Classificação de sistemas
Resolve graficamente e pelo método de substituição:
0 (0,3) 1 (1,4) 4 (4,-1) 5 (5,0)
(0,3) (1,4) (4,-1) (5,0) Solução do sistema?
Equação impossível Não existe nenhum número que multiplicado por 0 dê 8. Não conseguimos determinar a solução do sistema.
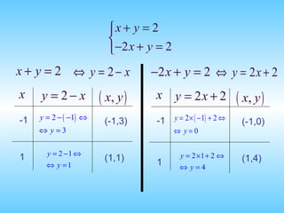
-1 (-1,3) 1 (1,1) -1 (-1,0) 1 (1,4)
(-1,3) (1,1) (-1,0) (1,4) Solução do sistema? (0,2)
O par ordenado (0,2) é a solução do sistema.
0 (0,1) 1 (1,-1) -1 (-1,3) 2 (2,-3)
(0,1) (1,-1) (-1,3) (2,-3) Solução do sistema ?
Equação indeterminada Qualquer número multiplicado por 0 dá 0. O sistema não tem apenas uma solução.
Sistemas de equações Impossível      Não tem solução (as rectas são paralelas) (equação impossível) Possível      Tem solução (as rectas intersectam-se) Determinado     Uma solução (as rectas são concorrentes) Indeterminado     Infinitas soluções (as rectas são coincidentes) (equação indeterminada)

Classificacao de-sistemas