REVISÃO GERAL SOBRE BIOMOLÉCULAS
                      Elementos químicos
       Compartilhamento de eletrons forma compostos
                  Características do Carbono
   Tipos gerais de reações quimicas que ocorrem nas células
             O alfabeto molecular nos seres vivos
                    A hierarquia molecular
                      Evolução prebiótica
INTRODUÇÃO À BIOQUÍMICA

                                  Como?
                                    Como




                     Porquê?




Onde?                              Quando?
Células
Fundamentos da Bioquimica: Biomoléculas

O objetivo da bioquímica é explicar a forma e função biológica
em termos químicos

-Uma estratégia tem sido isolar, purificar e caracterizar a estrutura quimica.

-   Que elementos quimicos são encontrados nas células?
-   Que tipos de moléculas estão presentes na matéria viva?
-   Em que proporções estão presentes?
-   Porque estas moleculas estão adaptadas as suas funções
REVISÃO GERAL SOBRE BIOMOLÉCULAS
                      Elementos químicos
       Compartilhamento de eletrons forma compostos
                  Características do Carbono
   Tipos gerais de reações quimicas que ocorrem nas células
             O alfabeto molecular nos seres vivos
                    A hierarquia molecular
                      Evolução prebiótica
BIOMOLÉCULAS
FUNÇÕES ORGANICAS RESULTANTES
Biomoléculas são constituídas por múltiplas funções orgânicas



                                           Epinefrina




 Histidina




   Acetil-coenzima A
Tres tipos de vias metabólicas não-lineares
Características do Carbono



                                    Ligação
                                    simples




Ligação dupla
REPRESENTAÇÕES ESTRUTURAIS




Perspectiva   Bolas /bastonetes   Modelo espacial
CONFIGURAÇÕES




    Cis
                Trans
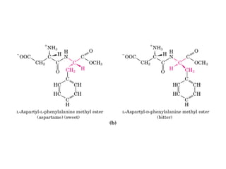
ASSIMETRIA MOLECULAR
Estereoquimica
1 cal = 4,18J
Estados de oxidação dos compostos de carbono
REVISÃO GERAL SOBRE BIOMOLÉCULAS
                      Elementos químicos
       Compartilhamento de eletrons forma compostos
                  Características do Carbono
   Tipos gerais de reações quimicas que ocorrem nas células
             O alfabeto molecular nos seres vivos
                    A hierarquia molecular
                      Evolução prebiótica
PRINCIPAIS TIPOS DE REAÇÕES QUE
     OCORREM NAS CÉLULAS

    1 – Oxidação-redução
    2 – Clivagem
    3 – Rearranjos internos
    4 – Transferência de grupos
    5 – Reações de condensação
1 – Reações de óxido-redução




            Enzima
1 – REAÇÕES DE CLIVAGEM
3 – REAÇÕES DE REARRANJOS INTERNOS
4 – REAÇÕES DE TRANSFERENCIA DE GRUPOS
5 – Reação de condensação e Hidrólise
Fundamentos da Bioquimica: Biomoléculas

O objetivo da bioquímica é explicar a forma e função biológica
em termos químicos

-Uma estratégia tem sido isolar, purificar e caracterizar a estrutura quimica.

-   Que elementos quimicos são encontrados nas células?
-   Que tipos de moléculas estão presentes na matéria viva?
-   Em que proporções estão presentes?
-   Porque estas moleculas estão adaptadas as suas funções
ALFABETO BIOLÓGICO
MOLÉCULAS PRECURSSORAS
HIERARQUIA MOLECULAR NA ORGANIZAÇÃO DAS CÉLULAS
Estudos da Evolução pré-biótica


    Experimentos de
  Stanley Miller (1953)
Biomoleculas
Biomoleculas
Biomoleculas

Biomoleculas

Notas do Editor