviços prestados por pessoas
patrocínio, licenciamento de uso de marcas e símbolos,           jurídicas mediante cessão de mão-de-obra).
publicidade, propaganda e de transmissão de
espetáculos desportivos.
                                                                     SIMPLES
                                                                      Contribuição sobre a receita bruta auferida
    Observação:                                                  mensalmente, que engloba além do IRPJ, CSLL,
     Esta    contribuição    somente     substitui as            COFINS... as contribuições da empresa sobre a folha de
contribuições sobre as remunerações dos segurados                salários e remunerações pagas ou creditadas a pessoas
empregados, trabalhadores avulsos, a GILRAT e o                  físicas que lhe prestem serviços. Em relação ao
eventual adicional para financiamento da aposentadoria           SIMPLES, essa forma de contribuição, além de
especial.                                                        substituir a contribuição sobre a remuneração dos
                                                                 empregados e trabalhadores avulsos, substitui a
       Esta contribuição não substitui a contribuição
                                                                 contribuição sobre a remuneração paga ao contribuinte
sobre a remuneração paga ou creditada a contribuinte             individual, a contribuição sobre a contratação de
individual que lhe preste serviço, contratação de

Prof. Bernardo Machado                                                                   DIREITO PREVIDENCIÁRIO
                                                            17
cooperado por intermédio de cooperativa de trabalho, a              Contribuições da Empresa
GILRAT e o eventual adicional para financiamento da                 - Sobre a remuneração dos segurados empregados
aposentadoria especial. Entretanto, a empresa optante               e avulsos: R$ 1.817,00 (20% Empresa + 3%
pelo SIMPLES continua obrigada a recolher as                        GILRAT de R$ 7.900,00)
contribuições   descontadas    dos    segurados,   as
decorrentes de sub-rogação e a retenção dos 11% por                 - Sobre a remuneração dos contribuintes individuais:
serviços prestados por pessoas jurídicas mediante                   R$ 540,00 (20% Empresa de R$ 2.700,00)
cessão de mão-de-obra.                                              - Para financiamento da aposentadoria especial: R$
                                                                    120,00 (6% de R$ 2.000,00)
    Contribuição do Empregador Doméstico                            - Sobre a cooperativa de trabalho: R$ 300,00 (15%
                                                                    de R$ 2.000,00)
    A contribuição do empregador doméstico é de 12%
(doze por cento) do salário-de-contribuição do                      - Total: R$ 2.777,00
empregado doméstico a seu serviço.
                                                                    Recolhimento
    Exemplo prático                                                  As contribuições dos segurados empregados,
   A indústria Fisco Ltda. possui a seguinte folha de           trabalhadores avulsos e contribuintes individuais devem
pagamento:                                                      ser recolhidas pela empresa, sendo descontadas das
                                                                remunerações dos respectivos segurados, juntamente
                                                                com as contribuições a cargo da mesma. Portanto, o
Nome             Categoria          Remuneração                 total de R$ 3.864,86 deverá ser recolhido, na mesma
                                                                guia, até o dia 20 (vinte) do mês seguinte ao da
Pedro            Empregado          R$ 2.000,00                 competência, antecipando-se o vencimento para o dia
                                                                útil anterior quando não houver expediente bancário no
Maria            Empregada          R$ 4.000,00                 dia 20 (vinte).
Joana            Empregada          R$ 1.300,00

                 Contribuinte                                          SALÁRIO-DE-CONTRIBUIÇÃO
Hugo                                R$ 2.000,00
                 Individual                                         Salário-de-contribuição, expressão própria do direito
                                                                previdenciário, é a denominação da base de cálculo da
                 Contribuinte
José                                R$ 700,00                   contribuição a ser recolhida pelos segurados. É utilizado
                 Individual
                                                                também como base para o cálculo dos benefícios
                 Trabalhador                                    previdenciários.
Joaquim                             R$ 600,00
                 Avulso                                             O fato gerador da contribuição previdenciária
                                                                alcança,   em      regra,    dois   contribuintes:
                                                                empresa/empregador e segurado.
    Pedro, conforme verificado no LTCAT (PPRA)                        Em relação à empresa, a lei identifica como base de
apresentado pela empresa, trabalha exposto a agente             cálculo a remuneração e, em relação ao segurado,
nocivo, o que lhe daria direito à aposentadoria especial
                                                                utiliza o “nomem juris” salário-de-contribuição.
no prazo de 25 (vinte e cinco) anos.
                                                                     Quando se trata de caracterizar o fato gerador,
     A empresa também contrata cooperados por                   ambos os termos são sinônimos ou equivalentes.
intermédio de cooperativa de trabalho para a realização         Diferença há, tão somente, quando se prestam a
de serviço de segurança, no valor de R$ 2.000,00.               identificar a base de cálculo. Aí, sim, existe uma
   Foi verificado que atividade preponderante da                diferença de valor, pois o salário-de-contribuição
empresa possui risco de acidente do trabalho                    comporta limites mínimo e máximo, e a remuneração,
considerado grave.                                              em relação à empresa, não sofre limitações na
                                                                incidência de contribuição.
    Contribuição dos Segurados                                      Entende-se por salário-de-contribuição:
    - Pedro: R$ 220,00 (11% de R$ 2.000,00)                         • Para o segurado empregado e trabalhador avulso:
                                                                    a remuneração auferida em uma ou mais empresas,
    - Maria: R$ 405,86 (11% de R$ 3.689,66)                         assim entendida a totalidade dos rendimentos
    - Joana: R$ 117,00 (9% de R$ 1.300,00)                          pagos, devidos ou creditados a qualquer título,
    - Hugo: R$ 220,00 (11% de R$ 2.000,00)                          durante o mês, destinados a retribuir o trabalho,
                                                                    qualquer que seja a sua forma, inclusive as gorjetas,
    - José: R$ 77,00 (11% de R$ 700,00)                             os ganhos habituais sob a forma de utilidades e os
    - Joaquim: R$ 48,00 (8% de R$ 600,00)                           adiantamentos decorrentes de reajuste salarial, quer
    - Total: R$ 1.087,86                                            pelos serviços efetivamente prestados, quer pelo
                                                                    tempo à disposição do empregador ou tomador de
                                                                    serviços nos termos da lei ou do contrato ou, ainda,



Prof. Bernardo Machado                                                                     DIREITO PREVIDENCIÁRIO
                                                           18
de convenção ou acordo coletivo de trabalho ou                  o salário-de-contribuição. Exemplo: Habitação, veículo,
    sentença normativa;                                             etc.
    • Para o empregado doméstico: a remuneração
    registrada na Carteira de Trabalho e Previdência                    Parcelas integrantes do salário-de-contribuição
    Social,   observadas    as    normas     a serem
    estabelecidas em regulamento para comprovação                       • Salário-maternidade;
    do vínculo empregatício e do valor da remuneração;                  • A gratificação natalina - décimo terceiro salário -
    • Para o contribuinte individual: a remuneração                     integra o salário-de-contribuição, exceto para o
    auferida em uma ou mais empresas ou pelo                            cálculo do salário-de-benefício;
    exercício de sua atividade por conta própria, durante               • O adicional de férias de que trata o inciso XVII do
    o mês, observado o limite máximo;                                   art. 7º da CF;
    • Para o segurado facultativo: o valor por ele                      • O valor das diárias para viagens, quando
    declarado, observado o limite máximo.                               excedente a cinqüenta por cento da remuneração
    O Decreto nº. 3.048/99, no art. 214, traz, além da                  mensal do empregado.
definição do salário-de-contribuição para cada espécie
de segurado, as diversas parcelas que integram ou não
                                                                       Parcelas     não     integrantes    do    salário-de-
o salário-de-contribuição. Deve-se dar uma atenção
                                                                    contribuição
especial a leitura desse artigo.
                                                                        • Os benefícios da previdência social, nos termos e
                                                                        limites legais, salvo o salário-maternidade;
   Limites mínimo          e    máximo     do   salário-de-
contribuição                                                            • Parcelas indenizatórias;

    O limite      mínimo        do   salário-de-contribuição            Exemplo: Férias indenizadas e o respectivo
                                                                        adicional constitucional; incentivo à demissão; etc.
corresponde:
    • Para os segurados empregado, inclusive o                          • Parcelas ressarcitórias;
    doméstico, e trabalhador avulso, ao piso salarial                   Exemplo: Ajuda de custo, em parcela única,
    legal ou normativo da categoria ou, inexistindo este,           recebida exclusivamente em decorrência de mudança
    ao salário mínimo, tomado no seu valor mensal,                  de local de trabalho do empregado, na forma do art. 470
    diário ou horário, conforme o ajustado e o tempo de             da Consolidação das Leis do Trabalho; ressarcimento
    trabalho efetivo durante o mês;                                 de despesas pelo uso de veículo do empregado,
                                                                    quando devidamente comprovadas; etc.
    • Para os segurados contribuinte individual e
    facultativo, ao salário mínimo.                                     • Conquistas sociais, desde        que    paga   em
    O limite máximo do salário-de-contribuição, hoje, é                 conformidade com a legislação;
de R$ 3.689,66.                                                          Exemplo: Parcela recebida a título de vale-
                                                                    transporte, na forma da legislação própria; participação
                                                                    do empregado nos lucros ou resultados da empresa,
    Características das parcelas integrantes do                     quando paga ou creditada de acordo com lei específica;
salário-de-contribuição                                             etc.
    • Habitualidade;                                                    • Benefícios e utilidades, desde que fornecidos sob
    • Integração ao patrimônio do trabalhador;                          certas condições.
    • Pagamento pelo trabalho e não para o trabalho;                     Exemplo: Valor relativo à assistência prestada por
                                                                    serviço médico ou odontológico, próprio da empresa ou
    • Irrelevância do título.                                       com ela conveniado, inclusive o reembolso de despesas
    A integração ao patrimônio do trabalhador deve                  com medicamentos, óculos, aparelhos ortopédicos,
partir do ponto de vista do aumento patrimonial do                  despesas médico-hospitalares e outras similares, desde
trabalhador. Geralmente, os pagamentos indiretos                    que a cobertura abranja a totalidade dos empregados e
representam vantagens materiais ou imateriais                       dirigentes da empresa; valor das contribuições
proporcionadas pelo empregador, com o objetivo de                   efetivamente pago pela pessoa jurídica relativo a prêmio
aumentar a sua remuneração, a sua satisfação, visando               de seguro de vida em grupo, desde que previsto em
um aumento de produtividade.                                        acordo ou convenção coletiva de trabalho, e
    Deve-se distinguir se o pagamento é pago pelo                   disponível à totalidade de seus empregados e
trabalho e não para o trabalho. Exemplo: Se a habitação             dirigentes, observados, no que couber, os arts. 9º e 468
é fornecida ao trabalhador como condição para a                     da Consolidação das Leis do Trabalho; etc.
prestação do trabalho, e não como retribuição pelo
trabalho, não terá natureza salarial.
   A irrelevância do título significa que o que importa é
a natureza do pagamento e não o nome dado. Se o
ganho é decorrente do trabalho é remuneração e integra



Prof. Bernardo Machado                                                                      DIREITO PREVIDENCIÁRIO
                                                               19
Situações previstas no art. 214, §9º do Decreto nº.           VIII - as diárias para viagens, desde que não excedam a
3.048/99:                                                         cinqüenta por cento da remuneração mensal do
“§ 9º Não integram           o    salário-de-contribuição,        empregado;
exclusivamente:                                                   IX - a importância recebida a título de bolsa de
I - os benefícios da previdência social, nos termos e             complementação educacional de estagiário, quando
limites legais, ressalvado o disposto no § 2º;                    paga nos termos da Lei nº 6.494, de 1977;
II - a ajuda de custo e o adicional mensal recebidos pelo         X - a participação do empregado nos lucros ou
aeronauta, nos termos da Lei nº 5.929, de 30 de outubro           resultados da empresa, quando paga ou creditada de
de 1973;                                                          acordo com lei específica;
III - a parcela in natura recebida de acordo com                  XI - o abono do Programa de Integração
programa de alimentação aprovado pelo Ministério do               Social/Programa de Assistência ao Servidor Público;
Trabalho e Emprego, nos termos da Lei nº 6.321, de 14             XII - os valores correspondentes a transporte,
de abril de 1976;                                                 alimentação e habitação fornecidos pela empresa ao
IV - as importâncias recebidas a título de férias                 empregado contratado para trabalhar em localidade
indenizadas e respectivo adicional constitucional,                distante da de sua residência, em canteiro de obras ou
inclusive o valor correspondente à dobra da                       local que, por força da atividade, exija deslocamento e
remuneração de férias de que trata o art. 137 da                  estada, observadas as normas de proteção
Consolidação das Leis do Trabalho;                                estabelecidas pelo Ministério do Trabalho e Emprego;
V - as importâncias recebidas a título de:                        XIII - a importância paga ao empregado a título de
                                                                  complementação ao valor do auxílio-doença desde que
a) indenização compensatória de quarenta por cento do             este direito seja extensivo à totalidade dos empregados
montante depositado no Fundo de Garantia do Tempo                 da empresa;
de Serviço, como proteção à relação de emprego contra
despedida arbitrária ou sem justa causa, conforme                 XIV - as parcelas destinadas à assistência ao
disposto no inciso I do art. 10 do Ato das Disposições            trabalhador da agroindústria canavieira de que trata o
Constitucionais Transitórias;                                     art. 36 da Lei nº 4.870, de 1º de dezembro de 1965;
 b) indenização por tempo de serviço, anterior a 5 de             XV - o valor das contribuições efetivamente pago pela
outubro de 1988, do empregado não optante pelo Fundo              pessoa jurídica relativo a programa de previdência
de Garantia do Tempo de Serviço;                                  complementar privada, aberta ou fechada, desde que
                                                                  disponível à totalidade de seus empregados e
c) indenização por despedida sem justa causa do                   dirigentes, observados, no que couber, os arts. 9º e 468
empregado nos contratos por prazo determinado,                    da Consolidação das Leis do Trabalho;
conforme estabelecido no art. 479 da Consolidação das
Leis do Trabalho;                                                 XVI - o valor relativo à assistência prestada por serviço
                                                                  médico ou odontológico, próprio da empresa ou com ela
d) indenização do tempo de serviço do safrista, quando            conveniado, inclusive o reembolso de despesas com
da expiração normal do contrato, conforme disposto no             medicamentos, óculos, aparelhos ortopédicos, despesas
art. 14 da Lei n° 5.889, de 8 de junho de 1973;                   médico-hospitalares e outras similares, desde que a
e) incentivo à demissão;                                          cobertura abranja a totalidade dos empregados e
f) (Revogado pelo Decreto nº 6.727, de 2009);                     dirigentes da empresa;
g) indenização por dispensa sem justa causa no período            XVII - o valor correspondente a vestuários,
de trinta dias que antecede a correção salarial a que se          equipamentos e outros acessórios fornecidos ao
refere o art. 9º da Lei nº 7.238, de 29 de outubro de             empregado e utilizados no local do trabalho para
1984;                                                             prestação dos respectivos serviços;

h) indenizações previstas nos arts. 496 e 497 da                  XVIII - o ressarcimento de despesas pelo uso de veículo
Consolidação das Leis do Trabalho;                                do empregado, quando devidamente comprovadas;

i) abono de férias na forma dos arts. 143 e 144 da                XIX - o valor relativo a plano educacional que vise à
Consolidação das Leis do Trabalho;                                educação básica, nos termos do art. 21 da Lei nº 9.394,
                                                                  de 1996, e a cursos de capacitação e qualificação
j) ganhos eventuais e abonos expressamente                        profissionais vinculados às atividades desenvolvidas
desvinculados do salário por força de lei;                        pela empresa, desde que não seja utilizado em
l) licença-prêmio indenizada; e                                   substituição de parcela salarial e que todos os
m) outras indenizações, desde que expressamente                   empregados e dirigentes tenham acesso ao mesmo;
previstas em lei;                                                 XX - revogado;
VI - a parcela recebida a título de vale-transporte, na           XXI - os valores recebidos em decorrência da cessão de
forma da legislação própria;                                      direitos autorais;
VII - a ajuda de custo, em parcela única, recebida                XXII - o valor da multa paga ao empregado em
exclusivamente em decorrência de mudança de local de              decorrência da mora no pagamento das parcelas
trabalho do empregado, na forma do art. 470 da                    constantes do instrumento de rescisão do contrato de
Consolidação das Leis do Trabalho;


Prof. Bernardo Machado                                                                    DIREITO PREVIDENCIÁRIO
                                                             20
trabalho, conforme previsto no § 8º do art. 477 da                 seja, a cooperativa de trabalho, caso remunerasse
Consolidação das Leis do Trabalho;                                 outros segurados, além dos seus cooperados, possuiria
XXIII - o reembolso creche pago em conformidade com                2 (dois) prazos de recolhimento. Situação, portanto,
a legislação trabalhista, observado o limite máximo de             esdrúxula que existia na legislação previdenciária. Com
seis anos de idade da criança, quando devidamente                  a edição da MP nº 447/08, convertida na Lei nº
comprovadas as despesas;                                           11.933/09, essa situação não mais acontece. A
                                                                   cooperativa possui apenas um único prazo de
XXIV - o reembolso babá, limitado ao menor salário-de-             recolhimento, que seria o dia 20 (vinte), tanto em
contribuição mensal e condicionado à comprovação do                relação ao desconto dos seus cooperados, quanto a
registro na Carteira de Trabalho e Previdência Social da           contribuição sobre a remuneração de outros segurados,
empregada, do pagamento da remuneração e do                        que não sejam os seus cooperados. Não tendo
recolhimento da contribuição previdenciária, pago em               expediente bancário, a contribuição deve ser recolhida
conformidade com a legislação trabalhista, observado o             no dia útil imediatamente anterior.
limite máximo de seis anos de idade da criança; e
                                                                       O desconto da contribuição do segurado incidente
XXV - o valor das contribuições efetivamente pago pela             sobre o valor bruto da gratificação natalina – décimo
pessoa jurídica relativo a prêmio de seguro de vida em             terceiro salário – é devido quando do pagamento ou
grupo, desde que previsto em acordo ou convenção                   crédito da última parcela e deverá ser calculado em
coletiva de trabalho e disponível à totalidade de seus             separado, e recolhida, juntamente com a contribuição a
empregados e dirigentes, observados, no que couber,                cargo da empresa, até o dia 20 (vinte) do mês de
os arts. 9º e 468 da Consolidação das Leis do Trabalho.            dezembro, antecipando-se o vencimento para o dia útil
                                                                   imediatamente anterior se não houver expediente
                                                                   bancário no dia 20 (vinte).
ARRECADAÇÃO DAS CONTRIBUIÇÕES
                                                                        O segurado contribuinte individual, quando exercer
DESTINADAS À SEGURIDADE SOCIAL                                     atividade econômica por conta própria ou prestar
     A empresa é obrigada a arrecadar a contribuição do            serviço a pessoa física ou a outro contribuinte individual,
segurado empregado, do trabalhador avulso e do                     produtor rural pessoa física, missão diplomática ou
contribuinte individual a seu serviço, descontando-a da            repartição consular de carreira estrangeiras, ou quando
respectiva remuneração e as contribuições a seu cargo              tratar-se de brasileiro civil que trabalha no exterior para
incidentes sobre as remunerações pagas, devidas ou                 organismo oficial internacional do qual o Brasil seja
creditadas, a qualquer título, inclusive adiantamentos             membro efetivo, e o facultativo estão obrigados a
decorrentes de reajuste salarial, acordo ou convenção              recolher sua contribuição, por iniciativa própria, até o dia
coletiva, aos segurados empregado, contribuinte                    15 (quinze) do mês seguinte àquele a que as
individual e trabalhador avulso a seu serviço, e sobre o           contribuições se referirem, prorrogando-se o vencimento
valor bruto da nota fiscal ou fatura de serviço, relativo a        para o dia útil subseqüente quando não houver
serviços que lhe tenha sido prestados por cooperados,              expediente bancário no dia 15 (quinze).
por intermédio de cooperativas de trabalho, no dia 20                  O empregador doméstico é obrigado a arrecadar a
(vinte) do mês seguinte àquele a que se referirem as               contribuição do segurado empregado doméstico a seu
remunerações, bem como as importâncias retidas das                 serviço e recolhê-la, assim como a parcela a seu cargo,
pessoas jurídicas que prestem serviços mediante                    no até o dia 15 (quinze) do mês seguinte àquele a que
cessão de mão-de-obra, no dia 20 (vinte) do mês                    as contribuições se referirem, cabendo-lhe durante o
seguinte àquele da emissão da nota fiscal ou fatura,               período da licença-maternidade da empregada
antecipando-se o vencimento para o dia útil anterior               doméstica apenas o recolhimento da contribuição a seu
quando não houver expediente bancário no dia 20                    cargo. Entretanto, a Lei nº. 11.324/06 possibilita que a
(vinte).                                                           competência novembro seja recolhida juntamente com a
    Com relação à cooperativa de trabalho, algumas                 gratificação natalina – décimo terceiro salário –, ou seja,
observações são importantes. Antes do advento da MP                até o dia 20 (vinte) do mês de dezembro, utilizando-se
nº 447/08, convertida na Lei nº 11.933/09, a cooperativa           de um único documento de arrecadação.
de trabalho era obrigada a descontar 11% (onze por                     É facultado aos segurados contribuinte individual e
cento) do valor da quota distribuída ao cooperado por              facultativo, cujos salários-de-contribuição sejam iguais
serviços por ele prestados, por seu intermédio, a                  ao valor de um salário mínimo, optarem pelo
empresas e 20% (vinte por cento) em relação aos                    recolhimento       trimestral     das       contribuições
serviços prestados a pessoas físicas, além de Entidades            previdenciárias, com vencimento no dia 15 (quinze) do
Beneficentes de Assistência Social, e recolher o produto           mês seguinte ao de cada trimestre civil, prorrogando-se
dessa arrecadação no dia 15 (quinze) do mês seguinte               o vencimento para o dia útil subseqüente quando não
ao da competência a que se referir, prorrogando-se o               houver expediente bancário no dia 15 (quinze), assim
vencimento para o dia útil subseqüente quando não                  como ao empregador doméstico relativamente aos
houvesse expediente bancário no dia 15 (quinze). Caso              empregados a seu serviço, cujos salários-de-
a cooperativa de trabalho remunerasse segurados, que               contribuição sejam iguais ao valor de um salário
não fosse os seus cooperados, a mesma deveria                      mínimo, ou inferiores nos casos de admissão, dispensa
efetuar o desconto desses segurados e a contribuição               ou fração do salário em razão de gozo de benefício.
sobre essa remuneração paga, devida ou creditada até
o dia 10 (vinte) do mês seguinte ao da competência. Ou


Prof. Bernardo Machado                                                                      DIREITO PREVIDENCIÁRIO
                                                              21
Em     relação    à    contribuição    sobre     a           e fundos, não pagos nos prazos previstos em
comercialização da produção rural, a empresa                      legislação, serão acrescidos de multa de mora e juros
                                                                                                         o
adquirente, consumidora ou consignatária ou a                     de mora, nos termos do art. 61 da Lei n 9.430, de 1996.
cooperativa são obrigadas a recolher a contribuição do               Ou seja, sobre os valores não pagos no seu
produtor rural pessoa física e do segurado especial até           vencimento, incidirão juros de mora calculados à taxa
o dia 20 (vinte) do mês subseqüente ao da operação de             SELIC, a partir do primeiro dia do mês subseqüente ao
venda     ou     consignação    da    produção    rural,          vencimento do prazo até o mês anterior ao do
independentemente de estas operações terem sido                   pagamento e de 1% (um por cento) no mês de
realizadas diretamente com o produtor ou com o                    pagamento.
intermediário pessoa física. Não tendo expediente
bancário, o vencimento é antecipado para o dia útil                   Em relação a multa de mora, dois momentos devem
imediatamente anterior.                                           ser observados:
    Aplica-se o disposto no item anterior à pessoa física             • 1º momento – sem lançamento de ofício: multa de
não produtor rural que adquire produção para a venda                  mora calculada à taxa de 0,33% (trinta e três
no varejo a consumidor pessoa física.                                 centésimos por cento), por dia de atraso, limitado a
                                                                      20% (vinte por cento).
     Entretanto, o produtor rural pessoa física e o
segurado especial são obrigados a recolher a sua                      • 2º momento – lançamento de ofício: de 75%
contribuição até o dia 20 (vinte) do mês subseqüente ao               (setenta e cinco por cento) sobre a totalidade ou
da operação de venda, caso comercializem a sua                        diferença de imposto ou contribuição nos casos de
produção diretamente, no varejo, a consumidor pessoa                  falta de pagamento ou recolhimento, de falta de
física; a outro produtor rural pessoa física; ou a outro              declaração e nos de declaração inexata.
segurado especial, antecipando-se o recolhimento para                 A multa de 75% (setenta e cinco por cento) será
o dia útil imediatamente anterior, caso não haja                  duplicada quando ocorrer sonegação, fraude ou conluio,
expediente bancário no dia do vencimento.                         chegando, portanto, a 150% (cento e cinquenta por
     Apesar de a Lei nº 8.212/91 determinar que o                 cento).
produtor rural pessoa física e o segurado especial são                 Essa multa ainda será aumentada em 50%
obrigados a recolher a sua contribuição até o dia 20              (cinquenta por cento) em certos casos previstos na
(vinte) do mês seguinte ao da operação de venda, caso             legislação (Ex: não atendimento pelo sujeito passivo, no
comercializem a sua produção no exterior, essa                    prazo    marcado,     de   intimação     para    prestar
contribuição não é devida. Com o advento da EC nº                 esclarecimento, entre outras). Nesse caso, a multa
33/01, não mais existe contribuição social decorrente de          poderá ser de 112,5% (cento e doze inteiros e cinco
exportação, conforme o disposto no art. 149, § 2º, I da           décimos por cento) ou 225% (duzentos e vinte e cinco
CF/88.                                                            por cento).
    Já o produtor rural pessoa jurídica é obrigado a                  Vamos imaginar alguns casos práticos:
recolher a sua contribuição até o dia 20 (dez) do mês
                                                                       1º Caso: Foi iniciada uma ação fiscal onde foi
subseqüente ao da operação de venda. Não tendo
                                                                  constatada a falta de recolhimento de contribuições
expediente bancário, o vencimento é antecipado para o
                                                                  previdenciárias devidas. Na ação fiscal, não foi
dia útil imediatamente anterior.
                                                                  verificado sonegação, fraude ou conluio. Entretanto, o
    Em relação a associações desportivas que                      sujeito passivo não prestou os esclarecimentos no prazo
mantém equipe de futebol profissional, cabe à                     previsto na intimação. Nesse caso a multa será de
entidade promotora do espetáculo a responsabilidade               112,5% (75%, aumentada pela metade).
de efetuar o desconto de 5% (cinco por cento) da
                                                                      2º Caso: Foi iniciada uma ação fiscal onde foi
receita bruta decorrente dos espetáculos desportivos e
                                                                  constatada a falta de recolhimento de contribuições
o respectivo recolhimento, no prazo de até 2 (dois) dias
                                                                  previdenciárias devidas. Na ação fiscal, foi verificada
úteis após a realização do evento.
                                                                  fraude, além do sujeito passivo não prestar
    Cabe à empresa ou entidade que repassar recursos              esclarecimentos no prazo determinado na intimação.
a associação desportiva que mantém equipe de futebol              Nesse caso a multa será de 225% (75%, duplicada, e o
profissional, a título de patrocínio, licenciamento de uso        resultado aumentado pela metade).
de marcas e símbolos, publicidade, propaganda e
                                                                       Por fim, existe uma redução para a multa de
transmissão de espetáculos, a responsabilidade de reter
                                                                  lançamento de ofício no caso de pagamento ou
e recolher, até o dia 20 (vinte) do mês seguinte ao da
                                                                  parcelamento no prazo de defesa ou no prazo para
competência a que se referir, o percentual de 5% (cinco
                                                                  interpor recurso.
por cento) da receita bruta, inadmitida qualquer
dedução. Não tendo expediente bancário, o vencimento                  Será concedida redução de 50% da multa de
é antecipado para o dia útil imediatamente anterior.              lançamento de ofício, ao contribuinte que, notificado,
                                                                  efetuar o pagamento do débito no prazo legal de
                                                                  impugnação. Se houver impugnação tempestiva, a
    Recolhimento fora do Prazo                                    redução será de 30% se o pagamento do débito for
    Os débitos com a União decorrentes das                        efetuado dentro de trinta dias da ciência da decisão de
contribuições previdenciárias e das contribuições                 primeira instância.
devidas a terceiros, assim entendidas outras entidades


Prof. Bernardo Machado                                                                    DIREITO PREVIDENCIÁRIO
                                                             22
Será concedida redução de 40% da multa de                          • Destacar o nome das seguradas em gozo de
lançamento de ofício ao contribuinte que, notificado,                  salário-maternidade;
requerer o parcelamento do débito no prazo legal de
                                                                       • Destacar as parcelas integrantes e não
impugnação. Havendo impugnação tempestiva, a
                                                                       integrantes da remuneração e os descontos legais;
redução será de 20%, se o parcelamento for requerido
                                                                       e
dentro de trinta dias da ciência da decisão da primeira
instância. É importante ressaltar, que a rescisão do                   • Indicar o número de quotas de salário-família
parcelamento, motivada pelo descumprimento das                         atribuídas a cada segurado empregado ou
normas que o regulam, implicará restabelecimento do                    trabalhador avulso.
montante da multa proporcionalmente ao valor da
receita não satisfeito.
                                                                       GFIP
                                                                       A GFIP (Guia de Recolhimento do Fundo de
        OBRIGAÇÕES ACESSÓRIAS                                      Garantia por Tempo de Serviço e Informações à
    As obrigações acessórias são as prestações                     Previdência Social) possui duas finalidades: guia de
positivas (fazer) ou negativas (deixar de fazer), previstas        recolhimento do fundo de garantia e documento de
na legislação previdenciária, no interesse da                      declaração de dados à Previdência Social.
arrecadação ou da fiscalização.                                        A GFIP constitui confissão de dívida e instrumento
   O descumprimento de obrigação acessória,                        hábil e suficiente para a exigência do crédito tributário, e
                                                                   suas informações comporão a base de dados para fins
converte-se em obrigação principal, relativamente a
penalidade pecuniária.                                             de cálculo e concessão dos benefícios previdenciários.
                                                                         Além disso, a GFIP serve como instrumento para
    As empresas, conforme determina a legislação, são
                                                                   tipificar crime, ou seja, valores declarados descontados
obrigadas a:
                                                                   dos segurados que prestam serviços à empresa e não
    • Preparar folha de pagamento da remuneração                   repassados a Previdência Social, constitui, em tese,
    paga, devida ou creditada a todos os segurados a               crime de apropriação indébita previdenciária, previsto no
    seu    serviço,  devendo    manter,   em    cada               Código Penal – Art. 168-A, entre outras situações.
    estabelecimento, uma via da respectiva folha e
                                                                        A GFIP é exigida a partir da competência janeiro de
    recibos de pagamentos;
                                                                   1999 e deve ser entregue na rede bancária até o dia 7
    • Lançar mensalmente em títulos próprios de sua                (sete) do mês seguinte àquele a que se referirem as
    contabilidade, de forma discriminada, os fatos                 informações. Caso não haja expediente bancário no dia
    geradores de todas as contribuições, o montante                7 (sete), a entrega deverá ser antecipada para o dia de
    das quantias descontadas, as contribuições da                  expediente bancário imediatamente anterior.
    empresa e os totais recolhidos;
    • Prestar a Secretaria da Receita Federal do Brasil                Contabilidade
    todas as informações cadastrais, financeiras e
    contábeis de interesse dos mesmos, na forma por                    Os      lançamentos      contábeis,    devidamente
    eles estabelecida, bem como os esclarecimentos                 escriturados nos livros Diário e Razão, serão exigidos
    necessários à fiscalização;                                    pela fiscalização após 90 (noventa) dias contados da
                                                                   ocorrência dos fatos geradores das contribuições,
    • Informar mensalmente ao Instituto Nacional do                devendo, obrigatoriamente:
    Seguro Social, por intermédio da Guia de
    Recolhimento do Fundo de Garantia do Tempo de                      • Atender ao princípio contábil do regime de
    Serviço e Informações à Previdência Social, na                     competência; e
    forma por ele estabelecida, dados cadastrais, todos                • Registrar, em contas individualizadas, todos os
    os fatos geradores de contribuição previdenciária e                fatos geradores de contribuições previdenciárias de
    outras informações de interesse daquele Instituto;                 forma a identificar, clara e precisamente, as rubricas
                                                                       integrantes e não integrantes do salário-de-
                                                                       contribuição,    bem      como      as  contribuições
           FOLHA DE PAGAMENTO                                          descontadas do segurado, as da empresa e os
    A folha de pagamento deverá ser elaborada                          totais recolhidos, por estabelecimento da empresa,
mensalmente, de forma coletiva por estabelecimento da                  por obra de construção civil e por tomador de
empresa, por obra de construção civil e por tomador de                 serviços.
serviços, com a correspondente totalização, e deverá                   São desobrigadas de apresentação de escrituração
ainda:                                                             contábil:
    • Discriminar o nome dos segurados, indicando                      • O pequeno comerciante, nas           condições
    cargo, função ou serviço prestado;                                 estabelecidas pelo Decreto-lei nº 486, de 3 de
    • Agrupar os segurados por categoria, assim                        março de 1969, e seu Regulamento;
    entendido: segurado empregado, trabalhador                         • A pessoa jurídica tributada com base no lucro
    avulso, contribuinte individual;                                   presumido, de acordo com a legislação tributária
                                                                       federal, ou que optar pela inscrição no SIMPLES


Prof. Bernardo Machado                                                                      DIREITO PREVIDENCIÁRIO
                                                              23
(Sistema Integrado de Pagamento de Impostos e                concedidos, de acordo com critérios estabelecidos, até
    Contribuições das Microempresas e Empresas de                o dia 10 (dez) do mês seguinte àquele a que se
    Pequeno Porte) desde que mantenha a escrituração             referirem os documentos. Essa obrigação deverá ser
    do Livro Caixa e Livro de Registro de Inventário.            atendida mesmo nos meses em que não houver
                                                                 concessão de alvarás e documentos de “habite-se”.
    Exame da Contabilidade                                           O titular de cartório de registro civil e de pessoas
                                                                 naturais fica obrigado a comunicar, até o dia 10 (dez) de
    É prerrogativa da Secretaria da Receita Federal do           cada mês, na forma estabelecida pelo Instituto Nacional
Brasil o exame da contabilidade da empresa, ficando              do Seguro Social, o registro dos óbitos ocorridos no mês
obrigados a empresa e o segurado a prestarem todos               imediatamente anterior, devendo da comunicação
os esclarecimentos e informações solicitados.                    constar o nome, a filiação, a data e o local de
    A empresa, o servidor de órgão público da                    nascimento da pessoa falecida. No caso de não haver
administração direta e indireta, o segurado da                   sido registrado nenhum óbito, deverá o titular do cartório
previdência social, o serventuário da Justiça, o síndico         comunicar esse fato ao Instituto Nacional do Seguro
ou seu representante legal, o comissário e o liquidante          Social, no prazo estipulado acima.
de empresa em liquidação judicial ou extrajudicial são
obrigados a exibir todos os documentos e livros
relacionados com as contribuições previstas na Lei nº                RESPONSABILIDADE SOLIDÁRIA
8.212/91.                                                           Conforme determina o Código Tributário Nacional
     Ocorrendo recusa ou sonegação de qualquer                   (CTN) no seu art. 124:
documento ou informação, ou sua apresentação                     “Art. 124. São solidariamente obrigadas:
deficiente, a Secretaria da Receita Federal do Brasil
pode, sem prejuízo da penalidade cabível nas esferas              I - as pessoas que tenham interesse comum na
de sua competência, lançar de ofício importância que             situação que constitua o fato gerador da obrigação
reputarem devida, cabendo à empresa, ao empregador               principal;
doméstico ou ao segurado o ônus da prova em                      II - as pessoas expressamente designadas por lei.
contrário. Considera-se deficiente o documento ou                 Parágrafo único. A solidariedade referida neste artigo
informação apresentada que não preencha as                       não comporta benefício de ordem.”
formalidades legais, bem como aquele que contenha
informação diversa da realidade, ou, ainda, que omita                A responsabilidade solidária visa garantir a
informação verdadeira.                                           arrecadação, transferindo o ônus do pagamento a
                                                                 terceiro vinculado ao sujeito passivo direto. Seu efeito
    Na falta de prova regular e formalizada, o montante          prático é a possibilidade de cobrar o crédito
dos salários pagos pela execução de obra de                      previdenciário de qualquer das partes envolvidas na
construção civil pode ser obtido mediante cálculo da             relação jurídica, não se admitindo o benefício de ordem.
mão-de-obra     empregada,     proporcional    à   área
construída e ao padrão de execução da obra, de acordo                 A legislação previdenciária enumera algumas
com critérios estabelecidos pela Secretaria da Receita           situações em que as pessoas envolvidas nas relações
Federal do Brasil, cabendo ao proprietário, dono da              jurídicas são responsáveis solidárias, dentre elas:
obra, incorporador, condômino da unidade imobiliária ou              • As empresas que integram grupo econômico de
empresa co-responsável o ônus da prova em contrário.                 qualquer natureza, entre si;
    Se, no exame da escrituração contábil e de                       • Os produtores rurais, entre si, integrantes de
qualquer outro documento da empresa, a fiscalização                  consórcio simplificado de produtores rurais;
constatar que a contabilidade não registra o movimento
                                                                     • O operador portuário e o órgão gestor de mão-
real da remuneração dos segurados a seu serviço, da
                                                                     de-obra, entre si, relativamente à requisição de
receita ou do faturamento e do lucro, esta será
desconsiderada, sendo apuradas e lançadas de ofício                  mão-de-obra de trabalhador avulso;
as contribuições devidas, cabendo à empresa o ônus da                • Os administradores de autarquias e fundações
prova em contrário.                                                  públicas, criadas ou mantidas pelo Poder
    Deverá ser dado tratamento especial ao exame da                  Público, de empresas públicas e de sociedades
documentação que envolva operações ou assuntos de                    de economia mista sujeitas ao controle da
caráter sigiloso, ficando o fiscal responsável obrigado à            União, dos Estados, do Distrito Federal ou dos
guarda da informação e à sua utilização exclusivamente               Municípios, que se encontrarem em mora por mais
nos documentos elaborados em decorrência do                          de trinta dias, no recolhimento das contribuições
exercício de suas atividades.                                        para a Seguridade Social, tornam-se solidariamente
                                                                     responsáveis pelo respectivo pagamento, ficando
                                                                     ainda sujeitos às proibições do art. 1º e às sanções
    Outras Obrigações Acessórias                                     dos arts. 4º e 7º do Decreto-lei nº. 368, de 19 de
    O Município ou o Distrito Federal, por intermédio do             dezembro de 1968;
órgão competente, fornecerá mensalmente à Secretaria                 • A prática de ato sem observar a exigência de
da Receita Federal do Brasil relação de alvarás para                 CND     ou    o   seu     registro acarretará  a
construção civil e documentos de “habite-se”                         responsabilidade solidária dos contratantes e do


Prof. Bernardo Machado                                                                    DIREITO PREVIDENCIÁRIO
                                                            24
oficial que lavrar ou registrar o instrumento, sendo                        RETENÇÃO DE 11%
    nulo o ato para todos os efeitos.
                                                                      A empresa contratante de serviços executados
    • O proprietário, o incorporador definido na Lei             mediante cessão ou empreitada de mão-de-obra,
    nº. 4.591, de 1964, o dono da obra ou condômino              inclusive em regime de trabalho temporário, deverá reter
    da unidade imobiliária cuja contratação da                   onze por cento do valor bruto da nota fiscal, fatura ou
    construção, reforma ou acréscimo não envolva                 recibo de prestação de serviços e recolher a importância
    cessão de mão-de-obra, são solidários com o                  retida em nome da empresa contratada.
    construtor, e este e aqueles com a subempreiteira,
    pelo cumprimento das obrigações para com a                       Cessão de mão-de-obra é a colocação à disposição
    seguridade social, ressalvado o seu direito                  do contratante, em suas dependências ou nas de
    regressivo contra o executor ou contratante da obra          terceiros, de segurados que realizem serviços
    e admitida a retenção de importância a este devida           contínuos, relacionados ou não com a atividade fim da
    para garantia do cumprimento dessas obrigações,              empresa, independentemente da natureza e da forma
    não se aplicando, em qualquer hipótese, o benefício          de contratação, inclusive por meio de trabalho
    de ordem. (Empreitada total)                                 temporário na forma da Lei nº 6.019, de 3 de janeiro de
                                                                 1974, entre outros.
    Não se considera cessão de mão-de-obra, a
contratação de construção civil em que a empresa                      Empreitada é a execução, contratualmente
construtora assuma a responsabilidade direta e total             estabelecida, de tarefa ou de obra ou de serviço, por
pela obra ou repasse o contrato integralmente, ou seja,          preço ajustado, com ou sem fornecimento de material
uma empreitada total.                                            ou de equipamentos, que podem ou não ser utilizados,
                                                                 realizada nas dependências da empresa contratante,
   Considera-se construtor, a pessoa física ou jurídica          nas de terceiros ou nas empresas contratadas, tendo
que executa obra sob sua responsabilidade, no todo ou            como objeto um fim específico ou um resultado
em parte.                                                        pretendido.
     O executor da obra deverá elaborar, distintamente               Atividades sujeitas a retenção dos 11% quando
para cada estabelecimento ou obra de construção civil            contratadas mediante empreitada ou cessão de mão-de-
da empresa contratante, folha de pagamento, Guia de              obra:
Recolhimento do Fundo de Garantia do Tempo de
Serviço e Informações à Previdência Social e Guia da                 • Limpeza, conservação e zeladoria;
Previdência Social, cujas cópias deverão ser exigidas                • Vigilância e segurança;
pela empresa contratante quando da quitação da nota
                                                                     • Construção civil;
fiscal ou fatura, juntamente com o comprovante de
entrega daquela Guia.                                                • Serviços rurais;
      A responsabilidade solidária, no caso de construção            • Digitação e         preparação   de    dados     para
civil por empreitada total, será elidida:                            processamento.
    • Pela comprovação, na forma do parágrafo                        As demais atividades elencadas no art. 219, §2º do
    anterior, do recolhimento das contribuições                  RPS estão sujeitas a retenção dos 11% quando
    incidentes sobre a remuneração dos segurados,                contratadas, apenas, mediante cessão de mão-de-obra.
    incluída em nota fiscal ou fatura correspondente aos             O valor retido deverá ser destacado na nota fiscal,
    serviços executados, quando corroborada por                  fatura ou recibo de prestação de serviços, podendo ser
    escrituração contábil; e                                     compensado por qualquer estabelecimento da empresa
    • Pela    comprovação     do   recolhimento  das             cedente da mão de obra, por ocasião do recolhimento
    contribuições incidentes sobre a remuneração dos             das contribuições destinadas à Seguridade Social
    segurados, aferidas indiretamente nos termos,                devidas sobre a folha de pagamento dos seus
    forma e percentuais previstos pela Previdência               segurados.
    Social;                                                          O contratado deverá elaborar folha de pagamento e
    • Pela comprovação do recolhimento da retenção               Guia de Recolhimento do Fundo de Garantia do Tempo
    dos 11% sobre o valor da nota fiscal, fatura ou              de Serviço e Informações à Previdência Social distintas
    recibo de serviços.                                          para cada estabelecimento ou obra de construção civil
                                                                 da empresa contratante do serviço.
     Exclui-se da responsabilidade solidária perante a
seguridade social o adquirente de prédio ou unidade                   Para fins de recolhimento e de compensação da
imobiliária que realize a operação com empresa de                importância retida, será considerada como competência
comercialização ou com incorporador de imóveis                   aquela a que corresponder à data da emissão da nota
definido na Lei nº. 4.591, de 1964, ficando estes                fiscal, fatura ou recibo. Exemplo: Nota fiscal emitida em
solidariamente responsáveis com o construtor.                    28/09/2005 – Competência para fins de recolhimento e
                                                                 de compensação de importância retida será 09/2005.
                                                                      Na impossibilidade de haver compensação integral
                                                                 na própria competência, o saldo remanescente poderá
                                                                 ser compensado nas competências subseqüentes,
                                                                 inclusive na relativa à gratificação natalina, ou ser objeto
                                                                 de restituição.

Prof. Bernardo Machado                                                                      DIREITO PREVIDENCIÁRIO
                                                            25
As importâncias retidas não podem               ser            primeiro documento é lavrado pelo órgão, com base nas
compensadas com contribuições arrecadadas pela                     informações prestadas pelo sujeito passivo (GFIP),
Previdência Social para outras entidades ou fundos.                enquanto que o segundo documento é lavrado por
    A falta de recolhimento das importâncias retidas, no           servidor competente.
prazo legal, configura, em tese, crime contra a                         Portanto, caso a empresa informe valores devidos,
Seguridade Social nos termos do art. 168-A do Código               entretanto não os recolha, será lavrada notificação de
Penal (Apropriação Indébita Previdenciária).                       lançamento e não auto de infração. Caso o auditor-
     Na contratação de serviços em que a contratada se             fiscal, durante um procedimento de fiscalização, venha
obriga a fornecer material ou dispor de equipamentos,              a verificar o descumprimento de obrigação principal,
fica facultada ao contratado a discriminação, na nota              lavrará auto de infração.
fiscal, fatura ou recibo, do valor correspondente ao                    O auto de infração, em matéria previdenciária, é
material ou equipamentos, que será excluído da                     dividido em dois tipos: auto de infração por
retenção, desde que contratualmente previsto e                     descumprimento de obrigação principal (AIOP) e auto
devidamente comprovado.                                            de infração por descumprimento de obrigação acessória
    Cabe a Secretaria da Receita Federal do Brasil                 (AIOA).
normatizar a forma de apuração e o limite mínimo do                     Com a edição da MP nº 449/08, a Lei nº 8.212/91 foi
valor do serviço contido no total da nota fiscal, fatura ou        alterada para se adaptar ao Dec. 70.235/72. Com a
recibo, quando, na hipótese do parágrafo anterior, não             nova redação, o crédito da seguridade social é
houver previsão contratual dos valores correspondentes             constituído por meio de notificação de lançamento, de
a material ou a equipamentos.                                      auto de infração e de confissão de valores devidos e
     O percentual de retenção de 11% será acrescido de             não recolhidos pelo contribuinte (GFIP), como já
4 (quatro), 3 (três) ou 2 (dois) pontos percentuais,               mencionado no princípio do capítulo.
relativamente aos serviços prestados pelos segurados                    Cabe ressaltar as formalidades exigidas para a
empregados, cuja atividade permita a concessão de                  notificação de lançamento e auto de infração, conforme
aposentadoria especial, após 15 (quinze), 20 (vinte) ou            o Decreto nº 70.235/72.
25     (vinte  e    cinco)   anos   de     contribuição,               Conforme o disposto no art. 10 do Dec. 70.235/72, o
respectivamente, conforme previsto no art. 6º da Lei nº.           auto de infração conterá:
10.666/03.
                                                                       • A qualificação do autuado;
                                                                       • O local, a data e a hora da lavratura;
    Constituição do Crédito Previdenciário
                                                                       • A descrição do fato;
    O crédito da seguridade social é constituído por
meio de notificação de lançamento, de auto de infração                 • A disposição legal infringida e a penalidade
e de confissão de valores devidos e não recolhidos pelo                aplicável;
contribuinte (GFIP), conforme o disposto no art. 37 da                 • A determinação da exigência e a intimação para
Lei nº 8.212/91.                                                       cumpri-la ou impugná-la no prazo de trinta dias;
   Cabe ressaltar alguns detalhes sobre esse assunto,                  • A assinatura do chefe do órgão expedidor ou de
mencionando a evolução do tema ao longo dos últimos                    outro servidor autorizado e a indicação de seu cargo
anos.                                                                  ou função e o número de matrícula.
    Antes da unificação entre a Secretaria da Receita
Previdenciária e Secretaria da Receita Federal,
constatada a falta total ou parcial de contribuições                    Conforme o disposto no art. 11 do Dec. 70.235/72, a
previdenciárias     (descumprimento        de   obrigação          notificação de lançamento conterá:
principal), o auditor-fiscal lavrava notificação fiscal de             • A qualificação do notificado;
lançamento de débito (NFLD). Caso a empresa
                                                                       • O valor do crédito tributário e o prazo para
descumprisse uma obrigação acessória, o auditor-fiscal
                                                                       recolhimento ou impugnação;
lavrava auto de infração (AI).
   Com o advento da Lei nº 11.457/07, que unificou a                   • A disposição legal infringida, se for o caso;
Secretaria da Receita Previdenciária e a Secretaria da                 • A assinatura do chefe do órgão expedidor ou de
Receita Federal formando a Secretaria da Receita                       outro servidor autorizado e a indicação de seu cargo
Federal do Brasil, algumas alterações ocorreram em                     ou função e o número de matrícula.
matéria previdenciária.                                                Prescinde de assinatura a notificação             de
    A Lei nº 11.457/07 determina no seu art. 25, que os            lançamento emitida por processo eletrônico.
procedimentos fiscais em relação às contribuições
previdenciárias são regidos pelo Dec. nº 70.235/72 (a
partir de 01/04/08). Isso quer dizer que a constituição do            Auto de Infração por            Descumprimento     de
crédito previdenciário tem que seguir os procedimentos             Obrigação Principal (AIOP)
do PAF (processo administrativo fiscal).                               Uma vez constatada a falta de recolhimento de
    No Dec. nº 70.235/72, existe uma grande diferença              qualquer contribuição ou outra importância devida nos
entre notificação de lançamento e auto de infração. O              termos do RPS, a fiscalização lavrará auto de infração


Prof. Bernardo Machado                                                                      DIREITO PREVIDENCIÁRIO
                                                              26
por descumprimento de obrigação principal, de acordo            do crédito tributário, podendo a exatidão dos valores
com as normas estabelecidas pelos órgãos                        parcelados ser objeto de verificação.
competentes.                                                        Cumpridas as condições, o parcelamento será
     O mesmo se aplica em caso de falta de pagamento            consolidado na data do pedido e considerado
de benefício reembolsado ou em caso de pagamento                automaticamente deferido quando decorrido o prazo de
desse benefício sem observância das normas                      90 (noventa) dias contados da data do pedido de
pertinentes estabelecidas pela Previdência Social. Ou           parcelamento sem que a Fazenda Nacional tenha se
seja, caso seje pago benefício reembolsável (salário-           pronunciado.
família e salário-maternidade) em desacordo com a                   Enquanto não deferido o pedido, o devedor fica
legislação (Exemplo: salário-família pago a segurado            obrigado a recolher, a cada mês, como antecipação,
com filho com idade superior a 14 anos), ou caso a              valor correspondente a uma parcela.
empresa efetue o reembolso, mas não pague o
benefício efetivamente ao segurado, esses valores                   O valor de cada prestação mensal, por ocasião do
serão objeto de AIOP.                                           pagamento, será acrescido de juros equivalentes à taxa
                                                                referencial do Sistema Especial de Liquidação e de
    Recebido o AIOP, a empresa, o empregador                    Custódia - SELIC para títulos federais, acumulada
doméstico ou o segurado terão o prazo de 30 (trinta)            mensalmente, calculados a partir do mês subseqüente
dias para efetuar o pagamento ou apresentar defesa.             ao da consolidação até o mês anterior ao do
     Decorrido esse prazo, será automaticamente                 pagamento, e de 1% (um por cento) relativamente ao
declarada a revelia, considerado, de plano, procedente          mês em que o pagamento estiver sendo efetuado.
o lançamento, permanecendo o processo no órgão                      Admite-se reparcelamento de débitos constantes de
jurisdicionante, pelo prazo de 30 (trinta) dias, para           parcelamento em andamento ou que tenha sido
cobrança amigável. Após esse prazo o crédito será               rescindido, podendo, inclusive, ser incluídos novos
inscrito em dívida ativa.                                       débitos.
    Apresentada a defesa, o processo formado a partir               A formalização do pedido de reparcelamento fica
do AIOP será submetido à autoridade competente (DRJ             condicionada ao recolhimento da primeira parcela em
– Delegacia da Receita Federal de Julgamento), que              valor correspondente a 10% (dez por cento) do total dos
decidirá sobre a procedência ou não do lançamento,              débitos consolidados; ou 20% (vinte por cento) do total
cabendo recurso (prazo de 30 (trinta) dias a contar da          dos débitos consolidados, caso haja débito com
ciência da decisão da DRJ) ao Conselho Administrativo           histórico de reparcelamento anterior.
de Recursos Fiscais.
                                                                    Implicará imediata rescisão do parcelamento e
    Uma vez declarada a improcedência do lançamento             remessa do débito para inscrição em Dívida Ativa da
pela DRJ, a mesma deverá recorrer de ofício da sua              União ou prosseguimento da execução, conforme o
própria decisão, a depender do valor do débito                  caso, a falta de pagamento de três parcelas,
(atualmente, o valor está em R$ 1.000.000,00 (um                consecutivas ou não; ou de uma parcela, estando pagas
milhão de reais) – principal e multa, sem juros). Esse          todas as demais.
recurso de ofício está previsto no PAF (art. 34 do
Decreto nº 70.235/72).                                              As contribuições previdenciárias podem ser objeto
                                                                de parcelamento, inclusive os valores devidos a Outras
                                                                Entidades ou Fundos (SESC, SESI, SENAI, etc... e o
    Parcelamento                                                salário-educação).
    A MP nº 449/08, convertida na Lei nº 11.941/09,                 Entretanto, não poderão ser objeto de parcelamento
revogou o art. 38 da Lei nº 8.212/91, que ditava as             as    contribuições     descontadas     dos    segurados
regras em relação ao parcelamento das contribuições             empregado, inclusive o doméstico, trabalhador avulso e
previdenciárias. Portanto, atualmente, as regras a              contribuinte individual, as decorrentes da sub-rogação e
serem seguidas são as previstas na Lei nº 10.522/02.            as importâncias retidas (retenção dos 11%). É
     As contribuições e demais importâncias devidas à           importante ressaltar que independe se o valor foi
seguridade social e não recolhidas até seu vencimento,          descontado ou não.
incluídas ou não em NL/AIOP, após verificadas e                    Não é permitido o parcelamento de dívidas de
confessadas, poderão ser objeto de acordo, para                 empresa com falência decretada.
pagamento parcelado em moeda corrente, em até 60
(sessenta) meses sucessivos, sendo que o valor
mínimo da parcela é de R$ 100,00 (cem reais) para                   Observação:
pessoa física e R$ 500,00 (quinhentos reais) para                     Não existe mais o critério do número de até 4
pessoa jurídica.                                                (quatro) parcelas mensais para cada competência a
    O parcelamento terá sua formalização condicionada           serem incluídas no parcelamento.
ao prévio pagamento da primeira prestação, conforme o                 Foi suprimido o acréscimo de 20% (vinte por
montante do débito e o prazo solicitado.                        cento) sobre o valor da multa de mora, nas hipóteses de
    O pedido de parcelamento constitui confissão de             parcelamento e reparcelamento.
dívida e instrumento hábil e suficiente para a exigência             Caso o contribuinte já tenha algum parcelamento
                                                                de contribuições previdenciárias não poderá requerer


Prof. Bernardo Machado                                                                  DIREITO PREVIDENCIÁRIO
                                                           27
outro, enquanto não integralmente pago o anterior,                   - Percentual a ser aplicado: 2% x 9 (abril – fração e
salvo em caso de reparcelamento, pois o contribuinte              demais meses – maio/dezembro) = 18%
não pode ter mais de um parcelamento ativo para o                     - Total: 18% x R$ 100.000,00 = R$ 18.000,00
mesmo tributo.
                                                                      Caso o sujeito passivo apresente a GFIP no prazo
                                                                  fixado na intimação, o auto de infração será no valor de
   Auto de Infração por           Descumprimento       de         R$ 13.500,00 (75% do valor).
Obrigação Acessória (AIOA)                                            Além do AIOA relativo à GFIP, deve-se atentar para
    Constatada a ocorrência de infração a dispositivo do          o AIOA relativo à distribuição de lucros estando a
RPS, será lavrado auto de infração por descumprimento             empresa em débito com a Seguridade Social. A infração
de obrigação acessória, observadas as normas fixadas              sujeita o responsável à multa de 50% (cinqüenta por
pelos órgãos competentes.                                         cento) das quantias que tiverem sido pagas ou
    A fixação de seu valor depende da espécie, das                creditadas, limitado a 50% (cinqüenta por cento) do
circunstâncias agravantes e atenuantes.                           valor total do débito não garantido pela pessoa jurídica,
                                                                  conforme o disposto no art. 32 da Lei nº 4.357/64.
                                                                      .
    Espécies
                                                                      Circunstâncias Agravantes
   As espécies estão elencadas nos arts. 283 e 284 do
RPS. Trataremos agora as infrações relativas à GFIP.                  Constituem circunstâncias agravantes da infração,
                                                                  das quais dependerá a gradação da multa, ter o infrator:
    O contribuinte que deixar de apresentar a GFIP no
prazo fixado ou que a apresentar com incorreções ou                   • Tentado    subornar     servidor     dos     órgãos
omissões será intimado a apresentá-la ou a prestar                    competentes;
esclarecimentos e sujeitar-se-á às seguintes multas:                  • Agido com dolo, fraude ou má-fé;
    I - de 2% ao mês-calendário ou fração, incidente                  • Desacatado, no ato da ação fiscal, o agente da
sobre o montante das contribuições informadas, ainda                  fiscalização;
que integralmente pagas, no caso de falta de entrega da
declaração ou entrega após o prazo, limitada a 20%,                   • Obstado a ação da fiscalização; ou
observado o valor mínimo (R$ 200,00, tratando-se de                   • Incorrido em Reincidência.
omissão de declaração sem ocorrência de fatos                         Caracteriza reincidência a prática de nova infração a
geradores de contribuição previdenciária, e R$ 500,00,            dispositivo da legislação por uma mesma pessoa ou por
nos demais casos);                                                seu sucessor, dentro de 5 (cinco) anos da data em que
     II - de R$ 20,00 para cada         grupo    de   dez         se tornar irrecorrível administrativamente a decisão
informações incorretas ou omitidas.                               condenatória, da data do pagamento ou da data em que
     Para efeito de aplicação da multa prevista no item I,        se configurou a revelia, referentes à autuação anterior.
será considerado como termo inicial o dia seguinte ao
término do prazo fixado para entrega da declaração e                  Gradação da Multa
como termo final a data da efetiva entrega ou, no caso
de não-apresentação, a data da lavratura do auto de                   As multas serão aplicadas da seguinte forma:
infração ou da notificação de lançamento.                              Na ausência de agravantes, serão aplicadas nos
    As multas serão reduzidas:                                    valores mínimos;
     I - à metade, quando a declaração for apresentada                • As agravantes de tentativa de suborno e ter agir
após o prazo, mas antes de qualquer procedimento de                   com dolo, fraude ou má-fé, elevam a multa em três
ofício; ou                                                            vezes (3 x);
     II - a setenta e cinco por cento, se houver                      • As agravantes de desacato e obstar a ação da
apresentação da declaração no prazo fixado em                         fiscalização, elevam a multa em duas vezes (2 x);
intimação.                                                            • A agravante de reincidência eleva a multa em três
    A multa mínima a ser aplicada será de:                            vezes (3 x) a cada reincidência no mesmo tipo de
                                                                      infração (reincidência específica), e em duas
    I - R$ 200,00, tratando-se de omissão de declaração
                                                                      vezes (2 x) em caso de reincidência em infrações
sem ocorrência de fatos geradores de contribuição
                                                                      diferentes (reincidência genérica), observados os
previdenciária; e
                                                                      valores máximos.
    II - R$ 500,00 nos demais casos.
                                                                       Recebido o AIOA, o autuado terá o prazo de 30
     Vamos visualizar um caso prático. Imaginemos que             (trinta) dias, a contar da ciência, para efetuar o
uma empresa possua um valor devido de R$                          pagamento da multa de ofício com redução de 50%
100.000,00 na competência 03/2008. A GFIP em                      (cinqüenta por cento) ou impugnar a autuação.
relação a essa competência deverá ser entregue até o
                                                                       Impugnada a autuação, o autuado, após a ciência
dia 07 do mês subseqüente (abril), o que não foi feito.
                                                                  da decisão de primeira instância, poderá efetuar o
Em 12/2008 a empresa é intimada a apresentar a GFIP
                                                                  pagamento da multa de ofício com redução de 25%
relativa a competência 03/2008. O valor do auto de
                                                                  (vinte e cinco por cento), até a data limite para
infração será:
                                                                  interposição de recurso.

Prof. Bernardo Machado                                                                    DIREITO PREVIDENCIÁRIO
                                                             28
O recolhimento do valor da multa, com redução,              previdenciário atualmente, principalmente no que tange
implica renúncia ao direito de impugnar ou de recorrer.         o início da contagem do prazo decadencial.
   Apresentada impugnação, o processo será                          Tecemos alguns comentários sobre a declaração de
submetido à autoridade competente, que decidirá sobre           inconstitucionalidade dos art. 45 e 46 da Lei nº
a   autuação,     cabendo    recurso  ao    Conselho            8.212/91. Como é de conhecimento, os prazos
Administrativo de Recursos Fiscais.                             decadenciais e prescricionais em matéria de
                                                                contribuições para a Seguridade Social eram de 10
                                                                (dez) anos. Diversos questionamentos surgiram em
    Observação:                                                 torno do prazo, sempre em relação a sua
      Com o advento do Decreto nº 6.727/09, não existe          constitucionalidade.
mais a possibilidade de atenuação e relevação do AIOA.               Analisando o art. 146, III, “b”, da CF/88, o mesmo
                                                                determina que cabe à lei complementar estabelecer
    Dívida Ativa                                                normas gerais em matéria de legislação tributária,
                                                                especialmente sobre        prescrição e decadência
    As contribuições, a atualização monetária, os juros         tributários. Portanto, o questionamento sempre foi em
de mora, as multas, bem como outras importâncias                cima do aspecto formal. Poderia uma lei ordinária versar
devidas e não recolhidas até o seu vencimento devem             sobre decadência e prescrição, como fez a Lei nº
ser inscritas em Dívida Ativa da União, após a                  8.212/91?
constituição do respectivo crédito. Antes da Lei nº
11.457/07, esses valores eram inscritos na Dívida Ativa              Os defensores da teoria da possibilidade de
do Instituto Nacional do Seguro Social. Entretanto, com         alteração feita pela Lei nº 8.212/91 mencionam que o
o advento da Lei nº 11.457/07, esses valores são                lapso temporal decadencial ou prescricional não
inscritos na Dívida Ativa da União, sendo que a                 configura norma geral, sendo, portanto, alterável por
arrecadação desses recursos é diretamente creditada             uma lei ordinária. Foi o que foi feito pela Lei nº 8.212/91.
ao Fundo do RGPS, gerido pelo INSS, devido à                        Após anos de polêmica, foi publicada a Súmula
expressa disposição constitucional (art. 167, XI)               Vinculante nº 8 do STF que declarou a
    Considera-se dívida ativa o crédito proveniente de          inconstitucionalidade dos art. 45 e 46 da Lei 8.212/91,
fato jurídico gerador das obrigações legais ou                  que pôs fim a essa eterna discussão. O entendimento
contratuais, desde que inscritos no cadastro da dívida          do STF foi justamente em relação ao aspecto formal,
ativa.                                                          determinando que uma lei ordinária não poderia versar
                                                                sobre normas gerais em matéria de decadência e
     Antes de ser inscrito em dívida ativa, o débito,           prescrição.
transcorrido o prazo para o pagamento ou impugnação,
permanece no órgão jurisdicionante, pelo prazo de 30                Devemos, portanto, analisar o tema após a
(trinta) dias, para cobrança amigável. Somente após             declaração da inconstitucionalidade, ou seja, o que será
este prazo o crédito será inscrito em dívida ativa.             adotado para fins de contribuições para a Seguridade
                                                                Social.
     Uma vez efetuada a inscrição, emitisse a CDA –
Certidão de Dívida Ativa, que serve de título para que o
órgão competente, por intermédio de seu procurador ou               Introdução
representante legal, promova em juízo a cobrança da                  Primeiramente, vamos fazer uma distinção entre o
dívida ativa, segundo o mesmo processo e com as                 que seria decadência e prescrição. A decadência, assim
mesmas prerrogativas e privilégios da Lei nº 6830/80            como a prescrição, tem a natureza jurídica de fato
(Lei de Execução Fiscal).                                       jurídico extintivo, também determinada pela inércia do
    A dívida ativa regularmente inscrita goza de                titular de um direito, tendo como fato determinante o
presunção de certeza e liquidez. Entretanto, essa               tempo.
presunção é apenas relativa, podendo ser elidida por                 A decadência recai sobre um direito potestativo, ou
prova inequívoca, a cargo do executado ou de terceiro,          seja, é o poder de influir na esfera jurídica de outrem
a quem aproveite.                                               (constituir o crédito tributário). Como, em relação às
                                                                contribuições para a Seguridade Social, o lançamento é
                                                                por homologação, a Fazenda Pública tem um prazo
        DECADÊNCIA E PRESCRIÇÃO                                 para que a partir da ocorrência do fato gerador promova
                                                                o ato administrativo do lançamento. Uma vez que o
                         Custeio                                lançamento não tenha sido feito dentro desse prazo, a
                                                                Fazenda Pública perde o direito de sua constituição. Em
    Aspectos Atuais                                             suma, o direito não mais existe por motivos da inércia
    O tema decadência e prescrição em matéria de                do titular do direito.
custeio estava elencado nos arts. 45 (decadência) e 46              Já a prescrição recai sobre um direito subjetivo, ou
(prescrição) da Lei nº 8.212/91. Entretanto, após a             seja, é o poder de exigir de outrem uma prestação.
publicação da Súmula Vinculante nº 8 do STF, ambos              Efetuado o lançamento, a Fazenda Pública possui um
os artigos foram declarados inconstitucionais. Estamos,         prazo para cobrar judicialmente os valores devidos pelo
portanto, diante do tema mais tormentoso do direito             sujeito passivo (ação de execução fiscal). Uma vez que
                                                                a Fazenda Pública não entre com a ação de execução

Prof. Bernardo Machado                                                                   DIREITO PREVIDENCIÁRIO
                                                           29
dentro do prazo determinado, a mesma apenas perde o              Custódia - SELIC para títulos federais, acumulada
direito de entrar com a ação, permanecendo o direito             mensalmente, a partir do mês subseqüente ao do
(crédito tributário) em si.                                      pagamento indevido ou a maior que o devido até o mês
   Para visualizarmos melhor, podemos fazer            a         anterior ao da compensação ou restituição e de 1% (um
seguinte divisão:                                                por cento) relativamente ao mês em que estiver sendo
                                                                 efetuada.
   • Do fato     gerador   até   o   lançamento:   prazo
decadencial;                                                         Aplica-se aos processos de restituição das
                                                                 contribuições previdenciárias e de reembolso de salário-
     • A partir do lançamento até a ação de execução             família e salário-maternidade o rito do Decreto nº
fiscal: prazo prescricional.                                     70.235, de 6 de março de 1972. Ou seja, uma vez que
    Podemos concluir que o ato administrativo do                 seja negada a restituição/reembolso por parte da RFB,
lançamento estanca o prazo decadencial e faz com que             cabe impugnação para a Delegacia da Receita Federal
comece a correr o prazo prescricional.                           de Julgamento, que decidirá sobre a procedência ou
                                                                 não da restituição/reembolso, cabendo recurso ao
    Um bom exemplo para diferenciarmos os efeitos da
                                                                 Conselho Administrativo de Recursos Fiscais.
inércia do titular do direito é analisarmos um caso de
repetição de indébito. Caso um sujeito passivo pague
um tributo que decaiu, cabe a sua restituição, uma vez               Restituição
que a Fazenda Pública não tinha mais o direito.
                                                                     Restituição é o procedimento administrativo
Entretanto, caso o sujeito passivo pague um tributo que
                                                                 mediante o qual o sujeito passivo é ressarcido pelo
prescreveu, não cabe restituição, uma vez que o direito
                                                                 Fisco, de valores recolhidos indevidamente à
da Fazenda Pública persistia, apenas a mesma não
                                                                 Previdência Social ou a outras entidades ou fundos.
tinha como cobrá-lo judicialmente.
                                                                     Compete à RFB efetuar a restituição dos valores
   Por fim, é importante mencionar que a decadência
                                                                 recolhidos para outras entidades ou fundos, exceto nos
não está sujeito a interrupção nem suspensão,
                                                                 casos de arrecadação direta, realizada mediante
enquanto que a prescrição se sujeita tanto a interrupção
                                                                 convênio.
quanto suspensão.
                                                                     A restituição de quantia recolhida a título de tributo
                                                                 administrado pela RFB que comporte, por sua natureza,
    Contagem do Prazo                                            transferência do respectivo encargo financeiro somente
    Uma vez que foi declarada a inconstitucionalidade            poderá ser efetuada a quem prove haver assumido
dos arts. 45 e 46 da Lei nº 8.212/91, devemos utilizar as        referido encargo, ou, no caso de tê-lo transferido a
regras previstas no CTN em relação ao lançamento                 terceiro, estar por este expressamente autorizado a
por homologação. Ou seja, o prazo decadencial passa              recebê-la.
a correr a partir da ocorrência do fato gerador.                     A restituição de contribuição indevidamente
   Entretanto, caso não ocorra o pagamento ou caso               descontada do segurado somente poderá ser feita ao
ocorra dolo, fraude ou simulação o prazo decadencial             próprio segurado, ou ao seu procurador, salvo se
passa a correr a partir do 1º (primeiro) dia do                  comprovado que o responsável pelo recolhimento já lhe
exercício seguinte.                                              fez a devolução.
    Outro caso de início da contagem do prazo
decadencial é a partir da anulação, por vício formal,                Compensação
de um lançamento anterior.
                                                                     O sujeito passivo que apurar crédito relativo        às
    Em relação ao prazo prescricional, o mesmo passa             contribuições previdenciárias, passível de restituição   ou
a correr a partir da constituição definitiva                     de reembolso, poderá utilizá-lo na compensação           de
(lançamento).                                                    contribuições previdenciárias correspondentes             a
                                                                 períodos subseqüentes.

    RESTITUIÇÃO, COMPENSAÇÃO E                                       Podemos concluir, portanto, que a compensação é
                                                                 o procedimento facultativo pelo qual o sujeito passivo se
             REEMBOLSO                                           ressarce de valores pagos indevidamente, deduzindo-os
                                                                 das contribuições devidas à Previdência Social.
     As contribuições previdenciárias, as contribuições               A compensação de contribuições previdenciárias
instituídas a título de substituição e as contribuições          deve ser informada em GFIP na competência de sua
devidas a terceiros (outras entidades ou fundos)                 efetivação.
somente poderão ser restituídas ou compensadas nas                   Algumas regras em relação a compensação de
hipóteses de pagamento ou recolhimento indevido ou               contribuições previdenciárias devem ser observadas,
maior que o devido, nos termos e condições                       entre elas:
estabelecidos pela Secretaria da Receita Federal do
Brasil.                                                              • Para efetuar a compensação o sujeito passivo
                                                                     deverá estar em situação regular relativa aos
    O valor a ser restituído ou compensado será                      créditos constituídos por meio de auto de infração
acrescido de juros obtidos pela aplicação da taxa                    ou notificação de lançamento, aos parcelados e aos
referencial do Sistema Especial de Liquidação e de

Prof. Bernardo Machado                                                                    DIREITO PREVIDENCIÁRIO
                                                            30
débitos declarados, considerando todos os seus                  • Declarada em GFIP na competência da emissão
    estabelecimentos e obras de construção civil,                   da nota fiscal, da fatura ou do recibo de prestação
    ressalvados os débitos cuja exigibilidade esteja                de serviços, pelo estabelecimento responsável pela
    suspensa;                                                       cessão de mão-de-obra ou pela execução da
    • O crédito decorrente de pagamento ou de                       empreitada total; e
    recolhimento indevido poderá ser utilizado entre os             • Destacada na nota fiscal, na fatura ou no recibo
    estabelecimentos da empresa, exceto obras de                    de prestação de serviços ou que a contratante tenha
    construção     civil, para     compensação     com              efetuado o recolhimento desse valor.
    contribuições previdenciárias devidas;                          A compensação da retenção somente poderá ser
    • Caso haja pagamento indevido relativo a obra de           efetuada com as contribuições previdenciárias, não
    construção civil encerrada ou sem atividade, a              podendo absorver contribuições destinadas a outras
    compensação      poderá   ser   realizada    pelo           entidades ou fundos, as quais deverão ser recolhidas
    estabelecimento responsável pelo faturamento da             integralmente pelo sujeito passivo.
    obra;                                                           Para fins de compensação da importância retida,
    • A compensação poderá ser realizada com as                 será considerada como competência da retenção o mês
    contribuições incidentes sobre o décimo terceiro            da emissão da nota fiscal, da fatura ou do recibo de
    salário;                                                    prestação de serviços.
    • A empresa ou equiparada poderá efetuar a                     O saldo remanescente em favor do sujeito passivo
    compensação de valor descontado indevidamente               poderá   ser    compensado       nas     competências
    de sujeito passivo e efetivamente recolhido, desde          subseqüentes, devendo ser declarada em GFIP na
    que seja precedida do ressarcimento ao sujeito              competência de sua efetivação, ou objeto de restituição.
    passivo;                                                         Se após     a compensação efetuada pelo
    • É vedada a compensação de contribuições                   estabelecimento que sofreu a retenção restar saldo,
    previdenciárias com o valor recolhido indevidamente         este valor poderá ser compensado por qualquer outro
    para o Simples Nacional, instituído pela Lei                estabelecimento da empresa cedente da mão de obra,
    Complementar nº 123, de 2006, e o Sistema                   inclusive nos casos de obra de construção civil
    Integrado de Pagamento de Impostos e                        mediante empreitada total, na mesma competência ou
    Contribuições das Microempresas e Empresas de               em competências subseqüentes.
    Pequeno Porte (Simples), instituído pela Lei nº
    9.317, de 5 de dezembro de 1996;
                                                                    Prescrição
    • É vedada a compensação pelo sujeito passivo
                                                                    O direito de pleitear restituição ou de realizar
    das contribuições destinadas a outras entidades ou
                                                                compensação de contribuições ou de outras
    fundos.
                                                                importâncias extingue-se em 05 (cinco) anos, contados
    No caso de compensação indevida, o sujeito                  da data:
passivo deverá recolher o valor indevidamente
                                                                    • do pagamento ou recolhimento indevido; ou
compensado, acrescido de juros e multa de mora
devidos.                                                            • em que se tornar definitiva a decisão
     Na hipótese de compensação indevida, quando se                 administrativa ou passar em julgado a sentença
comprove falsidade da declaração apresentada pelo                   judicial que tenha reformado, anulado ou revogado
sujeito passivo, o contribuinte estará sujeito à multa              a decisão condenatória.
isolada aplicada no percentual de 75% (setenta e cinco
por cento), aplicado em dobro, e terá como base de                  Reembolso
cálculo o valor total do débito indevidamente
compensado.                                                         A empresa será reembolsada pelo pagamento do
                                                                valor bruto do salário-maternidade, incluída a
                                                                gratificação natalina proporcional ao período da
    Observação:                                                 correspondente licença e das cotas do salário-família
      Com a edição da MP nº 449/08, convertida na Lei           pago aos segurados a seu serviço, mediante dedução
nº 11.941/09, o valor a ser compensado não obedece              do respectivo valor, no ato do recolhimento das
mais o limite de 30% (trinta por cento) do valor a ser          contribuições devidas, na forma estabelecida pela
recolhido em cada competência.                                  Secretaria da Receita Federal do Brasil.
                                                                    Ou seja, a empresa paga os benefícios diretamente
                                                                aos segurados e compensa estes valores com o total a
    Compensação da Retenção dos 11%                             recolher a Previdência Social, não podendo compensar
    A empresa prestadora de serviços que sofreu                 com os valores devidos a terceiros (outras entidades e
retenção no ato da quitação da nota fiscal, da fatura ou        fundos).
do recibo de prestação de serviços, poderá compensar                Quando o valor a deduzir for superior às
o valor retido quando do recolhimento das contribuições         contribuições previdenciárias devidas no mês, o sujeito
previdenciárias, inclusive as devidas em decorrência do         passivo poderá compensar o saldo a seu favor no
décimo terceiro salário, desde que a retenção esteja:

Prof. Bernardo Machado                                                                  DIREITO PREVIDENCIÁRIO
                                                           31
recolhimento   das     contribuições   dos       meses               No caso da saúde, para ser considerada
subseqüentes, ou requerer o reembolso.                          beneficente e fazer jus à certificação, a entidade de
    Caso o sujeito passivo efetue o recolhimento das            saúde deverá, nos termos do regulamento comprovar o
contribuições previdenciárias sem a dedução do valor a          cumprimento das metas estabelecidas em convênio ou
reembolsar, essa importância poderá ser compensada              instrumento congênere celebrado com o gestor local do
ou ser objeto de restituição.                                   SUS; ofertar a prestação de seus serviços ao SUS no
                                                                percentual mínimo de 60% (sessenta por cento);
     O reembolso de pagamento obedecerá aos mesmos              comprovar, anualmente, a prestação dos serviços, com
critérios aplicáveis à restituição, inclusive quanto ao         base no somatório das internações realizadas e dos
prazo prescricional.                                            atendimentos ambulatoriais prestados.
                                                                    No caso de educação, a entidade deverá aplicar
    Imunidade de Contribuições                                  anualmente em gratuidade, pelo menos 20% (vinte por
    São isentas de contribuição para a seguridade               cento) da receita da receita anual efetivamente recebida
social as entidades beneficentes de assistência social          nos termos da Lei nº 9.870/99. Para o cumprimento
que atendam às exigências estabelecidas em lei.                 dessa regra, a entidade deverá:
Apesar de a Constituição Federal mencionar isenção,                 • Demonstrar adequação às diretrizes e metas
estamos diante de uma imunidade.                                    estabelecidas no Plano Nacional de Educação -
    Primeiramente, devemos analisar o conceito de                    PNE, na forma do art. 214 da Constituição Federal;
entidade de assistência social e entidade beneficente de            • Atender a padrões mínimos de qualidade, aferidos
assistência social. As entidades beneficentes de                    pelos processos de avaliação conduzidos pelo
assistência social têm como objetivo o auxílio dos                  Ministério da Educação; e
necessitados, não restringindo o seu acesso. Já as
                                                                    • Oferecer bolsas     de   estudo    nas   seguintes
entidades de assistência social têm como objetivo
                                                                    proporções:
manter um padrão mínimo de vida aos seus associados,
sem atender pessoas estranhas ao grupo.                         a) no mínimo, uma bolsa de estudo integral para cada
                                                                nove alunos pagantes da educação básica; e
    As entidades de assistência social possuem
imunidade em relação aos impostos sobre o patrimônio,           b) bolsas parciais de 50% (cinqüenta por cento), quando
renda ou serviço, conforme determina a Constituição             necessário para o alcance do percentual mínimo
Federal no seu art. 150, VI, “c”. Já as entidades               exigido.
beneficentes de assistência social, além dessa                      No caso de assistência social, A certificação ou sua
imunidade, também possuem imunidade em relação às               renovação será concedida à entidade de assistência
contribuições para a Seguridade Social, desde que               social que presta serviços ou realiza ações
atenda aos requisitos estabelecidos em lei.                     assistenciais, de forma gratuita, continuada e planejada,
     Atualmente, o tema é regulamentado pela Lei nº             para os usuários e a quem deles necessitar, sem
12.101/09, a qual revogou o art. 55 da Lei nº 8.212/91 e        qualquer discriminação, observada a Lei nº 8.742/93.
alterou todo o tratamento dado para as Entidades                    As entidades de assistência social são aquelas que
Beneficentes de Assistência Social.                             prestam, sem fins lucrativos, atendimento e
     Com base na Lei nº 12.101/09, a certificação das           assessoramento aos beneficiários, bem como as que
entidades beneficentes de assistência social e a isenção        atuam na defesa e garantia de seus direitos.
de contribuições para a seguridade social serão                     Constituem ainda requisitos para a certificação das
concedidas às pessoas jurídicas de direito privado, sem         entidades de assistência social:
fins   lucrativos,  reconhecidas     como      entidades
beneficentes de assistência social com a finalidade de              • Estar inscrita no respectivo Conselho Municipal de
prestação de serviços nas áreas de assistência social,              Assistência Social ou no Conselho de Assistência
saúde ou educação.                                                  Social do Distrito Federal, conforme o caso, nos
                                                                    termos do art. 9º da Lei nº 8.742, de 1993; e
                                                                    • Integrar o cadastro nacional de entidades e
    Certificação                                                    organizações de assistência social de que trata o
    A certificação ou sua renovação será concedida à                inciso XI do art. 19 da Lei nº 8.742, de 1993.
entidade beneficente que demonstre, no exercício fiscal
anterior ao do requerimento, observado o período
mínimo de 12 (doze) meses de constituição da entidade,              Observação:
o cumprimento dos requisitos legais, de acordo com a                  Quando não houver Conselho de Assistência
respectiva     área    de     atuação,     e    cumpra,         Social no Município, as entidades de assistência social
cumulativamente, os requisitos de ser constituída como          deverão inscrever-se nos respectivos Conselhos
pessoa jurídica de direito privado, sem fins lucrativos,        Estaduais.
reconhecida como entidade beneficente de assistência
social e prever, em seus atos constitutivos, em caso de
dissolução ou extinção, a destinação do eventual
patrimônio remanescente a entidade sem fins lucrativos
congêneres ou a entidades públicas.

Prof. Bernardo Machado                                                                  DIREITO PREVIDENCIÁRIO
                                                           32
Concessão e Cancelamento da Certificação                         Se improcedente a representação, o processo será
    A análise e decisão dos requerimentos de                   arquivado. Se procedente a representação, após
concessão ou de renovação dos certificados das                 decisão final ou transcorrido o prazo para interposição
entidades beneficentes de assistência social serão             de recurso, a autoridade responsável deverá cancelar a
apreciadas no âmbito dos seguintes Ministérios:                certificação e dar ciência do fato à Secretaria da Receita
                                                               Federal do Brasil.
   • Da Saúde, quanto às entidades da área de saúde;
                                                                   O representante será cientificado das decisões.
   • Da Educação, quanto às entidades educacionais;
   e
                                                                   Requisitos da Isenção (Imunidade)
   • Do Desenvolvimento Social e Combate à Fome,
   quanto às entidades de assistência social.                     A entidade beneficente certificada fará jus à isenção
                                                               do pagamento das contribuições para a Seguridade
    O prazo de validade da certificação será fixado em
                                                               Social, desde que atenda, cumulativamente, aos
regulamento, observadas as especificidades de cada
                                                               seguintes requisitos:
uma das áreas e o prazo mínimo de 1 (um) ano e
máximo de 5 (cinco) anos.                                          • Não percebam seus diretores, conselheiros,
                                                                   sócios, instituidores ou benfeitores, remuneração,
    O requerimento de renovação da certificação deverá
                                                                   vantagens ou benefícios, direta ou indiretamente,
ser protocolado com antecedência mínima de 6 (seis)
                                                                   por qualquer forma ou título, em razão das
meses do termo final de sua validade.
                                                                   competências, funções ou atividades que lhes
    Constatada, a qualquer tempo, a inobservância da               sejam      atribuídas   pelos    respectivos  atos
exigência estabelecida para a certificação, será                   constitutivos;
cancelada a mesma, nos termos de regulamento,
assegurado o contraditório e a ampla defesa.                       • Aplique suas rendas, seus recursos e eventual
                                                                   superávit integralmente no território nacional, na
                                                                   manutenção e desenvolvimento de seus objetivos
   Dos Recursos e Representações                                   institucionais;
    Da decisão que indeferir o requerimento para                   • Apresente certidão negativa ou certidão positiva
concessão ou renovação de certificação e da decisão                com efeito de negativa de débitos relativos aos
que cancelar a certificação caberá recurso por parte da            tributos administrados pela Secretaria da Receita
entidade interessada, na forma definida em                         Federal do Brasil e certificado de regularidade do
regulamento, no prazo de 30 (trinta) dias contados da              Fundo de Garantia do Tempo de Serviço - FGTS;
publicação da decisão.                                             • Mantenha escrituração contábil regular que
     Verificada prática de irregularidade na entidade              registre as receitas e despesas, bem como a
certificada, são competentes para representar,                     aplicação em gratuidade de forma segregada, em
motivadamente, ao Ministério responsável pela sua área             consonância com as normas emanadas do
de atuação, sem prejuízo das atribuições do Ministério             Conselho Federal de Contabilidade;
Público:                                                           • Não      distribua    resultados,     dividendos,
   • O gestor municipal ou estadual do SUS ou do                   bonificações, participações ou parcelas do seu
   SUAS, de acordo com a sua condição de gestão,                   patrimônio, sob qualquer forma ou pretexto;
   bem como o gestor da educação municipal, distrital              • Conserve em boa ordem, pelo prazo de 10 (dez)
   ou estadual;                                                    anos, contado da data da emissão, os documentos
   • A Secretaria da Receita Federal do Brasil;                    que comprovem a origem e a aplicação de seus
   • Os conselhos de acompanhamento e controle                     recursos e os relativos a atos ou operações
   social previstos na Lei nº 11.494, de 20 de junho de            realizados que impliquem modificação da situação
   2007, e os Conselhos de Assistência Social e de                 patrimonial;
   Saúde; e                                                        • Cumpra as obrigações acessórias estabelecidas
   • O Tribunal de Contas da União.                                na legislação tributária;

    A representação será dirigida ao órgão que                     • Apresente as demonstrações contábeis e
concedeu a certificação e conterá a qualificação do                financeiras devidamente auditadas por auditor
representante, a descrição dos fatos a serem apurados              independente legalmente habilitado nos Conselhos
e, sempre que possível, a documentação pertinente e                Regionais de Contabilidade quando a receita bruta
demais informações relevantes para o esclarecimento                anual auferida for superior ao limite fixado pela Lei
do seu objeto.                                                     Complementar nº 123, de 14 de dezembro de 2006.
   Caberá ao Ministério competente:                                A isenção não se estende a entidade com
                                                               personalidade jurídica própria constituída e mantida pela
   • Dar ciência da representação à entidade, que terá         entidade à qual a isenção foi concedida.
   o prazo de 30 (trinta) dias para apresentação de
   defesa; e
   • Decidir sobre a representação, no prazo de 30
   (trinta) dias a contar da apresentação da defesa.


Prof. Bernardo Machado                                                                  DIREITO PREVIDENCIÁRIO
                                                          33
Reconhecimento       e   Suspensão     da   Isenção              • Na licitação, na contratação com o poder público
(Imunidade)                                                         e no recebimento de benefícios ou incentivo fiscal
    O direito à isenção das contribuições sociais poderá            ou creditício concedidos por ele;
ser exercido pela entidade a contar da data da                      • Na alienação ou oneração, a qualquer título, de
publicação da concessão de sua certificação, desde que              bem imóvel ou direito a ele relativo;
atendidos os requisitos listados acima.
                                                                    • Na alienação ou oneração, a qualquer título, de
     Constatado o descumprimento pela entidade dos                  bem móvel de valor superior a R$ 38.088,56 (trinta
requisitos indicados acima, a fiscalização da Secretaria            e oito mil oitenta e oito reais e cinquenta e seis
da Receita Federal do Brasil lavrará o auto de infração             centavos) incorporado ao ativo permanente da
relativo ao período correspondente e relatará os fatos              empresa; e
que demonstram o não-atendimento de tais requisitos
para o gozo da isenção.                                             • No registro ou arquivamento, no órgão próprio, de
                                                                    ato relativo a baixa ou redução de capital de firma
     Considerar-se-á automaticamente suspenso o                     individual, redução de capital social, cisão total ou
direito à isenção das contribuições durante o período               parcial, transformação ou extinção de entidade ou
em que se constatar o descumprimento dos requisitos                 sociedade comercial ou civil e transferência de
para a isenção, devendo o lançamento correspondente                 controle     de    cotas    de    sociedades       de
ter como termo inicial a data da ocorrência da infração             responsabilidade limitada, suprida a exigência pela
que lhe deu causa.                                                  informação de inexistência de débito a ser prestada
    Deverá ser observado o rito do processo                         pelos órgãos competentes.
administrativo fiscal vigente (atualmente do Decreto nº             A microempresa e a empresa de pequeno porte não
70.235/72).                                                     necessitam apresentar CND para alterar seus atos
                                                                constitutivos, inclusive no caso de extinção, a partir da
                                                                entrada em vigor da LC nº 123/06 (Estatuto da
                   Importante!!!                                Microempresa e Empresa de Pequeno Porte).
       Apesar de a apostila mencionar sempre a
expressão imunidade (expressão correta), tanto a                    Construção Civil
Constituição    Federal  quanto   a   legislação
mencionam a expressão isenção. Portanto, a                          • Do proprietário, pessoa física ou jurídica, de obra
distinção nem sempre é feita, devendo, assim,                       de construção civil, quando de sua averbação no
utilizar ambas as expressões como se fossem                         Registro de Imóveis, salvo na construção unifamiliar
sinônimos.                                                          (art. 278, RPS);
                                                                    • Do incorporador, na ocasião da inscrição de
                                                                    memorial de incorporação no Registro de Imóveis.
                                                                    A CND emitida no primeiro caso é um dos tipos de
 PROVA DE INEXISTÊNCIA DE DÉBITO                                CND específica, ou seja, a CND para averbação de
                                                                obras no registro de imóveis apenas atesta que aquela
                                                                obra não possui débito frente à Previdência Social e não
    Para participarem de certos atos, as empresas               a empresa como um todo. Portanto, ao ser emitida a
precisam comprovar a regularidade frente ao Poder               CND de averbação de obra, a empresa construtora não
Público. Para isso é necessária a obtenção de um                poderá, de posse dessa CND, participar de licitação,
documento conhecido como Certidão Negativa de                   contratar com o Poder Público ou dele receber
Débito (CND).                                                   benefícios ou incentivos fiscais ou creditícios.
     A CND, regra geral, demonstra que a empresa                    Já o segundo caso atesta que a empresa
como um todo, não possui débito frente à Seguridade             incorporadora não possui débito frente à Previdência
Social, incluindo todos os seus estabelecimentos,               Social. Esta CND visa a verificação da idoneidade
inclusive obra de construção civil.                             dessa empresa incorporadora.
    Entretanto, a concessão de CND não implica em
garantia absoluta de não existência de débito, podendo
a fiscalização cobrar eventuais débitos apurados                    Produtor Rural
posteriormente. A CND não é uma das hipóteses                       • Do produtor rural pessoa física ou jurídica e do
previstas pelo CTN como extinção do crédito tributário.             segurado especial quando da constituição de
                                                                    garantia para concessão de crédito rural e qualquer
                                                                    de suas modalidades, por instituição de créditos
    Situações Gerais de Necessidade de CND                          pública ou privada, desde que comercializem a sua
    Deverá ser exigido documento comprobatório de                   produção diretamente no varejo a consumidor
inexistência de débito relativo às contribuições                    pessoa física, a outro produtor rural pessoa física ou
destinadas à manutenção da seguridade social,                       a outro segurado especial;
fornecida pelo órgão competente, nos seguintes casos:                Para o recebimento de crédito rural com instituições
                                                                de créditos pública ou privada, o produtor rural pessoa
                                                                jurídica, bem como a agroindústria precisam apresentar

Prof. Bernardo Machado                                                                   DIREITO PREVIDENCIÁRIO
                                                           34
a CND. Já o produtor rural pessoa física e o segurado          débito). Caso haja alguma circunstância impeditiva, a
especial, quando não estão obrigados a efetuarem o             mesma deverá ser sanada para que a CND seja
seu recolhimento, não necessitam apresentar a CND              liberada.
para a obtenção do crédito rural. Entretanto, caso os
mesmos sejam responsáveis por seu recolhimento
(vender diretamente no varejo a consumidor pessoa                   Dispensa da Apresentação de CND
física, a outro PRPF ou outro segurado especial), a                 Além dos casos de não necessidade de
CND deverá ser apresentada.                                    apresentação de CND já vistos anteriormente (alteração
                                                               de atos constitutivos das microempresas e empresas de
                                                               pequeno porte, averbação de obra do tipo unifamiliar –
   Contratações de Operação de Crédito Público                 art. 278, RPS e obtenção de crédito rural do PRPF e
   • Na contratação de operações de crédito com                segurado especial não responsáveis por seu
   instituições financeiras, assim entendidas as               recolhimento), existem outros casos previstos na
   pessoas jurídicas públicas ou privadas que tenham           legislação previdenciária:
   como atividade principal ou acessória a                          • A lavratura ou assinatura de instrumento, ato ou
   intermediação ou aplicação de recursos financeiros               contrato que constitua retificação, ratificação ou
   próprios ou de terceiros, em moeda nacional ou                   efetivação de outro anterior para o qual já foi feita a
   estrangeira, autorizadas pelo Banco Central do                   prova;
   Brasil ou por decreto do Poder Executivo a
   funcionar no Território Nacional, que envolvam:                  • A averbação de obra no Registro de Imóveis,
   recursos públicos, inclusive os provenientes de                  relativa a imóvel cuja construção tenha sido
   fundos constitucionais e de incentivo ao                         concluída antes de 22 de novembro de 1966;
   desenvolvimento regional (Fundo Constitucional de                • Da empresa que explore exclusivamente atividade
   Financiamento do Norte, Fundo Constitucional de                  de compra e venda de imóveis, locação,
   Financiamento do Nordeste, Fundo Constitucional                  desmembramento ou loteamento de terrenos,
   de Financiamento do Centro Oeste, Fundo de                       incorporação imobiliária ou construção de imóveis
   Desenvolvimento da Amazônia e Fundo de                           destinados à venda, desde que o imóvel objeto da
   Desenvolvimento do Nordeste); recursos do Fundo                  transação esteja contabilmente lançado no ativo
   de Garantia do Tempo de Serviço, do Fundo de                     circulante e não conste, nem tenha constado, do
   Amparo ao Trabalhador e do Fundo Nacional de                     ativo permanente da empresa;
   Desenvolvimento da Educação; ou recursos
                                                                    • Na alienação ou oneração de bem imóvel ou
   captados através de Caderneta de Poupança;
                                                                    móvel de área urbana ou rural, de propriedade de
                                                                    pessoa física não equiparada a empresa.
   Obtenção de Verbas dos Fundos de Participação                    • O recebimento pelos Municípios de transferência
   • A inexistência de débito em relação às                         de recursos destinados a ações de assistência
   contribuições devidas à Previdência Social é                     social, educação, saúde e em caso de calamidade
   condição necessária para que os Estados, o Distrito              pública.
   Federal e os Municípios possam receber as
   transferências dos recursos do Fundo de
                                                                    Situações Passíveis de Obtenção de CND e CPD-
   Participação dos Estados e do Distrito Federal e do
   Fundo de Participação dos Municípios, celebrar              EN
   acordo, contrato, convênio ou ajuste, bem como                 Há situações em que, por mais que a empresa
   receber empréstimo, financiamento, aval ou                  possua débito, será emitido o documento, dentre elas:
   subvenção em geral de órgão ou entidade da                       • O débito esteja pendente          de   decisão   em
   administração direta e indireta da União.                        contencioso administrativo;
                                                                    • O débito esteja garantido por depósito integral e
   Validade do documento                                            atualizado em moeda corrente;
    O prazo de validade da CND é de 180 (cento e                    • O débito esteja parcelado, estando, portanto, com
oitenta) dias, contados da data de sua emissão.                     a sua exigibilidade suspensa;
    A prova de inexistência de débito perante a                     • Tenha sido efetivada penhora suficiente
Previdência Social será fornecida por certidão emitida              garantidora do débito em curso de cobrança judicial.
por meio de sistema eletrônico, ficando a sua aceitação
                                                                    Em relação ao primeiro caso, não se aplica a débito
condicionada à verificação de sua autenticidade pela
                                                               relativo a importância não contestada, ainda que
Internet, em endereço específico, ou junto à Secretaria
                                                               incluída no mesmo processo de cobrança pendente de
da Receita Federal do Brasil.
                                                               decisão administrativa. Ou seja, se a empresa impugnar
     A CND pode, inclusive, ser obtida pela internet           um débito sem contestar o mérito, o documento não
(www.receita.fazenda.gov.br), desde que não haja               será emitido.
nenhuma circunstância impeditiva (não entrega de
                                                                   Para essas situações, aonde conste a existência de
GFIP, divergência entre os valores na GFIP e os
                                                               créditos não-vencidos, em curso de cobrança executiva
efetivamente pagos por meio de GPS ou a existência de
                                                               em que tenha sido efetivada a penhora, ou cuja

Prof. Bernardo Machado                                                                   DIREITO PREVIDENCIÁRIO
                                                          35
exigibilidade esteja suspensa, será emitida a Certidão           § 2º - Para os efeitos penais, equiparam-se a
Positiva de Débito com Efeitos de Negativa (CPD-EN),             documento público o emanado de entidade paraestatal,
que possui os mesmos efeitos de uma CND, inclusive               o título ao portador ou transmissível por endosso, as
com o mesmo prazo de validade.                                   ações de sociedade comercial, os livros mercantis e o
                                                                 testamento particular.
                                                                 § 3º Nas mesmas penas incorre quem insere ou faz
    CRIMES CONTRA A SEGURIDADE                                   inserir:
              SOCIAL                                             I – na folha de pagamento ou em documento de
    A tipificação das condutas criminosas contra a               informações que seja destinado a fazer prova perante a
Seguridade Social constam do Código Penal. Até a Lei             previdência social, pessoa que não possua a qualidade
nº. 9.983/00 essa tipificação constava na sua maior              de segurado obrigatório;
parte no art. 95 da Lei nº. 8.212/91.                            II – na Carteira de Trabalho e Previdência Social do
                                                                 empregado ou em documento que deva produzir efeito
    Apropriação Indébita Previdenciária                          perante a previdência social, declaração falsa ou
                                                                 diversa da que deveria ter sido escrita;
“Art. 168-A. Deixar de repassar à previdência social as
contribuições recolhidas dos contribuintes, no prazo e           III – em documento contábil ou em qualquer outro
forma legal ou convencional:                                     documento relacionado com as obrigações da empresa
                                                                 perante a previdência social, declaração falsa ou
Pena – reclusão, de 2 (dois) a 5 (cinco) anos, e                 diversa da que deveria ter constado.
multa.
                                                                 § 4º Nas mesmas penas incorre quem omite, nos
§ 1º Nas mesmas penas incorre quem deixar de:                                                     o
                                                                 documentos mencionados no § 3 , nome do segurado e
I – recolher, no prazo legal, contribuição ou outra              seus dados pessoais, a remuneração, a vigência do
importância destinada à previdência social que tenha             contrato de trabalho ou de prestação de serviços.”
sido descontada de pagamento efetuado a segurados, a
terceiros ou arrecadada do público;
                                                                     Inserção de Dados Falsos em Sistema de
II – recolher contribuições devidas à previdência social         Informação
que tenham integrado despesas contábeis ou custos
relativos à venda de produtos ou à prestação de                  “Art. 313-A. Inserir ou facilitar, o funcionário autorizado,
serviços;                                                        a inserção de dados falsos, alterar ou excluir
                                                                 indevidamente       dados      corretos     nos    sistemas
III - pagar benefício devido a segurado, quando as               informatizados ou bancos de dados da Administração
respectivas cotas ou valores já tiverem sido                     Pública com o fim de obter vantagem indevida para si
reembolsados à empresa pela previdência social.                  ou para outrem ou para causar dano:
§ 2º É extinta a punibilidade se o agente,                       Pena – reclusão, de 2 (dois) a 12 (doze) anos, e
espontaneamente, declara, confessa e efetua o                    multa.”
pagamento das contribuições, importâncias ou valores e
presta as informações devidas à previdência social, na
forma definida em lei ou regulamento, antes do início da             Modificação ou Alteração não-autorizada de
ação fiscal.                                                     Sistema de Informações
§ 3º É facultado ao juiz deixar de aplicar a pena ou             “Art. 313-B. Modificar ou alterar, o funcionário, sistema
aplicar somente a de multa se o agente for primário e de         de informações ou programa de informática sem
bons antecedentes, desde que:                                    autorização ou solicitação de autoridade competente:
I – tenha promovido, após o início da ação fiscal e antes        Pena – detenção, de 3 (três) meses a 2 (dois) anos, e
de oferecida a denúncia, o pagamento da contribuição             multa.
social previdenciária, inclusive acessórios; ou                  Parágrafo único. As penas são aumentadas de um terço
II – o valor das contribuições devidas, inclusive                até a metade se da modificação ou alteração resulta
acessórios, seja igual ou inferior àquele estabelecido           dano para a Administração Pública ou para o
pela previdência social, administrativamente, como               administrado.”
sendo o mínimo para o ajuizamento de suas execuções
fiscais.”
                                                                     Sonegação de Contribuição Previdenciária
                                                                 “Art. 337-A. Suprimir ou reduzir contribuição social
    Falsificação de Documento Público                            previdenciária e qualquer acessório, mediante as
“Art. 297 - Falsificar, no todo ou em parte, documento           seguintes condutas:
público, ou alterar documento público verdadeiro:                I – omitir de folha de pagamento da empresa ou de
Pena - reclusão, de dois a seis anos, e multa.                   documento de informações previsto pela legislação
§ 1º - Se o agente é funcionário público, e comete o             previdenciária segurados empregado, empresário,
crime prevalecendo-se do cargo, aumenta-se a pena de             trabalhador avulso ou trabalhador autônomo ou a este
sexta parte.                                                     equiparado que lhe prestem serviços;



Prof. Bernardo Machado                                                                    DIREITO PREVIDENCIÁRIO
                                                            36
II – deixar de lançar mensalmente nos títulos próprios           PLANO DE BENEFÍCIOS DA PREVIDÊNCIA SOCIAL
da contabilidade da empresa as quantias descontadas
dos segurados ou as devidas pelo empregador ou pelo
tomador de serviços;                                                 Regimes Previdenciários
III – omitir, total ou parcialmente, receitas ou lucros               A Previdência Social brasileira é formada por 2
auferidos, remunerações pagas ou creditadas e demais             (dois) regimes básicos: o Regime Geral de Previdência
fatos geradores de contribuições sociais previdenciárias:        Social e o Regime Próprio de Previdência Social. O
                                                                 Regime Geral de Previdência Social é administrado pelo
Pena – reclusão, de 2 (dois) a 5 (cinco) anos, e                 Ministério da Previdência Social por meio do INSS,
multa.                                                           Instituto Nacional do Seguro Social, autarquia federal,
§ 1º É extinta a punibilidade se o agente,                       vinculada a este ministério.
espontaneamente, declara e confessa as contribuições,
importâncias ou valores e presta as informações
devidas à previdência social, na forma definida em lei ou            Beneficiários do RGPS
regulamento, antes do início da ação fiscal.                         O beneficiário do RGPS é aquele que faz jus ao
§ 2º É facultado ao juiz deixar de aplicar a pena ou             recebimento de alguma prestação previdenciária
aplicar somente a de multa se o agente for primário e de         (benefícios ou serviços). Os beneficiários se dividem em
bons antecedentes, desde que:                                    segurados (obrigatório e facultativo) e dependentes.
                                                                 Passaremos a tratar dos dependentes, visto que o
I – (VETADO)                                                     assunto segurados já foi obra de nosso estudo
II – o valor das contribuições devidas, inclusive                anteriormente.
acessórios, seja igual ou inferior àquele estabelecido               São dependentes do RGPS:
pela previdência social, administrativamente, como
sendo o mínimo para o ajuizamento de suas execuções              I - o cônjuge, a companheira, o companheiro e o filho
fiscais.                                                         não emancipado de qualquer condição, menor de 21
                                                                 (vinte e um) anos ou inválido;
§ 3º Se o empregador não é pessoa jurídica e sua folha
de pagamento mensal não ultrapassa R$ 1.510,00 (um               II - os pais; ou
mil, quinhentos e dez reais), o juiz poderá reduzir a            III - o irmão não emancipado, de qualquer condição,
pena de um terço até a metade ou aplicar apenas a de             menor de 21 (vinte e um) anos ou inválido.
multa.                                                                Os dependentes da primeira classe, também
§ 4º O valor a que se refere o parágrafo anterior será           conhecida como classe preferencial, possuem
reajustado nas mesmas datas e nos mesmos índices do              dependência econômica presumida, ou seja, ainda que
reajuste dos benefícios da previdência social.”                  possuam condição para o seu sustento perceberão o
                                                                 benefício previdenciário. A única exceção é a do menor
                                                                 tutelado e do enteado, cuja dependência econômica não
    Observações:                                                 é presumida, devendo ser comprovada. Os mesmos
    O valor previsto no § 4º do art. 337-A do CP                 não podem possuir bens suficientes para o próprio
atualmente é de R$ 3.257,37 (três mil duzentos e                 sustento e educação.
cinquenta e sete reais e trinta e sete centavos).                    Já os dependentes das classes subseqüentes, para
                                                                 terem a condição de dependente, têm que comprovar a
    Estelionato                                                  dependência econômica.
“Art. 171 - Obter, para si ou para outrem, vantagem                   A existência de um dependente de hierarquia
ilícita, em prejuízo alheio, induzindo ou mantendo               superior exclui o direito dos dependentes inferiores. Ou
alguém em erro, mediante artifício, ardil, ou qualquer           seja, segurado vem a falecer deixando como
outro meio fraudulento:                                          dependente companheira e pais. Por mais que a
                                                                 companheira venha a falecer, o benefício previdenciário
Pena - reclusão, de um a cinco anos, e multa.                    nunca passará para os dependentes das classes
§ 3º - A pena aumenta-se de um terço, se o crime é               inferiores.
cometido em detrimento de entidade de direito público                Entretanto, os dependentes de uma mesma classe
ou de instituto de economia popular, assistência social          concorrem em igualdade de condições. Ou seja, caso
ou beneficência.”                                                um segurado venha a falecer, deixando uma viúva e
                                                                 dois filhos, o benefício previdenciário será dividido em
    Disposições Gerais                                           três partes iguais. Se um dos filhos perder a qualidade
                                                                 de dependente (completar 21 anos ou se emancipar ou
    Durante a fiscalização, caso seja verificada alguma          morrer) sua parcela reverte para os demais.
conduta acima relacionada, constituindo, em tese, crime
contra a Seguridade Social, o auditor-fiscal elaborará               A forma comprovação de vínculo e a de
Representação Fiscal para Fins Penais (RFFP).                    dependência econômica estão elencadas no art. 22, §
Elaborada a RFFP, a mesma será enviada ao Ministério             3º do RPS, sendo necessária a apresentação de no
Público Federal que promoverá a ação penal frente à              mínimo 3 (três) documentos. Dentre elas estão a
Justiça Federal.                                                 declaração de imposto de renda do segurado, em que
                                                                 conste o interessado como seu dependente; conta

Prof. Bernardo Machado                                                                   DIREITO PREVIDENCIÁRIO
                                                            37
bancária conjunta; apólice de seguro da qual conste o            III - até 12 (doze) meses após cessar a segregação, o
segurado como instituidor do seguro e a pessoa                   segurado acometido de doença de segregação
interessada como sua beneficiária.                               compulsória;
    A perda da qualidade de dependente ocorre:                   IV - até 12 (doze) meses após o livramento, o segurado
I - para o cônjuge, pela separação judicial ou divórcio,         detido ou recluso;
enquanto não lhe for assegurada a prestação de                   V - até 3 (três) meses após o licenciamento, o segurado
alimentos, pela anulação do casamento, pelo óbito ou             incorporado às Forças Armadas para prestar serviço
por sentença judicial transitada em julgado;                     militar; e
II - para a companheira ou companheiro, pela cessação            VI - até 6 (seis) meses após a cessação das
da união estável com o segurado ou segurada,                     contribuições, o segurado facultativo.
enquanto não lhe for garantida a prestação de                         O prazo do item II será prorrogado para até 24
alimentos;                                                       (vinte e quatro) meses, se o segurado já tiver pago mais
III - para o filho e o irmão, de qualquer condição, ao           de 120 (cento e vinte) contribuições mensais sem
completarem vinte e um anos de idade, salvo se                   interrupção que acarrete a perda da qualidade de
inválidos, desde que a invalidez tenha ocorrido antes:           segurado.
a) de completarem vinte e um anos de idade;                          O prazo do item II ou do parágrafo anterior será
b) do casamento;                                                 acrescido de 12 (doze meses) para o segurado
                                                                 desempregado, desde que comprovada essa situação
c) do início do exercício de emprego público efetivo;            por registro no órgão próprio do Ministério do Trabalho e
d) da constituição de estabelecimento civil ou                   Emprego.
comercial ou da existência de relação de emprego,                     Ou seja, o período de graça, para esse caso, pode
desde que, em função deles, o menor com dezesseis                ser de 12 (doze) meses, 24 (vinte e quatro) meses e 36
anos completos tenha economia própria; ou                        (trinta e seis) meses.
e)    da concessão de emancipação, pelos pais, ou de                 O reconhecimento da perda da qualidade de
um deles na falta do outro, mediante instrumento                 segurado no termo final dos prazos ocorrerá no dia
público, independentemente de homologação judicial,              seguinte ao do vencimento da contribuição do
ou por sentença do juiz, ouvido o tutor, se o menor tiver        contribuinte individual relativa ao mês imediatamente
dezesseis anos completos; e                                      posterior ao término daqueles prazos.
IV - para os dependentes em geral:                                    A perda da qualidade de segurado não será
a) pela cessação da invalidez; ou                                considerada para a concessão das aposentadorias por
b) pelo falecimento.                                             tempo de contribuição e especial. Ou seja, segurado
                                                                 que tenha contribuído por 33 (trinta e três) anos para o
    Por fim, a inscrição do dependente do segurado               sistema, ainda que venha perder a qualidade de
será promovida quando do requerimento do benefício a             segurado, precisará versar para o sistema apenas mais
que tiver direito.                                               2 (dois) anos de contribuição. Essa alteração foi feita
                                                                 pela Lei nº. 10.666/03. Antes dessa lei, o segurado teria
                                                                 que contribuir por mais 5 (cinco) anos, pois, para
    Manutenção e Perda da Qualidade de Segurado
                                                                 recuperar o período passado para efeitos de carência, o
      Como o sistema previdenciário é de filiação                mesmo deveria versar 1/3 (um terço) da carência
compulsória, a filiação decorre automaticamente do               exigida do benefício, que no caso de aposentadoria por
exercício da atividade remunerada. Em virtude disso, o           tempo de contribuição é de 180 (cento e oitenta)
segurado que deixasse de exercer atividade                       contribuições mensais.
remunerada, deveria, automaticamente, perder a sua
                                                                     A mesma regra se aplica à aposentadoria por idade,
filiação ao RGPS.
                                                                 desde que o segurado conte com, no mínimo, o número
     Entretanto, a legislação prevê um lapso temporal,           de contribuições mensais exigido para efeito de
conhecido como período de graça, o qual o segurado               carência na data do requerimento do benefício. Ou seja,
mantém a sua qualidade, independente de contribuição.            segurado já contribuiu por mais de 180 contribuições
Nesse período o segurado estaria protegido pelo                  mensais (período de carência exigido para o benefício
sistema previdenciário fazendo jus aos seus benefícios           de aposentadoria por idade) e vem a perder a qualidade
e serviços.                                                      de segurado. Basta atingir a idade necessária (regra
    Mantém     a     qualidade      de        segurado,          geral, 65 anos – homem e 60 anos – mulher) na data do
independentemente de contribuições:                              requerimento que obterá a sua aposentadoria por idade.
I - sem limite de prazo, quem está em gozo de
benefício;
II - até 12 (doze) meses após a cessação de benefício
por incapacidade ou após a cessação das contribuições,
o segurado que deixar de exercer atividade remunerada
abrangida pela previdência social ou estiver suspenso
ou licenciado sem remuneração;


Prof. Bernardo Machado                                                                   DIREITO PREVIDENCIÁRIO
                                                            38
Carência                                                     de atividade rural no período imediatamente anterior ao
     Período de carência é o tempo correspondente ao             requerimento do benefício, ainda que de forma
número      mínimo     de     contribuições  mensais             descontínua, igual ao número de meses correspondente
indispensáveis para que o beneficiário faça jus ao               à carência do benefício requerido; e
benefício, consideradas a partir do transcurso do                V - reabilitação profissional.
primeiro dia dos meses de suas competências.                         Entende-se como acidente de qualquer natureza ou
    O período de carência é contado:                             causa aquele de origem traumática e por exposição a
I - Para o segurado empregado e trabalhador avulso, da           agentes exógenos (físicos, químicos e biológicos), que
data de filiação ao Regime Geral de Previdência Social;          acarrete lesão corporal ou perturbação funcional que
                                                                 cause a morte, a perda, ou a redução permanente ou
II - Para o segurado empregado doméstico, contribuinte           temporária da capacidade laborativa. Acidente de
individual, segurado especial (quando contribui,                 qualquer natureza ou causa não é sinônimo de acidente
facultativamente, como contribuinte individual) e                de trabalho, pois engloba também os acidentes comuns,
facultativo, da data do efetivo recolhimento da primeira         sem relação com o trabalho.
contribuição sem atraso, não sendo consideradas para
esse fim as contribuições recolhidas com atraso                      Ainda é possível que segurados obtenham
referentes a competências anteriores; e                          aposentadoria por idade, tempo de contribuição e
                                                                 especial, desde que tenham se filiado ao sistema antes
III - Para o segurado especial não contribuinte                  de 24 de julho de 1991, data da Lei nº. 8.213/91, sem
individual, o período de carência é contado a partir do          cumprir toda a carência exigida. Até a Lei nº. 8.213/91 o
efetivo exercício da atividade rural.                            período de carência para esses benefícios era de 60
    A concessão das prestações pecuniárias do Regime             (sessenta) contribuições mensais. Para preservar a
Geral de Previdência Social depende dos seguintes                expectativa de direito desses segurados foi criada uma
períodos de carência:                                            tabela transitória que só será extinta em 2011. Exemplo:
I – 12 (doze) contribuições mensais, nos casos de                segurado filiado antes de 24/11/91 e com 65 (sessenta
auxílio-doença e aposentadoria por invalidez; e                  e cinco) anos em 2009. Nessa condição basta
                                                                 comprovar 168 (cento e sessenta e oito) contribuições
II – 180 (cento e oitenta) contribuições mensais, nos            mensais.
casos de aposentadoria por idade, tempo de
contribuição e especial.
III – 10 (dez) contribuições mensais, no caso de salário-            Salário-de-Benefício
maternidade, para as seguradas contribuinte individual,              Salário-de-benefício é o valor básico utilizado para
especial e facultativa. A segurada especial não                  cálculo da renda mensal dos benefícios de prestação
necessita contribuir, basta comprovar o exercício de             continuada, inclusive os regidos por normas especiais,
atividade rural nos últimos 10 (dez) meses                       exceto o salário-família, a pensão por morte, o salário-
imediatamente anteriores à data do parto ou do                   maternidade e os demais benefícios de legislação
requerimento do benefício, quando requerido antes do             especial.
parto, mesmo que de forma descontínua.                               O salário-de-benefício consiste:
    Em caso de parto antecipado, o período de carência           I - para as aposentadorias por idade e por tempo de
a que se refere o item III será reduzido em número de            contribuição, na média aritmética simples dos maiores
contribuições equivalente ao número de meses em que              salários-de-contribuição correspondentes a 80% (oitenta
o parto foi antecipado.                                          por cento) de todo o período contributivo, multiplicada
    Independe de carência a concessão das seguintes              pelo fator previdenciário;
prestações:                                                      II - para as aposentadorias por invalidez e especial,
I - pensão por morte, auxílio-reclusão, salário-família e        auxílio-doença e auxílio-acidente na média aritmética
auxílio-acidente de qualquer natureza;                           simples      dos     maiores  salários-de-contribuição
II - salário-maternidade, para as seguradas empregada,           correspondentes a 80% (oitenta por cento) de todo o
empregada doméstica e trabalhadora avulsa;                       período contributivo;
III - auxílio-doença e aposentadoria por invalidez nos                Apesar do item I determinar a aplicação do fator
casos de acidente de qualquer natureza ou causa, bem             previdenciário para a aposentadoria por idade e por
como nos casos de segurado que, após filiar-se ao                tempo de contribuição, este só é obrigatório no caso da
Regime Geral de Previdência Social, for acometido de             aposentadoria por tempo de contribuição, sendo a sua
alguma das doenças ou afecções especificadas em lista            aplicação facultativa para a aposentadoria por idade.
elaborada pelos Ministérios da Saúde e da Previdência                O valor do salário-de-benefício não será inferior ao
e Assistência Social a cada três anos, de acordo com os          de um salário mínimo, nem superior ao limite máximo do
critérios de estigma, deformação, mutilação, deficiência         salário-de-contribuição na data de início do benefício.
ou outro fator que lhe confira especificidade e gravidade              Serão considerados para cálculo do salário-de-
que mereçam tratamento particularizado;                          benefício os ganhos habituais do segurado empregado,
IV - aposentadoria por idade ou por invalidez, auxílio-          a qualquer título, sob forma de moeda corrente ou de
doença, auxílio-reclusão ou pensão por morte aos                 utilidades, sobre os quais tenha incidido contribuição
segurados especiais, desde que comprovem o exercício             previdenciária.

Prof. Bernardo Machado                                                                     DIREITO PREVIDENCIÁRIO
                                                            39
Todos os salários-de-contribuição utilizados no             I - quando o segurado satisfizer, em relação a cada
cálculo do salário-de-benefício serão corrigidos, mês a         atividade, as condições para obtenção do benefício
mês, de acordo com a variação integral do Índice                requerido, o salário-de-benefício será calculado com
Nacional de Preço ao Consumidor - INPC, referente ao            base na soma dos respectivos salários-de-contribuição;
período decorrido a partir da primeira competência do           II - quando não se verificar a hipótese do item anterior, o
salário-de-contribuição que compõe o período básico de          salário-de-benefício corresponderá à soma das
cálculo até o mês anterior ao do início do benefício, de        seguintes parcelas:
modo a preservar o seu valor real.
                                                                a) o salário-de-benefício calculado com base nos
     Para fins de apuração do salário-de-benefício de           salários-de-contribuição das atividades em relação às
qualquer aposentadoria precedida de auxílio-acidente, o         quais são atendidas as condições do benefício
valor mensal deste será somado ao salário-de-                   requerido; e
contribuição, não podendo o total apurado ser superior
ao limite máximo do salário-de-contribuição.                    b) um percentual da média do salário-de-contribuição de
                                                                cada uma das demais atividades, equivalente à relação
                                                                entre o número de meses completos de contribuição e
    Fator Previdenciário                                        os do período da carência do benefício requerido; e
    O fator previdenciário será calculado considerando-         III - quando se tratar de benefício por tempo de
se a idade, a expectativa de sobrevida e o tempo de             contribuição, o percentual de que trata a alínea "b" do
contribuição do segurado ao se aposentar, mediante a            item anterior será o resultante da relação entre os anos
fórmula:                                                        completos de atividade e o número de anos de
                                                                contribuição considerado para a concessão do
                                                                benefício.


                                                                    Renda Mensal do Benefício
    Onde:                                                            A renda mensal do benefício será o valor
                                                                efetivamente pago ao segurado. Ou seja, os benefícios,
                                                                quando calculados pelo salário-de-benefício, têm a
f = fator previdenciário;                                       incidência de um percentual, constituindo, assim, a
Es = expectativa de sobrevida no momento da                     renda mensal do benefício.
aposentadoria;                                                       A renda mensal do benefício de prestação
Tc = tempo de contribuição até o momento da                     continuada que substituir o salário-de-contribuição ou o
aposentadoria;                                                  rendimento do trabalho do segurado não terá valor
                                                                inferior ao do salário mínimo nem superior ao limite
Id = idade no momento da aposentadoria; e                       máximo do salário-de-contribuição, exceto o aposentado
a = alíquota de contribuição correspondente a 0,31.             por invalidez que necessite do auxílio permanente de
                                                                terceiros (acréscimo de 25% no benefício) e a
                                                                percipiente do salário-maternidade.
    A expectativa de sobrevida do segurado na idade da
aposentadoria será obtida a partir da tábua completa de             A renda mensal do benefício de prestação
mortalidade construída pela Fundação Instituto                  continuada será calculada aplicando-se sobre o salário-
Brasileiro de Geografia e Estatística, para toda a              de-benefício os seguintes percentuais:
população brasileira, considerando-se a média nacional          I - auxílio-doença – 91% (noventa e um por cento) do
única para ambos os sexos.                                      salário-de-benefício;
   Para efeito da aplicação do fator previdenciário ao          II - aposentadoria por invalidez – 100% (cem por cento)
tempo de contribuição do segurado serão adicionados:            do salário-de-benefício;
I – 5 (cinco) anos, quando se tratar de mulher; ou               III - aposentadoria por idade – 70% (setenta por cento)
II – 5 (cinco) ou 10 (dez) anos, quando se tratar,              do salário-de-benefício, mais 1% (um por cento) deste
respectivamente, de professor ou professora, que                por grupo de 12 (doze) contribuições mensais, até o
comprovem exclusivamente tempo de efetivo exercício             máximo de 30% (trinta por cento);
das funções de magistério na educação infantil e no             IV - aposentadoria por tempo de contribuição:
ensino fundamental e médio.                                     a) para a mulher – 100% (cem por cento) do salário-de-
                                                                benefício aos 30 (trinta) anos de contribuição;
    Disposições Gerais sobre o Salário-de-Benefício             b) para o homem – 100% (cem por cento) do salário-de-
     O salário-de-benefício do segurado que contribui em        benefício aos 35 (trinta e cinco) anos de contribuição; e
razão de atividades concomitantes será calculado com            c) 100% (cem por cento) do salário-de-benefício, para o
base na soma dos salários-de-contribuição das                   professor aos 30 (trinta) anos, e para a professora aos
atividades exercidas até a data do requerimento ou do           25 (vinte e cinco) anos de contribuição e de efetivo
óbito ou no período básico de cálculo, nas normas               exercício em função de magistério na educação infantil,
seguintes:                                                      no ensino fundamental ou no ensino médio;


Prof. Bernardo Machado                                                                   DIREITO PREVIDENCIÁRIO
                                                           40
V - aposentadoria especial – 100% (cem por cento) do               Os benefícios com renda mensal superior a 1 (um)
salário-de-benefício; e                                        salário mínimo serão pagos do 1º (primeiro) ao 5º
VI - auxílio-acidente – 50% (cinqüenta por cento) do           (quinto) dia útil do mês subseqüente ao de sua
salário-de-benefício.                                          competência, observada a distribuição proporcional do
                                                               número de beneficiários por dia de pagamento.
No cálculo do valor da renda mensal do benefício serão
computados:                                                         Os benefícios com renda mensal no valor de até 1
                                                               (um) salário mínimo serão pagos no período
I - para o segurado empregado e o trabalhador avulso,          compreendido entre o 5º (quinto) dia útil que anteceder
os salários-de-contribuição referentes aos meses de            o final do mês de sua competência e o 5º (quinto) dia
contribuições devidas, ainda que não recolhidas pela           útil do mês subseqüente, observada a distribuição
empresa, sem prejuízo da respectiva cobrança e da              proporcional dos beneficiários por dia de pagamento.
aplicação das penalidades cabíveis;
II - para o segurado empregado, o trabalhador avulso e
o segurado especial, o valor do auxílio-acidente,
considerado como salário-de-contribuição para fins de              PRESTAÇÕES PREVIDENCIÁRIAS
concessão de qualquer aposentadoria; e
III - Para os demais segurados somente serão
computados os salários-de-contribuição referentes aos              O Regime Geral de Previdência Social compreende
meses de contribuição efetivamente recolhida.                  as seguintes prestações, expressas em benefícios e
                                                               serviços:
                                                                   • Quanto ao segurado:
    No caso de segurado empregado ou de trabalhador
avulso que tenham cumprido todas as condições para a                   a) aposentadoria por invalidez;
concessão do benefício pleiteado, mas não possam                       b) aposentadoria por idade;
comprovar o valor dos seus salários-de-contribuição no                 c) aposentadoria por tempo de contribuição;
período básico de cálculo, considerar-se-á para o
cálculo do benefício, no período sem comprovação do                    d) aposentadoria especial;
valor do salário-de-contribuição, o valor do salário                   e) auxílio-doença;
mínimo, devendo esta renda ser recalculada quando da
                                                                       f) salário-família;
apresentação de prova dos salários-de-contribuição.
                                                                       g) salário-maternidade; e
    Para o segurado empregado doméstico que, mesmo
tendo satisfeito as condições exigidas para a concessão                h) auxílio-acidente;
do benefício requerido, não possa comprovar o efetivo              • Quanto ao dependente:
recolhimento das contribuições devidas, será concedido
                                                                       a) pensão por morte; e
o benefício de valor mínimo, devendo sua renda ser
recalculada quando da apresentação da prova do                         b) auxílio-reclusão; e
recolhimento das contribuições.                                    • Quanto ao segurado e dependente: reabilitação
     O valor mensal da pensão por morte ou do auxílio-             profissional.
reclusão será de cem por cento do valor da
aposentadoria que o segurado recebia ou daquela a que
teria direito se estivesse aposentado por invalidez na             Aposentadoria por Invalidez
data de seu falecimento.                                       Evento determinante: incapacidade permanente para o
    Após a cessação do auxílio-doença decorrente de            trabalho e insuscetível de reabilitação para o exercício
acidente de qualquer natureza ou causa, tendo o                de atividade que lhe garanta a subsistência, estando ou
segurado retornado ou não ao trabalho, se houver               não o segurado em gozo de auxílio-doença.
agravamento ou seqüela que resulte na reabertura do            Ou seja, a aposentadoria por invalidez, diferentemente
benefício, a renda mensal será igual a noventa e um por        do auxílio-acidente, pode ser um benefício imediato,
cento do salário-de-benefício do auxílio-doença                não tendo que o beneficiário receber o auxílio-doença
cessado, corrigido até o mês anterior ao da reabertura         antes do recebimento da aposentadoria por invalidez.
do benefício, pelos mesmos índices de correção dos             Beneficiários: todos os segurados.
benefícios em geral.
                                                               Carência: 12 CM (ou nenhuma – acidente de qualquer
                                                               natureza e algumas doenças).
   Reajustamento do Valor e Pagamento dos                      Renda mensal do benefício: 100% do SB.
Benefícios
                                                               Data do início do pagamento:
    Os valores dos benefícios em manutenção serão
reajustados, na mesma data de reajuste do salário                  • Ao segurado empregado a contar do 16º (décimo
mínimo, pro rata, de acordo com suas respectivas datas             sexto) dia do afastamento da atividade ou a partir da
de início ou do último reajustamento, com base no                  data da entrada do requerimento, se entre o
Índice Nacional de Preços ao Consumidor - INPC,                    afastamento e a entrada do requerimento
apurado pela Fundação Instituto Brasileiro de Geografia            decorrerem mais de 30 (trinta) dias;
e Estatística - IBGE.

Prof. Bernardo Machado                                                                   DIREITO PREVIDENCIÁRIO
                                                          41
• Ao segurado empregado doméstico, contribuinte                • Mulher 60 anos – caso exerça atividade rural 55
   individual, trabalhador avulso, especial ou                    anos
   facultativo, a contar da data do início da                  Beneficiários: todos os segurados.
   incapacidade ou da data da entrada do
   requerimento, se entre essas datas decorrerem               Carência: 180 CM.
   mais de 30 (trinta) dias.                                   Renda mensal do benefício: 70% do SB +1% a cada
    Durante os primeiros 15 (quinze) dias de                   12 CM.
afastamento consecutivos da atividade por motivo de            Data do início do pagamento:
invalidez, caberá à empresa pagar ao segurado
                                                                  • Ao segurado empregado, inclusive o doméstico:
empregado o salário.
                                                                  a) a partir da data do desligamento do emprego,
    A doença ou lesão de que o segurado já era
                                                                  quando requerida até 90 (noventa) dias depois dela;
portador ao filiar-se ao Regime Geral de Previdência
                                                                  ou
Social não lhe conferirá direito à aposentadoria por
invalidez, salvo quando a incapacidade sobrevier por              b) a partir da data do requerimento, quando não
motivo de progressão ou agravamento dessa doença ou               houver desligamento do emprego ou quando for
lesão.                                                            requerida após o prazo da alínea "a"; e
    O valor da aposentadoria por invalidez do segurado            • Para os demais segurados, a partir da data da
que necessitar da assistência permanente de outra                 entrada do requerimento.
pessoa será acrescido de 25% (vinte e cinco por cento),
ainda que ultrapasse o limite máximo legal.
                                                                  Aposentadoria por Tempo de Contribuição:
    O aposentado por invalidez que retornar
                                                               Evento determinante: tempo de contribuição.
voluntariamente à atividade terá sua aposentadoria
automaticamente cessada, a partir da data do retorno.             • Homem 35 anos – caso exerça atividade de
   Verificada a recuperação da capacidade de trabalho             magistério na educação infantil, ensino fundamental
do aposentado por invalidez, serão observadas as                  e médio, será devida ao professor aos 30 anos de
normas seguintes:                                                 contribuição.

    • Quando a recuperação for total e ocorrer                    • Mulher 30 anos – caso exerça atividade de
dentro de 5 (cinco) anos contados da data do início da            magistério na educação infantil, ensino fundamental
aposentadoria por invalidez ou do auxílio-doença que a            e médio, será devida à professora aos 25 anos de
antecedeu sem interrupção, o beneficio cessará:                   contribuição.
a) de imediato, para o segurado empregado que tiver            Beneficiários: todos os segurados, exceto o especial,
direito a retornar à função que desempenhava na                quando não contribui facultativamente como contribuinte
empresa ao se aposentar, na forma da legislação                individual, além do CI e facultativo que contribuem com
trabalhista, valendo como documento, para tal fim, o           11% sobre o menor salário-de-contribuição.
certificado de capacidade fornecido pela previdência           Carência: 180 CM.
social; ou                                                     Renda mensal do benefício: 100% do SB.
b) após tantos meses quantos forem os anos de                  Data do início do pagamento:
duração do auxílio-doença e da aposentadoria por
invalidez, para os demais segurados; e                              • Ao segurado empregado, inclusive o doméstico:
     • Quando a recuperação for parcial ou ocorrer             a) a partir da data do desligamento do emprego, quando
após o período previsto acima, ou ainda quando o               requerida até 90 (noventa) dias depois dela; ou
segurado for declarado apto para o exercício de                b) a partir da data do requerimento, quando não houver
trabalho diverso do qual habitualmente exercia, a              desligamento do emprego ou quando for requerida após
aposentadoria será mantida, sem prejuízo da volta à            o prazo da alínea "a"; e
atividade:                                                          • Para os demais segurados, a partir da data da
a) pelo seu valor integral, durante 6 (seis) meses                  entrada do requerimento.
contados da data em que for verificada a recuperação
da capacidade;
                                                                  Observação:
b) com redução de 50% (cinqüenta por cento), no
período seguinte de 6 (seis) meses; e                                Considera-se função de magistério a exercida por
                                                               professor, quando exercida em estabelecimento de
c) com redução de 75% (setenta e cinco por cento),             educação básica em seus diversos níveis e
também por igual período de 6 (seis) meses, ao término         modalidades, incluídas, além do exercício da
do qual cessará definitivamente.                               docência, as funções de direção de unidade escolar
                                                               e as de coordenação e assessoramento pedagógico.
   Aposentadoria por Idade:
Evento determinante: idade avançada.
   • Homem 65 anos – caso exerça atividade rural 60
   anos

Prof. Bernardo Machado                                                                DIREITO PREVIDENCIÁRIO
                                                          42
Aposentadoria Especial:                                       Beneficiários: todos os segurados.
Evento determinante: exposição não ocasional nem                  Carência: 12 CM (ou nenhuma – acidente de qualquer
intermitente (contínua e habitual) a agentes nocivos              natureza e algumas doenças).
físicos, químicos, ou biológicos prejudiciais à saúde ou à        Renda mensal do benefício: 91% do SB.
integridade física, durante 15 (quinze), 20 (vinte) ou 25
(vinte e cinco) anos.                                             Data do início do pagamento:
Beneficiários: em tese, todos os segurados. Entretanto                • Ao segurado empregado a contar do 16º (décimo
apenas os segurados empregado, trabalhador avulso,                    sexto) dia do afastamento da atividade ou a partir da
contribuinte individual (cooperado filiado a cooperativa              data da entrada do requerimento, se entre o
de trabalho ou produção) conseguem demonstrar                         afastamento e a entrada do requerimento
exposição contínua e habitual durante todo o período.                 decorrerem mais de 30 (trinta) dias;
Carência: 180 CM.                                                     • Ao segurado empregado doméstico, contribuinte
                                                                      individual, trabalhador avulso, especial ou
Renda mensal do benefício: 100% do SB.
                                                                      facultativo, a contar da data do início da
Data do início do pagamento:                                          incapacidade ou da data da entrada do
    • Ao segurado empregado:                                          requerimento, se entre essas datas decorrerem
                                                                      mais de 30 (trinta) dias.
a) a partir da data do desligamento do emprego, quando
requerida até 90 (noventa) dias depois dela; ou                       Durante os primeiros 15 (quinze) dias de
                                                                  afastamento consecutivos da atividade por motivo de
b) a partir da data do requerimento, quando não houver            doença, caberá à empresa pagar ao segurado
desligamento do emprego ou quando for requerida após              empregado o salário.
o prazo da alínea "a"; e
                                                                        Não será devido auxílio-doença ao segurado que se
    • Para os demais segurados, a partir da data da               filiar ao Regime Geral de Previdência Social já portador
    entrada do requerimento.                                      de doença ou lesão invocada como causa para a
    A comprovação da efetiva exposição do segurado                concessão do benefício, salvo quando a incapacidade
aos agentes nocivos será feita mediante formulário                sobrevier por motivo de progressão ou agravamento
denominado perfil profissiográfico previdenciário (PPP),          dessa doença ou lesão.
na forma estabelecida pela Previdência Social, emitido                 O auxílio-doença do segurado que exercer mais de
pela empresa ou seu preposto, com base em laudo                   uma atividade abrangida pela previdência social será
técnico de condições ambientais do trabalho (LTCAT)               devido mesmo no caso de incapacidade apenas para o
expedido por médico do trabalho ou engenheiro de                  exercício de uma delas, devendo a perícia médica ser
segurança do trabalho.                                            conhecedora de todas as atividades que o mesmo
    O PPP é o documento histórico-laboral do                      estiver exercendo.
trabalhador, segundo modelo instituído pela Previdência                Quando o segurado que exercer mais de uma
Social, que, entre outras informações, deve conter                atividade se incapacitar definitivamente para uma delas,
registros ambientais, resultados de monitoração                   deverá o auxílio-doença ser mantido indefinidamente,
biológica e dados administrativos. O PPP deverá ser               não cabendo sua transformação em aposentadoria por
entregue ao trabalhador quando da rescisão do contrato            invalidez, enquanto essa incapacidade não se estender
de trabalho ou do desligamento do cooperado.                      às demais atividades.
    É vedado o retorno ao exercício de atividade                      Se concedido novo benefício decorrente da mesma
exposto a agente nocivos do segurado percipiente de               doença dentro de 60 (sessenta) dias contados da
aposentadoria especial, sendo a sua aposentadoria                 cessação do benefício anterior, a empresa fica
cessada a partir da data do retorno à atividade. Apesar           desobrigada do pagamento relativo aos 15 (quinze)
da legislação previdenciária mencionar o termo cessar,            primeiros dias de afastamento, prorrogando-se o
na verdade a aposentadoria especial é suspensa, visto             benefício anterior e descontando-se os dias
que o segurado tem um direito adquirido. No momento               trabalhados, se for o caso.
que parar de trabalhar exposto a agente nocivo a
aposentadoria deverá ser paga novamente.                              Se o segurado empregado, por motivo de doença,
                                                                  afastar-se do trabalho durante 15 (quinze) dias,
     É permitida a conversão de tempo de atividade sob            retornando à atividade no 16º (décimo sexto) dia, e se
condições especiais em tempo de atividade, também,                dela voltar a se afastar dentro de 60 (sessenta) dias
sob condições especiais e conversão de tempo de                   desse retorno, em decorrência da mesma doença, fará
atividade sob condições especiais em tempo de                     jus ao auxílio doença a partir da data do novo
atividade comum. É vedada a conversão de tempo de                 afastamento.
atividade comum em tempo de atividade sob condições
especiais.                                                             O segurado empregado em gozo de auxílio-doença
                                                                  é considerado pela empresa como licenciado.
                                                                  Entretanto, a empresa que garantir ao segurado licença
    Auxílio-doença                                                remunerada ficará obrigada a pagar-lhe durante o
Evento determinante: incapacidade temporária para o               período de auxílio-doença a eventual diferença entre o
seu trabalho ou para a sua atividade habitual por mais            valor deste e a importância garantida pela licença. Essa
de 15 (quinze) dias consecutivos.                                 diferença paga pela empresa é conhecida como

Prof. Bernardo Machado                                                                    DIREITO PREVIDENCIÁRIO
                                                             43
complementação do auxílio-doença, geralmente prevista            segurada especial (atividade rural nos últimos 10
em acordo ou convenção coletiva de trabalho. Caso                meses, ainda que de forma descontínua).
essa diferença seja paga a todos os empregados da                Renda mensal do benefício:
empresa, não será considerada salário-de-contribuição.
                                                                     • Empregada e trabalhadora avulsa: remuneração;
                                                                     • Empregada doméstica: seu último salário-de-
    Salário-família
                                                                     contribuição;
Evento determinante: filho ou equiparado menor de 14
                                                                     • Segurada especial: um salário mínimo;
(quatorze) anos ou inválido, e segurado de baixa renda
(com remuneração igual ou inferior à R$ 862,11).                     • Contribuinte individual, facultativa e para as que
Beneficiários: empregado, exceto o doméstico, avulso,                mantenham a qualidade de segurada: 1/12 (um
o empregado e avulso aposentado por invalidez ou por                 doze) avos da soma dos doze últimos salários-de-
idade ou em gozo de auxílio-doença e os demais                       contribuição, apurados em período não superior a
empregados e avulsos aposentados com 65 anos ou                      15 (quinze) meses.
mais de idade, se do sexo masculino, ou de 60 anos ou            Data do início do pagamento: em regra, início 28
mais, se do feminino.                                            (vinte e oito) dias antes e término 91 (noventa e um)
Carência: não há.                                                dias depois do parto.

Renda mensal do benefício: R$ 29,41 para os                          Em casos excepcionais, os períodos de repouso
segurados com renda mensal não superior a R$ 573,58              anterior e posterior ao parto podem ser aumentados de
e R$ 20,73 para os segurados com remuneração                     mais duas semanas, mediante atestado médico
mensal superior a R$ 573,58 e igual ou inferior a R$             específico.
862,11.                                                             Em caso de parto antecipado ou não, a segurada
Data do início do pagamento: O pagamento do                      tem direito aos 120 (cento e vinte) dias de licença.
salário-família será devido a partir da data da                      Em caso de aborto não criminoso, comprovado
apresentação da certidão de nascimento do filho ou da            mediante atestado médico, a segurada terá direito ao
documentação relativa ao equiparado, estando                     salário-maternidade correspondente a duas semanas.
condicionado à apresentação anual de atestado de                     O salário-maternidade é devido à segurada da
vacinação obrigatória, até 6 (seis) anos de idade, e de          Previdência Social que adotar ou obtiver guarda judicial
comprovação semestral de freqüência à escola do filho            para fins de adoção de criança com idade:
ou equiparado, a partir dos 7 (sete) anos de idade.
                                                                     • Até 1 (um) ano completo, por 120 (cento e vinte)
    Quando o pai e a mãe são segurados empregados                    dias;
ou trabalhadores avulsos, ambos têm direito ao salário-
família.                                                             • A partir de 1 (um) ano até 4 (quatro) anos
                                                                     completos, por 60 (sessenta) dias; ou
     Tendo havido divórcio, separação judicial ou de fato
dos pais, ou em caso de abandono legalmente                          • A partir de 4 (quatro) anos até completar 8 (oito)
caracterizado ou perda do pátrio-poder, o salário-família            anos, por 30 (trinta) dias.
passará a ser pago diretamente àquele a cujo cargo                   O salário-maternidade da empregada será devido
ficar o sustento do menor, ou a outra pessoa, se houver          pela previdência social enquanto existir a relação de
determinação judicial nesse sentido.                             emprego.
    O direito ao salário-família cessa automaticamente:               Durante o período de graça (prazo de manutenção
    • Por morte do filho ou equiparado, a contar do mês          da qualidade de segurada), a segurada desempregada
    seguinte ao do óbito;                                        fará jus ao recebimento do salário-maternidade nos
                                                                 casos de demissão antes da gravidez, ou, durante a
    • Quando o filho ou equiparado completar quatorze            gestação, nas hipóteses de dispensa por justa causa ou
    anos de idade, salvo se inválido, a contar do mês            a pedido, situações em que o benefício será pago
    seguinte ao da data do aniversário;                          diretamente pela previdência social.
    • Pela recuperação da capacidade do filho ou                     O salário-maternidade não pode ser acumulado com
    equiparado inválido, a contar do mês seguinte ao da          benefício    por   incapacidade.      Quando  ocorrer
    cessação da incapacidade; ou                                 incapacidade em concomitância com o período de
    • Pelo desemprego do segurado.                               pagamento do salário-maternidade, o benefício por
                                                                 incapacidade, conforme o caso, deverá ser suspenso
                                                                 enquanto perdurar o referido pagamento, ou terá sua
    Salário-maternidade                                          data de início adiada para o primeiro dia seguinte ao
Evento determinante: nascimento,           aborto   não-         término do período de cento e vinte dias.
criminoso, adoção ou guarda judicial.                                A segurada aposentada que retornar à atividade
Beneficiários: todas as seguradas.                               fará jus ao pagamento do salário-maternidade.
Carência: não há para as seguradas empregada,
inclusive doméstica, e trabalhadora avulsa. 10 CM para
as seguradas contribuinte individual, facultativa e


Prof. Bernardo Machado                                                                   DIREITO PREVIDENCIÁRIO
                                                            44
• Em caso de desaparecimento do segurado por
   Auxílio-acidente                                                motivo de catástrofe, acidente ou desastre, a contar
                                                                   da data da ocorrência, mediante prova hábil.
Evento determinante: seqüela definitiva decorrente de
acidente de qualquer natureza, com redução da                      O cônjuge ausente somente fará jus ao benefício a
capacidade laborativa.                                         partir da data de sua habilitação e mediante prova de
                                                               dependência econômica, não excluindo do direito a
Beneficiários: empregado, exceto         o   doméstico,        companheira ou o companheiro.
trabalhador avulso, segurado especial.
                                                                   O cônjuge divorciado ou separado judicialmente ou
Carência: não há.                                              de fato, que recebia pensão de alimentos, receberá a
Renda mensal do benefício: 50% do SB (pode ser                 pensão em igualdade de condições com os demais
inferior ao mínimo, por não ser um benefício que               dependentes.
substitua a remuneração ou o salário-de-contribuição do           A pensão por morte, havendo mais de um
segurado).                                                     pensionista, será rateada entre todos, em partes iguais.
Data do início do pagamento: a partir do dia seguinte          Reverterá em favor dos demais dependentes a parte
ao da cessação do auxílio-doença.                              daquele cujo direito à pensão cessar.
   Ou seja, a auxílio-acidente, diferentemente da                 O pagamento da cota individual da pensão por
aposentadoria por invalidez, não é um benefício                morte cessa:
imediato, tendo que o beneficiário receber o auxílio-
                                                                   • Pela morte do pensionista;
doença antes do recebimento do auxílio-acidente.
                                                                   • Para o pensionista menor de idade, ao completar
    O recebimento de salário ou concessão de outro
                                                                   21 (vinte e um) anos, salvo se for inválido, ou pela
benefício, exceto de aposentadoria, não prejudicará a
                                                                   emancipação, ainda que inválido, exceto, neste
continuidade do recebimento do auxílio-acidente.
                                                                   caso, se a emancipação for decorrente de colação
    Na aposentadoria, o valor do auxílio-acidente                  de grau científico em curso de ensino superior; ou
entrará no cálculo do salário-de-benefício, como se
                                                                   • Para o pensionista inválido, pela cessação da
fosse remuneração.
                                                                   invalidez, verificada em exame médico-pericial a
    A perda da audição, em qualquer grau, somente                  cargo da previdência social.
proporcionará a concessão do auxílio-acidente quando,
além do reconhecimento do nexo entre o trabalho e o                • Pela adoção, para o filho adotado que receba
agravo, resultar, comprovadamente, na redução ou                   pensão por morte dos pais biológicos.
perda da capacidade para o trabalho que o segurado                 Não se aplica o disposto no caso de adoção quando
habitualmente exercia.                                         o cônjuge ou companheiro adota o filho do outro.
    Cabe a concessão de auxílio-acidente oriundo de
acidente de qualquer natureza ocorrido durante o                   Auxílio-reclusão
período de manutenção da qualidade de segurado,
desde que atendidas às condições inerentes à espécie.          Evento determinante: efetivo recolhimento à prisão do
                                                               segurado que não receber remuneração da empresa
                                                               nem estiver em gozo de auxílio-doença, aposentadoria
   Pensão por Morte                                            ou abono de permanência em serviço, desde que o seu
Evento determinante: morte do segurado.                        último salário-de-contribuição seja inferior ou igual a R$
                                                               862,11.
Beneficiários: dependentes.
                                                               Beneficiários: dependentes.
Carência: não há.
                                                               Carência: não há.
Renda mensal do benefício: 100% (cem por cento) do
valor da aposentadoria que o segurado recebia ou               Renda mensal do benefício: 100% (cem por cento) do
daquela a que teria direito se estivesse aposentado por        valor da aposentadoria a que teria direito se estivesse
invalidez na data de seu falecimento.                          aposentado por invalidez na data de sua reclusão.

   Data do início do pagamento:                                Data do início do pagamento: A data de início do
                                                               benefício será fixada na data do efetivo recolhimento do
   • Do óbito, quando requerido até 30 (trinta) dias           segurado à prisão, se requerido até 30 (trinta) dias
   depois deste;                                               depois desta, ou na data do requerimento, se posterior.
   • Do requerimento, quando requerida após o prazo                 O pedido de auxílio-reclusão deve ser instruído com
   de 30 (trinta) dias;                                        certidão do efetivo recolhimento do segurado à prisão,
   • Da decisão judicial, no caso de morte presumida.          firmada pela autoridade competente.
    A pensão poderá ser concedida, em caráter                      O beneficiário deverá apresentar trimestralmente
provisório, por morte presumida:                               atestado de que o segurado continua detido ou recluso,
                                                               firmado pela autoridade competente.
   • Mediante sentença declaratória de ausência,
   expedida por autoridade judiciária, a contar da data            O exercício de atividade remunerada pelo segurado
   de sua emissão; ou                                          recluso em cumprimento de pena em regime fechado ou
                                                               semi-aberto que contribuir na condição de segurado


Prof. Bernardo Machado                                                                  DIREITO PREVIDENCIÁRIO
                                                          45
contribuinte individual ou caso contribua como segurado               • De 501 (quinhentos e um) a 1000                (mil)
facultativo não acarreta perda do direito ao recebimento              empregados, 4% (quatro por cento); ou
do auxílio-reclusão pelos seus dependentes.
                                                                      • Mais de 1000 (mil) empregados, 5% (cinco por
    Falecendo o segurado detido ou recluso, o auxílio-                cento).
reclusão que estiver sendo pago será automaticamente
convertido em pensão por morte.
                                                                          OUTRAS QUESTÕES SOBRE
    Abono Anual                                                                 BENEFÍCIOS
   Será devido abono anual ao segurado e ao
dependente que, durante o ano, recebeu auxílio-                       Decadência e Prescrição
doença, auxílio-acidente, aposentadoria, salário-                     É de 10 (dez) anos o prazo de decadência de todo e
maternidade, pensão por morte ou auxílio-reclusão.                qualquer direito ou ação do segurado ou beneficiário
    O abono anual será calculado, no que couber, da               para a revisão do ato de concessão de benefício, a
mesma forma que a gratificação natalina dos                       contar do dia primeiro do mês seguinte ao do
trabalhadores, tendo por base o valor da renda mensal             recebimento da primeira prestação ou, quando for o
do benefício do mês de dezembro de cada ano.                      caso, do dia em que tomar conhecimento da decisão
    O recebimento de benefício por período inferior a             indeferitória definitiva no âmbito administrativo.
doze meses, dentro do mesmo ano, determina o cálculo                   Prescreve em 05 (cinco anos), a contar da data em
do abono anual de forma proporcional.                             que deveriam ter sido pagas, toda e qualquer ação para
    O período igual ou superior a quinze dias, dentro do          haver prestações vencidas ou quaisquer restituições ou
mês, será considerado como mês integral para efeito de            diferenças devidas pela previdência social, salvo o
cálculo do abono anual.                                           direito dos menores, incapazes e ausentes, na forma do
                                                                  Código Civil.
                                                                      Não é considerado pedido de revisão de decisão
    Habilitação e Reabilitação Profissional                       indeferitória definitiva, mas de novo pedido de benefício,
Evento determinante: incapacidade total ao parcial do             o que vier acompanhado de outros documentos além
beneficiário para o trabalho, gerando a necessidade de            dos já existentes no processo.
uma assistência (re)educativa e de (re)adaptação                      Não terá seqüência eventual pedido de revisão de
profissional, visando proporcionar o reingresso no                decisão indeferitória definitiva de benefício confirmada
mercado de trabalho e no contexto em que vivem.                   pela última instância do Conselho de Recursos da
Beneficiários: segurados e dependentes.                           Previdência Social, aplicando-se, no caso de
Carência: não há.                                                 apresentação de outros documentos, além dos já
                                                                  existentes no processo, o disposto no parágrafo
Renda mensal do benefício: não há.                                anterior.
Data do início do pagamento: não há                                   As ações referentes à prestação por acidente do
    O trabalho habilitação e reabilitação profissional            trabalho prescrevem em 5 (cinco) anos, contados da
será     executado      por   equipe   multiprofissional          data:
especializada em medicina, serviço social, psicologia,                • do acidente, quando dele resultar a morte ou a
sociologia, fisioterapia, terapia ocupacional e outras                incapacidade temporária, verificada esta em perícia
afins ao processo, sempre que possível na localidade                  médica a cargo da Previdência Social; ou
do domicílio do beneficiário, ressalvadas as situações
excepcionais em que este terá direito à reabilitação                  • em que for reconhecida pela Previdência Social, a
profissional fora dela.                                               incapacidade permanente ou o agravamento das
                                                                      seqüelas do acidente.
    A habilitação e reabilitação profissional é devida em
caráter    obrigatório    aos     segurados,     inclusive            O direito da Previdência Social de anular os atos
aposentados, e, de acordo com as possibilidades                   administrativos de que decorram efeitos favoráveis para
administrativas, técnicas, financeiras e as condições             os seus beneficiários decai em dez anos, contados da
locais do órgão, aos seus dependentes.                            data em que foram praticados, salvo comprovada má-
                                                                  fé.
    A empresa com 100 (cem) ou mais empregados
está obrigada a preencher de 2% (dois por cento) a 5%                No caso de efeitos patrimoniais contínuos, o prazo
(cinco por cento) de seus cargos com beneficiários                decadencial contar-se-á da percepção do primeiro
reabilitados ou pessoas portadoras de deficiência,                pagamento.
habilitadas, na seguinte proporção:
    • Até 200 (duzentos) empregados, 2% (dois por                     Acumulação de Benefícios
    cento);                                                           Salvo no caso de direito adquirido, não é permitido o
    • De 201 (duzentos e um) a 500 (quinhentos)                   recebimento conjunto dos seguintes benefícios da
    empregados, 3% (três por cento);                              previdência social, inclusive quando decorrentes de
                                                                  acidente do trabalho:


Prof. Bernardo Machado                                                                     DIREITO PREVIDENCIÁRIO
                                                             46
I - aposentadoria com auxílio-doença;                            previdência social se compensarão financeiramente,
II - mais de uma aposentadoria;                                  segundo critérios estabelecidos em lei”.
III - aposentadoria com abono de permanência em                      Ou seja, a contagem recíproca é o instituto em que
serviço;                                                         os segurados contam o tempo de contribuição entre
                                                                 regimes de previdência diferentes, onde os mesmos se
IV - salário-maternidade com auxílio-doença;                     compensam financeiramente, sendo assegurado:
V - mais de um auxílio-acidente;                                     • Para fins dos benefícios previstos no Regime
VI - mais de uma pensão deixada por cônjuge;                         Geral de Previdência Social, o cômputo do tempo
VII - mais de uma pensão deixada por companheiro ou                  de contribuição na administração pública; e
companheira;                                                         • Para fins de emissão de certidão de tempo de
VIII - mais de uma pensão deixada por cônjuge e                      contribuição - CTC, pelo Instituto Nacional do
companheiro ou companheira; e                                        Seguro Social, para utilização no serviço público, o
                                                                     cômputo do tempo de contribuição na atividade
IX - auxílio-acidente com qualquer aposentadoria.                    privada, rural e urbana.
   No caso dos itens VI, VII e VIII é facultado ao                   Entretanto, é vedada a conversão de tempo de
dependente optar pela pensão mais vantajosa.                     serviço exercido em atividade sujeita a condições
    É vedado o recebimento conjunto do seguro-                   especiais, em tempo de contribuição comum, bem como
desemprego com qualquer benefício de prestação                   a contagem de qualquer tempo de serviço fictício.
continuada da previdência social, exceto pensão por                 O tempo de contribuição será contado de acordo
morte,   auxílio-reclusão, auxílio-acidente, auxílio-            com a legislação pertinente, observadas as seguintes
suplementar ou abono de permanência em serviço.                  normas:
    O segurado recluso, ainda que contribua como
                                                                     • Não será admitida a contagem em dobro ou em
contribuinte individual ou segurado facultativo, não faz
                                                                     outras condições especiais;
jus aos benefícios de auxílio-doença e de aposentadoria
durante a percepção, pelos dependentes, do auxílio-                  • É vedada a contagem de tempo de contribuição
reclusão, permitida a opção, desde que manifestada,                  no serviço público com o de contribuição na
também, pelos dependentes, pelo benefício mais                       atividade privada, quando concomitantes;
vantajoso.                                                           • Não será contado por um regime o tempo de
                                                                     contribuição   utilizado   para concessão de
                                                                     aposentadoria por outro regime;
    Do Reconhecimento da Filiação
    Reconhecimento de filiação é o direito do segurado               • O tempo de contribuição anterior ou posterior à
de ter reconhecido, em qualquer época, o tempo de                    obrigatoriedade de filiação à previdência social
exercício de atividade anteriormente abrangida pela                  somente será contado mediante observância,
previdência social.                                                  quanto ao período respectivo, reconhecimento de
                                                                     tempo de filiação; e
    O reconhecimento de filiação pode ser feito de duas
formas: indenização ou retroação da data de início das               • O tempo de contribuição do segurado trabalhador
contribuições.                                                       rural anterior à competência novembro de 1991 será
                                                                     computado, desde que o respectivo período seja
    A indenização é quando um segurado deseja                        indenizado.
recolher contribuições à previdência social em relação a
período que, apesar de ter exercido atividade                        A certidão de tempo de contribuição, para fins de
remunerada, não era filiado obrigatoriamente ao RGPS.            averbação do tempo em outros regimes de previdência,
Um clássico exemplo é o de uma segurada empregada                somente será expedida pelo Instituto Nacional do
doméstica que trabalhava antes de 1972, pois antes               Seguro Social após a comprovação da quitação de
desta data essa segurada não era segurada obrigatória.           todos os valores devidos, inclusive de eventuais
                                                                 parcelamentos de débito.
     Já a retroação da data de início das contribuições é
quando o segurado contribuinte individual manifesta                  As aposentadorias e demais benefícios resultantes
interesse em recolher contribuições relativas a período          da contagem de tempo de contribuição serão
anterior à sua inscrição, desde que comprovado o                 concedidos e pagos pelo regime a que o interessado
exercício de atividade remunerada no respectivo                  pertencer ao requerê-los e o seu valor será calculado na
período.                                                         forma da legislação pertinente.


    Contagem Recíproca                                               Justificação Administrativa
    Determina a Constituição Federal, no seu art. 201,                 A justificação administrativa constitui recurso
§9º que: “Para efeito de aposentadoria, é assegurada a           utilizado para suprir a falta ou insuficiência de
contagem recíproca do tempo de contribuição na                   documento ou produzir prova de fato ou circunstância
administração pública e na atividade privada, rural e            de interesse dos beneficiários, perante a previdência
urbana, hipótese em que os diversos regimes de                   social, sendo processada sem ônus para o interessado.



Prof. Bernardo Machado                                                                   DIREITO PREVIDENCIÁRIO
                                                            47
Somente será admitido o processamento de                       • O que é parte interessada; e
justificação administrativa na hipótese de ficar
                                                                    • O que intervém em nome de uma parte, como
evidenciada a inexistência de outro meio capaz de
                                                                    tutor na causa do menor.
configurar a verdade do fato alegado, e o início de prova
material apresentado levar à convicção do que se                     A homologação da justificação judicial processada
pretende comprovar.                                              com base em prova exclusivamente testemunhal
                                                                 dispensa    a   justificação    administrativa,     se
    O processo de justificação administrativa é parte de
                                                                 complementada com início razoável de prova material.
processo antecedente, vedada sua tramitação na
condição de processo autônomo.
   Não caberá recurso da decisão da autoridade                      Do Recurso
competente do Instituto Nacional do Seguro Social que                 Das decisões proferidas pelo INSS poderão os
considerar    eficaz   ou   ineficaz  a    justificação          interessados, quando não conformados, interpor recurso
administrativa.                                                  ordinário às Juntas de Recursos – JR do CRPS
     Não será admitida a justificação administrativa             (Conselho de Recursos da Previdência Social).
quando o fato a comprovar exigir registro público de                 Das decisões proferidas no julgamento do recurso
casamento, de idade ou de óbito, ou de qualquer ato              ordinário, ressalvadas as matérias de alçada das Juntas
jurídico para o qual a lei prescreva forma especial.             de Recursos, poderão os segurados, as empresas e os
    A justificação administrativa ou judicial, no caso de        órgãos do INSS, quando não conformados, interpor
prova de tempo de contribuição, dependência                      recurso especial às Câmaras de Julgamento, na forma
econômica, identidade e de relação de parentesco,                do Regimento Interno do CRPS.
somente produzirá efeito quando baseada em início de                 Das matérias de alçada da Junta de Recursos,
prova    material,   não     sendo     admitida     prova        conforme definido no Regimento Interno do CRPS, não
exclusivamente testemunhal.                                      caberá interposição de recurso para as Câmaras de
    Entretanto, no caso de prova de tempo de                     Julgamento.
contribuição é dispensado o início de prova material                 Havendo interposição de recurso do interessado
quando houver ocorrência de motivo de força maior ou             contra decisão do INSS, o processo deverá ser
caso fortuito.                                                   reanalisado e, se reformada totalmente a decisão, será
     Caracteriza motivo de força maior ou caso fortuito a        atendido o pedido reclamado. Caso contrário, o
verificação de ocorrência notória, tais como incêndio,           processo deverá ser encaminhado para a JR, para
inundação ou desmoronamento, que tenha atingido a                julgamento. No caso de reforma parcial da decisão do
empresa na qual o segurado alegue ter trabalhado,                INSS, o processo terá curso relativamente à parte
devendo ser comprovada mediante registro da                      objeto da controvérsia.
ocorrência policial feito em época própria ou                         É de trinta dias o prazo comum às partes para a
apresentação de documentos contemporâneos dos                    interposição de recurso e para o oferecimento de
fatos, e verificada a correlação entre a atividade da            contrarrazões, contados:
empresa e a profissão do segurado.
                                                                    • Para o segurado e para a empresa, a partir da
    Se a empresa não estiver mais em atividade, deverá              data da intimação da decisão; e
o interessado juntar prova oficial de sua existência no
período que pretende comprovar.                                     • Para o INSS, a partir da data da protocolização do
                                                                    recurso ou da entrada do recurso pelo interessado
    O interessado poderá indicar testemunhas idôneas,               ou representante legal na unidade do INSS que
em número não inferior a três nem superior a seis, cujos            proferiu a decisão, devendo esta ocorrência ficar
depoimentos possam levar à convicção da veracidade                  registrada nos autos, prevalecendo a data que
do que se pretende comprovar, não podendo ser                       ocorrer primeiro.
testemunhas:
                                                                      Expirado o prazo de trinta dias da data em que foi
    • O que, acometido por enfermidade ou por                    interposto o recurso pelo segurado ou pela empresa,
    debilidade mental à época de ocorrência dos fatos,           sem que haja contrarrazões, os autos serão
    não podia discerni-los ou, ao tempo sobre o qual             imediatamente encaminhados para julgamento pelas
    deve depor, não estiver habilitado a transmitir as           Juntas de Recursos ou Câmara de Julgamento do
    percepções;                                                  CRPS, conforme o caso, sendo considerados como
    • Os menores de dezesseis anos;                              contrarrazões do INSS os motivos do indeferimento.
    • O cego e o surdo, quando a ciência do fato                     O recurso intempestivo do interessado não gera
    depender dos sentidos que lhes faltam;                       qualquer efeito, mas deve ser encaminhado ao
                                                                 respectivo órgão julgador com as devidas contrarrazões
    • O cônjuge, bem como o ascendente e o                       do INSS, onde deve estar apontada a ocorrência da
    descendente em qualquer grau;                                intempestividade.
    • O colateral, até terceiro grau, assim como os
    irmãos e as irmãs, os tios e tias, os sobrinhos e
    sobrinhas, os cunhados e as cunhadas, as noras e
    os genros ou qualquer outro por consanguinidade
    ou por afinidade;

Prof. Bernardo Machado                                                                  DIREITO PREVIDENCIÁRIO
                                                            48
PREVIDÊNCIA SOCIAL DO SERVIDOR PÚBLICO                         benefício é de 100% (cem por cento) da média das
    As principais regras de funcionamento dos Regimes              remunerações dos servidores.
Próprios de Previdência Social – RPPS – são previstas                   Cabe ressaltar que para a aposentadoria voluntária
no art. 40 da CF/88. O citado artigo foi alterado em               por tempo de contribuição, os requisitos idade e tempo
diversos pontos pela EC nº 41/03.                                  de contribuição serão reduzidos em 5 (cinco) anos para
     É importante ressaltar que o próprio caput do art. 40         o professor que comprove exclusivamente tempo de
foi modificado, determinando o caráter contributivo e              efetivo exercício das funções de magistério na
solidário    do    regime     previdenciário,    mediante          educação infantil e no ensino fundamental e médio.
contribuição do respectivo ente público, dos servidores                 É vedada a adoção de requisitos e critérios
ativos e inativos e dos pensionistas, observados                   diferenciados para a concessão de aposentadoria aos
critérios que preservem o equilíbrio financeiro e atuarial.        abrangidos pelo regime de que trata este artigo,
    O presente material tem como escopo o estudo                   ressalvados,   nos    termos   definidos  em    leis
atual da Previdência Social do Servidor Público, não               complementares, os casos de servidores:
sendo abordadas as regras de transição (art. 2º da EC                  • Portadores de deficiência;
nº 41/03; art. 6º da EC nº 41/03 e art. 3º da EC nº
                                                                       • Que exerçam atividades de risco;
47/03).
                                                                       • Cujas atividades sejam exercidas sob condições
                                                                       especiais que prejudiquem a saúde ou a integridade
   BENEFÍCIOS   DO    SERVIDOR    PÚBLICO                              física.
PREVISTOS NA CONSTITUIÇÃO FEDERAL
    A CF/88 prevê dois benefícios previdenciários ao
                                                                       Pensão por Morte:
servidor público: aposentadoria e pensão por morte.
                                                                       Conforme preconiza o art. 40, § 7º da CF/88, lei
                                                                   disporá sobre a concessão do benefício de pensão por
    Aposentadoria:                                                 morte, que será igual:
    Conforme preconiza o art. 40, § 1º da CF/88, o                 I - ao valor da totalidade dos proventos do servidor
servidor público abrangido pelo regime de previdência              falecido, até o limite máximo estabelecido para os
serão aposentados:                                                 benefícios do regime geral de previdência social de que
I - Por invalidez permanente, sendo os proventos                   trata o art. 201 (atualmente, R$ 3.689,66), acrescido de
proporcionais ao tempo de contribuição, exceto se                  70% (setenta por cento) da parcela excedente a este
decorrente de acidente em serviço, moléstia profissional           limite, caso aposentado à data do óbito; ou
ou doença grave, contagiosa ou incurável, na forma da              II - ao valor da totalidade da remuneração do servidor
lei;                                                               no cargo efetivo em que se deu o falecimento, até o
II - Compulsoriamente, aos setenta anos de idade, com              limite máximo estabelecido para os benefícios do
proventos proporcionais ao tempo de contribuição;                  regime geral de previdência social de que trata o art.
                                                                   201 (atualmente, R$ 3.689,66), acrescido de 70%
III - Voluntariamente, desde que cumprido tempo
                                                                   (setenta por cento) da parcela excedente a este limite,
mínimo de dez anos de efetivo exercício no serviço
                                                                   caso em atividade na data do óbito.
público e cinco anos no cargo efetivo em que se dará a
aposentadoria, observadas as seguintes condições:                       Dessa forma, imaginemos um servidor público
                                                                   aposentado, auferindo o valor de R$ 5.000,00 a título de
a) sessenta anos de idade e trinta e cinco de
                                                                   aposentadoria. Uma vez ocorrido o óbito do citado
contribuição, se homem, e cinqüenta e cinco anos de
                                                                   servidor, seus dependentes terão direito a pensão por
idade e trinta de contribuição, se mulher;
                                                                   morte no valor de R$ 3.689,66, acrescido de 70% da
b) sessenta e cinco anos de idade, se homem, e                     diferença, ou seja, R$ 917,24 (70% x R$ 1.310,31).
sessenta anos de idade, se mulher, com proventos                   Portanto, o valor da pensão por morte será de R$
proporcionais ao tempo de contribuição.                            4.606,90 (quatro mil e seiscentos e seis reais e noventa
    Na aposentadoria por invalidez, assim como na                  centavos), lembrando que o valor excedente ao limite
aposentadoria compulsória, o cálculo é proporcional ao             máximo do RGPS ainda há a contribuição de inativos,
tempo de contribuição. Dessa forma, um servidor                    em regra no percentual de 11% (onze por cento).
público que se aposenta por invalidez, tendo apenas 15                  Cabe ressaltar que essa regra só é aplicável para
anos de contribuição, irá receber 15/35 da média de                os óbitos ocorridos em momento posterior à sua
suas remunerações.                                                 regulamentação. Apesar de a regulamentação ter sido
     A aposentadoria voluntária se divide em duas                  feita pela MP nº 167/04, quando da conversão da lei, a
formas: por idade ou por tempo de contribuição (com                mesma fixou como marco para o redutor da pensão por
idade mínima de 60 (sessenta) anos para homem e 30                 morte os óbitos a partir de 21 de junho de 2004, data de
(trinta) anos para a mulher).                                      publicação da Lei nº 10.887/04.
    O cálculo da aposentadoria voluntária por idade é
proporcional, nos mesmos moldes vistos na
aposentadoria por invalidez e compulsória. Já a
aposentadoria voluntária por tempo de contribuição, o


Prof. Bernardo Machado                                                                     DIREITO PREVIDENCIÁRIO
                                                              49
Observação 1:                                                portanto, tratamento isonômico entre os beneficiários do
      Os proventos de aposentadoria e as pensões, por            RGPS e RPPS.
ocasião de sua concessão, não poderão exceder a                       A contribuição dos inativos e pensionistas incidirá
remuneração do respectivo servidor, no cargo efetivo             apenas sobre as parcelas de proventos de
em que se deu a aposentadoria ou que serviu de                   aposentadoria e de pensão que superem o dobro do
referência para a concessão da pensão.                           limite máximo estabelecido para os benefícios do
        Para o cálculo dos proventos de aposentadoria,           regime geral de previdência social de que trata o art.
por ocasião da sua concessão, serão consideradas as              201 desta Constituição (atualmente, R$ 3.689,66),
remunerações (e não as contribuições versadas, tendo             quando o beneficiário, na forma da lei, for portador de
em vista a ausência de contribuição no passado)                  doença incapacitante.
utilizadas como base para as contribuições do servidor
aos regimes de previdência (RPPS e RGPS), na forma
da lei.                                                                       OUTRAS QUESTÕES
      Ressalvadas as aposentadorias decorrentes dos                           PREVISTAS NA CF/88
cargos acumuláveis na forma desta Constituição, é
vedada a percepção de mais de uma aposentadoria à
conta do RPPS.                                                       Abono de Permanência em Serviço:
                                                                     Conforme determina o art. 40, § 19 da CF/88, o
                                                                 servidor que tenha completado as exigências para
   CONTRIBUIÇÃO         DO   SERVIDOR      INATIVO     E         aposentadoria voluntária por idade, e que opte por
PENSIONISTA                                                      permanecer em atividade fará jus a um abono de
     Questão controvertida inserida pelo Poder                   permanência equivalente ao valor da sua contribuição
Constituinte Derivado (EC nº 41/03) foi a contribuição do        previdenciária até completar as exigências para
servidor inativo ou pensionista do RPPS.                         aposentadoria compulsória.
     O art. 40, § 18 da CF/88 determina: “Incidirá
contribuição sobre os proventos de aposentadorias e                  Único Regime Próprio por Ente Federativo:
pensões concedidas pelo regime de que trata este
artigo que superem o limite máximo estabelecido para                  Conforme determina o art. 40, § 20 da CF/88, fica
os benefícios do regime geral de previdência social de           vedada a existência de mais de um regime próprio de
que trata o art. 201, com percentual igual ao                    previdência social para os servidores titulares de cargos
estabelecido para os servidores titulares de cargos              efetivos, e de mais de uma unidade gestora do
efetivos.”                                                       respectivo regime em cada ente estatal, ressalvado o
                                                                 disposto no art. 142, § 3º, X da CF/88.
    Dessa forma, um servidor público aposentado, que
venha auferir R$ 5.000,00 a título de aposentadoria, irá
contribuir para o RPPS com a alíquota de 11% em                      LEI Nº 10.887/04
relação à diferença que ultrapassar o limite máximo do               A Lei nº 10.887/04 visa dispor sobre a aplicação de
RGPS (atualmente, R$ 3.689,66), ou seja, R$ 144,14               disposições da EC nº 41/03.
(11% x R$ 1.310,34).
                                                                     Dessa forma, determina que no cálculo das
    Objeto de diversas ADI, a taxação dos inativos foi           aposentadorias dos servidores titulares de cargo efetivo
declarada constitucional pelo STF, tendo a decisão se            de qualquer dos Poderes da União, dos Estados, do
baseado no princípio da solidariedade, onde os                   Distrito Federal e dos Municípios, incluídas suas
servidores inativos ou pensionistas devem versar                 autarquias e fundações, será considerada a média
contribuições para o RPPS com o intuito de ajudar a              aritmética simples das maiores remunerações, utilizadas
manter a rede protetiva, independente da época da                como base para as contribuições do servidor aos
aquisição do direito ou da solicitação do benefício,             regimes de previdência a que esteve vinculado,
devendo a contribuição versar apenas sobre os valores            correspondentes a 80% (oitenta por cento) de todo o
que ultrapassem o limite máximo do RGPS (declaração              período contributivo desde a competência julho de 1994
de inconstitucionalidade dos percentuais de 50%                  ou desde a do início da contribuição, se posterior àquela
(cinqüenta por cento) e 60% (sessenta por cento)                 competência.
previstos no art. 4º da EC nº 41/03).
                                                                      Ademais, os proventos, calculados de acordo com o
    Essa       decisão     da     declaração        de           exposto acima, por ocasião de sua concessão, não
inconstitucionalidade   dos    percentuais     citados           poderão ser inferiores ao valor do salário mínimo nem
anteriormente tem como base o princípio da isonomia a            exceder a remuneração do respectivo servidor no cargo
ser observado com o RGPS (art. 195, II da CF/88), uma            efetivo em que se deu a aposentadoria.
vez que o texto constitucional veda a incidência de
contribuição previdenciária sobre aposentadorias e                    Em relação à pensão por morte, a Lei nº 10.887/04
pensões concedidas pelo RGPS. Dessa forma, fez por               limita-se a repetir o previsto no texto constitucional.
bem o STF determinar a incidência da contribuição dos
servidores inativos do RPPS apenas em relação à
parcela que excede o limite máximo do RGPS, dando,


Prof. Bernardo Machado                                                                   DIREITO PREVIDENCIÁRIO
                                                            50
Custeio do RPPS:
    A contribuição social do servidor público ativo de
qualquer dos Poderes da União, incluídas suas
autarquias e fundações, para a manutenção do
respectivo regime próprio de previdência social, será de
11% (onze por cento), incidente sobre a totalidade da
base de contribuição.
    Entende-se como base de contribuição o
vencimento do cargo efetivo, acrescido das vantagens
pecuniárias permanentes estabelecidas em lei, os
adicionais de caráter individual ou quaisquer outras
vantagens, excluídas: as diárias para viagens; a ajuda
de custo em razão de mudança de sede; a indenização
de transporte; o salário-família; o auxílio-alimentação; o
auxílio-creche; as parcelas remuneratórias pagas em
decorrência de local de trabalho; a parcela percebida
em decorrência do exercício de cargo em comissão ou
de função de confiança; e o abono de permanência de
que tratam o § 19 do art. 40 da Constituição Federal, o §
 o             o            o              o
5 do art. 2 e o § 1 do art. 3 da Emenda
                 o
Constitucional n 41, de 19 de dezembro de 2003.
    Em relação a contribuição dos servidores inativos e
pensionistas, a Lei nº 10.887/04 limita-se a repetir o
previsto no texto constitucional.
    A contribuição da União, de suas autarquias e
fundações para o custeio do regime de previdência, de
que trata o art. 40 da CF/88, será o dobro da
contribuição do servidor ativo, devendo o produto de
sua arrecadação ser contabilizado em conta específica.
    Dessa forma, para cada R$ 1,00 (um real) de
contribuição do servidor ativo, a União irá versar R$
2,00 (dois reais) para custear o RPPS.
    A União é responsável pela cobertura de eventuais
insuficiências financeiras do regime decorrentes do
pagamento de benefícios previdenciários.




Prof. Bernardo Machado                                            DIREITO PREVIDENCIÁRIO
                                                             51
SEGURIDADE SOCIAL


                                          - Direito de todos e dever do Estado
                      Saúde
                                          - Independe de contribuição



                                          - Direito de todos, desde que tenha a condição de necessitado
Seguridade           Assistência
 Social                 Social
                                          - Independe de contribuição



                                          - Direito de todos (segurado facultativo)
                      Previdência
                        Social
                                          - Depende de contribuição




 Importante!!!
 Princípios da Assistência Social (Art. 203, CF)
 Princípios da Previdência Social (Art. 201, CF)


                           ORGANIZAÇÃO E PRINCÍPIOS CONSTITUCIONAIS

 1) Solidariedade
 2) Universalidade da cobertura e do atendimento
 3) Uniformidade e equivalência dos benefícios e serviços às populações urbanas e rurais
 4) Seletividade e distributividade dos benefícios e serviços
 5) Equidade na forma de participação no custeio
 6) Irredutibilidade do valor dos benefícios
 7) Diversidade da base de financiamento
 8) Caráter democrático e descentralização da administração mediante gestão quadripartite com participação do
 Governo, das empresas, dos trabalhadores e dos aposentados nos órgãos colegiados
 9) Tríplice forma de custeio
 10) Preexistência do custeio em relação ao benefício ou ao serviço


                                        LEGISLAÇÃO PREVIDENCIÁRIA

 Conceito: compreende o conjunto de leis e atos normativos referentes ao funcionamento de todo sistema securitário.
 Fontes: leis e jurisprudência, tendo como principais fontes formais a CF/88, Lei 8.212/91, Lei 8.213/91 e Decreto
 3.048/99.
 Autonomia: é pacífica na doutrina e na jurisprudência a autonomia do direito previdenciário frente aos demais ramos do
 direito, sendo o mesmo enquadrado como ramo do direito público.
 Interpretação: busca a correta mens legis, ou seja, a finalidade da lei ou o seu objetivo.

 Prof. Bernardo Machado                                                                       DIREITO PREVIDENCIÁRIO
                                                                52
Integração: busca preencher as lacunas deixadas pela legislação (analogia, equidade, costumes, princípios gerais do
direito).
Vigência: regra geral, 45 dias da publicação da lei, salvo disposição em contrário.
Hierarquia das normas: constituição prevalece sobre leis, que prevalece sobre decretos... Se houver conflito entre
normas: norma específica prevalece sobre norma genérica e in dúbio pro misero.


                               REGIME GERAL DE PREVIDÊNCIA SOCIAL

                 - RGPS – Trabalhadores da iniciativa privada e servidores públicos não amparados por regime próprio
Previdência
  Social         - RPPS – Servidores públicos efetivos e militares


                                                          - Empregados
                                                          - Trabalhadores avulsos
                   - Segurados       - Obrigatórios       - Empregados domésticos
                                                          - Contribuintes individuais
Beneficiários                                             - Segurados especiais
 do RGPS
                                        - Facultativos


                  - Dependentes



CARACTERÍSTICAS DOS SEGURADOS


                 - Pessoalidade
Empregado        - Não-eventualidade (habitualidade)
                 - Remuneração
                 - Subordinação (jurídica)


                   - Sindicalizado ou não
Trabalhador        - Eventualidade
  avulso           - Sem relação de emprego
                   - Intermediação obrigatório do OGMO ou sindicato


                   - Serviço contínuo
Empregado          - Pessoa ou família
doméstico          - Âmbito residencial
                   - Remuneração
                   - Atividade sem finalidade lucrativa


Contribuinte       - Eventualidade
 individual        - Sem relação de emprego


Segurado           - Pequeno produtor rural (área ≤ 4 módulos fiscais) ou pescador artesanal
especial           - Individualmente ou em regime de economia familiar
                   - Com ou sem o auxílio eventual de terceiros (mútua colaboração)


Prof. Bernardo Machado                                                                  DIREITO PREVIDENCIÁRIO
                                                            53
Regime de            - Subsistência do grupo
economia             - Mútua dependência e colaboração
    familiar         - Sem empregados permanentes


Segurado           - Maior de 16 anos
facultativo        - Não exerce atividade remunerada



Filiação: vínculo jurídico que se cria entre o segurado e o RGPS criando direitos e obrigações. A filiação ocorre para
todos os vínculos.
•      Para os segurados obrigatórios: decorre do exercício da atividade remunerada, salvo o trabalhador rural contratado
       por produtor rural pessoa física por prazo de até dois meses dentro do período de um ano, para o exercício de
       atividades de natureza temporária. Nesse caso, a filiação decorre automaticamente de sua inclusão na GFIP;
•      Para os segurados facultativos: decorre da inscrição com o primeiro pagamento.
Inscrição: mero ato formal, aonde o segurado fornece seus dados para a Previdência. A inscrição ocorre para todos os
vínculos e só é possível a partir dos 16 anos, salvo o menor aprendiz (a partir dos 14 anos).


                                                          Importante!!!
                                 É possível a inscrição post mortem do segurado especial.


EMPRESA
Definição: empresário ou sociedade que assume o risco da atividade econômica, com ou sem finalidade lucrativa,
bem como os órgãos e as entidades da Administração Pública direta, indireta e fundacional.


                     - CI em relação a segurado que lhe presta serviço
                     - Cooperativa, associação ou entidade de qualquer natureza ou finalidade, bem como a missão
Equiparam-se          diplomática e repartição consular
                      - OGMO e operador portuário
                      - Dono da obra, PF, em relação a segurado que lhe presta serviço


Matrícula da empresa:
•      Quando sujeita a inscrição no CNPJ: concomitantemente
•      Quando não sujeita a inscrição no CNPJ: 30 dias do início das atividades
•      SE/PRFP: documento de inscrição do contribuinte


EMPREGADOR DOMÉSTICO


Definição: aquele que contrata a seu serviço empregado doméstico.


                  FINANCIAMENTO DA SEGURIDADE SOCIAL (ÂMBITO FEDERAL)

1) Recursos da União
2) Contribuições sociais
3) Outros recursos




Prof. Bernardo Machado                                                                   DIREITO PREVIDENCIÁRIO
                                                              54
CONTRIBUIÇÕES SOCIAIS


1) Do empregador/empresa:
    a) Sobre a folha de salários e demais rendimentos pagos ou creditados a pessoas físicas que lhe prestem serviços
    mesmo sem vínculo empregatício
    b) Receita ou faturamento
    c) Lucro


2) Dos trabalhadores e demais segurados da Previdência Social, não incidindo contribuição sobre aposentadoria e
pensão concedidas pelo RGPS
3) Sobre a receita de concursos de prognósticos
4) Do importador de bens e serviços


CONTRIBUIÇÕES PREVIDENCIÁRIAS


                                           - Emp/Avul/Dom: 8%, 9% ou 11% x SC
                     - Segurados           - CI/Facultativo: 20% x SC
                                           - Especial: 2,0% + 0,1% (GILRAT) x RBCPR
Contribuintes
                     - Empresa *
                     - Empregador doméstico: 12% x SC


                                           - Emp/Avul: 20% x Rem
                                           - CI: 20% x Rem
                                           - Coop. trabalho: 15% xNFS
                                           - Emp/Avul: 1%, 2% ou 3% x Rem (GILRAT)
Empresa         - Convencional             - Aposentadoria especial:
                                              1) Emp/Avul: 6%, 9% ou 12% x Rem
                                              2) Coop. produção: 6%, 9% ou 12% x Rem
                                              3) Coop. de trabalho: 5%, 7% ou 9% x NFS



                                      - Produtor rural       - PF: 2,1% x RBCPR
                                                             - PJ: 2,6% x RBCPR
Empresa         - Substitutiva        - SIMPLES
                                      - Clube de futebol profissional    - 5,0% x RB espetáculo
                                                                         - 5% x RB patrocínio




                                           SALÁRIO-DE-CONTRIBUIÇÃO

•   Empregados/Avulsos: remuneração
•   Doméstico: remuneração registrada na CTPS
•   CI: remuneração ou pelo exercício de sua atividade por conta própria
•   Facultativo: valor por ele declarado



Prof. Bernardo Machado                                                                   DIREITO PREVIDENCIÁRIO
                                                              55
LIMITES DO SALÁRIO-DE-CONTRIBUIÇÃO


Emp/Avulso/Dom               - Lim. mínimo: piso salarial ou, inexistindo, salário mínimo
                             - Lim. máximo: R$ 3.689,66


CI/Facultativo        - Lim. mínimo: salário mínimo
                      - Lim. máximo: R$ 3.689,66


CARACTERÍSTICAS DAS PARCELAS INTEGRANTES


•   Habitualidade
•   Integração ao patrimônio do trabalhador
•   Pagamento pelo e não para o trabalho
•   Irrelevância do título


PARCELAS INTEGRANTES


                      - Salário-maternidade
    Parcelas          - Férias e respectivo adicional (1/3 constitucional)
Remuneratórias        - 13º salário
                      - Diárias, quando excederem a 50% da remuneração


PARCELAS NÃO-INTEGRANTES


•   Benefícios previdenciários, salvo salário-maternidade
•   Parcelas indenizatórias (Ex: férias indenizadas)
•   Parcelas ressarcitórias (Ex: diárias, quando não excederem a 50% da remuneração)
•   Conquistas sociais (Ex: vale-transporte, PLR, PAT – desde que pagos conformidade com a legislação)
•   Outros benefícios (Ex: assistência médica – desde pago em conformidade com a Lei 8.212/91)


                                    ARRECADAÇÃO DAS CONTRIBUIÇÕES

Empresa: até o dia 20 (contribuição patronal, valores devidos por responsabilidade) (antecipa)
13º salário: até o dia 20 de dezembro (antecipa)
Cooperativa de trabalho: até o dia 20 (equiparada à empresa e desconto dos cooperados) (antecipa)
CI/Facultativo: até dia 15 (postecipa)
Empregador doméstico: até o dia 15 (postecipa)
O empregador doméstico poderá recolher a contribuição do segurado empregado a seu serviço e a parcela a seu cargo
relativas à competência novembro até o dia 20 de dezembro, juntamente com a contribuição referente ao 13º
salário, utilizando-se de um único documento de arrecadação. (antecipa)
Recolhimento trimestral: até o dia 15 após o trimestre civil (CI/Facultativo/Doméstico que contribuem com 1 salário
mínimo) (postecipa)
PRPF ou segurado especial: até o dia 20, sendo o responsável pelo recolhimento o adquirente, consumidor ou
consignatário, salvo se o PRPF ou segurado especial vender diretamente no varejo, a consumidor pessoa física; a outro
PRPF ou a outro segurado especial. (antecipa)
PRPJ: até o dia 20 (antecipa)
Clube de futebol profissional (espetáculo desportivo): 2 dias úteis após o espetáculo desportivo, sendo o responsável a
entidade promotora


Prof. Bernardo Machado                                                                      DIREITO PREVIDENCIÁRIO
                                                                56
Clube de futebol profissional (patrocínio): até o dia 20, sendo o responsável a empresa patrocinadora (antecipa)


                                       RECOLHIMENTO FORA DO PRAZO

1) Juros de mora: SELIC, a partir do primeiro dia do mês subseqüente ao vencimento do prazo até o mês anterior ao do
pagamento e de 1% no mês de pagamento.
2) Multa de mora:
•    1º momento - sem lançamento de ofício: multa de mora calculada à taxa de 0,33% (trinta e três centésimos por
     cento), por dia de atraso, limitado a 20% (vinte por cento).
•    2º momento – lançamento de ofício: de 75% (setenta e cinco por cento) sobre a totalidade ou diferença de imposto
     ou contribuição nos casos de falta de pagamento ou recolhimento, de falta de declaração e nos de declaração
     inexata.
     Sonegação, fraude ou conluio: multa duplicada
     Certos casos previstos na legislação: multa agravada em 50% (Ex: não atendimento pelo sujeito passivo, no prazo
     marcado, de intimação para prestar esclarecimento, entre outras)
Redução da multa de lançamento de ofício:
Prazo para impugnação                 Pagamento: 50%
                                      Parcelamento: 40%
Prazo para interpor recurso             Pagamento: 30%
                                        Parcelamento: 20%


                                            OBRIGAÇÕES ACESSÓRIAS

1) Elaborar folha de pagamento
2) Escrituração em títulos próprios
3) Prestar a SRFB todas as informações cadastrais, financeiras e contábeis, na forma por ela estabelecida, bem como os
esclarecimentos e informações de interesse da fiscalização
4) GFIP


          - Mensalmente
          - Coletiva por estabelecimento
          - Totalização da rubricas
FP                           - Nome e função do segurado
                             - Agrupar por categoria
          - Discriminar      - Destacar seguradas em gozo de salário-maternidade
                             - Destacar parcelas integrante e não do SC e descontos legais
                             - Indicar número de cotas de sal-família atribuída a cada seg.


                      - Livro Diário e Razão
                      - Exigida após 90 dias da ocorrência do fato gerador
                      - Obedecer ao princípio da competência
Contabilidade                                           - Todos os fatos geradores
                                                        - Parcelas integrantes e não do SC
                          - Contas individualizadas     - Desconto dos segurados
                                                        - Contribuição da empresa
                                                        - Total recolhido




Prof. Bernardo Machado                                                                        DIREITO PREVIDENCIÁRIO
                                                              57
Pessoas desobrigadas da apresentação da contabilidade:
1) Pequeno comerciante (pequeno empresário – novo código civil – Art. 970)
2) Pessoas jurídicas tributadas com base no lucro presumido ou optantes pelo SIMPLES, desde que escriturem
devidamente o Livro Caixa e o Livro de Registro de Inventário


             - Recolher o FGTS
             - Informações à Previdência Social
GFIP         - Confissão de dívida
             - Tipificar crime


                                     RESPONSABILIDADE SOLIDÁRIA

1) Grupo econômico
2) Operador portuário e OGMO
3) Consórcio simplificado de produtores rurais
4) Administradores de autarquias, fundações, empresas públicas e SEM sujeitas ao controle da U, E, DF ou M, que se
encontrarem em mora por mais de 30 dias, quanto ao recolhimento das contribuições sociais previdenciárias.
5) Construção civil, empreitada total.


                                             RETENÇÃO DOS 11%

Cessão de mão-de-obra: colocação à disposição da contratante, nas suas dependências ou nas de terceiros, serviços
contínuos, relacionados ou não com a atividade fim da empresa, qualquer que seja a sua forma de contratação, inclusive
por meio de trabalho temporário.
Empreitada: serviço ou tarefa contratado para um fim específico


Serviços sujeitos a retenção dos 11% mediante empreitada ou cessão de mão-de-obra:
•   Limpeza, conservação e zeladoria;
•   Vigilância e segurança;
•   Construção civil;
•   Serviços rurais;
•   Digitação e preparação de dados para processamento.


Demais serviços, somente haverá a retenção se contratado mediante cessão de mão-de-obra.
A compensação poderá ser feita entre os estabelecimentos da empresa.
A competência da compensação corresponderá à data da emissão da nota fiscal. Restando saldo remanescente, a
empresa poderá compensar em competências posteriores.
Caso haja o fornecimento de material ou equipamento, desde que previstos contratualmente, os valores podem ser
reduzidos da base de cálculo.
A retenção será acrescida de 2%, 3% ou 4%, caso o serviço prestado possibilite a concessão de aposentadoria especial
após 25, 20 ou 15 anos, respectivamente.


                                         CONSTITUIÇÃO DO CRÉDITO

Pode ser feito por notificação de lançamento, auto de infração e de confissão de valores devidos e não recolhidos pelo
contribuinte (GFIP).




Prof. Bernardo Machado                                                                DIREITO PREVIDENCIÁRIO
                                                          58
AIOP
                                 30 dias                                       30 dias


                                                              Revelia

                                Defesa                                       Sem defesa



               L. procedente               L. improcedente                    Cobrança
                                                                              amigável
                                                         1
        30 dias                                         *                     (30 dias)


                Recurso ao                     Fim do
                  CARF                       contencioso                    Inscrição em
                                            administrativo                   dívida ativa


L. procedente             L. improcedente

           2
          *
Inscrição em                    Fim do
 dívida ativa                 contencioso
                             administrativo


1
* Cabe recurso de ofício (valor > R$ 1.000.000,00 – principal e multa).
2
* Cobrança amigável (30 dias).



                   - Valores incluídos ou não em NL/AIOP
                    - Limitado a 60 meses (determinado pelos valores mínimos das parcelas)
Parcelamento        - Condição: prévio pagamento da 1ª parcela
                   - Constitui confissão de dívida
                   - Parcela: acréscimo SELIC e 1% no mês do pagamento
                    - Admite-se reparcelamento       - Pagamento 10%
                                                     - Pagamento 20% (histórico de reparc.)


Não podem obter ou ser objeto de parcelamento:
•   Valores descontados dos segurados, sub-rogação e retenção dos 11%. (independente do desconto)
•   Empresas com falência decretada.




Prof. Bernardo Machado                                                                    DIREITO PREVIDENCIÁRIO
                                                             59
- Qualificação do autuado
                        - Local, data e hora da lavratura
Auto de Infração        - Descrição do fato
                        - Disposição legal infringida e a penalidade aplicável
                        - Determinação da exigência e intimação para cumpri-la ou impugná-la
                        - Assinatura do autuante, indicação do cargo e matrícula


Circunstâncias agravantes:
•   Tentativa de suborno (3x)
•   Agir com dolo, fraude ou má-fé (3x)
•   Desacatar o agente da fiscalização (2x)
•   Obstar a ação da fiscalização (2x)
•   Incorre em reincidência (2x) ou (3x)


Gradação da multa:
•   Conforme valores acima (agravantes)
•   Redução de 50% se o pagamento for efetuado no prazo de defesa
•   Redução de 25% se o pagamento for efetuado no prazo para interpor recurso


                                DECADÊNCIA E PRESCRIÇÃO (CUSTEIO)

Decadência: 5 anos, a contar: (Súmula Vinculante nº 8 do STF)
•   Pagamento, ainda que parcial: da ocorrência do fato gerador
•   Sem pagamento: 1º dia do exercício seguinte
•   Dolo, fraude ou simulação: 1º dia do exercício seguinte
•   Anulação do lançamento por vício formal: da anulação
Prescrição: 5 anos, contados da constituição definitiva.


                                      RESTITUIÇÃO E COMPENSAÇÃO

Restituição          - Valores pagos indevidamente ou a maior
Compensação          - Valores atualizados pela SELIC e 1% no mês da efetivação


                      - Transferência de encargo financeiro – provar ter assumido ou estar autorizado a receber
Restituição           - Valores de outras entidades e fundos, salvo arrecadação por convênio


                     - Contribuições previdenciárias correspondentes a períodos subsequentes
                     - Informada em GFIP na competência de sua efetivação
Compensação          - Estar em situação regular
                     - Crédito utilizado entre estabelecimentos da empresa
                     - Facultada a compensação com contribuições sobre o 13º salário
                     - Vedada compensação com contribuições para outras entidades e fundos




Prof. Bernardo Machado                                                                 DIREITO PREVIDENCIÁRIO
                                                            60
Importante!!!
•   Compensação indevida: o sujeito passivo deverá recolher o valor indevidamente compensado, acrescido de juros e
    multa de mora devidos.
•   Na hipótese de compensação indevida, quando se comprove falsidade da declaração apresentada pelo sujeito
    passivo, o contribuinte estará sujeito à multa isolada aplicada no percentual de 75% (setenta e cinco por cento),
    aplicado em dobro, e terá como base de cálculo o valor total do débito indevidamente compensado.


Prescrição: 5 anos, contados:
•   Do pagamento ou do recolhimento indevido, ou
•   Da data em que se tornar definitiva ou passar em julgado a decisão judicial que houver reformado, anulado ou
    revogado a decisão condenatória


                                                   REEMBOLSO

Reembolso           - Salário-família
                    - Salário-maternidade


                                         IMUNIDADE DE CONTRIBUIÇÕES

Vide apostila teórica


                                        PROVA DE INEXISTÊNCIA DE DÉBITO

Situações Gerais:
•   Na licitação, contratação com o Poder Público e no recebimento de benefícios ou incentivos fiscais ou creditícios.
•   Na alienação ou oneração de bem imóvel ou direito a ele relativo.
•   Na alienação ou oneração de bem móvel de valor acima de R$ 38.088,56, incorporado ao ativo permanente da
    empresa.
•   No registro ou arquivamento, de ato relativo à baixa ou redução de firma individual, extinção de sociedade,
    transferência de cotas de sociedade limitada. Em relação a microempresa e empresa de pequeno porte não é
    exigida CND para alteração de atos constitutivos, inclusive para extinção da mesma.


Construção civil:
•   Averbação de obras no registro de imóveis.
•   Incorporador, na inscrição do memorial de incorporação no registro de imóveis.


Produtor rural:
•   Exigida a CND para obtenção de crédito rural, salvo do PRPF ou segurado especial que não são responsáveis pelo
    seu recolhimento.


Contratação de operação de crédito público
•   Exigida a CND na obtenção de empréstimos com instituições que utilizam créditos públicos (FGTS, FAT, caderneta
    de poupança, Fundos Constitucionais...).


Obtenção de verbas dos fundos de participação
•   Exigida a CND dos Estados, DF e Municípios para obtenção das parcelas dos fundos de participação.


Prazo de validade: 180 dias


Prof. Bernardo Machado                                                                   DIREITO PREVIDENCIÁRIO
                                                           61
- Não apresentação de GFIP
Situações impeditivas      - Divergência GFIP x GPS
                           - Débitos existentes


CPD-EN: Emitida quando há débitos com a exigibilidade suspensa, possuindo os mesmos efeitos e prazo da CND.


                               CRIMES CONTRA A SEGURIDADE SOCIAL

Apropriação indébita previdenciária (Art. 168-A, CP):
Pena – reclusão de 2 a 5 anos, e multa
Extinta a punibilidade: se antes do início da ação fiscal o agente declara, confessa e paga os valores devidos.
Facultado ao juiz deixar de aplicar a pena ou aplicar apenas a de multa, se o agente for primário e de bons
antecedentes:
•   Se após o início da ação fiscal, mas antes de oferecida a denúncia, o agente paga os valores
•   Se o valor devido for inferior ao mínimo determinado, administrativamente, pela Previdência Social para o
    ajuizamento de suas execuções fiscais (R$ 10.000,00)


Sonegação de contribuição previdenciária (Art. 337-A, CP):
Pena – reclusão de 2 a 5 anos, e multa
Extinta a punibilidade: se antes do início da ação fiscal o agente declara e confessa os valores.
Facultado ao juiz deixar de aplicar a pena ou aplicar apenas a de multa, se o agente for primário e de bons
antecedentes:
•   Se o valor devido for inferior ao mínimo determinado, administrativamente, pela Previdência Social para o
    ajuizamento de suas execuções fiscais (R$ 10.000,00)
Se o empregador for pessoa física e a sua folha de pagamento for inferior a R$ 1.510,00 (R$ 3.257,37) o juiz pode
reduzir a pena de 1/3 a 1/2 ou aplicar apenas a de multa.


Falsificação de documento público (Art. 297, CP):
Pena – reclusão de 2 a 6 anos, e multa.


       + 1/6 se for funcionário público e falsificar prevalecendo-se do seu cargo


Inserção de dados falsos em sistema de informações (Art. 313-A, CP):
Pena – reclusão de 2 a 12 anos, e multa.


Modificação ou alteração não-autorizada de sistema de informação (Art. 313-B, CP):
Pena – detenção de 3 meses a 2 anos, e multa.


      + 1/3 a 1/2 se causar dano a Administração Pública


Estelionato (Art 171, § 3º, CP):
Pena – reclusão de 1 a 5 anos, e multa.




Prof. Bernardo Machado                                                                     DIREITO PREVIDENCIÁRIO
                                                            62
PLANO DE BENEFÍCIOS DA PREVIDÊNCIA SOCIAL

                        - I – Cônjuge, companheira (o) e o filho não-emancipado, de qualquer condição, menor de 21 anos
                         ou inválido
Dependentes            - II – Pais
                        - III – Irmão não-emancipado, de qualquer condição, menor de 21 anos ou inválido



                       MANUTENÇÃO E PERDA DA QUALIDADE DE SEGURADO

Sem limite de prazo: segurado em gozo de benefício previdenciário
                      - Após cessar benefício por incapacidade, ou deixar de exercer atividade remunerada, ou estiver
                      suspenso ou licenciado sem remuneração *
Até 12 meses          - Após cessar a segregação, o segurado acometido de doença de segregação compulsória
                      - Após o livramento, o segurado detido ou recluso


Até 3 meses: após o licenciamento, o segurado incorporado às Forças Armadas para prestar serviço militar
Até 6 meses: após cessar as contribuições. O segurado facultativo
* Esse prazo será acrescido de mais 12 meses se o segurado tiver mais de 120 CM e mais 12 meses se o desemprego
for registrado no órgão próprio do MTE.


                                                        Importante!!!
A perda da qualidade de segurado não será considerada para a concessão das aposentadorias por tempo de
contribuição, idade e especial.


                                                       CARÊNCIA

12 CM      - Auxílio-doença
           - Aposentadoria por invalidez


             - Aposentadoria por idade
180 CM       - Aposentadoria por tempo de contribuição
             - Aposentadoria especial
                                       - CI
10 CM – Salário-maternidade            - Facultativa
                                       - Segurada especial


Início da carência:
Empregado/Avulso/CI (a partir de 04/2003 que presta serviço a empresa): da data da filiação
Doméstico/CI (demais casos)/Segurado Especial (CI)/Facultativo: 1º recolhimento sem atraso
Segurado Especial: efetivo exercício da atividade rural




Prof. Bernardo Machado                                                                   DIREITO PREVIDENCIÁRIO
                                                             63
SALÁRIO-DE-BENEFÍCIO

Aposentadoria por idade e tempo de contribuição: média aritmética simples dos maiores salários-de-contribuição,
correspondentes a 80% de todo período contributivo, multiplicada pelo fator previdenciário.
Observação: aplicação do fator previdenciário obrigatória para aposentadoria por tempo de contribuição, enquanto que a
aplicação para a aposentadoria por idade é facultativa.
Aposentadoria por invalidez, aposentadoria especial, auxílio-doença e auxílio-acidente: média aritmética simples
dos maiores salários-de-contribuição, correspondentes a 80% de todo período contributivo.




Onde:
f = fator previdenciário;
Es = expectativa de sobrevida no momento da aposentadoria;
Tc = tempo de contribuição até o momento da aposentadoria;
Id = idade no momento da aposentadoria; e
a = alíquota de contribuição correspondente a 0,31.


TC adicionado      - 5 anos: mulher e professor
                    - 10 anos: professora


                                       RENDA MENSAL DO BENEFÍCIO

RMB: % x SB
Auxílio doença: 91% x SB
Aposentadoria por idade: 70% + 1% a cada 12 CM, limitado a 30% x SB
Aposentadoria por invalidez, especial e tempo de contribuição: 100% x SB
Auxílio-acidente: 50% x SB


                REAJUSTAMENTO DO VALOR E PAGAMENTO DOS BENEFÍCIOS

Índice fixado pela lei (Lei 8.213/91), sendo hoje o INPC
Benefícios até 1 salário mínimo: pagamento entre o quinto dia útil que anteceder o final do mês de sua competência e o
quinto dia útil do mês subseqüente
Benefícios superiores a 1 salário mínimo: pagamento do primeiro ao quinto dia útil do mês subseqüente ao de sua
competência




Prof. Bernardo Machado                                                                DIREITO PREVIDENCIÁRIO
                                                           64
Exercícios Aula 01                               04 - Segundo dispõe o art. 196, da CF/88, a saúde é
                                                                 direito de todos e dever do Estado. Diante dessa
(Constituição   Federal/88;   Segurados;    Filiação   e         premissa, assinale a opção que está correta.
Inscrição)                                                       (AFRFB – 2005)
                                                                 a) As ações e serviços públicos de saúde integram uma
01 - No âmbito da Seguridade Social, com sede na                 rede regionalizada e hierarquizada e constituem um
Constituição Federal/88 (art. 194), podemos afirmar:             sistema único, sem a participação da comunidade.
(AFRFB – 2005)                                                   b) O acesso universal igualitário às ações e serviços
a) A seguridade social compreende um conjunto de                 para sua promoção, proteção e recuperação constitui
ações de iniciativa dos Poderes Públicos e da                    garantia constitucional.
sociedade, visando a assegurar os direitos relativos à           c) O sistema único de saúde será financiado, nos
saúde, à vida, à previdência e à assistência social.             termos do art. 195, da CF/88, com recursos
b) A seguridade social compreende um conjunto                    exclusivamente do orçamento, da seguridade social, da
integrado de ações de iniciativa dos Poderes Públicos e          União, dos estados, do Distrito Federal e dos
da sociedade, destinadas a assegurar os direitos                 municípios.
relativos à saúde, à previdência e à assistência social.         d) As ações e serviços de saúde não são de relevância
c) A seguridade social compreende um conjunto de                 pública, cabendo ao Poder Público dispor, nos termos
ações dos Poderes Públicos e da sociedade, destinadas            da lei, sobre sua regulamentação, fiscalização e
a assegurar os direitos relativos à saúde, à previdência         controle, com a execução inclusive através de terceiros.
e à assistência social.                                          e) Independe de lei complementar a instituição de
d) A seguridade social compreende um conjunto                    normas de fiscalização, avaliação e controle das
integrado de ações dos Poderes Públicos e da                     despesas com saúde nas esferas federal, estadual,
sociedade, destinadas a assegurar os direitos relativos          distrital e municipal.
à saúde, à previdência, à vida e à assistência social.
e) A seguridade social compreende um conjunto                    05 - A Saúde é direito de todos e dever do Estado;
integrado de ações de iniciativa dos Poderes Públicos            analise as assertivas abaixo, buscando a correta,
constituídos e da sociedade, destinado a assegurar os            nos termos da definição constitucional da Saúde.
direitos relativos à saúde, à previdência e a assistência        (AFPS – 2002)
social.                                                          a) A manutenção dos índices do risco de doença e de
                                                                 outros agravos constituem garantia constitucional.
02 - À luz da Seguridade Social definida na                      b) O acesso universal e igualitário às ações e serviços
Constituição Federal, julgue os itens abaixo: (AFPS              para sua promoção, proteção e recuperação constitui
– 2002)                                                          garantia constitucional.
I. Previdência Social, Saúde e Assistência Social são            c) As ações e serviços públicos de saúde integram uma
partes da Seguridade Social.                                     rede regionalizada e hierarquizada, constituindo um
II. A saúde exige contribuição prévia.                           sistema múltiplo.
III. A Previdência Social exige contribuição prévia.             d) Atendimento integral, com prioridade para as
IV. A assistência social possui abrangência universal,           atividades repressivas, sem prejuízo dos serviços
sendo qualquer pessoa por ela amparada.                          assistenciais, é característica da saúde.
a) Todos estão corretos.                                         e) O sistema único de saúde será financiado, nos
b) Somente I está incorreto.                                     termos do art. 195, com recursos do orçamento da
c) II e IV estão incorretos.                                     União, dos Estados e dos Municípios.
d) I e II estão incorretos.
e) III e IV estão incorretos.                                    06 - De acordo com a Constituição Federal/88, as
                                                                 instituições poderão participar do Sistema Único de
03 - À luz dos dispositivos constitucionais                      Saúde, segundo diretrizes deste, mediante contrato
referentes à Seguridade Social, julgue os itens                  de direito público ou convênio, tendo preferência as
abaixo: (ATA-MF – 2009)                                          entidades filantrópicas e as sem fins lucrativos,
I. A Seguridade Social pode compreender ações de                 podendo elas participar de forma (Analista
iniciativa da sociedade.                                         Tributário – 2005)
II. Saúde, Previdência e Trabalho compõem a                      a) alternativa.
Seguridade Social.                                               b) supletiva.
III. Compete ao Poder Público organizar a Seguridade             c) complementar.
Social nos termos da lei.                                        d) contributiva.
IV. A Seguridade Social não foi definida na Constituição         e) suspensiva.
Federal de 1988.
a) Todos estão corretos.
b) I e III estão corretos.
c) I e IV estão incorretos.
d) Somente I está incorreto.
e) III e IV estão incorretos.




Prof. Bernardo Machado                                                                   DIREITO PREVIDENCIÁRIO
                                                            65
07 - À luz da competência constitucional da                       12 - Quanto ao financiamento da seguridade social,
Previdência Social, julgue os itens abaixo que são                de acordo com o estabelecido na CF/88 e na
de competência da Previdência Social: (AFPS –                     legislação do respectivo custeio, assinale a opção
2002)                                                             correta. (AFRFB – 2005)
I. cobertura dos eventos de doença, invalidez, morte e            a) A lei não pode instituir outras fontes de custeio além
idade avançada.                                                   daquelas previstas na Constituição Federal.
II. salário-família e auxílio-reclusão para os dependentes        b) São isentas de contribuição para a seguridade social
dos segurados de baixa renda.                                     as entidades beneficentes de assistência social que
III. pensão por morte do segurado, homem ou mulher,               atendam às exigências estabelecidas em lei.
ao cônjuge ou companheiro e dependentes.                          c) As contribuições sociais criadas podem ser exigidas
IV. a promoção da integração ao mercado de trabalho.              no ano seguinte à publicação da respectiva lei.
a) Todos estão corretos.                                          d) Há possibilidade de criar benefício previdenciário sem
b) Somente IV está incorreto.                                     prévio custeio.
c) I e II estão incorretos.                                       e) Mesmo em débito com o sistema da seguridade
d) I e III estão incorretos.                                      social, pode a pessoa jurídica contratar com o poder
e) III e IV estão incorretos.                                     público.

08 - Indique qual das opções está correta com                     13 - Com relação às contribuições sociais, no
relação aos objetivos constitucionais da Seguridade               âmbito da seguridade social, é correto afirmar:
Social: (AFRFB – 2005)                                            (AFRFB – 2005)
a) Irredutibilidade do valor dos serviços.                        a) As contribuições sociais, de que trata o art. 195 da
b) Eqüidade na cobertura.                                         CF/88, só poderão ser exigidas após decorridos noventa
c) Uniformidade e equivalência dos benefícios e                   dias da data da publicação da lei que as houver
serviços às populações urbanas e rurais.                          instituído ou modificado, não se lhes aplicando o
d) Seletividade na prestação dos benefícios e serviços            disposto no art. 150, III, b, da Carta Magna.
às populações urbanas e rurais.                                   b) As contribuições sociais de que trata o art. 195, da
e) Diversidade de atendimento.                                    CF/88, só poderão ser exigidas após decorridos cento e
                                                                  oitenta dias da data da publicação da lei que as houver
09 - A Constituição Federal, no seu art. 194,                     instituído ou modificado, não se lhes aplicando o
parágrafo único, elenca os objetivos da Seguridade                disposto no art. 150, III, b, da Carta Magna.
Social. Entre os quais, está correto: (Analista                   c) São isentas de contribuição para a seguridade social
Tributário – 2005)                                                todas as entidades de assistência social que atendam
a) a diversidade de atendimento.                                  às exigências estabelecidas em lei complementar.
b) a eqüidade na forma de participação no custeio.                d) As contribuições sociais de que trata o art. 195, da
c) a redutibilidade do valor dos benefícios.                      CF/88, só poderão ser exigidas após decorridos noventa
d) a universalidade e a equivalência dos benefícios e             dias da assinatura da lei que as houver instituído ou
serviços às populações urbanas e rurais.                          modificado, não se lhes aplicando o disposto no art.
e) a unicidade da base de financiamento.                          150, III, b, da Carta Magna.
                                                                  e) As contribuições sociais de que trata o art. 195, da
10 - Nos termos da CF/88, no seu art. 194, parágrafo              CF/88, só poderão ser criadas e exigidas após
único, inciso VII, a gestão da Seguridade Social                  decorridos noventa dias da publicação da lei que as
ocorre de forma (Analista Tributário – 2005)                      houver instituído ou modificado, não se lhes aplicando o
a) descentralizada, monocrática e quadripartite.                  disposto no art. 150, III, b, da Carta Magna.
b) centralizada, monocrática e quadripartite.
c) centralizada, colegiada e quadripartite.                       14 - A respeito do financiamento da Seguridade
d) descentralizada, colegiada e tripartite.                       Social, nos termos da Constituição Federal e da
e) descentralizada, democrática e quadripartite.                  legislação de custeio previdenciária, assinale a
                                                                  opção correta. (AFPS – 2002)
11 - A eqüidade na forma de participação do custeio,              a) A pessoa jurídica em débito com o sistema de
como princípio da previdência social, é diretriz                  seguridade social não pode contratar com o poder
dirigida ao legislador ordinário e corolário do                   público.
princípio da solidariedade, procura estabelecer                   b) A lei não pode instituir outras fontes de custeio além
normas que ajustem a capacidade contributiva dos                  das previstas na Constituição Federal.
segurados, podendo, inclusive, variar alíquotas ou                c) Pode-se criar benefício previdenciário sem prévio
diferenciar bases de cálculo em razão da atividade                custeio.
econômica ou da utilização intensiva de mão-de-                   d) As contribuições sociais criadas podem ser exigidas
obra. (AFPS – 2003)                                               no ano seguinte à publicação da lei.
( ) Certo                                                         e) São isentas de contribuição para a seguridade social
( ) Errado                                                        todas as entidades beneficentes de utilidade pública
                                                                  federal.




Prof. Bernardo Machado                                                                    DIREITO PREVIDENCIÁRIO
                                                             66
15 - A respeito da organização e princípios                      território nacional segundo as leis brasileiras com salário
constitucionais da Seguridade Social, assinale a                 estipulado em moeda estrangeira.
opção incorreta. (AFPS – 2002)                                   b) o brasileiro ou o estrangeiro domiciliado e contratado
a) As contribuições sociais da empresa podem ter                 no Brasil para trabalhar como empregado no exterior,
alíquotas diferenciadas.                                         em sucursal ou em agência de empresa constituída sob
b) O orçamento da seguridade social dos entes                    as leis brasileiras e que tenha sede e administração no
federados descentralizados é distinto do orçamento da            País.
União.                                                           c) o brasileiro ou o estrangeiro domiciliado e contratado
c) Pode ser dada remissão para as contribuições sociais          no Brasil para trabalhar como empregado em empresa
das empresas sobre a folha de salários.                          domiciliada no exterior, com maioria de capital votante
d) A lei definirá critério de transferência de recursos          pertencente a empresa constituída sob as leis
para o sistema único de saúde.                                   brasileiras, que tenha sede e administração no País e
e) Poderá haver contribuição social do trabalhador               cujo controle efetivo esteja em caráter permanente sob
sobre o lucro e o faturamento.                                   a titularidade direta ou indireta de pessoas físicas
                                                                 domiciliadas e residentes no Brasil.
16 - A instituição de novas fontes de financiamento              d) o estrangeiro que presta serviços no Brasil a missão
destinadas a garantir a manutenção ou a expansão                 diplomática ou a repartição consular de carreira
da seguridade social, além das previstas no texto                estrangeira, ainda que sem residência permanente no
constitucional, é matéria reservada à competência                Brasil, e o brasileiro amparado pela legislação
residual da União, razão pela qual serão                         previdenciária do país da respectiva missão diplomática
observados, entre outros critérios, a exigência de lei           ou da repartição consular.
complementar,      a    não-cumulatividade     e     a           e) o menor aprendiz, com idade de quatorze a dezoito
necessidade de que o fato gerador ou a base de                   anos, ainda que sujeito à formação técnico-profissional
cálculo da nova contribuição sejam distintos em                  metódica, sob a orientação de entidade qualificada, nos
relação aos impostos previstos na Constituição.                  termos da lei.
(AFPS – 2003)
( ) Certo                                                        20- Segundo a consolidação administrativa das
( ) Errado                                                       normas gerais de tributação previdenciária e de
                                                                 arrecadação         das       contribuições      sociais
17 - Assinale a opção correta entre as assertivas                administradas       pela     Secretaria    da    Receita
abaixo relacionadas à organização e princípios                   Previdenciária       –     SRP,      deve      contribuir
constitucionais da Seguridade Social. (ATA-MF –                  obrigatoriamente na qualidade de “segurado-
2009)                                                            empregado”: (Analista Tributário – 2005)
a) Diversidade da base de financiamento é objetivo da            ( ) o diretor empregado que seja promovido para
Seguridade Social.                                               cargo de direção de sociedade anônima, mantendo as
b) O valor dos benefícios pode ser diminuído                     características inerentes à relação de trabalho?
gradativamente.                                                  ( ) o trabalhador contratado em tempo certo, por
c) Pode haver benefícios maiores para a população                empresa de trabalho temporário?
urbana em detrimento da rural.                                   ( ) aquele que presta serviços de natureza contínua,
d) A gestão da Seguridade Social é ato privativo do              mediante remuneração, à pessoa, à família ou à
Poder Público.                                                   entidade familiar, no âmbito residencial desta, em
e) Os serviços previdenciários devem ser sempre os               atividade sem fins lucrativos?
mesmos, independente do destinatário.                            a) Sim, sim, sim
                                                                 b) Sim, não, não
18 - Além das inúmeras contribuições sociais                     c) Sim, não, sim
instituídas no texto da Constituição Federal, há                 d) Sim, sim, não
possibilidade de instituição de novas espécies de                e) Não, não, não
contribuição social? Assinale a assertiva que
responde incorretamente à pergunta formulada.                    21 - O art. 11, § 1º, do Regulamento da Previdência
(ATA-MF – 2009)                                                  Social, dispõe sobre os segurados facultativos. Não
a) Pode haver contribuição social com o mesmo fato               está entre os segurados facultativos expressamente
gerador de outra já existente.                                   previstos no citado dispositivo: (AFRFB – 2005)
b) O rol de contribuições sociais não é taxativo.                a) Aquele que deixou de ser segurado obrigatório da
c) Há previsão constitucional de competência residual.           previdência social.
d) A diversidade da base de financiamento permite                b) A dona de casa.
outras contribuições sociais.                                    c) O síndico de condomínio, quando não remunerado.
e) A União pode instituir outras contribuições sociais.          d) O brasileiro que acompanha cônjuge que presta
                                                                 serviço no exterior.
19 - Não está previsto, em caso algum, como                      e) O estudante universitário.
segurado-empregado obrigatório da Previdência
Social do Brasil (Analista Tributário – 2005)
a) o trabalhador contratado no exterior para trabalhar no
Brasil em empresa constituída e funcionando em


Prof. Bernardo Machado                                                                    DIREITO PREVIDENCIÁRIO
                                                            67
22 - Não é filiado obrigatório ao RGPS, na qualidade           c) O empregado de organismo oficial internacional ou
de segurado empregado, (AFRFB – 2005)                          estrangeiro em funcionamento no Brasil, ainda que
a) aquele que presta serviço de natureza urbana ou             coberto por regime próprio de previdência social.
rural à empresa, em caráter não-eventual, com                  d) O exercente de mandato eletivo federal, estadual ou
subordinação e mediante remuneração.                           municipal, desde que não vinculado a regime próprio de
b) o contratado em caráter permanente em Conselho,             previdência social.
Ordem ou autarquia de fiscalização do exercício de             e) O brasileiro ou estrangeiro domiciliado e contratado
atividade profissional.                                        no Brasil para trabalhar como empregado em empresa
c) o menor aprendiz, com idade de quatorze a dezoito           domiciliada no exterior, cuja maioria do capital votante
anos, sujeito a formação técnica-profissional metódica.        pertença a empresa brasileira de capital nacional.
d) o trabalhador temporário contratado por empresa de
trabalho temporário para atender à necessidade                 25 - Não é segurado facultativo da Previdência
transitória de substituição de seu pessoal regular e           Social: (AFPS – 2002)
permanente ou a acréscimo extraordinário de serviços.          a) pessoa participante de regime próprio de
e) o carregador de bagagem em porto, que presta                previdência.
serviços sem subordinação nem horário fixo, mas sob            b) a dona-de-casa.
remuneração, a diversos, com a intermediação                   c) o síndico de condomínio, quando não remunerado.
obrigatória do sindicato da categoria ou OGMO.                 d) aquele que deixou de ser segurado obrigatório da
                                                               previdência social.
23 - A Lei de Benefícios da Previdência Social (Lei n.         e) o bolsista que se dedique em tempo integral a
8.213/91), no art. 11, elenca como segurados                   pesquisa.
obrigatórios da Previdência Social na condição de
contribuinte individual, entre outros, as seguintes            26 - A respeito do regime geral de previdência social
pessoas físicas, exceto: (AFRFB – 2005)                        e da classificação dos segurados obrigatórios,
a) O brasileiro civil que trabalha no exterior para            assinale a assertiva incorreta. (AFPS – 2002)
organismo oficial internacional do qual o Brasil é             a) Como empregado – aquele que presta serviço de
membro efetivo, ainda que lá domiciliado, e contratado,        natureza urbana ou rural à empresa, em caráter não-
e que coberto por regime próprio de previdência social.        eventual, sob sua subordinação e mediante
b) A pessoa física, proprietária ou não, que explora           remuneração, inclusive como diretor empregado.
atividade de extração mineral – garimpo, em caráter            b) Como trabalhador avulso – quem presta, a diversas
permanente ou temporário, diretamente ou por                   empresas, sem vínculo empregatício, serviço de
intermédio de prepostos, com ou sem o auxílio de               natureza urbana ou rural definidos em Regulamento.
empregados, utilizados a qualquer título, ainda que de         c) Como contribuinte individual – o ministro de confissão
forma não contínua.                                            religiosa e o membro de instituto de vida consagrada, de
c) O ministro de confissão religiosa e o membro de             congregação ou de ordem religiosa.
instituto de vida consagrada, de congregação ou de             d) Como empregado – o titular de firma individual
ordem religiosa.                                               urbana ou rural.
d) Quem presta serviço de natureza urbana ou rural, em         e) Como contribuinte individual – o diretor não-
caráter eventual, a uma ou mais empresas, sem relação          empregado e o membro de conselho de administração
de emprego.                                                    de sociedade anônima.
e) A pessoa física, proprietária ou não, que explora
atividade agropecuária ou pesqueira, em caráter                27 - A inscrição é o ato pelo qual o segurado é
permanente ou temporária, diretamente ou por                   cadastrado no RGPS, por meio de comprovação de
intermédio de prepostos e com auxílio de empregados,           dados pessoais e outros elementos. (Tec. Prev.
utilizados a qualquer título, ainda que de forma não           INSS – 2003)
contínua.                                                      ( ) Certo
                                                               ( ) Errado
24 - A Lei de Benefícios da Previdência Social (Lei n.
8.213/91), no art. 11, elenca como segurados                   28 - A filiação ao RGPS representa ato volitivo em
obrigatórios da Previdência Social na condição de              relação ao trabalhador associado a cooperativa que,
empregado, entre outros, as seguintes pessoas                  nessa qualidade, preste serviços a terceiros. (Tec.
físicas, exceto: (AFRFB – 2005)                                Prev. INSS – 2003)
a) Aquele que presta serviço de natureza urbana ou             ( ) Certo
rural à empresa, em caráter não eventual, sob sua              ( ) Errado
subordinação e mediante remuneração, inclusive como
diretor empregado.                                             29 - A filiação materializa a inscrição junto ao RGPS
b) Aquele que, contratado por empresa de trabalho              e objetiva a identificação pessoal do segurado. (Tec.
temporário, definida em legislação específica, presta          Prev. INSS – 2003)
serviço para atender a necessidade transitória de              ( ) Certo
substituição de pessoal regular e permanente ou a              ( ) Errado
acréscimo extraordinário de serviço de outras
empresas.



Prof. Bernardo Machado                                                                 DIREITO PREVIDENCIÁRIO
                                                          68
30 - É vedada a inscrição de segurado após sua                ( ) A União é responsável pela cobertura de
morte, exceto em caso de segurado especial. (Tec.             insuficiências financeiras da Seguridade Social, quando
Prev. INSS – 2003)                                            decorrentes do pagamento de benefícios de prestação
( ) Certo                                                     continuada da Previdência Social.
( ) Errado                                                    a) V V V
                                                              b) F F F
                       GABARITO                               c) F V V
      01. B    02. C     03. B 04. B     05. B                d) V V F
      06. C    07. B     08. C 09. B     10. E                e) F F V
      11. E    12. B     13. A 14. A     15. E
      16. E    17. A     18. A 19. D     20. D                04 - Destina-se à previdência social 50% o da receita
      21. E    22. E     23. A 24. C     25. A                obtida em relação a todo e qualquer bem de valor
      26. D    27. C     28. E 29. E     30. C                econômico apreendido em decorrência do tráfico
                                                              ilícito de entorpecentes e drogas afins que serão
                                                              utilizados pelo INSS nas ações de prevenção e
                                                              proteção à saúde, bem como na aplicação para
              Exercícios Aula 02                              tratamento e recuperação de segurados viciados.
                                                              (AFPS – 2003)
(Empresa/Empregador Doméstico; Financiamento da               ( ) Certo
Seguridade Social)                                            ( ) Errado

01 - A respeito do conceito previdenciário de                 05 - A respeito do conceito e financiamento da
empresa ou de empregador doméstico, assinale a                Seguridade Social, assinale a afirmativa incorreta.
assertiva incorreta. (AFPS – 2002)                            (Procurador TCM/RJ – 2008)
a) Empresa – a firma individual ou sociedade que              a) A Seguridade Social compreende um conjunto
assume o risco de atividade econômica urbana ou rural,        integrado de ações de iniciativa dos Poderes Públicos e
com fins lucrativos, bem como os órgãos e entidades da        da sociedade, destinadas a assegurar os direitos
administração pública direta, indireta ou fundacional.        relativos à saúde, previdência e assistência social.
b) Empregador doméstico – a pessoa ou família que             b) O princípio da eqüidade na participação do custeio da
admite a seu serviço, sem finalidade lucrativa,               seguridade social se expressa, entre outros, pelas
empregado doméstico.                                          alíquotas de contribuição diferentes para as empresas e
c) Equipara-se à empresa, para os efeitos da Lei              para os trabalhadores.
8.213/91, o contribuinte individual em relação a              c) No âmbito federal, o orçamento da Seguridade Social
segurado que lhe presta serviço.                              é composto das receitas da União, das contribuições
d) Equipara-se à empresa, para os efeitos da Lei              sociais e receitas de outras fontes. Entre estas e as
8.213/91, a cooperativa.                                      vinculadas às ações de saúde, estão as provenientes do
e) Equipara-se à empresa, para os efeitos da Lei              seguro contra Danos Pessoais causados por Veículos
8.213/91, a associação ou entidade de qualquer                Automotores de Vias Terrestres – DPVAT.
natureza ou finalidade.                                       d) A contribuição social incidente sobre a receita de
                                                              concursos de prognósticos refere-se, exclusivamente,
02 - À luz do texto constitucional, julgue os itens           às loterias administradas pela Caixa Econômica
abaixo referentes ao financiamento da Seguridade              Federal.
Social: (ATA-MF – 2009)                                       e) As receitas dos Municípios destinadas ao
I. financiada por toda a sociedade                            financiamento da seguridade social constarão de seus
II. de forma direta e indireta                                respectivos orçamentos,
III. por meio de verbas orçamentárias entre outras            não integrando o orçamento da União.
IV. financiamento definido por lei
a) Somente I e III estão corretos.                            06 - A Seguridade Social será financiada por toda a
b) Somente I está correto.                                    sociedade, de forma direta e indireta, nos termos da
c) Somente I e II estão corretos.                             lei, mediante recursos provenientes dos orçamentos
d) Todos estão corretos.                                      da União, dos Estados, do Distrito Federal e dos
e) Somente III e IV estão corretos.                           Municípios.      Será    financiada    também       por
                                                              contribuições sociais, mas não pela contribuição
03 - Leia cada um dos assertos abaixo e assinale (V)          (Analista Tributário – 2005)
ou (F), conforme seja verdadeiro ou falso. Depois,            a) do empregador, da empresa e da entidade a ela
marque a opção que contenha a exata seqüência.                equiparada na forma da lei, incidentes sobre a folha de
(Analista Tributário – 2005)                                  salários e demais rendimentos do trabalho pagos ou
( ) A contribuição da União para a Seguridade Social          creditados, a qualquer título, à pessoa física que lhe
é constituída de recursos adicionais do Orçamento             preste serviço, mesmo sem vínculo empregatício.
Fiscal.                                                       b) sobre a receita ou o faturamento, relativo a
( ) Os recursos adicionais do Orçamento Fiscal para           operações de comércio interno, do empregador, da
a Seguridade Social serão fixados obrigatoriamente na         empresa e da entidade a ela equiparada na forma da lei.
lei orçamentária anual.

Prof. Bernardo Machado                                                                DIREITO PREVIDENCIÁRIO
                                                         69
c) sobre o lucro do empregador, da empresa e da                 trabalhador avulso é calculada mediante a aplicação da
entidade a ela equiparada na forma da lei,                      alíquota de oito, nove ou onze por cento sobre o seu
independentemente de ser sujeito também pelo imposto            salário de contribuição, de acordo com a faixa salarial
de renda.                                                       constante da tabela publicada periodicamente pelo
d) do importador de bens ou serviços do exterior, ou de         MPS.
quem a lei a ele equiparar, independentemente da                ( ) O segurado empregado, inclusive o doméstico,
incidência do imposto de importação que no caso                 que possuir mais de um vínculo, deverá comunicar
couber.                                                         mensalmente ao primeiro empregador a remuneração
e) sobre os proventos de aposentadoria ou pensão                recebida até o limite máximo do salário de contribuição,
concedidos pelo Regime Geral de Previdência Social ao           envolvendo os vínculos adicionais.
trabalhador ou demais segurados submetidos a tal                ( ) No que couberem, as obrigações de comunicar a
regime.                                                         existência de pluralidade de fontes pagadoras aplicam-
                                                                se ao trabalhador avulso que, concomitantemente,
07 - Constituem contribuições sociais, de acordo                exerça atividade de empregado.
com a Lei n. 8.212/91, exceto: (AFRFB – 2005)                   a) V; F e V.
a) As das empresas, incidentes sobre a remuneração              b) V; V e F.
paga ou creditada aos segurados a seu serviço.                  c) V; V e V.
b) As dos empregados domésticos.                                d) V; F e F.
c) As dos trabalhadores, incidentes sobre o seu salário-        e) F; F e F.
de-contribuição.
d) As das empresas, incidentes sobre faturamento e              12 - Considere a seguinte situação hipotética.
lucro.                                                          Adaptada – (AFPS – 2003)
e) As dos proprietários rurais, incidentes sobre o seu               No mês de abril de 2003, Lauro, autônomo,
faturamento.                                                    exercendo por conta própria atividade econômica,
                                                                realizou diversos reparos nas instalações elétricas da
08 - Não constitui receita das contribuições sociais:           Santa Casa de Misericórdia, entidade beneficente de
(AFPS – 2002)                                                   assistência social e isenta das contribuições sociais
a) as das empresas, incidentes sobre a remuneração              patronais, prestando serviços, nessa competência,
paga ou creditada aos segurados a seu serviço.                  apenas à Santa Casa e recebendo R$ 1.000,00 pelo
b) as dos empregadores domésticos, incidentes sobre o           trabalho. Nessa situação, a entidade beneficente está
salário-de-contribuição dos empregados domésticos a             obrigada descontar, do total a ser pago a Lauro, o
seu serviço.                                                    equivalente 11% de sua remuneração, bem como a
c) as provenientes da União.                                    efetuar o repasse em favor da previdência social.
d) as das empresas, incidentes sobre o faturamento e o          ( ) Certo
lucro.                                                          ( ) Errado
e) as incidentes sobre a receita de concursos de
prognósticos.                                                   13 - Considere a seguinte situação hipotética. (AFPS
                                                                – 2003)
09 - A respeito das contribuições sociais, é correto                No mês de abril de 2003, Fábio, autônomo,
afirmar que: (ATA-MF – 2009)                                    exercendo por conta própria atividade econômica,
a) a contribuição do empregador incide só sobre a folha         prestou serviço apenas ao Mercado Santana Ltda.,
de salários.                                                    empresa optante SIMPLES, recebendo R$ 1.500,00.
b) a contribuição da empresa pode ser feita em função           Nessa situação, do total recebido por Fábio, a empresa
do tipo de produto que ela vende.                               deverá descontar o equivalente a 11%, bem como
c) o trabalhador não contribui para a Seguridade Social.        efetuar o repasse em favor da previdência social.
d) os concursos de prognósticos não estão sujeitos à            ( ) Certo
incidência de contribuições sociais.                            ( ) Errado
e) pode haver a incidência de contribuição social sobre
a importação de bens do exterior.                               14 - A cooperativa de produção é uma sociedade
                                                                cujos associados produzem em comum bens e
10 - A renda líquida dos concursos de prognósticos              serviços, detendo, eles mesmos, os meios de
constitui receita da seguridade social, executando-             produção. A contribuição previdenciária da
se os valores destinados ao programa de crédito                 cooperativa é de 20% sobre o total das
educativo. (AFPS – 2001)                                        remunerações pagas ou creditadas a qualquer título,
( ) Certo                                                       no decorrer do mês, aos segurados contribuintes
( ) Errado                                                      individuais que lhe prestem serviços e, caso a
                                                                atividade exercida pelo cooperado o exponha a
11 - Leia cada um dos assertos abaixo e assinale (V)            agentes nocivos que permitam a concessão de
ou (F), conforme seja verdadeiro ou falso. Depois,              aposentadoria especial após 15, 20, 25 anos de
marque a opção que contenha a exata seqüência.                  contribuição, respectivamente, serão adicionadas as
(AFRFB – 2005)                                                  alíquotas de 12, 9 ou 6 pontos percentuais. (AFPS –
( ) A      contribuição social  previdenciária  dos             2003)
segurados empregado, empregado doméstico e                      ( ) Certo ( ) Errado


Prof. Bernardo Machado                                                                  DIREITO PREVIDENCIÁRIO
                                                           70
15 - O custeio dos benefícios concedidos em razão
do grau de incidência de incapacidade laborativa                 (Salário-de-Contribuição; Recolhimento Fora do
decorrente dos riscos ambientais do trabalho é feito             Prazo; Obrigações Acessórias; Responsabilidade
mediante as contribuições sobre a remuneração                    Solidária)
paga a qualquer titulo no decorrer do mês ao
segurado empregado, ao trabalhador avulso e ao                   01 - Para os segurados empregados e trabalhadores
contribuinte individual, incidindo um percentual de              avulsos, entende-se por salário de contribuição:
um, dois ou três pontos percentuais, a depender de               (AFRFB – 2005)
atividade preponderante da empresa ter grau de                   a) A remuneração auferida, sem dependência da fonte
risco leve, médio ou grave, cujas alíquotas podem                pagadora, em uma ou mais empresas ou pelo exercício
ser acrescidas em doze, nove ou seis pontos                      de sua atividade por conta própria, durante o mês,
percentuais, respectivamente, caso a atividade                   observados os limites mínimo e máximo do salário de
exercida pelo segurado, a serviço da empresa,                    contribuição.
ensejar concessão de aposentadoria especial após                 b) O valor recebido pelo cooperado, ou a ele creditado,
15, 20 ou 25 anos de contribuição. (AFPS – 2003)                 resultante da prestação de serviços a terceiros, pessoas
( ) Certo                                                        físicas ou jurídicas, por intermédio da cooperativa.
( ) Errado                                                       c) O valor por eles declarado, observados os limites
                                                                 mínimo e máximo do salário de contribuição.
16 - Considere a seguinte a situação hipotética.                 d) Vinte por cento do valor bruto auferido pelo frete,
(AFPS – 2003)                                                    carreto, transporte, não se admitindo a dedução de
     Uma sociedade civil constituída de 6 sócios, todos          qualquer valor relativo aos dispêndios com combustível
médicos, tem como objeto social prestar serviços de              e manutenção do veículo, ainda que parcelas a este
anestesiologia nos centros cirúrgicos dos hospitais,             título figurem discriminadas no documento.
pagou a seus sócios, a título de antecipação dos lucros          e) A remuneração auferida em uma ou mais empresas,
R$ 10.000,00 por mês, durante todo o exercício de                assim entendida a totalidade dos rendimentos que lhe
2000, não tendo sido discriminada a remuneração                  são pagos, devidos ou creditados a qualquer título,
decorrente do trabalho e a proveniente do capital social.        durante o mês.
Nessa situação, em relação aos valores distribuídos aos
sócios, a contribuição da empresa será de 20% sobre o            02 - Maria Clara, contribuinte empregada pelo
total das remunerações pagas mensalmente durante o               Regime Geral de Previdência Social desde 1994,
exercício.                                                       deseja contribuir acima do valor máximo permitido
( ) Certo                                                        pela Previdência Social. Assim, propõe na justiça
( ) Errado                                                       ação contra o Instituto Nacional do Seguro Social –
                                                                 INSS, alegando que tem direito de contribuir acima
17 - A respeito da base de cálculo e contribuintes               do limite legal, pois deseja se aposentar com um
das contribuições sociais, analise as assertivas                 valor acima do valor máximo pago pelo INSS.
abaixo, assinalando a incorreta. (ATA-MF – 2009)                 Assim, é correto afirmar, perante a legislação
a) Remuneração paga, devida ou creditada aos                     previdenciária de Custeio, que o pedido de Maria
segurados e demais pessoas físicas a seu serviço,                (ATA-MF – 2009)
mesmo sem vínculo empregatício – EMPRESA.                        a) pode ser aceito, desde que ela contribua até 10% do
b) Receita bruta decorrente dos espetáculos desportivos          valor máximo.
de que participem em todo o território nacional –                b) não pode ser aceito, pois não cabe a Maria a escolha
PRODUTOR RURAL PESSOA JURÍDICA.                                  do montante a ser pago.
c) Incidentes sobre a receita bruta proveniente da               c) pode ser aceito, desde que ela comprove ter
comercialização da produção rural – SEGURADO                     despesas familiares acima do valor máximo.
ESPECIAL.                                                        d) pode ser aceito, pois o pagamento da contribuição
d) Salário de contribuição dos empregados domésticos             social tem natureza jurídica privada de forma contratual.
a seu serviço – EMPREGADOR DOMÉSTICO.                            e) pode ou não ser aceito, dependendo do número de
e) Incidentes sobre seu salário de contribuição –                dependentes que ela possua.
TRABALHADORES.
                                                                 03 - Qual das parcelas abaixo não integram o
                     GABARITO                                    salário-de-contribuição? (ATA-MF – 2009)
      01. A    02. D   03. A 04. E         05. D                 a) Salário
      06. E    07. C   08. C 09. E         10. C                 b) Gorjetas
      11. A    12. E   13. C 14. C         15. E                 c) Despesas de viagem
      16. C    17. B                                             d) Abonos
                                                                 e) Ganhos habituais



                                                                 04 - A respeito do salário-de-contribuição, segundo
                                                                 a Lei nº 8.212/91, não é correto afirmar: (Juiz
                                                                 Substituto do TRT 13ª Região – 2006)
               Exercícios Aula 03
Prof. Bernardo Machado                                                                   DIREITO PREVIDENCIÁRIO
                                                            71
a) O salário-maternidade é considerado salário-de-            trimestrais, no valor correspondente a R$ 300,00
contribuição;                                                 cada uma, por empregado; pagamento mensal de
b) O décimo terceiro salário integra o salário-de-            vale-refeição no valor de R$ 120,00 para cada
contribuição, exceto para o cálculo do benefício, na          empregado e complementação do valor do auxílio-
forma estabelecida em regulamento;                            doença      para   os     empregados   expostos,
c) Os valores correspondentes a transporte,                   efetivamente, a riscos ambientais no ambiente do
alimentação e habitação fornecidos pela empresa ao            trabalho.
empregado contratado para trabalhar em localidade
distante da sua residência não integram o salário-de-            Considerando essa situação hipotética, julgue
contribuição;                                                 os itens a seguir, relacionados ao salário-de-
d) Não é considerado salário-de-contribuição o valor          contribuição.
relativo à assistência prestada por serviço médico ou
ondotológico, próprio da empresa ou por ela                   07 - O pagamento a título de complementação do
conveniado, inclusive o reembolso das despesas com            auxílio-doença não constitui fato gerador da
medicamentos, despesas hospitalares e outras                  obrigação previdenciária, haja vista sua evidente
similares, desde que fornecidos em razão de cargo de          natureza assistencial. (AFPS – 2003)
gestão e a cobertura abranja 1/3 (um terço) dos               ( ) Certo
empregados;                                                   ( ) Errado
e) O total das diárias pagas, quando excedentes a 50%
(cinquenta por cento) da remuneração mensal, integra o        08 - O vale-refeição não será considerado salário-de-
salário-de-contribuição pelo seu valor total.                 contribuição caso tenha sido feita a necessária
                                                              adesão, pela empresa, ao Programa de Alimentação
05 - Integram o salário-de-contribuição, para fins            do Trabalhador e os termos da Lei n.° 6.321/1976
previdenciários: (Juiz Substituto do TRT 22ª Região           estejam sendo cumpridos. (AFPS – 2003)
– 2006)                                                       ( ) Certo
a) As diárias para viagens, desde que excedam a 50%           ( ) Errado
(cinqüenta por cento) da remuneração mensal;
b) Os benefícios da Previdência Social, nos termos e          09 - A participação nos lucros é garantia
limites legais, salvo o salário-maternidade;                  constitucional do trabalhador e, da forma como foi
c) A parcela recebida a título de vale-transporte, nos        concedida,    atende    à    legislação específica,
termos da legislação respectiva;                              determinando a não-incidência da contribuição
d) A participação nos lucros ou resultados da empresa,        previdenciária sobre ela. (AFPS – 2003)
quando paga ou creditada de acordo com lei específica;        ( ) Certo
e) O valor correspondente a vestuário, equipamentos e         ( ) Errado
outros acessórios fornecidos ao empregado e utilizados
no local do trabalho para a prestação dos respectivos         10 - O salário-de-contribuição limita e quantifica a
serviços.                                                     base de cálculo da contribuição previdenciária e, ao
                                                              mesmo tempo, apresenta a hipótese de incidência
06 - De acordo com a normatização previdenciária,             da obrigação previdenciária: o exercício de
não integra a base de cálculo de contribuição o (a):          atividade remunerada por aquele que a lei define
(Juiz Substituto do TRT 5ª Região – 2006)                     como segurado obrigatório. (Procurador Federal –
a) Vale-transporte pago em pecúnia por empresa de             2004)
conservação e limpeza.                                        ( ) Certo
b) Complementação ao valor do auxílio-doença paga             ( ) Errado
apenas aos empregados expostos a agentes nocivos.
c) Valor das contribuições efetivamente pagas pela            11 - Considere a seguinte situação hipotética.
pessoa jurídica relativo a programa de previdência            Determinada indústria fornece a seus empregados
complementar fechada ou aberta, disponível a todos os         bolsas de estudo destinadas ao aperfeiçoamento, à
empregados do setor financeiro.                               capacitação e à qualificação de trabalhadores que
d) Valor correspondente a vestuários, equipamentos e          tenham pelo menos 10 anos de vínculo empregatício
outros acessórios fornecidos ao empregado e utilizados        com a empresa, mediante a participação em cursos
no local do trabalho com a finalidade de prestar os           vinculados às atividades desenvolvidas pela
respectivos serviços.                                         empresa. Nessa situação, os valores custeados pela
e) Participação nos lucros ou resultados da empresa,          empresa integram, a base de cálculo da
sendo possível o parcelamento em no máximo quatro             contribuição previdenciária. (Procurador Federal –
vezes no mesmo ano civil, independentemente de                2004)
acordo ou convenção coletiva.                                 ( ) Certo
                                                              ( ) Errado

    Uma empresa celebrou acordo coletivo de                      Em cada um dos itens seguintes, apresenta-se
trabalho em que foram estipuladas, entre outras, as           uma situação hipotética referente à aplicação do
seguintes cláusulas: pagamento de participação nos            conceito de salário-de-contribuição, seguida de uma
lucros referente ao exercício de 2002, em 4 parcelas          assertiva a ser julgada.


Prof. Bernardo Machado                                                              DIREITO PREVIDENCIÁRIO
                                                         72
18 - Rodrigo trabalha na gerência comercial de uma
12 - Maria, segurada empregada da previdência                 grande    rede    de   supermercados      e    visita
social, encontra-se afastada de suas atividades               regularmente cada uma das lojas da rede. Para
profissionais devido ao nascimento de seu filho,              atendimento a necessidades do trabalho que faz
mas recebe salário-maternidade. Nessa situação,               durante as viagens, Rodrigo recebe diárias que
apesar de ser um benefício previdenciário, o salário-         excedem, todos os meses, 50% de sua remuneração
maternidade que Maria recebe é considerado                    normal. Nessa situação, não incide contribuição
salário-de-contribuição para efeito de incidência.            previdenciária sobre os valores recebidos por
(Tec. Prev. INSS – 2008)                                      Rodrigo a título dessas diárias. (Tec. Prev. INSS –
( ) Certo                                                     2008)
( ) Errado                                                    ( ) Certo
                                                              ( ) Errado
13 - Mateus trabalha em uma empresa de
informática e recebe o vale-transporte junto às               19 - Deverão ser recolhidas até o dia vinte do mês
demais rubricas que compõem sua remuneração,                  seguinte ao da ocorrência do seu fato gerador,
que é devidamente depositada em sua conta                     antecipando-se o vencimento para o dia útil anterior
bancária. Nessa situação, incide contribuição                 quando não houver expediente bancário no dia do
previdenciária sobre os valores recebidos por                 vencimento, as contribuições: (Adaptada) (Analista
Mateus a título de vale-transporte. (Tec. Prev. INSS –        Tributário – 2005)
2008)                                                         a) incidentes sobre a receita bruta decorrente de
( ) Certo                                                     qualquer forma de patrocínio, de licenciamento de uso
( ) Errado                                                    de marcas e símbolos, de publicidade, de propaganda e
                                                              transmissão de espetáculos desportivos, devida pela
14 - Luís é vendedor em uma grande empresa que                associação desportiva que mantém equipe de futebol
comercializa eletrodomésticos. A título de incentivo,         profissional.
essa empresa oferece aos empregados do setor de               b) do segurado empregado doméstico.
vendas um plano de previdência privada. Nessa                 c) descontadas da remuneração paga, devida ou
situação, incide contribuição previdenciária sobre            creditada, aos segurados empregados.
os valores pagos, pela empresa, a título de                   d) do empregador doméstico.
contribuição para a previdência privada, a Luís.              e) do condutor autônomo de veículo rodoviário, inclusive
(Tec. Prev. INSS – 2008)                                      o taxista, para o Serviço Social do Transporte – SEST.
( ) Certo
( ) Errado                                                    20 - O empregador doméstico não esta obrigado a
                                                              efetuar desconto e subseqüente recolhimento da
15 - Tendo sido demitido sem justa causa da                   contribuição devida pelo empregado domestico, que
empresa em que trabalhava, Vagner recebeu o aviso             deverá ser recolhida pelo próprio trabalhador. Está
prévio indenizado, entre outras rubricas. Nessa               obrigado, contudo, a recolher a contribuição social
situação, não incide contribuição previdenciária              a seu cargo, equivalente a 12% do salário de
sobre o valor da indenização paga, pela empresa, a            contribuição do empregado, até o dia 15 do mês
Vagner. (Tec. Prev. INSS – 2008)                              seguinte da competência. (AFPS – 2001)
( ) Certo                                                     ( ) Certo
( ) Errado                                                    ( ) Errado

16 - Claudionor recebe da empresa onde trabalha               21 - Quanto à responsabilidade pelo recolhimento
alguns valores a título de décimo-terceiro salário.           das contribuições, assinale a afirmativa incorreta.
Nessa situação, os valores recebidos por                      (Procurador TC/PA – 2008)
Claudionor não são considerados para efeito do                a) A empresa é obrigada a arrecadar as contribuições
cálculo do salário-benefício, integrando-se apenas o          devidas pelos seus empregados, trabalhadores avulsos
cálculo do salário-de-contribuição. (Tec. Prev. INSS          e contribuintes individuais, descontando-as da
– 2008)                                                       respectiva remuneração, e recolhê-las juntamente com
( ) Certo                                                     as contribuições a seu cargo.
( ) Errado                                                    b) As empresas que integram grupo econômico de
                                                              qualquer natureza       não respondem       entre si,
17 - A empresa em que Maurício trabalha paga a ele,           solidariamente, pelas obrigações perante a Seguridade
a cada mês, um valor referente à participação nos             Social.
lucros, que é apurado mensalmente. Nessa                      c) A empresa adquirente ou consumidora de produto
situação, incide contribuição previdenciária sobre o          rural fica subrogada nas obrigações do produtor rural
valor recebido mensalmente por Maurício a título de           pessoa física ou do segurado especial, caso adquira a
participação nos lucros. (Tec. Prev. INSS – 2008)             produção desses segurados.
( ) Certo                                                     d) Tratando-se de produto rural adquirido de
( ) Errado                                                    agroindústria ou de produtor rural pessoa jurídica,
                                                              nenhuma obrigação cabe à empresa adquirente ou
                                                              consumidora, relativamente a essa operação.


Prof. Bernardo Machado                                                                DIREITO PREVIDENCIÁRIO
                                                         73
e) Os segurados contribuintes individuais que, no mês,          25 - Constitui obrigação das empresas manter
não prestaram serviço à empresa, bem como os                    atualizado o perfil profissiográfico previdenciário,
segurados facultativos, devem recolher sua contribuição         abrangendo as atividades desenvolvidas pelos
por iniciativa própria.                                         segurados empregados e contribuintes individuais,
                                                                bem como fornecer a estes, na rescisão do contrato
22 - Assinale abaixo o item que contenha uma                    de trabalho ou ao término da prestação do serviço,
informação errônea, sobre a obrigação acessória da              cópia autenticada deste documento, sob pena de
empresa relativamente à Previdência Social. É                   multa por descumprimento de obrigação acessória
obrigação da empresa (Analista Tributário – 2005)               da legislação previdenciária. (AFPS – 2003)
a) inscrever, no Regime Geral de Previdência Social, os         ( ) Certo
segurados empregados, mas não os trabalhadores                  ( ) Errado
avulsos a seu serviço.
b) inscrever, quando pessoa jurídica, como contribuintes        26 - A elaboração da folha de pagamento dos
individuais no Regime Geral de Previdência Social, mas          empregados da empresa, entre outras formalidades,
só a partir de 1º de abril de 2003, as pessoas físicas          deve ser mensal, coletiva e segmentada por
contratadas sem vínculo empregatício.                           estabelecimento, obra de construção civil e tomador
c) elaborar folha de pagamento mensal da remuneração            de serviços, com a correspondente totalização das
paga, devida ou creditada a todos os segurados a seu            rubricas, discriminando e agrupando os segurados
serviço, de forma coletiva por estabelecimento, mas             por categoria, destacando as que estiverem em
deverá fazê-lo por obra de construção civil e por               gozo de salário-maternidade e indicando o número
tomador de serviços, com a correspondente totalização           de quotas de salário-família atribuídas a cada
e resumo geral.                                                 segurado. (AFPS – 2003)
d) lançar mensalmente em títulos próprios de sua                ( ) Certo
contabilidade, de forma discriminada, os fatos geradores        ( ) Errado
de todas as contribuições sociais a cargo da empresa.
e) fornecer ao contribuinte individual que lhes presta          27- As empresas obrigadas a apresentação de
serviços, comprovante do pagamento de remuneração.              escrituração contábil devem lançar mensalmente em
                                                                títulos    próprios     de    sua     contabilidade,
23 - Nos termos do Regulamento da Previdência                   discriminadamente, os fatos geradores das
Social, Decreto-lei 3.048/99, são obrigações                    contribuições,    o    montante     das    quantias
acessórias da relação tributária previdenciária,                descontadas, as contribuições da empresa e os
exceto: (Adaptada) (AFPS – 2002)                                totais recolhidos, devidamente escriturados nos
a) preparar folha de pagamento da remuneração paga,             livros Diário e Razão, exigíveis após 90 dias do
devida ou creditada a todos os segurados a seu serviço,         encerramento do exercício financeiro. (AFPS – 2003)
devendo manter, em cada estabelecimento, uma via da             ( ) Certo
respectiva folha e recibos de pagamentos.                       ( ) Errado
b) lançar mensalmente em títulos próprios de sua
contabilidade, de forma discriminada, os fatos geradores        28 - Caso o representante legal de uma sociedade
de todas as contribuições, o montante das quantias              comercial se recusasse a apresentar aos AFRFB os
descontadas, as contribuições da empresa e os totais            documentos relativos à contabilidade da empresa,
recolhidos.                                                     então a SRFB poderia inscrever de oficio a
c) prestar a SRFB todas as informações cadastrais,              importância que reputasse devida, cabendo à
financeiras e contábeis de interesse dos mesmos, na             empresa o ônus da prova em contrario. (Adaptada)
forma por ela estabelecida, bem como os                         (AFPS – 2001)
esclarecimentos necessários à fiscalização.                     ( ) Certo
d) encaminhar ao sindicato representativo da categoria          ( ) Errado
profissional mais numerosa entre seus empregados, até
o dia dez de cada mês, cópia da Guia da Previdência             29 - Para o calculo do valor da contribuição devida,
Social relativamente à competência anterior.                    o montante dos salários pagos pela execução de
e) pagar todas contribuições sociais devidas no período         uma obra de construção civil poderá ser obtido por
de apuração, juntamente com as multas decorrentes do            aferição indireta, de acordo com a área construída,
atraso no pagamento.                                            caso a fiscalização da SRFB constate, na
                                                                documentação apresentada pelo construtor, não
24 - Assinale a assertiva que não contém uma                    haver comprovação regular do efetivo custo da
obrigação acessória das contribuições destinadas à              mão-de-obra utilizada. (Adaptada) (AFPS – 2001)
Seguridade Social. (ATA-MF – 2009)                              ( ) Certo
a) Elaboração da folha de pagamento.                            ( ) Errado
b) Dever de prestar informações.
c) Lançamento dos fatos geradores das contribuições.
d) Pagamento da contribuição social.
e) Dever do Cartório de comunicar os óbitos.                                          GABARITO
                                                                      01. E   02. B     03. C 04. D    05. A
                                                                      06. D   07. E     08. C 09. E    10. C


Prof. Bernardo Machado                                                                 DIREITO PREVIDENCIÁRIO
                                                           74
11. C   12. C    13. C    14. C     15. E*                2 pontos percentuais, respectivamente. (AFPS –
        16. C   17. C    18. E    19. C     20. E                 2003)
        21. B   22. A    23. E    24. D     25. E                 ( ) Certo
        26. C   27. E    28. C    29. C                           ( ) Errado

    •    Gabarito alterado devido a alteração da                  04 - Com relação às contribuições para o Regime
         legislação (Dec. 6.727/09)                               Geral de Previdência Social, analise as afirmativas a
                                                                  seguir: (Procurador TC/PA – 2008)
                                                                  I. Os segurados têm sua contribuição para o Regime
                                                                  Geral de Previdência Social calculada com base no
                Exercícios Aula 04                                salário de contribuição, que, para os empregados e
                                                                  trabalhadores avulsos, compreende a remuneração
(Retenção dos 11%; Constituição            do Crédito;            auferida, durante o mês, em uma ou mais empresas,
Decadência    e    Prescrição;              Restituição,          destinada a retribuir o trabalho, ou o tempo à disposição
Compensação e Reembolso)                                          do empregador ou tomador do serviço, aí incluídos os
                                                                  ganhos habituais sob a forma de utilidades, as gorjetas
01 - Considere a seguinte situação hipotética.                    e os adiantamentos decorrentes de reajustes salariais.
                                                                  II. As empresas e as entidades equiparadas à empresa
    Um supermercado empreitou com uma prestadora                  que contratarem cooperativas de trabalho ou de mão-
de serviços o asseio de um galpão para ser utilizado              de-obra devem contribuir com 15% (quinze por cento),
como depósito. Concluída a tarefa, foi emitida nota fiscal        incidentes sobre o valor bruto da nota fiscal ou fatura de
de serviço em 30/5/2003, tendo sido retido o montante             prestação de serviços, relativamente a serviços que lhe
de R$ 8.000,00. A contribuição previdenciária mensal da           são prestados por cooperados daquelas cooperativas.
empresa prestadoras, nas competências de maio a                   III. A empresa contratante de serviços executados
agosto de 2003, parte patronal e segurados                        mediante cessão de mão-de-obra, inclusive em regime
empregados, exceto os valores destinados a terceiros,             de trabalho temporário, deverá reter onze por cento do
equivale a R$ 2.000,00.                                           valor bruto da nota fiscal ou fatura de prestação de
                                                                  serviços e recolher a importância retida em nome da
Nessa situação a contratada poderá compensar o                    empresa cedente de mão-de-obra.
valor retido com o valor devido integral a partir da              IV. A empresa cedente de mão-de-obra compensará o
competência de maio de 2003 e posteriores, até que                valor retido pela contratante quando do recolhimento
o saldo a seu favor deixe de existir ou optar por                 das contribuições destinadas à Seguridade Social,
requerer a restituição a qualquer tempo. (AFPS –                  devidas sobre a folha de pagamento dos segurados a
2003)                                                             seu serviço.
( ) Certo                                                         V. Entende-se como cessão de mão-de-obra a
( ) Errado                                                        colocação à disposição do contratante, em suas
                                                                  dependências ou nas de terceiros, de segurados que
02 - Considere a seguinte situação hipotética.                    realizem serviços contínuos, relacionados ou não com a
                                                                  atividade-fim da empresa, quaisquer que sejam a
    Um laboratório contratou uma empresa de                       natureza e a forma de contratação.
telemarketing para auxiliar no lançamento de um                   Assinale:
produto no mercado de cremes, consistindo o serviço               a) se somente as afirmativas IV e V estiverem corretas.
em contatar médicos dermatologistas das principais                b) se somente as afirmativas I e II estiverem corretas.
capitais litorâneas do país e informar as características         c) se somente as afirmativas I e III estiverem corretas.
do novo produto. Os operadores de telemarketing foram             d) se somente as afirmativas II e III estiverem corretas.
postos à disposição do contratante nas dependências               e) se todas as afirmativas estiverem corretas.
da contratada, utilizando os equipamentos desta.
                                                                  05 - Considere a seguinte situação hipotética.
Nessa situação, a empresa contratante dos serviços                (Adaptada) (AFPS – 2003)
de cessão de mão-de-obra está obrigada a reter 11%
do valor bruto da nota fiscal relativa à prestação dos                 Durante ação fiscal na empresa Sol Nascente Ltda.,
serviços e recolher essa importância retida em                    foi constatada a falta de recolhimento das contribuições
nome da contratada. (AFPS – 2003)                                 previdenciárias devidas à seguridade social em diversos
( ) Certo                                                         períodos. Por essa razão, foi lavrado Auto de Infração
( ) Errado                                                        de Obrigação Principal (AIOP) com discriminação clara
                                                                  e precisa dos fatos geradores, constituindo, assim, o
03 - Se a atividade executada pelos segurados                     crédito previdenciário. Nessa situação, após o
vinculados à empresa contratada para a prestação                  recebimento do AIOP, a empresa terá o prazo de trinta
de serviço mediante cessão de mão-de-obra permitir                dias para efetuar o pagamento ou apresentar sua
a concessão de aposentadoria especial após 15, 20                 defesa. Findo esse prazo, caso não haja qualquer
ou 25 anos de contribuição, o percentual de 11% a                 manifestação do contribuinte, será declarada a revelia e
ser retido pela contratante será acrescido de 4, 3 ou             o devido encaminhamento à procuradoria para que se
                                                                  proceda a inscrição em dívida ativa.


Prof. Bernardo Machado                                                                     DIREITO PREVIDENCIÁRIO
                                                             75
(   ) Certo                                                     a) Poderá ser compensada ou restituída contribuição à
(   ) Errado                                                    Seguridade Social, na hipótese de recolhimento ou
                                                                pagamento indevido.
06 - Considerando que uma empresa deixasse de                   b) Poderá ser restituída contribuição ao segurado que
recolher os valores descontados dos salários de                 deixar de exercer atividade abrangida pelo Regime
seus empregados, então o débito apurado, ainda                  Geral de Previdência Social, desde que seu
que confessado, não poderia ser objeto de                       afastamento ocorra em caráter definitivo.
parcelamento. (AFPS – 2001)                                     c) Tratando-se de compensação, esta não poderá ser
( ) Certo                                                       superior a 30% (trinta por cento) do valor a ser recolhido
( ) Errado                                                      em cada competência.
                                                                d) A empresa poderá se compensar, sem limites, dos
07 - É permitido ao contribuinte ressarcir-se de                valores relativos a benefícios previdenciários pagos a
valores pagos indevidamente, deduzindo-os das                   seus empregados, na forma da lei, como ocorre com o
contribuições devidas à Previdência Social, se                  salário-família e o salário-maternidade.
atender a diversas condições, entre as quais as                 e) É admitida a compensação financeira entre o Regime
seguintes: (AFRFB – 2005)                                       Geral de Previdência Social e os Regimes Próprios de
a) estar em situação regular, relativamente à sua sede          Previdência Social da União, dos Estados, do Distrito
ou estabelecimento principal, enquanto às contribuições         Federal e dos Municípios, em face da contagem
objeto de Notifi cação Fiscal de Lançamento de Débito –         recíproca de tempo de serviço, sendo feita ao Regime a
NFLD e débito decorrente de Auto de Infração - AI, cuja         que o interessado estiver vinculado ao requerer o
exigibilidade não esteja suspensa, de Lançamento de             benefício pelos demais Regimes.
Débito Confessado - LDC, de Lançamento de Débito
Confessado em GFIP - LDCG, de Débito Confessado                 10 - Considere a situação hipotética. (AFPS – 2001)
em GFIP – DCG.
b) não haver débitos vincendos relativamente ao                      A União instituiu contribuição social nova, não-
parcelamento de contribuições.                                  prevista na Constituição da Republica. Observando os
c) a compensação somente poderá ser realizada em                ditames da respectiva lei, uma empresa recolheu o
recolhimento de importância correspondente a períodos           tributo, regularmente, a partir de fevereiro de 1990 -
antecedentes àqueles a que se referem os valores                data definida pela lei para o inicio da incidência da
pagos                                                           exação. Em março de 2000, contudo, o Supremo
indevidamente.                                                  Tribunal Federal (STF) concluiu o julgamento de ação
d) não referir-se a acréscimos legais, como de                  direta de inconstitucionalidade, por meio da qual aquela
atualização monetária, de multa ou de juros de mora.            Corte definiu ser inconstitucional tão somente o artigo
e) referir-se a compensação de valores que não tenham           da lei que impunha a incidência da contribuição já no
sido alcançados pela prescrição.                                mês de fevereiro de 1990. Assim, no mês seguinte ao
                                                                transito em julgado da decisão do STF, a citada
08 - Nos termos da legislação previdenciária,                   empresa ajuizou ação ordinária objetivando a repetição
assinale a assertiva correta a respeito da restituição          do indébito recolhido naquele primeiro mês de
e compensação de contribuições. (Adaptada) (AFPS                incidência.
– 2002)
a) Na hipótese de pagamento ou recolhimento indevido,           Nessa situação, o pedido de repetição de indébito
a contribuição não será atualizada monetariamente.              não poderá ser acolhido, haja vista a consumação
b) Será admitida a restituição ou a compensação de              do respectivo prazo prescricional.
contribuição a cargo da empresa, recolhida ao Instituto         ( ) Certo
Nacional do Seguro Social, que, por sua natureza, tenha         ( ) Errado
sido transferida ao preço de bem ou serviço oferecido à
sociedade.                                                      11 - Indique qual dos benefícios listados abaixo, de
c) Somente poderá ser restituída ou compensada                  acordo com a legislação previdenciária, é
contribuição para a seguridade social, arrecadada pela          reembolsado à empresa: (AFRFB – 2005)
SRFB, na hipótese de pagamento ou recolhimento                  a) Auxílio-acidente.
indevido.                                                       b) Aposentadoria por idade.
d) A restituição de contribuição ou de outra importância        c) Salário-família pago aos segurados a seu serviço.
recolhida indevidamente, que comporte, por sua                  d) Aposentadoria por invalidez.
natureza, a transferência de encargo financeiro, será           e) Pensão por morte.
feita de imediato.
e) Direito de pleitear judicialmente a compensação só
pode ser exercido no prazo de cento e oitenta dias do
seu pagamento.
                                                                12 - Nos termos da legislação previdenciária,
09 - Com relação à compensação e restituição de                 assinale qual benefício é reembolsado à empresa:
contribuições, assinale a afirmativa incorreta.                 (AFPS – 2002)
(Procurador TC/PA – 2008)                                       a) salário-família pago aos segurados a seu
                                                                serviço.


Prof. Bernardo Machado                                                                   DIREITO PREVIDENCIÁRIO
                                                           76
b) auxílio-acidente.                                              consideradas como salário-de-contribuição, entre elas o
c) aposentadoria por idade.                                       total das diárias pagas que excederam a 50% da
d) aposentadoria por invalidez.                                   remuneração mensal dos empregados. No dia
e) pensão por morte.                                              1°/8/2003, o contribuinte recebeu o AIOP e tomou
                                                                  conhecimento do término da ação fiscal. No mesmo
                        GABARITO                                  mês, a empresa precisou do comprovante de
      01. E     02. E     03. C 04. E       05. E                 inexistência de débito para participar de licitação, razão
      06. C     07. E     08. C 09. B       10. E                 pela qual, no dia 29/8/2003, antes de terminar o prazo
      11. C     12. A                                             de defesa, apresentou impugnação, não contestando
                                                                  nem pagando os valores referentes às diárias
                                                                  excedentes. Nessa situação, o contribuinte, enquanto
                                                                  não for emitida a decisão da autoridade julgadora da
               Exercícios Aula 05                                 primeira instância administrativa, terá direito à emissão
                                                                  do documento que comprove a inexistência do débito,
(Prova de Inexistência de Débito; Crimes Contra a                 pois o processo encontra-se pendente de decisão no
Seguridade Social; Benefícios (Parte Geral))                      contencioso administrativo.
                                                                  ( ) Certo
01 - Figura na legislação como obrigação da                       ( ) Errado
empresa - e a autoridade responsável por órgão do
poder público, por órgão de registro público ou por               04 - A concessão de crédito rural, em qualquer de
instituição financeira em geral, no âmbito de suas                suas modalidades, por meio de constituição de
atividades, exigirá dela, obrigatoriamente – a                    garantia em favor da instituição de crédito, pública
apresentação de Certidão Negativa de Débito ou de                 ou privada, ao produtor rural pessoa física que
Certidão Positiva de Débito com Efeitos de Negativa,              comercialize sua produção diretamente, no varejo, a
nas seguintes hipóteses: (AFRFB – 2005)                           consumidor pessoa física, sem a apresentação do
a) na licitação, na contratação com o poder público e no          documento comprobatório de inexistência de
recebimento de benefícios ou incentivo fiscal ou                  débito, constitui ato nulo para todos os efeitos,
creditício, que lhe forem concedidos.                             acarretando a responsabilidade solidária do
b) na alienação ou oneração, a qualquer título, de bem            contratante que deixou de cumprir a exigência.
imóvel ou direito a ele relativo.                                 (AFPS – 2003)
c) quando da averbação de obra de construção civil no             ( ) Certo
Registro de Imóveis.                                              ( ) Errado
d) no registro ou arquivamento, no órgão próprio, de ato
relativo à baixa ou redução de capital de firma individual        05 - Considere a seguinte situação hipotética.
ou de empresário individual, redução de capital social,           (Adaptada) (AFPS – 2001)
cisão total ou parcial, transformação ou extinção de
entidade ou sociedade comercial ou civil e transferência              A SRFB ajuizou execução fiscal contra uma
de controle de cotas de sociedades de responsabilidade            empresa, em face da inscrição, na dívida ativa, de
limitada.                                                         débito oriundo do não-recolhimento de contribuições
e) na alienação ou oneração, a qualquer título, de bem            sociais a cargo da empresa. Citada, a empresa nomeou
móvel de valor superior ao estabelecido periodicamente            bens a penhora, desembaraçados e de valor suficiente
mediante Portaria do MPS, incorporado ao ativo                    à garantia do débito, o pondo, em seqüência, embargos
permanente da empresa.                                            a execução, vindo esta a ser suspensa. Enquanto
                                                                  tramitavam os embargos, a empresa teve a
02 - Nos termos da legislação previdenciária,                     oportunidade de participar de licitação, para o que se
assinale a opção na qual não é exigido da empresa a               exigiu a apresentação de certidões que demonstrassem
prova da inexistência de débito. (AFPS – 2002)                    a inexistência de débitos fiscais. A empresa apresentou
a) Na licitação.                                                  à comissão de licitação as certidões exigidas,
b) Na contratação com o poder público.                            constatando, contudo, na certidão expedida pela SRFB,
c) No recebimento de benefícios ou incentivo fiscal ou            a existência do debito exeqüendo e que a respectiva
creditício concedidos pelo poder público.                         execução estava garantida por penhora.
d) Na alienação ou oneração, a qualquer título, de bem
móvel de pequeno valor incorporado ao ativo                       Nessa situação, certificada a existência de debito, a
permanente da empresa.                                            empresa não poderá participar do ato para o qual é
e) Na alienação ou oneração, a qualquer título, de bem            requerida a apresentação de certidão negativa.
imóvel.                                                           ( ) Certo
                                                                  ( ) Errado
03 - Considere a seguinte situação hipotética.                    06 - Caso se apurasse, em outubro de 2007, a
(Adaptada) (AFPS – 2003)                                          existência de débitos relativos a contribuições de
                                                                  um estado da Federação para com a SRFB, então
    Uma empresa foi autuada para pagamento da                     não poderia ser transferida ao referido ente
contribuição previdenciária em relação a diversas                 federativo a sua parcela de recursos do Fundo de
rubricas que, segundo a fiscalização, não foram


Prof. Bernardo Machado                                                                     DIREITO PREVIDENCIÁRIO
                                                             77
Participação dos Estados e do Distrito Federal (DF).              10 - No contexto dos Crimes contra a Previdência
(Adaptada) (AFPS – 2001)                                          Social, em particular das inovações advindas da Lei
( ) Certo                                                         n. 9.983/2000, é correto afirmar: (AFRFB – 2005)
( ) Errado                                                        a) O crime tipificado no art. 168-A do Código Penal não
                                                                  se consuma com o simples não-recolhimento das
07 - Considerando que o proprietário, pessoa física,              contribuições      previdenciárias   descontadas    dos
de um terreno urbano pretendesse averbar na                       empregados no prazo legal.
matricula do referido imóvel a construção de uma                  b) O crime previsto na alínea “d” do art. 95 da Lei n.
casa, então, diversamente do que ocorreria se o                   8.212/91 não foi revogado pelo art. 3º do referido
proprietário fosse pessoa jurídica, não lhe seria                 diploma legal, que não tipifica a mesma conduta no art.
exigida     certidão    negativa     de    débitos                168-A do Código Penal.
previdenciários. (AFPS – 2001)                                    c) O elemento subjetivo da infração penal prevista no
( ) Certo                                                         art. 168-A do Código Penal exige a demonstração do
( ) Errado                                                        especial fim de agir ou o dolo específico de fraudar a
                                                                  Previdência.
08 - Considere a seguinte situação hipotética. (AFPS              d) O art. 3º do referido diploma legal apenas
– 2001)                                                           transmudou a base legal da imputação do crime da
                                                                  alínea “d” do art. 95
     Uma empresa vendeu um imóvel incorporado ao                  da Lei n. 8.212/91 para o art. 168-A do Código Penal.
seu ativo permanente, que servia de sede a filial de              e) A teor da dicção do art. 168-A do Código Penal, a
Brasília - DF. Levada a escritura pública ao respectivo           penhora de bens é causa de extinção de punibilidade da
registro imobiliário, exigiu-se a apresentação de                 infração penal.
certidões negativas de débitos previdenciários da
empresa, quando se constatou a existência de débitos              11 - A respeito de crime, responsabilização civil,
relativo à contribuição social incidente sobre a folha de         criminal e administrativa contra a previdência social,
salários, devida pela filial da empresa sediada em Belo           assinale a opção incorreta a respeito da(s)
Horizonte - MG.                                                   natureza(s) da conduta “Deixar de repassar à
                                                                  previdência social as contribuições recolhidas dos
Nessa situação, a existência de débito no âmbito da               contribuintes, no prazo e forma legal ou
filial de Belo Horizonte - MG impedirá a consumação               convencional": (AFPS – 2002)
de registro da alienação do imóvel vinculado à filial             a) infração administrativa.
de Brasília - DF.                                                 b) crime.
( ) Certo                                                         c) crime tipificado no Código Penal brasileiro.
( ) Errado                                                        d) crime tipificado na Lei 8.212/91.
                                                                  e) infração administrativa que acarreta sanção
09 - Ficará sujeito à seguinte conseqüência, aquele               administrativa.
que pagar benefício devido a segurado, quando as
respectivas cotas ou valores já tiverem sido                      12 - A empresa que descumpre a legislação
reembolsados à empresa pela previdência social:                   previdenciária, em especial o Regulamento da
(AFRFB – 2005)                                                    Previdência Social, pode sofrer, entre outras
a) a responsabilidade da empresa ou pessoa física                 medidas restritivas, a interdição para o exercício do
perante a Previdência Social e a responsabilidade                 comércio, se for sociedade mercantil               ou
administrativa do servidor que tiver efetuado o                   comerciante      individual,    bem     como      sua
pagamento, se for o caso.                                         desqualificação para impetrar concordata. (AFPS –
b) a responsabilidade criminal por sonegação de                   2003)
contribuição previdenciária, além da responsabilidade             ( ) Certo
civil e administrativa, se for o caso.                            ( ) Errado
c) ser imputado de crime cuja punibilidade se extingue
se o agente, espontaneamente, declara, confessa e                 13 - A omissão dolosa do nome de qualquer
efetua o pagamento das contribuições, importâncias ou             segurado, bem como de seus dados pessoais, sua
valores e presta as informações devidas à previdência             remuneração, a vigência do contrato de trabalho ou
social, antes do início da ação fiscal.                           de prestação de serviço é tipo penal que pretende
d) ser imputado de crime cuja punibilidade se extingue            coibir, mediante a respectiva sanção criminal, a
se o agente houver promovido, após o início da ação               prática de ato que acarrete prejuízo para a
fiscal e antes de oferecida a denúncia, o pagamento da            previdência social, bem como aos segurados. (AFPS
contribuição social previdenciária, inclusive acessórios.         – 2003)
e) ser imputado de crime de menor potencial ofensivo              ( ) Certo ( ) Errado
se o valor das contribuições devidas, inclusive                   14 - O crime de sonegação de contribuição
acessórios,                                                       previdenciária, caracteriza-se, entre outras ações,
for igual ou inferior àquele estabelecido pela previdência        pela supressão ou redução da contribuição social e
social, administrativamente, como sendo o mínimo para             qualquer acessório mediante a conduta de não
o ajuizamento de suas execuções fiscais.                          efetuar o lançamento mensal em títulos próprios da
                                                                  contabilidade    da    empresa,      das   quantias
                                                                  descontadas dos segurados ou das devidas pelo

Prof. Bernardo Machado                                                                   DIREITO PREVIDENCIÁRIO
                                                             78
empregador ou pelo tomador de serviços. A                         contrato social, que a gerencia da sociedade seria
punibilidade     será    extinta  caso  o   agente,               desempenhada por Graco ou por procurador por ele
espontaneamente, declare, confesse e pague as                     designado. Ocorreu, então, que, em uma ação fiscal, os
contribuições, importâncias ou valores, além de                   agentes da RFB constataram que as anotações nas
prestar as informações devidas à previdência social,              carteiras de trabalho e previdência social (CTPSs) dos
na forma definida em lei ou regulamento, antes do                 empregados daquela empresa não eram verdadeiras.
início da ação fiscal. (AFPS – 2003)                              Os fiscais obtiveram provas de que eram anotados
( ) Certo                                                         salários menores que os efetivamente pagos, o que
( ) Errado                                                        acarretava recolhimentos menores, a título de
                                                                  contribuições sociais, por parte dos segurados e da
   No que se refere às obrigações dos segurados e                 empresa.
das empresas e às infrações a legislação
previdenciária, julgue os itens a seguir.                         Nessa situação, Mévio não responderá pelos crimes
                                                                  praticados no âmbito da empresa. Ademais, entre
15 - Considere a seguinte situação hipotética.                    outras sanções, a empresa Delta poderá ficar sujeita
(Adaptada) (AFPS – 2001)                                          a suspensão de empréstimos e financiamentos
                                                                  concedidos por instituições financeiras oficiais e a
     Manoel, representante legal da empresa Celta,                inabilitação para licitar e contratar com qualquer
deixou de recolher as contribuições descontadas dos               órgão ou entidade da administração publica federal.
empregados no mês de novembro de 2000. Em sua                     ( ) Certo
ação fiscal, à qual não foi oposta nenhuma resistência,           ( ) Errado
os agentes da RFB constataram a irregularidade,
procedendo a autuação da empresa Celta. Ato contínuo              18 - A Lei de Benefícios da Previdência Social (Lei n.
- antes, portanto, do oferecimento da denuncia pelo               8.213/91), no art. 16, arrola como beneficiários do
Ministério Publico Federal -, Manoel encaminhou                   Regime Geral de Previdência Social, na condição de
expediente à RFB por meio do qual reconhecia o acerto             dependentes do segurado, exceto. (AFRFB – 2005)
da ação fiscal, confessava a divida e comprovava o                a) o cônjuge.
efetivo pagamento do debito, acrescido de multa, juros e          b) a companheira e o companheiro.
demais consectários previstos na legislação.                      c) os pais.
                                                                  d) o filho não emancipado, de qualquer condição,
Nessa situação, estará extinta a punibilidade do                  inválido ou menor de 21 (vinte e um) anos ou, se
crime cometido por Manoel.                                        estudante, menor de 25 (vinte e cinco) anos.
( ) Certo                                                         e) o irmão não emancipado, de qualquer condição,
( ) Errado                                                        inválido ou menor de 21 (vinte e um) anos.

16- Considere a seguinte situação hipotética. (AFPS               19 - A respeito dos segurados e seus dependentes e
– 2001)                                                           os beneficiários do Regime Geral de Previdência
                                                                  Social, assinale a afirmativa incorreta. ((Procurador
     No exercício de sua atividade funcional, Caio inseriu        TC/PA – 2008)
alteração não-autorizada no sistema de informações do             a) Os benefícios do Regime Geral de Previdência Social
INSS, elevando substancialmente o valor dos benefícios            são concedidos aos segurados e seus dependentes. A
pagos a segurados previamente contactados por ele,                pensão por morte e o auxílio-reclusão são benefícios
para efeito de divisão do produto do crime. Todavia, o            destinados exclusivamente aos dependentes do
procedimento de Caio acionou os mecanismos de                     segurado.
segurança do sistema, de modo que as alterações                   b) Os dependentes estão relacionados em três classes,
foram bloqueadas e o servidor que as introduzia foi               conforme a legislação. A primeira classe comporta os
identificado.                                                     dependentes preferenciais, que não necessitam
                                                                  comprovar dependência econômica, exceto o enteado
Nessa situação não haverá crime, haja vista a                     do segurado ou o menor sob sua tutela e são
impossibilidade de consumação do dano ao                          equiparados aos filhos.
patrimônio publico.                                               c) Havendo dependentes de mais de uma classe, o
( ) Certo                                                         valor da pensão por morte, ou do auxílio-reclusão, será
( ) Errado                                                        rateado, em partes iguais, entre todo o conjunto de
                                                                  dependentes.
                                                                  d) A perda da qualidade de um dependente implica a
17 - Considere a seguinte situação hipotética.                    reversão de sua parte em favor dos demais. Com a
(Adaptada) (AFPS – 2001)                                          extinção da última cota, cessará a pensão por morte.
                                                                  e) A dependência econômica, bem como a invalidez do
    Graco e Mévio eram detentores, em partes iguais,              dependente, será comprovada à data do óbito do
das quotas sociais da empresa Delta, numa sociedade               segurado.
de responsabilidade limitada, criada em novembro de
2000. Mévio, servidor publico federal, não participava da         20 - São dependentes do segurado do Regime Geral
gestão da empresa, tendo-se definido, no respectivo               da Previdência Social: (Tec. Prev. – 2005)


Prof. Bernardo Machado                                                                   DIREITO PREVIDENCIÁRIO
                                                             79
a) todos aqueles que dependam economicamente do                 processo administrativo iniciado por Marta junto ao
segurado, sendo irrelevante o vínculo conjugal ou               INSS, pretendendo que a respectiva pensão por morte
consangüíneo.                                                   fosse dividida entre ambas.
b) todos aqueles indicados como dependentes, nos
termos da legislação tributária do imposto de renda.            Nessa situação, não havendo dependência
c) as pessoas designadas pelo segurado para serem               econômica de Vilma em relação a Jonas
dependentes.                                                    previamente ao óbito, ela não terá direito a pensão.
d)     cônjuge,   companheiro       (a),   filho(a)  não        ( ) Certo
emancipado(a), de qualquer condição, menor de 21                ( ) Errado
(vinte e um) anos ou inválido(a), pais, irmão(ã) não
emancipado(a), de qualquer condição, menor de 21                24 - A inscrição do companheiro(a) do segurado no
(vinte e um) anos ou inválido(a).                               Regime Geral da Previdência Social será promovida,
e)     cônjuge,   companheiro       (a),   filho(a)  não        na qualidade de dependente, quando                  do
emancipado(a), de qualquer condição, menor de 18                requerimento do benefício a que tiver direito. Para a
(dezoito) anos ou inválido(a), pais, irmão(ã) não               comprovação do vínculo e da dependência
emancipado(a), de qualquer condição, menor de 18                econômica do(a) companheiro(a), é suficiente a
(dezoito) anos ou inválido(a).                                  apresentação de: (Tec. Prev. – 2005)
                                                                a) certidão de nascimento de filho havido em comum.
21 - Caio, segurado do Regime Geral da Previdência              b) prova testemunhal de que o segurado e o
Social, divorciou-se de Dora, em julho de 1999,                 dependente mantêm ou mantiveram união estável.
ficando ajustado que pagaria uma pensão                         c) disposições testamentárias, prova de mesmo
alimentícia no valor de 20% do seu salário. Em                  domicílio e conta bancária conjunta.
janeiro de 2003, Caio casa-se com Ana e, fruto da               d) declaração do(a) companheiro(a) de que viveu uma
relação, nasce Márvio. Com o falecimento de Caio                relação de companheirismo com o segurado, mesmo
em agosto de 2004, quem tem direito ao                          que esta tenha terminado anos antes do ato de
recebimento de pensão por morte, na qualidade de                inscrição.
seu dependente? (Anal. Prev. – 2005)                            e) sentença homologatória em procedimento judicial de
a) Ana, somente.                                                justificação que se presta a colher prova testemunhal,
b) Márvio, somente.                                             em juízo, da existência da união estável.
c) Ana e Márvio, somente.
d) Dora e Márvio, somente.                                      25 - Leia cada um dos assertos abaixo e assinale (V)
e) Dora, Ana e Márvio.                                          ou (F), conforme seja verdadeiro ou falso. Depois,
                                                                marque a opção que contenha a exata seqüência.
22 - Caio, em maio de 2000, separou-se,                         (Analista Tributário – 2005)
judicialmente, de Maria. Na referida, separação,                ( ) O segurado que deixar de exercer atividade
acordou-se, judicialmente, que Caio não iria pagar              remunerada abrangida pela Previdência Social, ou
pensão alimentícia à ex-esposa e que só iria pagar              estiver suspenso ou licenciado sem remuneração, que
tal encargo para Ana, filha do casal, 19 anos. Em               deixar de contribuir perde automaticamente a qualidade
agosto de 2002, Caio conhece Teresa, com a qual                 de segurado, para fins de receber benefícios.
vem a morar e manter união estável. Em agosto de                ( ) O irmão não emancipado, menor de 21 anos,
2004, Caio falece. Quem tem direito à pensão por                válido para o trabalho, alista-se entre os beneficiários do
morte, na qualidade de dependente de Caio? (Tec.                Regime Geral de Previdência Social, na condição de
Prev. – 2005)                                                   dependente do segurado.
a) Maria, Ana e Teresa.                                         ( ) Se o cônjuge que se divorcia abre mão dos
b) Maria e Ana.                                                 alimentos, processa-se o cancelamento da inscrição de
c) Ana e Teresa.                                                dependente, para fins de benefícios previdenciários.
d) Ana.
e) Teresa.                                                      a) V V V
                                                                b) F F F
                                                                c) F V V
                                                                d) V V F
                                                                e) F F V

23 - Considere a seguinte situação hipotética. (AFPS            26 - No Regime Geral da Previdência Social, é
– 2001)                                                         incorreto afirmar que, nas situações abaixo
                                                                elencadas, mantém a qualidade de segurado,
    Jonas inscreveu sua companheira, Marta, como sua            independentemente de contribuições: (AFRFB –
dependente, em 1990, após cinco anos de vida em                 2005)
comum, Jonas era casado com Vilma, de quem se                   a) Até 6 (seis) meses após o livramento, o segurado
separou de fato em 1983, não tendo providenciado,               retido ou recluso.
contudo, nem a separação judicial nem o divórcio. Vilma         b) Até 12 (doze) meses após a cessação das
nunca recebeu pensão alimentícia de Jonas, mas                  contribuições, o segurado que deixar de exercer
sobrevindo o óbito deste, em 2000, ela se habilitou no


Prof. Bernardo Machado                                                                   DIREITO PREVIDENCIÁRIO
                                                           80
atividade remunerada abrangida pela Previdência Social          comprovada -, razão pela qual também não efetuou
ou estiver suspenso ou licenciado sem remuneração.              nenhuma contribuição para a previdência social.
c) Até 12 (doze) meses após cessar a segregação, o
segurado acometido de doença de segregação                      Nessa situação, José não perdera sua condição de
compulsória.                                                    segurado do regime geral da previdência social no
d) Até 3 (três) meses após o licenciamento, o segurado          período referido, podendo, inclusive, fruir o
incorporado às Forças Armadas para prestar serviço.             beneficio do auxílio-doença.
e) Sem limite de prazo, quem está em gozo de                    ( ) Certo
benefício.                                                      ( ) Errado

27 - A respeito da manutenção e perda da qualidade              30 - Caso um individuo completasse, em 1998, todos
de segurado, assinale a opção incorreta. (AFPS –                os requisitos definidos na legislação vigente para
2002)                                                           fruir o beneficio da aposentadoria por tempo de
a)    Mantém      a      qualidade    de    segurado,           serviço, então poderia obter a concessão do
independentemente de contribuições sem limite de                beneficio em 2001, ainda que tivesse perdido a
prazo para quem está em gozo de benefício.                      qualidade de segurado em 1999. (AFPS – 2001)
b) Mantém a qualidade de segurado, até 12                       ( ) Certo
(doze) meses após a cessação das contribuições, o               ( ) Errado
segurado que deixar de exercer atividade remunerada
abrangida pela Previdência Social.                              31 - A respeito dos períodos de carência, assinale
c) Mantém a qualidade de segurado, até 12                       qual dos benefícios abaixo necessita de período de
(doze) meses após a cessação das contribuições, o               carência: (AFPS – 2002)
segurado que estiver licenciado sem remuneração.                a) Pensão por morte.
d) Mantém a qualidade de segurado, até 12                       b) Auxílio-reclusão.
(doze) meses após a cessação das contribuições, o               c) Salário-família.
segurado que estiver suspenso.                                  d) Auxílio-acidente.
e) Mantém a qualidade de segurado, até 12                       e) Auxílio-doença.
(doze) meses após cessar a segregação, o
segurado acometido de doença de segregação                      32 - Com relação às espécies de prestações e aos
compulsória.                                                    períodos de carência correspondentes, assinale a
                                                                opção incorreta. (AFPS – 2002)
28 - Tício, marido de Martha, faleceu, em julho de              a) Aposentadoria por invalidez oriunda de doença
2004, desempregado. Havia trabalhado como                       profissional – doze contribuições.
empregado, durante 20 (vinte) anos, para a empresa              b) Auxílio-doença– doze contribuições.
“Carro dos Sonhos Ltda.”, tendo terminado o seu                 c) Salário-família – zero contribuições.
contrato de trabalho com a referida empresa em                  d) Auxílio-funeral – zero contribuições.
julho de 1999. Em agosto de 2004, Martha formulou               e) Pensão por morte – zero contribuições.
requerimento administrativo de pensão por morte
em uma Agência da Previdência Social e teve seu                 33 - 12 (doze) contribuições mensais, 180 (cento e
pedido indeferido. A correta justificativa para o               oitenta)    contribuições     mensais     e    nenhuma
indeferimento da pensão por morte nesse caso é:                 contribuição são os períodos de carência,
(Anal. Prev. – 2005)                                            respectivamente,        do     seguintes      benefícios
a) perda da qualidade de segurado do instituidor da             previdenciários: (Tec. Prev. – 2005)
pensão.                                                         a) auxílio-doença, aposentadoria por idade e pensão por
b) ausência de inscrição de Martha como dependente              morte.
designada por Tício, antes de seu falecimento.                  b) auxílio-doença, aposentadoria por invalidez e pensão
c) o fato de que Martha não comprovou a sua                     por morte.
dependência econômica de Tício, requisito este                  c) auxílio-acidente, pensão por morte e serviço social.
indispensável para a qualificação de cônjuge como               d) auxílio-acidente, aposentadoria por idade e pensão
dependente.                                                     por morte
d) o fato de Martha não ser segurada do Regime Geral            e) aposentadoria por invalidez, aposentadoria por tempo
da Previdência Social.                                          de contribuição e aposentadoria por idade.
e) o fato de o período de carência fixado por lei para a
concessão de pensão por morte não ter sido cumprido.            34 - Período de carência é o número de
                                                                contribuições mensais indispensáveis para que o
29 - Considere a seguinte situação hipotética. (AFPS            beneficiário faça jus ao benefício. O dia de início da
– 2001)                                                         contagem do período de carência é o(a): (Tec. Prev.
                                                                – 2005)
    Vitima da recessão por que passou o país, Jose foi          a) primeiro dia do mês de filiação ao Regime Geral de
demitido da empresa onde trabalhava há quinze anos,             Previdência Social, para o segurado empregado
período no qual esteve regularmente filiado ao regime           doméstico.
geral de previdência social. Jose passou três anos
desempregado      -   situação   esta     devidamente


Prof. Bernardo Machado                                                                  DIREITO PREVIDENCIÁRIO
                                                           81
b) primeiro dia do mês de filiação ao Regime Geral de               contribuição, o qual consiste na média aritmética
Previdência Social, para todos os segurados,                        simples de um certo número de salários-de-
obrigatórios ou facultativos.                                       benefício,    todos    devidamente    atualizados
c) primeiro dia do mês em que se iniciou a execução de              monetariamente. (AFPS – 2001)
atividade remunerada, como segurado empregado,                      ( ) Certo
sendo presumida a contribuição.                                     ( ) Errado
d) data do efetivo recolhimento da primeira contribuição
sem atraso, para trabalhador avulso.                                38 - A que percentual do salário-de-benefício
e) data do efetivo recolhimento da primeira contribuição            correspondem, respectivamente, as rendas mensais
sem atraso, para todos os segurados, obrigatórios ou                iniciais do auxílio-doença, do auxílio-acidente e da
facultativos.                                                       aposentadoria por invalidez? (Anal. Prev. – 2005)
                                                                    a) 100%, 91% e 50%.
35 - Com relação ao acidente do trabalho, assinale a                b) 91%, 100% e 70%.
afirmativa incorreta. (Procurador TC/PA – 2008)                     c) 91%, 50% e 100%.
a) Acidente do trabalho é o que ocorre pelo exercício do            d) 91%, 50% e 70%.
trabalho a serviço da empresa ou pelo exercício do                  e) 50%, 91% e 100%.
trabalho dos segurados especiais, provocando lesão
                                                                                                        o
corporal ou perturbação funcional que cause a morte ou              39 - O artigo 201, parágrafo 3 da Constituição
a perda ou redução, permanente ou temporária, da                    Federal de 1988 assim dispõe: “É assegurado o
capacidade para o trabalho.                                         reajustamento dos benefícios para preservar-lhes,
b) A doença do trabalho e a doença profissional,                    em caráter permanente, o valor real, conforme
produzidas ou desencadeadas pelo exercício do                       critérios definidos em lei”. Tal dispositivo disciplina
trabalho, peculiares a determinadas atividades ou em                a manutenção do valor real dos benefícios
função das condições especiais em que o trabalho é                  previdenciários, que consiste em: (Tec. Prev. – 2005)
desenvolvido, também são consideradas como acidente                 a) assegurar reajustamento de modo que a renda
do trabalho.                                                        mensal seja equivalente ao número de salários mínimos
c) É equiparado a acidente do trabalho o sofrido no                 da renda mensal inicial, na data de início do benefício.
percurso da residência para o local ou deste para                   b) reajustar o benefício de acordo com a variação
aquela, qualquer que seja o meio de locomoção.                      inflacionária, de modo a evitar diminuição injusta do seu
d) Os acidentes ocorridos fora do local de trabalho,                poder de compra, variação esta que será fixada em lei.
exceto os de trajeto, ainda que a serviço da empresa,               c) corrigir, monetariamente, todos os salários-de-
não se equiparam a acidente do trabalho.                            contribuição considerados no cálculo do benefício.
e) A empresa é responsável pela adoção e uso das                    d) adotar critérios de reajustamento dos benefícios
medidas coletivas e individuais de proteção e segurança             previdenciários fixados anualmente pelo Poder
da saúde do trabalhador, constituindo contravenção                  Judiciário.
penal, punível com multa, deixar a empresa de cumprir               e) aplicar o mesmo índice de reajustamento vigente na
as normas de segurança e higiene do trabalho.                       data de início do benefício a todo o período de reajuste,
                                                                    durante a existência do benefício.
36 - A respeito do cálculo do valor do benefício
previdenciário, assinale a afirmativa incorreta. (Tec.              40 - Considerando que um segurado se aposentasse
Prev. – 2005)                                                       por invalidez com beneficio equivalente a R$ 480,00,
a) Atualmente, o salário-de-benefício da aposentadoria              sendo de R$ 80,00, à época, o valor do salário
por idade consiste na média aritmética simples dos                  mínimo, então, sendo elevado para R$ 180,00 o valor
maiores salários-de-contribuição correspondentes a                  desse salário mínimo, o beneficio previdenciário no
80% de todo o período contributivo, multiplicado pelo               poderá ser inferior a R$ 1.080,00. (AFPS – 2001)
fator previdenciário.                                               ( ) Certo
b) Atualmente, o salário-de-benefício da aposentadoria              ( ) Errado
por tempo de contribuição consiste na média dos 36
(trinta e seis) últimos salários-de-contribuição, corrigidos
monetariamente mês a mês.
c) O auxílio-doença tem como base de cálculo o salário-
de-benefício do segurado.
d) Atualmente, o salário-de-benefício da aposentadoria
por invalidez consiste na média aritmética simples dos              41 - Quanto à concessão de benefícios, assinale a
maiores salários-de-contribuição correspondentes a                  afirmativa incorreta. (Procurador TCM/RJ – 2005)
80% de todo o período contributivo.                                 a) Todos os benefícios da Previdência Social são
e) O fator previdenciário será calculado considerando-se            concedidos sempre que implementados dois requisitos:
a idade, a expectativa de sobrevida e o tempo de                    a carência e a situação geradora do benefício, também
contribuição do segurado.                                           chamada de risco social. Assim, por exemplo, tratando-
                                                                    se de aposentadoria por idade, o segurado deve ter, no
37 - A renda inicial do beneficio de aposentadoria                  mínimo, sessenta e cinco anos ou, sendo do sexo
por tempo de contribuição de um empregado                           feminino, sessenta anos de idade, com carência de
doméstico é calculada com base no salário-de-                       cento e oitenta contribuições.


Prof. Bernardo Machado                                                                      DIREITO PREVIDENCIÁRIO
                                                               82
b) O salário de benefício consiste na média aritmética          b) o auxílio-doença.
simples dos maiores salários de contribuição                    c) o salário-família.
correspondentes a oitenta por cento de todo o período           d) a reabilitação profissional.
contributivo. No caso da aposentadoria por tempo de             e) o salário-maternidade.
contribuição, a média apurada será multiplicada pelo
fator previdenciário, compulsoriamente.                         03 - Com relação às espécies de prestações e aos
c) Uma vez calculado o salário de benefício, aplica-se o        beneficiários correspondentes, assinale a opção
percentual correspondente à renda mensal, que varia             incorreta. (AFPS – 2002)
conforme o benefício requerido. A renda mensal do               a) Aposentadoria por invalidez – segurado.
benefício de prestação continuada que substituir o              b) Pensão por morte – dependente.
salário de contribuição ou o rendimento do trabalho do          c) Salário-família – segurado.
segurado não poderá ser inferior ao salário-mínimo nem          d) Auxílio-acidente – dependente.
superior ao limite máximo, salvo direito adquirido.             e) Auxílio-doença – segurado.
d) O salário-maternidade da segurada empregada é
benefício que não se sujeita à apuração do salário de           04 - Com relação à aposentadoria por invalidez,
benefício nem ao limite máximo dos benefícios. Sua              prevista na Lei 8.213/91, é incorreto afirmar: (AFRFB
renda mensal consiste num valor igual à sua                     – 2005)
remuneração.                                                    a) A aposentadoria por invalidez não será concedida ao
e) Fator previdenciário é um índice multiplicador do            trabalhador avulso.
salário de benefício, que leva em consideração, no seu          b) A concessão de aposentadoria por invalidez
cálculo, a idade do segurado, o tempo de contribuição, a        dependerá da verificação da condição de incapacidade
expectativa     de     sobrevida   no     momento     da        mediante exame médico-pericial a cargo da
aposentadoria, conforme tabelas construídas pela                Previdência.
Fundação Instituto Brasileiro de Geografia e Estatística        c) A aposentadoria por invalidez, uma vez cumprida,
– IBGE. Dessa forma, quanto mais tempo o segurado               quando for o caso, a carência exigida, será devida ao
presumivelmente receberá aposentadoria, menor será a            segurado que, estando ou não em gozo de auxílio-
renda mensal do seu benefício.                                  doença,
                                                                for considerado incapaz.
                        GABARITO                                d) A aposentadoria por invalidez, inclusive a decorrente
      01. *     02. D     03. E 04. E     05. E                 de acidente do trabalho, consistirá numa renda mensal
      06. C     07. E     08. C 09. C     10. D                 correspondente a 100% (cem por cento) do saláriode-
      11. E     12. C     13. C 14. *     15. E                 benefício.
      16. E     17. C     18. D 19. C     20. D                 e) A aposentadoria por invalidez será concedida ao
      21. E     22. E     23. C 24. C     25. C                 trabalhador doméstico.
      26. A     27. *     28. A 29. C     30. C
      31. E     32. A     33. A 34. C     35. D                 05 - Com relação à aposentadoria por invalidez e
      36. B     37. E     38. C 39. B     40. E                 suas características, assinale a opção incorreta.
                                                                (AFPS – 2002)
      41. A
                                                                a) Benefício de renda mensal.
                                                                b) Exige, em regra, carência.
* Questões anuladas.
                                                                c) Extinção do benefício com o retorno voluntário à
                                                                atividade.
                                                                d) Pode ser acumulado com auxílio-doença.
                Exercícios Aula 06                              e) Alíquota de 100% do salário-de-benefício.

              Benefícios (Parte Específica)

01 - A seguinte prestação (benefício) somente é
concedida aos dependentes, não ao segurado:
(Analista Tributário – 2005)
a) salário-família
b) auxílio-reclusão
c) salário-maternidade
d) auxílio-acidente                                                Em cada um dos itens que se seguem,
e) aposentadoria por invalidez                                  apresenta-se uma situação hipotética relacionada à
                                                                aposentadoria por invalidez, seguida de uma
02 - É falso afirmar que, quanto ao segurado e ao               assertiva a ser julgada.
dependente, o Regime Geral da Previdência Social
compreende as seguintes prestações, devidas                     06 - Daniel, aposentado por invalidez, retornou à sua
inclusive em razão de eventos decorrentes de                    atividade laboral voluntariamente. Nessa situação, o
acidente de trabalho, expressas em benefícios e                 benefício da aposentadoria por invalidez será
serviços, exceto. (AFRFB – 2005)                                cassado a partir da data desse retorno. (Tec. Prev.
a) a pensão por morte.                                          INSS – 2008)


Prof. Bernardo Machado                                                                    DIREITO PREVIDENCIÁRIO
                                                           83
(   ) Certo                                                 12 - Renato era servidor municipal vinculado a
(   ) Errado                                                regime próprio de previdência social havia 16 anos,
                                                            quando resolveu trabalhar na iniciativa privada, em
07 - Rui sofreu grave acidente que o deixou incapaz         1999. Nessa situação, o tempo de serviço prestado
para o trabalho, não havendo qualquer condição de           por Renato em outro regime é contado como tempo
reabilitação, conforme exame médico pericial                de contribuição, desde que haja a devida
realizado pela previdência social. Nessa situação,          comprovação, certificada pelo ente público
Rui não poderá receber imediatamente o benefício            instituidor do regime próprio. (Tec. Prev. INSS –
de aposentadoria por invalidez, pois esta somente           2008)
lhe será concedida após o período de doze meses             ( ) Certo
relativo ao auxílio-doença que Rui já esteja                ( ) Errado
recebendo. (Tec. Prev. INSS – 2008)
( ) Certo                                                   13 - Durval, inscrito na previdência social na
( ) Errado                                                  qualidade de contribuinte individual, trabalha por
                                                            conta própria, recolhendo 11% do valor mínimo
08 - Tomé já havia contribuído para a previdência           mensal do salário de contribuição. Nessa situação,
social durante 28 anos quando foi acometido de              para Durval fazer jus ao benefício de aposentadoria
uma doença profissional que determinou sua                  por tempo de contribuição, deverá recolher mais 9%
aposentadoria por invalidez, após ter recebido o            daquele valor, acrescidos de juros. (Tec. Prev. INSS
auxílio-doença por quatro anos. Nessa situação,             – 2008)
depois de receber por três anos a aposentadoria por         ( ) Certo
invalidez, Tomé poderá requerer a conversão do              ( ) Errado
beneficio em aposentadoria por tempo de
contribuição. (Tec. Prev. INSS – 2008)                      14 - Leonardo, segurado empregado, trabalhou em
( ) Certo                                                   uma empresa cujo prédio foi destruído por um
( ) Errado                                                  incêndio na década de 80 do século XX, situação
                                                            evidenciada por meio de registro junto à autoridade
09 - José perdeu a mão direita em grave acidente            policial que acompanhou os fatos. Nessa situação,
ocorrido na fábrica em que trabalhava, e, por isso,         Leonardo poderá comprovar, com auxílio de
foi aposentado por invalidez. Nessa situação, José          testemunhas, o tempo trabalhado na empresa cujo
não tem o direito de receber o adicional de 25%             prédio foi destruído, averbando esse período em
pago aos segurados que necessitam de assistência            pedido de aposentadoria por tempo de contribuição.
permanente, já que ele pode cuidar de si apenas             (Tec. Prev. INSS – 2008)
com uma das mãos. (Tec. Prev. INSS – 2008)                  ( ) Certo
( ) Certo                                                   ( ) Errado
( ) Errado
                                                            15 - Firmino foi professor do ensino fundamental
10 - Moacir, aposentado por invalidez pelo regime           durante vinte anos e trabalhou mais doze anos
geral de previdência social, recusa-se a submeter-se        como gerente financeiro em uma empresa de
a tratamento cirúrgico por meio do qual poderá              exportação. Nessa situação, excluindo-se as regras
recuperar sua capacidade laborativa. Nessa                  de transição, Firmino pode requerer o benefício
situação, devido à recusa, Moacir terá seu benefício        integral   de   aposentadoria      por    tempo   de
cancelado imediatamente. (Tec. Prev. INSS – 2008)           contribuição, haja vista a possibilidade de computar
( ) Certo                                                   o tempo em sala de aula em quantidade superior ao
( ) Errado                                                  efetivamente trabalhado, dada a natureza especial
                                                            da prestação de serviço. (Tec. Prev. INSS – 2008)
11 - Considerando que, após vinte anos                      ( ) Certo
consecutivos de contribuição para o regime geral de         ( ) Errado
previdência    social,  uma    segurada     tivesse
completado sessenta anos de idade, àquela altura
com salário-de-benefício equivalente a R$ 800,00,
então, se pretendesse aposentar-se por idade, o
valor do respectivo benefício corresponderia a R$               Em cada um dos itens que se seguem, é
720,00. (AFPS – 2001)                                       apresentada uma situação hipotética acerca da
( ) Certo                                                   aposentadoria especial, seguida de uma assertiva a
( ) Errado                                                  ser julgada.

    Em cada um dos itens subseqüentes, é                    16 - Leandro, segurado da previdência social,
apresentada uma situação hipotética a respeito da           recebe adicional de periculosidade da empresa em
aposentadoria por tempo de contribuição, seguida            que trabalha. Nessa situação, a condição de
de uma assertiva a ser julgada.                             Leandro é suficiente para que ele esteja habilitado
                                                            ao recebimento de aposentadoria especial, cujo



Prof. Bernardo Machado                                                            DIREITO PREVIDENCIÁRIO
                                                       84
tempo de contribuição é mitigado. (Tec. Prev. INSS –                 Com relação      ao    auxílio-doença,   julgue   os
2008)                                                             próximos itens.
( ) Certo
( ) Errado                                                        21 - Uma segurada empregada que tenha ficado
                                                                  afastada do serviço durante dezoito meses em
17 - João trabalha, há dez anos, exposto, de forma                virtude de um acidente de trabalho não pode ser
não-ocasional nem intermitente, a agentes químicos                demitida durante os primeiros doze meses após seu
nocivos. Nessa situação, João terá direito a                      retorno às atividades laborais. (Tec. Prev. INSS –
requerer, no futuro, aposentadoria especial, sendo-               2008)
lhe possível, a fim de completar a carência,                      ( ) Certo
converter tempo comum trabalhado anteriormente,                   ( ) Errado
isto é, tempo em que não esteve exposto aos
agentes nocivos, em tempo de contribuição para a                  22 - Uma segurada da previdência que esteja
aposentadoria do tipo especial. (Tec. Prev. INSS –                recebendo auxílio-doença é obrigada a submeter-se
2008)                                                             a exame pelo médico perito da previdência social e
( ) Certo                                                         a realizar o processo de reabilitação profissional
( ) Errado                                                        para desenvolver novas competências. (Tec. Prev.
                                                                  INSS – 2008)
18 - Getúlio julga-se na condição de requerer                     ( ) Certo
aposentadoria especial. Nessa situação, ele deverá                ( ) Errado
instruir seu pedido com o perfil profissiográfico
previdenciário, documento emitido pela empresa em                 23 - Uma segurada contribuinte individual que tenha
que trabalha e embasado no laudo técnico das                      sofrido algum acidente que tenha determinado sua
condições ambientais do trabalho que comprove as                  incapacidade temporária para a atividade laboral
condições     para   habilitação     de    benefícios             tem direito a receber auxílio-doença, cujo termo
previdenciários especiais. (Tec. Prev. INSS – 2008)               inicial deve corresponder à data do início da
( ) Certo                                                         incapacidade, desde que o requerimento seja
( ) Errado                                                        apresentado junto à previdência antes de se esgotar
                                                                  o prazo de 30 dias. (Tec. Prev. INSS – 2008)
19- Assinale a opção correta, no tocante ao auxílio-              ( ) Certo
doença. (AFRFB – 2005)                                            ( ) Errado
a) Será concedido ao segurado, independentemente de
carência.                                                         24 - Um segurado empregado do regime geral que
b) Será concedido ao segurado quando ficar constatada             tenha sofrido acidente no trajeto de sua casa para o
a sua incapacidade para o seu trabalho ou para sua                trabalho tem direito ao recebimento do auxílio-
atividade habitual por período de até 15 (quinze) dias            doença pela previdência social a partir do primeiro
consecutivos.                                                     dia de afastamento do trabalho. (Tec. Prev. INSS –
c) Será concedido ao segurado quando ficar constatada             2008)
a sua incapacidade para o seu trabalho ou para a sua
atividade habitual por mais de 15 (quinze) dias                       Julgue a assertiva que se segue a cada uma das
consecutivos.                                                     situações hipotéticas referentes ao salário-família
d) Será concedido ao segurado quando ficar constatada             apresentadas em cada um dos itens subseqüentes.
a sua incapacidade para o seu trabalho ou para sua
atividade habitual por período inferior a 15 (quinze) dias        25 - Rubens e sua esposa Amélia têm, juntos, dois
consecutivos.                                                     filhos, trabalham e são segurados do regime geral
e) Será concedido ao segurado quando ficar constatada             da previdência social, além de serem considerados
a sua incapacidade parcial para o trabalho ou para sua            trabalhadores de baixa renda. Nessa situação, o
atividade habitual por período de até 15 (quinze) dias            salário-família somente será pago a um dos
consecutivos.                                                     cônjuges. (Tec. Prev. INSS – 2008)
                                                                  ( ) Certo
                                                                  ( ) Errado
20 - De acordo com a Lei n. 8.213/91, na parte                    26 - Dalila, que é empregada doméstica e segurada
relativa ao auxílio-doença, indique qual das opções               do regime geral da previdência social, tem três
está incorreta: (AFRFB – 2005)                                    filhos, mas não recebe salário-família. Nessa
a) é um benefício de caráter continuado.                          situação, apesar de ser considerada trabalhadora de
b) é devido ao segurado.                                          baixa renda, Dalila não tem o direito de receber esse
c) a sua extinção ocorre diante da recuperação da                 benefício. (Tec. Prev. INSS – 2008)
capacidade para o trabalho.                                       ( ) Certo
d) em regra, possui prazo de carência para a sua                  ( ) Errado
concessão.
e) é concedido diante da incapacidade permanente para             27 - Carmen é segurada do regime geral da
o trabalho.                                                       previdência social e está em gozo de auxílio-doença.
                                                                  Nessa situação, Carmen também tem direito de


Prof. Bernardo Machado                                                                     DIREITO PREVIDENCIÁRIO
                                                             85
receber o salário-família pago diretamente pela               a) Benefício instantâneo.
previdência social. (Tec. Prev. INSS – 2008)                  b) Devido ao segurado.
( ) Certo                                                     c) Caráter indenizatório.
( ) Errado                                                    d) Vinculado a seqüelas consolidadas.
                                                              e) Extinção do benefício pelo óbito do segurado.
    Em cada um dos itens seguintes, é apresentada
uma situação hipotética acerca do salário-                        Em cada um dos próximos itens, é apresentada
maternidade, seguida de uma assertiva a ser                   uma situação hipotética a respeito do auxílio-
julgada.                                                      acidente, seguida de uma assertiva a ser julgada.

28 - Helena, grávida de nove meses de seu primeiro            34 - Tomás, segurado empregado do regime geral da
filho, trabalha em duas empresas de telemarketing.            previdência social, teve sua capacidade laborativa
Nessa situação, Helena terá direito ao salário-               reduzida por seqüelas decorrentes de grave
maternidade em relação a cada uma das empresas,               acidente. Nessa situação, se não tiver cumprido a
mesmo que a soma desses valores seja superior ao              carência de doze meses, Tomás não poderá receber
teto dos benefícios da previdência social. (Tec. Prev.        o auxílio-acidente. (Tec. Prev. INSS – 2008)
INSS – 2008)                                                  ( ) Certo
( ) Certo                                                     ( ) Errado
( ) Errado
                                                              35 - Marcela, empregada doméstica, após ter sofrido
29 - Há oito meses, Edna, profissional liberal, fez           grave acidente enquanto limpava a vidraça da casa
sua inscrição na previdência social, na qualidade de          de sua patroa, recebeu auxílio-doença por três
contribuinte individual, passando a recolher                  meses. Depois desse período, foi comprovadamente
regularmente as suas contribuições mensais. Dois              constatada a redução de sua capacidade laborativa.
meses depois da inscrição, descobriu que estava               Nessa situação, Marcela terá direito ao auxílio-
grávida de 1 mês, vindo seu filho a nascer,                   acidente correspondente a 50% do valor que recebia
prematuramente, com sete meses. Nessa situação,               a título de auxílio-doença. (Tec. Prev. INSS – 2008)
não há nada que impeça Edna de receber o salário-             ( ) Certo
maternidade, pois a carência do benefício será                ( ) Errado
reduzida na quantidade de meses em que o parto foi
antecipado. (Tec. Prev. INSS – 2008)                             Em cada um dos itens seguintes, é apresentada
( ) Certo                                                     uma situação hipotética relacionada à pensão por
( ) Errado                                                    morte, seguida de uma assertiva a ser julgada.

30 - Cláudia está grávida e exerce atividade rural,           36 - José tem 20 anos de idade e recebe a pensão
sendo segurada especial da previdência. Nessa                 decorrente do falecimento de seu pai, Silas, de
situação, ela tem direito ao salário-maternidade              quem é filho único. Nessa situação, quando José
desde que comprove o exercício da atividade rural             completar a idade de 21 anos, o benefício será
nos últimos dez meses imediatamente anteriores à              extinto, haja vista a inexistência de outros
data do parto ou do requerimento do benefício,                dependentes da mesma classe. (Tec. Prev. INSS –
quando solicitado antes do parto, mesmo que a                 2008)
atividade tenha sido realizada de forma descontínua.          ( ) Certo
(Tec. Prev. INSS – 2008)                                      ( ) Errado
( ) Certo
( ) Errado

31 - Adriana, segurada da previdência, adotou Paula,
uma menina de 9 anos de idade. Nessa situação,
Adriana não tem direito ao salário-maternidade.
(Tec. Prev. INSS – 2008)
( ) Certo ( ) Errado                                          37 - Alexandre, caminhoneiro, sempre trabalhou por
32 - Rute, professora em uma escola particular,               conta própria e jamais se inscreveu no regime geral
impossibilitada de ter filhos, adotou gêmeas recém-           da previdência social. Após sofrer um grave
nascidas cuja mãe falecera logo após o parto e que            acidente, resolveu filiar-se à previdência. Seis
não tinham parentes que pudessem cuidar delas.                meses depois, sofreu novo acidente e veio a falecer,
Nessa situação, Rute terá direito a dois salários-            deixando esposa e três filhos. Nessa situação, os
maternidade. (Tec. Prev. INSS – 2008)                         filhos e a esposa de Alexandre não receberão a
( ) Certo                                                     pensão por morte pelo fato de não ter sido cumprida
( ) Errado                                                    a carência de doze meses. (Tec. Prev. INSS – 2008)
                                                              ( ) Certo
33 - Com relação ao auxílio-acidente e suas                   ( ) Errado
características, assinale a opção incorreta. (AFPS –
2002)


Prof. Bernardo Machado                                                                DIREITO PREVIDENCIÁRIO
                                                         86
38 - Conforme estabelece o art. 80, da Lei n.                    nesse mesmo montante, independentemente do
8.213/91, é correto afirmar com relação ao auxílio-              mês em que o pagamento do beneficio houvesse
reclusão: (AFRFB – 2005)                                         iniciado. (AFPS – 2001)
a) Será concedido aos dependentes do segurado que                ( ) Certo
estiver preso preventivamente.                                   ( ) Errado
b) Será concedido aos dependentes do segurado que
estiver     respondendo       a     processo    criminal,        43 - Assinale o único benefício cuja percepção não
independentemente de recolhimento à prisão.                      enseja o pagamento do abono anual. (Tec. Prev.
c) Será concedido aos dependentes do segurado                    INSS – 2005)
recolhido à prisão, que não tiver remuneração.                   a) Auxílio-doença.
d) Será concedido aos dependentes do segurado                    b) Auxílio-acidente.
recolhido à prisão, ainda que receba benefício de                c) Auxílio-reclusão.
aposentadoria.                                                   d) Salário-maternidade.
e) Será concedido aos dependentes do segurado                    e) Salário-família.
recolhido ou não à prisão, mas que esteja condenado e
não receba qualquer remuneração.                                                       GABARITO
Em cada um dos itens seguintes, é apresentada uma                      01. B   02. D     03. D 04. A   05. D
situação hipotética acerca do auxílio-reclusão, seguida                06. C   07. E     08. C 09. C   10. E
de uma assertiva a ser julgada.                                        11. C   12. C     13. C 14. C   15. E
                                                                       16. E   17. E     18. C 19. C   20. E
39 - Hugo, segurado do regime geral de previdência                     21. E   22. C     23. C 24. E   25. E
há menos de 10 anos, desempregado há seis meses,                       26. C   27. *     28. C 29. C   30. C
envolveu-se em atividades ilícitas, o que determinou                   31. C   32. E     33. A 34. E   35. E
sua prisão em flagrante. Nessa condição, caso Hugo                     36. C   37. E     38. C 39. E   40. C
seja casado, sua esposa faz jus ao auxílio-reclusão
                                                                       41. B   42. E     43. E
junto à previdência social. (Tec. Prev. INSS – 2008)
( ) Certo
( ) Errado                                                       * Questão anulada.

40 - Fabiano, segurado do regime geral de
previdência, encontra-se preso e participa de
atividades laborais na prisão, fato que lhe permite
manter suas contribuições para a previdência social
na qualidade de contribuinte individual. Sua esposa,
Catarina, recebe auxílio-reclusão, por serem,
Fabiano e ela, considerados, respectivamente,
segurado e dependente de baixa renda. Nessa
situação, enquanto Catarina receber o auxílio-
reclusão, Fabiano não terá direito a nenhum tipo de
aposentadoria nem a auxílio-doença. (Tec. Prev.
INSS – 2008)
( ) Certo
( ) Errado

41 - Com relação à reabilitação profissional e suas
características, assinale a opção incorreta. (AFPS –
2002)
a) Desenvolve capacidades residuais das pessoas
incapacitadas.
b) É um benefício temporário.
c) Busca integração no mercado de trabalho.
d) Exige trabalho integrado de profissionais de
diferentes áreas.
e) Permite readaptação profissional.

42 - O abono anual é devido ao segurado da
previdência social - ou, quando for o caso, ao
dependente - que, durante o ano, recebeu auxílio-
doença, auxílio-acidente, aposentadoria, pensão por
morte ou auxílio reclusão. Considerando que o valor
de um desses benefícios correspondesse, no mês
de dezembro de 2000, a R$ 460,00, então o
beneficiário teria direito ao pagamento do abono


Prof. Bernardo Machado                                                                  DIREITO PREVIDENCIÁRIO
                                                            87
Prova INSS                                    Ainda em relação à identificação dos segurados da
                                                             previdência social, julgue os itens a seguir.
       Técnico Previdenciário - 2008                         ( ) Certo
                                                             ( ) Errado
       LEGISLAÇÃO PREVIDENCIÁRIA
                                                             06 - Um síndico de condomínio que resida no
    Em cada um dos itens subseqüentes, é                     condomínio que administra e receba remuneração
apresentada uma situação hipotética acerca da                por essa atividade é segurado da previdência social
identificação dos segurados da previdência social,           na qualidade de empregado.
seguida de uma assertiva a ser julgada.                      ( ) Certo
                                                             ( ) Errado
01 - Miguel, civil, brasileiro nato que mora há muito
tempo na Suíça, foi contratado em Genebra para               07 - Um cidadão belga que seja domiciliado e
trabalhar na Organização Mundial de Saúde. Seu               contratado no Brasil por empresa nacional para
objetivo é trabalhar nessa entidade por alguns anos          trabalhar como engenheiro na construção de uma
e retornar ao Brasil, razão pela qual optou por não          rodovia em Moçambique é segurado da previdência
se filiar ao regime próprio daquela organização.             social brasileira na qualidade de empregado.
Nessa situação, Miguel é segurado obrigatório da             ( ) Certo
previdência social brasileira na qualidade de                ( ) Errado
contribuinte individual.
( ) Certo                                                    08 - Um adolescente de 14 anos de idade, menor
( ) Errado                                                   aprendiz, contratado de acordo com a Lei n.o
                                                             10.097/2000, apesar de ter menos de 16 anos de
02 - Claudionor tem uma pequena lavoura de feijão            idade, que é o piso para inscrição na previdência
em seu sítio e exerce sua atividade rural apenas             social, é segurado empregado do regime geral.
com o auxílio da família. Dos seus filhos, somente           ( ) Certo
Aparecida trabalha fora do sítio. Embora ajude               ( ) Errado
diariamente na manutenção da plantação, Aparecida
também exerce atividade remunerada no grupo                  09 - Um tabelião que seja titular do cartório de
escolar próximo à propriedade da família. Nessa              registro de imóveis em determinado município é
situação, Claudionor e toda a sua família são                vinculado ao respectivo regime de previdência
segurados especiais da previdência social.                   estadual, pois a atividade que exerce é controlada
( ) Certo                                                    pelo Poder Judiciário.
( ) Errado                                                   ( ) Certo
                                                             ( ) Errado
03 - Nelson ocupa cargo em comissão, de livre
nomeação e exoneração, na Secretaria de Saúde de             10 - Para a previdência social, uma pessoa que
uma prefeitura que                                           administra a construção de uma casa, contratando
instituiu regime próprio de previdência social. Nessa        pedreiros e auxiliares para edificação da obra, é
condição, apesar de trabalhar em município com               considerada contribuinte individual.
regime próprio de previdência, Nelson é segurado             ( ) Certo
empregado do regime geral.                                   ( ) Errado
( ) Certo
( ) Errado                                                       Acerca de princípios da seguridade social,
                                                             julgue os itens a seguir.
04 - Beatriz trabalha, em Brasília, na sucursal da
Organização das Nações Unidas e não tem                      11    -   Pelo     fato  de   serem   concedidos
vinculação com regime deprevidência estrangeiro.             independentemente de contribuição, os benefícios e
Nessa situação, Beatriz é segurada da previdência            serviços prestados na área de
social brasileira na condição de contribuinte                assistência social prescindem da respectiva fonte
individual.                                                  de custeio prévio.
( ) Certo                                                    ( ) Certo
( ) Errado                                                   ( ) Errado

05 - Otávio, contador, é aposentado por regime               12 - De acordo com recentes alterações
próprio de previdência social e começou a prestar            constitucionais, as contribuições sociais que
serviços de contabilidade em sua residência. Dada a          financiam a seguridade social somente poderão ser
qualidade de seus serviços, logo foi contratado para         exigidas depois de decorridos noventa dias da
dar expediente em uma grande empresa da cidade.              publicação da lei que as houver instituído ou
Nessa situação, Otávio não é segurado do regime              modificado.      Essas      alterações       também
geral, tanto por ter pertencido a um regime próprio,         acrescentaram, no que concerne a esse assunto, a
quanto por ser aposentado.                                   exigência da anterioridade do exercício financeiro.
                                                             ( ) Certo ( ) Errado


Prof. Bernardo Machado                                                             DIREITO PREVIDENCIÁRIO
                                                        88
Em cada um dos itens que se seguem, é                     maternidade que Maria recebe é considerado
apresentada uma situação hipotética, seguida de              salário-de-contribuição para efeito de incidência.
uma assertiva a ser julgada.                                 ( ) Certo
                                                             ( ) Errado
13 - Célia, professora de uma universidade,
eventualmente, presta serviços de consultoria na             19 - Mateus trabalha em uma empresa de
área de educação. Por isso, Célia é segurada                 informática e recebe o vale-transporte junto às
empregada pela atividade de docência             e           demais rubricas que compõem sua remuneração,
contribuinte individual quando presta consultoria.           que é devidamente depositada em sua conta
Nessa situação, Célia tem uma filiação para cada             bancária. Nessa situação, incide contribuição
atividade.                                                   previdenciária sobre os valores recebidos por
( ) Certo                                                    Mateus a título de vale-transporte.
( ) Errado                                                   ( ) Certo
                                                             ( ) Errado
14 - Fernanda foi casada com Lucas, ambos
segurados da previdência social. Há muito tempo              20 - Luís é vendedor em uma grande empresa que
separados, resolveram formalizar o divórcio e, pelo          comercializa eletrodomésticos. A título de incentivo,
fato de ambos trabalharem, não foi necessária a              essa empresa oferece aos empregados do setor de
prestação de alimentos entre eles. Nessa situação,           vendas um plano de previdência privada. Nessa
Fernanda e Lucas, após o divórcio, deixarão de ser           situação, incide contribuição previdenciária sobre
dependentes um do outro junto à previdência social.          os valores pagos, pela empresa, a título de
( ) Certo                                                    contribuição para a previdência privada, a Luís.
( ) Errado                                                   ( ) Certo
                                                             ( ) Errado
15 - Osvaldo cumpriu pena de reclusão devido à
prática de crime de fraude contra a empresa em que           21 - Tendo sido demitido sem justa causa da
trabalhava. No período em que esteve na empresa,             empresa em que trabalhava, Vagner recebeu o aviso
Osvaldo era segurado da previdência social. Nessa            prévio indenizado, entre outras rubricas. Nessa
situação, Osvaldo tem direito de continuar como              situação, não incide contribuição previdenciária
segurado da previdência social por até dezoito               sobre o valor da indenização paga, pela empresa, a
meses após o seu livramento.                                 Vagner.
( ) Certo                                                    ( ) Certo
( ) Errado                                                   ( ) Errado

16 - Alzira, estudante, filiou-se facultativamente ao        22 - Claudionor recebe da empresa onde trabalha
regime geral de previdência social, passando a               alguns valores a título de décimo-terceiro salário.
contribuir regularmente. Em razão de dificuldades            Nessa situação, os valores recebidos por
financeiras, Alzira deixou de efetuar esse                   Claudionor não são considerados para efeito do
recolhimento por oito meses. Nessa situação, Alzira          cálculo do salário-benefício, integrando-se apenas o
não deixou de ser segurada, uma vez que a                    cálculo do salário-de-contribuição.
condição de segurado permanece por até doze                  ( ) Certo
meses após a cessação das contribuições.                     ( ) Errado
( ) Certo
( ) Errado                                                   23 - A empresa em que Maurício trabalha paga a ele,
                                                             a cada mês, um valor referente à participação nos
17 - Ronaldo, afastado de suas atividades laborais,          lucros, que é apurado mensalmente. Nessa
tem recebido auxílio doença. Nessa situação, a               situação, incide contribuição previdenciária sobre o
condição de segurado de Ronaldo será mantida sem             valor recebido mensalmente por Maurício a título de
limite de prazo, enquanto estiver no gozo do                 participação nos lucros.
benefício, independentemente de contribuição para            ( ) Certo
a previdência social.                                        ( ) Errado

   Em cada um dos itens seguintes, apresenta-se              24 - Rodrigo trabalha na gerência comercial de uma
uma situação hipotética referente à aplicação do             grande    rede     de   supermercados    e    visita
conceito de salário-de-contribuição, seguida de uma          regularmente cada uma das lojas da rede. Para
assertiva a ser julgada.                                     atendimento a necessidades do trabalho que faz
                                                             durante as viagens, Rodrigo recebe diárias que
18 - Maria, segurada empregada da previdência                excedem, todos os meses, 50% de sua remuneração
social, encontra-se afastada de suas atividades              normal. Nessa situação, não incide contribuição
profissionais devido ao nascimento de seu filho,             previdenciária sobre os valores recebidos por
mas recebe salário-maternidade. Nessa situação,              Rodrigo a título dessas diárias.
apesar de ser um benefício previdenciário, o salário-        ( ) Certo ( ) Errado



Prof. Bernardo Machado                                                             DIREITO PREVIDENCIÁRIO
                                                        89
Com relação a período de carência, julgue os             31 - Edson é menor de idade sob guarda de
itens a seguir.                                              Coutinho, segurado da previdência social. Nessa
                                                             situação, Coutinho não pode requerer o pagamento
25 - Uma profissional liberal que seja segurada              do salário-família em relação a Edson, já que este
contribuinte individual da previdência social há três        não é seu dependente.
meses e esteja grávida de seis meses terá direito ao         ( ) Certo
salário-maternidade, caso recolha antecipadamente            ( ) Errado
as sete contribuições que
faltam para completar a carência.                            32    -    Gilmar,    inválido, e    Solange    são
( ) Certo                                                    comprovadamente dependentes econômicos do
( ) Errado                                                   filho Gilberto, segurado da
                                                             previdência social, que, por sua vez, tem um filho.
26 - Uma segurada empregada do regime de                     Nessa situação, Gilmar e Solange concorrem em
previdência social que tenha conseguido seu                  igualdade de condições com o filho de Gilberto para
primeiro emprego e, logo na primeira semana, sofra           efeito de recebimento eventual de benefícios.
um grave acidente que determine seu afastamento              ( ) Certo
do trabalho por quatro meses não terá direito ao             ( ) Errado
auxílio-doença pelo fato de não ter cumprido a
carência de doze contribuições.                              33 - Roberto, produtor rural, é segurado especial e
( ) Certo                                                    não faz recolhimento para a previdência social como
( ) Errado                                                   contribuinte individual. Nessa situação, para
                                                             recebimento dos benefícios a que Roberto tem
27- Se uma empregada doméstica estiver                       direito, não é necessário o recolhimento para a
devidamente inscrita na previdência social, será             contagem dos prazos de carência, sendo suficiente
considerado, para efeito do início da contagem do            a comprovação da atividade rural por igual período.
período de carência dessa segurada, o dia em que             ( ) Certo
sua carteira de trabalho tenha sido assinada.                ( ) Errado
( ) Certo
( ) Errado                                                   34 - Como ficou desempregado por mais de quatro
                                                             anos, Mauro perdeu a qualidade de segurado.
   É apresentada, em cada um dos itens que se                Recentemente, conseguiu emprego em um
seguem, uma situação hipotética relacionada a                supermercado, mas ficou impossibilitado de receber
dependentes e a período de carência, seguida de              o salário-família pelo fato de não poder contar com
uma assertiva a ser julgada.                                 as contribuições anteriores para efeito de contagem
                                                             do tempo de carência, que, para este benefício, é de
28 - Célio, segurado empregado da previdência                doze meses. Nessa situação, Mauro poderá contar o
social, tem um filho, com 28 anos de idade, que              prazo anterior à perda da qualidade de segurado
sofre de doença degenerativa em estágio avançado,            depois de contribuir por quatro meses no novo
sendo, portanto, inválido. Nessa condição, o filho de        emprego, prazo exigido pela legislação.
Célio é considerado seu dependente, mesmo tendo              ( ) Certo
idade superior a dezoito anos.                               ( ) Errado
( ) Certo
( ) Errado                                                       Julgue a assertiva que se segue a cada uma das
                                                             situações hipotéticas referentes ao salário-família
29 - Paulo é, de forma comprovada, dependente                apresentadas em cada um dos itens subseqüentes.
economicamente de seu filho, Juliano, que, em
viagem a trabalho, sofreu um acidente e veio a               35 - Rubens e sua esposa Amélia têm, juntos, dois
falecer. Juliano à época do acidente era casado com          filhos, trabalham e são segurados do regime geral
Raquel. Nessa situação, Paulo e Raquel poderão               da previdência social, além de serem considerados
requerer o benefício de pensão por morte, que                trabalhadores de baixa renda. Nessa situação, o
deverá ser rateado entre ambos.                              salário-família somente será pago a um dos
( ) Certo                                                    cônjuges.
( ) Errado                                                   ( ) Certo
                                                             ( ) Errado
30 - César, segurado da previdência social, vive com
seus pais e com seu irmão, Getúlio, de 15 anos               36 - Dalila, que é empregada doméstica e segurada
idade. Nessa situação, o falecimento de César                do regime geral da previdência social, tem três
somente determina o pagamento de benefícios                  filhos, mas não recebe salário-família. Nessa
previdenciários a seus pais e a seu irmão se estes           situação, apesar de ser considerada trabalhadora de
comprovarem dependência econômica com relação                baixa renda, Dalila não tem o direito de receber esse
a César.                                                     benefício.
( ) Certo                                                    ( ) Certo
( ) Errado                                                   ( ) Errado


Prof. Bernardo Machado                                                             DIREITO PREVIDENCIÁRIO
                                                        90
37 - Carmen é segurada do regime geral da                   efetivamente trabalhado, dada a natureza especial
previdência social e está em gozo de auxílio-doença.        da prestação de serviço.
Nessa situação, Carmen também tem direito de                ( ) Certo
receber o salário- família pago diretamente pela            ( ) Errado
previdência social.
( ) Certo                                                       Em cada um dos próximos itens, é apresentada
( ) Errado                                                  uma situação hipotética a respeito do auxílio-
                                                            acidente, seguida de uma assertiva a ser julgada.
    Em cada um dos itens subseqüentes, é
apresentada uma situação hipotética a respeito da           43 - Tomás, segurado empregado do regime geral da
aposentadoria por tempo de contribuição, seguida            previdência social, teve sua capacidade laborativa
de uma assertiva a ser julgada.                             reduzida por seqüelas decorrentes de grave
                                                            acidente. Nessa situação, se não tiver cumprido a
38 - Renato era servidor municipal vinculado a              carência de doze meses, Tomás não poderá receber
regime próprio de previdência social havia 16 anos,         o auxílio-acidente.
quando resolveu trabalhar na iniciativa privada, em         ( ) Certo
1999. Nessa situação, o tempo de serviço prestado           ( ) Errado
por Renato em outro regime é contado como tempo
de contribuição, desde que haja a devida                    44 - Marcela, empregada doméstica, após ter sofrido
comprovação, certificada pelo ente público                  grave acidente enquanto limpava a vidraça da casa
instituidor do regime próprio.                              de sua patroa, recebeu auxílio-doença por três
( ) Certo                                                   meses. Depois desse período, foi comprovadamente
( ) Errado                                                  constatada a redução de sua capacidade laborativa.
                                                            Nessa situação, Marcela terá direito ao auxílio-
39 - Durval, inscrito na previdência social na              acidente correspondente a 50% do valor que recebia
qualidade de contribuinte individual, trabalha por          a título de auxílio-doença.
conta própria, recolhendo 11% do valor mínimo               ( ) Certo
mensal do salário de contribuição. Nessa situação,          ( ) Errado
para Durval fazer jus ao benefício de aposentadoria
por tempo de contribuição, deverá recolher mais 9%              Em cada um dos itens seguintes, é apresentada
daquele valor, acrescidos de juros.                         uma situação hipotética acerca do salário-
( ) Certo                                                   maternidade, seguida de uma assertiva a ser
( ) Errado                                                  julgada.

40 - Mário, segurado inscrito na previdência social         45 - Helena, grávida de nove meses de seu primeiro
desde 1972, requereu sua aposentadoria por tempo            filho, trabalha em duas empresas de telemarketing.
de contribuição. Nessa situação, a renda inicial da         Nessa situação, Helena terá direito ao salário-
aposentadoria de Mário corresponderá à média                maternidade em relação a cada uma das empresas,
aritmética simples dos salários-de-contribuição             mesmo que a soma desses valores seja superior ao
desde 1972, multiplicada pelo fator previdenciário.         teto dos benefícios da previdência social.
( ) Certo                                                   ( ) Certo
( ) Errado                                                  ( ) Errado

41 - Leonardo, segurado empregado, trabalhou em             46 - Há oito meses, Edna, profissional liberal, fez
uma empresa cujo prédio foi destruído por um                sua inscrição na previdência social, na qualidade de
incêndio na década de 80 do século XX, situação             contribuinte individual, passando a recolher
evidenciada por meio de registro junto à autoridade         regularmente as suas contribuições mensais. Dois
policial que acompanhou os fatos. Nessa situação,           meses depois da inscrição, descobriu que estava
Leonardo poderá comprovar, com auxílio de                   grávida de 1 mês, vindo seu filho a nascer,
testemunhas, o tempo trabalhado na empresa cujo             prematuramente, com sete meses. Nessa situação,
prédio foi destruído, averbando esse período em             não há nada que impeça Edna de receber o salário-
pedido de aposentadoria por tempo de contribuição.          maternidade, pois a carência do benefício será
( ) Certo                                                   reduzida na quantidade de meses em que o parto foi
( ) Errado                                                  antecipado.
                                                            ( ) Certo
42 - Firmino foi professor do ensino fundamental            ( ) Errado
durante vinte anos e trabalhou mais doze anos
como gerente financeiro em uma empresa de
exportação. Nessa situação, excluindo-se as regras
de transição, Firmino pode requerer o benefício
integral   de   aposentadoria      por    tempo  de
contribuição, haja vista a possibilidade de computar
o tempo em sala de aula em quantidade superior ao


Prof. Bernardo Machado                                                            DIREITO PREVIDENCIÁRIO
                                                       91
47 - Cláudia está grávida e exerce atividade rural,          53 - José perdeu a mão direita em grave acidente
sendo segurada especial da previdência. Nessa                ocorrido na fábrica em que trabalhava, e, por isso,
situação, ela tem direito ao salário-maternidade             foi aposentado por
desde que comprove o exercício da atividade rural            invalidez. Nessa situação, José não tem o direito de
nos últimos dez meses imediatamente anteriores à             receber o adicional de 25% pago aos segurados que
data do parto ou do requerimento do benefício,               necessitam de assistência permanente, já que ele
quando solicitado antes do parto, mesmo que a                pode cuidar de si apenas com uma das mãos.
atividade tenha sido realizada de forma descontínua.         ( ) Certo
( ) Certo                                                    ( ) Errado
( ) Errado
                                                             54 - Moacir, aposentado por invalidez pelo regime
48 - Adriana, segurada da previdência, adotou Paula,         geral de previdência social, recusa-se a submeter-se
uma menina de 9 anos de idade. Nessa situação,               a tratamento cirúrgico por meio do qual poderá
Adriana não tem direito ao salário-maternidade.              recuperar sua capacidade laborativa. Nessa
( ) Certo                                                    situação, devido à recusa, Moacir terá seu benefício
( ) Errado                                                   cancelado imediatamente.
                                                             ( ) Certo
49 - Rute, professora em uma escola particular,              ( ) Errado
impossibilitada de ter filhos, adotou gêmeas recém-
nascidas cuja mãe falecera logo após o parto e que               Em cada um dos itens que se seguem, é
não tinham parentes que pudessem cuidar delas.               apresentada uma situação hipotética acerca da
Nessa situação, Rute terá direito a dois salários-           aposentadoria especial, seguida de uma assertiva a
maternidade.                                                 ser julgada.
( ) Certo
( ) Errado                                                   55 - Leandro, segurado da previdência social,
                                                             recebe adicional de periculosidade da empresa em
   Em cada um dos itens que se seguem,                       que trabalha. Nessa situação, a condição de
apresenta-se uma situação hipotética relacionada à           Leandro é suficiente para que ele esteja habilitado
aposentadoria por invalidez, seguida de uma                  ao recebimento de aposentadoria especial, cujo
assertiva a ser julgada.                                     tempo de contribuição é mitigado.
                                                             ( ) Certo
50 - Daniel, aposentado por invalidez, retornou à sua        ( ) Errado
atividade laboral voluntariamente. Nessa situação, o
benefício da aposentadoria por invalidez será                56 - João trabalha, há dez anos, exposto, de forma
cassado a partir da data desse retorno.                      não-ocasional nem intermitente, a agentes químicos
( ) Certo                                                    nocivos. Nessa situação, João terá direito a
( ) Errado                                                   requerer, no futuro, aposentadoria especial, sendo-
                                                             lhe possível, a fim de completar a carência,
51 - Rui sofreu grave acidente que o deixou incapaz          converter tempo comum trabalhado anteriormente,
para o trabalho, não havendo qualquer condição de            isto é, tempo em que não esteve exposto aos
reabilitação, conforme exame médico pericial                 agentes nocivos, em tempo de contribuição para a
realizado pela previdência social. Nessa situação,           aposentadoria do tipo especial.
Rui não poderá receber imediatamente o benefício             ( ) Certo
de aposentadoria por invalidez, pois esta somente            ( ) Errado
lhe será concedida após o período de doze meses
relativo ao auxílio-doença que Rui já esteja                 57 - Getúlio julga-se na condição de requerer
recebendo.                                                   aposentadoria especial. Nessa situação, ele deverá
( ) Certo                                                    instruir seu pedido com o perfil profissiográfico
( ) Errado                                                   previdenciário, documento emitido pela empresa em
                                                             que trabalha e embasado no laudo técnico das
52 - Tomé já havia contribuído para a previdência            condições ambientais do trabalho que comprove as
social durante 28 anos quando foi acometido de               condições     para   habilitação   de   benefícios
uma doença profissional que determinou sua                   previdenciários especiais.
aposentadoria por invalidez, após ter recebido o             ( ) Certo
auxílio-doença por quatro anos. Nessa situação,              ( ) Errado
depois de receber por três anos a aposentadoria por
invalidez, Tomé poderá requerer a conversão do
beneficio em aposentadoria por tempo de
contribuição.
( ) Certo
( ) Errado




Prof. Bernardo Machado                                                             DIREITO PREVIDENCIÁRIO
                                                        92
Em cada um dos itens seguintes, é apresentada             64 - Um segurado empregado do regime geral que
uma situação hipotética relacionada à pensão por             tenha sofrido acidente no trajeto de sua casa para o
morte, seguida de uma assertiva a ser julgada.               trabalho tem direito ao recebimento do auxílio-
                                                             doença pela previdência social a partir do primeiro
58 - Ernani, segurado do regime geral da                     dia de afastamento do trabalho.
previdência social, faleceu, e sua esposa requereu           ( ) Certo
pensão 60 dias após o óbito. Nessa situação, esse            ( ) Errado
benefício será iniciado na data do requerimento
apresentado pela esposa de Ernani, visto que o                  Em cada um dos itens seguintes, é apresentada
pedido foi feito após o prazo definido pela                  uma situação hipotética acerca do auxílio-reclusão,
legislação que dá direito a esse benefício.                  seguida de uma assertiva a ser julgada.
( ) Certo
( ) Errado                                                   65 - Hugo, segurado do regime geral de previdência
                                                             há menos de 10 anos, desempregado há seis meses,
59 - José tem 20 anos de idade e recebe a pensão             envolveu-se em atividades ilícitas, o que determinou
decorrente do falecimento de seu pai, Silas, de              sua prisão em flagrante. Nessa condição, caso Hugo
quem é filho único. Nessa situação, quando José              seja casado, sua esposa faz jus ao auxílio-reclusão
completar a idade de 21 anos, o benefício será               junto à previdência social.
extinto, haja vista a inexistência de outros                 ( ) Certo
dependentes da mesma classe.                                 ( ) Errado
( ) Certo
( ) Errado                                                   66 - Fabiano, segurado do regime geral de
                                                             previdência, encontra-se preso e participa de
60 - Alexandre, caminhoneiro, sempre trabalhou por           atividades laborais na prisão, fato que lhe permite
conta própria e jamais se inscreveu no regime geral          manter suas contribuições para a previdência social
da previdência social. Após sofrer um grave                  na qualidade de contribuinte individual. Sua esposa,
acidente, resolveu filiar-se à previdência. Seis             Catarina, recebe auxílio-reclusão, por serem,
meses depois, sofreu novo acidente e veio a falecer,         Fabiano e ela, considerados, respectivamente,
deixando esposa e três filhos. Nessa situação, os            segurado e dependente de baixa renda. Nessa
filhos e a esposa de Alexandre não receberão a               situação, enquanto Catarina receber o auxílio-
pensão por morte pelo fato de não ter sido cumprida          reclusão, Fabiano não terá direito a nenhum tipo de
a carência de doze meses.                                    aposentadoria nem a auxílio-doença.
                                                             ( ) Certo
   Com relação     ao   auxílio-doença,   julgue   os        ( ) Errado
próximos itens.
                                                                 Em cada um dos itens subseqüentes, é
61 - Uma segurada empregada que tenha ficado                 apresentada uma situação hipotética que trata de
afastada do serviço durante dezoito meses em                 cumulação de benefícios, seguida de uma assertiva
virtude de um acidente de trabalho não pode ser              a ser julgada.
demitida durante os primeiros doze meses após seu
retorno às atividades laborais.                              67 - Tereza encontra-se afastada de suas atividades
( ) Certo                                                    laborais e recebe o auxílio-doença. Nessa situação,
( ) Errado                                                   caso engravide e tenha um filho, Tereza não poderá
                                                             receber, ao mesmo tempo, o auxílio-doença e o
62 - Uma segurada da previdência que esteja                  salário-maternidade.
recebendo auxílio-doença é obrigada a submeter-se            ( ) Certo
a exame pelo médico perito da previdência social e           ( ) Errado
a realizar o processo de reabilitação profissional
para desenvolver novas competências.                         68 - Sofia, pensionista da previdência social em
( ) Certo                                                    decorrência da morte de seu primeiro marido, João,
( ) Errado                                                   resolveu   casar-se   com    Eduardo,    segurado
                                                             empregado. Seis meses após o casamento, Eduardo
63 - Uma segurada contribuinte individual que tenha          faleceu em trágico acidente. Nessa situação, Sofia
sofrido algum acidente que tenha determinado sua             poderá acumular as duas pensões, caso o total
incapacidade temporária para a atividade laboral             recebido não ultrapasse o teto determinado pela
tem direito a receber auxílio-doença, cujo termo             previdência social.
inicial deve corresponder à data do início da                ( ) Certo
incapacidade, desde que o requerimento seja                  ( ) Errado
apresentado junto à previdência antes de se esgotar
o prazo de 30 dias.
( ) Certo
( ) Errado



Prof. Bernardo Machado                                                             DIREITO PREVIDENCIÁRIO
                                                        93
69 - Pedro recebe auxílio-acidente decorrente da
consolidação de lesões que o deixaram com
seqüelas definitivas. Nessa condição, Pedro não
poderá cumular o benefício que atualmente recebe
com o de aposentadoria por invalidez que
eventualmente venha a receber.
( ) Certo
( ) Errado

70 - Fábio recebe auxílio-acidente decorrente da
consolidação de lesões que o deixaram com
seqüelas definitivas. Nessa situação, Fábio poderá
cumular o benefício que atualmente recebe com o
auxílio-doença decorrente de outro evento.
( ) Certo
( ) Errado

                          GABARITO
                                  1
      01. C     02. E       03. *   04. E   05. E
      06. E     07. C       08. C   09. E   10. C
      11. E     12. E       13. C   14. C   15. E
      16. E     17. C       18. C   19. C   20. C
            2
      21. *     22. C       23. C   24. E   25. E
      26. E     27. E       28. C   29. E   30. E
      31. C     32. E       33. C   34. E   35. E
                      1
      36. C     37. *       38. C   39. C   40. E
      41. C     42. E       43. E   44. E   45. C
      46. C     47. C       48. C   49. E   50. C
      51. E     52. C       53. C   54. E   55. E
      56. E     57. C       58. E   59. C   60. E
      61. E     62. C       63. C   64. E   65. E
      66. C     67. C       68. E   69. C   70. C
1
* Questão anulada.
 2
* Gabarito alterado de C para E devido a alteração da
legislação (Dec. 6.727/09)




Prof. Bernardo Machado                                       DIREITO PREVIDENCIÁRIO
                                                        94

D. previdenciario inss_

  • 1.
    INSS Cargo:Técnico do Seguro Social DIREITO PREVIDENCIÁRIO Sumário: 01. SEGURO SOCIAL_________________________________________________________01 02. LEGISLAÇÃO PREVIDENCIÁRIA_____________________________________________ 05 03. REGIME GERAL DA PREVIDÊNCIA___________________________________________ 07 04. CONCEITO PREVIDENCIÁRIO DE EMPRESA E EMPREGADOR DOMÉSTICO________ 12 05. FINANCIAMENTO DA SEGURIDADE SOCIAL___________________________________ 13 06. CONTRIBUIÇÃO DOS SEGUROS SOCIAIS_____________________________________ 14 07. CONTRIBUIÇÃO DE EMPRESA______________________________________________ 16 08. SALÁRIO-DE-CONTRIBUIÇÃO______________________________________________ 18 09. ARRECADAÇÃO DAS CONTRIBUIÇÕES DESTINADAS À SEGURIDADE SOCIAL_____ 19 10. OBRIGAÇÕES ACESSÓRIAS________________________________________________ 23 11. FOLHA DE PAGAMENTO___________________________________________________ 23 12. RESPONSABILIDADE SOLIDÁRIA____________________________________________ 24 13. RETENÇÃO DE 11%_______________________________________________________25 14. DECADÊNCIA E PRESCRIÇÃO_______________________________________________ 29 15. RESTITUIÇÃO, COMPENSAÇÃO E REEMBOLSO________________________________ 30 16. PROVA DE INEXISTÊNCIA DE DÉBITO_______________________________________ 34 17. CRIMES CONTRA A SEGURIDADE SOCIAL____________________________________36 18. PRESTAÇÕES PREVIDENCIÁRIAS___________________________________________ 41 19. OUTRAS QUESTÕES SOBRE BENEFÍCIOS____________________________________ 46 20. OUTRAS QUESTÕES PREVISTAS NA CF/88____________________________________ 50 21. EXERCÍCIOS DAS AULAS__________________________________________________ 65 22. PROVA DE TÉCNICO DO SEGURO SOCIAL - INSS 2008__________________________88
  • 2.
    Outro ponto importantedo período da evolução SEGURIDADE SOCIAL securitária é o relatório Beveridge na Inglaterra em 1942. Este relatório foi o responsável pela origem da Origem da Proteção Social Seguridade Social, onde o Estado passa a ser responsável não só no seguro social, mas, também, nas A proteção social tem como finalidade reduzir os áreas de saúde e assistência social. efeitos das adversidades da vida, como fome, doença, velhice, etc. No Brasil, a seguridade social foi tratada pela primeira vez em 1824, com a criação dos socorros Inicialmente, a proteção social vinha da própria públicos na Constituição Federal de 1824 (saúde). Já no família, onde os mais idosos e desprovidos da ano de 1835 foi instituído o MONGERAL (Montepio capacidade de trabalhar eram auxiliados pelos mais Geral dos Servidores do Estado), que tinha o objetivo de jovens e aptos ao trabalho. beneficiar as famílias dos empregados públicos que Com o passar do tempo, viu-se a necessidade da falecessem sem lhes deixar meios de subsistência. proteção social por parte do Estado, principalmente para A Constituição Federal de 1891 foi a primeira a as pessoas que não eram dotadas da proteção familiar estabelecer a aposentadoria, entretanto, esta era e, quando esta existia, era precária. Esse papel era feito concedida apenas a funcionários públicos e em casos pela igreja, passando alguma responsabilidade para o de invalidez a serviço da Nação. Estado apenas no século XVII, com a edição da famosa Lei dos Pobres (Poor Law – Inglaterra 1601). Anterior a Em 1919, foi estabelecido o precursor para o seguro Lei dos Pobres, encontram-se indícios de seguro de acidentes do trabalho, compulsório para algumas coletivo no Império Romano, que visa à garantia de atividades, por meio do Decreto-Legislativo nº. 3.724. seus participantes, além da preocupação com os Em 1923, foi editado o Decreto-Legislativo nº. necessitados, porém sem uma intervenção direta do 4.682, denominado Lei Ely Chaves, que é considerado o Estado, sendo este apenas um fiscalizador dos marco inicial da previdência social brasileira. A Lei Eloy interesses gerais da sociedade. Chaves criou a Caixa de Aposentadoria e Pensões Portanto, nota-se a preocupação inicial do Estado (CAP) para os empregados de cada empresa pela assistência dos desprovidos de renda até, ferroviária. finalmente, a criação de um sistema securitário, coletivo No decorrer da década de 30, a tendência da e compulsório, visando à proteção total, ou seja, a organização do sistema previdenciário deixou de ser por seguridade social. empresa e passou a ser por categoria profissional. Já Hoje, no Brasil, entende-se por seguridade social o nos anos de 1933 e 1934, foram criados os Institutos de conjunto de ações do Estado no sentido de atender as Aposentadorias e Pensões dos Marítimos (IAPM), dos necessidades básicas de seu povo nas áreas de Comerciários (IAPC) e dos Bancários (IAPB). previdência social, assistência social e saúde, sendo A Constituição Federal de 1934 foi a primeira a classificados como direitos sociais pela Constituição fazer referência à expressão “previdência”, Federal no seu Título VIII – Da Ordem Social. estabelecendo a forma tríplice de custeio previdenciária, com contribuições do Estado, empregador e empregado. Evolução Histórica e Legislativa no Brasil A Constituição Federal de 1937 não traz grandes Para entendermos a evolução histórica no Brasil é alterações, apenas o uso da palavra “seguro social” importante entendermos a evolução histórica mundial da como sinônimo de previdência social. seguridade social. A Constituição Federal de 1946 foi a primeira a A Poor Law, mencionada acima, foi o primeiro ato utilizar a expressão “previdência social”. relativo à assistência social no mundo. Esta criou uma contribuição obrigatória, arrecadada pelo Estado para A Lei Orgânica da Previdência Social (LOPS), nº. fins sociais. 3.807 de 1960, padronizou o sistema assistencial ampliando os benefícios, instituiu o auxílio-natalidade, o Outro ponto fundamental foi o projeto de seguro de auxílio-funeral, o auxílio-reclusão, e estendeu a área de doença (1884), seguro de acidentes de trabalho (1884) assistência social para outras categorias profissionais. e seguro de invalidez e velhice (1889), todos na Alemanha. Foi a primeira vez em que havia a proteção Em 1963, houve a criação do Fundo de Assistência garantida pelo Estado, sendo este um arrecadador de do Trabalhador Rural (FUNRURAL), instituído pela Lei contribuições compulsórias dos participantes do sistema 4.214, além da criação do salário-família pela Lei 4.266. securitário. Podem-se observar duas características dos A Emenda Constitucional nº. 11, de 1965, criou o regimes previdenciários modernos: organização estatal princípio da seguridade social, que foi o princípio da e compulsoriedade. precedência da fonte de custeio, ou seja, nenhuma As primeiras constituições a surgirem com os prestação de serviço de caráter assistencial ou denominados direitos sociais foram a Constituição do benefício da previdência social poderia ser criado, México de 1917 e Constituição de Weimar de 1919. majorado ou estendido sem a correspondente fonte de custeio total, princípio seguido até os dias atuais. A primeira citação feita à Seguridade Social foi o Social Security Act nos Estados Unidos em 1935. Os IAP somente foram unificados em 1966, por meio do Decreto-Lei nº. 72, centralizando a organização Prof. Bernardo Machado DIREITO PREVIDENCIÁRIO 1
  • 3.
    previdenciária no InstitutoNacional de Previdência INSS foi criada a Secretaria da Receita Previdenciária Social (INPS), realmente implementado em 1967. Ainda (SRP), por meio da Medida Provisória nº 222/04, em 1966, foi criado o Fundo de Garantia do Tempo de convertida na Lei nº 11.098/05, integrando a estrutura Serviço (FGTS), por meio da Lei nº. 5.107. do Ministério da Previdência Social. Em 1967, a Lei nº. 5.316 integrou o seguro de A criação da SRP foi o requisito necessário para a acidentes de trabalho (SAT) ao sistema da previdência unificação com a Secretaria da Receita Federal (SRF). social. A primeira tentativa ocorreu por meio da Medida No ano de 1969, o Decreto-Lei nº. 564 estendeu a Provisória nº 258/05, a qual foi rejeitada por decurso de previdência social ao trabalhador rural, especialmente prazo. Entretanto, a Lei nº 11.457/07 extinguiu a SRP e ao setor agrário da agroindústria canavieira e das modificou a denominação da SRF para Secretaria da empresas de outras atividades que, pelo seu nível de Receita Federal do Brasil (RFB). organização, possam ser incluídas. Em 1970, foram instituídos o Programa de Conceituação Integração Social (PIS) e o Programa de Amparo ao A seguridade social compreende um conjunto Servidor Público (PASEP) como maneira de integrar o integrado de ações de iniciativa dos Poderes Públicos e trabalhador na participação dos trabalhadores. da sociedade, destinadas a assegurar os direitos Já em 1971, foi criado o Programa de Assistência relativos à saúde, à previdência e à assistência social ao Trabalhador Rural (Pró-Rural), de natureza (CF/88, art. 194, caput). assistencial, cujo principal benefício era aposentadoria por velhice, após 65 anos de idade, equivalente a meio salário mínimo de maior valor no país. No mesmo ano Saúde foi criado o Ministério do Trabalho e Previdência Social A saúde é direito de todos e dever do Estado, (MTPS). garantido mediante políticas sociais e econômicas que Em 1974, a previdência e a assistência social visem à redução do risco de doença e de outros obtiveram um Ministério exclusivo, desvinculado do agravos e ao acesso universal e igualitário às ações e Ministério do Trabalho, sendo criado o Ministério da serviços para sua promoção, proteção e recuperação. Previdência e Assistência Social. Ou seja, independente de contribuição, qualquer pessoa tem direito ao atendimento na rede pública de saúde. No ano de 1977 foi instituído o Sistema Nacional de Previdência e Assistência Social (SINPAS), por meio da A saúde é organizada atualmente pelo Ministério da Lei nº. 6.439, que tinha como objetivo a reorganização Saúde por meio do Sistema Único de Saúde – SUS, da Previdência Social. O SINPAS agregava o INPS, sendo financiada com recursos do orçamento da IAPAS, INAMPS, LBA, FUNABEM, DATAPREV e seguridade social, da União, dos Estados, do Distrito CEME. Federal e dos Municípios, além de outras fontes. Essas outras fontes estão elencadas na Lei nº. 8.080/90, no A Constituição Federal de 1988 tratou, pela primeira seu art. 32 (ajuda, doações, alienações patrimoniais...). vez no Brasil, da Seguridade Social, entendida esta como um conjunto de ações nas áreas de saúde, As ações e serviços públicos de saúde integram previdência e assistência social. uma rede regionalizada e hierarquizada e constituem um sistema único, organizado de acordo com as O SINPAS foi extinto em 1990. A Lei nº. 8.029/90 seguintes diretrizes: criou o Instituto Nacional do Seguro Social (INSS), autarquia federal, vinculada hoje ao Ministério da • Descentralização, com direção única em cada Previdência Social (MPS), por meio da fusão do INPS esfera de governo; com o IAPAS. O INAMPS foi extinto, sendo “substituído” • Atendimento integral, com prioridade para as pelo SUS. A LBA e a CEME também foram extintas. atividades preventivas, sem prejuízo dos serviços Em 24 de julho de 1991, entraram em vigor as Leis assistenciais; nº. 8.212 (Plano de Custeio e Organização da • Participação da comunidade. Seguridade Social) e a Lei nº. 8.213 (Plano de Benefícios da Previdência Social), que são as leis relativas a organização da seguridade social e planos Ações e serviços de saúde são de relevância de custeio e benefício. pública, cabendo ao Poder Público dispor, nos termos Essas leis básicas da seguridade social vêm da lei, sobre sua regulamentação, fiscalização e sofrendo inúmeras alterações ao longo do tempo, como controle, devendo sua execução ser feita diretamente por exemplo, a Lei nº. 10.666/03, a qual, entre outras ou através de terceiros e, também, por pessoa física ou inovações, criou a alteração da forma de arrecadação jurídica de direito privado. dos contribuintes individuais que prestam serviços às Ou seja, a assistência à saúde é livre à iniciativa empresas. privada sendo executadas por profissionais liberais, legalmente habilitados, e pessoas jurídicas de direito Atualmente, o Regulamento da Previdência Social é aprovado pelo Decreto nº. 3.048/99. privado. Entretanto, essa assistência só será prestada de Com o intuito de retirar a tarefa de arrecadar, maneira complementar, ou seja, quando o SUS não fiscalizar e cobrar as contribuições previdenciárias do tiver disponibilidades suficientes para garantir a Prof. Bernardo Machado DIREITO PREVIDENCIÁRIO 2
  • 4.
    cobertura assistencial àpopulação de uma determinada A assistência social é organizada pelo Ministério do área, poderá recorrer aos serviços ofertados pela Desenvolvimento Social e Combate à Fome e tem por iniciativa privada. princípios: A participação complementar dos serviços privados • A proteção à família, à maternidade, à infância, à será formalizada mediante contrato ou convênio, adolescência e à velhice; observadas, a respeito, as normas de direito público, • O amparo às crianças e adolescentes carentes; sendo dada preferência as entidades filantrópicas e as sem fins lucrativos. • A promoção da integração ao mercado de trabalho; Atentem para o fato de que é dada preferência. Ou seja, pessoas jurídicas de direito privado podem • A habilitação e reabilitação das pessoas participar da assistência a saúde no país, sempre de portadoras de deficiência e a promoção de sua forma complementar, ainda que tenha finalidade integração à vida comunitária; lucrativa. Entretanto, é vedada a destinação de recursos • A garantia de um salário mínimo de benefício públicos para auxílios ou subvenções às instituições mensal à pessoa portadora de deficiência e ao privadas com fins lucrativos. idoso que comprovem não possuir meios de prover É vedada, também, a participação direta ou indireta à própria manutenção ou de tê-la provida por sua de empresas ou capitais estrangeiros na assistência à família, conforme dispuser a lei. saúde no País, salvo nos casos previstos em lei. A Lei nº. 8.080/90, nos seu art. 23 determina o caso de exceção, permitindo doações de organismos Apesar de a constituição mencionar no seu texto internacionais vinculados à Organização das Nações “objetivos”, estamos a frente de verdadeiros princípios, Unidas - ONU, de entidades de cooperação técnica e de visto que a constituição não determina algo a ser financiamento e empréstimos. alcançado, mas sim algo que norteia o funcionamento da assistência social. Por fim, compete ao SUS, além de outras atribuições, nos termos da lei: Atentem para o fato do benefício mensal somente ser pago à pessoa portadora de deficiência ou ao idoso • Controlar e fiscalizar procedimentos, produtos e e desde que não possam se manter. Pessoa idosa é substâncias de interesse para a saúde e participar aquela acima de 65 (sessenta e cinco) anos conforme da produção de medicamentos, equipamentos, determina o art. 34 do Estatuto do Idoso – Lei nº. imunobiológicos, hemoderivados e outros insumos; 10.741/03. Idoso pelo próprio estatuto é aquela pessoa • Executar as ações de vigilância sanitária e com idade igual ou superior a 60 (sessenta) anos. epidemiológica, bem como as de saúde do Apenas para fins de recebimento de prestação trabalhador; continuada da Lei Orgânica da Assistência Social – LOAS (Lei nº. 8.742/93) é que o estatuto do idoso • Ordenar a formação de recursos humanos na determina a idade de 65 (sessenta e cinco) anos. área de saúde; Além da questão da deficiência ou da idade é • Participar da formulação da política e da necessária a comprovação de não possuir meios de execução das ações de saneamento básico; prover à própria manutenção ou de tê-la provida por sua • Incrementar em sua área de atuação o família. A LOAS vem determinar de uma maneira desenvolvimento científico e tecnológico; objetiva esse conceito, determinando que considera-se • Fiscalizar e inspecionar alimentos, compreendido incapaz de prover a manutenção da pessoa portadora o controle de seu teor nutricional, bem como de deficiência ou idosa a família cuja renda mensal per bebidas e águas para consumo humano; capita seja inferior a 1/4 (um quarto) do salário mínimo. Esse benefício, apesar de não ser um benefício • Participar do controle e fiscalização da produção, previdenciário, é pago pelo INSS, pois já possui a transporte, guarda e utilização de substâncias e estrutura necessária para o pagamento de benefício de produtos psicoativos, tóxicos e radioativos; prestação continuada. Não haveria necessidade do • Colaborar na proteção do meio ambiente, nele governo criar mais uma estrutura para se pagar esse compreendido o do trabalho. benefício, acarretando assim mais um gasto público A Lei que regulamenta a saúde é a Lei nº. 8.080, de desnecessário. 19/09/1990. Além desse benefício de prestação continuada, existem outros benefícios previstos na LOAS. São os chamados benefícios eventuais, como é o caso do Assistência Social auxílio-natalidade e auxílio-funeral. A condição básica A assistência social será prestada a quem dela para o pagamento desses benefícios é justamente a necessitar, independentemente de contribuição à mesma do benefício de prestação continuada, ou seja, seguridade social. Portanto, o único pré-requisito para o não possuir meios prover à própria manutenção ou de auxílio assistencial é a necessidade do assistido e, tê-la provida por sua família (renda mensal familiar per assim como a saúde, independe de contribuição. capita inferior a 1/4 (um quarto) do salário mínimo). As ações governamentais na área da assistência social serão realizadas com recursos do orçamento da Prof. Bernardo Machado DIREITO PREVIDENCIÁRIO 3
  • 5.
    seguridade social, alémde outras fontes, e organizadas Princípios Específicos: com base nas seguintes diretrizes: • Solidariedade (art. 3º, I, CF/88): busca reduzir as • Descentralização político-administrativa, cabendo desigualdades sociais, permitindo que alguns a coordenação e as normas gerais à esfera federal e a contribuam para o sistema, para que outros, sem coordenação e a execução dos respectivos programas condições financeiras, estejam cobertos pela às esferas estadual e municipal, bem como a entidades seguridade social. Este princípio permite que uma beneficentes e de assistência social; pessoa se aposente por invalidez, sem ter qualquer • Participação da população, por meio de contribuição para o sistema; organizações representativas, na formulação das • Universalidade de cobertura e atendimento: políticas e no controle das ações em todos os níveis. estabelece que qualquer pessoa pode participar da É facultado aos Estados e ao Distrito Federal proteção social. Para a área de saúde e assistência vincular a programa de apoio à inclusão e promoção social, viu-se que qualquer pessoa tem acesso, social até 0,5 % (cinco décimos por cento) de sua independente de contribuição. Entretanto, quanto à receita tributária líquida, vedada a aplicação desses previdência social, a pessoa deve contribuir para o recursos no pagamento de: sistema (sistema contributivo), Portanto, para que todas as pessoas possam ter acesso ao sistema foi criada a • Despesas com pessoal e encargos sociais; figura do segurado facultativo; • Serviço da dívida; • Uniformidade e equivalência dos benefícios e • Qualquer outra despesa corrente não vinculada serviços às populações urbanas e rurais: busca a não diretamente aos investimentos ou ações apoiados. distinção de valores entre os benefícios pagos às populações urbanas e rurais; A Lei que regulamenta a assistência social é a Lei nº. 8.742, de 07/12/1993. • Seletividade e distributividade na prestação dos benefícios e serviços: a seletividade determina que alguns benefícios são disponíveis apenas para certos Previdência Social segurados, como salário-família e auxílio-reclusão. Já a A previdência social será organizada sob a forma de distributividade tem por objetivo diminuir as regime geral, de caráter contributivo e de filiação desigualdades sociais, buscando otimizar a distribuição obrigatória, observados critérios que preservem o de renda e bem-estar social no país; equilíbrio financeiro e atuarial. • Irredutibilidade do valor dos benefícios: busca Diferentemente dos demais ramos da Seguridade manter o valor nominal e real (atualizar o valor do Social, a previdência social depende de contribuição. benefício de acordo com a inflação do período do benefício concedido). Cabe apenas ressaltar que, A previdência social é organizada pelo Ministério da conforme entendimento do STF, o princípio elencado no Previdência Social e tem por princípio: art. 194, § único, IV da CF/88 visa apenas proteger o • Cobertura dos eventos de doença, invalidez, valor nominal do benefício, uma vez que o valor real já morte e idade avançada; está protegido por outro dispositivo previsto na Carta • Proteção à maternidade, especialmente à Magna (art. 201, § 4º da CF/88); gestante; • Equidade na forma de participação no custeio: • Proteção ao trabalhador em situação de estabelece que a contribuição para o sistema será desemprego involuntário; determinada de acordo com a capacidade econômica de cada contribuinte, ou seja, recebendo mais pagará • Salário-família e auxílio-reclusão para os mais. Portanto, o princípio da equidade é corolário (se dependentes dos segurados de baixa renda; deriva) do princípio da solidariedade; • Pensão por morte do segurado, homem ou • Diversidade da base de financiamento: busca mulher, ao cônjuge ou companheiro e dependentes. garantir a arrecadação de contribuições, de modo que a A previdência social será o tema de todo o nosso base de financiamento da seguridade social seja a mais estudo, sendo tecido maiores detalhes posteriormente. variada possível; • Caráter democrático e descentralizado da Organização e Princípios Constitucionais administração: visa a participação da sociedade na gestão da seguridade social, mediante gestão O art. 194 da Constituição Federal menciona alguns quadripartite, com participação dos trabalhadores, dos princípios da seguridade social brasileira, são os empregadores, aposentados e do governo; chamados princípios específicos. Além destes, se aplicam à seguridade social alguns princípios gerais, • Tríplice forma de custeio: determina que a elencados abaixo: seguridade social será financiada por recursos da União, das contribuições sociais das empresas e dos Princípios Gerais: trabalhadores; • Igualdade; • Preexistência do custeio em relação ao benefício • Legalidade; ou serviço: busca o equilíbrio atuarial e financeiro do • Direito Adquirido. sistema securitário, ou seja, nenhuma prestação de Prof. Bernardo Machado DIREITO PREVIDENCIÁRIO 4
  • 6.
    serviço de caráterassistencial ou benefício da cônjuges, que exerçam suas atividades em regime de previdência social poderia ser criado, majorado ou economia familiar, sem empregados permanentes, estendido sem a correspondente fonte de custeio total. contribuirão para a seguridade social mediante a aplicação de uma alíquota sobre o resultado da comercialização da produção e farão jus aos benefícios A Seguridade Social na Constituição Federal de nos termos da lei. 1988 As contribuições sociais previstas no inciso I, deste A seguridade social será financiada por toda a item, poderão ter alíquotas ou bases de cálculo sociedade, de forma direta e indireta, nos termos da lei, diferenciadas, em razão da atividade econômica, da mediante recursos provenientes dos orçamentos da utilização intensiva de mão-de-obra, do porte da União, dos Estados, do Distrito Federal e dos empresa ou da condição estrutural do mercado de Municípios, e das seguintes contribuições sociais: trabalho. I - do empregador, da empresa e da entidade a ela A lei definirá os critérios de transferência de equiparada na forma da lei, incidentes sobre: recursos para o sistema único de saúde e ações de a) a folha de salários e demais rendimentos do trabalho assistência social da União para os Estados, o Distrito pagos ou creditados, a qualquer título, à pessoa física Federal e os Municípios, e dos Estados para os que lhe preste serviço, mesmo sem vínculo Municípios, observada a respectiva contrapartida de empregatício; recursos. b) a receita ou o faturamento; É vedada a concessão de remissão ou anistia das c) o lucro; contribuições sociais de que tratam os incisos I, a, e II deste item, para débitos em montante superior ao fixado II - do trabalhador e dos demais segurados da em lei complementar. previdência social, não incidindo contribuição sobre aposentadoria e pensão concedidas pelo regime geral A lei definirá os setores de atividade econômica de previdência social de que trata o art. 201; para os quais as contribuições incidentes na forma dos incisos I, b; e IV deste item, serão não-cumulativas. III - sobre a receita de concursos de prognósticos. Aplica-se o disposto no parágrafo anterior inclusive IV - do importador de bens ou serviços do exterior, ou na hipótese de substituição gradual, total ou parcial, da de quem a lei a ele equiparar. contribuição incidente na forma do inciso I, a, deste As receitas dos Estados, do Distrito Federal e dos item, pela incidente sobre a receita ou o faturamento. Municípios destinadas à seguridade social constarão dos respectivos orçamentos, não integrando o orçamento da União. LEGISLAÇÃO PREVIDENCIÁRIA A proposta de orçamento da seguridade social será elaborada de forma integrada pelos órgãos Conceito responsáveis pela saúde, previdência social e assistência social, tendo em vista as metas e A expressão Legislação Previdenciária compreende prioridades estabelecidas na lei de diretrizes as leis e os atos normativos referentes ao orçamentárias, assegurada a cada área a gestão de funcionamento do sistema securitário. Portanto, a seus recursos. legislação previdenciária tem relação com toda a seguridade social (saúde, assistência social e A pessoa jurídica em débito com o sistema da previdência social), não tratando apenas da matéria seguridade social, como estabelecido em lei, não previdenciária. Lembra-se que a Lei nº. 8.212/91 trata poderá contratar com o Poder Público nem dele receber da organização e custeio da seguridade social, e não benefícios ou incentivos fiscais ou creditícios. apenas de previdência social. A lei poderá instituir outras fontes destinadas a garantir a manutenção ou expansão da seguridade social, obedecido o disposto no art. 154, I. Fontes Nenhum benefício ou serviço da seguridade social A legislação previdenciária tem como fontes as leis poderá ser criado, majorado ou estendido sem a e a jurisprudência. Neste raciocino, deve-se entender lei correspondente fonte de custeio total. em sentido amplo, ou seja, Constituição Federal, leis ordinárias, leis complementares, leis delegadas e As contribuições sociais de que trata este artigo só medidas provisórias, sendo tais diplomas poderão ser exigidas após decorridos noventa dias da complementados pelos atos administrativos em geral. data da publicação da lei que as houver instituído ou modificado, não se lhes aplicando o disposto no art. Os atos administrativos visam dirimir as dúvidas em 150, III, "b". relação à interpretação da lei, ou seja, permitir com que a lei seja aplicada aos atos concretos, mas sem nunca São isentas de contribuição para a seguridade trazer inovações não previstas em lei, ainda que em social as entidades beneficentes de assistência social favor do segurado. que atendam às exigências estabelecidas em lei. Em relação à doutrina, não há consenso quanto à O produtor, o parceiro, o meeiro e o arrendatário sua condição de fonte de direito, em virtude da ausência rurais e o pescador artesanal, bem como os respectivos de coercibilidade dos entendimentos doutrinários. Prof. Bernardo Machado DIREITO PREVIDENCIÁRIO 5
  • 7.
    Deve-se, também, reconhecercomo fonte do direito • Restritiva/Extensiva: a interpretação restritiva é previdenciário os demais ramos do direito, como, por feita quando o legislador disse mais do que queria, exemplo, o direito tributário, que trata de contribuições atingindo situações não previstas. Já a interpretação sociais. extensiva é quando o legislador disse menos do que Como principais fontes formais do direito queria. Em ambas as situações, o intérprete busca a previdenciário temos a Constituição Federal de 1988, as correta mens legis sem inovar no mundo jurídico. Leis nº. 8.212/91 e 8.213/91, além do Regulamento da Uma interpretação extensiva que fuja às Previdência Social, aprovado pelo Decreto nº. 3.048/99. possibilidades interpretativas da letra da lei já é, em verdade, integração do direito, e não interpretação. Autonomia A integração difere da interpretação na medida em É praticamente pacífica na doutrina e jurisprudência que a integração não visa a mens legis de determinada a independência do direito previdenciário frente aos norma, mas sim o preenchimento de lacuna do demais ramos do direito, entre eles, o direito do trabalho ordenamento jurídico. e o direito administrativo. As ferramentas para a integração são a analogia, a Essa autonomia é conseqüência do conjunto de eqüidade, os costumes e os princípios gerais do direito. princípios jurídicos próprios, além do complexo de normas aplicáveis a este segmento. Pode-se, ainda, A analogia consiste na utilização de previsões encontrar conceitos jurídicos exclusivos do direito similares existentes no ordenamento jurídico, análoga à previdenciário, como, por exemplo, salário-de-benefício considerada. e salário-de-contribuição. A eqüidade é um meio de humanizar a aplicação da lei, quando o aplicador faz às vezes de legislador, a fim de completá-la ou dar-lhe maior sentido de justiça. Aplicação das Normas Previdenciárias: Interpretação, Integração, Vigência e Hierarquia Os costumes são práticas reiteradas, de longa data, pela sociedade e aceitas como corretas. A interpretação da lei, texto genérico e abstrato, visa determinar o sentido e alcance das normas Os princípios gerais do direito são aqueles que jurídicas, de modo que seu aplicador alcance a correta fornecem as principais diretrizes do ordenamento mens legis (finalidade da lei). jurídico, responsáveis pela fundação de toda a construção jurídica. Aplicar a lei significa enquadrar um caso concreto à situação prevista em lei. A vigência da lei diz respeito à sua existência jurídica em um determinado momento. É requisito Ao interpretar um texto legal, o intérprete deve necessário para a eficácia da lei, sua produção de buscar, dentro das opções existentes no texto legal, efeitos. aquela que seja a mais compatível com o caso concreto, não se limitando às situações previstas pelo De acordo com a Lei de Introdução ao Código Civil legislador, quando da elaboração do texto. – LICC – Decreto-Lei nº. 4.657/42, salvo disposição de lei em contrário, a lei começa a vigorar em todo o País Existem diversos processos de interpretação, na 45 (quarenta e cinco) dias depois de oficialmente busca da interpretação mais adequada, tais como: publicada, não sendo diferente em relação à lei • Gramatical: determina a interpretação somente à previdenciária. luz do próprio dispositivo legal, sendo um método Todavia, a vigência da lei não implica, por si só, sua bastante restritivo; eficácia. Isto é, sua aplicabilidade. • Histórico ou genético: determina o exame dos No caso das contribuições sociais, o art. 195, elementos, as circunstâncias, as causas que parágrafo 6º, CF, diz que as mesmas só poderão ser implicaram a criação da lei sob exame; exigidas após decorridos noventa dias da data da • Teleológico ou finalístico: determina ser a publicação da lei que as houver instituído ou modificado, interpretação da norma feita mediante a apuração não se lhes aplicando o disposto no art. 150, III, b , CF da finalidade objetivada pela mesma; (princípio da anterioridade ou anualidade). • Lógico-sistemático: determina que todas as regras Portanto, apesar da lei já estar em vigor após jurídicas devem ter, entre si, um nexo, pois são decorridos 45 (quarenta e cinco) dias, as contribuições parte de um só sistema jurídico. Devido a isto, deve- sociais somente poderão ser exigidas após decorridos se buscar uma interpretação compatível com o 90 (noventa) dias. É o chamado princípio da ordenamento jurídico, verificando-se a anterioridade previdenciária, mitigada ou nonagesimal. compatibilidade da lei a ser interpretada com outros Ainda temos as leis relativas às alterações nos diplomas legais e, principalmente, com os princípios benefícios previdenciários, que estabelecem, com de direito envolvidos; freqüência, períodos de transição, onde a lei também • Autêntica: método executado pelo próprio poder tem sua eficácia restrita ou reduzida. legislativo, mediante a edição de uma nova lei que A hierarquia das normas é a ordem de graduação interpreta a anterior; entre estas, segundo uma escala decrescente: normas constitucionais, leis complementares, leis ordinárias, leis Prof. Bernardo Machado DIREITO PREVIDENCIÁRIO 6
  • 8.
    delegadas, medidas provisórias,decretos legislativos e Empregado: resoluções, decretos regulamentares, normas internas Conforme determina a legislação previdenciária, (portarias, despachos, etc.) e normas individuais segurado empregado é aquele que presta serviço de (contratos, sentenças, etc.). natureza urbana ou rural à empresa, em caráter não A legislação previdenciária é submetida a esta eventual, sob sua subordinação e mediante mesma hierarquia. Entretanto, deve-se atentar para remuneração, inclusive como diretor empregado. algumas regras de prevalência em caso de conflitos de Podemos observar, portanto, 4 (quatro) normas: norma específica prevalece sobre a genérica e características básicas: pessoalidade, não- o in dubio pro misero. eventualidade, subordinação e onerosidade. A pessoalidade significa que o empregado não se Orientação dos Tribunais Superiores pode fazer substituir por outra pessoa, uma vez que o Os Tribunais Superiores são órgãos colegiados de contrato de trabalho é intuitu personae, ou seja, é segundo grau. Com jurisdição em todo o território personalíssimo. nacional, integrantes do Poder Judiciário, como o A não-eventualidade, como a própria legislação Supremo Tribunal Federal, o Superior Tribunal de previdenciária define, é quando o serviço prestado está Justiça, o Tribunal Superior do Trabalho, o Tribunal relacionado direta ou indiretamente com as atividades Superior Eleitoral e o Superior Tribunal Militar. normais da empresa. A Lei nº. 8.213/91, no seu art. 131, possibilita a Quando falamos em subordinação não estamos desistência ou abstenção de propor ação ou recurso em falando de subordinação econômica e sim de uma processos judiciais sempre que a ação versar matéria subordinação jurídica. Ou seja, pela subordinação o sobre a qual haja declaração de inconstitucionalidade empregado sujeita o exercício de suas atividades proferida pelo Supremo Tribunal Federal - STF, súmula laborais à vontade do empregador, uma vez que o ou jurisprudência consolidada do STF ou dos tribunais mesmo detém o poder para dirigir, regulamentar, superiores. Para isso, deve-se ter autorização por parte fiscalizar e punir. do ministro da Previdência Social. Por fim, a onerosidade se refere ao valor a ser pago pela contraprestação do serviço prestado. REGIME GERAL DA Feita essa sucinta análise, devem ser verificadas as hipóteses previstas no art. 12 da Lei nº. 8.212/91, art. 13 PREVIDÊNCIA SOCIAL da Lei nº. 8.213/91 e art. 9º do Decreto nº. 3.048/99. A Previdência Social compreende o Regime Geral de Previdência Social (RGPS), os regimes próprios de Situações previstas no art. 9º, inciso I do Decreto nº. previdência social dos servidores públicos e dos 3.048/99: militares e o sistema complementar. “I - como empregado: O RGPS visa garantir a cobertura de todas as situações expressas no art. 1º da Lei nº. 8.213/91 e art. a) aquele que presta serviço de natureza urbana ou 5º do Decreto nº. 3.048/99, exceto a de desemprego rural a empresa, em caráter não eventual, sob sua involuntário, pois o seguro-desemprego é hoje uma subordinação e mediante remuneração, inclusive como incumbência do Ministério do Trabalho. diretor empregado; b) aquele que, contratado por empresa de trabalho temporário, por prazo não superior a três meses, Beneficiários do RGPS prorrogável, presta serviço para atender a necessidade São beneficiários do RGPS os segurados, que se transitória de substituição de pessoal regular e dividem em segurados obrigatórios e facultativos, e permanente ou a acréscimo extraordinário de serviço de dependentes. Esses beneficiários são aptos a outras empresas, na forma da legislação própria; receberem os benefícios e serviços do RGPS. Nessa c) o brasileiro ou o estrangeiro domiciliado e contratado parte estudaremos apenas os segurados, deixando no Brasil para trabalhar como empregado no exterior, mais para frente o estudo sobre os dependentes. em sucursal ou agência de empresa constituída sob as leis brasileiras e que tenha sede e administração no Segurados Obrigatórios: País; Os segurados obrigatórios são aqueles filiados ao d) o brasileiro ou o estrangeiro domiciliado e contratado sistema de modo compulsório, pelo simples fato de no Brasil para trabalhar como empregado em empresa exercerem alguma atividade remunerada. Os segurados domiciliada no exterior com maioria do capital votante obrigatórios se dividem em: empregado, empregado pertencente a empresa constituída sob as leis doméstico, contribuinte individual, trabalhador avulso e brasileiras, que tenha sede e administração no País e segurado especial. cujo controle efetivo esteja em caráter permanente sob a titularidade direta ou indireta de pessoas físicas domiciliadas e residentes no País ou de entidade de direito público interno; Prof. Bernardo Machado DIREITO PREVIDENCIÁRIO 7
  • 9.
    e) aquele quepresta serviço no Brasil a missão Observação 1: diplomática ou a repartição consular de carreira Em relação a letra “m” transcrita acima, a partir da estrangeira e a órgãos a elas subordinados, ou a EC nº 19/98, não há mais a exigência de um regime membros dessas missões e repartições, excluídos o jurídico único para os servidores da administração não-brasileiro sem residência permanente no Brasil e o direta, autárquica e fundacional. Ou seja, cada esfera do brasileiro amparado pela legislação previdenciária do governo poderá instituir regime estatutário ou contratual, país da respectiva missão diplomática ou repartição com a possibilidade de conviverem os dois, sendo que o consular; regime adotado pela administração direta poderá ser f) o brasileiro civil que trabalha para a União no exterior, diverso do das autarquias e fundações. em organismos oficiais internacionais dos quais o Brasil Entretanto, o STF concedeu liminar na ADIN nº seja membro efetivo, ainda que lá domiciliado e 2.135-4 para suspender a eficácia do art. 39, caput, da contratado, salvo se amparado por regime próprio de CF/88, com a redação da EC nº 19/98, mas com efeitos previdência social; ex nunc subsistindo a legislação editada nos termos da g) o brasileiro civil que presta serviços à União no emenda declarada suspensa. exterior, em repartições governamentais brasileiras, lá domiciliado e contratado, inclusive o auxiliar local de que tratam os arts. 56 e 57 da Lei no 11.440, de 29 de Observação 2: dezembro de 2006, este desde que, em razão de É considerado segurado empregado o servidor proibição legal, não possa filiar-se ao sistema ocupante, exclusivamente, de cargo em comissão; o previdenciário local; exercente de mandato eletivo, desde que não vinculado h) o bolsista e o estagiário que prestam serviços a a regime próprio de previdência social; e o brasileiro civil empresa, em desacordo com a Lei no 11.788, de 25 de que trabalha para a União no exterior, em organismos setembro de 2008; oficiais internacionais dos quais o Brasil seja membro efetivo, ainda que lá domiciliado e contratado, salvo se i) o servidor da União, Estado, Distrito Federal ou amparado por regime próprio de previdência social. Município, incluídas suas autarquias e fundações, ocupante, exclusivamente, de cargo em comissão declarado em lei de livre nomeação e exoneração; Empregado Doméstico: j) o servidor do Estado, Distrito Federal ou Município, Empregado doméstico é aquele que presta serviço bem como o das respectivas autarquias e fundações, de natureza contínua, mediante remuneração, a pessoa ocupante de cargo efetivo, desde que, nessa qualidade, ou família, no âmbito residencial desta, em atividades não esteja amparado por regime próprio de previdência sem fins lucrativos. social; Façamos uma análise mais detalhada da definição. l) o servidor contratado pela União, Estado, Distrito Primeiramente, o serviço deve ser contínuo. Apesar da Federal ou Município, bem como pelas respectivas legislação previdenciária não definir o que seria um autarquias e fundações, por tempo determinado, para serviço contínuo, vamos nos basear nos entendimentos atender a necessidade temporária de excepcional jurisprudenciais, apesar de não existir súmula ou interesse público, nos termos do inciso IX do art. 37 da orientação jurisprudencial das seções especializadas. Constituição Federal; Para esses entendimentos, continuidade pressupõe m) o servidor da União, Estado, Distrito Federal ou ausência de interrupção, de forma que o trabalho se Município, incluídas suas autarquias e fundações, desenvolva de maneira expressiva ao longo da semana, ocupante de emprego público; diferente de não-eventualidade visto anteriormente. Com base nessa interpretação, a diarista que presta n) Revogado; serviço o) o escrevente e o auxiliar contratados por titular de numa residência apenas em alguns dias da semana, serviços notariais e de registro a partir de 21 de recebendo por dia, novembro de 1994, bem como aquele que optou pelo não se enquadra no critério do trabalho de natureza Regime Geral de Previdência Social, em conformidade contínua. Portanto, o importante para não caracterizar o com a Lei nº 8.935, de 18 de novembro de 1994; vínculo é o pagamento diário do serviço e não a p) o exercente de mandato eletivo federal, estadual ou quantidade de dias trabalhados. municipal, desde que não vinculado a regime próprio de O serviço deve ser prestado à pessoa ou família, ou previdência social; e seja, para o empregador doméstico e não para q) o empregado de organismo oficial internacional ou empresa. estrangeiro em funcionamento no Brasil, salvo quando Além disso, o serviço deve ser prestado no âmbito coberto por regime próprio de previdência social; residencial do empregador doméstico que pode ser, r) o trabalhador rural contratado por produtor rural entre outras, a sua casa, casa de campo, inclusive pessoa física, na forma do art. 14-A da Lei no 5.889, de veículos de transporte particular (automóvel, 8 de junho de 1973, para o exercício de atividades de helicóptero...). Portanto, um motorista particular, nada natureza temporária por prazo não superior a dois mais é do que um empregado doméstico, assim como a meses dentro do período de um ano” babá, um jardineiro, caseiro... Prof. Bernardo Machado DIREITO PREVIDENCIÁRIO 8
  • 10.
    Deverá ainda serprestado em atividades sem fins c) o ministro de confissão religiosa e o membro de lucrativos. Ou seja, uma vez que o empregador instituto de vida consagrada, de congregação ou de doméstico utilize o seu empregado doméstico em uma ordem religiosa; atividade com fins lucrativos essa relação deixa de d) o brasileiro civil que trabalha no exterior para existir. O empregador doméstico passará a ser organismo oficial internacional do qual o Brasil é enquadrado como contribuinte individual e, como possui membro efetivo, ainda que lá domiciliado e contratado, segurados a seu serviço (empregado doméstico que se salvo quando coberto por regime próprio de previdência tornou empregado), passa a ser considerado empresa social; para fins previdenciários, como veremos mais a frente. Isso faz com que essa pessoa, agora empresa, seja e) o titular de firma individual urbana ou rural; tributada como tal, tendo que, inclusive, cumprir as f) o diretor não empregado e o membro de conselho de obrigações acessórias, como elaborar folha de administração na sociedade anônima; pagamento, elaborar Guia de Recolhimento do Fundo g) todos os sócios, nas sociedades em nome coletivo e de Garantia e Informações à Previdência Social (GFIP), de capital e indústria; entre outras. h) o sócio gerente e o sócio cotista que recebam Por fim, deve receber remuneração pela remuneração decorrente de seu trabalho e o contraprestação do serviço prestado ao empregador administrador não empregado na sociedade por cotas doméstico. de responsabilidade limitada, urbana ou rural; i) o associado eleito para cargo de direção em Contribuinte individual: cooperativa, associação ou entidade de qualquer A categoria de contribuinte individual foi criada pela natureza ou finalidade, bem como o síndico ou Lei nº. 9.876/99, e unificou as categorias de segurado administrador eleito para exercer atividade de direção empresário, segurado trabalhador autônomo e segurado condominial, desde que recebam remuneração; equiparado a trabalhador autônomo, existentes até j) quem presta serviço de natureza urbana ou rural, em aquela data. caráter eventual, a uma ou mais empresas, sem relação A definição básica de contribuinte individual se de emprego; divide em duas. A primeira seria aquela pessoa que l) a pessoa física que exerce, por conta própria, presta serviço em caráter eventual, a uma ou mais atividade econômica de natureza urbana, com fins empresas, sem relação de emprego. Podemos citar lucrativos ou não; como exemplo um pintor que no mesmo mês presta m) o aposentado de qualquer regime previdenciário serviço a diversas empresas, sem ter vínculo com nomeado magistrado classista temporário da Justiça do nenhuma delas. Trabalho, na forma dos incisos II do §1º do art. 111 ou A segunda seria uma pessoa que presta um serviço III do art. 115 ou do parágrafo único do art. 116 da por conta própria. Podemos citar como exemplo uma Constituição Federal, ou nomeado magistrado da pessoa que exerce atividade comercial em via pública. Justiça Eleitoral, na forma dos incisos II do art. 119 ou III Devem ser verificadas as hipóteses previstas no art. do §1º do art. 120 da Constituição Federal; 12 da Lei nº. 8.212/91, art. 13 da Lei nº. 8.213/91 e art. n) o cooperado de cooperativa de produção que, nesta 9º do Decreto nº. 3.048/99. condição, presta serviço à sociedade cooperativa mediante remuneração ajustada ao trabalho executado; Situações previstas no art. 9º, inciso V e art. 9º, §15 o) (Revogado pelo Decreto nº 7.054 de 2009) do Decreto nº. 3.048/99: p) o Micro Empreendedor Individual - MEI de que tratam o “V - como contribuinte individual: os arts. 18-A e 18-C da Lei Complementar n 123, de 14 de dezembro de 2006, que opte pelo recolhimento dos a) a pessoa física, proprietária ou não, que explora impostos e contribuições abrangidos pelo Simples atividade agropecuária, a qualquer título, em caráter Nacional em valores fixos mensais.” permanente ou temporário, em área, contínua ou descontínua, superior a quatro módulos fiscais; ou, quando em área igual ou inferior a quatro módulos Observação 1: fiscais ou atividade pesqueira ou extrativista, com auxílio Caso o segurado exerça atividade agropecuária, de empregados ou por intermédio de prepostos; ou qualquer que seja a sua forma, em área superior a 4 o ainda nas hipóteses dos §§ 8 e 23 deste artigo (vide (quatro) módulos fiscais será contribuinte individual. observação abaixo); Entretanto, caso exerça atividade agropecuária em área b) a pessoa física, proprietária ou não, que explora inferior ou igual a 4 (quatro) módulos fiscais ou atividade atividade de extração mineral - garimpo -, em caráter pesqueira poderá ser contribuinte individual ou permanente ou temporário, diretamente ou por segurado especial. Será contribuinte individual quando intermédio de prepostos, com ou sem o auxílio de exercer a atividade com empregados ou preposto, empregados, utilizados a qualquer título, ainda que de enquanto que será segurado especial quando exercer a forma não contínua; atividade individualmente ou em regime de economia familiar, ainda que com o auxílio de terceiros. Prof. Bernardo Machado DIREITO PREVIDENCIÁRIO 9
  • 11.
    o As hipóteses dos §§ 8 e 23 do art. 9º do RPS são XIV - o árbitro e seus auxiliares que atuam em aquelas em que o segurado não é enquadrado como conformidade com a Lei nº 9.615, de 24 de março de segurado especial ou é excluído da categoria de 1998.(Incluído pelo Decreto nº 3.265, de 1999) segurado especial, devendo, portanto, ser enquadrado XV - o membro de conselho tutelar de que trata o art. como contribuinte individual. 132 da Lei nº 8.069, de 13 de julho de 1990, quando remunerado; (Incluído pelo Decreto nº 4.032, de 2001) Observação 2: XVI - o interventor, o liquidante, o administrador especial É considerado contribuinte individual o brasileiro e o diretor fiscal de instituição financeira de que trata o civil que trabalha no exterior para organismo oficial § 6º do art. 201. internacional do qual o Brasil é membro efetivo, ainda que lá domiciliado e contratado, salvo quando coberto Trabalhador avulso: por regime próprio de previdência social. Deve-se reparar a falta de menção à União para ser considerado Trabalhador avulso é aquele que, sindicalizado ou contribuinte individual. não, presta serviço de natureza urbana ou rural, a diversas empresas, sem vínculo empregatício, com a § 15. Enquadram-se nas situações previstas nas intermediação obrigatória do órgão gestor de mão-de- alíneas "j" e "l" do inciso V do caput, entre outros: obra ou sindicato da categoria. I - o condutor autônomo de veículo rodoviário, assim Vamos reproduzir aqui a definição das Leis n os considerado aquele que exerce atividade profissional 8.212/91 e 8.213/91 e do Decreto nº 3.048/99 para sem vínculo empregatício, quando proprietário, co- tirarmos algumas conclusões: proprietário ou promitente comprador de um só veículo; os Leis n 8.212/91 e 8.213/91: “quem presta, a II - aquele que exerce atividade de auxiliar de condutor diversas empresas, sem vínculo empregatício, serviços autônomo de veículo rodoviário, em automóvel cedido de natureza urbana ou rural definidos no regulamento”. em regime de colaboração, nos termos da Lei nº 6.094, de 30 de agosto de 1974; Decreto nº 3.048/99: “aquele que, sindicalizado ou não, presta serviço de natureza urbana ou rural, a III - aquele que, pessoalmente, por conta própria e a diversas empresas, sem vínculo empregatício, com a seu risco, exerce pequena atividade comercial em via intermediação obrigatória do órgão gestor de mão-de- pública ou de porta em porta, como comerciante obra, nos termos da Lei nº 8.630, de 25 de fevereiro de ambulante, nos termos da Lei nº 6.586, de 6 de 1993, ou do sindicato da categoria”. novembro de 1978; Atentem para o fato de as leis definirem o IV - o trabalhador associado a cooperativa que, nessa trabalhador avulso sem determinar a intermediação qualidade, presta serviços a terceiros; obrigatória, fato que só é feito pelo Regulamento. V - o membro de conselho fiscal de sociedade por Portanto, para fins de prova, a definição de trabalhador ações; avulso, conforme as leis, se assemelha demais com o VI - aquele que presta serviço de natureza não contínua, contribuinte individual. A diferença está no fato da por conta própria, a pessoa ou família, no âmbito seguinte expressão: serviços de natureza urbana ou residencial desta, sem fins lucrativos; rural definidos no regulamento. VII - o notário ou tabelião e o oficial de registros ou registrador, titular de cartório, que detêm a delegação do Segurado especial: exercício da atividade notarial e de registro, não O segurado especial é o produtor que explore remunerados pelos cofres públicos, admitidos a partir de atividade agropecuária em área de até 4 (quatro) 21 de novembro de 1994; módulos fiscais, ou de seringueiro ou extrativista VIII - aquele que, na condição de pequeno feirante, vegetal, além do pescador artesanal, inclusive cônjuge compra para revenda produtos hortifrutigranjeiros ou ou companheiros e filhos maiores de 16 (dezesseis) assemelhados; anos de idade ou a estes equiparados, que, IX - a pessoa física que edifica obra de construção civil; comprovadamente, trabalhem com o grupo familiar respectivo, individualmente ou em regime de economia X - o médico residente de que trata a Lei nº 6.932, de 7 familiar, ainda que com o auxílio eventual de terceiros a de julho de 1981. título de mútua colaboração. XI - o pescador que trabalha em regime de parceria, Essa definição do segurado especial veio com o meação ou arrendamento, em embarcação com mais de advento da Lei nº 11.718/08. Antes dessa lei, nós seis toneladas de arqueação bruta, ressalvado o tínhamos uma antinomia (conflito de normas) entre a disposto no inciso III do § 14; os redação da CF/88 e das Leis n 8.212/91 e 8.213/91, XII - o incorporador de que trata o art. 29 da Lei nº além do Decreto nº 3.048/99. Enquanto que a CF/88, no 4.591, de 16 de dezembro de 1964. art. 195, §8º, definia que segurado especial poderia XIII - o bolsista da Fundação Habitacional do Exército exercer as suas atividades sem empregados contratado em conformidade com a Lei nº 6.855, de 18 permanentes, as leis e o decreto determinavam no de novembro de 1980; e (Incluído pelo Decreto nº 3.265, conceito de regime de economia familiar o serviço de 1999) deveria ser prestado sem empregados, fazendo com que o grupo familiar não pudesse ter empregados em Prof. Bernardo Machado DIREITO PREVIDENCIÁRIO 10
  • 12.
    nenhum momento, inclusiveno período da colheita da • A outorga, por meio de contrato escrito de safra. A Lei nº 11.718/08 terminou com esse conflito, parceria, meação ou comodato, de até cinqüenta determinando a seguinte definição para o conceito de por cento de imóvel rural cuja área total, contínua ou regime de economia familiar: “Entende-se como regime descontínua, não seja superior a quatro módulos de economia familiar a atividade em que o trabalho dos fiscais, desde que outorgante e outorgado membros da família é indispensável à própria continuem a exercer a respectiva atividade, subsistência e ao desenvolvimento socioeconômico do individualmente ou em regime de economia familiar; núcleo familiar e é exercido em condições de mútua • A exploração da atividade turística da propriedade dependência e colaboração, sem a utilização de rural, inclusive com hospedagem, por não mais de empregados permanentes”. cento e vinte dias ao ano; Percebam que agora o grupo familiar poderá ter • A participação em plano de previdência empregados, bastando que os mesmo não sejam complementar instituído por entidade classista a que permanentes. É permitido, portanto, a contratação por seja associado, em razão da condição de prazo determinado em épocas de safra, à razão de no trabalhador rural ou de produtor rural em regime de máximo cento e vinte pessoas/dia dentro do ano civil, economia familiar; em períodos corridos ou intercalados ou, ainda, por tempo equivalente em horas de trabalho, à razão de oito • A participação como beneficiário ou integrante de horas/dia e quarenta e quatro horas/semana. grupo familiar que tem algum componente que seja Vale lembra que, regra geral, o segurado especial beneficiário de programa assistencial oficial de não pode receber outra fonte de rendimento, sob pena governo; de ser desenquadrado da categoria de segurado • A utilização pelo próprio grupo familiar de especial, salvo algumas situações. Portanto, outra processo de beneficiamento ou industrialização inovação da Lei nº 11.718/08 foi a ampliação das artesanal, na exploração da atividade; situações onde o segurado apesar de possuir outra • A associação a cooperativa agropecuária. fonte de rendimento mantém a seu enquadramento como segurado especial. Seguem abaixo as situações: • Benefício de pensão por morte, auxílio-acidente Observação: ou auxílio-reclusão, cujo valor não supere o do Considera-se pescador artesanal aquele que, menor benefício de prestação continuada da individualmente ou em regime de economia familiar, faz Previdência Social; da pesca sua profissão habitual ou meio principal de • Benefício previdenciário pela participação em vida, desde que: plano de previdência complementar instituído por o Não utilize embarcação; entidade classista a que seja associado, em razão o Utilize embarcação de até seis toneladas de da condição de trabalhador rural ou de produtor arqueação bruta, ainda que com auxílio de parceiro; rural em regime de economia familiar; o Na condição, exclusivamente, de parceiro • Exercício de atividade remunerada em período de outorgado, utilize embarcação de até dez toneladas de entressafra ou do defeso, não superior a 120 (cento arqueação bruta. e vinte) dias, corridos ou intercalados, no ano civil; • Exercício de mandato eletivo de dirigente sindical Segurado Facultativo de organização da categoria de trabalhadores rurais; Os segurados facultativos são aqueles, acima dos 16 (dezesseis) anos, que desejam integrar o sistema • Exercício de mandato de vereador do município previdenciário, apesar de não exercerem atividade onde desenvolve a atividade rural, ou de dirigente remunerada que o enquadre como segurado obrigatório de cooperativa rural constituída exclusivamente por da previdência social. São exemplos de segurados segurados especiais; facultativos: dona de casa, estagiário, estudante, etc. • Parceria ou meação outorgada na forma e condições estabelecidas na lei; Situações previstas no art. 11, § 1º do Decreto nº. • Atividade artesanal desenvolvida com matéria- 3.048/99: prima produzida pelo respectivo grupo familiar, podendo ser utilizada matéria-prima de outra § 1º Podem filiar-se facultativamente, entre outros: origem, desde que a renda mensal obtida na I - a dona-de-casa; atividade não exceda ao menor benefício de II - o síndico de condomínio, quando não remunerado; prestação continuada da Previdência Social; e II - o estudante; • Atividade artística, desde que em valor mensal inferior ao menor benefício de prestação continuada IV- o brasileiro que acompanha cônjuge que presta da Previdência Social. serviço no exterior; Por fim, caber ressaltar as situações que não V - aquele que deixou de ser segurado obrigatório da descaracterizam a condição de segurado especial. previdência social; Seguem abaixo as situações: Prof. Bernardo Machado DIREITO PREVIDENCIÁRIO 11
  • 13.
    VI - omembro de conselho tutelar de que trata o art. 132 Observações: da Lei nº 8.069, de 13 de julho de 1990, quando não A inscrição do segurado em qualquer categoria esteja vinculado a qualquer regime de previdência exige a idade mínima de 16 (dezesseis) anos, exceto o social; menor aprendiz a partir dos 14 (quatorze) anos de VII - o bolsista e o estagiário que prestam serviços a idade. empresa de acordo com a Lei nº 6.494, de 1977 (Leia- Todo aquele que exercer, concomitantemente, se Lei nº 11.788 de 2008); mais de uma atividade remunerada sujeita ao RGPS VIII - o bolsista que se dedique em tempo integral a será obrigatoriamente inscrito em relação a cada uma pesquisa, curso de especialização, pós-graduação, delas. mestrado ou doutorado, no Brasil ou no exterior, desde Admite-se a inscrição post mortem do segurado que não esteja vinculado a qualquer regime de especial, desde que presentes os pressupostos da previdência social; filiação. IX - o presidiário que não exerce atividade remunerada nem esteja vinculado a qualquer regime de previdência Trabalhadores Excluídos do RGPS social; (Redação dada pelo Decreto nº 7.054, de 2009) Alguns trabalhadores, apesar de exercerem X - o brasileiro residente ou domiciliado no exterior, atividade remunerada, são excluídos do RGPS, por já salvo se filiado a regime previdenciário de país com o possuírem regime próprio de previdência em relação a qual o Brasil mantenha acordo internacional; e esta atividade, como os servidores públicos federais e (Redação dada pelo Decreto nº 7.054, de 2009) militares. XI - o segurado recolhido à prisão sob regime fechado Entretanto, caso venham exercer atividade que os ou semi-aberto, que, nesta condição, preste serviço, enquadre como segurado obrigatório do RGPS, será dentro ou fora da unidade penal, a uma ou mais considerado como tal, devendo efetuar suas empresas, com ou sem intermediação da organização contribuições, ainda que amparado por regime carcerária ou entidade afim, ou que exerce atividade previdenciário próprio. artesanal por conta própria. (Incluído pelo Decreto nº 7.054, de 2009) Excepcionalmente, os trabalhadores amparados por regime próprio de previdência poderão obter filiação facultativa, na hipótese de afastamento sem vencimento Observação: e desde que não permita, nesta condição, contribuição Com o advento do Decreto nº 7.054 de 2009, o ao regime próprio (art. 11, § 2º do RPS). Essa regra não presidiário que exerce atividade remunerada deixou de se aplica para a esfera federal, uma vez que a Lei nº ser considerado contribuinte individual, sendo permitida 8.112/90, no seu art. 183, § 3º, permite que o servidor apenas a sua filiação ao RGPS como segurado quando se afasta sem vencimento contribua para o seu facultativo. próprio regime. Filiação e Inscrição CONCEITO PREVIDENCIÁRIO DE Filiação é o vínculo que se estabelece entre pessoas que contribuem para a previdência social e EMPRESA E EMPREGADOR esta, do qual decorrem direitos e obrigações. A filiação DOMÉSTICO à previdência social decorre automaticamente do Considera-se empresa, para fins previdenciários, a exercício de atividade remunerada para os segurados firma individual ou a sociedade que assume o risco de obrigatórios, observado o trabalhador rural contratado atividade econômica urbana ou rural, com fins lucrativos por produtor rural pessoa física por prazo de até dois ou não, bem como os órgãos e as entidades da meses dentro do período de um ano, para o exercício administração pública direta, indireta e fundacional. de atividades de natureza temporária. Nesse caso, a Já o empregador doméstico é aquele que admite a filiação decorre automaticamente de sua inclusão na seu serviço, mediante remuneração, sem finalidade GFIP, mediante identificação específica. lucrativa, empregado doméstico. Considera-se inscrição de segurado para os efeitos Deve-se atentar para o fato da lei determinar da previdência social o ato pelo qual o segurado é separadamente empresa e empregador doméstico, ou cadastrado no Regime Geral de Previdência Social, seja, empregador doméstico não é empresa. O mediante comprovação dos dados pessoais e de outros empregador doméstico é sujeito à contribuição patronal elementos necessários e úteis a sua caracterização (ver em relação ao seu empregado doméstico, porém, não é art. 18 do Decreto nº. 3.048/99). equiparado a empresa. Portanto, a filiação, em geral, ocorre antes da Equipara-se a empresa o contribuinte individual, em inscrição junto à previdência social. Entretanto, o relação a segurado que lhe presta serviço; a segurado facultativo somente estará filiado ao RGPS cooperativa, a associação ou a entidade de qualquer após sua inscrição formalizada com o pagamento da natureza ou finalidade, inclusive a missão diplomática e primeira contribuição. a repartição consular de carreiras estrangeiras; o operador portuário e o órgão gestor de mão-de-obra de que trata a Lei nº. 8.630/93; e o proprietário ou dono de Prof. Bernardo Machado DIREITO PREVIDENCIÁRIO 12
  • 14.
    obra de construçãocivil, quando pessoa física, em União, dos Estados, do Distrito Federal e dos relação a segurado que lhe presta serviço. Municípios, e das seguintes contribuições sociais: I - do empregador, da empresa e da entidade a ela Matrícula da Empresa equiparada na forma da lei, incidentes sobre: A Matrícula é a identificação dos sujeitos passivos a) a folha de salários e demais rendimentos do trabalho perante a Secretaria da Receita Federal do Brasil pagos ou creditados, a qualquer título, à pessoa física (RFB), podendo ser o número do: que lhe preste serviço, mesmo sem vínculo empregatício; • Cadastro Nacional de Pessoa Jurídica (CNPJ) para empresas e equiparados a ele obrigados; b) a receita ou o faturamento; c) o lucro; • Cadastro Específico do INSS (CEI) para empresas e equiparados desobrigados de inscrição II - do trabalhador e dos demais segurados da no CNPJ ou que ainda não a tenham efetuado e previdência social, não incidindo contribuição sobre toda obra de construção civil; aposentadoria e pensão concedidas pelo regime geral de previdência social de que trata o art. 201; III - sobre a receita de concursos de prognósticos; A matrícula será efetuada no Cadastro Específico do INSS (CEI), no prazo de 30 (trinta) dias contados do IV - do importador de bens ou serviços do exterior, ou inicio de suas atividades, para a empresa e equiparado, de quem a lei a ele equiparar.” quando for o caso, e obra de construção civil. A data do início da atividade corresponderá à data Observação: do arquivamento do ato constitutivo na Junta Comercial ou Cartório de Registro Civil ou a data do início da obra. Constitui receita da seguridade social a renda líquida dos concursos de prognósticos, excetuando-se Caso a empresa não efetue a inscrição, no prazo os valores destinados ao Programa de Crédito previsto anteriormente, estará sujeita a aplicação de Educativo. multa (auto-de-infração), nos termos do art. 283 do A contribuição constitui-se de toda a renda líquida RPS, além da inscrição de ofício por parte da RFB. do concurso, quando organizado pelo Poder Público, ou 5% (cinco por cento) do movimento global de apostas • A matrícula atribuída pela Secretaria da Receita em prado de corridas ou do sorteio de números ou de Federal do Brasil ao produtor rural pessoa física ou quaisquer modalidades de símbolos, quando organizado segurado especial é o documento de inscrição do pela iniciativa privada. contribuinte, em substituição à inscrição no Cadastro O movimento global de apostas é o total das Nacional de Pessoa Jurídica - CNPJ, a ser apresentado importâncias relativas às várias modalidades de jogos, em suas relações: (I) com o Poder Público, inclusive enquanto que o movimento global de sorteio de para licenciamento sanitário de produtos de origem números é o total da receita bruta. animal ou vegetal submetidos a processos de beneficiamento ou industrialização artesanal; (II) com as instituições financeiras, para fins de contratação de A contribuição da União é constituída de recursos operações de crédito; e (III) com os adquirentes de sua adicionais do Orçamento Fiscal, fixados produção ou fornecedores de sementes, insumos, obrigatoriamente na Lei Orçamentária anual. ferramentas e demais implementos agrícolas. A União é responsável pela cobertura de eventuais insuficiências financeiras da Seguridade Social, quando decorrentes do pagamento de benefícios de prestação Para fins de recolhimento das contribuições continuada da Previdência Social, na forma da Lei previdenciárias, a matrícula será atribuída ao grupo Orçamentária Anual – LOA. familiar no ato de sua inscrição. Além de recursos provenientes da União e das contribuições sociais, a seguridade social, no âmbito FINANCIAMENTO DA federal, também é financiada por recurso de outras fontes, que são: SEGURIDADE SOCIAL • As multas, a atualização monetária e os juros A seguridade social será financiada por toda a moratórios; sociedade, de forma direta e indireta, nos termos da lei, • A remuneração recebida pela prestação de mediante recursos provenientes dos orçamentos da serviços de arrecadação, fiscalização e cobrança União, dos Estados, do Distrito Federal e dos prestados a terceiros; Municípios e das contribuições sociais, conforme determina a Constituição Federal: • As receitas provenientes de prestação de outros serviços e de fornecimento ou arrendamento de “Art. 195. A seguridade social será financiada por toda a bens; sociedade, de forma direta e indireta, nos termos da lei, mediante recursos provenientes dos orçamentos da • As demais receitas patrimoniais, industriais e financeiras; Prof. Bernardo Machado DIREITO PREVIDENCIÁRIO 13
  • 15.
    • As doações,legados, subvenções e outras Remuneração a partir de 1º de janeiro de 2011 receitas eventuais; • Cinqüenta por cento da receita obtida na forma do Salário-de-contribuição (R$) Alíquota (%) parágrafo único do art. 243 da Constituição Federal, até R$ 1.106,90 8,00 repassados pelo Instituto Nacional do Seguro Social aos órgãos responsáveis pelas ações de proteção à de R$ 1.106,91 a R$ 1.844,83 9,00 saúde e a ser aplicada no tratamento e recuperação de viciados em entorpecentes e drogas afins; de R$ 1.844,84 até R$ 3.689,66 11,00 • Quarenta por cento do resultado dos leilões dos bens apreendidos pela Secretaria da Receita A forma de recolhimento, para esses segurados, a Federal do Brasil; e obrigação de efetuar o desconto e do recolhimento da • Outras receitas previstas em legislação contribuição é encargo da empresa e do empregador específica. doméstico, respectivamente. Será feito em conjunto com o recolhimento dos empregadores ou empresas, na mesma guia. Observação: Com o advento da Lei nº 11.457/07, a remuneração recebida pela prestação de serviços de Observação: arrecadação, fiscalização e cobrança prestados a A contribuição do segurado trabalhador rural terceiros deixou de figurar como outras fontes da contratado por produtor rural pessoa física para o Seguridade Social, sendo destinada para o Fundo exercício de atividades de natureza temporária por Especial de Desenvolvimento e Aperfeiçoamento das prazo não superior a dois meses dentro do período de Atividades de Fiscalização (FUNDAF). um ano é de 8% (oito por cento) sobre o respectivo salário-de-contribuição. As companhias seguradoras que mantém seguro obrigatório de danos pessoais causados por veículos Contribuinte Individual e Facultativo automotores de vias terrestres, de que trata a Lei nº. A contribuição do segurado contribuinte individual e 6.194, de 19 de dezembro de 1974, deverão repassar à facultativo será de 20% (vinte por cento) sobre o seguridade social 45% (quarenta e cinco por cento) do respectivo salário-de-contribuição. valor total do prêmio recolhido, destinados ao Sistema Único de Saúde, para custeio da assistência médico- A contribuição do segurado facultativo é maior hospitalar dos segurados vitimados em acidentes de devido a não contribuição patronal sobre essa trânsito. remuneração. E nem poderia ser diferente. Este contribui para o sistema por um mero ato volitivo. Apesar da Lei nº. 8.212/91 (art. 27, parágrafo único) falar em 50% (cinqüenta por cento) do valor total do Já o contribuinte individual devido à ausência, no prêmio recolhido, 10% (dez por cento) da arrecadação passado, de contribuição patronal sobre essas da seguridade social é destinada ao coordenador do remunerações. sistema nacional de trânsito, para aplicação exclusiva Entretanto, a partir de maio de 1996, a empresa em programas destinados à prevenção de acidentes, ou passou a contribuir sobre a remuneração paga ou seja, 5% (cinco por cento) do total. creditada ao contribuinte individual. Vamos nos atentar para as contribuições Em virtude disso, a Lei nº. 9.876/99 determinou: “Na previdenciárias, cujos recursos provenientes, conforme hipótese de o contribuinte individual prestar serviço a determina o art. 167 da CF, XI, só podem ser utilizados uma ou mais empresas, poderá deduzir, da sua para o pagamento de benefícios do RGPS, que são as contribuição mensal, quarenta e cinco por cento da do art. 195, I, a, e II da CF (empresa sobre folha de contribuição da empresa, efetivamente recolhida ou salários e remunerações pagas e dos trabalhadores). declarada, incidente sobre a remuneração que esta lhe tenha pago ou creditado, limitada a dedução a nove por cento do respectivo salário-de-contribuição”. CONTRIBUIÇÃO DOS SEGURADOS Deve-se analisar esse fato por meio de um caso prático: Empregado, Trabalhador Avulso e Empregado - Remuneração do trabalhador: R$ 1.500,00 Doméstico - Contribuição patronal: 20% x R$ 1.500,00 = R$ A contribuição do empregado, inclusive o 300,00 doméstico, e a do trabalhador avulso é calculada - Possível dedução: 45% x R$ 300,00 = R$ 135,00 mediante a aplicação da correspondente alíquota sobre o seu salário-de-contribuição mensal, de forma não - Limite: 9% x R$ 1.500,00 = R$ 135,00 cumulativa. - Contr. do segurado: (20% x R$ 1.500,00) – R$ 135,00 = R$ 165,00 Prof. Bernardo Machado DIREITO PREVIDENCIÁRIO 14
  • 16.
    Atente para ofato de o limite ser exatamente o valor Quadro resumo a partir de 01/04/2003: da possível dedução. Isso será sempre possível quando a remuneração for inferior ao teto do salário-de- Responsável contribuição, ou seja, atualmente R$ 3.689,66. Contratante Alíquota pelo Observações recolhimento Caso a remuneração fosse superior ao teto do salário-de-contribuição: Pessoa Próprio - Sem dedução 20% - Remuneração do trabalhador: R$ 5.000,00 física segurado legal - Contribuição patronal: 20% x R$ 5.000,00 = R$ Empresa ou - Já com a 1.000,00 11% Contratante equiparado dedução legal - Possível dedução: 45% x R$ 1.000,00 = R$ 450,00 Entidade - Sem dedução - Limite: 9% x R$ 3.689,66 = R$ 332,07 20% Contratante beneficente legal - Contr. do segurado: (20% x R$ 3.689,66) – R$ 332,07 = R$ 405,86 - Não obrigatoriedade CI, PRFP, de Caso o contribuinte individual não preste serviço à missão recolhimento empresa contribuirá, ainda, com 20% (vinte por cento) diplomática 20% ou Próprio pelo sobre o seu salário-de-contribuição. ou 11% segurado contratante repartição A partir da competência abril de 2003, conforme consular - Possibilidade determina a MP nº. 83/02, posteriormente convertida na de dedução Lei nº. 10.666/03, fica a empresa obrigada a arrecadar a legal contribuição do segurado contribuinte individual a seu serviço, descontando-a da respectiva remuneração, e a recolher o valor arrecadado juntamente com a Observação: contribuição a seu cargo até o dia vinte do mês seguinte No caso de opção pela exclusão do direito ao ao da competência. benefício de aposentadoria por tempo de contribuição, a Portanto, até a competência 03/2003, a alíquota de contribuição, incidente sobre o limite mínimo responsabilidade pelo recolhimento do contribuinte mensal do salário de contribuição, será de 11% (onze individual é do próprio segurado. A partir da por cento), no caso do segurado contribuinte individual, competência 04/2003, a responsabilidade pelo que trabalhe por conta própria, sem relação de trabalho recolhimento da contribuição do contribuinte individual é com empresa ou equiparado e do segurado facultativo; da empresa que o contrata. Ou seja, a partir da e 5% (cinco por cento), no caso do microempreendedor competência 04/2003, a contribuição descontada pela individual, de que trata o art. 18-A da Lei Complementar empresa sobre a remuneração paga, devida ou nº 123, de 14 de dezembro de 2006. creditada ao contribuinte individual a seu serviço, O segurado que tenha contribuído na forma do observado o limite máximo do salário-de-contribuição, é parágrafo anterior e pretenda contar o tempo de de 11% (onze por cento) no caso das empresas em contribuição correspondente para fins de obtenção da geral e de vinte por cento quando se tratar de entidade aposentadoria por tempo de contribuição ou da beneficente de assistência social isenta das contagem recíproca do tempo de contribuição a que se contribuições sociais patronais. refere o art. 94 da Lei nº 8.213, de 24 de julho de 1991, Além disso, se o contribuinte individual prestar deverá complementar a contribuição mensal mediante serviço a outro contribuinte individual, a produtor rural recolhimento, sobre o valor correspondente ao limite pessoa física, a missão diplomática ou a repartição mínimo mensal do salário-de-contribuição em vigor na consular de carreira estrangeira, o mesmo fará o seu competência a ser complementada, da diferença entre o recolhimento, entretanto, poderá efetuar a dedução percentual pago e o de 20% (vinte por cento), acrescido legal, visto que essas pessoas contribuem sobre a dos juros moratórios. remuneração paga ou creditada ao contribuinte individual. Segurado Especial O contribuinte individual que presta serviço para pessoa física e o segurado facultativo continuam Em virtude de mandamento constitucional (art. 195, fazendo o seu recolhimento por conta própria. § 8° da CF/88), O produtor, o parceiro, o meeiro e o arrendatário rurais e o pescador artesanal, bem como os respectivos cônjuges, que exerçam suas atividades em regime de economia familiar, sem empregados permanentes, contribuirão para a seguridade social mediante a aplicação de uma alíquota sobre o resultado da comercialização da produção e farão jus aos benefícios nos termos da lei. Portanto, a contribuição do segurado especial é de 2,0% (dois por cento) sobre a receita bruta, proveniente Prof. Bernardo Machado DIREITO PREVIDENCIÁRIO 15
  • 17.
    da comercialização dasua produção rural, além de Contribuição sobre o valor bruto da nota fiscal 0,1% (um décimo por cento) para financiamento de de cooperativa de trabalho benefícios concedidos em razão do grau de incidência A empresa contribuirá com 15% (quinze por cento) de incapacidade laborativa decorrente dos riscos sobre o valor bruto da nota fiscal ou fatura de prestação ambientais do trabalho (GILRAT). (art. 200, I e II do de serviços, relativamente a serviços que lhe são RPS). prestados por cooperados por intermédio de cooperativas de trabalho. CONTRIBUIÇÃO DA EMPRESA Contribuição decorrente dos riscos ambientais do trabalho – GILRAT Contribuição sobre a remuneração dos segurado empregados e trabalhadores avulsos Para o financiamento dos benefícios concedidos em razão do grau de incidência de incapacidade Em relação aos segurados empregados e laborativa decorrente dos riscos ambientais do trabalhadores avulsos, a empresa contribuirá com trabalho (GILRAT), sobre o total das remunerações 20% (vinte por cento) sobre o total das remunerações pagas ou creditadas, no decorrer do mês, aos pagas, devidas ou creditadas a qualquer título, durante segurados empregados e trabalhadores avulsos: o mês, a esses segurados que lhe prestem serviços, destinadas a retribuir o trabalho, qualquer que seja a • 1% (um por cento) para as empresas em cuja sua forma, inclusive as gorjetas, os ganhos habituais atividade preponderante o risco de acidentes do sob a forma de utilidades e os adiantamentos trabalho seja considerado leve; decorrentes de reajuste salarial, quer pelos serviços • 2% (dois por cento) para as empresas em cuja efetivamente prestados, quer pelo tempo à disposição atividade preponderante esse risco seja do empregador ou tomador de serviços, nos termos da considerado médio; lei ou do contrato ou, ainda, de convenção ou acordo • 3% (três por cento) para as empresas em cuja coletivo de trabalho ou sentença normativa. atividade preponderante esse risco seja considerado grave. Contribuição sobre a remuneração dos Considera-se atividade preponderante, aquela que contribuintes individuais ocupa, na empresa, o maior número de segurados empregados e trabalhadores avulsos. Em relação aos contribuintes individuais, 20% O enquadramento no correspondente grau de risco (vinte por cento) sobre o total das remunerações pagas é de responsabilidade da empresa, observada a sua ou creditadas a qualquer título, no decorrer do mês, a atividade econômica preponderante e será feito esses segurados que lhe prestem serviços. mensalmente, cabendo a Secretaria da Receita Federal do Brasil rever o auto-enquadramento em qualquer tempo. Contribuição adicional sobre a remuneração dos A atividade econômica preponderante da empresa e segurados empregados, trabalhadores avulsos e os respectivos riscos de acidentes do trabalho contribuintes individuais por parte das instituições compõem a Relação de Atividades Preponderantes e financeiras correspondentes Graus de Risco, prevista no anexo V No caso de bancos comerciais, bancos de do RPS. investimentos, bancos de desenvolvimento, caixas econômicas, sociedades de crédito, financiamento e investimento, sociedades de crédito imobiliário, Observação: sociedades corretoras, distribuidoras de títulos e valores A Lei nº. 10.666/03 diz, ainda, que a alíquota de mobiliários, empresas de arrendamento mercantil, contribuição de 1% (um por cento), 2% (dois por cento) cooperativas de crédito, empresas de seguros privados ou 3% (três por cento), destinada ao financiamento do e de capitalização, agentes autônomos de seguros benefício de aposentadoria especial ou daqueles privados e de crédito e entidades de previdência privada concedidos em razão do grau de incidência de abertas e fechadas, além das contribuições referidas incapacidade laborativa decorrente dos riscos nos itens anteriores, é devida a contribuição adicional ambientais do trabalho, poderá ser reduzida, em até de 2,5% (dois inteiros e cinco décimos por cento) sobre 50% (cinqüenta por cento), ou aumentada, em até 100% a respectiva base de cálculo, ou seja, pagará 22,5% (cem por cento), conforme dispuser o regulamento, em (vinte e dois inteiros e cinco décimos por cento) sobre a razão do desempenho da empresa em relação à remuneração desses segurados. respectiva atividade econômica, apurado em conformidade com os resultados obtidos a partir dos índices de freqüência, gravidade e custo, calculados segundo metodologia aprovada pelo Conselho Nacional de Previdência Social. Prof. Bernardo Machado DIREITO PREVIDENCIÁRIO 16
  • 18.
    Contribuição para ocusteio da aposentadoria cooperado por intermédio de cooperativa de trabalho e especial nem as contribuições por responsabilidade (desconto As alíquotas constantes do item anterior serão dos segurados, as decorrentes de sub-rogação e a acrescidas de 12 (doze), 9 (nove) ou 6 (seis) pontos retenção dos 11% por serviços prestados por pessoas percentuais, respectivamente, se a atividade exercida jurídicas mediante cessão de mão-de-obra). pelo segurado a serviço da empresa ensejar a concessão de aposentadoria especial após 15 (quinze), Contribuição do Produtor Rural 20 (vinte) ou 25 (vinte e cinco) anos de contribuição. Além do segurado especial, têm-se duas outras O acréscimo incide exclusivamente sobre a espécies de produtores rurais: o produtor rural pessoa remuneração do segurado sujeito às condições física (PRPF) e o produtor rural pessoa jurídica (PRPJ). especiais que prejudiquem a saúde ou a integridade Todos são segurados obrigatórios do RGPS, mas estes física. dois últimos são contribuintes individuais, sujeitando-se Será devida contribuição adicional de 12 (doze), 9 às regras de recolhimento desta categoria de segurado. (nove) ou 6 (seis) pontos percentuais, a cargo da Além disso, são o PRPF e o PRPJ também empresas cooperativa de produção, incidente sobre a para fins previdenciários, sujeitando-se a recolhimentos remuneração paga, devida ou creditada ao cooperado diferenciados. filiado, na hipótese de exercício de atividade que Portanto, a contribuição do PRPF, na condição de autorize a concessão de aposentadoria especial após equiparado à empresa, é de 2,0% (dois por cento) da 15 (quinze), 20 (vinte) ou 25 (vinte) e cinco anos de receita bruta proveniente da comercialização da contribuição, respectivamente. produção rural, mais 0,1% (um décimo por cento) da Será devida contribuição adicional de 9 (nove), 7 receita bruta proveniente da comercialização da (sete) ou 5 (cinco) pontos percentuais, a cargo da produção rural, para financiamento das prestações por empresa tomadora de serviços de cooperado filiado a acidente do trabalho, totalizando 2,1% (dois inteiros e cooperativa de trabalho, incidente sobre o valor bruto da um décimo por cento). nota fiscal ou fatura de prestação de serviços, conforme Já a contribuição do PRPJ, como empresa, é de a atividade exercida pelo cooperado permita a 2,5% (dois inteiros e cinco décimos por cento) da receita concessão de aposentadoria especial após 15 (quinze), bruta proveniente da comercialização da produção rural, 20 (vinte) ou 25 (vinte e cinco) anos de contribuição, mais 0,1% (um décimo por cento) da receita bruta respectivamente. proveniente da comercialização da produção rural, para financiamento das prestações por acidente do trabalho, Contribuições substitutivas totalizando 2,6% (dois inteiros e seis décimos por cento). • Associação desportiva que mantém equipe de futebol profissional; Observação: • Produtor rural pessoas física e jurídica; Esta contribuição somente substitui as • SIMPLES. contribuições sobre as remunerações dos segurados empregados, trabalhadores avulsos, a GILRAT e o Associação desportiva que mantém equipe de eventual adicional para financiamento da aposentadoria futebol profissional especial. A contribuição empresarial da associação Esta contribuição não substitui a contribuição desportiva que mantém equipe de futebol profissional sobre a remuneração paga ou creditada a contribuinte destinada à Seguridade Social corresponde a 5% (cinco individual que lhe preste serviço, contratação de por cento) da receita bruta, decorrente dos espetáculos cooperado por intermédio de cooperativa de trabalho e desportivos de que participem em todo território nem as contribuições por responsabilidade (desconto nacional em qualquer modalidade desportiva, dos segurados, as decorrentes de sub-rogação e a inclusive jogos internacionais, e de qualquer forma de retenção dos 11% por serviços prestados por pessoas patrocínio, licenciamento de uso de marcas e símbolos, jurídicas mediante cessão de mão-de-obra). publicidade, propaganda e de transmissão de espetáculos desportivos. SIMPLES Contribuição sobre a receita bruta auferida Observação: mensalmente, que engloba além do IRPJ, CSLL, Esta contribuição somente substitui as COFINS... as contribuições da empresa sobre a folha de contribuições sobre as remunerações dos segurados salários e remunerações pagas ou creditadas a pessoas empregados, trabalhadores avulsos, a GILRAT e o físicas que lhe prestem serviços. Em relação ao eventual adicional para financiamento da aposentadoria SIMPLES, essa forma de contribuição, além de especial. substituir a contribuição sobre a remuneração dos empregados e trabalhadores avulsos, substitui a Esta contribuição não substitui a contribuição contribuição sobre a remuneração paga ao contribuinte sobre a remuneração paga ou creditada a contribuinte individual, a contribuição sobre a contratação de individual que lhe preste serviço, contratação de Prof. Bernardo Machado DIREITO PREVIDENCIÁRIO 17
  • 19.
    cooperado por intermédiode cooperativa de trabalho, a Contribuições da Empresa GILRAT e o eventual adicional para financiamento da - Sobre a remuneração dos segurados empregados aposentadoria especial. Entretanto, a empresa optante e avulsos: R$ 1.817,00 (20% Empresa + 3% pelo SIMPLES continua obrigada a recolher as GILRAT de R$ 7.900,00) contribuições descontadas dos segurados, as decorrentes de sub-rogação e a retenção dos 11% por - Sobre a remuneração dos contribuintes individuais: serviços prestados por pessoas jurídicas mediante R$ 540,00 (20% Empresa de R$ 2.700,00) cessão de mão-de-obra. - Para financiamento da aposentadoria especial: R$ 120,00 (6% de R$ 2.000,00) Contribuição do Empregador Doméstico - Sobre a cooperativa de trabalho: R$ 300,00 (15% de R$ 2.000,00) A contribuição do empregador doméstico é de 12% (doze por cento) do salário-de-contribuição do - Total: R$ 2.777,00 empregado doméstico a seu serviço. Recolhimento Exemplo prático As contribuições dos segurados empregados, A indústria Fisco Ltda. possui a seguinte folha de trabalhadores avulsos e contribuintes individuais devem pagamento: ser recolhidas pela empresa, sendo descontadas das remunerações dos respectivos segurados, juntamente com as contribuições a cargo da mesma. Portanto, o Nome Categoria Remuneração total de R$ 3.864,86 deverá ser recolhido, na mesma guia, até o dia 20 (vinte) do mês seguinte ao da Pedro Empregado R$ 2.000,00 competência, antecipando-se o vencimento para o dia útil anterior quando não houver expediente bancário no Maria Empregada R$ 4.000,00 dia 20 (vinte). Joana Empregada R$ 1.300,00 Contribuinte SALÁRIO-DE-CONTRIBUIÇÃO Hugo R$ 2.000,00 Individual Salário-de-contribuição, expressão própria do direito previdenciário, é a denominação da base de cálculo da Contribuinte José R$ 700,00 contribuição a ser recolhida pelos segurados. É utilizado Individual também como base para o cálculo dos benefícios Trabalhador previdenciários. Joaquim R$ 600,00 Avulso O fato gerador da contribuição previdenciária alcança, em regra, dois contribuintes: empresa/empregador e segurado. Pedro, conforme verificado no LTCAT (PPRA) Em relação à empresa, a lei identifica como base de apresentado pela empresa, trabalha exposto a agente cálculo a remuneração e, em relação ao segurado, nocivo, o que lhe daria direito à aposentadoria especial utiliza o “nomem juris” salário-de-contribuição. no prazo de 25 (vinte e cinco) anos. Quando se trata de caracterizar o fato gerador, A empresa também contrata cooperados por ambos os termos são sinônimos ou equivalentes. intermédio de cooperativa de trabalho para a realização Diferença há, tão somente, quando se prestam a de serviço de segurança, no valor de R$ 2.000,00. identificar a base de cálculo. Aí, sim, existe uma Foi verificado que atividade preponderante da diferença de valor, pois o salário-de-contribuição empresa possui risco de acidente do trabalho comporta limites mínimo e máximo, e a remuneração, considerado grave. em relação à empresa, não sofre limitações na incidência de contribuição. Contribuição dos Segurados Entende-se por salário-de-contribuição: - Pedro: R$ 220,00 (11% de R$ 2.000,00) • Para o segurado empregado e trabalhador avulso: a remuneração auferida em uma ou mais empresas, - Maria: R$ 405,86 (11% de R$ 3.689,66) assim entendida a totalidade dos rendimentos - Joana: R$ 117,00 (9% de R$ 1.300,00) pagos, devidos ou creditados a qualquer título, - Hugo: R$ 220,00 (11% de R$ 2.000,00) durante o mês, destinados a retribuir o trabalho, qualquer que seja a sua forma, inclusive as gorjetas, - José: R$ 77,00 (11% de R$ 700,00) os ganhos habituais sob a forma de utilidades e os - Joaquim: R$ 48,00 (8% de R$ 600,00) adiantamentos decorrentes de reajuste salarial, quer - Total: R$ 1.087,86 pelos serviços efetivamente prestados, quer pelo tempo à disposição do empregador ou tomador de serviços nos termos da lei ou do contrato ou, ainda, Prof. Bernardo Machado DIREITO PREVIDENCIÁRIO 18
  • 20.
    de convenção ouacordo coletivo de trabalho ou o salário-de-contribuição. Exemplo: Habitação, veículo, sentença normativa; etc. • Para o empregado doméstico: a remuneração registrada na Carteira de Trabalho e Previdência Parcelas integrantes do salário-de-contribuição Social, observadas as normas a serem estabelecidas em regulamento para comprovação • Salário-maternidade; do vínculo empregatício e do valor da remuneração; • A gratificação natalina - décimo terceiro salário - • Para o contribuinte individual: a remuneração integra o salário-de-contribuição, exceto para o auferida em uma ou mais empresas ou pelo cálculo do salário-de-benefício; exercício de sua atividade por conta própria, durante • O adicional de férias de que trata o inciso XVII do o mês, observado o limite máximo; art. 7º da CF; • Para o segurado facultativo: o valor por ele • O valor das diárias para viagens, quando declarado, observado o limite máximo. excedente a cinqüenta por cento da remuneração O Decreto nº. 3.048/99, no art. 214, traz, além da mensal do empregado. definição do salário-de-contribuição para cada espécie de segurado, as diversas parcelas que integram ou não Parcelas não integrantes do salário-de- o salário-de-contribuição. Deve-se dar uma atenção contribuição especial a leitura desse artigo. • Os benefícios da previdência social, nos termos e limites legais, salvo o salário-maternidade; Limites mínimo e máximo do salário-de- contribuição • Parcelas indenizatórias; O limite mínimo do salário-de-contribuição Exemplo: Férias indenizadas e o respectivo adicional constitucional; incentivo à demissão; etc. corresponde: • Para os segurados empregado, inclusive o • Parcelas ressarcitórias; doméstico, e trabalhador avulso, ao piso salarial Exemplo: Ajuda de custo, em parcela única, legal ou normativo da categoria ou, inexistindo este, recebida exclusivamente em decorrência de mudança ao salário mínimo, tomado no seu valor mensal, de local de trabalho do empregado, na forma do art. 470 diário ou horário, conforme o ajustado e o tempo de da Consolidação das Leis do Trabalho; ressarcimento trabalho efetivo durante o mês; de despesas pelo uso de veículo do empregado, quando devidamente comprovadas; etc. • Para os segurados contribuinte individual e facultativo, ao salário mínimo. • Conquistas sociais, desde que paga em O limite máximo do salário-de-contribuição, hoje, é conformidade com a legislação; de R$ 3.689,66. Exemplo: Parcela recebida a título de vale- transporte, na forma da legislação própria; participação do empregado nos lucros ou resultados da empresa, Características das parcelas integrantes do quando paga ou creditada de acordo com lei específica; salário-de-contribuição etc. • Habitualidade; • Benefícios e utilidades, desde que fornecidos sob • Integração ao patrimônio do trabalhador; certas condições. • Pagamento pelo trabalho e não para o trabalho; Exemplo: Valor relativo à assistência prestada por serviço médico ou odontológico, próprio da empresa ou • Irrelevância do título. com ela conveniado, inclusive o reembolso de despesas A integração ao patrimônio do trabalhador deve com medicamentos, óculos, aparelhos ortopédicos, partir do ponto de vista do aumento patrimonial do despesas médico-hospitalares e outras similares, desde trabalhador. Geralmente, os pagamentos indiretos que a cobertura abranja a totalidade dos empregados e representam vantagens materiais ou imateriais dirigentes da empresa; valor das contribuições proporcionadas pelo empregador, com o objetivo de efetivamente pago pela pessoa jurídica relativo a prêmio aumentar a sua remuneração, a sua satisfação, visando de seguro de vida em grupo, desde que previsto em um aumento de produtividade. acordo ou convenção coletiva de trabalho, e Deve-se distinguir se o pagamento é pago pelo disponível à totalidade de seus empregados e trabalho e não para o trabalho. Exemplo: Se a habitação dirigentes, observados, no que couber, os arts. 9º e 468 é fornecida ao trabalhador como condição para a da Consolidação das Leis do Trabalho; etc. prestação do trabalho, e não como retribuição pelo trabalho, não terá natureza salarial. A irrelevância do título significa que o que importa é a natureza do pagamento e não o nome dado. Se o ganho é decorrente do trabalho é remuneração e integra Prof. Bernardo Machado DIREITO PREVIDENCIÁRIO 19
  • 21.
    Situações previstas noart. 214, §9º do Decreto nº. VIII - as diárias para viagens, desde que não excedam a 3.048/99: cinqüenta por cento da remuneração mensal do “§ 9º Não integram o salário-de-contribuição, empregado; exclusivamente: IX - a importância recebida a título de bolsa de I - os benefícios da previdência social, nos termos e complementação educacional de estagiário, quando limites legais, ressalvado o disposto no § 2º; paga nos termos da Lei nº 6.494, de 1977; II - a ajuda de custo e o adicional mensal recebidos pelo X - a participação do empregado nos lucros ou aeronauta, nos termos da Lei nº 5.929, de 30 de outubro resultados da empresa, quando paga ou creditada de de 1973; acordo com lei específica; III - a parcela in natura recebida de acordo com XI - o abono do Programa de Integração programa de alimentação aprovado pelo Ministério do Social/Programa de Assistência ao Servidor Público; Trabalho e Emprego, nos termos da Lei nº 6.321, de 14 XII - os valores correspondentes a transporte, de abril de 1976; alimentação e habitação fornecidos pela empresa ao IV - as importâncias recebidas a título de férias empregado contratado para trabalhar em localidade indenizadas e respectivo adicional constitucional, distante da de sua residência, em canteiro de obras ou inclusive o valor correspondente à dobra da local que, por força da atividade, exija deslocamento e remuneração de férias de que trata o art. 137 da estada, observadas as normas de proteção Consolidação das Leis do Trabalho; estabelecidas pelo Ministério do Trabalho e Emprego; V - as importâncias recebidas a título de: XIII - a importância paga ao empregado a título de complementação ao valor do auxílio-doença desde que a) indenização compensatória de quarenta por cento do este direito seja extensivo à totalidade dos empregados montante depositado no Fundo de Garantia do Tempo da empresa; de Serviço, como proteção à relação de emprego contra despedida arbitrária ou sem justa causa, conforme XIV - as parcelas destinadas à assistência ao disposto no inciso I do art. 10 do Ato das Disposições trabalhador da agroindústria canavieira de que trata o Constitucionais Transitórias; art. 36 da Lei nº 4.870, de 1º de dezembro de 1965; b) indenização por tempo de serviço, anterior a 5 de XV - o valor das contribuições efetivamente pago pela outubro de 1988, do empregado não optante pelo Fundo pessoa jurídica relativo a programa de previdência de Garantia do Tempo de Serviço; complementar privada, aberta ou fechada, desde que disponível à totalidade de seus empregados e c) indenização por despedida sem justa causa do dirigentes, observados, no que couber, os arts. 9º e 468 empregado nos contratos por prazo determinado, da Consolidação das Leis do Trabalho; conforme estabelecido no art. 479 da Consolidação das Leis do Trabalho; XVI - o valor relativo à assistência prestada por serviço médico ou odontológico, próprio da empresa ou com ela d) indenização do tempo de serviço do safrista, quando conveniado, inclusive o reembolso de despesas com da expiração normal do contrato, conforme disposto no medicamentos, óculos, aparelhos ortopédicos, despesas art. 14 da Lei n° 5.889, de 8 de junho de 1973; médico-hospitalares e outras similares, desde que a e) incentivo à demissão; cobertura abranja a totalidade dos empregados e f) (Revogado pelo Decreto nº 6.727, de 2009); dirigentes da empresa; g) indenização por dispensa sem justa causa no período XVII - o valor correspondente a vestuários, de trinta dias que antecede a correção salarial a que se equipamentos e outros acessórios fornecidos ao refere o art. 9º da Lei nº 7.238, de 29 de outubro de empregado e utilizados no local do trabalho para 1984; prestação dos respectivos serviços; h) indenizações previstas nos arts. 496 e 497 da XVIII - o ressarcimento de despesas pelo uso de veículo Consolidação das Leis do Trabalho; do empregado, quando devidamente comprovadas; i) abono de férias na forma dos arts. 143 e 144 da XIX - o valor relativo a plano educacional que vise à Consolidação das Leis do Trabalho; educação básica, nos termos do art. 21 da Lei nº 9.394, de 1996, e a cursos de capacitação e qualificação j) ganhos eventuais e abonos expressamente profissionais vinculados às atividades desenvolvidas desvinculados do salário por força de lei; pela empresa, desde que não seja utilizado em l) licença-prêmio indenizada; e substituição de parcela salarial e que todos os m) outras indenizações, desde que expressamente empregados e dirigentes tenham acesso ao mesmo; previstas em lei; XX - revogado; VI - a parcela recebida a título de vale-transporte, na XXI - os valores recebidos em decorrência da cessão de forma da legislação própria; direitos autorais; VII - a ajuda de custo, em parcela única, recebida XXII - o valor da multa paga ao empregado em exclusivamente em decorrência de mudança de local de decorrência da mora no pagamento das parcelas trabalho do empregado, na forma do art. 470 da constantes do instrumento de rescisão do contrato de Consolidação das Leis do Trabalho; Prof. Bernardo Machado DIREITO PREVIDENCIÁRIO 20
  • 22.
    trabalho, conforme previstono § 8º do art. 477 da seja, a cooperativa de trabalho, caso remunerasse Consolidação das Leis do Trabalho; outros segurados, além dos seus cooperados, possuiria XXIII - o reembolso creche pago em conformidade com 2 (dois) prazos de recolhimento. Situação, portanto, a legislação trabalhista, observado o limite máximo de esdrúxula que existia na legislação previdenciária. Com seis anos de idade da criança, quando devidamente a edição da MP nº 447/08, convertida na Lei nº comprovadas as despesas; 11.933/09, essa situação não mais acontece. A cooperativa possui apenas um único prazo de XXIV - o reembolso babá, limitado ao menor salário-de- recolhimento, que seria o dia 20 (vinte), tanto em contribuição mensal e condicionado à comprovação do relação ao desconto dos seus cooperados, quanto a registro na Carteira de Trabalho e Previdência Social da contribuição sobre a remuneração de outros segurados, empregada, do pagamento da remuneração e do que não sejam os seus cooperados. Não tendo recolhimento da contribuição previdenciária, pago em expediente bancário, a contribuição deve ser recolhida conformidade com a legislação trabalhista, observado o no dia útil imediatamente anterior. limite máximo de seis anos de idade da criança; e O desconto da contribuição do segurado incidente XXV - o valor das contribuições efetivamente pago pela sobre o valor bruto da gratificação natalina – décimo pessoa jurídica relativo a prêmio de seguro de vida em terceiro salário – é devido quando do pagamento ou grupo, desde que previsto em acordo ou convenção crédito da última parcela e deverá ser calculado em coletiva de trabalho e disponível à totalidade de seus separado, e recolhida, juntamente com a contribuição a empregados e dirigentes, observados, no que couber, cargo da empresa, até o dia 20 (vinte) do mês de os arts. 9º e 468 da Consolidação das Leis do Trabalho. dezembro, antecipando-se o vencimento para o dia útil imediatamente anterior se não houver expediente bancário no dia 20 (vinte). ARRECADAÇÃO DAS CONTRIBUIÇÕES O segurado contribuinte individual, quando exercer DESTINADAS À SEGURIDADE SOCIAL atividade econômica por conta própria ou prestar A empresa é obrigada a arrecadar a contribuição do serviço a pessoa física ou a outro contribuinte individual, segurado empregado, do trabalhador avulso e do produtor rural pessoa física, missão diplomática ou contribuinte individual a seu serviço, descontando-a da repartição consular de carreira estrangeiras, ou quando respectiva remuneração e as contribuições a seu cargo tratar-se de brasileiro civil que trabalha no exterior para incidentes sobre as remunerações pagas, devidas ou organismo oficial internacional do qual o Brasil seja creditadas, a qualquer título, inclusive adiantamentos membro efetivo, e o facultativo estão obrigados a decorrentes de reajuste salarial, acordo ou convenção recolher sua contribuição, por iniciativa própria, até o dia coletiva, aos segurados empregado, contribuinte 15 (quinze) do mês seguinte àquele a que as individual e trabalhador avulso a seu serviço, e sobre o contribuições se referirem, prorrogando-se o vencimento valor bruto da nota fiscal ou fatura de serviço, relativo a para o dia útil subseqüente quando não houver serviços que lhe tenha sido prestados por cooperados, expediente bancário no dia 15 (quinze). por intermédio de cooperativas de trabalho, no dia 20 O empregador doméstico é obrigado a arrecadar a (vinte) do mês seguinte àquele a que se referirem as contribuição do segurado empregado doméstico a seu remunerações, bem como as importâncias retidas das serviço e recolhê-la, assim como a parcela a seu cargo, pessoas jurídicas que prestem serviços mediante no até o dia 15 (quinze) do mês seguinte àquele a que cessão de mão-de-obra, no dia 20 (vinte) do mês as contribuições se referirem, cabendo-lhe durante o seguinte àquele da emissão da nota fiscal ou fatura, período da licença-maternidade da empregada antecipando-se o vencimento para o dia útil anterior doméstica apenas o recolhimento da contribuição a seu quando não houver expediente bancário no dia 20 cargo. Entretanto, a Lei nº. 11.324/06 possibilita que a (vinte). competência novembro seja recolhida juntamente com a Com relação à cooperativa de trabalho, algumas gratificação natalina – décimo terceiro salário –, ou seja, observações são importantes. Antes do advento da MP até o dia 20 (vinte) do mês de dezembro, utilizando-se nº 447/08, convertida na Lei nº 11.933/09, a cooperativa de um único documento de arrecadação. de trabalho era obrigada a descontar 11% (onze por É facultado aos segurados contribuinte individual e cento) do valor da quota distribuída ao cooperado por facultativo, cujos salários-de-contribuição sejam iguais serviços por ele prestados, por seu intermédio, a ao valor de um salário mínimo, optarem pelo empresas e 20% (vinte por cento) em relação aos recolhimento trimestral das contribuições serviços prestados a pessoas físicas, além de Entidades previdenciárias, com vencimento no dia 15 (quinze) do Beneficentes de Assistência Social, e recolher o produto mês seguinte ao de cada trimestre civil, prorrogando-se dessa arrecadação no dia 15 (quinze) do mês seguinte o vencimento para o dia útil subseqüente quando não ao da competência a que se referir, prorrogando-se o houver expediente bancário no dia 15 (quinze), assim vencimento para o dia útil subseqüente quando não como ao empregador doméstico relativamente aos houvesse expediente bancário no dia 15 (quinze). Caso empregados a seu serviço, cujos salários-de- a cooperativa de trabalho remunerasse segurados, que contribuição sejam iguais ao valor de um salário não fosse os seus cooperados, a mesma deveria mínimo, ou inferiores nos casos de admissão, dispensa efetuar o desconto desses segurados e a contribuição ou fração do salário em razão de gozo de benefício. sobre essa remuneração paga, devida ou creditada até o dia 10 (vinte) do mês seguinte ao da competência. Ou Prof. Bernardo Machado DIREITO PREVIDENCIÁRIO 21
  • 23.
    Em relação à contribuição sobre a e fundos, não pagos nos prazos previstos em comercialização da produção rural, a empresa legislação, serão acrescidos de multa de mora e juros o adquirente, consumidora ou consignatária ou a de mora, nos termos do art. 61 da Lei n 9.430, de 1996. cooperativa são obrigadas a recolher a contribuição do Ou seja, sobre os valores não pagos no seu produtor rural pessoa física e do segurado especial até vencimento, incidirão juros de mora calculados à taxa o dia 20 (vinte) do mês subseqüente ao da operação de SELIC, a partir do primeiro dia do mês subseqüente ao venda ou consignação da produção rural, vencimento do prazo até o mês anterior ao do independentemente de estas operações terem sido pagamento e de 1% (um por cento) no mês de realizadas diretamente com o produtor ou com o pagamento. intermediário pessoa física. Não tendo expediente bancário, o vencimento é antecipado para o dia útil Em relação a multa de mora, dois momentos devem imediatamente anterior. ser observados: Aplica-se o disposto no item anterior à pessoa física • 1º momento – sem lançamento de ofício: multa de não produtor rural que adquire produção para a venda mora calculada à taxa de 0,33% (trinta e três no varejo a consumidor pessoa física. centésimos por cento), por dia de atraso, limitado a 20% (vinte por cento). Entretanto, o produtor rural pessoa física e o segurado especial são obrigados a recolher a sua • 2º momento – lançamento de ofício: de 75% contribuição até o dia 20 (vinte) do mês subseqüente ao (setenta e cinco por cento) sobre a totalidade ou da operação de venda, caso comercializem a sua diferença de imposto ou contribuição nos casos de produção diretamente, no varejo, a consumidor pessoa falta de pagamento ou recolhimento, de falta de física; a outro produtor rural pessoa física; ou a outro declaração e nos de declaração inexata. segurado especial, antecipando-se o recolhimento para A multa de 75% (setenta e cinco por cento) será o dia útil imediatamente anterior, caso não haja duplicada quando ocorrer sonegação, fraude ou conluio, expediente bancário no dia do vencimento. chegando, portanto, a 150% (cento e cinquenta por Apesar de a Lei nº 8.212/91 determinar que o cento). produtor rural pessoa física e o segurado especial são Essa multa ainda será aumentada em 50% obrigados a recolher a sua contribuição até o dia 20 (cinquenta por cento) em certos casos previstos na (vinte) do mês seguinte ao da operação de venda, caso legislação (Ex: não atendimento pelo sujeito passivo, no comercializem a sua produção no exterior, essa prazo marcado, de intimação para prestar contribuição não é devida. Com o advento da EC nº esclarecimento, entre outras). Nesse caso, a multa 33/01, não mais existe contribuição social decorrente de poderá ser de 112,5% (cento e doze inteiros e cinco exportação, conforme o disposto no art. 149, § 2º, I da décimos por cento) ou 225% (duzentos e vinte e cinco CF/88. por cento). Já o produtor rural pessoa jurídica é obrigado a Vamos imaginar alguns casos práticos: recolher a sua contribuição até o dia 20 (dez) do mês 1º Caso: Foi iniciada uma ação fiscal onde foi subseqüente ao da operação de venda. Não tendo constatada a falta de recolhimento de contribuições expediente bancário, o vencimento é antecipado para o previdenciárias devidas. Na ação fiscal, não foi dia útil imediatamente anterior. verificado sonegação, fraude ou conluio. Entretanto, o Em relação a associações desportivas que sujeito passivo não prestou os esclarecimentos no prazo mantém equipe de futebol profissional, cabe à previsto na intimação. Nesse caso a multa será de entidade promotora do espetáculo a responsabilidade 112,5% (75%, aumentada pela metade). de efetuar o desconto de 5% (cinco por cento) da 2º Caso: Foi iniciada uma ação fiscal onde foi receita bruta decorrente dos espetáculos desportivos e constatada a falta de recolhimento de contribuições o respectivo recolhimento, no prazo de até 2 (dois) dias previdenciárias devidas. Na ação fiscal, foi verificada úteis após a realização do evento. fraude, além do sujeito passivo não prestar Cabe à empresa ou entidade que repassar recursos esclarecimentos no prazo determinado na intimação. a associação desportiva que mantém equipe de futebol Nesse caso a multa será de 225% (75%, duplicada, e o profissional, a título de patrocínio, licenciamento de uso resultado aumentado pela metade). de marcas e símbolos, publicidade, propaganda e Por fim, existe uma redução para a multa de transmissão de espetáculos, a responsabilidade de reter lançamento de ofício no caso de pagamento ou e recolher, até o dia 20 (vinte) do mês seguinte ao da parcelamento no prazo de defesa ou no prazo para competência a que se referir, o percentual de 5% (cinco interpor recurso. por cento) da receita bruta, inadmitida qualquer dedução. Não tendo expediente bancário, o vencimento Será concedida redução de 50% da multa de é antecipado para o dia útil imediatamente anterior. lançamento de ofício, ao contribuinte que, notificado, efetuar o pagamento do débito no prazo legal de impugnação. Se houver impugnação tempestiva, a Recolhimento fora do Prazo redução será de 30% se o pagamento do débito for Os débitos com a União decorrentes das efetuado dentro de trinta dias da ciência da decisão de contribuições previdenciárias e das contribuições primeira instância. devidas a terceiros, assim entendidas outras entidades Prof. Bernardo Machado DIREITO PREVIDENCIÁRIO 22
  • 24.
    Será concedida reduçãode 40% da multa de • Destacar o nome das seguradas em gozo de lançamento de ofício ao contribuinte que, notificado, salário-maternidade; requerer o parcelamento do débito no prazo legal de • Destacar as parcelas integrantes e não impugnação. Havendo impugnação tempestiva, a integrantes da remuneração e os descontos legais; redução será de 20%, se o parcelamento for requerido e dentro de trinta dias da ciência da decisão da primeira instância. É importante ressaltar, que a rescisão do • Indicar o número de quotas de salário-família parcelamento, motivada pelo descumprimento das atribuídas a cada segurado empregado ou normas que o regulam, implicará restabelecimento do trabalhador avulso. montante da multa proporcionalmente ao valor da receita não satisfeito. GFIP A GFIP (Guia de Recolhimento do Fundo de OBRIGAÇÕES ACESSÓRIAS Garantia por Tempo de Serviço e Informações à As obrigações acessórias são as prestações Previdência Social) possui duas finalidades: guia de positivas (fazer) ou negativas (deixar de fazer), previstas recolhimento do fundo de garantia e documento de na legislação previdenciária, no interesse da declaração de dados à Previdência Social. arrecadação ou da fiscalização. A GFIP constitui confissão de dívida e instrumento O descumprimento de obrigação acessória, hábil e suficiente para a exigência do crédito tributário, e suas informações comporão a base de dados para fins converte-se em obrigação principal, relativamente a penalidade pecuniária. de cálculo e concessão dos benefícios previdenciários. Além disso, a GFIP serve como instrumento para As empresas, conforme determina a legislação, são tipificar crime, ou seja, valores declarados descontados obrigadas a: dos segurados que prestam serviços à empresa e não • Preparar folha de pagamento da remuneração repassados a Previdência Social, constitui, em tese, paga, devida ou creditada a todos os segurados a crime de apropriação indébita previdenciária, previsto no seu serviço, devendo manter, em cada Código Penal – Art. 168-A, entre outras situações. estabelecimento, uma via da respectiva folha e A GFIP é exigida a partir da competência janeiro de recibos de pagamentos; 1999 e deve ser entregue na rede bancária até o dia 7 • Lançar mensalmente em títulos próprios de sua (sete) do mês seguinte àquele a que se referirem as contabilidade, de forma discriminada, os fatos informações. Caso não haja expediente bancário no dia geradores de todas as contribuições, o montante 7 (sete), a entrega deverá ser antecipada para o dia de das quantias descontadas, as contribuições da expediente bancário imediatamente anterior. empresa e os totais recolhidos; • Prestar a Secretaria da Receita Federal do Brasil Contabilidade todas as informações cadastrais, financeiras e contábeis de interesse dos mesmos, na forma por Os lançamentos contábeis, devidamente eles estabelecida, bem como os esclarecimentos escriturados nos livros Diário e Razão, serão exigidos necessários à fiscalização; pela fiscalização após 90 (noventa) dias contados da ocorrência dos fatos geradores das contribuições, • Informar mensalmente ao Instituto Nacional do devendo, obrigatoriamente: Seguro Social, por intermédio da Guia de Recolhimento do Fundo de Garantia do Tempo de • Atender ao princípio contábil do regime de Serviço e Informações à Previdência Social, na competência; e forma por ele estabelecida, dados cadastrais, todos • Registrar, em contas individualizadas, todos os os fatos geradores de contribuição previdenciária e fatos geradores de contribuições previdenciárias de outras informações de interesse daquele Instituto; forma a identificar, clara e precisamente, as rubricas integrantes e não integrantes do salário-de- contribuição, bem como as contribuições FOLHA DE PAGAMENTO descontadas do segurado, as da empresa e os A folha de pagamento deverá ser elaborada totais recolhidos, por estabelecimento da empresa, mensalmente, de forma coletiva por estabelecimento da por obra de construção civil e por tomador de empresa, por obra de construção civil e por tomador de serviços. serviços, com a correspondente totalização, e deverá São desobrigadas de apresentação de escrituração ainda: contábil: • Discriminar o nome dos segurados, indicando • O pequeno comerciante, nas condições cargo, função ou serviço prestado; estabelecidas pelo Decreto-lei nº 486, de 3 de • Agrupar os segurados por categoria, assim março de 1969, e seu Regulamento; entendido: segurado empregado, trabalhador • A pessoa jurídica tributada com base no lucro avulso, contribuinte individual; presumido, de acordo com a legislação tributária federal, ou que optar pela inscrição no SIMPLES Prof. Bernardo Machado DIREITO PREVIDENCIÁRIO 23
  • 25.
    (Sistema Integrado dePagamento de Impostos e concedidos, de acordo com critérios estabelecidos, até Contribuições das Microempresas e Empresas de o dia 10 (dez) do mês seguinte àquele a que se Pequeno Porte) desde que mantenha a escrituração referirem os documentos. Essa obrigação deverá ser do Livro Caixa e Livro de Registro de Inventário. atendida mesmo nos meses em que não houver concessão de alvarás e documentos de “habite-se”. Exame da Contabilidade O titular de cartório de registro civil e de pessoas naturais fica obrigado a comunicar, até o dia 10 (dez) de É prerrogativa da Secretaria da Receita Federal do cada mês, na forma estabelecida pelo Instituto Nacional Brasil o exame da contabilidade da empresa, ficando do Seguro Social, o registro dos óbitos ocorridos no mês obrigados a empresa e o segurado a prestarem todos imediatamente anterior, devendo da comunicação os esclarecimentos e informações solicitados. constar o nome, a filiação, a data e o local de A empresa, o servidor de órgão público da nascimento da pessoa falecida. No caso de não haver administração direta e indireta, o segurado da sido registrado nenhum óbito, deverá o titular do cartório previdência social, o serventuário da Justiça, o síndico comunicar esse fato ao Instituto Nacional do Seguro ou seu representante legal, o comissário e o liquidante Social, no prazo estipulado acima. de empresa em liquidação judicial ou extrajudicial são obrigados a exibir todos os documentos e livros relacionados com as contribuições previstas na Lei nº RESPONSABILIDADE SOLIDÁRIA 8.212/91. Conforme determina o Código Tributário Nacional Ocorrendo recusa ou sonegação de qualquer (CTN) no seu art. 124: documento ou informação, ou sua apresentação “Art. 124. São solidariamente obrigadas: deficiente, a Secretaria da Receita Federal do Brasil pode, sem prejuízo da penalidade cabível nas esferas I - as pessoas que tenham interesse comum na de sua competência, lançar de ofício importância que situação que constitua o fato gerador da obrigação reputarem devida, cabendo à empresa, ao empregador principal; doméstico ou ao segurado o ônus da prova em II - as pessoas expressamente designadas por lei. contrário. Considera-se deficiente o documento ou Parágrafo único. A solidariedade referida neste artigo informação apresentada que não preencha as não comporta benefício de ordem.” formalidades legais, bem como aquele que contenha informação diversa da realidade, ou, ainda, que omita A responsabilidade solidária visa garantir a informação verdadeira. arrecadação, transferindo o ônus do pagamento a terceiro vinculado ao sujeito passivo direto. Seu efeito Na falta de prova regular e formalizada, o montante prático é a possibilidade de cobrar o crédito dos salários pagos pela execução de obra de previdenciário de qualquer das partes envolvidas na construção civil pode ser obtido mediante cálculo da relação jurídica, não se admitindo o benefício de ordem. mão-de-obra empregada, proporcional à área construída e ao padrão de execução da obra, de acordo A legislação previdenciária enumera algumas com critérios estabelecidos pela Secretaria da Receita situações em que as pessoas envolvidas nas relações Federal do Brasil, cabendo ao proprietário, dono da jurídicas são responsáveis solidárias, dentre elas: obra, incorporador, condômino da unidade imobiliária ou • As empresas que integram grupo econômico de empresa co-responsável o ônus da prova em contrário. qualquer natureza, entre si; Se, no exame da escrituração contábil e de • Os produtores rurais, entre si, integrantes de qualquer outro documento da empresa, a fiscalização consórcio simplificado de produtores rurais; constatar que a contabilidade não registra o movimento • O operador portuário e o órgão gestor de mão- real da remuneração dos segurados a seu serviço, da de-obra, entre si, relativamente à requisição de receita ou do faturamento e do lucro, esta será desconsiderada, sendo apuradas e lançadas de ofício mão-de-obra de trabalhador avulso; as contribuições devidas, cabendo à empresa o ônus da • Os administradores de autarquias e fundações prova em contrário. públicas, criadas ou mantidas pelo Poder Deverá ser dado tratamento especial ao exame da Público, de empresas públicas e de sociedades documentação que envolva operações ou assuntos de de economia mista sujeitas ao controle da caráter sigiloso, ficando o fiscal responsável obrigado à União, dos Estados, do Distrito Federal ou dos guarda da informação e à sua utilização exclusivamente Municípios, que se encontrarem em mora por mais nos documentos elaborados em decorrência do de trinta dias, no recolhimento das contribuições exercício de suas atividades. para a Seguridade Social, tornam-se solidariamente responsáveis pelo respectivo pagamento, ficando ainda sujeitos às proibições do art. 1º e às sanções Outras Obrigações Acessórias dos arts. 4º e 7º do Decreto-lei nº. 368, de 19 de O Município ou o Distrito Federal, por intermédio do dezembro de 1968; órgão competente, fornecerá mensalmente à Secretaria • A prática de ato sem observar a exigência de da Receita Federal do Brasil relação de alvarás para CND ou o seu registro acarretará a construção civil e documentos de “habite-se” responsabilidade solidária dos contratantes e do Prof. Bernardo Machado DIREITO PREVIDENCIÁRIO 24
  • 26.
    oficial que lavrarou registrar o instrumento, sendo RETENÇÃO DE 11% nulo o ato para todos os efeitos. A empresa contratante de serviços executados • O proprietário, o incorporador definido na Lei mediante cessão ou empreitada de mão-de-obra, nº. 4.591, de 1964, o dono da obra ou condômino inclusive em regime de trabalho temporário, deverá reter da unidade imobiliária cuja contratação da onze por cento do valor bruto da nota fiscal, fatura ou construção, reforma ou acréscimo não envolva recibo de prestação de serviços e recolher a importância cessão de mão-de-obra, são solidários com o retida em nome da empresa contratada. construtor, e este e aqueles com a subempreiteira, pelo cumprimento das obrigações para com a Cessão de mão-de-obra é a colocação à disposição seguridade social, ressalvado o seu direito do contratante, em suas dependências ou nas de regressivo contra o executor ou contratante da obra terceiros, de segurados que realizem serviços e admitida a retenção de importância a este devida contínuos, relacionados ou não com a atividade fim da para garantia do cumprimento dessas obrigações, empresa, independentemente da natureza e da forma não se aplicando, em qualquer hipótese, o benefício de contratação, inclusive por meio de trabalho de ordem. (Empreitada total) temporário na forma da Lei nº 6.019, de 3 de janeiro de 1974, entre outros. Não se considera cessão de mão-de-obra, a contratação de construção civil em que a empresa Empreitada é a execução, contratualmente construtora assuma a responsabilidade direta e total estabelecida, de tarefa ou de obra ou de serviço, por pela obra ou repasse o contrato integralmente, ou seja, preço ajustado, com ou sem fornecimento de material uma empreitada total. ou de equipamentos, que podem ou não ser utilizados, realizada nas dependências da empresa contratante, Considera-se construtor, a pessoa física ou jurídica nas de terceiros ou nas empresas contratadas, tendo que executa obra sob sua responsabilidade, no todo ou como objeto um fim específico ou um resultado em parte. pretendido. O executor da obra deverá elaborar, distintamente Atividades sujeitas a retenção dos 11% quando para cada estabelecimento ou obra de construção civil contratadas mediante empreitada ou cessão de mão-de- da empresa contratante, folha de pagamento, Guia de obra: Recolhimento do Fundo de Garantia do Tempo de Serviço e Informações à Previdência Social e Guia da • Limpeza, conservação e zeladoria; Previdência Social, cujas cópias deverão ser exigidas • Vigilância e segurança; pela empresa contratante quando da quitação da nota • Construção civil; fiscal ou fatura, juntamente com o comprovante de entrega daquela Guia. • Serviços rurais; A responsabilidade solidária, no caso de construção • Digitação e preparação de dados para civil por empreitada total, será elidida: processamento. • Pela comprovação, na forma do parágrafo As demais atividades elencadas no art. 219, §2º do anterior, do recolhimento das contribuições RPS estão sujeitas a retenção dos 11% quando incidentes sobre a remuneração dos segurados, contratadas, apenas, mediante cessão de mão-de-obra. incluída em nota fiscal ou fatura correspondente aos O valor retido deverá ser destacado na nota fiscal, serviços executados, quando corroborada por fatura ou recibo de prestação de serviços, podendo ser escrituração contábil; e compensado por qualquer estabelecimento da empresa • Pela comprovação do recolhimento das cedente da mão de obra, por ocasião do recolhimento contribuições incidentes sobre a remuneração dos das contribuições destinadas à Seguridade Social segurados, aferidas indiretamente nos termos, devidas sobre a folha de pagamento dos seus forma e percentuais previstos pela Previdência segurados. Social; O contratado deverá elaborar folha de pagamento e • Pela comprovação do recolhimento da retenção Guia de Recolhimento do Fundo de Garantia do Tempo dos 11% sobre o valor da nota fiscal, fatura ou de Serviço e Informações à Previdência Social distintas recibo de serviços. para cada estabelecimento ou obra de construção civil da empresa contratante do serviço. Exclui-se da responsabilidade solidária perante a seguridade social o adquirente de prédio ou unidade Para fins de recolhimento e de compensação da imobiliária que realize a operação com empresa de importância retida, será considerada como competência comercialização ou com incorporador de imóveis aquela a que corresponder à data da emissão da nota definido na Lei nº. 4.591, de 1964, ficando estes fiscal, fatura ou recibo. Exemplo: Nota fiscal emitida em solidariamente responsáveis com o construtor. 28/09/2005 – Competência para fins de recolhimento e de compensação de importância retida será 09/2005. Na impossibilidade de haver compensação integral na própria competência, o saldo remanescente poderá ser compensado nas competências subseqüentes, inclusive na relativa à gratificação natalina, ou ser objeto de restituição. Prof. Bernardo Machado DIREITO PREVIDENCIÁRIO 25
  • 27.
    As importâncias retidasnão podem ser primeiro documento é lavrado pelo órgão, com base nas compensadas com contribuições arrecadadas pela informações prestadas pelo sujeito passivo (GFIP), Previdência Social para outras entidades ou fundos. enquanto que o segundo documento é lavrado por A falta de recolhimento das importâncias retidas, no servidor competente. prazo legal, configura, em tese, crime contra a Portanto, caso a empresa informe valores devidos, Seguridade Social nos termos do art. 168-A do Código entretanto não os recolha, será lavrada notificação de Penal (Apropriação Indébita Previdenciária). lançamento e não auto de infração. Caso o auditor- Na contratação de serviços em que a contratada se fiscal, durante um procedimento de fiscalização, venha obriga a fornecer material ou dispor de equipamentos, a verificar o descumprimento de obrigação principal, fica facultada ao contratado a discriminação, na nota lavrará auto de infração. fiscal, fatura ou recibo, do valor correspondente ao O auto de infração, em matéria previdenciária, é material ou equipamentos, que será excluído da dividido em dois tipos: auto de infração por retenção, desde que contratualmente previsto e descumprimento de obrigação principal (AIOP) e auto devidamente comprovado. de infração por descumprimento de obrigação acessória Cabe a Secretaria da Receita Federal do Brasil (AIOA). normatizar a forma de apuração e o limite mínimo do Com a edição da MP nº 449/08, a Lei nº 8.212/91 foi valor do serviço contido no total da nota fiscal, fatura ou alterada para se adaptar ao Dec. 70.235/72. Com a recibo, quando, na hipótese do parágrafo anterior, não nova redação, o crédito da seguridade social é houver previsão contratual dos valores correspondentes constituído por meio de notificação de lançamento, de a material ou a equipamentos. auto de infração e de confissão de valores devidos e O percentual de retenção de 11% será acrescido de não recolhidos pelo contribuinte (GFIP), como já 4 (quatro), 3 (três) ou 2 (dois) pontos percentuais, mencionado no princípio do capítulo. relativamente aos serviços prestados pelos segurados Cabe ressaltar as formalidades exigidas para a empregados, cuja atividade permita a concessão de notificação de lançamento e auto de infração, conforme aposentadoria especial, após 15 (quinze), 20 (vinte) ou o Decreto nº 70.235/72. 25 (vinte e cinco) anos de contribuição, Conforme o disposto no art. 10 do Dec. 70.235/72, o respectivamente, conforme previsto no art. 6º da Lei nº. auto de infração conterá: 10.666/03. • A qualificação do autuado; • O local, a data e a hora da lavratura; Constituição do Crédito Previdenciário • A descrição do fato; O crédito da seguridade social é constituído por meio de notificação de lançamento, de auto de infração • A disposição legal infringida e a penalidade e de confissão de valores devidos e não recolhidos pelo aplicável; contribuinte (GFIP), conforme o disposto no art. 37 da • A determinação da exigência e a intimação para Lei nº 8.212/91. cumpri-la ou impugná-la no prazo de trinta dias; Cabe ressaltar alguns detalhes sobre esse assunto, • A assinatura do chefe do órgão expedidor ou de mencionando a evolução do tema ao longo dos últimos outro servidor autorizado e a indicação de seu cargo anos. ou função e o número de matrícula. Antes da unificação entre a Secretaria da Receita Previdenciária e Secretaria da Receita Federal, constatada a falta total ou parcial de contribuições Conforme o disposto no art. 11 do Dec. 70.235/72, a previdenciárias (descumprimento de obrigação notificação de lançamento conterá: principal), o auditor-fiscal lavrava notificação fiscal de • A qualificação do notificado; lançamento de débito (NFLD). Caso a empresa • O valor do crédito tributário e o prazo para descumprisse uma obrigação acessória, o auditor-fiscal recolhimento ou impugnação; lavrava auto de infração (AI). Com o advento da Lei nº 11.457/07, que unificou a • A disposição legal infringida, se for o caso; Secretaria da Receita Previdenciária e a Secretaria da • A assinatura do chefe do órgão expedidor ou de Receita Federal formando a Secretaria da Receita outro servidor autorizado e a indicação de seu cargo Federal do Brasil, algumas alterações ocorreram em ou função e o número de matrícula. matéria previdenciária. Prescinde de assinatura a notificação de A Lei nº 11.457/07 determina no seu art. 25, que os lançamento emitida por processo eletrônico. procedimentos fiscais em relação às contribuições previdenciárias são regidos pelo Dec. nº 70.235/72 (a partir de 01/04/08). Isso quer dizer que a constituição do Auto de Infração por Descumprimento de crédito previdenciário tem que seguir os procedimentos Obrigação Principal (AIOP) do PAF (processo administrativo fiscal). Uma vez constatada a falta de recolhimento de No Dec. nº 70.235/72, existe uma grande diferença qualquer contribuição ou outra importância devida nos entre notificação de lançamento e auto de infração. O termos do RPS, a fiscalização lavrará auto de infração Prof. Bernardo Machado DIREITO PREVIDENCIÁRIO 26
  • 28.
    por descumprimento deobrigação principal, de acordo do crédito tributário, podendo a exatidão dos valores com as normas estabelecidas pelos órgãos parcelados ser objeto de verificação. competentes. Cumpridas as condições, o parcelamento será O mesmo se aplica em caso de falta de pagamento consolidado na data do pedido e considerado de benefício reembolsado ou em caso de pagamento automaticamente deferido quando decorrido o prazo de desse benefício sem observância das normas 90 (noventa) dias contados da data do pedido de pertinentes estabelecidas pela Previdência Social. Ou parcelamento sem que a Fazenda Nacional tenha se seja, caso seje pago benefício reembolsável (salário- pronunciado. família e salário-maternidade) em desacordo com a Enquanto não deferido o pedido, o devedor fica legislação (Exemplo: salário-família pago a segurado obrigado a recolher, a cada mês, como antecipação, com filho com idade superior a 14 anos), ou caso a valor correspondente a uma parcela. empresa efetue o reembolso, mas não pague o benefício efetivamente ao segurado, esses valores O valor de cada prestação mensal, por ocasião do serão objeto de AIOP. pagamento, será acrescido de juros equivalentes à taxa referencial do Sistema Especial de Liquidação e de Recebido o AIOP, a empresa, o empregador Custódia - SELIC para títulos federais, acumulada doméstico ou o segurado terão o prazo de 30 (trinta) mensalmente, calculados a partir do mês subseqüente dias para efetuar o pagamento ou apresentar defesa. ao da consolidação até o mês anterior ao do Decorrido esse prazo, será automaticamente pagamento, e de 1% (um por cento) relativamente ao declarada a revelia, considerado, de plano, procedente mês em que o pagamento estiver sendo efetuado. o lançamento, permanecendo o processo no órgão Admite-se reparcelamento de débitos constantes de jurisdicionante, pelo prazo de 30 (trinta) dias, para parcelamento em andamento ou que tenha sido cobrança amigável. Após esse prazo o crédito será rescindido, podendo, inclusive, ser incluídos novos inscrito em dívida ativa. débitos. Apresentada a defesa, o processo formado a partir A formalização do pedido de reparcelamento fica do AIOP será submetido à autoridade competente (DRJ condicionada ao recolhimento da primeira parcela em – Delegacia da Receita Federal de Julgamento), que valor correspondente a 10% (dez por cento) do total dos decidirá sobre a procedência ou não do lançamento, débitos consolidados; ou 20% (vinte por cento) do total cabendo recurso (prazo de 30 (trinta) dias a contar da dos débitos consolidados, caso haja débito com ciência da decisão da DRJ) ao Conselho Administrativo histórico de reparcelamento anterior. de Recursos Fiscais. Implicará imediata rescisão do parcelamento e Uma vez declarada a improcedência do lançamento remessa do débito para inscrição em Dívida Ativa da pela DRJ, a mesma deverá recorrer de ofício da sua União ou prosseguimento da execução, conforme o própria decisão, a depender do valor do débito caso, a falta de pagamento de três parcelas, (atualmente, o valor está em R$ 1.000.000,00 (um consecutivas ou não; ou de uma parcela, estando pagas milhão de reais) – principal e multa, sem juros). Esse todas as demais. recurso de ofício está previsto no PAF (art. 34 do Decreto nº 70.235/72). As contribuições previdenciárias podem ser objeto de parcelamento, inclusive os valores devidos a Outras Entidades ou Fundos (SESC, SESI, SENAI, etc... e o Parcelamento salário-educação). A MP nº 449/08, convertida na Lei nº 11.941/09, Entretanto, não poderão ser objeto de parcelamento revogou o art. 38 da Lei nº 8.212/91, que ditava as as contribuições descontadas dos segurados regras em relação ao parcelamento das contribuições empregado, inclusive o doméstico, trabalhador avulso e previdenciárias. Portanto, atualmente, as regras a contribuinte individual, as decorrentes da sub-rogação e serem seguidas são as previstas na Lei nº 10.522/02. as importâncias retidas (retenção dos 11%). É As contribuições e demais importâncias devidas à importante ressaltar que independe se o valor foi seguridade social e não recolhidas até seu vencimento, descontado ou não. incluídas ou não em NL/AIOP, após verificadas e Não é permitido o parcelamento de dívidas de confessadas, poderão ser objeto de acordo, para empresa com falência decretada. pagamento parcelado em moeda corrente, em até 60 (sessenta) meses sucessivos, sendo que o valor mínimo da parcela é de R$ 100,00 (cem reais) para Observação: pessoa física e R$ 500,00 (quinhentos reais) para Não existe mais o critério do número de até 4 pessoa jurídica. (quatro) parcelas mensais para cada competência a O parcelamento terá sua formalização condicionada serem incluídas no parcelamento. ao prévio pagamento da primeira prestação, conforme o Foi suprimido o acréscimo de 20% (vinte por montante do débito e o prazo solicitado. cento) sobre o valor da multa de mora, nas hipóteses de O pedido de parcelamento constitui confissão de parcelamento e reparcelamento. dívida e instrumento hábil e suficiente para a exigência Caso o contribuinte já tenha algum parcelamento de contribuições previdenciárias não poderá requerer Prof. Bernardo Machado DIREITO PREVIDENCIÁRIO 27
  • 29.
    outro, enquanto nãointegralmente pago o anterior, - Percentual a ser aplicado: 2% x 9 (abril – fração e salvo em caso de reparcelamento, pois o contribuinte demais meses – maio/dezembro) = 18% não pode ter mais de um parcelamento ativo para o - Total: 18% x R$ 100.000,00 = R$ 18.000,00 mesmo tributo. Caso o sujeito passivo apresente a GFIP no prazo fixado na intimação, o auto de infração será no valor de Auto de Infração por Descumprimento de R$ 13.500,00 (75% do valor). Obrigação Acessória (AIOA) Além do AIOA relativo à GFIP, deve-se atentar para Constatada a ocorrência de infração a dispositivo do o AIOA relativo à distribuição de lucros estando a RPS, será lavrado auto de infração por descumprimento empresa em débito com a Seguridade Social. A infração de obrigação acessória, observadas as normas fixadas sujeita o responsável à multa de 50% (cinqüenta por pelos órgãos competentes. cento) das quantias que tiverem sido pagas ou A fixação de seu valor depende da espécie, das creditadas, limitado a 50% (cinqüenta por cento) do circunstâncias agravantes e atenuantes. valor total do débito não garantido pela pessoa jurídica, conforme o disposto no art. 32 da Lei nº 4.357/64. . Espécies Circunstâncias Agravantes As espécies estão elencadas nos arts. 283 e 284 do RPS. Trataremos agora as infrações relativas à GFIP. Constituem circunstâncias agravantes da infração, das quais dependerá a gradação da multa, ter o infrator: O contribuinte que deixar de apresentar a GFIP no prazo fixado ou que a apresentar com incorreções ou • Tentado subornar servidor dos órgãos omissões será intimado a apresentá-la ou a prestar competentes; esclarecimentos e sujeitar-se-á às seguintes multas: • Agido com dolo, fraude ou má-fé; I - de 2% ao mês-calendário ou fração, incidente • Desacatado, no ato da ação fiscal, o agente da sobre o montante das contribuições informadas, ainda fiscalização; que integralmente pagas, no caso de falta de entrega da declaração ou entrega após o prazo, limitada a 20%, • Obstado a ação da fiscalização; ou observado o valor mínimo (R$ 200,00, tratando-se de • Incorrido em Reincidência. omissão de declaração sem ocorrência de fatos Caracteriza reincidência a prática de nova infração a geradores de contribuição previdenciária, e R$ 500,00, dispositivo da legislação por uma mesma pessoa ou por nos demais casos); seu sucessor, dentro de 5 (cinco) anos da data em que II - de R$ 20,00 para cada grupo de dez se tornar irrecorrível administrativamente a decisão informações incorretas ou omitidas. condenatória, da data do pagamento ou da data em que Para efeito de aplicação da multa prevista no item I, se configurou a revelia, referentes à autuação anterior. será considerado como termo inicial o dia seguinte ao término do prazo fixado para entrega da declaração e Gradação da Multa como termo final a data da efetiva entrega ou, no caso de não-apresentação, a data da lavratura do auto de As multas serão aplicadas da seguinte forma: infração ou da notificação de lançamento. Na ausência de agravantes, serão aplicadas nos As multas serão reduzidas: valores mínimos; I - à metade, quando a declaração for apresentada • As agravantes de tentativa de suborno e ter agir após o prazo, mas antes de qualquer procedimento de com dolo, fraude ou má-fé, elevam a multa em três ofício; ou vezes (3 x); II - a setenta e cinco por cento, se houver • As agravantes de desacato e obstar a ação da apresentação da declaração no prazo fixado em fiscalização, elevam a multa em duas vezes (2 x); intimação. • A agravante de reincidência eleva a multa em três A multa mínima a ser aplicada será de: vezes (3 x) a cada reincidência no mesmo tipo de infração (reincidência específica), e em duas I - R$ 200,00, tratando-se de omissão de declaração vezes (2 x) em caso de reincidência em infrações sem ocorrência de fatos geradores de contribuição diferentes (reincidência genérica), observados os previdenciária; e valores máximos. II - R$ 500,00 nos demais casos. Recebido o AIOA, o autuado terá o prazo de 30 Vamos visualizar um caso prático. Imaginemos que (trinta) dias, a contar da ciência, para efetuar o uma empresa possua um valor devido de R$ pagamento da multa de ofício com redução de 50% 100.000,00 na competência 03/2008. A GFIP em (cinqüenta por cento) ou impugnar a autuação. relação a essa competência deverá ser entregue até o Impugnada a autuação, o autuado, após a ciência dia 07 do mês subseqüente (abril), o que não foi feito. da decisão de primeira instância, poderá efetuar o Em 12/2008 a empresa é intimada a apresentar a GFIP pagamento da multa de ofício com redução de 25% relativa a competência 03/2008. O valor do auto de (vinte e cinco por cento), até a data limite para infração será: interposição de recurso. Prof. Bernardo Machado DIREITO PREVIDENCIÁRIO 28
  • 30.
    O recolhimento dovalor da multa, com redução, previdenciário atualmente, principalmente no que tange implica renúncia ao direito de impugnar ou de recorrer. o início da contagem do prazo decadencial. Apresentada impugnação, o processo será Tecemos alguns comentários sobre a declaração de submetido à autoridade competente, que decidirá sobre inconstitucionalidade dos art. 45 e 46 da Lei nº a autuação, cabendo recurso ao Conselho 8.212/91. Como é de conhecimento, os prazos Administrativo de Recursos Fiscais. decadenciais e prescricionais em matéria de contribuições para a Seguridade Social eram de 10 (dez) anos. Diversos questionamentos surgiram em Observação: torno do prazo, sempre em relação a sua Com o advento do Decreto nº 6.727/09, não existe constitucionalidade. mais a possibilidade de atenuação e relevação do AIOA. Analisando o art. 146, III, “b”, da CF/88, o mesmo determina que cabe à lei complementar estabelecer Dívida Ativa normas gerais em matéria de legislação tributária, especialmente sobre prescrição e decadência As contribuições, a atualização monetária, os juros tributários. Portanto, o questionamento sempre foi em de mora, as multas, bem como outras importâncias cima do aspecto formal. Poderia uma lei ordinária versar devidas e não recolhidas até o seu vencimento devem sobre decadência e prescrição, como fez a Lei nº ser inscritas em Dívida Ativa da União, após a 8.212/91? constituição do respectivo crédito. Antes da Lei nº 11.457/07, esses valores eram inscritos na Dívida Ativa Os defensores da teoria da possibilidade de do Instituto Nacional do Seguro Social. Entretanto, com alteração feita pela Lei nº 8.212/91 mencionam que o o advento da Lei nº 11.457/07, esses valores são lapso temporal decadencial ou prescricional não inscritos na Dívida Ativa da União, sendo que a configura norma geral, sendo, portanto, alterável por arrecadação desses recursos é diretamente creditada uma lei ordinária. Foi o que foi feito pela Lei nº 8.212/91. ao Fundo do RGPS, gerido pelo INSS, devido à Após anos de polêmica, foi publicada a Súmula expressa disposição constitucional (art. 167, XI) Vinculante nº 8 do STF que declarou a Considera-se dívida ativa o crédito proveniente de inconstitucionalidade dos art. 45 e 46 da Lei 8.212/91, fato jurídico gerador das obrigações legais ou que pôs fim a essa eterna discussão. O entendimento contratuais, desde que inscritos no cadastro da dívida do STF foi justamente em relação ao aspecto formal, ativa. determinando que uma lei ordinária não poderia versar sobre normas gerais em matéria de decadência e Antes de ser inscrito em dívida ativa, o débito, prescrição. transcorrido o prazo para o pagamento ou impugnação, permanece no órgão jurisdicionante, pelo prazo de 30 Devemos, portanto, analisar o tema após a (trinta) dias, para cobrança amigável. Somente após declaração da inconstitucionalidade, ou seja, o que será este prazo o crédito será inscrito em dívida ativa. adotado para fins de contribuições para a Seguridade Social. Uma vez efetuada a inscrição, emitisse a CDA – Certidão de Dívida Ativa, que serve de título para que o órgão competente, por intermédio de seu procurador ou Introdução representante legal, promova em juízo a cobrança da Primeiramente, vamos fazer uma distinção entre o dívida ativa, segundo o mesmo processo e com as que seria decadência e prescrição. A decadência, assim mesmas prerrogativas e privilégios da Lei nº 6830/80 como a prescrição, tem a natureza jurídica de fato (Lei de Execução Fiscal). jurídico extintivo, também determinada pela inércia do A dívida ativa regularmente inscrita goza de titular de um direito, tendo como fato determinante o presunção de certeza e liquidez. Entretanto, essa tempo. presunção é apenas relativa, podendo ser elidida por A decadência recai sobre um direito potestativo, ou prova inequívoca, a cargo do executado ou de terceiro, seja, é o poder de influir na esfera jurídica de outrem a quem aproveite. (constituir o crédito tributário). Como, em relação às contribuições para a Seguridade Social, o lançamento é por homologação, a Fazenda Pública tem um prazo DECADÊNCIA E PRESCRIÇÃO para que a partir da ocorrência do fato gerador promova o ato administrativo do lançamento. Uma vez que o Custeio lançamento não tenha sido feito dentro desse prazo, a Fazenda Pública perde o direito de sua constituição. Em Aspectos Atuais suma, o direito não mais existe por motivos da inércia O tema decadência e prescrição em matéria de do titular do direito. custeio estava elencado nos arts. 45 (decadência) e 46 Já a prescrição recai sobre um direito subjetivo, ou (prescrição) da Lei nº 8.212/91. Entretanto, após a seja, é o poder de exigir de outrem uma prestação. publicação da Súmula Vinculante nº 8 do STF, ambos Efetuado o lançamento, a Fazenda Pública possui um os artigos foram declarados inconstitucionais. Estamos, prazo para cobrar judicialmente os valores devidos pelo portanto, diante do tema mais tormentoso do direito sujeito passivo (ação de execução fiscal). Uma vez que a Fazenda Pública não entre com a ação de execução Prof. Bernardo Machado DIREITO PREVIDENCIÁRIO 29
  • 31.
    dentro do prazodeterminado, a mesma apenas perde o Custódia - SELIC para títulos federais, acumulada direito de entrar com a ação, permanecendo o direito mensalmente, a partir do mês subseqüente ao do (crédito tributário) em si. pagamento indevido ou a maior que o devido até o mês Para visualizarmos melhor, podemos fazer a anterior ao da compensação ou restituição e de 1% (um seguinte divisão: por cento) relativamente ao mês em que estiver sendo efetuada. • Do fato gerador até o lançamento: prazo decadencial; Aplica-se aos processos de restituição das contribuições previdenciárias e de reembolso de salário- • A partir do lançamento até a ação de execução família e salário-maternidade o rito do Decreto nº fiscal: prazo prescricional. 70.235, de 6 de março de 1972. Ou seja, uma vez que Podemos concluir que o ato administrativo do seja negada a restituição/reembolso por parte da RFB, lançamento estanca o prazo decadencial e faz com que cabe impugnação para a Delegacia da Receita Federal comece a correr o prazo prescricional. de Julgamento, que decidirá sobre a procedência ou não da restituição/reembolso, cabendo recurso ao Um bom exemplo para diferenciarmos os efeitos da Conselho Administrativo de Recursos Fiscais. inércia do titular do direito é analisarmos um caso de repetição de indébito. Caso um sujeito passivo pague um tributo que decaiu, cabe a sua restituição, uma vez Restituição que a Fazenda Pública não tinha mais o direito. Restituição é o procedimento administrativo Entretanto, caso o sujeito passivo pague um tributo que mediante o qual o sujeito passivo é ressarcido pelo prescreveu, não cabe restituição, uma vez que o direito Fisco, de valores recolhidos indevidamente à da Fazenda Pública persistia, apenas a mesma não Previdência Social ou a outras entidades ou fundos. tinha como cobrá-lo judicialmente. Compete à RFB efetuar a restituição dos valores Por fim, é importante mencionar que a decadência recolhidos para outras entidades ou fundos, exceto nos não está sujeito a interrupção nem suspensão, casos de arrecadação direta, realizada mediante enquanto que a prescrição se sujeita tanto a interrupção convênio. quanto suspensão. A restituição de quantia recolhida a título de tributo administrado pela RFB que comporte, por sua natureza, Contagem do Prazo transferência do respectivo encargo financeiro somente Uma vez que foi declarada a inconstitucionalidade poderá ser efetuada a quem prove haver assumido dos arts. 45 e 46 da Lei nº 8.212/91, devemos utilizar as referido encargo, ou, no caso de tê-lo transferido a regras previstas no CTN em relação ao lançamento terceiro, estar por este expressamente autorizado a por homologação. Ou seja, o prazo decadencial passa recebê-la. a correr a partir da ocorrência do fato gerador. A restituição de contribuição indevidamente Entretanto, caso não ocorra o pagamento ou caso descontada do segurado somente poderá ser feita ao ocorra dolo, fraude ou simulação o prazo decadencial próprio segurado, ou ao seu procurador, salvo se passa a correr a partir do 1º (primeiro) dia do comprovado que o responsável pelo recolhimento já lhe exercício seguinte. fez a devolução. Outro caso de início da contagem do prazo decadencial é a partir da anulação, por vício formal, Compensação de um lançamento anterior. O sujeito passivo que apurar crédito relativo às Em relação ao prazo prescricional, o mesmo passa contribuições previdenciárias, passível de restituição ou a correr a partir da constituição definitiva de reembolso, poderá utilizá-lo na compensação de (lançamento). contribuições previdenciárias correspondentes a períodos subseqüentes. RESTITUIÇÃO, COMPENSAÇÃO E Podemos concluir, portanto, que a compensação é o procedimento facultativo pelo qual o sujeito passivo se REEMBOLSO ressarce de valores pagos indevidamente, deduzindo-os das contribuições devidas à Previdência Social. As contribuições previdenciárias, as contribuições A compensação de contribuições previdenciárias instituídas a título de substituição e as contribuições deve ser informada em GFIP na competência de sua devidas a terceiros (outras entidades ou fundos) efetivação. somente poderão ser restituídas ou compensadas nas Algumas regras em relação a compensação de hipóteses de pagamento ou recolhimento indevido ou contribuições previdenciárias devem ser observadas, maior que o devido, nos termos e condições entre elas: estabelecidos pela Secretaria da Receita Federal do Brasil. • Para efetuar a compensação o sujeito passivo deverá estar em situação regular relativa aos O valor a ser restituído ou compensado será créditos constituídos por meio de auto de infração acrescido de juros obtidos pela aplicação da taxa ou notificação de lançamento, aos parcelados e aos referencial do Sistema Especial de Liquidação e de Prof. Bernardo Machado DIREITO PREVIDENCIÁRIO 30
  • 32.
    débitos declarados, considerandotodos os seus • Declarada em GFIP na competência da emissão estabelecimentos e obras de construção civil, da nota fiscal, da fatura ou do recibo de prestação ressalvados os débitos cuja exigibilidade esteja de serviços, pelo estabelecimento responsável pela suspensa; cessão de mão-de-obra ou pela execução da • O crédito decorrente de pagamento ou de empreitada total; e recolhimento indevido poderá ser utilizado entre os • Destacada na nota fiscal, na fatura ou no recibo estabelecimentos da empresa, exceto obras de de prestação de serviços ou que a contratante tenha construção civil, para compensação com efetuado o recolhimento desse valor. contribuições previdenciárias devidas; A compensação da retenção somente poderá ser • Caso haja pagamento indevido relativo a obra de efetuada com as contribuições previdenciárias, não construção civil encerrada ou sem atividade, a podendo absorver contribuições destinadas a outras compensação poderá ser realizada pelo entidades ou fundos, as quais deverão ser recolhidas estabelecimento responsável pelo faturamento da integralmente pelo sujeito passivo. obra; Para fins de compensação da importância retida, • A compensação poderá ser realizada com as será considerada como competência da retenção o mês contribuições incidentes sobre o décimo terceiro da emissão da nota fiscal, da fatura ou do recibo de salário; prestação de serviços. • A empresa ou equiparada poderá efetuar a O saldo remanescente em favor do sujeito passivo compensação de valor descontado indevidamente poderá ser compensado nas competências de sujeito passivo e efetivamente recolhido, desde subseqüentes, devendo ser declarada em GFIP na que seja precedida do ressarcimento ao sujeito competência de sua efetivação, ou objeto de restituição. passivo; Se após a compensação efetuada pelo • É vedada a compensação de contribuições estabelecimento que sofreu a retenção restar saldo, previdenciárias com o valor recolhido indevidamente este valor poderá ser compensado por qualquer outro para o Simples Nacional, instituído pela Lei estabelecimento da empresa cedente da mão de obra, Complementar nº 123, de 2006, e o Sistema inclusive nos casos de obra de construção civil Integrado de Pagamento de Impostos e mediante empreitada total, na mesma competência ou Contribuições das Microempresas e Empresas de em competências subseqüentes. Pequeno Porte (Simples), instituído pela Lei nº 9.317, de 5 de dezembro de 1996; Prescrição • É vedada a compensação pelo sujeito passivo O direito de pleitear restituição ou de realizar das contribuições destinadas a outras entidades ou compensação de contribuições ou de outras fundos. importâncias extingue-se em 05 (cinco) anos, contados No caso de compensação indevida, o sujeito da data: passivo deverá recolher o valor indevidamente • do pagamento ou recolhimento indevido; ou compensado, acrescido de juros e multa de mora devidos. • em que se tornar definitiva a decisão Na hipótese de compensação indevida, quando se administrativa ou passar em julgado a sentença comprove falsidade da declaração apresentada pelo judicial que tenha reformado, anulado ou revogado sujeito passivo, o contribuinte estará sujeito à multa a decisão condenatória. isolada aplicada no percentual de 75% (setenta e cinco por cento), aplicado em dobro, e terá como base de Reembolso cálculo o valor total do débito indevidamente compensado. A empresa será reembolsada pelo pagamento do valor bruto do salário-maternidade, incluída a gratificação natalina proporcional ao período da Observação: correspondente licença e das cotas do salário-família Com a edição da MP nº 449/08, convertida na Lei pago aos segurados a seu serviço, mediante dedução nº 11.941/09, o valor a ser compensado não obedece do respectivo valor, no ato do recolhimento das mais o limite de 30% (trinta por cento) do valor a ser contribuições devidas, na forma estabelecida pela recolhido em cada competência. Secretaria da Receita Federal do Brasil. Ou seja, a empresa paga os benefícios diretamente aos segurados e compensa estes valores com o total a Compensação da Retenção dos 11% recolher a Previdência Social, não podendo compensar A empresa prestadora de serviços que sofreu com os valores devidos a terceiros (outras entidades e retenção no ato da quitação da nota fiscal, da fatura ou fundos). do recibo de prestação de serviços, poderá compensar Quando o valor a deduzir for superior às o valor retido quando do recolhimento das contribuições contribuições previdenciárias devidas no mês, o sujeito previdenciárias, inclusive as devidas em decorrência do passivo poderá compensar o saldo a seu favor no décimo terceiro salário, desde que a retenção esteja: Prof. Bernardo Machado DIREITO PREVIDENCIÁRIO 31
  • 33.
    recolhimento das contribuições dos meses No caso da saúde, para ser considerada subseqüentes, ou requerer o reembolso. beneficente e fazer jus à certificação, a entidade de Caso o sujeito passivo efetue o recolhimento das saúde deverá, nos termos do regulamento comprovar o contribuições previdenciárias sem a dedução do valor a cumprimento das metas estabelecidas em convênio ou reembolsar, essa importância poderá ser compensada instrumento congênere celebrado com o gestor local do ou ser objeto de restituição. SUS; ofertar a prestação de seus serviços ao SUS no percentual mínimo de 60% (sessenta por cento); O reembolso de pagamento obedecerá aos mesmos comprovar, anualmente, a prestação dos serviços, com critérios aplicáveis à restituição, inclusive quanto ao base no somatório das internações realizadas e dos prazo prescricional. atendimentos ambulatoriais prestados. No caso de educação, a entidade deverá aplicar Imunidade de Contribuições anualmente em gratuidade, pelo menos 20% (vinte por São isentas de contribuição para a seguridade cento) da receita da receita anual efetivamente recebida social as entidades beneficentes de assistência social nos termos da Lei nº 9.870/99. Para o cumprimento que atendam às exigências estabelecidas em lei. dessa regra, a entidade deverá: Apesar de a Constituição Federal mencionar isenção, • Demonstrar adequação às diretrizes e metas estamos diante de uma imunidade. estabelecidas no Plano Nacional de Educação - Primeiramente, devemos analisar o conceito de PNE, na forma do art. 214 da Constituição Federal; entidade de assistência social e entidade beneficente de • Atender a padrões mínimos de qualidade, aferidos assistência social. As entidades beneficentes de pelos processos de avaliação conduzidos pelo assistência social têm como objetivo o auxílio dos Ministério da Educação; e necessitados, não restringindo o seu acesso. Já as • Oferecer bolsas de estudo nas seguintes entidades de assistência social têm como objetivo proporções: manter um padrão mínimo de vida aos seus associados, sem atender pessoas estranhas ao grupo. a) no mínimo, uma bolsa de estudo integral para cada nove alunos pagantes da educação básica; e As entidades de assistência social possuem imunidade em relação aos impostos sobre o patrimônio, b) bolsas parciais de 50% (cinqüenta por cento), quando renda ou serviço, conforme determina a Constituição necessário para o alcance do percentual mínimo Federal no seu art. 150, VI, “c”. Já as entidades exigido. beneficentes de assistência social, além dessa No caso de assistência social, A certificação ou sua imunidade, também possuem imunidade em relação às renovação será concedida à entidade de assistência contribuições para a Seguridade Social, desde que social que presta serviços ou realiza ações atenda aos requisitos estabelecidos em lei. assistenciais, de forma gratuita, continuada e planejada, Atualmente, o tema é regulamentado pela Lei nº para os usuários e a quem deles necessitar, sem 12.101/09, a qual revogou o art. 55 da Lei nº 8.212/91 e qualquer discriminação, observada a Lei nº 8.742/93. alterou todo o tratamento dado para as Entidades As entidades de assistência social são aquelas que Beneficentes de Assistência Social. prestam, sem fins lucrativos, atendimento e Com base na Lei nº 12.101/09, a certificação das assessoramento aos beneficiários, bem como as que entidades beneficentes de assistência social e a isenção atuam na defesa e garantia de seus direitos. de contribuições para a seguridade social serão Constituem ainda requisitos para a certificação das concedidas às pessoas jurídicas de direito privado, sem entidades de assistência social: fins lucrativos, reconhecidas como entidades beneficentes de assistência social com a finalidade de • Estar inscrita no respectivo Conselho Municipal de prestação de serviços nas áreas de assistência social, Assistência Social ou no Conselho de Assistência saúde ou educação. Social do Distrito Federal, conforme o caso, nos termos do art. 9º da Lei nº 8.742, de 1993; e • Integrar o cadastro nacional de entidades e Certificação organizações de assistência social de que trata o A certificação ou sua renovação será concedida à inciso XI do art. 19 da Lei nº 8.742, de 1993. entidade beneficente que demonstre, no exercício fiscal anterior ao do requerimento, observado o período mínimo de 12 (doze) meses de constituição da entidade, Observação: o cumprimento dos requisitos legais, de acordo com a Quando não houver Conselho de Assistência respectiva área de atuação, e cumpra, Social no Município, as entidades de assistência social cumulativamente, os requisitos de ser constituída como deverão inscrever-se nos respectivos Conselhos pessoa jurídica de direito privado, sem fins lucrativos, Estaduais. reconhecida como entidade beneficente de assistência social e prever, em seus atos constitutivos, em caso de dissolução ou extinção, a destinação do eventual patrimônio remanescente a entidade sem fins lucrativos congêneres ou a entidades públicas. Prof. Bernardo Machado DIREITO PREVIDENCIÁRIO 32
  • 34.
    Concessão e Cancelamentoda Certificação Se improcedente a representação, o processo será A análise e decisão dos requerimentos de arquivado. Se procedente a representação, após concessão ou de renovação dos certificados das decisão final ou transcorrido o prazo para interposição entidades beneficentes de assistência social serão de recurso, a autoridade responsável deverá cancelar a apreciadas no âmbito dos seguintes Ministérios: certificação e dar ciência do fato à Secretaria da Receita Federal do Brasil. • Da Saúde, quanto às entidades da área de saúde; O representante será cientificado das decisões. • Da Educação, quanto às entidades educacionais; e Requisitos da Isenção (Imunidade) • Do Desenvolvimento Social e Combate à Fome, quanto às entidades de assistência social. A entidade beneficente certificada fará jus à isenção do pagamento das contribuições para a Seguridade O prazo de validade da certificação será fixado em Social, desde que atenda, cumulativamente, aos regulamento, observadas as especificidades de cada seguintes requisitos: uma das áreas e o prazo mínimo de 1 (um) ano e máximo de 5 (cinco) anos. • Não percebam seus diretores, conselheiros, sócios, instituidores ou benfeitores, remuneração, O requerimento de renovação da certificação deverá vantagens ou benefícios, direta ou indiretamente, ser protocolado com antecedência mínima de 6 (seis) por qualquer forma ou título, em razão das meses do termo final de sua validade. competências, funções ou atividades que lhes Constatada, a qualquer tempo, a inobservância da sejam atribuídas pelos respectivos atos exigência estabelecida para a certificação, será constitutivos; cancelada a mesma, nos termos de regulamento, assegurado o contraditório e a ampla defesa. • Aplique suas rendas, seus recursos e eventual superávit integralmente no território nacional, na manutenção e desenvolvimento de seus objetivos Dos Recursos e Representações institucionais; Da decisão que indeferir o requerimento para • Apresente certidão negativa ou certidão positiva concessão ou renovação de certificação e da decisão com efeito de negativa de débitos relativos aos que cancelar a certificação caberá recurso por parte da tributos administrados pela Secretaria da Receita entidade interessada, na forma definida em Federal do Brasil e certificado de regularidade do regulamento, no prazo de 30 (trinta) dias contados da Fundo de Garantia do Tempo de Serviço - FGTS; publicação da decisão. • Mantenha escrituração contábil regular que Verificada prática de irregularidade na entidade registre as receitas e despesas, bem como a certificada, são competentes para representar, aplicação em gratuidade de forma segregada, em motivadamente, ao Ministério responsável pela sua área consonância com as normas emanadas do de atuação, sem prejuízo das atribuições do Ministério Conselho Federal de Contabilidade; Público: • Não distribua resultados, dividendos, • O gestor municipal ou estadual do SUS ou do bonificações, participações ou parcelas do seu SUAS, de acordo com a sua condição de gestão, patrimônio, sob qualquer forma ou pretexto; bem como o gestor da educação municipal, distrital • Conserve em boa ordem, pelo prazo de 10 (dez) ou estadual; anos, contado da data da emissão, os documentos • A Secretaria da Receita Federal do Brasil; que comprovem a origem e a aplicação de seus • Os conselhos de acompanhamento e controle recursos e os relativos a atos ou operações social previstos na Lei nº 11.494, de 20 de junho de realizados que impliquem modificação da situação 2007, e os Conselhos de Assistência Social e de patrimonial; Saúde; e • Cumpra as obrigações acessórias estabelecidas • O Tribunal de Contas da União. na legislação tributária; A representação será dirigida ao órgão que • Apresente as demonstrações contábeis e concedeu a certificação e conterá a qualificação do financeiras devidamente auditadas por auditor representante, a descrição dos fatos a serem apurados independente legalmente habilitado nos Conselhos e, sempre que possível, a documentação pertinente e Regionais de Contabilidade quando a receita bruta demais informações relevantes para o esclarecimento anual auferida for superior ao limite fixado pela Lei do seu objeto. Complementar nº 123, de 14 de dezembro de 2006. Caberá ao Ministério competente: A isenção não se estende a entidade com personalidade jurídica própria constituída e mantida pela • Dar ciência da representação à entidade, que terá entidade à qual a isenção foi concedida. o prazo de 30 (trinta) dias para apresentação de defesa; e • Decidir sobre a representação, no prazo de 30 (trinta) dias a contar da apresentação da defesa. Prof. Bernardo Machado DIREITO PREVIDENCIÁRIO 33
  • 35.
    Reconhecimento e Suspensão da Isenção • Na licitação, na contratação com o poder público (Imunidade) e no recebimento de benefícios ou incentivo fiscal O direito à isenção das contribuições sociais poderá ou creditício concedidos por ele; ser exercido pela entidade a contar da data da • Na alienação ou oneração, a qualquer título, de publicação da concessão de sua certificação, desde que bem imóvel ou direito a ele relativo; atendidos os requisitos listados acima. • Na alienação ou oneração, a qualquer título, de Constatado o descumprimento pela entidade dos bem móvel de valor superior a R$ 38.088,56 (trinta requisitos indicados acima, a fiscalização da Secretaria e oito mil oitenta e oito reais e cinquenta e seis da Receita Federal do Brasil lavrará o auto de infração centavos) incorporado ao ativo permanente da relativo ao período correspondente e relatará os fatos empresa; e que demonstram o não-atendimento de tais requisitos para o gozo da isenção. • No registro ou arquivamento, no órgão próprio, de ato relativo a baixa ou redução de capital de firma Considerar-se-á automaticamente suspenso o individual, redução de capital social, cisão total ou direito à isenção das contribuições durante o período parcial, transformação ou extinção de entidade ou em que se constatar o descumprimento dos requisitos sociedade comercial ou civil e transferência de para a isenção, devendo o lançamento correspondente controle de cotas de sociedades de ter como termo inicial a data da ocorrência da infração responsabilidade limitada, suprida a exigência pela que lhe deu causa. informação de inexistência de débito a ser prestada Deverá ser observado o rito do processo pelos órgãos competentes. administrativo fiscal vigente (atualmente do Decreto nº A microempresa e a empresa de pequeno porte não 70.235/72). necessitam apresentar CND para alterar seus atos constitutivos, inclusive no caso de extinção, a partir da entrada em vigor da LC nº 123/06 (Estatuto da Importante!!! Microempresa e Empresa de Pequeno Porte). Apesar de a apostila mencionar sempre a expressão imunidade (expressão correta), tanto a Construção Civil Constituição Federal quanto a legislação mencionam a expressão isenção. Portanto, a • Do proprietário, pessoa física ou jurídica, de obra distinção nem sempre é feita, devendo, assim, de construção civil, quando de sua averbação no utilizar ambas as expressões como se fossem Registro de Imóveis, salvo na construção unifamiliar sinônimos. (art. 278, RPS); • Do incorporador, na ocasião da inscrição de memorial de incorporação no Registro de Imóveis. A CND emitida no primeiro caso é um dos tipos de PROVA DE INEXISTÊNCIA DE DÉBITO CND específica, ou seja, a CND para averbação de obras no registro de imóveis apenas atesta que aquela obra não possui débito frente à Previdência Social e não Para participarem de certos atos, as empresas a empresa como um todo. Portanto, ao ser emitida a precisam comprovar a regularidade frente ao Poder CND de averbação de obra, a empresa construtora não Público. Para isso é necessária a obtenção de um poderá, de posse dessa CND, participar de licitação, documento conhecido como Certidão Negativa de contratar com o Poder Público ou dele receber Débito (CND). benefícios ou incentivos fiscais ou creditícios. A CND, regra geral, demonstra que a empresa Já o segundo caso atesta que a empresa como um todo, não possui débito frente à Seguridade incorporadora não possui débito frente à Previdência Social, incluindo todos os seus estabelecimentos, Social. Esta CND visa a verificação da idoneidade inclusive obra de construção civil. dessa empresa incorporadora. Entretanto, a concessão de CND não implica em garantia absoluta de não existência de débito, podendo a fiscalização cobrar eventuais débitos apurados Produtor Rural posteriormente. A CND não é uma das hipóteses • Do produtor rural pessoa física ou jurídica e do previstas pelo CTN como extinção do crédito tributário. segurado especial quando da constituição de garantia para concessão de crédito rural e qualquer de suas modalidades, por instituição de créditos Situações Gerais de Necessidade de CND pública ou privada, desde que comercializem a sua Deverá ser exigido documento comprobatório de produção diretamente no varejo a consumidor inexistência de débito relativo às contribuições pessoa física, a outro produtor rural pessoa física ou destinadas à manutenção da seguridade social, a outro segurado especial; fornecida pelo órgão competente, nos seguintes casos: Para o recebimento de crédito rural com instituições de créditos pública ou privada, o produtor rural pessoa jurídica, bem como a agroindústria precisam apresentar Prof. Bernardo Machado DIREITO PREVIDENCIÁRIO 34
  • 36.
    a CND. Jáo produtor rural pessoa física e o segurado débito). Caso haja alguma circunstância impeditiva, a especial, quando não estão obrigados a efetuarem o mesma deverá ser sanada para que a CND seja seu recolhimento, não necessitam apresentar a CND liberada. para a obtenção do crédito rural. Entretanto, caso os mesmos sejam responsáveis por seu recolhimento (vender diretamente no varejo a consumidor pessoa Dispensa da Apresentação de CND física, a outro PRPF ou outro segurado especial), a Além dos casos de não necessidade de CND deverá ser apresentada. apresentação de CND já vistos anteriormente (alteração de atos constitutivos das microempresas e empresas de pequeno porte, averbação de obra do tipo unifamiliar – Contratações de Operação de Crédito Público art. 278, RPS e obtenção de crédito rural do PRPF e • Na contratação de operações de crédito com segurado especial não responsáveis por seu instituições financeiras, assim entendidas as recolhimento), existem outros casos previstos na pessoas jurídicas públicas ou privadas que tenham legislação previdenciária: como atividade principal ou acessória a • A lavratura ou assinatura de instrumento, ato ou intermediação ou aplicação de recursos financeiros contrato que constitua retificação, ratificação ou próprios ou de terceiros, em moeda nacional ou efetivação de outro anterior para o qual já foi feita a estrangeira, autorizadas pelo Banco Central do prova; Brasil ou por decreto do Poder Executivo a funcionar no Território Nacional, que envolvam: • A averbação de obra no Registro de Imóveis, recursos públicos, inclusive os provenientes de relativa a imóvel cuja construção tenha sido fundos constitucionais e de incentivo ao concluída antes de 22 de novembro de 1966; desenvolvimento regional (Fundo Constitucional de • Da empresa que explore exclusivamente atividade Financiamento do Norte, Fundo Constitucional de de compra e venda de imóveis, locação, Financiamento do Nordeste, Fundo Constitucional desmembramento ou loteamento de terrenos, de Financiamento do Centro Oeste, Fundo de incorporação imobiliária ou construção de imóveis Desenvolvimento da Amazônia e Fundo de destinados à venda, desde que o imóvel objeto da Desenvolvimento do Nordeste); recursos do Fundo transação esteja contabilmente lançado no ativo de Garantia do Tempo de Serviço, do Fundo de circulante e não conste, nem tenha constado, do Amparo ao Trabalhador e do Fundo Nacional de ativo permanente da empresa; Desenvolvimento da Educação; ou recursos • Na alienação ou oneração de bem imóvel ou captados através de Caderneta de Poupança; móvel de área urbana ou rural, de propriedade de pessoa física não equiparada a empresa. Obtenção de Verbas dos Fundos de Participação • O recebimento pelos Municípios de transferência • A inexistência de débito em relação às de recursos destinados a ações de assistência contribuições devidas à Previdência Social é social, educação, saúde e em caso de calamidade condição necessária para que os Estados, o Distrito pública. Federal e os Municípios possam receber as transferências dos recursos do Fundo de Situações Passíveis de Obtenção de CND e CPD- Participação dos Estados e do Distrito Federal e do Fundo de Participação dos Municípios, celebrar EN acordo, contrato, convênio ou ajuste, bem como Há situações em que, por mais que a empresa receber empréstimo, financiamento, aval ou possua débito, será emitido o documento, dentre elas: subvenção em geral de órgão ou entidade da • O débito esteja pendente de decisão em administração direta e indireta da União. contencioso administrativo; • O débito esteja garantido por depósito integral e Validade do documento atualizado em moeda corrente; O prazo de validade da CND é de 180 (cento e • O débito esteja parcelado, estando, portanto, com oitenta) dias, contados da data de sua emissão. a sua exigibilidade suspensa; A prova de inexistência de débito perante a • Tenha sido efetivada penhora suficiente Previdência Social será fornecida por certidão emitida garantidora do débito em curso de cobrança judicial. por meio de sistema eletrônico, ficando a sua aceitação Em relação ao primeiro caso, não se aplica a débito condicionada à verificação de sua autenticidade pela relativo a importância não contestada, ainda que Internet, em endereço específico, ou junto à Secretaria incluída no mesmo processo de cobrança pendente de da Receita Federal do Brasil. decisão administrativa. Ou seja, se a empresa impugnar A CND pode, inclusive, ser obtida pela internet um débito sem contestar o mérito, o documento não (www.receita.fazenda.gov.br), desde que não haja será emitido. nenhuma circunstância impeditiva (não entrega de Para essas situações, aonde conste a existência de GFIP, divergência entre os valores na GFIP e os créditos não-vencidos, em curso de cobrança executiva efetivamente pagos por meio de GPS ou a existência de em que tenha sido efetivada a penhora, ou cuja Prof. Bernardo Machado DIREITO PREVIDENCIÁRIO 35
  • 37.
    exigibilidade esteja suspensa,será emitida a Certidão § 2º - Para os efeitos penais, equiparam-se a Positiva de Débito com Efeitos de Negativa (CPD-EN), documento público o emanado de entidade paraestatal, que possui os mesmos efeitos de uma CND, inclusive o título ao portador ou transmissível por endosso, as com o mesmo prazo de validade. ações de sociedade comercial, os livros mercantis e o testamento particular. § 3º Nas mesmas penas incorre quem insere ou faz CRIMES CONTRA A SEGURIDADE inserir: SOCIAL I – na folha de pagamento ou em documento de A tipificação das condutas criminosas contra a informações que seja destinado a fazer prova perante a Seguridade Social constam do Código Penal. Até a Lei previdência social, pessoa que não possua a qualidade nº. 9.983/00 essa tipificação constava na sua maior de segurado obrigatório; parte no art. 95 da Lei nº. 8.212/91. II – na Carteira de Trabalho e Previdência Social do empregado ou em documento que deva produzir efeito Apropriação Indébita Previdenciária perante a previdência social, declaração falsa ou diversa da que deveria ter sido escrita; “Art. 168-A. Deixar de repassar à previdência social as contribuições recolhidas dos contribuintes, no prazo e III – em documento contábil ou em qualquer outro forma legal ou convencional: documento relacionado com as obrigações da empresa perante a previdência social, declaração falsa ou Pena – reclusão, de 2 (dois) a 5 (cinco) anos, e diversa da que deveria ter constado. multa. § 4º Nas mesmas penas incorre quem omite, nos § 1º Nas mesmas penas incorre quem deixar de: o documentos mencionados no § 3 , nome do segurado e I – recolher, no prazo legal, contribuição ou outra seus dados pessoais, a remuneração, a vigência do importância destinada à previdência social que tenha contrato de trabalho ou de prestação de serviços.” sido descontada de pagamento efetuado a segurados, a terceiros ou arrecadada do público; Inserção de Dados Falsos em Sistema de II – recolher contribuições devidas à previdência social Informação que tenham integrado despesas contábeis ou custos relativos à venda de produtos ou à prestação de “Art. 313-A. Inserir ou facilitar, o funcionário autorizado, serviços; a inserção de dados falsos, alterar ou excluir indevidamente dados corretos nos sistemas III - pagar benefício devido a segurado, quando as informatizados ou bancos de dados da Administração respectivas cotas ou valores já tiverem sido Pública com o fim de obter vantagem indevida para si reembolsados à empresa pela previdência social. ou para outrem ou para causar dano: § 2º É extinta a punibilidade se o agente, Pena – reclusão, de 2 (dois) a 12 (doze) anos, e espontaneamente, declara, confessa e efetua o multa.” pagamento das contribuições, importâncias ou valores e presta as informações devidas à previdência social, na forma definida em lei ou regulamento, antes do início da Modificação ou Alteração não-autorizada de ação fiscal. Sistema de Informações § 3º É facultado ao juiz deixar de aplicar a pena ou “Art. 313-B. Modificar ou alterar, o funcionário, sistema aplicar somente a de multa se o agente for primário e de de informações ou programa de informática sem bons antecedentes, desde que: autorização ou solicitação de autoridade competente: I – tenha promovido, após o início da ação fiscal e antes Pena – detenção, de 3 (três) meses a 2 (dois) anos, e de oferecida a denúncia, o pagamento da contribuição multa. social previdenciária, inclusive acessórios; ou Parágrafo único. As penas são aumentadas de um terço II – o valor das contribuições devidas, inclusive até a metade se da modificação ou alteração resulta acessórios, seja igual ou inferior àquele estabelecido dano para a Administração Pública ou para o pela previdência social, administrativamente, como administrado.” sendo o mínimo para o ajuizamento de suas execuções fiscais.” Sonegação de Contribuição Previdenciária “Art. 337-A. Suprimir ou reduzir contribuição social Falsificação de Documento Público previdenciária e qualquer acessório, mediante as “Art. 297 - Falsificar, no todo ou em parte, documento seguintes condutas: público, ou alterar documento público verdadeiro: I – omitir de folha de pagamento da empresa ou de Pena - reclusão, de dois a seis anos, e multa. documento de informações previsto pela legislação § 1º - Se o agente é funcionário público, e comete o previdenciária segurados empregado, empresário, crime prevalecendo-se do cargo, aumenta-se a pena de trabalhador avulso ou trabalhador autônomo ou a este sexta parte. equiparado que lhe prestem serviços; Prof. Bernardo Machado DIREITO PREVIDENCIÁRIO 36
  • 38.
    II – deixarde lançar mensalmente nos títulos próprios PLANO DE BENEFÍCIOS DA PREVIDÊNCIA SOCIAL da contabilidade da empresa as quantias descontadas dos segurados ou as devidas pelo empregador ou pelo tomador de serviços; Regimes Previdenciários III – omitir, total ou parcialmente, receitas ou lucros A Previdência Social brasileira é formada por 2 auferidos, remunerações pagas ou creditadas e demais (dois) regimes básicos: o Regime Geral de Previdência fatos geradores de contribuições sociais previdenciárias: Social e o Regime Próprio de Previdência Social. O Regime Geral de Previdência Social é administrado pelo Pena – reclusão, de 2 (dois) a 5 (cinco) anos, e Ministério da Previdência Social por meio do INSS, multa. Instituto Nacional do Seguro Social, autarquia federal, § 1º É extinta a punibilidade se o agente, vinculada a este ministério. espontaneamente, declara e confessa as contribuições, importâncias ou valores e presta as informações devidas à previdência social, na forma definida em lei ou Beneficiários do RGPS regulamento, antes do início da ação fiscal. O beneficiário do RGPS é aquele que faz jus ao § 2º É facultado ao juiz deixar de aplicar a pena ou recebimento de alguma prestação previdenciária aplicar somente a de multa se o agente for primário e de (benefícios ou serviços). Os beneficiários se dividem em bons antecedentes, desde que: segurados (obrigatório e facultativo) e dependentes. Passaremos a tratar dos dependentes, visto que o I – (VETADO) assunto segurados já foi obra de nosso estudo II – o valor das contribuições devidas, inclusive anteriormente. acessórios, seja igual ou inferior àquele estabelecido São dependentes do RGPS: pela previdência social, administrativamente, como sendo o mínimo para o ajuizamento de suas execuções I - o cônjuge, a companheira, o companheiro e o filho fiscais. não emancipado de qualquer condição, menor de 21 (vinte e um) anos ou inválido; § 3º Se o empregador não é pessoa jurídica e sua folha de pagamento mensal não ultrapassa R$ 1.510,00 (um II - os pais; ou mil, quinhentos e dez reais), o juiz poderá reduzir a III - o irmão não emancipado, de qualquer condição, pena de um terço até a metade ou aplicar apenas a de menor de 21 (vinte e um) anos ou inválido. multa. Os dependentes da primeira classe, também § 4º O valor a que se refere o parágrafo anterior será conhecida como classe preferencial, possuem reajustado nas mesmas datas e nos mesmos índices do dependência econômica presumida, ou seja, ainda que reajuste dos benefícios da previdência social.” possuam condição para o seu sustento perceberão o benefício previdenciário. A única exceção é a do menor tutelado e do enteado, cuja dependência econômica não Observações: é presumida, devendo ser comprovada. Os mesmos O valor previsto no § 4º do art. 337-A do CP não podem possuir bens suficientes para o próprio atualmente é de R$ 3.257,37 (três mil duzentos e sustento e educação. cinquenta e sete reais e trinta e sete centavos). Já os dependentes das classes subseqüentes, para terem a condição de dependente, têm que comprovar a Estelionato dependência econômica. “Art. 171 - Obter, para si ou para outrem, vantagem A existência de um dependente de hierarquia ilícita, em prejuízo alheio, induzindo ou mantendo superior exclui o direito dos dependentes inferiores. Ou alguém em erro, mediante artifício, ardil, ou qualquer seja, segurado vem a falecer deixando como outro meio fraudulento: dependente companheira e pais. Por mais que a companheira venha a falecer, o benefício previdenciário Pena - reclusão, de um a cinco anos, e multa. nunca passará para os dependentes das classes § 3º - A pena aumenta-se de um terço, se o crime é inferiores. cometido em detrimento de entidade de direito público Entretanto, os dependentes de uma mesma classe ou de instituto de economia popular, assistência social concorrem em igualdade de condições. Ou seja, caso ou beneficência.” um segurado venha a falecer, deixando uma viúva e dois filhos, o benefício previdenciário será dividido em Disposições Gerais três partes iguais. Se um dos filhos perder a qualidade de dependente (completar 21 anos ou se emancipar ou Durante a fiscalização, caso seja verificada alguma morrer) sua parcela reverte para os demais. conduta acima relacionada, constituindo, em tese, crime contra a Seguridade Social, o auditor-fiscal elaborará A forma comprovação de vínculo e a de Representação Fiscal para Fins Penais (RFFP). dependência econômica estão elencadas no art. 22, § Elaborada a RFFP, a mesma será enviada ao Ministério 3º do RPS, sendo necessária a apresentação de no Público Federal que promoverá a ação penal frente à mínimo 3 (três) documentos. Dentre elas estão a Justiça Federal. declaração de imposto de renda do segurado, em que conste o interessado como seu dependente; conta Prof. Bernardo Machado DIREITO PREVIDENCIÁRIO 37
  • 39.
    bancária conjunta; apólicede seguro da qual conste o III - até 12 (doze) meses após cessar a segregação, o segurado como instituidor do seguro e a pessoa segurado acometido de doença de segregação interessada como sua beneficiária. compulsória; A perda da qualidade de dependente ocorre: IV - até 12 (doze) meses após o livramento, o segurado I - para o cônjuge, pela separação judicial ou divórcio, detido ou recluso; enquanto não lhe for assegurada a prestação de V - até 3 (três) meses após o licenciamento, o segurado alimentos, pela anulação do casamento, pelo óbito ou incorporado às Forças Armadas para prestar serviço por sentença judicial transitada em julgado; militar; e II - para a companheira ou companheiro, pela cessação VI - até 6 (seis) meses após a cessação das da união estável com o segurado ou segurada, contribuições, o segurado facultativo. enquanto não lhe for garantida a prestação de O prazo do item II será prorrogado para até 24 alimentos; (vinte e quatro) meses, se o segurado já tiver pago mais III - para o filho e o irmão, de qualquer condição, ao de 120 (cento e vinte) contribuições mensais sem completarem vinte e um anos de idade, salvo se interrupção que acarrete a perda da qualidade de inválidos, desde que a invalidez tenha ocorrido antes: segurado. a) de completarem vinte e um anos de idade; O prazo do item II ou do parágrafo anterior será b) do casamento; acrescido de 12 (doze meses) para o segurado desempregado, desde que comprovada essa situação c) do início do exercício de emprego público efetivo; por registro no órgão próprio do Ministério do Trabalho e d) da constituição de estabelecimento civil ou Emprego. comercial ou da existência de relação de emprego, Ou seja, o período de graça, para esse caso, pode desde que, em função deles, o menor com dezesseis ser de 12 (doze) meses, 24 (vinte e quatro) meses e 36 anos completos tenha economia própria; ou (trinta e seis) meses. e) da concessão de emancipação, pelos pais, ou de O reconhecimento da perda da qualidade de um deles na falta do outro, mediante instrumento segurado no termo final dos prazos ocorrerá no dia público, independentemente de homologação judicial, seguinte ao do vencimento da contribuição do ou por sentença do juiz, ouvido o tutor, se o menor tiver contribuinte individual relativa ao mês imediatamente dezesseis anos completos; e posterior ao término daqueles prazos. IV - para os dependentes em geral: A perda da qualidade de segurado não será a) pela cessação da invalidez; ou considerada para a concessão das aposentadorias por b) pelo falecimento. tempo de contribuição e especial. Ou seja, segurado que tenha contribuído por 33 (trinta e três) anos para o Por fim, a inscrição do dependente do segurado sistema, ainda que venha perder a qualidade de será promovida quando do requerimento do benefício a segurado, precisará versar para o sistema apenas mais que tiver direito. 2 (dois) anos de contribuição. Essa alteração foi feita pela Lei nº. 10.666/03. Antes dessa lei, o segurado teria que contribuir por mais 5 (cinco) anos, pois, para Manutenção e Perda da Qualidade de Segurado recuperar o período passado para efeitos de carência, o Como o sistema previdenciário é de filiação mesmo deveria versar 1/3 (um terço) da carência compulsória, a filiação decorre automaticamente do exigida do benefício, que no caso de aposentadoria por exercício da atividade remunerada. Em virtude disso, o tempo de contribuição é de 180 (cento e oitenta) segurado que deixasse de exercer atividade contribuições mensais. remunerada, deveria, automaticamente, perder a sua A mesma regra se aplica à aposentadoria por idade, filiação ao RGPS. desde que o segurado conte com, no mínimo, o número Entretanto, a legislação prevê um lapso temporal, de contribuições mensais exigido para efeito de conhecido como período de graça, o qual o segurado carência na data do requerimento do benefício. Ou seja, mantém a sua qualidade, independente de contribuição. segurado já contribuiu por mais de 180 contribuições Nesse período o segurado estaria protegido pelo mensais (período de carência exigido para o benefício sistema previdenciário fazendo jus aos seus benefícios de aposentadoria por idade) e vem a perder a qualidade e serviços. de segurado. Basta atingir a idade necessária (regra Mantém a qualidade de segurado, geral, 65 anos – homem e 60 anos – mulher) na data do independentemente de contribuições: requerimento que obterá a sua aposentadoria por idade. I - sem limite de prazo, quem está em gozo de benefício; II - até 12 (doze) meses após a cessação de benefício por incapacidade ou após a cessação das contribuições, o segurado que deixar de exercer atividade remunerada abrangida pela previdência social ou estiver suspenso ou licenciado sem remuneração; Prof. Bernardo Machado DIREITO PREVIDENCIÁRIO 38
  • 40.
    Carência de atividade rural no período imediatamente anterior ao Período de carência é o tempo correspondente ao requerimento do benefício, ainda que de forma número mínimo de contribuições mensais descontínua, igual ao número de meses correspondente indispensáveis para que o beneficiário faça jus ao à carência do benefício requerido; e benefício, consideradas a partir do transcurso do V - reabilitação profissional. primeiro dia dos meses de suas competências. Entende-se como acidente de qualquer natureza ou O período de carência é contado: causa aquele de origem traumática e por exposição a I - Para o segurado empregado e trabalhador avulso, da agentes exógenos (físicos, químicos e biológicos), que data de filiação ao Regime Geral de Previdência Social; acarrete lesão corporal ou perturbação funcional que cause a morte, a perda, ou a redução permanente ou II - Para o segurado empregado doméstico, contribuinte temporária da capacidade laborativa. Acidente de individual, segurado especial (quando contribui, qualquer natureza ou causa não é sinônimo de acidente facultativamente, como contribuinte individual) e de trabalho, pois engloba também os acidentes comuns, facultativo, da data do efetivo recolhimento da primeira sem relação com o trabalho. contribuição sem atraso, não sendo consideradas para esse fim as contribuições recolhidas com atraso Ainda é possível que segurados obtenham referentes a competências anteriores; e aposentadoria por idade, tempo de contribuição e especial, desde que tenham se filiado ao sistema antes III - Para o segurado especial não contribuinte de 24 de julho de 1991, data da Lei nº. 8.213/91, sem individual, o período de carência é contado a partir do cumprir toda a carência exigida. Até a Lei nº. 8.213/91 o efetivo exercício da atividade rural. período de carência para esses benefícios era de 60 A concessão das prestações pecuniárias do Regime (sessenta) contribuições mensais. Para preservar a Geral de Previdência Social depende dos seguintes expectativa de direito desses segurados foi criada uma períodos de carência: tabela transitória que só será extinta em 2011. Exemplo: I – 12 (doze) contribuições mensais, nos casos de segurado filiado antes de 24/11/91 e com 65 (sessenta auxílio-doença e aposentadoria por invalidez; e e cinco) anos em 2009. Nessa condição basta comprovar 168 (cento e sessenta e oito) contribuições II – 180 (cento e oitenta) contribuições mensais, nos mensais. casos de aposentadoria por idade, tempo de contribuição e especial. III – 10 (dez) contribuições mensais, no caso de salário- Salário-de-Benefício maternidade, para as seguradas contribuinte individual, Salário-de-benefício é o valor básico utilizado para especial e facultativa. A segurada especial não cálculo da renda mensal dos benefícios de prestação necessita contribuir, basta comprovar o exercício de continuada, inclusive os regidos por normas especiais, atividade rural nos últimos 10 (dez) meses exceto o salário-família, a pensão por morte, o salário- imediatamente anteriores à data do parto ou do maternidade e os demais benefícios de legislação requerimento do benefício, quando requerido antes do especial. parto, mesmo que de forma descontínua. O salário-de-benefício consiste: Em caso de parto antecipado, o período de carência I - para as aposentadorias por idade e por tempo de a que se refere o item III será reduzido em número de contribuição, na média aritmética simples dos maiores contribuições equivalente ao número de meses em que salários-de-contribuição correspondentes a 80% (oitenta o parto foi antecipado. por cento) de todo o período contributivo, multiplicada Independe de carência a concessão das seguintes pelo fator previdenciário; prestações: II - para as aposentadorias por invalidez e especial, I - pensão por morte, auxílio-reclusão, salário-família e auxílio-doença e auxílio-acidente na média aritmética auxílio-acidente de qualquer natureza; simples dos maiores salários-de-contribuição II - salário-maternidade, para as seguradas empregada, correspondentes a 80% (oitenta por cento) de todo o empregada doméstica e trabalhadora avulsa; período contributivo; III - auxílio-doença e aposentadoria por invalidez nos Apesar do item I determinar a aplicação do fator casos de acidente de qualquer natureza ou causa, bem previdenciário para a aposentadoria por idade e por como nos casos de segurado que, após filiar-se ao tempo de contribuição, este só é obrigatório no caso da Regime Geral de Previdência Social, for acometido de aposentadoria por tempo de contribuição, sendo a sua alguma das doenças ou afecções especificadas em lista aplicação facultativa para a aposentadoria por idade. elaborada pelos Ministérios da Saúde e da Previdência O valor do salário-de-benefício não será inferior ao e Assistência Social a cada três anos, de acordo com os de um salário mínimo, nem superior ao limite máximo do critérios de estigma, deformação, mutilação, deficiência salário-de-contribuição na data de início do benefício. ou outro fator que lhe confira especificidade e gravidade Serão considerados para cálculo do salário-de- que mereçam tratamento particularizado; benefício os ganhos habituais do segurado empregado, IV - aposentadoria por idade ou por invalidez, auxílio- a qualquer título, sob forma de moeda corrente ou de doença, auxílio-reclusão ou pensão por morte aos utilidades, sobre os quais tenha incidido contribuição segurados especiais, desde que comprovem o exercício previdenciária. Prof. Bernardo Machado DIREITO PREVIDENCIÁRIO 39
  • 41.
    Todos os salários-de-contribuiçãoutilizados no I - quando o segurado satisfizer, em relação a cada cálculo do salário-de-benefício serão corrigidos, mês a atividade, as condições para obtenção do benefício mês, de acordo com a variação integral do Índice requerido, o salário-de-benefício será calculado com Nacional de Preço ao Consumidor - INPC, referente ao base na soma dos respectivos salários-de-contribuição; período decorrido a partir da primeira competência do II - quando não se verificar a hipótese do item anterior, o salário-de-contribuição que compõe o período básico de salário-de-benefício corresponderá à soma das cálculo até o mês anterior ao do início do benefício, de seguintes parcelas: modo a preservar o seu valor real. a) o salário-de-benefício calculado com base nos Para fins de apuração do salário-de-benefício de salários-de-contribuição das atividades em relação às qualquer aposentadoria precedida de auxílio-acidente, o quais são atendidas as condições do benefício valor mensal deste será somado ao salário-de- requerido; e contribuição, não podendo o total apurado ser superior ao limite máximo do salário-de-contribuição. b) um percentual da média do salário-de-contribuição de cada uma das demais atividades, equivalente à relação entre o número de meses completos de contribuição e Fator Previdenciário os do período da carência do benefício requerido; e O fator previdenciário será calculado considerando- III - quando se tratar de benefício por tempo de se a idade, a expectativa de sobrevida e o tempo de contribuição, o percentual de que trata a alínea "b" do contribuição do segurado ao se aposentar, mediante a item anterior será o resultante da relação entre os anos fórmula: completos de atividade e o número de anos de contribuição considerado para a concessão do benefício. Renda Mensal do Benefício Onde: A renda mensal do benefício será o valor efetivamente pago ao segurado. Ou seja, os benefícios, quando calculados pelo salário-de-benefício, têm a f = fator previdenciário; incidência de um percentual, constituindo, assim, a Es = expectativa de sobrevida no momento da renda mensal do benefício. aposentadoria; A renda mensal do benefício de prestação Tc = tempo de contribuição até o momento da continuada que substituir o salário-de-contribuição ou o aposentadoria; rendimento do trabalho do segurado não terá valor inferior ao do salário mínimo nem superior ao limite Id = idade no momento da aposentadoria; e máximo do salário-de-contribuição, exceto o aposentado a = alíquota de contribuição correspondente a 0,31. por invalidez que necessite do auxílio permanente de terceiros (acréscimo de 25% no benefício) e a percipiente do salário-maternidade. A expectativa de sobrevida do segurado na idade da aposentadoria será obtida a partir da tábua completa de A renda mensal do benefício de prestação mortalidade construída pela Fundação Instituto continuada será calculada aplicando-se sobre o salário- Brasileiro de Geografia e Estatística, para toda a de-benefício os seguintes percentuais: população brasileira, considerando-se a média nacional I - auxílio-doença – 91% (noventa e um por cento) do única para ambos os sexos. salário-de-benefício; Para efeito da aplicação do fator previdenciário ao II - aposentadoria por invalidez – 100% (cem por cento) tempo de contribuição do segurado serão adicionados: do salário-de-benefício; I – 5 (cinco) anos, quando se tratar de mulher; ou III - aposentadoria por idade – 70% (setenta por cento) II – 5 (cinco) ou 10 (dez) anos, quando se tratar, do salário-de-benefício, mais 1% (um por cento) deste respectivamente, de professor ou professora, que por grupo de 12 (doze) contribuições mensais, até o comprovem exclusivamente tempo de efetivo exercício máximo de 30% (trinta por cento); das funções de magistério na educação infantil e no IV - aposentadoria por tempo de contribuição: ensino fundamental e médio. a) para a mulher – 100% (cem por cento) do salário-de- benefício aos 30 (trinta) anos de contribuição; Disposições Gerais sobre o Salário-de-Benefício b) para o homem – 100% (cem por cento) do salário-de- O salário-de-benefício do segurado que contribui em benefício aos 35 (trinta e cinco) anos de contribuição; e razão de atividades concomitantes será calculado com c) 100% (cem por cento) do salário-de-benefício, para o base na soma dos salários-de-contribuição das professor aos 30 (trinta) anos, e para a professora aos atividades exercidas até a data do requerimento ou do 25 (vinte e cinco) anos de contribuição e de efetivo óbito ou no período básico de cálculo, nas normas exercício em função de magistério na educação infantil, seguintes: no ensino fundamental ou no ensino médio; Prof. Bernardo Machado DIREITO PREVIDENCIÁRIO 40
  • 42.
    V - aposentadoriaespecial – 100% (cem por cento) do Os benefícios com renda mensal superior a 1 (um) salário-de-benefício; e salário mínimo serão pagos do 1º (primeiro) ao 5º VI - auxílio-acidente – 50% (cinqüenta por cento) do (quinto) dia útil do mês subseqüente ao de sua salário-de-benefício. competência, observada a distribuição proporcional do número de beneficiários por dia de pagamento. No cálculo do valor da renda mensal do benefício serão computados: Os benefícios com renda mensal no valor de até 1 (um) salário mínimo serão pagos no período I - para o segurado empregado e o trabalhador avulso, compreendido entre o 5º (quinto) dia útil que anteceder os salários-de-contribuição referentes aos meses de o final do mês de sua competência e o 5º (quinto) dia contribuições devidas, ainda que não recolhidas pela útil do mês subseqüente, observada a distribuição empresa, sem prejuízo da respectiva cobrança e da proporcional dos beneficiários por dia de pagamento. aplicação das penalidades cabíveis; II - para o segurado empregado, o trabalhador avulso e o segurado especial, o valor do auxílio-acidente, considerado como salário-de-contribuição para fins de PRESTAÇÕES PREVIDENCIÁRIAS concessão de qualquer aposentadoria; e III - Para os demais segurados somente serão computados os salários-de-contribuição referentes aos O Regime Geral de Previdência Social compreende meses de contribuição efetivamente recolhida. as seguintes prestações, expressas em benefícios e serviços: • Quanto ao segurado: No caso de segurado empregado ou de trabalhador avulso que tenham cumprido todas as condições para a a) aposentadoria por invalidez; concessão do benefício pleiteado, mas não possam b) aposentadoria por idade; comprovar o valor dos seus salários-de-contribuição no c) aposentadoria por tempo de contribuição; período básico de cálculo, considerar-se-á para o cálculo do benefício, no período sem comprovação do d) aposentadoria especial; valor do salário-de-contribuição, o valor do salário e) auxílio-doença; mínimo, devendo esta renda ser recalculada quando da f) salário-família; apresentação de prova dos salários-de-contribuição. g) salário-maternidade; e Para o segurado empregado doméstico que, mesmo tendo satisfeito as condições exigidas para a concessão h) auxílio-acidente; do benefício requerido, não possa comprovar o efetivo • Quanto ao dependente: recolhimento das contribuições devidas, será concedido a) pensão por morte; e o benefício de valor mínimo, devendo sua renda ser recalculada quando da apresentação da prova do b) auxílio-reclusão; e recolhimento das contribuições. • Quanto ao segurado e dependente: reabilitação O valor mensal da pensão por morte ou do auxílio- profissional. reclusão será de cem por cento do valor da aposentadoria que o segurado recebia ou daquela a que teria direito se estivesse aposentado por invalidez na Aposentadoria por Invalidez data de seu falecimento. Evento determinante: incapacidade permanente para o Após a cessação do auxílio-doença decorrente de trabalho e insuscetível de reabilitação para o exercício acidente de qualquer natureza ou causa, tendo o de atividade que lhe garanta a subsistência, estando ou segurado retornado ou não ao trabalho, se houver não o segurado em gozo de auxílio-doença. agravamento ou seqüela que resulte na reabertura do Ou seja, a aposentadoria por invalidez, diferentemente benefício, a renda mensal será igual a noventa e um por do auxílio-acidente, pode ser um benefício imediato, cento do salário-de-benefício do auxílio-doença não tendo que o beneficiário receber o auxílio-doença cessado, corrigido até o mês anterior ao da reabertura antes do recebimento da aposentadoria por invalidez. do benefício, pelos mesmos índices de correção dos Beneficiários: todos os segurados. benefícios em geral. Carência: 12 CM (ou nenhuma – acidente de qualquer natureza e algumas doenças). Reajustamento do Valor e Pagamento dos Renda mensal do benefício: 100% do SB. Benefícios Data do início do pagamento: Os valores dos benefícios em manutenção serão reajustados, na mesma data de reajuste do salário • Ao segurado empregado a contar do 16º (décimo mínimo, pro rata, de acordo com suas respectivas datas sexto) dia do afastamento da atividade ou a partir da de início ou do último reajustamento, com base no data da entrada do requerimento, se entre o Índice Nacional de Preços ao Consumidor - INPC, afastamento e a entrada do requerimento apurado pela Fundação Instituto Brasileiro de Geografia decorrerem mais de 30 (trinta) dias; e Estatística - IBGE. Prof. Bernardo Machado DIREITO PREVIDENCIÁRIO 41
  • 43.
    • Ao seguradoempregado doméstico, contribuinte • Mulher 60 anos – caso exerça atividade rural 55 individual, trabalhador avulso, especial ou anos facultativo, a contar da data do início da Beneficiários: todos os segurados. incapacidade ou da data da entrada do requerimento, se entre essas datas decorrerem Carência: 180 CM. mais de 30 (trinta) dias. Renda mensal do benefício: 70% do SB +1% a cada Durante os primeiros 15 (quinze) dias de 12 CM. afastamento consecutivos da atividade por motivo de Data do início do pagamento: invalidez, caberá à empresa pagar ao segurado • Ao segurado empregado, inclusive o doméstico: empregado o salário. a) a partir da data do desligamento do emprego, A doença ou lesão de que o segurado já era quando requerida até 90 (noventa) dias depois dela; portador ao filiar-se ao Regime Geral de Previdência ou Social não lhe conferirá direito à aposentadoria por invalidez, salvo quando a incapacidade sobrevier por b) a partir da data do requerimento, quando não motivo de progressão ou agravamento dessa doença ou houver desligamento do emprego ou quando for lesão. requerida após o prazo da alínea "a"; e O valor da aposentadoria por invalidez do segurado • Para os demais segurados, a partir da data da que necessitar da assistência permanente de outra entrada do requerimento. pessoa será acrescido de 25% (vinte e cinco por cento), ainda que ultrapasse o limite máximo legal. Aposentadoria por Tempo de Contribuição: O aposentado por invalidez que retornar Evento determinante: tempo de contribuição. voluntariamente à atividade terá sua aposentadoria automaticamente cessada, a partir da data do retorno. • Homem 35 anos – caso exerça atividade de Verificada a recuperação da capacidade de trabalho magistério na educação infantil, ensino fundamental do aposentado por invalidez, serão observadas as e médio, será devida ao professor aos 30 anos de normas seguintes: contribuição. • Quando a recuperação for total e ocorrer • Mulher 30 anos – caso exerça atividade de dentro de 5 (cinco) anos contados da data do início da magistério na educação infantil, ensino fundamental aposentadoria por invalidez ou do auxílio-doença que a e médio, será devida à professora aos 25 anos de antecedeu sem interrupção, o beneficio cessará: contribuição. a) de imediato, para o segurado empregado que tiver Beneficiários: todos os segurados, exceto o especial, direito a retornar à função que desempenhava na quando não contribui facultativamente como contribuinte empresa ao se aposentar, na forma da legislação individual, além do CI e facultativo que contribuem com trabalhista, valendo como documento, para tal fim, o 11% sobre o menor salário-de-contribuição. certificado de capacidade fornecido pela previdência Carência: 180 CM. social; ou Renda mensal do benefício: 100% do SB. b) após tantos meses quantos forem os anos de Data do início do pagamento: duração do auxílio-doença e da aposentadoria por invalidez, para os demais segurados; e • Ao segurado empregado, inclusive o doméstico: • Quando a recuperação for parcial ou ocorrer a) a partir da data do desligamento do emprego, quando após o período previsto acima, ou ainda quando o requerida até 90 (noventa) dias depois dela; ou segurado for declarado apto para o exercício de b) a partir da data do requerimento, quando não houver trabalho diverso do qual habitualmente exercia, a desligamento do emprego ou quando for requerida após aposentadoria será mantida, sem prejuízo da volta à o prazo da alínea "a"; e atividade: • Para os demais segurados, a partir da data da a) pelo seu valor integral, durante 6 (seis) meses entrada do requerimento. contados da data em que for verificada a recuperação da capacidade; Observação: b) com redução de 50% (cinqüenta por cento), no período seguinte de 6 (seis) meses; e Considera-se função de magistério a exercida por professor, quando exercida em estabelecimento de c) com redução de 75% (setenta e cinco por cento), educação básica em seus diversos níveis e também por igual período de 6 (seis) meses, ao término modalidades, incluídas, além do exercício da do qual cessará definitivamente. docência, as funções de direção de unidade escolar e as de coordenação e assessoramento pedagógico. Aposentadoria por Idade: Evento determinante: idade avançada. • Homem 65 anos – caso exerça atividade rural 60 anos Prof. Bernardo Machado DIREITO PREVIDENCIÁRIO 42
  • 44.
    Aposentadoria Especial: Beneficiários: todos os segurados. Evento determinante: exposição não ocasional nem Carência: 12 CM (ou nenhuma – acidente de qualquer intermitente (contínua e habitual) a agentes nocivos natureza e algumas doenças). físicos, químicos, ou biológicos prejudiciais à saúde ou à Renda mensal do benefício: 91% do SB. integridade física, durante 15 (quinze), 20 (vinte) ou 25 (vinte e cinco) anos. Data do início do pagamento: Beneficiários: em tese, todos os segurados. Entretanto • Ao segurado empregado a contar do 16º (décimo apenas os segurados empregado, trabalhador avulso, sexto) dia do afastamento da atividade ou a partir da contribuinte individual (cooperado filiado a cooperativa data da entrada do requerimento, se entre o de trabalho ou produção) conseguem demonstrar afastamento e a entrada do requerimento exposição contínua e habitual durante todo o período. decorrerem mais de 30 (trinta) dias; Carência: 180 CM. • Ao segurado empregado doméstico, contribuinte individual, trabalhador avulso, especial ou Renda mensal do benefício: 100% do SB. facultativo, a contar da data do início da Data do início do pagamento: incapacidade ou da data da entrada do • Ao segurado empregado: requerimento, se entre essas datas decorrerem mais de 30 (trinta) dias. a) a partir da data do desligamento do emprego, quando requerida até 90 (noventa) dias depois dela; ou Durante os primeiros 15 (quinze) dias de afastamento consecutivos da atividade por motivo de b) a partir da data do requerimento, quando não houver doença, caberá à empresa pagar ao segurado desligamento do emprego ou quando for requerida após empregado o salário. o prazo da alínea "a"; e Não será devido auxílio-doença ao segurado que se • Para os demais segurados, a partir da data da filiar ao Regime Geral de Previdência Social já portador entrada do requerimento. de doença ou lesão invocada como causa para a A comprovação da efetiva exposição do segurado concessão do benefício, salvo quando a incapacidade aos agentes nocivos será feita mediante formulário sobrevier por motivo de progressão ou agravamento denominado perfil profissiográfico previdenciário (PPP), dessa doença ou lesão. na forma estabelecida pela Previdência Social, emitido O auxílio-doença do segurado que exercer mais de pela empresa ou seu preposto, com base em laudo uma atividade abrangida pela previdência social será técnico de condições ambientais do trabalho (LTCAT) devido mesmo no caso de incapacidade apenas para o expedido por médico do trabalho ou engenheiro de exercício de uma delas, devendo a perícia médica ser segurança do trabalho. conhecedora de todas as atividades que o mesmo O PPP é o documento histórico-laboral do estiver exercendo. trabalhador, segundo modelo instituído pela Previdência Quando o segurado que exercer mais de uma Social, que, entre outras informações, deve conter atividade se incapacitar definitivamente para uma delas, registros ambientais, resultados de monitoração deverá o auxílio-doença ser mantido indefinidamente, biológica e dados administrativos. O PPP deverá ser não cabendo sua transformação em aposentadoria por entregue ao trabalhador quando da rescisão do contrato invalidez, enquanto essa incapacidade não se estender de trabalho ou do desligamento do cooperado. às demais atividades. É vedado o retorno ao exercício de atividade Se concedido novo benefício decorrente da mesma exposto a agente nocivos do segurado percipiente de doença dentro de 60 (sessenta) dias contados da aposentadoria especial, sendo a sua aposentadoria cessação do benefício anterior, a empresa fica cessada a partir da data do retorno à atividade. Apesar desobrigada do pagamento relativo aos 15 (quinze) da legislação previdenciária mencionar o termo cessar, primeiros dias de afastamento, prorrogando-se o na verdade a aposentadoria especial é suspensa, visto benefício anterior e descontando-se os dias que o segurado tem um direito adquirido. No momento trabalhados, se for o caso. que parar de trabalhar exposto a agente nocivo a aposentadoria deverá ser paga novamente. Se o segurado empregado, por motivo de doença, afastar-se do trabalho durante 15 (quinze) dias, É permitida a conversão de tempo de atividade sob retornando à atividade no 16º (décimo sexto) dia, e se condições especiais em tempo de atividade, também, dela voltar a se afastar dentro de 60 (sessenta) dias sob condições especiais e conversão de tempo de desse retorno, em decorrência da mesma doença, fará atividade sob condições especiais em tempo de jus ao auxílio doença a partir da data do novo atividade comum. É vedada a conversão de tempo de afastamento. atividade comum em tempo de atividade sob condições especiais. O segurado empregado em gozo de auxílio-doença é considerado pela empresa como licenciado. Entretanto, a empresa que garantir ao segurado licença Auxílio-doença remunerada ficará obrigada a pagar-lhe durante o Evento determinante: incapacidade temporária para o período de auxílio-doença a eventual diferença entre o seu trabalho ou para a sua atividade habitual por mais valor deste e a importância garantida pela licença. Essa de 15 (quinze) dias consecutivos. diferença paga pela empresa é conhecida como Prof. Bernardo Machado DIREITO PREVIDENCIÁRIO 43
  • 45.
    complementação do auxílio-doença,geralmente prevista segurada especial (atividade rural nos últimos 10 em acordo ou convenção coletiva de trabalho. Caso meses, ainda que de forma descontínua). essa diferença seja paga a todos os empregados da Renda mensal do benefício: empresa, não será considerada salário-de-contribuição. • Empregada e trabalhadora avulsa: remuneração; • Empregada doméstica: seu último salário-de- Salário-família contribuição; Evento determinante: filho ou equiparado menor de 14 • Segurada especial: um salário mínimo; (quatorze) anos ou inválido, e segurado de baixa renda (com remuneração igual ou inferior à R$ 862,11). • Contribuinte individual, facultativa e para as que Beneficiários: empregado, exceto o doméstico, avulso, mantenham a qualidade de segurada: 1/12 (um o empregado e avulso aposentado por invalidez ou por doze) avos da soma dos doze últimos salários-de- idade ou em gozo de auxílio-doença e os demais contribuição, apurados em período não superior a empregados e avulsos aposentados com 65 anos ou 15 (quinze) meses. mais de idade, se do sexo masculino, ou de 60 anos ou Data do início do pagamento: em regra, início 28 mais, se do feminino. (vinte e oito) dias antes e término 91 (noventa e um) Carência: não há. dias depois do parto. Renda mensal do benefício: R$ 29,41 para os Em casos excepcionais, os períodos de repouso segurados com renda mensal não superior a R$ 573,58 anterior e posterior ao parto podem ser aumentados de e R$ 20,73 para os segurados com remuneração mais duas semanas, mediante atestado médico mensal superior a R$ 573,58 e igual ou inferior a R$ específico. 862,11. Em caso de parto antecipado ou não, a segurada Data do início do pagamento: O pagamento do tem direito aos 120 (cento e vinte) dias de licença. salário-família será devido a partir da data da Em caso de aborto não criminoso, comprovado apresentação da certidão de nascimento do filho ou da mediante atestado médico, a segurada terá direito ao documentação relativa ao equiparado, estando salário-maternidade correspondente a duas semanas. condicionado à apresentação anual de atestado de O salário-maternidade é devido à segurada da vacinação obrigatória, até 6 (seis) anos de idade, e de Previdência Social que adotar ou obtiver guarda judicial comprovação semestral de freqüência à escola do filho para fins de adoção de criança com idade: ou equiparado, a partir dos 7 (sete) anos de idade. • Até 1 (um) ano completo, por 120 (cento e vinte) Quando o pai e a mãe são segurados empregados dias; ou trabalhadores avulsos, ambos têm direito ao salário- família. • A partir de 1 (um) ano até 4 (quatro) anos completos, por 60 (sessenta) dias; ou Tendo havido divórcio, separação judicial ou de fato dos pais, ou em caso de abandono legalmente • A partir de 4 (quatro) anos até completar 8 (oito) caracterizado ou perda do pátrio-poder, o salário-família anos, por 30 (trinta) dias. passará a ser pago diretamente àquele a cujo cargo O salário-maternidade da empregada será devido ficar o sustento do menor, ou a outra pessoa, se houver pela previdência social enquanto existir a relação de determinação judicial nesse sentido. emprego. O direito ao salário-família cessa automaticamente: Durante o período de graça (prazo de manutenção • Por morte do filho ou equiparado, a contar do mês da qualidade de segurada), a segurada desempregada seguinte ao do óbito; fará jus ao recebimento do salário-maternidade nos casos de demissão antes da gravidez, ou, durante a • Quando o filho ou equiparado completar quatorze gestação, nas hipóteses de dispensa por justa causa ou anos de idade, salvo se inválido, a contar do mês a pedido, situações em que o benefício será pago seguinte ao da data do aniversário; diretamente pela previdência social. • Pela recuperação da capacidade do filho ou O salário-maternidade não pode ser acumulado com equiparado inválido, a contar do mês seguinte ao da benefício por incapacidade. Quando ocorrer cessação da incapacidade; ou incapacidade em concomitância com o período de • Pelo desemprego do segurado. pagamento do salário-maternidade, o benefício por incapacidade, conforme o caso, deverá ser suspenso enquanto perdurar o referido pagamento, ou terá sua Salário-maternidade data de início adiada para o primeiro dia seguinte ao Evento determinante: nascimento, aborto não- término do período de cento e vinte dias. criminoso, adoção ou guarda judicial. A segurada aposentada que retornar à atividade Beneficiários: todas as seguradas. fará jus ao pagamento do salário-maternidade. Carência: não há para as seguradas empregada, inclusive doméstica, e trabalhadora avulsa. 10 CM para as seguradas contribuinte individual, facultativa e Prof. Bernardo Machado DIREITO PREVIDENCIÁRIO 44
  • 46.
    • Em casode desaparecimento do segurado por Auxílio-acidente motivo de catástrofe, acidente ou desastre, a contar da data da ocorrência, mediante prova hábil. Evento determinante: seqüela definitiva decorrente de acidente de qualquer natureza, com redução da O cônjuge ausente somente fará jus ao benefício a capacidade laborativa. partir da data de sua habilitação e mediante prova de dependência econômica, não excluindo do direito a Beneficiários: empregado, exceto o doméstico, companheira ou o companheiro. trabalhador avulso, segurado especial. O cônjuge divorciado ou separado judicialmente ou Carência: não há. de fato, que recebia pensão de alimentos, receberá a Renda mensal do benefício: 50% do SB (pode ser pensão em igualdade de condições com os demais inferior ao mínimo, por não ser um benefício que dependentes. substitua a remuneração ou o salário-de-contribuição do A pensão por morte, havendo mais de um segurado). pensionista, será rateada entre todos, em partes iguais. Data do início do pagamento: a partir do dia seguinte Reverterá em favor dos demais dependentes a parte ao da cessação do auxílio-doença. daquele cujo direito à pensão cessar. Ou seja, a auxílio-acidente, diferentemente da O pagamento da cota individual da pensão por aposentadoria por invalidez, não é um benefício morte cessa: imediato, tendo que o beneficiário receber o auxílio- • Pela morte do pensionista; doença antes do recebimento do auxílio-acidente. • Para o pensionista menor de idade, ao completar O recebimento de salário ou concessão de outro 21 (vinte e um) anos, salvo se for inválido, ou pela benefício, exceto de aposentadoria, não prejudicará a emancipação, ainda que inválido, exceto, neste continuidade do recebimento do auxílio-acidente. caso, se a emancipação for decorrente de colação Na aposentadoria, o valor do auxílio-acidente de grau científico em curso de ensino superior; ou entrará no cálculo do salário-de-benefício, como se • Para o pensionista inválido, pela cessação da fosse remuneração. invalidez, verificada em exame médico-pericial a A perda da audição, em qualquer grau, somente cargo da previdência social. proporcionará a concessão do auxílio-acidente quando, além do reconhecimento do nexo entre o trabalho e o • Pela adoção, para o filho adotado que receba agravo, resultar, comprovadamente, na redução ou pensão por morte dos pais biológicos. perda da capacidade para o trabalho que o segurado Não se aplica o disposto no caso de adoção quando habitualmente exercia. o cônjuge ou companheiro adota o filho do outro. Cabe a concessão de auxílio-acidente oriundo de acidente de qualquer natureza ocorrido durante o Auxílio-reclusão período de manutenção da qualidade de segurado, desde que atendidas às condições inerentes à espécie. Evento determinante: efetivo recolhimento à prisão do segurado que não receber remuneração da empresa nem estiver em gozo de auxílio-doença, aposentadoria Pensão por Morte ou abono de permanência em serviço, desde que o seu Evento determinante: morte do segurado. último salário-de-contribuição seja inferior ou igual a R$ 862,11. Beneficiários: dependentes. Beneficiários: dependentes. Carência: não há. Carência: não há. Renda mensal do benefício: 100% (cem por cento) do valor da aposentadoria que o segurado recebia ou Renda mensal do benefício: 100% (cem por cento) do daquela a que teria direito se estivesse aposentado por valor da aposentadoria a que teria direito se estivesse invalidez na data de seu falecimento. aposentado por invalidez na data de sua reclusão. Data do início do pagamento: Data do início do pagamento: A data de início do benefício será fixada na data do efetivo recolhimento do • Do óbito, quando requerido até 30 (trinta) dias segurado à prisão, se requerido até 30 (trinta) dias depois deste; depois desta, ou na data do requerimento, se posterior. • Do requerimento, quando requerida após o prazo O pedido de auxílio-reclusão deve ser instruído com de 30 (trinta) dias; certidão do efetivo recolhimento do segurado à prisão, • Da decisão judicial, no caso de morte presumida. firmada pela autoridade competente. A pensão poderá ser concedida, em caráter O beneficiário deverá apresentar trimestralmente provisório, por morte presumida: atestado de que o segurado continua detido ou recluso, firmado pela autoridade competente. • Mediante sentença declaratória de ausência, expedida por autoridade judiciária, a contar da data O exercício de atividade remunerada pelo segurado de sua emissão; ou recluso em cumprimento de pena em regime fechado ou semi-aberto que contribuir na condição de segurado Prof. Bernardo Machado DIREITO PREVIDENCIÁRIO 45
  • 47.
    contribuinte individual oucaso contribua como segurado • De 501 (quinhentos e um) a 1000 (mil) facultativo não acarreta perda do direito ao recebimento empregados, 4% (quatro por cento); ou do auxílio-reclusão pelos seus dependentes. • Mais de 1000 (mil) empregados, 5% (cinco por Falecendo o segurado detido ou recluso, o auxílio- cento). reclusão que estiver sendo pago será automaticamente convertido em pensão por morte. OUTRAS QUESTÕES SOBRE Abono Anual BENEFÍCIOS Será devido abono anual ao segurado e ao dependente que, durante o ano, recebeu auxílio- Decadência e Prescrição doença, auxílio-acidente, aposentadoria, salário- É de 10 (dez) anos o prazo de decadência de todo e maternidade, pensão por morte ou auxílio-reclusão. qualquer direito ou ação do segurado ou beneficiário O abono anual será calculado, no que couber, da para a revisão do ato de concessão de benefício, a mesma forma que a gratificação natalina dos contar do dia primeiro do mês seguinte ao do trabalhadores, tendo por base o valor da renda mensal recebimento da primeira prestação ou, quando for o do benefício do mês de dezembro de cada ano. caso, do dia em que tomar conhecimento da decisão O recebimento de benefício por período inferior a indeferitória definitiva no âmbito administrativo. doze meses, dentro do mesmo ano, determina o cálculo Prescreve em 05 (cinco anos), a contar da data em do abono anual de forma proporcional. que deveriam ter sido pagas, toda e qualquer ação para O período igual ou superior a quinze dias, dentro do haver prestações vencidas ou quaisquer restituições ou mês, será considerado como mês integral para efeito de diferenças devidas pela previdência social, salvo o cálculo do abono anual. direito dos menores, incapazes e ausentes, na forma do Código Civil. Não é considerado pedido de revisão de decisão Habilitação e Reabilitação Profissional indeferitória definitiva, mas de novo pedido de benefício, Evento determinante: incapacidade total ao parcial do o que vier acompanhado de outros documentos além beneficiário para o trabalho, gerando a necessidade de dos já existentes no processo. uma assistência (re)educativa e de (re)adaptação Não terá seqüência eventual pedido de revisão de profissional, visando proporcionar o reingresso no decisão indeferitória definitiva de benefício confirmada mercado de trabalho e no contexto em que vivem. pela última instância do Conselho de Recursos da Beneficiários: segurados e dependentes. Previdência Social, aplicando-se, no caso de Carência: não há. apresentação de outros documentos, além dos já existentes no processo, o disposto no parágrafo Renda mensal do benefício: não há. anterior. Data do início do pagamento: não há As ações referentes à prestação por acidente do O trabalho habilitação e reabilitação profissional trabalho prescrevem em 5 (cinco) anos, contados da será executado por equipe multiprofissional data: especializada em medicina, serviço social, psicologia, • do acidente, quando dele resultar a morte ou a sociologia, fisioterapia, terapia ocupacional e outras incapacidade temporária, verificada esta em perícia afins ao processo, sempre que possível na localidade médica a cargo da Previdência Social; ou do domicílio do beneficiário, ressalvadas as situações excepcionais em que este terá direito à reabilitação • em que for reconhecida pela Previdência Social, a profissional fora dela. incapacidade permanente ou o agravamento das seqüelas do acidente. A habilitação e reabilitação profissional é devida em caráter obrigatório aos segurados, inclusive O direito da Previdência Social de anular os atos aposentados, e, de acordo com as possibilidades administrativos de que decorram efeitos favoráveis para administrativas, técnicas, financeiras e as condições os seus beneficiários decai em dez anos, contados da locais do órgão, aos seus dependentes. data em que foram praticados, salvo comprovada má- fé. A empresa com 100 (cem) ou mais empregados está obrigada a preencher de 2% (dois por cento) a 5% No caso de efeitos patrimoniais contínuos, o prazo (cinco por cento) de seus cargos com beneficiários decadencial contar-se-á da percepção do primeiro reabilitados ou pessoas portadoras de deficiência, pagamento. habilitadas, na seguinte proporção: • Até 200 (duzentos) empregados, 2% (dois por Acumulação de Benefícios cento); Salvo no caso de direito adquirido, não é permitido o • De 201 (duzentos e um) a 500 (quinhentos) recebimento conjunto dos seguintes benefícios da empregados, 3% (três por cento); previdência social, inclusive quando decorrentes de acidente do trabalho: Prof. Bernardo Machado DIREITO PREVIDENCIÁRIO 46
  • 48.
    I - aposentadoriacom auxílio-doença; previdência social se compensarão financeiramente, II - mais de uma aposentadoria; segundo critérios estabelecidos em lei”. III - aposentadoria com abono de permanência em Ou seja, a contagem recíproca é o instituto em que serviço; os segurados contam o tempo de contribuição entre regimes de previdência diferentes, onde os mesmos se IV - salário-maternidade com auxílio-doença; compensam financeiramente, sendo assegurado: V - mais de um auxílio-acidente; • Para fins dos benefícios previstos no Regime VI - mais de uma pensão deixada por cônjuge; Geral de Previdência Social, o cômputo do tempo VII - mais de uma pensão deixada por companheiro ou de contribuição na administração pública; e companheira; • Para fins de emissão de certidão de tempo de VIII - mais de uma pensão deixada por cônjuge e contribuição - CTC, pelo Instituto Nacional do companheiro ou companheira; e Seguro Social, para utilização no serviço público, o cômputo do tempo de contribuição na atividade IX - auxílio-acidente com qualquer aposentadoria. privada, rural e urbana. No caso dos itens VI, VII e VIII é facultado ao Entretanto, é vedada a conversão de tempo de dependente optar pela pensão mais vantajosa. serviço exercido em atividade sujeita a condições É vedado o recebimento conjunto do seguro- especiais, em tempo de contribuição comum, bem como desemprego com qualquer benefício de prestação a contagem de qualquer tempo de serviço fictício. continuada da previdência social, exceto pensão por O tempo de contribuição será contado de acordo morte, auxílio-reclusão, auxílio-acidente, auxílio- com a legislação pertinente, observadas as seguintes suplementar ou abono de permanência em serviço. normas: O segurado recluso, ainda que contribua como • Não será admitida a contagem em dobro ou em contribuinte individual ou segurado facultativo, não faz outras condições especiais; jus aos benefícios de auxílio-doença e de aposentadoria durante a percepção, pelos dependentes, do auxílio- • É vedada a contagem de tempo de contribuição reclusão, permitida a opção, desde que manifestada, no serviço público com o de contribuição na também, pelos dependentes, pelo benefício mais atividade privada, quando concomitantes; vantajoso. • Não será contado por um regime o tempo de contribuição utilizado para concessão de aposentadoria por outro regime; Do Reconhecimento da Filiação Reconhecimento de filiação é o direito do segurado • O tempo de contribuição anterior ou posterior à de ter reconhecido, em qualquer época, o tempo de obrigatoriedade de filiação à previdência social exercício de atividade anteriormente abrangida pela somente será contado mediante observância, previdência social. quanto ao período respectivo, reconhecimento de tempo de filiação; e O reconhecimento de filiação pode ser feito de duas formas: indenização ou retroação da data de início das • O tempo de contribuição do segurado trabalhador contribuições. rural anterior à competência novembro de 1991 será computado, desde que o respectivo período seja A indenização é quando um segurado deseja indenizado. recolher contribuições à previdência social em relação a período que, apesar de ter exercido atividade A certidão de tempo de contribuição, para fins de remunerada, não era filiado obrigatoriamente ao RGPS. averbação do tempo em outros regimes de previdência, Um clássico exemplo é o de uma segurada empregada somente será expedida pelo Instituto Nacional do doméstica que trabalhava antes de 1972, pois antes Seguro Social após a comprovação da quitação de desta data essa segurada não era segurada obrigatória. todos os valores devidos, inclusive de eventuais parcelamentos de débito. Já a retroação da data de início das contribuições é quando o segurado contribuinte individual manifesta As aposentadorias e demais benefícios resultantes interesse em recolher contribuições relativas a período da contagem de tempo de contribuição serão anterior à sua inscrição, desde que comprovado o concedidos e pagos pelo regime a que o interessado exercício de atividade remunerada no respectivo pertencer ao requerê-los e o seu valor será calculado na período. forma da legislação pertinente. Contagem Recíproca Justificação Administrativa Determina a Constituição Federal, no seu art. 201, A justificação administrativa constitui recurso §9º que: “Para efeito de aposentadoria, é assegurada a utilizado para suprir a falta ou insuficiência de contagem recíproca do tempo de contribuição na documento ou produzir prova de fato ou circunstância administração pública e na atividade privada, rural e de interesse dos beneficiários, perante a previdência urbana, hipótese em que os diversos regimes de social, sendo processada sem ônus para o interessado. Prof. Bernardo Machado DIREITO PREVIDENCIÁRIO 47
  • 49.
    Somente será admitidoo processamento de • O que é parte interessada; e justificação administrativa na hipótese de ficar • O que intervém em nome de uma parte, como evidenciada a inexistência de outro meio capaz de tutor na causa do menor. configurar a verdade do fato alegado, e o início de prova material apresentado levar à convicção do que se A homologação da justificação judicial processada pretende comprovar. com base em prova exclusivamente testemunhal dispensa a justificação administrativa, se O processo de justificação administrativa é parte de complementada com início razoável de prova material. processo antecedente, vedada sua tramitação na condição de processo autônomo. Não caberá recurso da decisão da autoridade Do Recurso competente do Instituto Nacional do Seguro Social que Das decisões proferidas pelo INSS poderão os considerar eficaz ou ineficaz a justificação interessados, quando não conformados, interpor recurso administrativa. ordinário às Juntas de Recursos – JR do CRPS Não será admitida a justificação administrativa (Conselho de Recursos da Previdência Social). quando o fato a comprovar exigir registro público de Das decisões proferidas no julgamento do recurso casamento, de idade ou de óbito, ou de qualquer ato ordinário, ressalvadas as matérias de alçada das Juntas jurídico para o qual a lei prescreva forma especial. de Recursos, poderão os segurados, as empresas e os A justificação administrativa ou judicial, no caso de órgãos do INSS, quando não conformados, interpor prova de tempo de contribuição, dependência recurso especial às Câmaras de Julgamento, na forma econômica, identidade e de relação de parentesco, do Regimento Interno do CRPS. somente produzirá efeito quando baseada em início de Das matérias de alçada da Junta de Recursos, prova material, não sendo admitida prova conforme definido no Regimento Interno do CRPS, não exclusivamente testemunhal. caberá interposição de recurso para as Câmaras de Entretanto, no caso de prova de tempo de Julgamento. contribuição é dispensado o início de prova material Havendo interposição de recurso do interessado quando houver ocorrência de motivo de força maior ou contra decisão do INSS, o processo deverá ser caso fortuito. reanalisado e, se reformada totalmente a decisão, será Caracteriza motivo de força maior ou caso fortuito a atendido o pedido reclamado. Caso contrário, o verificação de ocorrência notória, tais como incêndio, processo deverá ser encaminhado para a JR, para inundação ou desmoronamento, que tenha atingido a julgamento. No caso de reforma parcial da decisão do empresa na qual o segurado alegue ter trabalhado, INSS, o processo terá curso relativamente à parte devendo ser comprovada mediante registro da objeto da controvérsia. ocorrência policial feito em época própria ou É de trinta dias o prazo comum às partes para a apresentação de documentos contemporâneos dos interposição de recurso e para o oferecimento de fatos, e verificada a correlação entre a atividade da contrarrazões, contados: empresa e a profissão do segurado. • Para o segurado e para a empresa, a partir da Se a empresa não estiver mais em atividade, deverá data da intimação da decisão; e o interessado juntar prova oficial de sua existência no período que pretende comprovar. • Para o INSS, a partir da data da protocolização do recurso ou da entrada do recurso pelo interessado O interessado poderá indicar testemunhas idôneas, ou representante legal na unidade do INSS que em número não inferior a três nem superior a seis, cujos proferiu a decisão, devendo esta ocorrência ficar depoimentos possam levar à convicção da veracidade registrada nos autos, prevalecendo a data que do que se pretende comprovar, não podendo ser ocorrer primeiro. testemunhas: Expirado o prazo de trinta dias da data em que foi • O que, acometido por enfermidade ou por interposto o recurso pelo segurado ou pela empresa, debilidade mental à época de ocorrência dos fatos, sem que haja contrarrazões, os autos serão não podia discerni-los ou, ao tempo sobre o qual imediatamente encaminhados para julgamento pelas deve depor, não estiver habilitado a transmitir as Juntas de Recursos ou Câmara de Julgamento do percepções; CRPS, conforme o caso, sendo considerados como • Os menores de dezesseis anos; contrarrazões do INSS os motivos do indeferimento. • O cego e o surdo, quando a ciência do fato O recurso intempestivo do interessado não gera depender dos sentidos que lhes faltam; qualquer efeito, mas deve ser encaminhado ao respectivo órgão julgador com as devidas contrarrazões • O cônjuge, bem como o ascendente e o do INSS, onde deve estar apontada a ocorrência da descendente em qualquer grau; intempestividade. • O colateral, até terceiro grau, assim como os irmãos e as irmãs, os tios e tias, os sobrinhos e sobrinhas, os cunhados e as cunhadas, as noras e os genros ou qualquer outro por consanguinidade ou por afinidade; Prof. Bernardo Machado DIREITO PREVIDENCIÁRIO 48
  • 50.
    PREVIDÊNCIA SOCIAL DOSERVIDOR PÚBLICO benefício é de 100% (cem por cento) da média das As principais regras de funcionamento dos Regimes remunerações dos servidores. Próprios de Previdência Social – RPPS – são previstas Cabe ressaltar que para a aposentadoria voluntária no art. 40 da CF/88. O citado artigo foi alterado em por tempo de contribuição, os requisitos idade e tempo diversos pontos pela EC nº 41/03. de contribuição serão reduzidos em 5 (cinco) anos para É importante ressaltar que o próprio caput do art. 40 o professor que comprove exclusivamente tempo de foi modificado, determinando o caráter contributivo e efetivo exercício das funções de magistério na solidário do regime previdenciário, mediante educação infantil e no ensino fundamental e médio. contribuição do respectivo ente público, dos servidores É vedada a adoção de requisitos e critérios ativos e inativos e dos pensionistas, observados diferenciados para a concessão de aposentadoria aos critérios que preservem o equilíbrio financeiro e atuarial. abrangidos pelo regime de que trata este artigo, O presente material tem como escopo o estudo ressalvados, nos termos definidos em leis atual da Previdência Social do Servidor Público, não complementares, os casos de servidores: sendo abordadas as regras de transição (art. 2º da EC • Portadores de deficiência; nº 41/03; art. 6º da EC nº 41/03 e art. 3º da EC nº • Que exerçam atividades de risco; 47/03). • Cujas atividades sejam exercidas sob condições especiais que prejudiquem a saúde ou a integridade BENEFÍCIOS DO SERVIDOR PÚBLICO física. PREVISTOS NA CONSTITUIÇÃO FEDERAL A CF/88 prevê dois benefícios previdenciários ao Pensão por Morte: servidor público: aposentadoria e pensão por morte. Conforme preconiza o art. 40, § 7º da CF/88, lei disporá sobre a concessão do benefício de pensão por Aposentadoria: morte, que será igual: Conforme preconiza o art. 40, § 1º da CF/88, o I - ao valor da totalidade dos proventos do servidor servidor público abrangido pelo regime de previdência falecido, até o limite máximo estabelecido para os serão aposentados: benefícios do regime geral de previdência social de que I - Por invalidez permanente, sendo os proventos trata o art. 201 (atualmente, R$ 3.689,66), acrescido de proporcionais ao tempo de contribuição, exceto se 70% (setenta por cento) da parcela excedente a este decorrente de acidente em serviço, moléstia profissional limite, caso aposentado à data do óbito; ou ou doença grave, contagiosa ou incurável, na forma da II - ao valor da totalidade da remuneração do servidor lei; no cargo efetivo em que se deu o falecimento, até o II - Compulsoriamente, aos setenta anos de idade, com limite máximo estabelecido para os benefícios do proventos proporcionais ao tempo de contribuição; regime geral de previdência social de que trata o art. 201 (atualmente, R$ 3.689,66), acrescido de 70% III - Voluntariamente, desde que cumprido tempo (setenta por cento) da parcela excedente a este limite, mínimo de dez anos de efetivo exercício no serviço caso em atividade na data do óbito. público e cinco anos no cargo efetivo em que se dará a aposentadoria, observadas as seguintes condições: Dessa forma, imaginemos um servidor público aposentado, auferindo o valor de R$ 5.000,00 a título de a) sessenta anos de idade e trinta e cinco de aposentadoria. Uma vez ocorrido o óbito do citado contribuição, se homem, e cinqüenta e cinco anos de servidor, seus dependentes terão direito a pensão por idade e trinta de contribuição, se mulher; morte no valor de R$ 3.689,66, acrescido de 70% da b) sessenta e cinco anos de idade, se homem, e diferença, ou seja, R$ 917,24 (70% x R$ 1.310,31). sessenta anos de idade, se mulher, com proventos Portanto, o valor da pensão por morte será de R$ proporcionais ao tempo de contribuição. 4.606,90 (quatro mil e seiscentos e seis reais e noventa Na aposentadoria por invalidez, assim como na centavos), lembrando que o valor excedente ao limite aposentadoria compulsória, o cálculo é proporcional ao máximo do RGPS ainda há a contribuição de inativos, tempo de contribuição. Dessa forma, um servidor em regra no percentual de 11% (onze por cento). público que se aposenta por invalidez, tendo apenas 15 Cabe ressaltar que essa regra só é aplicável para anos de contribuição, irá receber 15/35 da média de os óbitos ocorridos em momento posterior à sua suas remunerações. regulamentação. Apesar de a regulamentação ter sido A aposentadoria voluntária se divide em duas feita pela MP nº 167/04, quando da conversão da lei, a formas: por idade ou por tempo de contribuição (com mesma fixou como marco para o redutor da pensão por idade mínima de 60 (sessenta) anos para homem e 30 morte os óbitos a partir de 21 de junho de 2004, data de (trinta) anos para a mulher). publicação da Lei nº 10.887/04. O cálculo da aposentadoria voluntária por idade é proporcional, nos mesmos moldes vistos na aposentadoria por invalidez e compulsória. Já a aposentadoria voluntária por tempo de contribuição, o Prof. Bernardo Machado DIREITO PREVIDENCIÁRIO 49
  • 51.
    Observação 1: portanto, tratamento isonômico entre os beneficiários do Os proventos de aposentadoria e as pensões, por RGPS e RPPS. ocasião de sua concessão, não poderão exceder a A contribuição dos inativos e pensionistas incidirá remuneração do respectivo servidor, no cargo efetivo apenas sobre as parcelas de proventos de em que se deu a aposentadoria ou que serviu de aposentadoria e de pensão que superem o dobro do referência para a concessão da pensão. limite máximo estabelecido para os benefícios do Para o cálculo dos proventos de aposentadoria, regime geral de previdência social de que trata o art. por ocasião da sua concessão, serão consideradas as 201 desta Constituição (atualmente, R$ 3.689,66), remunerações (e não as contribuições versadas, tendo quando o beneficiário, na forma da lei, for portador de em vista a ausência de contribuição no passado) doença incapacitante. utilizadas como base para as contribuições do servidor aos regimes de previdência (RPPS e RGPS), na forma da lei. OUTRAS QUESTÕES Ressalvadas as aposentadorias decorrentes dos PREVISTAS NA CF/88 cargos acumuláveis na forma desta Constituição, é vedada a percepção de mais de uma aposentadoria à conta do RPPS. Abono de Permanência em Serviço: Conforme determina o art. 40, § 19 da CF/88, o servidor que tenha completado as exigências para CONTRIBUIÇÃO DO SERVIDOR INATIVO E aposentadoria voluntária por idade, e que opte por PENSIONISTA permanecer em atividade fará jus a um abono de Questão controvertida inserida pelo Poder permanência equivalente ao valor da sua contribuição Constituinte Derivado (EC nº 41/03) foi a contribuição do previdenciária até completar as exigências para servidor inativo ou pensionista do RPPS. aposentadoria compulsória. O art. 40, § 18 da CF/88 determina: “Incidirá contribuição sobre os proventos de aposentadorias e Único Regime Próprio por Ente Federativo: pensões concedidas pelo regime de que trata este artigo que superem o limite máximo estabelecido para Conforme determina o art. 40, § 20 da CF/88, fica os benefícios do regime geral de previdência social de vedada a existência de mais de um regime próprio de que trata o art. 201, com percentual igual ao previdência social para os servidores titulares de cargos estabelecido para os servidores titulares de cargos efetivos, e de mais de uma unidade gestora do efetivos.” respectivo regime em cada ente estatal, ressalvado o disposto no art. 142, § 3º, X da CF/88. Dessa forma, um servidor público aposentado, que venha auferir R$ 5.000,00 a título de aposentadoria, irá contribuir para o RPPS com a alíquota de 11% em LEI Nº 10.887/04 relação à diferença que ultrapassar o limite máximo do A Lei nº 10.887/04 visa dispor sobre a aplicação de RGPS (atualmente, R$ 3.689,66), ou seja, R$ 144,14 disposições da EC nº 41/03. (11% x R$ 1.310,34). Dessa forma, determina que no cálculo das Objeto de diversas ADI, a taxação dos inativos foi aposentadorias dos servidores titulares de cargo efetivo declarada constitucional pelo STF, tendo a decisão se de qualquer dos Poderes da União, dos Estados, do baseado no princípio da solidariedade, onde os Distrito Federal e dos Municípios, incluídas suas servidores inativos ou pensionistas devem versar autarquias e fundações, será considerada a média contribuições para o RPPS com o intuito de ajudar a aritmética simples das maiores remunerações, utilizadas manter a rede protetiva, independente da época da como base para as contribuições do servidor aos aquisição do direito ou da solicitação do benefício, regimes de previdência a que esteve vinculado, devendo a contribuição versar apenas sobre os valores correspondentes a 80% (oitenta por cento) de todo o que ultrapassem o limite máximo do RGPS (declaração período contributivo desde a competência julho de 1994 de inconstitucionalidade dos percentuais de 50% ou desde a do início da contribuição, se posterior àquela (cinqüenta por cento) e 60% (sessenta por cento) competência. previstos no art. 4º da EC nº 41/03). Ademais, os proventos, calculados de acordo com o Essa decisão da declaração de exposto acima, por ocasião de sua concessão, não inconstitucionalidade dos percentuais citados poderão ser inferiores ao valor do salário mínimo nem anteriormente tem como base o princípio da isonomia a exceder a remuneração do respectivo servidor no cargo ser observado com o RGPS (art. 195, II da CF/88), uma efetivo em que se deu a aposentadoria. vez que o texto constitucional veda a incidência de contribuição previdenciária sobre aposentadorias e Em relação à pensão por morte, a Lei nº 10.887/04 pensões concedidas pelo RGPS. Dessa forma, fez por limita-se a repetir o previsto no texto constitucional. bem o STF determinar a incidência da contribuição dos servidores inativos do RPPS apenas em relação à parcela que excede o limite máximo do RGPS, dando, Prof. Bernardo Machado DIREITO PREVIDENCIÁRIO 50
  • 52.
    Custeio do RPPS: A contribuição social do servidor público ativo de qualquer dos Poderes da União, incluídas suas autarquias e fundações, para a manutenção do respectivo regime próprio de previdência social, será de 11% (onze por cento), incidente sobre a totalidade da base de contribuição. Entende-se como base de contribuição o vencimento do cargo efetivo, acrescido das vantagens pecuniárias permanentes estabelecidas em lei, os adicionais de caráter individual ou quaisquer outras vantagens, excluídas: as diárias para viagens; a ajuda de custo em razão de mudança de sede; a indenização de transporte; o salário-família; o auxílio-alimentação; o auxílio-creche; as parcelas remuneratórias pagas em decorrência de local de trabalho; a parcela percebida em decorrência do exercício de cargo em comissão ou de função de confiança; e o abono de permanência de que tratam o § 19 do art. 40 da Constituição Federal, o § o o o o 5 do art. 2 e o § 1 do art. 3 da Emenda o Constitucional n 41, de 19 de dezembro de 2003. Em relação a contribuição dos servidores inativos e pensionistas, a Lei nº 10.887/04 limita-se a repetir o previsto no texto constitucional. A contribuição da União, de suas autarquias e fundações para o custeio do regime de previdência, de que trata o art. 40 da CF/88, será o dobro da contribuição do servidor ativo, devendo o produto de sua arrecadação ser contabilizado em conta específica. Dessa forma, para cada R$ 1,00 (um real) de contribuição do servidor ativo, a União irá versar R$ 2,00 (dois reais) para custear o RPPS. A União é responsável pela cobertura de eventuais insuficiências financeiras do regime decorrentes do pagamento de benefícios previdenciários. Prof. Bernardo Machado DIREITO PREVIDENCIÁRIO 51
  • 53.
    SEGURIDADE SOCIAL - Direito de todos e dever do Estado Saúde - Independe de contribuição - Direito de todos, desde que tenha a condição de necessitado Seguridade Assistência Social Social - Independe de contribuição - Direito de todos (segurado facultativo) Previdência Social - Depende de contribuição Importante!!! Princípios da Assistência Social (Art. 203, CF) Princípios da Previdência Social (Art. 201, CF) ORGANIZAÇÃO E PRINCÍPIOS CONSTITUCIONAIS 1) Solidariedade 2) Universalidade da cobertura e do atendimento 3) Uniformidade e equivalência dos benefícios e serviços às populações urbanas e rurais 4) Seletividade e distributividade dos benefícios e serviços 5) Equidade na forma de participação no custeio 6) Irredutibilidade do valor dos benefícios 7) Diversidade da base de financiamento 8) Caráter democrático e descentralização da administração mediante gestão quadripartite com participação do Governo, das empresas, dos trabalhadores e dos aposentados nos órgãos colegiados 9) Tríplice forma de custeio 10) Preexistência do custeio em relação ao benefício ou ao serviço LEGISLAÇÃO PREVIDENCIÁRIA Conceito: compreende o conjunto de leis e atos normativos referentes ao funcionamento de todo sistema securitário. Fontes: leis e jurisprudência, tendo como principais fontes formais a CF/88, Lei 8.212/91, Lei 8.213/91 e Decreto 3.048/99. Autonomia: é pacífica na doutrina e na jurisprudência a autonomia do direito previdenciário frente aos demais ramos do direito, sendo o mesmo enquadrado como ramo do direito público. Interpretação: busca a correta mens legis, ou seja, a finalidade da lei ou o seu objetivo. Prof. Bernardo Machado DIREITO PREVIDENCIÁRIO 52
  • 54.
    Integração: busca preencheras lacunas deixadas pela legislação (analogia, equidade, costumes, princípios gerais do direito). Vigência: regra geral, 45 dias da publicação da lei, salvo disposição em contrário. Hierarquia das normas: constituição prevalece sobre leis, que prevalece sobre decretos... Se houver conflito entre normas: norma específica prevalece sobre norma genérica e in dúbio pro misero. REGIME GERAL DE PREVIDÊNCIA SOCIAL - RGPS – Trabalhadores da iniciativa privada e servidores públicos não amparados por regime próprio Previdência Social - RPPS – Servidores públicos efetivos e militares - Empregados - Trabalhadores avulsos - Segurados - Obrigatórios - Empregados domésticos - Contribuintes individuais Beneficiários - Segurados especiais do RGPS - Facultativos - Dependentes CARACTERÍSTICAS DOS SEGURADOS - Pessoalidade Empregado - Não-eventualidade (habitualidade) - Remuneração - Subordinação (jurídica) - Sindicalizado ou não Trabalhador - Eventualidade avulso - Sem relação de emprego - Intermediação obrigatório do OGMO ou sindicato - Serviço contínuo Empregado - Pessoa ou família doméstico - Âmbito residencial - Remuneração - Atividade sem finalidade lucrativa Contribuinte - Eventualidade individual - Sem relação de emprego Segurado - Pequeno produtor rural (área ≤ 4 módulos fiscais) ou pescador artesanal especial - Individualmente ou em regime de economia familiar - Com ou sem o auxílio eventual de terceiros (mútua colaboração) Prof. Bernardo Machado DIREITO PREVIDENCIÁRIO 53
  • 55.
    Regime de - Subsistência do grupo economia - Mútua dependência e colaboração familiar - Sem empregados permanentes Segurado - Maior de 16 anos facultativo - Não exerce atividade remunerada Filiação: vínculo jurídico que se cria entre o segurado e o RGPS criando direitos e obrigações. A filiação ocorre para todos os vínculos. • Para os segurados obrigatórios: decorre do exercício da atividade remunerada, salvo o trabalhador rural contratado por produtor rural pessoa física por prazo de até dois meses dentro do período de um ano, para o exercício de atividades de natureza temporária. Nesse caso, a filiação decorre automaticamente de sua inclusão na GFIP; • Para os segurados facultativos: decorre da inscrição com o primeiro pagamento. Inscrição: mero ato formal, aonde o segurado fornece seus dados para a Previdência. A inscrição ocorre para todos os vínculos e só é possível a partir dos 16 anos, salvo o menor aprendiz (a partir dos 14 anos). Importante!!! É possível a inscrição post mortem do segurado especial. EMPRESA Definição: empresário ou sociedade que assume o risco da atividade econômica, com ou sem finalidade lucrativa, bem como os órgãos e as entidades da Administração Pública direta, indireta e fundacional. - CI em relação a segurado que lhe presta serviço - Cooperativa, associação ou entidade de qualquer natureza ou finalidade, bem como a missão Equiparam-se diplomática e repartição consular - OGMO e operador portuário - Dono da obra, PF, em relação a segurado que lhe presta serviço Matrícula da empresa: • Quando sujeita a inscrição no CNPJ: concomitantemente • Quando não sujeita a inscrição no CNPJ: 30 dias do início das atividades • SE/PRFP: documento de inscrição do contribuinte EMPREGADOR DOMÉSTICO Definição: aquele que contrata a seu serviço empregado doméstico. FINANCIAMENTO DA SEGURIDADE SOCIAL (ÂMBITO FEDERAL) 1) Recursos da União 2) Contribuições sociais 3) Outros recursos Prof. Bernardo Machado DIREITO PREVIDENCIÁRIO 54
  • 56.
    CONTRIBUIÇÕES SOCIAIS 1) Doempregador/empresa: a) Sobre a folha de salários e demais rendimentos pagos ou creditados a pessoas físicas que lhe prestem serviços mesmo sem vínculo empregatício b) Receita ou faturamento c) Lucro 2) Dos trabalhadores e demais segurados da Previdência Social, não incidindo contribuição sobre aposentadoria e pensão concedidas pelo RGPS 3) Sobre a receita de concursos de prognósticos 4) Do importador de bens e serviços CONTRIBUIÇÕES PREVIDENCIÁRIAS - Emp/Avul/Dom: 8%, 9% ou 11% x SC - Segurados - CI/Facultativo: 20% x SC - Especial: 2,0% + 0,1% (GILRAT) x RBCPR Contribuintes - Empresa * - Empregador doméstico: 12% x SC - Emp/Avul: 20% x Rem - CI: 20% x Rem - Coop. trabalho: 15% xNFS - Emp/Avul: 1%, 2% ou 3% x Rem (GILRAT) Empresa - Convencional - Aposentadoria especial: 1) Emp/Avul: 6%, 9% ou 12% x Rem 2) Coop. produção: 6%, 9% ou 12% x Rem 3) Coop. de trabalho: 5%, 7% ou 9% x NFS - Produtor rural - PF: 2,1% x RBCPR - PJ: 2,6% x RBCPR Empresa - Substitutiva - SIMPLES - Clube de futebol profissional - 5,0% x RB espetáculo - 5% x RB patrocínio SALÁRIO-DE-CONTRIBUIÇÃO • Empregados/Avulsos: remuneração • Doméstico: remuneração registrada na CTPS • CI: remuneração ou pelo exercício de sua atividade por conta própria • Facultativo: valor por ele declarado Prof. Bernardo Machado DIREITO PREVIDENCIÁRIO 55
  • 57.
    LIMITES DO SALÁRIO-DE-CONTRIBUIÇÃO Emp/Avulso/Dom - Lim. mínimo: piso salarial ou, inexistindo, salário mínimo - Lim. máximo: R$ 3.689,66 CI/Facultativo - Lim. mínimo: salário mínimo - Lim. máximo: R$ 3.689,66 CARACTERÍSTICAS DAS PARCELAS INTEGRANTES • Habitualidade • Integração ao patrimônio do trabalhador • Pagamento pelo e não para o trabalho • Irrelevância do título PARCELAS INTEGRANTES - Salário-maternidade Parcelas - Férias e respectivo adicional (1/3 constitucional) Remuneratórias - 13º salário - Diárias, quando excederem a 50% da remuneração PARCELAS NÃO-INTEGRANTES • Benefícios previdenciários, salvo salário-maternidade • Parcelas indenizatórias (Ex: férias indenizadas) • Parcelas ressarcitórias (Ex: diárias, quando não excederem a 50% da remuneração) • Conquistas sociais (Ex: vale-transporte, PLR, PAT – desde que pagos conformidade com a legislação) • Outros benefícios (Ex: assistência médica – desde pago em conformidade com a Lei 8.212/91) ARRECADAÇÃO DAS CONTRIBUIÇÕES Empresa: até o dia 20 (contribuição patronal, valores devidos por responsabilidade) (antecipa) 13º salário: até o dia 20 de dezembro (antecipa) Cooperativa de trabalho: até o dia 20 (equiparada à empresa e desconto dos cooperados) (antecipa) CI/Facultativo: até dia 15 (postecipa) Empregador doméstico: até o dia 15 (postecipa) O empregador doméstico poderá recolher a contribuição do segurado empregado a seu serviço e a parcela a seu cargo relativas à competência novembro até o dia 20 de dezembro, juntamente com a contribuição referente ao 13º salário, utilizando-se de um único documento de arrecadação. (antecipa) Recolhimento trimestral: até o dia 15 após o trimestre civil (CI/Facultativo/Doméstico que contribuem com 1 salário mínimo) (postecipa) PRPF ou segurado especial: até o dia 20, sendo o responsável pelo recolhimento o adquirente, consumidor ou consignatário, salvo se o PRPF ou segurado especial vender diretamente no varejo, a consumidor pessoa física; a outro PRPF ou a outro segurado especial. (antecipa) PRPJ: até o dia 20 (antecipa) Clube de futebol profissional (espetáculo desportivo): 2 dias úteis após o espetáculo desportivo, sendo o responsável a entidade promotora Prof. Bernardo Machado DIREITO PREVIDENCIÁRIO 56
  • 58.
    Clube de futebolprofissional (patrocínio): até o dia 20, sendo o responsável a empresa patrocinadora (antecipa) RECOLHIMENTO FORA DO PRAZO 1) Juros de mora: SELIC, a partir do primeiro dia do mês subseqüente ao vencimento do prazo até o mês anterior ao do pagamento e de 1% no mês de pagamento. 2) Multa de mora: • 1º momento - sem lançamento de ofício: multa de mora calculada à taxa de 0,33% (trinta e três centésimos por cento), por dia de atraso, limitado a 20% (vinte por cento). • 2º momento – lançamento de ofício: de 75% (setenta e cinco por cento) sobre a totalidade ou diferença de imposto ou contribuição nos casos de falta de pagamento ou recolhimento, de falta de declaração e nos de declaração inexata. Sonegação, fraude ou conluio: multa duplicada Certos casos previstos na legislação: multa agravada em 50% (Ex: não atendimento pelo sujeito passivo, no prazo marcado, de intimação para prestar esclarecimento, entre outras) Redução da multa de lançamento de ofício: Prazo para impugnação Pagamento: 50% Parcelamento: 40% Prazo para interpor recurso Pagamento: 30% Parcelamento: 20% OBRIGAÇÕES ACESSÓRIAS 1) Elaborar folha de pagamento 2) Escrituração em títulos próprios 3) Prestar a SRFB todas as informações cadastrais, financeiras e contábeis, na forma por ela estabelecida, bem como os esclarecimentos e informações de interesse da fiscalização 4) GFIP - Mensalmente - Coletiva por estabelecimento - Totalização da rubricas FP - Nome e função do segurado - Agrupar por categoria - Discriminar - Destacar seguradas em gozo de salário-maternidade - Destacar parcelas integrante e não do SC e descontos legais - Indicar número de cotas de sal-família atribuída a cada seg. - Livro Diário e Razão - Exigida após 90 dias da ocorrência do fato gerador - Obedecer ao princípio da competência Contabilidade - Todos os fatos geradores - Parcelas integrantes e não do SC - Contas individualizadas - Desconto dos segurados - Contribuição da empresa - Total recolhido Prof. Bernardo Machado DIREITO PREVIDENCIÁRIO 57
  • 59.
    Pessoas desobrigadas daapresentação da contabilidade: 1) Pequeno comerciante (pequeno empresário – novo código civil – Art. 970) 2) Pessoas jurídicas tributadas com base no lucro presumido ou optantes pelo SIMPLES, desde que escriturem devidamente o Livro Caixa e o Livro de Registro de Inventário - Recolher o FGTS - Informações à Previdência Social GFIP - Confissão de dívida - Tipificar crime RESPONSABILIDADE SOLIDÁRIA 1) Grupo econômico 2) Operador portuário e OGMO 3) Consórcio simplificado de produtores rurais 4) Administradores de autarquias, fundações, empresas públicas e SEM sujeitas ao controle da U, E, DF ou M, que se encontrarem em mora por mais de 30 dias, quanto ao recolhimento das contribuições sociais previdenciárias. 5) Construção civil, empreitada total. RETENÇÃO DOS 11% Cessão de mão-de-obra: colocação à disposição da contratante, nas suas dependências ou nas de terceiros, serviços contínuos, relacionados ou não com a atividade fim da empresa, qualquer que seja a sua forma de contratação, inclusive por meio de trabalho temporário. Empreitada: serviço ou tarefa contratado para um fim específico Serviços sujeitos a retenção dos 11% mediante empreitada ou cessão de mão-de-obra: • Limpeza, conservação e zeladoria; • Vigilância e segurança; • Construção civil; • Serviços rurais; • Digitação e preparação de dados para processamento. Demais serviços, somente haverá a retenção se contratado mediante cessão de mão-de-obra. A compensação poderá ser feita entre os estabelecimentos da empresa. A competência da compensação corresponderá à data da emissão da nota fiscal. Restando saldo remanescente, a empresa poderá compensar em competências posteriores. Caso haja o fornecimento de material ou equipamento, desde que previstos contratualmente, os valores podem ser reduzidos da base de cálculo. A retenção será acrescida de 2%, 3% ou 4%, caso o serviço prestado possibilite a concessão de aposentadoria especial após 25, 20 ou 15 anos, respectivamente. CONSTITUIÇÃO DO CRÉDITO Pode ser feito por notificação de lançamento, auto de infração e de confissão de valores devidos e não recolhidos pelo contribuinte (GFIP). Prof. Bernardo Machado DIREITO PREVIDENCIÁRIO 58
  • 60.
    AIOP 30 dias 30 dias Revelia Defesa Sem defesa L. procedente L. improcedente Cobrança amigável 1 30 dias * (30 dias) Recurso ao Fim do CARF contencioso Inscrição em administrativo dívida ativa L. procedente L. improcedente 2 * Inscrição em Fim do dívida ativa contencioso administrativo 1 * Cabe recurso de ofício (valor > R$ 1.000.000,00 – principal e multa). 2 * Cobrança amigável (30 dias). - Valores incluídos ou não em NL/AIOP - Limitado a 60 meses (determinado pelos valores mínimos das parcelas) Parcelamento - Condição: prévio pagamento da 1ª parcela - Constitui confissão de dívida - Parcela: acréscimo SELIC e 1% no mês do pagamento - Admite-se reparcelamento - Pagamento 10% - Pagamento 20% (histórico de reparc.) Não podem obter ou ser objeto de parcelamento: • Valores descontados dos segurados, sub-rogação e retenção dos 11%. (independente do desconto) • Empresas com falência decretada. Prof. Bernardo Machado DIREITO PREVIDENCIÁRIO 59
  • 61.
    - Qualificação doautuado - Local, data e hora da lavratura Auto de Infração - Descrição do fato - Disposição legal infringida e a penalidade aplicável - Determinação da exigência e intimação para cumpri-la ou impugná-la - Assinatura do autuante, indicação do cargo e matrícula Circunstâncias agravantes: • Tentativa de suborno (3x) • Agir com dolo, fraude ou má-fé (3x) • Desacatar o agente da fiscalização (2x) • Obstar a ação da fiscalização (2x) • Incorre em reincidência (2x) ou (3x) Gradação da multa: • Conforme valores acima (agravantes) • Redução de 50% se o pagamento for efetuado no prazo de defesa • Redução de 25% se o pagamento for efetuado no prazo para interpor recurso DECADÊNCIA E PRESCRIÇÃO (CUSTEIO) Decadência: 5 anos, a contar: (Súmula Vinculante nº 8 do STF) • Pagamento, ainda que parcial: da ocorrência do fato gerador • Sem pagamento: 1º dia do exercício seguinte • Dolo, fraude ou simulação: 1º dia do exercício seguinte • Anulação do lançamento por vício formal: da anulação Prescrição: 5 anos, contados da constituição definitiva. RESTITUIÇÃO E COMPENSAÇÃO Restituição - Valores pagos indevidamente ou a maior Compensação - Valores atualizados pela SELIC e 1% no mês da efetivação - Transferência de encargo financeiro – provar ter assumido ou estar autorizado a receber Restituição - Valores de outras entidades e fundos, salvo arrecadação por convênio - Contribuições previdenciárias correspondentes a períodos subsequentes - Informada em GFIP na competência de sua efetivação Compensação - Estar em situação regular - Crédito utilizado entre estabelecimentos da empresa - Facultada a compensação com contribuições sobre o 13º salário - Vedada compensação com contribuições para outras entidades e fundos Prof. Bernardo Machado DIREITO PREVIDENCIÁRIO 60
  • 62.
    Importante!!! • Compensação indevida: o sujeito passivo deverá recolher o valor indevidamente compensado, acrescido de juros e multa de mora devidos. • Na hipótese de compensação indevida, quando se comprove falsidade da declaração apresentada pelo sujeito passivo, o contribuinte estará sujeito à multa isolada aplicada no percentual de 75% (setenta e cinco por cento), aplicado em dobro, e terá como base de cálculo o valor total do débito indevidamente compensado. Prescrição: 5 anos, contados: • Do pagamento ou do recolhimento indevido, ou • Da data em que se tornar definitiva ou passar em julgado a decisão judicial que houver reformado, anulado ou revogado a decisão condenatória REEMBOLSO Reembolso - Salário-família - Salário-maternidade IMUNIDADE DE CONTRIBUIÇÕES Vide apostila teórica PROVA DE INEXISTÊNCIA DE DÉBITO Situações Gerais: • Na licitação, contratação com o Poder Público e no recebimento de benefícios ou incentivos fiscais ou creditícios. • Na alienação ou oneração de bem imóvel ou direito a ele relativo. • Na alienação ou oneração de bem móvel de valor acima de R$ 38.088,56, incorporado ao ativo permanente da empresa. • No registro ou arquivamento, de ato relativo à baixa ou redução de firma individual, extinção de sociedade, transferência de cotas de sociedade limitada. Em relação a microempresa e empresa de pequeno porte não é exigida CND para alteração de atos constitutivos, inclusive para extinção da mesma. Construção civil: • Averbação de obras no registro de imóveis. • Incorporador, na inscrição do memorial de incorporação no registro de imóveis. Produtor rural: • Exigida a CND para obtenção de crédito rural, salvo do PRPF ou segurado especial que não são responsáveis pelo seu recolhimento. Contratação de operação de crédito público • Exigida a CND na obtenção de empréstimos com instituições que utilizam créditos públicos (FGTS, FAT, caderneta de poupança, Fundos Constitucionais...). Obtenção de verbas dos fundos de participação • Exigida a CND dos Estados, DF e Municípios para obtenção das parcelas dos fundos de participação. Prazo de validade: 180 dias Prof. Bernardo Machado DIREITO PREVIDENCIÁRIO 61
  • 63.
    - Não apresentaçãode GFIP Situações impeditivas - Divergência GFIP x GPS - Débitos existentes CPD-EN: Emitida quando há débitos com a exigibilidade suspensa, possuindo os mesmos efeitos e prazo da CND. CRIMES CONTRA A SEGURIDADE SOCIAL Apropriação indébita previdenciária (Art. 168-A, CP): Pena – reclusão de 2 a 5 anos, e multa Extinta a punibilidade: se antes do início da ação fiscal o agente declara, confessa e paga os valores devidos. Facultado ao juiz deixar de aplicar a pena ou aplicar apenas a de multa, se o agente for primário e de bons antecedentes: • Se após o início da ação fiscal, mas antes de oferecida a denúncia, o agente paga os valores • Se o valor devido for inferior ao mínimo determinado, administrativamente, pela Previdência Social para o ajuizamento de suas execuções fiscais (R$ 10.000,00) Sonegação de contribuição previdenciária (Art. 337-A, CP): Pena – reclusão de 2 a 5 anos, e multa Extinta a punibilidade: se antes do início da ação fiscal o agente declara e confessa os valores. Facultado ao juiz deixar de aplicar a pena ou aplicar apenas a de multa, se o agente for primário e de bons antecedentes: • Se o valor devido for inferior ao mínimo determinado, administrativamente, pela Previdência Social para o ajuizamento de suas execuções fiscais (R$ 10.000,00) Se o empregador for pessoa física e a sua folha de pagamento for inferior a R$ 1.510,00 (R$ 3.257,37) o juiz pode reduzir a pena de 1/3 a 1/2 ou aplicar apenas a de multa. Falsificação de documento público (Art. 297, CP): Pena – reclusão de 2 a 6 anos, e multa. + 1/6 se for funcionário público e falsificar prevalecendo-se do seu cargo Inserção de dados falsos em sistema de informações (Art. 313-A, CP): Pena – reclusão de 2 a 12 anos, e multa. Modificação ou alteração não-autorizada de sistema de informação (Art. 313-B, CP): Pena – detenção de 3 meses a 2 anos, e multa. + 1/3 a 1/2 se causar dano a Administração Pública Estelionato (Art 171, § 3º, CP): Pena – reclusão de 1 a 5 anos, e multa. Prof. Bernardo Machado DIREITO PREVIDENCIÁRIO 62
  • 64.
    PLANO DE BENEFÍCIOSDA PREVIDÊNCIA SOCIAL - I – Cônjuge, companheira (o) e o filho não-emancipado, de qualquer condição, menor de 21 anos ou inválido Dependentes - II – Pais - III – Irmão não-emancipado, de qualquer condição, menor de 21 anos ou inválido MANUTENÇÃO E PERDA DA QUALIDADE DE SEGURADO Sem limite de prazo: segurado em gozo de benefício previdenciário - Após cessar benefício por incapacidade, ou deixar de exercer atividade remunerada, ou estiver suspenso ou licenciado sem remuneração * Até 12 meses - Após cessar a segregação, o segurado acometido de doença de segregação compulsória - Após o livramento, o segurado detido ou recluso Até 3 meses: após o licenciamento, o segurado incorporado às Forças Armadas para prestar serviço militar Até 6 meses: após cessar as contribuições. O segurado facultativo * Esse prazo será acrescido de mais 12 meses se o segurado tiver mais de 120 CM e mais 12 meses se o desemprego for registrado no órgão próprio do MTE. Importante!!! A perda da qualidade de segurado não será considerada para a concessão das aposentadorias por tempo de contribuição, idade e especial. CARÊNCIA 12 CM - Auxílio-doença - Aposentadoria por invalidez - Aposentadoria por idade 180 CM - Aposentadoria por tempo de contribuição - Aposentadoria especial - CI 10 CM – Salário-maternidade - Facultativa - Segurada especial Início da carência: Empregado/Avulso/CI (a partir de 04/2003 que presta serviço a empresa): da data da filiação Doméstico/CI (demais casos)/Segurado Especial (CI)/Facultativo: 1º recolhimento sem atraso Segurado Especial: efetivo exercício da atividade rural Prof. Bernardo Machado DIREITO PREVIDENCIÁRIO 63
  • 65.
    SALÁRIO-DE-BENEFÍCIO Aposentadoria por idadee tempo de contribuição: média aritmética simples dos maiores salários-de-contribuição, correspondentes a 80% de todo período contributivo, multiplicada pelo fator previdenciário. Observação: aplicação do fator previdenciário obrigatória para aposentadoria por tempo de contribuição, enquanto que a aplicação para a aposentadoria por idade é facultativa. Aposentadoria por invalidez, aposentadoria especial, auxílio-doença e auxílio-acidente: média aritmética simples dos maiores salários-de-contribuição, correspondentes a 80% de todo período contributivo. Onde: f = fator previdenciário; Es = expectativa de sobrevida no momento da aposentadoria; Tc = tempo de contribuição até o momento da aposentadoria; Id = idade no momento da aposentadoria; e a = alíquota de contribuição correspondente a 0,31. TC adicionado - 5 anos: mulher e professor - 10 anos: professora RENDA MENSAL DO BENEFÍCIO RMB: % x SB Auxílio doença: 91% x SB Aposentadoria por idade: 70% + 1% a cada 12 CM, limitado a 30% x SB Aposentadoria por invalidez, especial e tempo de contribuição: 100% x SB Auxílio-acidente: 50% x SB REAJUSTAMENTO DO VALOR E PAGAMENTO DOS BENEFÍCIOS Índice fixado pela lei (Lei 8.213/91), sendo hoje o INPC Benefícios até 1 salário mínimo: pagamento entre o quinto dia útil que anteceder o final do mês de sua competência e o quinto dia útil do mês subseqüente Benefícios superiores a 1 salário mínimo: pagamento do primeiro ao quinto dia útil do mês subseqüente ao de sua competência Prof. Bernardo Machado DIREITO PREVIDENCIÁRIO 64
  • 66.
    Exercícios Aula 01 04 - Segundo dispõe o art. 196, da CF/88, a saúde é direito de todos e dever do Estado. Diante dessa (Constituição Federal/88; Segurados; Filiação e premissa, assinale a opção que está correta. Inscrição) (AFRFB – 2005) a) As ações e serviços públicos de saúde integram uma 01 - No âmbito da Seguridade Social, com sede na rede regionalizada e hierarquizada e constituem um Constituição Federal/88 (art. 194), podemos afirmar: sistema único, sem a participação da comunidade. (AFRFB – 2005) b) O acesso universal igualitário às ações e serviços a) A seguridade social compreende um conjunto de para sua promoção, proteção e recuperação constitui ações de iniciativa dos Poderes Públicos e da garantia constitucional. sociedade, visando a assegurar os direitos relativos à c) O sistema único de saúde será financiado, nos saúde, à vida, à previdência e à assistência social. termos do art. 195, da CF/88, com recursos b) A seguridade social compreende um conjunto exclusivamente do orçamento, da seguridade social, da integrado de ações de iniciativa dos Poderes Públicos e União, dos estados, do Distrito Federal e dos da sociedade, destinadas a assegurar os direitos municípios. relativos à saúde, à previdência e à assistência social. d) As ações e serviços de saúde não são de relevância c) A seguridade social compreende um conjunto de pública, cabendo ao Poder Público dispor, nos termos ações dos Poderes Públicos e da sociedade, destinadas da lei, sobre sua regulamentação, fiscalização e a assegurar os direitos relativos à saúde, à previdência controle, com a execução inclusive através de terceiros. e à assistência social. e) Independe de lei complementar a instituição de d) A seguridade social compreende um conjunto normas de fiscalização, avaliação e controle das integrado de ações dos Poderes Públicos e da despesas com saúde nas esferas federal, estadual, sociedade, destinadas a assegurar os direitos relativos distrital e municipal. à saúde, à previdência, à vida e à assistência social. e) A seguridade social compreende um conjunto 05 - A Saúde é direito de todos e dever do Estado; integrado de ações de iniciativa dos Poderes Públicos analise as assertivas abaixo, buscando a correta, constituídos e da sociedade, destinado a assegurar os nos termos da definição constitucional da Saúde. direitos relativos à saúde, à previdência e a assistência (AFPS – 2002) social. a) A manutenção dos índices do risco de doença e de outros agravos constituem garantia constitucional. 02 - À luz da Seguridade Social definida na b) O acesso universal e igualitário às ações e serviços Constituição Federal, julgue os itens abaixo: (AFPS para sua promoção, proteção e recuperação constitui – 2002) garantia constitucional. I. Previdência Social, Saúde e Assistência Social são c) As ações e serviços públicos de saúde integram uma partes da Seguridade Social. rede regionalizada e hierarquizada, constituindo um II. A saúde exige contribuição prévia. sistema múltiplo. III. A Previdência Social exige contribuição prévia. d) Atendimento integral, com prioridade para as IV. A assistência social possui abrangência universal, atividades repressivas, sem prejuízo dos serviços sendo qualquer pessoa por ela amparada. assistenciais, é característica da saúde. a) Todos estão corretos. e) O sistema único de saúde será financiado, nos b) Somente I está incorreto. termos do art. 195, com recursos do orçamento da c) II e IV estão incorretos. União, dos Estados e dos Municípios. d) I e II estão incorretos. e) III e IV estão incorretos. 06 - De acordo com a Constituição Federal/88, as instituições poderão participar do Sistema Único de 03 - À luz dos dispositivos constitucionais Saúde, segundo diretrizes deste, mediante contrato referentes à Seguridade Social, julgue os itens de direito público ou convênio, tendo preferência as abaixo: (ATA-MF – 2009) entidades filantrópicas e as sem fins lucrativos, I. A Seguridade Social pode compreender ações de podendo elas participar de forma (Analista iniciativa da sociedade. Tributário – 2005) II. Saúde, Previdência e Trabalho compõem a a) alternativa. Seguridade Social. b) supletiva. III. Compete ao Poder Público organizar a Seguridade c) complementar. Social nos termos da lei. d) contributiva. IV. A Seguridade Social não foi definida na Constituição e) suspensiva. Federal de 1988. a) Todos estão corretos. b) I e III estão corretos. c) I e IV estão incorretos. d) Somente I está incorreto. e) III e IV estão incorretos. Prof. Bernardo Machado DIREITO PREVIDENCIÁRIO 65
  • 67.
    07 - Àluz da competência constitucional da 12 - Quanto ao financiamento da seguridade social, Previdência Social, julgue os itens abaixo que são de acordo com o estabelecido na CF/88 e na de competência da Previdência Social: (AFPS – legislação do respectivo custeio, assinale a opção 2002) correta. (AFRFB – 2005) I. cobertura dos eventos de doença, invalidez, morte e a) A lei não pode instituir outras fontes de custeio além idade avançada. daquelas previstas na Constituição Federal. II. salário-família e auxílio-reclusão para os dependentes b) São isentas de contribuição para a seguridade social dos segurados de baixa renda. as entidades beneficentes de assistência social que III. pensão por morte do segurado, homem ou mulher, atendam às exigências estabelecidas em lei. ao cônjuge ou companheiro e dependentes. c) As contribuições sociais criadas podem ser exigidas IV. a promoção da integração ao mercado de trabalho. no ano seguinte à publicação da respectiva lei. a) Todos estão corretos. d) Há possibilidade de criar benefício previdenciário sem b) Somente IV está incorreto. prévio custeio. c) I e II estão incorretos. e) Mesmo em débito com o sistema da seguridade d) I e III estão incorretos. social, pode a pessoa jurídica contratar com o poder e) III e IV estão incorretos. público. 08 - Indique qual das opções está correta com 13 - Com relação às contribuições sociais, no relação aos objetivos constitucionais da Seguridade âmbito da seguridade social, é correto afirmar: Social: (AFRFB – 2005) (AFRFB – 2005) a) Irredutibilidade do valor dos serviços. a) As contribuições sociais, de que trata o art. 195 da b) Eqüidade na cobertura. CF/88, só poderão ser exigidas após decorridos noventa c) Uniformidade e equivalência dos benefícios e dias da data da publicação da lei que as houver serviços às populações urbanas e rurais. instituído ou modificado, não se lhes aplicando o d) Seletividade na prestação dos benefícios e serviços disposto no art. 150, III, b, da Carta Magna. às populações urbanas e rurais. b) As contribuições sociais de que trata o art. 195, da e) Diversidade de atendimento. CF/88, só poderão ser exigidas após decorridos cento e oitenta dias da data da publicação da lei que as houver 09 - A Constituição Federal, no seu art. 194, instituído ou modificado, não se lhes aplicando o parágrafo único, elenca os objetivos da Seguridade disposto no art. 150, III, b, da Carta Magna. Social. Entre os quais, está correto: (Analista c) São isentas de contribuição para a seguridade social Tributário – 2005) todas as entidades de assistência social que atendam a) a diversidade de atendimento. às exigências estabelecidas em lei complementar. b) a eqüidade na forma de participação no custeio. d) As contribuições sociais de que trata o art. 195, da c) a redutibilidade do valor dos benefícios. CF/88, só poderão ser exigidas após decorridos noventa d) a universalidade e a equivalência dos benefícios e dias da assinatura da lei que as houver instituído ou serviços às populações urbanas e rurais. modificado, não se lhes aplicando o disposto no art. e) a unicidade da base de financiamento. 150, III, b, da Carta Magna. e) As contribuições sociais de que trata o art. 195, da 10 - Nos termos da CF/88, no seu art. 194, parágrafo CF/88, só poderão ser criadas e exigidas após único, inciso VII, a gestão da Seguridade Social decorridos noventa dias da publicação da lei que as ocorre de forma (Analista Tributário – 2005) houver instituído ou modificado, não se lhes aplicando o a) descentralizada, monocrática e quadripartite. disposto no art. 150, III, b, da Carta Magna. b) centralizada, monocrática e quadripartite. c) centralizada, colegiada e quadripartite. 14 - A respeito do financiamento da Seguridade d) descentralizada, colegiada e tripartite. Social, nos termos da Constituição Federal e da e) descentralizada, democrática e quadripartite. legislação de custeio previdenciária, assinale a opção correta. (AFPS – 2002) 11 - A eqüidade na forma de participação do custeio, a) A pessoa jurídica em débito com o sistema de como princípio da previdência social, é diretriz seguridade social não pode contratar com o poder dirigida ao legislador ordinário e corolário do público. princípio da solidariedade, procura estabelecer b) A lei não pode instituir outras fontes de custeio além normas que ajustem a capacidade contributiva dos das previstas na Constituição Federal. segurados, podendo, inclusive, variar alíquotas ou c) Pode-se criar benefício previdenciário sem prévio diferenciar bases de cálculo em razão da atividade custeio. econômica ou da utilização intensiva de mão-de- d) As contribuições sociais criadas podem ser exigidas obra. (AFPS – 2003) no ano seguinte à publicação da lei. ( ) Certo e) São isentas de contribuição para a seguridade social ( ) Errado todas as entidades beneficentes de utilidade pública federal. Prof. Bernardo Machado DIREITO PREVIDENCIÁRIO 66
  • 68.
    15 - Arespeito da organização e princípios território nacional segundo as leis brasileiras com salário constitucionais da Seguridade Social, assinale a estipulado em moeda estrangeira. opção incorreta. (AFPS – 2002) b) o brasileiro ou o estrangeiro domiciliado e contratado a) As contribuições sociais da empresa podem ter no Brasil para trabalhar como empregado no exterior, alíquotas diferenciadas. em sucursal ou em agência de empresa constituída sob b) O orçamento da seguridade social dos entes as leis brasileiras e que tenha sede e administração no federados descentralizados é distinto do orçamento da País. União. c) o brasileiro ou o estrangeiro domiciliado e contratado c) Pode ser dada remissão para as contribuições sociais no Brasil para trabalhar como empregado em empresa das empresas sobre a folha de salários. domiciliada no exterior, com maioria de capital votante d) A lei definirá critério de transferência de recursos pertencente a empresa constituída sob as leis para o sistema único de saúde. brasileiras, que tenha sede e administração no País e e) Poderá haver contribuição social do trabalhador cujo controle efetivo esteja em caráter permanente sob sobre o lucro e o faturamento. a titularidade direta ou indireta de pessoas físicas domiciliadas e residentes no Brasil. 16 - A instituição de novas fontes de financiamento d) o estrangeiro que presta serviços no Brasil a missão destinadas a garantir a manutenção ou a expansão diplomática ou a repartição consular de carreira da seguridade social, além das previstas no texto estrangeira, ainda que sem residência permanente no constitucional, é matéria reservada à competência Brasil, e o brasileiro amparado pela legislação residual da União, razão pela qual serão previdenciária do país da respectiva missão diplomática observados, entre outros critérios, a exigência de lei ou da repartição consular. complementar, a não-cumulatividade e a e) o menor aprendiz, com idade de quatorze a dezoito necessidade de que o fato gerador ou a base de anos, ainda que sujeito à formação técnico-profissional cálculo da nova contribuição sejam distintos em metódica, sob a orientação de entidade qualificada, nos relação aos impostos previstos na Constituição. termos da lei. (AFPS – 2003) ( ) Certo 20- Segundo a consolidação administrativa das ( ) Errado normas gerais de tributação previdenciária e de arrecadação das contribuições sociais 17 - Assinale a opção correta entre as assertivas administradas pela Secretaria da Receita abaixo relacionadas à organização e princípios Previdenciária – SRP, deve contribuir constitucionais da Seguridade Social. (ATA-MF – obrigatoriamente na qualidade de “segurado- 2009) empregado”: (Analista Tributário – 2005) a) Diversidade da base de financiamento é objetivo da ( ) o diretor empregado que seja promovido para Seguridade Social. cargo de direção de sociedade anônima, mantendo as b) O valor dos benefícios pode ser diminuído características inerentes à relação de trabalho? gradativamente. ( ) o trabalhador contratado em tempo certo, por c) Pode haver benefícios maiores para a população empresa de trabalho temporário? urbana em detrimento da rural. ( ) aquele que presta serviços de natureza contínua, d) A gestão da Seguridade Social é ato privativo do mediante remuneração, à pessoa, à família ou à Poder Público. entidade familiar, no âmbito residencial desta, em e) Os serviços previdenciários devem ser sempre os atividade sem fins lucrativos? mesmos, independente do destinatário. a) Sim, sim, sim b) Sim, não, não 18 - Além das inúmeras contribuições sociais c) Sim, não, sim instituídas no texto da Constituição Federal, há d) Sim, sim, não possibilidade de instituição de novas espécies de e) Não, não, não contribuição social? Assinale a assertiva que responde incorretamente à pergunta formulada. 21 - O art. 11, § 1º, do Regulamento da Previdência (ATA-MF – 2009) Social, dispõe sobre os segurados facultativos. Não a) Pode haver contribuição social com o mesmo fato está entre os segurados facultativos expressamente gerador de outra já existente. previstos no citado dispositivo: (AFRFB – 2005) b) O rol de contribuições sociais não é taxativo. a) Aquele que deixou de ser segurado obrigatório da c) Há previsão constitucional de competência residual. previdência social. d) A diversidade da base de financiamento permite b) A dona de casa. outras contribuições sociais. c) O síndico de condomínio, quando não remunerado. e) A União pode instituir outras contribuições sociais. d) O brasileiro que acompanha cônjuge que presta serviço no exterior. 19 - Não está previsto, em caso algum, como e) O estudante universitário. segurado-empregado obrigatório da Previdência Social do Brasil (Analista Tributário – 2005) a) o trabalhador contratado no exterior para trabalhar no Brasil em empresa constituída e funcionando em Prof. Bernardo Machado DIREITO PREVIDENCIÁRIO 67
  • 69.
    22 - Nãoé filiado obrigatório ao RGPS, na qualidade c) O empregado de organismo oficial internacional ou de segurado empregado, (AFRFB – 2005) estrangeiro em funcionamento no Brasil, ainda que a) aquele que presta serviço de natureza urbana ou coberto por regime próprio de previdência social. rural à empresa, em caráter não-eventual, com d) O exercente de mandato eletivo federal, estadual ou subordinação e mediante remuneração. municipal, desde que não vinculado a regime próprio de b) o contratado em caráter permanente em Conselho, previdência social. Ordem ou autarquia de fiscalização do exercício de e) O brasileiro ou estrangeiro domiciliado e contratado atividade profissional. no Brasil para trabalhar como empregado em empresa c) o menor aprendiz, com idade de quatorze a dezoito domiciliada no exterior, cuja maioria do capital votante anos, sujeito a formação técnica-profissional metódica. pertença a empresa brasileira de capital nacional. d) o trabalhador temporário contratado por empresa de trabalho temporário para atender à necessidade 25 - Não é segurado facultativo da Previdência transitória de substituição de seu pessoal regular e Social: (AFPS – 2002) permanente ou a acréscimo extraordinário de serviços. a) pessoa participante de regime próprio de e) o carregador de bagagem em porto, que presta previdência. serviços sem subordinação nem horário fixo, mas sob b) a dona-de-casa. remuneração, a diversos, com a intermediação c) o síndico de condomínio, quando não remunerado. obrigatória do sindicato da categoria ou OGMO. d) aquele que deixou de ser segurado obrigatório da previdência social. 23 - A Lei de Benefícios da Previdência Social (Lei n. e) o bolsista que se dedique em tempo integral a 8.213/91), no art. 11, elenca como segurados pesquisa. obrigatórios da Previdência Social na condição de contribuinte individual, entre outros, as seguintes 26 - A respeito do regime geral de previdência social pessoas físicas, exceto: (AFRFB – 2005) e da classificação dos segurados obrigatórios, a) O brasileiro civil que trabalha no exterior para assinale a assertiva incorreta. (AFPS – 2002) organismo oficial internacional do qual o Brasil é a) Como empregado – aquele que presta serviço de membro efetivo, ainda que lá domiciliado, e contratado, natureza urbana ou rural à empresa, em caráter não- e que coberto por regime próprio de previdência social. eventual, sob sua subordinação e mediante b) A pessoa física, proprietária ou não, que explora remuneração, inclusive como diretor empregado. atividade de extração mineral – garimpo, em caráter b) Como trabalhador avulso – quem presta, a diversas permanente ou temporário, diretamente ou por empresas, sem vínculo empregatício, serviço de intermédio de prepostos, com ou sem o auxílio de natureza urbana ou rural definidos em Regulamento. empregados, utilizados a qualquer título, ainda que de c) Como contribuinte individual – o ministro de confissão forma não contínua. religiosa e o membro de instituto de vida consagrada, de c) O ministro de confissão religiosa e o membro de congregação ou de ordem religiosa. instituto de vida consagrada, de congregação ou de d) Como empregado – o titular de firma individual ordem religiosa. urbana ou rural. d) Quem presta serviço de natureza urbana ou rural, em e) Como contribuinte individual – o diretor não- caráter eventual, a uma ou mais empresas, sem relação empregado e o membro de conselho de administração de emprego. de sociedade anônima. e) A pessoa física, proprietária ou não, que explora atividade agropecuária ou pesqueira, em caráter 27 - A inscrição é o ato pelo qual o segurado é permanente ou temporária, diretamente ou por cadastrado no RGPS, por meio de comprovação de intermédio de prepostos e com auxílio de empregados, dados pessoais e outros elementos. (Tec. Prev. utilizados a qualquer título, ainda que de forma não INSS – 2003) contínua. ( ) Certo ( ) Errado 24 - A Lei de Benefícios da Previdência Social (Lei n. 8.213/91), no art. 11, elenca como segurados 28 - A filiação ao RGPS representa ato volitivo em obrigatórios da Previdência Social na condição de relação ao trabalhador associado a cooperativa que, empregado, entre outros, as seguintes pessoas nessa qualidade, preste serviços a terceiros. (Tec. físicas, exceto: (AFRFB – 2005) Prev. INSS – 2003) a) Aquele que presta serviço de natureza urbana ou ( ) Certo rural à empresa, em caráter não eventual, sob sua ( ) Errado subordinação e mediante remuneração, inclusive como diretor empregado. 29 - A filiação materializa a inscrição junto ao RGPS b) Aquele que, contratado por empresa de trabalho e objetiva a identificação pessoal do segurado. (Tec. temporário, definida em legislação específica, presta Prev. INSS – 2003) serviço para atender a necessidade transitória de ( ) Certo substituição de pessoal regular e permanente ou a ( ) Errado acréscimo extraordinário de serviço de outras empresas. Prof. Bernardo Machado DIREITO PREVIDENCIÁRIO 68
  • 70.
    30 - Évedada a inscrição de segurado após sua ( ) A União é responsável pela cobertura de morte, exceto em caso de segurado especial. (Tec. insuficiências financeiras da Seguridade Social, quando Prev. INSS – 2003) decorrentes do pagamento de benefícios de prestação ( ) Certo continuada da Previdência Social. ( ) Errado a) V V V b) F F F GABARITO c) F V V 01. B 02. C 03. B 04. B 05. B d) V V F 06. C 07. B 08. C 09. B 10. E e) F F V 11. E 12. B 13. A 14. A 15. E 16. E 17. A 18. A 19. D 20. D 04 - Destina-se à previdência social 50% o da receita 21. E 22. E 23. A 24. C 25. A obtida em relação a todo e qualquer bem de valor 26. D 27. C 28. E 29. E 30. C econômico apreendido em decorrência do tráfico ilícito de entorpecentes e drogas afins que serão utilizados pelo INSS nas ações de prevenção e proteção à saúde, bem como na aplicação para Exercícios Aula 02 tratamento e recuperação de segurados viciados. (AFPS – 2003) (Empresa/Empregador Doméstico; Financiamento da ( ) Certo Seguridade Social) ( ) Errado 01 - A respeito do conceito previdenciário de 05 - A respeito do conceito e financiamento da empresa ou de empregador doméstico, assinale a Seguridade Social, assinale a afirmativa incorreta. assertiva incorreta. (AFPS – 2002) (Procurador TCM/RJ – 2008) a) Empresa – a firma individual ou sociedade que a) A Seguridade Social compreende um conjunto assume o risco de atividade econômica urbana ou rural, integrado de ações de iniciativa dos Poderes Públicos e com fins lucrativos, bem como os órgãos e entidades da da sociedade, destinadas a assegurar os direitos administração pública direta, indireta ou fundacional. relativos à saúde, previdência e assistência social. b) Empregador doméstico – a pessoa ou família que b) O princípio da eqüidade na participação do custeio da admite a seu serviço, sem finalidade lucrativa, seguridade social se expressa, entre outros, pelas empregado doméstico. alíquotas de contribuição diferentes para as empresas e c) Equipara-se à empresa, para os efeitos da Lei para os trabalhadores. 8.213/91, o contribuinte individual em relação a c) No âmbito federal, o orçamento da Seguridade Social segurado que lhe presta serviço. é composto das receitas da União, das contribuições d) Equipara-se à empresa, para os efeitos da Lei sociais e receitas de outras fontes. Entre estas e as 8.213/91, a cooperativa. vinculadas às ações de saúde, estão as provenientes do e) Equipara-se à empresa, para os efeitos da Lei seguro contra Danos Pessoais causados por Veículos 8.213/91, a associação ou entidade de qualquer Automotores de Vias Terrestres – DPVAT. natureza ou finalidade. d) A contribuição social incidente sobre a receita de concursos de prognósticos refere-se, exclusivamente, 02 - À luz do texto constitucional, julgue os itens às loterias administradas pela Caixa Econômica abaixo referentes ao financiamento da Seguridade Federal. Social: (ATA-MF – 2009) e) As receitas dos Municípios destinadas ao I. financiada por toda a sociedade financiamento da seguridade social constarão de seus II. de forma direta e indireta respectivos orçamentos, III. por meio de verbas orçamentárias entre outras não integrando o orçamento da União. IV. financiamento definido por lei a) Somente I e III estão corretos. 06 - A Seguridade Social será financiada por toda a b) Somente I está correto. sociedade, de forma direta e indireta, nos termos da c) Somente I e II estão corretos. lei, mediante recursos provenientes dos orçamentos d) Todos estão corretos. da União, dos Estados, do Distrito Federal e dos e) Somente III e IV estão corretos. Municípios. Será financiada também por contribuições sociais, mas não pela contribuição 03 - Leia cada um dos assertos abaixo e assinale (V) (Analista Tributário – 2005) ou (F), conforme seja verdadeiro ou falso. Depois, a) do empregador, da empresa e da entidade a ela marque a opção que contenha a exata seqüência. equiparada na forma da lei, incidentes sobre a folha de (Analista Tributário – 2005) salários e demais rendimentos do trabalho pagos ou ( ) A contribuição da União para a Seguridade Social creditados, a qualquer título, à pessoa física que lhe é constituída de recursos adicionais do Orçamento preste serviço, mesmo sem vínculo empregatício. Fiscal. b) sobre a receita ou o faturamento, relativo a ( ) Os recursos adicionais do Orçamento Fiscal para operações de comércio interno, do empregador, da a Seguridade Social serão fixados obrigatoriamente na empresa e da entidade a ela equiparada na forma da lei. lei orçamentária anual. Prof. Bernardo Machado DIREITO PREVIDENCIÁRIO 69
  • 71.
    c) sobre olucro do empregador, da empresa e da trabalhador avulso é calculada mediante a aplicação da entidade a ela equiparada na forma da lei, alíquota de oito, nove ou onze por cento sobre o seu independentemente de ser sujeito também pelo imposto salário de contribuição, de acordo com a faixa salarial de renda. constante da tabela publicada periodicamente pelo d) do importador de bens ou serviços do exterior, ou de MPS. quem a lei a ele equiparar, independentemente da ( ) O segurado empregado, inclusive o doméstico, incidência do imposto de importação que no caso que possuir mais de um vínculo, deverá comunicar couber. mensalmente ao primeiro empregador a remuneração e) sobre os proventos de aposentadoria ou pensão recebida até o limite máximo do salário de contribuição, concedidos pelo Regime Geral de Previdência Social ao envolvendo os vínculos adicionais. trabalhador ou demais segurados submetidos a tal ( ) No que couberem, as obrigações de comunicar a regime. existência de pluralidade de fontes pagadoras aplicam- se ao trabalhador avulso que, concomitantemente, 07 - Constituem contribuições sociais, de acordo exerça atividade de empregado. com a Lei n. 8.212/91, exceto: (AFRFB – 2005) a) V; F e V. a) As das empresas, incidentes sobre a remuneração b) V; V e F. paga ou creditada aos segurados a seu serviço. c) V; V e V. b) As dos empregados domésticos. d) V; F e F. c) As dos trabalhadores, incidentes sobre o seu salário- e) F; F e F. de-contribuição. d) As das empresas, incidentes sobre faturamento e 12 - Considere a seguinte situação hipotética. lucro. Adaptada – (AFPS – 2003) e) As dos proprietários rurais, incidentes sobre o seu No mês de abril de 2003, Lauro, autônomo, faturamento. exercendo por conta própria atividade econômica, realizou diversos reparos nas instalações elétricas da 08 - Não constitui receita das contribuições sociais: Santa Casa de Misericórdia, entidade beneficente de (AFPS – 2002) assistência social e isenta das contribuições sociais a) as das empresas, incidentes sobre a remuneração patronais, prestando serviços, nessa competência, paga ou creditada aos segurados a seu serviço. apenas à Santa Casa e recebendo R$ 1.000,00 pelo b) as dos empregadores domésticos, incidentes sobre o trabalho. Nessa situação, a entidade beneficente está salário-de-contribuição dos empregados domésticos a obrigada descontar, do total a ser pago a Lauro, o seu serviço. equivalente 11% de sua remuneração, bem como a c) as provenientes da União. efetuar o repasse em favor da previdência social. d) as das empresas, incidentes sobre o faturamento e o ( ) Certo lucro. ( ) Errado e) as incidentes sobre a receita de concursos de prognósticos. 13 - Considere a seguinte situação hipotética. (AFPS – 2003) 09 - A respeito das contribuições sociais, é correto No mês de abril de 2003, Fábio, autônomo, afirmar que: (ATA-MF – 2009) exercendo por conta própria atividade econômica, a) a contribuição do empregador incide só sobre a folha prestou serviço apenas ao Mercado Santana Ltda., de salários. empresa optante SIMPLES, recebendo R$ 1.500,00. b) a contribuição da empresa pode ser feita em função Nessa situação, do total recebido por Fábio, a empresa do tipo de produto que ela vende. deverá descontar o equivalente a 11%, bem como c) o trabalhador não contribui para a Seguridade Social. efetuar o repasse em favor da previdência social. d) os concursos de prognósticos não estão sujeitos à ( ) Certo incidência de contribuições sociais. ( ) Errado e) pode haver a incidência de contribuição social sobre a importação de bens do exterior. 14 - A cooperativa de produção é uma sociedade cujos associados produzem em comum bens e 10 - A renda líquida dos concursos de prognósticos serviços, detendo, eles mesmos, os meios de constitui receita da seguridade social, executando- produção. A contribuição previdenciária da se os valores destinados ao programa de crédito cooperativa é de 20% sobre o total das educativo. (AFPS – 2001) remunerações pagas ou creditadas a qualquer título, ( ) Certo no decorrer do mês, aos segurados contribuintes ( ) Errado individuais que lhe prestem serviços e, caso a atividade exercida pelo cooperado o exponha a 11 - Leia cada um dos assertos abaixo e assinale (V) agentes nocivos que permitam a concessão de ou (F), conforme seja verdadeiro ou falso. Depois, aposentadoria especial após 15, 20, 25 anos de marque a opção que contenha a exata seqüência. contribuição, respectivamente, serão adicionadas as (AFRFB – 2005) alíquotas de 12, 9 ou 6 pontos percentuais. (AFPS – ( ) A contribuição social previdenciária dos 2003) segurados empregado, empregado doméstico e ( ) Certo ( ) Errado Prof. Bernardo Machado DIREITO PREVIDENCIÁRIO 70
  • 72.
    15 - Ocusteio dos benefícios concedidos em razão do grau de incidência de incapacidade laborativa (Salário-de-Contribuição; Recolhimento Fora do decorrente dos riscos ambientais do trabalho é feito Prazo; Obrigações Acessórias; Responsabilidade mediante as contribuições sobre a remuneração Solidária) paga a qualquer titulo no decorrer do mês ao segurado empregado, ao trabalhador avulso e ao 01 - Para os segurados empregados e trabalhadores contribuinte individual, incidindo um percentual de avulsos, entende-se por salário de contribuição: um, dois ou três pontos percentuais, a depender de (AFRFB – 2005) atividade preponderante da empresa ter grau de a) A remuneração auferida, sem dependência da fonte risco leve, médio ou grave, cujas alíquotas podem pagadora, em uma ou mais empresas ou pelo exercício ser acrescidas em doze, nove ou seis pontos de sua atividade por conta própria, durante o mês, percentuais, respectivamente, caso a atividade observados os limites mínimo e máximo do salário de exercida pelo segurado, a serviço da empresa, contribuição. ensejar concessão de aposentadoria especial após b) O valor recebido pelo cooperado, ou a ele creditado, 15, 20 ou 25 anos de contribuição. (AFPS – 2003) resultante da prestação de serviços a terceiros, pessoas ( ) Certo físicas ou jurídicas, por intermédio da cooperativa. ( ) Errado c) O valor por eles declarado, observados os limites mínimo e máximo do salário de contribuição. 16 - Considere a seguinte a situação hipotética. d) Vinte por cento do valor bruto auferido pelo frete, (AFPS – 2003) carreto, transporte, não se admitindo a dedução de Uma sociedade civil constituída de 6 sócios, todos qualquer valor relativo aos dispêndios com combustível médicos, tem como objeto social prestar serviços de e manutenção do veículo, ainda que parcelas a este anestesiologia nos centros cirúrgicos dos hospitais, título figurem discriminadas no documento. pagou a seus sócios, a título de antecipação dos lucros e) A remuneração auferida em uma ou mais empresas, R$ 10.000,00 por mês, durante todo o exercício de assim entendida a totalidade dos rendimentos que lhe 2000, não tendo sido discriminada a remuneração são pagos, devidos ou creditados a qualquer título, decorrente do trabalho e a proveniente do capital social. durante o mês. Nessa situação, em relação aos valores distribuídos aos sócios, a contribuição da empresa será de 20% sobre o 02 - Maria Clara, contribuinte empregada pelo total das remunerações pagas mensalmente durante o Regime Geral de Previdência Social desde 1994, exercício. deseja contribuir acima do valor máximo permitido ( ) Certo pela Previdência Social. Assim, propõe na justiça ( ) Errado ação contra o Instituto Nacional do Seguro Social – INSS, alegando que tem direito de contribuir acima 17 - A respeito da base de cálculo e contribuintes do limite legal, pois deseja se aposentar com um das contribuições sociais, analise as assertivas valor acima do valor máximo pago pelo INSS. abaixo, assinalando a incorreta. (ATA-MF – 2009) Assim, é correto afirmar, perante a legislação a) Remuneração paga, devida ou creditada aos previdenciária de Custeio, que o pedido de Maria segurados e demais pessoas físicas a seu serviço, (ATA-MF – 2009) mesmo sem vínculo empregatício – EMPRESA. a) pode ser aceito, desde que ela contribua até 10% do b) Receita bruta decorrente dos espetáculos desportivos valor máximo. de que participem em todo o território nacional – b) não pode ser aceito, pois não cabe a Maria a escolha PRODUTOR RURAL PESSOA JURÍDICA. do montante a ser pago. c) Incidentes sobre a receita bruta proveniente da c) pode ser aceito, desde que ela comprove ter comercialização da produção rural – SEGURADO despesas familiares acima do valor máximo. ESPECIAL. d) pode ser aceito, pois o pagamento da contribuição d) Salário de contribuição dos empregados domésticos social tem natureza jurídica privada de forma contratual. a seu serviço – EMPREGADOR DOMÉSTICO. e) pode ou não ser aceito, dependendo do número de e) Incidentes sobre seu salário de contribuição – dependentes que ela possua. TRABALHADORES. 03 - Qual das parcelas abaixo não integram o GABARITO salário-de-contribuição? (ATA-MF – 2009) 01. A 02. D 03. A 04. E 05. D a) Salário 06. E 07. C 08. C 09. E 10. C b) Gorjetas 11. A 12. E 13. C 14. C 15. E c) Despesas de viagem 16. C 17. B d) Abonos e) Ganhos habituais 04 - A respeito do salário-de-contribuição, segundo a Lei nº 8.212/91, não é correto afirmar: (Juiz Substituto do TRT 13ª Região – 2006) Exercícios Aula 03 Prof. Bernardo Machado DIREITO PREVIDENCIÁRIO 71
  • 73.
    a) O salário-maternidadeé considerado salário-de- trimestrais, no valor correspondente a R$ 300,00 contribuição; cada uma, por empregado; pagamento mensal de b) O décimo terceiro salário integra o salário-de- vale-refeição no valor de R$ 120,00 para cada contribuição, exceto para o cálculo do benefício, na empregado e complementação do valor do auxílio- forma estabelecida em regulamento; doença para os empregados expostos, c) Os valores correspondentes a transporte, efetivamente, a riscos ambientais no ambiente do alimentação e habitação fornecidos pela empresa ao trabalho. empregado contratado para trabalhar em localidade distante da sua residência não integram o salário-de- Considerando essa situação hipotética, julgue contribuição; os itens a seguir, relacionados ao salário-de- d) Não é considerado salário-de-contribuição o valor contribuição. relativo à assistência prestada por serviço médico ou ondotológico, próprio da empresa ou por ela 07 - O pagamento a título de complementação do conveniado, inclusive o reembolso das despesas com auxílio-doença não constitui fato gerador da medicamentos, despesas hospitalares e outras obrigação previdenciária, haja vista sua evidente similares, desde que fornecidos em razão de cargo de natureza assistencial. (AFPS – 2003) gestão e a cobertura abranja 1/3 (um terço) dos ( ) Certo empregados; ( ) Errado e) O total das diárias pagas, quando excedentes a 50% (cinquenta por cento) da remuneração mensal, integra o 08 - O vale-refeição não será considerado salário-de- salário-de-contribuição pelo seu valor total. contribuição caso tenha sido feita a necessária adesão, pela empresa, ao Programa de Alimentação 05 - Integram o salário-de-contribuição, para fins do Trabalhador e os termos da Lei n.° 6.321/1976 previdenciários: (Juiz Substituto do TRT 22ª Região estejam sendo cumpridos. (AFPS – 2003) – 2006) ( ) Certo a) As diárias para viagens, desde que excedam a 50% ( ) Errado (cinqüenta por cento) da remuneração mensal; b) Os benefícios da Previdência Social, nos termos e 09 - A participação nos lucros é garantia limites legais, salvo o salário-maternidade; constitucional do trabalhador e, da forma como foi c) A parcela recebida a título de vale-transporte, nos concedida, atende à legislação específica, termos da legislação respectiva; determinando a não-incidência da contribuição d) A participação nos lucros ou resultados da empresa, previdenciária sobre ela. (AFPS – 2003) quando paga ou creditada de acordo com lei específica; ( ) Certo e) O valor correspondente a vestuário, equipamentos e ( ) Errado outros acessórios fornecidos ao empregado e utilizados no local do trabalho para a prestação dos respectivos 10 - O salário-de-contribuição limita e quantifica a serviços. base de cálculo da contribuição previdenciária e, ao mesmo tempo, apresenta a hipótese de incidência 06 - De acordo com a normatização previdenciária, da obrigação previdenciária: o exercício de não integra a base de cálculo de contribuição o (a): atividade remunerada por aquele que a lei define (Juiz Substituto do TRT 5ª Região – 2006) como segurado obrigatório. (Procurador Federal – a) Vale-transporte pago em pecúnia por empresa de 2004) conservação e limpeza. ( ) Certo b) Complementação ao valor do auxílio-doença paga ( ) Errado apenas aos empregados expostos a agentes nocivos. c) Valor das contribuições efetivamente pagas pela 11 - Considere a seguinte situação hipotética. pessoa jurídica relativo a programa de previdência Determinada indústria fornece a seus empregados complementar fechada ou aberta, disponível a todos os bolsas de estudo destinadas ao aperfeiçoamento, à empregados do setor financeiro. capacitação e à qualificação de trabalhadores que d) Valor correspondente a vestuários, equipamentos e tenham pelo menos 10 anos de vínculo empregatício outros acessórios fornecidos ao empregado e utilizados com a empresa, mediante a participação em cursos no local do trabalho com a finalidade de prestar os vinculados às atividades desenvolvidas pela respectivos serviços. empresa. Nessa situação, os valores custeados pela e) Participação nos lucros ou resultados da empresa, empresa integram, a base de cálculo da sendo possível o parcelamento em no máximo quatro contribuição previdenciária. (Procurador Federal – vezes no mesmo ano civil, independentemente de 2004) acordo ou convenção coletiva. ( ) Certo ( ) Errado Uma empresa celebrou acordo coletivo de Em cada um dos itens seguintes, apresenta-se trabalho em que foram estipuladas, entre outras, as uma situação hipotética referente à aplicação do seguintes cláusulas: pagamento de participação nos conceito de salário-de-contribuição, seguida de uma lucros referente ao exercício de 2002, em 4 parcelas assertiva a ser julgada. Prof. Bernardo Machado DIREITO PREVIDENCIÁRIO 72
  • 74.
    18 - Rodrigotrabalha na gerência comercial de uma 12 - Maria, segurada empregada da previdência grande rede de supermercados e visita social, encontra-se afastada de suas atividades regularmente cada uma das lojas da rede. Para profissionais devido ao nascimento de seu filho, atendimento a necessidades do trabalho que faz mas recebe salário-maternidade. Nessa situação, durante as viagens, Rodrigo recebe diárias que apesar de ser um benefício previdenciário, o salário- excedem, todos os meses, 50% de sua remuneração maternidade que Maria recebe é considerado normal. Nessa situação, não incide contribuição salário-de-contribuição para efeito de incidência. previdenciária sobre os valores recebidos por (Tec. Prev. INSS – 2008) Rodrigo a título dessas diárias. (Tec. Prev. INSS – ( ) Certo 2008) ( ) Errado ( ) Certo ( ) Errado 13 - Mateus trabalha em uma empresa de informática e recebe o vale-transporte junto às 19 - Deverão ser recolhidas até o dia vinte do mês demais rubricas que compõem sua remuneração, seguinte ao da ocorrência do seu fato gerador, que é devidamente depositada em sua conta antecipando-se o vencimento para o dia útil anterior bancária. Nessa situação, incide contribuição quando não houver expediente bancário no dia do previdenciária sobre os valores recebidos por vencimento, as contribuições: (Adaptada) (Analista Mateus a título de vale-transporte. (Tec. Prev. INSS – Tributário – 2005) 2008) a) incidentes sobre a receita bruta decorrente de ( ) Certo qualquer forma de patrocínio, de licenciamento de uso ( ) Errado de marcas e símbolos, de publicidade, de propaganda e transmissão de espetáculos desportivos, devida pela 14 - Luís é vendedor em uma grande empresa que associação desportiva que mantém equipe de futebol comercializa eletrodomésticos. A título de incentivo, profissional. essa empresa oferece aos empregados do setor de b) do segurado empregado doméstico. vendas um plano de previdência privada. Nessa c) descontadas da remuneração paga, devida ou situação, incide contribuição previdenciária sobre creditada, aos segurados empregados. os valores pagos, pela empresa, a título de d) do empregador doméstico. contribuição para a previdência privada, a Luís. e) do condutor autônomo de veículo rodoviário, inclusive (Tec. Prev. INSS – 2008) o taxista, para o Serviço Social do Transporte – SEST. ( ) Certo ( ) Errado 20 - O empregador doméstico não esta obrigado a efetuar desconto e subseqüente recolhimento da 15 - Tendo sido demitido sem justa causa da contribuição devida pelo empregado domestico, que empresa em que trabalhava, Vagner recebeu o aviso deverá ser recolhida pelo próprio trabalhador. Está prévio indenizado, entre outras rubricas. Nessa obrigado, contudo, a recolher a contribuição social situação, não incide contribuição previdenciária a seu cargo, equivalente a 12% do salário de sobre o valor da indenização paga, pela empresa, a contribuição do empregado, até o dia 15 do mês Vagner. (Tec. Prev. INSS – 2008) seguinte da competência. (AFPS – 2001) ( ) Certo ( ) Certo ( ) Errado ( ) Errado 16 - Claudionor recebe da empresa onde trabalha 21 - Quanto à responsabilidade pelo recolhimento alguns valores a título de décimo-terceiro salário. das contribuições, assinale a afirmativa incorreta. Nessa situação, os valores recebidos por (Procurador TC/PA – 2008) Claudionor não são considerados para efeito do a) A empresa é obrigada a arrecadar as contribuições cálculo do salário-benefício, integrando-se apenas o devidas pelos seus empregados, trabalhadores avulsos cálculo do salário-de-contribuição. (Tec. Prev. INSS e contribuintes individuais, descontando-as da – 2008) respectiva remuneração, e recolhê-las juntamente com ( ) Certo as contribuições a seu cargo. ( ) Errado b) As empresas que integram grupo econômico de qualquer natureza não respondem entre si, 17 - A empresa em que Maurício trabalha paga a ele, solidariamente, pelas obrigações perante a Seguridade a cada mês, um valor referente à participação nos Social. lucros, que é apurado mensalmente. Nessa c) A empresa adquirente ou consumidora de produto situação, incide contribuição previdenciária sobre o rural fica subrogada nas obrigações do produtor rural valor recebido mensalmente por Maurício a título de pessoa física ou do segurado especial, caso adquira a participação nos lucros. (Tec. Prev. INSS – 2008) produção desses segurados. ( ) Certo d) Tratando-se de produto rural adquirido de ( ) Errado agroindústria ou de produtor rural pessoa jurídica, nenhuma obrigação cabe à empresa adquirente ou consumidora, relativamente a essa operação. Prof. Bernardo Machado DIREITO PREVIDENCIÁRIO 73
  • 75.
    e) Os seguradoscontribuintes individuais que, no mês, 25 - Constitui obrigação das empresas manter não prestaram serviço à empresa, bem como os atualizado o perfil profissiográfico previdenciário, segurados facultativos, devem recolher sua contribuição abrangendo as atividades desenvolvidas pelos por iniciativa própria. segurados empregados e contribuintes individuais, bem como fornecer a estes, na rescisão do contrato 22 - Assinale abaixo o item que contenha uma de trabalho ou ao término da prestação do serviço, informação errônea, sobre a obrigação acessória da cópia autenticada deste documento, sob pena de empresa relativamente à Previdência Social. É multa por descumprimento de obrigação acessória obrigação da empresa (Analista Tributário – 2005) da legislação previdenciária. (AFPS – 2003) a) inscrever, no Regime Geral de Previdência Social, os ( ) Certo segurados empregados, mas não os trabalhadores ( ) Errado avulsos a seu serviço. b) inscrever, quando pessoa jurídica, como contribuintes 26 - A elaboração da folha de pagamento dos individuais no Regime Geral de Previdência Social, mas empregados da empresa, entre outras formalidades, só a partir de 1º de abril de 2003, as pessoas físicas deve ser mensal, coletiva e segmentada por contratadas sem vínculo empregatício. estabelecimento, obra de construção civil e tomador c) elaborar folha de pagamento mensal da remuneração de serviços, com a correspondente totalização das paga, devida ou creditada a todos os segurados a seu rubricas, discriminando e agrupando os segurados serviço, de forma coletiva por estabelecimento, mas por categoria, destacando as que estiverem em deverá fazê-lo por obra de construção civil e por gozo de salário-maternidade e indicando o número tomador de serviços, com a correspondente totalização de quotas de salário-família atribuídas a cada e resumo geral. segurado. (AFPS – 2003) d) lançar mensalmente em títulos próprios de sua ( ) Certo contabilidade, de forma discriminada, os fatos geradores ( ) Errado de todas as contribuições sociais a cargo da empresa. e) fornecer ao contribuinte individual que lhes presta 27- As empresas obrigadas a apresentação de serviços, comprovante do pagamento de remuneração. escrituração contábil devem lançar mensalmente em títulos próprios de sua contabilidade, 23 - Nos termos do Regulamento da Previdência discriminadamente, os fatos geradores das Social, Decreto-lei 3.048/99, são obrigações contribuições, o montante das quantias acessórias da relação tributária previdenciária, descontadas, as contribuições da empresa e os exceto: (Adaptada) (AFPS – 2002) totais recolhidos, devidamente escriturados nos a) preparar folha de pagamento da remuneração paga, livros Diário e Razão, exigíveis após 90 dias do devida ou creditada a todos os segurados a seu serviço, encerramento do exercício financeiro. (AFPS – 2003) devendo manter, em cada estabelecimento, uma via da ( ) Certo respectiva folha e recibos de pagamentos. ( ) Errado b) lançar mensalmente em títulos próprios de sua contabilidade, de forma discriminada, os fatos geradores 28 - Caso o representante legal de uma sociedade de todas as contribuições, o montante das quantias comercial se recusasse a apresentar aos AFRFB os descontadas, as contribuições da empresa e os totais documentos relativos à contabilidade da empresa, recolhidos. então a SRFB poderia inscrever de oficio a c) prestar a SRFB todas as informações cadastrais, importância que reputasse devida, cabendo à financeiras e contábeis de interesse dos mesmos, na empresa o ônus da prova em contrario. (Adaptada) forma por ela estabelecida, bem como os (AFPS – 2001) esclarecimentos necessários à fiscalização. ( ) Certo d) encaminhar ao sindicato representativo da categoria ( ) Errado profissional mais numerosa entre seus empregados, até o dia dez de cada mês, cópia da Guia da Previdência 29 - Para o calculo do valor da contribuição devida, Social relativamente à competência anterior. o montante dos salários pagos pela execução de e) pagar todas contribuições sociais devidas no período uma obra de construção civil poderá ser obtido por de apuração, juntamente com as multas decorrentes do aferição indireta, de acordo com a área construída, atraso no pagamento. caso a fiscalização da SRFB constate, na documentação apresentada pelo construtor, não 24 - Assinale a assertiva que não contém uma haver comprovação regular do efetivo custo da obrigação acessória das contribuições destinadas à mão-de-obra utilizada. (Adaptada) (AFPS – 2001) Seguridade Social. (ATA-MF – 2009) ( ) Certo a) Elaboração da folha de pagamento. ( ) Errado b) Dever de prestar informações. c) Lançamento dos fatos geradores das contribuições. d) Pagamento da contribuição social. e) Dever do Cartório de comunicar os óbitos. GABARITO 01. E 02. B 03. C 04. D 05. A 06. D 07. E 08. C 09. E 10. C Prof. Bernardo Machado DIREITO PREVIDENCIÁRIO 74
  • 76.
    11. C 12. C 13. C 14. C 15. E* 2 pontos percentuais, respectivamente. (AFPS – 16. C 17. C 18. E 19. C 20. E 2003) 21. B 22. A 23. E 24. D 25. E ( ) Certo 26. C 27. E 28. C 29. C ( ) Errado • Gabarito alterado devido a alteração da 04 - Com relação às contribuições para o Regime legislação (Dec. 6.727/09) Geral de Previdência Social, analise as afirmativas a seguir: (Procurador TC/PA – 2008) I. Os segurados têm sua contribuição para o Regime Geral de Previdência Social calculada com base no Exercícios Aula 04 salário de contribuição, que, para os empregados e trabalhadores avulsos, compreende a remuneração (Retenção dos 11%; Constituição do Crédito; auferida, durante o mês, em uma ou mais empresas, Decadência e Prescrição; Restituição, destinada a retribuir o trabalho, ou o tempo à disposição Compensação e Reembolso) do empregador ou tomador do serviço, aí incluídos os ganhos habituais sob a forma de utilidades, as gorjetas 01 - Considere a seguinte situação hipotética. e os adiantamentos decorrentes de reajustes salariais. II. As empresas e as entidades equiparadas à empresa Um supermercado empreitou com uma prestadora que contratarem cooperativas de trabalho ou de mão- de serviços o asseio de um galpão para ser utilizado de-obra devem contribuir com 15% (quinze por cento), como depósito. Concluída a tarefa, foi emitida nota fiscal incidentes sobre o valor bruto da nota fiscal ou fatura de de serviço em 30/5/2003, tendo sido retido o montante prestação de serviços, relativamente a serviços que lhe de R$ 8.000,00. A contribuição previdenciária mensal da são prestados por cooperados daquelas cooperativas. empresa prestadoras, nas competências de maio a III. A empresa contratante de serviços executados agosto de 2003, parte patronal e segurados mediante cessão de mão-de-obra, inclusive em regime empregados, exceto os valores destinados a terceiros, de trabalho temporário, deverá reter onze por cento do equivale a R$ 2.000,00. valor bruto da nota fiscal ou fatura de prestação de serviços e recolher a importância retida em nome da Nessa situação a contratada poderá compensar o empresa cedente de mão-de-obra. valor retido com o valor devido integral a partir da IV. A empresa cedente de mão-de-obra compensará o competência de maio de 2003 e posteriores, até que valor retido pela contratante quando do recolhimento o saldo a seu favor deixe de existir ou optar por das contribuições destinadas à Seguridade Social, requerer a restituição a qualquer tempo. (AFPS – devidas sobre a folha de pagamento dos segurados a 2003) seu serviço. ( ) Certo V. Entende-se como cessão de mão-de-obra a ( ) Errado colocação à disposição do contratante, em suas dependências ou nas de terceiros, de segurados que 02 - Considere a seguinte situação hipotética. realizem serviços contínuos, relacionados ou não com a atividade-fim da empresa, quaisquer que sejam a Um laboratório contratou uma empresa de natureza e a forma de contratação. telemarketing para auxiliar no lançamento de um Assinale: produto no mercado de cremes, consistindo o serviço a) se somente as afirmativas IV e V estiverem corretas. em contatar médicos dermatologistas das principais b) se somente as afirmativas I e II estiverem corretas. capitais litorâneas do país e informar as características c) se somente as afirmativas I e III estiverem corretas. do novo produto. Os operadores de telemarketing foram d) se somente as afirmativas II e III estiverem corretas. postos à disposição do contratante nas dependências e) se todas as afirmativas estiverem corretas. da contratada, utilizando os equipamentos desta. 05 - Considere a seguinte situação hipotética. Nessa situação, a empresa contratante dos serviços (Adaptada) (AFPS – 2003) de cessão de mão-de-obra está obrigada a reter 11% do valor bruto da nota fiscal relativa à prestação dos Durante ação fiscal na empresa Sol Nascente Ltda., serviços e recolher essa importância retida em foi constatada a falta de recolhimento das contribuições nome da contratada. (AFPS – 2003) previdenciárias devidas à seguridade social em diversos ( ) Certo períodos. Por essa razão, foi lavrado Auto de Infração ( ) Errado de Obrigação Principal (AIOP) com discriminação clara e precisa dos fatos geradores, constituindo, assim, o 03 - Se a atividade executada pelos segurados crédito previdenciário. Nessa situação, após o vinculados à empresa contratada para a prestação recebimento do AIOP, a empresa terá o prazo de trinta de serviço mediante cessão de mão-de-obra permitir dias para efetuar o pagamento ou apresentar sua a concessão de aposentadoria especial após 15, 20 defesa. Findo esse prazo, caso não haja qualquer ou 25 anos de contribuição, o percentual de 11% a manifestação do contribuinte, será declarada a revelia e ser retido pela contratante será acrescido de 4, 3 ou o devido encaminhamento à procuradoria para que se proceda a inscrição em dívida ativa. Prof. Bernardo Machado DIREITO PREVIDENCIÁRIO 75
  • 77.
    ( ) Certo a) Poderá ser compensada ou restituída contribuição à ( ) Errado Seguridade Social, na hipótese de recolhimento ou pagamento indevido. 06 - Considerando que uma empresa deixasse de b) Poderá ser restituída contribuição ao segurado que recolher os valores descontados dos salários de deixar de exercer atividade abrangida pelo Regime seus empregados, então o débito apurado, ainda Geral de Previdência Social, desde que seu que confessado, não poderia ser objeto de afastamento ocorra em caráter definitivo. parcelamento. (AFPS – 2001) c) Tratando-se de compensação, esta não poderá ser ( ) Certo superior a 30% (trinta por cento) do valor a ser recolhido ( ) Errado em cada competência. d) A empresa poderá se compensar, sem limites, dos 07 - É permitido ao contribuinte ressarcir-se de valores relativos a benefícios previdenciários pagos a valores pagos indevidamente, deduzindo-os das seus empregados, na forma da lei, como ocorre com o contribuições devidas à Previdência Social, se salário-família e o salário-maternidade. atender a diversas condições, entre as quais as e) É admitida a compensação financeira entre o Regime seguintes: (AFRFB – 2005) Geral de Previdência Social e os Regimes Próprios de a) estar em situação regular, relativamente à sua sede Previdência Social da União, dos Estados, do Distrito ou estabelecimento principal, enquanto às contribuições Federal e dos Municípios, em face da contagem objeto de Notifi cação Fiscal de Lançamento de Débito – recíproca de tempo de serviço, sendo feita ao Regime a NFLD e débito decorrente de Auto de Infração - AI, cuja que o interessado estiver vinculado ao requerer o exigibilidade não esteja suspensa, de Lançamento de benefício pelos demais Regimes. Débito Confessado - LDC, de Lançamento de Débito Confessado em GFIP - LDCG, de Débito Confessado 10 - Considere a situação hipotética. (AFPS – 2001) em GFIP – DCG. b) não haver débitos vincendos relativamente ao A União instituiu contribuição social nova, não- parcelamento de contribuições. prevista na Constituição da Republica. Observando os c) a compensação somente poderá ser realizada em ditames da respectiva lei, uma empresa recolheu o recolhimento de importância correspondente a períodos tributo, regularmente, a partir de fevereiro de 1990 - antecedentes àqueles a que se referem os valores data definida pela lei para o inicio da incidência da pagos exação. Em março de 2000, contudo, o Supremo indevidamente. Tribunal Federal (STF) concluiu o julgamento de ação d) não referir-se a acréscimos legais, como de direta de inconstitucionalidade, por meio da qual aquela atualização monetária, de multa ou de juros de mora. Corte definiu ser inconstitucional tão somente o artigo e) referir-se a compensação de valores que não tenham da lei que impunha a incidência da contribuição já no sido alcançados pela prescrição. mês de fevereiro de 1990. Assim, no mês seguinte ao transito em julgado da decisão do STF, a citada 08 - Nos termos da legislação previdenciária, empresa ajuizou ação ordinária objetivando a repetição assinale a assertiva correta a respeito da restituição do indébito recolhido naquele primeiro mês de e compensação de contribuições. (Adaptada) (AFPS incidência. – 2002) a) Na hipótese de pagamento ou recolhimento indevido, Nessa situação, o pedido de repetição de indébito a contribuição não será atualizada monetariamente. não poderá ser acolhido, haja vista a consumação b) Será admitida a restituição ou a compensação de do respectivo prazo prescricional. contribuição a cargo da empresa, recolhida ao Instituto ( ) Certo Nacional do Seguro Social, que, por sua natureza, tenha ( ) Errado sido transferida ao preço de bem ou serviço oferecido à sociedade. 11 - Indique qual dos benefícios listados abaixo, de c) Somente poderá ser restituída ou compensada acordo com a legislação previdenciária, é contribuição para a seguridade social, arrecadada pela reembolsado à empresa: (AFRFB – 2005) SRFB, na hipótese de pagamento ou recolhimento a) Auxílio-acidente. indevido. b) Aposentadoria por idade. d) A restituição de contribuição ou de outra importância c) Salário-família pago aos segurados a seu serviço. recolhida indevidamente, que comporte, por sua d) Aposentadoria por invalidez. natureza, a transferência de encargo financeiro, será e) Pensão por morte. feita de imediato. e) Direito de pleitear judicialmente a compensação só pode ser exercido no prazo de cento e oitenta dias do seu pagamento. 12 - Nos termos da legislação previdenciária, 09 - Com relação à compensação e restituição de assinale qual benefício é reembolsado à empresa: contribuições, assinale a afirmativa incorreta. (AFPS – 2002) (Procurador TC/PA – 2008) a) salário-família pago aos segurados a seu serviço. Prof. Bernardo Machado DIREITO PREVIDENCIÁRIO 76
  • 78.
    b) auxílio-acidente. consideradas como salário-de-contribuição, entre elas o c) aposentadoria por idade. total das diárias pagas que excederam a 50% da d) aposentadoria por invalidez. remuneração mensal dos empregados. No dia e) pensão por morte. 1°/8/2003, o contribuinte recebeu o AIOP e tomou conhecimento do término da ação fiscal. No mesmo GABARITO mês, a empresa precisou do comprovante de 01. E 02. E 03. C 04. E 05. E inexistência de débito para participar de licitação, razão 06. C 07. E 08. C 09. B 10. E pela qual, no dia 29/8/2003, antes de terminar o prazo 11. C 12. A de defesa, apresentou impugnação, não contestando nem pagando os valores referentes às diárias excedentes. Nessa situação, o contribuinte, enquanto não for emitida a decisão da autoridade julgadora da Exercícios Aula 05 primeira instância administrativa, terá direito à emissão do documento que comprove a inexistência do débito, (Prova de Inexistência de Débito; Crimes Contra a pois o processo encontra-se pendente de decisão no Seguridade Social; Benefícios (Parte Geral)) contencioso administrativo. ( ) Certo 01 - Figura na legislação como obrigação da ( ) Errado empresa - e a autoridade responsável por órgão do poder público, por órgão de registro público ou por 04 - A concessão de crédito rural, em qualquer de instituição financeira em geral, no âmbito de suas suas modalidades, por meio de constituição de atividades, exigirá dela, obrigatoriamente – a garantia em favor da instituição de crédito, pública apresentação de Certidão Negativa de Débito ou de ou privada, ao produtor rural pessoa física que Certidão Positiva de Débito com Efeitos de Negativa, comercialize sua produção diretamente, no varejo, a nas seguintes hipóteses: (AFRFB – 2005) consumidor pessoa física, sem a apresentação do a) na licitação, na contratação com o poder público e no documento comprobatório de inexistência de recebimento de benefícios ou incentivo fiscal ou débito, constitui ato nulo para todos os efeitos, creditício, que lhe forem concedidos. acarretando a responsabilidade solidária do b) na alienação ou oneração, a qualquer título, de bem contratante que deixou de cumprir a exigência. imóvel ou direito a ele relativo. (AFPS – 2003) c) quando da averbação de obra de construção civil no ( ) Certo Registro de Imóveis. ( ) Errado d) no registro ou arquivamento, no órgão próprio, de ato relativo à baixa ou redução de capital de firma individual 05 - Considere a seguinte situação hipotética. ou de empresário individual, redução de capital social, (Adaptada) (AFPS – 2001) cisão total ou parcial, transformação ou extinção de entidade ou sociedade comercial ou civil e transferência A SRFB ajuizou execução fiscal contra uma de controle de cotas de sociedades de responsabilidade empresa, em face da inscrição, na dívida ativa, de limitada. débito oriundo do não-recolhimento de contribuições e) na alienação ou oneração, a qualquer título, de bem sociais a cargo da empresa. Citada, a empresa nomeou móvel de valor superior ao estabelecido periodicamente bens a penhora, desembaraçados e de valor suficiente mediante Portaria do MPS, incorporado ao ativo à garantia do débito, o pondo, em seqüência, embargos permanente da empresa. a execução, vindo esta a ser suspensa. Enquanto tramitavam os embargos, a empresa teve a 02 - Nos termos da legislação previdenciária, oportunidade de participar de licitação, para o que se assinale a opção na qual não é exigido da empresa a exigiu a apresentação de certidões que demonstrassem prova da inexistência de débito. (AFPS – 2002) a inexistência de débitos fiscais. A empresa apresentou a) Na licitação. à comissão de licitação as certidões exigidas, b) Na contratação com o poder público. constatando, contudo, na certidão expedida pela SRFB, c) No recebimento de benefícios ou incentivo fiscal ou a existência do debito exeqüendo e que a respectiva creditício concedidos pelo poder público. execução estava garantida por penhora. d) Na alienação ou oneração, a qualquer título, de bem móvel de pequeno valor incorporado ao ativo Nessa situação, certificada a existência de debito, a permanente da empresa. empresa não poderá participar do ato para o qual é e) Na alienação ou oneração, a qualquer título, de bem requerida a apresentação de certidão negativa. imóvel. ( ) Certo ( ) Errado 03 - Considere a seguinte situação hipotética. 06 - Caso se apurasse, em outubro de 2007, a (Adaptada) (AFPS – 2003) existência de débitos relativos a contribuições de um estado da Federação para com a SRFB, então Uma empresa foi autuada para pagamento da não poderia ser transferida ao referido ente contribuição previdenciária em relação a diversas federativo a sua parcela de recursos do Fundo de rubricas que, segundo a fiscalização, não foram Prof. Bernardo Machado DIREITO PREVIDENCIÁRIO 77
  • 79.
    Participação dos Estadose do Distrito Federal (DF). 10 - No contexto dos Crimes contra a Previdência (Adaptada) (AFPS – 2001) Social, em particular das inovações advindas da Lei ( ) Certo n. 9.983/2000, é correto afirmar: (AFRFB – 2005) ( ) Errado a) O crime tipificado no art. 168-A do Código Penal não se consuma com o simples não-recolhimento das 07 - Considerando que o proprietário, pessoa física, contribuições previdenciárias descontadas dos de um terreno urbano pretendesse averbar na empregados no prazo legal. matricula do referido imóvel a construção de uma b) O crime previsto na alínea “d” do art. 95 da Lei n. casa, então, diversamente do que ocorreria se o 8.212/91 não foi revogado pelo art. 3º do referido proprietário fosse pessoa jurídica, não lhe seria diploma legal, que não tipifica a mesma conduta no art. exigida certidão negativa de débitos 168-A do Código Penal. previdenciários. (AFPS – 2001) c) O elemento subjetivo da infração penal prevista no ( ) Certo art. 168-A do Código Penal exige a demonstração do ( ) Errado especial fim de agir ou o dolo específico de fraudar a Previdência. 08 - Considere a seguinte situação hipotética. (AFPS d) O art. 3º do referido diploma legal apenas – 2001) transmudou a base legal da imputação do crime da alínea “d” do art. 95 Uma empresa vendeu um imóvel incorporado ao da Lei n. 8.212/91 para o art. 168-A do Código Penal. seu ativo permanente, que servia de sede a filial de e) A teor da dicção do art. 168-A do Código Penal, a Brasília - DF. Levada a escritura pública ao respectivo penhora de bens é causa de extinção de punibilidade da registro imobiliário, exigiu-se a apresentação de infração penal. certidões negativas de débitos previdenciários da empresa, quando se constatou a existência de débitos 11 - A respeito de crime, responsabilização civil, relativo à contribuição social incidente sobre a folha de criminal e administrativa contra a previdência social, salários, devida pela filial da empresa sediada em Belo assinale a opção incorreta a respeito da(s) Horizonte - MG. natureza(s) da conduta “Deixar de repassar à previdência social as contribuições recolhidas dos Nessa situação, a existência de débito no âmbito da contribuintes, no prazo e forma legal ou filial de Belo Horizonte - MG impedirá a consumação convencional": (AFPS – 2002) de registro da alienação do imóvel vinculado à filial a) infração administrativa. de Brasília - DF. b) crime. ( ) Certo c) crime tipificado no Código Penal brasileiro. ( ) Errado d) crime tipificado na Lei 8.212/91. e) infração administrativa que acarreta sanção 09 - Ficará sujeito à seguinte conseqüência, aquele administrativa. que pagar benefício devido a segurado, quando as respectivas cotas ou valores já tiverem sido 12 - A empresa que descumpre a legislação reembolsados à empresa pela previdência social: previdenciária, em especial o Regulamento da (AFRFB – 2005) Previdência Social, pode sofrer, entre outras a) a responsabilidade da empresa ou pessoa física medidas restritivas, a interdição para o exercício do perante a Previdência Social e a responsabilidade comércio, se for sociedade mercantil ou administrativa do servidor que tiver efetuado o comerciante individual, bem como sua pagamento, se for o caso. desqualificação para impetrar concordata. (AFPS – b) a responsabilidade criminal por sonegação de 2003) contribuição previdenciária, além da responsabilidade ( ) Certo civil e administrativa, se for o caso. ( ) Errado c) ser imputado de crime cuja punibilidade se extingue se o agente, espontaneamente, declara, confessa e 13 - A omissão dolosa do nome de qualquer efetua o pagamento das contribuições, importâncias ou segurado, bem como de seus dados pessoais, sua valores e presta as informações devidas à previdência remuneração, a vigência do contrato de trabalho ou social, antes do início da ação fiscal. de prestação de serviço é tipo penal que pretende d) ser imputado de crime cuja punibilidade se extingue coibir, mediante a respectiva sanção criminal, a se o agente houver promovido, após o início da ação prática de ato que acarrete prejuízo para a fiscal e antes de oferecida a denúncia, o pagamento da previdência social, bem como aos segurados. (AFPS contribuição social previdenciária, inclusive acessórios. – 2003) e) ser imputado de crime de menor potencial ofensivo ( ) Certo ( ) Errado se o valor das contribuições devidas, inclusive 14 - O crime de sonegação de contribuição acessórios, previdenciária, caracteriza-se, entre outras ações, for igual ou inferior àquele estabelecido pela previdência pela supressão ou redução da contribuição social e social, administrativamente, como sendo o mínimo para qualquer acessório mediante a conduta de não o ajuizamento de suas execuções fiscais. efetuar o lançamento mensal em títulos próprios da contabilidade da empresa, das quantias descontadas dos segurados ou das devidas pelo Prof. Bernardo Machado DIREITO PREVIDENCIÁRIO 78
  • 80.
    empregador ou pelotomador de serviços. A contrato social, que a gerencia da sociedade seria punibilidade será extinta caso o agente, desempenhada por Graco ou por procurador por ele espontaneamente, declare, confesse e pague as designado. Ocorreu, então, que, em uma ação fiscal, os contribuições, importâncias ou valores, além de agentes da RFB constataram que as anotações nas prestar as informações devidas à previdência social, carteiras de trabalho e previdência social (CTPSs) dos na forma definida em lei ou regulamento, antes do empregados daquela empresa não eram verdadeiras. início da ação fiscal. (AFPS – 2003) Os fiscais obtiveram provas de que eram anotados ( ) Certo salários menores que os efetivamente pagos, o que ( ) Errado acarretava recolhimentos menores, a título de contribuições sociais, por parte dos segurados e da No que se refere às obrigações dos segurados e empresa. das empresas e às infrações a legislação previdenciária, julgue os itens a seguir. Nessa situação, Mévio não responderá pelos crimes praticados no âmbito da empresa. Ademais, entre 15 - Considere a seguinte situação hipotética. outras sanções, a empresa Delta poderá ficar sujeita (Adaptada) (AFPS – 2001) a suspensão de empréstimos e financiamentos concedidos por instituições financeiras oficiais e a Manoel, representante legal da empresa Celta, inabilitação para licitar e contratar com qualquer deixou de recolher as contribuições descontadas dos órgão ou entidade da administração publica federal. empregados no mês de novembro de 2000. Em sua ( ) Certo ação fiscal, à qual não foi oposta nenhuma resistência, ( ) Errado os agentes da RFB constataram a irregularidade, procedendo a autuação da empresa Celta. Ato contínuo 18 - A Lei de Benefícios da Previdência Social (Lei n. - antes, portanto, do oferecimento da denuncia pelo 8.213/91), no art. 16, arrola como beneficiários do Ministério Publico Federal -, Manoel encaminhou Regime Geral de Previdência Social, na condição de expediente à RFB por meio do qual reconhecia o acerto dependentes do segurado, exceto. (AFRFB – 2005) da ação fiscal, confessava a divida e comprovava o a) o cônjuge. efetivo pagamento do debito, acrescido de multa, juros e b) a companheira e o companheiro. demais consectários previstos na legislação. c) os pais. d) o filho não emancipado, de qualquer condição, Nessa situação, estará extinta a punibilidade do inválido ou menor de 21 (vinte e um) anos ou, se crime cometido por Manoel. estudante, menor de 25 (vinte e cinco) anos. ( ) Certo e) o irmão não emancipado, de qualquer condição, ( ) Errado inválido ou menor de 21 (vinte e um) anos. 16- Considere a seguinte situação hipotética. (AFPS 19 - A respeito dos segurados e seus dependentes e – 2001) os beneficiários do Regime Geral de Previdência Social, assinale a afirmativa incorreta. ((Procurador No exercício de sua atividade funcional, Caio inseriu TC/PA – 2008) alteração não-autorizada no sistema de informações do a) Os benefícios do Regime Geral de Previdência Social INSS, elevando substancialmente o valor dos benefícios são concedidos aos segurados e seus dependentes. A pagos a segurados previamente contactados por ele, pensão por morte e o auxílio-reclusão são benefícios para efeito de divisão do produto do crime. Todavia, o destinados exclusivamente aos dependentes do procedimento de Caio acionou os mecanismos de segurado. segurança do sistema, de modo que as alterações b) Os dependentes estão relacionados em três classes, foram bloqueadas e o servidor que as introduzia foi conforme a legislação. A primeira classe comporta os identificado. dependentes preferenciais, que não necessitam comprovar dependência econômica, exceto o enteado Nessa situação não haverá crime, haja vista a do segurado ou o menor sob sua tutela e são impossibilidade de consumação do dano ao equiparados aos filhos. patrimônio publico. c) Havendo dependentes de mais de uma classe, o ( ) Certo valor da pensão por morte, ou do auxílio-reclusão, será ( ) Errado rateado, em partes iguais, entre todo o conjunto de dependentes. d) A perda da qualidade de um dependente implica a 17 - Considere a seguinte situação hipotética. reversão de sua parte em favor dos demais. Com a (Adaptada) (AFPS – 2001) extinção da última cota, cessará a pensão por morte. e) A dependência econômica, bem como a invalidez do Graco e Mévio eram detentores, em partes iguais, dependente, será comprovada à data do óbito do das quotas sociais da empresa Delta, numa sociedade segurado. de responsabilidade limitada, criada em novembro de 2000. Mévio, servidor publico federal, não participava da 20 - São dependentes do segurado do Regime Geral gestão da empresa, tendo-se definido, no respectivo da Previdência Social: (Tec. Prev. – 2005) Prof. Bernardo Machado DIREITO PREVIDENCIÁRIO 79
  • 81.
    a) todos aquelesque dependam economicamente do processo administrativo iniciado por Marta junto ao segurado, sendo irrelevante o vínculo conjugal ou INSS, pretendendo que a respectiva pensão por morte consangüíneo. fosse dividida entre ambas. b) todos aqueles indicados como dependentes, nos termos da legislação tributária do imposto de renda. Nessa situação, não havendo dependência c) as pessoas designadas pelo segurado para serem econômica de Vilma em relação a Jonas dependentes. previamente ao óbito, ela não terá direito a pensão. d) cônjuge, companheiro (a), filho(a) não ( ) Certo emancipado(a), de qualquer condição, menor de 21 ( ) Errado (vinte e um) anos ou inválido(a), pais, irmão(ã) não emancipado(a), de qualquer condição, menor de 21 24 - A inscrição do companheiro(a) do segurado no (vinte e um) anos ou inválido(a). Regime Geral da Previdência Social será promovida, e) cônjuge, companheiro (a), filho(a) não na qualidade de dependente, quando do emancipado(a), de qualquer condição, menor de 18 requerimento do benefício a que tiver direito. Para a (dezoito) anos ou inválido(a), pais, irmão(ã) não comprovação do vínculo e da dependência emancipado(a), de qualquer condição, menor de 18 econômica do(a) companheiro(a), é suficiente a (dezoito) anos ou inválido(a). apresentação de: (Tec. Prev. – 2005) a) certidão de nascimento de filho havido em comum. 21 - Caio, segurado do Regime Geral da Previdência b) prova testemunhal de que o segurado e o Social, divorciou-se de Dora, em julho de 1999, dependente mantêm ou mantiveram união estável. ficando ajustado que pagaria uma pensão c) disposições testamentárias, prova de mesmo alimentícia no valor de 20% do seu salário. Em domicílio e conta bancária conjunta. janeiro de 2003, Caio casa-se com Ana e, fruto da d) declaração do(a) companheiro(a) de que viveu uma relação, nasce Márvio. Com o falecimento de Caio relação de companheirismo com o segurado, mesmo em agosto de 2004, quem tem direito ao que esta tenha terminado anos antes do ato de recebimento de pensão por morte, na qualidade de inscrição. seu dependente? (Anal. Prev. – 2005) e) sentença homologatória em procedimento judicial de a) Ana, somente. justificação que se presta a colher prova testemunhal, b) Márvio, somente. em juízo, da existência da união estável. c) Ana e Márvio, somente. d) Dora e Márvio, somente. 25 - Leia cada um dos assertos abaixo e assinale (V) e) Dora, Ana e Márvio. ou (F), conforme seja verdadeiro ou falso. Depois, marque a opção que contenha a exata seqüência. 22 - Caio, em maio de 2000, separou-se, (Analista Tributário – 2005) judicialmente, de Maria. Na referida, separação, ( ) O segurado que deixar de exercer atividade acordou-se, judicialmente, que Caio não iria pagar remunerada abrangida pela Previdência Social, ou pensão alimentícia à ex-esposa e que só iria pagar estiver suspenso ou licenciado sem remuneração, que tal encargo para Ana, filha do casal, 19 anos. Em deixar de contribuir perde automaticamente a qualidade agosto de 2002, Caio conhece Teresa, com a qual de segurado, para fins de receber benefícios. vem a morar e manter união estável. Em agosto de ( ) O irmão não emancipado, menor de 21 anos, 2004, Caio falece. Quem tem direito à pensão por válido para o trabalho, alista-se entre os beneficiários do morte, na qualidade de dependente de Caio? (Tec. Regime Geral de Previdência Social, na condição de Prev. – 2005) dependente do segurado. a) Maria, Ana e Teresa. ( ) Se o cônjuge que se divorcia abre mão dos b) Maria e Ana. alimentos, processa-se o cancelamento da inscrição de c) Ana e Teresa. dependente, para fins de benefícios previdenciários. d) Ana. e) Teresa. a) V V V b) F F F c) F V V d) V V F e) F F V 23 - Considere a seguinte situação hipotética. (AFPS 26 - No Regime Geral da Previdência Social, é – 2001) incorreto afirmar que, nas situações abaixo elencadas, mantém a qualidade de segurado, Jonas inscreveu sua companheira, Marta, como sua independentemente de contribuições: (AFRFB – dependente, em 1990, após cinco anos de vida em 2005) comum, Jonas era casado com Vilma, de quem se a) Até 6 (seis) meses após o livramento, o segurado separou de fato em 1983, não tendo providenciado, retido ou recluso. contudo, nem a separação judicial nem o divórcio. Vilma b) Até 12 (doze) meses após a cessação das nunca recebeu pensão alimentícia de Jonas, mas contribuições, o segurado que deixar de exercer sobrevindo o óbito deste, em 2000, ela se habilitou no Prof. Bernardo Machado DIREITO PREVIDENCIÁRIO 80
  • 82.
    atividade remunerada abrangidapela Previdência Social comprovada -, razão pela qual também não efetuou ou estiver suspenso ou licenciado sem remuneração. nenhuma contribuição para a previdência social. c) Até 12 (doze) meses após cessar a segregação, o segurado acometido de doença de segregação Nessa situação, José não perdera sua condição de compulsória. segurado do regime geral da previdência social no d) Até 3 (três) meses após o licenciamento, o segurado período referido, podendo, inclusive, fruir o incorporado às Forças Armadas para prestar serviço. beneficio do auxílio-doença. e) Sem limite de prazo, quem está em gozo de ( ) Certo benefício. ( ) Errado 27 - A respeito da manutenção e perda da qualidade 30 - Caso um individuo completasse, em 1998, todos de segurado, assinale a opção incorreta. (AFPS – os requisitos definidos na legislação vigente para 2002) fruir o beneficio da aposentadoria por tempo de a) Mantém a qualidade de segurado, serviço, então poderia obter a concessão do independentemente de contribuições sem limite de beneficio em 2001, ainda que tivesse perdido a prazo para quem está em gozo de benefício. qualidade de segurado em 1999. (AFPS – 2001) b) Mantém a qualidade de segurado, até 12 ( ) Certo (doze) meses após a cessação das contribuições, o ( ) Errado segurado que deixar de exercer atividade remunerada abrangida pela Previdência Social. 31 - A respeito dos períodos de carência, assinale c) Mantém a qualidade de segurado, até 12 qual dos benefícios abaixo necessita de período de (doze) meses após a cessação das contribuições, o carência: (AFPS – 2002) segurado que estiver licenciado sem remuneração. a) Pensão por morte. d) Mantém a qualidade de segurado, até 12 b) Auxílio-reclusão. (doze) meses após a cessação das contribuições, o c) Salário-família. segurado que estiver suspenso. d) Auxílio-acidente. e) Mantém a qualidade de segurado, até 12 e) Auxílio-doença. (doze) meses após cessar a segregação, o segurado acometido de doença de segregação 32 - Com relação às espécies de prestações e aos compulsória. períodos de carência correspondentes, assinale a opção incorreta. (AFPS – 2002) 28 - Tício, marido de Martha, faleceu, em julho de a) Aposentadoria por invalidez oriunda de doença 2004, desempregado. Havia trabalhado como profissional – doze contribuições. empregado, durante 20 (vinte) anos, para a empresa b) Auxílio-doença– doze contribuições. “Carro dos Sonhos Ltda.”, tendo terminado o seu c) Salário-família – zero contribuições. contrato de trabalho com a referida empresa em d) Auxílio-funeral – zero contribuições. julho de 1999. Em agosto de 2004, Martha formulou e) Pensão por morte – zero contribuições. requerimento administrativo de pensão por morte em uma Agência da Previdência Social e teve seu 33 - 12 (doze) contribuições mensais, 180 (cento e pedido indeferido. A correta justificativa para o oitenta) contribuições mensais e nenhuma indeferimento da pensão por morte nesse caso é: contribuição são os períodos de carência, (Anal. Prev. – 2005) respectivamente, do seguintes benefícios a) perda da qualidade de segurado do instituidor da previdenciários: (Tec. Prev. – 2005) pensão. a) auxílio-doença, aposentadoria por idade e pensão por b) ausência de inscrição de Martha como dependente morte. designada por Tício, antes de seu falecimento. b) auxílio-doença, aposentadoria por invalidez e pensão c) o fato de que Martha não comprovou a sua por morte. dependência econômica de Tício, requisito este c) auxílio-acidente, pensão por morte e serviço social. indispensável para a qualificação de cônjuge como d) auxílio-acidente, aposentadoria por idade e pensão dependente. por morte d) o fato de Martha não ser segurada do Regime Geral e) aposentadoria por invalidez, aposentadoria por tempo da Previdência Social. de contribuição e aposentadoria por idade. e) o fato de o período de carência fixado por lei para a concessão de pensão por morte não ter sido cumprido. 34 - Período de carência é o número de contribuições mensais indispensáveis para que o 29 - Considere a seguinte situação hipotética. (AFPS beneficiário faça jus ao benefício. O dia de início da – 2001) contagem do período de carência é o(a): (Tec. Prev. – 2005) Vitima da recessão por que passou o país, Jose foi a) primeiro dia do mês de filiação ao Regime Geral de demitido da empresa onde trabalhava há quinze anos, Previdência Social, para o segurado empregado período no qual esteve regularmente filiado ao regime doméstico. geral de previdência social. Jose passou três anos desempregado - situação esta devidamente Prof. Bernardo Machado DIREITO PREVIDENCIÁRIO 81
  • 83.
    b) primeiro diado mês de filiação ao Regime Geral de contribuição, o qual consiste na média aritmética Previdência Social, para todos os segurados, simples de um certo número de salários-de- obrigatórios ou facultativos. benefício, todos devidamente atualizados c) primeiro dia do mês em que se iniciou a execução de monetariamente. (AFPS – 2001) atividade remunerada, como segurado empregado, ( ) Certo sendo presumida a contribuição. ( ) Errado d) data do efetivo recolhimento da primeira contribuição sem atraso, para trabalhador avulso. 38 - A que percentual do salário-de-benefício e) data do efetivo recolhimento da primeira contribuição correspondem, respectivamente, as rendas mensais sem atraso, para todos os segurados, obrigatórios ou iniciais do auxílio-doença, do auxílio-acidente e da facultativos. aposentadoria por invalidez? (Anal. Prev. – 2005) a) 100%, 91% e 50%. 35 - Com relação ao acidente do trabalho, assinale a b) 91%, 100% e 70%. afirmativa incorreta. (Procurador TC/PA – 2008) c) 91%, 50% e 100%. a) Acidente do trabalho é o que ocorre pelo exercício do d) 91%, 50% e 70%. trabalho a serviço da empresa ou pelo exercício do e) 50%, 91% e 100%. trabalho dos segurados especiais, provocando lesão o corporal ou perturbação funcional que cause a morte ou 39 - O artigo 201, parágrafo 3 da Constituição a perda ou redução, permanente ou temporária, da Federal de 1988 assim dispõe: “É assegurado o capacidade para o trabalho. reajustamento dos benefícios para preservar-lhes, b) A doença do trabalho e a doença profissional, em caráter permanente, o valor real, conforme produzidas ou desencadeadas pelo exercício do critérios definidos em lei”. Tal dispositivo disciplina trabalho, peculiares a determinadas atividades ou em a manutenção do valor real dos benefícios função das condições especiais em que o trabalho é previdenciários, que consiste em: (Tec. Prev. – 2005) desenvolvido, também são consideradas como acidente a) assegurar reajustamento de modo que a renda do trabalho. mensal seja equivalente ao número de salários mínimos c) É equiparado a acidente do trabalho o sofrido no da renda mensal inicial, na data de início do benefício. percurso da residência para o local ou deste para b) reajustar o benefício de acordo com a variação aquela, qualquer que seja o meio de locomoção. inflacionária, de modo a evitar diminuição injusta do seu d) Os acidentes ocorridos fora do local de trabalho, poder de compra, variação esta que será fixada em lei. exceto os de trajeto, ainda que a serviço da empresa, c) corrigir, monetariamente, todos os salários-de- não se equiparam a acidente do trabalho. contribuição considerados no cálculo do benefício. e) A empresa é responsável pela adoção e uso das d) adotar critérios de reajustamento dos benefícios medidas coletivas e individuais de proteção e segurança previdenciários fixados anualmente pelo Poder da saúde do trabalhador, constituindo contravenção Judiciário. penal, punível com multa, deixar a empresa de cumprir e) aplicar o mesmo índice de reajustamento vigente na as normas de segurança e higiene do trabalho. data de início do benefício a todo o período de reajuste, durante a existência do benefício. 36 - A respeito do cálculo do valor do benefício previdenciário, assinale a afirmativa incorreta. (Tec. 40 - Considerando que um segurado se aposentasse Prev. – 2005) por invalidez com beneficio equivalente a R$ 480,00, a) Atualmente, o salário-de-benefício da aposentadoria sendo de R$ 80,00, à época, o valor do salário por idade consiste na média aritmética simples dos mínimo, então, sendo elevado para R$ 180,00 o valor maiores salários-de-contribuição correspondentes a desse salário mínimo, o beneficio previdenciário no 80% de todo o período contributivo, multiplicado pelo poderá ser inferior a R$ 1.080,00. (AFPS – 2001) fator previdenciário. ( ) Certo b) Atualmente, o salário-de-benefício da aposentadoria ( ) Errado por tempo de contribuição consiste na média dos 36 (trinta e seis) últimos salários-de-contribuição, corrigidos monetariamente mês a mês. c) O auxílio-doença tem como base de cálculo o salário- de-benefício do segurado. d) Atualmente, o salário-de-benefício da aposentadoria por invalidez consiste na média aritmética simples dos 41 - Quanto à concessão de benefícios, assinale a maiores salários-de-contribuição correspondentes a afirmativa incorreta. (Procurador TCM/RJ – 2005) 80% de todo o período contributivo. a) Todos os benefícios da Previdência Social são e) O fator previdenciário será calculado considerando-se concedidos sempre que implementados dois requisitos: a idade, a expectativa de sobrevida e o tempo de a carência e a situação geradora do benefício, também contribuição do segurado. chamada de risco social. Assim, por exemplo, tratando- se de aposentadoria por idade, o segurado deve ter, no 37 - A renda inicial do beneficio de aposentadoria mínimo, sessenta e cinco anos ou, sendo do sexo por tempo de contribuição de um empregado feminino, sessenta anos de idade, com carência de doméstico é calculada com base no salário-de- cento e oitenta contribuições. Prof. Bernardo Machado DIREITO PREVIDENCIÁRIO 82
  • 84.
    b) O saláriode benefício consiste na média aritmética b) o auxílio-doença. simples dos maiores salários de contribuição c) o salário-família. correspondentes a oitenta por cento de todo o período d) a reabilitação profissional. contributivo. No caso da aposentadoria por tempo de e) o salário-maternidade. contribuição, a média apurada será multiplicada pelo fator previdenciário, compulsoriamente. 03 - Com relação às espécies de prestações e aos c) Uma vez calculado o salário de benefício, aplica-se o beneficiários correspondentes, assinale a opção percentual correspondente à renda mensal, que varia incorreta. (AFPS – 2002) conforme o benefício requerido. A renda mensal do a) Aposentadoria por invalidez – segurado. benefício de prestação continuada que substituir o b) Pensão por morte – dependente. salário de contribuição ou o rendimento do trabalho do c) Salário-família – segurado. segurado não poderá ser inferior ao salário-mínimo nem d) Auxílio-acidente – dependente. superior ao limite máximo, salvo direito adquirido. e) Auxílio-doença – segurado. d) O salário-maternidade da segurada empregada é benefício que não se sujeita à apuração do salário de 04 - Com relação à aposentadoria por invalidez, benefício nem ao limite máximo dos benefícios. Sua prevista na Lei 8.213/91, é incorreto afirmar: (AFRFB renda mensal consiste num valor igual à sua – 2005) remuneração. a) A aposentadoria por invalidez não será concedida ao e) Fator previdenciário é um índice multiplicador do trabalhador avulso. salário de benefício, que leva em consideração, no seu b) A concessão de aposentadoria por invalidez cálculo, a idade do segurado, o tempo de contribuição, a dependerá da verificação da condição de incapacidade expectativa de sobrevida no momento da mediante exame médico-pericial a cargo da aposentadoria, conforme tabelas construídas pela Previdência. Fundação Instituto Brasileiro de Geografia e Estatística c) A aposentadoria por invalidez, uma vez cumprida, – IBGE. Dessa forma, quanto mais tempo o segurado quando for o caso, a carência exigida, será devida ao presumivelmente receberá aposentadoria, menor será a segurado que, estando ou não em gozo de auxílio- renda mensal do seu benefício. doença, for considerado incapaz. GABARITO d) A aposentadoria por invalidez, inclusive a decorrente 01. * 02. D 03. E 04. E 05. E de acidente do trabalho, consistirá numa renda mensal 06. C 07. E 08. C 09. C 10. D correspondente a 100% (cem por cento) do saláriode- 11. E 12. C 13. C 14. * 15. E benefício. 16. E 17. C 18. D 19. C 20. D e) A aposentadoria por invalidez será concedida ao 21. E 22. E 23. C 24. C 25. C trabalhador doméstico. 26. A 27. * 28. A 29. C 30. C 31. E 32. A 33. A 34. C 35. D 05 - Com relação à aposentadoria por invalidez e 36. B 37. E 38. C 39. B 40. E suas características, assinale a opção incorreta. (AFPS – 2002) 41. A a) Benefício de renda mensal. b) Exige, em regra, carência. * Questões anuladas. c) Extinção do benefício com o retorno voluntário à atividade. d) Pode ser acumulado com auxílio-doença. Exercícios Aula 06 e) Alíquota de 100% do salário-de-benefício. Benefícios (Parte Específica) 01 - A seguinte prestação (benefício) somente é concedida aos dependentes, não ao segurado: (Analista Tributário – 2005) a) salário-família b) auxílio-reclusão c) salário-maternidade d) auxílio-acidente Em cada um dos itens que se seguem, e) aposentadoria por invalidez apresenta-se uma situação hipotética relacionada à aposentadoria por invalidez, seguida de uma 02 - É falso afirmar que, quanto ao segurado e ao assertiva a ser julgada. dependente, o Regime Geral da Previdência Social compreende as seguintes prestações, devidas 06 - Daniel, aposentado por invalidez, retornou à sua inclusive em razão de eventos decorrentes de atividade laboral voluntariamente. Nessa situação, o acidente de trabalho, expressas em benefícios e benefício da aposentadoria por invalidez será serviços, exceto. (AFRFB – 2005) cassado a partir da data desse retorno. (Tec. Prev. a) a pensão por morte. INSS – 2008) Prof. Bernardo Machado DIREITO PREVIDENCIÁRIO 83
  • 85.
    ( ) Certo 12 - Renato era servidor municipal vinculado a ( ) Errado regime próprio de previdência social havia 16 anos, quando resolveu trabalhar na iniciativa privada, em 07 - Rui sofreu grave acidente que o deixou incapaz 1999. Nessa situação, o tempo de serviço prestado para o trabalho, não havendo qualquer condição de por Renato em outro regime é contado como tempo reabilitação, conforme exame médico pericial de contribuição, desde que haja a devida realizado pela previdência social. Nessa situação, comprovação, certificada pelo ente público Rui não poderá receber imediatamente o benefício instituidor do regime próprio. (Tec. Prev. INSS – de aposentadoria por invalidez, pois esta somente 2008) lhe será concedida após o período de doze meses ( ) Certo relativo ao auxílio-doença que Rui já esteja ( ) Errado recebendo. (Tec. Prev. INSS – 2008) ( ) Certo 13 - Durval, inscrito na previdência social na ( ) Errado qualidade de contribuinte individual, trabalha por conta própria, recolhendo 11% do valor mínimo 08 - Tomé já havia contribuído para a previdência mensal do salário de contribuição. Nessa situação, social durante 28 anos quando foi acometido de para Durval fazer jus ao benefício de aposentadoria uma doença profissional que determinou sua por tempo de contribuição, deverá recolher mais 9% aposentadoria por invalidez, após ter recebido o daquele valor, acrescidos de juros. (Tec. Prev. INSS auxílio-doença por quatro anos. Nessa situação, – 2008) depois de receber por três anos a aposentadoria por ( ) Certo invalidez, Tomé poderá requerer a conversão do ( ) Errado beneficio em aposentadoria por tempo de contribuição. (Tec. Prev. INSS – 2008) 14 - Leonardo, segurado empregado, trabalhou em ( ) Certo uma empresa cujo prédio foi destruído por um ( ) Errado incêndio na década de 80 do século XX, situação evidenciada por meio de registro junto à autoridade 09 - José perdeu a mão direita em grave acidente policial que acompanhou os fatos. Nessa situação, ocorrido na fábrica em que trabalhava, e, por isso, Leonardo poderá comprovar, com auxílio de foi aposentado por invalidez. Nessa situação, José testemunhas, o tempo trabalhado na empresa cujo não tem o direito de receber o adicional de 25% prédio foi destruído, averbando esse período em pago aos segurados que necessitam de assistência pedido de aposentadoria por tempo de contribuição. permanente, já que ele pode cuidar de si apenas (Tec. Prev. INSS – 2008) com uma das mãos. (Tec. Prev. INSS – 2008) ( ) Certo ( ) Certo ( ) Errado ( ) Errado 15 - Firmino foi professor do ensino fundamental 10 - Moacir, aposentado por invalidez pelo regime durante vinte anos e trabalhou mais doze anos geral de previdência social, recusa-se a submeter-se como gerente financeiro em uma empresa de a tratamento cirúrgico por meio do qual poderá exportação. Nessa situação, excluindo-se as regras recuperar sua capacidade laborativa. Nessa de transição, Firmino pode requerer o benefício situação, devido à recusa, Moacir terá seu benefício integral de aposentadoria por tempo de cancelado imediatamente. (Tec. Prev. INSS – 2008) contribuição, haja vista a possibilidade de computar ( ) Certo o tempo em sala de aula em quantidade superior ao ( ) Errado efetivamente trabalhado, dada a natureza especial da prestação de serviço. (Tec. Prev. INSS – 2008) 11 - Considerando que, após vinte anos ( ) Certo consecutivos de contribuição para o regime geral de ( ) Errado previdência social, uma segurada tivesse completado sessenta anos de idade, àquela altura com salário-de-benefício equivalente a R$ 800,00, então, se pretendesse aposentar-se por idade, o valor do respectivo benefício corresponderia a R$ Em cada um dos itens que se seguem, é 720,00. (AFPS – 2001) apresentada uma situação hipotética acerca da ( ) Certo aposentadoria especial, seguida de uma assertiva a ( ) Errado ser julgada. Em cada um dos itens subseqüentes, é 16 - Leandro, segurado da previdência social, apresentada uma situação hipotética a respeito da recebe adicional de periculosidade da empresa em aposentadoria por tempo de contribuição, seguida que trabalha. Nessa situação, a condição de de uma assertiva a ser julgada. Leandro é suficiente para que ele esteja habilitado ao recebimento de aposentadoria especial, cujo Prof. Bernardo Machado DIREITO PREVIDENCIÁRIO 84
  • 86.
    tempo de contribuiçãoé mitigado. (Tec. Prev. INSS – Com relação ao auxílio-doença, julgue os 2008) próximos itens. ( ) Certo ( ) Errado 21 - Uma segurada empregada que tenha ficado afastada do serviço durante dezoito meses em 17 - João trabalha, há dez anos, exposto, de forma virtude de um acidente de trabalho não pode ser não-ocasional nem intermitente, a agentes químicos demitida durante os primeiros doze meses após seu nocivos. Nessa situação, João terá direito a retorno às atividades laborais. (Tec. Prev. INSS – requerer, no futuro, aposentadoria especial, sendo- 2008) lhe possível, a fim de completar a carência, ( ) Certo converter tempo comum trabalhado anteriormente, ( ) Errado isto é, tempo em que não esteve exposto aos agentes nocivos, em tempo de contribuição para a 22 - Uma segurada da previdência que esteja aposentadoria do tipo especial. (Tec. Prev. INSS – recebendo auxílio-doença é obrigada a submeter-se 2008) a exame pelo médico perito da previdência social e ( ) Certo a realizar o processo de reabilitação profissional ( ) Errado para desenvolver novas competências. (Tec. Prev. INSS – 2008) 18 - Getúlio julga-se na condição de requerer ( ) Certo aposentadoria especial. Nessa situação, ele deverá ( ) Errado instruir seu pedido com o perfil profissiográfico previdenciário, documento emitido pela empresa em 23 - Uma segurada contribuinte individual que tenha que trabalha e embasado no laudo técnico das sofrido algum acidente que tenha determinado sua condições ambientais do trabalho que comprove as incapacidade temporária para a atividade laboral condições para habilitação de benefícios tem direito a receber auxílio-doença, cujo termo previdenciários especiais. (Tec. Prev. INSS – 2008) inicial deve corresponder à data do início da ( ) Certo incapacidade, desde que o requerimento seja ( ) Errado apresentado junto à previdência antes de se esgotar o prazo de 30 dias. (Tec. Prev. INSS – 2008) 19- Assinale a opção correta, no tocante ao auxílio- ( ) Certo doença. (AFRFB – 2005) ( ) Errado a) Será concedido ao segurado, independentemente de carência. 24 - Um segurado empregado do regime geral que b) Será concedido ao segurado quando ficar constatada tenha sofrido acidente no trajeto de sua casa para o a sua incapacidade para o seu trabalho ou para sua trabalho tem direito ao recebimento do auxílio- atividade habitual por período de até 15 (quinze) dias doença pela previdência social a partir do primeiro consecutivos. dia de afastamento do trabalho. (Tec. Prev. INSS – c) Será concedido ao segurado quando ficar constatada 2008) a sua incapacidade para o seu trabalho ou para a sua atividade habitual por mais de 15 (quinze) dias Julgue a assertiva que se segue a cada uma das consecutivos. situações hipotéticas referentes ao salário-família d) Será concedido ao segurado quando ficar constatada apresentadas em cada um dos itens subseqüentes. a sua incapacidade para o seu trabalho ou para sua atividade habitual por período inferior a 15 (quinze) dias 25 - Rubens e sua esposa Amélia têm, juntos, dois consecutivos. filhos, trabalham e são segurados do regime geral e) Será concedido ao segurado quando ficar constatada da previdência social, além de serem considerados a sua incapacidade parcial para o trabalho ou para sua trabalhadores de baixa renda. Nessa situação, o atividade habitual por período de até 15 (quinze) dias salário-família somente será pago a um dos consecutivos. cônjuges. (Tec. Prev. INSS – 2008) ( ) Certo ( ) Errado 20 - De acordo com a Lei n. 8.213/91, na parte 26 - Dalila, que é empregada doméstica e segurada relativa ao auxílio-doença, indique qual das opções do regime geral da previdência social, tem três está incorreta: (AFRFB – 2005) filhos, mas não recebe salário-família. Nessa a) é um benefício de caráter continuado. situação, apesar de ser considerada trabalhadora de b) é devido ao segurado. baixa renda, Dalila não tem o direito de receber esse c) a sua extinção ocorre diante da recuperação da benefício. (Tec. Prev. INSS – 2008) capacidade para o trabalho. ( ) Certo d) em regra, possui prazo de carência para a sua ( ) Errado concessão. e) é concedido diante da incapacidade permanente para 27 - Carmen é segurada do regime geral da o trabalho. previdência social e está em gozo de auxílio-doença. Nessa situação, Carmen também tem direito de Prof. Bernardo Machado DIREITO PREVIDENCIÁRIO 85
  • 87.
    receber o salário-famíliapago diretamente pela a) Benefício instantâneo. previdência social. (Tec. Prev. INSS – 2008) b) Devido ao segurado. ( ) Certo c) Caráter indenizatório. ( ) Errado d) Vinculado a seqüelas consolidadas. e) Extinção do benefício pelo óbito do segurado. Em cada um dos itens seguintes, é apresentada uma situação hipotética acerca do salário- Em cada um dos próximos itens, é apresentada maternidade, seguida de uma assertiva a ser uma situação hipotética a respeito do auxílio- julgada. acidente, seguida de uma assertiva a ser julgada. 28 - Helena, grávida de nove meses de seu primeiro 34 - Tomás, segurado empregado do regime geral da filho, trabalha em duas empresas de telemarketing. previdência social, teve sua capacidade laborativa Nessa situação, Helena terá direito ao salário- reduzida por seqüelas decorrentes de grave maternidade em relação a cada uma das empresas, acidente. Nessa situação, se não tiver cumprido a mesmo que a soma desses valores seja superior ao carência de doze meses, Tomás não poderá receber teto dos benefícios da previdência social. (Tec. Prev. o auxílio-acidente. (Tec. Prev. INSS – 2008) INSS – 2008) ( ) Certo ( ) Certo ( ) Errado ( ) Errado 35 - Marcela, empregada doméstica, após ter sofrido 29 - Há oito meses, Edna, profissional liberal, fez grave acidente enquanto limpava a vidraça da casa sua inscrição na previdência social, na qualidade de de sua patroa, recebeu auxílio-doença por três contribuinte individual, passando a recolher meses. Depois desse período, foi comprovadamente regularmente as suas contribuições mensais. Dois constatada a redução de sua capacidade laborativa. meses depois da inscrição, descobriu que estava Nessa situação, Marcela terá direito ao auxílio- grávida de 1 mês, vindo seu filho a nascer, acidente correspondente a 50% do valor que recebia prematuramente, com sete meses. Nessa situação, a título de auxílio-doença. (Tec. Prev. INSS – 2008) não há nada que impeça Edna de receber o salário- ( ) Certo maternidade, pois a carência do benefício será ( ) Errado reduzida na quantidade de meses em que o parto foi antecipado. (Tec. Prev. INSS – 2008) Em cada um dos itens seguintes, é apresentada ( ) Certo uma situação hipotética relacionada à pensão por ( ) Errado morte, seguida de uma assertiva a ser julgada. 30 - Cláudia está grávida e exerce atividade rural, 36 - José tem 20 anos de idade e recebe a pensão sendo segurada especial da previdência. Nessa decorrente do falecimento de seu pai, Silas, de situação, ela tem direito ao salário-maternidade quem é filho único. Nessa situação, quando José desde que comprove o exercício da atividade rural completar a idade de 21 anos, o benefício será nos últimos dez meses imediatamente anteriores à extinto, haja vista a inexistência de outros data do parto ou do requerimento do benefício, dependentes da mesma classe. (Tec. Prev. INSS – quando solicitado antes do parto, mesmo que a 2008) atividade tenha sido realizada de forma descontínua. ( ) Certo (Tec. Prev. INSS – 2008) ( ) Errado ( ) Certo ( ) Errado 31 - Adriana, segurada da previdência, adotou Paula, uma menina de 9 anos de idade. Nessa situação, Adriana não tem direito ao salário-maternidade. (Tec. Prev. INSS – 2008) ( ) Certo ( ) Errado 37 - Alexandre, caminhoneiro, sempre trabalhou por 32 - Rute, professora em uma escola particular, conta própria e jamais se inscreveu no regime geral impossibilitada de ter filhos, adotou gêmeas recém- da previdência social. Após sofrer um grave nascidas cuja mãe falecera logo após o parto e que acidente, resolveu filiar-se à previdência. Seis não tinham parentes que pudessem cuidar delas. meses depois, sofreu novo acidente e veio a falecer, Nessa situação, Rute terá direito a dois salários- deixando esposa e três filhos. Nessa situação, os maternidade. (Tec. Prev. INSS – 2008) filhos e a esposa de Alexandre não receberão a ( ) Certo pensão por morte pelo fato de não ter sido cumprida ( ) Errado a carência de doze meses. (Tec. Prev. INSS – 2008) ( ) Certo 33 - Com relação ao auxílio-acidente e suas ( ) Errado características, assinale a opção incorreta. (AFPS – 2002) Prof. Bernardo Machado DIREITO PREVIDENCIÁRIO 86
  • 88.
    38 - Conformeestabelece o art. 80, da Lei n. nesse mesmo montante, independentemente do 8.213/91, é correto afirmar com relação ao auxílio- mês em que o pagamento do beneficio houvesse reclusão: (AFRFB – 2005) iniciado. (AFPS – 2001) a) Será concedido aos dependentes do segurado que ( ) Certo estiver preso preventivamente. ( ) Errado b) Será concedido aos dependentes do segurado que estiver respondendo a processo criminal, 43 - Assinale o único benefício cuja percepção não independentemente de recolhimento à prisão. enseja o pagamento do abono anual. (Tec. Prev. c) Será concedido aos dependentes do segurado INSS – 2005) recolhido à prisão, que não tiver remuneração. a) Auxílio-doença. d) Será concedido aos dependentes do segurado b) Auxílio-acidente. recolhido à prisão, ainda que receba benefício de c) Auxílio-reclusão. aposentadoria. d) Salário-maternidade. e) Será concedido aos dependentes do segurado e) Salário-família. recolhido ou não à prisão, mas que esteja condenado e não receba qualquer remuneração. GABARITO Em cada um dos itens seguintes, é apresentada uma 01. B 02. D 03. D 04. A 05. D situação hipotética acerca do auxílio-reclusão, seguida 06. C 07. E 08. C 09. C 10. E de uma assertiva a ser julgada. 11. C 12. C 13. C 14. C 15. E 16. E 17. E 18. C 19. C 20. E 39 - Hugo, segurado do regime geral de previdência 21. E 22. C 23. C 24. E 25. E há menos de 10 anos, desempregado há seis meses, 26. C 27. * 28. C 29. C 30. C envolveu-se em atividades ilícitas, o que determinou 31. C 32. E 33. A 34. E 35. E sua prisão em flagrante. Nessa condição, caso Hugo 36. C 37. E 38. C 39. E 40. C seja casado, sua esposa faz jus ao auxílio-reclusão 41. B 42. E 43. E junto à previdência social. (Tec. Prev. INSS – 2008) ( ) Certo ( ) Errado * Questão anulada. 40 - Fabiano, segurado do regime geral de previdência, encontra-se preso e participa de atividades laborais na prisão, fato que lhe permite manter suas contribuições para a previdência social na qualidade de contribuinte individual. Sua esposa, Catarina, recebe auxílio-reclusão, por serem, Fabiano e ela, considerados, respectivamente, segurado e dependente de baixa renda. Nessa situação, enquanto Catarina receber o auxílio- reclusão, Fabiano não terá direito a nenhum tipo de aposentadoria nem a auxílio-doença. (Tec. Prev. INSS – 2008) ( ) Certo ( ) Errado 41 - Com relação à reabilitação profissional e suas características, assinale a opção incorreta. (AFPS – 2002) a) Desenvolve capacidades residuais das pessoas incapacitadas. b) É um benefício temporário. c) Busca integração no mercado de trabalho. d) Exige trabalho integrado de profissionais de diferentes áreas. e) Permite readaptação profissional. 42 - O abono anual é devido ao segurado da previdência social - ou, quando for o caso, ao dependente - que, durante o ano, recebeu auxílio- doença, auxílio-acidente, aposentadoria, pensão por morte ou auxílio reclusão. Considerando que o valor de um desses benefícios correspondesse, no mês de dezembro de 2000, a R$ 460,00, então o beneficiário teria direito ao pagamento do abono Prof. Bernardo Machado DIREITO PREVIDENCIÁRIO 87
  • 89.
    Prova INSS Ainda em relação à identificação dos segurados da previdência social, julgue os itens a seguir. Técnico Previdenciário - 2008 ( ) Certo ( ) Errado LEGISLAÇÃO PREVIDENCIÁRIA 06 - Um síndico de condomínio que resida no Em cada um dos itens subseqüentes, é condomínio que administra e receba remuneração apresentada uma situação hipotética acerca da por essa atividade é segurado da previdência social identificação dos segurados da previdência social, na qualidade de empregado. seguida de uma assertiva a ser julgada. ( ) Certo ( ) Errado 01 - Miguel, civil, brasileiro nato que mora há muito tempo na Suíça, foi contratado em Genebra para 07 - Um cidadão belga que seja domiciliado e trabalhar na Organização Mundial de Saúde. Seu contratado no Brasil por empresa nacional para objetivo é trabalhar nessa entidade por alguns anos trabalhar como engenheiro na construção de uma e retornar ao Brasil, razão pela qual optou por não rodovia em Moçambique é segurado da previdência se filiar ao regime próprio daquela organização. social brasileira na qualidade de empregado. Nessa situação, Miguel é segurado obrigatório da ( ) Certo previdência social brasileira na qualidade de ( ) Errado contribuinte individual. ( ) Certo 08 - Um adolescente de 14 anos de idade, menor ( ) Errado aprendiz, contratado de acordo com a Lei n.o 10.097/2000, apesar de ter menos de 16 anos de 02 - Claudionor tem uma pequena lavoura de feijão idade, que é o piso para inscrição na previdência em seu sítio e exerce sua atividade rural apenas social, é segurado empregado do regime geral. com o auxílio da família. Dos seus filhos, somente ( ) Certo Aparecida trabalha fora do sítio. Embora ajude ( ) Errado diariamente na manutenção da plantação, Aparecida também exerce atividade remunerada no grupo 09 - Um tabelião que seja titular do cartório de escolar próximo à propriedade da família. Nessa registro de imóveis em determinado município é situação, Claudionor e toda a sua família são vinculado ao respectivo regime de previdência segurados especiais da previdência social. estadual, pois a atividade que exerce é controlada ( ) Certo pelo Poder Judiciário. ( ) Errado ( ) Certo ( ) Errado 03 - Nelson ocupa cargo em comissão, de livre nomeação e exoneração, na Secretaria de Saúde de 10 - Para a previdência social, uma pessoa que uma prefeitura que administra a construção de uma casa, contratando instituiu regime próprio de previdência social. Nessa pedreiros e auxiliares para edificação da obra, é condição, apesar de trabalhar em município com considerada contribuinte individual. regime próprio de previdência, Nelson é segurado ( ) Certo empregado do regime geral. ( ) Errado ( ) Certo ( ) Errado Acerca de princípios da seguridade social, julgue os itens a seguir. 04 - Beatriz trabalha, em Brasília, na sucursal da Organização das Nações Unidas e não tem 11 - Pelo fato de serem concedidos vinculação com regime deprevidência estrangeiro. independentemente de contribuição, os benefícios e Nessa situação, Beatriz é segurada da previdência serviços prestados na área de social brasileira na condição de contribuinte assistência social prescindem da respectiva fonte individual. de custeio prévio. ( ) Certo ( ) Certo ( ) Errado ( ) Errado 05 - Otávio, contador, é aposentado por regime 12 - De acordo com recentes alterações próprio de previdência social e começou a prestar constitucionais, as contribuições sociais que serviços de contabilidade em sua residência. Dada a financiam a seguridade social somente poderão ser qualidade de seus serviços, logo foi contratado para exigidas depois de decorridos noventa dias da dar expediente em uma grande empresa da cidade. publicação da lei que as houver instituído ou Nessa situação, Otávio não é segurado do regime modificado. Essas alterações também geral, tanto por ter pertencido a um regime próprio, acrescentaram, no que concerne a esse assunto, a quanto por ser aposentado. exigência da anterioridade do exercício financeiro. ( ) Certo ( ) Errado Prof. Bernardo Machado DIREITO PREVIDENCIÁRIO 88
  • 90.
    Em cada umdos itens que se seguem, é maternidade que Maria recebe é considerado apresentada uma situação hipotética, seguida de salário-de-contribuição para efeito de incidência. uma assertiva a ser julgada. ( ) Certo ( ) Errado 13 - Célia, professora de uma universidade, eventualmente, presta serviços de consultoria na 19 - Mateus trabalha em uma empresa de área de educação. Por isso, Célia é segurada informática e recebe o vale-transporte junto às empregada pela atividade de docência e demais rubricas que compõem sua remuneração, contribuinte individual quando presta consultoria. que é devidamente depositada em sua conta Nessa situação, Célia tem uma filiação para cada bancária. Nessa situação, incide contribuição atividade. previdenciária sobre os valores recebidos por ( ) Certo Mateus a título de vale-transporte. ( ) Errado ( ) Certo ( ) Errado 14 - Fernanda foi casada com Lucas, ambos segurados da previdência social. Há muito tempo 20 - Luís é vendedor em uma grande empresa que separados, resolveram formalizar o divórcio e, pelo comercializa eletrodomésticos. A título de incentivo, fato de ambos trabalharem, não foi necessária a essa empresa oferece aos empregados do setor de prestação de alimentos entre eles. Nessa situação, vendas um plano de previdência privada. Nessa Fernanda e Lucas, após o divórcio, deixarão de ser situação, incide contribuição previdenciária sobre dependentes um do outro junto à previdência social. os valores pagos, pela empresa, a título de ( ) Certo contribuição para a previdência privada, a Luís. ( ) Errado ( ) Certo ( ) Errado 15 - Osvaldo cumpriu pena de reclusão devido à prática de crime de fraude contra a empresa em que 21 - Tendo sido demitido sem justa causa da trabalhava. No período em que esteve na empresa, empresa em que trabalhava, Vagner recebeu o aviso Osvaldo era segurado da previdência social. Nessa prévio indenizado, entre outras rubricas. Nessa situação, Osvaldo tem direito de continuar como situação, não incide contribuição previdenciária segurado da previdência social por até dezoito sobre o valor da indenização paga, pela empresa, a meses após o seu livramento. Vagner. ( ) Certo ( ) Certo ( ) Errado ( ) Errado 16 - Alzira, estudante, filiou-se facultativamente ao 22 - Claudionor recebe da empresa onde trabalha regime geral de previdência social, passando a alguns valores a título de décimo-terceiro salário. contribuir regularmente. Em razão de dificuldades Nessa situação, os valores recebidos por financeiras, Alzira deixou de efetuar esse Claudionor não são considerados para efeito do recolhimento por oito meses. Nessa situação, Alzira cálculo do salário-benefício, integrando-se apenas o não deixou de ser segurada, uma vez que a cálculo do salário-de-contribuição. condição de segurado permanece por até doze ( ) Certo meses após a cessação das contribuições. ( ) Errado ( ) Certo ( ) Errado 23 - A empresa em que Maurício trabalha paga a ele, a cada mês, um valor referente à participação nos 17 - Ronaldo, afastado de suas atividades laborais, lucros, que é apurado mensalmente. Nessa tem recebido auxílio doença. Nessa situação, a situação, incide contribuição previdenciária sobre o condição de segurado de Ronaldo será mantida sem valor recebido mensalmente por Maurício a título de limite de prazo, enquanto estiver no gozo do participação nos lucros. benefício, independentemente de contribuição para ( ) Certo a previdência social. ( ) Errado Em cada um dos itens seguintes, apresenta-se 24 - Rodrigo trabalha na gerência comercial de uma uma situação hipotética referente à aplicação do grande rede de supermercados e visita conceito de salário-de-contribuição, seguida de uma regularmente cada uma das lojas da rede. Para assertiva a ser julgada. atendimento a necessidades do trabalho que faz durante as viagens, Rodrigo recebe diárias que 18 - Maria, segurada empregada da previdência excedem, todos os meses, 50% de sua remuneração social, encontra-se afastada de suas atividades normal. Nessa situação, não incide contribuição profissionais devido ao nascimento de seu filho, previdenciária sobre os valores recebidos por mas recebe salário-maternidade. Nessa situação, Rodrigo a título dessas diárias. apesar de ser um benefício previdenciário, o salário- ( ) Certo ( ) Errado Prof. Bernardo Machado DIREITO PREVIDENCIÁRIO 89
  • 91.
    Com relação aperíodo de carência, julgue os 31 - Edson é menor de idade sob guarda de itens a seguir. Coutinho, segurado da previdência social. Nessa situação, Coutinho não pode requerer o pagamento 25 - Uma profissional liberal que seja segurada do salário-família em relação a Edson, já que este contribuinte individual da previdência social há três não é seu dependente. meses e esteja grávida de seis meses terá direito ao ( ) Certo salário-maternidade, caso recolha antecipadamente ( ) Errado as sete contribuições que faltam para completar a carência. 32 - Gilmar, inválido, e Solange são ( ) Certo comprovadamente dependentes econômicos do ( ) Errado filho Gilberto, segurado da previdência social, que, por sua vez, tem um filho. 26 - Uma segurada empregada do regime de Nessa situação, Gilmar e Solange concorrem em previdência social que tenha conseguido seu igualdade de condições com o filho de Gilberto para primeiro emprego e, logo na primeira semana, sofra efeito de recebimento eventual de benefícios. um grave acidente que determine seu afastamento ( ) Certo do trabalho por quatro meses não terá direito ao ( ) Errado auxílio-doença pelo fato de não ter cumprido a carência de doze contribuições. 33 - Roberto, produtor rural, é segurado especial e ( ) Certo não faz recolhimento para a previdência social como ( ) Errado contribuinte individual. Nessa situação, para recebimento dos benefícios a que Roberto tem 27- Se uma empregada doméstica estiver direito, não é necessário o recolhimento para a devidamente inscrita na previdência social, será contagem dos prazos de carência, sendo suficiente considerado, para efeito do início da contagem do a comprovação da atividade rural por igual período. período de carência dessa segurada, o dia em que ( ) Certo sua carteira de trabalho tenha sido assinada. ( ) Errado ( ) Certo ( ) Errado 34 - Como ficou desempregado por mais de quatro anos, Mauro perdeu a qualidade de segurado. É apresentada, em cada um dos itens que se Recentemente, conseguiu emprego em um seguem, uma situação hipotética relacionada a supermercado, mas ficou impossibilitado de receber dependentes e a período de carência, seguida de o salário-família pelo fato de não poder contar com uma assertiva a ser julgada. as contribuições anteriores para efeito de contagem do tempo de carência, que, para este benefício, é de 28 - Célio, segurado empregado da previdência doze meses. Nessa situação, Mauro poderá contar o social, tem um filho, com 28 anos de idade, que prazo anterior à perda da qualidade de segurado sofre de doença degenerativa em estágio avançado, depois de contribuir por quatro meses no novo sendo, portanto, inválido. Nessa condição, o filho de emprego, prazo exigido pela legislação. Célio é considerado seu dependente, mesmo tendo ( ) Certo idade superior a dezoito anos. ( ) Errado ( ) Certo ( ) Errado Julgue a assertiva que se segue a cada uma das situações hipotéticas referentes ao salário-família 29 - Paulo é, de forma comprovada, dependente apresentadas em cada um dos itens subseqüentes. economicamente de seu filho, Juliano, que, em viagem a trabalho, sofreu um acidente e veio a 35 - Rubens e sua esposa Amélia têm, juntos, dois falecer. Juliano à época do acidente era casado com filhos, trabalham e são segurados do regime geral Raquel. Nessa situação, Paulo e Raquel poderão da previdência social, além de serem considerados requerer o benefício de pensão por morte, que trabalhadores de baixa renda. Nessa situação, o deverá ser rateado entre ambos. salário-família somente será pago a um dos ( ) Certo cônjuges. ( ) Errado ( ) Certo ( ) Errado 30 - César, segurado da previdência social, vive com seus pais e com seu irmão, Getúlio, de 15 anos 36 - Dalila, que é empregada doméstica e segurada idade. Nessa situação, o falecimento de César do regime geral da previdência social, tem três somente determina o pagamento de benefícios filhos, mas não recebe salário-família. Nessa previdenciários a seus pais e a seu irmão se estes situação, apesar de ser considerada trabalhadora de comprovarem dependência econômica com relação baixa renda, Dalila não tem o direito de receber esse a César. benefício. ( ) Certo ( ) Certo ( ) Errado ( ) Errado Prof. Bernardo Machado DIREITO PREVIDENCIÁRIO 90
  • 92.
    37 - Carmené segurada do regime geral da efetivamente trabalhado, dada a natureza especial previdência social e está em gozo de auxílio-doença. da prestação de serviço. Nessa situação, Carmen também tem direito de ( ) Certo receber o salário- família pago diretamente pela ( ) Errado previdência social. ( ) Certo Em cada um dos próximos itens, é apresentada ( ) Errado uma situação hipotética a respeito do auxílio- acidente, seguida de uma assertiva a ser julgada. Em cada um dos itens subseqüentes, é apresentada uma situação hipotética a respeito da 43 - Tomás, segurado empregado do regime geral da aposentadoria por tempo de contribuição, seguida previdência social, teve sua capacidade laborativa de uma assertiva a ser julgada. reduzida por seqüelas decorrentes de grave acidente. Nessa situação, se não tiver cumprido a 38 - Renato era servidor municipal vinculado a carência de doze meses, Tomás não poderá receber regime próprio de previdência social havia 16 anos, o auxílio-acidente. quando resolveu trabalhar na iniciativa privada, em ( ) Certo 1999. Nessa situação, o tempo de serviço prestado ( ) Errado por Renato em outro regime é contado como tempo de contribuição, desde que haja a devida 44 - Marcela, empregada doméstica, após ter sofrido comprovação, certificada pelo ente público grave acidente enquanto limpava a vidraça da casa instituidor do regime próprio. de sua patroa, recebeu auxílio-doença por três ( ) Certo meses. Depois desse período, foi comprovadamente ( ) Errado constatada a redução de sua capacidade laborativa. Nessa situação, Marcela terá direito ao auxílio- 39 - Durval, inscrito na previdência social na acidente correspondente a 50% do valor que recebia qualidade de contribuinte individual, trabalha por a título de auxílio-doença. conta própria, recolhendo 11% do valor mínimo ( ) Certo mensal do salário de contribuição. Nessa situação, ( ) Errado para Durval fazer jus ao benefício de aposentadoria por tempo de contribuição, deverá recolher mais 9% Em cada um dos itens seguintes, é apresentada daquele valor, acrescidos de juros. uma situação hipotética acerca do salário- ( ) Certo maternidade, seguida de uma assertiva a ser ( ) Errado julgada. 40 - Mário, segurado inscrito na previdência social 45 - Helena, grávida de nove meses de seu primeiro desde 1972, requereu sua aposentadoria por tempo filho, trabalha em duas empresas de telemarketing. de contribuição. Nessa situação, a renda inicial da Nessa situação, Helena terá direito ao salário- aposentadoria de Mário corresponderá à média maternidade em relação a cada uma das empresas, aritmética simples dos salários-de-contribuição mesmo que a soma desses valores seja superior ao desde 1972, multiplicada pelo fator previdenciário. teto dos benefícios da previdência social. ( ) Certo ( ) Certo ( ) Errado ( ) Errado 41 - Leonardo, segurado empregado, trabalhou em 46 - Há oito meses, Edna, profissional liberal, fez uma empresa cujo prédio foi destruído por um sua inscrição na previdência social, na qualidade de incêndio na década de 80 do século XX, situação contribuinte individual, passando a recolher evidenciada por meio de registro junto à autoridade regularmente as suas contribuições mensais. Dois policial que acompanhou os fatos. Nessa situação, meses depois da inscrição, descobriu que estava Leonardo poderá comprovar, com auxílio de grávida de 1 mês, vindo seu filho a nascer, testemunhas, o tempo trabalhado na empresa cujo prematuramente, com sete meses. Nessa situação, prédio foi destruído, averbando esse período em não há nada que impeça Edna de receber o salário- pedido de aposentadoria por tempo de contribuição. maternidade, pois a carência do benefício será ( ) Certo reduzida na quantidade de meses em que o parto foi ( ) Errado antecipado. ( ) Certo 42 - Firmino foi professor do ensino fundamental ( ) Errado durante vinte anos e trabalhou mais doze anos como gerente financeiro em uma empresa de exportação. Nessa situação, excluindo-se as regras de transição, Firmino pode requerer o benefício integral de aposentadoria por tempo de contribuição, haja vista a possibilidade de computar o tempo em sala de aula em quantidade superior ao Prof. Bernardo Machado DIREITO PREVIDENCIÁRIO 91
  • 93.
    47 - Cláudiaestá grávida e exerce atividade rural, 53 - José perdeu a mão direita em grave acidente sendo segurada especial da previdência. Nessa ocorrido na fábrica em que trabalhava, e, por isso, situação, ela tem direito ao salário-maternidade foi aposentado por desde que comprove o exercício da atividade rural invalidez. Nessa situação, José não tem o direito de nos últimos dez meses imediatamente anteriores à receber o adicional de 25% pago aos segurados que data do parto ou do requerimento do benefício, necessitam de assistência permanente, já que ele quando solicitado antes do parto, mesmo que a pode cuidar de si apenas com uma das mãos. atividade tenha sido realizada de forma descontínua. ( ) Certo ( ) Certo ( ) Errado ( ) Errado 54 - Moacir, aposentado por invalidez pelo regime 48 - Adriana, segurada da previdência, adotou Paula, geral de previdência social, recusa-se a submeter-se uma menina de 9 anos de idade. Nessa situação, a tratamento cirúrgico por meio do qual poderá Adriana não tem direito ao salário-maternidade. recuperar sua capacidade laborativa. Nessa ( ) Certo situação, devido à recusa, Moacir terá seu benefício ( ) Errado cancelado imediatamente. ( ) Certo 49 - Rute, professora em uma escola particular, ( ) Errado impossibilitada de ter filhos, adotou gêmeas recém- nascidas cuja mãe falecera logo após o parto e que Em cada um dos itens que se seguem, é não tinham parentes que pudessem cuidar delas. apresentada uma situação hipotética acerca da Nessa situação, Rute terá direito a dois salários- aposentadoria especial, seguida de uma assertiva a maternidade. ser julgada. ( ) Certo ( ) Errado 55 - Leandro, segurado da previdência social, recebe adicional de periculosidade da empresa em Em cada um dos itens que se seguem, que trabalha. Nessa situação, a condição de apresenta-se uma situação hipotética relacionada à Leandro é suficiente para que ele esteja habilitado aposentadoria por invalidez, seguida de uma ao recebimento de aposentadoria especial, cujo assertiva a ser julgada. tempo de contribuição é mitigado. ( ) Certo 50 - Daniel, aposentado por invalidez, retornou à sua ( ) Errado atividade laboral voluntariamente. Nessa situação, o benefício da aposentadoria por invalidez será 56 - João trabalha, há dez anos, exposto, de forma cassado a partir da data desse retorno. não-ocasional nem intermitente, a agentes químicos ( ) Certo nocivos. Nessa situação, João terá direito a ( ) Errado requerer, no futuro, aposentadoria especial, sendo- lhe possível, a fim de completar a carência, 51 - Rui sofreu grave acidente que o deixou incapaz converter tempo comum trabalhado anteriormente, para o trabalho, não havendo qualquer condição de isto é, tempo em que não esteve exposto aos reabilitação, conforme exame médico pericial agentes nocivos, em tempo de contribuição para a realizado pela previdência social. Nessa situação, aposentadoria do tipo especial. Rui não poderá receber imediatamente o benefício ( ) Certo de aposentadoria por invalidez, pois esta somente ( ) Errado lhe será concedida após o período de doze meses relativo ao auxílio-doença que Rui já esteja 57 - Getúlio julga-se na condição de requerer recebendo. aposentadoria especial. Nessa situação, ele deverá ( ) Certo instruir seu pedido com o perfil profissiográfico ( ) Errado previdenciário, documento emitido pela empresa em que trabalha e embasado no laudo técnico das 52 - Tomé já havia contribuído para a previdência condições ambientais do trabalho que comprove as social durante 28 anos quando foi acometido de condições para habilitação de benefícios uma doença profissional que determinou sua previdenciários especiais. aposentadoria por invalidez, após ter recebido o ( ) Certo auxílio-doença por quatro anos. Nessa situação, ( ) Errado depois de receber por três anos a aposentadoria por invalidez, Tomé poderá requerer a conversão do beneficio em aposentadoria por tempo de contribuição. ( ) Certo ( ) Errado Prof. Bernardo Machado DIREITO PREVIDENCIÁRIO 92
  • 94.
    Em cada umdos itens seguintes, é apresentada 64 - Um segurado empregado do regime geral que uma situação hipotética relacionada à pensão por tenha sofrido acidente no trajeto de sua casa para o morte, seguida de uma assertiva a ser julgada. trabalho tem direito ao recebimento do auxílio- doença pela previdência social a partir do primeiro 58 - Ernani, segurado do regime geral da dia de afastamento do trabalho. previdência social, faleceu, e sua esposa requereu ( ) Certo pensão 60 dias após o óbito. Nessa situação, esse ( ) Errado benefício será iniciado na data do requerimento apresentado pela esposa de Ernani, visto que o Em cada um dos itens seguintes, é apresentada pedido foi feito após o prazo definido pela uma situação hipotética acerca do auxílio-reclusão, legislação que dá direito a esse benefício. seguida de uma assertiva a ser julgada. ( ) Certo ( ) Errado 65 - Hugo, segurado do regime geral de previdência há menos de 10 anos, desempregado há seis meses, 59 - José tem 20 anos de idade e recebe a pensão envolveu-se em atividades ilícitas, o que determinou decorrente do falecimento de seu pai, Silas, de sua prisão em flagrante. Nessa condição, caso Hugo quem é filho único. Nessa situação, quando José seja casado, sua esposa faz jus ao auxílio-reclusão completar a idade de 21 anos, o benefício será junto à previdência social. extinto, haja vista a inexistência de outros ( ) Certo dependentes da mesma classe. ( ) Errado ( ) Certo ( ) Errado 66 - Fabiano, segurado do regime geral de previdência, encontra-se preso e participa de 60 - Alexandre, caminhoneiro, sempre trabalhou por atividades laborais na prisão, fato que lhe permite conta própria e jamais se inscreveu no regime geral manter suas contribuições para a previdência social da previdência social. Após sofrer um grave na qualidade de contribuinte individual. Sua esposa, acidente, resolveu filiar-se à previdência. Seis Catarina, recebe auxílio-reclusão, por serem, meses depois, sofreu novo acidente e veio a falecer, Fabiano e ela, considerados, respectivamente, deixando esposa e três filhos. Nessa situação, os segurado e dependente de baixa renda. Nessa filhos e a esposa de Alexandre não receberão a situação, enquanto Catarina receber o auxílio- pensão por morte pelo fato de não ter sido cumprida reclusão, Fabiano não terá direito a nenhum tipo de a carência de doze meses. aposentadoria nem a auxílio-doença. ( ) Certo Com relação ao auxílio-doença, julgue os ( ) Errado próximos itens. Em cada um dos itens subseqüentes, é 61 - Uma segurada empregada que tenha ficado apresentada uma situação hipotética que trata de afastada do serviço durante dezoito meses em cumulação de benefícios, seguida de uma assertiva virtude de um acidente de trabalho não pode ser a ser julgada. demitida durante os primeiros doze meses após seu retorno às atividades laborais. 67 - Tereza encontra-se afastada de suas atividades ( ) Certo laborais e recebe o auxílio-doença. Nessa situação, ( ) Errado caso engravide e tenha um filho, Tereza não poderá receber, ao mesmo tempo, o auxílio-doença e o 62 - Uma segurada da previdência que esteja salário-maternidade. recebendo auxílio-doença é obrigada a submeter-se ( ) Certo a exame pelo médico perito da previdência social e ( ) Errado a realizar o processo de reabilitação profissional para desenvolver novas competências. 68 - Sofia, pensionista da previdência social em ( ) Certo decorrência da morte de seu primeiro marido, João, ( ) Errado resolveu casar-se com Eduardo, segurado empregado. Seis meses após o casamento, Eduardo 63 - Uma segurada contribuinte individual que tenha faleceu em trágico acidente. Nessa situação, Sofia sofrido algum acidente que tenha determinado sua poderá acumular as duas pensões, caso o total incapacidade temporária para a atividade laboral recebido não ultrapasse o teto determinado pela tem direito a receber auxílio-doença, cujo termo previdência social. inicial deve corresponder à data do início da ( ) Certo incapacidade, desde que o requerimento seja ( ) Errado apresentado junto à previdência antes de se esgotar o prazo de 30 dias. ( ) Certo ( ) Errado Prof. Bernardo Machado DIREITO PREVIDENCIÁRIO 93
  • 95.
    69 - Pedrorecebe auxílio-acidente decorrente da consolidação de lesões que o deixaram com seqüelas definitivas. Nessa condição, Pedro não poderá cumular o benefício que atualmente recebe com o de aposentadoria por invalidez que eventualmente venha a receber. ( ) Certo ( ) Errado 70 - Fábio recebe auxílio-acidente decorrente da consolidação de lesões que o deixaram com seqüelas definitivas. Nessa situação, Fábio poderá cumular o benefício que atualmente recebe com o auxílio-doença decorrente de outro evento. ( ) Certo ( ) Errado GABARITO 1 01. C 02. E 03. * 04. E 05. E 06. E 07. C 08. C 09. E 10. C 11. E 12. E 13. C 14. C 15. E 16. E 17. C 18. C 19. C 20. C 2 21. * 22. C 23. C 24. E 25. E 26. E 27. E 28. C 29. E 30. E 31. C 32. E 33. C 34. E 35. E 1 36. C 37. * 38. C 39. C 40. E 41. C 42. E 43. E 44. E 45. C 46. C 47. C 48. C 49. E 50. C 51. E 52. C 53. C 54. E 55. E 56. E 57. C 58. E 59. C 60. E 61. E 62. C 63. C 64. E 65. E 66. C 67. C 68. E 69. C 70. C 1 * Questão anulada. 2 * Gabarito alterado de C para E devido a alteração da legislação (Dec. 6.727/09) Prof. Bernardo Machado DIREITO PREVIDENCIÁRIO 94