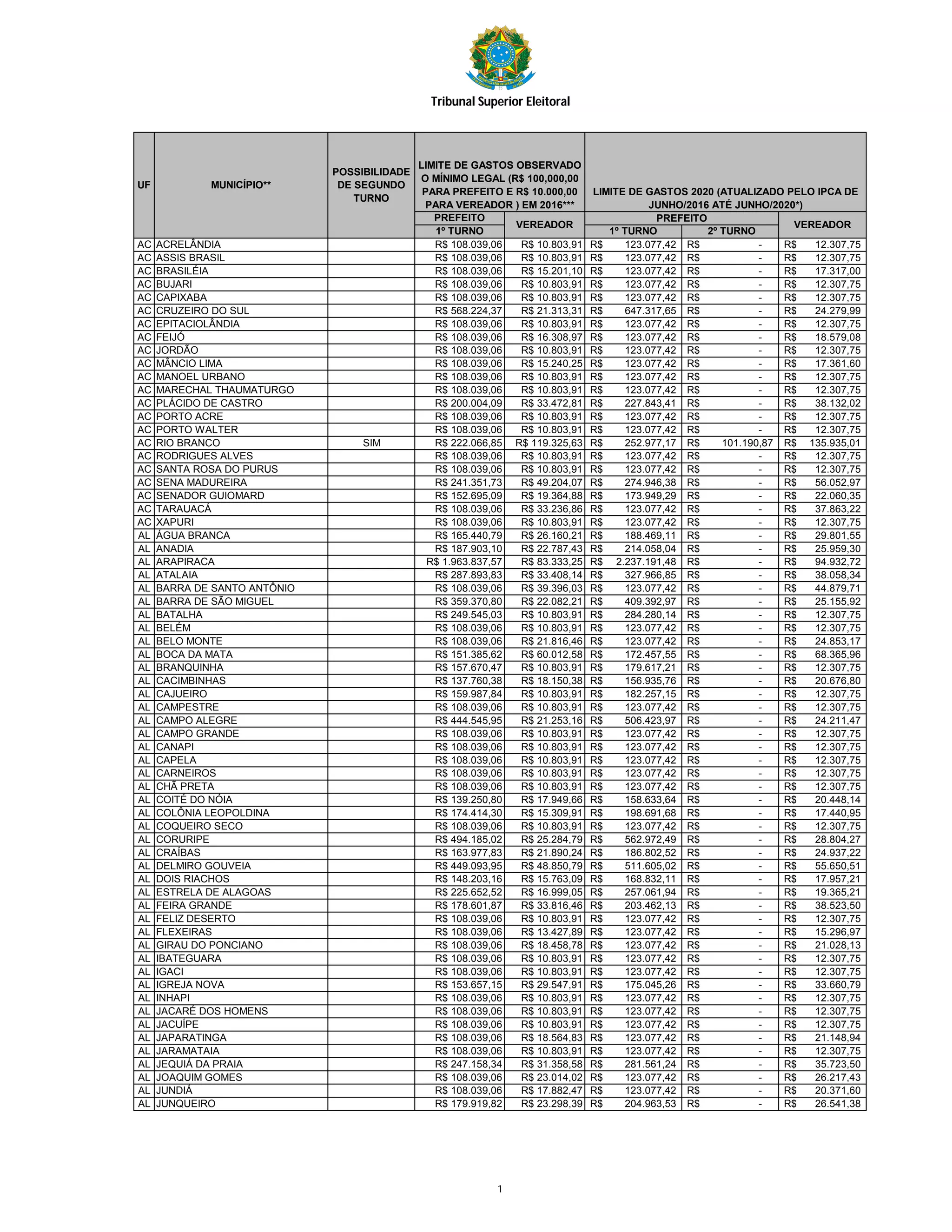
Tribunal Superior Eleitoral
PREFEITO
1º TURNO 1º TURNO 2º TURNO
AC ACRELÂNDIA R$ 108.039,06 R$ 10.803,91 123.077,42R$ -R$ 12.307,75R$
AC ASSIS BRASIL R$ 108.039,06 R$ 10.803,91 123.077,42R$ -R$ 12.307,75R$
AC BRASILÉIA R$ 108.039,06 R$ 15.201,10 123.077,42R$ -R$ 17.317,00R$
AC BUJARI R$ 108.039,06 R$ 10.803,91 123.077,42R$ -R$ 12.307,75R$
AC CAPIXABA R$ 108.039,06 R$ 10.803,91 123.077,42R$ -R$ 12.307,75R$
AC CRUZEIRO DO SUL R$ 568.224,37 R$ 21.313,31 647.317,65R$ -R$ 24.279,99R$
AC EPITACIOLÂNDIA R$ 108.039,06 R$ 10.803,91 123.077,42R$ -R$ 12.307,75R$
AC FEIJÓ R$ 108.039,06 R$ 16.308,97 123.077,42R$ -R$ 18.579,08R$
AC JORDÃO R$ 108.039,06 R$ 10.803,91 123.077,42R$ -R$ 12.307,75R$
AC MÂNCIO LIMA R$ 108.039,06 R$ 15.240,25 123.077,42R$ -R$ 17.361,60R$
AC MANOEL URBANO R$ 108.039,06 R$ 10.803,91 123.077,42R$ -R$ 12.307,75R$
AC MARECHAL THAUMATURGO R$ 108.039,06 R$ 10.803,91 123.077,42R$ -R$ 12.307,75R$
AC PLÁCIDO DE CASTRO R$ 200.004,09 R$ 33.472,81 227.843,41R$ -R$ 38.132,02R$
AC PORTO ACRE R$ 108.039,06 R$ 10.803,91 123.077,42R$ -R$ 12.307,75R$
AC PORTO WALTER R$ 108.039,06 R$ 10.803,91 123.077,42R$ -R$ 12.307,75R$
AC RIO BRANCO SIM R$ 222.066,85 R$ 119.325,63 252.977,17R$ 101.190,87R$ 135.935,01R$
AC RODRIGUES ALVES R$ 108.039,06 R$ 10.803,91 123.077,42R$ -R$ 12.307,75R$
AC SANTA ROSA DO PURUS R$ 108.039,06 R$ 10.803,91 123.077,42R$ -R$ 12.307,75R$
AC SENA MADUREIRA R$ 241.351,73 R$ 49.204,07 274.946,38R$ -R$ 56.052,97R$
AC SENADOR GUIOMARD R$ 152.695,09 R$ 19.364,88 173.949,29R$ -R$ 22.060,35R$
AC TARAUACÁ R$ 108.039,06 R$ 33.236,86 123.077,42R$ -R$ 37.863,22R$
AC XAPURI R$ 108.039,06 R$ 10.803,91 123.077,42R$ -R$ 12.307,75R$
AL ÁGUA BRANCA R$ 165.440,79 R$ 26.160,21 188.469,11R$ -R$ 29.801,55R$
AL ANADIA R$ 187.903,10 R$ 22.787,43 214.058,04R$ -R$ 25.959,30R$
AL ARAPIRACA R$ 1.963.837,57 R$ 83.333,25 2.237.191,48R$ -R$ 94.932,72R$
AL ATALAIA R$ 287.893,83 R$ 33.408,14 327.966,85R$ -R$ 38.058,34R$
AL BARRA DE SANTO ANTÔNIO R$ 108.039,06 R$ 39.396,03 123.077,42R$ -R$ 44.879,71R$
AL BARRA DE SÃO MIGUEL R$ 359.370,80 R$ 22.082,21 409.392,97R$ -R$ 25.155,92R$
AL BATALHA R$ 249.545,03 R$ 10.803,91 284.280,14R$ -R$ 12.307,75R$
AL BELÉM R$ 108.039,06 R$ 10.803,91 123.077,42R$ -R$ 12.307,75R$
AL BELO MONTE R$ 108.039,06 R$ 21.816,46 123.077,42R$ -R$ 24.853,17R$
AL BOCA DA MATA R$ 151.385,62 R$ 60.012,58 172.457,55R$ -R$ 68.365,96R$
AL BRANQUINHA R$ 157.670,47 R$ 10.803,91 179.617,21R$ -R$ 12.307,75R$
AL CACIMBINHAS R$ 137.760,38 R$ 18.150,38 156.935,76R$ -R$ 20.676,80R$
AL CAJUEIRO R$ 159.987,84 R$ 10.803,91 182.257,15R$ -R$ 12.307,75R$
AL CAMPESTRE R$ 108.039,06 R$ 10.803,91 123.077,42R$ -R$ 12.307,75R$
AL CAMPO ALEGRE R$ 444.545,95 R$ 21.253,16 506.423,97R$ -R$ 24.211,47R$
AL CAMPO GRANDE R$ 108.039,06 R$ 10.803,91 123.077,42R$ -R$ 12.307,75R$
AL CANAPI R$ 108.039,06 R$ 10.803,91 123.077,42R$ -R$ 12.307,75R$
AL CAPELA R$ 108.039,06 R$ 10.803,91 123.077,42R$ -R$ 12.307,75R$
AL CARNEIROS R$ 108.039,06 R$ 10.803,91 123.077,42R$ -R$ 12.307,75R$
AL CHÃ PRETA R$ 108.039,06 R$ 10.803,91 123.077,42R$ -R$ 12.307,75R$
AL COITÉ DO NÓIA R$ 139.250,80 R$ 17.949,66 158.633,64R$ -R$ 20.448,14R$
AL COLÔNIA LEOPOLDINA R$ 174.414,30 R$ 15.309,91 198.691,68R$ -R$ 17.440,95R$
AL COQUEIRO SECO R$ 108.039,06 R$ 10.803,91 123.077,42R$ -R$ 12.307,75R$
AL CORURIPE R$ 494.185,02 R$ 25.284,79 562.972,49R$ -R$ 28.804,27R$
AL CRAÍBAS R$ 163.977,83 R$ 21.890,24 186.802,52R$ -R$ 24.937,22R$
AL DELMIRO GOUVEIA R$ 449.093,95 R$ 48.850,79 511.605,02R$ -R$ 55.650,51R$
AL DOIS RIACHOS R$ 148.203,16 R$ 15.763,09 168.832,11R$ -R$ 17.957,21R$
AL ESTRELA DE ALAGOAS R$ 225.652,52 R$ 16.999,05 257.061,94R$ -R$ 19.365,21R$
AL FEIRA GRANDE R$ 178.601,87 R$ 33.816,46 203.462,13R$ -R$ 38.523,50R$
AL FELIZ DESERTO R$ 108.039,06 R$ 10.803,91 123.077,42R$ -R$ 12.307,75R$
AL FLEXEIRAS R$ 108.039,06 R$ 13.427,89 123.077,42R$ -R$ 15.296,97R$
AL GIRAU DO PONCIANO R$ 108.039,06 R$ 18.458,78 123.077,42R$ -R$ 21.028,13R$
AL IBATEGUARA R$ 108.039,06 R$ 10.803,91 123.077,42R$ -R$ 12.307,75R$
AL IGACI R$ 108.039,06 R$ 10.803,91 123.077,42R$ -R$ 12.307,75R$
AL IGREJA NOVA R$ 153.657,15 R$ 29.547,91 175.045,26R$ -R$ 33.660,79R$
AL INHAPI R$ 108.039,06 R$ 10.803,91 123.077,42R$ -R$ 12.307,75R$
AL JACARÉ DOS HOMENS R$ 108.039,06 R$ 10.803,91 123.077,42R$ -R$ 12.307,75R$
AL JACUÍPE R$ 108.039,06 R$ 10.803,91 123.077,42R$ -R$ 12.307,75R$
AL JAPARATINGA R$ 108.039,06 R$ 18.564,83 123.077,42R$ -R$ 21.148,94R$
AL JARAMATAIA R$ 108.039,06 R$ 10.803,91 123.077,42R$ -R$ 12.307,75R$
AL JEQUIÁ DA PRAIA R$ 247.158,34 R$ 31.358,58 281.561,24R$ -R$ 35.723,50R$
AL JOAQUIM GOMES R$ 108.039,06 R$ 23.014,02 123.077,42R$ -R$ 26.217,43R$
AL JUNDIÁ R$ 108.039,06 R$ 17.882,47 123.077,42R$ -R$ 20.371,60R$
AL JUNQUEIRO R$ 179.919,82 R$ 23.298,39 204.963,53R$ -R$ 26.541,38R$
UF
POSSIBILIDADE
DE SEGUNDO
TURNO
VEREADORVEREADOR
LIMITE DE GASTOS OBSERVADO
O MÍNIMO LEGAL (R$ 100,000,00
PARA PREFEITO E R$ 10.000,00
PARA VEREADOR ) EM 2016***
LIMITE DE GASTOS 2020 (ATUALIZADO PELO IPCA DE
JUNHO/2016 ATÉ JUNHO/2020*)
PREFEITO
MUNICÍPIO**
1
Tribunal Superior Eleitoral
PREFEITO
1º TURNO 1º TURNO 2º TURNO
UF
POSSIBILIDADE
DE SEGUNDO
TURNO
VEREADORVEREADOR
LIMITE DE GASTOS OBSERVADO
O MÍNIMO LEGAL (R$ 100,000,00
PARA PREFEITO E R$ 10.000,00
PARA VEREADOR ) EM 2016***
LIMITE DE GASTOS 2020 (ATUALIZADO PELO IPCA DE
JUNHO/2016 ATÉ JUNHO/2020*)
PREFEITO
MUNICÍPIO**
AL LAGOA DA CANOA R$ 108.039,06 R$ 22.568,57 123.077,42R$ -R$ 25.709,97R$
AL LIMOEIRO DE ANADIA R$ 318.306,30 R$ 23.911,69 362.612,55R$ -R$ 27.240,05R$
AL MACEIÓ SIM R$ 4.504.729,69 R$ 220.429,76 5.131.759,90R$ 2.052.703,96R$ 251.112,20R$
AL MAJOR ISIDORO R$ 352.778,13 R$ 14.115,06 401.882,64R$ -R$ 16.079,79R$
AL MAR VERMELHO R$ 183.628,75 R$ 21.010,93 209.188,72R$ -R$ 23.935,52R$
AL MARAGOGI R$ 212.863,43 R$ 24.801,47 242.492,69R$ -R$ 28.253,68R$
AL MARAVILHA R$ 152.228,31 R$ 10.803,91 173.417,54R$ -R$ 12.307,75R$
AL MARECHAL DEODORO R$ 796.775,67 R$ 56.454,67 907.681,86R$ -R$ 64.312,81R$
AL MARIBONDO R$ 163.796,19 R$ 25.849,61 186.595,60R$ -R$ 29.447,71R$
AL MATA GRANDE R$ 108.039,06 R$ 42.071,01 123.077,42R$ -R$ 47.927,03R$
AL MATRIZ DE CAMARAGIBE R$ 108.039,06 R$ 16.872,17 123.077,42R$ -R$ 19.220,67R$
AL MESSIAS R$ 170.732,37 R$ 14.259,54 194.497,25R$ -R$ 16.244,38R$
AL MINADOR DO NEGRÃO R$ 108.039,06 R$ 10.803,91 123.077,42R$ -R$ 12.307,75R$
AL MONTEIRÓPOLIS R$ 108.039,06 R$ 10.803,91 123.077,42R$ -R$ 12.307,75R$
AL MURICI R$ 108.039,06 R$ 10.803,91 123.077,42R$ -R$ 12.307,75R$
AL NOVO LINO R$ 108.039,06 R$ 10.803,91 123.077,42R$ -R$ 12.307,75R$
AL OLHO D'ÁGUA DAS FLORES R$ 190.046,76 R$ 10.803,91 216.500,08R$ -R$ 12.307,75R$
AL OLHO D'ÁGUA DO CASADO R$ 108.039,06 R$ 10.803,91 123.077,42R$ -R$ 12.307,75R$
AL OLHO D'ÁGUA GRANDE R$ 108.039,06 R$ 10.803,91 123.077,42R$ -R$ 12.307,75R$
AL OLIVENÇA R$ 108.039,06 R$ 10.803,91 123.077,42R$ -R$ 12.307,75R$
AL OURO BRANCO R$ 108.039,06 R$ 10.803,91 123.077,42R$ -R$ 12.307,75R$
AL PALESTINA R$ 108.039,06 R$ 10.803,91 123.077,42R$ -R$ 12.307,75R$
AL PALMEIRA DOS ÍNDIOS R$ 467.709,70 R$ 34.057,23 532.811,97R$ -R$ 38.797,78R$
AL PÃO DE AÇÚCAR R$ 215.372,99 R$ 10.803,91 245.351,56R$ -R$ 12.307,75R$
AL PARICONHA R$ 199.031,82 R$ 10.803,91 226.735,81R$ -R$ 12.307,75R$
AL PARIPUEIRA R$ 108.039,06 R$ 15.497,44 123.077,42R$ -R$ 17.654,59R$
AL PASSO DE CAMARAGIBE R$ 169.288,22 R$ 35.433,20 192.852,08R$ -R$ 40.365,28R$
AL PAULO JACINTO R$ 108.039,06 R$ 18.227,10 123.077,42R$ -R$ 20.764,20R$
AL PENEDO R$ 405.229,47 R$ 26.685,37 461.634,88R$ -R$ 30.399,81R$
AL PIAÇABUÇU R$ 108.039,06 R$ 19.531,82 123.077,42R$ -R$ 22.250,53R$
AL PILAR R$ 817.819,39 R$ 64.258,98 931.654,74R$ -R$ 73.203,43R$
AL PINDOBA R$ 108.039,06 R$ 17.990,47 123.077,42R$ -R$ 20.494,63R$
AL PIRANHAS R$ 200.267,71 R$ 19.147,47 228.143,72R$ -R$ 21.812,68R$
AL POÇO DAS TRINCHEIRAS R$ 108.039,06 R$ 10.803,91 123.077,42R$ -R$ 12.307,75R$
AL PORTO CALVO R$ 487.627,90 R$ 13.983,13 555.502,66R$ -R$ 15.929,49R$
AL PORTO DE PEDRAS R$ 141.054,64 R$ 21.040,28 160.688,56R$ -R$ 23.968,96R$
AL PORTO REAL DO COLÉGIO R$ 108.039,06 R$ 13.907,02 123.077,42R$ -R$ 15.842,79R$
AL QUEBRANGULO R$ 108.039,06 R$ 10.803,91 123.077,42R$ -R$ 12.307,75R$
AL RIO LARGO R$ 326.696,30 R$ 43.726,55 372.170,38R$ -R$ 49.813,01R$
AL ROTEIRO R$ 108.039,06 R$ 10.803,91 123.077,42R$ -R$ 12.307,75R$
AL SANTA LUZIA DO NORTE R$ 108.039,06 R$ 10.803,91 123.077,42R$ -R$ 12.307,75R$
AL SANTANA DO IPANEMA R$ 146.835,26 R$ 25.112,33 167.273,81R$ -R$ 28.607,81R$
AL SANTANA DO MUNDAÚ R$ 108.039,06 R$ 15.492,49 123.077,42R$ -R$ 17.648,95R$
AL SÃO BRÁS R$ 108.039,06 R$ 17.337,92 123.077,42R$ -R$ 19.751,25R$
AL SÃO JOSÉ DA LAJE R$ 257.039,32 R$ 15.570,02 292.817,59R$ -R$ 17.737,27R$
AL SÃO JOSÉ DA TAPERA R$ 168.640,17 R$ 32.668,15 192.113,83R$ -R$ 37.215,35R$
AL SÃO LUÍS DO QUITUNDE R$ 200.952,53 R$ 16.213,85 228.923,87R$ -R$ 18.470,72R$
AL SÃO MIGUEL DOS CAMPOS R$ 2.311.599,47 R$ 61.797,69 2.633.359,67R$ -R$ 70.399,54R$
AL SÃO MIGUEL DOS MILAGRES R$ 108.039,06 R$ 23.666,64 123.077,42R$ -R$ 26.960,89R$
AL SÃO SEBASTIÃO R$ 469.325,15 R$ 30.182,55 534.652,28R$ -R$ 34.383,77R$
AL SATUBA R$ 108.039,06 R$ 13.652,61 123.077,42R$ -R$ 15.552,97R$
AL SENADOR RUI PALMEIRA R$ 205.859,37 R$ 24.717,10 234.513,71R$ -R$ 28.157,57R$
AL TANQUE D'ARCA R$ 108.039,06 R$ 17.041,18 123.077,42R$ -R$ 19.413,21R$
AL TAQUARANA R$ 228.546,38 R$ 29.341,09 260.358,61R$ -R$ 33.425,19R$
AL TEOTÔNIO VILELA R$ 257.266,00 R$ 52.840,57 293.075,82R$ -R$ 60.195,65R$
AL TRAIPU R$ 161.853,09 R$ 10.803,91 184.382,03R$ -R$ 12.307,75R$
AL UNIÃO DOS PALMARES R$ 297.773,26 R$ 32.331,43 339.221,44R$ -R$ 36.831,76R$
AL VIÇOSA R$ 197.532,62 R$ 17.001,88 225.027,93R$ -R$ 19.368,44R$
AM ALVARÃES R$ 108.039,06 R$ 10.803,91 123.077,42R$ -R$ 12.307,75R$
AM AMATURÁ R$ 108.039,06 R$ 10.803,91 123.077,42R$ -R$ 12.307,75R$
AM ANAMÃ R$ 613.178,16 R$ 15.857,66 698.528,73R$ -R$ 18.064,95R$
AM ANORI R$ 223.610,79 R$ 10.803,91 254.736,01R$ -R$ 12.307,75R$
AM APUÍ R$ 108.039,06 R$ 19.489,15 123.077,42R$ -R$ 22.201,92R$
AM ATALAIA DO NORTE R$ 135.185,73 R$ 10.803,91 154.002,74R$ -R$ 12.307,75R$
AM AUTAZES R$ 152.431,18 R$ 19.382,00 173.648,65R$ -R$ 22.079,85R$
AM BARCELOS R$ 108.039,06 R$ 18.758,69 123.077,42R$ -R$ 21.369,78R$
2
Tribunal Superior Eleitoral
PREFEITO
1º TURNO 1º TURNO 2º TURNO
UF
POSSIBILIDADE
DE SEGUNDO
TURNO
VEREADORVEREADOR
LIMITE DE GASTOS OBSERVADO
O MÍNIMO LEGAL (R$ 100,000,00
PARA PREFEITO E R$ 10.000,00
PARA VEREADOR ) EM 2016***
LIMITE DE GASTOS 2020 (ATUALIZADO PELO IPCA DE
JUNHO/2016 ATÉ JUNHO/2020*)
PREFEITO
MUNICÍPIO**
AM BARREIRINHA R$ 108.039,06 R$ 26.632,46 123.077,42R$ -R$ 30.339,53R$
AM BENJAMIN CONSTANT R$ 242.837,36 R$ 10.803,91 276.638,80R$ -R$ 12.307,75R$
AM BERURI R$ 221.819,05 R$ 20.649,15 252.694,88R$ -R$ 23.523,38R$
AM BOA VISTA DO RAMOS R$ 108.039,06 R$ 10.803,91 123.077,42R$ -R$ 12.307,75R$
AM BOCA DO ACRE R$ 275.893,92 R$ 18.127,32 314.296,63R$ -R$ 20.650,53R$
AM BORBA R$ 108.039,06 R$ 10.803,91 123.077,42R$ -R$ 12.307,75R$
AM CAAPIRANGA R$ 108.039,06 R$ 10.803,91 123.077,42R$ -R$ 12.307,75R$
AM CANUTAMA R$ 141.472,51 R$ 13.725,64 161.164,60R$ -R$ 15.636,16R$
AM CARAUARI R$ 238.951,07 R$ 72.554,24 272.211,57R$ -R$ 82.653,34R$
AM CAREIRO R$ 283.092,98 R$ 24.651,47 322.497,75R$ -R$ 28.082,80R$
AM CAREIRO DA VÁRZEA R$ 108.039,06 R$ 10.803,91 123.077,42R$ -R$ 12.307,75R$
AM COARI R$ 1.391.726,59 R$ 68.577,27 1.585.446,23R$ -R$ 78.122,80R$
AM CODAJÁS R$ 179.958,26 R$ 19.163,84 205.007,32R$ -R$ 21.831,33R$
AM EIRUNEPÉ R$ 108.039,06 R$ 17.818,33 123.077,42R$ -R$ 20.298,53R$
AM ENVIRA R$ 108.039,06 R$ 10.803,91 123.077,42R$ -R$ 12.307,75R$
AM FONTE BOA R$ 278.038,11 R$ 23.702,69 316.739,28R$ -R$ 27.001,96R$
AM GUAJARÁ R$ 108.039,06 R$ 10.803,91 123.077,42R$ -R$ 12.307,75R$
AM HUMAITÁ R$ 108.039,06 R$ 18.820,21 123.077,42R$ -R$ 21.439,87R$
AM IPIXUNA R$ 108.039,06 R$ 10.803,91 123.077,42R$ -R$ 12.307,75R$
AM IRANDUBA R$ 323.402,45 R$ 54.213,43 368.418,05R$ -R$ 61.759,60R$
AM ITACOATIARA R$ 321.781,05 R$ 62.044,59 366.570,96R$ -R$ 70.680,81R$
AM ITAMARATI R$ 199.438,00 R$ 10.803,91 227.198,52R$ -R$ 12.307,75R$
AM ITAPIRANGA R$ 108.039,06 R$ 10.803,91 123.077,42R$ -R$ 12.307,75R$
AM JAPURÁ R$ 108.039,06 R$ 10.803,91 123.077,42R$ -R$ 12.307,75R$
AM JURUÁ R$ 207.169,50 R$ 10.803,91 236.006,20R$ -R$ 12.307,75R$
AM JUTAÍ R$ 108.039,06 R$ 10.803,91 123.077,42R$ -R$ 12.307,75R$
AM LÁBREA R$ 204.736,41 R$ 22.279,94 233.234,44R$ -R$ 25.381,17R$
AM MANACAPURU R$ 840.371,33 R$ 31.554,28 957.345,77R$ -R$ 35.946,44R$
AM MANAQUIRI R$ 570.533,72 R$ 19.917,58 649.948,45R$ -R$ 22.689,98R$
AM MANAUS SIM R$ 8.977.801,98 R$ 551.706,39 10.227.455,89R$ 4.090.982,36R$ 628.500,47R$
AM MANICORÉ R$ 332.769,83 R$ 25.088,02 379.089,31R$ -R$ 28.580,12R$
AM MARAÃ R$ 196.710,63 R$ 10.803,91 224.091,52R$ -R$ 12.307,75R$
AM MAUÉS R$ 308.079,43 R$ 33.146,03 350.962,16R$ -R$ 37.759,75R$
AM NHAMUNDÁ R$ 108.039,06 R$ 10.803,91 123.077,42R$ -R$ 12.307,75R$
AM NOVA OLINDA DO NORTE R$ 266.157,98 R$ 14.043,99 303.205,51R$ -R$ 15.998,83R$
AM NOVO AIRÃO R$ 108.039,06 R$ 17.445,96 123.077,42R$ -R$ 19.874,33R$
AM NOVO ARIPUANÃ R$ 108.039,06 R$ 14.044,93 123.077,42R$ -R$ 15.999,90R$
AM PARINTINS R$ 547.735,41 R$ 74.211,54 623.976,76R$ -R$ 84.541,32R$
AM PAUINI R$ 108.039,06 R$ 15.994,37 123.077,42R$ -R$ 18.220,69R$
AM PRESIDENTE FIGUEIREDO R$ 586.380,04 R$ 125.903,05 668.000,48R$ -R$ 143.427,97R$
AM RIO PRETO DA EVA R$ 405.017,64 R$ 24.681,62 461.393,56R$ -R$ 28.117,15R$
AM SANTA ISABEL DO RIO NEGRO R$ 166.784,93 R$ 10.803,91 190.000,35R$ -R$ 12.307,75R$
AM SANTO ANTÔNIO DO IÇÁ R$ 154.809,30 R$ 14.023,39 176.357,79R$ -R$ 15.975,36R$
AM SÃO GABRIEL DA CACHOEIRA R$ 108.039,06 R$ 26.073,06 123.077,42R$ -R$ 29.702,27R$
AM SÃO PAULO DE OLIVENÇA R$ 206.793,80 R$ 10.803,91 235.578,20R$ -R$ 12.307,75R$
AM SÃO SEBASTIÃO DO UATUMÃ R$ 108.039,06 R$ 10.803,91 123.077,42R$ -R$ 12.307,75R$
AM SILVES R$ 108.039,06 R$ 10.803,91 123.077,42R$ -R$ 12.307,75R$
AM TABATINGA R$ 339.696,29 R$ 18.352,04 386.979,89R$ -R$ 20.906,53R$
AM TAPAUÁ R$ 108.039,06 R$ 10.803,91 123.077,42R$ -R$ 12.307,75R$
AM TEFÉ R$ 748.814,91 R$ 19.850,17 853.045,26R$ -R$ 22.613,19R$
AM TONANTINS R$ 237.381,41 R$ 10.803,91 270.423,42R$ -R$ 12.307,75R$
AM UARINI R$ 204.517,60 R$ 10.803,91 232.985,17R$ -R$ 12.307,75R$
AM URUCARÁ R$ 192.431,70 R$ 10.803,91 219.216,99R$ -R$ 12.307,75R$
AM URUCURITUBA R$ 108.039,06 R$ 16.900,73 123.077,42R$ -R$ 19.253,21R$
AP AMAPÁ R$ 108.039,06 R$ 10.803,91 123.077,42R$ -R$ 12.307,75R$
AP CALÇOENE R$ 255.767,54 R$ 10.803,91 291.368,78R$ -R$ 12.307,75R$
AP CUTIAS R$ 108.039,06 R$ 18.726,57 123.077,42R$ -R$ 21.333,19R$
AP FERREIRA GOMES R$ 108.039,06 R$ 10.803,91 123.077,42R$ -R$ 12.307,75R$
AP ITAUBAL R$ 108.039,06 R$ 10.803,91 123.077,42R$ -R$ 12.307,75R$
AP LARANJAL DO JARI R$ 108.039,06 R$ 14.624,65 123.077,42R$ -R$ 16.660,31R$
AP MACAPÁ SIM R$ 1.182.802,88 R$ 133.202,77 1.347.441,65R$ 538.976,66R$ 151.743,76R$
AP MAZAGÃO R$ 289.362,73 R$ 21.199,10 329.640,21R$ -R$ 24.149,88R$
AP OIAPOQUE R$ 108.039,06 R$ 10.803,91 123.077,42R$ -R$ 12.307,75R$
AP PEDRA BRANCA DO AMAPARI R$ 108.039,06 R$ 19.433,50 123.077,42R$ -R$ 22.138,52R$
AP PORTO GRANDE R$ 108.039,06 R$ 10.803,91 123.077,42R$ -R$ 12.307,75R$
AP PRACUÚBA R$ 108.039,06 R$ 10.803,91 123.077,42R$ -R$ 12.307,75R$
3
Tribunal Superior Eleitoral
PREFEITO
1º TURNO 1º TURNO 2º TURNO
UF
POSSIBILIDADE
DE SEGUNDO
TURNO
VEREADORVEREADOR
LIMITE DE GASTOS OBSERVADO
O MÍNIMO LEGAL (R$ 100,000,00
PARA PREFEITO E R$ 10.000,00
PARA VEREADOR ) EM 2016***
LIMITE DE GASTOS 2020 (ATUALIZADO PELO IPCA DE
JUNHO/2016 ATÉ JUNHO/2020*)
PREFEITO
MUNICÍPIO**
AP SANTANA R$ 413.485,05 R$ 59.644,14 471.039,58R$ -R$ 67.946,23R$
AP SERRA DO NAVIO R$ 108.039,06 R$ 10.803,91 123.077,42R$ -R$ 12.307,75R$
AP TARTARUGALZINHO R$ 108.039,06 R$ 10.803,91 123.077,42R$ -R$ 12.307,75R$
AP VITÓRIA DO JARI R$ 108.039,06 R$ 13.940,02 123.077,42R$ -R$ 15.880,38R$
BA ABAÍRA R$ 108.039,06 R$ 10.803,91 123.077,42R$ -R$ 12.307,75R$
BA ABARÉ R$ 108.039,06 R$ 10.803,91 123.077,42R$ -R$ 12.307,75R$
BA ACAJUTIBA R$ 108.039,06 R$ 10.803,91 123.077,42R$ -R$ 12.307,75R$
BA ADUSTINA R$ 108.039,06 R$ 10.803,91 123.077,42R$ -R$ 12.307,75R$
BA ÁGUA FRIA R$ 108.039,06 R$ 10.803,91 123.077,42R$ -R$ 12.307,75R$
BA AIQUARA R$ 108.039,06 R$ 10.803,91 123.077,42R$ -R$ 12.307,75R$
BA ALAGOINHAS R$ 837.667,71 R$ 29.312,20 954.265,82R$ -R$ 33.392,28R$
BA ALCOBAÇA R$ 108.039,06 R$ 10.803,91 123.077,42R$ -R$ 12.307,75R$
BA ALMADINA R$ 108.039,06 R$ 10.803,91 123.077,42R$ -R$ 12.307,75R$
BA AMARGOSA R$ 328.930,18 R$ 17.471,89 374.715,20R$ -R$ 19.903,87R$
BA AMÉLIA RODRIGUES R$ 108.039,06 R$ 10.803,91 123.077,42R$ -R$ 12.307,75R$
BA AMÉRICA DOURADA R$ 108.039,06 R$ 10.803,91 123.077,42R$ -R$ 12.307,75R$
BA ANAGÉ R$ 169.068,00 R$ 14.232,20 192.601,21R$ -R$ 16.213,23R$
BA ANDARAÍ R$ 108.039,06 R$ 10.803,91 123.077,42R$ -R$ 12.307,75R$
BA ANDORINHA R$ 108.039,06 R$ 10.803,91 123.077,42R$ -R$ 12.307,75R$
BA ANGICAL R$ 108.039,06 R$ 10.803,91 123.077,42R$ -R$ 12.307,75R$
BA ANGUERA R$ 108.039,06 R$ 10.803,91 123.077,42R$ -R$ 12.307,75R$
BA ANTAS R$ 158.848,16 R$ 10.803,91 180.958,83R$ -R$ 12.307,75R$
BA ANTÔNIO CARDOSO R$ 108.039,06 R$ 34.395,08 123.077,42R$ -R$ 39.182,66R$
BA ANTÔNIO GONÇALVES R$ 108.039,06 R$ 10.803,91 123.077,42R$ -R$ 12.307,75R$
BA APORÁ R$ 108.039,06 R$ 10.803,91 123.077,42R$ -R$ 12.307,75R$
BA APUAREMA R$ 108.039,06 R$ 10.803,91 123.077,42R$ -R$ 12.307,75R$
BA ARAÇÁS R$ 166.962,73 R$ 10.803,91 190.202,90R$ -R$ 12.307,75R$
BA ARACATU R$ 108.039,06 R$ 10.803,91 123.077,42R$ -R$ 12.307,75R$
BA ARACI R$ 256.478,78 R$ 25.357,17 292.179,02R$ -R$ 28.886,73R$
BA ARAMARI R$ 108.039,06 R$ 10.803,91 123.077,42R$ -R$ 12.307,75R$
BA ARATACA R$ 108.039,06 R$ 10.803,91 123.077,42R$ -R$ 12.307,75R$
BA ARATUÍPE R$ 108.039,06 R$ 10.803,91 123.077,42R$ -R$ 12.307,75R$
BA AURELINO LEAL R$ 108.039,06 R$ 10.803,91 123.077,42R$ -R$ 12.307,75R$
BA BAIANÓPOLIS R$ 108.039,06 R$ 10.803,91 123.077,42R$ -R$ 12.307,75R$
BA BAIXA GRANDE R$ 108.039,06 R$ 27.598,29 123.077,42R$ -R$ 31.439,80R$
BA BANZAÊ R$ 108.039,06 R$ 10.803,91 123.077,42R$ -R$ 12.307,75R$
BA BARRA R$ 276.685,12 R$ 10.803,91 315.197,96R$ -R$ 12.307,75R$
BA BARRA DA ESTIVA R$ 108.039,06 R$ 10.803,91 123.077,42R$ -R$ 12.307,75R$
BA BARRA DO CHOÇA R$ 210.109,81 R$ 14.861,61 239.355,78R$ -R$ 16.930,25R$
BA BARRA DO MENDES R$ 108.039,06 R$ 10.803,91 123.077,42R$ -R$ 12.307,75R$
BA BARRA DO ROCHA R$ 108.039,06 R$ 10.803,91 123.077,42R$ -R$ 12.307,75R$
BA BARREIRAS R$ 744.698,90 R$ 41.289,69 848.356,33R$ -R$ 47.036,96R$
BA BARRO ALTO R$ 108.039,06 R$ 10.803,91 123.077,42R$ -R$ 12.307,75R$
BA BARRO PRETO R$ 108.039,06 R$ 10.803,91 123.077,42R$ -R$ 12.307,75R$
BA BARROCAS R$ 108.039,06 R$ 10.803,91 123.077,42R$ -R$ 12.307,75R$
BA BELMONTE R$ 108.039,06 R$ 10.803,91 123.077,42R$ -R$ 12.307,75R$
BA BELO CAMPO R$ 215.586,40 R$ 10.803,91 245.594,68R$ -R$ 12.307,75R$
BA BIRITINGA R$ 108.039,06 R$ 10.803,91 123.077,42R$ -R$ 12.307,75R$
BA BOA NOVA R$ 108.039,06 R$ 10.803,91 123.077,42R$ -R$ 12.307,75R$
BA BOA VISTA DO TUPIM R$ 108.039,06 R$ 13.576,77 123.077,42R$ -R$ 15.466,57R$
BA BOM JESUS DA LAPA R$ 293.925,70 R$ 20.725,63 334.838,32R$ -R$ 23.610,51R$
BA BOM JESUS DA SERRA R$ 108.039,06 R$ 10.803,91 123.077,42R$ -R$ 12.307,75R$
BA BONINAL R$ 108.039,06 R$ 10.803,91 123.077,42R$ -R$ 12.307,75R$
BA BONITO R$ 108.039,06 R$ 10.803,91 123.077,42R$ -R$ 12.307,75R$
BA BOQUIRA R$ 108.039,06 R$ 10.803,91 123.077,42R$ -R$ 12.307,75R$
BA BOTUPORÃ R$ 108.039,06 R$ 10.803,91 123.077,42R$ -R$ 12.307,75R$
BA BREJÕES R$ 146.613,23 R$ 10.803,91 167.020,88R$ -R$ 12.307,75R$
BA BREJOLÂNDIA R$ 108.039,06 R$ 10.803,91 123.077,42R$ -R$ 12.307,75R$
BA BROTAS DE MACAÚBAS R$ 108.039,06 R$ 10.803,91 123.077,42R$ -R$ 12.307,75R$
BA BRUMADO R$ 292.443,77 R$ 46.681,24 333.150,11R$ -R$ 53.178,98R$
BA BUERAREMA R$ 108.039,06 R$ 10.803,91 123.077,42R$ -R$ 12.307,75R$
BA BURITIRAMA R$ 108.039,06 R$ 10.803,91 123.077,42R$ -R$ 12.307,75R$
BA CAATIBA R$ 108.039,06 R$ 10.803,91 123.077,42R$ -R$ 12.307,75R$
BA CABACEIRAS DO PARAGUAÇU R$ 108.039,06 R$ 10.803,91 123.077,42R$ -R$ 12.307,75R$
BA CACHOEIRA R$ 164.606,58 R$ 10.803,91 187.518,79R$ -R$ 12.307,75R$
BA CACULÉ R$ 108.039,06 R$ 14.895,24 123.077,42R$ -R$ 16.968,56R$
4
Tribunal Superior Eleitoral
PREFEITO
1º TURNO 1º TURNO 2º TURNO
UF
POSSIBILIDADE
DE SEGUNDO
TURNO
VEREADORVEREADOR
LIMITE DE GASTOS OBSERVADO
O MÍNIMO LEGAL (R$ 100,000,00
PARA PREFEITO E R$ 10.000,00
PARA VEREADOR ) EM 2016***
LIMITE DE GASTOS 2020 (ATUALIZADO PELO IPCA DE
JUNHO/2016 ATÉ JUNHO/2020*)
PREFEITO
MUNICÍPIO**
BA CAEM R$ 108.039,06 R$ 10.803,91 123.077,42R$ -R$ 12.307,75R$
BA CAETANOS R$ 108.039,06 R$ 10.803,91 123.077,42R$ -R$ 12.307,75R$
BA CAETITÉ R$ 531.467,90 R$ 32.574,87 605.444,91R$ -R$ 37.109,09R$
BA CAFARNAUM R$ 108.039,06 R$ 10.803,91 123.077,42R$ -R$ 12.307,75R$
BA CAIRU R$ 234.082,16 R$ 14.887,63 266.664,93R$ -R$ 16.959,90R$
BA CALDEIRÃO GRANDE R$ 108.039,06 R$ 10.803,91 123.077,42R$ -R$ 12.307,75R$
BA CAMACÃ R$ 108.039,06 R$ 10.803,91 123.077,42R$ -R$ 12.307,75R$
BA CAMAÇARI R$ 4.117.178,04 R$ 214.842,78 4.690.263,49R$ -R$ 244.747,55R$
BA CAMAMU R$ 108.039,06 R$ 10.803,91 123.077,42R$ -R$ 12.307,75R$
BA CAMPO ALEGRE DE LOURDES R$ 108.039,06 R$ 10.803,91 123.077,42R$ -R$ 12.307,75R$
BA CAMPO FORMOSO R$ 556.877,75 R$ 43.090,78 634.391,65R$ -R$ 49.088,75R$
BA CANÁPOLIS R$ 108.039,06 R$ 10.803,91 123.077,42R$ -R$ 12.307,75R$
BA CANARANA R$ 108.039,06 R$ 10.803,91 123.077,42R$ -R$ 12.307,75R$
BA CANAVIEIRAS R$ 229.321,27 R$ 18.026,33 261.241,36R$ -R$ 20.535,48R$
BA CANDEAL R$ 108.039,06 R$ 10.803,91 123.077,42R$ -R$ 12.307,75R$
BA CANDEIAS R$ 1.132.297,07 R$ 54.446,31 1.289.905,74R$ -R$ 62.024,90R$
BA CANDIBA R$ 108.039,06 R$ 10.803,91 123.077,42R$ -R$ 12.307,75R$
BA CÂNDIDO SALES R$ 108.039,06 R$ 15.774,34 123.077,42R$ -R$ 17.970,03R$
BA CANSANÇÃO R$ 108.039,06 R$ 10.803,91 123.077,42R$ -R$ 12.307,75R$
BA CANUDOS R$ 108.039,06 R$ 10.803,91 123.077,42R$ -R$ 12.307,75R$
BA CAPELA DO ALTO ALEGRE R$ 108.039,06 R$ 15.771,52 123.077,42R$ -R$ 17.966,82R$
BA CAPIM GROSSO R$ 306.262,91 R$ 15.092,68 348.892,79R$ -R$ 17.193,49R$
BA CARAÍBAS R$ 108.039,06 R$ 10.803,91 123.077,42R$ -R$ 12.307,75R$
BA CARAVELAS R$ 138.576,64 R$ 10.803,91 157.865,64R$ -R$ 12.307,75R$
BA CARDEAL DA SILVA R$ 108.039,06 R$ 10.803,91 123.077,42R$ -R$ 12.307,75R$
BA CARINHANHA R$ 153.834,81 R$ 21.512,15 175.247,65R$ -R$ 24.506,51R$
BA CASA NOVA R$ 457.864,37 R$ 37.336,00 521.596,23R$ -R$ 42.532,94R$
BA CASTRO ALVES R$ 229.572,46 R$ 13.532,05 261.527,51R$ -R$ 15.415,63R$
BA CATOLÂNDIA R$ 108.039,06 R$ 10.803,91 123.077,42R$ -R$ 12.307,75R$
BA CATU R$ 411.469,09 R$ 14.606,73 468.743,02R$ -R$ 16.639,90R$
BA CATURAMA R$ 108.039,06 R$ 10.803,91 123.077,42R$ -R$ 12.307,75R$
BA CENTRAL R$ 108.039,06 R$ 10.803,91 123.077,42R$ -R$ 12.307,75R$
BA CHORROCHÓ R$ 108.039,06 R$ 10.803,91 123.077,42R$ -R$ 12.307,75R$
BA CÍCERO DANTAS R$ 241.540,78 R$ 25.290,24 275.161,75R$ -R$ 28.810,48R$
BA CIPÓ R$ 108.039,06 R$ 10.803,91 123.077,42R$ -R$ 12.307,75R$
BA COARACI R$ 108.039,06 R$ 10.803,91 123.077,42R$ -R$ 12.307,75R$
BA COCOS R$ 146.882,06 R$ 10.803,91 167.327,12R$ -R$ 12.307,75R$
BA CONCEIÇÃO DA FEIRA R$ 153.820,61 R$ 24.383,64 175.231,48R$ -R$ 27.777,69R$
BA CONCEIÇÃO DO ALMEIDA R$ 108.039,06 R$ 13.773,37 123.077,42R$ -R$ 15.690,54R$
BA CONCEIÇÃO DO COITÉ R$ 318.477,21 R$ 17.297,17 362.807,25R$ -R$ 19.704,83R$
BA CONCEIÇÃO DO JACUÍPE R$ 108.039,06 R$ 10.803,91 123.077,42R$ -R$ 12.307,75R$
BA CONDE R$ 235.776,92 R$ 10.803,91 268.595,59R$ -R$ 12.307,75R$
BA CONDEÚBA R$ 108.039,06 R$ 19.701,63 123.077,42R$ -R$ 22.443,97R$
BA CONTENDAS DO SINCORÁ R$ 108.039,06 R$ 10.803,91 123.077,42R$ -R$ 12.307,75R$
BA CORAÇÃO DE MARIA R$ 237.263,65 R$ 14.592,68 270.289,27R$ -R$ 16.623,89R$
BA CORDEIROS R$ 108.039,06 R$ 10.803,91 123.077,42R$ -R$ 12.307,75R$
BA CORIBE R$ 220.464,24 R$ 10.803,91 251.151,48R$ -R$ 12.307,75R$
BA CORONEL JOÃO SÁ R$ 151.778,88 R$ 10.803,91 172.905,55R$ -R$ 12.307,75R$
BA CORRENTINA R$ 196.438,72 R$ 35.458,35 223.781,76R$ -R$ 40.393,93R$
BA COTEGIPE R$ 108.039,06 R$ 10.803,91 123.077,42R$ -R$ 12.307,75R$
BA CRAVOLÂNDIA R$ 141.255,25 R$ 10.803,91 160.917,10R$ -R$ 12.307,75R$
BA CRISÓPOLIS R$ 108.039,06 R$ 19.295,86 123.077,42R$ -R$ 21.981,72R$
BA CRISTÓPOLIS R$ 271.568,47 R$ 16.490,62 309.369,10R$ -R$ 18.786,01R$
BA CRUZ DAS ALMAS R$ 247.283,94 R$ 39.325,80 281.704,32R$ -R$ 44.799,71R$
BA CURAÇÁ R$ 178.005,44 R$ 14.206,91 202.782,68R$ -R$ 16.184,42R$
BA DÁRIO MEIRA R$ 108.039,06 R$ 10.803,91 123.077,42R$ -R$ 12.307,75R$
BA DIAS D'ÁVILA R$ 631.608,79 R$ 138.735,82 719.524,79R$ -R$ 158.046,98R$
BA DOM BASÍLIO R$ 108.039,06 R$ 10.803,91 123.077,42R$ -R$ 12.307,75R$
BA DOM MACEDO COSTA R$ 108.039,06 R$ 10.803,91 123.077,42R$ -R$ 12.307,75R$
BA ELÍSIO MEDRADO R$ 108.039,06 R$ 23.240,81 123.077,42R$ -R$ 26.475,79R$
BA ENCRUZILHADA R$ 142.334,54 R$ 14.587,59 162.146,62R$ -R$ 16.618,09R$
BA ENTRE RIOS R$ 697.967,39 R$ 16.590,81 795.120,09R$ -R$ 18.900,15R$
BA ÉRICO CARDOSO R$ 108.039,06 R$ 10.803,91 123.077,42R$ -R$ 12.307,75R$
BA ESPLANADA R$ 108.039,06 R$ 15.716,28 123.077,42R$ -R$ 17.903,89R$
BA EUCLIDES DA CUNHA R$ 587.032,38 R$ 36.798,80 668.743,62R$ -R$ 41.920,96R$
BA EUNÁPOLIS R$ 223.157,43 R$ 42.716,25 254.219,55R$ -R$ 48.662,08R$
5
Tribunal Superior Eleitoral
PREFEITO
1º TURNO 1º TURNO 2º TURNO
UF
POSSIBILIDADE
DE SEGUNDO
TURNO
VEREADORVEREADOR
LIMITE DE GASTOS OBSERVADO
O MÍNIMO LEGAL (R$ 100,000,00
PARA PREFEITO E R$ 10.000,00
PARA VEREADOR ) EM 2016***
LIMITE DE GASTOS 2020 (ATUALIZADO PELO IPCA DE
JUNHO/2016 ATÉ JUNHO/2020*)
PREFEITO
MUNICÍPIO**
BA FÁTIMA R$ 108.039,06 R$ 15.323,58 123.077,42R$ -R$ 17.456,53R$
BA FEIRA DA MATA R$ 108.039,06 R$ 10.803,91 123.077,42R$ -R$ 12.307,75R$
BA FEIRA DE SANTANA SIM R$ 1.587.234,71 R$ 66.792,43 1.808.167,86R$ 723.267,14R$ 76.089,52R$
BA FILADÉLFIA R$ 162.608,45 R$ 10.803,91 185.242,53R$ -R$ 12.307,75R$
BA FIRMINO ALVES R$ 108.039,06 R$ 10.803,91 123.077,42R$ -R$ 12.307,75R$
BA FLORESTA AZUL R$ 108.039,06 R$ 10.803,91 123.077,42R$ -R$ 12.307,75R$
BA FORMOSA DO RIO PRETO R$ 248.706,45 R$ 13.923,21 283.324,83R$ -R$ 15.861,23R$
BA GANDU R$ 329.527,68 R$ 10.803,91 375.395,87R$ -R$ 12.307,75R$
BA GAVIÃO R$ 108.039,06 R$ 10.803,91 123.077,42R$ -R$ 12.307,75R$
BA GENTIO DO OURO R$ 108.039,06 R$ 10.803,91 123.077,42R$ -R$ 12.307,75R$
BA GLÓRIA R$ 278.341,59 R$ 18.376,92 317.085,00R$ -R$ 20.934,87R$
BA GONGOGI R$ 108.039,06 R$ 10.803,91 123.077,42R$ -R$ 12.307,75R$
BA GOVERNADOR MANGABEIRA R$ 108.039,06 R$ 18.371,64 123.077,42R$ -R$ 20.928,86R$
BA GUAJERU R$ 108.039,06 R$ 10.803,91 123.077,42R$ -R$ 12.307,75R$
BA GUANAMBI R$ 439.300,89 R$ 63.912,96 500.448,83R$ -R$ 72.809,24R$
BA GUARATINGA R$ 108.039,06 R$ 10.803,91 123.077,42R$ -R$ 12.307,75R$
BA HELIÓPOLIS R$ 108.039,06 R$ 10.803,91 123.077,42R$ -R$ 12.307,75R$
BA IAÇU R$ 108.039,06 R$ 10.803,91 123.077,42R$ -R$ 12.307,75R$
BA IBIASSUCÊ R$ 108.039,06 R$ 10.803,91 123.077,42R$ -R$ 12.307,75R$
BA IBICARAÍ R$ 253.785,45 R$ 19.953,16 289.110,80R$ -R$ 22.730,52R$
BA IBICOARA R$ 108.039,06 R$ 10.803,91 123.077,42R$ -R$ 12.307,75R$
BA IBICUÍ R$ 108.039,06 R$ 10.803,91 123.077,42R$ -R$ 12.307,75R$
BA IBIPEBA R$ 108.039,06 R$ 10.803,91 123.077,42R$ -R$ 12.307,75R$
BA IBIPITANGA R$ 108.039,06 R$ 10.803,91 123.077,42R$ -R$ 12.307,75R$
BA IBIQUERA R$ 108.039,06 R$ 10.803,91 123.077,42R$ -R$ 12.307,75R$
BA IBIRAPITANGA R$ 166.140,42 R$ 10.803,91 189.266,13R$ -R$ 12.307,75R$
BA IBIRAPUÃ R$ 190.571,44 R$ 10.803,91 217.097,79R$ -R$ 12.307,75R$
BA IBIRATAIA R$ 176.024,17 R$ 10.803,91 200.525,63R$ -R$ 12.307,75R$
BA IBITIARA R$ 108.039,06 R$ 10.803,91 123.077,42R$ -R$ 12.307,75R$
BA IBITITÁ R$ 108.039,06 R$ 10.803,91 123.077,42R$ -R$ 12.307,75R$
BA IBOTIRAMA R$ 108.039,06 R$ 31.881,99 123.077,42R$ -R$ 36.319,76R$
BA ICHU R$ 108.039,06 R$ 10.803,91 123.077,42R$ -R$ 12.307,75R$
BA IGAPORÃ R$ 108.039,06 R$ 13.750,92 123.077,42R$ -R$ 15.664,96R$
BA IGRAPIÚNA R$ 108.039,06 R$ 10.803,91 123.077,42R$ -R$ 12.307,75R$
BA IGUAÍ R$ 108.039,06 R$ 10.803,91 123.077,42R$ -R$ 12.307,75R$
BA ILHÉUS R$ 501.343,54 R$ 96.623,90 571.127,43R$ -R$ 110.073,34R$
BA INHAMBUPE R$ 317.415,41 R$ 19.503,73 361.597,65R$ -R$ 22.218,53R$
BA IPECAETÁ R$ 245.661,93 R$ 10.803,91 279.856,53R$ -R$ 12.307,75R$
BA IPIAÚ R$ 461.522,39 R$ 14.126,30 525.763,42R$ -R$ 16.092,59R$
BA IPIRÁ R$ 143.908,30 R$ 10.803,91 163.939,44R$ -R$ 12.307,75R$
BA IPUPIARA R$ 108.039,06 R$ 10.803,91 123.077,42R$ -R$ 12.307,75R$
BA IRAJUBA R$ 108.039,06 R$ 10.803,91 123.077,42R$ -R$ 12.307,75R$
BA IRAMAIA R$ 108.039,06 R$ 10.803,91 123.077,42R$ -R$ 12.307,75R$
BA IRAQUARA R$ 108.039,06 R$ 10.803,91 123.077,42R$ -R$ 12.307,75R$
BA IRARÁ R$ 209.731,32 R$ 14.213,47 238.924,61R$ -R$ 16.191,90R$
BA IRECÊ R$ 176.835,03 R$ 16.692,87 201.449,36R$ -R$ 19.016,41R$
BA ITABELA R$ 193.185,48 R$ 10.803,91 220.075,69R$ -R$ 12.307,75R$
BA ITABERABA R$ 158.319,96 R$ 20.670,94 180.357,11R$ -R$ 23.548,21R$
BA ITABUNA R$ 574.955,25 R$ 48.655,80 654.985,43R$ -R$ 55.428,38R$
BA ITACARÉ R$ 197.278,60 R$ 21.142,30 224.738,55R$ -R$ 24.085,18R$
BA ITAETÉ R$ 108.039,06 R$ 10.803,91 123.077,42R$ -R$ 12.307,75R$
BA ITAGI R$ 108.039,06 R$ 10.803,91 123.077,42R$ -R$ 12.307,75R$
BA ITAGIBÁ R$ 176.931,47 R$ 10.803,91 201.559,22R$ -R$ 12.307,75R$
BA ITAGIMIRIM R$ 173.442,71 R$ 10.803,91 197.584,85R$ -R$ 12.307,75R$
BA ITAGUAÇU DA BAHIA R$ 108.039,06 R$ 10.803,91 123.077,42R$ -R$ 12.307,75R$
BA ITAJU DO COLÔNIA R$ 108.039,06 R$ 16.107,57 123.077,42R$ -R$ 18.349,64R$
BA ITAJUÍPE R$ 147.606,15 R$ 10.803,91 168.152,00R$ -R$ 12.307,75R$
BA ITAMARAJU R$ 108.039,06 R$ 36.984,98 123.077,42R$ -R$ 42.133,06R$
BA ITAMARI R$ 108.039,06 R$ 10.803,91 123.077,42R$ -R$ 12.307,75R$
BA ITAMBÉ R$ 108.039,06 R$ 10.803,91 123.077,42R$ -R$ 12.307,75R$
BA ITANAGRA R$ 161.897,30 R$ 10.803,91 184.432,39R$ -R$ 12.307,75R$
BA ITANHÉM R$ 108.039,06 R$ 14.489,69 123.077,42R$ -R$ 16.506,56R$
BA ITAPARICA R$ 136.109,42 R$ 18.726,57 155.055,00R$ -R$ 21.333,19R$
BA ITAPÉ R$ 108.039,06 R$ 10.803,91 123.077,42R$ -R$ 12.307,75R$
BA ITAPEBI R$ 108.039,06 R$ 10.803,91 123.077,42R$ -R$ 12.307,75R$
BA ITAPETINGA R$ 139.534,96 R$ 24.760,49 158.957,35R$ -R$ 28.207,00R$
6
Tribunal Superior Eleitoral
PREFEITO
1º TURNO 1º TURNO 2º TURNO
UF
POSSIBILIDADE
DE SEGUNDO
TURNO
VEREADORVEREADOR
LIMITE DE GASTOS OBSERVADO
O MÍNIMO LEGAL (R$ 100,000,00
PARA PREFEITO E R$ 10.000,00
PARA VEREADOR ) EM 2016***
LIMITE DE GASTOS 2020 (ATUALIZADO PELO IPCA DE
JUNHO/2016 ATÉ JUNHO/2020*)
PREFEITO
MUNICÍPIO**
BA ITAPICURU R$ 108.039,06 R$ 16.118,51 123.077,42R$ -R$ 18.362,11R$
BA ITAPITANGA R$ 108.039,06 R$ 10.803,91 123.077,42R$ -R$ 12.307,75R$
BA ITAQUARA R$ 108.039,06 R$ 10.803,91 123.077,42R$ -R$ 12.307,75R$
BA ITARANTIM R$ 108.039,06 R$ 10.803,91 123.077,42R$ -R$ 12.307,75R$
BA ITATIM R$ 108.039,06 R$ 10.803,91 123.077,42R$ -R$ 12.307,75R$
BA ITIRUÇU R$ 176.779,80 R$ 10.803,91 201.386,44R$ -R$ 12.307,75R$
BA ITIÚBA R$ 108.039,06 R$ 10.803,91 123.077,42R$ -R$ 12.307,75R$
BA ITORORÓ R$ 108.039,06 R$ 10.803,91 123.077,42R$ -R$ 12.307,75R$
BA ITUAÇU R$ 108.039,06 R$ 10.803,91 123.077,42R$ -R$ 12.307,75R$
BA ITUBERÁ R$ 108.039,06 R$ 10.803,91 123.077,42R$ -R$ 12.307,75R$
BA IUIU R$ 108.039,06 R$ 10.803,91 123.077,42R$ -R$ 12.307,75R$
BA JABORANDI R$ 153.954,90 R$ 10.803,91 175.384,46R$ -R$ 12.307,75R$
BA JACARACI R$ 108.039,06 R$ 10.803,91 123.077,42R$ -R$ 12.307,75R$
BA JACOBINA R$ 270.411,65 R$ 20.032,11 308.051,26R$ -R$ 22.820,45R$
BA JAGUAQUARA R$ 390.955,99 R$ 20.017,94 445.374,62R$ -R$ 22.804,31R$
BA JAGUARARI R$ 108.039,06 R$ 18.042,36 123.077,42R$ -R$ 20.553,74R$
BA JAGUARIPE R$ 108.039,06 R$ 10.803,91 123.077,42R$ -R$ 12.307,75R$
BA JANDAÍRA R$ 108.039,06 R$ 10.803,91 123.077,42R$ -R$ 12.307,75R$
BA JEQUIÉ R$ 257.742,25 R$ 32.913,02 293.618,36R$ -R$ 37.494,31R$
BA JEREMOABO R$ 146.375,03 R$ 10.803,91 166.749,52R$ -R$ 12.307,75R$
BA JIQUIRIÇÁ R$ 108.039,06 R$ 10.803,91 123.077,42R$ -R$ 12.307,75R$
BA JITAÚNA R$ 108.039,06 R$ 10.803,91 123.077,42R$ -R$ 12.307,75R$
BA JOÃO DOURADO R$ 108.039,06 R$ 13.970,02 123.077,42R$ -R$ 15.914,56R$
BA JUAZEIRO R$ 1.450.710,05 R$ 60.861,36 1.652.639,82R$ -R$ 69.332,88R$
BA JUCURUÇU R$ 108.039,06 R$ 10.803,91 123.077,42R$ -R$ 12.307,75R$
BA JUSSARA R$ 108.039,06 R$ 10.803,91 123.077,42R$ -R$ 12.307,75R$
BA JUSSARI R$ 108.039,06 R$ 10.803,91 123.077,42R$ -R$ 12.307,75R$
BA JUSSIAPE R$ 108.039,06 R$ 10.803,91 123.077,42R$ -R$ 12.307,75R$
BA LAFAIETE COUTINHO R$ 108.039,06 R$ 10.803,91 123.077,42R$ -R$ 12.307,75R$
BA LAGOA REAL R$ 108.039,06 R$ 17.335,19 123.077,42R$ -R$ 19.748,14R$
BA LAJE R$ 108.039,06 R$ 14.532,66 123.077,42R$ -R$ 16.555,52R$
BA LAJEDÃO R$ 108.039,06 R$ 10.803,91 123.077,42R$ -R$ 12.307,75R$
BA LAJEDINHO R$ 108.039,06 R$ 10.803,91 123.077,42R$ -R$ 12.307,75R$
BA LAJEDO DO TABOCAL R$ 108.039,06 R$ 10.803,91 123.077,42R$ -R$ 12.307,75R$
BA LAMARÃO R$ 108.039,06 R$ 10.803,91 123.077,42R$ -R$ 12.307,75R$
BA LAPÃO R$ 108.039,06 R$ 16.240,62 123.077,42R$ -R$ 18.501,21R$
BA LAURO DE FREITAS R$ 935.092,05 R$ 140.449,30 1.065.251,02R$ -R$ 159.998,96R$
BA LENÇÓIS R$ 108.039,06 R$ 13.479,86 123.077,42R$ -R$ 15.356,17R$
BA LICÍNIO DE ALMEIDA R$ 108.039,06 R$ 10.803,91 123.077,42R$ -R$ 12.307,75R$
BA LIVRAMENTO DE NOSSA SENHORA R$ 144.771,18 R$ 15.758,41 164.922,42R$ -R$ 17.951,88R$
BA LUÍS EDUARDO MAGALHÃES R$ 1.103.875,92 R$ 38.980,82 1.257.528,55R$ -R$ 44.406,71R$
BA MACAJUBA R$ 108.039,06 R$ 10.803,91 123.077,42R$ -R$ 12.307,75R$
BA MACARANI R$ 177.469,65 R$ 16.509,43 202.172,32R$ -R$ 18.807,44R$
BA MACAÚBAS R$ 192.169,75 R$ 14.981,26 218.918,58R$ -R$ 17.066,56R$
BA MACURURÉ R$ 108.039,06 R$ 10.803,91 123.077,42R$ -R$ 12.307,75R$
BA MADRE DE DEUS R$ 272.489,44 R$ 34.603,04 310.418,27R$ -R$ 39.419,57R$
BA MAETINGA R$ 108.039,06 R$ 10.803,91 123.077,42R$ -R$ 12.307,75R$
BA MAIQUINIQUE R$ 108.039,06 R$ 10.803,91 123.077,42R$ -R$ 12.307,75R$
BA MAIRI R$ 169.241,40 R$ 16.301,03 192.798,74R$ -R$ 18.570,03R$
BA MALHADA R$ 108.039,06 R$ 10.803,91 123.077,42R$ -R$ 12.307,75R$
BA MALHADA DE PEDRAS R$ 108.039,06 R$ 19.123,11 123.077,42R$ -R$ 21.784,93R$
BA MANOEL VITORINO R$ 108.039,06 R$ 14.720,87 123.077,42R$ -R$ 16.769,92R$
BA MANSIDÃO R$ 108.039,06 R$ 10.803,91 123.077,42R$ -R$ 12.307,75R$
BA MARACÁS R$ 108.039,06 R$ 17.718,90 123.077,42R$ -R$ 20.185,26R$
BA MARAGOGIPE R$ 266.868,42 R$ 10.803,91 304.014,84R$ -R$ 12.307,75R$
BA MARAÚ R$ 108.039,06 R$ 10.803,91 123.077,42R$ -R$ 12.307,75R$
BA MARCIONÍLIO SOUZA R$ 108.039,06 R$ 10.803,91 123.077,42R$ -R$ 12.307,75R$
BA MASCOTE R$ 108.039,06 R$ 10.803,91 123.077,42R$ -R$ 12.307,75R$
BA MATA DE SÃO JOÃO R$ 232.958,57 R$ 23.238,78 265.384,95R$ -R$ 26.473,47R$
BA MATINA R$ 108.039,06 R$ 10.803,91 123.077,42R$ -R$ 12.307,75R$
BA MEDEIROS NETO R$ 309.762,57 R$ 17.610,71 352.879,58R$ -R$ 20.062,01R$
BA MIGUEL CALMON R$ 108.039,06 R$ 10.803,91 123.077,42R$ -R$ 12.307,75R$
BA MILAGRES R$ 108.039,06 R$ 10.803,91 123.077,42R$ -R$ 12.307,75R$
BA MIRANGABA R$ 108.039,06 R$ 10.803,91 123.077,42R$ -R$ 12.307,75R$
BA MIRANTE R$ 108.039,06 R$ 10.803,91 123.077,42R$ -R$ 12.307,75R$
BA MONTE SANTO R$ 108.039,06 R$ 15.189,26 123.077,42R$ -R$ 17.303,51R$
7
Tribunal Superior Eleitoral
PREFEITO
1º TURNO 1º TURNO 2º TURNO
UF
POSSIBILIDADE
DE SEGUNDO
TURNO
VEREADORVEREADOR
LIMITE DE GASTOS OBSERVADO
O MÍNIMO LEGAL (R$ 100,000,00
PARA PREFEITO E R$ 10.000,00
PARA VEREADOR ) EM 2016***
LIMITE DE GASTOS 2020 (ATUALIZADO PELO IPCA DE
JUNHO/2016 ATÉ JUNHO/2020*)
PREFEITO
MUNICÍPIO**
BA MORPARÁ R$ 108.039,06 R$ 10.803,91 123.077,42R$ -R$ 12.307,75R$
BA MORRO DO CHAPÉU R$ 284.466,01 R$ 23.595,48 324.061,90R$ -R$ 26.879,82R$
BA MORTUGABA R$ 108.039,06 R$ 28.693,79 123.077,42R$ -R$ 32.687,79R$
BA MUCUGÊ R$ 108.039,06 R$ 13.947,82 123.077,42R$ -R$ 15.889,27R$
BA MUCURI R$ 450.366,23 R$ 69.543,26 513.054,39R$ -R$ 79.223,25R$
BA MULUNGU DO MORRO R$ 108.039,06 R$ 10.803,91 123.077,42R$ -R$ 12.307,75R$
BA MUNDO NOVO R$ 138.836,03 R$ 15.372,64 158.161,14R$ -R$ 17.512,42R$
BA MUNIZ FERREIRA R$ 108.039,06 R$ 10.803,91 123.077,42R$ -R$ 12.307,75R$
BA MUQUÉM DO SÃO FRANCISCO R$ 108.039,06 R$ 10.803,91 123.077,42R$ -R$ 12.307,75R$
BA MURITIBA R$ 188.507,49 R$ 10.803,91 214.746,55R$ -R$ 12.307,75R$
BA MUTUÍPE R$ 108.039,06 R$ 14.864,20 123.077,42R$ -R$ 16.933,20R$
BA NAZARÉ R$ 108.039,06 R$ 10.803,91 123.077,42R$ -R$ 12.307,75R$
BA NILO PEÇANHA R$ 108.039,06 R$ 10.803,91 123.077,42R$ -R$ 12.307,75R$
BA NORDESTINA R$ 108.039,06 R$ 10.803,91 123.077,42R$ -R$ 12.307,75R$
BA NOVA CANAÃ R$ 108.039,06 R$ 10.803,91 123.077,42R$ -R$ 12.307,75R$
BA NOVA FÁTIMA R$ 108.039,06 R$ 10.803,91 123.077,42R$ -R$ 12.307,75R$
BA NOVA IBIÁ R$ 108.039,06 R$ 10.803,91 123.077,42R$ -R$ 12.307,75R$
BA NOVA ITARANA R$ 108.039,06 R$ 10.803,91 123.077,42R$ -R$ 12.307,75R$
BA NOVA REDENÇÃO R$ 108.039,06 R$ 10.803,91 123.077,42R$ -R$ 12.307,75R$
BA NOVA SOURE R$ 108.039,06 R$ 10.803,91 123.077,42R$ -R$ 12.307,75R$
BA NOVA VIÇOSA R$ 278.130,72 R$ 17.680,48 316.844,78R$ -R$ 20.141,49R$
BA NOVO HORIZONTE R$ 108.039,06 R$ 10.803,91 123.077,42R$ -R$ 12.307,75R$
BA NOVO TRIUNFO R$ 108.039,06 R$ 10.803,91 123.077,42R$ -R$ 12.307,75R$
BA OLINDINA R$ 108.039,06 R$ 10.803,91 123.077,42R$ -R$ 12.307,75R$
BA OLIVEIRA DOS BREJINHOS R$ 108.039,06 R$ 10.803,91 123.077,42R$ -R$ 12.307,75R$
BA OURIÇANGAS R$ 108.039,06 R$ 10.803,91 123.077,42R$ -R$ 12.307,75R$
BA OUROLÂNDIA R$ 108.039,06 R$ 10.803,91 123.077,42R$ -R$ 12.307,75R$
BA PALMAS DE MONTE ALTO R$ 108.039,06 R$ 16.049,61 123.077,42R$ -R$ 18.283,62R$
BA PALMEIRAS R$ 108.039,06 R$ 10.803,91 123.077,42R$ -R$ 12.307,75R$
BA PARAMIRIM R$ 108.039,06 R$ 10.803,91 123.077,42R$ -R$ 12.307,75R$
BA PARATINGA R$ 198.082,76 R$ 33.567,38 225.654,64R$ -R$ 38.239,75R$
BA PARIPIRANGA R$ 108.039,06 R$ 10.803,91 123.077,42R$ -R$ 12.307,75R$
BA PAU BRASIL R$ 108.039,06 R$ 10.803,91 123.077,42R$ -R$ 12.307,75R$
BA PAULO AFONSO R$ 286.149,31 R$ 34.082,36 325.979,51R$ -R$ 38.826,41R$
BA PÉ DE SERRA R$ 108.039,06 R$ 23.955,97 123.077,42R$ -R$ 27.290,49R$
BA PEDRÃO R$ 108.039,06 R$ 10.803,91 123.077,42R$ -R$ 12.307,75R$
BA PEDRO ALEXANDRE R$ 108.039,06 R$ 10.803,91 123.077,42R$ -R$ 12.307,75R$
BA PIATÃ R$ 108.039,06 R$ 10.803,91 123.077,42R$ -R$ 12.307,75R$
BA PILÃO ARCADO R$ 108.039,06 R$ 19.550,54 123.077,42R$ -R$ 22.271,85R$
BA PINDAÍ R$ 108.039,06 R$ 10.803,91 123.077,42R$ -R$ 12.307,75R$
BA PINDOBAÇU R$ 108.039,06 R$ 10.803,91 123.077,42R$ -R$ 12.307,75R$
BA PINTADAS R$ 108.039,06 R$ 10.803,91 123.077,42R$ -R$ 12.307,75R$
BA PIRAÍ DO NORTE R$ 108.039,06 R$ 10.803,91 123.077,42R$ -R$ 12.307,75R$
BA PIRIPÁ R$ 108.039,06 R$ 10.803,91 123.077,42R$ -R$ 12.307,75R$
BA PIRITIBA R$ 108.039,06 R$ 16.760,28 123.077,42R$ -R$ 19.093,21R$
BA PLANALTINO R$ 147.355,86 R$ 10.803,91 167.866,87R$ -R$ 12.307,75R$
BA PLANALTO R$ 108.039,06 R$ 10.803,91 123.077,42R$ -R$ 12.307,75R$
BA POÇÕES R$ 108.039,06 R$ 10.803,91 123.077,42R$ -R$ 12.307,75R$
BA POJUCA R$ 416.783,31 R$ 40.628,79 474.796,94R$ -R$ 46.284,06R$
BA PONTO NOVO R$ 108.039,06 R$ 10.803,91 123.077,42R$ -R$ 12.307,75R$
BA PORTO SEGURO R$ 260.081,20 R$ 59.089,36 296.282,88R$ -R$ 67.314,23R$
BA POTIRAGUÁ R$ 218.772,03 R$ 10.803,91 249.223,73R$ -R$ 12.307,75R$
BA PRADO R$ 239.859,31 R$ 10.803,91 273.246,23R$ -R$ 12.307,75R$
BA PRESIDENTE DUTRA R$ 108.039,06 R$ 10.803,91 123.077,42R$ -R$ 12.307,75R$
BA PRESIDENTE JÂNIO QUADROS R$ 108.039,06 R$ 10.803,91 123.077,42R$ -R$ 12.307,75R$
BA PRESIDENTE TANCREDO NEVES R$ 167.316,77 R$ 10.803,91 190.606,22R$ -R$ 12.307,75R$
BA QUEIMADAS R$ 108.039,06 R$ 10.803,91 123.077,42R$ -R$ 12.307,75R$
BA QUIJINGUE R$ 169.777,63 R$ 10.803,91 193.409,61R$ -R$ 12.307,75R$
BA QUIXABEIRA R$ 108.039,06 R$ 10.803,91 123.077,42R$ -R$ 12.307,75R$
BA RAFAEL JAMBEIRO R$ 170.073,80 R$ 10.803,91 193.747,01R$ -R$ 12.307,75R$
BA REMANSO R$ 141.724,32 R$ 39.981,23 161.451,46R$ -R$ 45.546,37R$
BA RETIROLÂNDIA R$ 108.039,06 R$ 10.803,91 123.077,42R$ -R$ 12.307,75R$
BA RIACHÃO DAS NEVES R$ 108.039,06 R$ 10.803,91 123.077,42R$ -R$ 12.307,75R$
BA RIACHÃO DO JACUÍPE R$ 155.508,17 R$ 18.087,74 177.153,94R$ -R$ 20.605,44R$
BA RIACHO DE SANTANA R$ 206.104,40 R$ 14.044,93 234.792,84R$ -R$ 15.999,90R$
BA RIBEIRA DO AMPARO R$ 220.198,38 R$ 10.803,91 250.848,62R$ -R$ 12.307,75R$
8
Tribunal Superior Eleitoral
PREFEITO
1º TURNO 1º TURNO 2º TURNO
UF
POSSIBILIDADE
DE SEGUNDO
TURNO
VEREADORVEREADOR
LIMITE DE GASTOS OBSERVADO
O MÍNIMO LEGAL (R$ 100,000,00
PARA PREFEITO E R$ 10.000,00
PARA VEREADOR ) EM 2016***
LIMITE DE GASTOS 2020 (ATUALIZADO PELO IPCA DE
JUNHO/2016 ATÉ JUNHO/2020*)
PREFEITO
MUNICÍPIO**
BA RIBEIRA DO POMBAL R$ 140.027,95 R$ 17.949,42 159.518,97R$ -R$ 20.447,87R$
BA RIBEIRÃO DO LARGO R$ 108.039,06 R$ 14.802,42 123.077,42R$ -R$ 16.862,82R$
BA RIO DE CONTAS R$ 108.039,06 R$ 10.803,91 123.077,42R$ -R$ 12.307,75R$
BA RIO DO ANTÔNIO R$ 108.039,06 R$ 10.803,91 123.077,42R$ -R$ 12.307,75R$
BA RIO DO PIRES R$ 108.039,06 R$ 10.803,91 123.077,42R$ -R$ 12.307,75R$
BA RIO REAL R$ 232.142,75 R$ 17.842,01 264.455,57R$ -R$ 20.325,51R$
BA RODELAS R$ 108.039,06 R$ 10.803,91 123.077,42R$ -R$ 12.307,75R$
BA RUY BARBOSA R$ 108.039,06 R$ 10.803,91 123.077,42R$ -R$ 12.307,75R$
BA SALINAS DA MARGARIDA R$ 108.039,06 R$ 10.803,91 123.077,42R$ -R$ 12.307,75R$
BA SALVADOR SIM R$ 14.679.383,56 R$ 396.701,56 16.722.661,99R$ 6.689.064,80R$ 451.919,94R$
BA SANTA BÁRBARA R$ 178.275,01 R$ 16.236,96 203.089,78R$ -R$ 18.497,04R$
BA SANTA BRÍGIDA R$ 108.039,06 R$ 36.591,72 123.077,42R$ -R$ 41.685,06R$
BA SANTA CRUZ CABRÁLIA R$ 229.143,03 R$ 49.569,24 261.038,31R$ -R$ 56.468,97R$
BA SANTA CRUZ DA VITÓRIA R$ 108.039,06 R$ 10.803,91 123.077,42R$ -R$ 12.307,75R$
BA SANTA INÊS R$ 143.129,82 R$ 10.803,91 163.052,60R$ -R$ 12.307,75R$
BA SANTA LUZIA R$ 206.386,78 R$ 10.803,91 235.114,53R$ -R$ 12.307,75R$
BA SANTA MARIA DA VITÓRIA R$ 108.039,06 R$ 10.803,91 123.077,42R$ -R$ 12.307,75R$
BA SANTA RITA DE CÁSSIA R$ 108.039,06 R$ 10.803,91 123.077,42R$ -R$ 12.307,75R$
BA SANTA TEREZINHA R$ 108.039,06 R$ 10.803,91 123.077,42R$ -R$ 12.307,75R$
BA SANTALUZ R$ 161.431,85 R$ 21.351,57 183.902,15R$ -R$ 24.323,58R$
BA SANTANA R$ 191.876,45 R$ 16.401,21 218.584,45R$ -R$ 18.684,16R$
BA SANTANÓPOLIS R$ 108.039,06 R$ 10.803,91 123.077,42R$ -R$ 12.307,75R$
BA SANTO AMARO R$ 318.449,51 R$ 27.576,58 362.775,69R$ -R$ 31.415,07R$
BA SANTO ANTÔNIO DE JESUS R$ 572.574,34 R$ 21.441,93 652.273,11R$ -R$ 24.426,51R$
BA SANTO ESTEVÃO R$ 271.586,90 R$ 22.780,88 309.390,10R$ -R$ 25.951,84R$
BA SÃO DESIDÉRIO R$ 150.546,29 R$ 25.440,29 171.501,39R$ -R$ 28.981,42R$
BA SÃO DOMINGOS R$ 108.039,06 R$ 10.803,91 123.077,42R$ -R$ 12.307,75R$
BA SÃO FELIPE R$ 108.039,06 R$ 10.803,91 123.077,42R$ -R$ 12.307,75R$
BA SÃO FÉLIX R$ 108.039,06 R$ 10.803,91 123.077,42R$ -R$ 12.307,75R$
BA SÃO FÉLIX DO CORIBE R$ 108.039,06 R$ 10.803,91 123.077,42R$ -R$ 12.307,75R$
BA SÃO FRANCISCO DO CONDE R$ 108.039,06 R$ 58.988,71 123.077,42R$ -R$ 67.199,57R$
BA SÃO GABRIEL R$ 219.082,18 R$ 10.803,91 249.577,05R$ -R$ 12.307,75R$
BA SÃO GONÇALO DOS CAMPOS R$ 164.325,68 R$ 10.803,91 187.198,79R$ -R$ 12.307,75R$
BA SÃO JOSÉ DA VITÓRIA R$ 108.039,06 R$ 10.803,91 123.077,42R$ -R$ 12.307,75R$
BA SÃO JOSÉ DO JACUÍPE R$ 108.039,06 R$ 10.803,91 123.077,42R$ -R$ 12.307,75R$
BA SÃO MIGUEL DAS MATAS R$ 108.039,06 R$ 10.803,91 123.077,42R$ -R$ 12.307,75R$
BA SÃO SEBASTIÃO DO PASSÉ R$ 333.052,10 R$ 15.875,44 379.410,87R$ -R$ 18.085,20R$
BA SAPEAÇU R$ 108.039,06 R$ 10.803,91 123.077,42R$ -R$ 12.307,75R$
BA SÁTIRO DIAS R$ 108.039,06 R$ 13.579,35 123.077,42R$ -R$ 15.469,51R$
BA SAUBARA R$ 108.039,06 R$ 10.803,91 123.077,42R$ -R$ 12.307,75R$
BA SAÚDE R$ 108.039,06 R$ 10.803,91 123.077,42R$ -R$ 12.307,75R$
BA SEABRA R$ 212.782,32 R$ 13.841,06 242.400,29R$ -R$ 15.767,65R$
BA SEBASTIÃO LARANJEIRAS R$ 108.039,06 R$ 10.803,91 123.077,42R$ -R$ 12.307,75R$
BA SENHOR DO BONFIM R$ 354.067,67 R$ 35.396,41 403.351,68R$ -R$ 40.323,37R$
BA SENTO SÉ R$ 148.969,89 R$ 22.710,14 169.705,57R$ -R$ 25.871,25R$
BA SERRA DO RAMALHO R$ 149.962,40 R$ 10.803,91 170.836,23R$ -R$ 12.307,75R$
BA SERRA DOURADA R$ 178.698,32 R$ 26.155,74 203.572,01R$ -R$ 29.796,46R$
BA SERRA PRETA R$ 108.039,06 R$ 10.803,91 123.077,42R$ -R$ 12.307,75R$
BA SERRINHA R$ 108.039,06 R$ 26.478,73 123.077,42R$ -R$ 30.164,40R$
BA SERROLÂNDIA R$ 108.039,06 R$ 10.803,91 123.077,42R$ -R$ 12.307,75R$
BA SIMÕES FILHO R$ 657.881,98 R$ 57.600,13 749.455,04R$ -R$ 65.617,71R$
BA SÍTIO DO MATO R$ 108.039,06 R$ 10.803,91 123.077,42R$ -R$ 12.307,75R$
BA SÍTIO DO QUINTO R$ 108.039,06 R$ 10.803,91 123.077,42R$ -R$ 12.307,75R$
BA SOBRADINHO R$ 108.039,06 R$ 15.711,59 123.077,42R$ -R$ 17.898,55R$
BA SOUTO SOARES R$ 135.504,64 R$ 10.803,91 154.366,04R$ -R$ 12.307,75R$
BA TABOCAS DO BREJO VELHO R$ 145.492,83 R$ 13.819,58 165.744,52R$ -R$ 15.743,18R$
BA TANHAÇU R$ 276.944,53 R$ 23.900,16 315.493,48R$ -R$ 27.226,91R$
BA TANQUE NOVO R$ 108.039,06 R$ 10.803,91 123.077,42R$ -R$ 12.307,75R$
BA TANQUINHO R$ 108.039,06 R$ 10.803,91 123.077,42R$ -R$ 12.307,75R$
BA TAPEROÁ R$ 108.039,06 R$ 10.803,91 123.077,42R$ -R$ 12.307,75R$
BA TAPIRAMUTÁ R$ 108.039,06 R$ 10.803,91 123.077,42R$ -R$ 12.307,75R$
BA TEIXEIRA DE FREITAS R$ 599.438,65 R$ 38.051,46 682.876,76R$ -R$ 43.347,99R$
BA TEODORO SAMPAIO R$ 108.039,06 R$ 10.803,91 123.077,42R$ -R$ 12.307,75R$
BA TEOFILÂNDIA R$ 108.039,06 R$ 10.803,91 123.077,42R$ -R$ 12.307,75R$
BA TEOLÂNDIA R$ 108.039,06 R$ 10.803,91 123.077,42R$ -R$ 12.307,75R$
BA TERRA NOVA R$ 108.039,06 R$ 10.803,91 123.077,42R$ -R$ 12.307,75R$
9
Tribunal Superior Eleitoral
PREFEITO
1º TURNO 1º TURNO 2º TURNO
UF
POSSIBILIDADE
DE SEGUNDO
TURNO
VEREADORVEREADOR
LIMITE DE GASTOS OBSERVADO
O MÍNIMO LEGAL (R$ 100,000,00
PARA PREFEITO E R$ 10.000,00
PARA VEREADOR ) EM 2016***
LIMITE DE GASTOS 2020 (ATUALIZADO PELO IPCA DE
JUNHO/2016 ATÉ JUNHO/2020*)
PREFEITO
MUNICÍPIO**
BA TREMEDAL R$ 108.039,06 R$ 10.803,91 123.077,42R$ -R$ 12.307,75R$
BA TUCANO R$ 108.039,06 R$ 24.988,50 123.077,42R$ -R$ 28.466,74R$
BA UAUÁ R$ 144.728,32 R$ 10.803,91 164.873,60R$ -R$ 12.307,75R$
BA UBAÍRA R$ 108.039,06 R$ 19.964,40 123.077,42R$ -R$ 22.743,32R$
BA UBAITABA R$ 144.368,06 R$ 10.803,91 164.463,19R$ -R$ 12.307,75R$
BA UBATÃ R$ 108.039,06 R$ 25.234,06 123.077,42R$ -R$ 28.746,48R$
BA UIBAÍ R$ 108.039,06 R$ 10.803,91 123.077,42R$ -R$ 12.307,75R$
BA UMBURANAS R$ 148.970,88 R$ 15.885,46 169.706,70R$ -R$ 18.096,62R$
BA UNA R$ 108.039,06 R$ 10.803,91 123.077,42R$ -R$ 12.307,75R$
BA URANDI R$ 108.039,06 R$ 10.803,91 123.077,42R$ -R$ 12.307,75R$
BA URUÇUCA R$ 187.867,06 R$ 10.803,91 214.016,98R$ -R$ 12.307,75R$
BA UTINGA R$ 108.039,06 R$ 16.460,66 123.077,42R$ -R$ 18.751,88R$
BA VALENÇA R$ 363.014,62 R$ 27.870,76 413.543,99R$ -R$ 31.750,20R$
BA VALENTE R$ 108.039,06 R$ 10.803,91 123.077,42R$ -R$ 12.307,75R$
BA VÁRZEA DA ROÇA R$ 108.039,06 R$ 21.345,78 123.077,42R$ -R$ 24.316,98R$
BA VÁRZEA DO POÇO R$ 108.039,06 R$ 10.803,91 123.077,42R$ -R$ 12.307,75R$
BA VÁRZEA NOVA R$ 152.817,13 R$ 10.803,91 174.088,32R$ -R$ 12.307,75R$
BA VARZEDO R$ 108.039,06 R$ 10.803,91 123.077,42R$ -R$ 12.307,75R$
BA VERA CRUZ R$ 108.039,06 R$ 10.803,91 123.077,42R$ -R$ 12.307,75R$
BA VEREDA R$ 108.039,06 R$ 10.803,91 123.077,42R$ -R$ 12.307,75R$
BA VITÓRIA DA CONQUISTA SIM R$ 579.174,92 R$ 59.989,48 659.792,45R$ 263.916,98R$ 68.339,64R$
BA WAGNER R$ 108.039,06 R$ 10.803,91 123.077,42R$ -R$ 12.307,75R$
BA WANDERLEY R$ 108.039,06 R$ 10.803,91 123.077,42R$ -R$ 12.307,75R$
BA WENCESLAU GUIMARÃES R$ 161.618,11 R$ 15.720,82 184.114,34R$ -R$ 17.909,06R$
BA XIQUE-XIQUE R$ 179.232,03 R$ 13.941,93 204.180,01R$ -R$ 15.882,56R$
CE ABAIARA R$ 108.039,06 R$ 23.235,54 123.077,42R$ -R$ 26.469,78R$
CE ACARAPE R$ 108.039,06 R$ 10.803,91 123.077,42R$ -R$ 12.307,75R$
CE ACARAÚ R$ 305.393,50 R$ 46.484,34 347.902,37R$ -R$ 52.954,67R$
CE ACOPIARA R$ 291.435,17 R$ 21.475,63 332.001,12R$ -R$ 24.464,90R$
CE AIUABA R$ 108.039,06 R$ 10.803,91 123.077,42R$ -R$ 12.307,75R$
CE ALCÂNTARAS R$ 108.039,06 R$ 19.586,58 123.077,42R$ -R$ 22.312,91R$
CE ALTANEIRA R$ 108.039,06 R$ 10.803,91 123.077,42R$ -R$ 12.307,75R$
CE ALTO SANTO R$ 108.039,06 R$ 10.803,91 123.077,42R$ -R$ 12.307,75R$
CE AMONTADA R$ 108.039,06 R$ 10.803,91 123.077,42R$ -R$ 12.307,75R$
CE ANTONINA DO NORTE R$ 108.039,06 R$ 10.803,91 123.077,42R$ -R$ 12.307,75R$
CE APUIARÉS R$ 108.039,06 R$ 10.803,91 123.077,42R$ -R$ 12.307,75R$
CE AQUIRAZ R$ 691.759,61 R$ 69.247,59 788.048,22R$ -R$ 78.886,42R$
CE ARACATI R$ 640.124,27 R$ 57.825,12 729.225,57R$ -R$ 65.874,02R$
CE ARACOIABA R$ 108.039,06 R$ 33.867,01 123.077,42R$ -R$ 38.581,09R$
CE ARARENDÁ R$ 108.039,06 R$ 10.803,91 123.077,42R$ -R$ 12.307,75R$
CE ARARIPE R$ 161.669,48 R$ 16.011,22 184.172,86R$ -R$ 18.239,88R$
CE ARATUBA R$ 108.039,06 R$ 10.803,91 123.077,42R$ -R$ 12.307,75R$
CE ARNEIROZ R$ 108.039,06 R$ 10.803,91 123.077,42R$ -R$ 12.307,75R$
CE ASSARÉ R$ 108.039,06 R$ 10.803,91 123.077,42R$ -R$ 12.307,75R$
CE AURORA R$ 141.648,66 R$ 17.790,24 161.365,27R$ -R$ 20.266,53R$
CE BAIXIO R$ 108.039,06 R$ 10.803,91 123.077,42R$ -R$ 12.307,75R$
CE BANABUIÚ R$ 202.509,16 R$ 10.803,91 230.697,17R$ -R$ 12.307,75R$
CE BARBALHA R$ 267.838,12 R$ 18.627,90 305.119,51R$ -R$ 21.220,79R$
CE BARREIRA R$ 136.738,63 R$ 18.508,18 155.771,79R$ -R$ 21.084,40R$
CE BARRO R$ 108.039,06 R$ 10.803,91 123.077,42R$ -R$ 12.307,75R$
CE BARROQUINHA R$ 108.039,06 R$ 10.803,91 123.077,42R$ -R$ 12.307,75R$
CE BATURITÉ R$ 247.046,57 R$ 40.810,53 281.433,91R$ -R$ 46.491,10R$
CE BEBERIBE R$ 243.486,05 R$ 38.857,64 277.377,79R$ -R$ 44.266,38R$
CE BELA CRUZ R$ 108.039,06 R$ 17.387,62 123.077,42R$ -R$ 19.807,87R$
CE BOA VIAGEM R$ 108.039,06 R$ 44.263,27 123.077,42R$ -R$ 50.424,44R$
CE BREJO SANTO R$ 307.879,84 R$ 33.754,65 350.734,79R$ -R$ 38.453,09R$
CE CAMOCIM R$ 423.405,01 R$ 27.432,48 482.340,34R$ -R$ 31.250,91R$
CE CAMPOS SALES R$ 152.284,36 R$ 19.943,80 173.481,39R$ -R$ 22.719,85R$
CE CANINDÉ R$ 260.544,14 R$ 28.485,94 296.810,26R$ -R$ 32.451,00R$
CE CAPISTRANO R$ 108.039,06 R$ 10.803,91 123.077,42R$ -R$ 12.307,75R$
CE CARIDADE R$ 244.559,03 R$ 10.803,91 278.600,12R$ -R$ 12.307,75R$
CE CARIRÉ R$ 108.039,06 R$ 10.803,91 123.077,42R$ -R$ 12.307,75R$
CE CARIRIAÇU R$ 108.039,06 R$ 24.379,43 123.077,42R$ -R$ 27.772,89R$
CE CARIÚS R$ 176.248,71 R$ 18.209,59 200.781,43R$ -R$ 20.744,25R$
CE CARNAUBAL R$ 108.039,06 R$ 18.039,58 123.077,42R$ -R$ 20.550,58R$
CE CASCAVEL R$ 166.557,23 R$ 40.451,74 189.740,96R$ -R$ 46.082,37R$
10
Tribunal Superior Eleitoral
PREFEITO
1º TURNO 1º TURNO 2º TURNO
UF
POSSIBILIDADE
DE SEGUNDO
TURNO
VEREADORVEREADOR
LIMITE DE GASTOS OBSERVADO
O MÍNIMO LEGAL (R$ 100,000,00
PARA PREFEITO E R$ 10.000,00
PARA VEREADOR ) EM 2016***
LIMITE DE GASTOS 2020 (ATUALIZADO PELO IPCA DE
JUNHO/2016 ATÉ JUNHO/2020*)
PREFEITO
MUNICÍPIO**
CE CATARINA R$ 137.425,64 R$ 10.803,91 156.554,43R$ -R$ 12.307,75R$
CE CATUNDA R$ 167.235,79 R$ 19.635,75 190.513,97R$ -R$ 22.368,92R$
CE CAUCAIA SIM R$ 1.333.635,71 R$ 82.509,33 1.519.269,46R$ 607.707,79R$ 93.994,11R$
CE CEDRO R$ 190.355,62 R$ 22.368,89 216.851,93R$ -R$ 25.482,50R$
CE CHAVAL R$ 108.039,06 R$ 10.803,91 123.077,42R$ -R$ 12.307,75R$
CE CHORÓ R$ 108.039,06 R$ 10.803,91 123.077,42R$ -R$ 12.307,75R$
CE CHOROZINHO R$ 108.039,06 R$ 10.803,91 123.077,42R$ -R$ 12.307,75R$
CE COREAÚ R$ 464.129,84 R$ 19.537,77 528.733,81R$ -R$ 22.257,31R$
CE CRATEÚS R$ 134.098,10 R$ 20.177,88 152.763,72R$ -R$ 22.986,51R$
CE CRATO R$ 632.983,69 R$ 25.771,04 721.091,06R$ -R$ 29.358,21R$
CE CROATÁ R$ 144.843,78 R$ 10.803,91 165.005,13R$ -R$ 12.307,75R$
CE CRUZ R$ 153.806,27 R$ 18.853,16 175.215,14R$ -R$ 21.477,40R$
CE DEPUTADO IRAPUAN PINHEIRO R$ 108.039,06 R$ 10.803,91 123.077,42R$ -R$ 12.307,75R$
CE ERERÉ R$ 108.039,06 R$ 10.803,91 123.077,42R$ -R$ 12.307,75R$
CE EUSÉBIO R$ 353.292,92 R$ 29.570,45 402.469,09R$ -R$ 33.686,47R$
CE FARIAS BRITO R$ 108.039,06 R$ 13.832,12 123.077,42R$ -R$ 15.757,46R$
CE FORQUILHA R$ 373.582,69 R$ 18.463,83 425.583,07R$ -R$ 21.033,88R$
CE FORTALEZA SIM R$ 12.408.490,10 R$ 460.018,94 14.135.674,35R$ 5.654.269,74R$ 524.050,70R$
CE FORTIM R$ 108.039,06 R$ 14.748,31 123.077,42R$ -R$ 16.801,18R$
CE FRECHEIRINHA R$ 108.039,06 R$ 10.803,91 123.077,42R$ -R$ 12.307,75R$
CE GENERAL SAMPAIO R$ 108.039,06 R$ 16.069,27 123.077,42R$ -R$ 18.306,01R$
CE GRAÇA R$ 108.039,06 R$ 10.803,91 123.077,42R$ -R$ 12.307,75R$
CE GRANJA R$ 134.363,16 R$ 40.944,52 153.065,67R$ -R$ 46.643,74R$
CE GRANJEIRO R$ 108.039,06 R$ 10.803,91 123.077,42R$ -R$ 12.307,75R$
CE GROAÍRAS R$ 177.022,30 R$ 10.803,91 201.662,70R$ -R$ 12.307,75R$
CE GUAIÚBA R$ 183.206,20 R$ 10.803,91 208.707,36R$ -R$ 12.307,75R$
CE GUARACIABA DO NORTE R$ 217.591,44 R$ 21.535,56 247.878,81R$ -R$ 24.533,18R$
CE GUARAMIRANGA R$ 108.039,06 R$ 10.803,91 123.077,42R$ -R$ 12.307,75R$
CE HIDROLÂNDIA R$ 174.705,03 R$ 10.803,91 199.022,88R$ -R$ 12.307,75R$
CE HORIZONTE R$ 426.797,49 R$ 32.387,69 486.205,03R$ -R$ 36.895,85R$
CE IBARETAMA R$ 108.039,06 R$ 10.803,91 123.077,42R$ -R$ 12.307,75R$
CE IBIAPINA R$ 108.039,06 R$ 10.803,91 123.077,42R$ -R$ 12.307,75R$
CE IBICUITINGA R$ 108.039,06 R$ 10.803,91 123.077,42R$ -R$ 12.307,75R$
CE ICAPUÍ R$ 108.039,06 R$ 40.807,54 123.077,42R$ -R$ 46.487,69R$
CE ICÓ R$ 209.080,30 R$ 18.376,13 238.182,97R$ -R$ 20.933,97R$
CE IGUATU R$ 467.560,85 R$ 45.891,89 532.642,40R$ -R$ 52.279,75R$
CE INDEPENDÊNCIA R$ 108.039,06 R$ 10.803,91 123.077,42R$ -R$ 12.307,75R$
CE IPAPORANGA R$ 154.045,41 R$ 10.803,91 175.487,57R$ -R$ 12.307,75R$
CE IPAUMIRIM R$ 108.039,06 R$ 10.803,91 123.077,42R$ -R$ 12.307,75R$
CE IPU R$ 108.039,06 R$ 14.419,46 123.077,42R$ -R$ 16.426,56R$
CE IPUEIRAS R$ 147.653,49 R$ 10.803,91 168.205,93R$ -R$ 12.307,75R$
CE IRACEMA R$ 108.039,06 R$ 10.803,91 123.077,42R$ -R$ 12.307,75R$
CE IRAUÇUBA R$ 108.039,06 R$ 10.803,91 123.077,42R$ -R$ 12.307,75R$
CE ITAIÇABA R$ 108.039,06 R$ 10.803,91 123.077,42R$ -R$ 12.307,75R$
CE ITAITINGA R$ 241.045,93 R$ 10.803,91 274.598,02R$ -R$ 12.307,75R$
CE ITAPAJÉ R$ 108.039,06 R$ 15.402,61 123.077,42R$ -R$ 17.546,56R$
CE ITAPIPOCA R$ 618.264,54 R$ 51.247,14 704.323,10R$ -R$ 58.380,42R$
CE ITAPIÚNA R$ 108.039,06 R$ 18.620,98 123.077,42R$ -R$ 21.212,90R$
CE ITAREMA R$ 186.202,68 R$ 14.091,75 212.120,93R$ -R$ 16.053,23R$
CE ITATIRA R$ 136.011,57 R$ 10.803,91 154.943,53R$ -R$ 12.307,75R$
CE JAGUARETAMA R$ 108.039,06 R$ 26.232,18 123.077,42R$ -R$ 29.883,54R$
CE JAGUARIBARA R$ 177.808,81 R$ 20.572,83 202.558,68R$ -R$ 23.436,44R$
CE JAGUARIBE R$ 414.065,51 R$ 37.999,23 471.700,84R$ -R$ 43.288,49R$
CE JAGUARUANA R$ 237.355,80 R$ 10.803,91 270.394,24R$ -R$ 12.307,75R$
CE JARDIM R$ 108.039,06 R$ 37.231,85 123.077,42R$ -R$ 42.414,29R$
CE JATI R$ 108.039,06 R$ 10.803,91 123.077,42R$ -R$ 12.307,75R$
CE JIJOCA DE JERICOACOARA R$ 108.039,06 R$ 19.225,56 123.077,42R$ -R$ 21.901,64R$
CE JUAZEIRO DO NORTE R$ 1.201.150,00 R$ 37.827,68 1.368.342,57R$ -R$ 43.093,06R$
CE JUCÁS R$ 216.813,23 R$ 10.803,91 246.992,28R$ -R$ 12.307,75R$
CE LAVRAS DA MANGABEIRA R$ 538.703,95 R$ 23.220,95 613.688,17R$ -R$ 26.453,16R$
CE LIMOEIRO DO NORTE R$ 172.038,87 R$ 33.520,57 195.985,61R$ -R$ 38.186,42R$
CE MADALENA R$ 168.559,05 R$ 13.532,72 192.021,42R$ -R$ 15.416,39R$
CE MARACANAÚ R$ 1.228.419,66 R$ 81.152,06 1.399.408,00R$ -R$ 92.447,92R$
CE MARANGUAPE R$ 406.302,42 R$ 46.348,27 462.857,18R$ -R$ 52.799,66R$
CE MARCO R$ 323.037,21 R$ 15.236,11 368.001,97R$ -R$ 17.356,88R$
CE MARTINÓPOLE R$ 108.039,06 R$ 10.803,91 123.077,42R$ -R$ 12.307,75R$
11
Tribunal Superior Eleitoral
PREFEITO
1º TURNO 1º TURNO 2º TURNO
UF
POSSIBILIDADE
DE SEGUNDO
TURNO
VEREADORVEREADOR
LIMITE DE GASTOS OBSERVADO
O MÍNIMO LEGAL (R$ 100,000,00
PARA PREFEITO E R$ 10.000,00
PARA VEREADOR ) EM 2016***
LIMITE DE GASTOS 2020 (ATUALIZADO PELO IPCA DE
JUNHO/2016 ATÉ JUNHO/2020*)
PREFEITO
MUNICÍPIO**
CE MASSAPÊ R$ 918.968,33 R$ 21.774,32 1.046.882,98R$ -R$ 24.805,17R$
CE MAURITI R$ 178.549,21 R$ 25.776,39 203.402,14R$ -R$ 29.364,30R$
CE MERUOCA R$ 185.322,21 R$ 10.803,91 211.117,90R$ -R$ 12.307,75R$
CE MILAGRES R$ 146.889,30 R$ 44.489,66 167.335,37R$ -R$ 50.682,34R$
CE MILHÃ R$ 108.039,06 R$ 10.803,91 123.077,42R$ -R$ 12.307,75R$
CE MIRAÍMA R$ 108.039,06 R$ 10.803,91 123.077,42R$ -R$ 12.307,75R$
CE MISSÃO VELHA R$ 201.258,61 R$ 10.803,91 229.272,55R$ -R$ 12.307,75R$
CE MOMBAÇA R$ 145.413,24 R$ 15.256,87 165.653,85R$ -R$ 17.380,53R$
CE MONSENHOR TABOSA R$ 108.039,06 R$ 10.803,91 123.077,42R$ -R$ 12.307,75R$
CE MORADA NOVA R$ 405.154,65 R$ 32.716,26 461.549,64R$ -R$ 37.270,16R$
CE MORAÚJO R$ 108.039,06 R$ 10.803,91 123.077,42R$ -R$ 12.307,75R$
CE MORRINHOS R$ 137.836,58 R$ 15.546,57 157.022,57R$ -R$ 17.710,56R$
CE MUCAMBO R$ 108.039,06 R$ 10.803,91 123.077,42R$ -R$ 12.307,75R$
CE MULUNGU R$ 108.039,06 R$ 19.377,32 123.077,42R$ -R$ 22.074,52R$
CE NOVA OLINDA R$ 108.039,06 R$ 20.765,38 123.077,42R$ -R$ 23.655,79R$
CE NOVA RUSSAS R$ 151.911,94 R$ 10.803,91 173.057,13R$ -R$ 12.307,75R$
CE NOVO ORIENTE R$ 108.039,06 R$ 16.256,54 123.077,42R$ -R$ 18.519,35R$
CE OCARA R$ 108.039,06 R$ 10.803,91 123.077,42R$ -R$ 12.307,75R$
CE ORÓS R$ 263.613,97 R$ 10.803,91 300.307,39R$ -R$ 12.307,75R$
CE PACAJUS R$ 418.107,46 R$ 38.389,07 476.305,40R$ -R$ 43.732,59R$
CE PACATUBA R$ 167.856,20 R$ 21.052,31 191.220,73R$ -R$ 23.982,66R$
CE PACOTI R$ 272.535,76 R$ 24.931,14 310.471,03R$ -R$ 28.401,40R$
CE PACUJÁ R$ 108.039,06 R$ 10.803,91 123.077,42R$ -R$ 12.307,75R$
CE PALHANO R$ 108.039,06 R$ 10.803,91 123.077,42R$ -R$ 12.307,75R$
CE PALMÁCIA R$ 160.626,20 R$ 16.270,64 182.984,36R$ -R$ 18.535,41R$
CE PARACURU R$ 166.326,76 R$ 10.803,91 189.478,41R$ -R$ 12.307,75R$
CE PARAIPABA R$ 344.248,12 R$ 14.901,75 392.165,31R$ -R$ 16.975,98R$
CE PARAMBU R$ 108.039,06 R$ 10.803,91 123.077,42R$ -R$ 12.307,75R$
CE PARAMOTI R$ 108.039,06 R$ 14.371,91 123.077,42R$ -R$ 16.372,39R$
CE PEDRA BRANCA R$ 282.819,15 R$ 26.265,33 322.185,81R$ -R$ 29.921,30R$
CE PENAFORTE R$ 108.039,06 R$ 17.076,25 123.077,42R$ -R$ 19.453,16R$
CE PENTECOSTE R$ 202.938,27 R$ 16.516,84 231.186,01R$ -R$ 18.815,88R$
CE PEREIRO R$ 201.722,65 R$ 15.941,29 229.801,18R$ -R$ 18.160,22R$
CE PINDORETAMA R$ 146.046,67 R$ 26.147,45 166.375,45R$ -R$ 29.787,01R$
CE PIQUET CARNEIRO R$ 108.039,06 R$ 10.803,91 123.077,42R$ -R$ 12.307,75R$
CE PIRES FERREIRA R$ 108.039,06 R$ 10.803,91 123.077,42R$ -R$ 12.307,75R$
CE PORANGA R$ 108.039,06 R$ 17.572,92 123.077,42R$ -R$ 20.018,96R$
CE PORTEIRAS R$ 108.039,06 R$ 16.863,60 123.077,42R$ -R$ 19.210,91R$
CE POTENGI R$ 108.039,06 R$ 10.803,91 123.077,42R$ -R$ 12.307,75R$
CE POTIRETAMA R$ 108.039,06 R$ 10.803,91 123.077,42R$ -R$ 12.307,75R$
CE QUITERIANÓPOLIS R$ 108.039,06 R$ 16.432,58 123.077,42R$ -R$ 18.719,89R$
CE QUIXADÁ R$ 470.105,59 R$ 41.236,93 535.541,35R$ -R$ 46.976,85R$
CE QUIXELÔ R$ 108.039,06 R$ 10.803,91 123.077,42R$ -R$ 12.307,75R$
CE QUIXERAMOBIM R$ 511.569,40 R$ 38.705,95 582.776,66R$ -R$ 44.093,58R$
CE QUIXERÉ R$ 168.118,55 R$ 10.803,91 191.519,60R$ -R$ 12.307,75R$
CE REDENÇÃO R$ 108.039,06 R$ 10.803,91 123.077,42R$ -R$ 12.307,75R$
CE RERIUTABA R$ 108.039,06 R$ 10.803,91 123.077,42R$ -R$ 12.307,75R$
CE RUSSAS R$ 387.503,36 R$ 28.651,66 441.441,41R$ -R$ 32.639,79R$
CE SABOEIRO R$ 215.255,35 R$ 21.183,62 245.217,55R$ -R$ 24.132,25R$
CE SALITRE R$ 108.039,06 R$ 19.751,42 123.077,42R$ -R$ 22.500,69R$
CE SANTA QUITÉRIA R$ 192.743,25 R$ 44.286,47 219.571,91R$ -R$ 50.450,87R$
CE SANTANA DO ACARAÚ R$ 108.039,06 R$ 15.900,06 123.077,42R$ -R$ 18.113,25R$
CE SANTANA DO CARIRI R$ 108.039,06 R$ 10.803,91 123.077,42R$ -R$ 12.307,75R$
CE SÃO BENEDITO R$ 169.754,41 R$ 10.803,91 193.383,16R$ -R$ 12.307,75R$
CE SÃO GONÇALO DO AMARANTE R$ 264.991,39 R$ 22.752,79 301.876,53R$ -R$ 25.919,84R$
CE SÃO JOÃO DO JAGUARIBE R$ 108.039,06 R$ 10.803,91 123.077,42R$ -R$ 12.307,75R$
CE SÃO LUÍS DO CURU R$ 108.039,06 R$ 10.803,91 123.077,42R$ -R$ 12.307,75R$
CE SENADOR POMPEU R$ 190.700,02 R$ 10.803,91 217.244,27R$ -R$ 12.307,75R$
CE SENADOR SÁ R$ 108.039,06 R$ 10.803,91 123.077,42R$ -R$ 12.307,75R$
CE SOBRAL R$ 1.412.722,15 R$ 106.625,67 1.609.364,24R$ -R$ 121.467,30R$
CE SOLONÓPOLE R$ 248.817,56 R$ 27.406,34 283.451,41R$ -R$ 31.221,13R$
CE TABULEIRO DO NORTE R$ 108.039,06 R$ 25.659,15 123.077,42R$ -R$ 29.230,74R$
CE TAMBORIL R$ 108.039,06 R$ 14.072,91 123.077,42R$ -R$ 16.031,77R$
CE TARRAFAS R$ 108.039,06 R$ 10.803,91 123.077,42R$ -R$ 12.307,75R$
CE TAUÁ R$ 543.751,31 R$ 25.849,56 619.438,09R$ -R$ 29.447,66R$
CE TEJUÇUOCA R$ 271.327,46 R$ 10.803,91 309.094,55R$ -R$ 12.307,75R$
12
Tribunal Superior Eleitoral
PREFEITO
1º TURNO 1º TURNO 2º TURNO
UF
POSSIBILIDADE
DE SEGUNDO
TURNO
VEREADORVEREADOR
LIMITE DE GASTOS OBSERVADO
O MÍNIMO LEGAL (R$ 100,000,00
PARA PREFEITO E R$ 10.000,00
PARA VEREADOR ) EM 2016***
LIMITE DE GASTOS 2020 (ATUALIZADO PELO IPCA DE
JUNHO/2016 ATÉ JUNHO/2020*)
PREFEITO
MUNICÍPIO**
CE TIANGUÁ R$ 697.762,87 R$ 27.404,47 794.887,10R$ -R$ 31.219,00R$
CE TRAIRI R$ 108.039,06 R$ 10.803,91 123.077,42R$ -R$ 12.307,75R$
CE TURURU R$ 146.174,85 R$ 10.803,91 166.521,48R$ -R$ 12.307,75R$
CE UBAJARA R$ 108.039,06 R$ 14.915,23 123.077,42R$ -R$ 16.991,34R$
CE UMARI R$ 108.039,06 R$ 10.803,91 123.077,42R$ -R$ 12.307,75R$
CE UMIRIM R$ 190.975,47 R$ 10.803,91 217.558,06R$ -R$ 12.307,75R$
CE URUBURETAMA R$ 108.039,06 R$ 15.917,59 123.077,42R$ -R$ 18.133,22R$
CE URUOCA R$ 108.039,06 R$ 10.803,91 123.077,42R$ -R$ 12.307,75R$
CE VARJOTA R$ 108.039,06 R$ 10.803,91 123.077,42R$ -R$ 12.307,75R$
CE VÁRZEA ALEGRE R$ 266.563,18 R$ 10.803,91 303.667,11R$ -R$ 12.307,75R$
CE VIÇOSA DO CEARÁ R$ 250.996,95 R$ 29.784,52 285.934,16R$ -R$ 33.930,34R$
ES AFONSO CLÁUDIO R$ 154.502,36 R$ 31.328,38 176.008,12R$ -R$ 35.689,09R$
ES ÁGUA DOCE DO NORTE R$ 272.788,91 R$ 16.830,51 310.759,42R$ -R$ 19.173,21R$
ES ÁGUIA BRANCA R$ 108.039,06 R$ 10.803,91 123.077,42R$ -R$ 12.307,75R$
ES ALEGRE R$ 177.159,88 R$ 25.916,55 201.819,43R$ -R$ 29.523,97R$
ES ALFREDO CHAVES R$ 108.039,06 R$ 18.653,08 123.077,42R$ -R$ 21.249,47R$
ES ALTO RIO NOVO R$ 108.039,06 R$ 10.803,91 123.077,42R$ -R$ 12.307,75R$
ES ANCHIETA R$ 929.130,06 R$ 78.976,34 1.058.459,16R$ -R$ 89.969,35R$
ES APIACÁ R$ 108.039,06 R$ 22.374,79 123.077,42R$ -R$ 25.489,22R$
ES ARACRUZ R$ 771.123,82 R$ 88.417,37 878.459,44R$ -R$ 100.724,52R$
ES ATÍLIO VIVÁCQUA R$ 108.039,06 R$ 10.803,91 123.077,42R$ -R$ 12.307,75R$
ES BAIXO GUANDU R$ 352.311,15 R$ 30.452,40 401.350,66R$ -R$ 34.691,18R$
ES BARRA DE SÃO FRANCISCO R$ 190.944,62 R$ 59.603,87 217.522,92R$ -R$ 67.900,36R$
ES BOA ESPERANÇA R$ 171.504,86 R$ 30.682,19 195.377,26R$ -R$ 34.952,96R$
ES BOM JESUS DO NORTE R$ 108.039,06 R$ 10.803,91 123.077,42R$ -R$ 12.307,75R$
ES BREJETUBA R$ 108.039,06 R$ 18.030,84 123.077,42R$ -R$ 20.540,62R$
ES CACHOEIRO DE ITAPEMIRIM R$ 882.893,29 R$ 78.128,98 1.005.786,52R$ -R$ 89.004,05R$
ES CARIACICA SIM R$ 872.943,77 R$ 89.809,26 994.452,09R$ 397.780,83R$ 102.310,15R$
ES CASTELO R$ 327.101,75 R$ 17.756,68 372.632,27R$ -R$ 20.228,30R$
ES COLATINA R$ 327.306,75 R$ 81.772,83 372.865,80R$ -R$ 93.155,10R$
ES CONCEIÇÃO DA BARRA R$ 312.147,38 R$ 14.614,22 355.596,34R$ -R$ 16.648,43R$
ES CONCEIÇÃO DO CASTELO R$ 108.039,06 R$ 10.803,91 123.077,42R$ -R$ 12.307,75R$
ES DIVINO DE SÃO LOURENÇO R$ 108.039,06 R$ 10.803,91 123.077,42R$ -R$ 12.307,75R$
ES DOMINGOS MARTINS R$ 158.256,40 R$ 19.969,78 180.284,70R$ -R$ 22.749,45R$
ES DORES DO RIO PRETO R$ 108.039,06 R$ 10.803,91 123.077,42R$ -R$ 12.307,75R$
ES ECOPORANGA R$ 185.727,87 R$ 16.593,71 211.580,03R$ -R$ 18.903,45R$
ES FUNDÃO R$ 108.039,06 R$ 10.803,91 123.077,42R$ -R$ 12.307,75R$
ES GOVERNADOR LINDENBERG R$ 108.039,06 R$ 18.544,36 123.077,42R$ -R$ 21.125,62R$
ES GUAÇUÍ R$ 108.039,06 R$ 21.488,29 123.077,42R$ -R$ 24.479,33R$
ES GUARAPARI R$ 903.615,97 R$ 54.994,51 1.029.393,66R$ -R$ 62.649,40R$
ES IBATIBA R$ 178.394,02 R$ 59.459,52 203.225,35R$ -R$ 67.735,91R$
ES IBIRAÇU R$ 339.498,65 R$ 26.679,01 386.754,74R$ -R$ 30.392,56R$
ES IBITIRAMA R$ 108.039,06 R$ 10.803,91 123.077,42R$ -R$ 12.307,75R$
ES ICONHA R$ 108.039,06 R$ 10.803,91 123.077,42R$ -R$ 12.307,75R$
ES IRUPI R$ 108.039,06 R$ 22.742,21 123.077,42R$ -R$ 25.907,78R$
ES ITAGUAÇU R$ 138.969,86 R$ 16.636,11 158.313,60R$ -R$ 18.951,75R$
ES ITAPEMIRIM R$ 518.351,28 R$ 48.220,93 590.502,54R$ -R$ 54.932,98R$
ES ITARANA R$ 108.039,06 R$ 10.803,91 123.077,42R$ -R$ 12.307,75R$
ES IÚNA R$ 139.125,38 R$ 15.685,58 158.490,76R$ -R$ 17.868,91R$
ES JAGUARÉ R$ 461.751,84 R$ 18.413,08 526.024,81R$ -R$ 20.976,07R$
ES JERÔNIMO MONTEIRO R$ 108.039,06 R$ 10.803,91 123.077,42R$ -R$ 12.307,75R$
ES JOÃO NEIVA R$ 221.251,80 R$ 38.478,44 252.048,67R$ -R$ 43.834,40R$
ES LARANJA DA TERRA R$ 140.418,11 R$ 10.803,91 159.963,43R$ -R$ 12.307,75R$
ES LINHARES R$ 2.079.668,04 R$ 113.267,22 2.369.144,83R$ -R$ 129.033,31R$
ES MANTENÓPOLIS R$ 108.039,06 R$ 10.803,91 123.077,42R$ -R$ 12.307,75R$
ES MARATAÍZES R$ 182.025,25 R$ 21.189,12 207.362,03R$ -R$ 24.138,51R$
ES MARECHAL FLORIANO R$ 173.320,56 R$ 10.803,91 197.445,70R$ -R$ 12.307,75R$
ES MARILÂNDIA R$ 256.040,85 R$ 17.815,06 291.680,14R$ -R$ 20.294,80R$
ES MIMOSO DO SUL R$ 138.670,27 R$ 10.803,91 157.972,30R$ -R$ 12.307,75R$
ES MONTANHA R$ 108.039,06 R$ 25.225,16 123.077,42R$ -R$ 28.736,34R$
ES MUCURICI R$ 108.039,06 R$ 10.803,91 123.077,42R$ -R$ 12.307,75R$
ES MUNIZ FREIRE R$ 108.039,06 R$ 10.803,91 123.077,42R$ -R$ 12.307,75R$
ES MUQUI R$ 168.597,21 R$ 10.803,91 192.064,89R$ -R$ 12.307,75R$
ES NOVA VENÉCIA R$ 263.419,70 R$ 33.497,39 300.086,08R$ -R$ 38.160,02R$
ES PANCAS R$ 155.433,38 R$ 14.413,39 177.068,73R$ -R$ 16.419,64R$
ES PEDRO CANÁRIO R$ 273.341,13 R$ 30.655,40 311.388,51R$ -R$ 34.922,44R$
13
Tribunal Superior Eleitoral
PREFEITO
1º TURNO 1º TURNO 2º TURNO
UF
POSSIBILIDADE
DE SEGUNDO
TURNO
VEREADORVEREADOR
LIMITE DE GASTOS OBSERVADO
O MÍNIMO LEGAL (R$ 100,000,00
PARA PREFEITO E R$ 10.000,00
PARA VEREADOR ) EM 2016***
LIMITE DE GASTOS 2020 (ATUALIZADO PELO IPCA DE
JUNHO/2016 ATÉ JUNHO/2020*)
PREFEITO
MUNICÍPIO**
ES PINHEIROS R$ 255.533,87 R$ 47.550,51 291.102,59R$ -R$ 54.169,24R$
ES PIÚMA R$ 235.527,52 R$ 13.540,46 268.311,48R$ -R$ 15.425,21R$
ES PONTO BELO R$ 108.039,06 R$ 10.803,91 123.077,42R$ -R$ 12.307,75R$
ES PRESIDENTE KENNEDY R$ 407.829,61 R$ 61.994,05 464.596,94R$ -R$ 70.623,23R$
ES RIO BANANAL R$ 108.039,06 R$ 28.173,67 123.077,42R$ -R$ 32.095,27R$
ES RIO NOVO DO SUL R$ 108.039,06 R$ 10.803,91 123.077,42R$ -R$ 12.307,75R$
ES SANTA LEOPOLDINA R$ 141.389,76 R$ 21.656,35 161.070,33R$ -R$ 24.670,78R$
ES SANTA MARIA DE JETIBÁ R$ 301.712,31 R$ 22.290,84 343.708,78R$ -R$ 25.393,59R$
ES SANTA TERESA R$ 108.039,06 R$ 21.270,15 123.077,42R$ -R$ 24.230,82R$
ES SÃO DOMINGOS DO NORTE R$ 108.039,06 R$ 10.803,91 123.077,42R$ -R$ 12.307,75R$
ES SÃO GABRIEL DA PALHA R$ 317.305,58 R$ 10.803,91 361.472,53R$ -R$ 12.307,75R$
ES SÃO JOSÉ DO CALÇADO R$ 108.039,06 R$ 10.803,91 123.077,42R$ -R$ 12.307,75R$
ES SÃO MATEUS R$ 1.359.064,37 R$ 118.385,94 1.548.237,63R$ -R$ 134.864,52R$
ES SÃO ROQUE DO CANAÃ R$ 108.039,06 R$ 10.803,91 123.077,42R$ -R$ 12.307,75R$
ES SERRA SIM R$ 2.225.452,08 R$ 133.583,91 2.535.221,10R$ 1.014.088,44R$ 152.177,96R$
ES SOORETAMA R$ 284.480,00 R$ 40.498,93 324.077,84R$ -R$ 46.136,13R$
ES VARGEM ALTA R$ 184.916,03 R$ 17.108,90 210.655,19R$ -R$ 19.490,35R$
ES VENDA NOVA DO IMIGRANTE R$ 108.039,06 R$ 10.803,91 123.077,42R$ -R$ 12.307,75R$
ES VIANA R$ 570.922,56 R$ 23.243,07 650.391,41R$ -R$ 26.478,36R$
ES VILA PAVÃO R$ 262.648,96 R$ 17.948,12 299.208,05R$ -R$ 20.446,39R$
ES VILA VALÉRIO R$ 108.039,06 R$ 15.361,54 123.077,42R$ -R$ 17.499,77R$
ES VILA VELHA SIM R$ 2.099.641,06 R$ 78.101,38 2.391.897,97R$ 956.759,19R$ 88.972,60R$
ES VITÓRIA SIM R$ 6.457.662,00 R$ 131.451,14 7.356.528,18R$ 2.942.611,27R$ 149.748,32R$
GO ABADIA DE GOIÁS R$ 188.153,73 R$ 10.803,91 214.343,55R$ -R$ 12.307,75R$
GO ABADIÂNIA R$ 232.983,32 R$ 13.376,59 265.413,14R$ -R$ 15.238,53R$
GO ACREÚNA R$ 627.478,15 R$ 35.630,52 714.819,19R$ -R$ 40.590,07R$
GO ADELÂNDIA R$ 108.039,06 R$ 10.803,91 123.077,42R$ -R$ 12.307,75R$
GO ÁGUA FRIA DE GOIÁS R$ 108.039,06 R$ 10.803,91 123.077,42R$ -R$ 12.307,75R$
GO ÁGUA LIMPA R$ 108.039,06 R$ 18.174,11 123.077,42R$ -R$ 20.703,83R$
GO ÁGUAS LINDAS DE GOIÁS R$ 1.374.546,39 R$ 108.390,89 1.565.874,65R$ -R$ 123.478,22R$
GO ALEXÂNIA R$ 322.208,04 R$ 56.794,89 367.057,38R$ -R$ 64.700,38R$
GO ALOÂNDIA R$ 108.039,06 R$ 10.803,91 123.077,42R$ -R$ 12.307,75R$
GO ALTO HORIZONTE R$ 442.739,01 R$ 10.803,91 504.365,51R$ -R$ 12.307,75R$
GO ALTO PARAÍSO DE GOIÁS R$ 205.813,52 R$ 10.803,91 234.461,48R$ -R$ 12.307,75R$
GO ALVORADA DO NORTE R$ 108.039,06 R$ 10.803,91 123.077,42R$ -R$ 12.307,75R$
GO AMARALINA R$ 108.039,06 R$ 10.803,91 123.077,42R$ -R$ 12.307,75R$
GO AMERICANO DO BRASIL R$ 361.873,76 R$ 10.803,91 412.244,33R$ -R$ 12.307,75R$
GO AMORINÓPOLIS R$ 108.039,06 R$ 10.803,91 123.077,42R$ -R$ 12.307,75R$
GO ANÁPOLIS SIM R$ 580.879,93 R$ 105.816,19 661.734,79R$ 264.693,91R$ 120.545,14R$
GO ANHANGÜERA R$ 108.039,06 R$ 10.803,91 123.077,42R$ -R$ 12.307,75R$
GO ANICUNS R$ 160.767,63 R$ 10.803,91 183.145,48R$ -R$ 12.307,75R$
GO APARECIDA DE GOIÂNIA SIM R$ 4.788.310,78 R$ 292.935,12 5.454.813,71R$ 2.181.925,48R$ 333.709,86R$
GO APARECIDA DO RIO DOCE R$ 108.039,06 R$ 10.803,91 123.077,42R$ -R$ 12.307,75R$
GO APORÉ R$ 108.039,06 R$ 10.803,91 123.077,42R$ -R$ 12.307,75R$
GO ARAÇU R$ 108.039,06 R$ 10.803,91 123.077,42R$ -R$ 12.307,75R$
GO ARAGARÇAS R$ 108.039,06 R$ 10.803,91 123.077,42R$ -R$ 12.307,75R$
GO ARAGOIÂNIA R$ 108.039,06 R$ 10.803,91 123.077,42R$ -R$ 12.307,75R$
GO ARAGUAPAZ R$ 147.138,72 R$ 10.803,91 167.619,51R$ -R$ 12.307,75R$
GO ARENÓPOLIS R$ 108.039,06 R$ 10.803,91 123.077,42R$ -R$ 12.307,75R$
GO ARUANÃ R$ 236.878,51 R$ 17.269,65 269.850,52R$ -R$ 19.673,48R$
GO AURILÂNDIA R$ 108.039,06 R$ 10.803,91 123.077,42R$ -R$ 12.307,75R$
GO AVELINÓPOLIS R$ 108.039,06 R$ 16.517,72 123.077,42R$ -R$ 18.816,88R$
GO BALIZA R$ 108.039,06 R$ 10.803,91 123.077,42R$ -R$ 12.307,75R$
GO BARRO ALTO R$ 262.482,04 R$ 13.828,17 299.017,90R$ -R$ 15.752,96R$
GO BELA VISTA DE GOIÁS R$ 404.894,15 R$ 15.762,16 461.252,88R$ -R$ 17.956,15R$
GO BOM JARDIM DE GOIÁS R$ 108.039,06 R$ 10.803,91 123.077,42R$ -R$ 12.307,75R$
GO BOM JESUS DE GOIÁS R$ 457.470,53 R$ 28.794,49 521.147,57R$ -R$ 32.802,50R$
GO BONFINÓPOLIS R$ 136.316,84 R$ 10.803,91 155.291,29R$ -R$ 12.307,75R$
GO BONÓPOLIS R$ 108.039,06 R$ 10.803,91 123.077,42R$ -R$ 12.307,75R$
GO BRAZABRANTES R$ 108.039,06 R$ 10.803,91 123.077,42R$ -R$ 12.307,75R$
GO BRITÂNIA R$ 108.039,06 R$ 10.803,91 123.077,42R$ -R$ 12.307,75R$
GO BURITI ALEGRE R$ 237.412,65 R$ 10.803,91 270.459,01R$ -R$ 12.307,75R$
GO BURITI DE GOIÁS R$ 108.039,06 R$ 10.803,91 123.077,42R$ -R$ 12.307,75R$
GO BURITINÓPOLIS R$ 151.260,55 R$ 10.803,91 172.315,07R$ -R$ 12.307,75R$
GO CABECEIRAS R$ 340.823,63 R$ 10.803,91 388.264,15R$ -R$ 12.307,75R$
GO CACHOEIRA ALTA R$ 235.685,12 R$ 17.510,46 268.491,02R$ -R$ 19.947,81R$
14
Tribunal Superior Eleitoral
PREFEITO
1º TURNO 1º TURNO 2º TURNO
UF
POSSIBILIDADE
DE SEGUNDO
TURNO
VEREADORVEREADOR
LIMITE DE GASTOS OBSERVADO
O MÍNIMO LEGAL (R$ 100,000,00
PARA PREFEITO E R$ 10.000,00
PARA VEREADOR ) EM 2016***
LIMITE DE GASTOS 2020 (ATUALIZADO PELO IPCA DE
JUNHO/2016 ATÉ JUNHO/2020*)
PREFEITO
MUNICÍPIO**
GO CACHOEIRA DE GOIÁS R$ 108.039,06 R$ 10.803,91 123.077,42R$ -R$ 12.307,75R$
GO CACHOEIRA DOURADA R$ 189.811,88 R$ 27.913,01 216.232,51R$ -R$ 31.798,33R$
GO CAÇU R$ 221.299,93 R$ 10.803,91 252.103,50R$ -R$ 12.307,75R$
GO CAIAPÔNIA R$ 386.697,57 R$ 10.803,91 440.523,45R$ -R$ 12.307,75R$
GO CALDAS NOVAS R$ 708.499,72 R$ 76.527,47 807.118,45R$ -R$ 87.179,62R$
GO CALDAZINHA R$ 158.799,84 R$ 10.803,91 180.903,79R$ -R$ 12.307,75R$
GO CAMPESTRE DE GOIÁS R$ 108.039,06 R$ 10.803,91 123.077,42R$ -R$ 12.307,75R$
GO CAMPINAÇU R$ 108.039,06 R$ 10.803,91 123.077,42R$ -R$ 12.307,75R$
GO CAMPINORTE R$ 238.599,87 R$ 26.501,85 271.811,48R$ -R$ 30.190,74R$
GO CAMPO ALEGRE DE GOIÁS R$ 108.039,06 R$ 10.803,91 123.077,42R$ -R$ 12.307,75R$
GO CAMPO LIMPO DE GOIÁS R$ 108.039,06 R$ 10.803,91 123.077,42R$ -R$ 12.307,75R$
GO CAMPOS BELOS R$ 174.254,15 R$ 29.265,89 198.509,24R$ -R$ 33.339,52R$
GO CAMPOS VERDES R$ 108.039,06 R$ 10.803,91 123.077,42R$ -R$ 12.307,75R$
GO CARMO DO RIO VERDE R$ 108.039,06 R$ 10.803,91 123.077,42R$ -R$ 12.307,75R$
GO CASTELÂNDIA R$ 108.039,06 R$ 15.061,09 123.077,42R$ -R$ 17.157,50R$
GO CATALÃO R$ 1.196.611,71 R$ 43.209,91 1.363.172,58R$ -R$ 49.224,46R$
GO CATURAÍ R$ 108.039,06 R$ 10.803,91 123.077,42R$ -R$ 12.307,75R$
GO CAVALCANTE R$ 108.039,06 R$ 10.803,91 123.077,42R$ -R$ 12.307,75R$
GO CERES R$ 257.663,60 R$ 29.975,16 293.528,76R$ -R$ 34.147,51R$
GO CEZARINA R$ 153.966,85 R$ 10.803,91 175.398,07R$ -R$ 12.307,75R$
GO CHAPADÃO DO CÉU R$ 273.152,03 R$ 36.328,95 311.173,09R$ -R$ 41.385,71R$
GO CIDADE OCIDENTAL R$ 785.376,89 R$ 50.566,36 894.696,44R$ -R$ 57.604,88R$
GO COCALZINHO DE GOIÁS R$ 138.186,87 R$ 34.492,48 157.421,62R$ -R$ 39.293,62R$
GO COLINAS DO SUL R$ 108.039,06 R$ 10.803,91 123.077,42R$ -R$ 12.307,75R$
GO CÓRREGO DO OURO R$ 167.688,41 R$ 10.803,91 191.029,59R$ -R$ 12.307,75R$
GO CORUMBÁ DE GOIÁS R$ 108.039,06 R$ 10.803,91 123.077,42R$ -R$ 12.307,75R$
GO CORUMBAÍBA R$ 108.039,06 R$ 10.803,91 123.077,42R$ -R$ 12.307,75R$
GO CRISTALINA R$ 1.967.931,90 R$ 34.542,37 2.241.855,72R$ -R$ 39.350,45R$
GO CRISTIANÓPOLIS R$ 149.712,97 R$ 30.308,96 170.552,08R$ -R$ 34.527,78R$
GO CRIXÁS R$ 424.681,21 R$ 10.803,91 483.794,18R$ -R$ 12.307,75R$
GO CROMÍNIA R$ 108.039,06 R$ 10.803,91 123.077,42R$ -R$ 12.307,75R$
GO CUMARI R$ 108.039,06 R$ 10.803,91 123.077,42R$ -R$ 12.307,75R$
GO DAMIANÓPOLIS R$ 108.039,06 R$ 10.803,91 123.077,42R$ -R$ 12.307,75R$
GO DAMOLÂNDIA R$ 108.039,06 R$ 10.803,91 123.077,42R$ -R$ 12.307,75R$
GO DAVINÓPOLIS R$ 108.039,06 R$ 10.803,91 123.077,42R$ -R$ 12.307,75R$
GO DIORAMA R$ 108.039,06 R$ 10.803,91 123.077,42R$ -R$ 12.307,75R$
GO DIVINÓPOLIS DE GOIÁS R$ 108.039,06 R$ 10.803,91 123.077,42R$ -R$ 12.307,75R$
GO DOVERLÂNDIA R$ 207.615,14 R$ 10.803,91 236.513,87R$ -R$ 12.307,75R$
GO EDEALINA R$ 108.039,06 R$ 10.803,91 123.077,42R$ -R$ 12.307,75R$
GO EDÉIA R$ 170.599,08 R$ 10.803,91 194.345,41R$ -R$ 12.307,75R$
GO ESTRELA DO NORTE R$ 108.039,06 R$ 10.803,91 123.077,42R$ -R$ 12.307,75R$
GO FAINA R$ 271.099,92 R$ 10.803,91 308.835,33R$ -R$ 12.307,75R$
GO FAZENDA NOVA R$ 108.039,06 R$ 10.803,91 123.077,42R$ -R$ 12.307,75R$
GO FIRMINÓPOLIS R$ 108.039,06 R$ 10.803,91 123.077,42R$ -R$ 12.307,75R$
GO FLORES DE GOIÁS R$ 281.928,56 R$ 18.852,04 321.171,25R$ -R$ 21.476,13R$
GO FORMOSA R$ 2.326.056,14 R$ 48.765,79 2.649.828,61R$ -R$ 55.553,68R$
GO FORMOSO R$ 154.166,51 R$ 10.803,91 175.625,52R$ -R$ 12.307,75R$
GO GAMELEIRA DE GOIÁS R$ 108.039,06 R$ 10.803,91 123.077,42R$ -R$ 12.307,75R$
GO GOIANÁPOLIS R$ 242.597,51 R$ 18.647,07 276.365,57R$ -R$ 21.242,63R$
GO GOIANDIRA R$ 108.039,06 R$ 10.803,91 123.077,42R$ -R$ 12.307,75R$
GO GOIANÉSIA R$ 1.045.152,05 R$ 43.645,27 1.190.630,68R$ -R$ 49.720,42R$
GO GOIÂNIA SIM R$ 5.683.083,86 R$ 519.651,25 6.474.133,61R$ 2.589.653,44R$ 591.983,46R$
GO GOIANIRA R$ 381.035,48 R$ 17.044,93 434.073,24R$ -R$ 19.417,48R$
GO GOIÁS R$ 476.988,29 R$ 22.147,45 543.382,08R$ -R$ 25.230,24R$
GO GOIATUBA R$ 506.066,43 R$ 38.077,10 576.507,71R$ -R$ 43.377,19R$
GO GOUVELÂNDIA R$ 108.039,06 R$ 10.803,91 123.077,42R$ -R$ 12.307,75R$
GO GUAPÓ R$ 292.496,43 R$ 33.887,61 333.210,10R$ -R$ 38.604,55R$
GO GUARAÍTA R$ 108.039,06 R$ 10.803,91 123.077,42R$ -R$ 12.307,75R$
GO GUARANI DE GOIÁS R$ 108.039,06 R$ 22.830,86 123.077,42R$ -R$ 26.008,77R$
GO GUARINOS R$ 108.039,06 R$ 10.803,91 123.077,42R$ -R$ 12.307,75R$
GO HEITORAÍ R$ 108.039,06 R$ 10.803,91 123.077,42R$ -R$ 12.307,75R$
GO HIDROLÂNDIA R$ 349.529,48 R$ 19.298,67 398.181,80R$ -R$ 21.984,92R$
GO HIDROLINA R$ 108.039,06 R$ 10.803,91 123.077,42R$ -R$ 12.307,75R$
GO IACIARA R$ 535.425,50 R$ 10.803,91 609.953,38R$ -R$ 12.307,75R$
GO INACIOLÂNDIA R$ 108.039,06 R$ 10.803,91 123.077,42R$ -R$ 12.307,75R$
GO INDIARA R$ 161.611,44 R$ 10.803,91 184.106,74R$ -R$ 12.307,75R$
15
Tribunal Superior Eleitoral
PREFEITO
1º TURNO 1º TURNO 2º TURNO
UF
POSSIBILIDADE
DE SEGUNDO
TURNO
VEREADORVEREADOR
LIMITE DE GASTOS OBSERVADO
O MÍNIMO LEGAL (R$ 100,000,00
PARA PREFEITO E R$ 10.000,00
PARA VEREADOR ) EM 2016***
LIMITE DE GASTOS 2020 (ATUALIZADO PELO IPCA DE
JUNHO/2016 ATÉ JUNHO/2020*)
PREFEITO
MUNICÍPIO**
GO INHUMAS R$ 1.462.196,91 R$ 51.671,85 1.665.725,58R$ -R$ 58.864,25R$
GO IPAMERI R$ 593.997,46 R$ 36.822,06 676.678,19R$ -R$ 41.947,46R$
GO IPIRANGA DE GOIÁS R$ 108.039,06 R$ 10.803,91 123.077,42R$ -R$ 12.307,75R$
GO IPORÁ R$ 108.039,06 R$ 14.497,18 123.077,42R$ -R$ 16.515,10R$
GO ISRAELÂNDIA R$ 108.039,06 R$ 15.500,92 123.077,42R$ -R$ 17.658,55R$
GO ITABERAÍ R$ 748.549,46 R$ 27.998,85 852.742,87R$ -R$ 31.896,11R$
GO ITAGUARI R$ 108.039,06 R$ 10.803,91 123.077,42R$ -R$ 12.307,75R$
GO ITAGUARU R$ 169.545,36 R$ 10.803,91 193.145,01R$ -R$ 12.307,75R$
GO ITAJÁ R$ 108.039,06 R$ 10.803,91 123.077,42R$ -R$ 12.307,75R$
GO ITAPACI R$ 276.855,90 R$ 13.539,31 315.392,51R$ -R$ 15.423,90R$
GO ITAPIRAPUÃ R$ 241.672,51 R$ 16.169,91 275.311,81R$ -R$ 18.420,66R$
GO ITAPURANGA R$ 267.289,45 R$ 17.523,39 304.494,47R$ -R$ 19.962,54R$
GO ITARUMÃ R$ 186.096,85 R$ 10.803,91 212.000,37R$ -R$ 12.307,75R$
GO ITAUÇU R$ 108.039,06 R$ 30.149,78 123.077,42R$ -R$ 34.346,44R$
GO ITUMBIARA R$ 1.735.301,66 R$ 79.925,91 1.976.844,80R$ -R$ 91.051,10R$
GO IVOLÂNDIA R$ 108.039,06 R$ 10.803,91 123.077,42R$ -R$ 12.307,75R$
GO JANDAIA R$ 227.545,43 R$ 10.803,91 259.218,33R$ -R$ 12.307,75R$
GO JARAGUÁ R$ 769.374,54 R$ 21.634,37 876.466,67R$ -R$ 24.645,74R$
GO JATAÍ R$ 2.384.675,64 R$ 124.545,25 2.716.607,58R$ -R$ 141.881,17R$
GO JAUPACI R$ 108.039,06 R$ 13.981,73 123.077,42R$ -R$ 15.927,90R$
GO JESÚPOLIS R$ 108.039,06 R$ 10.803,91 123.077,42R$ -R$ 12.307,75R$
GO JOVIÂNIA R$ 136.881,32 R$ 14.129,67 155.934,34R$ -R$ 16.096,43R$
GO JUSSARA R$ 360.369,97 R$ 16.240,95 410.531,22R$ -R$ 18.501,59R$
GO LAGOA SANTA R$ 108.039,06 R$ 10.803,91 123.077,42R$ -R$ 12.307,75R$
GO LEOPOLDO DE BULHÕES R$ 108.039,06 R$ 10.803,91 123.077,42R$ -R$ 12.307,75R$
GO LUZIÂNIA R$ 1.641.560,53 R$ 182.596,84 1.870.055,49R$ -R$ 208.013,18R$
GO MAIRIPOTABA R$ 108.039,06 R$ 10.803,91 123.077,42R$ -R$ 12.307,75R$
GO MAMBAÍ R$ 153.147,41 R$ 10.803,91 174.464,57R$ -R$ 12.307,75R$
GO MARA ROSA R$ 395.851,31 R$ 14.485,00 450.951,34R$ -R$ 16.501,22R$
GO MARZAGÃO R$ 108.039,06 R$ 10.803,91 123.077,42R$ -R$ 12.307,75R$
GO MATRINCHÃ R$ 151.480,05 R$ 10.803,91 172.565,13R$ -R$ 12.307,75R$
GO MAURILÂNDIA R$ 108.039,06 R$ 15.029,95 123.077,42R$ -R$ 17.122,03R$
GO MIMOSO DE GOIÁS R$ 576.381,93 R$ 28.566,97 656.610,69R$ -R$ 32.543,31R$
GO MINAÇU R$ 446.491,26 R$ 38.494,53 508.640,05R$ -R$ 43.852,73R$
GO MINEIROS R$ 543.070,21 R$ 17.868,43 618.662,19R$ -R$ 20.355,60R$
GO MOIPORÁ R$ 108.039,06 R$ 10.803,91 123.077,42R$ -R$ 12.307,75R$
GO MONTE ALEGRE DE GOIÁS R$ 144.054,50 R$ 10.803,91 164.105,99R$ -R$ 12.307,75R$
GO MONTES CLAROS DE GOIÁS R$ 153.203,79 R$ 22.473,76 174.528,80R$ -R$ 25.601,97R$
GO MONTIVIDIU R$ 274.329,32 R$ 10.803,91 312.514,25R$ -R$ 12.307,75R$
GO MONTIVIDIU DO NORTE R$ 108.039,06 R$ 10.803,91 123.077,42R$ -R$ 12.307,75R$
GO MORRINHOS R$ 537.856,66 R$ 35.925,87 612.722,94R$ -R$ 40.926,53R$
GO MORRO AGUDO DE GOIÁS R$ 108.039,06 R$ 10.803,91 123.077,42R$ -R$ 12.307,75R$
GO MOSSÂMEDES R$ 108.039,06 R$ 10.803,91 123.077,42R$ -R$ 12.307,75R$
GO MOZARLÂNDIA R$ 237.921,11 R$ 10.803,91 271.038,24R$ -R$ 12.307,75R$
GO MUNDO NOVO R$ 152.455,95 R$ 10.803,91 173.676,87R$ -R$ 12.307,75R$
GO MUTUNÓPOLIS R$ 339.887,30 R$ 10.803,91 387.197,49R$ -R$ 12.307,75R$
GO NAZÁRIO R$ 286.462,89 R$ 10.803,91 326.336,73R$ -R$ 12.307,75R$
GO NERÓPOLIS R$ 512.712,34 R$ 24.952,88 584.078,69R$ -R$ 28.426,16R$
GO NIQUELÂNDIA R$ 516.314,56 R$ 38.655,39 588.182,32R$ -R$ 44.035,98R$
GO NOVA AMÉRICA R$ 108.039,06 R$ 10.803,91 123.077,42R$ -R$ 12.307,75R$
GO NOVA AURORA R$ 108.039,06 R$ 10.803,91 123.077,42R$ -R$ 12.307,75R$
GO NOVA CRIXÁS R$ 108.039,06 R$ 10.803,91 123.077,42R$ -R$ 12.307,75R$
GO NOVA GLÓRIA R$ 108.039,06 R$ 10.803,91 123.077,42R$ -R$ 12.307,75R$
GO NOVA IGUAÇU DE GOIÁS R$ 108.039,06 R$ 10.803,91 123.077,42R$ -R$ 12.307,75R$
GO NOVA ROMA R$ 108.039,06 R$ 10.803,91 123.077,42R$ -R$ 12.307,75R$
GO NOVA VENEZA R$ 415.235,50 R$ 20.487,81 473.033,69R$ -R$ 23.339,59R$
GO NOVO BRASIL R$ 108.039,06 R$ 10.803,91 123.077,42R$ -R$ 12.307,75R$
GO NOVO GAMA R$ 616.811,73 R$ 80.958,61 702.668,07R$ -R$ 92.227,54R$
GO NOVO PLANALTO R$ 108.039,06 R$ 10.803,91 123.077,42R$ -R$ 12.307,75R$
GO ORIZONA R$ 108.039,06 R$ 19.284,34 123.077,42R$ -R$ 21.968,60R$
GO OURO VERDE DE GOIÁS R$ 108.039,06 R$ 35.031,14 123.077,42R$ -R$ 39.907,26R$
GO OUVIDOR R$ 108.039,06 R$ 10.803,91 123.077,42R$ -R$ 12.307,75R$
GO PADRE BERNARDO R$ 263.841,61 R$ 25.243,85 300.566,71R$ -R$ 28.757,64R$
GO PALESTINA DE GOIÁS R$ 108.039,06 R$ 10.803,91 123.077,42R$ -R$ 12.307,75R$
GO PALMEIRAS DE GOIÁS R$ 483.362,82 R$ 23.188,35 550.643,90R$ -R$ 26.416,02R$
GO PALMELO R$ 108.039,06 R$ 10.803,91 123.077,42R$ -R$ 12.307,75R$
16
Tribunal Superior Eleitoral
PREFEITO
1º TURNO 1º TURNO 2º TURNO
UF
POSSIBILIDADE
DE SEGUNDO
TURNO
VEREADORVEREADOR
LIMITE DE GASTOS OBSERVADO
O MÍNIMO LEGAL (R$ 100,000,00
PARA PREFEITO E R$ 10.000,00
PARA VEREADOR ) EM 2016***
LIMITE DE GASTOS 2020 (ATUALIZADO PELO IPCA DE
JUNHO/2016 ATÉ JUNHO/2020*)
PREFEITO
MUNICÍPIO**
GO PALMINÓPOLIS R$ 108.039,06 R$ 10.803,91 123.077,42R$ -R$ 12.307,75R$
GO PANAMÁ R$ 108.039,06 R$ 10.803,91 123.077,42R$ -R$ 12.307,75R$
GO PARANAIGUARA R$ 108.039,06 R$ 10.803,91 123.077,42R$ -R$ 12.307,75R$
GO PARAÚNA R$ 335.851,18 R$ 13.396,95 382.599,56R$ -R$ 15.261,72R$
GO PEROLÂNDIA R$ 144.720,08 R$ 10.803,91 164.864,21R$ -R$ 12.307,75R$
GO PETROLINA DE GOIÁS R$ 227.223,08 R$ 22.257,27 258.851,11R$ -R$ 25.355,34R$
GO PILAR DE GOIÁS R$ 108.039,06 R$ 10.803,91 123.077,42R$ -R$ 12.307,75R$
GO PIRACANJUBA R$ 267.101,42 R$ 26.469,77 304.280,27R$ -R$ 30.154,20R$
GO PIRANHAS R$ 108.039,06 R$ 10.803,91 123.077,42R$ -R$ 12.307,75R$
GO PIRENÓPOLIS R$ 194.712,14 R$ 30.088,28 221.814,85R$ -R$ 34.276,38R$
GO PIRES DO RIO R$ 221.907,18 R$ 42.138,35 252.795,27R$ -R$ 48.003,74R$
GO PLANALTINA R$ 689.665,89 R$ 53.508,37 785.663,07R$ -R$ 60.956,40R$
GO PONTALINA R$ 108.039,06 R$ 13.851,50 123.077,42R$ -R$ 15.779,54R$
GO PORANGATU R$ 647.759,39 R$ 40.933,01 737.923,45R$ -R$ 46.630,63R$
GO PORTEIRÃO R$ 261.653,54 R$ 10.803,91 298.074,08R$ -R$ 12.307,75R$
GO PORTELÂNDIA R$ 108.039,06 R$ 10.803,91 123.077,42R$ -R$ 12.307,75R$
GO POSSE R$ 373.693,29 R$ 19.547,10 425.709,06R$ -R$ 22.267,93R$
GO PROFESSOR JAMIL R$ 108.039,06 R$ 10.803,91 123.077,42R$ -R$ 12.307,75R$
GO QUIRINÓPOLIS R$ 469.482,52 R$ 37.623,44 534.831,55R$ -R$ 42.860,39R$
GO RIALMA R$ 134.591,92 R$ 29.116,76 153.326,27R$ -R$ 33.169,63R$
GO RIANÁPOLIS R$ 108.039,06 R$ 10.803,91 123.077,42R$ -R$ 12.307,75R$
GO RIO QUENTE R$ 108.039,06 R$ 15.735,47 123.077,42R$ -R$ 17.925,75R$
GO RIO VERDE R$ 1.420.060,21 R$ 214.263,46 1.617.723,71R$ -R$ 244.087,59R$
GO RUBIATABA R$ 108.039,06 R$ 13.468,86 123.077,42R$ -R$ 15.343,64R$
GO SANCLERLÂNDIA R$ 145.310,07 R$ 16.544,49 165.536,32R$ -R$ 18.847,38R$
GO SANTA BÁRBARA DE GOIÁS R$ 108.039,06 R$ 10.803,91 123.077,42R$ -R$ 12.307,75R$
GO SANTA CRUZ DE GOIÁS R$ 108.039,06 R$ 10.803,91 123.077,42R$ -R$ 12.307,75R$
GO SANTA FÉ DE GOIÁS R$ 108.039,06 R$ 14.211,80 123.077,42R$ -R$ 16.189,99R$
GO SANTA HELENA DE GOIÁS R$ 316.935,81 R$ 23.416,18 361.051,29R$ -R$ 26.675,57R$
GO SANTA ISABEL R$ 108.039,06 R$ 38.967,02 123.077,42R$ -R$ 44.390,99R$
GO SANTA RITA DO ARAGUAIA R$ 108.039,06 R$ 10.803,91 123.077,42R$ -R$ 12.307,75R$
GO SANTA RITA DO NOVO DESTINO R$ 108.039,06 R$ 10.803,91 123.077,42R$ -R$ 12.307,75R$
GO SANTA ROSA DE GOIÁS R$ 108.039,06 R$ 10.803,91 123.077,42R$ -R$ 12.307,75R$
GO SANTA TEREZA DE GOIÁS R$ 108.039,06 R$ 10.803,91 123.077,42R$ -R$ 12.307,75R$
GO SANTA TEREZINHA DE GOIÁS R$ 108.039,06 R$ 10.803,91 123.077,42R$ -R$ 12.307,75R$
GO SANTO ANTÔNIO DA BARRA R$ 108.039,06 R$ 10.803,91 123.077,42R$ -R$ 12.307,75R$
GO SANTO ANTÔNIO DE GOIÁS R$ 108.039,06 R$ 10.803,91 123.077,42R$ -R$ 12.307,75R$
GO SANTO ANTÔNIO DO DESCOBERTO R$ 273.595,23 R$ 32.443,79 311.677,98R$ -R$ 36.959,76R$
GO SÃO DOMINGOS R$ 108.039,06 R$ 10.803,91 123.077,42R$ -R$ 12.307,75R$
GO SÃO FRANCISCO DE GOIÁS R$ 205.886,50 R$ 10.803,91 234.544,61R$ -R$ 12.307,75R$
GO SÃO JOÃO DA PARAÚNA R$ 108.039,06 R$ 10.803,91 123.077,42R$ -R$ 12.307,75R$
GO SÃO JOÃO D'ALIANÇA R$ 158.799,00 R$ 10.803,91 180.902,83R$ -R$ 12.307,75R$
GO SÃO LUÍS DE MONTES BELOS R$ 1.203.581,58 R$ 46.778,98 1.371.112,61R$ -R$ 53.290,32R$
GO SÃO LUIZ DO NORTE R$ 108.039,06 R$ 10.803,91 123.077,42R$ -R$ 12.307,75R$
GO SÃO MIGUEL DO ARAGUAIA R$ 176.846,41 R$ 15.487,12 201.462,32R$ -R$ 17.642,83R$
GO SÃO MIGUEL DO PASSA QUATRO R$ 108.039,06 R$ 10.803,91 123.077,42R$ -R$ 12.307,75R$
GO SÃO PATRÍCIO R$ 139.959,13 R$ 10.803,91 159.440,57R$ -R$ 12.307,75R$
GO SÃO SIMÃO R$ 280.922,39 R$ 16.273,16 320.025,03R$ -R$ 18.538,28R$
GO SENADOR CANEDO R$ 542.605,76 R$ 91.412,83 618.133,09R$ -R$ 104.136,92R$
GO SERRANÓPOLIS R$ 108.039,06 R$ 18.726,57 123.077,42R$ -R$ 21.333,19R$
GO SILVÂNIA R$ 400.469,17 R$ 67.468,94 456.211,98R$ -R$ 76.860,19R$
GO SIMOLÂNDIA R$ 108.039,06 R$ 10.803,91 123.077,42R$ -R$ 12.307,75R$
GO SÍTIO D'ABADIA R$ 108.039,06 R$ 10.803,91 123.077,42R$ -R$ 12.307,75R$
GO TAQUARAL DE GOIÁS R$ 254.696,76 R$ 22.133,27 290.148,96R$ -R$ 25.214,08R$
GO TERESINA DE GOIÁS R$ 108.039,06 R$ 10.803,91 123.077,42R$ -R$ 12.307,75R$
GO TEREZÓPOLIS DE GOIÁS R$ 195.718,64 R$ 10.803,91 222.961,45R$ -R$ 12.307,75R$
GO TRÊS RANCHOS R$ 108.039,06 R$ 10.803,91 123.077,42R$ -R$ 12.307,75R$
GO TRINDADE R$ 1.729.169,17 R$ 61.177,53 1.969.858,71R$ -R$ 69.693,06R$
GO TROMBAS R$ 108.039,06 R$ 10.803,91 123.077,42R$ -R$ 12.307,75R$
GO TURVÂNIA R$ 207.172,09 R$ 10.803,91 236.009,15R$ -R$ 12.307,75R$
GO TURVELÂNDIA R$ 108.039,06 R$ 17.928,03 123.077,42R$ -R$ 20.423,50R$
GO UIRAPURU R$ 108.039,06 R$ 10.803,91 123.077,42R$ -R$ 12.307,75R$
GO URUAÇU R$ 257.903,88 R$ 10.803,91 293.802,49R$ -R$ 12.307,75R$
GO URUANA R$ 212.093,62 R$ 23.094,55 241.615,73R$ -R$ 26.309,17R$
GO URUTAÍ R$ 108.039,06 R$ 10.803,91 123.077,42R$ -R$ 12.307,75R$
GO VALPARAÍSO DE GOIÁS R$ 1.696.220,69 R$ 112.776,11 1.932.324,01R$ -R$ 128.473,84R$
17
Tribunal Superior Eleitoral
PREFEITO
1º TURNO 1º TURNO 2º TURNO
UF
POSSIBILIDADE
DE SEGUNDO
TURNO
VEREADORVEREADOR
LIMITE DE GASTOS OBSERVADO
O MÍNIMO LEGAL (R$ 100,000,00
PARA PREFEITO E R$ 10.000,00
PARA VEREADOR ) EM 2016***
LIMITE DE GASTOS 2020 (ATUALIZADO PELO IPCA DE
JUNHO/2016 ATÉ JUNHO/2020*)
PREFEITO
MUNICÍPIO**
GO VARJÃO R$ 108.039,06 R$ 10.803,91 123.077,42R$ -R$ 12.307,75R$
GO VIANÓPOLIS R$ 140.205,41 R$ 10.803,91 159.721,13R$ -R$ 12.307,75R$
GO VICENTINÓPOLIS R$ 108.039,06 R$ 10.803,91 123.077,42R$ -R$ 12.307,75R$
GO VILA BOA R$ 108.039,06 R$ 10.803,91 123.077,42R$ -R$ 12.307,75R$
GO VILA PROPÍCIO R$ 108.039,06 R$ 10.803,91 123.077,42R$ -R$ 12.307,75R$
MA AÇAILÂNDIA R$ 301.385,43 R$ 66.784,81 343.336,40R$ -R$ 76.080,84R$
MA AFONSO CUNHA R$ 108.039,06 R$ 10.803,91 123.077,42R$ -R$ 12.307,75R$
MA ÁGUA DOCE DO MARANHÃO R$ 138.557,91 R$ 16.306,16 157.844,30R$ -R$ 18.575,88R$
MA ALCÂNTARA R$ 137.129,61 R$ 10.803,91 156.217,19R$ -R$ 12.307,75R$
MA ALDEIAS ALTAS R$ 221.632,74 R$ 37.147,43 252.482,63R$ -R$ 42.318,12R$
MA ALTAMIRA DO MARANHÃO R$ 108.039,06 R$ 10.803,91 123.077,42R$ -R$ 12.307,75R$
MA ALTO ALEGRE DO MARANHÃO R$ 168.451,14 R$ 16.528,54 191.898,49R$ -R$ 18.829,21R$
MA ALTO ALEGRE DO PINDARÉ R$ 312.501,75 R$ 10.803,91 356.000,04R$ -R$ 12.307,75R$
MA ALTO PARNAÍBA R$ 108.039,06 R$ 10.803,91 123.077,42R$ -R$ 12.307,75R$
MA AMAPÁ DO MARANHÃO R$ 108.039,06 R$ 10.803,91 123.077,42R$ -R$ 12.307,75R$
MA AMARANTE DO MARANHÃO R$ 153.065,39 R$ 10.803,91 174.371,14R$ -R$ 12.307,75R$
MA ANAJATUBA R$ 108.039,06 R$ 16.554,29 123.077,42R$ -R$ 18.858,54R$
MA ANAPURUS R$ 108.039,06 R$ 25.555,51 123.077,42R$ -R$ 29.112,68R$
MA APICUM-AÇU R$ 222.399,20 R$ 10.803,91 253.355,78R$ -R$ 12.307,75R$
MA ARAGUANÃ R$ 198.033,51 R$ 10.803,91 225.598,54R$ -R$ 12.307,75R$
MA ARAIOSES R$ 308.064,50 R$ 10.803,91 350.945,15R$ -R$ 12.307,75R$
MA ARAME R$ 193.342,50 R$ 30.571,13 220.254,57R$ -R$ 34.826,44R$
MA ARARI R$ 408.402,32 R$ 10.803,91 465.249,37R$ -R$ 12.307,75R$
MA AXIXÁ R$ 108.039,06 R$ 10.803,91 123.077,42R$ -R$ 12.307,75R$
MA BACABAL R$ 298.890,91 R$ 61.292,07 340.494,66R$ -R$ 69.823,54R$
MA BACABEIRA R$ 254.718,85 R$ 10.803,91 290.174,12R$ -R$ 12.307,75R$
MA BACURI R$ 108.039,06 R$ 10.803,91 123.077,42R$ -R$ 12.307,75R$
MA BACURITUBA R$ 108.039,06 R$ 10.803,91 123.077,42R$ -R$ 12.307,75R$
MA BALSAS R$ 650.026,51 R$ 41.572,99 740.506,14R$ -R$ 47.359,69R$
MA BARÃO DE GRAJAÚ R$ 145.284,29 R$ 10.803,91 165.506,95R$ -R$ 12.307,75R$
MA BARRA DO CORDA R$ 222.178,15 R$ 37.921,31 253.103,96R$ -R$ 43.199,72R$
MA BARREIRINHAS R$ 412.274,31 R$ 21.863,27 469.660,32R$ -R$ 24.906,50R$
MA BELA VISTA DO MARANHÃO R$ 108.039,06 R$ 10.803,91 123.077,42R$ -R$ 12.307,75R$
MA BELÁGUA R$ 108.039,06 R$ 10.803,91 123.077,42R$ -R$ 12.307,75R$
MA BENEDITO LEITE R$ 108.039,06 R$ 10.803,91 123.077,42R$ -R$ 12.307,75R$
MA BEQUIMÃO R$ 143.539,18 R$ 19.762,15 163.518,94R$ -R$ 22.512,92R$
MA BERNARDO DO MEARIM R$ 108.039,06 R$ 10.803,91 123.077,42R$ -R$ 12.307,75R$
MA BOA VISTA DO GURUPI R$ 108.039,06 R$ 10.803,91 123.077,42R$ -R$ 12.307,75R$
MA BOM JARDIM R$ 431.647,51 R$ 10.803,91 491.730,15R$ -R$ 12.307,75R$
MA BOM JESUS DAS SELVAS R$ 567.427,19 R$ 10.803,91 646.409,51R$ -R$ 12.307,75R$
MA BOM LUGAR R$ 185.717,04 R$ 10.803,91 211.567,69R$ -R$ 12.307,75R$
MA BREJO R$ 108.039,06 R$ 10.803,91 123.077,42R$ -R$ 12.307,75R$
MA BREJO DE AREIA R$ 108.039,06 R$ 10.803,91 123.077,42R$ -R$ 12.307,75R$
MA BURITI R$ 190.911,80 R$ 19.363,28 217.485,53R$ -R$ 22.058,53R$
MA BURITI BRAVO R$ 192.237,64 R$ 10.803,91 218.995,92R$ -R$ 12.307,75R$
MA BURITICUPU R$ 236.891,15 R$ 92.031,74 269.864,92R$ -R$ 104.841,98R$
MA BURITIRANA R$ 150.769,75 R$ 18.052,42 171.755,96R$ -R$ 20.565,20R$
MA CACHOEIRA GRANDE R$ 108.039,06 R$ 10.803,91 123.077,42R$ -R$ 12.307,75R$
MA CAJAPIÓ R$ 108.039,06 R$ 16.859,95 123.077,42R$ -R$ 19.206,75R$
MA CAJARI R$ 176.404,32 R$ 10.803,91 200.958,70R$ -R$ 12.307,75R$
MA CAMPESTRE DO MARANHÃO R$ 248.246,21 R$ 21.073,98 282.800,53R$ -R$ 24.007,35R$
MA CÂNDIDO MENDES R$ 180.190,36 R$ 10.803,91 205.271,73R$ -R$ 12.307,75R$
MA CANTANHEDE R$ 235.365,67 R$ 10.803,91 268.127,10R$ -R$ 12.307,75R$
MA CAPINZAL DO NORTE R$ 108.039,06 R$ 10.803,91 123.077,42R$ -R$ 12.307,75R$
MA CAROLINA R$ 186.870,32 R$ 10.803,91 212.881,50R$ -R$ 12.307,75R$
MA CARUTAPERA R$ 143.258,28 R$ 10.803,91 163.198,94R$ -R$ 12.307,75R$
MA CAXIAS R$ 1.254.212,24 R$ 98.419,28 1.428.790,74R$ -R$ 112.118,63R$
MA CEDRAL R$ 108.039,06 R$ 10.803,91 123.077,42R$ -R$ 12.307,75R$
MA CENTRAL DO MARANHÃO R$ 108.039,06 R$ 10.803,91 123.077,42R$ -R$ 12.307,75R$
MA CENTRO DO GUILHERME R$ 108.039,06 R$ 10.803,91 123.077,42R$ -R$ 12.307,75R$
MA CENTRO NOVO DO MARANHÃO R$ 143.773,27 R$ 23.445,67 163.785,61R$ -R$ 26.709,16R$
MA CHAPADINHA R$ 1.072.464,70 R$ 28.941,92 1.221.745,08R$ -R$ 32.970,45R$
MA CIDELÂNDIA R$ 108.039,06 R$ 18.693,04 123.077,42R$ -R$ 21.294,99R$
MA CODÓ R$ 800.809,50 R$ 96.268,63 912.277,18R$ -R$ 109.668,62R$
MA COELHO NETO R$ 523.220,45 R$ 17.434,87 596.049,47R$ -R$ 19.861,69R$
MA COLINAS R$ 186.024,08 R$ 10.803,91 211.917,47R$ -R$ 12.307,75R$
18
Tribunal Superior Eleitoral
PREFEITO
1º TURNO 1º TURNO 2º TURNO
UF
POSSIBILIDADE
DE SEGUNDO
TURNO
VEREADORVEREADOR
LIMITE DE GASTOS OBSERVADO
O MÍNIMO LEGAL (R$ 100,000,00
PARA PREFEITO E R$ 10.000,00
PARA VEREADOR ) EM 2016***
LIMITE DE GASTOS 2020 (ATUALIZADO PELO IPCA DE
JUNHO/2016 ATÉ JUNHO/2020*)
PREFEITO
MUNICÍPIO**
MA CONCEIÇÃO DO LAGO-AÇU R$ 146.180,57 R$ 15.449,42 166.527,99R$ -R$ 17.599,88R$
MA COROATÁ R$ 1.508.737,16 R$ 89.331,37 1.718.743,94R$ -R$ 101.765,74R$
MA CURURUPU R$ 214.445,31 R$ 10.803,91 244.294,76R$ -R$ 12.307,75R$
MA DAVINÓPOLIS R$ 108.039,06 R$ 17.097,36 123.077,42R$ -R$ 19.477,21R$
MA DOM PEDRO R$ 310.861,11 R$ 10.803,91 354.131,03R$ -R$ 12.307,75R$
MA DUQUE BACELAR R$ 108.039,06 R$ 10.803,91 123.077,42R$ -R$ 12.307,75R$
MA ESPERANTINÓPOLIS R$ 108.039,06 R$ 10.803,91 123.077,42R$ -R$ 12.307,75R$
MA ESTREITO R$ 409.388,24 R$ 10.803,91 466.372,52R$ -R$ 12.307,75R$
MA FEIRA NOVA DO MARANHÃO R$ 108.039,06 R$ 10.803,91 123.077,42R$ -R$ 12.307,75R$
MA FERNANDO FALCÃO R$ 108.039,06 R$ 18.086,12 123.077,42R$ -R$ 20.603,59R$
MA FORMOSA DA SERRA NEGRA R$ 148.447,42 R$ 10.803,91 169.110,37R$ -R$ 12.307,75R$
MA FORTALEZA DOS NOGUEIRAS R$ 456.669,41 R$ 10.803,91 520.234,94R$ -R$ 12.307,75R$
MA FORTUNA R$ 142.334,13 R$ 18.653,63 162.146,15R$ -R$ 21.250,10R$
MA GODOFREDO VIANA R$ 108.039,06 R$ 10.803,91 123.077,42R$ -R$ 12.307,75R$
MA GONÇALVES DIAS R$ 108.039,06 R$ 10.803,91 123.077,42R$ -R$ 12.307,75R$
MA GOVERNADOR ARCHER R$ 108.039,06 R$ 18.555,88 123.077,42R$ -R$ 21.138,74R$
MA GOVERNADOR EDISON LOBÃO R$ 108.039,06 R$ 10.803,91 123.077,42R$ -R$ 12.307,75R$
MA GOVERNADOR EUGÊNIO BARROS R$ 108.039,06 R$ 10.803,91 123.077,42R$ -R$ 12.307,75R$
MA GOVERNADOR LUIZ ROCHA R$ 108.039,06 R$ 10.803,91 123.077,42R$ -R$ 12.307,75R$
MA GOVERNADOR NEWTON BELLO R$ 146.728,41 R$ 10.803,91 167.152,09R$ -R$ 12.307,75R$
MA GOVERNADOR NUNES FREIRE R$ 108.039,06 R$ 10.803,91 123.077,42R$ -R$ 12.307,75R$
MA GRAÇA ARANHA R$ 108.039,06 R$ 10.803,91 123.077,42R$ -R$ 12.307,75R$
MA GRAJAÚ R$ 285.060,86 R$ 21.990,15 324.739,55R$ -R$ 25.051,04R$
MA GUIMARÃES R$ 400.830,09 R$ 22.286,44 456.623,13R$ -R$ 25.388,57R$
MA HUMBERTO DE CAMPOS R$ 172.486,53 R$ 23.427,50 196.495,58R$ -R$ 26.688,46R$
MA ICATU R$ 200.795,68 R$ 17.649,10 228.745,18R$ -R$ 20.105,74R$
MA IGARAPÉ DO MEIO R$ 108.039,06 R$ 10.803,91 123.077,42R$ -R$ 12.307,75R$
MA IGARAPÉ GRANDE R$ 108.039,06 R$ 10.803,91 123.077,42R$ -R$ 12.307,75R$
MA IMPERATRIZ R$ 1.355.242,39 R$ 145.883,24 1.543.883,66R$ -R$ 166.189,28R$
MA ITAIPAVA DO GRAJAÚ R$ 108.039,06 R$ 10.803,91 123.077,42R$ -R$ 12.307,75R$
MA ITAPECURU MIRIM R$ 314.399,50 R$ 18.021,52 358.161,95R$ -R$ 20.530,00R$
MA ITINGA DO MARANHÃO R$ 502.344,11 R$ 25.343,98 572.267,27R$ -R$ 28.871,70R$
MA JATOBÁ R$ 108.039,06 R$ 10.803,91 123.077,42R$ -R$ 12.307,75R$
MA JENIPAPO DOS VIEIRAS R$ 158.991,35 R$ 10.803,91 181.121,95R$ -R$ 12.307,75R$
MA JOÃO LISBOA R$ 153.328,55 R$ 28.137,33 174.670,93R$ -R$ 32.053,87R$
MA JOSELÂNDIA R$ 108.039,06 R$ 10.803,91 123.077,42R$ -R$ 12.307,75R$
MA JUNCO DO MARANHÃO R$ 108.039,06 R$ 10.803,91 123.077,42R$ -R$ 12.307,75R$
MA LAGO DA PEDRA R$ 438.020,15 R$ 17.097,36 498.989,82R$ -R$ 19.477,21R$
MA LAGO DO JUNCO R$ 108.039,06 R$ 10.803,91 123.077,42R$ -R$ 12.307,75R$
MA LAGO DOS RODRIGUES R$ 108.039,06 R$ 10.803,91 123.077,42R$ -R$ 12.307,75R$
MA LAGO VERDE R$ 108.039,06 R$ 16.668,52 123.077,42R$ -R$ 18.988,67R$
MA LAGOA DO MATO R$ 108.039,06 R$ 10.803,91 123.077,42R$ -R$ 12.307,75R$
MA LAGOA GRANDE DO MARANHÃO R$ 108.039,06 R$ 10.803,91 123.077,42R$ -R$ 12.307,75R$
MA LAJEADO NOVO R$ 108.039,06 R$ 10.803,91 123.077,42R$ -R$ 12.307,75R$
MA LIMA CAMPOS R$ 334.269,33 R$ 14.268,77 380.797,53R$ -R$ 16.254,89R$
MA LORETO R$ 108.039,06 R$ 10.803,91 123.077,42R$ -R$ 12.307,75R$
MA LUÍS DOMINGUES R$ 108.039,06 R$ 10.803,91 123.077,42R$ -R$ 12.307,75R$
MA MAGALHÃES DE ALMEIDA R$ 108.039,06 R$ 10.803,91 123.077,42R$ -R$ 12.307,75R$
MA MARACAÇUMÉ R$ 108.039,06 R$ 10.803,91 123.077,42R$ -R$ 12.307,75R$
MA MARAJÁ DO SENA R$ 108.039,06 R$ 10.803,91 123.077,42R$ -R$ 12.307,75R$
MA MARANHÃOZINHO R$ 108.039,06 R$ 10.803,91 123.077,42R$ -R$ 12.307,75R$
MA MATA ROMA R$ 108.039,06 R$ 10.803,91 123.077,42R$ -R$ 12.307,75R$
MA MATINHA R$ 182.135,55 R$ 10.803,91 207.487,68R$ -R$ 12.307,75R$
MA MATÕES R$ 171.140,73 R$ 13.993,43 194.962,45R$ -R$ 15.941,23R$
MA MATÕES DO NORTE R$ 226.217,00 R$ 10.803,91 257.704,99R$ -R$ 12.307,75R$
MA MILAGRES DO MARANHÃO R$ 108.039,06 R$ 10.803,91 123.077,42R$ -R$ 12.307,75R$
MA MIRADOR R$ 108.039,06 R$ 13.592,68 123.077,42R$ -R$ 15.484,70R$
MA MIRANDA DO NORTE R$ 307.922,91 R$ 10.803,91 350.783,85R$ -R$ 12.307,75R$
MA MIRINZAL R$ 108.039,06 R$ 14.224,70 123.077,42R$ -R$ 16.204,69R$
MA MONÇÃO R$ 179.100,66 R$ 10.803,91 204.030,35R$ -R$ 12.307,75R$
MA MONTES ALTOS R$ 171.741,40 R$ 10.803,91 195.646,73R$ -R$ 12.307,75R$
MA MORROS R$ 108.039,06 R$ 17.090,81 123.077,42R$ -R$ 19.469,74R$
MA NINA RODRIGUES R$ 108.039,06 R$ 10.803,91 123.077,42R$ -R$ 12.307,75R$
MA NOVA COLINAS R$ 108.039,06 R$ 10.803,91 123.077,42R$ -R$ 12.307,75R$
MA NOVA IORQUE R$ 108.039,06 R$ 10.803,91 123.077,42R$ -R$ 12.307,75R$
MA NOVA OLINDA DO MARANHÃO R$ 215.676,95 R$ 10.803,91 245.697,83R$ -R$ 12.307,75R$
19
Tribunal Superior Eleitoral
PREFEITO
1º TURNO 1º TURNO 2º TURNO
UF
POSSIBILIDADE
DE SEGUNDO
TURNO
VEREADORVEREADOR
LIMITE DE GASTOS OBSERVADO
O MÍNIMO LEGAL (R$ 100,000,00
PARA PREFEITO E R$ 10.000,00
PARA VEREADOR ) EM 2016***
LIMITE DE GASTOS 2020 (ATUALIZADO PELO IPCA DE
JUNHO/2016 ATÉ JUNHO/2020*)
PREFEITO
MUNICÍPIO**
MA OLHO D'ÁGUA DAS CUNHÃS R$ 108.039,06 R$ 10.803,91 123.077,42R$ -R$ 12.307,75R$
MA OLINDA NOVA DO MARANHÃO R$ 139.168,01 R$ 10.803,91 158.539,33R$ -R$ 12.307,75R$
MA PAÇO DO LUMIAR R$ 528.060,07 R$ 78.021,52 601.562,73R$ -R$ 88.881,63R$
MA PALMEIRÂNDIA R$ 108.039,06 R$ 14.404,95 123.077,42R$ -R$ 16.410,03R$
MA PARAIBANO R$ 108.039,06 R$ 13.946,95 123.077,42R$ -R$ 15.888,28R$
MA PARNARAMA R$ 139.917,46 R$ 18.185,38 159.393,10R$ -R$ 20.716,67R$
MA PASSAGEM FRANCA R$ 108.039,06 R$ 10.803,91 123.077,42R$ -R$ 12.307,75R$
MA PASTOS BONS R$ 108.039,06 R$ 10.803,91 123.077,42R$ -R$ 12.307,75R$
MA PAULINO NEVES R$ 108.039,06 R$ 10.803,91 123.077,42R$ -R$ 12.307,75R$
MA PAULO RAMOS R$ 108.039,06 R$ 10.803,91 123.077,42R$ -R$ 12.307,75R$
MA PEDREIRAS R$ 334.438,81 R$ 24.977,69 380.990,60R$ -R$ 28.454,43R$
MA PEDRO DO ROSÁRIO R$ 429.917,98 R$ 23.524,70 489.759,88R$ -R$ 26.799,19R$
MA PENALVA R$ 232.555,76 R$ 27.943,79 264.926,07R$ -R$ 31.833,39R$
MA PERI MIRIM R$ 108.039,06 R$ 10.803,91 123.077,42R$ -R$ 12.307,75R$
MA PERITORÓ R$ 486.470,18 R$ 10.803,91 554.183,79R$ -R$ 12.307,75R$
MA PINDARÉ-MIRIM R$ 533.944,68 R$ 50.952,46 608.266,44R$ -R$ 58.044,72R$
MA PINHEIRO R$ 644.943,18 R$ 22.003,72 734.715,24R$ -R$ 25.066,50R$
MA PIO XII R$ 187.740,92 R$ 28.984,15 213.873,28R$ -R$ 33.018,56R$
MA PIRAPEMAS R$ 150.382,19 R$ 18.940,06 171.314,45R$ -R$ 21.576,40R$
MA POÇÃO DE PEDRAS R$ 108.039,06 R$ 10.803,91 123.077,42R$ -R$ 12.307,75R$
MA PORTO FRANCO R$ 227.660,90 R$ 10.803,91 259.349,87R$ -R$ 12.307,75R$
MA PORTO RICO DO MARANHÃO R$ 108.039,06 R$ 10.803,91 123.077,42R$ -R$ 12.307,75R$
MA PRESIDENTE DUTRA R$ 183.961,35 R$ 14.044,93 209.567,62R$ -R$ 15.999,90R$
MA PRESIDENTE JUSCELINO R$ 108.039,06 R$ 10.803,91 123.077,42R$ -R$ 12.307,75R$
MA PRESIDENTE MÉDICI R$ 139.325,29 R$ 10.803,91 158.718,50R$ -R$ 12.307,75R$
MA PRESIDENTE SARNEY R$ 108.039,06 R$ 10.803,91 123.077,42R$ -R$ 12.307,75R$
MA PRESIDENTE VARGAS R$ 108.039,06 R$ 10.803,91 123.077,42R$ -R$ 12.307,75R$
MA PRIMEIRA CRUZ R$ 108.039,06 R$ 10.803,91 123.077,42R$ -R$ 12.307,75R$
MA RAPOSA R$ 108.039,06 R$ 36.995,64 123.077,42R$ -R$ 42.145,20R$
MA RIACHÃO R$ 193.527,50 R$ 31.053,58 220.465,32R$ -R$ 35.376,04R$
MA RIBAMAR FIQUENE R$ 108.039,06 R$ 10.803,91 123.077,42R$ -R$ 12.307,75R$
MA ROSÁRIO R$ 143.305,09 R$ 16.746,24 163.252,26R$ -R$ 19.077,21R$
MA SAMBAÍBA R$ 108.039,06 R$ 10.803,91 123.077,42R$ -R$ 12.307,75R$
MA SANTA FILOMENA DO MARANHÃO R$ 108.039,06 R$ 16.909,65 123.077,42R$ -R$ 19.263,37R$
MA SANTA HELENA R$ 142.931,39 R$ 10.803,91 162.826,55R$ -R$ 12.307,75R$
MA SANTA INÊS R$ 759.620,97 R$ 34.925,06 865.355,46R$ -R$ 39.786,41R$
MA SANTA LUZIA R$ 689.399,64 R$ 26.486,87 785.359,76R$ -R$ 30.173,68R$
MA SANTA LUZIA DO PARUÁ R$ 217.204,84 R$ 16.961,13 247.438,40R$ -R$ 19.322,01R$
MA SANTA QUITÉRIA DO MARANHÃO R$ 145.017,69 R$ 10.803,91 165.203,25R$ -R$ 12.307,75R$
MA SANTA RITA R$ 108.039,06 R$ 10.803,91 123.077,42R$ -R$ 12.307,75R$
MA SANTANA DO MARANHÃO R$ 108.039,06 R$ 14.391,36 123.077,42R$ -R$ 16.394,55R$
MA SANTO AMARO DO MARANHÃO R$ 108.039,06 R$ 10.803,91 123.077,42R$ -R$ 12.307,75R$
MA SANTO ANTÔNIO DOS LOPES R$ 211.658,30 R$ 10.803,91 241.119,81R$ -R$ 12.307,75R$
MA SÃO BENEDITO DO RIO PRETO R$ 108.039,06 R$ 10.803,91 123.077,42R$ -R$ 12.307,75R$
MA SÃO BENTO R$ 108.039,06 R$ 10.803,91 123.077,42R$ -R$ 12.307,75R$
MA SÃO BERNARDO R$ 108.039,06 R$ 10.803,91 123.077,42R$ -R$ 12.307,75R$
MA SÃO DOMINGOS DO AZEITÃO R$ 207.282,47 R$ 10.803,91 236.134,89R$ -R$ 12.307,75R$
MA SÃO DOMINGOS DO MARANHÃO R$ 332.755,29 R$ 29.822,07 379.072,75R$ -R$ 33.973,12R$
MA SÃO FÉLIX DE BALSAS R$ 108.039,06 R$ 10.803,91 123.077,42R$ -R$ 12.307,75R$
MA SÃO FRANCISCO DO BREJÃO R$ 251.066,06 R$ 10.803,91 286.012,89R$ -R$ 12.307,75R$
MA SÃO FRANCISCO DO MARANHÃO R$ 108.039,06 R$ 10.803,91 123.077,42R$ -R$ 12.307,75R$
MA SÃO JOÃO BATISTA R$ 108.039,06 R$ 14.302,70 123.077,42R$ -R$ 16.293,55R$
MA SÃO JOÃO DO CARÚ R$ 186.797,57 R$ 10.803,91 212.798,62R$ -R$ 12.307,75R$
MA SÃO JOÃO DO PARAÍSO R$ 108.039,06 R$ 10.803,91 123.077,42R$ -R$ 12.307,75R$
MA SÃO JOÃO DO SOTER R$ 108.039,06 R$ 20.735,85 123.077,42R$ -R$ 23.622,15R$
MA SÃO JOÃO DOS PATOS R$ 307.114,33 R$ 41.815,88 349.862,72R$ -R$ 47.636,39R$
MA SÃO JOSÉ DE RIBAMAR R$ 823.354,99 R$ 92.841,72 937.960,86R$ -R$ 105.764,71R$
MA SÃO JOSÉ DOS BASÍLIOS R$ 108.039,06 R$ 10.803,91 123.077,42R$ -R$ 12.307,75R$
MA SÃO LUÍS SIM R$ 3.142.045,97 R$ 442.586,93 3.579.399,13R$ 1.431.759,65R$ 504.192,26R$
MA SÃO LUÍS GONZAGA DO MARANHÃO R$ 108.039,06 R$ 10.803,91 123.077,42R$ -R$ 12.307,75R$
MA SÃO MATEUS DO MARANHÃO R$ 108.039,06 R$ 21.020,58 123.077,42R$ -R$ 23.946,51R$
MA SÃO PEDRO DA ÁGUA BRANCA R$ 385.436,86 R$ 10.803,91 439.087,26R$ -R$ 12.307,75R$
MA SÃO PEDRO DOS CRENTES R$ 108.039,06 R$ 10.803,91 123.077,42R$ -R$ 12.307,75R$
MA SÃO RAIMUNDO DAS MANGABEIRAS R$ 277.236,40 R$ 10.803,91 315.825,97R$ -R$ 12.307,75R$
MA SÃO RAIMUNDO DO DOCA BEZERRA R$ 233.206,70 R$ 16.034,63 265.667,61R$ -R$ 18.266,55R$
MA SÃO ROBERTO R$ 108.039,06 R$ 17.790,24 123.077,42R$ -R$ 20.266,53R$
20
Tribunal Superior Eleitoral
PREFEITO
1º TURNO 1º TURNO 2º TURNO
UF
POSSIBILIDADE
DE SEGUNDO
TURNO
VEREADORVEREADOR
LIMITE DE GASTOS OBSERVADO
O MÍNIMO LEGAL (R$ 100,000,00
PARA PREFEITO E R$ 10.000,00
PARA VEREADOR ) EM 2016***
LIMITE DE GASTOS 2020 (ATUALIZADO PELO IPCA DE
JUNHO/2016 ATÉ JUNHO/2020*)
PREFEITO
MUNICÍPIO**
MA SÃO VICENTE FERRER R$ 108.039,06 R$ 10.803,91 123.077,42R$ -R$ 12.307,75R$
MA SATUBINHA R$ 318.913,54 R$ 10.803,91 363.304,31R$ -R$ 12.307,75R$
MA SENADOR ALEXANDRE COSTA R$ 108.039,06 R$ 10.803,91 123.077,42R$ -R$ 12.307,75R$
MA SENADOR LA ROCQUE R$ 148.053,87 R$ 27.972,26 168.662,04R$ -R$ 31.865,82R$
MA SERRANO DO MARANHÃO R$ 108.039,06 R$ 10.803,91 123.077,42R$ -R$ 12.307,75R$
MA SÍTIO NOVO R$ 232.350,42 R$ 10.803,91 264.692,15R$ -R$ 12.307,75R$
MA SUCUPIRA DO NORTE R$ 108.039,06 R$ 10.803,91 123.077,42R$ -R$ 12.307,75R$
MA SUCUPIRA DO RIACHÃO R$ 108.039,06 R$ 10.803,91 123.077,42R$ -R$ 12.307,75R$
MA TASSO FRAGOSO R$ 108.039,06 R$ 10.803,91 123.077,42R$ -R$ 12.307,75R$
MA TIMBIRAS R$ 320.411,67 R$ 18.737,25 365.010,97R$ -R$ 21.345,36R$
MA TIMON R$ 1.197.588,31 R$ 131.149,68 1.364.285,12R$ -R$ 149.404,90R$
MA TRIZIDELA DO VALE R$ 153.913,29 R$ 15.744,37 175.337,06R$ -R$ 17.935,89R$
MA TUFILÂNDIA R$ 108.039,06 R$ 10.803,91 123.077,42R$ -R$ 12.307,75R$
MA TUNTUM R$ 698.519,95 R$ 27.518,70 795.749,56R$ -R$ 31.349,13R$
MA TURIAÇU R$ 108.039,06 R$ 10.803,91 123.077,42R$ -R$ 12.307,75R$
MA TURILÂNDIA R$ 154.655,28 R$ 10.803,91 176.182,33R$ -R$ 12.307,75R$
MA TUTÓIA R$ 108.039,06 R$ 33.046,78 123.077,42R$ -R$ 37.646,69R$
MA URBANO SANTOS R$ 135.497,67 R$ 18.726,57 154.358,10R$ -R$ 21.333,19R$
MA VARGEM GRANDE R$ 108.039,06 R$ 29.278,23 123.077,42R$ -R$ 33.353,58R$
MA VIANA R$ 313.983,89 R$ 10.803,91 357.688,48R$ -R$ 12.307,75R$
MA VILA NOVA DOS MARTÍRIOS R$ 155.261,82 R$ 10.803,91 176.873,29R$ -R$ 12.307,75R$
MA VITÓRIA DO MEARIM R$ 133.866,91 R$ 10.803,91 152.500,35R$ -R$ 12.307,75R$
MA VITORINO FREIRE R$ 215.763,15 R$ 10.803,91 245.796,03R$ -R$ 12.307,75R$
MA ZÉ DOCA R$ 386.398,80 R$ 27.581,43 440.183,10R$ -R$ 31.420,59R$
MG ABADIA DOS DOURADOS R$ 134.400,62 R$ 10.803,91 153.108,35R$ -R$ 12.307,75R$
MG ABAETÉ R$ 177.694,97 R$ 10.803,91 202.429,00R$ -R$ 12.307,75R$
MG ABRE CAMPO R$ 108.039,06 R$ 10.803,91 123.077,42R$ -R$ 12.307,75R$
MG ACAIACA R$ 108.039,06 R$ 10.803,91 123.077,42R$ -R$ 12.307,75R$
MG AÇUCENA R$ 209.500,71 R$ 36.221,86 238.661,90R$ -R$ 41.263,72R$
MG ÁGUA BOA R$ 108.039,06 R$ 10.803,91 123.077,42R$ -R$ 12.307,75R$
MG ÁGUA COMPRIDA R$ 108.039,06 R$ 10.803,91 123.077,42R$ -R$ 12.307,75R$
MG AGUANIL R$ 108.039,06 R$ 10.803,91 123.077,42R$ -R$ 12.307,75R$
MG ÁGUAS FORMOSAS R$ 108.039,06 R$ 10.803,91 123.077,42R$ -R$ 12.307,75R$
MG ÁGUAS VERMELHAS R$ 108.039,06 R$ 10.803,91 123.077,42R$ -R$ 12.307,75R$
MG AIMORÉS R$ 108.039,06 R$ 10.803,91 123.077,42R$ -R$ 12.307,75R$
MG AIURUOCA R$ 108.039,06 R$ 10.803,91 123.077,42R$ -R$ 12.307,75R$
MG ALAGOA R$ 108.039,06 R$ 10.803,91 123.077,42R$ -R$ 12.307,75R$
MG ALBERTINA R$ 108.039,06 R$ 10.803,91 123.077,42R$ -R$ 12.307,75R$
MG ALÉM PARAÍBA R$ 139.175,62 R$ 26.592,75 158.548,00R$ -R$ 30.294,29R$
MG ALFENAS R$ 820.097,57 R$ 28.196,95 934.250,03R$ -R$ 32.121,79R$
MG ALFREDO VASCONCELOS R$ 108.039,06 R$ 10.803,91 123.077,42R$ -R$ 12.307,75R$
MG ALMENARA R$ 174.453,21 R$ 13.950,92 198.736,01R$ -R$ 15.892,80R$
MG ALPERCATA R$ 213.188,93 R$ 10.803,91 242.863,50R$ -R$ 12.307,75R$
MG ALPINÓPOLIS R$ 108.039,06 R$ 18.755,71 123.077,42R$ -R$ 21.366,39R$
MG ALTEROSA R$ 179.050,44 R$ 10.803,91 203.973,14R$ -R$ 12.307,75R$
MG ALTO CAPARAÓ R$ 108.039,06 R$ 10.803,91 123.077,42R$ -R$ 12.307,75R$
MG ALTO JEQUITIBÁ R$ 108.039,06 R$ 10.803,91 123.077,42R$ -R$ 12.307,75R$
MG ALTO RIO DOCE R$ 176.001,70 R$ 10.803,91 200.500,04R$ -R$ 12.307,75R$
MG ALVARENGA R$ 108.039,06 R$ 10.803,91 123.077,42R$ -R$ 12.307,75R$
MG ALVINÓPOLIS R$ 108.039,06 R$ 16.097,07 123.077,42R$ -R$ 18.337,68R$
MG ALVORADA DE MINAS R$ 108.039,06 R$ 10.803,91 123.077,42R$ -R$ 12.307,75R$
MG AMPARO DO SERRA R$ 108.039,06 R$ 10.803,91 123.077,42R$ -R$ 12.307,75R$
MG ANDRADAS R$ 108.039,06 R$ 10.803,91 123.077,42R$ -R$ 12.307,75R$
MG ANDRELÂNDIA R$ 108.039,06 R$ 10.803,91 123.077,42R$ -R$ 12.307,75R$
MG ANGELÂNDIA R$ 189.380,87 R$ 10.803,91 215.741,50R$ -R$ 12.307,75R$
MG ANTÔNIO CARLOS R$ 108.039,06 R$ 10.803,91 123.077,42R$ -R$ 12.307,75R$
MG ANTÔNIO DIAS R$ 196.959,81 R$ 10.803,91 224.375,38R$ -R$ 12.307,75R$
MG ANTÔNIO PRADO DE MINAS R$ 108.039,06 R$ 10.803,91 123.077,42R$ -R$ 12.307,75R$
MG ARAÇAÍ R$ 108.039,06 R$ 10.803,91 123.077,42R$ -R$ 12.307,75R$
MG ARACITABA R$ 108.039,06 R$ 10.803,91 123.077,42R$ -R$ 12.307,75R$
MG ARAÇUAÍ R$ 108.039,06 R$ 13.928,78 123.077,42R$ -R$ 15.867,58R$
MG ARAGUARI R$ 452.421,83 R$ 86.289,08 515.396,12R$ -R$ 98.299,98R$
MG ARANTINA R$ 108.039,06 R$ 10.803,91 123.077,42R$ -R$ 12.307,75R$
MG ARAPONGA R$ 108.039,06 R$ 10.803,91 123.077,42R$ -R$ 12.307,75R$
MG ARAPORÃ R$ 288.433,38 R$ 13.596,87 328.581,50R$ -R$ 15.489,47R$
MG ARAPUÁ R$ 108.039,06 R$ 10.803,91 123.077,42R$ -R$ 12.307,75R$
21
Tribunal Superior Eleitoral
PREFEITO
1º TURNO 1º TURNO 2º TURNO
UF
POSSIBILIDADE
DE SEGUNDO
TURNO
VEREADORVEREADOR
LIMITE DE GASTOS OBSERVADO
O MÍNIMO LEGAL (R$ 100,000,00
PARA PREFEITO E R$ 10.000,00
PARA VEREADOR ) EM 2016***
LIMITE DE GASTOS 2020 (ATUALIZADO PELO IPCA DE
JUNHO/2016 ATÉ JUNHO/2020*)
PREFEITO
MUNICÍPIO**
MG ARAÚJOS R$ 108.039,06 R$ 10.803,91 123.077,42R$ -R$ 12.307,75R$
MG ARAXÁ R$ 644.400,44 R$ 38.230,81 734.096,95R$ -R$ 43.552,30R$
MG ARCEBURGO R$ 108.039,06 R$ 10.803,91 123.077,42R$ -R$ 12.307,75R$
MG ARCOS R$ 542.210,67 R$ 13.449,91 617.683,01R$ -R$ 15.322,05R$
MG AREADO R$ 108.039,06 R$ 10.803,91 123.077,42R$ -R$ 12.307,75R$
MG ARGIRITA R$ 108.039,06 R$ 10.803,91 123.077,42R$ -R$ 12.307,75R$
MG ARICANDUVA R$ 108.039,06 R$ 10.803,91 123.077,42R$ -R$ 12.307,75R$
MG ARINOS R$ 108.039,06 R$ 10.803,91 123.077,42R$ -R$ 12.307,75R$
MG ASTOLFO DUTRA R$ 108.039,06 R$ 10.803,91 123.077,42R$ -R$ 12.307,75R$
MG ATALÉIA R$ 108.039,06 R$ 10.803,91 123.077,42R$ -R$ 12.307,75R$
MG AUGUSTO DE LIMA R$ 108.039,06 R$ 10.803,91 123.077,42R$ -R$ 12.307,75R$
MG BAEPENDI R$ 108.039,06 R$ 10.803,91 123.077,42R$ -R$ 12.307,75R$
MG BALDIM R$ 108.039,06 R$ 10.803,91 123.077,42R$ -R$ 12.307,75R$
MG BAMBUÍ R$ 108.039,06 R$ 10.803,91 123.077,42R$ -R$ 12.307,75R$
MG BANDEIRA R$ 108.039,06 R$ 10.803,91 123.077,42R$ -R$ 12.307,75R$
MG BANDEIRA DO SUL R$ 108.039,06 R$ 10.803,91 123.077,42R$ -R$ 12.307,75R$
MG BARÃO DE COCAIS R$ 390.722,74 R$ 15.793,35 445.108,90R$ -R$ 17.991,69R$
MG BARÃO DE MONTE ALTO R$ 108.039,06 R$ 10.803,91 123.077,42R$ -R$ 12.307,75R$
MG BARBACENA R$ 1.057.751,99 R$ 37.922,82 1.204.984,45R$ -R$ 43.201,44R$
MG BARRA LONGA R$ 108.039,06 R$ 10.803,91 123.077,42R$ -R$ 12.307,75R$
MG BARROSO R$ 164.085,04 R$ 35.672,17 186.924,65R$ -R$ 40.637,51R$
MG BELA VISTA DE MINAS R$ 108.039,06 R$ 10.803,91 123.077,42R$ -R$ 12.307,75R$
MG BELMIRO BRAGA R$ 108.039,06 R$ 10.803,91 123.077,42R$ -R$ 12.307,75R$
MG BELO HORIZONTE SIM R$ 26.697.376,47 R$ 607.607,81 30.413.484,38R$ 12.165.393,75R$ 692.183,02R$
MG BELO ORIENTE R$ 455.661,60 R$ 14.917,83 519.086,85R$ -R$ 16.994,30R$
MG BELO VALE R$ 108.039,06 R$ 10.803,91 123.077,42R$ -R$ 12.307,75R$
MG BERILO R$ 108.039,06 R$ 18.373,75 123.077,42R$ -R$ 20.931,26R$
MG BERIZAL R$ 108.039,06 R$ 10.803,91 123.077,42R$ -R$ 12.307,75R$
MG BERTÓPOLIS R$ 108.039,06 R$ 10.803,91 123.077,42R$ -R$ 12.307,75R$
MG BETIM SIM R$ 4.524.655,00 R$ 227.836,99 5.154.458,69R$ 2.061.783,48R$ 259.550,47R$
MG BIAS FORTES R$ 108.039,06 R$ 19.253,26 123.077,42R$ -R$ 21.933,19R$
MG BICAS R$ 108.039,06 R$ 10.803,91 123.077,42R$ -R$ 12.307,75R$
MG BIQUINHAS R$ 108.039,06 R$ 10.803,91 123.077,42R$ -R$ 12.307,75R$
MG BOA ESPERANÇA R$ 304.819,71 R$ 33.548,66 347.248,71R$ -R$ 38.218,42R$
MG BOCAINA DE MINAS R$ 108.039,06 R$ 10.803,91 123.077,42R$ -R$ 12.307,75R$
MG BOCAIÚVA R$ 314.999,51 R$ 16.086,29 358.845,47R$ -R$ 18.325,40R$
MG BOM DESPACHO R$ 211.517,87 R$ 10.803,91 240.959,84R$ -R$ 12.307,75R$
MG BOM JARDIM DE MINAS R$ 108.039,06 R$ 10.803,91 123.077,42R$ -R$ 12.307,75R$
MG BOM JESUS DA PENHA R$ 108.039,06 R$ 10.803,91 123.077,42R$ -R$ 12.307,75R$
MG BOM JESUS DO AMPARO R$ 108.039,06 R$ 10.803,91 123.077,42R$ -R$ 12.307,75R$
MG BOM JESUS DO GALHO R$ 108.039,06 R$ 10.803,91 123.077,42R$ -R$ 12.307,75R$
MG BOM REPOUSO R$ 108.039,06 R$ 10.803,91 123.077,42R$ -R$ 12.307,75R$
MG BOM SUCESSO R$ 108.039,06 R$ 10.803,91 123.077,42R$ -R$ 12.307,75R$
MG BONFIM R$ 108.039,06 R$ 10.803,91 123.077,42R$ -R$ 12.307,75R$
MG BONFINÓPOLIS DE MINAS R$ 108.039,06 R$ 10.803,91 123.077,42R$ -R$ 12.307,75R$
MG BONITO DE MINAS R$ 108.039,06 R$ 56.537,60 123.077,42R$ -R$ 64.407,28R$
MG BORDA DA MATA R$ 108.039,06 R$ 10.803,91 123.077,42R$ -R$ 12.307,75R$
MG BOTELHOS R$ 108.039,06 R$ 10.803,91 123.077,42R$ -R$ 12.307,75R$
MG BOTUMIRIM R$ 108.039,06 R$ 10.803,91 123.077,42R$ -R$ 12.307,75R$
MG BRÁS PIRES R$ 108.039,06 R$ 10.803,91 123.077,42R$ -R$ 12.307,75R$
MG BRASILÂNDIA DE MINAS R$ 148.250,79 R$ 10.803,91 168.886,37R$ -R$ 12.307,75R$
MG BRASÍLIA DE MINAS R$ 188.489,04 R$ 17.088,71 214.725,54R$ -R$ 19.467,35R$
MG BRAÚNAS R$ 108.039,06 R$ 10.803,91 123.077,42R$ -R$ 12.307,75R$
MG BRAZÓPOLIS R$ 108.039,06 R$ 18.246,42 123.077,42R$ -R$ 20.786,21R$
MG BRUMADINHO R$ 740.473,05 R$ 34.885,81 843.542,27R$ -R$ 39.741,70R$
MG BUENO BRANDÃO R$ 108.039,06 R$ 10.803,91 123.077,42R$ -R$ 12.307,75R$
MG BUENÓPOLIS R$ 108.039,06 R$ 10.803,91 123.077,42R$ -R$ 12.307,75R$
MG BUGRE R$ 108.039,06 R$ 10.803,91 123.077,42R$ -R$ 12.307,75R$
MG BURITIS R$ 321.408,71 R$ 10.803,91 366.146,79R$ -R$ 12.307,75R$
MG BURITIZEIRO R$ 108.039,06 R$ 10.803,91 123.077,42R$ -R$ 12.307,75R$
MG CABECEIRA GRANDE R$ 108.039,06 R$ 10.803,91 123.077,42R$ -R$ 12.307,75R$
MG CABO VERDE R$ 108.039,06 R$ 10.803,91 123.077,42R$ -R$ 12.307,75R$
MG CACHOEIRA DA PRATA R$ 108.039,06 R$ 10.803,91 123.077,42R$ -R$ 12.307,75R$
MG CACHOEIRA DE MINAS R$ 108.039,06 R$ 10.803,91 123.077,42R$ -R$ 12.307,75R$
MG CACHOEIRA DE PAJEÚ R$ 108.039,06 R$ 10.803,91 123.077,42R$ -R$ 12.307,75R$
MG CACHOEIRA DOURADA R$ 108.039,06 R$ 10.803,91 123.077,42R$ -R$ 12.307,75R$
22
Tribunal Superior Eleitoral
PREFEITO
1º TURNO 1º TURNO 2º TURNO
UF
POSSIBILIDADE
DE SEGUNDO
TURNO
VEREADORVEREADOR
LIMITE DE GASTOS OBSERVADO
O MÍNIMO LEGAL (R$ 100,000,00
PARA PREFEITO E R$ 10.000,00
PARA VEREADOR ) EM 2016***
LIMITE DE GASTOS 2020 (ATUALIZADO PELO IPCA DE
JUNHO/2016 ATÉ JUNHO/2020*)
PREFEITO
MUNICÍPIO**
MG CAETANÓPOLIS R$ 108.039,06 R$ 26.718,26 123.077,42R$ -R$ 30.437,27R$
MG CAETÉ R$ 280.713,44 R$ 57.763,99 319.787,00R$ -R$ 65.804,38R$
MG CAIANA R$ 108.039,06 R$ 10.803,91 123.077,42R$ -R$ 12.307,75R$
MG CAJURI R$ 108.039,06 R$ 10.803,91 123.077,42R$ -R$ 12.307,75R$
MG CALDAS R$ 108.039,06 R$ 10.803,91 123.077,42R$ -R$ 12.307,75R$
MG CAMACHO R$ 108.039,06 R$ 10.803,91 123.077,42R$ -R$ 12.307,75R$
MG CAMANDUCAIA R$ 249.212,22 R$ 14.246,86 283.901,00R$ -R$ 16.229,93R$
MG CAMBUÍ R$ 108.039,06 R$ 10.803,91 123.077,42R$ -R$ 12.307,75R$
MG CAMBUQUIRA R$ 108.039,06 R$ 10.803,91 123.077,42R$ -R$ 12.307,75R$
MG CAMPANÁRIO R$ 108.039,06 R$ 10.803,91 123.077,42R$ -R$ 12.307,75R$
MG CAMPANHA R$ 147.142,48 R$ 10.803,91 167.623,79R$ -R$ 12.307,75R$
MG CAMPESTRE R$ 108.039,06 R$ 13.698,39 123.077,42R$ -R$ 15.605,12R$
MG CAMPINA VERDE R$ 265.302,21 R$ 37.347,35 302.230,62R$ -R$ 42.545,87R$
MG CAMPO AZUL R$ 108.039,06 R$ 15.253,73 123.077,42R$ -R$ 17.376,95R$
MG CAMPO BELO R$ 376.132,96 R$ 21.316,14 428.488,32R$ -R$ 24.283,21R$
MG CAMPO DO MEIO R$ 108.039,06 R$ 10.803,91 123.077,42R$ -R$ 12.307,75R$
MG CAMPO FLORIDO R$ 196.330,85 R$ 10.803,91 223.658,88R$ -R$ 12.307,75R$
MG CAMPOS ALTOS R$ 108.039,06 R$ 10.803,91 123.077,42R$ -R$ 12.307,75R$
MG CAMPOS GERAIS R$ 108.039,06 R$ 10.803,91 123.077,42R$ -R$ 12.307,75R$
MG CANA VERDE R$ 108.039,06 R$ 10.803,91 123.077,42R$ -R$ 12.307,75R$
MG CANAÃ R$ 108.039,06 R$ 10.803,91 123.077,42R$ -R$ 12.307,75R$
MG CANÁPOLIS R$ 234.625,70 R$ 10.803,91 267.284,13R$ -R$ 12.307,75R$
MG CANDEIAS R$ 108.039,06 R$ 10.803,91 123.077,42R$ -R$ 12.307,75R$
MG CANTAGALO R$ 108.039,06 R$ 10.803,91 123.077,42R$ -R$ 12.307,75R$
MG CAPARAÓ R$ 108.039,06 R$ 10.803,91 123.077,42R$ -R$ 12.307,75R$
MG CAPELA NOVA R$ 108.039,06 R$ 10.803,91 123.077,42R$ -R$ 12.307,75R$
MG CAPELINHA R$ 182.837,50 R$ 43.150,37 208.287,34R$ -R$ 49.156,63R$
MG CAPETINGA R$ 108.039,06 R$ 10.803,91 123.077,42R$ -R$ 12.307,75R$
MG CAPIM BRANCO R$ 108.039,06 R$ 10.803,91 123.077,42R$ -R$ 12.307,75R$
MG CAPINÓPOLIS R$ 108.039,06 R$ 24.490,40 123.077,42R$ -R$ 27.899,31R$
MG CAPITÃO ANDRADE R$ 108.039,06 R$ 10.803,91 123.077,42R$ -R$ 12.307,75R$
MG CAPITÃO ENÉAS R$ 181.903,20 R$ 18.944,14 207.222,99R$ -R$ 21.581,05R$
MG CAPITÓLIO R$ 108.039,06 R$ 10.803,91 123.077,42R$ -R$ 12.307,75R$
MG CAPUTIRA R$ 108.039,06 R$ 10.803,91 123.077,42R$ -R$ 12.307,75R$
MG CARAÍ R$ 207.844,08 R$ 16.389,50 236.774,68R$ -R$ 18.670,82R$
MG CARANAÍBA R$ 108.039,06 R$ 10.803,91 123.077,42R$ -R$ 12.307,75R$
MG CARANDAÍ R$ 185.681,89 R$ 18.373,72 211.527,65R$ -R$ 20.931,23R$
MG CARANGOLA R$ 137.990,30 R$ 40.173,23 157.197,69R$ -R$ 45.765,09R$
MG CARATINGA R$ 731.797,96 R$ 47.656,31 833.659,66R$ -R$ 54.289,77R$
MG CARBONITA R$ 108.039,06 R$ 10.803,91 123.077,42R$ -R$ 12.307,75R$
MG CAREAÇU R$ 108.039,06 R$ 10.803,91 123.077,42R$ -R$ 12.307,75R$
MG CARLOS CHAGAS R$ 256.598,57 R$ 10.803,91 292.315,49R$ -R$ 12.307,75R$
MG CARMÉSIA R$ 108.039,06 R$ 10.803,91 123.077,42R$ -R$ 12.307,75R$
MG CARMO DA CACHOEIRA R$ 108.039,06 R$ 10.803,91 123.077,42R$ -R$ 12.307,75R$
MG CARMO DA MATA R$ 108.039,06 R$ 10.803,91 123.077,42R$ -R$ 12.307,75R$
MG CARMO DE MINAS R$ 108.039,06 R$ 10.803,91 123.077,42R$ -R$ 12.307,75R$
MG CARMO DO CAJURU R$ 108.039,06 R$ 10.803,91 123.077,42R$ -R$ 12.307,75R$
MG CARMO DO PARANAÍBA R$ 108.039,06 R$ 31.484,20 123.077,42R$ -R$ 35.866,60R$
MG CARMO DO RIO CLARO R$ 108.039,06 R$ 10.803,91 123.077,42R$ -R$ 12.307,75R$
MG CARMÓPOLIS DE MINAS R$ 108.039,06 R$ 10.803,91 123.077,42R$ -R$ 12.307,75R$
MG CARNEIRINHO R$ 108.039,06 R$ 10.803,91 123.077,42R$ -R$ 12.307,75R$
MG CARRANCAS R$ 108.039,06 R$ 10.803,91 123.077,42R$ -R$ 12.307,75R$
MG CARVALHÓPOLIS R$ 108.039,06 R$ 10.803,91 123.077,42R$ -R$ 12.307,75R$
MG CARVALHOS R$ 108.039,06 R$ 10.803,91 123.077,42R$ -R$ 12.307,75R$
MG CASA GRANDE R$ 108.039,06 R$ 10.803,91 123.077,42R$ -R$ 12.307,75R$
MG CASCALHO RICO R$ 108.039,06 R$ 10.803,91 123.077,42R$ -R$ 12.307,75R$
MG CÁSSIA R$ 108.039,06 R$ 10.803,91 123.077,42R$ -R$ 12.307,75R$
MG CATAGUASES R$ 240.859,18 R$ 36.797,48 274.385,27R$ -R$ 41.919,46R$
MG CATAS ALTAS R$ 108.039,06 R$ 10.803,91 123.077,42R$ -R$ 12.307,75R$
MG CATAS ALTAS DA NORUEGA R$ 108.039,06 R$ 10.803,91 123.077,42R$ -R$ 12.307,75R$
MG CATUJI R$ 108.039,06 R$ 10.803,91 123.077,42R$ -R$ 12.307,75R$
MG CATUTI R$ 108.039,06 R$ 10.803,91 123.077,42R$ -R$ 12.307,75R$
MG CAXAMBU R$ 108.039,06 R$ 10.803,91 123.077,42R$ -R$ 12.307,75R$
MG CEDRO DO ABAETÉ R$ 108.039,06 R$ 10.803,91 123.077,42R$ -R$ 12.307,75R$
MG CENTRAL DE MINAS R$ 108.039,06 R$ 10.803,91 123.077,42R$ -R$ 12.307,75R$
MG CENTRALINA R$ 224.763,18 R$ 10.803,91 256.048,81R$ -R$ 12.307,75R$
23
Tribunal Superior Eleitoral
PREFEITO
1º TURNO 1º TURNO 2º TURNO
UF
POSSIBILIDADE
DE SEGUNDO
TURNO
VEREADORVEREADOR
LIMITE DE GASTOS OBSERVADO
O MÍNIMO LEGAL (R$ 100,000,00
PARA PREFEITO E R$ 10.000,00
PARA VEREADOR ) EM 2016***
LIMITE DE GASTOS 2020 (ATUALIZADO PELO IPCA DE
JUNHO/2016 ATÉ JUNHO/2020*)
PREFEITO
MUNICÍPIO**
MG CHÁCARA R$ 108.039,06 R$ 10.803,91 123.077,42R$ -R$ 12.307,75R$
MG CHALÉ R$ 108.039,06 R$ 10.803,91 123.077,42R$ -R$ 12.307,75R$
MG CHAPADA DO NORTE R$ 108.039,06 R$ 10.803,91 123.077,42R$ -R$ 12.307,75R$
MG CHAPADA GAÚCHA R$ 108.039,06 R$ 10.803,91 123.077,42R$ -R$ 12.307,75R$
MG CHIADOR R$ 108.039,06 R$ 10.803,91 123.077,42R$ -R$ 12.307,75R$
MG CIPOTÂNEA R$ 108.039,06 R$ 13.898,86 123.077,42R$ -R$ 15.833,49R$
MG CLARAVAL R$ 108.039,06 R$ 10.803,91 123.077,42R$ -R$ 12.307,75R$
MG CLARO DOS POÇÕES R$ 108.039,06 R$ 10.803,91 123.077,42R$ -R$ 12.307,75R$
MG CLÁUDIO R$ 150.354,00 R$ 10.803,91 171.282,34R$ -R$ 12.307,75R$
MG COIMBRA R$ 108.039,06 R$ 10.803,91 123.077,42R$ -R$ 12.307,75R$
MG COLUNA R$ 108.039,06 R$ 10.803,91 123.077,42R$ -R$ 12.307,75R$
MG COMENDADOR GOMES R$ 108.039,06 R$ 10.803,91 123.077,42R$ -R$ 12.307,75R$
MG COMERCINHO R$ 108.039,06 R$ 10.803,91 123.077,42R$ -R$ 12.307,75R$
MG CONCEIÇÃO DA APARECIDA R$ 108.039,06 R$ 10.803,91 123.077,42R$ -R$ 12.307,75R$
MG CONCEIÇÃO DA BARRA DE MINAS R$ 108.039,06 R$ 10.803,91 123.077,42R$ -R$ 12.307,75R$
MG CONCEIÇÃO DAS ALAGOAS R$ 208.406,28 R$ 24.313,59 237.415,13R$ -R$ 27.697,89R$
MG CONCEIÇÃO DAS PEDRAS R$ 108.039,06 R$ 10.803,91 123.077,42R$ -R$ 12.307,75R$
MG CONCEIÇÃO DE IPANEMA R$ 108.039,06 R$ 10.803,91 123.077,42R$ -R$ 12.307,75R$
MG CONCEIÇÃO DO MATO DENTRO R$ 527.153,03 R$ 17.073,85 600.529,44R$ -R$ 19.450,42R$
MG CONCEIÇÃO DO PARÁ R$ 108.039,06 R$ 10.803,91 123.077,42R$ -R$ 12.307,75R$
MG CONCEIÇÃO DO RIO VERDE R$ 108.039,06 R$ 10.803,91 123.077,42R$ -R$ 12.307,75R$
MG CONCEIÇÃO DOS OUROS R$ 108.039,06 R$ 10.803,91 123.077,42R$ -R$ 12.307,75R$
MG CÔNEGO MARINHO R$ 108.039,06 R$ 10.803,91 123.077,42R$ -R$ 12.307,75R$
MG CONFINS R$ 108.039,06 R$ 10.803,91 123.077,42R$ -R$ 12.307,75R$
MG CONGONHAL R$ 108.039,06 R$ 10.803,91 123.077,42R$ -R$ 12.307,75R$
MG CONGONHAS R$ 417.648,14 R$ 48.928,87 475.782,15R$ -R$ 55.739,46R$
MG CONGONHAS DO NORTE R$ 108.039,06 R$ 10.803,91 123.077,42R$ -R$ 12.307,75R$
MG CONQUISTA R$ 108.039,06 R$ 10.803,91 123.077,42R$ -R$ 12.307,75R$
MG CONSELHEIRO LAFAIETE R$ 167.310,04 R$ 40.338,24 190.598,55R$ -R$ 45.953,07R$
MG CONSELHEIRO PENA R$ 108.039,06 R$ 14.745,64 123.077,42R$ -R$ 16.798,14R$
MG CONSOLAÇÃO R$ 108.039,06 R$ 10.803,91 123.077,42R$ -R$ 12.307,75R$
MG CONTAGEM SIM R$ 5.408.292,94 R$ 190.507,01 6.161.093,51R$ 2.464.437,40R$ 217.024,39R$
MG COQUEIRAL R$ 108.039,06 R$ 10.803,91 123.077,42R$ -R$ 12.307,75R$
MG CORAÇÃO DE JESUS R$ 108.039,06 R$ 10.803,91 123.077,42R$ -R$ 12.307,75R$
MG CORDISBURGO R$ 108.039,06 R$ 10.803,91 123.077,42R$ -R$ 12.307,75R$
MG CORDISLÂNDIA R$ 108.039,06 R$ 10.803,91 123.077,42R$ -R$ 12.307,75R$
MG CORINTO R$ 164.645,01 R$ 10.803,91 187.562,57R$ -R$ 12.307,75R$
MG COROACI R$ 146.934,31 R$ 10.803,91 167.386,65R$ -R$ 12.307,75R$
MG COROMANDEL R$ 108.039,06 R$ 26.253,83 123.077,42R$ -R$ 29.908,20R$
MG CORONEL FABRICIANO R$ 708.179,94 R$ 51.764,70 806.754,16R$ -R$ 58.970,02R$
MG CORONEL MURTA R$ 108.039,06 R$ 10.803,91 123.077,42R$ -R$ 12.307,75R$
MG CORONEL PACHECO R$ 108.039,06 R$ 10.803,91 123.077,42R$ -R$ 12.307,75R$
MG CORONEL XAVIER CHAVES R$ 108.039,06 R$ 10.803,91 123.077,42R$ -R$ 12.307,75R$
MG CÓRREGO DANTA R$ 108.039,06 R$ 10.803,91 123.077,42R$ -R$ 12.307,75R$
MG CÓRREGO DO BOM JESUS R$ 108.039,06 R$ 10.803,91 123.077,42R$ -R$ 12.307,75R$
MG CÓRREGO FUNDO R$ 108.039,06 R$ 10.803,91 123.077,42R$ -R$ 12.307,75R$
MG CÓRREGO NOVO R$ 108.039,06 R$ 10.803,91 123.077,42R$ -R$ 12.307,75R$
MG COUTO DE MAGALHÃES DE MINAS R$ 108.039,06 R$ 10.803,91 123.077,42R$ -R$ 12.307,75R$
MG CRISÓLITA R$ 108.039,06 R$ 10.803,91 123.077,42R$ -R$ 12.307,75R$
MG CRISTAIS R$ 108.039,06 R$ 10.803,91 123.077,42R$ -R$ 12.307,75R$
MG CRISTÁLIA R$ 108.039,06 R$ 10.803,91 123.077,42R$ -R$ 12.307,75R$
MG CRISTIANO OTONI R$ 108.039,06 R$ 10.803,91 123.077,42R$ -R$ 12.307,75R$
MG CRISTINA R$ 108.039,06 R$ 10.803,91 123.077,42R$ -R$ 12.307,75R$
MG CRUCILÂNDIA R$ 108.039,06 R$ 10.803,91 123.077,42R$ -R$ 12.307,75R$
MG CRUZEIRO DA FORTALEZA R$ 108.039,06 R$ 10.803,91 123.077,42R$ -R$ 12.307,75R$
MG CRUZÍLIA R$ 108.039,06 R$ 10.803,91 123.077,42R$ -R$ 12.307,75R$
MG CUPARAQUE R$ 108.039,06 R$ 10.803,91 123.077,42R$ -R$ 12.307,75R$
MG CURRAL DE DENTRO R$ 108.039,06 R$ 10.803,91 123.077,42R$ -R$ 12.307,75R$
MG CURVELO R$ 165.684,84 R$ 20.637,62 188.747,13R$ -R$ 23.510,25R$
MG DATAS R$ 108.039,06 R$ 10.803,91 123.077,42R$ -R$ 12.307,75R$
MG DELFIM MOREIRA R$ 108.039,06 R$ 10.803,91 123.077,42R$ -R$ 12.307,75R$
MG DELFINÓPOLIS R$ 108.039,06 R$ 10.803,91 123.077,42R$ -R$ 12.307,75R$
MG DELTA R$ 108.039,06 R$ 14.754,67 123.077,42R$ -R$ 16.808,43R$
MG DESCOBERTO R$ 108.039,06 R$ 10.803,91 123.077,42R$ -R$ 12.307,75R$
MG DESTERRO DE ENTRE RIOS R$ 108.039,06 R$ 10.803,91 123.077,42R$ -R$ 12.307,75R$
MG DESTERRO DO MELO R$ 108.039,06 R$ 10.803,91 123.077,42R$ -R$ 12.307,75R$
24
Tribunal Superior Eleitoral
PREFEITO
1º TURNO 1º TURNO 2º TURNO
UF
POSSIBILIDADE
DE SEGUNDO
TURNO
VEREADORVEREADOR
LIMITE DE GASTOS OBSERVADO
O MÍNIMO LEGAL (R$ 100,000,00
PARA PREFEITO E R$ 10.000,00
PARA VEREADOR ) EM 2016***
LIMITE DE GASTOS 2020 (ATUALIZADO PELO IPCA DE
JUNHO/2016 ATÉ JUNHO/2020*)
PREFEITO
MUNICÍPIO**
MG DIAMANTINA R$ 300.156,02 R$ 21.285,27 341.935,86R$ -R$ 24.248,05R$
MG DIOGO DE VASCONCELOS R$ 108.039,06 R$ 10.803,91 123.077,42R$ -R$ 12.307,75R$
MG DIONÍSIO R$ 108.039,06 R$ 10.803,91 123.077,42R$ -R$ 12.307,75R$
MG DIVINÉSIA R$ 108.039,06 R$ 10.803,91 123.077,42R$ -R$ 12.307,75R$
MG DIVINO R$ 134.652,82 R$ 10.803,91 153.395,65R$ -R$ 12.307,75R$
MG DIVINO DAS LARANJEIRAS R$ 108.039,06 R$ 10.803,91 123.077,42R$ -R$ 12.307,75R$
MG DIVINOLÂNDIA DE MINAS R$ 169.885,04 R$ 10.803,91 193.531,98R$ -R$ 12.307,75R$
MG DIVINÓPOLIS R$ 683.837,34 R$ 88.180,26 779.023,22R$ -R$ 100.454,40R$
MG DIVISA ALEGRE R$ 108.039,06 R$ 10.803,91 123.077,42R$ -R$ 12.307,75R$
MG DIVISA NOVA R$ 108.039,06 R$ 10.803,91 123.077,42R$ -R$ 12.307,75R$
MG DIVISÓPOLIS R$ 108.039,06 R$ 10.803,91 123.077,42R$ -R$ 12.307,75R$
MG DOM BOSCO R$ 108.039,06 R$ 10.803,91 123.077,42R$ -R$ 12.307,75R$
MG DOM CAVATI R$ 108.039,06 R$ 10.803,91 123.077,42R$ -R$ 12.307,75R$
MG DOM JOAQUIM R$ 242.487,07 R$ 10.803,91 276.239,75R$ -R$ 12.307,75R$
MG DOM SILVÉRIO R$ 108.039,06 R$ 10.803,91 123.077,42R$ -R$ 12.307,75R$
MG DOM VIÇOSO R$ 108.039,06 R$ 10.803,91 123.077,42R$ -R$ 12.307,75R$
MG DONA EUSÉBIA R$ 108.039,06 R$ 10.803,91 123.077,42R$ -R$ 12.307,75R$
MG DORES DE CAMPOS R$ 108.039,06 R$ 18.884,81 123.077,42R$ -R$ 21.513,46R$
MG DORES DE GUANHÃES R$ 108.039,06 R$ 10.803,91 123.077,42R$ -R$ 12.307,75R$
MG DORES DO INDAIÁ R$ 108.039,06 R$ 10.803,91 123.077,42R$ -R$ 12.307,75R$
MG DORES DO TURVO R$ 108.039,06 R$ 10.803,91 123.077,42R$ -R$ 12.307,75R$
MG DORESÓPOLIS R$ 108.039,06 R$ 10.803,91 123.077,42R$ -R$ 12.307,75R$
MG DOURADOQUARA R$ 108.039,06 R$ 10.803,91 123.077,42R$ -R$ 12.307,75R$
MG DURANDÉ R$ 108.039,06 R$ 10.803,91 123.077,42R$ -R$ 12.307,75R$
MG ELÓI MENDES R$ 108.039,06 R$ 10.803,91 123.077,42R$ -R$ 12.307,75R$
MG ENGENHEIRO CALDAS R$ 219.567,38 R$ 25.946,66 250.129,79R$ -R$ 29.558,27R$
MG ENGENHEIRO NAVARRO R$ 108.039,06 R$ 10.803,91 123.077,42R$ -R$ 12.307,75R$
MG ENTRE FOLHAS R$ 108.039,06 R$ 10.803,91 123.077,42R$ -R$ 12.307,75R$
MG ENTRE RIOS DE MINAS R$ 108.039,06 R$ 10.803,91 123.077,42R$ -R$ 12.307,75R$
MG ERVÁLIA R$ 108.039,06 R$ 10.803,91 123.077,42R$ -R$ 12.307,75R$
MG ESMERALDAS R$ 676.726,15 R$ 47.035,53 770.922,20R$ -R$ 53.582,58R$
MG ESPERA FELIZ R$ 176.443,64 R$ 10.803,91 201.003,49R$ -R$ 12.307,75R$
MG ESPINOSA R$ 108.039,06 R$ 17.596,81 123.077,42R$ -R$ 20.046,18R$
MG ESPÍRITO SANTO DO DOURADO R$ 108.039,06 R$ 10.803,91 123.077,42R$ -R$ 12.307,75R$
MG ESTIVA R$ 108.039,06 R$ 20.209,72 123.077,42R$ -R$ 23.022,79R$
MG ESTRELA DALVA R$ 108.039,06 R$ 10.803,91 123.077,42R$ -R$ 12.307,75R$
MG ESTRELA DO INDAIÁ R$ 108.039,06 R$ 10.803,91 123.077,42R$ -R$ 12.307,75R$
MG ESTRELA DO SUL R$ 313.119,45 R$ 10.803,91 356.703,72R$ -R$ 12.307,75R$
MG EUGENÓPOLIS R$ 108.039,06 R$ 10.803,91 123.077,42R$ -R$ 12.307,75R$
MG EWBANK DA CÂMARA R$ 108.039,06 R$ 10.803,91 123.077,42R$ -R$ 12.307,75R$
MG EXTREMA R$ 339.181,93 R$ 70.562,10 386.393,93R$ -R$ 80.383,90R$
MG FAMA R$ 108.039,06 R$ 10.803,91 123.077,42R$ -R$ 12.307,75R$
MG FARIA LEMOS R$ 108.039,06 R$ 10.803,91 123.077,42R$ -R$ 12.307,75R$
MG FELÍCIO DOS SANTOS R$ 108.039,06 R$ 10.803,91 123.077,42R$ -R$ 12.307,75R$
MG FELISBURGO R$ 108.039,06 R$ 10.803,91 123.077,42R$ -R$ 12.307,75R$
MG FELIXLÂNDIA R$ 108.039,06 R$ 10.803,91 123.077,42R$ -R$ 12.307,75R$
MG FERNANDES TOURINHO R$ 108.039,06 R$ 10.803,91 123.077,42R$ -R$ 12.307,75R$
MG FERROS R$ 348.114,93 R$ 20.366,70 396.570,35R$ -R$ 23.201,62R$
MG FERVEDOURO R$ 108.039,06 R$ 10.803,91 123.077,42R$ -R$ 12.307,75R$
MG FLORESTAL R$ 108.039,06 R$ 10.803,91 123.077,42R$ -R$ 12.307,75R$
MG FORMIGA R$ 434.909,39 R$ 56.340,19 495.446,06R$ -R$ 64.182,39R$
MG FORMOSO R$ 164.222,23 R$ 10.803,91 187.080,94R$ -R$ 12.307,75R$
MG FORTALEZA DE MINAS R$ 108.039,06 R$ 10.803,91 123.077,42R$ -R$ 12.307,75R$
MG FORTUNA DE MINAS R$ 108.039,06 R$ 10.803,91 123.077,42R$ -R$ 12.307,75R$
MG FRANCISCO BADARÓ R$ 108.039,06 R$ 10.803,91 123.077,42R$ -R$ 12.307,75R$
MG FRANCISCO DUMONT R$ 108.039,06 R$ 10.803,91 123.077,42R$ -R$ 12.307,75R$
MG FRANCISCO SÁ R$ 273.290,10 R$ 10.803,91 311.330,37R$ -R$ 12.307,75R$
MG FRANCISCÓPOLIS R$ 108.039,06 R$ 10.803,91 123.077,42R$ -R$ 12.307,75R$
MG FREI GASPAR R$ 108.039,06 R$ 10.803,91 123.077,42R$ -R$ 12.307,75R$
MG FREI INOCÊNCIO R$ 108.039,06 R$ 10.803,91 123.077,42R$ -R$ 12.307,75R$
MG FREI LAGONEGRO R$ 108.039,06 R$ 10.803,91 123.077,42R$ -R$ 12.307,75R$
MG FRONTEIRA R$ 179.301,32 R$ 18.574,33 204.258,94R$ -R$ 21.159,76R$
MG FRONTEIRA DOS VALES R$ 158.609,87 R$ 10.803,91 180.687,37R$ -R$ 12.307,75R$
MG FRUTA DE LEITE R$ 108.039,06 R$ 13.418,54 123.077,42R$ -R$ 15.286,32R$
MG FRUTAL R$ 1.115.194,12 R$ 22.091,70 1.270.422,17R$ -R$ 25.166,73R$
MG FUNILÂNDIA R$ 108.039,06 R$ 10.803,91 123.077,42R$ -R$ 12.307,75R$
25
Tribunal Superior Eleitoral
PREFEITO
1º TURNO 1º TURNO 2º TURNO
UF
POSSIBILIDADE
DE SEGUNDO
TURNO
VEREADORVEREADOR
LIMITE DE GASTOS OBSERVADO
O MÍNIMO LEGAL (R$ 100,000,00
PARA PREFEITO E R$ 10.000,00
PARA VEREADOR ) EM 2016***
LIMITE DE GASTOS 2020 (ATUALIZADO PELO IPCA DE
JUNHO/2016 ATÉ JUNHO/2020*)
PREFEITO
MUNICÍPIO**
MG GALILÉIA R$ 108.039,06 R$ 10.803,91 123.077,42R$ -R$ 12.307,75R$
MG GAMELEIRAS R$ 108.039,06 R$ 10.803,91 123.077,42R$ -R$ 12.307,75R$
MG GLAUCILÂNDIA R$ 108.039,06 R$ 10.803,91 123.077,42R$ -R$ 12.307,75R$
MG GOIABEIRA R$ 108.039,06 R$ 10.803,91 123.077,42R$ -R$ 12.307,75R$
MG GOIANÁ R$ 108.039,06 R$ 10.803,91 123.077,42R$ -R$ 12.307,75R$
MG GONÇALVES R$ 108.039,06 R$ 10.803,91 123.077,42R$ -R$ 12.307,75R$
MG GONZAGA R$ 108.039,06 R$ 10.803,91 123.077,42R$ -R$ 12.307,75R$
MG GOUVEIA R$ 108.039,06 R$ 10.803,91 123.077,42R$ -R$ 12.307,75R$
MG GOVERNADOR VALADARES SIM R$ 1.759.252,77 R$ 1.407.063,94 2.004.129,76R$ 801.651,90R$ 1.602.918,44R$
MG GRÃO MOGOL R$ 203.183,32 R$ 10.803,91 231.465,17R$ -R$ 12.307,75R$
MG GRUPIARA R$ 108.039,06 R$ 10.803,91 123.077,42R$ -R$ 12.307,75R$
MG GUANHÃES R$ 198.467,67 R$ 10.803,91 226.093,13R$ -R$ 12.307,75R$
MG GUAPÉ R$ 208.313,48 R$ 10.803,91 237.309,41R$ -R$ 12.307,75R$
MG GUARACIABA R$ 108.039,06 R$ 10.803,91 123.077,42R$ -R$ 12.307,75R$
MG GUARACIAMA R$ 108.039,06 R$ 10.803,91 123.077,42R$ -R$ 12.307,75R$
MG GUARANÉSIA R$ 108.039,06 R$ 16.030,66 123.077,42R$ -R$ 18.262,03R$
MG GUARANI R$ 108.039,06 R$ 10.803,91 123.077,42R$ -R$ 12.307,75R$
MG GUARARÁ R$ 108.039,06 R$ 10.803,91 123.077,42R$ -R$ 12.307,75R$
MG GUARDA-MOR R$ 108.039,06 R$ 10.803,91 123.077,42R$ -R$ 12.307,75R$
MG GUAXUPÉ R$ 188.750,92 R$ 10.803,91 215.023,87R$ -R$ 12.307,75R$
MG GUIDOVAL R$ 108.039,06 R$ 10.803,91 123.077,42R$ -R$ 12.307,75R$
MG GUIMARÂNIA R$ 108.039,06 R$ 10.803,91 123.077,42R$ -R$ 12.307,75R$
MG GUIRICEMA R$ 108.039,06 R$ 10.803,91 123.077,42R$ -R$ 12.307,75R$
MG GURINHATÃ R$ 108.039,06 R$ 10.803,91 123.077,42R$ -R$ 12.307,75R$
MG HELIODORA R$ 108.039,06 R$ 10.803,91 123.077,42R$ -R$ 12.307,75R$
MG IAPU R$ 108.039,06 R$ 10.803,91 123.077,42R$ -R$ 12.307,75R$
MG IBERTIOGA R$ 108.039,06 R$ 10.803,91 123.077,42R$ -R$ 12.307,75R$
MG IBIÁ R$ 108.039,06 R$ 21.163,84 123.077,42R$ -R$ 24.109,71R$
MG IBIAÍ R$ 235.958,17 R$ 17.007,30 268.802,07R$ -R$ 19.374,61R$
MG IBIRACATU R$ 108.039,06 R$ 10.803,91 123.077,42R$ -R$ 12.307,75R$
MG IBIRACI R$ 108.039,06 R$ 10.803,91 123.077,42R$ -R$ 12.307,75R$
MG IBIRITÉ R$ 1.776.969,92 R$ 110.241,62 2.024.313,02R$ -R$ 125.586,56R$
MG IBITIÚRA DE MINAS R$ 108.039,06 R$ 10.803,91 123.077,42R$ -R$ 12.307,75R$
MG IBITURUNA R$ 108.039,06 R$ 10.803,91 123.077,42R$ -R$ 12.307,75R$
MG ICARAÍ DE MINAS R$ 139.152,43 R$ 16.845,31 158.521,58R$ -R$ 19.190,07R$
MG IGARAPÉ R$ 172.121,18 R$ 14.072,55 196.079,37R$ -R$ 16.031,36R$
MG IGARATINGA R$ 108.039,06 R$ 10.803,91 123.077,42R$ -R$ 12.307,75R$
MG IGUATAMA R$ 108.039,06 R$ 10.803,91 123.077,42R$ -R$ 12.307,75R$
MG IJACI R$ 108.039,06 R$ 10.803,91 123.077,42R$ -R$ 12.307,75R$
MG ILICÍNEA R$ 108.039,06 R$ 10.803,91 123.077,42R$ -R$ 12.307,75R$
MG IMBÉ DE MINAS R$ 108.039,06 R$ 10.803,91 123.077,42R$ -R$ 12.307,75R$
MG INCONFIDENTES R$ 108.039,06 R$ 10.803,91 123.077,42R$ -R$ 12.307,75R$
MG INDAIABIRA R$ 108.039,06 R$ 10.803,91 123.077,42R$ -R$ 12.307,75R$
MG INDIANÓPOLIS R$ 108.039,06 R$ 10.803,91 123.077,42R$ -R$ 12.307,75R$
MG INGAÍ R$ 108.039,06 R$ 10.803,91 123.077,42R$ -R$ 12.307,75R$
MG INHAPIM R$ 224.347,46 R$ 15.699,94 255.575,22R$ -R$ 17.885,27R$
MG INHAÚMA R$ 108.039,06 R$ 10.803,91 123.077,42R$ -R$ 12.307,75R$
MG INIMUTABA R$ 108.039,06 R$ 10.803,91 123.077,42R$ -R$ 12.307,75R$
MG IPABA R$ 108.039,06 R$ 10.803,91 123.077,42R$ -R$ 12.307,75R$
MG IPANEMA R$ 108.039,06 R$ 26.137,45 123.077,42R$ -R$ 29.775,62R$
MG IPATINGA R$ 1.509.997,11 R$ 100.926,57 1.720.179,27R$ -R$ 114.974,92R$
MG IPIAÇU R$ 108.039,06 R$ 10.803,91 123.077,42R$ -R$ 12.307,75R$
MG IPUIÚNA R$ 108.039,06 R$ 10.803,91 123.077,42R$ -R$ 12.307,75R$
MG IRAÍ DE MINAS R$ 108.039,06 R$ 10.803,91 123.077,42R$ -R$ 12.307,75R$
MG ITABIRA R$ 724.566,27 R$ 45.420,47 825.421,37R$ -R$ 51.742,72R$
MG ITABIRINHA R$ 178.718,92 R$ 10.803,91 203.595,48R$ -R$ 12.307,75R$
MG ITABIRITO R$ 682.335,84 R$ 16.489,22 777.312,72R$ -R$ 18.784,42R$
MG ITACAMBIRA R$ 108.039,06 R$ 10.803,91 123.077,42R$ -R$ 12.307,75R$
MG ITACARAMBI R$ 181.323,51 R$ 23.925,55 206.562,61R$ -R$ 27.255,84R$
MG ITAGUARA R$ 108.039,06 R$ 10.803,91 123.077,42R$ -R$ 12.307,75R$
MG ITAIPÉ R$ 108.039,06 R$ 10.803,91 123.077,42R$ -R$ 12.307,75R$
MG ITAJUBÁ R$ 427.676,74 R$ 10.803,91 487.206,67R$ -R$ 12.307,75R$
MG ITAMARANDIBA R$ 247.994,66 R$ 13.390,17 282.513,97R$ -R$ 15.254,00R$
MG ITAMARATI DE MINAS R$ 108.039,06 R$ 10.803,91 123.077,42R$ -R$ 12.307,75R$
MG ITAMBACURI R$ 173.002,64 R$ 26.343,90 197.083,53R$ -R$ 30.010,81R$
MG ITAMBÉ DO MATO DENTRO R$ 108.039,06 R$ 10.803,91 123.077,42R$ -R$ 12.307,75R$
26
Tribunal Superior Eleitoral
PREFEITO
1º TURNO 1º TURNO 2º TURNO
UF
POSSIBILIDADE
DE SEGUNDO
TURNO
VEREADORVEREADOR
LIMITE DE GASTOS OBSERVADO
O MÍNIMO LEGAL (R$ 100,000,00
PARA PREFEITO E R$ 10.000,00
PARA VEREADOR ) EM 2016***
LIMITE DE GASTOS 2020 (ATUALIZADO PELO IPCA DE
JUNHO/2016 ATÉ JUNHO/2020*)
PREFEITO
MUNICÍPIO**
MG ITAMOGI R$ 108.039,06 R$ 10.803,91 123.077,42R$ -R$ 12.307,75R$
MG ITAMONTE R$ 108.039,06 R$ 10.803,91 123.077,42R$ -R$ 12.307,75R$
MG ITANHANDU R$ 108.039,06 R$ 10.803,91 123.077,42R$ -R$ 12.307,75R$
MG ITANHOMI R$ 190.885,44 R$ 10.803,91 217.455,50R$ -R$ 12.307,75R$
MG ITAOBIM R$ 108.039,06 R$ 24.336,77 123.077,42R$ -R$ 27.724,30R$
MG ITAPAGIPE R$ 176.539,19 R$ 20.364,69 201.112,34R$ -R$ 23.199,33R$
MG ITAPECERICA R$ 157.318,48 R$ 10.803,91 179.216,23R$ -R$ 12.307,75R$
MG ITAPEVA R$ 108.039,06 R$ 10.803,91 123.077,42R$ -R$ 12.307,75R$
MG ITATIAIUÇU R$ 108.039,06 R$ 10.803,91 123.077,42R$ -R$ 12.307,75R$
MG ITAÚ DE MINAS R$ 108.039,06 R$ 10.803,91 123.077,42R$ -R$ 12.307,75R$
MG ITAÚNA R$ 737.392,45 R$ 90.802,17 840.032,87R$ -R$ 103.441,26R$
MG ITAVERAVA R$ 108.039,06 R$ 10.803,91 123.077,42R$ -R$ 12.307,75R$
MG ITINGA R$ 108.039,06 R$ 14.518,07 123.077,42R$ -R$ 16.538,89R$
MG ITUETA R$ 108.039,06 R$ 10.803,91 123.077,42R$ -R$ 12.307,75R$
MG ITUIUTABA R$ 387.801,41 R$ 78.873,06 441.780,94R$ -R$ 89.851,70R$
MG ITUMIRIM R$ 108.039,06 R$ 10.803,91 123.077,42R$ -R$ 12.307,75R$
MG ITURAMA R$ 415.919,00 R$ 18.049,25 473.812,32R$ -R$ 20.561,59R$
MG ITUTINGA R$ 108.039,06 R$ 10.803,91 123.077,42R$ -R$ 12.307,75R$
MG JABOTICATUBAS R$ 108.039,06 R$ 16.638,24 123.077,42R$ -R$ 18.954,18R$
MG JACINTO R$ 108.039,06 R$ 10.803,91 123.077,42R$ -R$ 12.307,75R$
MG JACUÍ R$ 108.039,06 R$ 10.803,91 123.077,42R$ -R$ 12.307,75R$
MG JACUTINGA R$ 620.112,35 R$ 23.485,46 706.428,11R$ -R$ 26.754,49R$
MG JAGUARAÇU R$ 108.039,06 R$ 10.803,91 123.077,42R$ -R$ 12.307,75R$
MG JAÍBA R$ 108.039,06 R$ 10.803,91 123.077,42R$ -R$ 12.307,75R$
MG JAMPRUCA R$ 108.039,06 R$ 10.803,91 123.077,42R$ -R$ 12.307,75R$
MG JANAÚBA R$ 464.392,81 R$ 18.516,73 529.033,39R$ -R$ 21.094,14R$
MG JANUÁRIA R$ 108.039,06 R$ 45.489,11 123.077,42R$ -R$ 51.820,91R$
MG JAPARAÍBA R$ 108.039,06 R$ 10.803,91 123.077,42R$ -R$ 12.307,75R$
MG JAPONVAR R$ 108.039,06 R$ 10.803,91 123.077,42R$ -R$ 12.307,75R$
MG JECEABA R$ 108.039,06 R$ 10.803,91 123.077,42R$ -R$ 12.307,75R$
MG JENIPAPO DE MINAS R$ 108.039,06 R$ 10.803,91 123.077,42R$ -R$ 12.307,75R$
MG JEQUERI R$ 108.039,06 R$ 10.803,91 123.077,42R$ -R$ 12.307,75R$
MG JEQUITAÍ R$ 108.039,06 R$ 10.803,91 123.077,42R$ -R$ 12.307,75R$
MG JEQUITIBÁ R$ 108.039,06 R$ 10.803,91 123.077,42R$ -R$ 12.307,75R$
MG JEQUITINHONHA R$ 169.963,50 R$ 10.803,91 193.621,36R$ -R$ 12.307,75R$
MG JESUÂNIA R$ 108.039,06 R$ 10.803,91 123.077,42R$ -R$ 12.307,75R$
MG JOAÍMA R$ 308.886,61 R$ 14.468,73 351.881,70R$ -R$ 16.482,69R$
MG JOANÉSIA R$ 108.039,06 R$ 10.803,91 123.077,42R$ -R$ 12.307,75R$
MG JOÃO MONLEVADE R$ 289.976,04 R$ 40.365,42 330.338,89R$ -R$ 45.984,03R$
MG JOÃO PINHEIRO R$ 421.211,02 R$ 32.124,25 479.840,96R$ -R$ 36.595,74R$
MG JOAQUIM FELÍCIO R$ 108.039,06 R$ 10.803,91 123.077,42R$ -R$ 12.307,75R$
MG JORDÂNIA R$ 161.002,33 R$ 10.803,91 183.412,85R$ -R$ 12.307,75R$
MG JOSÉ GONÇALVES DE MINAS R$ 108.039,06 R$ 10.803,91 123.077,42R$ -R$ 12.307,75R$
MG JOSÉ RAYDAN R$ 135.797,91 R$ 10.803,91 154.700,13R$ -R$ 12.307,75R$
MG JOSENÓPOLIS R$ 108.039,06 R$ 10.803,91 123.077,42R$ -R$ 12.307,75R$
MG JUATUBA R$ 108.039,06 R$ 17.163,01 123.077,42R$ -R$ 19.551,99R$
MG JUIZ DE FORA SIM R$ 3.214.227,08 R$ 253.636,65 3.661.627,40R$ 1.464.650,96R$ 288.941,29R$
MG JURAMENTO R$ 108.039,06 R$ 10.803,91 123.077,42R$ -R$ 12.307,75R$
MG JURUAIA R$ 108.039,06 R$ 10.803,91 123.077,42R$ -R$ 12.307,75R$
MG JUVENÍLIA R$ 108.039,06 R$ 10.803,91 123.077,42R$ -R$ 12.307,75R$
MG LADAINHA R$ 236.792,23 R$ 15.967,21 269.752,23R$ -R$ 18.189,75R$
MG LAGAMAR R$ 108.039,06 R$ 10.803,91 123.077,42R$ -R$ 12.307,75R$
MG LAGOA DA PRATA R$ 141.524,11 R$ 22.074,88 161.223,38R$ -R$ 25.147,57R$
MG LAGOA DOS PATOS R$ 108.039,06 R$ 10.803,91 123.077,42R$ -R$ 12.307,75R$
MG LAGOA DOURADA R$ 108.039,06 R$ 10.803,91 123.077,42R$ -R$ 12.307,75R$
MG LAGOA FORMOSA R$ 108.039,06 R$ 13.801,93 123.077,42R$ -R$ 15.723,07R$
MG LAGOA GRANDE R$ 108.039,06 R$ 10.803,91 123.077,42R$ -R$ 12.307,75R$
MG LAGOA SANTA R$ 1.622.269,74 R$ 225.619,93 1.848.079,55R$ -R$ 257.024,81R$
MG LAJINHA R$ 146.226,59 R$ 10.803,91 166.580,42R$ -R$ 12.307,75R$
MG LAMBARI R$ 108.039,06 R$ 10.803,91 123.077,42R$ -R$ 12.307,75R$
MG LAMIM R$ 108.039,06 R$ 10.803,91 123.077,42R$ -R$ 12.307,75R$
MG LARANJAL R$ 108.039,06 R$ 10.803,91 123.077,42R$ -R$ 12.307,75R$
MG LASSANCE R$ 108.039,06 R$ 10.803,91 123.077,42R$ -R$ 12.307,75R$
MG LAVRAS R$ 691.817,66 R$ 33.718,57 788.114,35R$ -R$ 38.411,98R$
MG LEANDRO FERREIRA R$ 108.039,06 R$ 10.803,91 123.077,42R$ -R$ 12.307,75R$
MG LEME DO PRADO R$ 108.039,06 R$ 10.803,91 123.077,42R$ -R$ 12.307,75R$
27
Tribunal Superior Eleitoral
PREFEITO
1º TURNO 1º TURNO 2º TURNO
UF
POSSIBILIDADE
DE SEGUNDO
TURNO
VEREADORVEREADOR
LIMITE DE GASTOS OBSERVADO
O MÍNIMO LEGAL (R$ 100,000,00
PARA PREFEITO E R$ 10.000,00
PARA VEREADOR ) EM 2016***
LIMITE DE GASTOS 2020 (ATUALIZADO PELO IPCA DE
JUNHO/2016 ATÉ JUNHO/2020*)
PREFEITO
MUNICÍPIO**
MG LEOPOLDINA R$ 191.503,92 R$ 10.803,91 218.160,07R$ -R$ 12.307,75R$
MG LIBERDADE R$ 108.039,06 R$ 10.803,91 123.077,42R$ -R$ 12.307,75R$
MG LIMA DUARTE R$ 108.039,06 R$ 10.803,91 123.077,42R$ -R$ 12.307,75R$
MG LIMEIRA DO OESTE R$ 108.039,06 R$ 10.803,91 123.077,42R$ -R$ 12.307,75R$
MG LONTRA R$ 108.039,06 R$ 10.803,91 123.077,42R$ -R$ 12.307,75R$
MG LUISBURGO R$ 108.039,06 R$ 10.803,91 123.077,42R$ -R$ 12.307,75R$
MG LUISLÂNDIA R$ 180.608,42 R$ 10.803,91 205.747,98R$ -R$ 12.307,75R$
MG LUMINÁRIAS R$ 108.039,06 R$ 10.803,91 123.077,42R$ -R$ 12.307,75R$
MG LUZ R$ 108.039,06 R$ 10.803,91 123.077,42R$ -R$ 12.307,75R$
MG MACHACALIS R$ 108.039,06 R$ 10.803,91 123.077,42R$ -R$ 12.307,75R$
MG MACHADO R$ 277.227,17 R$ 16.397,23 315.815,46R$ -R$ 18.679,62R$
MG MADRE DE DEUS DE MINAS R$ 108.039,06 R$ 10.803,91 123.077,42R$ -R$ 12.307,75R$
MG MALACACHETA R$ 330.062,58 R$ 10.803,91 376.005,23R$ -R$ 12.307,75R$
MG MAMONAS R$ 108.039,06 R$ 10.803,91 123.077,42R$ -R$ 12.307,75R$
MG MANGA R$ 259.563,57 R$ 10.803,91 295.693,20R$ -R$ 12.307,75R$
MG MANHUAÇU R$ 701.752,58 R$ 27.013,08 799.432,15R$ -R$ 30.773,13R$
MG MANHUMIRIM R$ 108.039,06 R$ 26.010,74 123.077,42R$ -R$ 29.631,27R$
MG MANTENA R$ 144.372,52 R$ 10.803,91 164.468,27R$ -R$ 12.307,75R$
MG MAR DE ESPANHA R$ 108.039,06 R$ 10.803,91 123.077,42R$ -R$ 12.307,75R$
MG MARAVILHAS R$ 108.039,06 R$ 10.803,91 123.077,42R$ -R$ 12.307,75R$
MG MARIA DA FÉ R$ 108.039,06 R$ 10.803,91 123.077,42R$ -R$ 12.307,75R$
MG MARIANA R$ 483.863,27 R$ 69.236,35 551.214,01R$ -R$ 78.873,62R$
MG MARILAC R$ 108.039,06 R$ 10.803,91 123.077,42R$ -R$ 12.307,75R$
MG MÁRIO CAMPOS R$ 108.039,06 R$ 17.284,16 123.077,42R$ -R$ 19.690,01R$
MG MARIPÁ DE MINAS R$ 108.039,06 R$ 10.803,91 123.077,42R$ -R$ 12.307,75R$
MG MARLIÉRIA R$ 190.065,76 R$ 10.803,91 216.521,73R$ -R$ 12.307,75R$
MG MARMELÓPOLIS R$ 108.039,06 R$ 10.803,91 123.077,42R$ -R$ 12.307,75R$
MG MARTINHO CAMPOS R$ 108.039,06 R$ 10.803,91 123.077,42R$ -R$ 12.307,75R$
MG MARTINS SOARES R$ 108.039,06 R$ 10.803,91 123.077,42R$ -R$ 12.307,75R$
MG MATA VERDE R$ 108.039,06 R$ 10.803,91 123.077,42R$ -R$ 12.307,75R$
MG MATERLÂNDIA R$ 108.039,06 R$ 10.803,91 123.077,42R$ -R$ 12.307,75R$
MG MATEUS LEME R$ 108.039,06 R$ 10.803,91 123.077,42R$ -R$ 12.307,75R$
MG MATHIAS LOBATO R$ 108.039,06 R$ 10.803,91 123.077,42R$ -R$ 12.307,75R$
MG MATIAS BARBOSA R$ 108.039,06 R$ 10.803,91 123.077,42R$ -R$ 12.307,75R$
MG MATIAS CARDOSO R$ 108.039,06 R$ 10.803,91 123.077,42R$ -R$ 12.307,75R$
MG MATIPÓ R$ 108.039,06 R$ 10.803,91 123.077,42R$ -R$ 12.307,75R$
MG MATO VERDE R$ 108.039,06 R$ 10.803,91 123.077,42R$ -R$ 12.307,75R$
MG MATOZINHOS R$ 378.823,79 R$ 16.763,93 431.553,69R$ -R$ 19.097,36R$
MG MATUTINA R$ 108.039,06 R$ 10.803,91 123.077,42R$ -R$ 12.307,75R$
MG MEDEIROS R$ 108.039,06 R$ 10.803,91 123.077,42R$ -R$ 12.307,75R$
MG MEDINA R$ 295.306,45 R$ 14.007,48 336.411,26R$ -R$ 15.957,23R$
MG MENDES PIMENTEL R$ 108.039,06 R$ 10.803,91 123.077,42R$ -R$ 12.307,75R$
MG MERCÊS R$ 108.039,06 R$ 10.803,91 123.077,42R$ -R$ 12.307,75R$
MG MESQUITA R$ 283.057,86 R$ 10.803,91 322.457,74R$ -R$ 12.307,75R$
MG MINAS NOVAS R$ 185.177,64 R$ 13.550,83 210.953,21R$ -R$ 15.437,02R$
MG MINDURI R$ 108.039,06 R$ 10.803,91 123.077,42R$ -R$ 12.307,75R$
MG MIRABELA R$ 108.039,06 R$ 10.803,91 123.077,42R$ -R$ 12.307,75R$
MG MIRADOURO R$ 108.039,06 R$ 10.803,91 123.077,42R$ -R$ 12.307,75R$
MG MIRAÍ R$ 108.039,06 R$ 24.494,53 123.077,42R$ -R$ 27.904,02R$
MG MIRAVÂNIA R$ 108.039,06 R$ 10.803,91 123.077,42R$ -R$ 12.307,75R$
MG MOEDA R$ 108.039,06 R$ 10.803,91 123.077,42R$ -R$ 12.307,75R$
MG MOEMA R$ 108.039,06 R$ 10.803,91 123.077,42R$ -R$ 12.307,75R$
MG MONJOLOS R$ 108.039,06 R$ 19.486,64 123.077,42R$ -R$ 22.199,06R$
MG MONSENHOR PAULO R$ 108.039,06 R$ 10.803,91 123.077,42R$ -R$ 12.307,75R$
MG MONTALVÂNIA R$ 108.039,06 R$ 10.803,91 123.077,42R$ -R$ 12.307,75R$
MG MONTE ALEGRE DE MINAS R$ 138.675,81 R$ 17.794,75 157.978,62R$ -R$ 20.271,67R$
MG MONTE AZUL R$ 147.836,05 R$ 15.489,79 168.413,90R$ -R$ 17.645,87R$
MG MONTE BELO R$ 108.039,06 R$ 10.803,91 123.077,42R$ -R$ 12.307,75R$
MG MONTE CARMELO R$ 318.059,78 R$ 32.754,90 362.331,71R$ -R$ 37.314,18R$
MG MONTE FORMOSO R$ 108.039,06 R$ 10.803,91 123.077,42R$ -R$ 12.307,75R$
MG MONTE SANTO DE MINAS R$ 108.039,06 R$ 10.803,91 123.077,42R$ -R$ 12.307,75R$
MG MONTE SIÃO R$ 260.856,86 R$ 41.744,37 297.166,50R$ -R$ 47.554,93R$
MG MONTES CLAROS SIM R$ 2.670.380,34 R$ 93.290,54 3.042.080,59R$ 1.216.832,24R$ 106.276,00R$
MG MONTEZUMA R$ 108.039,06 R$ 10.803,91 123.077,42R$ -R$ 12.307,75R$
MG MORADA NOVA DE MINAS R$ 308.233,27 R$ 25.007,39 351.137,41R$ -R$ 28.488,26R$
MG MORRO DA GARÇA R$ 108.039,06 R$ 10.803,91 123.077,42R$ -R$ 12.307,75R$
28
Tribunal Superior Eleitoral
PREFEITO
1º TURNO 1º TURNO 2º TURNO
UF
POSSIBILIDADE
DE SEGUNDO
TURNO
VEREADORVEREADOR
LIMITE DE GASTOS OBSERVADO
O MÍNIMO LEGAL (R$ 100,000,00
PARA PREFEITO E R$ 10.000,00
PARA VEREADOR ) EM 2016***
LIMITE DE GASTOS 2020 (ATUALIZADO PELO IPCA DE
JUNHO/2016 ATÉ JUNHO/2020*)
PREFEITO
MUNICÍPIO**
MG MORRO DO PILAR R$ 166.512,07 R$ 10.803,91 189.689,51R$ -R$ 12.307,75R$
MG MUNHOZ R$ 108.039,06 R$ 23.967,20 123.077,42R$ -R$ 27.303,28R$
MG MURIAÉ R$ 568.068,72 R$ 39.855,82 647.140,33R$ -R$ 45.403,50R$
MG MUTUM R$ 269.562,11 R$ 16.286,90 307.083,47R$ -R$ 18.553,93R$
MG MUZAMBINHO R$ 108.039,06 R$ 10.803,91 123.077,42R$ -R$ 12.307,75R$
MG NACIP RAYDAN R$ 108.039,06 R$ 10.803,91 123.077,42R$ -R$ 12.307,75R$
MG NANUQUE R$ 521.365,95 R$ 66.910,05 593.936,83R$ -R$ 76.223,51R$
MG NAQUE R$ 108.039,06 R$ 10.803,91 123.077,42R$ -R$ 12.307,75R$
MG NATALÂNDIA R$ 108.039,06 R$ 10.803,91 123.077,42R$ -R$ 12.307,75R$
MG NATÉRCIA R$ 108.039,06 R$ 10.803,91 123.077,42R$ -R$ 12.307,75R$
MG NAZARENO R$ 108.039,06 R$ 10.803,91 123.077,42R$ -R$ 12.307,75R$
MG NEPOMUCENO R$ 165.740,62 R$ 10.803,91 188.810,68R$ -R$ 12.307,75R$
MG NINHEIRA R$ 108.039,06 R$ 10.803,91 123.077,42R$ -R$ 12.307,75R$
MG NOVA BELÉM R$ 191.790,69 R$ 17.137,40 218.486,76R$ -R$ 19.522,82R$
MG NOVA ERA R$ 148.097,27 R$ 27.814,04 168.711,48R$ -R$ 31.685,58R$
MG NOVA LIMA R$ 2.480.807,46 R$ 177.164,63 2.826.120,35R$ -R$ 201.824,84R$
MG NOVA MÓDICA R$ 108.039,06 R$ 10.803,91 123.077,42R$ -R$ 12.307,75R$
MG NOVA PONTE R$ 108.039,06 R$ 10.803,91 123.077,42R$ -R$ 12.307,75R$
MG NOVA PORTEIRINHA R$ 108.039,06 R$ 14.192,37 123.077,42R$ -R$ 16.167,86R$
MG NOVA RESENDE R$ 108.039,06 R$ 10.803,91 123.077,42R$ -R$ 12.307,75R$
MG NOVA SERRANA R$ 243.468,20 R$ 17.123,23 277.357,45R$ -R$ 19.506,68R$
MG NOVA UNIÃO R$ 108.039,06 R$ 10.803,91 123.077,42R$ -R$ 12.307,75R$
MG NOVO CRUZEIRO R$ 108.039,06 R$ 10.803,91 123.077,42R$ -R$ 12.307,75R$
MG NOVO ORIENTE DE MINAS R$ 108.039,06 R$ 13.877,01 123.077,42R$ -R$ 15.808,60R$
MG NOVORIZONTE R$ 108.039,06 R$ 10.803,91 123.077,42R$ -R$ 12.307,75R$
MG OLARIA R$ 108.039,06 R$ 10.803,91 123.077,42R$ -R$ 12.307,75R$
MG OLHOS D'ÁGUA R$ 108.039,06 R$ 10.803,91 123.077,42R$ -R$ 12.307,75R$
MG OLÍMPIO NORONHA R$ 108.039,06 R$ 10.803,91 123.077,42R$ -R$ 12.307,75R$
MG OLIVEIRA R$ 222.152,20 R$ 14.545,84 253.074,40R$ -R$ 16.570,53R$
MG OLIVEIRA FORTES R$ 108.039,06 R$ 10.803,91 123.077,42R$ -R$ 12.307,75R$
MG ONÇA DE PITANGUI R$ 108.039,06 R$ 10.803,91 123.077,42R$ -R$ 12.307,75R$
MG ORATÓRIOS R$ 108.039,06 R$ 10.803,91 123.077,42R$ -R$ 12.307,75R$
MG ORIZÂNIA R$ 108.039,06 R$ 10.803,91 123.077,42R$ -R$ 12.307,75R$
MG OURO BRANCO R$ 223.959,18 R$ 46.186,52 255.132,90R$ -R$ 52.615,39R$
MG OURO FINO R$ 108.039,06 R$ 10.803,91 123.077,42R$ -R$ 12.307,75R$
MG OURO PRETO R$ 443.122,79 R$ 54.572,58 504.802,71R$ -R$ 62.168,74R$
MG OURO VERDE DE MINAS R$ 108.039,06 R$ 10.803,91 123.077,42R$ -R$ 12.307,75R$
MG PADRE CARVALHO R$ 108.039,06 R$ 10.803,91 123.077,42R$ -R$ 12.307,75R$
MG PADRE PARAÍSO R$ 108.039,06 R$ 10.803,91 123.077,42R$ -R$ 12.307,75R$
MG PAI PEDRO R$ 108.039,06 R$ 10.803,91 123.077,42R$ -R$ 12.307,75R$
MG PAINEIRAS R$ 108.039,06 R$ 10.803,91 123.077,42R$ -R$ 12.307,75R$
MG PAINS R$ 136.651,08 R$ 10.803,91 155.672,06R$ -R$ 12.307,75R$
MG PAIVA R$ 108.039,06 R$ 10.803,91 123.077,42R$ -R$ 12.307,75R$
MG PALMA R$ 108.039,06 R$ 10.803,91 123.077,42R$ -R$ 12.307,75R$
MG PALMÓPOLIS R$ 108.039,06 R$ 10.803,91 123.077,42R$ -R$ 12.307,75R$
MG PAPAGAIOS R$ 108.039,06 R$ 10.803,91 123.077,42R$ -R$ 12.307,75R$
MG PARÁ DE MINAS R$ 357.085,81 R$ 14.810,34 406.789,92R$ -R$ 16.871,85R$
MG PARACATU R$ 1.626.955,19 R$ 87.708,63 1.853.417,18R$ -R$ 99.917,12R$
MG PARAGUAÇU R$ 108.039,06 R$ 10.803,91 123.077,42R$ -R$ 12.307,75R$
MG PARAISÓPOLIS R$ 140.369,03 R$ 10.803,91 159.907,52R$ -R$ 12.307,75R$
MG PARAOPEBA R$ 140.919,88 R$ 10.803,91 160.535,05R$ -R$ 12.307,75R$
MG PASSA QUATRO R$ 108.039,06 R$ 10.803,91 123.077,42R$ -R$ 12.307,75R$
MG PASSA TEMPO R$ 108.039,06 R$ 10.803,91 123.077,42R$ -R$ 12.307,75R$
MG PASSA VINTE R$ 108.039,06 R$ 10.803,91 123.077,42R$ -R$ 12.307,75R$
MG PASSABÉM R$ 108.039,06 R$ 10.803,91 123.077,42R$ -R$ 12.307,75R$
MG PASSOS R$ 1.093.349,02 R$ 60.283,37 1.245.536,37R$ -R$ 68.674,44R$
MG PATIS R$ 233.312,60 R$ 10.803,91 265.788,26R$ -R$ 12.307,75R$
MG PATOS DE MINAS R$ 592.180,98 R$ 39.729,83 674.608,87R$ -R$ 45.259,97R$
MG PATROCÍNIO R$ 361.340,12 R$ 65.165,63 411.636,41R$ -R$ 74.236,28R$
MG PATROCÍNIO DO MURIAÉ R$ 108.039,06 R$ 10.803,91 123.077,42R$ -R$ 12.307,75R$
MG PAULA CÂNDIDO R$ 108.039,06 R$ 10.803,91 123.077,42R$ -R$ 12.307,75R$
MG PAULISTAS R$ 108.039,06 R$ 10.803,91 123.077,42R$ -R$ 12.307,75R$
MG PAVÃO R$ 108.039,06 R$ 10.803,91 123.077,42R$ -R$ 12.307,75R$
MG PEÇANHA R$ 162.574,74 R$ 10.803,91 185.204,13R$ -R$ 12.307,75R$
MG PEDRA AZUL R$ 150.123,91 R$ 10.803,91 171.020,22R$ -R$ 12.307,75R$
MG PEDRA BONITA R$ 212.312,52 R$ 13.445,68 241.865,10R$ -R$ 15.317,23R$
29
Tribunal Superior Eleitoral
PREFEITO
1º TURNO 1º TURNO 2º TURNO
UF
POSSIBILIDADE
DE SEGUNDO
TURNO
VEREADORVEREADOR
LIMITE DE GASTOS OBSERVADO
O MÍNIMO LEGAL (R$ 100,000,00
PARA PREFEITO E R$ 10.000,00
PARA VEREADOR ) EM 2016***
LIMITE DE GASTOS 2020 (ATUALIZADO PELO IPCA DE
JUNHO/2016 ATÉ JUNHO/2020*)
PREFEITO
MUNICÍPIO**
MG PEDRA DO ANTA R$ 108.039,06 R$ 10.803,91 123.077,42R$ -R$ 12.307,75R$
MG PEDRA DO INDAIÁ R$ 108.039,06 R$ 10.803,91 123.077,42R$ -R$ 12.307,75R$
MG PEDRA DOURADA R$ 108.039,06 R$ 10.803,91 123.077,42R$ -R$ 12.307,75R$
MG PEDRALVA R$ 108.039,06 R$ 10.803,91 123.077,42R$ -R$ 12.307,75R$
MG PEDRAS DE MARIA DA CRUZ R$ 143.768,49 R$ 10.803,91 163.780,17R$ -R$ 12.307,75R$
MG PEDRINÓPOLIS R$ 108.039,06 R$ 10.803,91 123.077,42R$ -R$ 12.307,75R$
MG PEDRO LEOPOLDO R$ 482.249,99 R$ 16.828,93 549.376,17R$ -R$ 19.171,41R$
MG PEDRO TEIXEIRA R$ 108.039,06 R$ 10.803,91 123.077,42R$ -R$ 12.307,75R$
MG PEQUERI R$ 220.573,26 R$ 10.803,91 251.275,68R$ -R$ 12.307,75R$
MG PEQUI R$ 108.039,06 R$ 10.803,91 123.077,42R$ -R$ 12.307,75R$
MG PERDIGÃO R$ 108.039,06 R$ 10.803,91 123.077,42R$ -R$ 12.307,75R$
MG PERDIZES R$ 108.039,06 R$ 10.803,91 123.077,42R$ -R$ 12.307,75R$
MG PERDÕES R$ 108.039,06 R$ 20.554,62 123.077,42R$ -R$ 23.415,69R$
MG PERIQUITO R$ 108.039,06 R$ 10.803,91 123.077,42R$ -R$ 12.307,75R$
MG PESCADOR R$ 108.039,06 R$ 10.803,91 123.077,42R$ -R$ 12.307,75R$
MG PIAU R$ 108.039,06 R$ 10.803,91 123.077,42R$ -R$ 12.307,75R$
MG PIEDADE DE CARATINGA R$ 108.039,06 R$ 10.803,91 123.077,42R$ -R$ 12.307,75R$
MG PIEDADE DE PONTE NOVA R$ 108.039,06 R$ 10.803,91 123.077,42R$ -R$ 12.307,75R$
MG PIEDADE DO RIO GRANDE R$ 108.039,06 R$ 10.803,91 123.077,42R$ -R$ 12.307,75R$
MG PIEDADE DOS GERAIS R$ 108.039,06 R$ 10.803,91 123.077,42R$ -R$ 12.307,75R$
MG PIMENTA R$ 108.039,06 R$ 10.803,91 123.077,42R$ -R$ 12.307,75R$
MG PINGO D'ÁGUA R$ 108.039,06 R$ 10.803,91 123.077,42R$ -R$ 12.307,75R$
MG PINTÓPOLIS R$ 108.039,06 R$ 10.803,91 123.077,42R$ -R$ 12.307,75R$
MG PIRACEMA R$ 108.039,06 R$ 10.803,91 123.077,42R$ -R$ 12.307,75R$
MG PIRAJUBA R$ 159.283,09 R$ 10.803,91 181.454,30R$ -R$ 12.307,75R$
MG PIRANGA R$ 108.039,06 R$ 10.803,91 123.077,42R$ -R$ 12.307,75R$
MG PIRANGUÇU R$ 108.039,06 R$ 10.803,91 123.077,42R$ -R$ 12.307,75R$
MG PIRANGUINHO R$ 108.039,06 R$ 10.803,91 123.077,42R$ -R$ 12.307,75R$
MG PIRAPETINGA R$ 108.039,06 R$ 10.803,91 123.077,42R$ -R$ 12.307,75R$
MG PIRAPORA R$ 1.035.589,17 R$ 44.815,20 1.179.736,71R$ -R$ 51.053,20R$
MG PIRAÚBA R$ 108.039,06 R$ 10.803,91 123.077,42R$ -R$ 12.307,75R$
MG PITANGUI R$ 108.039,06 R$ 16.885,54 123.077,42R$ -R$ 19.235,90R$
MG PIUMHI R$ 335.302,10 R$ 10.803,91 381.974,06R$ -R$ 12.307,75R$
MG PLANURA R$ 108.039,06 R$ 10.803,91 123.077,42R$ -R$ 12.307,75R$
MG POÇO FUNDO R$ 108.039,06 R$ 10.803,91 123.077,42R$ -R$ 12.307,75R$
MG POÇOS DE CALDAS R$ 575.449,59 R$ 37.123,65 655.548,58R$ -R$ 42.291,03R$
MG POCRANE R$ 108.039,06 R$ 10.803,91 123.077,42R$ -R$ 12.307,75R$
MG POMPÉU R$ 350.856,23 R$ 16.226,94 399.693,22R$ -R$ 18.485,63R$
MG PONTE NOVA R$ 182.569,07 R$ 23.263,82 207.981,54R$ -R$ 26.502,00R$
MG PONTO CHIQUE R$ 108.039,06 R$ 10.803,91 123.077,42R$ -R$ 12.307,75R$
MG PONTO DOS VOLANTES R$ 108.039,06 R$ 10.803,91 123.077,42R$ -R$ 12.307,75R$
MG PORTEIRINHA R$ 257.864,91 R$ 10.803,91 293.758,09R$ -R$ 12.307,75R$
MG PORTO FIRME R$ 108.039,06 R$ 10.803,91 123.077,42R$ -R$ 12.307,75R$
MG POTÉ R$ 108.039,06 R$ 10.803,91 123.077,42R$ -R$ 12.307,75R$
MG POUSO ALEGRE R$ 1.168.123,56 R$ 65.489,90 1.330.719,06R$ -R$ 74.605,68R$
MG POUSO ALTO R$ 108.039,06 R$ 10.803,91 123.077,42R$ -R$ 12.307,75R$
MG PRADOS R$ 135.871,13 R$ 10.803,91 154.783,54R$ -R$ 12.307,75R$
MG PRATA R$ 281.128,93 R$ 10.803,91 320.260,32R$ -R$ 12.307,75R$
MG PRATÁPOLIS R$ 108.039,06 R$ 10.803,91 123.077,42R$ -R$ 12.307,75R$
MG PRATINHA R$ 108.039,06 R$ 10.803,91 123.077,42R$ -R$ 12.307,75R$
MG PRESIDENTE BERNARDES R$ 108.039,06 R$ 10.803,91 123.077,42R$ -R$ 12.307,75R$
MG PRESIDENTE JUSCELINO R$ 108.039,06 R$ 10.803,91 123.077,42R$ -R$ 12.307,75R$
MG PRESIDENTE KUBITSCHEK R$ 108.039,06 R$ 15.586,33 123.077,42R$ -R$ 17.755,85R$
MG PRESIDENTE OLEGÁRIO R$ 154.387,06 R$ 10.803,91 175.876,77R$ -R$ 12.307,75R$
MG PRUDENTE DE MORAIS R$ 108.039,06 R$ 10.803,91 123.077,42R$ -R$ 12.307,75R$
MG QUARTEL GERAL R$ 108.039,06 R$ 10.803,91 123.077,42R$ -R$ 12.307,75R$
MG QUELUZITO R$ 108.039,06 R$ 10.803,91 123.077,42R$ -R$ 12.307,75R$
MG RAPOSOS R$ 108.039,06 R$ 10.803,91 123.077,42R$ -R$ 12.307,75R$
MG RAUL SOARES R$ 153.854,58 R$ 10.803,91 175.270,18R$ -R$ 12.307,75R$
MG RECREIO R$ 108.039,06 R$ 10.803,91 123.077,42R$ -R$ 12.307,75R$
MG REDUTO R$ 108.039,06 R$ 10.803,91 123.077,42R$ -R$ 12.307,75R$
MG RESENDE COSTA R$ 108.039,06 R$ 10.803,91 123.077,42R$ -R$ 12.307,75R$
MG RESPLENDOR R$ 144.874,44 R$ 10.803,91 165.040,06R$ -R$ 12.307,75R$
MG RESSAQUINHA R$ 108.039,06 R$ 10.803,91 123.077,42R$ -R$ 12.307,75R$
MG RIACHINHO R$ 108.039,06 R$ 15.461,70 123.077,42R$ -R$ 17.613,87R$
MG RIACHO DOS MACHADOS R$ 108.039,06 R$ 15.148,94 123.077,42R$ -R$ 17.257,58R$
30
Tribunal Superior Eleitoral
PREFEITO
1º TURNO 1º TURNO 2º TURNO
UF
POSSIBILIDADE
DE SEGUNDO
TURNO
VEREADORVEREADOR
LIMITE DE GASTOS OBSERVADO
O MÍNIMO LEGAL (R$ 100,000,00
PARA PREFEITO E R$ 10.000,00
PARA VEREADOR ) EM 2016***
LIMITE DE GASTOS 2020 (ATUALIZADO PELO IPCA DE
JUNHO/2016 ATÉ JUNHO/2020*)
PREFEITO
MUNICÍPIO**
MG RIBEIRÃO DAS NEVES SIM R$ 1.719.348,06 R$ 45.074,65 1.958.670,56R$ 783.468,22R$ 51.348,76R$
MG RIBEIRÃO VERMELHO R$ 108.039,06 R$ 10.803,91 123.077,42R$ -R$ 12.307,75R$
MG RIO ACIMA R$ 108.039,06 R$ 10.803,91 123.077,42R$ -R$ 12.307,75R$
MG RIO CASCA R$ 268.647,97 R$ 10.803,91 306.042,09R$ -R$ 12.307,75R$
MG RIO DO PRADO R$ 108.039,06 R$ 10.803,91 123.077,42R$ -R$ 12.307,75R$
MG RIO DOCE R$ 108.039,06 R$ 10.803,91 123.077,42R$ -R$ 12.307,75R$
MG RIO ESPERA R$ 108.039,06 R$ 10.803,91 123.077,42R$ -R$ 12.307,75R$
MG RIO MANSO R$ 108.039,06 R$ 10.803,91 123.077,42R$ -R$ 12.307,75R$
MG RIO NOVO R$ 108.039,06 R$ 10.803,91 123.077,42R$ -R$ 12.307,75R$
MG RIO PARANAÍBA R$ 108.039,06 R$ 10.803,91 123.077,42R$ -R$ 12.307,75R$
MG RIO PARDO DE MINAS R$ 135.133,92 R$ 10.803,91 153.943,72R$ -R$ 12.307,75R$
MG RIO PIRACICABA R$ 233.304,62 R$ 10.803,91 265.779,16R$ -R$ 12.307,75R$
MG RIO POMBA R$ 108.039,06 R$ 10.803,91 123.077,42R$ -R$ 12.307,75R$
MG RIO PRETO R$ 108.039,06 R$ 10.803,91 123.077,42R$ -R$ 12.307,75R$
MG RIO VERMELHO R$ 108.039,06 R$ 10.803,91 123.077,42R$ -R$ 12.307,75R$
MG RITÁPOLIS R$ 108.039,06 R$ 10.803,91 123.077,42R$ -R$ 12.307,75R$
MG ROCHEDO DE MINAS R$ 108.039,06 R$ 10.803,91 123.077,42R$ -R$ 12.307,75R$
MG RODEIRO R$ 108.039,06 R$ 10.803,91 123.077,42R$ -R$ 12.307,75R$
MG ROMARIA R$ 108.039,06 R$ 10.803,91 123.077,42R$ -R$ 12.307,75R$
MG ROSÁRIO DA LIMEIRA R$ 108.039,06 R$ 10.803,91 123.077,42R$ -R$ 12.307,75R$
MG RUBELITA R$ 153.498,19 R$ 10.803,91 174.864,18R$ -R$ 12.307,75R$
MG RUBIM R$ 108.039,06 R$ 10.803,91 123.077,42R$ -R$ 12.307,75R$
MG SABARÁ R$ 314.166,35 R$ 38.070,84 357.896,34R$ -R$ 43.370,06R$
MG SABINÓPOLIS R$ 108.039,06 R$ 10.803,91 123.077,42R$ -R$ 12.307,75R$
MG SACRAMENTO R$ 633.420,87 R$ 27.889,94 721.589,10R$ -R$ 31.772,05R$
MG SALINAS R$ 280.124,05 R$ 43.541,24 319.115,57R$ -R$ 49.601,91R$
MG SALTO DA DIVISA R$ 108.039,06 R$ 10.803,91 123.077,42R$ -R$ 12.307,75R$
MG SANTA BÁRBARA R$ 552.171,13 R$ 20.293,01 629.029,90R$ -R$ 23.117,67R$
MG SANTA BÁRBARA DO LESTE R$ 108.039,06 R$ 10.803,91 123.077,42R$ -R$ 12.307,75R$
MG SANTA BÁRBARA DO MONTE VERDE R$ 108.039,06 R$ 10.803,91 123.077,42R$ -R$ 12.307,75R$
MG SANTA BÁRBARA DO TUGÚRIO R$ 108.039,06 R$ 10.803,91 123.077,42R$ -R$ 12.307,75R$
MG SANTA CRUZ DE MINAS R$ 108.039,06 R$ 10.803,91 123.077,42R$ -R$ 12.307,75R$
MG SANTA CRUZ DE SALINAS R$ 108.039,06 R$ 10.803,91 123.077,42R$ -R$ 12.307,75R$
MG SANTA CRUZ DO ESCALVADO R$ 108.039,06 R$ 10.803,91 123.077,42R$ -R$ 12.307,75R$
MG SANTA EFIGÊNIA DE MINAS R$ 108.039,06 R$ 10.803,91 123.077,42R$ -R$ 12.307,75R$
MG SANTA FÉ DE MINAS R$ 108.039,06 R$ 10.803,91 123.077,42R$ -R$ 12.307,75R$
MG SANTA HELENA DE MINAS R$ 108.039,06 R$ 10.803,91 123.077,42R$ -R$ 12.307,75R$
MG SANTA JULIANA R$ 188.138,95 R$ 10.803,91 214.326,72R$ -R$ 12.307,75R$
MG SANTA LUZIA R$ 1.069.041,13 R$ 65.253,68 1.217.844,97R$ -R$ 74.336,58R$
MG SANTA MARGARIDA R$ 108.039,06 R$ 10.803,91 123.077,42R$ -R$ 12.307,75R$
MG SANTA MARIA DE ITABIRA R$ 108.039,06 R$ 10.803,91 123.077,42R$ -R$ 12.307,75R$
MG SANTA MARIA DO SALTO R$ 108.039,06 R$ 10.803,91 123.077,42R$ -R$ 12.307,75R$
MG SANTA MARIA DO SUAÇUÍ R$ 149.338,80 R$ 10.803,91 170.125,83R$ -R$ 12.307,75R$
MG SANTA RITA DE CALDAS R$ 108.039,06 R$ 10.803,91 123.077,42R$ -R$ 12.307,75R$
MG SANTA RITA DE IBITIPOCA R$ 108.039,06 R$ 10.803,91 123.077,42R$ -R$ 12.307,75R$
MG SANTA RITA DE JACUTINGA R$ 108.039,06 R$ 10.803,91 123.077,42R$ -R$ 12.307,75R$
MG SANTA RITA DE MINAS R$ 108.039,06 R$ 10.803,91 123.077,42R$ -R$ 12.307,75R$
MG SANTA RITA DO ITUETO R$ 108.039,06 R$ 10.803,91 123.077,42R$ -R$ 12.307,75R$
MG SANTA RITA DO SAPUCAÍ R$ 108.039,06 R$ 19.883,88 123.077,42R$ -R$ 22.651,59R$
MG SANTA ROSA DA SERRA R$ 108.039,06 R$ 10.803,91 123.077,42R$ -R$ 12.307,75R$
MG SANTA VITÓRIA R$ 650.992,42 R$ 25.405,37 741.606,50R$ -R$ 28.941,64R$
MG SANTANA DA VARGEM R$ 108.039,06 R$ 10.803,91 123.077,42R$ -R$ 12.307,75R$
MG SANTANA DE CATAGUASES R$ 108.039,06 R$ 10.803,91 123.077,42R$ -R$ 12.307,75R$
MG SANTANA DE PIRAPAMA R$ 108.039,06 R$ 10.803,91 123.077,42R$ -R$ 12.307,75R$
MG SANTANA DO DESERTO R$ 108.039,06 R$ 10.803,91 123.077,42R$ -R$ 12.307,75R$
MG SANTANA DO GARAMBÉU R$ 108.039,06 R$ 10.803,91 123.077,42R$ -R$ 12.307,75R$
MG SANTANA DO JACARÉ R$ 108.039,06 R$ 10.803,91 123.077,42R$ -R$ 12.307,75R$
MG SANTANA DO MANHUAÇU R$ 108.039,06 R$ 10.803,91 123.077,42R$ -R$ 12.307,75R$
MG SANTANA DO PARAÍSO R$ 216.924,88 R$ 16.687,68 247.119,47R$ -R$ 19.010,50R$
MG SANTANA DO RIACHO R$ 108.039,06 R$ 10.803,91 123.077,42R$ -R$ 12.307,75R$
MG SANTANA DOS MONTES R$ 108.039,06 R$ 10.803,91 123.077,42R$ -R$ 12.307,75R$
MG SANTO ANTÔNIO DO AMPARO R$ 108.039,06 R$ 10.803,91 123.077,42R$ -R$ 12.307,75R$
MG SANTO ANTÔNIO DO AVENTUREIRO R$ 108.039,06 R$ 10.803,91 123.077,42R$ -R$ 12.307,75R$
MG SANTO ANTÔNIO DO GRAMA R$ 108.039,06 R$ 10.803,91 123.077,42R$ -R$ 12.307,75R$
MG SANTO ANTÔNIO DO ITAMBÉ R$ 108.039,06 R$ 10.803,91 123.077,42R$ -R$ 12.307,75R$
MG SANTO ANTÔNIO DO JACINTO R$ 108.039,06 R$ 10.803,91 123.077,42R$ -R$ 12.307,75R$
31
Tribunal Superior Eleitoral
PREFEITO
1º TURNO 1º TURNO 2º TURNO
UF
POSSIBILIDADE
DE SEGUNDO
TURNO
VEREADORVEREADOR
LIMITE DE GASTOS OBSERVADO
O MÍNIMO LEGAL (R$ 100,000,00
PARA PREFEITO E R$ 10.000,00
PARA VEREADOR ) EM 2016***
LIMITE DE GASTOS 2020 (ATUALIZADO PELO IPCA DE
JUNHO/2016 ATÉ JUNHO/2020*)
PREFEITO
MUNICÍPIO**
MG SANTO ANTÔNIO DO MONTE R$ 190.462,42 R$ 10.803,91 216.973,60R$ -R$ 12.307,75R$
MG SANTO ANTÔNIO DO RETIRO R$ 108.039,06 R$ 10.803,91 123.077,42R$ -R$ 12.307,75R$
MG SANTO ANTÔNIO DO RIO ABAIXO R$ 108.039,06 R$ 10.803,91 123.077,42R$ -R$ 12.307,75R$
MG SANTO HIPÓLITO R$ 108.039,06 R$ 10.803,91 123.077,42R$ -R$ 12.307,75R$
MG SANTOS DUMONT R$ 641.643,05 R$ 10.803,91 730.955,75R$ -R$ 12.307,75R$
MG SÃO BENTO ABADE R$ 108.039,06 R$ 10.803,91 123.077,42R$ -R$ 12.307,75R$
MG SÃO BRÁS DO SUAÇUÍ R$ 108.039,06 R$ 10.803,91 123.077,42R$ -R$ 12.307,75R$
MG SÃO DOMINGOS DAS DORES R$ 108.039,06 R$ 10.803,91 123.077,42R$ -R$ 12.307,75R$
MG SÃO DOMINGOS DO PRATA R$ 108.039,06 R$ 10.803,91 123.077,42R$ -R$ 12.307,75R$
MG SÃO FÉLIX DE MINAS R$ 167.321,93 R$ 10.803,91 190.612,10R$ -R$ 12.307,75R$
MG SÃO FRANCISCO R$ 165.842,42 R$ 20.134,46 188.926,65R$ -R$ 22.937,05R$
MG SÃO FRANCISCO DE PAULA R$ 108.039,06 R$ 10.803,91 123.077,42R$ -R$ 12.307,75R$
MG SÃO FRANCISCO DE SALES R$ 108.039,06 R$ 10.803,91 123.077,42R$ -R$ 12.307,75R$
MG SÃO FRANCISCO DO GLÓRIA R$ 108.039,06 R$ 10.803,91 123.077,42R$ -R$ 12.307,75R$
MG SÃO GERALDO R$ 108.039,06 R$ 10.803,91 123.077,42R$ -R$ 12.307,75R$
MG SÃO GERALDO DA PIEDADE R$ 108.039,06 R$ 10.803,91 123.077,42R$ -R$ 12.307,75R$
MG SÃO GERALDO DO BAIXIO R$ 108.039,06 R$ 10.803,91 123.077,42R$ -R$ 12.307,75R$
MG SÃO GONÇALO DO ABAETÉ R$ 108.039,06 R$ 10.803,91 123.077,42R$ -R$ 12.307,75R$
MG SÃO GONÇALO DO PARÁ R$ 249.907,76 R$ 10.803,91 284.693,36R$ -R$ 12.307,75R$
MG SÃO GONÇALO DO RIO ABAIXO R$ 250.459,41 R$ 13.547,16 285.321,79R$ -R$ 15.432,84R$
MG SÃO GONÇALO DO RIO PRETO R$ 108.039,06 R$ 10.803,91 123.077,42R$ -R$ 12.307,75R$
MG SÃO GONÇALO DO SAPUCAÍ R$ 108.039,06 R$ 10.803,91 123.077,42R$ -R$ 12.307,75R$
MG SÃO GOTARDO R$ 249.627,09 R$ 21.215,39 284.373,62R$ -R$ 24.168,44R$
MG SÃO JOÃO BATISTA DO GLÓRIA R$ 108.039,06 R$ 10.803,91 123.077,42R$ -R$ 12.307,75R$
MG SÃO JOÃO DA LAGOA R$ 108.039,06 R$ 10.803,91 123.077,42R$ -R$ 12.307,75R$
MG SÃO JOÃO DA MATA R$ 108.039,06 R$ 10.803,91 123.077,42R$ -R$ 12.307,75R$
MG SÃO JOÃO DA PONTE R$ 108.039,06 R$ 10.803,91 123.077,42R$ -R$ 12.307,75R$
MG SÃO JOÃO DAS MISSÕES R$ 108.039,06 R$ 10.803,91 123.077,42R$ -R$ 12.307,75R$
MG SÃO JOÃO DEL REI R$ 516.143,71 R$ 22.720,66 587.987,69R$ -R$ 25.883,23R$
MG SÃO JOÃO DO MANHUAÇU R$ 108.039,06 R$ 10.803,91 123.077,42R$ -R$ 12.307,75R$
MG SÃO JOÃO DO MANTENINHA R$ 146.943,53 R$ 10.803,91 167.397,15R$ -R$ 12.307,75R$
MG SÃO JOÃO DO ORIENTE R$ 155.506,49 R$ 10.803,91 177.152,02R$ -R$ 12.307,75R$
MG SÃO JOÃO DO PACUÍ R$ 108.039,06 R$ 10.803,91 123.077,42R$ -R$ 12.307,75R$
MG SÃO JOÃO DO PARAÍSO R$ 144.517,25 R$ 10.803,91 164.633,15R$ -R$ 12.307,75R$
MG SÃO JOÃO EVANGELISTA R$ 218.359,05 R$ 10.803,91 248.753,26R$ -R$ 12.307,75R$
MG SÃO JOÃO NEPOMUCENO R$ 108.039,06 R$ 10.803,91 123.077,42R$ -R$ 12.307,75R$
MG SÃO JOAQUIM DE BICAS R$ 322.949,57 R$ 40.006,86 367.902,13R$ -R$ 45.575,56R$
MG SÃO JOSÉ DA BARRA R$ 108.039,06 R$ 10.803,91 123.077,42R$ -R$ 12.307,75R$
MG SÃO JOSÉ DA LAPA R$ 108.039,06 R$ 28.776,42 123.077,42R$ -R$ 32.781,92R$
MG SÃO JOSÉ DA SAFIRA R$ 108.039,06 R$ 10.803,91 123.077,42R$ -R$ 12.307,75R$
MG SÃO JOSÉ DA VARGINHA R$ 108.039,06 R$ 10.803,91 123.077,42R$ -R$ 12.307,75R$
MG SÃO JOSÉ DO ALEGRE R$ 108.039,06 R$ 10.803,91 123.077,42R$ -R$ 12.307,75R$
MG SÃO JOSÉ DO DIVINO R$ 108.039,06 R$ 20.082,74 123.077,42R$ -R$ 22.878,13R$
MG SÃO JOSÉ DO GOIABAL R$ 108.039,06 R$ 10.803,91 123.077,42R$ -R$ 12.307,75R$
MG SÃO JOSÉ DO JACURI R$ 108.039,06 R$ 10.803,91 123.077,42R$ -R$ 12.307,75R$
MG SÃO JOSÉ DO MANTIMENTO R$ 108.039,06 R$ 10.803,91 123.077,42R$ -R$ 12.307,75R$
MG SÃO LOURENÇO R$ 381.756,75 R$ 13.395,02 434.894,90R$ -R$ 15.259,52R$
MG SÃO MIGUEL DO ANTA R$ 108.039,06 R$ 10.803,91 123.077,42R$ -R$ 12.307,75R$
MG SÃO PEDRO DA UNIÃO R$ 108.039,06 R$ 10.803,91 123.077,42R$ -R$ 12.307,75R$
MG SÃO PEDRO DO SUAÇUÍ R$ 108.039,06 R$ 10.803,91 123.077,42R$ -R$ 12.307,75R$
MG SÃO PEDRO DOS FERROS R$ 108.039,06 R$ 10.803,91 123.077,42R$ -R$ 12.307,75R$
MG SÃO ROMÃO R$ 190.520,99 R$ 10.803,91 217.040,32R$ -R$ 12.307,75R$
MG SÃO ROQUE DE MINAS R$ 108.039,06 R$ 10.803,91 123.077,42R$ -R$ 12.307,75R$
MG SÃO SEBASTIÃO DA BELA VISTA R$ 108.039,06 R$ 10.803,91 123.077,42R$ -R$ 12.307,75R$
MG SÃO SEBASTIÃO DA VARGEM ALEGRE R$ 108.039,06 R$ 10.803,91 123.077,42R$ -R$ 12.307,75R$
MG SÃO SEBASTIÃO DO ANTA R$ 108.039,06 R$ 10.803,91 123.077,42R$ -R$ 12.307,75R$
MG SÃO SEBASTIÃO DO MARANHÃO R$ 108.039,06 R$ 10.803,91 123.077,42R$ -R$ 12.307,75R$
MG SÃO SEBASTIÃO DO OESTE R$ 108.039,06 R$ 10.803,91 123.077,42R$ -R$ 12.307,75R$
MG SÃO SEBASTIÃO DO PARAÍSO R$ 265.256,93 R$ 39.567,38 302.179,04R$ -R$ 45.074,91R$
MG SÃO SEBASTIÃO DO RIO PRETO R$ 108.039,06 R$ 10.803,91 123.077,42R$ -R$ 12.307,75R$
MG SÃO SEBASTIÃO DO RIO VERDE R$ 108.039,06 R$ 10.803,91 123.077,42R$ -R$ 12.307,75R$
MG SÃO THOMÉ DAS LETRAS R$ 108.039,06 R$ 10.803,91 123.077,42R$ -R$ 12.307,75R$
MG SÃO TIAGO R$ 108.039,06 R$ 10.803,91 123.077,42R$ -R$ 12.307,75R$
MG SÃO TOMÁS DE AQUINO R$ 108.039,06 R$ 10.803,91 123.077,42R$ -R$ 12.307,75R$
MG SÃO VICENTE DE MINAS R$ 108.039,06 R$ 10.803,91 123.077,42R$ -R$ 12.307,75R$
MG SAPUCAÍ-MIRIM R$ 108.039,06 R$ 10.803,91 123.077,42R$ -R$ 12.307,75R$
32
Tribunal Superior Eleitoral
PREFEITO
1º TURNO 1º TURNO 2º TURNO
UF
POSSIBILIDADE
DE SEGUNDO
TURNO
VEREADORVEREADOR
LIMITE DE GASTOS OBSERVADO
O MÍNIMO LEGAL (R$ 100,000,00
PARA PREFEITO E R$ 10.000,00
PARA VEREADOR ) EM 2016***
LIMITE DE GASTOS 2020 (ATUALIZADO PELO IPCA DE
JUNHO/2016 ATÉ JUNHO/2020*)
PREFEITO
MUNICÍPIO**
MG SARDOÁ R$ 164.887,48 R$ 10.803,91 187.838,79R$ -R$ 12.307,75R$
MG SARZEDO R$ 223.954,12 R$ 19.581,05 255.127,13R$ -R$ 22.306,61R$
MG SEM PEIXE R$ 108.039,06 R$ 10.803,91 123.077,42R$ -R$ 12.307,75R$
MG SENADOR AMARAL R$ 108.039,06 R$ 10.803,91 123.077,42R$ -R$ 12.307,75R$
MG SENADOR CORTES R$ 108.039,06 R$ 10.803,91 123.077,42R$ -R$ 12.307,75R$
MG SENADOR FIRMINO R$ 108.039,06 R$ 10.803,91 123.077,42R$ -R$ 12.307,75R$
MG SENADOR JOSÉ BENTO R$ 108.039,06 R$ 10.803,91 123.077,42R$ -R$ 12.307,75R$
MG SENADOR MODESTINO GONÇALVES R$ 108.039,06 R$ 10.803,91 123.077,42R$ -R$ 12.307,75R$
MG SENHORA DE OLIVEIRA R$ 108.039,06 R$ 10.803,91 123.077,42R$ -R$ 12.307,75R$
MG SENHORA DO PORTO R$ 108.039,06 R$ 10.803,91 123.077,42R$ -R$ 12.307,75R$
MG SENHORA DOS REMÉDIOS R$ 108.039,06 R$ 10.803,91 123.077,42R$ -R$ 12.307,75R$
MG SERICITA R$ 108.039,06 R$ 10.803,91 123.077,42R$ -R$ 12.307,75R$
MG SERITINGA R$ 108.039,06 R$ 10.803,91 123.077,42R$ -R$ 12.307,75R$
MG SERRA AZUL DE MINAS R$ 108.039,06 R$ 10.803,91 123.077,42R$ -R$ 12.307,75R$
MG SERRA DA SAUDADE R$ 108.039,06 R$ 10.803,91 123.077,42R$ -R$ 12.307,75R$
MG SERRA DO SALITRE R$ 108.039,06 R$ 10.803,91 123.077,42R$ -R$ 12.307,75R$
MG SERRA DOS AIMORÉS R$ 157.865,01 R$ 10.803,91 179.838,83R$ -R$ 12.307,75R$
MG SERRANIA R$ 108.039,06 R$ 10.803,91 123.077,42R$ -R$ 12.307,75R$
MG SERRANÓPOLIS DE MINAS R$ 108.039,06 R$ 10.803,91 123.077,42R$ -R$ 12.307,75R$
MG SERRANOS R$ 108.039,06 R$ 10.803,91 123.077,42R$ -R$ 12.307,75R$
MG SERRO R$ 108.039,06 R$ 10.803,91 123.077,42R$ -R$ 12.307,75R$
MG SETE LAGOAS R$ 1.331.755,87 R$ 59.620,43 1.517.127,96R$ -R$ 67.919,22R$
MG SETUBINHA R$ 108.039,06 R$ 10.803,91 123.077,42R$ -R$ 12.307,75R$
MG SILVEIRÂNIA R$ 108.039,06 R$ 10.803,91 123.077,42R$ -R$ 12.307,75R$
MG SILVIANÓPOLIS R$ 108.039,06 R$ 10.803,91 123.077,42R$ -R$ 12.307,75R$
MG SIMÃO PEREIRA R$ 108.039,06 R$ 10.803,91 123.077,42R$ -R$ 12.307,75R$
MG SIMONÉSIA R$ 108.039,06 R$ 10.803,91 123.077,42R$ -R$ 12.307,75R$
MG SOBRÁLIA R$ 203.299,05 R$ 10.803,91 231.597,01R$ -R$ 12.307,75R$
MG SOLEDADE DE MINAS R$ 108.039,06 R$ 10.803,91 123.077,42R$ -R$ 12.307,75R$
MG TABULEIRO R$ 108.039,06 R$ 10.803,91 123.077,42R$ -R$ 12.307,75R$
MG TAIOBEIRAS R$ 515.778,25 R$ 17.077,56 587.571,36R$ -R$ 19.454,65R$
MG TAPARUBA R$ 108.039,06 R$ 10.803,91 123.077,42R$ -R$ 12.307,75R$
MG TAPIRA R$ 108.039,06 R$ 10.803,91 123.077,42R$ -R$ 12.307,75R$
MG TAPIRAÍ R$ 108.039,06 R$ 10.803,91 123.077,42R$ -R$ 12.307,75R$
MG TAQUARAÇU DE MINAS R$ 108.039,06 R$ 10.803,91 123.077,42R$ -R$ 12.307,75R$
MG TARUMIRIM R$ 175.277,63 R$ 26.290,72 199.675,18R$ -R$ 29.950,22R$
MG TEIXEIRAS R$ 108.039,06 R$ 14.425,07 123.077,42R$ -R$ 16.432,95R$
MG TEÓFILO OTONI R$ 642.828,43 R$ 63.850,14 732.306,13R$ -R$ 72.737,68R$
MG TIMÓTEO R$ 1.063.010,26 R$ 61.333,99 1.210.974,64R$ -R$ 69.871,30R$
MG TIRADENTES R$ 141.760,16 R$ 10.803,91 161.492,29R$ -R$ 12.307,75R$
MG TIROS R$ 108.039,06 R$ 10.803,91 123.077,42R$ -R$ 12.307,75R$
MG TOCANTINS R$ 108.039,06 R$ 10.803,91 123.077,42R$ -R$ 12.307,75R$
MG TOCOS DO MOJI R$ 108.039,06 R$ 10.803,91 123.077,42R$ -R$ 12.307,75R$
MG TOLEDO R$ 108.039,06 R$ 10.803,91 123.077,42R$ -R$ 12.307,75R$
MG TOMBOS R$ 108.039,06 R$ 10.803,91 123.077,42R$ -R$ 12.307,75R$
MG TRÊS CORAÇÕES R$ 158.249,84 R$ 15.783,97 180.277,23R$ -R$ 17.981,00R$
MG TRÊS MARIAS R$ 292.107,68 R$ 48.803,83 332.767,24R$ -R$ 55.597,02R$
MG TRÊS PONTAS R$ 577.952,48 R$ 13.498,14 658.399,85R$ -R$ 15.377,00R$
MG TUMIRITINGA R$ 108.039,06 R$ 10.803,91 123.077,42R$ -R$ 12.307,75R$
MG TUPACIGUARA R$ 741.360,70 R$ 10.803,91 844.553,48R$ -R$ 12.307,75R$
MG TURMALINA R$ 149.109,03 R$ 44.687,28 169.864,07R$ -R$ 50.907,47R$
MG TURVOLÂNDIA R$ 108.039,06 R$ 10.803,91 123.077,42R$ -R$ 12.307,75R$
MG UBÁ R$ 386.992,33 R$ 37.879,35 440.859,24R$ -R$ 43.151,92R$
MG UBAÍ R$ 108.039,06 R$ 10.803,91 123.077,42R$ -R$ 12.307,75R$
MG UBAPORANGA R$ 108.039,06 R$ 22.096,63 123.077,42R$ -R$ 25.172,34R$
MG UBERABA SIM R$ 2.998.589,88 R$ 160.155,63 3.415.974,85R$ 1.366.389,94R$ 182.448,29R$
MG UBERLÂNDIA SIM R$ 4.127.177,63 R$ 482.292,55 4.701.654,96R$ 1.880.661,98R$ 549.424,66R$
MG UMBURATIBA R$ 108.039,06 R$ 10.803,91 123.077,42R$ -R$ 12.307,75R$
MG UNAÍ R$ 834.585,86 R$ 70.216,01 950.754,99R$ -R$ 79.989,64R$
MG UNIÃO DE MINAS R$ 108.039,06 R$ 10.803,91 123.077,42R$ -R$ 12.307,75R$
MG URUANA DE MINAS R$ 108.039,06 R$ 10.803,91 123.077,42R$ -R$ 12.307,75R$
MG URUCÂNIA R$ 108.039,06 R$ 10.803,91 123.077,42R$ -R$ 12.307,75R$
MG URUCUIA R$ 108.039,06 R$ 10.803,91 123.077,42R$ -R$ 12.307,75R$
MG VARGEM ALEGRE R$ 108.039,06 R$ 10.803,91 123.077,42R$ -R$ 12.307,75R$
MG VARGEM BONITA R$ 108.039,06 R$ 10.803,91 123.077,42R$ -R$ 12.307,75R$
MG VARGEM GRANDE DO RIO PARDO R$ 108.039,06 R$ 10.803,91 123.077,42R$ -R$ 12.307,75R$
33
Tribunal Superior Eleitoral
PREFEITO
1º TURNO 1º TURNO 2º TURNO
UF
POSSIBILIDADE
DE SEGUNDO
TURNO
VEREADORVEREADOR
LIMITE DE GASTOS OBSERVADO
O MÍNIMO LEGAL (R$ 100,000,00
PARA PREFEITO E R$ 10.000,00
PARA VEREADOR ) EM 2016***
LIMITE DE GASTOS 2020 (ATUALIZADO PELO IPCA DE
JUNHO/2016 ATÉ JUNHO/2020*)
PREFEITO
MUNICÍPIO**
MG VARGINHA R$ 551.900,25 R$ 49.635,12 628.721,31R$ -R$ 56.544,02R$
MG VARJÃO DE MINAS R$ 108.039,06 R$ 10.803,91 123.077,42R$ -R$ 12.307,75R$
MG VÁRZEA DA PALMA R$ 108.039,06 R$ 24.342,71 123.077,42R$ -R$ 27.731,06R$
MG VARZELÂNDIA R$ 290.037,46 R$ 10.803,91 330.408,86R$ -R$ 12.307,75R$
MG VAZANTE R$ 108.039,06 R$ 17.995,26 123.077,42R$ -R$ 20.500,09R$
MG VERDELÂNDIA R$ 155.790,51 R$ 10.803,91 177.475,58R$ -R$ 12.307,75R$
MG VEREDINHA R$ 108.039,06 R$ 10.803,91 123.077,42R$ -R$ 12.307,75R$
MG VERÍSSIMO R$ 108.039,06 R$ 10.803,91 123.077,42R$ -R$ 12.307,75R$
MG VERMELHO NOVO R$ 108.039,06 R$ 10.803,91 123.077,42R$ -R$ 12.307,75R$
MG VESPASIANO R$ 577.260,66 R$ 60.955,00 657.611,74R$ -R$ 69.439,55R$
MG VIÇOSA R$ 108.039,06 R$ 18.244,71 123.077,42R$ -R$ 20.784,26R$
MG VIEIRAS R$ 108.039,06 R$ 10.803,91 123.077,42R$ -R$ 12.307,75R$
MG VIRGEM DA LAPA R$ 108.039,06 R$ 10.803,91 123.077,42R$ -R$ 12.307,75R$
MG VIRGÍNIA R$ 108.039,06 R$ 10.803,91 123.077,42R$ -R$ 12.307,75R$
MG VIRGINÓPOLIS R$ 108.039,06 R$ 16.181,52 123.077,42R$ -R$ 18.433,89R$
MG VIRGOLÂNDIA R$ 108.039,06 R$ 10.803,91 123.077,42R$ -R$ 12.307,75R$
MG VISCONDE DO RIO BRANCO R$ 451.117,17 R$ 30.409,15 513.909,86R$ -R$ 34.641,91R$
MG VOLTA GRANDE R$ 108.039,06 R$ 10.803,91 123.077,42R$ -R$ 12.307,75R$
MG WENCESLAU BRAZ R$ 108.039,06 R$ 10.803,91 123.077,42R$ -R$ 12.307,75R$
MS ÁGUA CLARA R$ 197.480,44 R$ 10.803,91 224.968,48R$ -R$ 12.307,75R$
MS ALCINÓPOLIS R$ 139.391,65 R$ 29.547,68 158.794,10R$ -R$ 33.660,53R$
MS AMAMBAI R$ 210.084,26 R$ 56.222,64 239.326,68R$ -R$ 64.048,48R$
MS ANASTÁCIO R$ 266.440,18 R$ 29.416,34 303.526,99R$ -R$ 33.510,91R$
MS ANAURILÂNDIA R$ 170.739,53 R$ 10.803,91 194.505,41R$ -R$ 12.307,75R$
MS ANGÉLICA R$ 108.039,06 R$ 24.444,30 123.077,42R$ -R$ 27.846,79R$
MS ANTÔNIO JOÃO R$ 231.560,58 R$ 31.692,10 263.792,37R$ -R$ 36.103,44R$
MS APARECIDA DO TABOADO R$ 171.619,76 R$ 13.956,65 195.508,16R$ -R$ 15.899,33R$
MS AQUIDAUANA R$ 553.816,58 R$ 91.568,25 630.904,39R$ -R$ 104.313,98R$
MS ARAL MOREIRA R$ 185.226,96 R$ 10.803,91 211.009,39R$ -R$ 12.307,75R$
MS BANDEIRANTES R$ 156.831,12 R$ 20.639,92 178.661,03R$ -R$ 23.512,87R$
MS BATAGUASSU R$ 213.515,42 R$ 35.764,62 243.235,43R$ -R$ 40.742,83R$
MS BATAYPORÃ R$ 192.733,89 R$ 10.803,91 219.561,24R$ -R$ 12.307,75R$
MS BELA VISTA R$ 234.215,22 R$ 33.568,23 266.816,51R$ -R$ 38.240,72R$
MS BODOQUENA R$ 108.039,06 R$ 10.803,91 123.077,42R$ -R$ 12.307,75R$
MS BONITO R$ 663.647,29 R$ 42.451,05 756.022,84R$ -R$ 48.359,97R$
MS BRASILÂNDIA R$ 180.299,19 R$ 19.607,00 205.395,71R$ -R$ 22.336,17R$
MS CAARAPÓ R$ 108.039,06 R$ 10.803,91 123.077,42R$ -R$ 12.307,75R$
MS CAMAPUÃ R$ 284.705,11 R$ 15.049,60 324.334,28R$ -R$ 17.144,41R$
MS CAMPO GRANDE SIM R$ 6.679.971,85 R$ 643.105,41 7.609.782,17R$ 3.043.912,87R$ 732.621,66R$
MS CARACOL R$ 249.700,13 R$ 13.697,47 284.456,83R$ -R$ 15.604,07R$
MS CASSILÂNDIA R$ 152.899,21 R$ 14.385,93 174.181,82R$ -R$ 16.388,36R$
MS CHAPADÃO DO SUL R$ 146.348,17 R$ 142.134,69 166.718,92R$ -R$ 161.918,95R$
MS CORGUINHO R$ 108.039,06 R$ 10.803,91 123.077,42R$ -R$ 12.307,75R$
MS CORONEL SAPUCAIA R$ 142.851,10 R$ 23.652,85 162.735,08R$ -R$ 26.945,18R$
MS CORUMBÁ R$ 731.063,95 R$ 140.027,74 832.823,48R$ -R$ 159.518,73R$
MS COSTA RICA R$ 1.047.509,97 R$ 46.089,88 1.193.316,81R$ -R$ 52.505,30R$
MS COXIM R$ 108.039,06 R$ 26.695,29 123.077,42R$ -R$ 30.411,11R$
MS DEODÁPOLIS R$ 141.171,80 R$ 10.803,91 160.822,03R$ -R$ 12.307,75R$
MS DOIS IRMÃOS DO BURITI R$ 108.039,06 R$ 10.803,91 123.077,42R$ -R$ 12.307,75R$
MS DOURADINA R$ 108.039,06 R$ 10.803,91 123.077,42R$ -R$ 12.307,75R$
MS DOURADOS R$ 1.277.016,95 R$ 118.506,44 1.454.769,73R$ -R$ 135.001,80R$
MS ELDORADO R$ 148.508,97 R$ 10.803,91 169.180,49R$ -R$ 12.307,75R$
MS FÁTIMA DO SUL R$ 108.039,06 R$ 10.803,91 123.077,42R$ -R$ 12.307,75R$
MS FIGUEIRÃO R$ 268.739,83 R$ 17.220,19 306.146,73R$ -R$ 19.617,13R$
MS GLÓRIA DE DOURADOS R$ 108.039,06 R$ 10.803,91 123.077,42R$ -R$ 12.307,75R$
MS GUIA LOPES DA LAGUNA R$ 257.979,16 R$ 27.692,23 293.888,25R$ -R$ 31.546,82R$
MS IGUATEMI R$ 196.819,28 R$ 10.803,91 224.215,29R$ -R$ 12.307,75R$
MS INOCÊNCIA R$ 108.039,06 R$ 10.803,91 123.077,42R$ -R$ 12.307,75R$
MS ITAPORÃ R$ 209.625,26 R$ 10.803,91 238.803,79R$ -R$ 12.307,75R$
MS ITAQUIRAÍ R$ 225.187,04 R$ 32.751,08 256.531,67R$ -R$ 37.309,83R$
MS IVINHEMA R$ 218.090,05 R$ 25.205,97 248.446,82R$ -R$ 28.714,48R$
MS JAPORÃ R$ 251.981,02 R$ 10.803,91 287.055,20R$ -R$ 12.307,75R$
MS JARAGUARI R$ 108.039,06 R$ 10.803,91 123.077,42R$ -R$ 12.307,75R$
MS JARDIM R$ 205.162,72 R$ 38.230,77 233.720,09R$ -R$ 43.552,25R$
MS JATEÍ R$ 108.039,06 R$ 10.803,91 123.077,42R$ -R$ 12.307,75R$
MS JUTI R$ 108.039,06 R$ 10.803,91 123.077,42R$ -R$ 12.307,75R$
34
Tribunal Superior Eleitoral
PREFEITO
1º TURNO 1º TURNO 2º TURNO
UF
POSSIBILIDADE
DE SEGUNDO
TURNO
VEREADORVEREADOR
LIMITE DE GASTOS OBSERVADO
O MÍNIMO LEGAL (R$ 100,000,00
PARA PREFEITO E R$ 10.000,00
PARA VEREADOR ) EM 2016***
LIMITE DE GASTOS 2020 (ATUALIZADO PELO IPCA DE
JUNHO/2016 ATÉ JUNHO/2020*)
PREFEITO
MUNICÍPIO**
MS LADÁRIO R$ 309.721,04 R$ 17.346,42 352.832,27R$ -R$ 19.760,93R$
MS LAGUNA CARAPÃ R$ 173.846,78 R$ 10.803,91 198.045,17R$ -R$ 12.307,75R$
MS MARACAJU R$ 890.205,54 R$ 95.643,48 1.014.116,59R$ -R$ 108.956,45R$
MS MIRANDA R$ 384.477,15 R$ 19.541,18 437.993,97R$ -R$ 22.261,19R$
MS MUNDO NOVO R$ 440.364,76 R$ 60.656,56 501.660,78R$ -R$ 69.099,57R$
MS NAVIRAÍ R$ 356.510,41 R$ 93.632,87 406.134,43R$ -R$ 106.665,98R$
MS NIOAQUE R$ 108.039,06 R$ 18.998,68 123.077,42R$ -R$ 21.643,18R$
MS NOVA ALVORADA DO SUL R$ 274.812,46 R$ 20.570,87 313.064,64R$ -R$ 23.434,21R$
MS NOVA ANDRADINA R$ 462.846,45 R$ 46.158,29 527.271,78R$ -R$ 52.583,24R$
MS NOVO HORIZONTE DO SUL R$ 108.039,06 R$ 32.389,84 123.077,42R$ -R$ 36.898,30R$
MS PARAÍSO DAS ÁGUAS R$ 108.039,06 R$ 10.803,91 123.077,42R$ -R$ 12.307,75R$
MS PARANAÍBA R$ 1.274.717,83 R$ 82.696,55 1.452.150,58R$ -R$ 94.207,39R$
MS PARANHOS R$ 108.039,06 R$ 10.803,91 123.077,42R$ -R$ 12.307,75R$
MS PEDRO GOMES R$ 139.103,79 R$ 10.803,91 158.466,17R$ -R$ 12.307,75R$
MS PONTA PORÃ R$ 674.162,69 R$ 73.375,46 768.001,92R$ -R$ 83.588,87R$
MS PORTO MURTINHO R$ 359.790,84 R$ 19.606,72 409.871,48R$ -R$ 22.335,85R$
MS RIBAS DO RIO PARDO R$ 198.933,66 R$ 23.993,13 226.623,98R$ -R$ 27.332,82R$
MS RIO BRILHANTE R$ 234.840,59 R$ 46.729,98 267.528,93R$ -R$ 53.234,50R$
MS RIO NEGRO R$ 144.440,12 R$ 21.501,22 164.545,28R$ -R$ 24.494,06R$
MS RIO VERDE DE MATO GROSSO R$ 189.497,26 R$ 26.961,66 215.874,09R$ -R$ 30.714,55R$
MS ROCHEDO R$ 108.039,06 R$ 10.803,91 123.077,42R$ -R$ 12.307,75R$
MS SANTA RITA DO PARDO R$ 108.039,06 R$ 28.757,64 123.077,42R$ -R$ 32.760,52R$
MS SÃO GABRIEL DO OESTE R$ 403.364,35 R$ 29.801,83 459.510,15R$ -R$ 33.950,06R$
MS SELVÍRIA R$ 108.039,06 R$ 17.495,70 123.077,42R$ -R$ 19.930,99R$
MS SETE QUEDAS R$ 108.039,06 R$ 10.803,91 123.077,42R$ -R$ 12.307,75R$
MS SIDROLÂNDIA R$ 424.881,71 R$ 43.444,65 484.022,59R$ -R$ 49.491,87R$
MS SONORA R$ 357.040,84 R$ 22.523,20 406.738,69R$ -R$ 25.658,29R$
MS TACURU R$ 150.419,75 R$ 10.803,91 171.357,24R$ -R$ 12.307,75R$
MS TAQUARUSSU R$ 108.039,06 R$ 10.803,91 123.077,42R$ -R$ 12.307,75R$
MS TERENOS R$ 108.039,06 R$ 15.627,79 123.077,42R$ -R$ 17.803,08R$
MS TRÊS LAGOAS R$ 732.236,90 R$ 85.908,15 834.159,70R$ -R$ 97.866,03R$
MS VICENTINA R$ 108.039,06 R$ 10.803,91 123.077,42R$ -R$ 12.307,75R$
MT ACORIZAL R$ 108.039,06 R$ 10.803,91 123.077,42R$ -R$ 12.307,75R$
MT ÁGUA BOA R$ 965.862,18 R$ 45.710,78 1.100.304,16R$ -R$ 52.073,43R$
MT ALTA FLORESTA R$ 653.076,33 R$ 29.087,67 743.980,47R$ -R$ 33.136,49R$
MT ALTO ARAGUAIA R$ 108.039,06 R$ 10.803,91 123.077,42R$ -R$ 12.307,75R$
MT ALTO BOA VISTA R$ 108.039,06 R$ 10.803,91 123.077,42R$ -R$ 12.307,75R$
MT ALTO GARÇAS R$ 262.652,76 R$ 10.803,91 299.212,38R$ -R$ 12.307,75R$
MT ALTO PARAGUAI R$ 108.039,06 R$ 16.484,59 123.077,42R$ -R$ 18.779,14R$
MT ALTO TAQUARI R$ 272.105,62 R$ 10.803,91 309.981,02R$ -R$ 12.307,75R$
MT APIACÁS R$ 108.039,06 R$ 10.803,91 123.077,42R$ -R$ 12.307,75R$
MT ARAGUAIANA R$ 108.039,06 R$ 10.803,91 123.077,42R$ -R$ 12.307,75R$
MT ARAGUAINHA R$ 108.039,06 R$ 10.803,91 123.077,42R$ -R$ 12.307,75R$
MT ARAPUTANGA R$ 216.692,86 R$ 25.543,09 246.855,15R$ -R$ 29.098,53R$
MT ARENÁPOLIS R$ 108.039,06 R$ 10.803,91 123.077,42R$ -R$ 12.307,75R$
MT ARIPUANÃ R$ 192.966,01 R$ 20.147,34 219.825,67R$ -R$ 22.951,72R$
MT BARÃO DE MELGAÇO R$ 108.039,06 R$ 10.803,91 123.077,42R$ -R$ 12.307,75R$
MT BARRA DO BUGRES R$ 243.820,92 R$ 32.553,99 277.759,27R$ -R$ 37.085,30R$
MT BARRA DO GARÇAS R$ 1.312.960,93 R$ 83.794,59 1.495.716,88R$ -R$ 95.458,27R$
MT BOM JESUS DO ARAGUAIA R$ 108.039,06 R$ 16.305,47 123.077,42R$ -R$ 18.575,09R$
MT BRASNORTE R$ 108.039,06 R$ 13.482,72 123.077,42R$ -R$ 15.359,43R$
MT CÁCERES R$ 625.898,09 R$ 74.543,06 713.019,19R$ -R$ 84.918,99R$
MT CAMPINÁPOLIS R$ 408.297,82 R$ 23.209,78 465.130,32R$ -R$ 26.440,44R$
MT CAMPO NOVO DO PARECIS R$ 149.760,39 R$ 19.097,84 170.606,10R$ -R$ 21.756,14R$
MT CAMPO VERDE R$ 281.333,28 R$ 40.994,52 320.493,11R$ -R$ 46.700,70R$
MT CAMPOS DE JÚLIO R$ 165.262,01 R$ 10.803,91 188.265,45R$ -R$ 12.307,75R$
MT CANABRAVA DO NORTE R$ 108.039,06 R$ 10.803,91 123.077,42R$ -R$ 12.307,75R$
MT CANARANA R$ 154.659,57 R$ 36.377,95 176.187,22R$ -R$ 41.441,53R$
MT CARLINDA R$ 108.039,06 R$ 10.803,91 123.077,42R$ -R$ 12.307,75R$
MT CASTANHEIRA R$ 108.039,06 R$ 10.803,91 123.077,42R$ -R$ 12.307,75R$
MT CHAPADA DOS GUIMARÃES R$ 108.039,06 R$ 29.351,09 123.077,42R$ -R$ 33.436,58R$
MT CLÁUDIA R$ 108.039,06 R$ 10.803,91 123.077,42R$ -R$ 12.307,75R$
MT COCALINHO R$ 108.039,06 R$ 10.803,91 123.077,42R$ -R$ 12.307,75R$
MT COLÍDER R$ 587.525,27 R$ 39.343,01 669.305,11R$ -R$ 44.819,31R$
MT COLNIZA R$ 420.254,41 R$ 28.443,50 478.751,20R$ -R$ 32.402,66R$
MT COMODORO R$ 108.039,06 R$ 18.667,58 123.077,42R$ -R$ 21.265,99R$
35
Tribunal Superior Eleitoral
PREFEITO
1º TURNO 1º TURNO 2º TURNO
UF
POSSIBILIDADE
DE SEGUNDO
TURNO
VEREADORVEREADOR
LIMITE DE GASTOS OBSERVADO
O MÍNIMO LEGAL (R$ 100,000,00
PARA PREFEITO E R$ 10.000,00
PARA VEREADOR ) EM 2016***
LIMITE DE GASTOS 2020 (ATUALIZADO PELO IPCA DE
JUNHO/2016 ATÉ JUNHO/2020*)
PREFEITO
MUNICÍPIO**
MT CONFRESA R$ 135.805,32 R$ 19.229,34 154.708,57R$ -R$ 21.905,94R$
MT CONQUISTA D'OESTE R$ 149.331,51 R$ 29.915,38 170.117,52R$ -R$ 34.079,41R$
MT COTRIGUAÇU R$ 108.039,06 R$ 10.803,91 123.077,42R$ -R$ 12.307,75R$
MT CUIABÁ SIM R$ 9.004.367,05 R$ 492.024,46 10.257.718,66R$ 4.103.087,46R$ 560.511,19R$
MT CURVELÂNDIA R$ 108.039,06 R$ 10.803,91 123.077,42R$ -R$ 12.307,75R$
MT DENISE R$ 146.980,43 R$ 10.803,91 167.439,19R$ -R$ 12.307,75R$
MT DIAMANTINO R$ 280.281,26 R$ 26.647,18 319.294,66R$ -R$ 30.356,30R$
MT DOM AQUINO R$ 108.039,06 R$ 10.803,91 123.077,42R$ -R$ 12.307,75R$
MT FELIZ NATAL R$ 147.321,56 R$ 10.803,91 167.827,80R$ -R$ 12.307,75R$
MT FIGUEIRÓPOLIS D'OESTE R$ 108.039,06 R$ 10.803,91 123.077,42R$ -R$ 12.307,75R$
MT GAÚCHA DO NORTE R$ 108.039,06 R$ 10.803,91 123.077,42R$ -R$ 12.307,75R$
MT GENERAL CARNEIRO R$ 219.215,54 R$ 20.882,23 249.728,97R$ -R$ 23.788,91R$
MT GLÓRIA D'OESTE R$ 108.039,06 R$ 10.803,91 123.077,42R$ -R$ 12.307,75R$
MT GUARANTÃ DO NORTE R$ 108.039,06 R$ 10.803,91 123.077,42R$ -R$ 12.307,75R$
MT GUIRATINGA R$ 353.529,53 R$ 15.755,59 402.738,63R$ -R$ 17.948,67R$
MT INDIAVAÍ R$ 108.039,06 R$ 10.803,91 123.077,42R$ -R$ 12.307,75R$
MT IPIRANGA DO NORTE R$ 108.039,06 R$ 10.803,91 123.077,42R$ -R$ 12.307,75R$
MT ITANHANGÁ R$ 108.039,06 R$ 10.803,91 123.077,42R$ -R$ 12.307,75R$
MT ITAÚBA R$ 108.039,06 R$ 10.803,91 123.077,42R$ -R$ 12.307,75R$
MT ITIQUIRA R$ 108.039,06 R$ 10.803,91 123.077,42R$ -R$ 12.307,75R$
MT JACIARA R$ 438.837,31 R$ 24.285,14 499.920,72R$ -R$ 27.665,48R$
MT JANGADA R$ 108.039,06 R$ 10.803,91 123.077,42R$ -R$ 12.307,75R$
MT JAURU R$ 171.696,07 R$ 18.850,34 195.595,09R$ -R$ 21.474,19R$
MT JUARA R$ 290.104,34 R$ 21.100,96 330.485,05R$ -R$ 24.038,08R$
MT JUÍNA R$ 313.533,42 R$ 23.567,95 357.175,31R$ -R$ 26.848,46R$
MT JURUENA R$ 108.039,06 R$ 24.370,67 123.077,42R$ -R$ 27.762,91R$
MT JUSCIMEIRA R$ 108.039,06 R$ 10.803,91 123.077,42R$ -R$ 12.307,75R$
MT LAMBARI D'OESTE R$ 108.039,06 R$ 10.803,91 123.077,42R$ -R$ 12.307,75R$
MT LUCAS DO RIO VERDE R$ 2.358.516,65 R$ 88.888,52 2.686.807,42R$ -R$ 101.261,25R$
MT LUCIARA R$ 108.039,06 R$ 10.803,91 123.077,42R$ -R$ 12.307,75R$
MT MARCELÂNDIA R$ 108.039,06 R$ 10.803,91 123.077,42R$ -R$ 12.307,75R$
MT MATUPÁ R$ 108.039,06 R$ 10.803,91 123.077,42R$ -R$ 12.307,75R$
MT MIRASSOL D'OESTE R$ 390.694,05 R$ 45.347,13 445.076,22R$ -R$ 51.659,17R$
MT NOBRES R$ 430.714,66 R$ 20.845,00 490.667,45R$ -R$ 23.746,49R$
MT NORTELÂNDIA R$ 108.039,06 R$ 10.803,91 123.077,42R$ -R$ 12.307,75R$
MT NOSSA SENHORA DO LIVRAMENTO R$ 108.039,06 R$ 18.702,51 123.077,42R$ -R$ 21.305,78R$
MT NOVA BANDEIRANTES R$ 108.039,06 R$ 10.803,91 123.077,42R$ -R$ 12.307,75R$
MT NOVA BRASILÂNDIA R$ 108.039,06 R$ 10.803,91 123.077,42R$ -R$ 12.307,75R$
MT NOVA CANAÃ DO NORTE R$ 108.039,06 R$ 20.041,62 123.077,42R$ -R$ 22.831,29R$
MT NOVA GUARITA R$ 108.039,06 R$ 10.803,91 123.077,42R$ -R$ 12.307,75R$
MT NOVA LACERDA R$ 275.918,41 R$ 10.803,91 314.324,53R$ -R$ 12.307,75R$
MT NOVA MARILÂNDIA R$ 108.039,06 R$ 10.803,91 123.077,42R$ -R$ 12.307,75R$
MT NOVA MARINGÁ R$ 157.793,73 R$ 10.803,91 179.757,63R$ -R$ 12.307,75R$
MT NOVA MONTE VERDE R$ 108.039,06 R$ 10.803,91 123.077,42R$ -R$ 12.307,75R$
MT NOVA MUTUM R$ 721.274,70 R$ 38.394,91 821.671,63R$ -R$ 43.739,24R$
MT NOVA NAZARÉ R$ 108.039,06 R$ 14.072,55 123.077,42R$ -R$ 16.031,36R$
MT NOVA OLÍMPIA R$ 246.627,10 R$ 18.897,29 280.956,05R$ -R$ 21.527,67R$
MT NOVA SANTA HELENA R$ 108.039,06 R$ 27.850,98 123.077,42R$ -R$ 31.727,66R$
MT NOVA UBIRATÃ R$ 150.458,65 R$ 13.623,29 171.401,55R$ -R$ 15.519,57R$
MT NOVA XAVANTINA R$ 267.889,30 R$ 38.175,28 305.177,82R$ -R$ 43.489,04R$
MT NOVO HORIZONTE DO NORTE R$ 108.039,06 R$ 10.803,91 123.077,42R$ -R$ 12.307,75R$
MT NOVO MUNDO R$ 108.039,06 R$ 10.803,91 123.077,42R$ -R$ 12.307,75R$
MT NOVO SANTO ANTÔNIO R$ 108.039,06 R$ 10.803,91 123.077,42R$ -R$ 12.307,75R$
MT NOVO SÃO JOAQUIM R$ 143.723,08 R$ 10.803,91 163.728,43R$ -R$ 12.307,75R$
MT PARANAÍTA R$ 280.305,95 R$ 18.830,41 319.322,79R$ -R$ 21.451,49R$
MT PARANATINGA R$ 297.519,94 R$ 22.403,27 338.932,86R$ -R$ 25.521,67R$
MT PEDRA PRETA R$ 108.039,06 R$ 29.292,61 123.077,42R$ -R$ 33.369,96R$
MT PEIXOTO DE AZEVEDO R$ 168.127,47 R$ 13.865,77 191.529,76R$ -R$ 15.795,80R$
MT PLANALTO DA SERRA R$ 108.039,06 R$ 10.803,91 123.077,42R$ -R$ 12.307,75R$
MT POCONÉ R$ 218.803,76 R$ 13.631,79 249.259,88R$ -R$ 15.529,25R$
MT PONTAL DO ARAGUAIA R$ 108.039,06 R$ 10.803,91 123.077,42R$ -R$ 12.307,75R$
MT PONTE BRANCA R$ 108.039,06 R$ 10.803,91 123.077,42R$ -R$ 12.307,75R$
MT PONTES E LACERDA R$ 517.344,11 R$ 72.066,98 589.355,18R$ -R$ 82.098,25R$
MT PORTO ALEGRE DO NORTE R$ 108.039,06 R$ 10.803,91 123.077,42R$ -R$ 12.307,75R$
MT PORTO DOS GAÚCHOS R$ 205.324,47 R$ 10.803,91 233.904,35R$ -R$ 12.307,75R$
MT PORTO ESPERIDIÃO R$ 108.039,06 R$ 10.803,91 123.077,42R$ -R$ 12.307,75R$
36
Tribunal Superior Eleitoral
PREFEITO
1º TURNO 1º TURNO 2º TURNO
UF
POSSIBILIDADE
DE SEGUNDO
TURNO
VEREADORVEREADOR
LIMITE DE GASTOS OBSERVADO
O MÍNIMO LEGAL (R$ 100,000,00
PARA PREFEITO E R$ 10.000,00
PARA VEREADOR ) EM 2016***
LIMITE DE GASTOS 2020 (ATUALIZADO PELO IPCA DE
JUNHO/2016 ATÉ JUNHO/2020*)
PREFEITO
MUNICÍPIO**
MT PORTO ESTRELA R$ 108.039,06 R$ 10.803,91 123.077,42R$ -R$ 12.307,75R$
MT POXORÉU R$ 293.152,60 R$ 44.864,52 333.957,61R$ -R$ 51.109,38R$
MT PRIMAVERA DO LESTE R$ 1.929.318,82 R$ 89.521,90 2.197.867,94R$ -R$ 101.982,79R$
MT QUERÊNCIA R$ 733.683,42 R$ 46.928,00 835.807,57R$ -R$ 53.460,08R$
MT RESERVA DO CABAÇAL R$ 108.039,06 R$ 10.803,91 123.077,42R$ -R$ 12.307,75R$
MT RIBEIRÃO CASCALHEIRA R$ 192.469,70 R$ 15.107,26 219.260,28R$ -R$ 17.210,10R$
MT RIBEIRÃOZINHO R$ 108.039,06 R$ 10.803,91 123.077,42R$ -R$ 12.307,75R$
MT RIO BRANCO R$ 108.039,06 R$ 10.803,91 123.077,42R$ -R$ 12.307,75R$
MT RONDOLÂNDIA R$ 108.039,06 R$ 10.803,91 123.077,42R$ -R$ 12.307,75R$
MT RONDONÓPOLIS R$ 2.567.112,04 R$ 93.377,07 2.924.437,99R$ -R$ 106.374,57R$
MT ROSÁRIO OESTE R$ 297.568,99 R$ 40.717,38 338.988,73R$ -R$ 46.384,98R$
MT SALTO DO CÉU R$ 108.039,06 R$ 10.803,91 123.077,42R$ -R$ 12.307,75R$
MT SANTA CARMEM R$ 159.648,08 R$ 10.803,91 181.870,09R$ -R$ 12.307,75R$
MT SANTA CRUZ DO XINGU R$ 108.039,06 R$ 10.803,91 123.077,42R$ -R$ 12.307,75R$
MT SANTA RITA DO TRIVELATO R$ 108.039,06 R$ 10.803,91 123.077,42R$ -R$ 12.307,75R$
MT SANTA TEREZINHA R$ 108.039,06 R$ 10.803,91 123.077,42R$ -R$ 12.307,75R$
MT SANTO AFONSO R$ 136.692,05 R$ 10.803,91 155.718,73R$ -R$ 12.307,75R$
MT SANTO ANTÔNIO DO LESTE R$ 216.963,43 R$ 18.880,05 247.163,38R$ -R$ 21.508,03R$
MT SANTO ANTÔNIO DO LEVERGER R$ 685.571,38 R$ 28.342,20 780.998,63R$ -R$ 32.287,26R$
MT SÃO FÉLIX DO ARAGUAIA R$ 144.415,12 R$ 16.224,88 164.516,80R$ -R$ 18.483,28R$
MT SÃO JOSÉ DO POVO R$ 108.039,06 R$ 17.328,96 123.077,42R$ -R$ 19.741,04R$
MT SÃO JOSÉ DO RIO CLARO R$ 195.239,05 R$ 30.549,89 222.415,11R$ -R$ 34.802,24R$
MT SÃO JOSÉ DO XINGU R$ 169.693,17 R$ 10.803,91 193.313,40R$ -R$ 12.307,75R$
MT SÃO JOSÉ DOS QUATRO MARCOS R$ 134.920,93 R$ 10.803,91 153.701,08R$ -R$ 12.307,75R$
MT SÃO PEDRO DA CIPA R$ 108.039,06 R$ 10.803,91 123.077,42R$ -R$ 12.307,75R$
MT SAPEZAL R$ 108.039,06 R$ 41.174,77 123.077,42R$ -R$ 46.906,04R$
MT SERRA NOVA DOURADA R$ 108.039,06 R$ 10.803,91 123.077,42R$ -R$ 12.307,75R$
MT SINOP R$ 1.073.025,71 R$ 102.738,43 1.222.384,18R$ -R$ 117.038,98R$
MT SORRISO R$ 730.234,11 R$ 42.373,55 831.878,13R$ -R$ 48.271,68R$
MT TABAPORÃ R$ 192.187,03 R$ 19.486,79 218.938,26R$ -R$ 22.199,23R$
MT TANGARÁ DA SERRA R$ 279.015,72 R$ 45.497,25 317.852,96R$ -R$ 51.830,18R$
MT TAPURAH R$ 321.241,84 R$ 10.803,91 365.956,70R$ -R$ 12.307,75R$
MT TERRA NOVA DO NORTE R$ 108.039,06 R$ 16.268,55 123.077,42R$ -R$ 18.533,03R$
MT TESOURO R$ 108.039,06 R$ 10.803,91 123.077,42R$ -R$ 12.307,75R$
MT TORIXORÉU R$ 164.880,48 R$ 14.267,92 187.830,81R$ -R$ 16.253,93R$
MT UNIÃO DO SUL R$ 108.039,06 R$ 10.803,91 123.077,42R$ -R$ 12.307,75R$
MT VALE DE SÃO DOMINGOS R$ 151.761,55 R$ 22.679,75 172.885,81R$ -R$ 25.836,63R$
MT VÁRZEA GRANDE R$ 2.492.363,87 R$ 82.482,77 2.839.285,34R$ -R$ 93.963,86R$
MT VERA R$ 108.039,06 R$ 27.197,99 123.077,42R$ -R$ 30.983,78R$
MT VILA BELA DA SANTÍSSIMA TRINDADE R$ 327.313,47 R$ 10.803,91 372.873,46R$ -R$ 12.307,75R$
MT VILA RICA R$ 108.039,06 R$ 10.803,91 123.077,42R$ -R$ 12.307,75R$
PA ABAETETUBA R$ 230.710,36 R$ 32.716,11 262.823,80R$ -R$ 37.269,99R$
PA ABEL FIGUEIREDO R$ 184.363,11 R$ 21.693,85 210.025,30R$ -R$ 24.713,50R$
PA ACARÁ R$ 310.232,00 R$ 19.597,88 353.414,36R$ -R$ 22.325,78R$
PA AFUÁ R$ 108.039,06 R$ 14.644,98 123.077,42R$ -R$ 16.683,47R$
PA ÁGUA AZUL DO NORTE R$ 142.935,25 R$ 10.803,91 162.830,94R$ -R$ 12.307,75R$
PA ALENQUER R$ 108.039,06 R$ 16.404,48 123.077,42R$ -R$ 18.687,88R$
PA ALMEIRIM R$ 108.039,06 R$ 13.417,59 123.077,42R$ -R$ 15.285,23R$
PA ALTAMIRA R$ 1.079.661,85 R$ 93.065,12 1.229.944,03R$ -R$ 106.019,20R$
PA ANAJÁS R$ 108.039,06 R$ 10.803,91 123.077,42R$ -R$ 12.307,75R$
PA ANANINDEUA SIM R$ 1.169.367,02 R$ 101.287,46 1.332.135,60R$ 532.854,24R$ 115.386,04R$
PA ANAPU R$ 288.888,80 R$ 14.241,34 329.100,32R$ -R$ 16.223,65R$
PA AUGUSTO CORRÊA R$ 216.078,64 R$ 14.324,29 246.155,44R$ -R$ 16.318,14R$
PA AURORA DO PARÁ R$ 108.039,06 R$ 10.803,91 123.077,42R$ -R$ 12.307,75R$
PA AVEIRO R$ 108.039,06 R$ 10.803,91 123.077,42R$ -R$ 12.307,75R$
PA BAGRE R$ 108.039,06 R$ 10.803,91 123.077,42R$ -R$ 12.307,75R$
PA BAIÃO R$ 108.039,06 R$ 22.543,61 123.077,42R$ -R$ 25.681,54R$
PA BANNACH R$ 108.039,06 R$ 17.452,03 123.077,42R$ -R$ 19.881,24R$
PA BARCARENA R$ 1.431.782,75 R$ 46.379,03 1.631.077,96R$ -R$ 52.834,70R$
PA BELÉM SIM R$ 1.414.386,25 R$ 384.520,22 1.611.259,97R$ 644.503,99R$ 438.043,03R$
PA BELTERRA R$ 108.039,06 R$ 16.163,37 123.077,42R$ -R$ 18.413,21R$
PA BENEVIDES R$ 392.198,78 R$ 34.795,36 446.790,40R$ -R$ 39.638,66R$
PA BOM JESUS DO TOCANTINS R$ 256.245,06 R$ 10.803,91 291.912,77R$ -R$ 12.307,75R$
PA BONITO R$ 108.039,06 R$ 10.803,91 123.077,42R$ -R$ 12.307,75R$
PA BRAGANÇA R$ 272.612,64 R$ 48.891,42 310.558,62R$ -R$ 55.696,80R$
PA BRASIL NOVO R$ 570.657,00 R$ 18.023,39 650.088,89R$ -R$ 20.532,13R$
37
Tribunal Superior Eleitoral
PREFEITO
1º TURNO 1º TURNO 2º TURNO
UF
POSSIBILIDADE
DE SEGUNDO
TURNO
VEREADORVEREADOR
LIMITE DE GASTOS OBSERVADO
O MÍNIMO LEGAL (R$ 100,000,00
PARA PREFEITO E R$ 10.000,00
PARA VEREADOR ) EM 2016***
LIMITE DE GASTOS 2020 (ATUALIZADO PELO IPCA DE
JUNHO/2016 ATÉ JUNHO/2020*)
PREFEITO
MUNICÍPIO**
PA BREJO GRANDE DO ARAGUAIA R$ 141.713,80 R$ 10.803,91 161.439,48R$ -R$ 12.307,75R$
PA BREU BRANCO R$ 108.039,06 R$ 28.327,51 123.077,42R$ -R$ 32.270,52R$
PA BREVES R$ 222.677,79 R$ 57.559,49 253.673,15R$ -R$ 65.571,41R$
PA BUJARU R$ 108.039,06 R$ 13.810,85 123.077,42R$ -R$ 15.733,23R$
PA CACHOEIRA DO ARARI R$ 108.039,06 R$ 10.803,91 123.077,42R$ -R$ 12.307,75R$
PA CACHOEIRA DO PIRIÁ R$ 170.058,82 R$ 25.399,05 193.729,94R$ -R$ 28.934,44R$
PA CAMETÁ R$ 108.039,06 R$ 28.739,97 123.077,42R$ -R$ 32.740,39R$
PA CANAÃ DOS CARAJÁS R$ 830.461,31 R$ 76.778,95 946.056,33R$ -R$ 87.466,10R$
PA CAPANEMA R$ 262.690,22 R$ 43.843,59 299.255,06R$ -R$ 49.946,34R$
PA CAPITÃO POÇO R$ 108.039,06 R$ 29.105,78 123.077,42R$ -R$ 33.157,12R$
PA CASTANHAL R$ 1.074.869,57 R$ 47.137,53 1.224.484,69R$ -R$ 53.698,78R$
PA CHAVES R$ 108.039,06 R$ 30.398,55 123.077,42R$ -R$ 34.629,84R$
PA COLARES R$ 108.039,06 R$ 10.803,91 123.077,42R$ -R$ 12.307,75R$
PA CONCEIÇÃO DO ARAGUAIA R$ 238.338,49 R$ 53.925,98 271.513,72R$ -R$ 61.432,14R$
PA CONCÓRDIA DO PARÁ R$ 177.829,41 R$ 27.989,67 202.582,15R$ -R$ 31.885,66R$
PA CUMARU DO NORTE R$ 297.128,28 R$ 10.803,91 338.486,68R$ -R$ 12.307,75R$
PA CURIONÓPOLIS R$ 437.142,81 R$ 22.690,05 497.990,36R$ -R$ 25.848,36R$
PA CURRALINHO R$ 108.039,06 R$ 13.666,65 123.077,42R$ -R$ 15.568,96R$
PA CURUÁ R$ 108.039,06 R$ 10.803,91 123.077,42R$ -R$ 12.307,75R$
PA CURUÇÁ R$ 225.720,36 R$ 17.151,67 257.139,22R$ -R$ 19.539,08R$
PA DOM ELISEU R$ 336.087,64 R$ 22.378,50 382.868,94R$ -R$ 25.493,45R$
PA ELDORADO DOS CARAJÁS R$ 349.694,24 R$ 24.320,76 398.369,49R$ -R$ 27.706,06R$
PA FARO R$ 108.039,06 R$ 10.803,91 123.077,42R$ -R$ 12.307,75R$
PA FLORESTA DO ARAGUAIA R$ 197.587,81 R$ 19.228,90 225.090,80R$ -R$ 21.905,44R$
PA GARRAFÃO DO NORTE R$ 108.039,06 R$ 22.619,64 123.077,42R$ -R$ 25.768,15R$
PA GOIANÉSIA DO PARÁ R$ 238.597,64 R$ 20.134,81 271.808,94R$ -R$ 22.937,45R$
PA GURUPÁ R$ 172.546,12 R$ 17.798,67 196.563,46R$ -R$ 20.276,13R$
PA IGARAPÉ-AÇU R$ 108.039,06 R$ 22.465,33 123.077,42R$ -R$ 25.592,36R$
PA IGARAPÉ-MIRI R$ 108.039,06 R$ 14.594,14 123.077,42R$ -R$ 16.625,55R$
PA INHANGAPI R$ 108.039,06 R$ 10.803,91 123.077,42R$ -R$ 12.307,75R$
PA IPIXUNA DO PARÁ R$ 163.485,40 R$ 10.803,91 186.241,55R$ -R$ 12.307,75R$
PA IRITUIA R$ 108.039,06 R$ 10.803,91 123.077,42R$ -R$ 12.307,75R$
PA ITAITUBA R$ 389.242,98 R$ 25.406,05 443.423,17R$ -R$ 28.942,41R$
PA ITUPIRANGA R$ 392.090,26 R$ 22.552,88 446.666,77R$ -R$ 25.692,10R$
PA JACAREACANGA R$ 237.098,60 R$ 10.803,91 270.101,24R$ -R$ 12.307,75R$
PA JACUNDÁ R$ 631.571,36 R$ 13.858,04 719.482,15R$ -R$ 15.786,99R$
PA JURUTI R$ 108.039,06 R$ 43.806,60 123.077,42R$ -R$ 49.904,20R$
PA LIMOEIRO DO AJURU R$ 108.039,06 R$ 10.803,91 123.077,42R$ -R$ 12.307,75R$
PA MÃE DO RIO R$ 213.878,06 R$ 10.803,91 243.648,55R$ -R$ 12.307,75R$
PA MAGALHÃES BARATA R$ 108.039,06 R$ 10.803,91 123.077,42R$ -R$ 12.307,75R$
PA MARABÁ R$ 957.770,76 R$ 209.499,14 1.091.086,46R$ -R$ 238.660,11R$
PA MARACANÃ R$ 108.039,06 R$ 15.701,30 123.077,42R$ -R$ 17.886,82R$
PA MARAPANIM R$ 108.039,06 R$ 10.803,91 123.077,42R$ -R$ 12.307,75R$
PA MARITUBA R$ 384.965,16 R$ 25.543,98 438.549,90R$ -R$ 29.099,54R$
PA MEDICILÂNDIA R$ 469.066,66 R$ 20.291,29 534.357,81R$ -R$ 23.115,71R$
PA MELGAÇO R$ 108.039,06 R$ 10.803,91 123.077,42R$ -R$ 12.307,75R$
PA MOCAJUBA R$ 108.039,06 R$ 15.543,06 123.077,42R$ -R$ 17.706,56R$
PA MOJU R$ 169.894,83 R$ 10.803,91 193.543,13R$ -R$ 12.307,75R$
PA MOJUÍ DOS CAMPOS R$ 108.039,06 R$ 39.868,55 123.077,42R$ -R$ 45.418,00R$
PA MONTE ALEGRE R$ 158.652,05 R$ 19.703,07 180.735,42R$ -R$ 22.445,61R$
PA MUANÁ R$ 108.039,06 R$ 10.803,91 123.077,42R$ -R$ 12.307,75R$
PA NOVA ESPERANÇA DO PIRIÁ R$ 108.039,06 R$ 10.803,91 123.077,42R$ -R$ 12.307,75R$
PA NOVA IPIXUNA R$ 141.590,92 R$ 16.660,10 161.299,49R$ -R$ 18.979,08R$
PA NOVA TIMBOTEUA R$ 166.637,27 R$ 10.803,91 189.832,14R$ -R$ 12.307,75R$
PA NOVO PROGRESSO R$ 230.491,34 R$ 68.405,76 262.574,29R$ -R$ 77.927,41R$
PA NOVO REPARTIMENTO R$ 147.483,03 R$ 43.578,68 168.011,75R$ -R$ 49.644,56R$
PA ÓBIDOS R$ 108.039,06 R$ 10.803,91 123.077,42R$ -R$ 12.307,75R$
PA OEIRAS DO PARÁ R$ 108.039,06 R$ 37.379,54 123.077,42R$ -R$ 42.582,54R$
PA ORIXIMINÁ R$ 108.039,06 R$ 40.149,30 123.077,42R$ -R$ 45.737,83R$
PA OURÉM R$ 108.039,06 R$ 16.972,96 123.077,42R$ -R$ 19.335,49R$
PA OURILÂNDIA DO NORTE R$ 673.856,43 R$ 79.997,31 767.653,03R$ -R$ 91.132,44R$
PA PACAJÁ R$ 316.732,83 R$ 14.517,78 360.820,06R$ -R$ 16.538,56R$
PA PALESTINA DO PARÁ R$ 108.039,06 R$ 15.145,77 123.077,42R$ -R$ 17.253,97R$
PA PARAGOMINAS R$ 267.790,00 R$ 29.842,01 305.064,69R$ -R$ 33.995,83R$
PA PARAUAPEBAS R$ 3.258.717,94 R$ 186.030,82 3.712.311,11R$ -R$ 211.925,15R$
PA PAU D'ARCO R$ 295.418,98 R$ 10.803,91 336.539,46R$ -R$ 12.307,75R$
38
Tribunal Superior Eleitoral
PREFEITO
1º TURNO 1º TURNO 2º TURNO
UF
POSSIBILIDADE
DE SEGUNDO
TURNO
VEREADORVEREADOR
LIMITE DE GASTOS OBSERVADO
O MÍNIMO LEGAL (R$ 100,000,00
PARA PREFEITO E R$ 10.000,00
PARA VEREADOR ) EM 2016***
LIMITE DE GASTOS 2020 (ATUALIZADO PELO IPCA DE
JUNHO/2016 ATÉ JUNHO/2020*)
PREFEITO
MUNICÍPIO**
PA PEIXE-BOI R$ 108.039,06 R$ 10.803,91 123.077,42R$ -R$ 12.307,75R$
PA PIÇARRA R$ 147.892,18 R$ 24.275,72 168.477,85R$ -R$ 27.654,75R$
PA PLACAS R$ 108.039,06 R$ 27.490,61 123.077,42R$ -R$ 31.317,13R$
PA PONTA DE PEDRAS R$ 193.929,96 R$ 13.748,11 220.923,80R$ -R$ 15.661,76R$
PA PORTEL R$ 108.039,06 R$ 10.803,91 123.077,42R$ -R$ 12.307,75R$
PA PORTO DE MOZ R$ 342.681,05 R$ 10.803,91 390.380,11R$ -R$ 12.307,75R$
PA PRAINHA R$ 135.926,18 R$ 10.803,91 154.846,25R$ -R$ 12.307,75R$
PA PRIMAVERA R$ 108.039,06 R$ 10.803,91 123.077,42R$ -R$ 12.307,75R$
PA QUATIPURU R$ 108.039,06 R$ 10.803,91 123.077,42R$ -R$ 12.307,75R$
PA REDENÇÃO R$ 379.365,15 R$ 41.171,28 432.170,41R$ -R$ 46.902,06R$
PA RIO MARIA R$ 108.039,06 R$ 10.803,91 123.077,42R$ -R$ 12.307,75R$
PA RONDON DO PARÁ R$ 467.887,43 R$ 15.235,94 533.014,44R$ -R$ 17.356,69R$
PA RURÓPOLIS R$ 108.039,06 R$ 20.409,77 123.077,42R$ -R$ 23.250,68R$
PA SALINÓPOLIS R$ 306.142,02 R$ 30.486,11 348.755,08R$ -R$ 34.729,59R$
PA SALVATERRA R$ 108.039,06 R$ 10.803,91 123.077,42R$ -R$ 12.307,75R$
PA SANTA BÁRBARA DO PARÁ R$ 108.039,06 R$ 10.803,91 123.077,42R$ -R$ 12.307,75R$
PA SANTA CRUZ DO ARARI R$ 108.039,06 R$ 10.803,91 123.077,42R$ -R$ 12.307,75R$
PA SANTA ISABEL DO PARÁ R$ 108.039,06 R$ 29.184,90 123.077,42R$ -R$ 33.247,26R$
PA SANTA LUZIA DO PARÁ R$ 156.699,32 R$ 20.703,97 178.510,89R$ -R$ 23.585,83R$
PA SANTA MARIA DAS BARREIRAS R$ 108.039,06 R$ 10.803,91 123.077,42R$ -R$ 12.307,75R$
PA SANTA MARIA DO PARÁ R$ 198.141,19 R$ 26.348,29 225.721,21R$ -R$ 30.015,81R$
PA SANTANA DO ARAGUAIA R$ 319.221,38 R$ 14.880,60 363.655,00R$ -R$ 16.951,89R$
PA SANTARÉM SIM R$ 1.013.155,31 R$ 73.206,72 1.154.180,20R$ 461.672,08R$ 83.396,64R$
PA SANTARÉM NOVO R$ 108.039,06 R$ 17.392,30 123.077,42R$ -R$ 19.813,20R$
PA SANTO ANTÔNIO DO TAUÁ R$ 183.474,83 R$ 13.820,21 209.013,38R$ -R$ 15.743,90R$
PA SÃO CAETANO DE ODIVELAS R$ 108.039,06 R$ 10.803,91 123.077,42R$ -R$ 12.307,75R$
PA SÃO DOMINGOS DO ARAGUAIA R$ 108.039,06 R$ 41.530,86 123.077,42R$ -R$ 47.311,70R$
PA SÃO DOMINGOS DO CAPIM R$ 144.815,29 R$ 13.845,59 164.972,67R$ -R$ 15.772,81R$
PA SÃO FÉLIX DO XINGU R$ 1.678.438,86 R$ 47.366,07 1.912.067,06R$ -R$ 53.959,13R$
PA SÃO FRANCISCO DO PARÁ R$ 108.039,06 R$ 14.917,59 123.077,42R$ -R$ 16.994,03R$
PA SÃO GERALDO DO ARAGUAIA R$ 108.039,06 R$ 10.803,91 123.077,42R$ -R$ 12.307,75R$
PA SÃO JOÃO DA PONTA R$ 108.039,06 R$ 10.803,91 123.077,42R$ -R$ 12.307,75R$
PA SÃO JOÃO DE PIRABAS R$ 205.412,52 R$ 22.673,88 234.004,66R$ -R$ 25.829,94R$
PA SÃO JOÃO DO ARAGUAIA R$ 179.728,29 R$ 10.803,91 204.745,34R$ -R$ 12.307,75R$
PA SÃO MIGUEL DO GUAMÁ R$ 232.518,50 R$ 22.485,93 264.883,62R$ -R$ 25.615,83R$
PA SÃO SEBASTIÃO DA BOA VISTA R$ 108.039,06 R$ 10.803,91 123.077,42R$ -R$ 12.307,75R$
PA SAPUCAIA R$ 108.039,06 R$ 10.803,91 123.077,42R$ -R$ 12.307,75R$
PA SENADOR JOSÉ PORFÍRIO R$ 235.975,58 R$ 16.227,14 268.821,91R$ -R$ 18.485,86R$
PA SOURE R$ 108.039,06 R$ 14.024,95 123.077,42R$ -R$ 15.977,14R$
PA TAILÂNDIA R$ 190.799,07 R$ 17.765,99 217.357,11R$ -R$ 20.238,90R$
PA TERRA ALTA R$ 108.039,06 R$ 10.803,91 123.077,42R$ -R$ 12.307,75R$
PA TERRA SANTA R$ 108.039,06 R$ 14.452,23 123.077,42R$ -R$ 16.463,89R$
PA TOMÉ-AÇU R$ 326.004,48 R$ 21.110,00 371.382,27R$ -R$ 24.048,38R$
PA TRACUATEUA R$ 158.091,60 R$ 10.803,91 180.096,96R$ -R$ 12.307,75R$
PA TRAIRÃO R$ 108.039,06 R$ 19.860,47 123.077,42R$ -R$ 22.624,92R$
PA TUCUMÃ R$ 357.565,62 R$ 114.453,40 407.336,52R$ -R$ 130.384,60R$
PA TUCURUÍ R$ 320.748,77 R$ 68.045,85 365.394,99R$ -R$ 77.517,41R$
PA ULIANÓPOLIS R$ 243.777,83 R$ 10.803,91 277.710,18R$ -R$ 12.307,75R$
PA URUARÁ R$ 199.993,50 R$ 16.724,52 227.831,35R$ -R$ 19.052,47R$
PA VIGIA R$ 108.039,06 R$ 15.072,83 123.077,42R$ -R$ 17.170,87R$
PA VISEU R$ 108.039,06 R$ 14.442,40 123.077,42R$ -R$ 16.452,69R$
PA VITÓRIA DO XINGU R$ 163.450,21 R$ 16.837,49 186.201,46R$ -R$ 19.181,16R$
PA XINGUARA R$ 879.215,53 R$ 14.562,52 1.001.596,84R$ -R$ 16.589,53R$
PB ÁGUA BRANCA R$ 108.039,06 R$ 10.803,91 123.077,42R$ -R$ 12.307,75R$
PB AGUIAR R$ 108.039,06 R$ 10.803,91 123.077,42R$ -R$ 12.307,75R$
PB ALAGOA GRANDE R$ 108.039,06 R$ 10.803,91 123.077,42R$ -R$ 12.307,75R$
PB ALAGOA NOVA R$ 108.039,06 R$ 10.803,91 123.077,42R$ -R$ 12.307,75R$
PB ALAGOINHA R$ 108.039,06 R$ 10.803,91 123.077,42R$ -R$ 12.307,75R$
PB ALCANTIL R$ 108.039,06 R$ 10.803,91 123.077,42R$ -R$ 12.307,75R$
PB ALGODÃO DE JANDAÍRA R$ 108.039,06 R$ 10.803,91 123.077,42R$ -R$ 12.307,75R$
PB ALHANDRA R$ 173.275,11 R$ 10.803,91 197.393,92R$ -R$ 12.307,75R$
PB AMPARO R$ 108.039,06 R$ 10.803,91 123.077,42R$ -R$ 12.307,75R$
PB APARECIDA R$ 108.039,06 R$ 10.803,91 123.077,42R$ -R$ 12.307,75R$
PB ARAÇAGI R$ 108.039,06 R$ 10.803,91 123.077,42R$ -R$ 12.307,75R$
PB ARARA R$ 108.039,06 R$ 10.803,91 123.077,42R$ -R$ 12.307,75R$
PB ARARUNA R$ 108.039,06 R$ 10.803,91 123.077,42R$ -R$ 12.307,75R$
39
Tribunal Superior Eleitoral
PREFEITO
1º TURNO 1º TURNO 2º TURNO
UF
POSSIBILIDADE
DE SEGUNDO
TURNO
VEREADORVEREADOR
LIMITE DE GASTOS OBSERVADO
O MÍNIMO LEGAL (R$ 100,000,00
PARA PREFEITO E R$ 10.000,00
PARA VEREADOR ) EM 2016***
LIMITE DE GASTOS 2020 (ATUALIZADO PELO IPCA DE
JUNHO/2016 ATÉ JUNHO/2020*)
PREFEITO
MUNICÍPIO**
PB AREIA R$ 134.550,43 R$ 10.803,91 153.279,01R$ -R$ 12.307,75R$
PB AREIA DE BARAÚNAS R$ 108.039,06 R$ 10.803,91 123.077,42R$ -R$ 12.307,75R$
PB AREIAL R$ 108.039,06 R$ 10.803,91 123.077,42R$ -R$ 12.307,75R$
PB AROEIRAS R$ 108.039,06 R$ 10.803,91 123.077,42R$ -R$ 12.307,75R$
PB ASSUNÇÃO R$ 108.039,06 R$ 10.803,91 123.077,42R$ -R$ 12.307,75R$
PB BAÍA DA TRAIÇÃO R$ 108.039,06 R$ 10.803,91 123.077,42R$ -R$ 12.307,75R$
PB BANANEIRAS R$ 108.039,06 R$ 16.438,65 123.077,42R$ -R$ 18.726,81R$
PB BARAÚNA R$ 108.039,06 R$ 10.803,91 123.077,42R$ -R$ 12.307,75R$
PB BARRA DE SANTA ROSA R$ 108.039,06 R$ 10.803,91 123.077,42R$ -R$ 12.307,75R$
PB BARRA DE SANTANA R$ 108.039,06 R$ 10.803,91 123.077,42R$ -R$ 12.307,75R$
PB BARRA DE SÃO MIGUEL R$ 108.039,06 R$ 10.803,91 123.077,42R$ -R$ 12.307,75R$
PB BAYEUX R$ 333.731,60 R$ 19.288,37 380.184,95R$ -R$ 21.973,19R$
PB BELÉM R$ 229.884,48 R$ 14.118,14 261.882,96R$ -R$ 16.083,30R$
PB BELÉM DO BREJO DO CRUZ R$ 108.039,06 R$ 10.803,91 123.077,42R$ -R$ 12.307,75R$
PB BERNARDINO BATISTA R$ 108.039,06 R$ 10.803,91 123.077,42R$ -R$ 12.307,75R$
PB BOA VENTURA R$ 108.039,06 R$ 10.803,91 123.077,42R$ -R$ 12.307,75R$
PB BOA VISTA R$ 108.039,06 R$ 10.803,91 123.077,42R$ -R$ 12.307,75R$
PB BOM JESUS R$ 108.039,06 R$ 10.803,91 123.077,42R$ -R$ 12.307,75R$
PB BOM SUCESSO R$ 108.039,06 R$ 10.803,91 123.077,42R$ -R$ 12.307,75R$
PB BONITO DE SANTA FÉ R$ 108.039,06 R$ 10.803,91 123.077,42R$ -R$ 12.307,75R$
PB BOQUEIRÃO R$ 108.039,06 R$ 16.233,96 123.077,42R$ -R$ 18.493,63R$
PB BORBOREMA R$ 108.039,06 R$ 10.803,91 123.077,42R$ -R$ 12.307,75R$
PB BREJO DO CRUZ R$ 108.039,06 R$ 10.803,91 123.077,42R$ -R$ 12.307,75R$
PB BREJO DOS SANTOS R$ 108.039,06 R$ 10.803,91 123.077,42R$ -R$ 12.307,75R$
PB CAAPORÃ R$ 108.039,06 R$ 10.803,91 123.077,42R$ -R$ 12.307,75R$
PB CABACEIRAS R$ 108.039,06 R$ 10.803,91 123.077,42R$ -R$ 12.307,75R$
PB CABEDELO R$ 207.094,18 R$ 29.771,24 235.920,40R$ -R$ 33.915,21R$
PB CACHOEIRA DOS ÍNDIOS R$ 108.039,06 R$ 10.803,91 123.077,42R$ -R$ 12.307,75R$
PB CACIMBA DE AREIA R$ 108.039,06 R$ 10.803,91 123.077,42R$ -R$ 12.307,75R$
PB CACIMBA DE DENTRO R$ 108.039,06 R$ 10.803,91 123.077,42R$ -R$ 12.307,75R$
PB CACIMBAS R$ 108.039,06 R$ 10.803,91 123.077,42R$ -R$ 12.307,75R$
PB CAIÇARA R$ 108.039,06 R$ 10.803,91 123.077,42R$ -R$ 12.307,75R$
PB CAJAZEIRAS R$ 424.978,87 R$ 17.735,47 484.133,27R$ -R$ 20.204,14R$
PB CAJAZEIRINHAS R$ 108.039,06 R$ 10.803,91 123.077,42R$ -R$ 12.307,75R$
PB CALDAS BRANDÃO R$ 108.039,06 R$ 10.803,91 123.077,42R$ -R$ 12.307,75R$
PB CAMALAÚ R$ 108.039,06 R$ 10.803,91 123.077,42R$ -R$ 12.307,75R$
PB CAMPINA GRANDE SIM R$ 3.495.432,44 R$ 144.260,40 3.981.974,79R$ 1.592.789,91R$ 164.340,55R$
PB CAPIM R$ 108.039,06 R$ 10.803,91 123.077,42R$ -R$ 12.307,75R$
PB CARAÚBAS R$ 108.039,06 R$ 10.803,91 123.077,42R$ -R$ 12.307,75R$
PB CARRAPATEIRA R$ 108.039,06 R$ 10.803,91 123.077,42R$ -R$ 12.307,75R$
PB CASSERENGUE R$ 108.039,06 R$ 10.803,91 123.077,42R$ -R$ 12.307,75R$
PB CATINGUEIRA R$ 108.039,06 R$ 10.803,91 123.077,42R$ -R$ 12.307,75R$
PB CATOLÉ DO ROCHA R$ 108.039,06 R$ 10.803,91 123.077,42R$ -R$ 12.307,75R$
PB CATURITÉ R$ 108.039,06 R$ 10.803,91 123.077,42R$ -R$ 12.307,75R$
PB CONCEIÇÃO R$ 108.039,06 R$ 10.803,91 123.077,42R$ -R$ 12.307,75R$
PB CONDADO R$ 108.039,06 R$ 10.803,91 123.077,42R$ -R$ 12.307,75R$
PB CONDE R$ 209.429,38 R$ 10.803,91 238.580,64R$ -R$ 12.307,75R$
PB CONGO R$ 108.039,06 R$ 10.803,91 123.077,42R$ -R$ 12.307,75R$
PB COREMAS R$ 108.039,06 R$ 10.803,91 123.077,42R$ -R$ 12.307,75R$
PB COXIXOLA R$ 108.039,06 R$ 10.803,91 123.077,42R$ -R$ 12.307,75R$
PB CRUZ DO ESPÍRITO SANTO R$ 108.039,06 R$ 14.002,53 123.077,42R$ -R$ 15.951,59R$
PB CUBATI R$ 108.039,06 R$ 10.803,91 123.077,42R$ -R$ 12.307,75R$
PB CUITÉ R$ 178.293,92 R$ 17.492,69 203.111,32R$ -R$ 19.927,56R$
PB CUITÉ DE MAMANGUAPE R$ 108.039,06 R$ 10.803,91 123.077,42R$ -R$ 12.307,75R$
PB CUITEGI R$ 108.039,06 R$ 10.803,91 123.077,42R$ -R$ 12.307,75R$
PB CURRAL DE CIMA R$ 108.039,06 R$ 10.803,91 123.077,42R$ -R$ 12.307,75R$
PB CURRAL VELHO R$ 108.039,06 R$ 10.803,91 123.077,42R$ -R$ 12.307,75R$
PB DAMIÃO R$ 108.039,06 R$ 10.803,91 123.077,42R$ -R$ 12.307,75R$
PB DESTERRO R$ 108.039,06 R$ 10.803,91 123.077,42R$ -R$ 12.307,75R$
PB DIAMANTE R$ 108.039,06 R$ 10.803,91 123.077,42R$ -R$ 12.307,75R$
PB DONA INÊS R$ 108.039,06 R$ 10.803,91 123.077,42R$ -R$ 12.307,75R$
PB DUAS ESTRADAS R$ 108.039,06 R$ 10.803,91 123.077,42R$ -R$ 12.307,75R$
PB EMAS R$ 108.039,06 R$ 10.803,91 123.077,42R$ -R$ 12.307,75R$
PB ESPERANÇA R$ 265.040,71 R$ 10.803,91 301.932,72R$ -R$ 12.307,75R$
PB FAGUNDES R$ 108.039,06 R$ 18.065,63 123.077,42R$ -R$ 20.580,25R$
PB FREI MARTINHO R$ 108.039,06 R$ 10.803,91 123.077,42R$ -R$ 12.307,75R$
40
Tribunal Superior Eleitoral
PREFEITO
1º TURNO 1º TURNO 2º TURNO
UF
POSSIBILIDADE
DE SEGUNDO
TURNO
VEREADORVEREADOR
LIMITE DE GASTOS OBSERVADO
O MÍNIMO LEGAL (R$ 100,000,00
PARA PREFEITO E R$ 10.000,00
PARA VEREADOR ) EM 2016***
LIMITE DE GASTOS 2020 (ATUALIZADO PELO IPCA DE
JUNHO/2016 ATÉ JUNHO/2020*)
PREFEITO
MUNICÍPIO**
PB GADO BRAVO R$ 108.039,06 R$ 10.803,91 123.077,42R$ -R$ 12.307,75R$
PB GUARABIRA R$ 327.145,06 R$ 31.038,72 372.681,61R$ -R$ 35.359,12R$
PB GURINHÉM R$ 108.039,06 R$ 10.803,91 123.077,42R$ -R$ 12.307,75R$
PB GURJÃO R$ 108.039,06 R$ 10.803,91 123.077,42R$ -R$ 12.307,75R$
PB IBIARA R$ 108.039,06 R$ 10.803,91 123.077,42R$ -R$ 12.307,75R$
PB IGARACY R$ 108.039,06 R$ 10.803,91 123.077,42R$ -R$ 12.307,75R$
PB IMACULADA R$ 108.039,06 R$ 10.803,91 123.077,42R$ -R$ 12.307,75R$
PB INGÁ R$ 108.039,06 R$ 10.803,91 123.077,42R$ -R$ 12.307,75R$
PB ITABAIANA R$ 108.039,06 R$ 16.609,53 123.077,42R$ -R$ 18.921,47R$
PB ITAPORANGA R$ 108.039,06 R$ 10.803,91 123.077,42R$ -R$ 12.307,75R$
PB ITAPOROROCA R$ 108.039,06 R$ 20.771,03 123.077,42R$ -R$ 23.662,23R$
PB ITATUBA R$ 108.039,06 R$ 10.803,91 123.077,42R$ -R$ 12.307,75R$
PB JACARAÚ R$ 108.039,06 R$ 10.803,91 123.077,42R$ -R$ 12.307,75R$
PB JERICÓ R$ 108.039,06 R$ 10.803,91 123.077,42R$ -R$ 12.307,75R$
PB JOÃO PESSOA SIM R$ 2.465.246,00 R$ 273.874,03 2.808.392,83R$ 1.123.357,13R$ 311.995,58R$
PB JOCA CLAUDINO R$ 108.039,06 R$ 10.803,91 123.077,42R$ -R$ 12.307,75R$
PB JUAREZ TÁVORA R$ 108.039,06 R$ 10.803,91 123.077,42R$ -R$ 12.307,75R$
PB JUAZEIRINHO R$ 108.039,06 R$ 10.803,91 123.077,42R$ -R$ 12.307,75R$
PB JUNCO DO SERIDÓ R$ 108.039,06 R$ 10.803,91 123.077,42R$ -R$ 12.307,75R$
PB JURIPIRANGA R$ 108.039,06 R$ 10.803,91 123.077,42R$ -R$ 12.307,75R$
PB JURU R$ 108.039,06 R$ 10.803,91 123.077,42R$ -R$ 12.307,75R$
PB LAGOA R$ 108.039,06 R$ 10.803,91 123.077,42R$ -R$ 12.307,75R$
PB LAGOA DE DENTRO R$ 108.039,06 R$ 10.803,91 123.077,42R$ -R$ 12.307,75R$
PB LAGOA SECA R$ 108.039,06 R$ 14.366,36 123.077,42R$ -R$ 16.366,07R$
PB LASTRO R$ 108.039,06 R$ 10.803,91 123.077,42R$ -R$ 12.307,75R$
PB LIVRAMENTO R$ 108.039,06 R$ 10.803,91 123.077,42R$ -R$ 12.307,75R$
PB LOGRADOURO R$ 108.039,06 R$ 10.803,91 123.077,42R$ -R$ 12.307,75R$
PB LUCENA R$ 108.039,06 R$ 10.803,91 123.077,42R$ -R$ 12.307,75R$
PB MÃE D'ÁGUA R$ 108.039,06 R$ 10.803,91 123.077,42R$ -R$ 12.307,75R$
PB MALTA R$ 108.039,06 R$ 10.803,91 123.077,42R$ -R$ 12.307,75R$
PB MAMANGUAPE R$ 144.759,66 R$ 17.223,89 164.909,30R$ -R$ 19.621,35R$
PB MANAÍRA R$ 108.039,06 R$ 10.803,91 123.077,42R$ -R$ 12.307,75R$
PB MARCAÇÃO R$ 108.039,06 R$ 10.803,91 123.077,42R$ -R$ 12.307,75R$
PB MARI R$ 108.039,06 R$ 10.803,91 123.077,42R$ -R$ 12.307,75R$
PB MARIZÓPOLIS R$ 108.039,06 R$ 10.803,91 123.077,42R$ -R$ 12.307,75R$
PB MASSARANDUBA R$ 149.114,41 R$ 10.803,91 169.870,20R$ -R$ 12.307,75R$
PB MATARACA R$ 108.039,06 R$ 10.803,91 123.077,42R$ -R$ 12.307,75R$
PB MATINHAS R$ 108.039,06 R$ 10.803,91 123.077,42R$ -R$ 12.307,75R$
PB MATO GROSSO R$ 108.039,06 R$ 10.803,91 123.077,42R$ -R$ 12.307,75R$
PB MATURÉIA R$ 108.039,06 R$ 10.803,91 123.077,42R$ -R$ 12.307,75R$
PB MOGEIRO R$ 108.039,06 R$ 10.803,91 123.077,42R$ -R$ 12.307,75R$
PB MONTADAS R$ 108.039,06 R$ 10.803,91 123.077,42R$ -R$ 12.307,75R$
PB MONTE HOREBE R$ 108.039,06 R$ 10.803,91 123.077,42R$ -R$ 12.307,75R$
PB MONTEIRO R$ 169.865,39 R$ 10.803,91 193.509,59R$ -R$ 12.307,75R$
PB MULUNGU R$ 108.039,06 R$ 10.803,91 123.077,42R$ -R$ 12.307,75R$
PB NATUBA R$ 108.039,06 R$ 10.803,91 123.077,42R$ -R$ 12.307,75R$
PB NAZAREZINHO R$ 108.039,06 R$ 10.803,91 123.077,42R$ -R$ 12.307,75R$
PB NOVA FLORESTA R$ 108.039,06 R$ 10.803,91 123.077,42R$ -R$ 12.307,75R$
PB NOVA OLINDA R$ 108.039,06 R$ 10.803,91 123.077,42R$ -R$ 12.307,75R$
PB NOVA PALMEIRA R$ 108.039,06 R$ 10.803,91 123.077,42R$ -R$ 12.307,75R$
PB OLHO D'ÁGUA R$ 108.039,06 R$ 10.803,91 123.077,42R$ -R$ 12.307,75R$
PB OLIVEDOS R$ 108.039,06 R$ 10.803,91 123.077,42R$ -R$ 12.307,75R$
PB OURO VELHO R$ 108.039,06 R$ 10.803,91 123.077,42R$ -R$ 12.307,75R$
PB PARARI R$ 108.039,06 R$ 10.803,91 123.077,42R$ -R$ 12.307,75R$
PB PASSAGEM R$ 108.039,06 R$ 10.803,91 123.077,42R$ -R$ 12.307,75R$
PB PATOS R$ 573.539,75 R$ 71.500,41 653.372,90R$ -R$ 81.452,82R$
PB PAULISTA R$ 108.039,06 R$ 10.803,91 123.077,42R$ -R$ 12.307,75R$
PB PEDRA BRANCA R$ 108.039,06 R$ 10.803,91 123.077,42R$ -R$ 12.307,75R$
PB PEDRA LAVRADA R$ 108.039,06 R$ 10.803,91 123.077,42R$ -R$ 12.307,75R$
PB PEDRAS DE FOGO R$ 280.958,52 R$ 10.803,91 320.066,19R$ -R$ 12.307,75R$
PB PEDRO RÉGIS R$ 108.039,06 R$ 10.803,91 123.077,42R$ -R$ 12.307,75R$
PB PIANCÓ R$ 108.039,06 R$ 10.803,91 123.077,42R$ -R$ 12.307,75R$
PB PICUÍ R$ 108.039,06 R$ 13.824,33 123.077,42R$ -R$ 15.748,59R$
PB PILAR R$ 419.478,18 R$ 14.392,31 477.866,92R$ -R$ 16.395,63R$
PB PILÕES R$ 108.039,06 R$ 10.803,91 123.077,42R$ -R$ 12.307,75R$
PB PILÕEZINHOS R$ 108.039,06 R$ 10.803,91 123.077,42R$ -R$ 12.307,75R$
41
Tribunal Superior Eleitoral
PREFEITO
1º TURNO 1º TURNO 2º TURNO
UF
POSSIBILIDADE
DE SEGUNDO
TURNO
VEREADORVEREADOR
LIMITE DE GASTOS OBSERVADO
O MÍNIMO LEGAL (R$ 100,000,00
PARA PREFEITO E R$ 10.000,00
PARA VEREADOR ) EM 2016***
LIMITE DE GASTOS 2020 (ATUALIZADO PELO IPCA DE
JUNHO/2016 ATÉ JUNHO/2020*)
PREFEITO
MUNICÍPIO**
PB PIRPIRITUBA R$ 108.039,06 R$ 10.803,91 123.077,42R$ -R$ 12.307,75R$
PB PITIMBU R$ 108.039,06 R$ 10.803,91 123.077,42R$ -R$ 12.307,75R$
PB POCINHOS R$ 108.039,06 R$ 10.803,91 123.077,42R$ -R$ 12.307,75R$
PB POÇO DANTAS R$ 108.039,06 R$ 10.803,91 123.077,42R$ -R$ 12.307,75R$
PB POÇO DE JOSÉ DE MOURA R$ 108.039,06 R$ 10.803,91 123.077,42R$ -R$ 12.307,75R$
PB POMBAL R$ 138.529,82 R$ 10.803,91 157.812,30R$ -R$ 12.307,75R$
PB PRATA R$ 108.039,06 R$ 10.803,91 123.077,42R$ -R$ 12.307,75R$
PB PRINCESA ISABEL R$ 108.039,06 R$ 10.803,91 123.077,42R$ -R$ 12.307,75R$
PB PUXINANÃ R$ 108.039,06 R$ 22.662,28 123.077,42R$ -R$ 25.816,73R$
PB QUEIMADAS R$ 200.816,43 R$ 10.803,91 228.768,82R$ -R$ 12.307,75R$
PB QUIXABA R$ 108.039,06 R$ 10.803,91 123.077,42R$ -R$ 12.307,75R$
PB REMÍGIO R$ 165.881,35 R$ 13.434,60 188.971,00R$ -R$ 15.304,61R$
PB RIACHÃO R$ 108.039,06 R$ 10.803,91 123.077,42R$ -R$ 12.307,75R$
PB RIACHÃO DO BACAMARTE R$ 108.039,06 R$ 10.803,91 123.077,42R$ -R$ 12.307,75R$
PB RIACHÃO DO POÇO R$ 108.039,06 R$ 10.803,91 123.077,42R$ -R$ 12.307,75R$
PB RIACHO DE SANTO ANTÔNIO R$ 108.039,06 R$ 10.803,91 123.077,42R$ -R$ 12.307,75R$
PB RIACHO DOS CAVALOS R$ 548.761,96 R$ 10.803,91 625.146,19R$ -R$ 12.307,75R$
PB RIO TINTO R$ 108.039,06 R$ 10.803,91 123.077,42R$ -R$ 12.307,75R$
PB SALGADINHO R$ 108.039,06 R$ 10.803,91 123.077,42R$ -R$ 12.307,75R$
PB SALGADO DE SÃO FÉLIX R$ 108.039,06 R$ 10.803,91 123.077,42R$ -R$ 12.307,75R$
PB SANTA CECÍLIA R$ 108.039,06 R$ 10.803,91 123.077,42R$ -R$ 12.307,75R$
PB SANTA CRUZ R$ 108.039,06 R$ 10.803,91 123.077,42R$ -R$ 12.307,75R$
PB SANTA HELENA R$ 108.039,06 R$ 10.803,91 123.077,42R$ -R$ 12.307,75R$
PB SANTA INÊS R$ 108.039,06 R$ 10.803,91 123.077,42R$ -R$ 12.307,75R$
PB SANTA LUZIA R$ 108.039,06 R$ 21.757,55 123.077,42R$ -R$ 24.786,06R$
PB SANTA RITA R$ 319.830,14 R$ 21.632,42 364.348,50R$ -R$ 24.643,52R$
PB SANTA TERESINHA R$ 108.039,06 R$ 10.803,91 123.077,42R$ -R$ 12.307,75R$
PB SANTANA DE MANGUEIRA R$ 108.039,06 R$ 10.803,91 123.077,42R$ -R$ 12.307,75R$
PB SANTANA DOS GARROTES R$ 108.039,06 R$ 10.803,91 123.077,42R$ -R$ 12.307,75R$
PB SANTO ANDRÉ R$ 108.039,06 R$ 10.803,91 123.077,42R$ -R$ 12.307,75R$
PB SÃO BENTINHO R$ 108.039,06 R$ 10.803,91 123.077,42R$ -R$ 12.307,75R$
PB SÃO BENTO R$ 227.164,05 R$ 23.077,12 258.783,87R$ -R$ 26.289,31R$
PB SÃO DOMINGOS R$ 108.039,06 R$ 10.803,91 123.077,42R$ -R$ 12.307,75R$
PB SÃO DOMINGOS DO CARIRI R$ 108.039,06 R$ 10.803,91 123.077,42R$ -R$ 12.307,75R$
PB SÃO FRANCISCO R$ 108.039,06 R$ 10.803,91 123.077,42R$ -R$ 12.307,75R$
PB SÃO JOÃO DO CARIRI R$ 108.039,06 R$ 10.803,91 123.077,42R$ -R$ 12.307,75R$
PB SÃO JOÃO DO RIO DO PEIXE R$ 108.039,06 R$ 10.803,91 123.077,42R$ -R$ 12.307,75R$
PB SÃO JOÃO DO TIGRE R$ 170.602,55 R$ 10.803,91 194.349,36R$ -R$ 12.307,75R$
PB SÃO JOSÉ DA LAGOA TAPADA R$ 108.039,06 R$ 10.803,91 123.077,42R$ -R$ 12.307,75R$
PB SÃO JOSÉ DE CAIANA R$ 108.039,06 R$ 10.803,91 123.077,42R$ -R$ 12.307,75R$
PB SÃO JOSÉ DE ESPINHARAS R$ 108.039,06 R$ 10.803,91 123.077,42R$ -R$ 12.307,75R$
PB SÃO JOSÉ DE PIRANHAS R$ 108.039,06 R$ 10.803,91 123.077,42R$ -R$ 12.307,75R$
PB SÃO JOSÉ DE PRINCESA R$ 108.039,06 R$ 10.803,91 123.077,42R$ -R$ 12.307,75R$
PB SÃO JOSÉ DO BONFIM R$ 108.039,06 R$ 10.803,91 123.077,42R$ -R$ 12.307,75R$
PB SÃO JOSÉ DO BREJO DO CRUZ R$ 108.039,06 R$ 10.803,91 123.077,42R$ -R$ 12.307,75R$
PB SÃO JOSÉ DO SABUGI R$ 108.039,06 R$ 10.803,91 123.077,42R$ -R$ 12.307,75R$
PB SÃO JOSÉ DOS CORDEIROS R$ 108.039,06 R$ 10.803,91 123.077,42R$ -R$ 12.307,75R$
PB SÃO JOSÉ DOS RAMOS R$ 108.039,06 R$ 10.803,91 123.077,42R$ -R$ 12.307,75R$
PB SÃO MAMEDE R$ 108.039,06 R$ 10.803,91 123.077,42R$ -R$ 12.307,75R$
PB SÃO MIGUEL DE TAIPU R$ 108.039,06 R$ 10.803,91 123.077,42R$ -R$ 12.307,75R$
PB SÃO SEBASTIÃO DE LAGOA DE ROÇA R$ 108.039,06 R$ 10.803,91 123.077,42R$ -R$ 12.307,75R$
PB SÃO SEBASTIÃO DO UMBUZEIRO R$ 108.039,06 R$ 10.803,91 123.077,42R$ -R$ 12.307,75R$
PB SÃO VICENTE DO SERIDÓ R$ 108.039,06 R$ 10.803,91 123.077,42R$ -R$ 12.307,75R$
PB SAPÉ R$ 198.340,40 R$ 13.894,74 225.948,14R$ -R$ 15.828,80R$
PB SERRA BRANCA R$ 108.039,06 R$ 10.803,91 123.077,42R$ -R$ 12.307,75R$
PB SERRA DA RAIZ R$ 108.039,06 R$ 10.803,91 123.077,42R$ -R$ 12.307,75R$
PB SERRA GRANDE R$ 108.039,06 R$ 10.803,91 123.077,42R$ -R$ 12.307,75R$
PB SERRA REDONDA R$ 108.039,06 R$ 10.803,91 123.077,42R$ -R$ 12.307,75R$
PB SERRARIA R$ 108.039,06 R$ 10.803,91 123.077,42R$ -R$ 12.307,75R$
PB SERTÃOZINHO R$ 108.039,06 R$ 10.803,91 123.077,42R$ -R$ 12.307,75R$
PB SOBRADO R$ 108.039,06 R$ 10.803,91 123.077,42R$ -R$ 12.307,75R$
PB SOLÂNEA R$ 108.039,06 R$ 10.803,91 123.077,42R$ -R$ 12.307,75R$
PB SOLEDADE R$ 108.039,06 R$ 10.803,91 123.077,42R$ -R$ 12.307,75R$
PB SOSSÊGO R$ 108.039,06 R$ 10.803,91 123.077,42R$ -R$ 12.307,75R$
PB SOUSA R$ 338.606,69 R$ 53.336,02 385.738,62R$ -R$ 60.760,06R$
PB SUMÉ R$ 108.039,06 R$ 65.664,73 123.077,42R$ -R$ 74.804,85R$
42
Tribunal Superior Eleitoral
PREFEITO
1º TURNO 1º TURNO 2º TURNO
UF
POSSIBILIDADE
DE SEGUNDO
TURNO
VEREADORVEREADOR
LIMITE DE GASTOS OBSERVADO
O MÍNIMO LEGAL (R$ 100,000,00
PARA PREFEITO E R$ 10.000,00
PARA VEREADOR ) EM 2016***
LIMITE DE GASTOS 2020 (ATUALIZADO PELO IPCA DE
JUNHO/2016 ATÉ JUNHO/2020*)
PREFEITO
MUNICÍPIO**
PB TACIMA R$ 108.039,06 R$ 17.284,63 123.077,42R$ -R$ 19.690,54R$
PB TAPEROÁ R$ 108.039,06 R$ 10.803,91 123.077,42R$ -R$ 12.307,75R$
PB TAVARES R$ 108.039,06 R$ 10.803,91 123.077,42R$ -R$ 12.307,75R$
PB TEIXEIRA R$ 108.039,06 R$ 10.803,91 123.077,42R$ -R$ 12.307,75R$
PB TENÓRIO R$ 108.039,06 R$ 10.803,91 123.077,42R$ -R$ 12.307,75R$
PB TRIUNFO R$ 108.039,06 R$ 10.803,91 123.077,42R$ -R$ 12.307,75R$
PB UIRAÚNA R$ 108.039,06 R$ 10.803,91 123.077,42R$ -R$ 12.307,75R$
PB UMBUZEIRO R$ 108.039,06 R$ 10.803,91 123.077,42R$ -R$ 12.307,75R$
PB VÁRZEA R$ 108.039,06 R$ 10.803,91 123.077,42R$ -R$ 12.307,75R$
PB VIEIRÓPOLIS R$ 108.039,06 R$ 10.803,91 123.077,42R$ -R$ 12.307,75R$
PB VISTA SERRANA R$ 108.039,06 R$ 10.803,91 123.077,42R$ -R$ 12.307,75R$
PB ZABELÊ R$ 108.039,06 R$ 10.803,91 123.077,42R$ -R$ 12.307,75R$
PE ABREU E LIMA R$ 220.265,66 R$ 25.046,79 250.925,26R$ -R$ 28.533,15R$
PE AFOGADOS DA INGAZEIRA R$ 245.570,92 R$ 16.853,92 279.752,86R$ -R$ 19.199,88R$
PE AFRÂNIO R$ 237.166,63 R$ 14.559,91 270.178,74R$ -R$ 16.586,56R$
PE AGRESTINA R$ 140.411,85 R$ 10.803,91 159.956,30R$ -R$ 12.307,75R$
PE ÁGUA PRETA R$ 233.927,68 R$ 10.803,91 266.488,95R$ -R$ 12.307,75R$
PE ÁGUAS BELAS R$ 451.873,23 R$ 42.490,59 514.771,16R$ -R$ 48.405,01R$
PE ALAGOINHA R$ 108.039,06 R$ 10.803,91 123.077,42R$ -R$ 12.307,75R$
PE ALIANÇA R$ 138.436,19 R$ 20.599,23 157.705,64R$ -R$ 23.466,51R$
PE ALTINHO R$ 162.857,52 R$ 10.803,91 185.526,27R$ -R$ 12.307,75R$
PE AMARAJI R$ 135.396,12 R$ 10.803,91 154.242,41R$ -R$ 12.307,75R$
PE ANGELIM R$ 108.039,06 R$ 10.803,91 123.077,42R$ -R$ 12.307,75R$
PE ARAÇOIABA R$ 108.039,06 R$ 10.803,91 123.077,42R$ -R$ 12.307,75R$
PE ARARIPINA R$ 235.601,53 R$ 35.393,22 268.395,79R$ -R$ 40.319,73R$
PE ARCOVERDE R$ 154.299,74 R$ 45.880,10 175.777,30R$ -R$ 52.266,32R$
PE BARRA DE GUABIRABA R$ 108.039,06 R$ 10.803,91 123.077,42R$ -R$ 12.307,75R$
PE BARREIROS R$ 258.480,96 R$ 10.803,91 294.459,89R$ -R$ 12.307,75R$
PE BELÉM DE MARIA R$ 108.039,06 R$ 10.803,91 123.077,42R$ -R$ 12.307,75R$
PE BELÉM DO SÃO FRANCISCO R$ 163.230,26 R$ 10.803,91 185.950,89R$ -R$ 12.307,75R$
PE BELO JARDIM R$ 240.747,53 R$ 26.521,13 274.258,08R$ -R$ 30.212,71R$
PE BETÂNIA R$ 108.039,06 R$ 10.803,91 123.077,42R$ -R$ 12.307,75R$
PE BEZERROS R$ 418.679,36 R$ 18.651,67 476.956,91R$ -R$ 21.247,87R$
PE BODOCÓ R$ 108.039,06 R$ 15.347,82 123.077,42R$ -R$ 17.484,14R$
PE BOM CONSELHO R$ 108.039,06 R$ 22.485,21 123.077,42R$ -R$ 25.615,01R$
PE BOM JARDIM R$ 239.981,03 R$ 35.608,58 273.384,89R$ -R$ 40.565,07R$
PE BONITO R$ 108.039,06 R$ 24.019,83 123.077,42R$ -R$ 27.363,24R$
PE BREJÃO R$ 108.039,06 R$ 10.803,91 123.077,42R$ -R$ 12.307,75R$
PE BREJINHO R$ 108.039,06 R$ 10.803,91 123.077,42R$ -R$ 12.307,75R$
PE BREJO DA MADRE DE DEUS R$ 282.702,97 R$ 29.659,92 322.053,46R$ -R$ 33.788,40R$
PE BUENOS AIRES R$ 163.230,92 R$ 10.803,91 185.951,64R$ -R$ 12.307,75R$
PE BUÍQUE R$ 172.003,57 R$ 14.981,26 195.945,39R$ -R$ 17.066,56R$
PE CABO DE SANTO AGOSTINHO R$ 689.470,66 R$ 96.474,36 785.440,67R$ -R$ 109.902,99R$
PE CABROBÓ R$ 108.039,06 R$ 17.529,48 123.077,42R$ -R$ 19.969,47R$
PE CACHOEIRINHA R$ 108.039,06 R$ 10.803,91 123.077,42R$ -R$ 12.307,75R$
PE CAETÉS R$ 108.039,06 R$ 23.408,22 123.077,42R$ -R$ 26.666,50R$
PE CALÇADO R$ 108.039,06 R$ 10.803,91 123.077,42R$ -R$ 12.307,75R$
PE CALUMBI R$ 108.039,06 R$ 10.803,91 123.077,42R$ -R$ 12.307,75R$
PE CAMARAGIBE R$ 449.339,45 R$ 21.221,89 511.884,69R$ -R$ 24.175,84R$
PE CAMOCIM DE SÃO FÉLIX R$ 165.121,56 R$ 24.084,49 188.105,45R$ -R$ 27.436,90R$
PE CAMUTANGA R$ 108.039,06 R$ 10.803,91 123.077,42R$ -R$ 12.307,75R$
PE CANHOTINHO R$ 143.258,28 R$ 10.803,91 163.198,94R$ -R$ 12.307,75R$
PE CAPOEIRAS R$ 108.039,06 R$ 10.803,91 123.077,42R$ -R$ 12.307,75R$
PE CARNAÍBA R$ 108.039,06 R$ 10.803,91 123.077,42R$ -R$ 12.307,75R$
PE CARNAUBEIRA DA PENHA R$ 108.039,06 R$ 10.803,91 123.077,42R$ -R$ 12.307,75R$
PE CARPINA R$ 397.934,36 R$ 43.851,08 453.324,34R$ -R$ 49.954,88R$
PE CARUARU SIM R$ 2.619.231,31 R$ 131.125,02 2.983.811,94R$ 1.193.524,77R$ 149.376,80R$
PE CASINHAS R$ 167.598,34 R$ 10.803,91 190.926,98R$ -R$ 12.307,75R$
PE CATENDE R$ 108.039,06 R$ 21.609,80 123.077,42R$ -R$ 24.617,75R$
PE CEDRO R$ 108.039,06 R$ 24.362,80 123.077,42R$ -R$ 27.753,95R$
PE CHÃ DE ALEGRIA R$ 108.039,06 R$ 13.681,25 123.077,42R$ -R$ 15.585,59R$
PE CHÃ GRANDE R$ 188.632,77 R$ 37.453,15 214.889,27R$ -R$ 42.666,39R$
PE CONDADO R$ 210.107,72 R$ 15.646,05 239.353,40R$ -R$ 17.823,88R$
PE CORRENTES R$ 108.039,06 R$ 10.803,91 123.077,42R$ -R$ 12.307,75R$
PE CORTÊS R$ 153.557,90 R$ 10.803,91 174.932,20R$ -R$ 12.307,75R$
PE CUMARU R$ 190.947,31 R$ 46.624,95 217.525,98R$ -R$ 53.114,85R$
43
Tribunal Superior Eleitoral
PREFEITO
1º TURNO 1º TURNO 2º TURNO
UF
POSSIBILIDADE
DE SEGUNDO
TURNO
VEREADORVEREADOR
LIMITE DE GASTOS OBSERVADO
O MÍNIMO LEGAL (R$ 100,000,00
PARA PREFEITO E R$ 10.000,00
PARA VEREADOR ) EM 2016***
LIMITE DE GASTOS 2020 (ATUALIZADO PELO IPCA DE
JUNHO/2016 ATÉ JUNHO/2020*)
PREFEITO
MUNICÍPIO**
PE CUPIRA R$ 108.039,06 R$ 15.777,14 123.077,42R$ -R$ 17.973,22R$
PE CUSTÓDIA R$ 108.039,06 R$ 10.803,91 123.077,42R$ -R$ 12.307,75R$
PE DORMENTES R$ 203.108,57 R$ 16.678,93 231.380,01R$ -R$ 19.000,53R$
PE ESCADA R$ 196.160,85 R$ 10.803,91 223.465,21R$ -R$ 12.307,75R$
PE EXU R$ 108.039,06 R$ 10.803,91 123.077,42R$ -R$ 12.307,75R$
PE FEIRA NOVA R$ 137.921,21 R$ 26.404,47 157.118,98R$ -R$ 30.079,81R$
PE FERREIROS R$ 214.168,79 R$ 21.927,55 243.979,75R$ -R$ 24.979,73R$
PE FLORES R$ 108.039,06 R$ 10.803,91 123.077,42R$ -R$ 12.307,75R$
PE FLORESTA R$ 108.039,06 R$ 16.235,43 123.077,42R$ -R$ 18.495,30R$
PE FREI MIGUELINHO R$ 108.039,06 R$ 10.803,91 123.077,42R$ -R$ 12.307,75R$
PE GAMELEIRA R$ 108.039,06 R$ 10.803,91 123.077,42R$ -R$ 12.307,75R$
PE GARANHUNS R$ 261.235,70 R$ 22.711,20 297.598,08R$ -R$ 25.872,46R$
PE GLÓRIA DO GOITÁ R$ 108.039,06 R$ 10.803,91 123.077,42R$ -R$ 12.307,75R$
PE GOIANA R$ 365.802,12 R$ 53.461,54 416.719,49R$ -R$ 60.903,05R$
PE GRANITO R$ 108.039,06 R$ 10.803,91 123.077,42R$ -R$ 12.307,75R$
PE GRAVATÁ R$ 225.039,48 R$ 118.164,68 256.363,57R$ -R$ 134.612,46R$
PE IATI R$ 156.179,62 R$ 10.803,91 177.918,85R$ -R$ 12.307,75R$
PE IBIMIRIM R$ 108.039,06 R$ 10.803,91 123.077,42R$ -R$ 12.307,75R$
PE IBIRAJUBA R$ 177.815,39 R$ 10.803,91 202.566,18R$ -R$ 12.307,75R$
PE IGARASSU R$ 170.839,72 R$ 34.644,16 194.619,54R$ -R$ 39.466,41R$
PE IGUARACY R$ 108.039,06 R$ 10.803,91 123.077,42R$ -R$ 12.307,75R$
PE ILHA DE ITAMARACÁ R$ 108.039,06 R$ 26.067,79 123.077,42R$ -R$ 29.696,26R$
PE INAJÁ R$ 286.479,12 R$ 10.803,91 326.355,22R$ -R$ 12.307,75R$
PE INGAZEIRA R$ 108.039,06 R$ 10.803,91 123.077,42R$ -R$ 12.307,75R$
PE IPOJUCA R$ 1.796.009,44 R$ 93.576,69 2.046.002,73R$ -R$ 106.601,98R$
PE IPUBI R$ 189.870,34 R$ 23.077,05 216.299,10R$ -R$ 26.289,23R$
PE ITACURUBA R$ 108.039,06 R$ 10.803,91 123.077,42R$ -R$ 12.307,75R$
PE ITAÍBA R$ 250.932,01 R$ 10.803,91 285.860,18R$ -R$ 12.307,75R$
PE ITAMBÉ R$ 178.712,72 R$ 16.223,02 203.588,41R$ -R$ 18.481,16R$
PE ITAPETIM R$ 108.039,06 R$ 10.803,91 123.077,42R$ -R$ 12.307,75R$
PE ITAPISSUMA R$ 108.039,06 R$ 17.420,39 123.077,42R$ -R$ 19.845,20R$
PE ITAQUITINGA R$ 108.039,06 R$ 10.803,91 123.077,42R$ -R$ 12.307,75R$
PE JABOATÃO DOS GUARARAPES SIM R$ 1.114.168,41 R$ 121.699,88 1.269.253,69R$ 507.701,48R$ 138.639,74R$
PE JAQUEIRA R$ 108.039,06 R$ 10.803,91 123.077,42R$ -R$ 12.307,75R$
PE JATAÚBA R$ 108.039,06 R$ 10.803,91 123.077,42R$ -R$ 12.307,75R$
PE JATOBÁ R$ 108.039,06 R$ 10.803,91 123.077,42R$ -R$ 12.307,75R$
PE JOÃO ALFREDO R$ 108.039,06 R$ 19.765,90 123.077,42R$ -R$ 22.517,19R$
PE JOAQUIM NABUCO R$ 135.362,23 R$ 10.803,91 154.203,81R$ -R$ 12.307,75R$
PE JUCATI R$ 108.039,06 R$ 10.803,91 123.077,42R$ -R$ 12.307,75R$
PE JUPI R$ 108.039,06 R$ 10.803,91 123.077,42R$ -R$ 12.307,75R$
PE JUREMA R$ 108.039,06 R$ 10.803,91 123.077,42R$ -R$ 12.307,75R$
PE LAGOA DE ITAENGA R$ 395.130,69 R$ 10.803,91 450.130,41R$ -R$ 12.307,75R$
PE LAGOA DO CARRO R$ 159.931,06 R$ 10.803,91 182.192,46R$ -R$ 12.307,75R$
PE LAGOA DO OURO R$ 108.039,06 R$ 21.317,26 123.077,42R$ -R$ 24.284,49R$
PE LAGOA DOS GATOS R$ 108.039,06 R$ 10.803,91 123.077,42R$ -R$ 12.307,75R$
PE LAGOA GRANDE R$ 108.039,06 R$ 10.803,91 123.077,42R$ -R$ 12.307,75R$
PE LAJEDO R$ 108.039,06 R$ 16.722,83 123.077,42R$ -R$ 19.050,54R$
PE LIMOEIRO R$ 408.789,80 R$ 23.936,47 465.690,78R$ -R$ 27.268,28R$
PE MACAPARANA R$ 108.039,06 R$ 10.803,91 123.077,42R$ -R$ 12.307,75R$
PE MACHADOS R$ 108.039,06 R$ 10.803,91 123.077,42R$ -R$ 12.307,75R$
PE MANARI R$ 141.325,70 R$ 15.524,33 160.997,35R$ -R$ 17.685,22R$
PE MARAIAL R$ 108.039,06 R$ 10.803,91 123.077,42R$ -R$ 12.307,75R$
PE MIRANDIBA R$ 108.039,06 R$ 10.803,91 123.077,42R$ -R$ 12.307,75R$
PE MOREILÂNDIA R$ 108.039,06 R$ 10.803,91 123.077,42R$ -R$ 12.307,75R$
PE MORENO R$ 242.302,06 R$ 24.672,26 276.028,99R$ -R$ 28.106,48R$
PE NAZARÉ DA MATA R$ 108.039,06 R$ 27.458,32 123.077,42R$ -R$ 31.280,35R$
PE OLINDA SIM R$ 1.270.350,41 R$ 92.509,27 1.447.175,25R$ 578.870,10R$ 105.385,98R$
PE OROBÓ R$ 227.320,94 R$ 10.803,91 258.962,59R$ -R$ 12.307,75R$
PE OROCÓ R$ 108.039,06 R$ 10.803,91 123.077,42R$ -R$ 12.307,75R$
PE OURICURI R$ 247.135,59 R$ 22.928,82 281.535,32R$ -R$ 26.120,37R$
PE PALMARES R$ 370.786,15 R$ 23.408,22 422.397,26R$ -R$ 26.666,50R$
PE PALMEIRINA R$ 108.039,06 R$ 10.803,91 123.077,42R$ -R$ 12.307,75R$
PE PANELAS R$ 108.039,06 R$ 10.803,91 123.077,42R$ -R$ 12.307,75R$
PE PARANATAMA R$ 108.039,06 R$ 10.803,91 123.077,42R$ -R$ 12.307,75R$
PE PARNAMIRIM R$ 150.105,50 R$ 10.803,91 170.999,25R$ -R$ 12.307,75R$
PE PASSIRA R$ 108.039,06 R$ 10.803,91 123.077,42R$ -R$ 12.307,75R$
44
Tribunal Superior Eleitoral
PREFEITO
1º TURNO 1º TURNO 2º TURNO
UF
POSSIBILIDADE
DE SEGUNDO
TURNO
VEREADORVEREADOR
LIMITE DE GASTOS OBSERVADO
O MÍNIMO LEGAL (R$ 100,000,00
PARA PREFEITO E R$ 10.000,00
PARA VEREADOR ) EM 2016***
LIMITE DE GASTOS 2020 (ATUALIZADO PELO IPCA DE
JUNHO/2016 ATÉ JUNHO/2020*)
PREFEITO
MUNICÍPIO**
PE PAUDALHO R$ 170.130,92 R$ 15.664,78 193.812,08R$ -R$ 17.845,22R$
PE PAULISTA SIM R$ 1.043.246,02 R$ 49.043,73 1.188.459,34R$ 475.383,74R$ 55.870,31R$
PE PEDRA R$ 108.039,06 R$ 10.803,91 123.077,42R$ -R$ 12.307,75R$
PE PESQUEIRA R$ 163.857,52 R$ 20.258,14 186.665,46R$ -R$ 23.077,95R$
PE PETROLÂNDIA R$ 108.039,06 R$ 10.803,91 123.077,42R$ -R$ 12.307,75R$
PE PETROLINA SIM R$ 2.054.481,63 R$ 115.185,43 2.340.452,63R$ 936.181,05R$ 131.218,52R$
PE POÇÃO R$ 108.039,06 R$ 10.803,91 123.077,42R$ -R$ 12.307,75R$
PE POMBOS R$ 108.039,06 R$ 10.803,91 123.077,42R$ -R$ 12.307,75R$
PE PRIMAVERA R$ 108.039,06 R$ 10.803,91 123.077,42R$ -R$ 12.307,75R$
PE QUIPAPÁ R$ 398.793,13 R$ 45.247,15 454.302,64R$ -R$ 51.545,27R$
PE QUIXABA R$ 108.039,06 R$ 10.803,91 123.077,42R$ -R$ 12.307,75R$
PE RECIFE SIM R$ 6.607.443,14 R$ 887.601,12 7.527.157,92R$ 3.010.863,17R$ 1.011.149,65R$
PE RIACHO DAS ALMAS R$ 203.557,85 R$ 18.101,11 231.891,83R$ -R$ 20.620,67R$
PE RIBEIRÃO R$ 158.057,68 R$ 10.803,91 180.058,32R$ -R$ 12.307,75R$
PE RIO FORMOSO R$ 108.039,06 R$ 26.181,89 123.077,42R$ -R$ 29.826,25R$
PE SAIRÉ R$ 159.783,88 R$ 18.256,07 182.024,80R$ -R$ 20.797,20R$
PE SALGADINHO R$ 108.039,06 R$ 10.803,91 123.077,42R$ -R$ 12.307,75R$
PE SALGUEIRO R$ 249.831,21 R$ 26.385,74 284.606,15R$ -R$ 30.058,47R$
PE SALOÁ R$ 108.039,06 R$ 10.803,91 123.077,42R$ -R$ 12.307,75R$
PE SANHARÓ R$ 108.039,06 R$ 10.803,91 123.077,42R$ -R$ 12.307,75R$
PE SANTA CRUZ R$ 108.039,06 R$ 16.670,70 123.077,42R$ -R$ 18.991,16R$
PE SANTA CRUZ DA BAIXA VERDE R$ 108.039,06 R$ 10.803,91 123.077,42R$ -R$ 12.307,75R$
PE SANTA CRUZ DO CAPIBARIBE R$ 499.063,17 R$ 37.914,76 568.529,64R$ -R$ 43.192,26R$
PE SANTA FILOMENA R$ 108.039,06 R$ 10.803,91 123.077,42R$ -R$ 12.307,75R$
PE SANTA MARIA DA BOA VISTA R$ 228.923,01 R$ 28.823,99 260.787,66R$ -R$ 32.836,11R$
PE SANTA MARIA DO CAMBUCÁ R$ 108.039,06 R$ 10.803,91 123.077,42R$ -R$ 12.307,75R$
PE SANTA TEREZINHA R$ 108.039,06 R$ 10.803,91 123.077,42R$ -R$ 12.307,75R$
PE SÃO BENEDITO DO SUL R$ 108.039,06 R$ 10.803,91 123.077,42R$ -R$ 12.307,75R$
PE SÃO BENTO DO UNA R$ 469.202,02 R$ 15.121,71 534.512,01R$ -R$ 17.226,56R$
PE SÃO CAITANO R$ 264.130,37 R$ 36.401,85 300.895,67R$ -R$ 41.468,76R$
PE SÃO JOÃO R$ 108.039,06 R$ 10.803,91 123.077,42R$ -R$ 12.307,75R$
PE SÃO JOAQUIM DO MONTE R$ 153.246,02 R$ 10.803,91 174.576,91R$ -R$ 12.307,75R$
PE SÃO JOSÉ DA COROA GRANDE R$ 140.196,49 R$ 10.803,91 159.710,97R$ -R$ 12.307,75R$
PE SÃO JOSÉ DO BELMONTE R$ 189.975,47 R$ 18.913,84 216.418,87R$ -R$ 21.546,53R$
PE SÃO JOSÉ DO EGITO R$ 155.285,40 R$ 18.268,48 176.900,16R$ -R$ 20.811,34R$
PE SÃO LOURENÇO DA MATA R$ 369.401,84 R$ 15.819,27 420.820,27R$ -R$ 18.021,21R$
PE SÃO VICENTE FÉRRER R$ 149.812,59 R$ 10.803,91 170.665,57R$ -R$ 12.307,75R$
PE SERRA TALHADA R$ 270.409,87 R$ 30.685,60 308.049,23R$ -R$ 34.956,84R$
PE SERRITA R$ 108.039,06 R$ 10.803,91 123.077,42R$ -R$ 12.307,75R$
PE SERTÂNIA R$ 242.558,29 R$ 15.580,51 276.320,89R$ -R$ 17.749,22R$
PE SIRINHAÉM R$ 160.112,20 R$ 13.402,46 182.398,82R$ -R$ 15.268,00R$
PE SOLIDÃO R$ 108.039,06 R$ 10.803,91 123.077,42R$ -R$ 12.307,75R$
PE SURUBIM R$ 230.699,04 R$ 16.940,34 262.810,90R$ -R$ 19.298,33R$
PE TABIRA R$ 108.039,06 R$ 10.803,91 123.077,42R$ -R$ 12.307,75R$
PE TACAIMBÓ R$ 108.039,06 R$ 10.803,91 123.077,42R$ -R$ 12.307,75R$
PE TACARATU R$ 108.039,06 R$ 10.803,91 123.077,42R$ -R$ 12.307,75R$
PE TAMANDARÉ R$ 108.039,06 R$ 10.803,91 123.077,42R$ -R$ 12.307,75R$
PE TAQUARITINGA DO NORTE R$ 156.788,23 R$ 19.739,68 178.612,17R$ -R$ 22.487,32R$
PE TEREZINHA R$ 108.039,06 R$ 10.803,91 123.077,42R$ -R$ 12.307,75R$
PE TERRA NOVA R$ 108.039,06 R$ 10.803,91 123.077,42R$ -R$ 12.307,75R$
PE TIMBAÚBA R$ 486.007,66 R$ 40.190,97 553.656,89R$ -R$ 45.785,30R$
PE TORITAMA R$ 177.005,82 R$ 10.803,91 201.643,92R$ -R$ 12.307,75R$
PE TRACUNHAÉM R$ 108.039,06 R$ 10.803,91 123.077,42R$ -R$ 12.307,75R$
PE TRINDADE R$ 108.039,06 R$ 10.803,91 123.077,42R$ -R$ 12.307,75R$
PE TRIUNFO R$ 108.039,06 R$ 10.803,91 123.077,42R$ -R$ 12.307,75R$
PE TUPANATINGA R$ 180.243,27 R$ 34.269,62 205.332,01R$ -R$ 39.039,74R$
PE TUPARETAMA R$ 108.039,06 R$ 10.803,91 123.077,42R$ -R$ 12.307,75R$
PE VENTUROSA R$ 108.039,06 R$ 10.803,91 123.077,42R$ -R$ 12.307,75R$
PE VERDEJANTE R$ 108.039,06 R$ 10.803,91 123.077,42R$ -R$ 12.307,75R$
PE VERTENTE DO LÉRIO R$ 108.039,06 R$ 10.803,91 123.077,42R$ -R$ 12.307,75R$
PE VERTENTES R$ 108.039,06 R$ 20.599,23 123.077,42R$ -R$ 23.466,51R$
PE VICÊNCIA R$ 178.475,95 R$ 25.096,50 203.318,69R$ -R$ 28.589,78R$
PE VITÓRIA DE SANTO ANTÃO R$ 524.181,31 R$ 31.540,23 597.144,07R$ -R$ 35.930,43R$
PE XEXÉU R$ 108.039,06 R$ 10.803,91 123.077,42R$ -R$ 12.307,75R$
PI ACAUÃ R$ 108.039,06 R$ 14.872,64 123.077,42R$ -R$ 16.942,82R$
PI AGRICOLÂNDIA R$ 108.039,06 R$ 34.367,58 123.077,42R$ -R$ 39.151,33R$
45
Tribunal Superior Eleitoral
PREFEITO
1º TURNO 1º TURNO 2º TURNO
UF
POSSIBILIDADE
DE SEGUNDO
TURNO
VEREADORVEREADOR
LIMITE DE GASTOS OBSERVADO
O MÍNIMO LEGAL (R$ 100,000,00
PARA PREFEITO E R$ 10.000,00
PARA VEREADOR ) EM 2016***
LIMITE DE GASTOS 2020 (ATUALIZADO PELO IPCA DE
JUNHO/2016 ATÉ JUNHO/2020*)
PREFEITO
MUNICÍPIO**
PI ÁGUA BRANCA R$ 108.039,06 R$ 23.125,78 123.077,42R$ -R$ 26.344,74R$
PI ALAGOINHA DO PIAUÍ R$ 108.039,06 R$ 10.803,91 123.077,42R$ -R$ 12.307,75R$
PI ALEGRETE DO PIAUÍ R$ 108.039,06 R$ 10.803,91 123.077,42R$ -R$ 12.307,75R$
PI ALTO LONGÁ R$ 108.039,06 R$ 54.569,23 123.077,42R$ -R$ 62.164,93R$
PI ALTOS R$ 206.976,81 R$ 111.219,61 235.786,69R$ -R$ 126.700,68R$
PI ALVORADA DO GURGUÉIA R$ 108.039,06 R$ 10.803,91 123.077,42R$ -R$ 12.307,75R$
PI AMARANTE R$ 108.039,06 R$ 19.416,42 123.077,42R$ -R$ 22.119,06R$
PI ANGICAL DO PIAUÍ R$ 133.913,72 R$ 26.330,40 152.553,67R$ -R$ 29.995,43R$
PI ANÍSIO DE ABREU R$ 108.039,06 R$ 10.803,91 123.077,42R$ -R$ 12.307,75R$
PI ANTÔNIO ALMEIDA R$ 108.039,06 R$ 10.803,91 123.077,42R$ -R$ 12.307,75R$
PI AROAZES R$ 108.039,06 R$ 20.095,26 123.077,42R$ -R$ 22.892,39R$
PI AROEIRAS DO ITAIM R$ 108.039,06 R$ 10.803,91 123.077,42R$ -R$ 12.307,75R$
PI ARRAIAL R$ 108.039,06 R$ 19.851,88 123.077,42R$ -R$ 22.615,14R$
PI ASSUNÇÃO DO PIAUÍ R$ 108.039,06 R$ 29.930,36 123.077,42R$ -R$ 34.096,48R$
PI AVELINO LOPES R$ 108.039,06 R$ 16.844,53 123.077,42R$ -R$ 19.189,18R$
PI BAIXA GRANDE DO RIBEIRO R$ 137.573,37 R$ 20.533,69 156.722,72R$ -R$ 23.391,85R$
PI BARRA D'ALCÂNTARA R$ 108.039,06 R$ 10.803,91 123.077,42R$ -R$ 12.307,75R$
PI BARRAS R$ 250.566,34 R$ 46.752,27 285.443,61R$ -R$ 53.259,89R$
PI BARREIRAS DO PIAUÍ R$ 108.039,06 R$ 10.803,91 123.077,42R$ -R$ 12.307,75R$
PI BARRO DURO R$ 108.039,06 R$ 10.803,91 123.077,42R$ -R$ 12.307,75R$
PI BATALHA R$ 108.039,06 R$ 24.286,96 123.077,42R$ -R$ 27.667,55R$
PI BELA VISTA DO PIAUÍ R$ 108.039,06 R$ 10.803,91 123.077,42R$ -R$ 12.307,75R$
PI BELÉM DO PIAUÍ R$ 108.039,06 R$ 10.803,91 123.077,42R$ -R$ 12.307,75R$
PI BENEDITINOS R$ 108.039,06 R$ 53.428,44 123.077,42R$ -R$ 60.865,34R$
PI BERTOLÍNIA R$ 108.039,06 R$ 10.803,91 123.077,42R$ -R$ 12.307,75R$
PI BETÂNIA DO PIAUÍ R$ 108.039,06 R$ 15.164,48 123.077,42R$ -R$ 17.275,28R$
PI BOA HORA R$ 108.039,06 R$ 21.696,61 123.077,42R$ -R$ 24.716,64R$
PI BOCAINA R$ 108.039,06 R$ 14.220,38 123.077,42R$ -R$ 16.199,77R$
PI BOM JESUS R$ 192.070,84 R$ 10.803,91 218.805,90R$ -R$ 12.307,75R$
PI BOM PRINCÍPIO DO PIAUÍ R$ 108.039,06 R$ 10.803,91 123.077,42R$ -R$ 12.307,75R$
PI BONFIM DO PIAUÍ R$ 108.039,06 R$ 13.409,72 123.077,42R$ -R$ 15.276,27R$
PI BOQUEIRÃO DO PIAUÍ R$ 108.039,06 R$ 10.803,91 123.077,42R$ -R$ 12.307,75R$
PI BRASILEIRA R$ 108.039,06 R$ 10.803,91 123.077,42R$ -R$ 12.307,75R$
PI BREJO DO PIAUÍ R$ 108.039,06 R$ 10.803,91 123.077,42R$ -R$ 12.307,75R$
PI BURITI DOS LOPES R$ 108.039,06 R$ 38.708,27 123.077,42R$ -R$ 44.096,22R$
PI BURITI DOS MONTES R$ 108.039,06 R$ 14.797,74 123.077,42R$ -R$ 16.857,49R$
PI CABECEIRAS DO PIAUÍ R$ 143.172,13 R$ 26.552,84 163.100,80R$ -R$ 30.248,83R$
PI CAJAZEIRAS DO PIAUÍ R$ 108.039,06 R$ 10.803,91 123.077,42R$ -R$ 12.307,75R$
PI CAJUEIRO DA PRAIA R$ 108.039,06 R$ 16.637,62 123.077,42R$ -R$ 18.953,47R$
PI CALDEIRÃO GRANDE DO PIAUÍ R$ 108.039,06 R$ 10.803,91 123.077,42R$ -R$ 12.307,75R$
PI CAMPINAS DO PIAUÍ R$ 108.039,06 R$ 10.803,91 123.077,42R$ -R$ 12.307,75R$
PI CAMPO ALEGRE DO FIDALGO R$ 108.039,06 R$ 13.623,58 123.077,42R$ -R$ 15.519,90R$
PI CAMPO GRANDE DO PIAUÍ R$ 146.337,78 R$ 10.803,91 166.707,08R$ -R$ 12.307,75R$
PI CAMPO LARGO DO PIAUÍ R$ 108.039,06 R$ 23.581,57 123.077,42R$ -R$ 26.863,98R$
PI CAMPO MAIOR R$ 239.061,63 R$ 26.656,27 272.337,51R$ -R$ 30.366,66R$
PI CANAVIEIRA R$ 108.039,06 R$ 14.438,75 123.077,42R$ -R$ 16.448,53R$
PI CANTO DO BURITI R$ 108.039,06 R$ 10.803,91 123.077,42R$ -R$ 12.307,75R$
PI CAPITÃO DE CAMPOS R$ 108.039,06 R$ 10.803,91 123.077,42R$ -R$ 12.307,75R$
PI CAPITÃO GERVÁSIO OLIVEIRA R$ 108.039,06 R$ 10.803,91 123.077,42R$ -R$ 12.307,75R$
PI CARACOL R$ 108.039,06 R$ 13.576,77 123.077,42R$ -R$ 15.466,57R$
PI CARAÚBAS DO PIAUÍ R$ 108.039,06 R$ 16.204,84 123.077,42R$ -R$ 18.460,45R$
PI CARIDADE DO PIAUÍ R$ 108.039,06 R$ 10.803,91 123.077,42R$ -R$ 12.307,75R$
PI CASTELO DO PIAUÍ R$ 108.039,06 R$ 26.008,40 123.077,42R$ -R$ 29.628,61R$
PI CAXINGÓ R$ 108.039,06 R$ 10.803,91 123.077,42R$ -R$ 12.307,75R$
PI COCAL R$ 108.039,06 R$ 14.362,55 123.077,42R$ -R$ 16.361,73R$
PI COCAL DE TELHA R$ 108.039,06 R$ 10.803,91 123.077,42R$ -R$ 12.307,75R$
PI COCAL DOS ALVES R$ 108.039,06 R$ 10.803,91 123.077,42R$ -R$ 12.307,75R$
PI COIVARAS R$ 108.039,06 R$ 18.540,54 123.077,42R$ -R$ 21.121,27R$
PI COLÔNIA DO GURGUÉIA R$ 108.039,06 R$ 21.014,14 123.077,42R$ -R$ 23.939,18R$
PI COLÔNIA DO PIAUÍ R$ 108.039,06 R$ 10.803,91 123.077,42R$ -R$ 12.307,75R$
PI CONCEIÇÃO DO CANINDÉ R$ 108.039,06 R$ 10.803,91 123.077,42R$ -R$ 12.307,75R$
PI CORONEL JOSÉ DIAS R$ 108.039,06 R$ 10.803,91 123.077,42R$ -R$ 12.307,75R$
PI CORRENTE R$ 311.549,92 R$ 26.656,34 354.915,72R$ -R$ 30.366,74R$
PI CRISTALÂNDIA DO PIAUÍ R$ 108.039,06 R$ 15.827,57 123.077,42R$ -R$ 18.030,67R$
PI CRISTINO CASTRO R$ 108.039,06 R$ 10.803,91 123.077,42R$ -R$ 12.307,75R$
PI CURIMATÁ R$ 108.039,06 R$ 18.889,96 123.077,42R$ -R$ 21.519,32R$
46
Tribunal Superior Eleitoral
PREFEITO
1º TURNO 1º TURNO 2º TURNO
UF
POSSIBILIDADE
DE SEGUNDO
TURNO
VEREADORVEREADOR
LIMITE DE GASTOS OBSERVADO
O MÍNIMO LEGAL (R$ 100,000,00
PARA PREFEITO E R$ 10.000,00
PARA VEREADOR ) EM 2016***
LIMITE DE GASTOS 2020 (ATUALIZADO PELO IPCA DE
JUNHO/2016 ATÉ JUNHO/2020*)
PREFEITO
MUNICÍPIO**
PI CURRAIS R$ 108.039,06 R$ 10.803,91 123.077,42R$ -R$ 12.307,75R$
PI CURRAL NOVO DO PIAUÍ R$ 108.039,06 R$ 10.803,91 123.077,42R$ -R$ 12.307,75R$
PI CURRALINHOS R$ 108.039,06 R$ 24.200,73 123.077,42R$ -R$ 27.569,32R$
PI DEMERVAL LOBÃO R$ 304.141,40 R$ 22.469,13 346.475,98R$ -R$ 25.596,69R$
PI DIRCEU ARCOVERDE R$ 108.039,06 R$ 10.803,91 123.077,42R$ -R$ 12.307,75R$
PI DOM EXPEDITO LOPES R$ 108.039,06 R$ 13.400,23 123.077,42R$ -R$ 15.265,46R$
PI DOM INOCÊNCIO R$ 108.039,06 R$ 10.803,91 123.077,42R$ -R$ 12.307,75R$
PI DOMINGOS MOURÃO R$ 108.039,06 R$ 10.803,91 123.077,42R$ -R$ 12.307,75R$
PI ELESBÃO VELOSO R$ 108.039,06 R$ 33.856,77 123.077,42R$ -R$ 38.569,42R$
PI ELISEU MARTINS R$ 108.039,06 R$ 10.803,91 123.077,42R$ -R$ 12.307,75R$
PI ESPERANTINA R$ 280.135,36 R$ 36.293,98 319.128,45R$ -R$ 41.345,88R$
PI FARTURA DO PIAUÍ R$ 108.039,06 R$ 10.803,91 123.077,42R$ -R$ 12.307,75R$
PI FLORES DO PIAUÍ R$ 108.039,06 R$ 10.803,91 123.077,42R$ -R$ 12.307,75R$
PI FLORESTA DO PIAUÍ R$ 108.039,06 R$ 10.803,91 123.077,42R$ -R$ 12.307,75R$
PI FLORIANO R$ 359.811,31 R$ 142.952,00 409.894,80R$ -R$ 162.850,02R$
PI FRANCINÓPOLIS R$ 108.039,06 R$ 10.803,91 123.077,42R$ -R$ 12.307,75R$
PI FRANCISCO AYRES R$ 108.039,06 R$ 18.289,40 123.077,42R$ -R$ 20.835,17R$
PI FRANCISCO MACEDO R$ 108.039,06 R$ 10.803,91 123.077,42R$ -R$ 12.307,75R$
PI FRANCISCO SANTOS R$ 108.039,06 R$ 18.171,33 123.077,42R$ -R$ 20.700,67R$
PI FRONTEIRAS R$ 108.039,06 R$ 18.650,73 123.077,42R$ -R$ 21.246,80R$
PI GEMINIANO R$ 108.039,06 R$ 17.714,42 123.077,42R$ -R$ 20.180,16R$
PI GILBUÉS R$ 108.039,06 R$ 10.803,91 123.077,42R$ -R$ 12.307,75R$
PI GUADALUPE R$ 209.442,68 R$ 26.849,01 238.595,79R$ -R$ 30.586,22R$
PI GUARIBAS R$ 108.039,06 R$ 10.803,91 123.077,42R$ -R$ 12.307,75R$
PI HUGO NAPOLEÃO R$ 108.039,06 R$ 10.803,91 123.077,42R$ -R$ 12.307,75R$
PI ILHA GRANDE R$ 108.039,06 R$ 10.803,91 123.077,42R$ -R$ 12.307,75R$
PI INHUMA R$ 108.039,06 R$ 40.816,40 123.077,42R$ -R$ 46.497,79R$
PI IPIRANGA DO PIAUÍ R$ 108.039,06 R$ 10.803,91 123.077,42R$ -R$ 12.307,75R$
PI ISAÍAS COELHO R$ 108.039,06 R$ 16.557,10 123.077,42R$ -R$ 18.861,74R$
PI ITAINÓPOLIS R$ 108.039,06 R$ 10.803,91 123.077,42R$ -R$ 12.307,75R$
PI ITAUEIRA R$ 108.039,06 R$ 27.851,47 123.077,42R$ -R$ 31.728,22R$
PI JACOBINA DO PIAUÍ R$ 108.039,06 R$ 10.803,91 123.077,42R$ -R$ 12.307,75R$
PI JAICÓS R$ 108.039,06 R$ 10.803,91 123.077,42R$ -R$ 12.307,75R$
PI JARDIM DO MULATO R$ 108.039,06 R$ 18.599,23 123.077,42R$ -R$ 21.188,13R$
PI JATOBÁ DO PIAUÍ R$ 108.039,06 R$ 14.101,11 123.077,42R$ -R$ 16.063,90R$
PI JERUMENHA R$ 108.039,06 R$ 36.767,94 123.077,42R$ -R$ 41.885,81R$
PI JOÃO COSTA R$ 108.039,06 R$ 15.376,39 123.077,42R$ -R$ 17.516,69R$
PI JOAQUIM PIRES R$ 108.039,06 R$ 16.020,58 123.077,42R$ -R$ 18.250,54R$
PI JOCA MARQUES R$ 108.039,06 R$ 18.573,63 123.077,42R$ -R$ 21.158,96R$
PI JOSÉ DE FREITAS R$ 197.608,19 R$ 59.067,41 225.114,01R$ -R$ 67.289,22R$
PI JUAZEIRO DO PIAUÍ R$ 108.039,06 R$ 10.803,91 123.077,42R$ -R$ 12.307,75R$
PI JÚLIO BORGES R$ 108.039,06 R$ 10.803,91 123.077,42R$ -R$ 12.307,75R$
PI JUREMA R$ 108.039,06 R$ 10.803,91 123.077,42R$ -R$ 12.307,75R$
PI LAGOA ALEGRE R$ 108.039,06 R$ 14.199,89 123.077,42R$ -R$ 16.176,43R$
PI LAGOA DE SÃO FRANCISCO R$ 108.039,06 R$ 17.107,96 123.077,42R$ -R$ 19.489,28R$
PI LAGOA DO BARRO DO PIAUÍ R$ 108.039,06 R$ 36.120,44 123.077,42R$ -R$ 41.148,18R$
PI LAGOA DO PIAUÍ R$ 108.039,06 R$ 17.133,08 123.077,42R$ -R$ 19.517,90R$
PI LAGOA DO SÍTIO R$ 108.039,06 R$ 10.803,91 123.077,42R$ -R$ 12.307,75R$
PI LAGOINHA DO PIAUÍ R$ 108.039,06 R$ 10.803,91 123.077,42R$ -R$ 12.307,75R$
PI LANDRI SALES R$ 108.039,06 R$ 13.925,07 123.077,42R$ -R$ 15.863,35R$
PI LUIS CORREIA R$ 108.039,06 R$ 31.741,54 123.077,42R$ -R$ 36.159,76R$
PI LUZILÂNDIA R$ 108.039,06 R$ 13.665,72 123.077,42R$ -R$ 15.567,90R$
PI MADEIRO R$ 108.039,06 R$ 10.803,91 123.077,42R$ -R$ 12.307,75R$
PI MANOEL EMÍDIO R$ 108.039,06 R$ 10.803,91 123.077,42R$ -R$ 12.307,75R$
PI MARCOLÂNDIA R$ 108.039,06 R$ 10.803,91 123.077,42R$ -R$ 12.307,75R$
PI MARCOS PARENTE R$ 108.039,06 R$ 23.000,24 123.077,42R$ -R$ 26.201,73R$
PI MASSAPÊ DO PIAUÍ R$ 108.039,06 R$ 10.803,91 123.077,42R$ -R$ 12.307,75R$
PI MATIAS OLÍMPIO R$ 108.039,06 R$ 15.646,05 123.077,42R$ -R$ 17.823,88R$
PI MIGUEL ALVES R$ 194.927,48 R$ 32.499,97 222.060,17R$ -R$ 37.023,76R$
PI MIGUEL LEÃO R$ 108.039,06 R$ 10.803,91 123.077,42R$ -R$ 12.307,75R$
PI MILTON BRANDÃO R$ 108.039,06 R$ 24.552,41 123.077,42R$ -R$ 27.969,95R$
PI MONSENHOR GIL R$ 108.039,06 R$ 33.613,73 123.077,42R$ -R$ 38.292,55R$
PI MONSENHOR HIPÓLITO R$ 108.039,06 R$ 10.803,91 123.077,42R$ -R$ 12.307,75R$
PI MONTE ALEGRE DO PIAUÍ R$ 108.039,06 R$ 10.803,91 123.077,42R$ -R$ 12.307,75R$
PI MORRO CABEÇA NO TEMPO R$ 108.039,06 R$ 10.803,91 123.077,42R$ -R$ 12.307,75R$
PI MORRO DO CHAPÉU DO PIAUÍ R$ 108.039,06 R$ 10.803,91 123.077,42R$ -R$ 12.307,75R$
47
Tribunal Superior Eleitoral
PREFEITO
1º TURNO 1º TURNO 2º TURNO
UF
POSSIBILIDADE
DE SEGUNDO
TURNO
VEREADORVEREADOR
LIMITE DE GASTOS OBSERVADO
O MÍNIMO LEGAL (R$ 100,000,00
PARA PREFEITO E R$ 10.000,00
PARA VEREADOR ) EM 2016***
LIMITE DE GASTOS 2020 (ATUALIZADO PELO IPCA DE
JUNHO/2016 ATÉ JUNHO/2020*)
PREFEITO
MUNICÍPIO**
PI MURICI DOS PORTELAS R$ 108.039,06 R$ 10.803,91 123.077,42R$ -R$ 12.307,75R$
PI NAZARÉ DO PIAUÍ R$ 149.127,86 R$ 23.830,98 169.885,53R$ -R$ 27.148,10R$
PI NAZÁRIA R$ 140.270,87 R$ 25.881,77 159.795,70R$ -R$ 29.484,35R$
PI NOSSA SENHORA DE NAZARÉ R$ 108.039,06 R$ 10.803,91 123.077,42R$ -R$ 12.307,75R$
PI NOSSA SENHORA DOS REMÉDIOS R$ 108.039,06 R$ 17.149,80 123.077,42R$ -R$ 19.536,94R$
PI NOVA SANTA RITA R$ 108.039,06 R$ 10.803,91 123.077,42R$ -R$ 12.307,75R$
PI NOVO ORIENTE DO PIAUÍ R$ 108.039,06 R$ 10.803,91 123.077,42R$ -R$ 12.307,75R$
PI NOVO SANTO ANTÔNIO R$ 108.039,06 R$ 20.073,23 123.077,42R$ -R$ 22.867,30R$
PI OEIRAS R$ 231.537,33 R$ 33.702,21 263.765,88R$ -R$ 38.393,35R$
PI OLHO D'ÁGUA DO PIAUÍ R$ 108.039,06 R$ 13.606,90 123.077,42R$ -R$ 15.500,90R$
PI PADRE MARCOS R$ 108.039,06 R$ 10.803,91 123.077,42R$ -R$ 12.307,75R$
PI PAES LANDIM R$ 108.039,06 R$ 10.803,91 123.077,42R$ -R$ 12.307,75R$
PI PAJEÚ DO PIAUÍ R$ 108.039,06 R$ 10.803,91 123.077,42R$ -R$ 12.307,75R$
PI PALMEIRA DO PIAUÍ R$ 108.039,06 R$ 10.803,91 123.077,42R$ -R$ 12.307,75R$
PI PALMEIRAIS R$ 108.039,06 R$ 17.887,22 123.077,42R$ -R$ 20.377,01R$
PI PAQUETÁ R$ 108.039,06 R$ 10.803,91 123.077,42R$ -R$ 12.307,75R$
PI PARNAGUÁ R$ 108.039,06 R$ 10.803,91 123.077,42R$ -R$ 12.307,75R$
PI PARNAÍBA R$ 663.341,77 R$ 79.661,53 755.674,80R$ -R$ 90.749,92R$
PI PASSAGEM FRANCA DO PIAUÍ R$ 108.039,06 R$ 10.803,91 123.077,42R$ -R$ 12.307,75R$
PI PATOS DO PIAUÍ R$ 108.039,06 R$ 10.803,91 123.077,42R$ -R$ 12.307,75R$
PI PAU D'ARCO DO PIAUÍ R$ 108.039,06 R$ 10.803,91 123.077,42R$ -R$ 12.307,75R$
PI PAULISTANA R$ 233.497,03 R$ 22.671,25 265.998,36R$ -R$ 25.826,95R$
PI PAVUSSU R$ 108.039,06 R$ 17.001,12 123.077,42R$ -R$ 19.367,57R$
PI PEDRO II R$ 108.039,06 R$ 21.156,35 123.077,42R$ -R$ 24.101,18R$
PI PEDRO LAURENTINO R$ 108.039,06 R$ 13.964,59 123.077,42R$ -R$ 15.908,37R$
PI PICOS R$ 310.429,40 R$ 42.748,18 353.639,23R$ -R$ 48.698,46R$
PI PIMENTEIRAS R$ 108.039,06 R$ 34.835,17 123.077,42R$ -R$ 39.684,01R$
PI PIO IX R$ 108.039,06 R$ 26.672,26 123.077,42R$ -R$ 30.384,87R$
PI PIRACURUCA R$ 108.039,06 R$ 48.634,36 123.077,42R$ -R$ 55.403,96R$
PI PIRIPIRI R$ 307.205,23 R$ 53.982,58 349.966,28R$ -R$ 61.496,62R$
PI PORTO R$ 108.039,06 R$ 15.899,80 123.077,42R$ -R$ 18.112,95R$
PI PORTO ALEGRE DO PIAUÍ R$ 108.039,06 R$ 10.803,91 123.077,42R$ -R$ 12.307,75R$
PI PRATA DO PIAUÍ R$ 108.039,06 R$ 10.803,91 123.077,42R$ -R$ 12.307,75R$
PI QUEIMADA NOVA R$ 108.039,06 R$ 17.952,32 123.077,42R$ -R$ 20.451,17R$
PI REDENÇÃO DO GURGUÉIA R$ 108.039,06 R$ 10.803,91 123.077,42R$ -R$ 12.307,75R$
PI REGENERAÇÃO R$ 108.039,06 R$ 28.426,94 123.077,42R$ -R$ 32.383,79R$
PI RIACHO FRIO R$ 108.039,06 R$ 10.803,91 123.077,42R$ -R$ 12.307,75R$
PI RIBEIRA DO PIAUÍ R$ 108.039,06 R$ 10.803,91 123.077,42R$ -R$ 12.307,75R$
PI RIBEIRO GONÇALVES R$ 108.039,06 R$ 10.803,91 123.077,42R$ -R$ 12.307,75R$
PI RIO GRANDE DO PIAUÍ R$ 149.391,24 R$ 58.852,00 170.185,57R$ -R$ 67.043,83R$
PI SANTA CRUZ DO PIAUÍ R$ 108.039,06 R$ 14.297,89 123.077,42R$ -R$ 16.288,07R$
PI SANTA CRUZ DOS MILAGRES R$ 108.039,06 R$ 10.803,91 123.077,42R$ -R$ 12.307,75R$
PI SANTA FILOMENA R$ 108.039,06 R$ 10.803,91 123.077,42R$ -R$ 12.307,75R$
PI SANTA LUZ R$ 108.039,06 R$ 10.803,91 123.077,42R$ -R$ 12.307,75R$
PI SANTA ROSA DO PIAUÍ R$ 108.039,06 R$ 10.803,91 123.077,42R$ -R$ 12.307,75R$
PI SANTANA DO PIAUÍ R$ 108.039,06 R$ 10.803,91 123.077,42R$ -R$ 12.307,75R$
PI SANTO ANTÔNIO DE LISBOA R$ 108.039,06 R$ 10.803,91 123.077,42R$ -R$ 12.307,75R$
PI SANTO ANTÔNIO DOS MILAGRES R$ 108.039,06 R$ 10.803,91 123.077,42R$ -R$ 12.307,75R$
PI SANTO INÁCIO DO PIAUÍ R$ 108.039,06 R$ 10.803,91 123.077,42R$ -R$ 12.307,75R$
PI SÃO BRAZ DO PIAUÍ R$ 108.039,06 R$ 10.803,91 123.077,42R$ -R$ 12.307,75R$
PI SÃO FÉLIX DO PIAUÍ R$ 108.039,06 R$ 40.543,03 123.077,42R$ -R$ 46.186,37R$
PI SÃO FRANCISCO DE ASSIS DO PIAUÍ R$ 108.039,06 R$ 13.623,53 123.077,42R$ -R$ 15.519,84R$
PI SÃO FRANCISCO DO PIAUÍ R$ 108.039,06 R$ 40.958,76 123.077,42R$ -R$ 46.659,96R$
PI SÃO GONÇALO DO GURGUÉIA R$ 108.039,06 R$ 10.803,91 123.077,42R$ -R$ 12.307,75R$
PI SÃO GONÇALO DO PIAUÍ R$ 108.039,06 R$ 20.193,56 123.077,42R$ -R$ 23.004,38R$
PI SÃO JOÃO DA CANABRAVA R$ 108.039,06 R$ 10.803,91 123.077,42R$ -R$ 12.307,75R$
PI SÃO JOÃO DA FRONTEIRA R$ 108.039,06 R$ 17.668,51 123.077,42R$ -R$ 20.127,86R$
PI SÃO JOÃO DA SERRA R$ 108.039,06 R$ 15.502,66 123.077,42R$ -R$ 17.660,53R$
PI SÃO JOÃO DA VARJOTA R$ 108.039,06 R$ 10.803,91 123.077,42R$ -R$ 12.307,75R$
PI SÃO JOÃO DO ARRAIAL R$ 108.039,06 R$ 10.803,91 123.077,42R$ -R$ 12.307,75R$
PI SÃO JOÃO DO PIAUÍ R$ 528.137,12 R$ 23.544,45 601.650,51R$ -R$ 26.821,69R$
PI SÃO JOSÉ DO DIVINO R$ 108.039,06 R$ 10.803,91 123.077,42R$ -R$ 12.307,75R$
PI SÃO JOSÉ DO PEIXE R$ 108.039,06 R$ 28.079,47 123.077,42R$ -R$ 31.987,96R$
PI SÃO JOSÉ DO PIAUÍ R$ 108.039,06 R$ 10.803,91 123.077,42R$ -R$ 12.307,75R$
PI SÃO JULIÃO R$ 108.039,06 R$ 10.803,91 123.077,42R$ -R$ 12.307,75R$
PI SÃO LOURENÇO DO PIAUÍ R$ 108.039,06 R$ 10.803,91 123.077,42R$ -R$ 12.307,75R$
48
Tribunal Superior Eleitoral
PREFEITO
1º TURNO 1º TURNO 2º TURNO
UF
POSSIBILIDADE
DE SEGUNDO
TURNO
VEREADORVEREADOR
LIMITE DE GASTOS OBSERVADO
O MÍNIMO LEGAL (R$ 100,000,00
PARA PREFEITO E R$ 10.000,00
PARA VEREADOR ) EM 2016***
LIMITE DE GASTOS 2020 (ATUALIZADO PELO IPCA DE
JUNHO/2016 ATÉ JUNHO/2020*)
PREFEITO
MUNICÍPIO**
PI SÃO LUIS DO PIAUÍ R$ 108.039,06 R$ 10.803,91 123.077,42R$ -R$ 12.307,75R$
PI SÃO MIGUEL DA BAIXA GRANDE R$ 108.039,06 R$ 10.803,91 123.077,42R$ -R$ 12.307,75R$
PI SÃO MIGUEL DO FIDALGO R$ 108.039,06 R$ 10.803,91 123.077,42R$ -R$ 12.307,75R$
PI SÃO MIGUEL DO TAPUIO R$ 134.987,69 R$ 22.314,87 153.777,13R$ -R$ 25.420,96R$
PI SÃO PEDRO DO PIAUÍ R$ 108.039,06 R$ 44.293,12 123.077,42R$ -R$ 50.458,45R$
PI SÃO RAIMUNDO NONATO R$ 185.257,31 R$ 22.696,57 211.043,97R$ -R$ 25.855,79R$
PI SEBASTIÃO BARROS R$ 108.039,06 R$ 10.803,91 123.077,42R$ -R$ 12.307,75R$
PI SEBASTIÃO LEAL R$ 108.039,06 R$ 19.979,38 123.077,42R$ -R$ 22.760,38R$
PI SIGEFREDO PACHECO R$ 108.039,06 R$ 32.412,53 123.077,42R$ -R$ 36.924,15R$
PI SIMÕES R$ 108.039,06 R$ 10.803,91 123.077,42R$ -R$ 12.307,75R$
PI SIMPLÍCIO MENDES R$ 108.039,06 R$ 10.803,91 123.077,42R$ -R$ 12.307,75R$
PI SOCORRO DO PIAUÍ R$ 108.039,06 R$ 10.803,91 123.077,42R$ -R$ 12.307,75R$
PI SUSSUAPARA R$ 142.053,80 R$ 13.966,92 161.826,80R$ -R$ 15.911,03R$
PI TAMBORIL DO PIAUÍ R$ 108.039,06 R$ 10.803,91 123.077,42R$ -R$ 12.307,75R$
PI TANQUE DO PIAUÍ R$ 108.039,06 R$ 10.803,91 123.077,42R$ -R$ 12.307,75R$
PI TERESINA SIM R$ 2.191.795,79 R$ 208.353,65 2.496.880,06R$ 998.752,03R$ 237.355,18R$
PI UNIÃO R$ 293.122,38 R$ 37.406,33 333.923,18R$ -R$ 42.613,06R$
PI URUÇUÍ R$ 324.569,54 R$ 40.755,54 369.747,59R$ -R$ 46.428,46R$
PI VALENÇA DO PIAUÍ R$ 108.039,06 R$ 34.995,11 123.077,42R$ -R$ 39.866,21R$
PI VÁRZEA BRANCA R$ 108.039,06 R$ 10.803,91 123.077,42R$ -R$ 12.307,75R$
PI VÁRZEA GRANDE R$ 108.039,06 R$ 10.803,91 123.077,42R$ -R$ 12.307,75R$
PI VERA MENDES R$ 108.039,06 R$ 10.803,91 123.077,42R$ -R$ 12.307,75R$
PI VILA NOVA DO PIAUÍ R$ 108.039,06 R$ 15.949,48 123.077,42R$ -R$ 18.169,55R$
PI WALL FERRAZ R$ 108.039,06 R$ 10.803,91 123.077,42R$ -R$ 12.307,75R$
PR ABATIÁ R$ 108.039,06 R$ 10.803,91 123.077,42R$ -R$ 12.307,75R$
PR ADRIANÓPOLIS R$ 108.039,06 R$ 21.798,57 123.077,42R$ -R$ 24.832,79R$
PR AGUDOS DO SUL R$ 108.039,06 R$ 10.803,91 123.077,42R$ -R$ 12.307,75R$
PR ALMIRANTE TAMANDARÉ R$ 464.303,39 R$ 28.977,49 528.931,52R$ -R$ 33.010,98R$
PR ALTAMIRA DO PARANÁ R$ 289.705,42 R$ 24.200,34 330.030,60R$ -R$ 27.568,88R$
PR ALTO PARAÍSO R$ 108.039,06 R$ 10.803,91 123.077,42R$ -R$ 12.307,75R$
PR ALTO PARANÁ R$ 108.039,06 R$ 10.803,91 123.077,42R$ -R$ 12.307,75R$
PR ALTO PIQUIRI R$ 134.716,16 R$ 10.803,91 153.467,81R$ -R$ 12.307,75R$
PR ALTÔNIA R$ 108.039,06 R$ 10.803,91 123.077,42R$ -R$ 12.307,75R$
PR ALVORADA DO SUL R$ 108.039,06 R$ 10.803,91 123.077,42R$ -R$ 12.307,75R$
PR AMAPORÃ R$ 108.039,06 R$ 10.803,91 123.077,42R$ -R$ 12.307,75R$
PR AMPÉRE R$ 108.039,06 R$ 10.803,91 123.077,42R$ -R$ 12.307,75R$
PR ANAHY R$ 108.039,06 R$ 10.803,91 123.077,42R$ -R$ 12.307,75R$
PR ANDIRÁ R$ 150.969,51 R$ 10.803,91 171.983,52R$ -R$ 12.307,75R$
PR ÂNGULO R$ 108.039,06 R$ 10.803,91 123.077,42R$ -R$ 12.307,75R$
PR ANTONINA R$ 108.039,06 R$ 33.080,49 123.077,42R$ -R$ 37.685,09R$
PR ANTONIO OLINTO R$ 108.039,06 R$ 10.803,91 123.077,42R$ -R$ 12.307,75R$
PR APUCARANA R$ 255.461,77 R$ 87.162,23 291.020,45R$ -R$ 99.294,67R$
PR ARAPONGAS R$ 557.784,79 R$ 28.688,56 635.424,95R$ -R$ 32.681,83R$
PR ARAPOTI R$ 149.303,77 R$ 10.803,91 170.085,92R$ -R$ 12.307,75R$
PR ARAPUÃ R$ 108.039,06 R$ 10.803,91 123.077,42R$ -R$ 12.307,75R$
PR ARARUNA R$ 108.039,06 R$ 10.803,91 123.077,42R$ -R$ 12.307,75R$
PR ARAUCÁRIA R$ 1.139.436,60 R$ 94.102,90 1.298.039,05R$ -R$ 107.201,44R$
PR ARIRANHA DO IVAÍ R$ 108.039,06 R$ 10.803,91 123.077,42R$ -R$ 12.307,75R$
PR ASSAÍ R$ 212.956,18 R$ 10.803,91 242.598,35R$ -R$ 12.307,75R$
PR ASSIS CHATEAUBRIAND R$ 465.802,96 R$ 34.316,45 530.639,82R$ -R$ 39.093,09R$
PR ASTORGA R$ 108.039,06 R$ 14.304,93 123.077,42R$ -R$ 16.296,09R$
PR ATALAIA R$ 108.039,06 R$ 10.803,91 123.077,42R$ -R$ 12.307,75R$
PR BALSA NOVA R$ 108.039,06 R$ 10.803,91 123.077,42R$ -R$ 12.307,75R$
PR BANDEIRANTES R$ 108.039,06 R$ 10.803,91 123.077,42R$ -R$ 12.307,75R$
PR BARBOSA FERRAZ R$ 108.039,06 R$ 16.161,29 123.077,42R$ -R$ 18.410,84R$
PR BARRA DO JACARÉ R$ 108.039,06 R$ 10.803,91 123.077,42R$ -R$ 12.307,75R$
PR BARRACÃO R$ 108.039,06 R$ 77.317,50 123.077,42R$ -R$ 88.079,61R$
PR BELA VISTA DA CAROBA R$ 108.039,06 R$ 10.803,91 123.077,42R$ -R$ 12.307,75R$
PR BELA VISTA DO PARAÍSO R$ 108.039,06 R$ 10.803,91 123.077,42R$ -R$ 12.307,75R$
PR BITURUNA R$ 141.208,15 R$ 18.150,58 160.863,44R$ -R$ 20.677,03R$
PR BOA ESPERANÇA R$ 108.039,06 R$ 10.803,91 123.077,42R$ -R$ 12.307,75R$
PR BOA ESPERANÇA DO IGUAÇU R$ 108.039,06 R$ 10.803,91 123.077,42R$ -R$ 12.307,75R$
PR BOA VENTURA DE SÃO ROQUE R$ 108.039,06 R$ 10.803,91 123.077,42R$ -R$ 12.307,75R$
PR BOA VISTA DA APARECIDA R$ 179.441,50 R$ 10.803,91 204.418,64R$ -R$ 12.307,75R$
PR BOCAIÚVA DO SUL R$ 108.039,06 R$ 10.803,91 123.077,42R$ -R$ 12.307,75R$
PR BOM JESUS DO SUL R$ 108.039,06 R$ 94.452,73 123.077,42R$ -R$ 107.599,96R$
49
Tribunal Superior Eleitoral
PREFEITO
1º TURNO 1º TURNO 2º TURNO
UF
POSSIBILIDADE
DE SEGUNDO
TURNO
VEREADORVEREADOR
LIMITE DE GASTOS OBSERVADO
O MÍNIMO LEGAL (R$ 100,000,00
PARA PREFEITO E R$ 10.000,00
PARA VEREADOR ) EM 2016***
LIMITE DE GASTOS 2020 (ATUALIZADO PELO IPCA DE
JUNHO/2016 ATÉ JUNHO/2020*)
PREFEITO
MUNICÍPIO**
PR BOM SUCESSO R$ 108.039,06 R$ 10.803,91 123.077,42R$ -R$ 12.307,75R$
PR BOM SUCESSO DO SUL R$ 108.039,06 R$ 10.803,91 123.077,42R$ -R$ 12.307,75R$
PR BORRAZÓPOLIS R$ 108.039,06 R$ 17.520,15 123.077,42R$ -R$ 19.958,85R$
PR BRAGANEY R$ 108.039,06 R$ 10.803,91 123.077,42R$ -R$ 12.307,75R$
PR BRASILÂNDIA DO SUL R$ 108.039,06 R$ 10.803,91 123.077,42R$ -R$ 12.307,75R$
PR CAFEARA R$ 108.039,06 R$ 10.803,91 123.077,42R$ -R$ 12.307,75R$
PR CAFELÂNDIA R$ 108.039,06 R$ 10.803,91 123.077,42R$ -R$ 12.307,75R$
PR CAFEZAL DO SUL R$ 108.039,06 R$ 10.803,91 123.077,42R$ -R$ 12.307,75R$
PR CALIFÓRNIA R$ 108.039,06 R$ 10.803,91 123.077,42R$ -R$ 12.307,75R$
PR CAMBARÁ R$ 463.038,08 R$ 22.694,60 527.490,09R$ -R$ 25.853,55R$
PR CAMBÉ R$ 347.423,22 R$ 41.377,83 395.782,36R$ -R$ 47.137,37R$
PR CAMBIRA R$ 108.039,06 R$ 10.803,91 123.077,42R$ -R$ 12.307,75R$
PR CAMPINA DA LAGOA R$ 232.496,96 R$ 28.458,41 264.859,08R$ -R$ 32.419,64R$
PR CAMPINA DO SIMÃO R$ 108.039,06 R$ 10.803,91 123.077,42R$ -R$ 12.307,75R$
PR CAMPINA GRANDE DO SUL R$ 362.057,16 R$ 36.799,80 412.453,25R$ -R$ 41.922,10R$
PR CAMPO BONITO R$ 108.039,06 R$ 10.803,91 123.077,42R$ -R$ 12.307,75R$
PR CAMPO DO TENENTE R$ 108.039,06 R$ 10.803,91 123.077,42R$ -R$ 12.307,75R$
PR CAMPO LARGO R$ 422.038,83 R$ 36.355,88 480.784,00R$ -R$ 41.416,39R$
PR CAMPO MAGRO R$ 259.999,58 R$ 23.781,81 296.189,90R$ -R$ 27.092,09R$
PR CAMPO MOURÃO R$ 731.138,37 R$ 98.885,23 832.908,26R$ -R$ 112.649,44R$
PR CÂNDIDO DE ABREU R$ 183.526,14 R$ 18.899,79 209.071,83R$ -R$ 21.530,52R$
PR CANDÓI R$ 108.039,06 R$ 10.803,91 123.077,42R$ -R$ 12.307,75R$
PR CANTAGALO R$ 108.039,06 R$ 30.379,18 123.077,42R$ -R$ 34.607,77R$
PR CAPANEMA R$ 108.039,06 R$ 10.803,91 123.077,42R$ -R$ 12.307,75R$
PR CAPITÃO LEÔNIDAS MARQUES R$ 108.039,06 R$ 10.803,91 123.077,42R$ -R$ 12.307,75R$
PR CARAMBEÍ R$ 108.039,06 R$ 18.320,41 123.077,42R$ -R$ 20.870,50R$
PR CARLÓPOLIS R$ 108.039,06 R$ 10.803,91 123.077,42R$ -R$ 12.307,75R$
PR CASCAVEL SIM R$ 1.337.587,72 R$ 87.947,50 1.523.771,57R$ 609.508,63R$ 100.189,24R$
PR CASTRO R$ 339.800,67 R$ 22.518,13 387.098,80R$ -R$ 25.652,51R$
PR CATANDUVAS R$ 108.039,06 R$ 10.803,91 123.077,42R$ -R$ 12.307,75R$
PR CENTENÁRIO DO SUL R$ 108.039,06 R$ 10.803,91 123.077,42R$ -R$ 12.307,75R$
PR CERRO AZUL R$ 206.223,81 R$ 10.803,91 234.928,88R$ -R$ 12.307,75R$
PR CÉU AZUL R$ 108.039,06 R$ 10.803,91 123.077,42R$ -R$ 12.307,75R$
PR CHOPINZINHO R$ 108.039,06 R$ 20.905,12 123.077,42R$ -R$ 23.814,98R$
PR CIANORTE R$ 376.881,92 R$ 27.447,90 429.341,53R$ -R$ 31.268,48R$
PR CIDADE GAÚCHA R$ 108.039,06 R$ 10.803,91 123.077,42R$ -R$ 12.307,75R$
PR CLEVELÂNDIA R$ 108.039,06 R$ 10.803,91 123.077,42R$ -R$ 12.307,75R$
PR COLOMBO R$ 1.235.654,47 R$ 166.215,44 1.407.649,85R$ -R$ 189.351,59R$
PR COLORADO R$ 219.512,66 R$ 16.298,94 250.067,45R$ -R$ 18.567,65R$
PR CONGONHINHAS R$ 166.666,49 R$ 10.803,91 189.865,42R$ -R$ 12.307,75R$
PR CONSELHEIRO MAIRINCK R$ 108.039,06 R$ 10.803,91 123.077,42R$ -R$ 12.307,75R$
PR CONTENDA R$ 108.039,06 R$ 10.803,91 123.077,42R$ -R$ 12.307,75R$
PR CORBÉLIA R$ 108.039,06 R$ 10.803,91 123.077,42R$ -R$ 12.307,75R$
PR CORNÉLIO PROCÓPIO R$ 330.489,84 R$ 17.749,01 376.491,96R$ -R$ 20.219,56R$
PR CORONEL DOMINGOS SOARES R$ 108.039,06 R$ 10.803,91 123.077,42R$ -R$ 12.307,75R$
PR CORONEL VIVIDA R$ 108.039,06 R$ 10.803,91 123.077,42R$ -R$ 12.307,75R$
PR CORUMBATAÍ DO SUL R$ 108.039,06 R$ 10.803,91 123.077,42R$ -R$ 12.307,75R$
PR CRUZ MACHADO R$ 108.039,06 R$ 10.803,91 123.077,42R$ -R$ 12.307,75R$
PR CRUZEIRO DO IGUAÇU R$ 108.039,06 R$ 10.803,91 123.077,42R$ -R$ 12.307,75R$
PR CRUZEIRO DO OESTE R$ 108.039,06 R$ 10.803,91 123.077,42R$ -R$ 12.307,75R$
PR CRUZEIRO DO SUL R$ 108.039,06 R$ 10.803,91 123.077,42R$ -R$ 12.307,75R$
PR CRUZMALTINA R$ 108.039,06 R$ 10.803,91 123.077,42R$ -R$ 12.307,75R$
PR CURITIBA SIM R$ 9.571.089,80 R$ 465.702,68 10.903.325,67R$ 4.361.330,27R$ 530.525,58R$
PR CURIÚVA R$ 108.039,06 R$ 10.803,91 123.077,42R$ -R$ 12.307,75R$
PR DIAMANTE DO NORTE R$ 108.039,06 R$ 10.803,91 123.077,42R$ -R$ 12.307,75R$
PR DIAMANTE DO SUL R$ 108.039,06 R$ 10.803,91 123.077,42R$ -R$ 12.307,75R$
PR DIAMANTE D'OESTE R$ 108.039,06 R$ 10.803,91 123.077,42R$ -R$ 12.307,75R$
PR DOIS VIZINHOS R$ 167.399,85 R$ 10.803,91 190.700,86R$ -R$ 12.307,75R$
PR DOURADINA R$ 108.039,06 R$ 10.803,91 123.077,42R$ -R$ 12.307,75R$
PR DOUTOR CAMARGO R$ 108.039,06 R$ 10.803,91 123.077,42R$ -R$ 12.307,75R$
PR DOUTOR ULYSSES R$ 108.039,06 R$ 10.803,91 123.077,42R$ -R$ 12.307,75R$
PR ENÉAS MARQUES R$ 108.039,06 R$ 10.803,91 123.077,42R$ -R$ 12.307,75R$
PR ENGENHEIRO BELTRÃO R$ 108.039,06 R$ 10.803,91 123.077,42R$ -R$ 12.307,75R$
PR ENTRE RIOS DO OESTE R$ 108.039,06 R$ 10.803,91 123.077,42R$ -R$ 12.307,75R$
PR ESPERANÇA NOVA R$ 108.039,06 R$ 10.803,91 123.077,42R$ -R$ 12.307,75R$
PR ESPIGÃO ALTO DO IGUAÇU R$ 108.039,06 R$ 10.803,91 123.077,42R$ -R$ 12.307,75R$
50
Tribunal Superior Eleitoral
PREFEITO
1º TURNO 1º TURNO 2º TURNO
UF
POSSIBILIDADE
DE SEGUNDO
TURNO
VEREADORVEREADOR
LIMITE DE GASTOS OBSERVADO
O MÍNIMO LEGAL (R$ 100,000,00
PARA PREFEITO E R$ 10.000,00
PARA VEREADOR ) EM 2016***
LIMITE DE GASTOS 2020 (ATUALIZADO PELO IPCA DE
JUNHO/2016 ATÉ JUNHO/2020*)
PREFEITO
MUNICÍPIO**
PR FAROL R$ 108.039,06 R$ 10.803,91 123.077,42R$ -R$ 12.307,75R$
PR FAXINAL R$ 256.108,19 R$ 31.397,08 291.756,85R$ -R$ 35.767,36R$
PR FAZENDA RIO GRANDE R$ 1.192.041,63 R$ 51.357,64 1.357.966,37R$ -R$ 58.506,30R$
PR FÊNIX R$ 108.039,06 R$ 10.803,91 123.077,42R$ -R$ 12.307,75R$
PR FERNANDES PINHEIRO R$ 108.039,06 R$ 10.803,91 123.077,42R$ -R$ 12.307,75R$
PR FIGUEIRA R$ 144.270,91 R$ 10.803,91 164.352,52R$ -R$ 12.307,75R$
PR FLOR DA SERRA DO SUL R$ 108.039,06 R$ 10.803,91 123.077,42R$ -R$ 12.307,75R$
PR FLORAÍ R$ 108.039,06 R$ 10.803,91 123.077,42R$ -R$ 12.307,75R$
PR FLORESTA R$ 108.039,06 R$ 10.803,91 123.077,42R$ -R$ 12.307,75R$
PR FLORESTÓPOLIS R$ 154.935,05 R$ 28.497,35 176.501,04R$ -R$ 32.464,00R$
PR FLÓRIDA R$ 108.039,06 R$ 10.803,91 123.077,42R$ -R$ 12.307,75R$
PR FORMOSA DO OESTE R$ 108.039,06 R$ 10.803,91 123.077,42R$ -R$ 12.307,75R$
PR FOZ DO IGUAÇU R$ 1.603.191,69 R$ 88.155,68 1.826.345,95R$ -R$ 100.426,40R$
PR FOZ DO JORDÃO R$ 108.039,06 R$ 10.803,91 123.077,42R$ -R$ 12.307,75R$
PR FRANCISCO ALVES R$ 108.039,06 R$ 16.568,09 123.077,42R$ -R$ 18.874,26R$
PR FRANCISCO BELTRÃO R$ 411.188,73 R$ 23.044,57 468.423,63R$ -R$ 26.252,23R$
PR GENERAL CARNEIRO R$ 108.039,06 R$ 28.975,96 123.077,42R$ -R$ 33.009,23R$
PR GODOY MOREIRA R$ 108.039,06 R$ 10.803,91 123.077,42R$ -R$ 12.307,75R$
PR GOIOERÊ R$ 177.824,60 R$ 10.803,91 202.576,67R$ -R$ 12.307,75R$
PR GOIOXIM R$ 108.039,06 R$ 10.803,91 123.077,42R$ -R$ 12.307,75R$
PR GRANDES RIOS R$ 136.629,24 R$ 42.556,42 155.647,18R$ -R$ 48.480,01R$
PR GUAÍRA R$ 444.166,87 R$ 15.670,04 505.992,12R$ -R$ 17.851,21R$
PR GUAIRAÇÁ R$ 108.039,06 R$ 10.803,91 123.077,42R$ -R$ 12.307,75R$
PR GUAMIRANGA R$ 108.039,06 R$ 10.803,91 123.077,42R$ -R$ 12.307,75R$
PR GUAPIRAMA R$ 108.039,06 R$ 10.803,91 123.077,42R$ -R$ 12.307,75R$
PR GUAPOREMA R$ 108.039,06 R$ 10.803,91 123.077,42R$ -R$ 12.307,75R$
PR GUARACI R$ 108.039,06 R$ 10.803,91 123.077,42R$ -R$ 12.307,75R$
PR GUARANIAÇU R$ 108.039,06 R$ 10.803,91 123.077,42R$ -R$ 12.307,75R$
PR GUARAPUAVA R$ 856.008,57 R$ 63.288,85 975.159,61R$ -R$ 72.098,26R$
PR GUARAQUEÇABA R$ 108.039,06 R$ 10.803,91 123.077,42R$ -R$ 12.307,75R$
PR GUARATUBA R$ 611.267,76 R$ 17.210,48 696.352,41R$ -R$ 19.606,07R$
PR HONÓRIO SERPA R$ 108.039,06 R$ 10.803,91 123.077,42R$ -R$ 12.307,75R$
PR IBAITI R$ 288.528,19 R$ 47.947,52 328.689,51R$ -R$ 54.621,52R$
PR IBEMA R$ 108.039,06 R$ 10.803,91 123.077,42R$ -R$ 12.307,75R$
PR IBIPORÃ R$ 108.039,06 R$ 19.728,44 123.077,42R$ -R$ 22.474,52R$
PR ICARAÍMA R$ 108.039,06 R$ 13.942,36 123.077,42R$ -R$ 15.883,05R$
PR IGUARAÇU R$ 108.039,06 R$ 10.803,91 123.077,42R$ -R$ 12.307,75R$
PR IGUATU R$ 108.039,06 R$ 10.803,91 123.077,42R$ -R$ 12.307,75R$
PR IMBAÚ R$ 159.202,26 R$ 10.803,91 181.362,22R$ -R$ 12.307,75R$
PR IMBITUVA R$ 108.039,06 R$ 10.803,91 123.077,42R$ -R$ 12.307,75R$
PR INÁCIO MARTINS R$ 108.039,06 R$ 10.803,91 123.077,42R$ -R$ 12.307,75R$
PR INAJÁ R$ 108.039,06 R$ 10.803,91 123.077,42R$ -R$ 12.307,75R$
PR INDIANÓPOLIS R$ 108.039,06 R$ 10.803,91 123.077,42R$ -R$ 12.307,75R$
PR IPIRANGA R$ 230.212,83 R$ 26.157,52 262.257,02R$ -R$ 29.798,48R$
PR IPORÃ R$ 108.039,06 R$ 10.803,91 123.077,42R$ -R$ 12.307,75R$
PR IRACEMA DO OESTE R$ 108.039,06 R$ 10.803,91 123.077,42R$ -R$ 12.307,75R$
PR IRATI R$ 108.039,06 R$ 48.539,28 123.077,42R$ -R$ 55.295,64R$
PR IRETAMA R$ 108.039,06 R$ 10.803,91 123.077,42R$ -R$ 12.307,75R$
PR ITAGUAJÉ R$ 108.039,06 R$ 10.803,91 123.077,42R$ -R$ 12.307,75R$
PR ITAIPULÂNDIA R$ 108.039,06 R$ 10.803,91 123.077,42R$ -R$ 12.307,75R$
PR ITAMBARACÁ R$ 108.039,06 R$ 10.803,91 123.077,42R$ -R$ 12.307,75R$
PR ITAMBÉ R$ 108.039,06 R$ 10.803,91 123.077,42R$ -R$ 12.307,75R$
PR ITAPEJARA D'OESTE R$ 108.039,06 R$ 10.803,91 123.077,42R$ -R$ 12.307,75R$
PR ITAPERUÇU R$ 180.653,08 R$ 29.827,11 205.798,86R$ -R$ 33.978,86R$
PR ITAÚNA DO SUL R$ 108.039,06 R$ 10.803,91 123.077,42R$ -R$ 12.307,75R$
PR IVAÍ R$ 108.039,06 R$ 10.803,91 123.077,42R$ -R$ 12.307,75R$
PR IVAIPORÃ R$ 417.913,56 R$ 20.936,31 476.084,52R$ -R$ 23.850,51R$
PR IVATÉ R$ 108.039,06 R$ 10.803,91 123.077,42R$ -R$ 12.307,75R$
PR IVATUBA R$ 108.039,06 R$ 10.803,91 123.077,42R$ -R$ 12.307,75R$
PR JABOTI R$ 108.039,06 R$ 10.803,91 123.077,42R$ -R$ 12.307,75R$
PR JACAREZINHO R$ 108.039,06 R$ 16.374,97 123.077,42R$ -R$ 18.654,26R$
PR JAGUAPITÃ R$ 108.039,06 R$ 10.803,91 123.077,42R$ -R$ 12.307,75R$
PR JAGUARIAÍVA R$ 231.572,20 R$ 10.803,91 263.805,60R$ -R$ 12.307,75R$
PR JANDAIA DO SUL R$ 164.043,84 R$ 10.803,91 186.877,72R$ -R$ 12.307,75R$
PR JANIÓPOLIS R$ 108.039,06 R$ 10.803,91 123.077,42R$ -R$ 12.307,75R$
PR JAPIRA R$ 108.039,06 R$ 10.803,91 123.077,42R$ -R$ 12.307,75R$
51
Tribunal Superior Eleitoral
PREFEITO
1º TURNO 1º TURNO 2º TURNO
UF
POSSIBILIDADE
DE SEGUNDO
TURNO
VEREADORVEREADOR
LIMITE DE GASTOS OBSERVADO
O MÍNIMO LEGAL (R$ 100,000,00
PARA PREFEITO E R$ 10.000,00
PARA VEREADOR ) EM 2016***
LIMITE DE GASTOS 2020 (ATUALIZADO PELO IPCA DE
JUNHO/2016 ATÉ JUNHO/2020*)
PREFEITO
MUNICÍPIO**
PR JAPURÁ R$ 108.039,06 R$ 10.803,91 123.077,42R$ -R$ 12.307,75R$
PR JARDIM ALEGRE R$ 196.527,20 R$ 10.803,91 223.882,56R$ -R$ 12.307,75R$
PR JARDIM OLINDA R$ 108.039,06 R$ 10.803,91 123.077,42R$ -R$ 12.307,75R$
PR JATAIZINHO R$ 108.039,06 R$ 10.803,91 123.077,42R$ -R$ 12.307,75R$
PR JESUÍTAS R$ 108.039,06 R$ 10.803,91 123.077,42R$ -R$ 12.307,75R$
PR JOAQUIM TÁVORA R$ 108.039,06 R$ 10.803,91 123.077,42R$ -R$ 12.307,75R$
PR JUNDIAÍ DO SUL R$ 108.039,06 R$ 10.803,91 123.077,42R$ -R$ 12.307,75R$
PR JURANDA R$ 261.732,66 R$ 10.803,91 298.164,21R$ -R$ 12.307,75R$
PR JUSSARA R$ 108.039,06 R$ 14.715,52 123.077,42R$ -R$ 16.763,83R$
PR KALORÉ R$ 108.039,06 R$ 10.803,91 123.077,42R$ -R$ 12.307,75R$
PR LAPA R$ 338.274,05 R$ 24.917,14 385.359,68R$ -R$ 28.385,45R$
PR LARANJAL R$ 108.039,06 R$ 10.803,91 123.077,42R$ -R$ 12.307,75R$
PR LARANJEIRAS DO SUL R$ 227.138,38 R$ 19.098,70 258.754,62R$ -R$ 21.757,12R$
PR LEÓPOLIS R$ 108.039,06 R$ 10.803,91 123.077,42R$ -R$ 12.307,75R$
PR LIDIANÓPOLIS R$ 108.039,06 R$ 10.803,91 123.077,42R$ -R$ 12.307,75R$
PR LINDOESTE R$ 108.039,06 R$ 10.803,91 123.077,42R$ -R$ 12.307,75R$
PR LOANDA R$ 108.039,06 R$ 10.803,91 123.077,42R$ -R$ 12.307,75R$
PR LOBATO R$ 108.039,06 R$ 10.803,91 123.077,42R$ -R$ 12.307,75R$
PR LONDRINA SIM R$ 1.606.304,21 R$ 100.023,00 1.829.891,71R$ 731.956,69R$ 113.945,58R$
PR LUIZIANA R$ 155.873,63 R$ 33.304,53 177.570,26R$ -R$ 37.940,31R$
PR LUNARDELLI R$ 108.039,06 R$ 10.803,91 123.077,42R$ -R$ 12.307,75R$
PR LUPIONÓPOLIS R$ 108.039,06 R$ 10.803,91 123.077,42R$ -R$ 12.307,75R$
PR MALLET R$ 108.039,06 R$ 13.576,77 123.077,42R$ -R$ 15.466,57R$
PR MAMBORÊ R$ 136.646,75 R$ 28.700,24 155.667,12R$ -R$ 32.695,13R$
PR MANDAGUAÇU R$ 108.039,06 R$ 13.668,11 123.077,42R$ -R$ 15.570,63R$
PR MANDAGUARI R$ 108.039,06 R$ 17.914,39 123.077,42R$ -R$ 20.407,96R$
PR MANDIRITUBA R$ 214.601,85 R$ 10.803,91 244.473,09R$ -R$ 12.307,75R$
PR MANFRINÓPOLIS R$ 108.039,06 R$ 28.112,33 123.077,42R$ -R$ 32.025,39R$
PR MANGUEIRINHA R$ 171.760,32 R$ 14.676,95 195.668,28R$ -R$ 16.719,89R$
PR MANOEL RIBAS R$ 108.039,06 R$ 21.605,56 123.077,42R$ -R$ 24.612,92R$
PR MARECHAL CÂNDIDO RONDON R$ 222.152,76 R$ 37.030,78 253.075,04R$ -R$ 42.185,23R$
PR MARIA HELENA R$ 108.039,06 R$ 10.803,91 123.077,42R$ -R$ 12.307,75R$
PR MARIALVA R$ 108.039,06 R$ 10.803,91 123.077,42R$ -R$ 12.307,75R$
PR MARILÂNDIA DO SUL R$ 108.039,06 R$ 10.803,91 123.077,42R$ -R$ 12.307,75R$
PR MARILENA R$ 108.039,06 R$ 10.803,91 123.077,42R$ -R$ 12.307,75R$
PR MARILUZ R$ 108.039,06 R$ 15.964,40 123.077,42R$ -R$ 18.186,54R$
PR MARINGÁ SIM R$ 1.696.791,65 R$ 119.553,25 1.932.974,44R$ 773.189,78R$ 136.194,32R$
PR MARIÓPOLIS R$ 108.039,06 R$ 10.803,91 123.077,42R$ -R$ 12.307,75R$
PR MARIPÁ R$ 108.039,06 R$ 10.803,91 123.077,42R$ -R$ 12.307,75R$
PR MARMELEIRO R$ 108.039,06 R$ 10.803,91 123.077,42R$ -R$ 12.307,75R$
PR MARQUINHO R$ 108.039,06 R$ 10.803,91 123.077,42R$ -R$ 12.307,75R$
PR MARUMBI R$ 108.039,06 R$ 10.803,91 123.077,42R$ -R$ 12.307,75R$
PR MATELÂNDIA R$ 108.039,06 R$ 15.012,72 123.077,42R$ -R$ 17.102,40R$
PR MATINHOS R$ 382.585,20 R$ 47.482,24 435.838,67R$ -R$ 54.091,47R$
PR MATO RICO R$ 108.039,06 R$ 10.803,91 123.077,42R$ -R$ 12.307,75R$
PR MAUÁ DA SERRA R$ 108.039,06 R$ 23.796,32 123.077,42R$ -R$ 27.108,62R$
PR MEDIANEIRA R$ 329.119,52 R$ 58.227,87 374.930,90R$ -R$ 66.332,83R$
PR MERCEDES R$ 108.039,06 R$ 10.803,91 123.077,42R$ -R$ 12.307,75R$
PR MIRADOR R$ 108.039,06 R$ 10.803,91 123.077,42R$ -R$ 12.307,75R$
PR MIRASELVA R$ 108.039,06 R$ 10.803,91 123.077,42R$ -R$ 12.307,75R$
PR MISSAL R$ 108.039,06 R$ 10.803,91 123.077,42R$ -R$ 12.307,75R$
PR MOREIRA SALES R$ 108.039,06 R$ 10.803,91 123.077,42R$ -R$ 12.307,75R$
PR MORRETES R$ 108.039,06 R$ 19.984,42 123.077,42R$ -R$ 22.766,13R$
PR MUNHOZ DE MELO R$ 108.039,06 R$ 10.803,91 123.077,42R$ -R$ 12.307,75R$
PR NOSSA SENHORA DAS GRAÇAS R$ 108.039,06 R$ 10.803,91 123.077,42R$ -R$ 12.307,75R$
PR NOVA ALIANÇA DO IVAÍ R$ 108.039,06 R$ 10.803,91 123.077,42R$ -R$ 12.307,75R$
PR NOVA AMÉRICA DA COLINA R$ 108.039,06 R$ 14.296,86 123.077,42R$ -R$ 16.286,89R$
PR NOVA AURORA R$ 108.039,06 R$ 32.132,95 123.077,42R$ -R$ 36.605,66R$
PR NOVA CANTU R$ 108.039,06 R$ 10.803,91 123.077,42R$ -R$ 12.307,75R$
PR NOVA ESPERANÇA R$ 108.039,06 R$ 15.187,25 123.077,42R$ -R$ 17.301,22R$
PR NOVA ESPERANÇA DO SUDOESTE R$ 108.039,06 R$ 10.803,91 123.077,42R$ -R$ 12.307,75R$
PR NOVA FÁTIMA R$ 108.039,06 R$ 10.803,91 123.077,42R$ -R$ 12.307,75R$
PR NOVA LARANJEIRAS R$ 108.039,06 R$ 10.803,91 123.077,42R$ -R$ 12.307,75R$
PR NOVA LONDRINA R$ 108.039,06 R$ 10.803,91 123.077,42R$ -R$ 12.307,75R$
PR NOVA OLÍMPIA R$ 108.039,06 R$ 10.803,91 123.077,42R$ -R$ 12.307,75R$
PR NOVA PRATA DO IGUAÇU R$ 108.039,06 R$ 10.803,91 123.077,42R$ -R$ 12.307,75R$
52
Tribunal Superior Eleitoral
PREFEITO
1º TURNO 1º TURNO 2º TURNO
UF
POSSIBILIDADE
DE SEGUNDO
TURNO
VEREADORVEREADOR
LIMITE DE GASTOS OBSERVADO
O MÍNIMO LEGAL (R$ 100,000,00
PARA PREFEITO E R$ 10.000,00
PARA VEREADOR ) EM 2016***
LIMITE DE GASTOS 2020 (ATUALIZADO PELO IPCA DE
JUNHO/2016 ATÉ JUNHO/2020*)
PREFEITO
MUNICÍPIO**
PR NOVA SANTA BÁRBARA R$ 108.039,06 R$ 10.803,91 123.077,42R$ -R$ 12.307,75R$
PR NOVA SANTA ROSA R$ 108.039,06 R$ 10.803,91 123.077,42R$ -R$ 12.307,75R$
PR NOVA TEBAS R$ 108.039,06 R$ 10.803,91 123.077,42R$ -R$ 12.307,75R$
PR NOVO ITACOLOMI R$ 108.039,06 R$ 10.803,91 123.077,42R$ -R$ 12.307,75R$
PR ORTIGUEIRA R$ 108.039,06 R$ 34.152,56 123.077,42R$ -R$ 38.906,38R$
PR OURIZONA R$ 108.039,06 R$ 10.803,91 123.077,42R$ -R$ 12.307,75R$
PR OURO VERDE DO OESTE R$ 108.039,06 R$ 10.803,91 123.077,42R$ -R$ 12.307,75R$
PR PAIÇANDU R$ 108.039,06 R$ 10.803,91 123.077,42R$ -R$ 12.307,75R$
PR PALMAS R$ 108.039,06 R$ 10.803,91 123.077,42R$ -R$ 12.307,75R$
PR PALMEIRA R$ 108.039,06 R$ 14.503,20 123.077,42R$ -R$ 16.521,95R$
PR PALMITAL R$ 245.642,08 R$ 15.795,86 279.833,92R$ -R$ 17.994,54R$
PR PALOTINA R$ 203.047,44 R$ 65.350,22 231.310,37R$ -R$ 74.446,56R$
PR PARAÍSO DO NORTE R$ 108.039,06 R$ 10.803,91 123.077,42R$ -R$ 12.307,75R$
PR PARANACITY R$ 108.039,06 R$ 10.803,91 123.077,42R$ -R$ 12.307,75R$
PR PARANAGUÁ R$ 809.358,75 122.982,52 922.016,43R$ -R$ 140.100,92R$
PR PARANAPOEMA R$ 108.039,06 R$ 10.803,91 123.077,42R$ -R$ 12.307,75R$
PR PARANAVAÍ R$ 159.196,95 R$ 21.699,87 181.356,17R$ -R$ 24.720,36R$
PR PATO BRAGADO R$ 108.039,06 R$ 10.803,91 123.077,42R$ -R$ 12.307,75R$
PR PATO BRANCO R$ 812.048,90 R$ 40.821,28 925.081,03R$ -R$ 46.503,35R$
PR PAULA FREITAS R$ 108.039,06 R$ 10.803,91 123.077,42R$ -R$ 12.307,75R$
PR PAULO FRONTIN R$ 108.039,06 R$ 10.803,91 123.077,42R$ -R$ 12.307,75R$
PR PEABIRU R$ 108.039,06 R$ 10.803,91 123.077,42R$ -R$ 12.307,75R$
PR PEROBAL R$ 108.039,06 R$ 10.803,91 123.077,42R$ -R$ 12.307,75R$
PR PÉROLA R$ 108.039,06 R$ 10.803,91 123.077,42R$ -R$ 12.307,75R$
PR PÉROLA D'OESTE R$ 108.039,06 R$ 10.803,91 123.077,42R$ -R$ 12.307,75R$
PR PIÊN R$ 108.039,06 R$ 10.803,91 123.077,42R$ -R$ 12.307,75R$
PR PINHAIS R$ 751.442,90 R$ 104.821,99 856.039,05R$ -R$ 119.412,56R$
PR PINHAL DE SÃO BENTO R$ 108.039,06 R$ 10.803,91 123.077,42R$ -R$ 12.307,75R$
PR PINHALÃO R$ 108.039,06 R$ 10.803,91 123.077,42R$ -R$ 12.307,75R$
PR PINHÃO R$ 108.039,06 R$ 10.803,91 123.077,42R$ -R$ 12.307,75R$
PR PIRAÍ DO SUL R$ 108.039,06 R$ 10.803,91 123.077,42R$ -R$ 12.307,75R$
PR PIRAQUARA R$ 563.539,23 R$ 31.725,56 641.980,37R$ -R$ 36.141,56R$
PR PITANGA R$ 254.063,15 R$ 20.144,84 289.427,15R$ -R$ 22.948,88R$
PR PITANGUEIRAS R$ 108.039,06 R$ 18.147,63 123.077,42R$ -R$ 20.673,67R$
PR PLANALTINA DO PARANÁ R$ 108.039,06 R$ 10.803,91 123.077,42R$ -R$ 12.307,75R$
PR PLANALTO R$ 108.039,06 R$ 10.803,91 123.077,42R$ -R$ 12.307,75R$
PR PONTA GROSSA SIM R$ 1.548.391,21 R$ 93.515,09 1.763.917,59R$ 705.567,03R$ 106.531,81R$
PR PONTAL DO PARANÁ R$ 187.395,93 R$ 89.874,90 213.480,27R$ -R$ 102.384,92R$
PR PORECATU R$ 108.039,06 R$ 10.803,91 123.077,42R$ -R$ 12.307,75R$
PR PORTO AMAZONAS R$ 108.039,06 R$ 10.803,91 123.077,42R$ -R$ 12.307,75R$
PR PORTO BARREIRO R$ 108.039,06 R$ 10.803,91 123.077,42R$ -R$ 12.307,75R$
PR PORTO RICO R$ 108.039,06 R$ 10.803,91 123.077,42R$ -R$ 12.307,75R$
PR PORTO VITÓRIA R$ 108.039,06 R$ 10.803,91 123.077,42R$ -R$ 12.307,75R$
PR PRADO FERREIRA R$ 108.039,06 R$ 10.803,91 123.077,42R$ -R$ 12.307,75R$
PR PRANCHITA R$ 108.039,06 R$ 10.803,91 123.077,42R$ -R$ 12.307,75R$
PR PRESIDENTE CASTELO BRANCO R$ 108.039,06 R$ 10.803,91 123.077,42R$ -R$ 12.307,75R$
PR PRIMEIRO DE MAIO R$ 108.039,06 R$ 10.803,91 123.077,42R$ -R$ 12.307,75R$
PR PRUDENTÓPOLIS R$ 136.878,27 R$ 40.960,71 155.930,87R$ -R$ 46.662,18R$
PR QUARTO CENTENÁRIO R$ 108.039,06 R$ 10.803,91 123.077,42R$ -R$ 12.307,75R$
PR QUATIGUÁ R$ 108.039,06 R$ 10.803,91 123.077,42R$ -R$ 12.307,75R$
PR QUATRO BARRAS R$ 108.039,06 R$ 10.803,91 123.077,42R$ -R$ 12.307,75R$
PR QUATRO PONTES R$ 108.039,06 R$ 10.803,91 123.077,42R$ -R$ 12.307,75R$
PR QUEDAS DO IGUAÇU R$ 108.039,06 R$ 10.803,91 123.077,42R$ -R$ 12.307,75R$
PR QUERÊNCIA DO NORTE R$ 108.039,06 R$ 10.803,91 123.077,42R$ -R$ 12.307,75R$
PR QUINTA DO SOL R$ 108.039,06 R$ 10.803,91 123.077,42R$ -R$ 12.307,75R$
PR QUITANDINHA R$ 108.039,06 R$ 10.803,91 123.077,42R$ -R$ 12.307,75R$
PR RAMILÂNDIA R$ 108.039,06 R$ 10.803,91 123.077,42R$ -R$ 12.307,75R$
PR RANCHO ALEGRE R$ 108.039,06 R$ 10.803,91 123.077,42R$ -R$ 12.307,75R$
PR RANCHO ALEGRE D'OESTE R$ 108.039,06 R$ 10.803,91 123.077,42R$ -R$ 12.307,75R$
PR REALEZA R$ 108.039,06 R$ 10.803,91 123.077,42R$ -R$ 12.307,75R$
PR REBOUÇAS R$ 108.039,06 R$ 10.803,91 123.077,42R$ -R$ 12.307,75R$
PR RENASCENÇA R$ 108.039,06 R$ 10.803,91 123.077,42R$ -R$ 12.307,75R$
PR RESERVA R$ 108.039,06 R$ 10.803,91 123.077,42R$ -R$ 12.307,75R$
PR RESERVA DO IGUAÇU R$ 108.039,06 R$ 10.803,91 123.077,42R$ -R$ 12.307,75R$
PR RIBEIRÃO CLARO R$ 108.039,06 R$ 15.204,72 123.077,42R$ -R$ 17.321,12R$
PR RIBEIRÃO DO PINHAL R$ 108.039,06 R$ 18.386,54 123.077,42R$ -R$ 20.945,83R$
53
Tribunal Superior Eleitoral
PREFEITO
1º TURNO 1º TURNO 2º TURNO
UF
POSSIBILIDADE
DE SEGUNDO
TURNO
VEREADORVEREADOR
LIMITE DE GASTOS OBSERVADO
O MÍNIMO LEGAL (R$ 100,000,00
PARA PREFEITO E R$ 10.000,00
PARA VEREADOR ) EM 2016***
LIMITE DE GASTOS 2020 (ATUALIZADO PELO IPCA DE
JUNHO/2016 ATÉ JUNHO/2020*)
PREFEITO
MUNICÍPIO**
PR RIO AZUL R$ 108.039,06 R$ 10.803,91 123.077,42R$ -R$ 12.307,75R$
PR RIO BOM R$ 108.039,06 R$ 26.036,02 123.077,42R$ -R$ 29.660,07R$
PR RIO BONITO DO IGUAÇU R$ 108.039,06 R$ 10.803,91 123.077,42R$ -R$ 12.307,75R$
PR RIO BRANCO DO IVAÍ R$ 108.039,06 R$ 10.803,91 123.077,42R$ -R$ 12.307,75R$
PR RIO BRANCO DO SUL R$ 108.039,06 R$ 21.031,73 123.077,42R$ -R$ 23.959,22R$
PR RIO NEGRO R$ 108.039,06 R$ 37.734,53 123.077,42R$ -R$ 42.986,94R$
PR ROLÂNDIA R$ 363.964,10 R$ 33.050,14 414.625,63R$ -R$ 37.650,51R$
PR RONCADOR R$ 108.039,06 R$ 10.803,91 123.077,42R$ -R$ 12.307,75R$
PR RONDON R$ 108.039,06 R$ 10.803,91 123.077,42R$ -R$ 12.307,75R$
PR ROSÁRIO DO IVAÍ R$ 108.039,06 R$ 10.803,91 123.077,42R$ -R$ 12.307,75R$
PR SABÁUDIA R$ 108.039,06 R$ 10.803,91 123.077,42R$ -R$ 12.307,75R$
PR SALGADO FILHO R$ 108.039,06 R$ 10.803,91 123.077,42R$ -R$ 12.307,75R$
PR SALTO DO ITARARÉ R$ 108.039,06 R$ 10.803,91 123.077,42R$ -R$ 12.307,75R$
PR SALTO DO LONTRA R$ 108.039,06 R$ 10.803,91 123.077,42R$ -R$ 12.307,75R$
PR SANTA AMÉLIA R$ 108.039,06 R$ 10.803,91 123.077,42R$ -R$ 12.307,75R$
PR SANTA CECÍLIA DO PAVÃO R$ 108.039,06 R$ 10.803,91 123.077,42R$ -R$ 12.307,75R$
PR SANTA CRUZ DE MONTE CASTELO R$ 108.039,06 R$ 10.803,91 123.077,42R$ -R$ 12.307,75R$
PR SANTA FÉ R$ 231.465,61 R$ 10.803,91 263.684,18R$ -R$ 12.307,75R$
PR SANTA HELENA R$ 108.039,06 R$ 10.803,91 123.077,42R$ -R$ 12.307,75R$
PR SANTA INÊS R$ 108.039,06 R$ 10.803,91 123.077,42R$ -R$ 12.307,75R$
PR SANTA ISABEL DO IVAÍ R$ 108.039,06 R$ 10.803,91 123.077,42R$ -R$ 12.307,75R$
PR SANTA IZABEL DO OESTE R$ 108.039,06 R$ 10.803,91 123.077,42R$ -R$ 12.307,75R$
PR SANTA LÚCIA R$ 108.039,06 R$ 10.803,91 123.077,42R$ -R$ 12.307,75R$
PR SANTA MARIA DO OESTE R$ 108.039,06 R$ 10.803,91 123.077,42R$ -R$ 12.307,75R$
PR SANTA MARIANA R$ 108.039,06 R$ 10.803,91 123.077,42R$ -R$ 12.307,75R$
PR SANTA MÔNICA R$ 108.039,06 R$ 10.803,91 123.077,42R$ -R$ 12.307,75R$
PR SANTA TEREZA DO OESTE R$ 108.039,06 R$ 10.803,91 123.077,42R$ -R$ 12.307,75R$
PR SANTA TEREZINHA DE ITAIPU R$ 241.408,53 R$ 19.040,36 275.011,09R$ -R$ 21.690,66R$
PR SANTANA DO ITARARÉ R$ 108.039,06 R$ 10.803,91 123.077,42R$ -R$ 12.307,75R$
PR SANTO ANTÔNIO DA PLATINA R$ 248.918,43 R$ 17.035,24 283.566,32R$ -R$ 19.406,44R$
PR SANTO ANTONIO DO CAIUÁ R$ 108.039,06 R$ 10.803,91 123.077,42R$ -R$ 12.307,75R$
PR SANTO ANTÔNIO DO PARAÍSO R$ 108.039,06 R$ 10.803,91 123.077,42R$ -R$ 12.307,75R$
PR SANTO ANTÔNIO DO SUDOESTE R$ 108.039,06 R$ 10.803,91 123.077,42R$ -R$ 12.307,75R$
PR SANTO INÁCIO R$ 108.039,06 R$ 10.803,91 123.077,42R$ -R$ 12.307,75R$
PR SÃO CARLOS DO IVAÍ R$ 108.039,06 R$ 10.803,91 123.077,42R$ -R$ 12.307,75R$
PR SÃO JERÔNIMO DA SERRA R$ 108.039,06 R$ 10.803,91 123.077,42R$ -R$ 12.307,75R$
PR SÃO JOÃO R$ 108.039,06 R$ 10.803,91 123.077,42R$ -R$ 12.307,75R$
PR SÃO JOÃO DO CAIUÁ R$ 108.039,06 R$ 10.803,91 123.077,42R$ -R$ 12.307,75R$
PR SÃO JOÃO DO IVAÍ R$ 108.039,06 R$ 15.221,52 123.077,42R$ -R$ 17.340,26R$
PR SÃO JOÃO DO TRIUNFO R$ 108.039,06 R$ 10.803,91 123.077,42R$ -R$ 12.307,75R$
PR SÃO JORGE DO IVAÍ R$ 108.039,06 R$ 10.803,91 123.077,42R$ -R$ 12.307,75R$
PR SÃO JORGE DO PATROCÍNIO R$ 108.039,06 R$ 10.803,91 123.077,42R$ -R$ 12.307,75R$
PR SÃO JORGE D'OESTE R$ 108.039,06 R$ 10.803,91 123.077,42R$ -R$ 12.307,75R$
PR SÃO JOSÉ DA BOA VISTA R$ 108.039,06 R$ 10.803,91 123.077,42R$ -R$ 12.307,75R$
PR SÃO JOSÉ DAS PALMEIRAS R$ 108.039,06 R$ 10.803,91 123.077,42R$ -R$ 12.307,75R$
PR SÃO JOSÉ DOS PINHAIS R$ 3.600.350,45 R$ 60.723,87 4.101.496,73R$ -R$ 69.176,25R$
PR SÃO MANOEL DO PARANÁ R$ 108.039,06 R$ 10.803,91 123.077,42R$ -R$ 12.307,75R$
PR SÃO MATEUS DO SUL R$ 108.039,06 R$ 19.336,97 123.077,42R$ -R$ 22.028,56R$
PR SÃO MIGUEL DO IGUAÇU R$ 108.039,06 R$ 16.060,85 123.077,42R$ -R$ 18.296,42R$
PR SÃO PEDRO DO IGUAÇU R$ 108.039,06 R$ 10.803,91 123.077,42R$ -R$ 12.307,75R$
PR SÃO PEDRO DO IVAÍ R$ 108.039,06 R$ 10.803,91 123.077,42R$ -R$ 12.307,75R$
PR SÃO PEDRO DO PARANÁ R$ 108.039,06 R$ 10.803,91 123.077,42R$ -R$ 12.307,75R$
PR SÃO SEBASTIÃO DA AMOREIRA R$ 108.039,06 R$ 10.803,91 123.077,42R$ -R$ 12.307,75R$
PR SÃO TOMÉ R$ 108.039,06 R$ 10.803,91 123.077,42R$ -R$ 12.307,75R$
PR SAPOPEMA R$ 187.814,89 R$ 10.803,91 213.957,55R$ -R$ 12.307,75R$
PR SARANDI R$ 335.470,21 R$ 23.714,66 382.165,57R$ -R$ 27.015,59R$
PR SAUDADE DO IGUAÇU R$ 108.039,06 R$ 10.803,91 123.077,42R$ -R$ 12.307,75R$
PR SENGÉS R$ 108.039,06 R$ 25.775,23 123.077,42R$ -R$ 29.362,98R$
PR SERRANÓPOLIS DO IGUAÇU R$ 108.039,06 R$ 10.803,91 123.077,42R$ -R$ 12.307,75R$
PR SERTANEJA R$ 108.039,06 R$ 10.803,91 123.077,42R$ -R$ 12.307,75R$
PR SERTANÓPOLIS R$ 108.039,06 R$ 47.802,75 123.077,42R$ -R$ 54.456,59R$
PR SIQUEIRA CAMPOS R$ 445.985,70 R$ 10.803,91 508.064,12R$ -R$ 12.307,75R$
PR SULINA R$ 108.039,06 R$ 10.803,91 123.077,42R$ -R$ 12.307,75R$
PR TAMARANA R$ 108.039,06 R$ 10.803,91 123.077,42R$ -R$ 12.307,75R$
PR TAMBOARA R$ 108.039,06 R$ 10.803,91 123.077,42R$ -R$ 12.307,75R$
PR TAPEJARA R$ 108.039,06 R$ 10.803,91 123.077,42R$ -R$ 12.307,75R$
54
Tribunal Superior Eleitoral
PREFEITO
1º TURNO 1º TURNO 2º TURNO
UF
POSSIBILIDADE
DE SEGUNDO
TURNO
VEREADORVEREADOR
LIMITE DE GASTOS OBSERVADO
O MÍNIMO LEGAL (R$ 100,000,00
PARA PREFEITO E R$ 10.000,00
PARA VEREADOR ) EM 2016***
LIMITE DE GASTOS 2020 (ATUALIZADO PELO IPCA DE
JUNHO/2016 ATÉ JUNHO/2020*)
PREFEITO
MUNICÍPIO**
PR TAPIRA R$ 108.039,06 R$ 10.803,91 123.077,42R$ -R$ 12.307,75R$
PR TEIXEIRA SOARES R$ 108.039,06 R$ 10.803,91 123.077,42R$ -R$ 12.307,75R$
PR TELÊMACO BORBA R$ 143.944,61 R$ 23.554,48 163.980,80R$ -R$ 26.833,12R$
PR TERRA BOA R$ 108.039,06 R$ 10.803,91 123.077,42R$ -R$ 12.307,75R$
PR TERRA RICA R$ 108.039,06 R$ 10.803,91 123.077,42R$ -R$ 12.307,75R$
PR TERRA ROXA R$ 108.039,06 R$ 17.207,85 123.077,42R$ -R$ 19.603,08R$
PR TIBAGI R$ 284.784,84 R$ 43.810,83 324.425,11R$ -R$ 49.909,02R$
PR TIJUCAS DO SUL R$ 108.039,06 R$ 10.803,91 123.077,42R$ -R$ 12.307,75R$
PR TOLEDO R$ 959.146,51 R$ 44.379,69 1.092.653,71R$ -R$ 50.557,07R$
PR TOMAZINA R$ 108.039,06 R$ 10.803,91 123.077,42R$ -R$ 12.307,75R$
PR TRÊS BARRAS DO PARANÁ R$ 108.039,06 R$ 10.803,91 123.077,42R$ -R$ 12.307,75R$
PR TUNAS DO PARANÁ R$ 143.530,30 R$ 16.752,61 163.508,82R$ -R$ 19.084,47R$
PR TUNEIRAS DO OESTE R$ 108.039,06 R$ 10.803,91 123.077,42R$ -R$ 12.307,75R$
PR TUPÃSSI R$ 108.039,06 R$ 13.945,25 123.077,42R$ -R$ 15.886,34R$
PR TURVO R$ 108.039,06 R$ 16.773,77 123.077,42R$ -R$ 19.108,57R$
PR UBIRATÃ R$ 108.039,06 R$ 10.803,91 123.077,42R$ -R$ 12.307,75R$
PR UMUARAMA R$ 108.039,06 R$ 46.895,97 123.077,42R$ -R$ 53.423,60R$
PR UNIÃO DA VITÓRIA R$ 392.762,80 R$ 31.614,62 447.432,93R$ -R$ 36.015,18R$
PR UNIFLOR R$ 108.039,06 R$ 10.803,91 123.077,42R$ -R$ 12.307,75R$
PR URAÍ R$ 108.039,06 R$ 10.803,91 123.077,42R$ -R$ 12.307,75R$
PR VENTANIA R$ 108.039,06 R$ 10.803,91 123.077,42R$ -R$ 12.307,75R$
PR VERA CRUZ DO OESTE R$ 108.039,06 R$ 10.803,91 123.077,42R$ -R$ 12.307,75R$
PR VERÊ R$ 108.039,06 R$ 10.803,91 123.077,42R$ -R$ 12.307,75R$
PR VIRMOND R$ 108.039,06 R$ 10.803,91 123.077,42R$ -R$ 12.307,75R$
PR VITORINO R$ 108.039,06 R$ 10.803,91 123.077,42R$ -R$ 12.307,75R$
PR WENCESLAU BRAZ R$ 108.039,06 R$ 10.803,91 123.077,42R$ -R$ 12.307,75R$
PR XAMBRÊ R$ 182.828,46 R$ 10.803,91 208.277,04R$ -R$ 12.307,75R$
RJ ANGRA DOS REIS R$ 882.700,03 R$ 145.710,82 1.005.566,36R$ -R$ 165.992,86R$
RJ APERIBÉ R$ 108.039,06 R$ 10.803,91 123.077,42R$ -R$ 12.307,75R$
RJ ARARUAMA R$ 939.719,02 R$ 120.666,63 1.070.522,03R$ -R$ 137.462,67R$
RJ AREAL R$ 108.039,06 R$ 16.228,01 123.077,42R$ -R$ 18.486,85R$
RJ ARMAÇÃO DOS BÚZIOS R$ 467.148,25 R$ 51.651,26 532.172,37R$ -R$ 58.840,79R$
RJ ARRAIAL DO CABO R$ 108.039,06 R$ 35.615,13 123.077,42R$ -R$ 40.572,53R$
RJ BARRA DO PIRAÍ R$ 440.007,88 R$ 39.247,43 501.254,23R$ -R$ 44.710,43R$
RJ BARRA MANSA R$ 774.599,15 R$ 56.116,40 882.418,51R$ -R$ 63.927,45R$
RJ BELFORD ROXO SIM R$ 805.781,62 R$ 122.982,52 917.941,38R$ 367.176,55R$ 140.100,92R$
RJ BOM JARDIM R$ 108.039,06 R$ 16.189,12 123.077,42R$ -R$ 18.442,54R$
RJ BOM JESUS DO ITABAPOANA R$ 108.039,06 R$ 18.539,31 123.077,42R$ -R$ 21.119,87R$
RJ CABO FRIO R$ 1.392.880,29 R$ 74.554,71 1.586.760,52R$ -R$ 84.932,26R$
RJ CACHOEIRAS DE MACACU R$ 310.189,11 R$ 68.539,82 353.365,50R$ -R$ 78.080,13R$
RJ CAMBUCI R$ 108.039,06 R$ 20.448,01 123.077,42R$ -R$ 23.294,25R$
RJ CAMPOS DOS GOYTACAZES SIM R$ 2.123.379,03 R$ 280.295,75 2.418.940,12R$ 967.576,05R$ 319.311,17R$
RJ CANTAGALO R$ 108.039,06 R$ 10.803,91 123.077,42R$ -R$ 12.307,75R$
RJ CARAPEBUS R$ 270.680,40 R$ 10.803,91 308.357,42R$ -R$ 12.307,75R$
RJ CARDOSO MOREIRA R$ 146.186,85 R$ 10.803,91 166.535,15R$ -R$ 12.307,75R$
RJ CARMO R$ 108.039,06 R$ 17.734,00 123.077,42R$ -R$ 20.202,46R$
RJ CASIMIRO DE ABREU R$ 701.079,04 R$ 45.801,93 798.664,86R$ -R$ 52.177,27R$
RJ COMENDADOR LEVY GASPARIAN R$ 108.039,06 R$ 10.803,91 123.077,42R$ -R$ 12.307,75R$
RJ CONCEIÇÃO DE MACABU R$ 181.048,23 R$ 18.085,19 206.249,01R$ -R$ 20.602,54R$
RJ CORDEIRO R$ 108.039,06 R$ 18.726,57 123.077,42R$ -R$ 21.333,19R$
RJ DUAS BARRAS R$ 108.039,06 R$ 10.803,91 123.077,42R$ -R$ 12.307,75R$
RJ DUQUE DE CAXIAS SIM R$ 2.830.342,40 R$ 306.121,47 3.224.308,37R$ 1.289.723,35R$ 348.731,67R$
RJ ENGENHEIRO PAULO DE FRONTIN R$ 165.480,55 R$ 13.556,26 188.514,41R$ -R$ 15.443,21R$
RJ GUAPIMIRIM R$ 191.805,79 R$ 40.117,56 218.503,96R$ -R$ 45.701,67R$
RJ IGUABA GRANDE R$ 325.023,66 R$ 45.237,18 370.264,92R$ -R$ 51.533,91R$
RJ ITABORAÍ R$ 1.577.707,77 R$ 92.912,05 1.797.314,83R$ -R$ 105.844,83R$
RJ ITAGUAÍ R$ 554.340,15 R$ 69.569,11 631.500,83R$ -R$ 79.252,70R$
RJ ITALVA R$ 108.039,06 R$ 10.803,91 123.077,42R$ -R$ 12.307,75R$
RJ ITAOCARA R$ 108.039,06 R$ 10.803,91 123.077,42R$ -R$ 12.307,75R$
RJ ITAPERUNA R$ 400.567,83 R$ 34.687,38 456.324,37R$ -R$ 39.515,65R$
RJ ITATIAIA R$ 308.997,11 R$ 10.803,91 352.007,58R$ -R$ 12.307,75R$
RJ JAPERI R$ 423.028,61 R$ 75.637,42 481.911,55R$ -R$ 86.165,68R$
RJ LAJE DO MURIAÉ R$ 108.039,06 R$ 10.803,91 123.077,42R$ -R$ 12.307,75R$
RJ MACAÉ R$ 2.577.907,44 R$ 253.322,86 2.936.736,04R$ -R$ 288.583,82R$
RJ MACUCO R$ 108.039,06 R$ 10.803,91 123.077,42R$ -R$ 12.307,75R$
RJ MAGÉ R$ 733.070,42 R$ 108.795,30 835.109,24R$ -R$ 123.938,93R$
55
Tribunal Superior Eleitoral
PREFEITO
1º TURNO 1º TURNO 2º TURNO
UF
POSSIBILIDADE
DE SEGUNDO
TURNO
VEREADORVEREADOR
LIMITE DE GASTOS OBSERVADO
O MÍNIMO LEGAL (R$ 100,000,00
PARA PREFEITO E R$ 10.000,00
PARA VEREADOR ) EM 2016***
LIMITE DE GASTOS 2020 (ATUALIZADO PELO IPCA DE
JUNHO/2016 ATÉ JUNHO/2020*)
PREFEITO
MUNICÍPIO**
RJ MANGARATIBA R$ 692.283,96 R$ 94.358,52 788.645,56R$ -R$ 107.492,64R$
RJ MARICÁ R$ 1.714.579,98 R$ 89.603,79 1.953.238,80R$ -R$ 102.076,08R$
RJ MENDES R$ 143.362,04 R$ 10.803,91 163.317,14R$ -R$ 12.307,75R$
RJ MESQUITA R$ 614.623,00 R$ 67.760,43 700.174,68R$ -R$ 77.192,26R$
RJ MIGUEL PEREIRA R$ 190.996,33 R$ 16.667,59 217.581,83R$ -R$ 18.987,61R$
RJ MIRACEMA R$ 143.133,83 R$ 15.053,17 163.057,16R$ -R$ 17.148,48R$
RJ NATIVIDADE R$ 252.075,87 R$ 32.436,11 287.163,26R$ -R$ 36.951,01R$
RJ NILÓPOLIS R$ 928.217,42 R$ 68.977,39 1.057.419,48R$ -R$ 78.578,61R$
RJ NITERÓI SIM R$ 5.411.648,23 R$ 358.315,24 6.164.915,83R$ 2.465.966,33R$ 408.190,48R$
RJ NOVA FRIBURGO R$ 1.470.181,14 R$ 57.066,92 1.674.821,16R$ -R$ 65.010,28R$
RJ NOVA IGUAÇU SIM R$ 3.310.089,01 R$ 130.571,00 3.770.832,71R$ 1.508.333,08R$ 148.745,67R$
RJ PARACAMBI R$ 365.251,09 R$ 16.206,83 416.091,76R$ -R$ 18.462,72R$
RJ PARAÍBA DO SUL R$ 140.449,30 R$ 10.803,91 159.998,96R$ -R$ 12.307,75R$
RJ PARATY R$ 431.542,37 R$ 19.681,63 491.610,37R$ -R$ 22.421,19R$
RJ PATY DO ALFERES R$ 245.418,74 R$ 15.121,71 279.579,49R$ -R$ 17.226,56R$
RJ PETRÓPOLIS SIM R$ 1.091.341,25 R$ 234.065,03 1.243.249,13R$ 497.299,65R$ 266.645,42R$
RJ PINHEIRAL R$ 108.039,06 R$ 10.803,91 123.077,42R$ -R$ 12.307,75R$
RJ PIRAÍ R$ 441.380,65 R$ 28.044,92 502.818,08R$ -R$ 31.948,60R$
RJ PORCIÚNCULA R$ 283.083,43 R$ 33.782,55 322.486,87R$ -R$ 38.484,87R$
RJ PORTO REAL R$ 528.286,61 R$ 17.963,48 601.820,80R$ -R$ 20.463,88R$
RJ QUATIS R$ 155.847,36 R$ 10.803,91 177.540,34R$ -R$ 12.307,75R$
RJ QUEIMADOS R$ 501.881,14 R$ 92.072,01 571.739,86R$ -R$ 104.887,86R$
RJ QUISSAMÃ R$ 456.896,08 R$ 74.306,37 520.493,16R$ -R$ 84.649,35R$
RJ RESENDE R$ 630.483,71 R$ 45.604,41 718.243,10R$ -R$ 51.952,26R$
RJ RIO BONITO R$ 396.689,32 R$ 31.556,43 451.905,99R$ -R$ 35.948,89R$
RJ RIO CLARO R$ 108.039,06 R$ 10.803,91 123.077,42R$ -R$ 12.307,75R$
RJ RIO DAS FLORES R$ 160.518,85 R$ 16.344,22 182.862,07R$ -R$ 18.619,23R$
RJ RIO DAS OSTRAS R$ 1.150.995,24 R$ 173.975,76 1.311.206,58R$ -R$ 198.192,10R$
RJ RIO DE JANEIRO SIM R$ 19.858.352,08 R$ 1.399.742,04 22.622.510,55R$ 9.049.004,22R$ 1.594.577,38R$
RJ SANTA MARIA MADALENA R$ 108.039,06 R$ 10.803,91 123.077,42R$ -R$ 12.307,75R$
RJ SANTO ANTÔNIO DE PÁDUA R$ 108.039,06 R$ 29.775,25 123.077,42R$ -R$ 33.919,78R$
RJ SÃO FIDÉLIS R$ 592.102,49 R$ 107.589,97 674.519,46R$ -R$ 122.565,82R$
RJ SÃO FRANCISCO DE ITABAPOANA R$ 293.841,52 R$ 18.060,84 334.742,42R$ -R$ 20.574,80R$
RJ SÃO GONÇALO SIM R$ 2.734.642,75 R$ 258.866,13 3.115.287,93R$ 1.246.115,17R$ 294.898,68R$
RJ SÃO JOÃO DA BARRA R$ 719.021,86 R$ 51.717,27 819.105,21R$ -R$ 58.915,99R$
RJ SÃO JOÃO DE MERITI SIM R$ 715.862,26 R$ 212.429,56 815.505,81R$ 326.202,32R$ 241.998,43R$
RJ SÃO JOSÉ DE UBÁ R$ 108.039,06 R$ 10.803,91 123.077,42R$ -R$ 12.307,75R$
RJ SÃO JOSÉ DO VALE DO RIO PRETO R$ 108.039,06 R$ 15.035,86 123.077,42R$ -R$ 17.128,76R$
RJ SÃO PEDRO DA ALDEIA R$ 428.089,46 R$ 10.803,91 487.676,84R$ -R$ 12.307,75R$
RJ SÃO SEBASTIÃO DO ALTO R$ 108.039,06 R$ 10.803,91 123.077,42R$ -R$ 12.307,75R$
RJ SAPUCAIA R$ 108.039,06 R$ 10.803,91 123.077,42R$ -R$ 12.307,75R$
RJ SAQUAREMA R$ 1.586.740,14 R$ 84.831,38 1.807.604,45R$ -R$ 96.639,38R$
RJ SEROPÉDICA R$ 222.288,68 R$ 64.858,55 253.229,87R$ -R$ 73.886,45R$
RJ SILVA JARDIM R$ 511.144,49 R$ 52.771,95 582.292,61R$ -R$ 60.117,48R$
RJ SUMIDOURO R$ 108.039,06 R$ 10.803,91 123.077,42R$ -R$ 12.307,75R$
RJ TANGUÁ R$ 206.661,58 R$ 13.407,05 235.427,58R$ -R$ 15.273,23R$
RJ TERESÓPOLIS R$ 541.014,32 R$ 55.927,90 616.320,13R$ -R$ 63.712,71R$
RJ TRAJANO DE MORAES R$ 108.039,06 R$ 10.803,91 123.077,42R$ -R$ 12.307,75R$
RJ TRÊS RIOS R$ 497.225,46 R$ 78.835,56 566.436,14R$ -R$ 89.808,98R$
RJ VALENÇA R$ 409.350,21 R$ 34.842,05 466.329,20R$ -R$ 39.691,85R$
RJ VARRE-SAI R$ 108.039,06 R$ 10.803,91 123.077,42R$ -R$ 12.307,75R$
RJ VASSOURAS R$ 370.763,09 R$ 44.720,73 422.370,99R$ -R$ 50.945,58R$
RJ VOLTA REDONDA SIM R$ 717.269,70 R$ 86.933,42 817.109,16R$ 326.843,66R$ 99.034,01R$
RN ACARI R$ 142.752,67 R$ 23.095,11 162.622,95R$ -R$ 26.309,80R$
RN AFONSO BEZERRA R$ 108.039,06 R$ 26.869,82 123.077,42R$ -R$ 30.609,93R$
RN ÁGUA NOVA R$ 108.039,06 R$ 10.803,91 123.077,42R$ -R$ 12.307,75R$
RN ALEXANDRIA R$ 108.039,06 R$ 14.756,54 123.077,42R$ -R$ 16.810,56R$
RN ALMINO AFONSO R$ 108.039,06 R$ 10.803,91 123.077,42R$ -R$ 12.307,75R$
RN ALTO DO RODRIGUES R$ 283.936,88 R$ 24.249,48 323.459,12R$ -R$ 27.624,86R$
RN ANGICOS R$ 335.542,74 R$ 23.246,26 382.248,19R$ -R$ 26.481,99R$
RN ANTÔNIO MARTINS R$ 108.039,06 R$ 10.803,91 123.077,42R$ -R$ 12.307,75R$
RN APODI R$ 177.150,80 R$ 27.168,24 201.809,08R$ -R$ 30.949,89R$
RN AREIA BRANCA R$ 294.091,47 R$ 47.508,06 335.027,16R$ -R$ 54.120,88R$
RN AREZ R$ 171.736,52 R$ 10.803,91 195.641,17R$ -R$ 12.307,75R$
RN ASSÚ R$ 290.107,51 R$ 36.278,32 330.488,66R$ -R$ 41.328,04R$
RN BAÍA FORMOSA R$ 108.039,06 R$ 10.803,91 123.077,42R$ -R$ 12.307,75R$
56
Tribunal Superior Eleitoral
PREFEITO
1º TURNO 1º TURNO 2º TURNO
UF
POSSIBILIDADE
DE SEGUNDO
TURNO
VEREADORVEREADOR
LIMITE DE GASTOS OBSERVADO
O MÍNIMO LEGAL (R$ 100,000,00
PARA PREFEITO E R$ 10.000,00
PARA VEREADOR ) EM 2016***
LIMITE DE GASTOS 2020 (ATUALIZADO PELO IPCA DE
JUNHO/2016 ATÉ JUNHO/2020*)
PREFEITO
MUNICÍPIO**
RN BARAÚNA R$ 190.908,05 R$ 42.920,30 217.481,26R$ -R$ 48.894,54R$
RN BARCELONA R$ 108.039,06 R$ 10.803,91 123.077,42R$ -R$ 12.307,75R$
RN BENTO FERNANDES R$ 108.039,06 R$ 19.272,95 123.077,42R$ -R$ 21.955,62R$
RN BOA SAÚDE R$ 108.039,06 R$ 18.082,55 123.077,42R$ -R$ 20.599,53R$
RN BODÓ R$ 108.039,06 R$ 10.803,91 123.077,42R$ -R$ 12.307,75R$
RN BOM JESUS R$ 108.039,06 R$ 22.229,47 123.077,42R$ -R$ 25.323,67R$
RN BREJINHO R$ 235.081,99 R$ 22.271,91 267.803,93R$ -R$ 25.372,02R$
RN CAIÇARA DO NORTE R$ 108.039,06 R$ 10.803,91 123.077,42R$ -R$ 12.307,75R$
RN CAIÇARA DO RIO DO VENTO R$ 108.039,06 R$ 10.803,91 123.077,42R$ -R$ 12.307,75R$
RN CAICÓ R$ 276.337,41 R$ 45.953,79 314.801,85R$ -R$ 52.350,27R$
RN CAMPO GRANDE R$ 108.039,06 R$ 32.373,75 123.077,42R$ -R$ 36.879,97R$
RN CAMPO REDONDO R$ 108.039,06 R$ 27.633,88 123.077,42R$ -R$ 31.480,34R$
RN CANGUARETAMA R$ 236.679,78 R$ 21.377,01 269.624,13R$ -R$ 24.352,56R$
RN CARAÚBAS R$ 108.039,06 R$ 17.351,59 123.077,42R$ -R$ 19.766,82R$
RN CARNAÚBA DOS DANTAS R$ 108.039,06 R$ 18.328,10 123.077,42R$ -R$ 20.879,26R$
RN CARNAUBAIS R$ 108.039,06 R$ 10.803,91 123.077,42R$ -R$ 12.307,75R$
RN CEARÁ-MIRIM R$ 559.456,37 R$ 18.328,63 637.329,20R$ -R$ 20.879,86R$
RN CERRO CORÁ R$ 108.039,06 R$ 17.922,47 123.077,42R$ -R$ 20.417,17R$
RN CORONEL EZEQUIEL R$ 108.039,06 R$ 10.803,91 123.077,42R$ -R$ 12.307,75R$
RN CORONEL JOÃO PESSOA R$ 108.039,06 R$ 10.803,91 123.077,42R$ -R$ 12.307,75R$
RN CRUZETA R$ 108.039,06 R$ 14.335,37 123.077,42R$ -R$ 16.330,76R$
RN CURRAIS NOVOS R$ 184.935,17 R$ 20.955,04 210.676,99R$ -R$ 23.871,85R$
RN DOUTOR SEVERIANO R$ 108.039,06 R$ 10.803,91 123.077,42R$ -R$ 12.307,75R$
RN ENCANTO R$ 108.039,06 R$ 10.803,91 123.077,42R$ -R$ 12.307,75R$
RN EQUADOR R$ 108.039,06 R$ 10.803,91 123.077,42R$ -R$ 12.307,75R$
RN ESPÍRITO SANTO R$ 108.039,06 R$ 15.018,71 123.077,42R$ -R$ 17.109,22R$
RN EXTREMOZ R$ 303.937,07 R$ 33.102,96 346.243,21R$ -R$ 37.710,69R$
RN FELIPE GUERRA R$ 108.039,06 R$ 10.803,91 123.077,42R$ -R$ 12.307,75R$
RN FERNANDO PEDROZA R$ 108.039,06 R$ 10.803,91 123.077,42R$ -R$ 12.307,75R$
RN FLORÂNIA R$ 108.039,06 R$ 10.803,91 123.077,42R$ -R$ 12.307,75R$
RN FRANCISCO DANTAS R$ 108.039,06 R$ 13.759,35 123.077,42R$ -R$ 15.674,57R$
RN FRUTUOSO GOMES R$ 108.039,06 R$ 10.803,91 123.077,42R$ -R$ 12.307,75R$
RN GALINHOS R$ 108.039,06 R$ 10.803,91 123.077,42R$ -R$ 12.307,75R$
RN GOIANINHA R$ 108.039,06 R$ 45.707,42 123.077,42R$ -R$ 52.069,61R$
RN GOVERNADOR DIX-SEPT ROSADO R$ 193.143,53 R$ 37.174,12 220.027,90R$ -R$ 42.348,53R$
RN GROSSOS R$ 108.039,06 R$ 10.803,91 123.077,42R$ -R$ 12.307,75R$
RN GUAMARÉ R$ 189.101,97 R$ 35.633,87 215.423,78R$ -R$ 40.593,88R$
RN IELMO MARINHO R$ 165.030,79 R$ 27.653,77 188.002,04R$ -R$ 31.503,00R$
RN IPANGUAÇU R$ 108.039,06 R$ 17.912,06 123.077,42R$ -R$ 20.405,31R$
RN IPUEIRA R$ 108.039,06 R$ 18.767,49 123.077,42R$ -R$ 21.379,81R$
RN ITAJÁ R$ 108.039,06 R$ 10.803,91 123.077,42R$ -R$ 12.307,75R$
RN ITAÚ R$ 108.039,06 R$ 10.803,91 123.077,42R$ -R$ 12.307,75R$
RN JAÇANÃ R$ 108.039,06 R$ 10.803,91 123.077,42R$ -R$ 12.307,75R$
RN JANDAÍRA R$ 108.039,06 R$ 25.199,28 123.077,42R$ -R$ 28.706,86R$
RN JANDUÍS R$ 108.039,06 R$ 17.427,10 123.077,42R$ -R$ 19.852,84R$
RN JAPI R$ 108.039,06 R$ 13.810,85 123.077,42R$ -R$ 15.733,23R$
RN JARDIM DE ANGICOS R$ 108.039,06 R$ 10.803,91 123.077,42R$ -R$ 12.307,75R$
RN JARDIM DE PIRANHAS R$ 320.488,39 R$ 68.871,61 365.098,37R$ -R$ 78.458,11R$
RN JARDIM DO SERIDÓ R$ 180.337,97 R$ 18.223,78 205.439,89R$ -R$ 20.760,42R$
RN JOÃO CÂMARA R$ 108.039,06 R$ 13.576,77 123.077,42R$ -R$ 15.466,57R$
RN JOÃO DIAS R$ 108.039,06 R$ 10.803,91 123.077,42R$ -R$ 12.307,75R$
RN JOSÉ DA PENHA R$ 108.039,06 R$ 10.803,91 123.077,42R$ -R$ 12.307,75R$
RN JUCURUTU R$ 168.258,26 R$ 22.681,21 191.678,76R$ -R$ 25.838,29R$
RN JUNDIÁ R$ 108.039,06 R$ 10.803,91 123.077,42R$ -R$ 12.307,75R$
RN LAGOA D'ANTA R$ 108.039,06 R$ 10.803,91 123.077,42R$ -R$ 12.307,75R$
RN LAGOA DE PEDRAS R$ 108.039,06 R$ 13.561,37 123.077,42R$ -R$ 15.449,03R$
RN LAGOA DE VELHOS R$ 108.039,06 R$ 10.803,91 123.077,42R$ -R$ 12.307,75R$
RN LAGOA NOVA R$ 108.039,06 R$ 10.803,91 123.077,42R$ -R$ 12.307,75R$
RN LAGOA SALGADA R$ 108.039,06 R$ 10.803,91 123.077,42R$ -R$ 12.307,75R$
RN LAJES R$ 108.039,06 R$ 10.803,91 123.077,42R$ -R$ 12.307,75R$
RN LAJES PINTADAS R$ 108.039,06 R$ 10.803,91 123.077,42R$ -R$ 12.307,75R$
RN LUCRÉCIA R$ 108.039,06 R$ 10.803,91 123.077,42R$ -R$ 12.307,75R$
RN LUÍS GOMES R$ 146.357,64 R$ 10.803,91 166.729,71R$ -R$ 12.307,75R$
RN MACAÍBA R$ 193.538,72 R$ 31.451,71 220.478,10R$ -R$ 35.829,59R$
RN MACAU R$ 156.271,77 R$ 29.087,65 178.023,82R$ -R$ 33.136,47R$
RN MAJOR SALES R$ 108.039,06 R$ 10.803,91 123.077,42R$ -R$ 12.307,75R$
57
Tribunal Superior Eleitoral
PREFEITO
1º TURNO 1º TURNO 2º TURNO
UF
POSSIBILIDADE
DE SEGUNDO
TURNO
VEREADORVEREADOR
LIMITE DE GASTOS OBSERVADO
O MÍNIMO LEGAL (R$ 100,000,00
PARA PREFEITO E R$ 10.000,00
PARA VEREADOR ) EM 2016***
LIMITE DE GASTOS 2020 (ATUALIZADO PELO IPCA DE
JUNHO/2016 ATÉ JUNHO/2020*)
PREFEITO
MUNICÍPIO**
RN MARCELINO VIEIRA R$ 108.039,06 R$ 10.803,91 123.077,42R$ -R$ 12.307,75R$
RN MARTINS R$ 156.853,96 R$ 10.803,91 178.687,05R$ -R$ 12.307,75R$
RN MAXARANGUAPE R$ 108.039,06 R$ 10.803,91 123.077,42R$ -R$ 12.307,75R$
RN MESSIAS TARGINO R$ 108.039,06 R$ 10.803,91 123.077,42R$ -R$ 12.307,75R$
RN MONTANHAS R$ 134.810,62 R$ 10.803,91 153.575,42R$ -R$ 12.307,75R$
RN MONTE ALEGRE R$ 149.562,14 R$ 19.816,79 170.380,25R$ -R$ 22.575,16R$
RN MONTE DAS GAMELEIRAS R$ 108.039,06 R$ 10.803,91 123.077,42R$ -R$ 12.307,75R$
RN MOSSORÓ R$ 2.953.615,39 R$ 195.138,56 3.364.740,19R$ -R$ 222.300,63R$
RN NATAL SIM R$ 5.490.293,93 R$ 339.352,08 6.254.508,52R$ 2.501.803,41R$ 386.587,77R$
RN NÍSIA FLORESTA R$ 108.039,06 R$ 36.853,57 123.077,42R$ -R$ 41.983,36R$
RN NOVA CRUZ R$ 291.410,48 R$ 34.775,25 331.973,00R$ -R$ 39.615,75R$
RN OLHO D'ÁGUA DO BORGES R$ 108.039,06 R$ 10.803,91 123.077,42R$ -R$ 12.307,75R$
RN OURO BRANCO R$ 108.039,06 R$ 20.865,90 123.077,42R$ -R$ 23.770,30R$
RN PARANÁ R$ 108.039,06 R$ 10.803,91 123.077,42R$ -R$ 12.307,75R$
RN PARAÚ R$ 108.039,06 R$ 10.803,91 123.077,42R$ -R$ 12.307,75R$
RN PARAZINHO R$ 108.039,06 R$ 14.607,93 123.077,42R$ -R$ 16.641,26R$
RN PARELHAS R$ 108.039,06 R$ 21.867,03 123.077,42R$ -R$ 24.910,78R$
RN PARNAMIRIM R$ 1.193.747,37 R$ 184.353,09 1.359.909,54R$ -R$ 210.013,89R$
RN PASSA E FICA R$ 108.039,06 R$ 15.214,22 123.077,42R$ -R$ 17.331,94R$
RN PASSAGEM R$ 108.039,06 R$ 10.803,91 123.077,42R$ -R$ 12.307,75R$
RN PATU R$ 108.039,06 R$ 17.436,31 123.077,42R$ -R$ 19.863,34R$
RN PAU DOS FERROS R$ 191.245,13 R$ 16.824,09 217.865,26R$ -R$ 19.165,90R$
RN PEDRA GRANDE R$ 108.039,06 R$ 21.722,82 123.077,42R$ -R$ 24.746,50R$
RN PEDRA PRETA R$ 108.039,06 R$ 10.803,91 123.077,42R$ -R$ 12.307,75R$
RN PEDRO AVELINO R$ 108.039,06 R$ 14.438,35 123.077,42R$ -R$ 16.448,08R$
RN PEDRO VELHO R$ 108.039,06 R$ 21.377,32 123.077,42R$ -R$ 24.352,91R$
RN PENDÊNCIAS R$ 153.355,13 R$ 14.776,66 174.701,21R$ -R$ 16.833,48R$
RN PILÕES R$ 108.039,06 R$ 10.803,91 123.077,42R$ -R$ 12.307,75R$
RN POÇO BRANCO R$ 108.039,06 R$ 18.533,69 123.077,42R$ -R$ 21.113,46R$
RN PORTALEGRE R$ 108.039,06 R$ 10.803,91 123.077,42R$ -R$ 12.307,75R$
RN PORTO DO MANGUE R$ 108.039,06 R$ 10.803,91 123.077,42R$ -R$ 12.307,75R$
RN PUREZA R$ 108.039,06 R$ 10.803,91 123.077,42R$ -R$ 12.307,75R$
RN RAFAEL FERNANDES R$ 108.039,06 R$ 10.803,91 123.077,42R$ -R$ 12.307,75R$
RN RAFAEL GODEIRO R$ 108.039,06 R$ 10.803,91 123.077,42R$ -R$ 12.307,75R$
RN RIACHO DA CRUZ R$ 108.039,06 R$ 10.803,91 123.077,42R$ -R$ 12.307,75R$
RN RIACHO DE SANTANA R$ 108.039,06 R$ 10.803,91 123.077,42R$ -R$ 12.307,75R$
RN RIACHUELO R$ 108.039,06 R$ 30.044,06 123.077,42R$ -R$ 34.226,01R$
RN RIO DO FOGO R$ 108.039,06 R$ 10.803,91 123.077,42R$ -R$ 12.307,75R$
RN RODOLFO FERNANDES R$ 108.039,06 R$ 10.803,91 123.077,42R$ -R$ 12.307,75R$
RN RUY BARBOSA R$ 108.039,06 R$ 10.803,91 123.077,42R$ -R$ 12.307,75R$
RN SANTA CRUZ R$ 249.279,02 R$ 18.685,37 283.977,10R$ -R$ 21.286,26R$
RN SANTA MARIA R$ 108.039,06 R$ 10.803,91 123.077,42R$ -R$ 12.307,75R$
RN SANTANA DO MATOS R$ 155.497,56 R$ 15.687,02 177.141,85R$ -R$ 17.870,56R$
RN SANTANA DO SERIDÓ R$ 108.039,06 R$ 10.803,91 123.077,42R$ -R$ 12.307,75R$
RN SANTO ANTÔNIO R$ 108.039,06 R$ 14.887,63 123.077,42R$ -R$ 16.959,90R$
RN SÃO BENTO DO NORTE R$ 108.039,06 R$ 10.803,91 123.077,42R$ -R$ 12.307,75R$
RN SÃO BENTO DO TRAIRÍ R$ 108.039,06 R$ 10.803,91 123.077,42R$ -R$ 12.307,75R$
RN SÃO FERNANDO R$ 108.039,06 R$ 14.985,36 123.077,42R$ -R$ 17.071,23R$
RN SÃO FRANCISCO DO OESTE R$ 108.039,06 R$ 10.803,91 123.077,42R$ -R$ 12.307,75R$
RN SÃO GONÇALO DO AMARANTE R$ 264.366,24 R$ 66.374,39 301.164,37R$ -R$ 75.613,29R$
RN SÃO JOÃO DO SABUGI R$ 108.039,06 R$ 10.803,91 123.077,42R$ -R$ 12.307,75R$
RN SÃO JOSÉ DE MIPIBU R$ 108.039,06 R$ 53.719,72 123.077,42R$ -R$ 61.197,17R$
RN SÃO JOSÉ DO CAMPESTRE R$ 108.039,06 R$ 10.803,91 123.077,42R$ -R$ 12.307,75R$
RN SÃO JOSÉ DO SERIDÓ R$ 108.039,06 R$ 24.732,96 123.077,42R$ -R$ 28.175,63R$
RN SÃO MIGUEL R$ 260.226,35 R$ 19.775,26 296.448,23R$ -R$ 22.527,85R$
RN SÃO MIGUEL DO GOSTOSO R$ 108.039,06 R$ 10.803,91 123.077,42R$ -R$ 12.307,75R$
RN SÃO PAULO DO POTENGI R$ 108.039,06 R$ 10.803,91 123.077,42R$ -R$ 12.307,75R$
RN SÃO PEDRO R$ 108.039,06 R$ 10.803,91 123.077,42R$ -R$ 12.307,75R$
RN SÃO RAFAEL R$ 108.039,06 R$ 18.866,39 123.077,42R$ -R$ 21.492,47R$
RN SÃO TOMÉ R$ 108.039,06 R$ 10.803,91 123.077,42R$ -R$ 12.307,75R$
RN SÃO VICENTE R$ 108.039,06 R$ 10.803,91 123.077,42R$ -R$ 12.307,75R$
RN SENADOR ELÓI DE SOUZA R$ 108.039,06 R$ 17.868,41 123.077,42R$ -R$ 20.355,58R$
RN SENADOR GEORGINO AVELINO R$ 108.039,06 R$ 10.803,91 123.077,42R$ -R$ 12.307,75R$
RN SERRA CAIADA R$ 108.039,06 R$ 10.803,91 123.077,42R$ -R$ 12.307,75R$
RN SERRA DE SÃO BENTO R$ 108.039,06 R$ 35.421,31 123.077,42R$ -R$ 40.351,73R$
RN SERRA DO MEL R$ 159.760,31 R$ 17.009,21 181.997,95R$ -R$ 19.376,79R$
58
Tribunal Superior Eleitoral
PREFEITO
1º TURNO 1º TURNO 2º TURNO
UF
POSSIBILIDADE
DE SEGUNDO
TURNO
VEREADORVEREADOR
LIMITE DE GASTOS OBSERVADO
O MÍNIMO LEGAL (R$ 100,000,00
PARA PREFEITO E R$ 10.000,00
PARA VEREADOR ) EM 2016***
LIMITE DE GASTOS 2020 (ATUALIZADO PELO IPCA DE
JUNHO/2016 ATÉ JUNHO/2020*)
PREFEITO
MUNICÍPIO**
RN SERRA NEGRA DO NORTE R$ 175.032,76 R$ 15.924,80 199.396,23R$ -R$ 18.141,43R$
RN SERRINHA R$ 108.039,06 R$ 10.803,91 123.077,42R$ -R$ 12.307,75R$
RN SERRINHA DOS PINTOS R$ 108.039,06 R$ 10.803,91 123.077,42R$ -R$ 12.307,75R$
RN SEVERIANO MELO R$ 108.039,06 R$ 14.242,50 123.077,42R$ -R$ 16.224,97R$
RN SÍTIO NOVO R$ 108.039,06 R$ 10.803,91 123.077,42R$ -R$ 12.307,75R$
RN TABOLEIRO GRANDE R$ 108.039,06 R$ 10.803,91 123.077,42R$ -R$ 12.307,75R$
RN TAIPU R$ 108.039,06 R$ 39.297,71 123.077,42R$ -R$ 44.767,71R$
RN TANGARÁ R$ 108.039,06 R$ 16.021,52 123.077,42R$ -R$ 18.251,62R$
RN TENENTE ANANIAS R$ 292.868,62 R$ 13.414,18 333.634,10R$ -R$ 15.281,35R$
RN TENENTE LAURENTINO CRUZ R$ 108.039,06 R$ 10.803,91 123.077,42R$ -R$ 12.307,75R$
RN TIBAU R$ 148.106,42 R$ 22.948,47 168.721,91R$ -R$ 26.142,75R$
RN TIBAU DO SUL R$ 108.039,06 R$ 30.127,38 123.077,42R$ -R$ 34.320,92R$
RN TIMBAÚBA DOS BATISTAS R$ 108.039,06 R$ 10.803,91 123.077,42R$ -R$ 12.307,75R$
RN TOUROS R$ 165.098,44 R$ 26.058,01 188.079,11R$ -R$ 29.685,12R$
RN TRIUNFO POTIGUAR R$ 108.039,06 R$ 18.836,59 123.077,42R$ -R$ 21.458,53R$
RN UMARIZAL R$ 108.039,06 R$ 18.709,26 123.077,42R$ -R$ 21.313,47R$
RN UPANEMA R$ 108.039,06 R$ 10.803,91 123.077,42R$ -R$ 12.307,75R$
RN VÁRZEA R$ 108.039,06 R$ 23.683,03 123.077,42R$ -R$ 26.979,56R$
RN VENHA-VER R$ 108.039,06 R$ 10.803,91 123.077,42R$ -R$ 12.307,75R$
RN VERA CRUZ R$ 108.039,06 R$ 10.803,91 123.077,42R$ -R$ 12.307,75R$
RN VIÇOSA R$ 108.039,06 R$ 10.803,91 123.077,42R$ -R$ 12.307,75R$
RN VILA FLOR R$ 108.039,06 R$ 10.803,91 123.077,42R$ -R$ 12.307,75R$
RO ALTA FLORESTA D'OESTE R$ 216.645,44 R$ 33.806,77 246.801,13R$ -R$ 38.512,46R$
RO ALTO ALEGRE DOS PARECIS R$ 108.039,06 R$ 10.803,91 123.077,42R$ -R$ 12.307,75R$
RO ALTO PARAÍSO R$ 155.390,79 R$ 25.399,45 177.020,22R$ -R$ 28.934,89R$
RO ALVORADA DO OESTE R$ 108.039,06 R$ 10.803,91 123.077,42R$ -R$ 12.307,75R$
RO ARIQUEMES R$ 869.553,46 R$ 51.299,08 990.589,87R$ -R$ 58.439,59R$
RO BURITIS R$ 253.980,08 R$ 30.773,94 289.332,52R$ -R$ 35.057,48R$
RO CABIXI R$ 108.039,06 R$ 10.803,91 123.077,42R$ -R$ 12.307,75R$
RO CACAULÂNDIA R$ 185.362,74 R$ 10.803,91 211.164,07R$ -R$ 12.307,75R$
RO CACOAL R$ 378.773,17 R$ 88.865,36 431.496,03R$ -R$ 101.234,86R$
RO CAMPO NOVO DE RONDÔNIA R$ 173.471,23 R$ 10.803,91 197.617,34R$ -R$ 12.307,75R$
RO CANDEIAS DO JAMARI R$ 108.039,06 R$ 10.803,91 123.077,42R$ -R$ 12.307,75R$
RO CASTANHEIRAS R$ 108.039,06 R$ 23.951,11 123.077,42R$ -R$ 27.284,95R$
RO CEREJEIRAS R$ 186.569,84 R$ 10.803,91 212.539,20R$ -R$ 12.307,75R$
RO CHUPINGUAIA R$ 177.204,02 R$ 10.803,91 201.869,71R$ -R$ 12.307,75R$
RO COLORADO DO OESTE R$ 108.039,06 R$ 28.154,93 123.077,42R$ -R$ 32.073,92R$
RO CORUMBIARA R$ 108.039,06 R$ 10.803,91 123.077,42R$ -R$ 12.307,75R$
RO COSTA MARQUES R$ 108.039,06 R$ 10.803,91 123.077,42R$ -R$ 12.307,75R$
RO CUJUBIM R$ 156.968,86 R$ 25.947,08 178.817,94R$ -R$ 29.558,75R$
RO ESPIGÃO DO OESTE R$ 108.039,06 R$ 20.813,65 123.077,42R$ -R$ 23.710,78R$
RO GOVERNADOR JORGE TEIXEIRA R$ 137.182,53 R$ 21.776,58 156.277,48R$ -R$ 24.807,74R$
RO GUAJARÁ-MIRIM R$ 172.097,72 R$ 10.803,91 196.052,65R$ -R$ 12.307,75R$
RO ITAPUÃ DO OESTE R$ 108.039,06 R$ 10.803,91 123.077,42R$ -R$ 12.307,75R$
RO JARU R$ 442.749,05 R$ 70.462,50 504.376,95R$ -R$ 80.270,44R$
RO JI-PARANÁ R$ 430.949,01 R$ 49.488,92 490.934,42R$ -R$ 56.377,47R$
RO MACHADINHO D'OESTE R$ 108.039,06 R$ 13.694,96 123.077,42R$ -R$ 15.601,21R$
RO MINISTRO ANDREAZZA R$ 108.039,06 R$ 10.803,91 123.077,42R$ -R$ 12.307,75R$
RO MIRANTE DA SERRA R$ 149.565,02 R$ 16.864,16 170.383,54R$ -R$ 19.211,55R$
RO MONTE NEGRO R$ 189.175,37 R$ 18.018,31 215.507,40R$ -R$ 20.526,35R$
RO NOVA BRASILÂNDIA D'OESTE R$ 108.039,06 R$ 27.969,39 123.077,42R$ -R$ 31.862,55R$
RO NOVA MAMORÉ R$ 108.039,06 R$ 32.345,66 123.077,42R$ -R$ 36.847,97R$
RO NOVA UNIÃO R$ 108.039,06 R$ 13.784,80 123.077,42R$ -R$ 15.703,56R$
RO NOVO HORIZONTE DO OESTE R$ 232.977,03 R$ 27.993,43 265.405,98R$ -R$ 31.889,94R$
RO OURO PRETO DO OESTE R$ 297.838,83 R$ 38.803,01 339.296,13R$ -R$ 44.204,15R$
RO PARECIS R$ 108.039,06 R$ 14.638,50 123.077,42R$ -R$ 16.676,09R$
RO PIMENTA BUENO R$ 108.039,06 R$ 68.581,39 123.077,42R$ -R$ 78.127,49R$
RO PIMENTEIRAS DO OESTE R$ 108.039,06 R$ 10.803,91 123.077,42R$ -R$ 12.307,75R$
RO PORTO VELHO SIM R$ 2.957.334,54 R$ 139.825,25 3.368.977,02R$ 1.347.590,81R$ 159.288,05R$
RO PRESIDENTE MÉDICI R$ 108.039,06 R$ 30.906,39 123.077,42R$ -R$ 35.208,37R$
RO PRIMAVERA DE RONDÔNIA R$ 108.039,06 R$ 10.803,91 123.077,42R$ -R$ 12.307,75R$
RO RIO CRESPO R$ 138.279,29 R$ 10.803,91 157.526,90R$ -R$ 12.307,75R$
RO ROLIM DE MOURA R$ 541.146,72 R$ 61.583,82 616.470,96R$ -R$ 70.155,90R$
RO SANTA LUZIA D'OESTE R$ 108.039,06 R$ 19.026,97 123.077,42R$ -R$ 21.675,41R$
RO SÃO FELIPE D'OESTE R$ 108.039,06 R$ 10.803,91 123.077,42R$ -R$ 12.307,75R$
RO SÃO FRANCISCO DO GUAPORÉ R$ 229.666,71 R$ 21.506,48 261.634,88R$ -R$ 24.500,05R$
59
Tribunal Superior Eleitoral
PREFEITO
1º TURNO 1º TURNO 2º TURNO
UF
POSSIBILIDADE
DE SEGUNDO
TURNO
VEREADORVEREADOR
LIMITE DE GASTOS OBSERVADO
O MÍNIMO LEGAL (R$ 100,000,00
PARA PREFEITO E R$ 10.000,00
PARA VEREADOR ) EM 2016***
LIMITE DE GASTOS 2020 (ATUALIZADO PELO IPCA DE
JUNHO/2016 ATÉ JUNHO/2020*)
PREFEITO
MUNICÍPIO**
RO SÃO MIGUEL DO GUAPORÉ R$ 108.039,06 R$ 41.682,03 123.077,42R$ -R$ 47.483,91R$
RO SERINGUEIRAS R$ 108.039,06 R$ 16.631,59 123.077,42R$ -R$ 18.946,60R$
RO TEIXEIRÓPOLIS R$ 108.039,06 R$ 10.803,91 123.077,42R$ -R$ 12.307,75R$
RO THEOBROMA R$ 108.039,06 R$ 33.027,79 123.077,42R$ -R$ 37.625,05R$
RO URUPÁ R$ 108.039,06 R$ 13.382,95 123.077,42R$ -R$ 15.245,77R$
RO VALE DO ANARI R$ 158.036,71 R$ 10.803,91 180.034,43R$ -R$ 12.307,75R$
RO VALE DO PARAÍSO R$ 108.039,06 R$ 17.629,02 123.077,42R$ -R$ 20.082,87R$
RO VILHENA R$ 1.194.500,07 R$ 50.337,68 1.360.767,01R$ -R$ 57.344,37R$
RR ALTO ALEGRE R$ 108.039,06 R$ 54.535,30 123.077,42R$ -R$ 62.126,27R$
RR AMAJARI R$ 137.316,12 R$ 29.131,81 156.429,67R$ -R$ 33.186,78R$
RR BOA VISTA SIM R$ 1.830.123,37 R$ 343.902,96 2.084.865,10R$ 833.946,04R$ 391.772,10R$
RR BONFIM R$ 136.881,78 R$ 10.803,91 155.934,87R$ -R$ 12.307,75R$
RR CANTÁ R$ 170.315,95 R$ 44.871,30 194.022,87R$ -R$ 51.117,10R$
RR CARACARAÍ R$ 215.285,98 R$ 28.543,35 245.252,44R$ -R$ 32.516,41R$
RR CAROEBE R$ 108.039,06 R$ 10.803,91 123.077,42R$ -R$ 12.307,75R$
RR IRACEMA R$ 108.039,06 R$ 16.508,88 123.077,42R$ -R$ 18.806,81R$
RR MUCAJAÍ R$ 108.039,06 R$ 14.500,92 123.077,42R$ -R$ 16.519,36R$
RR NORMANDIA R$ 108.039,06 R$ 10.803,91 123.077,42R$ -R$ 12.307,75R$
RR PACARAIMA R$ 108.039,06 R$ 21.521,14 123.077,42R$ -R$ 24.516,75R$
RR RORAINÓPOLIS R$ 108.039,06 R$ 19.654,01 123.077,42R$ -R$ 22.389,73R$
RR SÃO JOÃO DA BALIZA R$ 108.039,06 R$ 10.803,91 123.077,42R$ -R$ 12.307,75R$
RR SÃO LUIZ R$ 108.039,06 R$ 21.560,14 123.077,42R$ -R$ 24.561,18R$
RR UIRAMUTÃ R$ 108.039,06 R$ 10.803,91 123.077,42R$ -R$ 12.307,75R$
RS ACEGUÁ R$ 108.039,06 R$ 10.803,91 123.077,42R$ -R$ 12.307,75R$
RS ÁGUA SANTA R$ 108.039,06 R$ 10.803,91 123.077,42R$ -R$ 12.307,75R$
RS AGUDO R$ 108.039,06 R$ 10.803,91 123.077,42R$ -R$ 12.307,75R$
RS AJURICABA R$ 108.039,06 R$ 10.803,91 123.077,42R$ -R$ 12.307,75R$
RS ALECRIM R$ 108.039,06 R$ 10.803,91 123.077,42R$ -R$ 12.307,75R$
RS ALEGRETE R$ 108.039,06 R$ 42.587,20 123.077,42R$ -R$ 48.515,07R$
RS ALEGRIA R$ 108.039,06 R$ 10.803,91 123.077,42R$ -R$ 12.307,75R$
RS ALMIRANTE TAMANDARÉ DO SUL R$ 108.039,06 R$ 10.803,91 123.077,42R$ -R$ 12.307,75R$
RS ALPESTRE R$ 108.039,06 R$ 10.803,91 123.077,42R$ -R$ 12.307,75R$
RS ALTO ALEGRE R$ 108.039,06 R$ 10.803,91 123.077,42R$ -R$ 12.307,75R$
RS ALTO FELIZ R$ 108.039,06 R$ 10.803,91 123.077,42R$ -R$ 12.307,75R$
RS ALVORADA R$ 447.136,69 R$ 80.110,47 509.375,32R$ -R$ 91.261,35R$
RS AMARAL FERRADOR R$ 108.039,06 R$ 10.803,91 123.077,42R$ -R$ 12.307,75R$
RS AMETISTA DO SUL R$ 108.039,06 R$ 10.803,91 123.077,42R$ -R$ 12.307,75R$
RS ANDRÉ DA ROCHA R$ 108.039,06 R$ 10.803,91 123.077,42R$ -R$ 12.307,75R$
RS ANTA GORDA R$ 108.039,06 R$ 10.803,91 123.077,42R$ -R$ 12.307,75R$
RS ANTÔNIO PRADO R$ 108.039,06 R$ 10.803,91 123.077,42R$ -R$ 12.307,75R$
RS ARAMBARÉ R$ 108.039,06 R$ 10.803,91 123.077,42R$ -R$ 12.307,75R$
RS ARARICÁ R$ 108.039,06 R$ 10.803,91 123.077,42R$ -R$ 12.307,75R$
RS ARATIBA R$ 108.039,06 R$ 10.803,91 123.077,42R$ -R$ 12.307,75R$
RS ARROIO DO MEIO R$ 108.039,06 R$ 10.803,91 123.077,42R$ -R$ 12.307,75R$
RS ARROIO DO PADRE R$ 108.039,06 R$ 10.803,91 123.077,42R$ -R$ 12.307,75R$
RS ARROIO DO SAL R$ 108.039,06 R$ 10.803,91 123.077,42R$ -R$ 12.307,75R$
RS ARROIO DO TIGRE R$ 108.039,06 R$ 24.712,52 123.077,42R$ -R$ 28.152,35R$
RS ARROIO DOS RATOS R$ 108.039,06 R$ 10.803,91 123.077,42R$ -R$ 12.307,75R$
RS ARROIO GRANDE R$ 140.267,16 R$ 10.803,91 159.791,47R$ -R$ 12.307,75R$
RS ARVOREZINHA R$ 108.039,06 R$ 10.803,91 123.077,42R$ -R$ 12.307,75R$
RS AUGUSTO PESTANA R$ 108.039,06 R$ 10.803,91 123.077,42R$ -R$ 12.307,75R$
RS ÁUREA R$ 108.039,06 R$ 10.803,91 123.077,42R$ -R$ 12.307,75R$
RS BAGÉ R$ 621.427,07 R$ 104.056,64 707.925,83R$ -R$ 118.540,67R$
RS BALNEÁRIO PINHAL R$ 108.039,06 R$ 10.803,91 123.077,42R$ -R$ 12.307,75R$
RS BARÃO R$ 108.039,06 R$ 10.803,91 123.077,42R$ -R$ 12.307,75R$
RS BARÃO DE COTEGIPE R$ 108.039,06 R$ 10.803,91 123.077,42R$ -R$ 12.307,75R$
RS BARÃO DO TRIUNFO R$ 108.039,06 R$ 10.803,91 123.077,42R$ -R$ 12.307,75R$
RS BARRA DO GUARITA R$ 108.039,06 R$ 10.803,91 123.077,42R$ -R$ 12.307,75R$
RS BARRA DO QUARAÍ R$ 108.039,06 R$ 10.803,91 123.077,42R$ -R$ 12.307,75R$
RS BARRA DO RIBEIRO R$ 108.039,06 R$ 10.803,91 123.077,42R$ -R$ 12.307,75R$
RS BARRA DO RIO AZUL R$ 108.039,06 R$ 10.803,91 123.077,42R$ -R$ 12.307,75R$
RS BARRA FUNDA R$ 108.039,06 R$ 28.693,79 123.077,42R$ -R$ 32.687,79R$
RS BARRACÃO R$ 108.039,06 R$ 10.803,91 123.077,42R$ -R$ 12.307,75R$
RS BARROS CASSAL R$ 108.039,06 R$ 10.803,91 123.077,42R$ -R$ 12.307,75R$
RS BENJAMIN CONSTANT DO SUL R$ 108.039,06 R$ 10.803,91 123.077,42R$ -R$ 12.307,75R$
RS BENTO GONÇALVES R$ 140.037,31 R$ 35.105,01 159.529,63R$ -R$ 39.991,41R$
60
Tribunal Superior Eleitoral
PREFEITO
1º TURNO 1º TURNO 2º TURNO
UF
POSSIBILIDADE
DE SEGUNDO
TURNO
VEREADORVEREADOR
LIMITE DE GASTOS OBSERVADO
O MÍNIMO LEGAL (R$ 100,000,00
PARA PREFEITO E R$ 10.000,00
PARA VEREADOR ) EM 2016***
LIMITE DE GASTOS 2020 (ATUALIZADO PELO IPCA DE
JUNHO/2016 ATÉ JUNHO/2020*)
PREFEITO
MUNICÍPIO**
RS BOA VISTA DAS MISSÕES R$ 108.039,06 R$ 10.803,91 123.077,42R$ -R$ 12.307,75R$
RS BOA VISTA DO BURICÁ R$ 108.039,06 R$ 10.803,91 123.077,42R$ -R$ 12.307,75R$
RS BOA VISTA DO CADEADO R$ 108.039,06 R$ 10.803,91 123.077,42R$ -R$ 12.307,75R$
RS BOA VISTA DO INCRA R$ 108.039,06 R$ 10.803,91 123.077,42R$ -R$ 12.307,75R$
RS BOA VISTA DO SUL R$ 108.039,06 R$ 10.803,91 123.077,42R$ -R$ 12.307,75R$
RS BOM JESUS R$ 108.039,06 R$ 10.803,91 123.077,42R$ -R$ 12.307,75R$
RS BOM PRINCÍPIO R$ 108.039,06 R$ 10.803,91 123.077,42R$ -R$ 12.307,75R$
RS BOM PROGRESSO R$ 108.039,06 R$ 10.803,91 123.077,42R$ -R$ 12.307,75R$
RS BOM RETIRO DO SUL R$ 108.039,06 R$ 10.803,91 123.077,42R$ -R$ 12.307,75R$
RS BOQUEIRÃO DO LEÃO R$ 108.039,06 R$ 10.803,91 123.077,42R$ -R$ 12.307,75R$
RS BOSSOROCA R$ 108.039,06 R$ 10.803,91 123.077,42R$ -R$ 12.307,75R$
RS BOZANO R$ 108.039,06 R$ 10.803,91 123.077,42R$ -R$ 12.307,75R$
RS BRAGA R$ 108.039,06 R$ 10.803,91 123.077,42R$ -R$ 12.307,75R$
RS BROCHIER R$ 108.039,06 R$ 10.803,91 123.077,42R$ -R$ 12.307,75R$
RS BUTIÁ R$ 108.039,06 R$ 10.803,91 123.077,42R$ -R$ 12.307,75R$
RS CAÇAPAVA DO SUL R$ 108.039,06 R$ 22.940,05 123.077,42R$ -R$ 26.133,16R$
RS CACEQUI R$ 108.039,06 R$ 10.803,91 123.077,42R$ -R$ 12.307,75R$
RS CACHOEIRA DO SUL R$ 108.039,06 R$ 23.729,81 123.077,42R$ -R$ 27.032,85R$
RS CACHOEIRINHA R$ 661.576,11 R$ 98.845,59 753.663,37R$ -R$ 112.604,28R$
RS CACIQUE DOBLE R$ 108.039,06 R$ 10.803,91 123.077,42R$ -R$ 12.307,75R$
RS CAIBATÉ R$ 108.039,06 R$ 10.803,91 123.077,42R$ -R$ 12.307,75R$
RS CAIÇARA R$ 108.039,06 R$ 38.122,53 123.077,42R$ -R$ 43.428,95R$
RS CAMAQUÃ R$ 262.020,77 R$ 21.652,60 298.492,42R$ -R$ 24.666,51R$
RS CAMARGO R$ 108.039,06 R$ 10.803,91 123.077,42R$ -R$ 12.307,75R$
RS CAMBARÁ DO SUL R$ 108.039,06 R$ 10.803,91 123.077,42R$ -R$ 12.307,75R$
RS CAMPESTRE DA SERRA R$ 108.039,06 R$ 10.803,91 123.077,42R$ -R$ 12.307,75R$
RS CAMPINA DAS MISSÕES R$ 108.039,06 R$ 10.803,91 123.077,42R$ -R$ 12.307,75R$
RS CAMPINAS DO SUL R$ 108.039,06 R$ 10.803,91 123.077,42R$ -R$ 12.307,75R$
RS CAMPO BOM R$ 180.055,56 R$ 24.952,25 205.118,17R$ -R$ 28.425,45R$
RS CAMPO NOVO R$ 108.039,06 R$ 10.803,91 123.077,42R$ -R$ 12.307,75R$
RS CAMPOS BORGES R$ 108.039,06 R$ 10.803,91 123.077,42R$ -R$ 12.307,75R$
RS CANDELÁRIA R$ 108.039,06 R$ 10.803,91 123.077,42R$ -R$ 12.307,75R$
RS CÂNDIDO GODÓI R$ 108.039,06 R$ 10.803,91 123.077,42R$ -R$ 12.307,75R$
RS CANDIOTA R$ 108.039,06 R$ 10.803,91 123.077,42R$ -R$ 12.307,75R$
RS CANELA R$ 108.039,06 R$ 44.870,14 123.077,42R$ -R$ 51.115,78R$
RS CANGUÇU R$ 108.039,06 R$ 21.122,13 123.077,42R$ -R$ 24.062,20R$
RS CANOAS SIM R$ 1.910.448,33 R$ 138.048,11 2.176.370,79R$ 870.548,32R$ 157.263,54R$
RS CANUDOS DO VALE R$ 108.039,06 R$ 10.803,91 123.077,42R$ -R$ 12.307,75R$
RS CAPÃO BONITO DO SUL R$ 108.039,06 R$ 10.803,91 123.077,42R$ -R$ 12.307,75R$
RS CAPÃO DA CANOA R$ 108.039,06 R$ 23.984,21 123.077,42R$ -R$ 27.322,66R$
RS CAPÃO DO CIPÓ R$ 108.039,06 R$ 10.803,91 123.077,42R$ -R$ 12.307,75R$
RS CAPÃO DO LEÃO R$ 108.039,06 R$ 10.803,91 123.077,42R$ -R$ 12.307,75R$
RS CAPELA DE SANTANA R$ 108.039,06 R$ 10.803,91 123.077,42R$ -R$ 12.307,75R$
RS CAPITÃO R$ 108.039,06 R$ 10.803,91 123.077,42R$ -R$ 12.307,75R$
RS CAPIVARI DO SUL R$ 108.039,06 R$ 10.803,91 123.077,42R$ -R$ 12.307,75R$
RS CARAÁ R$ 108.039,06 R$ 10.803,91 123.077,42R$ -R$ 12.307,75R$
RS CARAZINHO R$ 247.989,00 R$ 44.651,64 282.507,52R$ -R$ 50.866,87R$
RS CARLOS BARBOSA R$ 197.921,06 R$ 10.803,91 225.470,43R$ -R$ 12.307,75R$
RS CARLOS GOMES R$ 108.039,06 R$ 10.803,91 123.077,42R$ -R$ 12.307,75R$
RS CASCA R$ 108.039,06 R$ 10.803,91 123.077,42R$ -R$ 12.307,75R$
RS CASEIROS R$ 108.039,06 R$ 10.803,91 123.077,42R$ -R$ 12.307,75R$
RS CATUÍPE R$ 108.039,06 R$ 10.803,91 123.077,42R$ -R$ 12.307,75R$
RS CAXIAS DO SUL SIM R$ 1.148.454,76 R$ 107.646,50 1.308.312,48R$ 523.324,99R$ 122.630,22R$
RS CENTENÁRIO R$ 108.039,06 R$ 10.803,91 123.077,42R$ -R$ 12.307,75R$
RS CERRITO R$ 108.039,06 R$ 10.803,91 123.077,42R$ -R$ 12.307,75R$
RS CERRO BRANCO R$ 108.039,06 R$ 10.803,91 123.077,42R$ -R$ 12.307,75R$
RS CERRO GRANDE R$ 108.039,06 R$ 10.803,91 123.077,42R$ -R$ 12.307,75R$
RS CERRO GRANDE DO SUL R$ 108.039,06 R$ 10.803,91 123.077,42R$ -R$ 12.307,75R$
RS CERRO LARGO R$ 197.463,42 R$ 10.803,91 224.949,09R$ -R$ 12.307,75R$
RS CHAPADA R$ 108.039,06 R$ 10.803,91 123.077,42R$ -R$ 12.307,75R$
RS CHARQUEADAS R$ 451.140,30 R$ 27.406,46 513.936,21R$ -R$ 31.221,27R$
RS CHARRUA R$ 108.039,06 R$ 10.803,91 123.077,42R$ -R$ 12.307,75R$
RS CHIAPETTA R$ 108.039,06 R$ 10.803,91 123.077,42R$ -R$ 12.307,75R$
RS CHUÍ R$ 108.039,06 R$ 10.803,91 123.077,42R$ -R$ 12.307,75R$
RS CHUVISCA R$ 108.039,06 R$ 10.803,91 123.077,42R$ -R$ 12.307,75R$
RS CIDREIRA R$ 179.172,57 R$ 46.878,23 204.112,27R$ -R$ 53.403,39R$
61
Tribunal Superior Eleitoral
PREFEITO
1º TURNO 1º TURNO 2º TURNO
UF
POSSIBILIDADE
DE SEGUNDO
TURNO
VEREADORVEREADOR
LIMITE DE GASTOS OBSERVADO
O MÍNIMO LEGAL (R$ 100,000,00
PARA PREFEITO E R$ 10.000,00
PARA VEREADOR ) EM 2016***
LIMITE DE GASTOS 2020 (ATUALIZADO PELO IPCA DE
JUNHO/2016 ATÉ JUNHO/2020*)
PREFEITO
MUNICÍPIO**
RS CIRÍACO R$ 108.039,06 R$ 10.803,91 123.077,42R$ -R$ 12.307,75R$
RS COLINAS R$ 108.039,06 R$ 10.803,91 123.077,42R$ -R$ 12.307,75R$
RS COLORADO R$ 108.039,06 R$ 10.803,91 123.077,42R$ -R$ 12.307,75R$
RS CONDOR R$ 108.039,06 R$ 13.974,99 123.077,42R$ -R$ 15.920,22R$
RS CONSTANTINA R$ 108.039,06 R$ 10.803,91 123.077,42R$ -R$ 12.307,75R$
RS COQUEIRO BAIXO R$ 108.039,06 R$ 10.803,91 123.077,42R$ -R$ 12.307,75R$
RS COQUEIROS DO SUL R$ 108.039,06 R$ 10.803,91 123.077,42R$ -R$ 12.307,75R$
RS CORONEL BARROS R$ 108.039,06 R$ 10.803,91 123.077,42R$ -R$ 12.307,75R$
RS CORONEL BICACO R$ 108.039,06 R$ 10.803,91 123.077,42R$ -R$ 12.307,75R$
RS CORONEL PILAR R$ 108.039,06 R$ 10.803,91 123.077,42R$ -R$ 12.307,75R$
RS COTIPORÃ R$ 108.039,06 R$ 10.803,91 123.077,42R$ -R$ 12.307,75R$
RS COXILHA R$ 108.039,06 R$ 10.803,91 123.077,42R$ -R$ 12.307,75R$
RS CRISSIUMAL R$ 152.455,15 R$ 10.803,91 173.675,95R$ -R$ 12.307,75R$
RS CRISTAL R$ 108.039,06 R$ 10.803,91 123.077,42R$ -R$ 12.307,75R$
RS CRISTAL DO SUL R$ 108.039,06 R$ 10.803,91 123.077,42R$ -R$ 12.307,75R$
RS CRUZ ALTA R$ 277.563,26 R$ 50.805,13 316.198,33R$ -R$ 57.876,89R$
RS CRUZALTENSE R$ 108.039,06 R$ 10.803,91 123.077,42R$ -R$ 12.307,75R$
RS CRUZEIRO DO SUL R$ 108.039,06 R$ 10.803,91 123.077,42R$ -R$ 12.307,75R$
RS DAVID CANABARRO R$ 108.039,06 R$ 10.803,91 123.077,42R$ -R$ 12.307,75R$
RS DERRUBADAS R$ 108.039,06 R$ 10.803,91 123.077,42R$ -R$ 12.307,75R$
RS DEZESSEIS DE NOVEMBRO R$ 108.039,06 R$ 10.803,91 123.077,42R$ -R$ 12.307,75R$
RS DILERMANDO DE AGUIAR R$ 108.039,06 R$ 10.803,91 123.077,42R$ -R$ 12.307,75R$
RS DOIS IRMÃOS R$ 148.196,52 R$ 10.803,91 168.824,55R$ -R$ 12.307,75R$
RS DOIS IRMÃOS DAS MISSÕES R$ 108.039,06 R$ 10.803,91 123.077,42R$ -R$ 12.307,75R$
RS DOIS LAJEADOS R$ 108.039,06 R$ 10.803,91 123.077,42R$ -R$ 12.307,75R$
RS DOM FELICIANO R$ 108.039,06 R$ 34.262,98 123.077,42R$ -R$ 39.032,17R$
RS DOM PEDRITO R$ 203.562,26 R$ 24.553,41 231.896,85R$ -R$ 27.971,09R$
RS DOM PEDRO DE ALCÂNTARA R$ 108.039,06 R$ 10.803,91 123.077,42R$ -R$ 12.307,75R$
RS DONA FRANCISCA R$ 108.039,06 R$ 10.803,91 123.077,42R$ -R$ 12.307,75R$
RS DOUTOR MAURÍCIO CARDOSO R$ 108.039,06 R$ 10.803,91 123.077,42R$ -R$ 12.307,75R$
RS DOUTOR RICARDO R$ 108.039,06 R$ 10.803,91 123.077,42R$ -R$ 12.307,75R$
RS ELDORADO DO SUL R$ 223.465,82 R$ 40.944,15 254.570,87R$ -R$ 46.643,32R$
RS ENCANTADO R$ 108.039,06 R$ 16.305,59 123.077,42R$ -R$ 18.575,23R$
RS ENCRUZILHADA DO SUL R$ 108.039,06 R$ 19.288,34 123.077,42R$ -R$ 21.973,16R$
RS ENGENHO VELHO R$ 108.039,06 R$ 10.803,91 123.077,42R$ -R$ 12.307,75R$
RS ENTRE RIOS DO SUL R$ 108.039,06 R$ 10.803,91 123.077,42R$ -R$ 12.307,75R$
RS ENTRE-IJUÍS R$ 108.039,06 R$ 15.003,61 123.077,42R$ -R$ 17.092,02R$
RS EREBANGO R$ 108.039,06 R$ 10.803,91 123.077,42R$ -R$ 12.307,75R$
RS ERECHIM R$ 581.765,63 R$ 72.321,40 662.743,77R$ -R$ 82.388,09R$
RS ERNESTINA R$ 108.039,06 R$ 10.803,91 123.077,42R$ -R$ 12.307,75R$
RS ERVAL GRANDE R$ 108.039,06 R$ 10.803,91 123.077,42R$ -R$ 12.307,75R$
RS ERVAL SECO R$ 108.039,06 R$ 10.803,91 123.077,42R$ -R$ 12.307,75R$
RS ESMERALDA R$ 108.039,06 R$ 10.803,91 123.077,42R$ -R$ 12.307,75R$
RS ESPERANÇA DO SUL R$ 108.039,06 R$ 10.803,91 123.077,42R$ -R$ 12.307,75R$
RS ESPUMOSO R$ 108.039,06 R$ 10.803,91 123.077,42R$ -R$ 12.307,75R$
RS ESTAÇÃO R$ 108.039,06 R$ 10.803,91 123.077,42R$ -R$ 12.307,75R$
RS ESTÂNCIA VELHA R$ 165.683,74 R$ 16.608,13 188.745,88R$ -R$ 18.919,88R$
RS ESTEIO R$ 366.411,51 R$ 43.658,56 417.413,70R$ -R$ 49.735,56R$
RS ESTRELA R$ 108.039,06 R$ 10.803,91 123.077,42R$ -R$ 12.307,75R$
RS ESTRELA VELHA R$ 108.039,06 R$ 10.803,91 123.077,42R$ -R$ 12.307,75R$
RS EUGÊNIO DE CASTRO R$ 108.039,06 R$ 10.803,91 123.077,42R$ -R$ 12.307,75R$
RS FAGUNDES VARELA R$ 108.039,06 R$ 10.803,91 123.077,42R$ -R$ 12.307,75R$
RS FARROUPILHA R$ 108.039,06 R$ 98.315,59 123.077,42R$ -R$ 112.000,51R$
RS FAXINAL DO SOTURNO R$ 108.039,06 R$ 10.803,91 123.077,42R$ -R$ 12.307,75R$
RS FAXINALZINHO R$ 108.039,06 R$ 10.803,91 123.077,42R$ -R$ 12.307,75R$
RS FAZENDA VILANOVA R$ 108.039,06 R$ 10.803,91 123.077,42R$ -R$ 12.307,75R$
RS FELIZ R$ 108.039,06 R$ 10.803,91 123.077,42R$ -R$ 12.307,75R$
RS FLORES DA CUNHA R$ 108.039,06 R$ 10.803,91 123.077,42R$ -R$ 12.307,75R$
RS FLORIANO PEIXOTO R$ 108.039,06 R$ 10.803,91 123.077,42R$ -R$ 12.307,75R$
RS FONTOURA XAVIER R$ 108.039,06 R$ 15.333,93 123.077,42R$ -R$ 17.468,32R$
RS FORMIGUEIRO R$ 108.039,06 R$ 10.803,91 123.077,42R$ -R$ 12.307,75R$
RS FORQUETINHA R$ 108.039,06 R$ 10.803,91 123.077,42R$ -R$ 12.307,75R$
RS FORTALEZA DOS VALOS R$ 108.039,06 R$ 24.948,95 123.077,42R$ -R$ 28.421,69R$
RS FREDERICO WESTPHALEN R$ 108.039,06 R$ 17.615,16 123.077,42R$ -R$ 20.067,08R$
RS GARIBALDI R$ 108.039,06 R$ 10.803,91 123.077,42R$ -R$ 12.307,75R$
RS GARRUCHOS R$ 108.039,06 R$ 10.803,91 123.077,42R$ -R$ 12.307,75R$
62
Tribunal Superior Eleitoral
PREFEITO
1º TURNO 1º TURNO 2º TURNO
UF
POSSIBILIDADE
DE SEGUNDO
TURNO
VEREADORVEREADOR
LIMITE DE GASTOS OBSERVADO
O MÍNIMO LEGAL (R$ 100,000,00
PARA PREFEITO E R$ 10.000,00
PARA VEREADOR ) EM 2016***
LIMITE DE GASTOS 2020 (ATUALIZADO PELO IPCA DE
JUNHO/2016 ATÉ JUNHO/2020*)
PREFEITO
MUNICÍPIO**
RS GAURAMA R$ 108.039,06 R$ 10.803,91 123.077,42R$ -R$ 12.307,75R$
RS GENERAL CÂMARA R$ 108.039,06 R$ 10.803,91 123.077,42R$ -R$ 12.307,75R$
RS GENTIL R$ 108.039,06 R$ 10.803,91 123.077,42R$ -R$ 12.307,75R$
RS GETÚLIO VARGAS R$ 108.039,06 R$ 10.803,91 123.077,42R$ -R$ 12.307,75R$
RS GIRUÁ R$ 133.993,02 R$ 13.880,46 152.644,01R$ -R$ 15.812,53R$
RS GLORINHA R$ 108.039,06 R$ 17.307,42 123.077,42R$ -R$ 19.716,50R$
RS GRAMADO R$ 392.204,02 R$ 34.329,67 446.796,37R$ -R$ 39.108,15R$
RS GRAMADO DOS LOUREIROS R$ 108.039,06 R$ 10.803,91 123.077,42R$ -R$ 12.307,75R$
RS GRAMADO XAVIER R$ 108.039,06 R$ 10.803,91 123.077,42R$ -R$ 12.307,75R$
RS GRAVATAÍ R$ 453.782,94 R$ 45.326,11 516.946,69R$ -R$ 51.635,22R$
RS GUABIJU R$ 108.039,06 R$ 10.803,91 123.077,42R$ -R$ 12.307,75R$
RS GUAÍBA R$ 176.638,87 R$ 45.267,61 201.225,90R$ -R$ 51.568,58R$
RS GUAPORÉ R$ 108.039,06 R$ 27.172,15 123.077,42R$ -R$ 30.954,34R$
RS GUARANI DAS MISSÕES R$ 108.039,06 R$ 10.803,91 123.077,42R$ -R$ 12.307,75R$
RS HARMONIA R$ 108.039,06 R$ 10.803,91 123.077,42R$ -R$ 12.307,75R$
RS HERVAL R$ 108.039,06 R$ 10.803,91 123.077,42R$ -R$ 12.307,75R$
RS HERVEIRAS R$ 108.039,06 R$ 10.803,91 123.077,42R$ -R$ 12.307,75R$
RS HORIZONTINA R$ 151.041,62 R$ 35.173,52 172.065,67R$ -R$ 40.069,45R$
RS HULHA NEGRA R$ 108.039,06 R$ 10.803,91 123.077,42R$ -R$ 12.307,75R$
RS HUMAITÁ R$ 108.039,06 R$ 10.803,91 123.077,42R$ -R$ 12.307,75R$
RS IBARAMA R$ 108.039,06 R$ 10.803,91 123.077,42R$ -R$ 12.307,75R$
RS IBIAÇÁ R$ 108.039,06 R$ 10.803,91 123.077,42R$ -R$ 12.307,75R$
RS IBIRAIARAS R$ 108.039,06 R$ 10.803,91 123.077,42R$ -R$ 12.307,75R$
RS IBIRAPUITÃ R$ 108.039,06 R$ 10.803,91 123.077,42R$ -R$ 12.307,75R$
RS IBIRUBÁ R$ 108.039,06 R$ 10.803,91 123.077,42R$ -R$ 12.307,75R$
RS IGREJINHA R$ 257.010,43 R$ 27.974,26 292.784,68R$ -R$ 31.868,10R$
RS IJUÍ R$ 514.231,70 R$ 54.145,29 585.809,54R$ -R$ 61.681,98R$
RS ILÓPOLIS R$ 108.039,06 R$ 10.803,91 123.077,42R$ -R$ 12.307,75R$
RS IMBÉ R$ 108.039,06 R$ 10.803,91 123.077,42R$ -R$ 12.307,75R$
RS IMIGRANTE R$ 108.039,06 R$ 10.803,91 123.077,42R$ -R$ 12.307,75R$
RS INDEPENDÊNCIA R$ 108.039,06 R$ 17.962,22 123.077,42R$ -R$ 20.462,45R$
RS INHACORÁ R$ 108.039,06 R$ 10.803,91 123.077,42R$ -R$ 12.307,75R$
RS IPÊ R$ 108.039,06 R$ 10.803,91 123.077,42R$ -R$ 12.307,75R$
RS IPIRANGA DO SUL R$ 108.039,06 R$ 10.803,91 123.077,42R$ -R$ 12.307,75R$
RS IRAÍ R$ 108.039,06 R$ 10.803,91 123.077,42R$ -R$ 12.307,75R$
RS ITAARA R$ 108.039,06 R$ 10.803,91 123.077,42R$ -R$ 12.307,75R$
RS ITACURUBI R$ 108.039,06 R$ 10.803,91 123.077,42R$ -R$ 12.307,75R$
RS ITAPUCA R$ 108.039,06 R$ 10.803,91 123.077,42R$ -R$ 12.307,75R$
RS ITAQUI R$ 108.039,06 R$ 32.669,24 123.077,42R$ -R$ 37.216,59R$
RS ITATI R$ 108.039,06 R$ 10.803,91 123.077,42R$ -R$ 12.307,75R$
RS ITATIBA DO SUL R$ 108.039,06 R$ 10.803,91 123.077,42R$ -R$ 12.307,75R$
RS IVORÁ R$ 108.039,06 R$ 10.803,91 123.077,42R$ -R$ 12.307,75R$
RS IVOTI R$ 140.121,30 R$ 10.803,91 159.625,31R$ -R$ 12.307,75R$
RS JABOTICABA R$ 108.039,06 R$ 10.803,91 123.077,42R$ -R$ 12.307,75R$
RS JACUIZINHO R$ 108.039,06 R$ 10.803,91 123.077,42R$ -R$ 12.307,75R$
RS JACUTINGA R$ 108.039,06 R$ 10.803,91 123.077,42R$ -R$ 12.307,75R$
RS JAGUARÃO R$ 178.183,34 R$ 45.353,79 202.985,35R$ -R$ 51.666,75R$
RS JAGUARI R$ 108.039,06 R$ 10.803,91 123.077,42R$ -R$ 12.307,75R$
RS JAQUIRANA R$ 108.039,06 R$ 10.803,91 123.077,42R$ -R$ 12.307,75R$
RS JARI R$ 108.039,06 R$ 10.803,91 123.077,42R$ -R$ 12.307,75R$
RS JÓIA R$ 108.039,06 R$ 10.803,91 123.077,42R$ -R$ 12.307,75R$
RS JÚLIO DE CASTILHOS R$ 108.039,06 R$ 10.803,91 123.077,42R$ -R$ 12.307,75R$
RS LAGOA BONITA DO SUL R$ 108.039,06 R$ 10.803,91 123.077,42R$ -R$ 12.307,75R$
RS LAGOA DOS TRÊS CANTOS R$ 108.039,06 R$ 10.803,91 123.077,42R$ -R$ 12.307,75R$
RS LAGOA VERMELHA R$ 270.260,58 R$ 38.179,30 307.879,16R$ -R$ 43.493,62R$
RS LAGOÃO R$ 108.039,06 R$ 10.803,91 123.077,42R$ -R$ 12.307,75R$
RS LAJEADO R$ 493.625,34 R$ 24.391,37 562.334,90R$ -R$ 27.786,50R$
RS LAJEADO DO BUGRE R$ 108.039,06 R$ 10.803,91 123.077,42R$ -R$ 12.307,75R$
RS LAVRAS DO SUL R$ 108.039,06 R$ 10.803,91 123.077,42R$ -R$ 12.307,75R$
RS LIBERATO SALZANO R$ 108.039,06 R$ 10.803,91 123.077,42R$ -R$ 12.307,75R$
RS LINDOLFO COLLOR R$ 108.039,06 R$ 10.803,91 123.077,42R$ -R$ 12.307,75R$
RS LINHA NOVA R$ 108.039,06 R$ 10.803,91 123.077,42R$ -R$ 12.307,75R$
RS MAÇAMBARÁ R$ 108.039,06 R$ 10.803,91 123.077,42R$ -R$ 12.307,75R$
RS MACHADINHO R$ 108.039,06 R$ 10.803,91 123.077,42R$ -R$ 12.307,75R$
RS MAMPITUBA R$ 108.039,06 R$ 10.803,91 123.077,42R$ -R$ 12.307,75R$
RS MANOEL VIANA R$ 108.039,06 R$ 10.803,91 123.077,42R$ -R$ 12.307,75R$
63
Tribunal Superior Eleitoral
PREFEITO
1º TURNO 1º TURNO 2º TURNO
UF
POSSIBILIDADE
DE SEGUNDO
TURNO
VEREADORVEREADOR
LIMITE DE GASTOS OBSERVADO
O MÍNIMO LEGAL (R$ 100,000,00
PARA PREFEITO E R$ 10.000,00
PARA VEREADOR ) EM 2016***
LIMITE DE GASTOS 2020 (ATUALIZADO PELO IPCA DE
JUNHO/2016 ATÉ JUNHO/2020*)
PREFEITO
MUNICÍPIO**
RS MAQUINÉ R$ 108.039,06 R$ 10.803,91 123.077,42R$ -R$ 12.307,75R$
RS MARATÁ R$ 108.039,06 R$ 10.803,91 123.077,42R$ -R$ 12.307,75R$
RS MARAU R$ 145.739,56 R$ 16.535,56 166.025,60R$ -R$ 18.837,21R$
RS MARCELINO RAMOS R$ 108.039,06 R$ 10.803,91 123.077,42R$ -R$ 12.307,75R$
RS MARIANA PIMENTEL R$ 108.039,06 R$ 10.803,91 123.077,42R$ -R$ 12.307,75R$
RS MARIANO MORO R$ 108.039,06 R$ 10.803,91 123.077,42R$ -R$ 12.307,75R$
RS MARQUES DE SOUZA R$ 108.039,06 R$ 10.803,91 123.077,42R$ -R$ 12.307,75R$
RS MATA R$ 108.039,06 R$ 10.803,91 123.077,42R$ -R$ 12.307,75R$
RS MATO CASTELHANO R$ 108.039,06 R$ 10.803,91 123.077,42R$ -R$ 12.307,75R$
RS MATO LEITÃO R$ 108.039,06 R$ 10.803,91 123.077,42R$ -R$ 12.307,75R$
RS MATO QUEIMADO R$ 108.039,06 R$ 10.803,91 123.077,42R$ -R$ 12.307,75R$
RS MAXIMILIANO DE ALMEIDA R$ 108.039,06 R$ 10.803,91 123.077,42R$ -R$ 12.307,75R$
RS MINAS DO LEÃO R$ 108.039,06 R$ 14.382,45 123.077,42R$ -R$ 16.384,40R$
RS MIRAGUAÍ R$ 108.039,06 R$ 10.803,91 123.077,42R$ -R$ 12.307,75R$
RS MONTAURI R$ 108.039,06 R$ 10.803,91 123.077,42R$ -R$ 12.307,75R$
RS MONTE ALEGRE DOS CAMPOS R$ 108.039,06 R$ 10.803,91 123.077,42R$ -R$ 12.307,75R$
RS MONTE BELO DO SUL R$ 108.039,06 R$ 10.803,91 123.077,42R$ -R$ 12.307,75R$
RS MONTENEGRO R$ 481.419,09 R$ 25.289,30 548.429,62R$ -R$ 28.809,41R$
RS MORMAÇO R$ 108.039,06 R$ 10.803,91 123.077,42R$ -R$ 12.307,75R$
RS MORRINHOS DO SUL R$ 108.039,06 R$ 10.803,91 123.077,42R$ -R$ 12.307,75R$
RS MORRO REDONDO R$ 108.039,06 R$ 10.803,91 123.077,42R$ -R$ 12.307,75R$
RS MORRO REUTER R$ 108.039,06 R$ 10.803,91 123.077,42R$ -R$ 12.307,75R$
RS MOSTARDAS R$ 108.039,06 R$ 10.803,91 123.077,42R$ -R$ 12.307,75R$
RS MUÇUM R$ 108.039,06 R$ 10.803,91 123.077,42R$ -R$ 12.307,75R$
RS MUITOS CAPÕES R$ 108.039,06 R$ 10.803,91 123.077,42R$ -R$ 12.307,75R$
RS MULITERNO R$ 108.039,06 R$ 10.803,91 123.077,42R$ -R$ 12.307,75R$
RS NÃO-ME-TOQUE R$ 108.039,06 R$ 23.218,97 123.077,42R$ -R$ 26.450,91R$
RS NICOLAU VERGUEIRO R$ 108.039,06 R$ 10.803,91 123.077,42R$ -R$ 12.307,75R$
RS NONOAI R$ 108.039,06 R$ 10.803,91 123.077,42R$ -R$ 12.307,75R$
RS NOVA ALVORADA R$ 108.039,06 R$ 10.803,91 123.077,42R$ -R$ 12.307,75R$
RS NOVA ARAÇÁ R$ 108.039,06 R$ 10.803,91 123.077,42R$ -R$ 12.307,75R$
RS NOVA BASSANO R$ 108.039,06 R$ 10.803,91 123.077,42R$ -R$ 12.307,75R$
RS NOVA BOA VISTA R$ 108.039,06 R$ 10.803,91 123.077,42R$ -R$ 12.307,75R$
RS NOVA BRÉSCIA R$ 108.039,06 R$ 10.803,91 123.077,42R$ -R$ 12.307,75R$
RS NOVA CANDELÁRIA R$ 108.039,06 R$ 10.803,91 123.077,42R$ -R$ 12.307,75R$
RS NOVA ESPERANÇA DO SUL R$ 108.039,06 R$ 10.803,91 123.077,42R$ -R$ 12.307,75R$
RS NOVA HARTZ R$ 108.039,06 R$ 21.673,48 123.077,42R$ -R$ 24.690,29R$
RS NOVA PÁDUA R$ 108.039,06 R$ 10.803,91 123.077,42R$ -R$ 12.307,75R$
RS NOVA PALMA R$ 108.039,06 R$ 10.803,91 123.077,42R$ -R$ 12.307,75R$
RS NOVA PETRÓPOLIS R$ 108.039,06 R$ 10.803,91 123.077,42R$ -R$ 12.307,75R$
RS NOVA PRATA R$ 108.039,06 R$ 18.524,30 123.077,42R$ -R$ 21.102,77R$
RS NOVA RAMADA R$ 108.039,06 R$ 10.803,91 123.077,42R$ -R$ 12.307,75R$
RS NOVA ROMA DO SUL R$ 108.039,06 R$ 10.803,91 123.077,42R$ -R$ 12.307,75R$
RS NOVA SANTA RITA R$ 135.250,32 R$ 28.287,51 154.076,32R$ -R$ 32.224,95R$
RS NOVO BARREIRO R$ 108.039,06 R$ 10.803,91 123.077,42R$ -R$ 12.307,75R$
RS NOVO CABRAIS R$ 108.039,06 R$ 10.803,91 123.077,42R$ -R$ 12.307,75R$
RS NOVO HAMBURGO R$ 1.187.321,44 R$ 69.700,65 1.352.589,16R$ -R$ 79.402,54R$
RS NOVO MACHADO R$ 108.039,06 R$ 10.803,91 123.077,42R$ -R$ 12.307,75R$
RS NOVO TIRADENTES R$ 108.039,06 R$ 10.803,91 123.077,42R$ -R$ 12.307,75R$
RS NOVO XINGU R$ 108.039,06 R$ 10.803,91 123.077,42R$ -R$ 12.307,75R$
RS OSÓRIO R$ 272.369,78 R$ 17.881,05 310.281,95R$ -R$ 20.369,98R$
RS PAIM FILHO R$ 108.039,06 R$ 10.803,91 123.077,42R$ -R$ 12.307,75R$
RS PALMARES DO SUL R$ 108.039,06 R$ 10.803,91 123.077,42R$ -R$ 12.307,75R$
RS PALMEIRA DAS MISSÕES R$ 108.039,06 R$ 28.230,78 123.077,42R$ -R$ 32.160,33R$
RS PALMITINHO R$ 108.039,06 R$ 10.803,91 123.077,42R$ -R$ 12.307,75R$
RS PANAMBI R$ 108.039,06 R$ 10.803,91 123.077,42R$ -R$ 12.307,75R$
RS PANTANO GRANDE R$ 108.039,06 R$ 27.149,21 123.077,42R$ -R$ 30.928,21R$
RS PARAÍ R$ 108.039,06 R$ 10.803,91 123.077,42R$ -R$ 12.307,75R$
RS PARAÍSO DO SUL R$ 108.039,06 R$ 10.803,91 123.077,42R$ -R$ 12.307,75R$
RS PARECI NOVO R$ 108.039,06 R$ 10.803,91 123.077,42R$ -R$ 12.307,75R$
RS PAROBÉ R$ 215.195,87 R$ 44.471,17 245.149,79R$ -R$ 50.661,28R$
RS PASSA SETE R$ 108.039,06 R$ 10.803,91 123.077,42R$ -R$ 12.307,75R$
RS PASSO DO SOBRADO R$ 108.039,06 R$ 10.803,91 123.077,42R$ -R$ 12.307,75R$
RS PASSO FUNDO R$ 440.972,22 R$ 85.602,56 502.352,80R$ -R$ 97.517,90R$
RS PAULO BENTO R$ 108.039,06 R$ 10.803,91 123.077,42R$ -R$ 12.307,75R$
RS PAVERAMA R$ 108.039,06 R$ 10.803,91 123.077,42R$ -R$ 12.307,75R$
64
Tribunal Superior Eleitoral
PREFEITO
1º TURNO 1º TURNO 2º TURNO
UF
POSSIBILIDADE
DE SEGUNDO
TURNO
VEREADORVEREADOR
LIMITE DE GASTOS OBSERVADO
O MÍNIMO LEGAL (R$ 100,000,00
PARA PREFEITO E R$ 10.000,00
PARA VEREADOR ) EM 2016***
LIMITE DE GASTOS 2020 (ATUALIZADO PELO IPCA DE
JUNHO/2016 ATÉ JUNHO/2020*)
PREFEITO
MUNICÍPIO**
RS PEDRAS ALTAS R$ 108.039,06 R$ 10.803,91 123.077,42R$ -R$ 12.307,75R$
RS PEDRO OSÓRIO R$ 108.039,06 R$ 10.803,91 123.077,42R$ -R$ 12.307,75R$
RS PEJUÇARA R$ 108.039,06 R$ 10.803,91 123.077,42R$ -R$ 12.307,75R$
RS PELOTAS SIM R$ 838.012,18 R$ 58.632,95 954.658,24R$ 381.863,29R$ 66.794,29R$
RS PICADA CAFÉ R$ 108.039,06 R$ 10.803,91 123.077,42R$ -R$ 12.307,75R$
RS PINHAL R$ 108.039,06 R$ 10.803,91 123.077,42R$ -R$ 12.307,75R$
RS PINHAL DA SERRA R$ 108.039,06 R$ 10.803,91 123.077,42R$ -R$ 12.307,75R$
RS PINHAL GRANDE R$ 108.039,06 R$ 10.803,91 123.077,42R$ -R$ 12.307,75R$
RS PINHEIRINHO DO VALE R$ 108.039,06 R$ 10.803,91 123.077,42R$ -R$ 12.307,75R$
RS PINHEIRO MACHADO R$ 108.039,06 R$ 10.803,91 123.077,42R$ -R$ 12.307,75R$
RS PINTO BANDEIRA R$ 108.039,06 R$ 10.803,91 123.077,42R$ -R$ 12.307,75R$
RS PIRAPÓ R$ 108.039,06 R$ 10.803,91 123.077,42R$ -R$ 12.307,75R$
RS PIRATINI R$ 108.039,06 R$ 16.735,68 123.077,42R$ -R$ 19.065,18R$
RS PLANALTO R$ 108.039,06 R$ 10.803,91 123.077,42R$ -R$ 12.307,75R$
RS POÇO DAS ANTAS R$ 108.039,06 R$ 10.803,91 123.077,42R$ -R$ 12.307,75R$
RS PONTÃO R$ 108.039,06 R$ 10.803,91 123.077,42R$ -R$ 12.307,75R$
RS PONTE PRETA R$ 108.039,06 R$ 10.803,91 123.077,42R$ -R$ 12.307,75R$
RS PORTÃO R$ 108.039,06 R$ 17.769,35 123.077,42R$ -R$ 20.242,73R$
RS PORTO ALEGRE SIM R$ 5.849.383,99 R$ 429.376,34 6.663.581,68R$ 2.665.432,67R$ 489.142,84R$
RS PORTO LUCENA R$ 108.039,06 R$ 10.803,91 123.077,42R$ -R$ 12.307,75R$
RS PORTO MAUÁ R$ 108.039,06 R$ 10.803,91 123.077,42R$ -R$ 12.307,75R$
RS PORTO VERA CRUZ R$ 108.039,06 R$ 10.803,91 123.077,42R$ -R$ 12.307,75R$
RS PORTO XAVIER R$ 108.039,06 R$ 10.803,91 123.077,42R$ -R$ 12.307,75R$
RS POUSO NOVO R$ 108.039,06 R$ 10.803,91 123.077,42R$ -R$ 12.307,75R$
RS PRESIDENTE LUCENA R$ 108.039,06 R$ 10.803,91 123.077,42R$ -R$ 12.307,75R$
RS PROGRESSO R$ 108.039,06 R$ 10.803,91 123.077,42R$ -R$ 12.307,75R$
RS PROTÁSIO ALVES R$ 108.039,06 R$ 10.803,91 123.077,42R$ -R$ 12.307,75R$
RS PUTINGA R$ 108.039,06 R$ 10.803,91 123.077,42R$ -R$ 12.307,75R$
RS QUARAÍ R$ 108.039,06 R$ 10.803,91 123.077,42R$ -R$ 12.307,75R$
RS QUATRO IRMÃOS R$ 108.039,06 R$ 10.803,91 123.077,42R$ -R$ 12.307,75R$
RS QUEVEDOS R$ 108.039,06 R$ 10.803,91 123.077,42R$ -R$ 12.307,75R$
RS QUINZE DE NOVEMBRO R$ 108.039,06 R$ 10.803,91 123.077,42R$ -R$ 12.307,75R$
RS REDENTORA R$ 108.039,06 R$ 10.803,91 123.077,42R$ -R$ 12.307,75R$
RS RELVADO R$ 108.039,06 R$ 10.803,91 123.077,42R$ -R$ 12.307,75R$
RS RESTINGA SÊCA R$ 108.039,06 R$ 13.493,41 123.077,42R$ -R$ 15.371,61R$
RS RIO DOS ÍNDIOS R$ 108.039,06 R$ 10.803,91 123.077,42R$ -R$ 12.307,75R$
RS RIO GRANDE R$ 663.758,29 R$ 93.374,21 756.149,29R$ -R$ 106.371,32R$
RS RIO PARDO R$ 108.039,06 R$ 17.823,03 123.077,42R$ -R$ 20.303,88R$
RS RIOZINHO R$ 108.039,06 R$ 10.803,91 123.077,42R$ -R$ 12.307,75R$
RS ROCA SALES R$ 108.039,06 R$ 10.803,91 123.077,42R$ -R$ 12.307,75R$
RS RODEIO BONITO R$ 108.039,06 R$ 10.803,91 123.077,42R$ -R$ 12.307,75R$
RS ROLADOR R$ 145.117,04 R$ 75.624,19 165.316,42R$ -R$ 86.150,60R$
RS ROLANTE R$ 108.039,06 R$ 36.619,16 123.077,42R$ -R$ 41.716,32R$
RS RONDA ALTA R$ 108.039,06 R$ 10.803,91 123.077,42R$ -R$ 12.307,75R$
RS RONDINHA R$ 108.039,06 R$ 10.803,91 123.077,42R$ -R$ 12.307,75R$
RS ROQUE GONZALES R$ 108.039,06 R$ 10.803,91 123.077,42R$ -R$ 12.307,75R$
RS ROSÁRIO DO SUL R$ 108.039,06 R$ 37.077,41 123.077,42R$ -R$ 42.238,35R$
RS SAGRADA FAMÍLIA R$ 108.039,06 R$ 10.803,91 123.077,42R$ -R$ 12.307,75R$
RS SALDANHA MARINHO R$ 108.039,06 R$ 10.803,91 123.077,42R$ -R$ 12.307,75R$
RS SALTO DO JACUÍ R$ 108.039,06 R$ 14.372,93 123.077,42R$ -R$ 16.373,55R$
RS SALVADOR DAS MISSÕES R$ 108.039,06 R$ 10.803,91 123.077,42R$ -R$ 12.307,75R$
RS SALVADOR DO SUL R$ 108.039,06 R$ 10.803,91 123.077,42R$ -R$ 12.307,75R$
RS SANANDUVA R$ 108.039,06 R$ 10.803,91 123.077,42R$ -R$ 12.307,75R$
RS SANTA BÁRBARA DO SUL R$ 108.039,06 R$ 10.803,91 123.077,42R$ -R$ 12.307,75R$
RS SANTA CECÍLIA DO SUL R$ 108.039,06 R$ 10.803,91 123.077,42R$ -R$ 12.307,75R$
RS SANTA CLARA DO SUL R$ 108.039,06 R$ 10.803,91 123.077,42R$ -R$ 12.307,75R$
RS SANTA CRUZ DO SUL R$ 500.514,00 R$ 38.834,98 570.182,42R$ -R$ 44.240,57R$
RS SANTA MARGARIDA DO SUL R$ 108.039,06 R$ 10.803,91 123.077,42R$ -R$ 12.307,75R$
RS SANTA MARIA SIM R$ 770.036,69 R$ 50.231,87 877.220,98R$ 350.888,39R$ 57.223,83R$
RS SANTA MARIA DO HERVAL R$ 108.039,06 R$ 10.803,91 123.077,42R$ -R$ 12.307,75R$
RS SANTA ROSA R$ 334.803,28 R$ 43.719,08 381.405,80R$ -R$ 49.804,50R$
RS SANTA TEREZA R$ 108.039,06 R$ 10.803,91 123.077,42R$ -R$ 12.307,75R$
RS SANTA VITÓRIA DO PALMAR R$ 498.239,22 R$ 18.484,10 567.591,00R$ -R$ 21.056,97R$
RS SANTANA DA BOA VISTA R$ 108.039,06 R$ 10.803,91 123.077,42R$ -R$ 12.307,75R$
RS SANT'ANA DO LIVRAMENTO R$ 160.841,28 R$ 54.876,38 183.229,38R$ -R$ 62.514,83R$
RS SANTIAGO R$ 108.039,06 R$ 28.060,50 123.077,42R$ -R$ 31.966,35R$
65
Tribunal Superior Eleitoral
PREFEITO
1º TURNO 1º TURNO 2º TURNO
UF
POSSIBILIDADE
DE SEGUNDO
TURNO
VEREADORVEREADOR
LIMITE DE GASTOS OBSERVADO
O MÍNIMO LEGAL (R$ 100,000,00
PARA PREFEITO E R$ 10.000,00
PARA VEREADOR ) EM 2016***
LIMITE DE GASTOS 2020 (ATUALIZADO PELO IPCA DE
JUNHO/2016 ATÉ JUNHO/2020*)
PREFEITO
MUNICÍPIO**
RS SANTO ÂNGELO R$ 146.450,14 R$ 36.977,50 166.835,08R$ -R$ 42.124,54R$
RS SANTO ANTÔNIO DA PATRULHA R$ 108.039,06 R$ 20.705,49 123.077,42R$ -R$ 23.587,56R$
RS SANTO ANTÔNIO DAS MISSÕES R$ 108.039,06 R$ 10.803,91 123.077,42R$ -R$ 12.307,75R$
RS SANTO ANTÔNIO DO PALMA R$ 108.039,06 R$ 10.803,91 123.077,42R$ -R$ 12.307,75R$
RS SANTO ANTÔNIO DO PLANALTO R$ 108.039,06 R$ 10.803,91 123.077,42R$ -R$ 12.307,75R$
RS SANTO AUGUSTO R$ 108.039,06 R$ 28.046,60 123.077,42R$ -R$ 31.950,51R$
RS SANTO CRISTO R$ 108.039,06 R$ 10.803,91 123.077,42R$ -R$ 12.307,75R$
RS SANTO EXPEDITO DO SUL R$ 108.039,06 R$ 10.803,91 123.077,42R$ -R$ 12.307,75R$
RS SÃO BORJA R$ 383.950,61 R$ 45.889,43 437.394,13R$ -R$ 52.276,95R$
RS SÃO DOMINGOS DO SUL R$ 108.039,06 R$ 10.803,91 123.077,42R$ -R$ 12.307,75R$
RS SÃO FRANCISCO DE ASSIS R$ 108.039,06 R$ 22.017,07 123.077,42R$ -R$ 25.081,71R$
RS SÃO FRANCISCO DE PAULA R$ 191.490,43 R$ 19.876,75 218.144,70R$ -R$ 22.643,47R$
RS SÃO GABRIEL R$ 286.981,66 R$ 19.423,66 326.927,71R$ -R$ 22.127,31R$
RS SÃO JERÔNIMO R$ 108.039,06 R$ 16.856,97 123.077,42R$ -R$ 19.203,35R$
RS SÃO JOÃO DA URTIGA R$ 108.039,06 R$ 10.803,91 123.077,42R$ -R$ 12.307,75R$
RS SÃO JOÃO DO POLÊSINE R$ 108.039,06 R$ 10.803,91 123.077,42R$ -R$ 12.307,75R$
RS SÃO JORGE R$ 108.039,06 R$ 10.803,91 123.077,42R$ -R$ 12.307,75R$
RS SÃO JOSÉ DAS MISSÕES R$ 108.039,06 R$ 10.803,91 123.077,42R$ -R$ 12.307,75R$
RS SÃO JOSÉ DO HERVAL R$ 108.039,06 R$ 10.803,91 123.077,42R$ -R$ 12.307,75R$
RS SÃO JOSÉ DO HORTÊNCIO R$ 108.039,06 R$ 10.803,91 123.077,42R$ -R$ 12.307,75R$
RS SÃO JOSÉ DO INHACORÁ R$ 108.039,06 R$ 10.803,91 123.077,42R$ -R$ 12.307,75R$
RS SÃO JOSÉ DO NORTE R$ 168.624,85 R$ 42.506,51 192.096,38R$ -R$ 48.423,15R$
RS SÃO JOSÉ DO OURO R$ 108.039,06 R$ 10.803,91 123.077,42R$ -R$ 12.307,75R$
RS SÃO JOSÉ DO SUL R$ 108.039,06 R$ 10.803,91 123.077,42R$ -R$ 12.307,75R$
RS SÃO JOSÉ DOS AUSENTES R$ 108.039,06 R$ 10.803,91 123.077,42R$ -R$ 12.307,75R$
RS SÃO LEOPOLDO R$ 1.572.702,81 R$ 75.326,88 1.791.613,21R$ -R$ 85.811,91R$
RS SÃO LOURENÇO DO SUL R$ 165.229,53 R$ 22.033,65 188.228,45R$ -R$ 25.100,60R$
RS SÃO LUIZ GONZAGA R$ 108.039,06 R$ 23.269,64 123.077,42R$ -R$ 26.508,63R$
RS SÃO MARCOS R$ 108.039,06 R$ 10.803,91 123.077,42R$ -R$ 12.307,75R$
RS SÃO MARTINHO R$ 108.039,06 R$ 10.803,91 123.077,42R$ -R$ 12.307,75R$
RS SÃO MARTINHO DA SERRA R$ 108.039,06 R$ 10.803,91 123.077,42R$ -R$ 12.307,75R$
RS SÃO MIGUEL DAS MISSÕES R$ 108.039,06 R$ 17.509,35 123.077,42R$ -R$ 19.946,54R$
RS SÃO NICOLAU R$ 108.039,06 R$ 10.803,91 123.077,42R$ -R$ 12.307,75R$
RS SÃO PAULO DAS MISSÕES R$ 108.039,06 R$ 10.803,91 123.077,42R$ -R$ 12.307,75R$
RS SÃO PEDRO DA SERRA R$ 108.039,06 R$ 10.803,91 123.077,42R$ -R$ 12.307,75R$
RS SÃO PEDRO DAS MISSÕES R$ 108.039,06 R$ 10.803,91 123.077,42R$ -R$ 12.307,75R$
RS SÃO PEDRO DO BUTIÁ R$ 108.039,06 R$ 10.803,91 123.077,42R$ -R$ 12.307,75R$
RS SÃO PEDRO DO SUL R$ 108.039,06 R$ 10.803,91 123.077,42R$ -R$ 12.307,75R$
RS SÃO SEBASTIÃO DO CAÍ R$ 108.039,06 R$ 13.389,50 123.077,42R$ -R$ 15.253,23R$
RS SÃO SEPÉ R$ 108.039,06 R$ 14.691,00 123.077,42R$ -R$ 16.735,90R$
RS SÃO VALENTIM R$ 108.039,06 R$ 10.803,91 123.077,42R$ -R$ 12.307,75R$
RS SÃO VALENTIM DO SUL R$ 108.039,06 R$ 10.803,91 123.077,42R$ -R$ 12.307,75R$
RS SÃO VALÉRIO DO SUL R$ 108.039,06 R$ 10.803,91 123.077,42R$ -R$ 12.307,75R$
RS SÃO VENDELINO R$ 108.039,06 R$ 10.803,91 123.077,42R$ -R$ 12.307,75R$
RS SÃO VICENTE DO SUL R$ 108.039,06 R$ 10.803,91 123.077,42R$ -R$ 12.307,75R$
RS SAPIRANGA R$ 281.151,23 R$ 28.094,33 320.285,72R$ -R$ 32.004,89R$
RS SAPUCAIA DO SUL R$ 589.961,26 R$ 54.262,97 672.080,18R$ -R$ 61.816,04R$
RS SARANDI R$ 161.708,27 R$ 22.328,83 184.217,05R$ -R$ 25.436,86R$
RS SEBERI R$ 108.039,06 R$ 10.803,91 123.077,42R$ -R$ 12.307,75R$
RS SEDE NOVA R$ 108.039,06 R$ 10.803,91 123.077,42R$ -R$ 12.307,75R$
RS SEGREDO R$ 108.039,06 R$ 10.803,91 123.077,42R$ -R$ 12.307,75R$
RS SELBACH R$ 108.039,06 R$ 10.803,91 123.077,42R$ -R$ 12.307,75R$
RS SENADOR SALGADO FILHO R$ 108.039,06 R$ 10.803,91 123.077,42R$ -R$ 12.307,75R$
RS SENTINELA DO SUL R$ 108.039,06 R$ 10.803,91 123.077,42R$ -R$ 12.307,75R$
RS SERAFINA CORRÊA R$ 108.039,06 R$ 10.803,91 123.077,42R$ -R$ 12.307,75R$
RS SÉRIO R$ 108.039,06 R$ 10.803,91 123.077,42R$ -R$ 12.307,75R$
RS SERTÃO R$ 108.039,06 R$ 10.803,91 123.077,42R$ -R$ 12.307,75R$
RS SERTÃO SANTANA R$ 108.039,06 R$ 10.803,91 123.077,42R$ -R$ 12.307,75R$
RS SETE DE SETEMBRO R$ 108.039,06 R$ 10.803,91 123.077,42R$ -R$ 12.307,75R$
RS SEVERIANO DE ALMEIDA R$ 108.039,06 R$ 10.803,91 123.077,42R$ -R$ 12.307,75R$
RS SILVEIRA MARTINS R$ 108.039,06 R$ 10.803,91 123.077,42R$ -R$ 12.307,75R$
RS SINIMBU R$ 108.039,06 R$ 10.803,91 123.077,42R$ -R$ 12.307,75R$
RS SOBRADINHO R$ 108.039,06 R$ 10.803,91 123.077,42R$ -R$ 12.307,75R$
RS SOLEDADE R$ 108.039,06 R$ 18.117,10 123.077,42R$ -R$ 20.638,89R$
RS TABAÍ R$ 108.039,06 R$ 10.803,91 123.077,42R$ -R$ 12.307,75R$
RS TAPEJARA R$ 108.039,06 R$ 14.979,69 123.077,42R$ -R$ 17.064,77R$
66
Tribunal Superior Eleitoral
PREFEITO
1º TURNO 1º TURNO 2º TURNO
UF
POSSIBILIDADE
DE SEGUNDO
TURNO
VEREADORVEREADOR
LIMITE DE GASTOS OBSERVADO
O MÍNIMO LEGAL (R$ 100,000,00
PARA PREFEITO E R$ 10.000,00
PARA VEREADOR ) EM 2016***
LIMITE DE GASTOS 2020 (ATUALIZADO PELO IPCA DE
JUNHO/2016 ATÉ JUNHO/2020*)
PREFEITO
MUNICÍPIO**
RS TAPERA R$ 108.039,06 R$ 10.803,91 123.077,42R$ -R$ 12.307,75R$
RS TAPES R$ 108.039,06 R$ 16.628,09 123.077,42R$ -R$ 18.942,62R$
RS TAQUARA R$ 108.039,06 R$ 16.418,52 123.077,42R$ -R$ 18.703,88R$
RS TAQUARI R$ 280.657,72 R$ 20.389,04 319.723,52R$ -R$ 23.227,07R$
RS TAQUARUÇU DO SUL R$ 108.039,06 R$ 10.803,91 123.077,42R$ -R$ 12.307,75R$
RS TAVARES R$ 108.039,06 R$ 10.803,91 123.077,42R$ -R$ 12.307,75R$
RS TENENTE PORTELA R$ 108.039,06 R$ 10.803,91 123.077,42R$ -R$ 12.307,75R$
RS TERRA DE AREIA R$ 108.039,06 R$ 16.602,12 123.077,42R$ -R$ 18.913,03R$
RS TEUTÔNIA R$ 108.039,06 R$ 14.440,70 123.077,42R$ -R$ 16.450,76R$
RS TIO HUGO R$ 108.039,06 R$ 10.803,91 123.077,42R$ -R$ 12.307,75R$
RS TIRADENTES DO SUL R$ 108.039,06 R$ 10.803,91 123.077,42R$ -R$ 12.307,75R$
RS TOROPI R$ 108.039,06 R$ 10.803,91 123.077,42R$ -R$ 12.307,75R$
RS TORRES R$ 499.399,80 R$ 17.199,14 568.913,13R$ -R$ 19.593,15R$
RS TRAMANDAÍ R$ 167.036,31 R$ 20.088,18 190.286,72R$ -R$ 22.884,33R$
RS TRAVESSEIRO R$ 108.039,06 R$ 10.803,91 123.077,42R$ -R$ 12.307,75R$
RS TRÊS ARROIOS R$ 108.039,06 R$ 10.803,91 123.077,42R$ -R$ 12.307,75R$
RS TRÊS CACHOEIRAS R$ 108.039,06 R$ 10.803,91 123.077,42R$ -R$ 12.307,75R$
RS TRÊS COROAS R$ 108.039,06 R$ 10.803,91 123.077,42R$ -R$ 12.307,75R$
RS TRÊS DE MAIO R$ 108.039,06 R$ 10.803,91 123.077,42R$ -R$ 12.307,75R$
RS TRÊS FORQUILHAS R$ 108.039,06 R$ 10.803,91 123.077,42R$ -R$ 12.307,75R$
RS TRÊS PALMEIRAS R$ 108.039,06 R$ 10.803,91 123.077,42R$ -R$ 12.307,75R$
RS TRÊS PASSOS R$ 108.039,06 R$ 10.803,91 123.077,42R$ -R$ 12.307,75R$
RS TRINDADE DO SUL R$ 108.039,06 R$ 10.803,91 123.077,42R$ -R$ 12.307,75R$
RS TRIUNFO R$ 536.937,59 R$ 60.184,22 611.675,95R$ -R$ 68.561,49R$
RS TUCUNDUVA R$ 108.039,06 R$ 10.803,91 123.077,42R$ -R$ 12.307,75R$
RS TUNAS R$ 108.039,06 R$ 10.803,91 123.077,42R$ -R$ 12.307,75R$
RS TUPANCI DO SUL R$ 108.039,06 R$ 10.803,91 123.077,42R$ -R$ 12.307,75R$
RS TUPANCIRETÃ R$ 108.039,06 R$ 10.803,91 123.077,42R$ -R$ 12.307,75R$
RS TUPANDI R$ 108.039,06 R$ 10.803,91 123.077,42R$ -R$ 12.307,75R$
RS TUPARENDI R$ 108.039,06 R$ 10.803,91 123.077,42R$ -R$ 12.307,75R$
RS TURUÇU R$ 108.039,06 R$ 10.803,91 123.077,42R$ -R$ 12.307,75R$
RS UBIRETAMA R$ 108.039,06 R$ 10.803,91 123.077,42R$ -R$ 12.307,75R$
RS UNIÃO DA SERRA R$ 108.039,06 R$ 10.803,91 123.077,42R$ -R$ 12.307,75R$
RS UNISTALDA R$ 108.039,06 R$ 13.411,21 123.077,42R$ -R$ 15.277,97R$
RS URUGUAIANA R$ 256.395,49 R$ 47.608,57 292.084,14R$ -R$ 54.235,39R$
RS VACARIA R$ 198.558,55 R$ 32.089,44 226.196,66R$ -R$ 36.556,09R$
RS VALE DO SOL R$ 108.039,06 R$ 10.803,91 123.077,42R$ -R$ 12.307,75R$
RS VALE REAL R$ 108.039,06 R$ 10.803,91 123.077,42R$ -R$ 12.307,75R$
RS VALE VERDE R$ 108.039,06 R$ 10.803,91 123.077,42R$ -R$ 12.307,75R$
RS VANINI R$ 108.039,06 R$ 10.803,91 123.077,42R$ -R$ 12.307,75R$
RS VENÂNCIO AIRES R$ 262.887,67 R$ 42.654,22 299.479,99R$ -R$ 48.591,42R$
RS VERA CRUZ R$ 108.039,06 R$ 10.803,91 123.077,42R$ -R$ 12.307,75R$
RS VERANÓPOLIS R$ 157.525,95 R$ 19.226,04 179.452,58R$ -R$ 21.902,18R$
RS VESPASIANO CORRÊA R$ 108.039,06 R$ 10.803,91 123.077,42R$ -R$ 12.307,75R$
RS VIADUTOS R$ 108.039,06 R$ 10.803,91 123.077,42R$ -R$ 12.307,75R$
RS VIAMÃO R$ 279.535,60 R$ 52.690,40 318.445,21R$ -R$ 60.024,57R$
RS VICENTE DUTRA R$ 108.039,06 R$ 10.803,91 123.077,42R$ -R$ 12.307,75R$
RS VICTOR GRAEFF R$ 108.039,06 R$ 10.803,91 123.077,42R$ -R$ 12.307,75R$
RS VILA FLORES R$ 108.039,06 R$ 10.803,91 123.077,42R$ -R$ 12.307,75R$
RS VILA LÂNGARO R$ 108.039,06 R$ 10.803,91 123.077,42R$ -R$ 12.307,75R$
RS VILA MARIA R$ 108.039,06 R$ 10.803,91 123.077,42R$ -R$ 12.307,75R$
RS VILA NOVA DO SUL R$ 108.039,06 R$ 10.803,91 123.077,42R$ -R$ 12.307,75R$
RS VISTA ALEGRE R$ 108.039,06 R$ 10.803,91 123.077,42R$ -R$ 12.307,75R$
RS VISTA ALEGRE DO PRATA R$ 108.039,06 R$ 10.803,91 123.077,42R$ -R$ 12.307,75R$
RS VISTA GAÚCHA R$ 108.039,06 R$ 10.803,91 123.077,42R$ -R$ 12.307,75R$
RS VITÓRIA DAS MISSÕES R$ 108.039,06 R$ 19.124,51 123.077,42R$ -R$ 21.786,52R$
RS WESTFALIA R$ 108.039,06 R$ 10.803,91 123.077,42R$ -R$ 12.307,75R$
RS XANGRI-LÁ R$ 173.501,70 R$ 23.089,02 197.652,05R$ -R$ 26.302,87R$
SC ABDON BATISTA R$ 108.039,06 R$ 10.803,91 123.077,42R$ -R$ 12.307,75R$
SC ABELARDO LUZ R$ 236.594,29 R$ 25.531,25 269.526,74R$ -R$ 29.085,04R$
SC AGROLÂNDIA R$ 108.039,06 R$ 10.803,91 123.077,42R$ -R$ 12.307,75R$
SC AGRONÔMICA R$ 108.039,06 R$ 10.803,91 123.077,42R$ -R$ 12.307,75R$
SC ÁGUA DOCE R$ 108.039,06 R$ 34.609,53 123.077,42R$ -R$ 39.426,96R$
SC ÁGUAS DE CHAPECÓ R$ 108.039,06 R$ 10.803,91 123.077,42R$ -R$ 12.307,75R$
SC ÁGUAS FRIAS R$ 108.039,06 R$ 10.803,91 123.077,42R$ -R$ 12.307,75R$
SC ÁGUAS MORNAS R$ 108.039,06 R$ 10.803,91 123.077,42R$ -R$ 12.307,75R$
67
Tribunal Superior Eleitoral
PREFEITO
1º TURNO 1º TURNO 2º TURNO
UF
POSSIBILIDADE
DE SEGUNDO
TURNO
VEREADORVEREADOR
LIMITE DE GASTOS OBSERVADO
O MÍNIMO LEGAL (R$ 100,000,00
PARA PREFEITO E R$ 10.000,00
PARA VEREADOR ) EM 2016***
LIMITE DE GASTOS 2020 (ATUALIZADO PELO IPCA DE
JUNHO/2016 ATÉ JUNHO/2020*)
PREFEITO
MUNICÍPIO**
SC ALFREDO WAGNER R$ 108.039,06 R$ 10.803,91 123.077,42R$ -R$ 12.307,75R$
SC ALTO BELA VISTA R$ 108.039,06 R$ 10.803,91 123.077,42R$ -R$ 12.307,75R$
SC ANCHIETA R$ 108.039,06 R$ 10.803,91 123.077,42R$ -R$ 12.307,75R$
SC ANGELINA R$ 108.039,06 R$ 10.803,91 123.077,42R$ -R$ 12.307,75R$
SC ANITA GARIBALDI R$ 108.039,06 R$ 10.803,91 123.077,42R$ -R$ 12.307,75R$
SC ANITÁPOLIS R$ 108.039,06 R$ 10.803,91 123.077,42R$ -R$ 12.307,75R$
SC ANTÔNIO CARLOS R$ 108.039,06 R$ 10.803,91 123.077,42R$ -R$ 12.307,75R$
SC APIÚNA R$ 108.039,06 R$ 10.803,91 123.077,42R$ -R$ 12.307,75R$
SC ARABUTÃ R$ 108.039,06 R$ 10.803,91 123.077,42R$ -R$ 12.307,75R$
SC ARAQUARI R$ 108.039,06 R$ 16.546,44 123.077,42R$ -R$ 18.849,60R$
SC ARARANGUÁ R$ 366.393,83 R$ 18.952,82 417.393,56R$ -R$ 21.590,93R$
SC ARMAZÉM R$ 108.039,06 R$ 10.803,91 123.077,42R$ -R$ 12.307,75R$
SC ARROIO TRINTA R$ 108.039,06 R$ 10.803,91 123.077,42R$ -R$ 12.307,75R$
SC ARVOREDO R$ 108.039,06 R$ 10.803,91 123.077,42R$ -R$ 12.307,75R$
SC ASCURRA R$ 108.039,06 R$ 10.803,91 123.077,42R$ -R$ 12.307,75R$
SC ATALANTA R$ 108.039,06 R$ 10.803,91 123.077,42R$ -R$ 12.307,75R$
SC AURORA R$ 108.039,06 R$ 10.803,91 123.077,42R$ -R$ 12.307,75R$
SC BALNEÁRIO ARROIO DO SILVA R$ 108.039,06 R$ 10.803,91 123.077,42R$ -R$ 12.307,75R$
SC BALNEÁRIO BARRA DO SUL R$ 108.039,06 R$ 10.803,91 123.077,42R$ -R$ 12.307,75R$
SC BALNEÁRIO CAMBORIÚ R$ 1.410.687,25 R$ 101.482,28 1.607.046,10R$ -R$ 115.607,98R$
SC BALNEÁRIO GAIVOTA R$ 108.039,06 R$ 10.803,91 123.077,42R$ -R$ 12.307,75R$
SC BALNEÁRIO PIÇARRAS R$ 108.039,06 R$ 20.282,97 123.077,42R$ -R$ 23.106,23R$
SC BALNEÁRIO RINCÃO R$ 108.039,06 R$ 10.803,91 123.077,42R$ -R$ 12.307,75R$
SC BANDEIRANTE R$ 108.039,06 R$ 10.803,91 123.077,42R$ -R$ 12.307,75R$
SC BARRA BONITA R$ 108.039,06 R$ 10.803,91 123.077,42R$ -R$ 12.307,75R$
SC BARRA VELHA R$ 108.039,06 R$ 10.803,91 123.077,42R$ -R$ 12.307,75R$
SC BELA VISTA DO TOLDO R$ 108.039,06 R$ 10.803,91 123.077,42R$ -R$ 12.307,75R$
SC BELMONTE R$ 108.039,06 R$ 10.803,91 123.077,42R$ -R$ 12.307,75R$
SC BENEDITO NOVO R$ 108.039,06 R$ 10.803,91 123.077,42R$ -R$ 12.307,75R$
SC BIGUAÇU R$ 328.616,13 R$ 63.227,05 374.357,44R$ -R$ 72.027,86R$
SC BLUMENAU SIM R$ 767.536,28 R$ 110.357,69 874.372,53R$ 349.749,01R$ 125.718,79R$
SC BOCAINA DO SUL R$ 108.039,06 R$ 10.803,91 123.077,42R$ -R$ 12.307,75R$
SC BOM JARDIM DA SERRA R$ 108.039,06 R$ 10.803,91 123.077,42R$ -R$ 12.307,75R$
SC BOM JESUS R$ 108.039,06 R$ 10.803,91 123.077,42R$ -R$ 12.307,75R$
SC BOM JESUS DO OESTE R$ 108.039,06 R$ 10.803,91 123.077,42R$ -R$ 12.307,75R$
SC BOM RETIRO R$ 108.039,06 R$ 10.803,91 123.077,42R$ -R$ 12.307,75R$
SC BOMBINHAS R$ 108.039,06 R$ 27.119,21 123.077,42R$ -R$ 30.894,03R$
SC BOTUVERÁ R$ 108.039,06 R$ 10.803,91 123.077,42R$ -R$ 12.307,75R$
SC BRAÇO DO NORTE R$ 108.039,06 R$ 15.759,05 123.077,42R$ -R$ 17.952,61R$
SC BRAÇO DO TROMBUDO R$ 108.039,06 R$ 10.803,91 123.077,42R$ -R$ 12.307,75R$
SC BRUNÓPOLIS R$ 108.039,06 R$ 10.803,91 123.077,42R$ -R$ 12.307,75R$
SC BRUSQUE R$ 504.841,78 R$ 19.515,31 575.112,60R$ -R$ 22.231,72R$
SC CAÇADOR R$ 767.425,88 R$ 33.640,24 874.246,77R$ -R$ 38.322,75R$
SC CAIBI R$ 108.039,06 R$ 10.803,91 123.077,42R$ -R$ 12.307,75R$
SC CALMON R$ 170.098,91 R$ 10.803,91 193.775,61R$ -R$ 12.307,75R$
SC CAMBORIÚ R$ 145.798,08 R$ 32.578,26 166.092,26R$ -R$ 37.112,95R$
SC CAMPO ALEGRE R$ 108.039,06 R$ 10.803,91 123.077,42R$ -R$ 12.307,75R$
SC CAMPO BELO DO SUL R$ 108.039,06 R$ 10.803,91 123.077,42R$ -R$ 12.307,75R$
SC CAMPO ERÊ R$ 108.039,06 R$ 10.803,91 123.077,42R$ -R$ 12.307,75R$
SC CAMPOS NOVOS R$ 108.039,06 R$ 18.938,61 123.077,42R$ -R$ 21.574,75R$
SC CANELINHA R$ 108.039,06 R$ 10.803,91 123.077,42R$ -R$ 12.307,75R$
SC CANOINHAS R$ 421.290,04 R$ 42.164,69 479.930,98R$ -R$ 48.033,75R$
SC CAPÃO ALTO R$ 108.039,06 R$ 10.803,91 123.077,42R$ -R$ 12.307,75R$
SC CAPINZAL R$ 108.039,06 R$ 35.246,31 123.077,42R$ -R$ 40.152,38R$
SC CAPIVARI DE BAIXO R$ 108.039,06 R$ 22.787,82 123.077,42R$ -R$ 25.959,74R$
SC CATANDUVAS R$ 108.039,06 R$ 10.803,91 123.077,42R$ -R$ 12.307,75R$
SC CAXAMBU DO SUL R$ 108.039,06 R$ 20.856,72 123.077,42R$ -R$ 23.759,85R$
SC CELSO RAMOS R$ 108.039,06 R$ 10.803,91 123.077,42R$ -R$ 12.307,75R$
SC CERRO NEGRO R$ 108.039,06 R$ 10.803,91 123.077,42R$ -R$ 12.307,75R$
SC CHAPADÃO DO LAGEADO R$ 108.039,06 R$ 10.803,91 123.077,42R$ -R$ 12.307,75R$
SC CHAPECÓ R$ 730.082,77 R$ 98.636,47 831.705,73R$ -R$ 112.366,05R$
SC COCAL DO SUL R$ 108.039,06 R$ 10.803,91 123.077,42R$ -R$ 12.307,75R$
SC CONCÓRDIA R$ 200.484,46 R$ 27.765,90 228.390,64R$ -R$ 31.630,74R$
SC CORDILHEIRA ALTA R$ 108.039,06 R$ 10.803,91 123.077,42R$ -R$ 12.307,75R$
SC CORONEL FREITAS R$ 108.039,06 R$ 10.803,91 123.077,42R$ -R$ 12.307,75R$
SC CORONEL MARTINS R$ 108.039,06 R$ 10.803,91 123.077,42R$ -R$ 12.307,75R$
68
Tribunal Superior Eleitoral
PREFEITO
1º TURNO 1º TURNO 2º TURNO
UF
POSSIBILIDADE
DE SEGUNDO
TURNO
VEREADORVEREADOR
LIMITE DE GASTOS OBSERVADO
O MÍNIMO LEGAL (R$ 100,000,00
PARA PREFEITO E R$ 10.000,00
PARA VEREADOR ) EM 2016***
LIMITE DE GASTOS 2020 (ATUALIZADO PELO IPCA DE
JUNHO/2016 ATÉ JUNHO/2020*)
PREFEITO
MUNICÍPIO**
SC CORREIA PINTO R$ 157.674,46 R$ 14.120,10 179.621,76R$ -R$ 16.085,53R$
SC CORUPÁ R$ 108.039,06 R$ 10.803,91 123.077,42R$ -R$ 12.307,75R$
SC CRICIÚMA R$ 493.070,22 R$ 128.697,24 561.702,51R$ -R$ 146.611,09R$
SC CUNHA PORÃ R$ 108.039,06 R$ 10.803,91 123.077,42R$ -R$ 12.307,75R$
SC CUNHATAÍ R$ 108.039,06 R$ 10.803,91 123.077,42R$ -R$ 12.307,75R$
SC CURITIBANOS R$ 137.249,19 R$ 16.706,72 156.353,42R$ -R$ 19.032,19R$
SC DESCANSO R$ 108.039,06 R$ 10.803,91 123.077,42R$ -R$ 12.307,75R$
SC DIONÍSIO CERQUEIRA R$ 108.039,06 R$ 62.620,02 123.077,42R$ -R$ 71.336,34R$
SC DONA EMMA R$ 108.039,06 R$ 10.803,91 123.077,42R$ -R$ 12.307,75R$
SC DOUTOR PEDRINHO R$ 108.039,06 R$ 10.803,91 123.077,42R$ -R$ 12.307,75R$
SC ENTRE RIOS R$ 108.039,06 R$ 10.803,91 123.077,42R$ -R$ 12.307,75R$
SC ERMO R$ 108.039,06 R$ 10.803,91 123.077,42R$ -R$ 12.307,75R$
SC ERVAL VELHO R$ 108.039,06 R$ 10.803,91 123.077,42R$ -R$ 12.307,75R$
SC FAXINAL DOS GUEDES R$ 108.039,06 R$ 10.803,91 123.077,42R$ -R$ 12.307,75R$
SC FLOR DO SERTÃO R$ 108.039,06 R$ 10.803,91 123.077,42R$ -R$ 12.307,75R$
SC FLORIANÓPOLIS SIM R$ 3.628.198,44 R$ 171.035,74 4.133.220,98R$ 1.653.288,39R$ 194.842,85R$
SC FORMOSA DO SUL R$ 108.039,06 R$ 10.803,91 123.077,42R$ -R$ 12.307,75R$
SC FORQUILHINHA R$ 215.548,96 R$ 19.364,55 245.552,03R$ -R$ 22.059,97R$
SC FRAIBURGO R$ 108.039,06 R$ 21.863,27 123.077,42R$ -R$ 24.906,50R$
SC FREI ROGÉRIO R$ 108.039,06 R$ 10.803,91 123.077,42R$ -R$ 12.307,75R$
SC GALVÃO R$ 108.039,06 R$ 10.803,91 123.077,42R$ -R$ 12.307,75R$
SC GAROPABA R$ 108.039,06 R$ 16.655,99 123.077,42R$ -R$ 18.974,40R$
SC GARUVA R$ 234.433,29 R$ 10.803,91 267.064,94R$ -R$ 12.307,75R$
SC GASPAR R$ 134.657,70 R$ 17.213,39 153.401,21R$ -R$ 19.609,39R$
SC GOVERNADOR CELSO RAMOS R$ 108.039,06 R$ 30.074,81 123.077,42R$ -R$ 34.261,04R$
SC GRÃO-PARÁ R$ 108.039,06 R$ 10.803,91 123.077,42R$ -R$ 12.307,75R$
SC GRAVATAL R$ 108.039,06 R$ 10.803,91 123.077,42R$ -R$ 12.307,75R$
SC GUABIRUBA R$ 108.039,06 R$ 10.803,91 123.077,42R$ -R$ 12.307,75R$
SC GUARACIABA R$ 108.039,06 R$ 10.803,91 123.077,42R$ -R$ 12.307,75R$
SC GUARAMIRIM R$ 145.232,09 R$ 22.607,24 165.447,49R$ -R$ 25.754,03R$
SC GUARUJÁ DO SUL R$ 108.039,06 R$ 10.803,91 123.077,42R$ -R$ 12.307,75R$
SC GUATAMBÚ R$ 108.039,06 R$ 10.803,91 123.077,42R$ -R$ 12.307,75R$
SC HERVAL D'OESTE R$ 108.039,06 R$ 10.803,91 123.077,42R$ -R$ 12.307,75R$
SC IBIAM R$ 108.039,06 R$ 26.201,63 123.077,42R$ -R$ 29.848,73R$
SC IBICARÉ R$ 108.039,06 R$ 10.803,91 123.077,42R$ -R$ 12.307,75R$
SC IBIRAMA R$ 158.900,70 R$ 16.437,08 181.018,68R$ -R$ 18.725,02R$
SC IÇARA R$ 320.144,61 R$ 46.752,51 364.706,74R$ -R$ 53.260,17R$
SC ILHOTA R$ 108.039,06 R$ 38.157,73 123.077,42R$ -R$ 43.469,05R$
SC IMARUÍ R$ 108.039,06 R$ 10.803,91 123.077,42R$ -R$ 12.307,75R$
SC IMBITUBA R$ 108.039,06 R$ 47.149,82 123.077,42R$ -R$ 53.712,78R$
SC IMBUIA R$ 108.039,06 R$ 10.803,91 123.077,42R$ -R$ 12.307,75R$
SC INDAIAL R$ 108.039,06 R$ 31.513,10 123.077,42R$ -R$ 35.899,53R$
SC IOMERÊ R$ 108.039,06 R$ 10.803,91 123.077,42R$ -R$ 12.307,75R$
SC IPIRA R$ 108.039,06 R$ 10.803,91 123.077,42R$ -R$ 12.307,75R$
SC IPORÃ DO OESTE R$ 108.039,06 R$ 10.803,91 123.077,42R$ -R$ 12.307,75R$
SC IPUAÇU R$ 108.039,06 R$ 10.803,91 123.077,42R$ -R$ 12.307,75R$
SC IPUMIRIM R$ 108.039,06 R$ 10.803,91 123.077,42R$ -R$ 12.307,75R$
SC IRACEMINHA R$ 108.039,06 R$ 10.803,91 123.077,42R$ -R$ 12.307,75R$
SC IRANI R$ 108.039,06 R$ 10.803,91 123.077,42R$ -R$ 12.307,75R$
SC IRATI R$ 108.039,06 R$ 10.803,91 123.077,42R$ -R$ 12.307,75R$
SC IRINEÓPOLIS R$ 108.039,06 R$ 10.803,91 123.077,42R$ -R$ 12.307,75R$
SC ITÁ R$ 108.039,06 R$ 10.803,91 123.077,42R$ -R$ 12.307,75R$
SC ITAIÓPOLIS R$ 108.039,06 R$ 26.686,36 123.077,42R$ -R$ 30.400,93R$
SC ITAJAÍ R$ 1.487.318,89 R$ 99.827,67 1.694.344,38R$ -R$ 113.723,06R$
SC ITAPEMA R$ 108.039,06 R$ 15.427,89 123.077,42R$ -R$ 17.575,36R$
SC ITAPIRANGA R$ 108.039,06 R$ 10.803,91 123.077,42R$ -R$ 12.307,75R$
SC ITAPOÁ R$ 108.039,06 R$ 24.711,33 123.077,42R$ -R$ 28.150,99R$
SC ITUPORANGA R$ 108.039,06 R$ 21.006,73 123.077,42R$ -R$ 23.930,74R$
SC JABORÁ R$ 108.039,06 R$ 10.803,91 123.077,42R$ -R$ 12.307,75R$
SC JACINTO MACHADO R$ 108.039,06 R$ 10.803,91 123.077,42R$ -R$ 12.307,75R$
SC JAGUARUNA R$ 108.039,06 R$ 10.803,91 123.077,42R$ -R$ 12.307,75R$
SC JARAGUÁ DO SUL R$ 240.652,89 R$ 24.526,93 274.150,27R$ -R$ 27.940,93R$
SC JARDINÓPOLIS R$ 108.039,06 R$ 10.803,91 123.077,42R$ -R$ 12.307,75R$
SC JOAÇABA R$ 248.803,42 R$ 30.577,95 283.435,30R$ -R$ 34.834,21R$
SC JOINVILLE SIM R$ 3.835.280,58 R$ 215.740,42 4.369.127,66R$ 1.747.651,06R$ 245.770,14R$
SC JOSÉ BOITEUX R$ 108.039,06 R$ 10.803,91 123.077,42R$ -R$ 12.307,75R$
69
Tribunal Superior Eleitoral
PREFEITO
1º TURNO 1º TURNO 2º TURNO
UF
POSSIBILIDADE
DE SEGUNDO
TURNO
VEREADORVEREADOR
LIMITE DE GASTOS OBSERVADO
O MÍNIMO LEGAL (R$ 100,000,00
PARA PREFEITO E R$ 10.000,00
PARA VEREADOR ) EM 2016***
LIMITE DE GASTOS 2020 (ATUALIZADO PELO IPCA DE
JUNHO/2016 ATÉ JUNHO/2020*)
PREFEITO
MUNICÍPIO**
SC JUPIÁ R$ 108.039,06 R$ 10.803,91 123.077,42R$ -R$ 12.307,75R$
SC LACERDÓPOLIS R$ 108.039,06 R$ 10.803,91 123.077,42R$ -R$ 12.307,75R$
SC LAGES R$ 920.958,02 R$ 36.870,36 1.049.149,62R$ -R$ 42.002,48R$
SC LAGUNA R$ 358.111,54 R$ 48.570,26 407.958,43R$ -R$ 55.330,94R$
SC LAJEADO GRANDE R$ 108.039,06 R$ 13.675,45 123.077,42R$ -R$ 15.578,99R$
SC LAURENTINO R$ 108.039,06 R$ 10.803,91 123.077,42R$ -R$ 12.307,75R$
SC LAURO MÜLLER R$ 236.602,64 R$ 13.619,94 269.536,25R$ -R$ 15.515,75R$
SC LEBON RÉGIS R$ 108.039,06 R$ 10.803,91 123.077,42R$ -R$ 12.307,75R$
SC LEOBERTO LEAL R$ 108.039,06 R$ 10.803,91 123.077,42R$ -R$ 12.307,75R$
SC LINDÓIA DO SUL R$ 108.039,06 R$ 10.803,91 123.077,42R$ -R$ 12.307,75R$
SC LONTRAS R$ 108.039,06 R$ 10.803,91 123.077,42R$ -R$ 12.307,75R$
SC LUIZ ALVES R$ 108.039,06 R$ 10.803,91 123.077,42R$ -R$ 12.307,75R$
SC LUZERNA R$ 108.039,06 R$ 10.803,91 123.077,42R$ -R$ 12.307,75R$
SC MACIEIRA R$ 108.039,06 R$ 10.803,91 123.077,42R$ -R$ 12.307,75R$
SC MAFRA R$ 186.184,82 R$ 24.916,51 212.100,58R$ -R$ 28.384,73R$
SC MAJOR GERCINO R$ 108.039,06 R$ 10.803,91 123.077,42R$ -R$ 12.307,75R$
SC MAJOR VIEIRA R$ 108.039,06 R$ 10.803,91 123.077,42R$ -R$ 12.307,75R$
SC MARACAJÁ R$ 108.039,06 R$ 10.803,91 123.077,42R$ -R$ 12.307,75R$
SC MARAVILHA R$ 288.283,39 R$ 22.420,86 328.410,64R$ -R$ 25.541,70R$
SC MAREMA R$ 108.039,06 R$ 10.803,91 123.077,42R$ -R$ 12.307,75R$
SC MASSARANDUBA R$ 108.039,06 R$ 10.803,91 123.077,42R$ -R$ 12.307,75R$
SC MATOS COSTA R$ 108.039,06 R$ 10.803,91 123.077,42R$ -R$ 12.307,75R$
SC MELEIRO R$ 108.039,06 R$ 10.803,91 123.077,42R$ -R$ 12.307,75R$
SC MIRIM DOCE R$ 108.039,06 R$ 10.803,91 123.077,42R$ -R$ 12.307,75R$
SC MODELO R$ 108.039,06 R$ 10.803,91 123.077,42R$ -R$ 12.307,75R$
SC MONDAÍ R$ 108.039,06 R$ 10.803,91 123.077,42R$ -R$ 12.307,75R$
SC MONTE CARLO R$ 108.039,06 R$ 10.803,91 123.077,42R$ -R$ 12.307,75R$
SC MONTE CASTELO R$ 108.039,06 R$ 15.216,00 123.077,42R$ -R$ 17.333,97R$
SC MORRO DA FUMAÇA R$ 171.454,93 R$ 10.803,91 195.320,38R$ -R$ 12.307,75R$
SC MORRO GRANDE R$ 108.039,06 R$ 10.803,91 123.077,42R$ -R$ 12.307,75R$
SC NAVEGANTES R$ 108.039,06 R$ 36.141,02 123.077,42R$ -R$ 41.171,62R$
SC NOVA ERECHIM R$ 108.039,06 R$ 10.803,91 123.077,42R$ -R$ 12.307,75R$
SC NOVA ITABERABA R$ 108.039,06 R$ 10.803,91 123.077,42R$ -R$ 12.307,75R$
SC NOVA TRENTO R$ 108.039,06 R$ 10.803,91 123.077,42R$ -R$ 12.307,75R$
SC NOVA VENEZA R$ 108.039,06 R$ 10.803,91 123.077,42R$ -R$ 12.307,75R$
SC NOVO HORIZONTE R$ 108.039,06 R$ 10.803,91 123.077,42R$ -R$ 12.307,75R$
SC ORLEANS R$ 145.368,33 R$ 42.349,32 165.602,69R$ -R$ 48.244,08R$
SC OTACÍLIO COSTA R$ 108.039,06 R$ 17.619,66 123.077,42R$ -R$ 20.072,21R$
SC OURO R$ 108.039,06 R$ 10.803,91 123.077,42R$ -R$ 12.307,75R$
SC OURO VERDE R$ 108.039,06 R$ 10.803,91 123.077,42R$ -R$ 12.307,75R$
SC PAIAL R$ 108.039,06 R$ 10.803,91 123.077,42R$ -R$ 12.307,75R$
SC PAINEL R$ 108.039,06 R$ 10.803,91 123.077,42R$ -R$ 12.307,75R$
SC PALHOÇA R$ 280.606,66 R$ 53.127,69 319.665,35R$ -R$ 60.522,73R$
SC PALMA SOLA R$ 108.039,06 R$ 10.803,91 123.077,42R$ -R$ 12.307,75R$
SC PALMEIRA R$ 108.039,06 R$ 10.803,91 123.077,42R$ -R$ 12.307,75R$
SC PALMITOS R$ 108.039,06 R$ 16.436,06 123.077,42R$ -R$ 18.723,86R$
SC PAPANDUVA R$ 108.039,06 R$ 10.803,91 123.077,42R$ -R$ 12.307,75R$
SC PARAÍSO R$ 108.039,06 R$ 10.803,91 123.077,42R$ -R$ 12.307,75R$
SC PASSO DE TORRES R$ 108.039,06 R$ 17.599,10 123.077,42R$ -R$ 20.048,78R$
SC PASSOS MAIA R$ 108.039,06 R$ 16.027,81 123.077,42R$ -R$ 18.258,78R$
SC PAULO LOPES R$ 108.039,06 R$ 26.591,73 123.077,42R$ -R$ 30.293,13R$
SC PEDRAS GRANDES R$ 108.039,06 R$ 10.803,91 123.077,42R$ -R$ 12.307,75R$
SC PENHA R$ 196.527,53 R$ 21.804,08 223.882,93R$ -R$ 24.839,07R$
SC PERITIBA R$ 108.039,06 R$ 10.803,91 123.077,42R$ -R$ 12.307,75R$
SC PESCARIA BRAVA R$ 108.039,06 R$ 10.803,91 123.077,42R$ -R$ 12.307,75R$
SC PETROLÂNDIA R$ 108.039,06 R$ 10.803,91 123.077,42R$ -R$ 12.307,75R$
SC PINHALZINHO R$ 108.039,06 R$ 23.282,36 123.077,42R$ -R$ 26.523,12R$
SC PINHEIRO PRETO R$ 108.039,06 R$ 19.168,89 123.077,42R$ -R$ 21.837,08R$
SC PIRATUBA R$ 108.039,06 R$ 10.803,91 123.077,42R$ -R$ 12.307,75R$
SC PLANALTO ALEGRE R$ 108.039,06 R$ 10.803,91 123.077,42R$ -R$ 12.307,75R$
SC POMERODE R$ 213.347,96 R$ 30.224,69 243.044,66R$ -R$ 34.431,78R$
SC PONTE ALTA R$ 108.039,06 R$ 10.803,91 123.077,42R$ -R$ 12.307,75R$
SC PONTE ALTA DO NORTE R$ 108.039,06 R$ 10.803,91 123.077,42R$ -R$ 12.307,75R$
SC PONTE SERRADA R$ 108.039,06 R$ 10.803,91 123.077,42R$ -R$ 12.307,75R$
SC PORTO BELO R$ 108.039,06 R$ 10.803,91 123.077,42R$ -R$ 12.307,75R$
SC PORTO UNIÃO R$ 108.039,06 R$ 25.975,79 123.077,42R$ -R$ 29.591,46R$
70
Tribunal Superior Eleitoral
PREFEITO
1º TURNO 1º TURNO 2º TURNO
UF
POSSIBILIDADE
DE SEGUNDO
TURNO
VEREADORVEREADOR
LIMITE DE GASTOS OBSERVADO
O MÍNIMO LEGAL (R$ 100,000,00
PARA PREFEITO E R$ 10.000,00
PARA VEREADOR ) EM 2016***
LIMITE DE GASTOS 2020 (ATUALIZADO PELO IPCA DE
JUNHO/2016 ATÉ JUNHO/2020*)
PREFEITO
MUNICÍPIO**
SC POUSO REDONDO R$ 108.039,06 R$ 10.803,91 123.077,42R$ -R$ 12.307,75R$
SC PRAIA GRANDE R$ 108.039,06 R$ 10.803,91 123.077,42R$ -R$ 12.307,75R$
SC PRESIDENTE CASTELLO BRANCO R$ 108.039,06 R$ 10.803,91 123.077,42R$ -R$ 12.307,75R$
SC PRESIDENTE GETÚLIO R$ 108.039,06 R$ 10.803,91 123.077,42R$ -R$ 12.307,75R$
SC PRESIDENTE NEREU R$ 108.039,06 R$ 10.803,91 123.077,42R$ -R$ 12.307,75R$
SC PRINCESA R$ 108.039,06 R$ 10.803,91 123.077,42R$ -R$ 12.307,75R$
SC QUILOMBO R$ 108.039,06 R$ 10.803,91 123.077,42R$ -R$ 12.307,75R$
SC RANCHO QUEIMADO R$ 108.039,06 R$ 10.803,91 123.077,42R$ -R$ 12.307,75R$
SC RIO DAS ANTAS R$ 108.039,06 R$ 10.803,91 123.077,42R$ -R$ 12.307,75R$
SC RIO DO CAMPO R$ 108.039,06 R$ 16.278,90 123.077,42R$ -R$ 18.544,82R$
SC RIO DO OESTE R$ 108.039,06 R$ 10.803,91 123.077,42R$ -R$ 12.307,75R$
SC RIO DO SUL R$ 211.354,78 R$ 24.531,68 240.774,04R$ -R$ 27.946,34R$
SC RIO DOS CEDROS R$ 108.039,06 R$ 10.803,91 123.077,42R$ -R$ 12.307,75R$
SC RIO FORTUNA R$ 108.039,06 R$ 17.393,74 123.077,42R$ -R$ 19.814,84R$
SC RIO NEGRINHO R$ 108.039,06 R$ 10.803,91 123.077,42R$ -R$ 12.307,75R$
SC RIO RUFINO R$ 108.039,06 R$ 10.803,91 123.077,42R$ -R$ 12.307,75R$
SC RIQUEZA R$ 108.039,06 R$ 10.803,91 123.077,42R$ -R$ 12.307,75R$
SC RODEIO R$ 108.039,06 R$ 10.803,91 123.077,42R$ -R$ 12.307,75R$
SC ROMELÂNDIA R$ 108.039,06 R$ 10.803,91 123.077,42R$ -R$ 12.307,75R$
SC SALETE R$ 108.039,06 R$ 10.803,91 123.077,42R$ -R$ 12.307,75R$
SC SALTINHO R$ 108.039,06 R$ 10.803,91 123.077,42R$ -R$ 12.307,75R$
SC SALTO VELOSO R$ 108.039,06 R$ 10.803,91 123.077,42R$ -R$ 12.307,75R$
SC SANGÃO R$ 108.039,06 R$ 10.803,91 123.077,42R$ -R$ 12.307,75R$
SC SANTA CECÍLIA R$ 108.039,06 R$ 28.005,01 123.077,42R$ -R$ 31.903,13R$
SC SANTA HELENA R$ 108.039,06 R$ 10.803,91 123.077,42R$ -R$ 12.307,75R$
SC SANTA ROSA DE LIMA R$ 108.039,06 R$ 10.803,91 123.077,42R$ -R$ 12.307,75R$
SC SANTA ROSA DO SUL R$ 108.039,06 R$ 10.803,91 123.077,42R$ -R$ 12.307,75R$
SC SANTA TEREZINHA R$ 108.039,06 R$ 10.803,91 123.077,42R$ -R$ 12.307,75R$
SC SANTA TEREZINHA DO PROGRESSO R$ 108.039,06 R$ 10.803,91 123.077,42R$ -R$ 12.307,75R$
SC SANTIAGO DO SUL R$ 108.039,06 R$ 10.803,91 123.077,42R$ -R$ 12.307,75R$
SC SANTO AMARO DA IMPERATRIZ R$ 108.039,06 R$ 14.243,99 123.077,42R$ -R$ 16.226,66R$
SC SÃO BENTO DO SUL R$ 562.822,93 R$ 32.069,89 641.164,36R$ -R$ 36.533,82R$
SC SÃO BERNARDINO R$ 108.039,06 R$ 10.803,91 123.077,42R$ -R$ 12.307,75R$
SC SÃO BONIFÁCIO R$ 108.039,06 R$ 10.803,91 123.077,42R$ -R$ 12.307,75R$
SC SÃO CARLOS R$ 108.039,06 R$ 10.803,91 123.077,42R$ -R$ 12.307,75R$
SC SÃO CRISTÓVÃO DO SUL R$ 108.039,06 R$ 10.803,91 123.077,42R$ -R$ 12.307,75R$
SC SÃO DOMINGOS R$ 108.039,06 R$ 10.803,91 123.077,42R$ -R$ 12.307,75R$
SC SÃO FRANCISCO DO SUL R$ 108.039,06 R$ 43.313,41 123.077,42R$ -R$ 49.342,37R$
SC SÃO JOÃO BATISTA R$ 108.039,06 R$ 15.701,26 123.077,42R$ -R$ 17.886,78R$
SC SÃO JOÃO DO ITAPERIÚ R$ 108.039,06 R$ 10.803,91 123.077,42R$ -R$ 12.307,75R$
SC SÃO JOÃO DO OESTE R$ 108.039,06 R$ 10.803,91 123.077,42R$ -R$ 12.307,75R$
SC SÃO JOÃO DO SUL R$ 108.039,06 R$ 10.803,91 123.077,42R$ -R$ 12.307,75R$
SC SÃO JOAQUIM R$ 160.281,76 R$ 66.591,21 182.591,98R$ -R$ 75.860,29R$
SC SÃO JOSÉ R$ 1.775.187,83 R$ 191.206,52 2.022.282,88R$ -R$ 217.821,27R$
SC SÃO JOSÉ DO CEDRO R$ 108.039,06 R$ 17.640,07 123.077,42R$ -R$ 20.095,46R$
SC SÃO JOSÉ DO CERRITO R$ 108.039,06 R$ 10.803,91 123.077,42R$ -R$ 12.307,75R$
SC SÃO LOURENÇO DO OESTE R$ 142.398,27 R$ 26.428,73 162.219,22R$ -R$ 30.107,44R$
SC SÃO LUDGERO R$ 108.039,06 R$ 10.803,91 123.077,42R$ -R$ 12.307,75R$
SC SÃO MARTINHO R$ 108.039,06 R$ 10.803,91 123.077,42R$ -R$ 12.307,75R$
SC SÃO MIGUEL DA BOA VISTA R$ 108.039,06 R$ 10.803,91 123.077,42R$ -R$ 12.307,75R$
SC SÃO MIGUEL DO OESTE R$ 184.135,73 R$ 29.593,62 209.766,27R$ -R$ 33.712,87R$
SC SÃO PEDRO DE ALCÂNTARA R$ 108.039,06 R$ 10.803,91 123.077,42R$ -R$ 12.307,75R$
SC SAUDADES R$ 108.039,06 R$ 10.803,91 123.077,42R$ -R$ 12.307,75R$
SC SCHROEDER R$ 108.039,06 R$ 10.803,91 123.077,42R$ -R$ 12.307,75R$
SC SEARA R$ 108.039,06 R$ 10.803,91 123.077,42R$ -R$ 12.307,75R$
SC SERRA ALTA R$ 108.039,06 R$ 10.803,91 123.077,42R$ -R$ 12.307,75R$
SC SIDERÓPOLIS R$ 108.039,06 R$ 10.803,91 123.077,42R$ -R$ 12.307,75R$
SC SOMBRIO R$ 196.292,92 R$ 10.803,91 223.615,67R$ -R$ 12.307,75R$
SC SUL BRASIL R$ 108.039,06 R$ 10.803,91 123.077,42R$ -R$ 12.307,75R$
SC TAIÓ R$ 108.039,06 R$ 15.934,49 123.077,42R$ -R$ 18.152,47R$
SC TANGARÁ R$ 108.039,06 R$ 19.117,48 123.077,42R$ -R$ 21.778,51R$
SC TIGRINHOS R$ 108.039,06 R$ 10.803,91 123.077,42R$ -R$ 12.307,75R$
SC TIJUCAS R$ 145.874,40 R$ 25.530,26 166.179,20R$ -R$ 29.083,91R$
SC TIMBÉ DO SUL R$ 108.039,06 R$ 10.803,91 123.077,42R$ -R$ 12.307,75R$
SC TIMBÓ R$ 108.039,06 R$ 10.803,91 123.077,42R$ -R$ 12.307,75R$
SC TIMBÓ GRANDE R$ 108.039,06 R$ 10.803,91 123.077,42R$ -R$ 12.307,75R$
71
Tribunal Superior Eleitoral
PREFEITO
1º TURNO 1º TURNO 2º TURNO
UF
POSSIBILIDADE
DE SEGUNDO
TURNO
VEREADORVEREADOR
LIMITE DE GASTOS OBSERVADO
O MÍNIMO LEGAL (R$ 100,000,00
PARA PREFEITO E R$ 10.000,00
PARA VEREADOR ) EM 2016***
LIMITE DE GASTOS 2020 (ATUALIZADO PELO IPCA DE
JUNHO/2016 ATÉ JUNHO/2020*)
PREFEITO
MUNICÍPIO**
SC TRÊS BARRAS R$ 108.039,06 R$ 27.871,83 123.077,42R$ -R$ 31.751,41R$
SC TREVISO R$ 108.039,06 R$ 10.803,91 123.077,42R$ -R$ 12.307,75R$
SC TREZE DE MAIO R$ 108.039,06 R$ 10.803,91 123.077,42R$ -R$ 12.307,75R$
SC TREZE TÍLIAS R$ 108.039,06 R$ 10.803,91 123.077,42R$ -R$ 12.307,75R$
SC TROMBUDO CENTRAL R$ 108.039,06 R$ 10.803,91 123.077,42R$ -R$ 12.307,75R$
SC TUBARÃO R$ 1.210.557,97 R$ 102.871,23 1.379.060,07R$ -R$ 117.190,26R$
SC TUNÁPOLIS R$ 108.039,06 R$ 10.803,91 123.077,42R$ -R$ 12.307,75R$
SC TURVO R$ 108.039,06 R$ 17.789,01 123.077,42R$ -R$ 20.265,13R$
SC UNIÃO DO OESTE R$ 108.039,06 R$ 10.803,91 123.077,42R$ -R$ 12.307,75R$
SC URUBICI R$ 108.039,06 R$ 20.250,92 123.077,42R$ -R$ 23.069,72R$
SC URUPEMA R$ 108.039,06 R$ 10.803,91 123.077,42R$ -R$ 12.307,75R$
SC URUSSANGA R$ 108.039,06 R$ 10.803,91 123.077,42R$ -R$ 12.307,75R$
SC VARGEÃO R$ 108.039,06 R$ 10.803,91 123.077,42R$ -R$ 12.307,75R$
SC VARGEM R$ 108.039,06 R$ 10.803,91 123.077,42R$ -R$ 12.307,75R$
SC VARGEM BONITA R$ 108.039,06 R$ 10.803,91 123.077,42R$ -R$ 12.307,75R$
SC VIDAL RAMOS R$ 108.039,06 R$ 10.803,91 123.077,42R$ -R$ 12.307,75R$
SC VIDEIRA R$ 108.039,06 R$ 34.497,48 123.077,42R$ -R$ 39.299,31R$
SC VITOR MEIRELES R$ 108.039,06 R$ 10.803,91 123.077,42R$ -R$ 12.307,75R$
SC WITMARSUM R$ 108.039,06 R$ 10.803,91 123.077,42R$ -R$ 12.307,75R$
SC XANXERÊ R$ 306.577,50 R$ 40.913,62 349.251,17R$ -R$ 46.608,54R$
SC XAVANTINA R$ 108.039,06 R$ 10.803,91 123.077,42R$ -R$ 12.307,75R$
SC XAXIM R$ 156.185,24 R$ 13.572,08 177.925,25R$ -R$ 15.461,23R$
SC ZORTÉA R$ 108.039,06 R$ 10.803,91 123.077,42R$ -R$ 12.307,75R$
SE AMPARO DE SÃO FRANCISCO R$ 108.039,06 R$ 10.803,91 123.077,42R$ -R$ 12.307,75R$
SE AQUIDABÃ R$ 108.039,06 R$ 10.803,91 123.077,42R$ -R$ 12.307,75R$
SE ARACAJU SIM R$ 3.763.115,71 R$ 163.276,59 4.286.917,89R$ 1.714.767,16R$ 186.003,67R$
SE ARAUÁ R$ 108.039,06 R$ 10.803,91 123.077,42R$ -R$ 12.307,75R$
SE AREIA BRANCA R$ 108.039,06 R$ 10.803,91 123.077,42R$ -R$ 12.307,75R$
SE BARRA DOS COQUEIROS R$ 108.039,06 R$ 10.803,91 123.077,42R$ -R$ 12.307,75R$
SE BOQUIM R$ 108.039,06 R$ 16.751,86 123.077,42R$ -R$ 19.083,61R$
SE BREJO GRANDE R$ 108.039,06 R$ 10.803,91 123.077,42R$ -R$ 12.307,75R$
SE CAMPO DO BRITO R$ 268.191,60 R$ 10.803,91 305.522,19R$ -R$ 12.307,75R$
SE CANHOBA R$ 108.039,06 R$ 10.803,91 123.077,42R$ -R$ 12.307,75R$
SE CANINDÉ DE SÃO FRANCISCO R$ 362.425,60 R$ 27.301,08 412.872,98R$ -R$ 31.101,22R$
SE CAPELA R$ 229.074,12 R$ 10.803,91 260.959,81R$ -R$ 12.307,75R$
SE CARIRA R$ 108.039,06 R$ 10.803,91 123.077,42R$ -R$ 12.307,75R$
SE CARMÓPOLIS R$ 202.535,06 R$ 10.803,91 230.726,67R$ -R$ 12.307,75R$
SE CEDRO DE SÃO JOÃO R$ 108.039,06 R$ 10.803,91 123.077,42R$ -R$ 12.307,75R$
SE CRISTINÁPOLIS R$ 108.039,06 R$ 10.803,91 123.077,42R$ -R$ 12.307,75R$
SE CUMBE R$ 108.039,06 R$ 10.803,91 123.077,42R$ -R$ 12.307,75R$
SE DIVINA PASTORA R$ 108.039,06 R$ 56.344,82 123.077,42R$ -R$ 64.187,67R$
SE ESTÂNCIA R$ 215.445,68 R$ 36.348,28 245.434,37R$ -R$ 41.407,73R$
SE FEIRA NOVA R$ 108.039,06 R$ 10.803,91 123.077,42R$ -R$ 12.307,75R$
SE FREI PAULO R$ 108.039,06 R$ 10.803,91 123.077,42R$ -R$ 12.307,75R$
SE GARARU R$ 108.039,06 R$ 10.803,91 123.077,42R$ -R$ 12.307,75R$
SE GENERAL MAYNARD R$ 108.039,06 R$ 10.803,91 123.077,42R$ -R$ 12.307,75R$
SE GRACCHO CARDOSO R$ 108.039,06 R$ 10.803,91 123.077,42R$ -R$ 12.307,75R$
SE ILHA DAS FLORES R$ 161.002,48 R$ 10.803,91 183.413,02R$ -R$ 12.307,75R$
SE INDIAROBA R$ 250.561,55 R$ 30.153,62 285.438,15R$ -R$ 34.350,82R$
SE ITABAIANA R$ 231.858,20 R$ 65.666,43 264.131,41R$ -R$ 74.806,79R$
SE ITABAIANINHA R$ 108.039,06 R$ 10.803,91 123.077,42R$ -R$ 12.307,75R$
SE ITABI R$ 108.039,06 R$ 10.803,91 123.077,42R$ -R$ 12.307,75R$
SE ITAPORANGA D'AJUDA R$ 108.039,06 R$ 22.209,72 123.077,42R$ -R$ 25.301,17R$
SE JAPARATUBA R$ 395.886,48 R$ 20.732,04 450.991,40R$ -R$ 23.617,81R$
SE JAPOATÃ R$ 108.039,06 R$ 10.803,91 123.077,42R$ -R$ 12.307,75R$
SE LAGARTO R$ 303.157,42 R$ 17.275,26 345.355,04R$ -R$ 19.679,87R$
SE LARANJEIRAS R$ 240.159,54 R$ 20.072,48 273.588,25R$ -R$ 22.866,44R$
SE MACAMBIRA R$ 108.039,06 R$ 10.803,91 123.077,42R$ -R$ 12.307,75R$
SE MALHADA DOS BOIS R$ 108.039,06 R$ 10.803,91 123.077,42R$ -R$ 12.307,75R$
SE MALHADOR R$ 108.039,06 R$ 10.803,91 123.077,42R$ -R$ 12.307,75R$
SE MARUIM R$ 108.039,06 R$ 10.803,91 123.077,42R$ -R$ 12.307,75R$
SE MOITA BONITA R$ 108.039,06 R$ 10.803,91 123.077,42R$ -R$ 12.307,75R$
SE MONTE ALEGRE DE SERGIPE R$ 108.039,06 R$ 10.803,91 123.077,42R$ -R$ 12.307,75R$
SE MURIBECA R$ 108.039,06 R$ 10.803,91 123.077,42R$ -R$ 12.307,75R$
SE NEÓPOLIS R$ 108.039,06 R$ 15.018,71 123.077,42R$ -R$ 17.109,22R$
SE NOSSA SENHORA APARECIDA R$ 108.039,06 R$ 10.803,91 123.077,42R$ -R$ 12.307,75R$
72
Tribunal Superior Eleitoral
PREFEITO
1º TURNO 1º TURNO 2º TURNO
UF
POSSIBILIDADE
DE SEGUNDO
TURNO
VEREADORVEREADOR
LIMITE DE GASTOS OBSERVADO
O MÍNIMO LEGAL (R$ 100,000,00
PARA PREFEITO E R$ 10.000,00
PARA VEREADOR ) EM 2016***
LIMITE DE GASTOS 2020 (ATUALIZADO PELO IPCA DE
JUNHO/2016 ATÉ JUNHO/2020*)
PREFEITO
MUNICÍPIO**
SE NOSSA SENHORA DA GLÓRIA R$ 228.073,14 R$ 14.323,85 259.819,50R$ -R$ 16.317,64R$
SE NOSSA SENHORA DAS DORES R$ 108.039,06 R$ 10.803,91 123.077,42R$ -R$ 12.307,75R$
SE NOSSA SENHORA DE LOURDES R$ 108.039,06 R$ 10.803,91 123.077,42R$ -R$ 12.307,75R$
SE NOSSA SENHORA DO SOCORRO R$ 256.317,46 R$ 26.272,35 291.995,25R$ -R$ 29.929,30R$
SE PACATUBA R$ 108.039,06 R$ 10.803,91 123.077,42R$ -R$ 12.307,75R$
SE PEDRA MOLE R$ 108.039,06 R$ 10.803,91 123.077,42R$ -R$ 12.307,75R$
SE PEDRINHAS R$ 108.039,06 R$ 10.803,91 123.077,42R$ -R$ 12.307,75R$
SE PINHÃO R$ 108.039,06 R$ 10.803,91 123.077,42R$ -R$ 12.307,75R$
SE PIRAMBU R$ 206.523,85 R$ 15.122,08 235.270,68R$ -R$ 17.226,98R$
SE POÇO REDONDO R$ 108.039,06 R$ 10.803,91 123.077,42R$ -R$ 12.307,75R$
SE POÇO VERDE R$ 108.039,06 R$ 19.155,30 123.077,42R$ -R$ 21.821,60R$
SE PORTO DA FOLHA R$ 108.039,06 R$ 16.259,35 123.077,42R$ -R$ 18.522,55R$
SE PROPRIÁ R$ 108.039,06 R$ 10.803,91 123.077,42R$ -R$ 12.307,75R$
SE RIACHÃO DO DANTAS R$ 218.173,31 R$ 20.625,45 248.541,67R$ -R$ 23.496,38R$
SE RIACHUELO R$ 108.039,06 R$ 10.803,91 123.077,42R$ -R$ 12.307,75R$
SE RIBEIRÓPOLIS R$ 108.039,06 R$ 10.803,91 123.077,42R$ -R$ 12.307,75R$
SE ROSÁRIO DO CATETE R$ 270.643,19 R$ 10.803,91 308.315,03R$ -R$ 12.307,75R$
SE SALGADO R$ 108.039,06 R$ 10.803,91 123.077,42R$ -R$ 12.307,75R$
SE SANTA LUZIA DO ITANHY R$ 108.039,06 R$ 10.803,91 123.077,42R$ -R$ 12.307,75R$
SE SANTA ROSA DE LIMA R$ 108.039,06 R$ 10.803,91 123.077,42R$ -R$ 12.307,75R$
SE SANTANA DO SÃO FRANCISCO R$ 108.039,06 R$ 10.803,91 123.077,42R$ -R$ 12.307,75R$
SE SANTO AMARO DAS BROTAS R$ 108.039,06 R$ 10.803,91 123.077,42R$ -R$ 12.307,75R$
SE SÃO CRISTÓVÃO R$ 244.526,05 R$ 16.628,15 278.562,55R$ -R$ 18.942,68R$
SE SÃO DOMINGOS R$ 108.039,06 R$ 10.803,91 123.077,42R$ -R$ 12.307,75R$
SE SÃO FRANCISCO R$ 108.039,06 R$ 10.803,91 123.077,42R$ -R$ 12.307,75R$
SE SÃO MIGUEL DO ALEIXO R$ 108.039,06 R$ 10.803,91 123.077,42R$ -R$ 12.307,75R$
SE SIMÃO DIAS R$ 108.039,06 R$ 25.519,64 123.077,42R$ -R$ 29.071,81R$
SE SIRIRI R$ 108.039,06 R$ 10.803,91 123.077,42R$ -R$ 12.307,75R$
SE TELHA R$ 108.039,06 R$ 10.803,91 123.077,42R$ -R$ 12.307,75R$
SE TOBIAS BARRETO R$ 162.649,70 R$ 34.271,68 185.289,52R$ -R$ 39.042,08R$
SE TOMAR DO GERU R$ 108.039,06 R$ 10.803,91 123.077,42R$ -R$ 12.307,75R$
SE UMBAÚBA R$ 108.039,06 R$ 10.803,91 123.077,42R$ -R$ 12.307,75R$
SP ADAMANTINA R$ 108.039,06 R$ 10.803,91 123.077,42R$ -R$ 12.307,75R$
SP ADOLFO R$ 108.039,06 R$ 10.803,91 123.077,42R$ -R$ 12.307,75R$
SP AGUAÍ R$ 249.884,38 R$ 18.864,47 284.666,72R$ -R$ 21.490,29R$
SP ÁGUAS DA PRATA R$ 108.039,06 R$ 10.803,91 123.077,42R$ -R$ 12.307,75R$
SP ÁGUAS DE LINDÓIA R$ 149.639,35 R$ 10.803,91 170.468,21R$ -R$ 12.307,75R$
SP ÁGUAS DE SANTA BÁRBARA R$ 108.039,06 R$ 10.803,91 123.077,42R$ -R$ 12.307,75R$
SP ÁGUAS DE SÃO PEDRO R$ 108.039,06 R$ 10.803,91 123.077,42R$ -R$ 12.307,75R$
SP AGUDOS R$ 108.039,06 R$ 61.406,41 123.077,42R$ -R$ 69.953,80R$
SP ALAMBARI R$ 108.039,06 R$ 10.803,91 123.077,42R$ -R$ 12.307,75R$
SP ALFREDO MARCONDES R$ 108.039,06 R$ 10.803,91 123.077,42R$ -R$ 12.307,75R$
SP ALTAIR R$ 136.713,74 R$ 10.803,91 155.743,44R$ -R$ 12.307,75R$
SP ALTINÓPOLIS R$ 169.634,65 R$ 14.870,66 193.246,73R$ -R$ 16.940,56R$
SP ALTO ALEGRE R$ 108.039,06 R$ 10.803,91 123.077,42R$ -R$ 12.307,75R$
SP ALUMÍNIO R$ 255.189,53 R$ 34.365,52 290.710,32R$ -R$ 39.148,99R$
SP ÁLVARES FLORENCE R$ 108.039,06 R$ 10.803,91 123.077,42R$ -R$ 12.307,75R$
SP ÁLVARES MACHADO R$ 108.039,06 R$ 10.803,91 123.077,42R$ -R$ 12.307,75R$
SP ÁLVARO DE CARVALHO R$ 108.039,06 R$ 10.803,91 123.077,42R$ -R$ 12.307,75R$
SP ALVINLÂNDIA R$ 108.039,06 R$ 10.803,91 123.077,42R$ -R$ 12.307,75R$
SP AMERICANA R$ 1.121.096,32 R$ 45.650,29 1.277.145,92R$ -R$ 52.004,52R$
SP AMÉRICO BRASILIENSE R$ 108.039,06 R$ 22.349,80 123.077,42R$ -R$ 25.460,75R$
SP AMÉRICO DE CAMPOS R$ 108.039,06 R$ 10.803,91 123.077,42R$ -R$ 12.307,75R$
SP AMPARO R$ 243.791,56 R$ 54.241,60 277.725,82R$ -R$ 61.791,69R$
SP ANALÂNDIA R$ 108.039,06 R$ 10.803,91 123.077,42R$ -R$ 12.307,75R$
SP ANDRADINA R$ 139.614,09 R$ 27.735,93 159.047,50R$ -R$ 31.596,60R$
SP ANGATUBA R$ 155.968,93 R$ 10.803,91 177.678,83R$ -R$ 12.307,75R$
SP ANHEMBI R$ 108.039,06 R$ 10.803,91 123.077,42R$ -R$ 12.307,75R$
SP ANHUMAS R$ 108.039,06 R$ 10.803,91 123.077,42R$ -R$ 12.307,75R$
SP APARECIDA R$ 152.703,09 R$ 10.803,91 173.958,41R$ -R$ 12.307,75R$
SP APARECIDA D'OESTE R$ 108.039,06 R$ 10.803,91 123.077,42R$ -R$ 12.307,75R$
SP APIAÍ R$ 108.039,06 R$ 10.803,91 123.077,42R$ -R$ 12.307,75R$
SP ARAÇARIGUAMA R$ 403.557,65 R$ 23.821,62 459.730,35R$ -R$ 27.137,44R$
SP ARAÇATUBA R$ 2.441.717,05 R$ 116.124,68 2.781.588,80R$ -R$ 132.288,51R$
SP ARAÇOIABA DA SERRA R$ 108.039,06 R$ 10.803,91 123.077,42R$ -R$ 12.307,75R$
SP ARAMINA R$ 108.039,06 R$ 21.923,96 123.077,42R$ -R$ 24.975,64R$
73
Tribunal Superior Eleitoral
PREFEITO
1º TURNO 1º TURNO 2º TURNO
UF
POSSIBILIDADE
DE SEGUNDO
TURNO
VEREADORVEREADOR
LIMITE DE GASTOS OBSERVADO
O MÍNIMO LEGAL (R$ 100,000,00
PARA PREFEITO E R$ 10.000,00
PARA VEREADOR ) EM 2016***
LIMITE DE GASTOS 2020 (ATUALIZADO PELO IPCA DE
JUNHO/2016 ATÉ JUNHO/2020*)
PREFEITO
MUNICÍPIO**
SP ARANDU R$ 108.039,06 R$ 10.803,91 123.077,42R$ -R$ 12.307,75R$
SP ARAPEÍ R$ 108.039,06 R$ 10.803,91 123.077,42R$ -R$ 12.307,75R$
SP ARARAQUARA R$ 2.241.087,47 R$ 124.503,94 2.553.032,84R$ -R$ 141.834,11R$
SP ARARAS R$ 689.719,77 R$ 46.400,78 785.724,45R$ -R$ 52.859,48R$
SP ARCO-ÍRIS R$ 108.039,06 R$ 10.803,91 123.077,42R$ -R$ 12.307,75R$
SP AREALVA R$ 108.039,06 R$ 10.803,91 123.077,42R$ -R$ 12.307,75R$
SP AREIAS R$ 108.039,06 R$ 10.803,91 123.077,42R$ -R$ 12.307,75R$
SP AREIÓPOLIS R$ 108.039,06 R$ 10.803,91 123.077,42R$ -R$ 12.307,75R$
SP ARIRANHA R$ 108.039,06 R$ 10.803,91 123.077,42R$ -R$ 12.307,75R$
SP ARTUR NOGUEIRA R$ 180.607,23 R$ 13.469,96 205.746,63R$ -R$ 15.344,89R$
SP ARUJÁ R$ 627.779,34 R$ 35.117,94 715.162,30R$ -R$ 40.006,14R$
SP ASPÁSIA R$ 108.039,06 R$ 10.803,91 123.077,42R$ -R$ 12.307,75R$
SP ASSIS R$ 208.896,85 R$ 28.518,54 237.973,99R$ -R$ 32.488,14R$
SP ATIBAIA R$ 529.365,99 R$ 38.791,92 603.050,43R$ -R$ 44.191,51R$
SP AURIFLAMA R$ 108.039,06 R$ 19.606,64 123.077,42R$ -R$ 22.335,76R$
SP AVAÍ R$ 108.039,06 R$ 10.803,91 123.077,42R$ -R$ 12.307,75R$
SP AVANHANDAVA R$ 108.039,06 R$ 10.803,91 123.077,42R$ -R$ 12.307,75R$
SP AVARÉ R$ 108.039,06 R$ 39.386,01 123.077,42R$ -R$ 44.868,30R$
SP BADY BASSITT R$ 108.039,06 R$ 10.803,91 123.077,42R$ -R$ 12.307,75R$
SP BALBINOS R$ 108.039,06 R$ 10.803,91 123.077,42R$ -R$ 12.307,75R$
SP BÁLSAMO R$ 108.039,06 R$ 10.803,91 123.077,42R$ -R$ 12.307,75R$
SP BANANAL R$ 108.039,06 R$ 10.803,91 123.077,42R$ -R$ 12.307,75R$
SP BARÃO DE ANTONINA R$ 108.039,06 R$ 10.803,91 123.077,42R$ -R$ 12.307,75R$
SP BARBOSA R$ 108.039,06 R$ 10.803,91 123.077,42R$ -R$ 12.307,75R$
SP BARIRI R$ 108.039,06 R$ 10.803,91 123.077,42R$ -R$ 12.307,75R$
SP BARRA BONITA R$ 108.039,06 R$ 24.044,14 123.077,42R$ -R$ 27.390,93R$
SP BARRA DO CHAPÉU R$ 159.175,87 R$ 10.803,91 181.332,16R$ -R$ 12.307,75R$
SP BARRA DO TURVO R$ 184.742,33 R$ 32.612,94 210.457,31R$ -R$ 37.152,46R$
SP BARRETOS R$ 270.898,90 R$ 36.539,45 308.606,33R$ -R$ 41.625,51R$
SP BARRINHA R$ 108.039,06 R$ 31.287,94 123.077,42R$ -R$ 35.643,03R$
SP BARUERI SIM R$ 3.470.911,64 R$ 155.698,59 3.954.040,84R$ 1.581.616,34R$ 177.370,86R$
SP BASTOS R$ 108.039,06 R$ 10.803,91 123.077,42R$ -R$ 12.307,75R$
SP BATATAIS R$ 151.854,26 R$ 23.012,31 172.991,42R$ -R$ 26.215,48R$
SP BAURU SIM R$ 533.142,74 R$ 150.331,85 607.352,88R$ 242.941,15R$ 171.257,10R$
SP BEBEDOURO R$ 263.192,37 R$ 26.956,50 299.827,10R$ -R$ 30.708,68R$
SP BENTO DE ABREU R$ 108.039,06 R$ 10.803,91 123.077,42R$ -R$ 12.307,75R$
SP BERNARDINO DE CAMPOS R$ 108.039,06 R$ 10.803,91 123.077,42R$ -R$ 12.307,75R$
SP BERTIOGA R$ 671.376,26 R$ 39.903,68 764.827,64R$ -R$ 45.458,02R$
SP BILAC R$ 108.039,06 R$ 10.803,91 123.077,42R$ -R$ 12.307,75R$
SP BIRIGUI R$ 710.809,22 R$ 28.027,13 809.749,42R$ -R$ 31.928,33R$
SP BIRITIBA MIRIM R$ 108.039,06 R$ 26.108,76 123.077,42R$ -R$ 29.742,94R$
SP BOA ESPERANÇA DO SUL R$ 108.039,06 R$ 15.068,90 123.077,42R$ -R$ 17.166,40R$
SP BOCAINA R$ 108.039,06 R$ 10.803,91 123.077,42R$ -R$ 12.307,75R$
SP BOFETE R$ 108.039,06 R$ 10.803,91 123.077,42R$ -R$ 12.307,75R$
SP BOITUVA R$ 108.039,06 R$ 14.150,69 123.077,42R$ -R$ 16.120,38R$
SP BOM JESUS DOS PERDÕES R$ 191.053,46 R$ 10.803,91 217.646,91R$ -R$ 12.307,75R$
SP BOM SUCESSO DE ITARARÉ R$ 108.039,06 R$ 10.803,91 123.077,42R$ -R$ 12.307,75R$
SP BORÁ R$ 108.039,06 R$ 10.803,91 123.077,42R$ -R$ 12.307,75R$
SP BORACÉIA R$ 108.039,06 R$ 10.803,91 123.077,42R$ -R$ 12.307,75R$
SP BORBOREMA R$ 108.039,06 R$ 10.803,91 123.077,42R$ -R$ 12.307,75R$
SP BOREBI R$ 108.039,06 R$ 10.803,91 123.077,42R$ -R$ 12.307,75R$
SP BOTUCATU R$ 619.886,98 R$ 52.574,05 706.171,37R$ -R$ 59.892,03R$
SP BRAGANÇA PAULISTA R$ 713.549,60 R$ 62.250,94 812.871,24R$ -R$ 70.915,88R$
SP BRAÚNA R$ 108.039,06 R$ 10.803,91 123.077,42R$ -R$ 12.307,75R$
SP BREJO ALEGRE R$ 108.039,06 R$ 10.803,91 123.077,42R$ -R$ 12.307,75R$
SP BRODOWSKI R$ 222.182,75 R$ 10.803,91 253.109,20R$ -R$ 12.307,75R$
SP BROTAS R$ 108.039,06 R$ 10.803,91 123.077,42R$ -R$ 12.307,75R$
SP BURI R$ 108.039,06 R$ 16.277,61 123.077,42R$ -R$ 18.543,35R$
SP BURITAMA R$ 108.039,06 R$ 10.803,91 123.077,42R$ -R$ 12.307,75R$
SP BURITIZAL R$ 108.039,06 R$ 10.803,91 123.077,42R$ -R$ 12.307,75R$
SP CABRÁLIA PAULISTA R$ 108.039,06 R$ 10.803,91 123.077,42R$ -R$ 12.307,75R$
SP CABREÚVA R$ 306.556,85 R$ 26.978,72 349.227,65R$ -R$ 30.733,99R$
SP CAÇAPAVA R$ 372.288,27 R$ 27.894,03 424.108,47R$ -R$ 31.776,70R$
SP CACHOEIRA PAULISTA R$ 204.042,01 R$ 17.921,33 232.443,38R$ -R$ 20.415,87R$
SP CACONDE R$ 139.593,49 R$ 16.162,41 159.024,03R$ -R$ 18.412,12R$
SP CAFELÂNDIA R$ 176.474,84 R$ 10.803,91 201.039,03R$ -R$ 12.307,75R$
74
Tribunal Superior Eleitoral
PREFEITO
1º TURNO 1º TURNO 2º TURNO
UF
POSSIBILIDADE
DE SEGUNDO
TURNO
VEREADORVEREADOR
LIMITE DE GASTOS OBSERVADO
O MÍNIMO LEGAL (R$ 100,000,00
PARA PREFEITO E R$ 10.000,00
PARA VEREADOR ) EM 2016***
LIMITE DE GASTOS 2020 (ATUALIZADO PELO IPCA DE
JUNHO/2016 ATÉ JUNHO/2020*)
PREFEITO
MUNICÍPIO**
SP CAIABU R$ 108.039,06 R$ 10.803,91 123.077,42R$ -R$ 12.307,75R$
SP CAIEIRAS R$ 333.989,36 R$ 164.440,62 380.478,59R$ -R$ 187.329,73R$
SP CAIUÁ R$ 108.039,06 R$ 10.803,91 123.077,42R$ -R$ 12.307,75R$
SP CAJAMAR R$ 538.907,12 R$ 62.940,76 613.919,62R$ -R$ 71.701,72R$
SP CAJATI R$ 184.658,08 R$ 49.817,55 210.361,33R$ -R$ 56.751,84R$
SP CAJOBI R$ 108.039,06 R$ 10.803,91 123.077,42R$ -R$ 12.307,75R$
SP CAJURU R$ 108.039,06 R$ 10.803,91 123.077,42R$ -R$ 12.307,75R$
SP CAMPINA DO MONTE ALEGRE R$ 108.039,06 R$ 10.803,91 123.077,42R$ -R$ 12.307,75R$
SP CAMPINAS SIM R$ 4.456.105,13 R$ 274.165,46 5.076.367,11R$ 2.030.546,84R$ 312.327,58R$
SP CAMPO LIMPO PAULISTA R$ 494.210,70 R$ 46.127,63 563.001,74R$ -R$ 52.548,31R$
SP CAMPOS DO JORDÃO R$ 200.699,88 R$ 23.960,92 228.636,05R$ -R$ 27.296,13R$
SP CAMPOS NOVOS PAULISTA R$ 108.039,06 R$ 10.803,91 123.077,42R$ -R$ 12.307,75R$
SP CANANÉIA R$ 261.276,40 R$ 19.264,21 297.644,44R$ -R$ 21.945,67R$
SP CANAS R$ 108.039,06 R$ 10.803,91 123.077,42R$ -R$ 12.307,75R$
SP CÂNDIDO MOTA R$ 108.039,06 R$ 14.011,56 123.077,42R$ -R$ 15.961,88R$
SP CÂNDIDO RODRIGUES R$ 108.039,06 R$ 10.803,91 123.077,42R$ -R$ 12.307,75R$
SP CANITAR R$ 108.039,06 R$ 10.803,91 123.077,42R$ -R$ 12.307,75R$
SP CAPÃO BONITO R$ 165.481,56 R$ 14.770,58 188.515,56R$ -R$ 16.826,55R$
SP CAPELA DO ALTO R$ 108.039,06 R$ 10.803,91 123.077,42R$ -R$ 12.307,75R$
SP CAPIVARI R$ 365.289,90 R$ 32.398,06 416.135,97R$ -R$ 36.907,67R$
SP CARAGUATATUBA R$ 570.909,33 R$ 92.650,90 650.376,34R$ -R$ 105.547,33R$
SP CARAPICUÍBA SIM R$ 1.245.894,09 R$ 130.464,37 1.419.314,76R$ 567.725,90R$ 148.624,19R$
SP CARDOSO R$ 108.039,06 R$ 10.803,91 123.077,42R$ -R$ 12.307,75R$
SP CASA BRANCA R$ 108.039,06 R$ 10.803,91 123.077,42R$ -R$ 12.307,75R$
SP CÁSSIA DOS COQUEIROS R$ 108.039,06 R$ 10.803,91 123.077,42R$ -R$ 12.307,75R$
SP CASTILHO R$ 108.039,06 R$ 19.912,63 123.077,42R$ -R$ 22.684,34R$
SP CATANDUVA R$ 1.065.336,57 R$ 30.001,70 1.213.624,76R$ -R$ 34.177,75R$
SP CATIGUÁ R$ 108.039,06 R$ 10.803,91 123.077,42R$ -R$ 12.307,75R$
SP CEDRAL R$ 108.039,06 R$ 15.233,71 123.077,42R$ -R$ 17.354,15R$
SP CERQUEIRA CÉSAR R$ 108.039,06 R$ 16.500,51 123.077,42R$ -R$ 18.797,28R$
SP CERQUILHO R$ 108.039,06 R$ 20.359,02 123.077,42R$ -R$ 23.192,87R$
SP CESÁRIO LANGE R$ 108.039,06 R$ 10.803,91 123.077,42R$ -R$ 12.307,75R$
SP CHARQUEADA R$ 108.039,06 R$ 10.803,91 123.077,42R$ -R$ 12.307,75R$
SP CHAVANTES R$ 108.039,06 R$ 10.803,91 123.077,42R$ -R$ 12.307,75R$
SP CLEMENTINA R$ 108.039,06 R$ 10.803,91 123.077,42R$ -R$ 12.307,75R$
SP COLINA R$ 108.039,06 R$ 10.803,91 123.077,42R$ -R$ 12.307,75R$
SP COLÔMBIA R$ 108.039,06 R$ 15.956,78 123.077,42R$ -R$ 18.177,86R$
SP CONCHAL R$ 188.500,83 R$ 10.803,91 214.738,97R$ -R$ 12.307,75R$
SP CONCHAS R$ 108.039,06 R$ 10.803,91 123.077,42R$ -R$ 12.307,75R$
SP CORDEIRÓPOLIS R$ 108.039,06 R$ 15.036,97 123.077,42R$ -R$ 17.130,02R$
SP COROADOS R$ 108.039,06 R$ 10.803,91 123.077,42R$ -R$ 12.307,75R$
SP CORONEL MACEDO R$ 108.039,06 R$ 10.803,91 123.077,42R$ -R$ 12.307,75R$
SP CORUMBATAÍ R$ 108.039,06 R$ 10.803,91 123.077,42R$ -R$ 12.307,75R$
SP COSMÓPOLIS R$ 108.039,06 R$ 36.008,69 123.077,42R$ -R$ 41.020,87R$
SP COSMORAMA R$ 108.039,06 R$ 10.803,91 123.077,42R$ -R$ 12.307,75R$
SP COTIA R$ 856.124,79 R$ 322.774,65 975.292,01R$ -R$ 367.702,86R$
SP CRAVINHOS R$ 152.422,96 R$ 39.002,85 173.639,28R$ -R$ 44.431,80R$
SP CRISTAIS PAULISTA R$ 108.039,06 R$ 10.803,91 123.077,42R$ -R$ 12.307,75R$
SP CRUZÁLIA R$ 108.039,06 R$ 10.803,91 123.077,42R$ -R$ 12.307,75R$
SP CRUZEIRO R$ 323.763,72 R$ 18.377,10 368.829,61R$ -R$ 20.935,08R$
SP CUBATÃO R$ 595.314,82 R$ 61.238,80 678.178,92R$ -R$ 69.762,86R$
SP CUNHA R$ 108.039,06 R$ 10.803,91 123.077,42R$ -R$ 12.307,75R$
SP DESCALVADO R$ 108.039,06 R$ 10.803,91 123.077,42R$ -R$ 12.307,75R$
SP DIADEMA SIM R$ 2.031.867,26 R$ 165.499,23 2.314.690,48R$ 925.876,19R$ 188.535,69R$
SP DIRCE REIS R$ 108.039,06 R$ 10.803,91 123.077,42R$ -R$ 12.307,75R$
SP DIVINOLÂNDIA R$ 108.039,06 R$ 10.803,91 123.077,42R$ -R$ 12.307,75R$
SP DOBRADA R$ 108.039,06 R$ 10.803,91 123.077,42R$ -R$ 12.307,75R$
SP DOIS CÓRREGOS R$ 108.039,06 R$ 10.803,91 123.077,42R$ -R$ 12.307,75R$
SP DOLCINÓPOLIS R$ 108.039,06 R$ 10.803,91 123.077,42R$ -R$ 12.307,75R$
SP DOURADO R$ 108.039,06 R$ 10.803,91 123.077,42R$ -R$ 12.307,75R$
SP DRACENA R$ 266.837,15 R$ 10.803,91 303.979,21R$ -R$ 12.307,75R$
SP DUARTINA R$ 108.039,06 R$ 10.803,91 123.077,42R$ -R$ 12.307,75R$
SP DUMONT R$ 108.039,06 R$ 10.803,91 123.077,42R$ -R$ 12.307,75R$
SP ECHAPORÃ R$ 108.039,06 R$ 10.803,91 123.077,42R$ -R$ 12.307,75R$
SP ELDORADO R$ 148.398,73 R$ 21.397,96 169.054,91R$ -R$ 24.376,42R$
SP ELIAS FAUSTO R$ 108.039,06 R$ 10.803,91 123.077,42R$ -R$ 12.307,75R$
75
Tribunal Superior Eleitoral
PREFEITO
1º TURNO 1º TURNO 2º TURNO
UF
POSSIBILIDADE
DE SEGUNDO
TURNO
VEREADORVEREADOR
LIMITE DE GASTOS OBSERVADO
O MÍNIMO LEGAL (R$ 100,000,00
PARA PREFEITO E R$ 10.000,00
PARA VEREADOR ) EM 2016***
LIMITE DE GASTOS 2020 (ATUALIZADO PELO IPCA DE
JUNHO/2016 ATÉ JUNHO/2020*)
PREFEITO
MUNICÍPIO**
SP ELISIÁRIO R$ 108.039,06 R$ 10.803,91 123.077,42R$ -R$ 12.307,75R$
SP EMBAÚBA R$ 108.039,06 R$ 10.803,91 123.077,42R$ -R$ 12.307,75R$
SP EMBU DAS ARTES R$ 1.369.243,76 R$ 298.154,12 1.559.833,93R$ -R$ 339.655,31R$
SP EMBU-GUAÇU R$ 297.407,80 R$ 31.619,82 338.805,11R$ -R$ 36.021,10R$
SP EMILIANÓPOLIS R$ 108.039,06 R$ 10.803,91 123.077,42R$ -R$ 12.307,75R$
SP ENGENHEIRO COELHO R$ 108.039,06 R$ 10.803,91 123.077,42R$ -R$ 12.307,75R$
SP ESPÍRITO SANTO DO PINHAL R$ 166.369,50 R$ 10.803,91 189.527,09R$ -R$ 12.307,75R$
SP ESPÍRITO SANTO DO TURVO R$ 108.039,06 R$ 10.803,91 123.077,42R$ -R$ 12.307,75R$
SP ESTIVA GERBI R$ 108.039,06 R$ 10.803,91 123.077,42R$ -R$ 12.307,75R$
SP ESTRELA DO NORTE R$ 108.039,06 R$ 10.803,91 123.077,42R$ -R$ 12.307,75R$
SP ESTRELA D'OESTE R$ 108.039,06 R$ 10.803,91 123.077,42R$ -R$ 12.307,75R$
SP EUCLIDES DA CUNHA PAULISTA R$ 108.039,06 R$ 10.803,91 123.077,42R$ -R$ 12.307,75R$
SP FARTURA R$ 108.039,06 R$ 10.803,91 123.077,42R$ -R$ 12.307,75R$
SP FERNANDO PRESTES R$ 108.039,06 R$ 10.803,91 123.077,42R$ -R$ 12.307,75R$
SP FERNANDÓPOLIS R$ 746.110,47 R$ 27.739,31 849.964,38R$ -R$ 31.600,45R$
SP FERNÃO R$ 108.039,06 R$ 10.803,91 123.077,42R$ -R$ 12.307,75R$
SP FERRAZ DE VASCONCELOS R$ 308.801,53 R$ 60.688,48 351.784,77R$ -R$ 69.135,94R$
SP FLORA RICA R$ 108.039,06 R$ 10.803,91 123.077,42R$ -R$ 12.307,75R$
SP FLOREAL R$ 108.039,06 R$ 10.803,91 123.077,42R$ -R$ 12.307,75R$
SP FLÓRIDA PAULISTA R$ 108.039,06 R$ 53.879,82 123.077,42R$ -R$ 61.379,55R$
SP FLORÍNEA R$ 108.039,06 R$ 10.803,91 123.077,42R$ -R$ 12.307,75R$
SP FRANCA SIM R$ 363.371,25 R$ 58.784,55 413.950,26R$ 165.580,10R$ 66.966,99R$
SP FRANCISCO MORATO R$ 188.018,13 R$ 42.146,88 214.189,08R$ -R$ 48.013,46R$
SP FRANCO DA ROCHA R$ 870.961,87 R$ 118.583,51 992.194,32R$ -R$ 135.089,59R$
SP GABRIEL MONTEIRO R$ 108.039,06 R$ 10.803,91 123.077,42R$ -R$ 12.307,75R$
SP GÁLIA R$ 108.039,06 R$ 10.803,91 123.077,42R$ -R$ 12.307,75R$
SP GARÇA R$ 108.039,06 R$ 27.791,08 123.077,42R$ -R$ 31.659,42R$
SP GASTÃO VIDIGAL R$ 108.039,06 R$ 10.803,91 123.077,42R$ -R$ 12.307,75R$
SP GAVIÃO PEIXOTO R$ 108.039,06 R$ 10.803,91 123.077,42R$ -R$ 12.307,75R$
SP GENERAL SALGADO R$ 108.039,06 R$ 10.803,91 123.077,42R$ -R$ 12.307,75R$
SP GETULINA R$ 108.039,06 R$ 10.803,91 123.077,42R$ -R$ 12.307,75R$
SP GLICÉRIO R$ 108.039,06 R$ 10.803,91 123.077,42R$ -R$ 12.307,75R$
SP GUAIÇARA R$ 108.039,06 R$ 10.803,91 123.077,42R$ -R$ 12.307,75R$
SP GUAIMBÊ R$ 108.039,06 R$ 10.803,91 123.077,42R$ -R$ 12.307,75R$
SP GUAÍRA R$ 177.476,96 R$ 91.372,93 202.180,64R$ -R$ 104.091,47R$
SP GUAPIAÇU R$ 225.105,42 R$ 10.803,91 256.438,69R$ -R$ 12.307,75R$
SP GUAPIARA R$ 108.039,06 R$ 10.803,91 123.077,42R$ -R$ 12.307,75R$
SP GUARÁ R$ 108.039,06 R$ 21.743,02 123.077,42R$ -R$ 24.769,51R$
SP GUARAÇAÍ R$ 108.039,06 R$ 10.803,91 123.077,42R$ -R$ 12.307,75R$
SP GUARACI R$ 108.039,06 R$ 10.803,91 123.077,42R$ -R$ 12.307,75R$
SP GUARANI D'OESTE R$ 108.039,06 R$ 10.803,91 123.077,42R$ -R$ 12.307,75R$
SP GUARANTÃ R$ 108.039,06 R$ 10.803,91 123.077,42R$ -R$ 12.307,75R$
SP GUARARAPES R$ 198.229,07 R$ 14.368,43 225.821,32R$ -R$ 16.368,43R$
SP GUARAREMA R$ 178.484,15 R$ 13.629,28 203.328,03R$ -R$ 15.526,39R$
SP GUARATINGUETÁ R$ 471.850,40 R$ 27.521,56 537.529,03R$ -R$ 31.352,39R$
SP GUAREÍ R$ 108.039,06 R$ 10.803,91 123.077,42R$ -R$ 12.307,75R$
SP GUARIBA R$ 108.039,06 R$ 17.275,44 123.077,42R$ -R$ 19.680,07R$
SP GUARUJÁ SIM R$ 1.300.950,50 R$ 189.852,07 1.482.034,68R$ 592.813,87R$ 216.278,29R$
SP GUARULHOS SIM R$ 4.631.021,13 R$ 615.912,82 5.275.630,32R$ 2.110.252,13R$ 701.644,03R$
SP GUATAPARÁ R$ 108.039,06 R$ 10.803,91 123.077,42R$ -R$ 12.307,75R$
SP GUZOLÂNDIA R$ 108.039,06 R$ 10.803,91 123.077,42R$ -R$ 12.307,75R$
SP HERCULÂNDIA R$ 108.039,06 R$ 10.803,91 123.077,42R$ -R$ 12.307,75R$
SP HOLAMBRA R$ 247.207,14 R$ 10.803,91 281.616,83R$ -R$ 12.307,75R$
SP HORTOLÂNDIA R$ 681.473,96 R$ 103.305,90 776.330,88R$ -R$ 117.685,44R$
SP IACANGA R$ 108.039,06 R$ 10.803,91 123.077,42R$ -R$ 12.307,75R$
SP IACRI R$ 108.039,06 R$ 10.803,91 123.077,42R$ -R$ 12.307,75R$
SP IARAS R$ 108.039,06 R$ 10.803,91 123.077,42R$ -R$ 12.307,75R$
SP IBATÉ R$ 391.499,52 R$ 10.803,91 445.993,81R$ -R$ 12.307,75R$
SP IBIRÁ R$ 108.039,06 R$ 46.082,38 123.077,42R$ -R$ 52.496,76R$
SP IBIRAREMA R$ 108.039,06 R$ 10.803,91 123.077,42R$ -R$ 12.307,75R$
SP IBITINGA R$ 108.039,06 R$ 26.781,82 123.077,42R$ -R$ 30.509,68R$
SP IBIÚNA R$ 108.039,06 R$ 25.708,16 123.077,42R$ -R$ 29.286,58R$
SP ICÉM R$ 108.039,06 R$ 10.803,91 123.077,42R$ -R$ 12.307,75R$
SP IEPÊ R$ 108.039,06 R$ 10.803,91 123.077,42R$ -R$ 12.307,75R$
SP IGARAÇU DO TIETÊ R$ 108.039,06 R$ 10.803,91 123.077,42R$ -R$ 12.307,75R$
SP IGARAPAVA R$ 296.200,00 R$ 38.395,15 337.429,19R$ -R$ 43.739,51R$
76
Tribunal Superior Eleitoral
PREFEITO
1º TURNO 1º TURNO 2º TURNO
UF
POSSIBILIDADE
DE SEGUNDO
TURNO
VEREADORVEREADOR
LIMITE DE GASTOS OBSERVADO
O MÍNIMO LEGAL (R$ 100,000,00
PARA PREFEITO E R$ 10.000,00
PARA VEREADOR ) EM 2016***
LIMITE DE GASTOS 2020 (ATUALIZADO PELO IPCA DE
JUNHO/2016 ATÉ JUNHO/2020*)
PREFEITO
MUNICÍPIO**
SP IGARATÁ R$ 108.039,06 R$ 10.803,91 123.077,42R$ -R$ 12.307,75R$
SP IGUAPE R$ 493.274,56 R$ 41.357,17 561.935,30R$ -R$ 47.113,83R$
SP ILHA COMPRIDA R$ 359.353,51 R$ 25.274,21 409.373,27R$ -R$ 28.792,22R$
SP ILHA SOLTEIRA R$ 214.737,92 R$ 19.326,63 244.628,10R$ -R$ 22.016,78R$
SP ILHABELA R$ 272.924,74 R$ 10.803,91 310.914,16R$ -R$ 12.307,75R$
SP INDAIATUBA R$ 570.817,76 R$ 87.803,83 650.272,02R$ -R$ 100.025,57R$
SP INDIANA R$ 108.039,06 R$ 10.803,91 123.077,42R$ -R$ 12.307,75R$
SP INDIAPORÃ R$ 108.039,06 R$ 10.803,91 123.077,42R$ -R$ 12.307,75R$
SP INÚBIA PAULISTA R$ 108.039,06 R$ 10.803,91 123.077,42R$ -R$ 12.307,75R$
SP IPAUSSU R$ 108.039,06 R$ 10.803,91 123.077,42R$ -R$ 12.307,75R$
SP IPERÓ R$ 136.844,39 R$ 10.803,91 155.892,27R$ -R$ 12.307,75R$
SP IPEÚNA R$ 108.039,06 R$ 10.803,91 123.077,42R$ -R$ 12.307,75R$
SP IPIGUÁ R$ 108.039,06 R$ 10.803,91 123.077,42R$ -R$ 12.307,75R$
SP IPORANGA R$ 108.039,06 R$ 10.803,91 123.077,42R$ -R$ 12.307,75R$
SP IPUÃ R$ 159.817,62 R$ 10.803,91 182.063,23R$ -R$ 12.307,75R$
SP IRACEMÁPOLIS R$ 108.039,06 R$ 10.803,91 123.077,42R$ -R$ 12.307,75R$
SP IRAPUÃ R$ 108.039,06 R$ 10.803,91 123.077,42R$ -R$ 12.307,75R$
SP IRAPURU R$ 108.039,06 R$ 10.803,91 123.077,42R$ -R$ 12.307,75R$
SP ITABERÁ R$ 108.039,06 R$ 10.803,91 123.077,42R$ -R$ 12.307,75R$
SP ITAÍ R$ 108.039,06 R$ 10.803,91 123.077,42R$ -R$ 12.307,75R$
SP ITAJOBI R$ 108.039,06 R$ 10.803,91 123.077,42R$ -R$ 12.307,75R$
SP ITAJU R$ 108.039,06 R$ 10.803,91 123.077,42R$ -R$ 12.307,75R$
SP ITANHAÉM R$ 241.795,91 R$ 83.872,44 275.452,39R$ -R$ 95.546,96R$
SP ITAOCA R$ 108.039,06 R$ 10.803,91 123.077,42R$ -R$ 12.307,75R$
SP ITAPECERICA DA SERRA R$ 476.084,47 R$ 70.111,34 542.352,45R$ -R$ 79.870,40R$
SP ITAPETININGA R$ 196.092,19 R$ 40.239,49 223.387,00R$ -R$ 45.840,58R$
SP ITAPEVA R$ 549.911,14 R$ 75.984,46 626.455,33R$ -R$ 86.561,02R$
SP ITAPEVI R$ 1.363.017,29 R$ 94.319,32 1.552.740,78R$ -R$ 107.447,98R$
SP ITAPIRA R$ 425.853,13 R$ 23.192,29 485.129,22R$ -R$ 26.420,51R$
SP ITAPIRAPUÃ PAULISTA R$ 108.039,06 R$ 10.803,91 123.077,42R$ -R$ 12.307,75R$
SP ITÁPOLIS R$ 140.514,47 R$ 48.710,44 160.073,21R$ -R$ 55.490,63R$
SP ITAPORANGA R$ 108.039,06 R$ 10.803,91 123.077,42R$ -R$ 12.307,75R$
SP ITAPUÍ R$ 108.039,06 R$ 10.803,91 123.077,42R$ -R$ 12.307,75R$
SP ITAPURA R$ 108.039,06 R$ 10.803,91 123.077,42R$ -R$ 12.307,75R$
SP ITAQUAQUECETUBA SIM R$ 1.391.280,96 R$ 80.909,54 1.584.938,57R$ 633.975,43R$ 92.171,64R$
SP ITARARÉ R$ 445.720,57 R$ 19.456,91 507.762,09R$ -R$ 22.165,19R$
SP ITARIRI R$ 108.039,06 R$ 10.803,91 123.077,42R$ -R$ 12.307,75R$
SP ITATIBA R$ 381.662,03 R$ 36.895,50 434.787,00R$ -R$ 42.031,12R$
SP ITATINGA R$ 108.039,06 R$ 33.457,89 123.077,42R$ -R$ 38.115,02R$
SP ITIRAPINA R$ 108.039,06 R$ 10.803,91 123.077,42R$ -R$ 12.307,75R$
SP ITIRAPUÃ R$ 108.039,06 R$ 10.803,91 123.077,42R$ -R$ 12.307,75R$
SP ITOBI R$ 108.039,06 R$ 10.803,91 123.077,42R$ -R$ 12.307,75R$
SP ITU R$ 487.402,71 R$ 62.208,67 555.246,12R$ -R$ 70.867,73R$
SP ITUPEVA R$ 484.407,74 R$ 64.746,06 551.834,27R$ -R$ 73.758,31R$
SP ITUVERAVA R$ 326.269,70 R$ 45.524,30 371.684,40R$ -R$ 51.861,00R$
SP JABORANDI R$ 108.039,06 R$ 10.803,91 123.077,42R$ -R$ 12.307,75R$
SP JABOTICABAL R$ 388.032,91 R$ 59.317,97 442.044,67R$ -R$ 67.574,66R$
SP JACAREÍ R$ 605.430,11 R$ 109.819,25 689.702,20R$ -R$ 125.105,40R$
SP JACI R$ 108.039,06 R$ 10.803,91 123.077,42R$ -R$ 12.307,75R$
SP JACUPIRANGA R$ 108.039,06 R$ 10.803,91 123.077,42R$ -R$ 12.307,75R$
SP JAGUARIÚNA R$ 732.093,29 R$ 44.687,33 833.996,10R$ -R$ 50.907,53R$
SP JALES R$ 176.257,01 R$ 20.078,90 200.790,88R$ -R$ 22.873,76R$
SP JAMBEIRO R$ 108.039,06 R$ 10.803,91 123.077,42R$ -R$ 12.307,75R$
SP JANDIRA R$ 268.454,04 R$ 57.883,82 305.821,16R$ -R$ 65.940,89R$
SP JARDINÓPOLIS R$ 134.293,50 R$ 19.170,26 152.986,32R$ -R$ 21.838,64R$
SP JARINU R$ 108.039,06 R$ 10.803,91 123.077,42R$ -R$ 12.307,75R$
SP JAÚ R$ 688.953,68 R$ 61.020,54 784.851,73R$ -R$ 69.514,22R$
SP JERIQUARA R$ 108.039,06 R$ 10.803,91 123.077,42R$ -R$ 12.307,75R$
SP JOANÓPOLIS R$ 108.039,06 R$ 10.803,91 123.077,42R$ -R$ 12.307,75R$
SP JOÃO RAMALHO R$ 108.039,06 R$ 10.803,91 123.077,42R$ -R$ 12.307,75R$
SP JOSÉ BONIFÁCIO R$ 195.790,63 R$ 10.803,91 223.043,46R$ -R$ 12.307,75R$
SP JÚLIO MESQUITA R$ 108.039,06 R$ 10.803,91 123.077,42R$ -R$ 12.307,75R$
SP JUMIRIM R$ 108.039,06 R$ 10.803,91 123.077,42R$ -R$ 12.307,75R$
SP JUNDIAÍ SIM R$ 2.511.431,48 R$ 203.980,54 2.861.007,04R$ 1.144.402,82R$ 232.373,36R$
SP JUNQUEIRÓPOLIS R$ 108.039,06 R$ 10.803,91 123.077,42R$ -R$ 12.307,75R$
SP JUQUIÁ R$ 108.039,06 R$ 10.803,91 123.077,42R$ -R$ 12.307,75R$
77
Tribunal Superior Eleitoral
PREFEITO
1º TURNO 1º TURNO 2º TURNO
UF
POSSIBILIDADE
DE SEGUNDO
TURNO
VEREADORVEREADOR
LIMITE DE GASTOS OBSERVADO
O MÍNIMO LEGAL (R$ 100,000,00
PARA PREFEITO E R$ 10.000,00
PARA VEREADOR ) EM 2016***
LIMITE DE GASTOS 2020 (ATUALIZADO PELO IPCA DE
JUNHO/2016 ATÉ JUNHO/2020*)
PREFEITO
MUNICÍPIO**
SP JUQUITIBA R$ 749.062,93 R$ 16.462,85 853.327,81R$ -R$ 18.754,38R$
SP LAGOINHA R$ 108.039,06 R$ 10.803,91 123.077,42R$ -R$ 12.307,75R$
SP LARANJAL PAULISTA R$ 108.039,06 R$ 46.749,87 123.077,42R$ -R$ 53.257,16R$
SP LAVÍNIA R$ 108.039,06 R$ 10.803,91 123.077,42R$ -R$ 12.307,75R$
SP LAVRINHAS R$ 108.039,06 R$ 10.803,91 123.077,42R$ -R$ 12.307,75R$
SP LEME R$ 427.901,01 R$ 43.547,76 487.462,16R$ -R$ 49.609,34R$
SP LENÇÓIS PAULISTA R$ 210.017,85 R$ 29.034,72 239.251,02R$ -R$ 33.076,17R$
SP LIMEIRA SIM R$ 760.586,66 R$ 110.151,30 866.455,57R$ 346.582,23R$ 125.483,67R$
SP LINDÓIA R$ 108.039,06 R$ 10.803,91 123.077,42R$ -R$ 12.307,75R$
SP LINS R$ 186.034,98 R$ 10.803,91 211.929,89R$ -R$ 12.307,75R$
SP LORENA R$ 404.650,41 R$ 37.157,27 460.975,22R$ -R$ 42.329,33R$
SP LOURDES R$ 108.039,06 R$ 10.803,91 123.077,42R$ -R$ 12.307,75R$
SP LOUVEIRA R$ 108.039,06 R$ 10.803,91 123.077,42R$ -R$ 12.307,75R$
SP LUCÉLIA R$ 108.039,06 R$ 10.803,91 123.077,42R$ -R$ 12.307,75R$
SP LUCIANÓPOLIS R$ 108.039,06 R$ 10.803,91 123.077,42R$ -R$ 12.307,75R$
SP LUÍS ANTÔNIO R$ 108.039,06 R$ 10.803,91 123.077,42R$ -R$ 12.307,75R$
SP LUIZIÂNIA R$ 108.039,06 R$ 10.803,91 123.077,42R$ -R$ 12.307,75R$
SP LUPÉRCIO R$ 108.039,06 R$ 10.803,91 123.077,42R$ -R$ 12.307,75R$
SP LUTÉCIA R$ 108.039,06 R$ 10.803,91 123.077,42R$ -R$ 12.307,75R$
SP MACATUBA R$ 108.039,06 R$ 10.803,91 123.077,42R$ -R$ 12.307,75R$
SP MACAUBAL R$ 108.039,06 R$ 10.803,91 123.077,42R$ -R$ 12.307,75R$
SP MACEDÔNIA R$ 108.039,06 R$ 10.803,91 123.077,42R$ -R$ 12.307,75R$
SP MAGDA R$ 108.039,06 R$ 10.803,91 123.077,42R$ -R$ 12.307,75R$
SP MAIRINQUE R$ 354.573,42 R$ 35.942,38 403.927,82R$ -R$ 40.945,33R$
SP MAIRIPORÃ R$ 272.456,64 R$ 54.190,69 310.380,90R$ -R$ 61.733,70R$
SP MANDURI R$ 108.039,06 R$ 10.803,91 123.077,42R$ -R$ 12.307,75R$
SP MARABÁ PAULISTA R$ 108.039,06 R$ 10.803,91 123.077,42R$ -R$ 12.307,75R$
SP MARACAÍ R$ 108.039,06 R$ 10.803,91 123.077,42R$ -R$ 12.307,75R$
SP MARAPOAMA R$ 108.039,06 R$ 10.803,91 123.077,42R$ -R$ 12.307,75R$
SP MARIÁPOLIS R$ 108.039,06 R$ 32.027,11 123.077,42R$ -R$ 36.485,08R$
SP MARÍLIA R$ 2.244.769,17 R$ 186.607,32 2.557.227,01R$ -R$ 212.581,89R$
SP MARINÓPOLIS R$ 108.039,06 R$ 10.803,91 123.077,42R$ -R$ 12.307,75R$
SP MARTINÓPOLIS R$ 149.500,81 R$ 23.599,58 170.310,39R$ -R$ 26.884,49R$
SP MATÃO R$ 157.979,65 R$ 45.417,58 179.969,43R$ -R$ 51.739,42R$
SP MAUÁ SIM R$ 1.613.910,81 R$ 184.672,84 1.838.557,11R$ 735.422,84R$ 210.378,14R$
SP MENDONÇA R$ 108.039,06 R$ 10.803,91 123.077,42R$ -R$ 12.307,75R$
SP MERIDIANO R$ 108.039,06 R$ 10.803,91 123.077,42R$ -R$ 12.307,75R$
SP MESÓPOLIS R$ 108.039,06 R$ 10.803,91 123.077,42R$ -R$ 12.307,75R$
SP MIGUELÓPOLIS R$ 142.339,73 R$ 16.344,08 162.152,53R$ -R$ 18.619,07R$
SP MINEIROS DO TIETÊ R$ 108.039,06 R$ 10.803,91 123.077,42R$ -R$ 12.307,75R$
SP MIRA ESTRELA R$ 108.039,06 R$ 10.803,91 123.077,42R$ -R$ 12.307,75R$
SP MIRACATU R$ 205.478,29 R$ 27.155,51 234.079,58R$ -R$ 30.935,39R$
SP MIRANDÓPOLIS R$ 108.039,06 R$ 23.608,44 123.077,42R$ -R$ 26.894,59R$
SP MIRANTE DO PARANAPANEMA R$ 140.438,45 R$ 10.803,91 159.986,60R$ -R$ 12.307,75R$
SP MIRASSOL R$ 108.039,06 R$ 34.427,08 123.077,42R$ -R$ 39.219,11R$
SP MIRASSOLÂNDIA R$ 108.039,06 R$ 10.803,91 123.077,42R$ -R$ 12.307,75R$
SP MOCOCA R$ 108.039,06 R$ 34.756,52 123.077,42R$ -R$ 39.594,41R$
SP MOGI DAS CRUZES SIM R$ 1.523.955,65 R$ 213.393,58 1.736.080,75R$ 694.432,30R$ 243.096,63R$
SP MOGI GUAÇU R$ 473.506,63 R$ 36.933,94 539.415,79R$ -R$ 42.074,91R$
SP MOGI MIRIM R$ 304.345,82 R$ 26.923,65 346.708,86R$ -R$ 30.671,25R$
SP MOMBUCA R$ 108.039,06 R$ 10.803,91 123.077,42R$ -R$ 12.307,75R$
SP MONÇÕES R$ 108.039,06 R$ 10.803,91 123.077,42R$ -R$ 12.307,75R$
SP MONGAGUÁ R$ 190.105,58 R$ 34.731,67 216.567,09R$ -R$ 39.566,10R$
SP MONTE ALEGRE DO SUL R$ 108.039,06 R$ 10.803,91 123.077,42R$ -R$ 12.307,75R$
SP MONTE ALTO R$ 108.039,06 R$ 27.627,65 123.077,42R$ -R$ 31.473,25R$
SP MONTE APRAZÍVEL R$ 108.039,06 R$ 10.803,91 123.077,42R$ -R$ 12.307,75R$
SP MONTE AZUL PAULISTA R$ 179.824,86 R$ 29.106,30 204.855,36R$ -R$ 33.157,72R$
SP MONTE CASTELO R$ 108.039,06 R$ 10.803,91 123.077,42R$ -R$ 12.307,75R$
SP MONTE MOR R$ 108.039,06 R$ 10.803,91 123.077,42R$ -R$ 12.307,75R$
SP MONTEIRO LOBATO R$ 108.039,06 R$ 10.803,91 123.077,42R$ -R$ 12.307,75R$
SP MORRO AGUDO R$ 440.438,41 R$ 16.401,16 501.744,68R$ -R$ 18.684,10R$
SP MORUNGABA R$ 108.039,06 R$ 10.803,91 123.077,42R$ -R$ 12.307,75R$
SP MOTUCA R$ 108.039,06 R$ 10.803,91 123.077,42R$ -R$ 12.307,75R$
SP MURUTINGA DO SUL R$ 108.039,06 R$ 10.803,91 123.077,42R$ -R$ 12.307,75R$
SP NANTES R$ 108.039,06 R$ 10.803,91 123.077,42R$ -R$ 12.307,75R$
SP NARANDIBA R$ 108.039,06 R$ 10.803,91 123.077,42R$ -R$ 12.307,75R$
78
Tribunal Superior Eleitoral
PREFEITO
1º TURNO 1º TURNO 2º TURNO
UF
POSSIBILIDADE
DE SEGUNDO
TURNO
VEREADORVEREADOR
LIMITE DE GASTOS OBSERVADO
O MÍNIMO LEGAL (R$ 100,000,00
PARA PREFEITO E R$ 10.000,00
PARA VEREADOR ) EM 2016***
LIMITE DE GASTOS 2020 (ATUALIZADO PELO IPCA DE
JUNHO/2016 ATÉ JUNHO/2020*)
PREFEITO
MUNICÍPIO**
SP NATIVIDADE DA SERRA R$ 108.039,06 R$ 10.803,91 123.077,42R$ -R$ 12.307,75R$
SP NAZARÉ PAULISTA R$ 108.039,06 R$ 20.638,86 123.077,42R$ -R$ 23.511,66R$
SP NEVES PAULISTA R$ 108.039,06 R$ 10.803,91 123.077,42R$ -R$ 12.307,75R$
SP NHANDEARA R$ 108.039,06 R$ 16.274,13 123.077,42R$ -R$ 18.539,39R$
SP NIPOÃ R$ 108.039,06 R$ 10.803,91 123.077,42R$ -R$ 12.307,75R$
SP NOVA ALIANÇA R$ 108.039,06 R$ 10.803,91 123.077,42R$ -R$ 12.307,75R$
SP NOVA CAMPINA R$ 108.039,06 R$ 10.803,91 123.077,42R$ -R$ 12.307,75R$
SP NOVA CANAÃ PAULISTA R$ 108.039,06 R$ 10.803,91 123.077,42R$ -R$ 12.307,75R$
SP NOVA CASTILHO R$ 108.039,06 R$ 10.803,91 123.077,42R$ -R$ 12.307,75R$
SP NOVA EUROPA R$ 108.039,06 R$ 10.803,91 123.077,42R$ -R$ 12.307,75R$
SP NOVA GRANADA R$ 144.700,99 R$ 10.803,91 164.842,46R$ -R$ 12.307,75R$
SP NOVA GUATAPORANGA R$ 108.039,06 R$ 10.803,91 123.077,42R$ -R$ 12.307,75R$
SP NOVA INDEPENDÊNCIA R$ 108.039,06 R$ 10.803,91 123.077,42R$ -R$ 12.307,75R$
SP NOVA LUZITÂNIA R$ 108.039,06 R$ 10.803,91 123.077,42R$ -R$ 12.307,75R$
SP NOVA ODESSA R$ 228.885,59 R$ 28.463,16 260.745,03R$ -R$ 32.425,05R$
SP NOVAIS R$ 108.039,06 R$ 10.803,91 123.077,42R$ -R$ 12.307,75R$
SP NOVO HORIZONTE R$ 146.244,40 R$ 14.443,36 166.600,71R$ -R$ 16.453,79R$
SP NUPORANGA R$ 108.039,06 R$ 10.803,91 123.077,42R$ -R$ 12.307,75R$
SP OCAUÇU R$ 108.039,06 R$ 10.803,91 123.077,42R$ -R$ 12.307,75R$
SP ÓLEO R$ 108.039,06 R$ 10.803,91 123.077,42R$ -R$ 12.307,75R$
SP OLÍMPIA R$ 167.488,60 R$ 21.217,21 190.801,97R$ -R$ 24.170,51R$
SP ONDA VERDE R$ 108.039,06 R$ 10.803,91 123.077,42R$ -R$ 12.307,75R$
SP ORIENTE R$ 108.039,06 R$ 10.803,91 123.077,42R$ -R$ 12.307,75R$
SP ORINDIÚVA R$ 108.039,06 R$ 10.803,91 123.077,42R$ -R$ 12.307,75R$
SP ORLÂNDIA R$ 174.941,69 R$ 20.925,09 199.292,48R$ -R$ 23.837,73R$
SP OSASCO SIM R$ 2.618.218,05 R$ 354.889,08 2.982.657,64R$ 1.193.063,05R$ 404.287,42R$
SP OSCAR BRESSANE R$ 108.039,06 R$ 10.803,91 123.077,42R$ -R$ 12.307,75R$
SP OSVALDO CRUZ R$ 108.039,06 R$ 10.803,91 123.077,42R$ -R$ 12.307,75R$
SP OURINHOS R$ 298.999,42 R$ 80.406,53 340.618,27R$ -R$ 91.598,62R$
SP OURO VERDE R$ 108.039,06 R$ 10.803,91 123.077,42R$ -R$ 12.307,75R$
SP OUROESTE R$ 153.648,43 R$ 10.803,91 175.035,33R$ -R$ 12.307,75R$
SP PACAEMBU R$ 108.039,06 R$ 10.803,91 123.077,42R$ -R$ 12.307,75R$
SP PALESTINA R$ 108.039,06 R$ 10.803,91 123.077,42R$ -R$ 12.307,75R$
SP PALMARES PAULISTA R$ 108.039,06 R$ 10.803,91 123.077,42R$ -R$ 12.307,75R$
SP PALMEIRA D'OESTE R$ 108.039,06 R$ 10.803,91 123.077,42R$ -R$ 12.307,75R$
SP PALMITAL R$ 108.039,06 R$ 17.193,04 123.077,42R$ -R$ 19.586,20R$
SP PANORAMA R$ 108.039,06 R$ 10.803,91 123.077,42R$ -R$ 12.307,75R$
SP PARAGUAÇU PAULISTA R$ 108.039,06 R$ 13.838,00 123.077,42R$ -R$ 15.764,16R$
SP PARAIBUNA R$ 108.039,06 R$ 20.543,35 123.077,42R$ -R$ 23.402,86R$
SP PARAÍSO R$ 108.039,06 R$ 10.803,91 123.077,42R$ -R$ 12.307,75R$
SP PARANAPANEMA R$ 108.039,06 R$ 10.803,91 123.077,42R$ -R$ 12.307,75R$
SP PARANAPUÃ R$ 108.039,06 R$ 10.803,91 123.077,42R$ -R$ 12.307,75R$
SP PARAPUÃ R$ 108.039,06 R$ 10.803,91 123.077,42R$ -R$ 12.307,75R$
SP PARDINHO R$ 108.039,06 R$ 13.961,54 123.077,42R$ -R$ 15.904,90R$
SP PARIQUERA-AÇU R$ 173.262,62 R$ 47.440,00 197.379,69R$ -R$ 54.043,35R$
SP PARISI R$ 108.039,06 R$ 10.803,91 123.077,42R$ -R$ 12.307,75R$
SP PATROCÍNIO PAULISTA R$ 108.039,06 R$ 10.803,91 123.077,42R$ -R$ 12.307,75R$
SP PAULICÉIA R$ 156.669,87 R$ 10.803,91 178.477,34R$ -R$ 12.307,75R$
SP PAULÍNIA R$ 2.954.619,98 R$ 73.817,62 3.365.884,61R$ -R$ 84.092,57R$
SP PAULISTÂNIA R$ 108.039,06 R$ 10.803,91 123.077,42R$ -R$ 12.307,75R$
SP PAULO DE FARIA R$ 108.039,06 R$ 10.803,91 123.077,42R$ -R$ 12.307,75R$
SP PEDERNEIRAS R$ 327.453,67 R$ 10.803,91 373.033,17R$ -R$ 12.307,75R$
SP PEDRA BELA R$ 108.039,06 R$ 10.803,91 123.077,42R$ -R$ 12.307,75R$
SP PEDRANÓPOLIS R$ 108.039,06 R$ 10.803,91 123.077,42R$ -R$ 12.307,75R$
SP PEDREGULHO R$ 108.039,06 R$ 10.803,91 123.077,42R$ -R$ 12.307,75R$
SP PEDREIRA R$ 108.039,06 R$ 26.114,21 123.077,42R$ -R$ 29.749,14R$
SP PEDRINHAS PAULISTA R$ 108.039,06 R$ 10.803,91 123.077,42R$ -R$ 12.307,75R$
SP PEDRO DE TOLEDO R$ 108.039,06 R$ 10.803,91 123.077,42R$ -R$ 12.307,75R$
SP PENÁPOLIS R$ 296.683,19 R$ 17.431,68 337.979,64R$ -R$ 19.858,06R$
SP PEREIRA BARRETO R$ 341.752,24 R$ 15.754,67 389.322,02R$ -R$ 17.947,62R$
SP PEREIRAS R$ 108.039,06 R$ 10.803,91 123.077,42R$ -R$ 12.307,75R$
SP PERUÍBE R$ 1.029.666,78 R$ 42.201,35 1.172.989,96R$ -R$ 48.075,51R$
SP PIACATU R$ 108.039,06 R$ 10.803,91 123.077,42R$ -R$ 12.307,75R$
SP PIEDADE R$ 108.039,06 R$ 17.022,91 123.077,42R$ -R$ 19.392,39R$
SP PILAR DO SUL R$ 210.449,96 R$ 10.803,91 239.743,28R$ -R$ 12.307,75R$
SP PINDAMONHANGABA R$ 322.187,65 R$ 81.367,92 367.034,16R$ -R$ 92.693,83R$
79
Tribunal Superior Eleitoral
PREFEITO
1º TURNO 1º TURNO 2º TURNO
UF
POSSIBILIDADE
DE SEGUNDO
TURNO
VEREADORVEREADOR
LIMITE DE GASTOS OBSERVADO
O MÍNIMO LEGAL (R$ 100,000,00
PARA PREFEITO E R$ 10.000,00
PARA VEREADOR ) EM 2016***
LIMITE DE GASTOS 2020 (ATUALIZADO PELO IPCA DE
JUNHO/2016 ATÉ JUNHO/2020*)
PREFEITO
MUNICÍPIO**
SP PINDORAMA R$ 213.585,93 R$ 10.803,91 243.315,76R$ -R$ 12.307,75R$
SP PINHALZINHO R$ 108.039,06 R$ 10.803,91 123.077,42R$ -R$ 12.307,75R$
SP PIQUEROBI R$ 108.039,06 R$ 10.803,91 123.077,42R$ -R$ 12.307,75R$
SP PIQUETE R$ 108.039,06 R$ 10.803,91 123.077,42R$ -R$ 12.307,75R$
SP PIRACAIA R$ 108.039,06 R$ 47.425,90 123.077,42R$ -R$ 54.027,29R$
SP PIRACICABA SIM R$ 347.592,26 R$ 51.872,92 395.974,93R$ 158.389,97R$ 59.093,31R$
SP PIRAJU R$ 108.039,06 R$ 33.163,17 123.077,42R$ -R$ 37.779,28R$
SP PIRAJUÍ R$ 108.039,06 R$ 10.803,91 123.077,42R$ -R$ 12.307,75R$
SP PIRANGI R$ 108.039,06 R$ 10.803,91 123.077,42R$ -R$ 12.307,75R$
SP PIRAPORA DO BOM JESUS R$ 108.039,06 R$ 10.803,91 123.077,42R$ -R$ 12.307,75R$
SP PIRAPOZINHO R$ 141.116,27 R$ 10.803,91 160.758,77R$ -R$ 12.307,75R$
SP PIRASSUNUNGA R$ 189.627,01 R$ 16.610,75 216.021,90R$ -R$ 18.922,86R$
SP PIRATININGA R$ 108.039,06 R$ 10.803,91 123.077,42R$ -R$ 12.307,75R$
SP PITANGUEIRAS R$ 260.815,56 R$ 25.758,32 297.119,46R$ -R$ 29.343,72R$
SP PLANALTO R$ 108.039,06 R$ 10.803,91 123.077,42R$ -R$ 12.307,75R$
SP PLATINA R$ 108.039,06 R$ 10.803,91 123.077,42R$ -R$ 12.307,75R$
SP POÁ R$ 108.039,06 R$ 37.013,07 123.077,42R$ -R$ 42.165,06R$
SP POLONI R$ 108.039,06 R$ 15.224,70 123.077,42R$ -R$ 17.343,88R$
SP POMPÉIA R$ 288.685,84 R$ 18.877,68 328.869,10R$ -R$ 21.505,34R$
SP PONGAÍ R$ 108.039,06 R$ 10.803,91 123.077,42R$ -R$ 12.307,75R$
SP PONTAL R$ 108.039,06 R$ 10.803,91 123.077,42R$ -R$ 12.307,75R$
SP PONTALINDA R$ 108.039,06 R$ 10.803,91 123.077,42R$ -R$ 12.307,75R$
SP PONTES GESTAL R$ 108.039,06 R$ 10.803,91 123.077,42R$ -R$ 12.307,75R$
SP POPULINA R$ 108.039,06 R$ 10.803,91 123.077,42R$ -R$ 12.307,75R$
SP PORANGABA R$ 108.039,06 R$ 10.803,91 123.077,42R$ -R$ 12.307,75R$
SP PORTO FELIZ R$ 232.067,40 R$ 15.709,83 264.369,73R$ -R$ 17.896,54R$
SP PORTO FERREIRA R$ 150.686,46 R$ 10.803,91 171.661,07R$ -R$ 12.307,75R$
SP POTIM R$ 108.039,06 R$ 10.803,91 123.077,42R$ -R$ 12.307,75R$
SP POTIRENDABA R$ 108.039,06 R$ 10.803,91 123.077,42R$ -R$ 12.307,75R$
SP PRACINHA R$ 108.039,06 R$ 10.803,91 123.077,42R$ -R$ 12.307,75R$
SP PRADÓPOLIS R$ 108.039,06 R$ 14.821,15 123.077,42R$ -R$ 16.884,16R$
SP PRAIA GRANDE SIM R$ 1.982.686,47 R$ 143.964,70 2.258.664,03R$ 903.465,61R$ 164.003,69R$
SP PRATÂNIA R$ 108.039,06 R$ 10.803,91 123.077,42R$ -R$ 12.307,75R$
SP PRESIDENTE ALVES R$ 108.039,06 R$ 10.803,91 123.077,42R$ -R$ 12.307,75R$
SP PRESIDENTE BERNARDES R$ 108.039,06 R$ 10.803,91 123.077,42R$ -R$ 12.307,75R$
SP PRESIDENTE EPITÁCIO R$ 409.301,73 R$ 26.128,96 466.273,97R$ -R$ 29.765,95R$
SP PRESIDENTE PRUDENTE R$ 900.732,65 R$ 51.396,02 1.026.109,00R$ -R$ 58.550,02R$
SP PRESIDENTE VENCESLAU R$ 108.039,06 R$ 34.896,97 123.077,42R$ -R$ 39.754,41R$
SP PROMISSÃO R$ 243.021,04 R$ 24.923,77 276.848,05R$ -R$ 28.393,00R$
SP QUADRA R$ 108.039,06 R$ 10.803,91 123.077,42R$ -R$ 12.307,75R$
SP QUATÁ R$ 108.039,06 R$ 10.803,91 123.077,42R$ -R$ 12.307,75R$
SP QUEIROZ R$ 108.039,06 R$ 10.803,91 123.077,42R$ -R$ 12.307,75R$
SP QUELUZ R$ 108.039,06 R$ 10.803,91 123.077,42R$ -R$ 12.307,75R$
SP QUINTANA R$ 108.039,06 R$ 10.803,91 123.077,42R$ -R$ 12.307,75R$
SP RAFARD R$ 108.039,06 R$ 10.803,91 123.077,42R$ -R$ 12.307,75R$
SP RANCHARIA R$ 108.039,06 R$ 40.102,21 123.077,42R$ -R$ 45.684,19R$
SP REDENÇÃO DA SERRA R$ 108.039,06 R$ 10.803,91 123.077,42R$ -R$ 12.307,75R$
SP REGENTE FEIJÓ R$ 108.039,06 R$ 10.803,91 123.077,42R$ -R$ 12.307,75R$
SP REGINÓPOLIS R$ 108.039,06 R$ 10.803,91 123.077,42R$ -R$ 12.307,75R$
SP REGISTRO R$ 294.091,62 R$ 35.333,47 335.027,34R$ -R$ 40.251,67R$
SP RESTINGA R$ 108.039,06 R$ 10.803,91 123.077,42R$ -R$ 12.307,75R$
SP RIBEIRA R$ 108.039,06 R$ 10.803,91 123.077,42R$ -R$ 12.307,75R$
SP RIBEIRÃO BONITO R$ 108.039,06 R$ 10.803,91 123.077,42R$ -R$ 12.307,75R$
SP RIBEIRÃO BRANCO R$ 108.039,06 R$ 28.037,10 123.077,42R$ -R$ 31.939,69R$
SP RIBEIRÃO CORRENTE R$ 108.039,06 R$ 10.803,91 123.077,42R$ -R$ 12.307,75R$
SP RIBEIRÃO DO SUL R$ 108.039,06 R$ 10.803,91 123.077,42R$ -R$ 12.307,75R$
SP RIBEIRÃO DOS ÍNDIOS R$ 108.039,06 R$ 10.803,91 123.077,42R$ -R$ 12.307,75R$
SP RIBEIRÃO GRANDE R$ 108.039,06 R$ 10.803,91 123.077,42R$ -R$ 12.307,75R$
SP RIBEIRÃO PIRES R$ 894.951,56 R$ 127.534,24 1.019.523,22R$ -R$ 145.286,21R$
SP RIBEIRÃO PRETO SIM R$ 2.502.381,09 R$ 183.715,00 2.850.696,89R$ 1.140.278,76R$ 209.286,98R$
SP RIFAINA R$ 108.039,06 R$ 10.803,91 123.077,42R$ -R$ 12.307,75R$
SP RINCÃO R$ 108.039,06 R$ 10.803,91 123.077,42R$ -R$ 12.307,75R$
SP RINÓPOLIS R$ 108.039,06 R$ 10.803,91 123.077,42R$ -R$ 12.307,75R$
SP RIO CLARO R$ 283.675,37 R$ 131.229,20 323.161,21R$ -R$ 149.495,48R$
SP RIO DAS PEDRAS R$ 108.039,06 R$ 10.803,91 123.077,42R$ -R$ 12.307,75R$
SP RIO GRANDE DA SERRA R$ 221.840,99 R$ 15.468,51 252.719,87R$ -R$ 17.621,63R$
80
Tribunal Superior Eleitoral
PREFEITO
1º TURNO 1º TURNO 2º TURNO
UF
POSSIBILIDADE
DE SEGUNDO
TURNO
VEREADORVEREADOR
LIMITE DE GASTOS OBSERVADO
O MÍNIMO LEGAL (R$ 100,000,00
PARA PREFEITO E R$ 10.000,00
PARA VEREADOR ) EM 2016***
LIMITE DE GASTOS 2020 (ATUALIZADO PELO IPCA DE
JUNHO/2016 ATÉ JUNHO/2020*)
PREFEITO
MUNICÍPIO**
SP RIOLÂNDIA R$ 108.039,06 R$ 10.803,91 123.077,42R$ -R$ 12.307,75R$
SP RIVERSUL R$ 108.039,06 R$ 10.803,91 123.077,42R$ -R$ 12.307,75R$
SP ROSANA R$ 108.039,06 R$ 10.803,91 123.077,42R$ -R$ 12.307,75R$
SP ROSEIRA R$ 108.039,06 R$ 10.803,91 123.077,42R$ -R$ 12.307,75R$
SP RUBIÁCEA R$ 108.039,06 R$ 10.803,91 123.077,42R$ -R$ 12.307,75R$
SP RUBINÉIA R$ 108.039,06 R$ 10.803,91 123.077,42R$ -R$ 12.307,75R$
SP SABINO R$ 108.039,06 R$ 10.803,91 123.077,42R$ -R$ 12.307,75R$
SP SAGRES R$ 108.039,06 R$ 10.803,91 123.077,42R$ -R$ 12.307,75R$
SP SALES R$ 108.039,06 R$ 10.803,91 123.077,42R$ -R$ 12.307,75R$
SP SALES OLIVEIRA R$ 108.039,06 R$ 10.803,91 123.077,42R$ -R$ 12.307,75R$
SP SALESÓPOLIS R$ 108.039,06 R$ 10.803,91 123.077,42R$ -R$ 12.307,75R$
SP SALMOURÃO R$ 108.039,06 R$ 10.803,91 123.077,42R$ -R$ 12.307,75R$
SP SALTINHO R$ 108.039,06 R$ 10.803,91 123.077,42R$ -R$ 12.307,75R$
SP SALTO R$ 485.026,35 R$ 53.808,28 552.538,99R$ -R$ 61.298,06R$
SP SALTO DE PIRAPORA R$ 108.039,06 R$ 13.728,34 123.077,42R$ -R$ 15.639,24R$
SP SALTO GRANDE R$ 108.039,06 R$ 10.803,91 123.077,42R$ -R$ 12.307,75R$
SP SANDOVALINA R$ 108.039,06 R$ 10.803,91 123.077,42R$ -R$ 12.307,75R$
SP SANTA ADÉLIA R$ 108.039,06 R$ 10.803,91 123.077,42R$ -R$ 12.307,75R$
SP SANTA ALBERTINA R$ 108.039,06 R$ 10.803,91 123.077,42R$ -R$ 12.307,75R$
SP SANTA BÁRBARA D'OESTE R$ 375.726,30 R$ 52.781,93 428.025,05R$ -R$ 60.128,84R$
SP SANTA BRANCA R$ 108.039,06 R$ 10.803,91 123.077,42R$ -R$ 12.307,75R$
SP SANTA CLARA D'OESTE R$ 108.039,06 R$ 10.803,91 123.077,42R$ -R$ 12.307,75R$
SP SANTA CRUZ DA CONCEIÇÃO R$ 108.039,06 R$ 38.265,88 123.077,42R$ -R$ 43.592,25R$
SP SANTA CRUZ DA ESPERANÇA R$ 108.039,06 R$ 10.803,91 123.077,42R$ -R$ 12.307,75R$
SP SANTA CRUZ DAS PALMEIRAS R$ 145.421,20 R$ 10.803,91 165.662,92R$ -R$ 12.307,75R$
SP SANTA CRUZ DO RIO PARDO R$ 159.838,32 R$ 28.483,73 182.086,81R$ -R$ 32.448,49R$
SP SANTA ERNESTINA R$ 108.039,06 R$ 10.803,91 123.077,42R$ -R$ 12.307,75R$
SP SANTA FÉ DO SUL R$ 294.709,44 R$ 10.803,91 335.731,15R$ -R$ 12.307,75R$
SP SANTA GERTRUDES R$ 156.449,52 R$ 10.803,91 178.226,32R$ -R$ 12.307,75R$
SP SANTA ISABEL R$ 108.039,06 R$ 21.639,73 123.077,42R$ -R$ 24.651,85R$
SP SANTA LÚCIA R$ 108.039,06 R$ 10.803,91 123.077,42R$ -R$ 12.307,75R$
SP SANTA MARIA DA SERRA R$ 108.039,06 R$ 10.803,91 123.077,42R$ -R$ 12.307,75R$
SP SANTA MERCEDES R$ 108.039,06 R$ 10.803,91 123.077,42R$ -R$ 12.307,75R$
SP SANTA RITA DO PASSA QUATRO R$ 108.039,06 R$ 10.803,91 123.077,42R$ -R$ 12.307,75R$
SP SANTA RITA D'OESTE R$ 108.039,06 R$ 10.803,91 123.077,42R$ -R$ 12.307,75R$
SP SANTA ROSA DE VITERBO R$ 108.039,06 R$ 15.191,93 123.077,42R$ -R$ 17.306,55R$
SP SANTA SALETE R$ 108.039,06 R$ 10.803,91 123.077,42R$ -R$ 12.307,75R$
SP SANTANA DA PONTE PENSA R$ 108.039,06 R$ 10.803,91 123.077,42R$ -R$ 12.307,75R$
SP SANTANA DE PARNAÍBA R$ 1.530.659,70 R$ 143.353,51 1.743.717,96R$ -R$ 163.307,42R$
SP SANTO ANASTÁCIO R$ 108.039,06 R$ 10.803,91 123.077,42R$ -R$ 12.307,75R$
SP SANTO ANDRÉ SIM R$ 3.329.179,68 R$ 183.171,93 3.792.580,68R$ 1.517.032,27R$ 208.668,32R$
SP SANTO ANTÔNIO DA ALEGRIA R$ 108.039,06 R$ 10.803,91 123.077,42R$ -R$ 12.307,75R$
SP SANTO ANTÔNIO DE POSSE R$ 108.039,06 R$ 10.803,91 123.077,42R$ -R$ 12.307,75R$
SP SANTO ANTÔNIO DO ARACANGUÁ R$ 108.039,06 R$ 10.803,91 123.077,42R$ -R$ 12.307,75R$
SP SANTO ANTÔNIO DO JARDIM R$ 108.039,06 R$ 10.803,91 123.077,42R$ -R$ 12.307,75R$
SP SANTO ANTÔNIO DO PINHAL R$ 108.039,06 R$ 10.803,91 123.077,42R$ -R$ 12.307,75R$
SP SANTO EXPEDITO R$ 108.039,06 R$ 10.803,91 123.077,42R$ -R$ 12.307,75R$
SP SANTÓPOLIS DO AGUAPEÍ R$ 108.039,06 R$ 10.803,91 123.077,42R$ -R$ 12.307,75R$
SP SANTOS SIM R$ 1.732.736,55 R$ 280.955,19 1.973.922,65R$ 789.569,06R$ 320.062,40R$
SP SÃO BENTO DO SAPUCAÍ R$ 108.039,06 R$ 10.803,91 123.077,42R$ -R$ 12.307,75R$
SP SÃO BERNARDO DO CAMPO SIM R$ 4.605.005,68 R$ 279.543,62 5.245.993,68R$ 2.098.397,47R$ 318.454,34R$
SP SÃO CAETANO DO SUL R$ 1.967.509,08 R$ 254.791,41 2.241.374,04R$ -R$ 290.256,78R$
SP SÃO CARLOS R$ 1.267.942,52 R$ 143.127,23 1.444.432,19R$ -R$ 163.049,65R$
SP SÃO FRANCISCO R$ 108.039,06 R$ 10.803,91 123.077,42R$ -R$ 12.307,75R$
SP SÃO JOÃO DA BOA VISTA R$ 108.039,06 R$ 47.809,50 123.077,42R$ -R$ 54.464,28R$
SP SÃO JOÃO DAS DUAS PONTES R$ 108.039,06 R$ 10.803,91 123.077,42R$ -R$ 12.307,75R$
SP SÃO JOÃO DE IRACEMA R$ 108.039,06 R$ 10.803,91 123.077,42R$ -R$ 12.307,75R$
SP SÃO JOÃO DO PAU D'ALHO R$ 108.039,06 R$ 10.803,91 123.077,42R$ -R$ 12.307,75R$
SP SÃO JOAQUIM DA BARRA R$ 158.290,53 R$ 26.104,46 180.323,58R$ -R$ 29.738,04R$
SP SÃO JOSÉ DA BELA VISTA R$ 108.039,06 R$ 10.803,91 123.077,42R$ -R$ 12.307,75R$
SP SÃO JOSÉ DO BARREIRO R$ 108.039,06 R$ 10.803,91 123.077,42R$ -R$ 12.307,75R$
SP SÃO JOSÉ DO RIO PARDO R$ 108.039,06 R$ 10.803,91 123.077,42R$ -R$ 12.307,75R$
SP SÃO JOSÉ DO RIO PRETO SIM R$ 2.390.014,75 R$ 99.472,64 2.722.689,86R$ 1.089.075,95R$ 113.318,61R$
SP SÃO JOSÉ DOS CAMPOS SIM R$ 1.619.995,74 R$ 164.884,03 1.845.489,02R$ 738.195,61R$ 187.834,86R$
SP SÃO LOURENÇO DA SERRA R$ 108.039,06 R$ 24.468,64 123.077,42R$ -R$ 27.874,52R$
SP SÃO LUÍS DO PARAITINGA R$ 108.039,06 R$ 10.803,91 123.077,42R$ -R$ 12.307,75R$
81
Tribunal Superior Eleitoral
PREFEITO
1º TURNO 1º TURNO 2º TURNO
UF
POSSIBILIDADE
DE SEGUNDO
TURNO
VEREADORVEREADOR
LIMITE DE GASTOS OBSERVADO
O MÍNIMO LEGAL (R$ 100,000,00
PARA PREFEITO E R$ 10.000,00
PARA VEREADOR ) EM 2016***
LIMITE DE GASTOS 2020 (ATUALIZADO PELO IPCA DE
JUNHO/2016 ATÉ JUNHO/2020*)
PREFEITO
MUNICÍPIO**
SP SÃO MANUEL R$ 183.407,50 R$ 20.205,00 208.936,68R$ -R$ 23.017,41R$
SP SÃO MIGUEL ARCANJO R$ 108.039,06 R$ 10.803,91 123.077,42R$ -R$ 12.307,75R$
SP SÃO PAULO SIM R$ 45.470.214,12 R$ 3.226.138,77 51.799.383,68R$ 20.719.753,47R$ 3.675.197,12R$
SP SÃO PEDRO R$ 178.444,98 R$ 10.803,91 203.283,41R$ -R$ 12.307,75R$
SP SÃO PEDRO DO TURVO R$ 108.039,06 R$ 10.803,91 123.077,42R$ -R$ 12.307,75R$
SP SÃO ROQUE R$ 274.143,63 R$ 35.419,83 312.302,71R$ -R$ 40.350,05R$
SP SÃO SEBASTIÃO R$ 1.170.032,06 R$ 58.932,11 1.332.893,21R$ -R$ 67.135,09R$
SP SÃO SEBASTIÃO DA GRAMA R$ 108.039,06 R$ 10.803,91 123.077,42R$ -R$ 12.307,75R$
SP SÃO SIMÃO R$ 108.039,06 R$ 18.480,20 123.077,42R$ -R$ 21.052,53R$
SP SÃO VICENTE SIM R$ 1.421.781,63 R$ 243.964,93 1.619.684,75R$ 647.873,90R$ 277.923,32R$
SP SARAPUÍ R$ 108.039,06 R$ 10.803,91 123.077,42R$ -R$ 12.307,75R$
SP SARUTAIÁ R$ 108.039,06 R$ 10.803,91 123.077,42R$ -R$ 12.307,75R$
SP SEBASTIANÓPOLIS DO SUL R$ 108.039,06 R$ 10.803,91 123.077,42R$ -R$ 12.307,75R$
SP SERRA AZUL R$ 108.039,06 R$ 10.803,91 123.077,42R$ -R$ 12.307,75R$
SP SERRA NEGRA R$ 108.039,06 R$ 30.651,31 123.077,42R$ -R$ 34.917,78R$
SP SERRANA R$ 198.988,11 R$ 16.872,42 226.686,01R$ -R$ 19.220,96R$
SP SERTÃOZINHO R$ 1.033.062,38 R$ 25.354,51 1.176.858,21R$ -R$ 28.883,70R$
SP SETE BARRAS R$ 108.039,06 R$ 10.803,91 123.077,42R$ -R$ 12.307,75R$
SP SEVERÍNIA R$ 108.039,06 R$ 10.803,91 123.077,42R$ -R$ 12.307,75R$
SP SILVEIRAS R$ 108.039,06 R$ 10.803,91 123.077,42R$ -R$ 12.307,75R$
SP SOCORRO R$ 108.039,06 R$ 10.803,91 123.077,42R$ -R$ 12.307,75R$
SP SOROCABA SIM R$ 2.202.824,67 R$ 139.340,93 2.509.444,09R$ 1.003.777,64R$ 158.736,32R$
SP SUD MENNUCCI R$ 150.247,98 R$ 10.803,91 171.161,56R$ -R$ 12.307,75R$
SP SUMARÉ R$ 1.312.971,66 R$ 78.705,18 1.495.729,11R$ -R$ 89.660,45R$
SP SUZANÁPOLIS R$ 108.039,06 R$ 10.803,91 123.077,42R$ -R$ 12.307,75R$
SP SUZANO SIM R$ 1.839.753,71 R$ 85.818,39 2.095.835,93R$ 838.334,37R$ 97.763,77R$
SP TABAPUÃ R$ 108.039,06 R$ 10.803,91 123.077,42R$ -R$ 12.307,75R$
SP TABATINGA R$ 108.039,06 R$ 10.803,91 123.077,42R$ -R$ 12.307,75R$
SP TABOÃO DA SERRA SIM R$ 1.273.929,34 R$ 57.344,08 1.451.252,34R$ 580.500,94R$ 65.326,02R$
SP TACIBA R$ 108.039,06 R$ 10.803,91 123.077,42R$ -R$ 12.307,75R$
SP TAGUAÍ R$ 108.039,06 R$ 10.803,91 123.077,42R$ -R$ 12.307,75R$
SP TAIAÇU R$ 108.039,06 R$ 10.803,91 123.077,42R$ -R$ 12.307,75R$
SP TAIÚVA R$ 108.039,06 R$ 10.803,91 123.077,42R$ -R$ 12.307,75R$
SP TAMBAÚ R$ 108.039,06 R$ 10.803,91 123.077,42R$ -R$ 12.307,75R$
SP TANABI R$ 108.039,06 R$ 28.787,89 123.077,42R$ -R$ 32.794,98R$
SP TAPIRAÍ R$ 108.039,06 R$ 10.803,91 123.077,42R$ -R$ 12.307,75R$
SP TAPIRATIBA R$ 108.039,06 R$ 10.803,91 123.077,42R$ -R$ 12.307,75R$
SP TAQUARAL R$ 108.039,06 R$ 10.803,91 123.077,42R$ -R$ 12.307,75R$
SP TAQUARITINGA R$ 108.039,06 R$ 10.803,91 123.077,42R$ -R$ 12.307,75R$
SP TAQUARITUBA R$ 108.039,06 R$ 16.640,43 123.077,42R$ -R$ 18.956,67R$
SP TAQUARIVAÍ R$ 221.741,95 R$ 10.803,91 252.607,04R$ -R$ 12.307,75R$
SP TARABAI R$ 108.039,06 R$ 10.803,91 123.077,42R$ -R$ 12.307,75R$
SP TARUMÃ R$ 108.039,06 R$ 10.803,91 123.077,42R$ -R$ 12.307,75R$
SP TATUÍ R$ 405.308,77 R$ 102.661,66 461.725,22R$ -R$ 116.951,52R$
SP TAUBATÉ SIM R$ 1.008.978,29 R$ 45.730,16 1.149.421,76R$ 459.768,70R$ 52.095,51R$
SP TEJUPÁ R$ 108.039,06 R$ 10.803,91 123.077,42R$ -R$ 12.307,75R$
SP TEODORO SAMPAIO R$ 283.581,89 R$ 31.469,74 323.054,72R$ -R$ 35.850,13R$
SP TERRA ROXA R$ 108.039,06 R$ 10.803,91 123.077,42R$ -R$ 12.307,75R$
SP TIETÊ R$ 157.672,15 R$ 10.803,91 179.619,13R$ -R$ 12.307,75R$
SP TIMBURI R$ 108.039,06 R$ 10.803,91 123.077,42R$ -R$ 12.307,75R$
SP TORRE DE PEDRA R$ 108.039,06 R$ 10.803,91 123.077,42R$ -R$ 12.307,75R$
SP TORRINHA R$ 108.039,06 R$ 10.803,91 123.077,42R$ -R$ 12.307,75R$
SP TRABIJU R$ 108.039,06 R$ 10.803,91 123.077,42R$ -R$ 12.307,75R$
SP TREMEMBÉ R$ 202.645,83 R$ 28.910,93 230.852,86R$ -R$ 32.935,15R$
SP TRÊS FRONTEIRAS R$ 108.039,06 R$ 10.803,91 123.077,42R$ -R$ 12.307,75R$
SP TUIUTI R$ 108.039,06 R$ 10.803,91 123.077,42R$ -R$ 12.307,75R$
SP TUPÃ R$ 639.231,57 R$ 76.662,38 728.208,61R$ -R$ 87.333,30R$
SP TUPI PAULISTA R$ 108.039,06 R$ 10.803,91 123.077,42R$ -R$ 12.307,75R$
SP TURIÚBA R$ 108.039,06 R$ 10.803,91 123.077,42R$ -R$ 12.307,75R$
SP TURMALINA R$ 108.039,06 R$ 10.803,91 123.077,42R$ -R$ 12.307,75R$
SP UBARANA R$ 108.039,06 R$ 10.803,91 123.077,42R$ -R$ 12.307,75R$
SP UBATUBA R$ 485.355,92 R$ 33.165,58 552.914,43R$ -R$ 37.782,02R$
SP UBIRAJARA R$ 108.039,06 R$ 10.803,91 123.077,42R$ -R$ 12.307,75R$
SP UCHOA R$ 108.039,06 R$ 10.803,91 123.077,42R$ -R$ 12.307,75R$
SP UNIÃO PAULISTA R$ 108.039,06 R$ 10.803,91 123.077,42R$ -R$ 12.307,75R$
SP URÂNIA R$ 108.039,06 R$ 10.803,91 123.077,42R$ -R$ 12.307,75R$
82
Tribunal Superior Eleitoral
PREFEITO
1º TURNO 1º TURNO 2º TURNO
UF
POSSIBILIDADE
DE SEGUNDO
TURNO
VEREADORVEREADOR
LIMITE DE GASTOS OBSERVADO
O MÍNIMO LEGAL (R$ 100,000,00
PARA PREFEITO E R$ 10.000,00
PARA VEREADOR ) EM 2016***
LIMITE DE GASTOS 2020 (ATUALIZADO PELO IPCA DE
JUNHO/2016 ATÉ JUNHO/2020*)
PREFEITO
MUNICÍPIO**
SP URU R$ 108.039,06 R$ 10.803,91 123.077,42R$ -R$ 12.307,75R$
SP URUPÊS R$ 108.039,06 R$ 10.803,91 123.077,42R$ -R$ 12.307,75R$
SP VALENTIM GENTIL R$ 108.039,06 R$ 10.803,91 123.077,42R$ -R$ 12.307,75R$
SP VALINHOS R$ 485.454,93 R$ 76.751,97 553.027,22R$ -R$ 87.435,36R$
SP VALPARAÍSO R$ 108.039,06 R$ 14.837,95 123.077,42R$ -R$ 16.903,30R$
SP VARGEM R$ 108.039,06 R$ 10.803,91 123.077,42R$ -R$ 12.307,75R$
SP VARGEM GRANDE DO SUL R$ 108.039,06 R$ 14.382,25 123.077,42R$ -R$ 16.384,17R$
SP VARGEM GRANDE PAULISTA R$ 224.733,86 R$ 15.248,11 256.015,41R$ -R$ 17.370,55R$
SP VÁRZEA PAULISTA R$ 890.765,93 R$ 67.468,10 1.014.754,98R$ -R$ 76.859,24R$
SP VERA CRUZ R$ 108.039,06 R$ 10.803,91 123.077,42R$ -R$ 12.307,75R$
SP VINHEDO R$ 108.039,06 R$ 18.008,18 123.077,42R$ -R$ 20.514,81R$
SP VIRADOURO R$ 167.315,08 R$ 10.803,91 190.604,29R$ -R$ 12.307,75R$
SP VISTA ALEGRE DO ALTO R$ 108.039,06 R$ 10.803,91 123.077,42R$ -R$ 12.307,75R$
SP VITÓRIA BRASIL R$ 108.039,06 R$ 10.803,91 123.077,42R$ -R$ 12.307,75R$
SP VOTORANTIM R$ 270.550,27 R$ 85.822,63 308.209,18R$ -R$ 97.768,60R$
SP VOTUPORANGA R$ 395.286,98 R$ 42.440,05 450.308,46R$ -R$ 48.347,44R$
SP ZACARIAS R$ 108.039,06 R$ 10.803,91 123.077,42R$ -R$ 12.307,75R$
TO ABREULÂNDIA R$ 108.039,06 R$ 10.803,91 123.077,42R$ -R$ 12.307,75R$
TO AGUIARNÓPOLIS R$ 108.039,06 R$ 20.362,75 123.077,42R$ -R$ 23.197,12R$
TO ALIANÇA DO TOCANTINS R$ 108.039,06 R$ 10.803,91 123.077,42R$ -R$ 12.307,75R$
TO ALMAS R$ 190.505,29 R$ 17.741,89 217.022,44R$ -R$ 20.211,45R$
TO ALVORADA R$ 108.039,06 R$ 15.849,65 123.077,42R$ -R$ 18.055,82R$
TO ANANÁS R$ 108.039,06 R$ 10.803,91 123.077,42R$ -R$ 12.307,75R$
TO ANGICO R$ 108.039,06 R$ 10.803,91 123.077,42R$ -R$ 12.307,75R$
TO APARECIDA DO RIO NEGRO R$ 151.315,41 R$ 10.803,91 172.377,57R$ -R$ 12.307,75R$
TO ARAGOMINAS R$ 108.039,06 R$ 10.803,91 123.077,42R$ -R$ 12.307,75R$
TO ARAGUACEMA R$ 180.147,59 R$ 10.803,91 205.223,01R$ -R$ 12.307,75R$
TO ARAGUAÇU R$ 155.304,15 R$ 10.803,91 176.921,52R$ -R$ 12.307,75R$
TO ARAGUAÍNA R$ 759.932,32 R$ 240.571,11 865.710,15R$ -R$ 274.057,10R$
TO ARAGUANÃ R$ 108.039,06 R$ 10.803,91 123.077,42R$ -R$ 12.307,75R$
TO ARAGUATINS R$ 357.033,71 R$ 16.737,64 406.730,57R$ -R$ 19.067,41R$
TO ARAPOEMA R$ 108.039,06 R$ 10.803,91 123.077,42R$ -R$ 12.307,75R$
TO ARRAIAS R$ 238.061,56 R$ 10.803,91 271.198,24R$ -R$ 12.307,75R$
TO AUGUSTINÓPOLIS R$ 629.961,92 R$ 18.644,40 717.648,68R$ -R$ 21.239,58R$
TO AURORA DO TOCANTINS R$ 108.039,06 R$ 10.803,91 123.077,42R$ -R$ 12.307,75R$
TO AXIXÁ DO TOCANTINS R$ 108.039,06 R$ 10.803,91 123.077,42R$ -R$ 12.307,75R$
TO BABAÇULÂNDIA R$ 138.466,80 R$ 30.638,24 157.740,51R$ -R$ 34.902,89R$
TO BANDEIRANTES DO TOCANTINS R$ 108.039,06 R$ 10.803,91 123.077,42R$ -R$ 12.307,75R$
TO BARRA DO OURO R$ 160.763,75 R$ 19.264,03 183.141,06R$ -R$ 21.945,46R$
TO BARROLÂNDIA R$ 143.042,51 R$ 10.803,91 162.953,13R$ -R$ 12.307,75R$
TO BERNARDO SAYÃO R$ 108.039,06 R$ 14.234,39 123.077,42R$ -R$ 16.215,73R$
TO BOM JESUS DO TOCANTINS R$ 108.039,06 R$ 10.803,91 123.077,42R$ -R$ 12.307,75R$
TO BRASILÂNDIA DO TOCANTINS R$ 108.039,06 R$ 10.803,91 123.077,42R$ -R$ 12.307,75R$
TO BREJINHO DE NAZARÉ R$ 108.039,06 R$ 10.803,91 123.077,42R$ -R$ 12.307,75R$
TO BURITI DO TOCANTINS R$ 108.039,06 R$ 10.803,91 123.077,42R$ -R$ 12.307,75R$
TO CACHOEIRINHA R$ 108.039,06 R$ 16.404,38 123.077,42R$ -R$ 18.687,77R$
TO CAMPOS LINDOS R$ 108.039,06 R$ 10.803,91 123.077,42R$ -R$ 12.307,75R$
TO CARIRI DO TOCANTINS R$ 108.039,06 R$ 10.803,91 123.077,42R$ -R$ 12.307,75R$
TO CARMOLÂNDIA R$ 108.039,06 R$ 10.803,91 123.077,42R$ -R$ 12.307,75R$
TO CARRASCO BONITO R$ 108.039,06 R$ 10.803,91 123.077,42R$ -R$ 12.307,75R$
TO CASEARA R$ 183.778,48 R$ 10.803,91 209.359,30R$ -R$ 12.307,75R$
TO CENTENÁRIO R$ 108.039,06 R$ 10.803,91 123.077,42R$ -R$ 12.307,75R$
TO CHAPADA DA NATIVIDADE R$ 108.039,06 R$ 10.803,91 123.077,42R$ -R$ 12.307,75R$
TO CHAPADA DE AREIA R$ 142.799,48 R$ 10.803,91 162.676,27R$ -R$ 12.307,75R$
TO COLINAS DO TOCANTINS R$ 455.476,67 R$ 10.803,91 518.876,18R$ -R$ 12.307,75R$
TO COLMÉIA R$ 134.704,96 R$ 13.461,36 153.455,05R$ -R$ 15.335,10R$
TO COMBINADO R$ 108.039,06 R$ 10.803,91 123.077,42R$ -R$ 12.307,75R$
TO CONCEIÇÃO DO TOCANTINS R$ 108.039,06 R$ 10.803,91 123.077,42R$ -R$ 12.307,75R$
TO COUTO MAGALHÃES R$ 141.162,62 R$ 10.803,91 160.811,57R$ -R$ 12.307,75R$
TO CRISTALÂNDIA R$ 108.039,06 R$ 14.036,50 123.077,42R$ -R$ 15.990,29R$
TO CRIXÁS DO TOCANTINS R$ 108.039,06 R$ 10.803,91 123.077,42R$ -R$ 12.307,75R$
TO DARCINÓPOLIS R$ 108.039,06 R$ 10.803,91 123.077,42R$ -R$ 12.307,75R$
TO DIANÓPOLIS R$ 108.039,06 R$ 19.950,06 123.077,42R$ -R$ 22.726,98R$
TO DIVINÓPOLIS DO TOCANTINS R$ 108.039,06 R$ 10.803,91 123.077,42R$ -R$ 12.307,75R$
TO DOIS IRMÃOS DO TOCANTINS R$ 108.039,06 R$ 14.222,83 123.077,42R$ -R$ 16.202,56R$
TO DUERÉ R$ 108.039,06 R$ 10.803,91 123.077,42R$ -R$ 12.307,75R$
83
Tribunal Superior Eleitoral
PREFEITO
1º TURNO 1º TURNO 2º TURNO
UF
POSSIBILIDADE
DE SEGUNDO
TURNO
VEREADORVEREADOR
LIMITE DE GASTOS OBSERVADO
O MÍNIMO LEGAL (R$ 100,000,00
PARA PREFEITO E R$ 10.000,00
PARA VEREADOR ) EM 2016***
LIMITE DE GASTOS 2020 (ATUALIZADO PELO IPCA DE
JUNHO/2016 ATÉ JUNHO/2020*)
PREFEITO
MUNICÍPIO**
TO ESPERANTINA R$ 108.039,06 R$ 13.762,72 123.077,42R$ -R$ 15.678,40R$
TO FÁTIMA R$ 108.039,06 R$ 10.803,91 123.077,42R$ -R$ 12.307,75R$
TO FIGUEIRÓPOLIS R$ 203.477,93 R$ 10.803,91 231.800,79R$ -R$ 12.307,75R$
TO FILADÉLFIA R$ 242.855,56 R$ 10.803,91 276.659,54R$ -R$ 12.307,75R$
TO FORMOSO DO ARAGUAIA R$ 108.039,06 R$ 10.803,91 123.077,42R$ -R$ 12.307,75R$
TO GOIANORTE R$ 108.039,06 R$ 10.803,91 123.077,42R$ -R$ 12.307,75R$
TO GOIATINS R$ 108.039,06 R$ 10.803,91 123.077,42R$ -R$ 12.307,75R$
TO GUARAÍ R$ 539.853,10 R$ 13.564,93 614.997,28R$ -R$ 15.453,08R$
TO GURUPI R$ 2.351.484,50 R$ 61.418,92 2.678.796,44R$ -R$ 69.968,05R$
TO IPUEIRAS R$ 108.039,06 R$ 10.803,91 123.077,42R$ -R$ 12.307,75R$
TO ITACAJÁ R$ 108.039,06 R$ 10.803,91 123.077,42R$ -R$ 12.307,75R$
TO ITAGUATINS R$ 108.039,06 R$ 10.803,91 123.077,42R$ -R$ 12.307,75R$
TO ITAPIRATINS R$ 108.039,06 R$ 10.803,91 123.077,42R$ -R$ 12.307,75R$
TO ITAPORÃ DO TOCANTINS R$ 108.039,06 R$ 10.803,91 123.077,42R$ -R$ 12.307,75R$
TO JAÚ DO TOCANTINS R$ 108.039,06 R$ 10.803,91 123.077,42R$ -R$ 12.307,75R$
TO JUARINA R$ 108.039,06 R$ 10.803,91 123.077,42R$ -R$ 12.307,75R$
TO LAGOA DA CONFUSÃO R$ 251.401,42 R$ 21.132,48 286.394,93R$ -R$ 24.073,99R$
TO LAGOA DO TOCANTINS R$ 108.039,06 R$ 10.803,91 123.077,42R$ -R$ 12.307,75R$
TO LAJEADO R$ 148.727,30 R$ 10.803,91 169.429,21R$ -R$ 12.307,75R$
TO LAVANDEIRA R$ 108.039,06 R$ 10.803,91 123.077,42R$ -R$ 12.307,75R$
TO LIZARDA R$ 108.039,06 R$ 10.803,91 123.077,42R$ -R$ 12.307,75R$
TO LUZINÓPOLIS R$ 108.039,06 R$ 18.934,40 123.077,42R$ -R$ 21.569,95R$
TO MARIANÓPOLIS DO TOCANTINS R$ 141.073,63 R$ 10.803,91 160.710,20R$ -R$ 12.307,75R$
TO MATEIROS R$ 108.039,06 R$ 10.803,91 123.077,42R$ -R$ 12.307,75R$
TO MAURILÂNDIA DO TOCANTINS R$ 108.039,06 R$ 14.247,60 123.077,42R$ -R$ 16.230,78R$
TO MIRACEMA DO TOCANTINS R$ 153.648,16 R$ 20.920,31 175.035,02R$ -R$ 23.832,29R$
TO MIRANORTE R$ 171.686,45 R$ 10.803,91 195.584,13R$ -R$ 12.307,75R$
TO MONTE DO CARMO R$ 108.039,06 R$ 10.803,91 123.077,42R$ -R$ 12.307,75R$
TO MONTE SANTO DO TOCANTINS R$ 108.039,06 R$ 10.803,91 123.077,42R$ -R$ 12.307,75R$
TO MURICILÂNDIA R$ 108.039,06 R$ 10.803,91 123.077,42R$ -R$ 12.307,75R$
TO NATIVIDADE R$ 191.988,11 R$ 10.803,91 218.711,65R$ -R$ 12.307,75R$
TO NAZARÉ R$ 108.039,06 R$ 10.803,91 123.077,42R$ -R$ 12.307,75R$
TO NOVA OLINDA R$ 108.039,06 R$ 10.803,91 123.077,42R$ -R$ 12.307,75R$
TO NOVA ROSALÂNDIA R$ 108.039,06 R$ 10.803,91 123.077,42R$ -R$ 12.307,75R$
TO NOVO ACORDO R$ 108.039,06 R$ 10.803,91 123.077,42R$ -R$ 12.307,75R$
TO NOVO ALEGRE R$ 108.039,06 R$ 10.803,91 123.077,42R$ -R$ 12.307,75R$
TO NOVO JARDIM R$ 108.039,06 R$ 10.803,91 123.077,42R$ -R$ 12.307,75R$
TO OLIVEIRA DE FÁTIMA R$ 108.039,06 R$ 10.803,91 123.077,42R$ -R$ 12.307,75R$
TO PALMAS R$ 7.765.256,92 R$ 844.852,91 8.846.132,14R$ -R$ 962.451,15R$
TO PALMEIRANTE R$ 108.039,06 R$ 10.803,91 123.077,42R$ -R$ 12.307,75R$
TO PALMEIRAS DO TOCANTINS R$ 108.039,06 R$ 10.803,91 123.077,42R$ -R$ 12.307,75R$
TO PALMEIRÓPOLIS R$ 108.039,06 R$ 10.803,91 123.077,42R$ -R$ 12.307,75R$
TO PARAÍSO DO TOCANTINS R$ 668.070,50 R$ 42.775,97 761.061,74R$ -R$ 48.730,12R$
TO PARANÃ R$ 108.039,06 R$ 16.905,41 123.077,42R$ -R$ 19.258,54R$
TO PAU D'ARCO R$ 108.039,06 R$ 10.803,91 123.077,42R$ -R$ 12.307,75R$
TO PEDRO AFONSO R$ 108.039,06 R$ 14.994,29 123.077,42R$ -R$ 17.081,40R$
TO PEIXE R$ 172.170,71 R$ 16.914,78 196.135,80R$ -R$ 19.269,21R$
TO PEQUIZEIRO R$ 108.039,06 R$ 10.803,91 123.077,42R$ -R$ 12.307,75R$
TO PINDORAMA DO TOCANTINS R$ 108.039,06 R$ 10.803,91 123.077,42R$ -R$ 12.307,75R$
TO PIRAQUÊ R$ 108.039,06 R$ 10.803,91 123.077,42R$ -R$ 12.307,75R$
TO PIUM R$ 108.039,06 R$ 10.803,91 123.077,42R$ -R$ 12.307,75R$
TO PONTE ALTA DO BOM JESUS R$ 150.509,21 R$ 10.803,91 171.459,15R$ -R$ 12.307,75R$
TO PONTE ALTA DO TOCANTINS R$ 108.039,06 R$ 10.803,91 123.077,42R$ -R$ 12.307,75R$
TO PORTO ALEGRE DO TOCANTINS R$ 108.039,06 R$ 10.803,91 123.077,42R$ -R$ 12.307,75R$
TO PORTO NACIONAL R$ 787.332,46 R$ 38.496,60 896.924,22R$ -R$ 43.855,09R$
TO PRAIA NORTE R$ 108.039,06 R$ 10.803,91 123.077,42R$ -R$ 12.307,75R$
TO PRESIDENTE KENNEDY R$ 108.039,06 R$ 10.803,91 123.077,42R$ -R$ 12.307,75R$
TO PUGMIL R$ 108.039,06 R$ 10.803,91 123.077,42R$ -R$ 12.307,75R$
TO RECURSOLÂNDIA R$ 142.582,90 R$ 10.803,91 162.429,55R$ -R$ 12.307,75R$
TO RIACHINHO R$ 108.039,06 R$ 10.803,91 123.077,42R$ -R$ 12.307,75R$
TO RIO DA CONCEIÇÃO R$ 108.039,06 R$ 10.803,91 123.077,42R$ -R$ 12.307,75R$
TO RIO DOS BOIS R$ 108.039,06 R$ 16.581,91 123.077,42R$ -R$ 18.890,01R$
TO RIO SONO R$ 108.039,06 R$ 10.803,91 123.077,42R$ -R$ 12.307,75R$
TO SAMPAIO R$ 137.434,32 R$ 17.977,51 156.564,32R$ -R$ 20.479,87R$
TO SANDOLÂNDIA R$ 108.039,06 R$ 10.803,91 123.077,42R$ -R$ 12.307,75R$
TO SANTA FÉ DO ARAGUAIA R$ 318.886,88 R$ 13.536,30 363.273,94R$ -R$ 15.420,47R$
84
Tribunal Superior Eleitoral
PREFEITO
1º TURNO 1º TURNO 2º TURNO
UF
POSSIBILIDADE
DE SEGUNDO
TURNO
VEREADORVEREADOR
LIMITE DE GASTOS OBSERVADO
O MÍNIMO LEGAL (R$ 100,000,00
PARA PREFEITO E R$ 10.000,00
PARA VEREADOR ) EM 2016***
LIMITE DE GASTOS 2020 (ATUALIZADO PELO IPCA DE
JUNHO/2016 ATÉ JUNHO/2020*)
PREFEITO
MUNICÍPIO**
TO SANTA MARIA DO TOCANTINS R$ 108.039,06 R$ 10.803,91 123.077,42R$ -R$ 12.307,75R$
TO SANTA RITA DO TOCANTINS R$ 141.396,64 R$ 10.803,91 161.078,17R$ -R$ 12.307,75R$
TO SANTA ROSA DO TOCANTINS R$ 108.039,06 R$ 10.803,91 123.077,42R$ -R$ 12.307,75R$
TO SANTA TEREZA DO TOCANTINS R$ 108.039,06 R$ 10.803,91 123.077,42R$ -R$ 12.307,75R$
TO SANTA TEREZINHA DO TOCANTINS R$ 108.039,06 R$ 10.803,91 123.077,42R$ -R$ 12.307,75R$
TO SÃO BENTO DO TOCANTINS R$ 207.654,06 R$ 10.803,91 236.558,21R$ -R$ 12.307,75R$
TO SÃO FÉLIX DO TOCANTINS R$ 108.039,06 R$ 10.803,91 123.077,42R$ -R$ 12.307,75R$
TO SÃO MIGUEL DO TOCANTINS R$ 180.102,90 R$ 29.850,24 205.172,10R$ -R$ 34.005,21R$
TO SÃO SALVADOR DO TOCANTINS R$ 108.039,06 R$ 10.803,91 123.077,42R$ -R$ 12.307,75R$
TO SÃO SEBASTIÃO DO TOCANTINS R$ 108.039,06 R$ 10.803,91 123.077,42R$ -R$ 12.307,75R$
TO SÃO VALÉRIO R$ 108.039,06 R$ 10.803,91 123.077,42R$ -R$ 12.307,75R$
TO SILVANÓPOLIS R$ 108.039,06 R$ 10.803,91 123.077,42R$ -R$ 12.307,75R$
TO SÍTIO NOVO DO TOCANTINS R$ 108.039,06 R$ 10.803,91 123.077,42R$ -R$ 12.307,75R$
TO SUCUPIRA R$ 108.039,06 R$ 10.803,91 123.077,42R$ -R$ 12.307,75R$
TO TABOCÃO R$ 108.039,06 R$ 10.803,91 123.077,42R$ -R$ 12.307,75R$
TO TAGUATINGA R$ 108.039,06 R$ 10.803,91 123.077,42R$ -R$ 12.307,75R$
TO TAIPAS DO TOCANTINS R$ 108.039,06 R$ 10.803,91 123.077,42R$ -R$ 12.307,75R$
TO TALISMÃ R$ 108.039,06 R$ 13.715,02 123.077,42R$ -R$ 15.624,07R$
TO TOCANTÍNIA R$ 203.043,15 R$ 10.803,91 231.305,49R$ -R$ 12.307,75R$
TO TOCANTINÓPOLIS R$ 108.039,06 R$ 18.513,64 123.077,42R$ -R$ 21.090,62R$
TO TUPIRAMA R$ 108.039,06 R$ 10.803,91 123.077,42R$ -R$ 12.307,75R$
TO TUPIRATINS R$ 108.039,06 R$ 10.803,91 123.077,42R$ -R$ 12.307,75R$
TO WANDERLÂNDIA R$ 108.039,06 R$ 10.803,91 123.077,42R$ -R$ 12.307,75R$
TO XAMBIOÁ R$ 108.039,06 R$ 19.754,27 123.077,42R$ -R$ 22.503,94R$
85

TSE Tabela com Limite de Gastos Eleições 2020

  • 1.
    Tribunal Superior Eleitoral PREFEITO 1ºTURNO 1º TURNO 2º TURNO AC ACRELÂNDIA R$ 108.039,06 R$ 10.803,91 123.077,42R$ -R$ 12.307,75R$ AC ASSIS BRASIL R$ 108.039,06 R$ 10.803,91 123.077,42R$ -R$ 12.307,75R$ AC BRASILÉIA R$ 108.039,06 R$ 15.201,10 123.077,42R$ -R$ 17.317,00R$ AC BUJARI R$ 108.039,06 R$ 10.803,91 123.077,42R$ -R$ 12.307,75R$ AC CAPIXABA R$ 108.039,06 R$ 10.803,91 123.077,42R$ -R$ 12.307,75R$ AC CRUZEIRO DO SUL R$ 568.224,37 R$ 21.313,31 647.317,65R$ -R$ 24.279,99R$ AC EPITACIOLÂNDIA R$ 108.039,06 R$ 10.803,91 123.077,42R$ -R$ 12.307,75R$ AC FEIJÓ R$ 108.039,06 R$ 16.308,97 123.077,42R$ -R$ 18.579,08R$ AC JORDÃO R$ 108.039,06 R$ 10.803,91 123.077,42R$ -R$ 12.307,75R$ AC MÂNCIO LIMA R$ 108.039,06 R$ 15.240,25 123.077,42R$ -R$ 17.361,60R$ AC MANOEL URBANO R$ 108.039,06 R$ 10.803,91 123.077,42R$ -R$ 12.307,75R$ AC MARECHAL THAUMATURGO R$ 108.039,06 R$ 10.803,91 123.077,42R$ -R$ 12.307,75R$ AC PLÁCIDO DE CASTRO R$ 200.004,09 R$ 33.472,81 227.843,41R$ -R$ 38.132,02R$ AC PORTO ACRE R$ 108.039,06 R$ 10.803,91 123.077,42R$ -R$ 12.307,75R$ AC PORTO WALTER R$ 108.039,06 R$ 10.803,91 123.077,42R$ -R$ 12.307,75R$ AC RIO BRANCO SIM R$ 222.066,85 R$ 119.325,63 252.977,17R$ 101.190,87R$ 135.935,01R$ AC RODRIGUES ALVES R$ 108.039,06 R$ 10.803,91 123.077,42R$ -R$ 12.307,75R$ AC SANTA ROSA DO PURUS R$ 108.039,06 R$ 10.803,91 123.077,42R$ -R$ 12.307,75R$ AC SENA MADUREIRA R$ 241.351,73 R$ 49.204,07 274.946,38R$ -R$ 56.052,97R$ AC SENADOR GUIOMARD R$ 152.695,09 R$ 19.364,88 173.949,29R$ -R$ 22.060,35R$ AC TARAUACÁ R$ 108.039,06 R$ 33.236,86 123.077,42R$ -R$ 37.863,22R$ AC XAPURI R$ 108.039,06 R$ 10.803,91 123.077,42R$ -R$ 12.307,75R$ AL ÁGUA BRANCA R$ 165.440,79 R$ 26.160,21 188.469,11R$ -R$ 29.801,55R$ AL ANADIA R$ 187.903,10 R$ 22.787,43 214.058,04R$ -R$ 25.959,30R$ AL ARAPIRACA R$ 1.963.837,57 R$ 83.333,25 2.237.191,48R$ -R$ 94.932,72R$ AL ATALAIA R$ 287.893,83 R$ 33.408,14 327.966,85R$ -R$ 38.058,34R$ AL BARRA DE SANTO ANTÔNIO R$ 108.039,06 R$ 39.396,03 123.077,42R$ -R$ 44.879,71R$ AL BARRA DE SÃO MIGUEL R$ 359.370,80 R$ 22.082,21 409.392,97R$ -R$ 25.155,92R$ AL BATALHA R$ 249.545,03 R$ 10.803,91 284.280,14R$ -R$ 12.307,75R$ AL BELÉM R$ 108.039,06 R$ 10.803,91 123.077,42R$ -R$ 12.307,75R$ AL BELO MONTE R$ 108.039,06 R$ 21.816,46 123.077,42R$ -R$ 24.853,17R$ AL BOCA DA MATA R$ 151.385,62 R$ 60.012,58 172.457,55R$ -R$ 68.365,96R$ AL BRANQUINHA R$ 157.670,47 R$ 10.803,91 179.617,21R$ -R$ 12.307,75R$ AL CACIMBINHAS R$ 137.760,38 R$ 18.150,38 156.935,76R$ -R$ 20.676,80R$ AL CAJUEIRO R$ 159.987,84 R$ 10.803,91 182.257,15R$ -R$ 12.307,75R$ AL CAMPESTRE R$ 108.039,06 R$ 10.803,91 123.077,42R$ -R$ 12.307,75R$ AL CAMPO ALEGRE R$ 444.545,95 R$ 21.253,16 506.423,97R$ -R$ 24.211,47R$ AL CAMPO GRANDE R$ 108.039,06 R$ 10.803,91 123.077,42R$ -R$ 12.307,75R$ AL CANAPI R$ 108.039,06 R$ 10.803,91 123.077,42R$ -R$ 12.307,75R$ AL CAPELA R$ 108.039,06 R$ 10.803,91 123.077,42R$ -R$ 12.307,75R$ AL CARNEIROS R$ 108.039,06 R$ 10.803,91 123.077,42R$ -R$ 12.307,75R$ AL CHÃ PRETA R$ 108.039,06 R$ 10.803,91 123.077,42R$ -R$ 12.307,75R$ AL COITÉ DO NÓIA R$ 139.250,80 R$ 17.949,66 158.633,64R$ -R$ 20.448,14R$ AL COLÔNIA LEOPOLDINA R$ 174.414,30 R$ 15.309,91 198.691,68R$ -R$ 17.440,95R$ AL COQUEIRO SECO R$ 108.039,06 R$ 10.803,91 123.077,42R$ -R$ 12.307,75R$ AL CORURIPE R$ 494.185,02 R$ 25.284,79 562.972,49R$ -R$ 28.804,27R$ AL CRAÍBAS R$ 163.977,83 R$ 21.890,24 186.802,52R$ -R$ 24.937,22R$ AL DELMIRO GOUVEIA R$ 449.093,95 R$ 48.850,79 511.605,02R$ -R$ 55.650,51R$ AL DOIS RIACHOS R$ 148.203,16 R$ 15.763,09 168.832,11R$ -R$ 17.957,21R$ AL ESTRELA DE ALAGOAS R$ 225.652,52 R$ 16.999,05 257.061,94R$ -R$ 19.365,21R$ AL FEIRA GRANDE R$ 178.601,87 R$ 33.816,46 203.462,13R$ -R$ 38.523,50R$ AL FELIZ DESERTO R$ 108.039,06 R$ 10.803,91 123.077,42R$ -R$ 12.307,75R$ AL FLEXEIRAS R$ 108.039,06 R$ 13.427,89 123.077,42R$ -R$ 15.296,97R$ AL GIRAU DO PONCIANO R$ 108.039,06 R$ 18.458,78 123.077,42R$ -R$ 21.028,13R$ AL IBATEGUARA R$ 108.039,06 R$ 10.803,91 123.077,42R$ -R$ 12.307,75R$ AL IGACI R$ 108.039,06 R$ 10.803,91 123.077,42R$ -R$ 12.307,75R$ AL IGREJA NOVA R$ 153.657,15 R$ 29.547,91 175.045,26R$ -R$ 33.660,79R$ AL INHAPI R$ 108.039,06 R$ 10.803,91 123.077,42R$ -R$ 12.307,75R$ AL JACARÉ DOS HOMENS R$ 108.039,06 R$ 10.803,91 123.077,42R$ -R$ 12.307,75R$ AL JACUÍPE R$ 108.039,06 R$ 10.803,91 123.077,42R$ -R$ 12.307,75R$ AL JAPARATINGA R$ 108.039,06 R$ 18.564,83 123.077,42R$ -R$ 21.148,94R$ AL JARAMATAIA R$ 108.039,06 R$ 10.803,91 123.077,42R$ -R$ 12.307,75R$ AL JEQUIÁ DA PRAIA R$ 247.158,34 R$ 31.358,58 281.561,24R$ -R$ 35.723,50R$ AL JOAQUIM GOMES R$ 108.039,06 R$ 23.014,02 123.077,42R$ -R$ 26.217,43R$ AL JUNDIÁ R$ 108.039,06 R$ 17.882,47 123.077,42R$ -R$ 20.371,60R$ AL JUNQUEIRO R$ 179.919,82 R$ 23.298,39 204.963,53R$ -R$ 26.541,38R$ UF POSSIBILIDADE DE SEGUNDO TURNO VEREADORVEREADOR LIMITE DE GASTOS OBSERVADO O MÍNIMO LEGAL (R$ 100,000,00 PARA PREFEITO E R$ 10.000,00 PARA VEREADOR ) EM 2016*** LIMITE DE GASTOS 2020 (ATUALIZADO PELO IPCA DE JUNHO/2016 ATÉ JUNHO/2020*) PREFEITO MUNICÍPIO** 1
  • 2.
    Tribunal Superior Eleitoral PREFEITO 1ºTURNO 1º TURNO 2º TURNO UF POSSIBILIDADE DE SEGUNDO TURNO VEREADORVEREADOR LIMITE DE GASTOS OBSERVADO O MÍNIMO LEGAL (R$ 100,000,00 PARA PREFEITO E R$ 10.000,00 PARA VEREADOR ) EM 2016*** LIMITE DE GASTOS 2020 (ATUALIZADO PELO IPCA DE JUNHO/2016 ATÉ JUNHO/2020*) PREFEITO MUNICÍPIO** AL LAGOA DA CANOA R$ 108.039,06 R$ 22.568,57 123.077,42R$ -R$ 25.709,97R$ AL LIMOEIRO DE ANADIA R$ 318.306,30 R$ 23.911,69 362.612,55R$ -R$ 27.240,05R$ AL MACEIÓ SIM R$ 4.504.729,69 R$ 220.429,76 5.131.759,90R$ 2.052.703,96R$ 251.112,20R$ AL MAJOR ISIDORO R$ 352.778,13 R$ 14.115,06 401.882,64R$ -R$ 16.079,79R$ AL MAR VERMELHO R$ 183.628,75 R$ 21.010,93 209.188,72R$ -R$ 23.935,52R$ AL MARAGOGI R$ 212.863,43 R$ 24.801,47 242.492,69R$ -R$ 28.253,68R$ AL MARAVILHA R$ 152.228,31 R$ 10.803,91 173.417,54R$ -R$ 12.307,75R$ AL MARECHAL DEODORO R$ 796.775,67 R$ 56.454,67 907.681,86R$ -R$ 64.312,81R$ AL MARIBONDO R$ 163.796,19 R$ 25.849,61 186.595,60R$ -R$ 29.447,71R$ AL MATA GRANDE R$ 108.039,06 R$ 42.071,01 123.077,42R$ -R$ 47.927,03R$ AL MATRIZ DE CAMARAGIBE R$ 108.039,06 R$ 16.872,17 123.077,42R$ -R$ 19.220,67R$ AL MESSIAS R$ 170.732,37 R$ 14.259,54 194.497,25R$ -R$ 16.244,38R$ AL MINADOR DO NEGRÃO R$ 108.039,06 R$ 10.803,91 123.077,42R$ -R$ 12.307,75R$ AL MONTEIRÓPOLIS R$ 108.039,06 R$ 10.803,91 123.077,42R$ -R$ 12.307,75R$ AL MURICI R$ 108.039,06 R$ 10.803,91 123.077,42R$ -R$ 12.307,75R$ AL NOVO LINO R$ 108.039,06 R$ 10.803,91 123.077,42R$ -R$ 12.307,75R$ AL OLHO D'ÁGUA DAS FLORES R$ 190.046,76 R$ 10.803,91 216.500,08R$ -R$ 12.307,75R$ AL OLHO D'ÁGUA DO CASADO R$ 108.039,06 R$ 10.803,91 123.077,42R$ -R$ 12.307,75R$ AL OLHO D'ÁGUA GRANDE R$ 108.039,06 R$ 10.803,91 123.077,42R$ -R$ 12.307,75R$ AL OLIVENÇA R$ 108.039,06 R$ 10.803,91 123.077,42R$ -R$ 12.307,75R$ AL OURO BRANCO R$ 108.039,06 R$ 10.803,91 123.077,42R$ -R$ 12.307,75R$ AL PALESTINA R$ 108.039,06 R$ 10.803,91 123.077,42R$ -R$ 12.307,75R$ AL PALMEIRA DOS ÍNDIOS R$ 467.709,70 R$ 34.057,23 532.811,97R$ -R$ 38.797,78R$ AL PÃO DE AÇÚCAR R$ 215.372,99 R$ 10.803,91 245.351,56R$ -R$ 12.307,75R$ AL PARICONHA R$ 199.031,82 R$ 10.803,91 226.735,81R$ -R$ 12.307,75R$ AL PARIPUEIRA R$ 108.039,06 R$ 15.497,44 123.077,42R$ -R$ 17.654,59R$ AL PASSO DE CAMARAGIBE R$ 169.288,22 R$ 35.433,20 192.852,08R$ -R$ 40.365,28R$ AL PAULO JACINTO R$ 108.039,06 R$ 18.227,10 123.077,42R$ -R$ 20.764,20R$ AL PENEDO R$ 405.229,47 R$ 26.685,37 461.634,88R$ -R$ 30.399,81R$ AL PIAÇABUÇU R$ 108.039,06 R$ 19.531,82 123.077,42R$ -R$ 22.250,53R$ AL PILAR R$ 817.819,39 R$ 64.258,98 931.654,74R$ -R$ 73.203,43R$ AL PINDOBA R$ 108.039,06 R$ 17.990,47 123.077,42R$ -R$ 20.494,63R$ AL PIRANHAS R$ 200.267,71 R$ 19.147,47 228.143,72R$ -R$ 21.812,68R$ AL POÇO DAS TRINCHEIRAS R$ 108.039,06 R$ 10.803,91 123.077,42R$ -R$ 12.307,75R$ AL PORTO CALVO R$ 487.627,90 R$ 13.983,13 555.502,66R$ -R$ 15.929,49R$ AL PORTO DE PEDRAS R$ 141.054,64 R$ 21.040,28 160.688,56R$ -R$ 23.968,96R$ AL PORTO REAL DO COLÉGIO R$ 108.039,06 R$ 13.907,02 123.077,42R$ -R$ 15.842,79R$ AL QUEBRANGULO R$ 108.039,06 R$ 10.803,91 123.077,42R$ -R$ 12.307,75R$ AL RIO LARGO R$ 326.696,30 R$ 43.726,55 372.170,38R$ -R$ 49.813,01R$ AL ROTEIRO R$ 108.039,06 R$ 10.803,91 123.077,42R$ -R$ 12.307,75R$ AL SANTA LUZIA DO NORTE R$ 108.039,06 R$ 10.803,91 123.077,42R$ -R$ 12.307,75R$ AL SANTANA DO IPANEMA R$ 146.835,26 R$ 25.112,33 167.273,81R$ -R$ 28.607,81R$ AL SANTANA DO MUNDAÚ R$ 108.039,06 R$ 15.492,49 123.077,42R$ -R$ 17.648,95R$ AL SÃO BRÁS R$ 108.039,06 R$ 17.337,92 123.077,42R$ -R$ 19.751,25R$ AL SÃO JOSÉ DA LAJE R$ 257.039,32 R$ 15.570,02 292.817,59R$ -R$ 17.737,27R$ AL SÃO JOSÉ DA TAPERA R$ 168.640,17 R$ 32.668,15 192.113,83R$ -R$ 37.215,35R$ AL SÃO LUÍS DO QUITUNDE R$ 200.952,53 R$ 16.213,85 228.923,87R$ -R$ 18.470,72R$ AL SÃO MIGUEL DOS CAMPOS R$ 2.311.599,47 R$ 61.797,69 2.633.359,67R$ -R$ 70.399,54R$ AL SÃO MIGUEL DOS MILAGRES R$ 108.039,06 R$ 23.666,64 123.077,42R$ -R$ 26.960,89R$ AL SÃO SEBASTIÃO R$ 469.325,15 R$ 30.182,55 534.652,28R$ -R$ 34.383,77R$ AL SATUBA R$ 108.039,06 R$ 13.652,61 123.077,42R$ -R$ 15.552,97R$ AL SENADOR RUI PALMEIRA R$ 205.859,37 R$ 24.717,10 234.513,71R$ -R$ 28.157,57R$ AL TANQUE D'ARCA R$ 108.039,06 R$ 17.041,18 123.077,42R$ -R$ 19.413,21R$ AL TAQUARANA R$ 228.546,38 R$ 29.341,09 260.358,61R$ -R$ 33.425,19R$ AL TEOTÔNIO VILELA R$ 257.266,00 R$ 52.840,57 293.075,82R$ -R$ 60.195,65R$ AL TRAIPU R$ 161.853,09 R$ 10.803,91 184.382,03R$ -R$ 12.307,75R$ AL UNIÃO DOS PALMARES R$ 297.773,26 R$ 32.331,43 339.221,44R$ -R$ 36.831,76R$ AL VIÇOSA R$ 197.532,62 R$ 17.001,88 225.027,93R$ -R$ 19.368,44R$ AM ALVARÃES R$ 108.039,06 R$ 10.803,91 123.077,42R$ -R$ 12.307,75R$ AM AMATURÁ R$ 108.039,06 R$ 10.803,91 123.077,42R$ -R$ 12.307,75R$ AM ANAMÃ R$ 613.178,16 R$ 15.857,66 698.528,73R$ -R$ 18.064,95R$ AM ANORI R$ 223.610,79 R$ 10.803,91 254.736,01R$ -R$ 12.307,75R$ AM APUÍ R$ 108.039,06 R$ 19.489,15 123.077,42R$ -R$ 22.201,92R$ AM ATALAIA DO NORTE R$ 135.185,73 R$ 10.803,91 154.002,74R$ -R$ 12.307,75R$ AM AUTAZES R$ 152.431,18 R$ 19.382,00 173.648,65R$ -R$ 22.079,85R$ AM BARCELOS R$ 108.039,06 R$ 18.758,69 123.077,42R$ -R$ 21.369,78R$ 2
  • 3.
    Tribunal Superior Eleitoral PREFEITO 1ºTURNO 1º TURNO 2º TURNO UF POSSIBILIDADE DE SEGUNDO TURNO VEREADORVEREADOR LIMITE DE GASTOS OBSERVADO O MÍNIMO LEGAL (R$ 100,000,00 PARA PREFEITO E R$ 10.000,00 PARA VEREADOR ) EM 2016*** LIMITE DE GASTOS 2020 (ATUALIZADO PELO IPCA DE JUNHO/2016 ATÉ JUNHO/2020*) PREFEITO MUNICÍPIO** AM BARREIRINHA R$ 108.039,06 R$ 26.632,46 123.077,42R$ -R$ 30.339,53R$ AM BENJAMIN CONSTANT R$ 242.837,36 R$ 10.803,91 276.638,80R$ -R$ 12.307,75R$ AM BERURI R$ 221.819,05 R$ 20.649,15 252.694,88R$ -R$ 23.523,38R$ AM BOA VISTA DO RAMOS R$ 108.039,06 R$ 10.803,91 123.077,42R$ -R$ 12.307,75R$ AM BOCA DO ACRE R$ 275.893,92 R$ 18.127,32 314.296,63R$ -R$ 20.650,53R$ AM BORBA R$ 108.039,06 R$ 10.803,91 123.077,42R$ -R$ 12.307,75R$ AM CAAPIRANGA R$ 108.039,06 R$ 10.803,91 123.077,42R$ -R$ 12.307,75R$ AM CANUTAMA R$ 141.472,51 R$ 13.725,64 161.164,60R$ -R$ 15.636,16R$ AM CARAUARI R$ 238.951,07 R$ 72.554,24 272.211,57R$ -R$ 82.653,34R$ AM CAREIRO R$ 283.092,98 R$ 24.651,47 322.497,75R$ -R$ 28.082,80R$ AM CAREIRO DA VÁRZEA R$ 108.039,06 R$ 10.803,91 123.077,42R$ -R$ 12.307,75R$ AM COARI R$ 1.391.726,59 R$ 68.577,27 1.585.446,23R$ -R$ 78.122,80R$ AM CODAJÁS R$ 179.958,26 R$ 19.163,84 205.007,32R$ -R$ 21.831,33R$ AM EIRUNEPÉ R$ 108.039,06 R$ 17.818,33 123.077,42R$ -R$ 20.298,53R$ AM ENVIRA R$ 108.039,06 R$ 10.803,91 123.077,42R$ -R$ 12.307,75R$ AM FONTE BOA R$ 278.038,11 R$ 23.702,69 316.739,28R$ -R$ 27.001,96R$ AM GUAJARÁ R$ 108.039,06 R$ 10.803,91 123.077,42R$ -R$ 12.307,75R$ AM HUMAITÁ R$ 108.039,06 R$ 18.820,21 123.077,42R$ -R$ 21.439,87R$ AM IPIXUNA R$ 108.039,06 R$ 10.803,91 123.077,42R$ -R$ 12.307,75R$ AM IRANDUBA R$ 323.402,45 R$ 54.213,43 368.418,05R$ -R$ 61.759,60R$ AM ITACOATIARA R$ 321.781,05 R$ 62.044,59 366.570,96R$ -R$ 70.680,81R$ AM ITAMARATI R$ 199.438,00 R$ 10.803,91 227.198,52R$ -R$ 12.307,75R$ AM ITAPIRANGA R$ 108.039,06 R$ 10.803,91 123.077,42R$ -R$ 12.307,75R$ AM JAPURÁ R$ 108.039,06 R$ 10.803,91 123.077,42R$ -R$ 12.307,75R$ AM JURUÁ R$ 207.169,50 R$ 10.803,91 236.006,20R$ -R$ 12.307,75R$ AM JUTAÍ R$ 108.039,06 R$ 10.803,91 123.077,42R$ -R$ 12.307,75R$ AM LÁBREA R$ 204.736,41 R$ 22.279,94 233.234,44R$ -R$ 25.381,17R$ AM MANACAPURU R$ 840.371,33 R$ 31.554,28 957.345,77R$ -R$ 35.946,44R$ AM MANAQUIRI R$ 570.533,72 R$ 19.917,58 649.948,45R$ -R$ 22.689,98R$ AM MANAUS SIM R$ 8.977.801,98 R$ 551.706,39 10.227.455,89R$ 4.090.982,36R$ 628.500,47R$ AM MANICORÉ R$ 332.769,83 R$ 25.088,02 379.089,31R$ -R$ 28.580,12R$ AM MARAÃ R$ 196.710,63 R$ 10.803,91 224.091,52R$ -R$ 12.307,75R$ AM MAUÉS R$ 308.079,43 R$ 33.146,03 350.962,16R$ -R$ 37.759,75R$ AM NHAMUNDÁ R$ 108.039,06 R$ 10.803,91 123.077,42R$ -R$ 12.307,75R$ AM NOVA OLINDA DO NORTE R$ 266.157,98 R$ 14.043,99 303.205,51R$ -R$ 15.998,83R$ AM NOVO AIRÃO R$ 108.039,06 R$ 17.445,96 123.077,42R$ -R$ 19.874,33R$ AM NOVO ARIPUANÃ R$ 108.039,06 R$ 14.044,93 123.077,42R$ -R$ 15.999,90R$ AM PARINTINS R$ 547.735,41 R$ 74.211,54 623.976,76R$ -R$ 84.541,32R$ AM PAUINI R$ 108.039,06 R$ 15.994,37 123.077,42R$ -R$ 18.220,69R$ AM PRESIDENTE FIGUEIREDO R$ 586.380,04 R$ 125.903,05 668.000,48R$ -R$ 143.427,97R$ AM RIO PRETO DA EVA R$ 405.017,64 R$ 24.681,62 461.393,56R$ -R$ 28.117,15R$ AM SANTA ISABEL DO RIO NEGRO R$ 166.784,93 R$ 10.803,91 190.000,35R$ -R$ 12.307,75R$ AM SANTO ANTÔNIO DO IÇÁ R$ 154.809,30 R$ 14.023,39 176.357,79R$ -R$ 15.975,36R$ AM SÃO GABRIEL DA CACHOEIRA R$ 108.039,06 R$ 26.073,06 123.077,42R$ -R$ 29.702,27R$ AM SÃO PAULO DE OLIVENÇA R$ 206.793,80 R$ 10.803,91 235.578,20R$ -R$ 12.307,75R$ AM SÃO SEBASTIÃO DO UATUMÃ R$ 108.039,06 R$ 10.803,91 123.077,42R$ -R$ 12.307,75R$ AM SILVES R$ 108.039,06 R$ 10.803,91 123.077,42R$ -R$ 12.307,75R$ AM TABATINGA R$ 339.696,29 R$ 18.352,04 386.979,89R$ -R$ 20.906,53R$ AM TAPAUÁ R$ 108.039,06 R$ 10.803,91 123.077,42R$ -R$ 12.307,75R$ AM TEFÉ R$ 748.814,91 R$ 19.850,17 853.045,26R$ -R$ 22.613,19R$ AM TONANTINS R$ 237.381,41 R$ 10.803,91 270.423,42R$ -R$ 12.307,75R$ AM UARINI R$ 204.517,60 R$ 10.803,91 232.985,17R$ -R$ 12.307,75R$ AM URUCARÁ R$ 192.431,70 R$ 10.803,91 219.216,99R$ -R$ 12.307,75R$ AM URUCURITUBA R$ 108.039,06 R$ 16.900,73 123.077,42R$ -R$ 19.253,21R$ AP AMAPÁ R$ 108.039,06 R$ 10.803,91 123.077,42R$ -R$ 12.307,75R$ AP CALÇOENE R$ 255.767,54 R$ 10.803,91 291.368,78R$ -R$ 12.307,75R$ AP CUTIAS R$ 108.039,06 R$ 18.726,57 123.077,42R$ -R$ 21.333,19R$ AP FERREIRA GOMES R$ 108.039,06 R$ 10.803,91 123.077,42R$ -R$ 12.307,75R$ AP ITAUBAL R$ 108.039,06 R$ 10.803,91 123.077,42R$ -R$ 12.307,75R$ AP LARANJAL DO JARI R$ 108.039,06 R$ 14.624,65 123.077,42R$ -R$ 16.660,31R$ AP MACAPÁ SIM R$ 1.182.802,88 R$ 133.202,77 1.347.441,65R$ 538.976,66R$ 151.743,76R$ AP MAZAGÃO R$ 289.362,73 R$ 21.199,10 329.640,21R$ -R$ 24.149,88R$ AP OIAPOQUE R$ 108.039,06 R$ 10.803,91 123.077,42R$ -R$ 12.307,75R$ AP PEDRA BRANCA DO AMAPARI R$ 108.039,06 R$ 19.433,50 123.077,42R$ -R$ 22.138,52R$ AP PORTO GRANDE R$ 108.039,06 R$ 10.803,91 123.077,42R$ -R$ 12.307,75R$ AP PRACUÚBA R$ 108.039,06 R$ 10.803,91 123.077,42R$ -R$ 12.307,75R$ 3
  • 4.
    Tribunal Superior Eleitoral PREFEITO 1ºTURNO 1º TURNO 2º TURNO UF POSSIBILIDADE DE SEGUNDO TURNO VEREADORVEREADOR LIMITE DE GASTOS OBSERVADO O MÍNIMO LEGAL (R$ 100,000,00 PARA PREFEITO E R$ 10.000,00 PARA VEREADOR ) EM 2016*** LIMITE DE GASTOS 2020 (ATUALIZADO PELO IPCA DE JUNHO/2016 ATÉ JUNHO/2020*) PREFEITO MUNICÍPIO** AP SANTANA R$ 413.485,05 R$ 59.644,14 471.039,58R$ -R$ 67.946,23R$ AP SERRA DO NAVIO R$ 108.039,06 R$ 10.803,91 123.077,42R$ -R$ 12.307,75R$ AP TARTARUGALZINHO R$ 108.039,06 R$ 10.803,91 123.077,42R$ -R$ 12.307,75R$ AP VITÓRIA DO JARI R$ 108.039,06 R$ 13.940,02 123.077,42R$ -R$ 15.880,38R$ BA ABAÍRA R$ 108.039,06 R$ 10.803,91 123.077,42R$ -R$ 12.307,75R$ BA ABARÉ R$ 108.039,06 R$ 10.803,91 123.077,42R$ -R$ 12.307,75R$ BA ACAJUTIBA R$ 108.039,06 R$ 10.803,91 123.077,42R$ -R$ 12.307,75R$ BA ADUSTINA R$ 108.039,06 R$ 10.803,91 123.077,42R$ -R$ 12.307,75R$ BA ÁGUA FRIA R$ 108.039,06 R$ 10.803,91 123.077,42R$ -R$ 12.307,75R$ BA AIQUARA R$ 108.039,06 R$ 10.803,91 123.077,42R$ -R$ 12.307,75R$ BA ALAGOINHAS R$ 837.667,71 R$ 29.312,20 954.265,82R$ -R$ 33.392,28R$ BA ALCOBAÇA R$ 108.039,06 R$ 10.803,91 123.077,42R$ -R$ 12.307,75R$ BA ALMADINA R$ 108.039,06 R$ 10.803,91 123.077,42R$ -R$ 12.307,75R$ BA AMARGOSA R$ 328.930,18 R$ 17.471,89 374.715,20R$ -R$ 19.903,87R$ BA AMÉLIA RODRIGUES R$ 108.039,06 R$ 10.803,91 123.077,42R$ -R$ 12.307,75R$ BA AMÉRICA DOURADA R$ 108.039,06 R$ 10.803,91 123.077,42R$ -R$ 12.307,75R$ BA ANAGÉ R$ 169.068,00 R$ 14.232,20 192.601,21R$ -R$ 16.213,23R$ BA ANDARAÍ R$ 108.039,06 R$ 10.803,91 123.077,42R$ -R$ 12.307,75R$ BA ANDORINHA R$ 108.039,06 R$ 10.803,91 123.077,42R$ -R$ 12.307,75R$ BA ANGICAL R$ 108.039,06 R$ 10.803,91 123.077,42R$ -R$ 12.307,75R$ BA ANGUERA R$ 108.039,06 R$ 10.803,91 123.077,42R$ -R$ 12.307,75R$ BA ANTAS R$ 158.848,16 R$ 10.803,91 180.958,83R$ -R$ 12.307,75R$ BA ANTÔNIO CARDOSO R$ 108.039,06 R$ 34.395,08 123.077,42R$ -R$ 39.182,66R$ BA ANTÔNIO GONÇALVES R$ 108.039,06 R$ 10.803,91 123.077,42R$ -R$ 12.307,75R$ BA APORÁ R$ 108.039,06 R$ 10.803,91 123.077,42R$ -R$ 12.307,75R$ BA APUAREMA R$ 108.039,06 R$ 10.803,91 123.077,42R$ -R$ 12.307,75R$ BA ARAÇÁS R$ 166.962,73 R$ 10.803,91 190.202,90R$ -R$ 12.307,75R$ BA ARACATU R$ 108.039,06 R$ 10.803,91 123.077,42R$ -R$ 12.307,75R$ BA ARACI R$ 256.478,78 R$ 25.357,17 292.179,02R$ -R$ 28.886,73R$ BA ARAMARI R$ 108.039,06 R$ 10.803,91 123.077,42R$ -R$ 12.307,75R$ BA ARATACA R$ 108.039,06 R$ 10.803,91 123.077,42R$ -R$ 12.307,75R$ BA ARATUÍPE R$ 108.039,06 R$ 10.803,91 123.077,42R$ -R$ 12.307,75R$ BA AURELINO LEAL R$ 108.039,06 R$ 10.803,91 123.077,42R$ -R$ 12.307,75R$ BA BAIANÓPOLIS R$ 108.039,06 R$ 10.803,91 123.077,42R$ -R$ 12.307,75R$ BA BAIXA GRANDE R$ 108.039,06 R$ 27.598,29 123.077,42R$ -R$ 31.439,80R$ BA BANZAÊ R$ 108.039,06 R$ 10.803,91 123.077,42R$ -R$ 12.307,75R$ BA BARRA R$ 276.685,12 R$ 10.803,91 315.197,96R$ -R$ 12.307,75R$ BA BARRA DA ESTIVA R$ 108.039,06 R$ 10.803,91 123.077,42R$ -R$ 12.307,75R$ BA BARRA DO CHOÇA R$ 210.109,81 R$ 14.861,61 239.355,78R$ -R$ 16.930,25R$ BA BARRA DO MENDES R$ 108.039,06 R$ 10.803,91 123.077,42R$ -R$ 12.307,75R$ BA BARRA DO ROCHA R$ 108.039,06 R$ 10.803,91 123.077,42R$ -R$ 12.307,75R$ BA BARREIRAS R$ 744.698,90 R$ 41.289,69 848.356,33R$ -R$ 47.036,96R$ BA BARRO ALTO R$ 108.039,06 R$ 10.803,91 123.077,42R$ -R$ 12.307,75R$ BA BARRO PRETO R$ 108.039,06 R$ 10.803,91 123.077,42R$ -R$ 12.307,75R$ BA BARROCAS R$ 108.039,06 R$ 10.803,91 123.077,42R$ -R$ 12.307,75R$ BA BELMONTE R$ 108.039,06 R$ 10.803,91 123.077,42R$ -R$ 12.307,75R$ BA BELO CAMPO R$ 215.586,40 R$ 10.803,91 245.594,68R$ -R$ 12.307,75R$ BA BIRITINGA R$ 108.039,06 R$ 10.803,91 123.077,42R$ -R$ 12.307,75R$ BA BOA NOVA R$ 108.039,06 R$ 10.803,91 123.077,42R$ -R$ 12.307,75R$ BA BOA VISTA DO TUPIM R$ 108.039,06 R$ 13.576,77 123.077,42R$ -R$ 15.466,57R$ BA BOM JESUS DA LAPA R$ 293.925,70 R$ 20.725,63 334.838,32R$ -R$ 23.610,51R$ BA BOM JESUS DA SERRA R$ 108.039,06 R$ 10.803,91 123.077,42R$ -R$ 12.307,75R$ BA BONINAL R$ 108.039,06 R$ 10.803,91 123.077,42R$ -R$ 12.307,75R$ BA BONITO R$ 108.039,06 R$ 10.803,91 123.077,42R$ -R$ 12.307,75R$ BA BOQUIRA R$ 108.039,06 R$ 10.803,91 123.077,42R$ -R$ 12.307,75R$ BA BOTUPORÃ R$ 108.039,06 R$ 10.803,91 123.077,42R$ -R$ 12.307,75R$ BA BREJÕES R$ 146.613,23 R$ 10.803,91 167.020,88R$ -R$ 12.307,75R$ BA BREJOLÂNDIA R$ 108.039,06 R$ 10.803,91 123.077,42R$ -R$ 12.307,75R$ BA BROTAS DE MACAÚBAS R$ 108.039,06 R$ 10.803,91 123.077,42R$ -R$ 12.307,75R$ BA BRUMADO R$ 292.443,77 R$ 46.681,24 333.150,11R$ -R$ 53.178,98R$ BA BUERAREMA R$ 108.039,06 R$ 10.803,91 123.077,42R$ -R$ 12.307,75R$ BA BURITIRAMA R$ 108.039,06 R$ 10.803,91 123.077,42R$ -R$ 12.307,75R$ BA CAATIBA R$ 108.039,06 R$ 10.803,91 123.077,42R$ -R$ 12.307,75R$ BA CABACEIRAS DO PARAGUAÇU R$ 108.039,06 R$ 10.803,91 123.077,42R$ -R$ 12.307,75R$ BA CACHOEIRA R$ 164.606,58 R$ 10.803,91 187.518,79R$ -R$ 12.307,75R$ BA CACULÉ R$ 108.039,06 R$ 14.895,24 123.077,42R$ -R$ 16.968,56R$ 4
  • 5.
    Tribunal Superior Eleitoral PREFEITO 1ºTURNO 1º TURNO 2º TURNO UF POSSIBILIDADE DE SEGUNDO TURNO VEREADORVEREADOR LIMITE DE GASTOS OBSERVADO O MÍNIMO LEGAL (R$ 100,000,00 PARA PREFEITO E R$ 10.000,00 PARA VEREADOR ) EM 2016*** LIMITE DE GASTOS 2020 (ATUALIZADO PELO IPCA DE JUNHO/2016 ATÉ JUNHO/2020*) PREFEITO MUNICÍPIO** BA CAEM R$ 108.039,06 R$ 10.803,91 123.077,42R$ -R$ 12.307,75R$ BA CAETANOS R$ 108.039,06 R$ 10.803,91 123.077,42R$ -R$ 12.307,75R$ BA CAETITÉ R$ 531.467,90 R$ 32.574,87 605.444,91R$ -R$ 37.109,09R$ BA CAFARNAUM R$ 108.039,06 R$ 10.803,91 123.077,42R$ -R$ 12.307,75R$ BA CAIRU R$ 234.082,16 R$ 14.887,63 266.664,93R$ -R$ 16.959,90R$ BA CALDEIRÃO GRANDE R$ 108.039,06 R$ 10.803,91 123.077,42R$ -R$ 12.307,75R$ BA CAMACÃ R$ 108.039,06 R$ 10.803,91 123.077,42R$ -R$ 12.307,75R$ BA CAMAÇARI R$ 4.117.178,04 R$ 214.842,78 4.690.263,49R$ -R$ 244.747,55R$ BA CAMAMU R$ 108.039,06 R$ 10.803,91 123.077,42R$ -R$ 12.307,75R$ BA CAMPO ALEGRE DE LOURDES R$ 108.039,06 R$ 10.803,91 123.077,42R$ -R$ 12.307,75R$ BA CAMPO FORMOSO R$ 556.877,75 R$ 43.090,78 634.391,65R$ -R$ 49.088,75R$ BA CANÁPOLIS R$ 108.039,06 R$ 10.803,91 123.077,42R$ -R$ 12.307,75R$ BA CANARANA R$ 108.039,06 R$ 10.803,91 123.077,42R$ -R$ 12.307,75R$ BA CANAVIEIRAS R$ 229.321,27 R$ 18.026,33 261.241,36R$ -R$ 20.535,48R$ BA CANDEAL R$ 108.039,06 R$ 10.803,91 123.077,42R$ -R$ 12.307,75R$ BA CANDEIAS R$ 1.132.297,07 R$ 54.446,31 1.289.905,74R$ -R$ 62.024,90R$ BA CANDIBA R$ 108.039,06 R$ 10.803,91 123.077,42R$ -R$ 12.307,75R$ BA CÂNDIDO SALES R$ 108.039,06 R$ 15.774,34 123.077,42R$ -R$ 17.970,03R$ BA CANSANÇÃO R$ 108.039,06 R$ 10.803,91 123.077,42R$ -R$ 12.307,75R$ BA CANUDOS R$ 108.039,06 R$ 10.803,91 123.077,42R$ -R$ 12.307,75R$ BA CAPELA DO ALTO ALEGRE R$ 108.039,06 R$ 15.771,52 123.077,42R$ -R$ 17.966,82R$ BA CAPIM GROSSO R$ 306.262,91 R$ 15.092,68 348.892,79R$ -R$ 17.193,49R$ BA CARAÍBAS R$ 108.039,06 R$ 10.803,91 123.077,42R$ -R$ 12.307,75R$ BA CARAVELAS R$ 138.576,64 R$ 10.803,91 157.865,64R$ -R$ 12.307,75R$ BA CARDEAL DA SILVA R$ 108.039,06 R$ 10.803,91 123.077,42R$ -R$ 12.307,75R$ BA CARINHANHA R$ 153.834,81 R$ 21.512,15 175.247,65R$ -R$ 24.506,51R$ BA CASA NOVA R$ 457.864,37 R$ 37.336,00 521.596,23R$ -R$ 42.532,94R$ BA CASTRO ALVES R$ 229.572,46 R$ 13.532,05 261.527,51R$ -R$ 15.415,63R$ BA CATOLÂNDIA R$ 108.039,06 R$ 10.803,91 123.077,42R$ -R$ 12.307,75R$ BA CATU R$ 411.469,09 R$ 14.606,73 468.743,02R$ -R$ 16.639,90R$ BA CATURAMA R$ 108.039,06 R$ 10.803,91 123.077,42R$ -R$ 12.307,75R$ BA CENTRAL R$ 108.039,06 R$ 10.803,91 123.077,42R$ -R$ 12.307,75R$ BA CHORROCHÓ R$ 108.039,06 R$ 10.803,91 123.077,42R$ -R$ 12.307,75R$ BA CÍCERO DANTAS R$ 241.540,78 R$ 25.290,24 275.161,75R$ -R$ 28.810,48R$ BA CIPÓ R$ 108.039,06 R$ 10.803,91 123.077,42R$ -R$ 12.307,75R$ BA COARACI R$ 108.039,06 R$ 10.803,91 123.077,42R$ -R$ 12.307,75R$ BA COCOS R$ 146.882,06 R$ 10.803,91 167.327,12R$ -R$ 12.307,75R$ BA CONCEIÇÃO DA FEIRA R$ 153.820,61 R$ 24.383,64 175.231,48R$ -R$ 27.777,69R$ BA CONCEIÇÃO DO ALMEIDA R$ 108.039,06 R$ 13.773,37 123.077,42R$ -R$ 15.690,54R$ BA CONCEIÇÃO DO COITÉ R$ 318.477,21 R$ 17.297,17 362.807,25R$ -R$ 19.704,83R$ BA CONCEIÇÃO DO JACUÍPE R$ 108.039,06 R$ 10.803,91 123.077,42R$ -R$ 12.307,75R$ BA CONDE R$ 235.776,92 R$ 10.803,91 268.595,59R$ -R$ 12.307,75R$ BA CONDEÚBA R$ 108.039,06 R$ 19.701,63 123.077,42R$ -R$ 22.443,97R$ BA CONTENDAS DO SINCORÁ R$ 108.039,06 R$ 10.803,91 123.077,42R$ -R$ 12.307,75R$ BA CORAÇÃO DE MARIA R$ 237.263,65 R$ 14.592,68 270.289,27R$ -R$ 16.623,89R$ BA CORDEIROS R$ 108.039,06 R$ 10.803,91 123.077,42R$ -R$ 12.307,75R$ BA CORIBE R$ 220.464,24 R$ 10.803,91 251.151,48R$ -R$ 12.307,75R$ BA CORONEL JOÃO SÁ R$ 151.778,88 R$ 10.803,91 172.905,55R$ -R$ 12.307,75R$ BA CORRENTINA R$ 196.438,72 R$ 35.458,35 223.781,76R$ -R$ 40.393,93R$ BA COTEGIPE R$ 108.039,06 R$ 10.803,91 123.077,42R$ -R$ 12.307,75R$ BA CRAVOLÂNDIA R$ 141.255,25 R$ 10.803,91 160.917,10R$ -R$ 12.307,75R$ BA CRISÓPOLIS R$ 108.039,06 R$ 19.295,86 123.077,42R$ -R$ 21.981,72R$ BA CRISTÓPOLIS R$ 271.568,47 R$ 16.490,62 309.369,10R$ -R$ 18.786,01R$ BA CRUZ DAS ALMAS R$ 247.283,94 R$ 39.325,80 281.704,32R$ -R$ 44.799,71R$ BA CURAÇÁ R$ 178.005,44 R$ 14.206,91 202.782,68R$ -R$ 16.184,42R$ BA DÁRIO MEIRA R$ 108.039,06 R$ 10.803,91 123.077,42R$ -R$ 12.307,75R$ BA DIAS D'ÁVILA R$ 631.608,79 R$ 138.735,82 719.524,79R$ -R$ 158.046,98R$ BA DOM BASÍLIO R$ 108.039,06 R$ 10.803,91 123.077,42R$ -R$ 12.307,75R$ BA DOM MACEDO COSTA R$ 108.039,06 R$ 10.803,91 123.077,42R$ -R$ 12.307,75R$ BA ELÍSIO MEDRADO R$ 108.039,06 R$ 23.240,81 123.077,42R$ -R$ 26.475,79R$ BA ENCRUZILHADA R$ 142.334,54 R$ 14.587,59 162.146,62R$ -R$ 16.618,09R$ BA ENTRE RIOS R$ 697.967,39 R$ 16.590,81 795.120,09R$ -R$ 18.900,15R$ BA ÉRICO CARDOSO R$ 108.039,06 R$ 10.803,91 123.077,42R$ -R$ 12.307,75R$ BA ESPLANADA R$ 108.039,06 R$ 15.716,28 123.077,42R$ -R$ 17.903,89R$ BA EUCLIDES DA CUNHA R$ 587.032,38 R$ 36.798,80 668.743,62R$ -R$ 41.920,96R$ BA EUNÁPOLIS R$ 223.157,43 R$ 42.716,25 254.219,55R$ -R$ 48.662,08R$ 5
  • 6.
    Tribunal Superior Eleitoral PREFEITO 1ºTURNO 1º TURNO 2º TURNO UF POSSIBILIDADE DE SEGUNDO TURNO VEREADORVEREADOR LIMITE DE GASTOS OBSERVADO O MÍNIMO LEGAL (R$ 100,000,00 PARA PREFEITO E R$ 10.000,00 PARA VEREADOR ) EM 2016*** LIMITE DE GASTOS 2020 (ATUALIZADO PELO IPCA DE JUNHO/2016 ATÉ JUNHO/2020*) PREFEITO MUNICÍPIO** BA FÁTIMA R$ 108.039,06 R$ 15.323,58 123.077,42R$ -R$ 17.456,53R$ BA FEIRA DA MATA R$ 108.039,06 R$ 10.803,91 123.077,42R$ -R$ 12.307,75R$ BA FEIRA DE SANTANA SIM R$ 1.587.234,71 R$ 66.792,43 1.808.167,86R$ 723.267,14R$ 76.089,52R$ BA FILADÉLFIA R$ 162.608,45 R$ 10.803,91 185.242,53R$ -R$ 12.307,75R$ BA FIRMINO ALVES R$ 108.039,06 R$ 10.803,91 123.077,42R$ -R$ 12.307,75R$ BA FLORESTA AZUL R$ 108.039,06 R$ 10.803,91 123.077,42R$ -R$ 12.307,75R$ BA FORMOSA DO RIO PRETO R$ 248.706,45 R$ 13.923,21 283.324,83R$ -R$ 15.861,23R$ BA GANDU R$ 329.527,68 R$ 10.803,91 375.395,87R$ -R$ 12.307,75R$ BA GAVIÃO R$ 108.039,06 R$ 10.803,91 123.077,42R$ -R$ 12.307,75R$ BA GENTIO DO OURO R$ 108.039,06 R$ 10.803,91 123.077,42R$ -R$ 12.307,75R$ BA GLÓRIA R$ 278.341,59 R$ 18.376,92 317.085,00R$ -R$ 20.934,87R$ BA GONGOGI R$ 108.039,06 R$ 10.803,91 123.077,42R$ -R$ 12.307,75R$ BA GOVERNADOR MANGABEIRA R$ 108.039,06 R$ 18.371,64 123.077,42R$ -R$ 20.928,86R$ BA GUAJERU R$ 108.039,06 R$ 10.803,91 123.077,42R$ -R$ 12.307,75R$ BA GUANAMBI R$ 439.300,89 R$ 63.912,96 500.448,83R$ -R$ 72.809,24R$ BA GUARATINGA R$ 108.039,06 R$ 10.803,91 123.077,42R$ -R$ 12.307,75R$ BA HELIÓPOLIS R$ 108.039,06 R$ 10.803,91 123.077,42R$ -R$ 12.307,75R$ BA IAÇU R$ 108.039,06 R$ 10.803,91 123.077,42R$ -R$ 12.307,75R$ BA IBIASSUCÊ R$ 108.039,06 R$ 10.803,91 123.077,42R$ -R$ 12.307,75R$ BA IBICARAÍ R$ 253.785,45 R$ 19.953,16 289.110,80R$ -R$ 22.730,52R$ BA IBICOARA R$ 108.039,06 R$ 10.803,91 123.077,42R$ -R$ 12.307,75R$ BA IBICUÍ R$ 108.039,06 R$ 10.803,91 123.077,42R$ -R$ 12.307,75R$ BA IBIPEBA R$ 108.039,06 R$ 10.803,91 123.077,42R$ -R$ 12.307,75R$ BA IBIPITANGA R$ 108.039,06 R$ 10.803,91 123.077,42R$ -R$ 12.307,75R$ BA IBIQUERA R$ 108.039,06 R$ 10.803,91 123.077,42R$ -R$ 12.307,75R$ BA IBIRAPITANGA R$ 166.140,42 R$ 10.803,91 189.266,13R$ -R$ 12.307,75R$ BA IBIRAPUÃ R$ 190.571,44 R$ 10.803,91 217.097,79R$ -R$ 12.307,75R$ BA IBIRATAIA R$ 176.024,17 R$ 10.803,91 200.525,63R$ -R$ 12.307,75R$ BA IBITIARA R$ 108.039,06 R$ 10.803,91 123.077,42R$ -R$ 12.307,75R$ BA IBITITÁ R$ 108.039,06 R$ 10.803,91 123.077,42R$ -R$ 12.307,75R$ BA IBOTIRAMA R$ 108.039,06 R$ 31.881,99 123.077,42R$ -R$ 36.319,76R$ BA ICHU R$ 108.039,06 R$ 10.803,91 123.077,42R$ -R$ 12.307,75R$ BA IGAPORÃ R$ 108.039,06 R$ 13.750,92 123.077,42R$ -R$ 15.664,96R$ BA IGRAPIÚNA R$ 108.039,06 R$ 10.803,91 123.077,42R$ -R$ 12.307,75R$ BA IGUAÍ R$ 108.039,06 R$ 10.803,91 123.077,42R$ -R$ 12.307,75R$ BA ILHÉUS R$ 501.343,54 R$ 96.623,90 571.127,43R$ -R$ 110.073,34R$ BA INHAMBUPE R$ 317.415,41 R$ 19.503,73 361.597,65R$ -R$ 22.218,53R$ BA IPECAETÁ R$ 245.661,93 R$ 10.803,91 279.856,53R$ -R$ 12.307,75R$ BA IPIAÚ R$ 461.522,39 R$ 14.126,30 525.763,42R$ -R$ 16.092,59R$ BA IPIRÁ R$ 143.908,30 R$ 10.803,91 163.939,44R$ -R$ 12.307,75R$ BA IPUPIARA R$ 108.039,06 R$ 10.803,91 123.077,42R$ -R$ 12.307,75R$ BA IRAJUBA R$ 108.039,06 R$ 10.803,91 123.077,42R$ -R$ 12.307,75R$ BA IRAMAIA R$ 108.039,06 R$ 10.803,91 123.077,42R$ -R$ 12.307,75R$ BA IRAQUARA R$ 108.039,06 R$ 10.803,91 123.077,42R$ -R$ 12.307,75R$ BA IRARÁ R$ 209.731,32 R$ 14.213,47 238.924,61R$ -R$ 16.191,90R$ BA IRECÊ R$ 176.835,03 R$ 16.692,87 201.449,36R$ -R$ 19.016,41R$ BA ITABELA R$ 193.185,48 R$ 10.803,91 220.075,69R$ -R$ 12.307,75R$ BA ITABERABA R$ 158.319,96 R$ 20.670,94 180.357,11R$ -R$ 23.548,21R$ BA ITABUNA R$ 574.955,25 R$ 48.655,80 654.985,43R$ -R$ 55.428,38R$ BA ITACARÉ R$ 197.278,60 R$ 21.142,30 224.738,55R$ -R$ 24.085,18R$ BA ITAETÉ R$ 108.039,06 R$ 10.803,91 123.077,42R$ -R$ 12.307,75R$ BA ITAGI R$ 108.039,06 R$ 10.803,91 123.077,42R$ -R$ 12.307,75R$ BA ITAGIBÁ R$ 176.931,47 R$ 10.803,91 201.559,22R$ -R$ 12.307,75R$ BA ITAGIMIRIM R$ 173.442,71 R$ 10.803,91 197.584,85R$ -R$ 12.307,75R$ BA ITAGUAÇU DA BAHIA R$ 108.039,06 R$ 10.803,91 123.077,42R$ -R$ 12.307,75R$ BA ITAJU DO COLÔNIA R$ 108.039,06 R$ 16.107,57 123.077,42R$ -R$ 18.349,64R$ BA ITAJUÍPE R$ 147.606,15 R$ 10.803,91 168.152,00R$ -R$ 12.307,75R$ BA ITAMARAJU R$ 108.039,06 R$ 36.984,98 123.077,42R$ -R$ 42.133,06R$ BA ITAMARI R$ 108.039,06 R$ 10.803,91 123.077,42R$ -R$ 12.307,75R$ BA ITAMBÉ R$ 108.039,06 R$ 10.803,91 123.077,42R$ -R$ 12.307,75R$ BA ITANAGRA R$ 161.897,30 R$ 10.803,91 184.432,39R$ -R$ 12.307,75R$ BA ITANHÉM R$ 108.039,06 R$ 14.489,69 123.077,42R$ -R$ 16.506,56R$ BA ITAPARICA R$ 136.109,42 R$ 18.726,57 155.055,00R$ -R$ 21.333,19R$ BA ITAPÉ R$ 108.039,06 R$ 10.803,91 123.077,42R$ -R$ 12.307,75R$ BA ITAPEBI R$ 108.039,06 R$ 10.803,91 123.077,42R$ -R$ 12.307,75R$ BA ITAPETINGA R$ 139.534,96 R$ 24.760,49 158.957,35R$ -R$ 28.207,00R$ 6
  • 7.
    Tribunal Superior Eleitoral PREFEITO 1ºTURNO 1º TURNO 2º TURNO UF POSSIBILIDADE DE SEGUNDO TURNO VEREADORVEREADOR LIMITE DE GASTOS OBSERVADO O MÍNIMO LEGAL (R$ 100,000,00 PARA PREFEITO E R$ 10.000,00 PARA VEREADOR ) EM 2016*** LIMITE DE GASTOS 2020 (ATUALIZADO PELO IPCA DE JUNHO/2016 ATÉ JUNHO/2020*) PREFEITO MUNICÍPIO** BA ITAPICURU R$ 108.039,06 R$ 16.118,51 123.077,42R$ -R$ 18.362,11R$ BA ITAPITANGA R$ 108.039,06 R$ 10.803,91 123.077,42R$ -R$ 12.307,75R$ BA ITAQUARA R$ 108.039,06 R$ 10.803,91 123.077,42R$ -R$ 12.307,75R$ BA ITARANTIM R$ 108.039,06 R$ 10.803,91 123.077,42R$ -R$ 12.307,75R$ BA ITATIM R$ 108.039,06 R$ 10.803,91 123.077,42R$ -R$ 12.307,75R$ BA ITIRUÇU R$ 176.779,80 R$ 10.803,91 201.386,44R$ -R$ 12.307,75R$ BA ITIÚBA R$ 108.039,06 R$ 10.803,91 123.077,42R$ -R$ 12.307,75R$ BA ITORORÓ R$ 108.039,06 R$ 10.803,91 123.077,42R$ -R$ 12.307,75R$ BA ITUAÇU R$ 108.039,06 R$ 10.803,91 123.077,42R$ -R$ 12.307,75R$ BA ITUBERÁ R$ 108.039,06 R$ 10.803,91 123.077,42R$ -R$ 12.307,75R$ BA IUIU R$ 108.039,06 R$ 10.803,91 123.077,42R$ -R$ 12.307,75R$ BA JABORANDI R$ 153.954,90 R$ 10.803,91 175.384,46R$ -R$ 12.307,75R$ BA JACARACI R$ 108.039,06 R$ 10.803,91 123.077,42R$ -R$ 12.307,75R$ BA JACOBINA R$ 270.411,65 R$ 20.032,11 308.051,26R$ -R$ 22.820,45R$ BA JAGUAQUARA R$ 390.955,99 R$ 20.017,94 445.374,62R$ -R$ 22.804,31R$ BA JAGUARARI R$ 108.039,06 R$ 18.042,36 123.077,42R$ -R$ 20.553,74R$ BA JAGUARIPE R$ 108.039,06 R$ 10.803,91 123.077,42R$ -R$ 12.307,75R$ BA JANDAÍRA R$ 108.039,06 R$ 10.803,91 123.077,42R$ -R$ 12.307,75R$ BA JEQUIÉ R$ 257.742,25 R$ 32.913,02 293.618,36R$ -R$ 37.494,31R$ BA JEREMOABO R$ 146.375,03 R$ 10.803,91 166.749,52R$ -R$ 12.307,75R$ BA JIQUIRIÇÁ R$ 108.039,06 R$ 10.803,91 123.077,42R$ -R$ 12.307,75R$ BA JITAÚNA R$ 108.039,06 R$ 10.803,91 123.077,42R$ -R$ 12.307,75R$ BA JOÃO DOURADO R$ 108.039,06 R$ 13.970,02 123.077,42R$ -R$ 15.914,56R$ BA JUAZEIRO R$ 1.450.710,05 R$ 60.861,36 1.652.639,82R$ -R$ 69.332,88R$ BA JUCURUÇU R$ 108.039,06 R$ 10.803,91 123.077,42R$ -R$ 12.307,75R$ BA JUSSARA R$ 108.039,06 R$ 10.803,91 123.077,42R$ -R$ 12.307,75R$ BA JUSSARI R$ 108.039,06 R$ 10.803,91 123.077,42R$ -R$ 12.307,75R$ BA JUSSIAPE R$ 108.039,06 R$ 10.803,91 123.077,42R$ -R$ 12.307,75R$ BA LAFAIETE COUTINHO R$ 108.039,06 R$ 10.803,91 123.077,42R$ -R$ 12.307,75R$ BA LAGOA REAL R$ 108.039,06 R$ 17.335,19 123.077,42R$ -R$ 19.748,14R$ BA LAJE R$ 108.039,06 R$ 14.532,66 123.077,42R$ -R$ 16.555,52R$ BA LAJEDÃO R$ 108.039,06 R$ 10.803,91 123.077,42R$ -R$ 12.307,75R$ BA LAJEDINHO R$ 108.039,06 R$ 10.803,91 123.077,42R$ -R$ 12.307,75R$ BA LAJEDO DO TABOCAL R$ 108.039,06 R$ 10.803,91 123.077,42R$ -R$ 12.307,75R$ BA LAMARÃO R$ 108.039,06 R$ 10.803,91 123.077,42R$ -R$ 12.307,75R$ BA LAPÃO R$ 108.039,06 R$ 16.240,62 123.077,42R$ -R$ 18.501,21R$ BA LAURO DE FREITAS R$ 935.092,05 R$ 140.449,30 1.065.251,02R$ -R$ 159.998,96R$ BA LENÇÓIS R$ 108.039,06 R$ 13.479,86 123.077,42R$ -R$ 15.356,17R$ BA LICÍNIO DE ALMEIDA R$ 108.039,06 R$ 10.803,91 123.077,42R$ -R$ 12.307,75R$ BA LIVRAMENTO DE NOSSA SENHORA R$ 144.771,18 R$ 15.758,41 164.922,42R$ -R$ 17.951,88R$ BA LUÍS EDUARDO MAGALHÃES R$ 1.103.875,92 R$ 38.980,82 1.257.528,55R$ -R$ 44.406,71R$ BA MACAJUBA R$ 108.039,06 R$ 10.803,91 123.077,42R$ -R$ 12.307,75R$ BA MACARANI R$ 177.469,65 R$ 16.509,43 202.172,32R$ -R$ 18.807,44R$ BA MACAÚBAS R$ 192.169,75 R$ 14.981,26 218.918,58R$ -R$ 17.066,56R$ BA MACURURÉ R$ 108.039,06 R$ 10.803,91 123.077,42R$ -R$ 12.307,75R$ BA MADRE DE DEUS R$ 272.489,44 R$ 34.603,04 310.418,27R$ -R$ 39.419,57R$ BA MAETINGA R$ 108.039,06 R$ 10.803,91 123.077,42R$ -R$ 12.307,75R$ BA MAIQUINIQUE R$ 108.039,06 R$ 10.803,91 123.077,42R$ -R$ 12.307,75R$ BA MAIRI R$ 169.241,40 R$ 16.301,03 192.798,74R$ -R$ 18.570,03R$ BA MALHADA R$ 108.039,06 R$ 10.803,91 123.077,42R$ -R$ 12.307,75R$ BA MALHADA DE PEDRAS R$ 108.039,06 R$ 19.123,11 123.077,42R$ -R$ 21.784,93R$ BA MANOEL VITORINO R$ 108.039,06 R$ 14.720,87 123.077,42R$ -R$ 16.769,92R$ BA MANSIDÃO R$ 108.039,06 R$ 10.803,91 123.077,42R$ -R$ 12.307,75R$ BA MARACÁS R$ 108.039,06 R$ 17.718,90 123.077,42R$ -R$ 20.185,26R$ BA MARAGOGIPE R$ 266.868,42 R$ 10.803,91 304.014,84R$ -R$ 12.307,75R$ BA MARAÚ R$ 108.039,06 R$ 10.803,91 123.077,42R$ -R$ 12.307,75R$ BA MARCIONÍLIO SOUZA R$ 108.039,06 R$ 10.803,91 123.077,42R$ -R$ 12.307,75R$ BA MASCOTE R$ 108.039,06 R$ 10.803,91 123.077,42R$ -R$ 12.307,75R$ BA MATA DE SÃO JOÃO R$ 232.958,57 R$ 23.238,78 265.384,95R$ -R$ 26.473,47R$ BA MATINA R$ 108.039,06 R$ 10.803,91 123.077,42R$ -R$ 12.307,75R$ BA MEDEIROS NETO R$ 309.762,57 R$ 17.610,71 352.879,58R$ -R$ 20.062,01R$ BA MIGUEL CALMON R$ 108.039,06 R$ 10.803,91 123.077,42R$ -R$ 12.307,75R$ BA MILAGRES R$ 108.039,06 R$ 10.803,91 123.077,42R$ -R$ 12.307,75R$ BA MIRANGABA R$ 108.039,06 R$ 10.803,91 123.077,42R$ -R$ 12.307,75R$ BA MIRANTE R$ 108.039,06 R$ 10.803,91 123.077,42R$ -R$ 12.307,75R$ BA MONTE SANTO R$ 108.039,06 R$ 15.189,26 123.077,42R$ -R$ 17.303,51R$ 7
  • 8.
    Tribunal Superior Eleitoral PREFEITO 1ºTURNO 1º TURNO 2º TURNO UF POSSIBILIDADE DE SEGUNDO TURNO VEREADORVEREADOR LIMITE DE GASTOS OBSERVADO O MÍNIMO LEGAL (R$ 100,000,00 PARA PREFEITO E R$ 10.000,00 PARA VEREADOR ) EM 2016*** LIMITE DE GASTOS 2020 (ATUALIZADO PELO IPCA DE JUNHO/2016 ATÉ JUNHO/2020*) PREFEITO MUNICÍPIO** BA MORPARÁ R$ 108.039,06 R$ 10.803,91 123.077,42R$ -R$ 12.307,75R$ BA MORRO DO CHAPÉU R$ 284.466,01 R$ 23.595,48 324.061,90R$ -R$ 26.879,82R$ BA MORTUGABA R$ 108.039,06 R$ 28.693,79 123.077,42R$ -R$ 32.687,79R$ BA MUCUGÊ R$ 108.039,06 R$ 13.947,82 123.077,42R$ -R$ 15.889,27R$ BA MUCURI R$ 450.366,23 R$ 69.543,26 513.054,39R$ -R$ 79.223,25R$ BA MULUNGU DO MORRO R$ 108.039,06 R$ 10.803,91 123.077,42R$ -R$ 12.307,75R$ BA MUNDO NOVO R$ 138.836,03 R$ 15.372,64 158.161,14R$ -R$ 17.512,42R$ BA MUNIZ FERREIRA R$ 108.039,06 R$ 10.803,91 123.077,42R$ -R$ 12.307,75R$ BA MUQUÉM DO SÃO FRANCISCO R$ 108.039,06 R$ 10.803,91 123.077,42R$ -R$ 12.307,75R$ BA MURITIBA R$ 188.507,49 R$ 10.803,91 214.746,55R$ -R$ 12.307,75R$ BA MUTUÍPE R$ 108.039,06 R$ 14.864,20 123.077,42R$ -R$ 16.933,20R$ BA NAZARÉ R$ 108.039,06 R$ 10.803,91 123.077,42R$ -R$ 12.307,75R$ BA NILO PEÇANHA R$ 108.039,06 R$ 10.803,91 123.077,42R$ -R$ 12.307,75R$ BA NORDESTINA R$ 108.039,06 R$ 10.803,91 123.077,42R$ -R$ 12.307,75R$ BA NOVA CANAÃ R$ 108.039,06 R$ 10.803,91 123.077,42R$ -R$ 12.307,75R$ BA NOVA FÁTIMA R$ 108.039,06 R$ 10.803,91 123.077,42R$ -R$ 12.307,75R$ BA NOVA IBIÁ R$ 108.039,06 R$ 10.803,91 123.077,42R$ -R$ 12.307,75R$ BA NOVA ITARANA R$ 108.039,06 R$ 10.803,91 123.077,42R$ -R$ 12.307,75R$ BA NOVA REDENÇÃO R$ 108.039,06 R$ 10.803,91 123.077,42R$ -R$ 12.307,75R$ BA NOVA SOURE R$ 108.039,06 R$ 10.803,91 123.077,42R$ -R$ 12.307,75R$ BA NOVA VIÇOSA R$ 278.130,72 R$ 17.680,48 316.844,78R$ -R$ 20.141,49R$ BA NOVO HORIZONTE R$ 108.039,06 R$ 10.803,91 123.077,42R$ -R$ 12.307,75R$ BA NOVO TRIUNFO R$ 108.039,06 R$ 10.803,91 123.077,42R$ -R$ 12.307,75R$ BA OLINDINA R$ 108.039,06 R$ 10.803,91 123.077,42R$ -R$ 12.307,75R$ BA OLIVEIRA DOS BREJINHOS R$ 108.039,06 R$ 10.803,91 123.077,42R$ -R$ 12.307,75R$ BA OURIÇANGAS R$ 108.039,06 R$ 10.803,91 123.077,42R$ -R$ 12.307,75R$ BA OUROLÂNDIA R$ 108.039,06 R$ 10.803,91 123.077,42R$ -R$ 12.307,75R$ BA PALMAS DE MONTE ALTO R$ 108.039,06 R$ 16.049,61 123.077,42R$ -R$ 18.283,62R$ BA PALMEIRAS R$ 108.039,06 R$ 10.803,91 123.077,42R$ -R$ 12.307,75R$ BA PARAMIRIM R$ 108.039,06 R$ 10.803,91 123.077,42R$ -R$ 12.307,75R$ BA PARATINGA R$ 198.082,76 R$ 33.567,38 225.654,64R$ -R$ 38.239,75R$ BA PARIPIRANGA R$ 108.039,06 R$ 10.803,91 123.077,42R$ -R$ 12.307,75R$ BA PAU BRASIL R$ 108.039,06 R$ 10.803,91 123.077,42R$ -R$ 12.307,75R$ BA PAULO AFONSO R$ 286.149,31 R$ 34.082,36 325.979,51R$ -R$ 38.826,41R$ BA PÉ DE SERRA R$ 108.039,06 R$ 23.955,97 123.077,42R$ -R$ 27.290,49R$ BA PEDRÃO R$ 108.039,06 R$ 10.803,91 123.077,42R$ -R$ 12.307,75R$ BA PEDRO ALEXANDRE R$ 108.039,06 R$ 10.803,91 123.077,42R$ -R$ 12.307,75R$ BA PIATÃ R$ 108.039,06 R$ 10.803,91 123.077,42R$ -R$ 12.307,75R$ BA PILÃO ARCADO R$ 108.039,06 R$ 19.550,54 123.077,42R$ -R$ 22.271,85R$ BA PINDAÍ R$ 108.039,06 R$ 10.803,91 123.077,42R$ -R$ 12.307,75R$ BA PINDOBAÇU R$ 108.039,06 R$ 10.803,91 123.077,42R$ -R$ 12.307,75R$ BA PINTADAS R$ 108.039,06 R$ 10.803,91 123.077,42R$ -R$ 12.307,75R$ BA PIRAÍ DO NORTE R$ 108.039,06 R$ 10.803,91 123.077,42R$ -R$ 12.307,75R$ BA PIRIPÁ R$ 108.039,06 R$ 10.803,91 123.077,42R$ -R$ 12.307,75R$ BA PIRITIBA R$ 108.039,06 R$ 16.760,28 123.077,42R$ -R$ 19.093,21R$ BA PLANALTINO R$ 147.355,86 R$ 10.803,91 167.866,87R$ -R$ 12.307,75R$ BA PLANALTO R$ 108.039,06 R$ 10.803,91 123.077,42R$ -R$ 12.307,75R$ BA POÇÕES R$ 108.039,06 R$ 10.803,91 123.077,42R$ -R$ 12.307,75R$ BA POJUCA R$ 416.783,31 R$ 40.628,79 474.796,94R$ -R$ 46.284,06R$ BA PONTO NOVO R$ 108.039,06 R$ 10.803,91 123.077,42R$ -R$ 12.307,75R$ BA PORTO SEGURO R$ 260.081,20 R$ 59.089,36 296.282,88R$ -R$ 67.314,23R$ BA POTIRAGUÁ R$ 218.772,03 R$ 10.803,91 249.223,73R$ -R$ 12.307,75R$ BA PRADO R$ 239.859,31 R$ 10.803,91 273.246,23R$ -R$ 12.307,75R$ BA PRESIDENTE DUTRA R$ 108.039,06 R$ 10.803,91 123.077,42R$ -R$ 12.307,75R$ BA PRESIDENTE JÂNIO QUADROS R$ 108.039,06 R$ 10.803,91 123.077,42R$ -R$ 12.307,75R$ BA PRESIDENTE TANCREDO NEVES R$ 167.316,77 R$ 10.803,91 190.606,22R$ -R$ 12.307,75R$ BA QUEIMADAS R$ 108.039,06 R$ 10.803,91 123.077,42R$ -R$ 12.307,75R$ BA QUIJINGUE R$ 169.777,63 R$ 10.803,91 193.409,61R$ -R$ 12.307,75R$ BA QUIXABEIRA R$ 108.039,06 R$ 10.803,91 123.077,42R$ -R$ 12.307,75R$ BA RAFAEL JAMBEIRO R$ 170.073,80 R$ 10.803,91 193.747,01R$ -R$ 12.307,75R$ BA REMANSO R$ 141.724,32 R$ 39.981,23 161.451,46R$ -R$ 45.546,37R$ BA RETIROLÂNDIA R$ 108.039,06 R$ 10.803,91 123.077,42R$ -R$ 12.307,75R$ BA RIACHÃO DAS NEVES R$ 108.039,06 R$ 10.803,91 123.077,42R$ -R$ 12.307,75R$ BA RIACHÃO DO JACUÍPE R$ 155.508,17 R$ 18.087,74 177.153,94R$ -R$ 20.605,44R$ BA RIACHO DE SANTANA R$ 206.104,40 R$ 14.044,93 234.792,84R$ -R$ 15.999,90R$ BA RIBEIRA DO AMPARO R$ 220.198,38 R$ 10.803,91 250.848,62R$ -R$ 12.307,75R$ 8
  • 9.
    Tribunal Superior Eleitoral PREFEITO 1ºTURNO 1º TURNO 2º TURNO UF POSSIBILIDADE DE SEGUNDO TURNO VEREADORVEREADOR LIMITE DE GASTOS OBSERVADO O MÍNIMO LEGAL (R$ 100,000,00 PARA PREFEITO E R$ 10.000,00 PARA VEREADOR ) EM 2016*** LIMITE DE GASTOS 2020 (ATUALIZADO PELO IPCA DE JUNHO/2016 ATÉ JUNHO/2020*) PREFEITO MUNICÍPIO** BA RIBEIRA DO POMBAL R$ 140.027,95 R$ 17.949,42 159.518,97R$ -R$ 20.447,87R$ BA RIBEIRÃO DO LARGO R$ 108.039,06 R$ 14.802,42 123.077,42R$ -R$ 16.862,82R$ BA RIO DE CONTAS R$ 108.039,06 R$ 10.803,91 123.077,42R$ -R$ 12.307,75R$ BA RIO DO ANTÔNIO R$ 108.039,06 R$ 10.803,91 123.077,42R$ -R$ 12.307,75R$ BA RIO DO PIRES R$ 108.039,06 R$ 10.803,91 123.077,42R$ -R$ 12.307,75R$ BA RIO REAL R$ 232.142,75 R$ 17.842,01 264.455,57R$ -R$ 20.325,51R$ BA RODELAS R$ 108.039,06 R$ 10.803,91 123.077,42R$ -R$ 12.307,75R$ BA RUY BARBOSA R$ 108.039,06 R$ 10.803,91 123.077,42R$ -R$ 12.307,75R$ BA SALINAS DA MARGARIDA R$ 108.039,06 R$ 10.803,91 123.077,42R$ -R$ 12.307,75R$ BA SALVADOR SIM R$ 14.679.383,56 R$ 396.701,56 16.722.661,99R$ 6.689.064,80R$ 451.919,94R$ BA SANTA BÁRBARA R$ 178.275,01 R$ 16.236,96 203.089,78R$ -R$ 18.497,04R$ BA SANTA BRÍGIDA R$ 108.039,06 R$ 36.591,72 123.077,42R$ -R$ 41.685,06R$ BA SANTA CRUZ CABRÁLIA R$ 229.143,03 R$ 49.569,24 261.038,31R$ -R$ 56.468,97R$ BA SANTA CRUZ DA VITÓRIA R$ 108.039,06 R$ 10.803,91 123.077,42R$ -R$ 12.307,75R$ BA SANTA INÊS R$ 143.129,82 R$ 10.803,91 163.052,60R$ -R$ 12.307,75R$ BA SANTA LUZIA R$ 206.386,78 R$ 10.803,91 235.114,53R$ -R$ 12.307,75R$ BA SANTA MARIA DA VITÓRIA R$ 108.039,06 R$ 10.803,91 123.077,42R$ -R$ 12.307,75R$ BA SANTA RITA DE CÁSSIA R$ 108.039,06 R$ 10.803,91 123.077,42R$ -R$ 12.307,75R$ BA SANTA TEREZINHA R$ 108.039,06 R$ 10.803,91 123.077,42R$ -R$ 12.307,75R$ BA SANTALUZ R$ 161.431,85 R$ 21.351,57 183.902,15R$ -R$ 24.323,58R$ BA SANTANA R$ 191.876,45 R$ 16.401,21 218.584,45R$ -R$ 18.684,16R$ BA SANTANÓPOLIS R$ 108.039,06 R$ 10.803,91 123.077,42R$ -R$ 12.307,75R$ BA SANTO AMARO R$ 318.449,51 R$ 27.576,58 362.775,69R$ -R$ 31.415,07R$ BA SANTO ANTÔNIO DE JESUS R$ 572.574,34 R$ 21.441,93 652.273,11R$ -R$ 24.426,51R$ BA SANTO ESTEVÃO R$ 271.586,90 R$ 22.780,88 309.390,10R$ -R$ 25.951,84R$ BA SÃO DESIDÉRIO R$ 150.546,29 R$ 25.440,29 171.501,39R$ -R$ 28.981,42R$ BA SÃO DOMINGOS R$ 108.039,06 R$ 10.803,91 123.077,42R$ -R$ 12.307,75R$ BA SÃO FELIPE R$ 108.039,06 R$ 10.803,91 123.077,42R$ -R$ 12.307,75R$ BA SÃO FÉLIX R$ 108.039,06 R$ 10.803,91 123.077,42R$ -R$ 12.307,75R$ BA SÃO FÉLIX DO CORIBE R$ 108.039,06 R$ 10.803,91 123.077,42R$ -R$ 12.307,75R$ BA SÃO FRANCISCO DO CONDE R$ 108.039,06 R$ 58.988,71 123.077,42R$ -R$ 67.199,57R$ BA SÃO GABRIEL R$ 219.082,18 R$ 10.803,91 249.577,05R$ -R$ 12.307,75R$ BA SÃO GONÇALO DOS CAMPOS R$ 164.325,68 R$ 10.803,91 187.198,79R$ -R$ 12.307,75R$ BA SÃO JOSÉ DA VITÓRIA R$ 108.039,06 R$ 10.803,91 123.077,42R$ -R$ 12.307,75R$ BA SÃO JOSÉ DO JACUÍPE R$ 108.039,06 R$ 10.803,91 123.077,42R$ -R$ 12.307,75R$ BA SÃO MIGUEL DAS MATAS R$ 108.039,06 R$ 10.803,91 123.077,42R$ -R$ 12.307,75R$ BA SÃO SEBASTIÃO DO PASSÉ R$ 333.052,10 R$ 15.875,44 379.410,87R$ -R$ 18.085,20R$ BA SAPEAÇU R$ 108.039,06 R$ 10.803,91 123.077,42R$ -R$ 12.307,75R$ BA SÁTIRO DIAS R$ 108.039,06 R$ 13.579,35 123.077,42R$ -R$ 15.469,51R$ BA SAUBARA R$ 108.039,06 R$ 10.803,91 123.077,42R$ -R$ 12.307,75R$ BA SAÚDE R$ 108.039,06 R$ 10.803,91 123.077,42R$ -R$ 12.307,75R$ BA SEABRA R$ 212.782,32 R$ 13.841,06 242.400,29R$ -R$ 15.767,65R$ BA SEBASTIÃO LARANJEIRAS R$ 108.039,06 R$ 10.803,91 123.077,42R$ -R$ 12.307,75R$ BA SENHOR DO BONFIM R$ 354.067,67 R$ 35.396,41 403.351,68R$ -R$ 40.323,37R$ BA SENTO SÉ R$ 148.969,89 R$ 22.710,14 169.705,57R$ -R$ 25.871,25R$ BA SERRA DO RAMALHO R$ 149.962,40 R$ 10.803,91 170.836,23R$ -R$ 12.307,75R$ BA SERRA DOURADA R$ 178.698,32 R$ 26.155,74 203.572,01R$ -R$ 29.796,46R$ BA SERRA PRETA R$ 108.039,06 R$ 10.803,91 123.077,42R$ -R$ 12.307,75R$ BA SERRINHA R$ 108.039,06 R$ 26.478,73 123.077,42R$ -R$ 30.164,40R$ BA SERROLÂNDIA R$ 108.039,06 R$ 10.803,91 123.077,42R$ -R$ 12.307,75R$ BA SIMÕES FILHO R$ 657.881,98 R$ 57.600,13 749.455,04R$ -R$ 65.617,71R$ BA SÍTIO DO MATO R$ 108.039,06 R$ 10.803,91 123.077,42R$ -R$ 12.307,75R$ BA SÍTIO DO QUINTO R$ 108.039,06 R$ 10.803,91 123.077,42R$ -R$ 12.307,75R$ BA SOBRADINHO R$ 108.039,06 R$ 15.711,59 123.077,42R$ -R$ 17.898,55R$ BA SOUTO SOARES R$ 135.504,64 R$ 10.803,91 154.366,04R$ -R$ 12.307,75R$ BA TABOCAS DO BREJO VELHO R$ 145.492,83 R$ 13.819,58 165.744,52R$ -R$ 15.743,18R$ BA TANHAÇU R$ 276.944,53 R$ 23.900,16 315.493,48R$ -R$ 27.226,91R$ BA TANQUE NOVO R$ 108.039,06 R$ 10.803,91 123.077,42R$ -R$ 12.307,75R$ BA TANQUINHO R$ 108.039,06 R$ 10.803,91 123.077,42R$ -R$ 12.307,75R$ BA TAPEROÁ R$ 108.039,06 R$ 10.803,91 123.077,42R$ -R$ 12.307,75R$ BA TAPIRAMUTÁ R$ 108.039,06 R$ 10.803,91 123.077,42R$ -R$ 12.307,75R$ BA TEIXEIRA DE FREITAS R$ 599.438,65 R$ 38.051,46 682.876,76R$ -R$ 43.347,99R$ BA TEODORO SAMPAIO R$ 108.039,06 R$ 10.803,91 123.077,42R$ -R$ 12.307,75R$ BA TEOFILÂNDIA R$ 108.039,06 R$ 10.803,91 123.077,42R$ -R$ 12.307,75R$ BA TEOLÂNDIA R$ 108.039,06 R$ 10.803,91 123.077,42R$ -R$ 12.307,75R$ BA TERRA NOVA R$ 108.039,06 R$ 10.803,91 123.077,42R$ -R$ 12.307,75R$ 9
  • 10.
    Tribunal Superior Eleitoral PREFEITO 1ºTURNO 1º TURNO 2º TURNO UF POSSIBILIDADE DE SEGUNDO TURNO VEREADORVEREADOR LIMITE DE GASTOS OBSERVADO O MÍNIMO LEGAL (R$ 100,000,00 PARA PREFEITO E R$ 10.000,00 PARA VEREADOR ) EM 2016*** LIMITE DE GASTOS 2020 (ATUALIZADO PELO IPCA DE JUNHO/2016 ATÉ JUNHO/2020*) PREFEITO MUNICÍPIO** BA TREMEDAL R$ 108.039,06 R$ 10.803,91 123.077,42R$ -R$ 12.307,75R$ BA TUCANO R$ 108.039,06 R$ 24.988,50 123.077,42R$ -R$ 28.466,74R$ BA UAUÁ R$ 144.728,32 R$ 10.803,91 164.873,60R$ -R$ 12.307,75R$ BA UBAÍRA R$ 108.039,06 R$ 19.964,40 123.077,42R$ -R$ 22.743,32R$ BA UBAITABA R$ 144.368,06 R$ 10.803,91 164.463,19R$ -R$ 12.307,75R$ BA UBATÃ R$ 108.039,06 R$ 25.234,06 123.077,42R$ -R$ 28.746,48R$ BA UIBAÍ R$ 108.039,06 R$ 10.803,91 123.077,42R$ -R$ 12.307,75R$ BA UMBURANAS R$ 148.970,88 R$ 15.885,46 169.706,70R$ -R$ 18.096,62R$ BA UNA R$ 108.039,06 R$ 10.803,91 123.077,42R$ -R$ 12.307,75R$ BA URANDI R$ 108.039,06 R$ 10.803,91 123.077,42R$ -R$ 12.307,75R$ BA URUÇUCA R$ 187.867,06 R$ 10.803,91 214.016,98R$ -R$ 12.307,75R$ BA UTINGA R$ 108.039,06 R$ 16.460,66 123.077,42R$ -R$ 18.751,88R$ BA VALENÇA R$ 363.014,62 R$ 27.870,76 413.543,99R$ -R$ 31.750,20R$ BA VALENTE R$ 108.039,06 R$ 10.803,91 123.077,42R$ -R$ 12.307,75R$ BA VÁRZEA DA ROÇA R$ 108.039,06 R$ 21.345,78 123.077,42R$ -R$ 24.316,98R$ BA VÁRZEA DO POÇO R$ 108.039,06 R$ 10.803,91 123.077,42R$ -R$ 12.307,75R$ BA VÁRZEA NOVA R$ 152.817,13 R$ 10.803,91 174.088,32R$ -R$ 12.307,75R$ BA VARZEDO R$ 108.039,06 R$ 10.803,91 123.077,42R$ -R$ 12.307,75R$ BA VERA CRUZ R$ 108.039,06 R$ 10.803,91 123.077,42R$ -R$ 12.307,75R$ BA VEREDA R$ 108.039,06 R$ 10.803,91 123.077,42R$ -R$ 12.307,75R$ BA VITÓRIA DA CONQUISTA SIM R$ 579.174,92 R$ 59.989,48 659.792,45R$ 263.916,98R$ 68.339,64R$ BA WAGNER R$ 108.039,06 R$ 10.803,91 123.077,42R$ -R$ 12.307,75R$ BA WANDERLEY R$ 108.039,06 R$ 10.803,91 123.077,42R$ -R$ 12.307,75R$ BA WENCESLAU GUIMARÃES R$ 161.618,11 R$ 15.720,82 184.114,34R$ -R$ 17.909,06R$ BA XIQUE-XIQUE R$ 179.232,03 R$ 13.941,93 204.180,01R$ -R$ 15.882,56R$ CE ABAIARA R$ 108.039,06 R$ 23.235,54 123.077,42R$ -R$ 26.469,78R$ CE ACARAPE R$ 108.039,06 R$ 10.803,91 123.077,42R$ -R$ 12.307,75R$ CE ACARAÚ R$ 305.393,50 R$ 46.484,34 347.902,37R$ -R$ 52.954,67R$ CE ACOPIARA R$ 291.435,17 R$ 21.475,63 332.001,12R$ -R$ 24.464,90R$ CE AIUABA R$ 108.039,06 R$ 10.803,91 123.077,42R$ -R$ 12.307,75R$ CE ALCÂNTARAS R$ 108.039,06 R$ 19.586,58 123.077,42R$ -R$ 22.312,91R$ CE ALTANEIRA R$ 108.039,06 R$ 10.803,91 123.077,42R$ -R$ 12.307,75R$ CE ALTO SANTO R$ 108.039,06 R$ 10.803,91 123.077,42R$ -R$ 12.307,75R$ CE AMONTADA R$ 108.039,06 R$ 10.803,91 123.077,42R$ -R$ 12.307,75R$ CE ANTONINA DO NORTE R$ 108.039,06 R$ 10.803,91 123.077,42R$ -R$ 12.307,75R$ CE APUIARÉS R$ 108.039,06 R$ 10.803,91 123.077,42R$ -R$ 12.307,75R$ CE AQUIRAZ R$ 691.759,61 R$ 69.247,59 788.048,22R$ -R$ 78.886,42R$ CE ARACATI R$ 640.124,27 R$ 57.825,12 729.225,57R$ -R$ 65.874,02R$ CE ARACOIABA R$ 108.039,06 R$ 33.867,01 123.077,42R$ -R$ 38.581,09R$ CE ARARENDÁ R$ 108.039,06 R$ 10.803,91 123.077,42R$ -R$ 12.307,75R$ CE ARARIPE R$ 161.669,48 R$ 16.011,22 184.172,86R$ -R$ 18.239,88R$ CE ARATUBA R$ 108.039,06 R$ 10.803,91 123.077,42R$ -R$ 12.307,75R$ CE ARNEIROZ R$ 108.039,06 R$ 10.803,91 123.077,42R$ -R$ 12.307,75R$ CE ASSARÉ R$ 108.039,06 R$ 10.803,91 123.077,42R$ -R$ 12.307,75R$ CE AURORA R$ 141.648,66 R$ 17.790,24 161.365,27R$ -R$ 20.266,53R$ CE BAIXIO R$ 108.039,06 R$ 10.803,91 123.077,42R$ -R$ 12.307,75R$ CE BANABUIÚ R$ 202.509,16 R$ 10.803,91 230.697,17R$ -R$ 12.307,75R$ CE BARBALHA R$ 267.838,12 R$ 18.627,90 305.119,51R$ -R$ 21.220,79R$ CE BARREIRA R$ 136.738,63 R$ 18.508,18 155.771,79R$ -R$ 21.084,40R$ CE BARRO R$ 108.039,06 R$ 10.803,91 123.077,42R$ -R$ 12.307,75R$ CE BARROQUINHA R$ 108.039,06 R$ 10.803,91 123.077,42R$ -R$ 12.307,75R$ CE BATURITÉ R$ 247.046,57 R$ 40.810,53 281.433,91R$ -R$ 46.491,10R$ CE BEBERIBE R$ 243.486,05 R$ 38.857,64 277.377,79R$ -R$ 44.266,38R$ CE BELA CRUZ R$ 108.039,06 R$ 17.387,62 123.077,42R$ -R$ 19.807,87R$ CE BOA VIAGEM R$ 108.039,06 R$ 44.263,27 123.077,42R$ -R$ 50.424,44R$ CE BREJO SANTO R$ 307.879,84 R$ 33.754,65 350.734,79R$ -R$ 38.453,09R$ CE CAMOCIM R$ 423.405,01 R$ 27.432,48 482.340,34R$ -R$ 31.250,91R$ CE CAMPOS SALES R$ 152.284,36 R$ 19.943,80 173.481,39R$ -R$ 22.719,85R$ CE CANINDÉ R$ 260.544,14 R$ 28.485,94 296.810,26R$ -R$ 32.451,00R$ CE CAPISTRANO R$ 108.039,06 R$ 10.803,91 123.077,42R$ -R$ 12.307,75R$ CE CARIDADE R$ 244.559,03 R$ 10.803,91 278.600,12R$ -R$ 12.307,75R$ CE CARIRÉ R$ 108.039,06 R$ 10.803,91 123.077,42R$ -R$ 12.307,75R$ CE CARIRIAÇU R$ 108.039,06 R$ 24.379,43 123.077,42R$ -R$ 27.772,89R$ CE CARIÚS R$ 176.248,71 R$ 18.209,59 200.781,43R$ -R$ 20.744,25R$ CE CARNAUBAL R$ 108.039,06 R$ 18.039,58 123.077,42R$ -R$ 20.550,58R$ CE CASCAVEL R$ 166.557,23 R$ 40.451,74 189.740,96R$ -R$ 46.082,37R$ 10
  • 11.
    Tribunal Superior Eleitoral PREFEITO 1ºTURNO 1º TURNO 2º TURNO UF POSSIBILIDADE DE SEGUNDO TURNO VEREADORVEREADOR LIMITE DE GASTOS OBSERVADO O MÍNIMO LEGAL (R$ 100,000,00 PARA PREFEITO E R$ 10.000,00 PARA VEREADOR ) EM 2016*** LIMITE DE GASTOS 2020 (ATUALIZADO PELO IPCA DE JUNHO/2016 ATÉ JUNHO/2020*) PREFEITO MUNICÍPIO** CE CATARINA R$ 137.425,64 R$ 10.803,91 156.554,43R$ -R$ 12.307,75R$ CE CATUNDA R$ 167.235,79 R$ 19.635,75 190.513,97R$ -R$ 22.368,92R$ CE CAUCAIA SIM R$ 1.333.635,71 R$ 82.509,33 1.519.269,46R$ 607.707,79R$ 93.994,11R$ CE CEDRO R$ 190.355,62 R$ 22.368,89 216.851,93R$ -R$ 25.482,50R$ CE CHAVAL R$ 108.039,06 R$ 10.803,91 123.077,42R$ -R$ 12.307,75R$ CE CHORÓ R$ 108.039,06 R$ 10.803,91 123.077,42R$ -R$ 12.307,75R$ CE CHOROZINHO R$ 108.039,06 R$ 10.803,91 123.077,42R$ -R$ 12.307,75R$ CE COREAÚ R$ 464.129,84 R$ 19.537,77 528.733,81R$ -R$ 22.257,31R$ CE CRATEÚS R$ 134.098,10 R$ 20.177,88 152.763,72R$ -R$ 22.986,51R$ CE CRATO R$ 632.983,69 R$ 25.771,04 721.091,06R$ -R$ 29.358,21R$ CE CROATÁ R$ 144.843,78 R$ 10.803,91 165.005,13R$ -R$ 12.307,75R$ CE CRUZ R$ 153.806,27 R$ 18.853,16 175.215,14R$ -R$ 21.477,40R$ CE DEPUTADO IRAPUAN PINHEIRO R$ 108.039,06 R$ 10.803,91 123.077,42R$ -R$ 12.307,75R$ CE ERERÉ R$ 108.039,06 R$ 10.803,91 123.077,42R$ -R$ 12.307,75R$ CE EUSÉBIO R$ 353.292,92 R$ 29.570,45 402.469,09R$ -R$ 33.686,47R$ CE FARIAS BRITO R$ 108.039,06 R$ 13.832,12 123.077,42R$ -R$ 15.757,46R$ CE FORQUILHA R$ 373.582,69 R$ 18.463,83 425.583,07R$ -R$ 21.033,88R$ CE FORTALEZA SIM R$ 12.408.490,10 R$ 460.018,94 14.135.674,35R$ 5.654.269,74R$ 524.050,70R$ CE FORTIM R$ 108.039,06 R$ 14.748,31 123.077,42R$ -R$ 16.801,18R$ CE FRECHEIRINHA R$ 108.039,06 R$ 10.803,91 123.077,42R$ -R$ 12.307,75R$ CE GENERAL SAMPAIO R$ 108.039,06 R$ 16.069,27 123.077,42R$ -R$ 18.306,01R$ CE GRAÇA R$ 108.039,06 R$ 10.803,91 123.077,42R$ -R$ 12.307,75R$ CE GRANJA R$ 134.363,16 R$ 40.944,52 153.065,67R$ -R$ 46.643,74R$ CE GRANJEIRO R$ 108.039,06 R$ 10.803,91 123.077,42R$ -R$ 12.307,75R$ CE GROAÍRAS R$ 177.022,30 R$ 10.803,91 201.662,70R$ -R$ 12.307,75R$ CE GUAIÚBA R$ 183.206,20 R$ 10.803,91 208.707,36R$ -R$ 12.307,75R$ CE GUARACIABA DO NORTE R$ 217.591,44 R$ 21.535,56 247.878,81R$ -R$ 24.533,18R$ CE GUARAMIRANGA R$ 108.039,06 R$ 10.803,91 123.077,42R$ -R$ 12.307,75R$ CE HIDROLÂNDIA R$ 174.705,03 R$ 10.803,91 199.022,88R$ -R$ 12.307,75R$ CE HORIZONTE R$ 426.797,49 R$ 32.387,69 486.205,03R$ -R$ 36.895,85R$ CE IBARETAMA R$ 108.039,06 R$ 10.803,91 123.077,42R$ -R$ 12.307,75R$ CE IBIAPINA R$ 108.039,06 R$ 10.803,91 123.077,42R$ -R$ 12.307,75R$ CE IBICUITINGA R$ 108.039,06 R$ 10.803,91 123.077,42R$ -R$ 12.307,75R$ CE ICAPUÍ R$ 108.039,06 R$ 40.807,54 123.077,42R$ -R$ 46.487,69R$ CE ICÓ R$ 209.080,30 R$ 18.376,13 238.182,97R$ -R$ 20.933,97R$ CE IGUATU R$ 467.560,85 R$ 45.891,89 532.642,40R$ -R$ 52.279,75R$ CE INDEPENDÊNCIA R$ 108.039,06 R$ 10.803,91 123.077,42R$ -R$ 12.307,75R$ CE IPAPORANGA R$ 154.045,41 R$ 10.803,91 175.487,57R$ -R$ 12.307,75R$ CE IPAUMIRIM R$ 108.039,06 R$ 10.803,91 123.077,42R$ -R$ 12.307,75R$ CE IPU R$ 108.039,06 R$ 14.419,46 123.077,42R$ -R$ 16.426,56R$ CE IPUEIRAS R$ 147.653,49 R$ 10.803,91 168.205,93R$ -R$ 12.307,75R$ CE IRACEMA R$ 108.039,06 R$ 10.803,91 123.077,42R$ -R$ 12.307,75R$ CE IRAUÇUBA R$ 108.039,06 R$ 10.803,91 123.077,42R$ -R$ 12.307,75R$ CE ITAIÇABA R$ 108.039,06 R$ 10.803,91 123.077,42R$ -R$ 12.307,75R$ CE ITAITINGA R$ 241.045,93 R$ 10.803,91 274.598,02R$ -R$ 12.307,75R$ CE ITAPAJÉ R$ 108.039,06 R$ 15.402,61 123.077,42R$ -R$ 17.546,56R$ CE ITAPIPOCA R$ 618.264,54 R$ 51.247,14 704.323,10R$ -R$ 58.380,42R$ CE ITAPIÚNA R$ 108.039,06 R$ 18.620,98 123.077,42R$ -R$ 21.212,90R$ CE ITAREMA R$ 186.202,68 R$ 14.091,75 212.120,93R$ -R$ 16.053,23R$ CE ITATIRA R$ 136.011,57 R$ 10.803,91 154.943,53R$ -R$ 12.307,75R$ CE JAGUARETAMA R$ 108.039,06 R$ 26.232,18 123.077,42R$ -R$ 29.883,54R$ CE JAGUARIBARA R$ 177.808,81 R$ 20.572,83 202.558,68R$ -R$ 23.436,44R$ CE JAGUARIBE R$ 414.065,51 R$ 37.999,23 471.700,84R$ -R$ 43.288,49R$ CE JAGUARUANA R$ 237.355,80 R$ 10.803,91 270.394,24R$ -R$ 12.307,75R$ CE JARDIM R$ 108.039,06 R$ 37.231,85 123.077,42R$ -R$ 42.414,29R$ CE JATI R$ 108.039,06 R$ 10.803,91 123.077,42R$ -R$ 12.307,75R$ CE JIJOCA DE JERICOACOARA R$ 108.039,06 R$ 19.225,56 123.077,42R$ -R$ 21.901,64R$ CE JUAZEIRO DO NORTE R$ 1.201.150,00 R$ 37.827,68 1.368.342,57R$ -R$ 43.093,06R$ CE JUCÁS R$ 216.813,23 R$ 10.803,91 246.992,28R$ -R$ 12.307,75R$ CE LAVRAS DA MANGABEIRA R$ 538.703,95 R$ 23.220,95 613.688,17R$ -R$ 26.453,16R$ CE LIMOEIRO DO NORTE R$ 172.038,87 R$ 33.520,57 195.985,61R$ -R$ 38.186,42R$ CE MADALENA R$ 168.559,05 R$ 13.532,72 192.021,42R$ -R$ 15.416,39R$ CE MARACANAÚ R$ 1.228.419,66 R$ 81.152,06 1.399.408,00R$ -R$ 92.447,92R$ CE MARANGUAPE R$ 406.302,42 R$ 46.348,27 462.857,18R$ -R$ 52.799,66R$ CE MARCO R$ 323.037,21 R$ 15.236,11 368.001,97R$ -R$ 17.356,88R$ CE MARTINÓPOLE R$ 108.039,06 R$ 10.803,91 123.077,42R$ -R$ 12.307,75R$ 11
  • 12.
    Tribunal Superior Eleitoral PREFEITO 1ºTURNO 1º TURNO 2º TURNO UF POSSIBILIDADE DE SEGUNDO TURNO VEREADORVEREADOR LIMITE DE GASTOS OBSERVADO O MÍNIMO LEGAL (R$ 100,000,00 PARA PREFEITO E R$ 10.000,00 PARA VEREADOR ) EM 2016*** LIMITE DE GASTOS 2020 (ATUALIZADO PELO IPCA DE JUNHO/2016 ATÉ JUNHO/2020*) PREFEITO MUNICÍPIO** CE MASSAPÊ R$ 918.968,33 R$ 21.774,32 1.046.882,98R$ -R$ 24.805,17R$ CE MAURITI R$ 178.549,21 R$ 25.776,39 203.402,14R$ -R$ 29.364,30R$ CE MERUOCA R$ 185.322,21 R$ 10.803,91 211.117,90R$ -R$ 12.307,75R$ CE MILAGRES R$ 146.889,30 R$ 44.489,66 167.335,37R$ -R$ 50.682,34R$ CE MILHÃ R$ 108.039,06 R$ 10.803,91 123.077,42R$ -R$ 12.307,75R$ CE MIRAÍMA R$ 108.039,06 R$ 10.803,91 123.077,42R$ -R$ 12.307,75R$ CE MISSÃO VELHA R$ 201.258,61 R$ 10.803,91 229.272,55R$ -R$ 12.307,75R$ CE MOMBAÇA R$ 145.413,24 R$ 15.256,87 165.653,85R$ -R$ 17.380,53R$ CE MONSENHOR TABOSA R$ 108.039,06 R$ 10.803,91 123.077,42R$ -R$ 12.307,75R$ CE MORADA NOVA R$ 405.154,65 R$ 32.716,26 461.549,64R$ -R$ 37.270,16R$ CE MORAÚJO R$ 108.039,06 R$ 10.803,91 123.077,42R$ -R$ 12.307,75R$ CE MORRINHOS R$ 137.836,58 R$ 15.546,57 157.022,57R$ -R$ 17.710,56R$ CE MUCAMBO R$ 108.039,06 R$ 10.803,91 123.077,42R$ -R$ 12.307,75R$ CE MULUNGU R$ 108.039,06 R$ 19.377,32 123.077,42R$ -R$ 22.074,52R$ CE NOVA OLINDA R$ 108.039,06 R$ 20.765,38 123.077,42R$ -R$ 23.655,79R$ CE NOVA RUSSAS R$ 151.911,94 R$ 10.803,91 173.057,13R$ -R$ 12.307,75R$ CE NOVO ORIENTE R$ 108.039,06 R$ 16.256,54 123.077,42R$ -R$ 18.519,35R$ CE OCARA R$ 108.039,06 R$ 10.803,91 123.077,42R$ -R$ 12.307,75R$ CE ORÓS R$ 263.613,97 R$ 10.803,91 300.307,39R$ -R$ 12.307,75R$ CE PACAJUS R$ 418.107,46 R$ 38.389,07 476.305,40R$ -R$ 43.732,59R$ CE PACATUBA R$ 167.856,20 R$ 21.052,31 191.220,73R$ -R$ 23.982,66R$ CE PACOTI R$ 272.535,76 R$ 24.931,14 310.471,03R$ -R$ 28.401,40R$ CE PACUJÁ R$ 108.039,06 R$ 10.803,91 123.077,42R$ -R$ 12.307,75R$ CE PALHANO R$ 108.039,06 R$ 10.803,91 123.077,42R$ -R$ 12.307,75R$ CE PALMÁCIA R$ 160.626,20 R$ 16.270,64 182.984,36R$ -R$ 18.535,41R$ CE PARACURU R$ 166.326,76 R$ 10.803,91 189.478,41R$ -R$ 12.307,75R$ CE PARAIPABA R$ 344.248,12 R$ 14.901,75 392.165,31R$ -R$ 16.975,98R$ CE PARAMBU R$ 108.039,06 R$ 10.803,91 123.077,42R$ -R$ 12.307,75R$ CE PARAMOTI R$ 108.039,06 R$ 14.371,91 123.077,42R$ -R$ 16.372,39R$ CE PEDRA BRANCA R$ 282.819,15 R$ 26.265,33 322.185,81R$ -R$ 29.921,30R$ CE PENAFORTE R$ 108.039,06 R$ 17.076,25 123.077,42R$ -R$ 19.453,16R$ CE PENTECOSTE R$ 202.938,27 R$ 16.516,84 231.186,01R$ -R$ 18.815,88R$ CE PEREIRO R$ 201.722,65 R$ 15.941,29 229.801,18R$ -R$ 18.160,22R$ CE PINDORETAMA R$ 146.046,67 R$ 26.147,45 166.375,45R$ -R$ 29.787,01R$ CE PIQUET CARNEIRO R$ 108.039,06 R$ 10.803,91 123.077,42R$ -R$ 12.307,75R$ CE PIRES FERREIRA R$ 108.039,06 R$ 10.803,91 123.077,42R$ -R$ 12.307,75R$ CE PORANGA R$ 108.039,06 R$ 17.572,92 123.077,42R$ -R$ 20.018,96R$ CE PORTEIRAS R$ 108.039,06 R$ 16.863,60 123.077,42R$ -R$ 19.210,91R$ CE POTENGI R$ 108.039,06 R$ 10.803,91 123.077,42R$ -R$ 12.307,75R$ CE POTIRETAMA R$ 108.039,06 R$ 10.803,91 123.077,42R$ -R$ 12.307,75R$ CE QUITERIANÓPOLIS R$ 108.039,06 R$ 16.432,58 123.077,42R$ -R$ 18.719,89R$ CE QUIXADÁ R$ 470.105,59 R$ 41.236,93 535.541,35R$ -R$ 46.976,85R$ CE QUIXELÔ R$ 108.039,06 R$ 10.803,91 123.077,42R$ -R$ 12.307,75R$ CE QUIXERAMOBIM R$ 511.569,40 R$ 38.705,95 582.776,66R$ -R$ 44.093,58R$ CE QUIXERÉ R$ 168.118,55 R$ 10.803,91 191.519,60R$ -R$ 12.307,75R$ CE REDENÇÃO R$ 108.039,06 R$ 10.803,91 123.077,42R$ -R$ 12.307,75R$ CE RERIUTABA R$ 108.039,06 R$ 10.803,91 123.077,42R$ -R$ 12.307,75R$ CE RUSSAS R$ 387.503,36 R$ 28.651,66 441.441,41R$ -R$ 32.639,79R$ CE SABOEIRO R$ 215.255,35 R$ 21.183,62 245.217,55R$ -R$ 24.132,25R$ CE SALITRE R$ 108.039,06 R$ 19.751,42 123.077,42R$ -R$ 22.500,69R$ CE SANTA QUITÉRIA R$ 192.743,25 R$ 44.286,47 219.571,91R$ -R$ 50.450,87R$ CE SANTANA DO ACARAÚ R$ 108.039,06 R$ 15.900,06 123.077,42R$ -R$ 18.113,25R$ CE SANTANA DO CARIRI R$ 108.039,06 R$ 10.803,91 123.077,42R$ -R$ 12.307,75R$ CE SÃO BENEDITO R$ 169.754,41 R$ 10.803,91 193.383,16R$ -R$ 12.307,75R$ CE SÃO GONÇALO DO AMARANTE R$ 264.991,39 R$ 22.752,79 301.876,53R$ -R$ 25.919,84R$ CE SÃO JOÃO DO JAGUARIBE R$ 108.039,06 R$ 10.803,91 123.077,42R$ -R$ 12.307,75R$ CE SÃO LUÍS DO CURU R$ 108.039,06 R$ 10.803,91 123.077,42R$ -R$ 12.307,75R$ CE SENADOR POMPEU R$ 190.700,02 R$ 10.803,91 217.244,27R$ -R$ 12.307,75R$ CE SENADOR SÁ R$ 108.039,06 R$ 10.803,91 123.077,42R$ -R$ 12.307,75R$ CE SOBRAL R$ 1.412.722,15 R$ 106.625,67 1.609.364,24R$ -R$ 121.467,30R$ CE SOLONÓPOLE R$ 248.817,56 R$ 27.406,34 283.451,41R$ -R$ 31.221,13R$ CE TABULEIRO DO NORTE R$ 108.039,06 R$ 25.659,15 123.077,42R$ -R$ 29.230,74R$ CE TAMBORIL R$ 108.039,06 R$ 14.072,91 123.077,42R$ -R$ 16.031,77R$ CE TARRAFAS R$ 108.039,06 R$ 10.803,91 123.077,42R$ -R$ 12.307,75R$ CE TAUÁ R$ 543.751,31 R$ 25.849,56 619.438,09R$ -R$ 29.447,66R$ CE TEJUÇUOCA R$ 271.327,46 R$ 10.803,91 309.094,55R$ -R$ 12.307,75R$ 12
  • 13.
    Tribunal Superior Eleitoral PREFEITO 1ºTURNO 1º TURNO 2º TURNO UF POSSIBILIDADE DE SEGUNDO TURNO VEREADORVEREADOR LIMITE DE GASTOS OBSERVADO O MÍNIMO LEGAL (R$ 100,000,00 PARA PREFEITO E R$ 10.000,00 PARA VEREADOR ) EM 2016*** LIMITE DE GASTOS 2020 (ATUALIZADO PELO IPCA DE JUNHO/2016 ATÉ JUNHO/2020*) PREFEITO MUNICÍPIO** CE TIANGUÁ R$ 697.762,87 R$ 27.404,47 794.887,10R$ -R$ 31.219,00R$ CE TRAIRI R$ 108.039,06 R$ 10.803,91 123.077,42R$ -R$ 12.307,75R$ CE TURURU R$ 146.174,85 R$ 10.803,91 166.521,48R$ -R$ 12.307,75R$ CE UBAJARA R$ 108.039,06 R$ 14.915,23 123.077,42R$ -R$ 16.991,34R$ CE UMARI R$ 108.039,06 R$ 10.803,91 123.077,42R$ -R$ 12.307,75R$ CE UMIRIM R$ 190.975,47 R$ 10.803,91 217.558,06R$ -R$ 12.307,75R$ CE URUBURETAMA R$ 108.039,06 R$ 15.917,59 123.077,42R$ -R$ 18.133,22R$ CE URUOCA R$ 108.039,06 R$ 10.803,91 123.077,42R$ -R$ 12.307,75R$ CE VARJOTA R$ 108.039,06 R$ 10.803,91 123.077,42R$ -R$ 12.307,75R$ CE VÁRZEA ALEGRE R$ 266.563,18 R$ 10.803,91 303.667,11R$ -R$ 12.307,75R$ CE VIÇOSA DO CEARÁ R$ 250.996,95 R$ 29.784,52 285.934,16R$ -R$ 33.930,34R$ ES AFONSO CLÁUDIO R$ 154.502,36 R$ 31.328,38 176.008,12R$ -R$ 35.689,09R$ ES ÁGUA DOCE DO NORTE R$ 272.788,91 R$ 16.830,51 310.759,42R$ -R$ 19.173,21R$ ES ÁGUIA BRANCA R$ 108.039,06 R$ 10.803,91 123.077,42R$ -R$ 12.307,75R$ ES ALEGRE R$ 177.159,88 R$ 25.916,55 201.819,43R$ -R$ 29.523,97R$ ES ALFREDO CHAVES R$ 108.039,06 R$ 18.653,08 123.077,42R$ -R$ 21.249,47R$ ES ALTO RIO NOVO R$ 108.039,06 R$ 10.803,91 123.077,42R$ -R$ 12.307,75R$ ES ANCHIETA R$ 929.130,06 R$ 78.976,34 1.058.459,16R$ -R$ 89.969,35R$ ES APIACÁ R$ 108.039,06 R$ 22.374,79 123.077,42R$ -R$ 25.489,22R$ ES ARACRUZ R$ 771.123,82 R$ 88.417,37 878.459,44R$ -R$ 100.724,52R$ ES ATÍLIO VIVÁCQUA R$ 108.039,06 R$ 10.803,91 123.077,42R$ -R$ 12.307,75R$ ES BAIXO GUANDU R$ 352.311,15 R$ 30.452,40 401.350,66R$ -R$ 34.691,18R$ ES BARRA DE SÃO FRANCISCO R$ 190.944,62 R$ 59.603,87 217.522,92R$ -R$ 67.900,36R$ ES BOA ESPERANÇA R$ 171.504,86 R$ 30.682,19 195.377,26R$ -R$ 34.952,96R$ ES BOM JESUS DO NORTE R$ 108.039,06 R$ 10.803,91 123.077,42R$ -R$ 12.307,75R$ ES BREJETUBA R$ 108.039,06 R$ 18.030,84 123.077,42R$ -R$ 20.540,62R$ ES CACHOEIRO DE ITAPEMIRIM R$ 882.893,29 R$ 78.128,98 1.005.786,52R$ -R$ 89.004,05R$ ES CARIACICA SIM R$ 872.943,77 R$ 89.809,26 994.452,09R$ 397.780,83R$ 102.310,15R$ ES CASTELO R$ 327.101,75 R$ 17.756,68 372.632,27R$ -R$ 20.228,30R$ ES COLATINA R$ 327.306,75 R$ 81.772,83 372.865,80R$ -R$ 93.155,10R$ ES CONCEIÇÃO DA BARRA R$ 312.147,38 R$ 14.614,22 355.596,34R$ -R$ 16.648,43R$ ES CONCEIÇÃO DO CASTELO R$ 108.039,06 R$ 10.803,91 123.077,42R$ -R$ 12.307,75R$ ES DIVINO DE SÃO LOURENÇO R$ 108.039,06 R$ 10.803,91 123.077,42R$ -R$ 12.307,75R$ ES DOMINGOS MARTINS R$ 158.256,40 R$ 19.969,78 180.284,70R$ -R$ 22.749,45R$ ES DORES DO RIO PRETO R$ 108.039,06 R$ 10.803,91 123.077,42R$ -R$ 12.307,75R$ ES ECOPORANGA R$ 185.727,87 R$ 16.593,71 211.580,03R$ -R$ 18.903,45R$ ES FUNDÃO R$ 108.039,06 R$ 10.803,91 123.077,42R$ -R$ 12.307,75R$ ES GOVERNADOR LINDENBERG R$ 108.039,06 R$ 18.544,36 123.077,42R$ -R$ 21.125,62R$ ES GUAÇUÍ R$ 108.039,06 R$ 21.488,29 123.077,42R$ -R$ 24.479,33R$ ES GUARAPARI R$ 903.615,97 R$ 54.994,51 1.029.393,66R$ -R$ 62.649,40R$ ES IBATIBA R$ 178.394,02 R$ 59.459,52 203.225,35R$ -R$ 67.735,91R$ ES IBIRAÇU R$ 339.498,65 R$ 26.679,01 386.754,74R$ -R$ 30.392,56R$ ES IBITIRAMA R$ 108.039,06 R$ 10.803,91 123.077,42R$ -R$ 12.307,75R$ ES ICONHA R$ 108.039,06 R$ 10.803,91 123.077,42R$ -R$ 12.307,75R$ ES IRUPI R$ 108.039,06 R$ 22.742,21 123.077,42R$ -R$ 25.907,78R$ ES ITAGUAÇU R$ 138.969,86 R$ 16.636,11 158.313,60R$ -R$ 18.951,75R$ ES ITAPEMIRIM R$ 518.351,28 R$ 48.220,93 590.502,54R$ -R$ 54.932,98R$ ES ITARANA R$ 108.039,06 R$ 10.803,91 123.077,42R$ -R$ 12.307,75R$ ES IÚNA R$ 139.125,38 R$ 15.685,58 158.490,76R$ -R$ 17.868,91R$ ES JAGUARÉ R$ 461.751,84 R$ 18.413,08 526.024,81R$ -R$ 20.976,07R$ ES JERÔNIMO MONTEIRO R$ 108.039,06 R$ 10.803,91 123.077,42R$ -R$ 12.307,75R$ ES JOÃO NEIVA R$ 221.251,80 R$ 38.478,44 252.048,67R$ -R$ 43.834,40R$ ES LARANJA DA TERRA R$ 140.418,11 R$ 10.803,91 159.963,43R$ -R$ 12.307,75R$ ES LINHARES R$ 2.079.668,04 R$ 113.267,22 2.369.144,83R$ -R$ 129.033,31R$ ES MANTENÓPOLIS R$ 108.039,06 R$ 10.803,91 123.077,42R$ -R$ 12.307,75R$ ES MARATAÍZES R$ 182.025,25 R$ 21.189,12 207.362,03R$ -R$ 24.138,51R$ ES MARECHAL FLORIANO R$ 173.320,56 R$ 10.803,91 197.445,70R$ -R$ 12.307,75R$ ES MARILÂNDIA R$ 256.040,85 R$ 17.815,06 291.680,14R$ -R$ 20.294,80R$ ES MIMOSO DO SUL R$ 138.670,27 R$ 10.803,91 157.972,30R$ -R$ 12.307,75R$ ES MONTANHA R$ 108.039,06 R$ 25.225,16 123.077,42R$ -R$ 28.736,34R$ ES MUCURICI R$ 108.039,06 R$ 10.803,91 123.077,42R$ -R$ 12.307,75R$ ES MUNIZ FREIRE R$ 108.039,06 R$ 10.803,91 123.077,42R$ -R$ 12.307,75R$ ES MUQUI R$ 168.597,21 R$ 10.803,91 192.064,89R$ -R$ 12.307,75R$ ES NOVA VENÉCIA R$ 263.419,70 R$ 33.497,39 300.086,08R$ -R$ 38.160,02R$ ES PANCAS R$ 155.433,38 R$ 14.413,39 177.068,73R$ -R$ 16.419,64R$ ES PEDRO CANÁRIO R$ 273.341,13 R$ 30.655,40 311.388,51R$ -R$ 34.922,44R$ 13
  • 14.
    Tribunal Superior Eleitoral PREFEITO 1ºTURNO 1º TURNO 2º TURNO UF POSSIBILIDADE DE SEGUNDO TURNO VEREADORVEREADOR LIMITE DE GASTOS OBSERVADO O MÍNIMO LEGAL (R$ 100,000,00 PARA PREFEITO E R$ 10.000,00 PARA VEREADOR ) EM 2016*** LIMITE DE GASTOS 2020 (ATUALIZADO PELO IPCA DE JUNHO/2016 ATÉ JUNHO/2020*) PREFEITO MUNICÍPIO** ES PINHEIROS R$ 255.533,87 R$ 47.550,51 291.102,59R$ -R$ 54.169,24R$ ES PIÚMA R$ 235.527,52 R$ 13.540,46 268.311,48R$ -R$ 15.425,21R$ ES PONTO BELO R$ 108.039,06 R$ 10.803,91 123.077,42R$ -R$ 12.307,75R$ ES PRESIDENTE KENNEDY R$ 407.829,61 R$ 61.994,05 464.596,94R$ -R$ 70.623,23R$ ES RIO BANANAL R$ 108.039,06 R$ 28.173,67 123.077,42R$ -R$ 32.095,27R$ ES RIO NOVO DO SUL R$ 108.039,06 R$ 10.803,91 123.077,42R$ -R$ 12.307,75R$ ES SANTA LEOPOLDINA R$ 141.389,76 R$ 21.656,35 161.070,33R$ -R$ 24.670,78R$ ES SANTA MARIA DE JETIBÁ R$ 301.712,31 R$ 22.290,84 343.708,78R$ -R$ 25.393,59R$ ES SANTA TERESA R$ 108.039,06 R$ 21.270,15 123.077,42R$ -R$ 24.230,82R$ ES SÃO DOMINGOS DO NORTE R$ 108.039,06 R$ 10.803,91 123.077,42R$ -R$ 12.307,75R$ ES SÃO GABRIEL DA PALHA R$ 317.305,58 R$ 10.803,91 361.472,53R$ -R$ 12.307,75R$ ES SÃO JOSÉ DO CALÇADO R$ 108.039,06 R$ 10.803,91 123.077,42R$ -R$ 12.307,75R$ ES SÃO MATEUS R$ 1.359.064,37 R$ 118.385,94 1.548.237,63R$ -R$ 134.864,52R$ ES SÃO ROQUE DO CANAÃ R$ 108.039,06 R$ 10.803,91 123.077,42R$ -R$ 12.307,75R$ ES SERRA SIM R$ 2.225.452,08 R$ 133.583,91 2.535.221,10R$ 1.014.088,44R$ 152.177,96R$ ES SOORETAMA R$ 284.480,00 R$ 40.498,93 324.077,84R$ -R$ 46.136,13R$ ES VARGEM ALTA R$ 184.916,03 R$ 17.108,90 210.655,19R$ -R$ 19.490,35R$ ES VENDA NOVA DO IMIGRANTE R$ 108.039,06 R$ 10.803,91 123.077,42R$ -R$ 12.307,75R$ ES VIANA R$ 570.922,56 R$ 23.243,07 650.391,41R$ -R$ 26.478,36R$ ES VILA PAVÃO R$ 262.648,96 R$ 17.948,12 299.208,05R$ -R$ 20.446,39R$ ES VILA VALÉRIO R$ 108.039,06 R$ 15.361,54 123.077,42R$ -R$ 17.499,77R$ ES VILA VELHA SIM R$ 2.099.641,06 R$ 78.101,38 2.391.897,97R$ 956.759,19R$ 88.972,60R$ ES VITÓRIA SIM R$ 6.457.662,00 R$ 131.451,14 7.356.528,18R$ 2.942.611,27R$ 149.748,32R$ GO ABADIA DE GOIÁS R$ 188.153,73 R$ 10.803,91 214.343,55R$ -R$ 12.307,75R$ GO ABADIÂNIA R$ 232.983,32 R$ 13.376,59 265.413,14R$ -R$ 15.238,53R$ GO ACREÚNA R$ 627.478,15 R$ 35.630,52 714.819,19R$ -R$ 40.590,07R$ GO ADELÂNDIA R$ 108.039,06 R$ 10.803,91 123.077,42R$ -R$ 12.307,75R$ GO ÁGUA FRIA DE GOIÁS R$ 108.039,06 R$ 10.803,91 123.077,42R$ -R$ 12.307,75R$ GO ÁGUA LIMPA R$ 108.039,06 R$ 18.174,11 123.077,42R$ -R$ 20.703,83R$ GO ÁGUAS LINDAS DE GOIÁS R$ 1.374.546,39 R$ 108.390,89 1.565.874,65R$ -R$ 123.478,22R$ GO ALEXÂNIA R$ 322.208,04 R$ 56.794,89 367.057,38R$ -R$ 64.700,38R$ GO ALOÂNDIA R$ 108.039,06 R$ 10.803,91 123.077,42R$ -R$ 12.307,75R$ GO ALTO HORIZONTE R$ 442.739,01 R$ 10.803,91 504.365,51R$ -R$ 12.307,75R$ GO ALTO PARAÍSO DE GOIÁS R$ 205.813,52 R$ 10.803,91 234.461,48R$ -R$ 12.307,75R$ GO ALVORADA DO NORTE R$ 108.039,06 R$ 10.803,91 123.077,42R$ -R$ 12.307,75R$ GO AMARALINA R$ 108.039,06 R$ 10.803,91 123.077,42R$ -R$ 12.307,75R$ GO AMERICANO DO BRASIL R$ 361.873,76 R$ 10.803,91 412.244,33R$ -R$ 12.307,75R$ GO AMORINÓPOLIS R$ 108.039,06 R$ 10.803,91 123.077,42R$ -R$ 12.307,75R$ GO ANÁPOLIS SIM R$ 580.879,93 R$ 105.816,19 661.734,79R$ 264.693,91R$ 120.545,14R$ GO ANHANGÜERA R$ 108.039,06 R$ 10.803,91 123.077,42R$ -R$ 12.307,75R$ GO ANICUNS R$ 160.767,63 R$ 10.803,91 183.145,48R$ -R$ 12.307,75R$ GO APARECIDA DE GOIÂNIA SIM R$ 4.788.310,78 R$ 292.935,12 5.454.813,71R$ 2.181.925,48R$ 333.709,86R$ GO APARECIDA DO RIO DOCE R$ 108.039,06 R$ 10.803,91 123.077,42R$ -R$ 12.307,75R$ GO APORÉ R$ 108.039,06 R$ 10.803,91 123.077,42R$ -R$ 12.307,75R$ GO ARAÇU R$ 108.039,06 R$ 10.803,91 123.077,42R$ -R$ 12.307,75R$ GO ARAGARÇAS R$ 108.039,06 R$ 10.803,91 123.077,42R$ -R$ 12.307,75R$ GO ARAGOIÂNIA R$ 108.039,06 R$ 10.803,91 123.077,42R$ -R$ 12.307,75R$ GO ARAGUAPAZ R$ 147.138,72 R$ 10.803,91 167.619,51R$ -R$ 12.307,75R$ GO ARENÓPOLIS R$ 108.039,06 R$ 10.803,91 123.077,42R$ -R$ 12.307,75R$ GO ARUANÃ R$ 236.878,51 R$ 17.269,65 269.850,52R$ -R$ 19.673,48R$ GO AURILÂNDIA R$ 108.039,06 R$ 10.803,91 123.077,42R$ -R$ 12.307,75R$ GO AVELINÓPOLIS R$ 108.039,06 R$ 16.517,72 123.077,42R$ -R$ 18.816,88R$ GO BALIZA R$ 108.039,06 R$ 10.803,91 123.077,42R$ -R$ 12.307,75R$ GO BARRO ALTO R$ 262.482,04 R$ 13.828,17 299.017,90R$ -R$ 15.752,96R$ GO BELA VISTA DE GOIÁS R$ 404.894,15 R$ 15.762,16 461.252,88R$ -R$ 17.956,15R$ GO BOM JARDIM DE GOIÁS R$ 108.039,06 R$ 10.803,91 123.077,42R$ -R$ 12.307,75R$ GO BOM JESUS DE GOIÁS R$ 457.470,53 R$ 28.794,49 521.147,57R$ -R$ 32.802,50R$ GO BONFINÓPOLIS R$ 136.316,84 R$ 10.803,91 155.291,29R$ -R$ 12.307,75R$ GO BONÓPOLIS R$ 108.039,06 R$ 10.803,91 123.077,42R$ -R$ 12.307,75R$ GO BRAZABRANTES R$ 108.039,06 R$ 10.803,91 123.077,42R$ -R$ 12.307,75R$ GO BRITÂNIA R$ 108.039,06 R$ 10.803,91 123.077,42R$ -R$ 12.307,75R$ GO BURITI ALEGRE R$ 237.412,65 R$ 10.803,91 270.459,01R$ -R$ 12.307,75R$ GO BURITI DE GOIÁS R$ 108.039,06 R$ 10.803,91 123.077,42R$ -R$ 12.307,75R$ GO BURITINÓPOLIS R$ 151.260,55 R$ 10.803,91 172.315,07R$ -R$ 12.307,75R$ GO CABECEIRAS R$ 340.823,63 R$ 10.803,91 388.264,15R$ -R$ 12.307,75R$ GO CACHOEIRA ALTA R$ 235.685,12 R$ 17.510,46 268.491,02R$ -R$ 19.947,81R$ 14
  • 15.
    Tribunal Superior Eleitoral PREFEITO 1ºTURNO 1º TURNO 2º TURNO UF POSSIBILIDADE DE SEGUNDO TURNO VEREADORVEREADOR LIMITE DE GASTOS OBSERVADO O MÍNIMO LEGAL (R$ 100,000,00 PARA PREFEITO E R$ 10.000,00 PARA VEREADOR ) EM 2016*** LIMITE DE GASTOS 2020 (ATUALIZADO PELO IPCA DE JUNHO/2016 ATÉ JUNHO/2020*) PREFEITO MUNICÍPIO** GO CACHOEIRA DE GOIÁS R$ 108.039,06 R$ 10.803,91 123.077,42R$ -R$ 12.307,75R$ GO CACHOEIRA DOURADA R$ 189.811,88 R$ 27.913,01 216.232,51R$ -R$ 31.798,33R$ GO CAÇU R$ 221.299,93 R$ 10.803,91 252.103,50R$ -R$ 12.307,75R$ GO CAIAPÔNIA R$ 386.697,57 R$ 10.803,91 440.523,45R$ -R$ 12.307,75R$ GO CALDAS NOVAS R$ 708.499,72 R$ 76.527,47 807.118,45R$ -R$ 87.179,62R$ GO CALDAZINHA R$ 158.799,84 R$ 10.803,91 180.903,79R$ -R$ 12.307,75R$ GO CAMPESTRE DE GOIÁS R$ 108.039,06 R$ 10.803,91 123.077,42R$ -R$ 12.307,75R$ GO CAMPINAÇU R$ 108.039,06 R$ 10.803,91 123.077,42R$ -R$ 12.307,75R$ GO CAMPINORTE R$ 238.599,87 R$ 26.501,85 271.811,48R$ -R$ 30.190,74R$ GO CAMPO ALEGRE DE GOIÁS R$ 108.039,06 R$ 10.803,91 123.077,42R$ -R$ 12.307,75R$ GO CAMPO LIMPO DE GOIÁS R$ 108.039,06 R$ 10.803,91 123.077,42R$ -R$ 12.307,75R$ GO CAMPOS BELOS R$ 174.254,15 R$ 29.265,89 198.509,24R$ -R$ 33.339,52R$ GO CAMPOS VERDES R$ 108.039,06 R$ 10.803,91 123.077,42R$ -R$ 12.307,75R$ GO CARMO DO RIO VERDE R$ 108.039,06 R$ 10.803,91 123.077,42R$ -R$ 12.307,75R$ GO CASTELÂNDIA R$ 108.039,06 R$ 15.061,09 123.077,42R$ -R$ 17.157,50R$ GO CATALÃO R$ 1.196.611,71 R$ 43.209,91 1.363.172,58R$ -R$ 49.224,46R$ GO CATURAÍ R$ 108.039,06 R$ 10.803,91 123.077,42R$ -R$ 12.307,75R$ GO CAVALCANTE R$ 108.039,06 R$ 10.803,91 123.077,42R$ -R$ 12.307,75R$ GO CERES R$ 257.663,60 R$ 29.975,16 293.528,76R$ -R$ 34.147,51R$ GO CEZARINA R$ 153.966,85 R$ 10.803,91 175.398,07R$ -R$ 12.307,75R$ GO CHAPADÃO DO CÉU R$ 273.152,03 R$ 36.328,95 311.173,09R$ -R$ 41.385,71R$ GO CIDADE OCIDENTAL R$ 785.376,89 R$ 50.566,36 894.696,44R$ -R$ 57.604,88R$ GO COCALZINHO DE GOIÁS R$ 138.186,87 R$ 34.492,48 157.421,62R$ -R$ 39.293,62R$ GO COLINAS DO SUL R$ 108.039,06 R$ 10.803,91 123.077,42R$ -R$ 12.307,75R$ GO CÓRREGO DO OURO R$ 167.688,41 R$ 10.803,91 191.029,59R$ -R$ 12.307,75R$ GO CORUMBÁ DE GOIÁS R$ 108.039,06 R$ 10.803,91 123.077,42R$ -R$ 12.307,75R$ GO CORUMBAÍBA R$ 108.039,06 R$ 10.803,91 123.077,42R$ -R$ 12.307,75R$ GO CRISTALINA R$ 1.967.931,90 R$ 34.542,37 2.241.855,72R$ -R$ 39.350,45R$ GO CRISTIANÓPOLIS R$ 149.712,97 R$ 30.308,96 170.552,08R$ -R$ 34.527,78R$ GO CRIXÁS R$ 424.681,21 R$ 10.803,91 483.794,18R$ -R$ 12.307,75R$ GO CROMÍNIA R$ 108.039,06 R$ 10.803,91 123.077,42R$ -R$ 12.307,75R$ GO CUMARI R$ 108.039,06 R$ 10.803,91 123.077,42R$ -R$ 12.307,75R$ GO DAMIANÓPOLIS R$ 108.039,06 R$ 10.803,91 123.077,42R$ -R$ 12.307,75R$ GO DAMOLÂNDIA R$ 108.039,06 R$ 10.803,91 123.077,42R$ -R$ 12.307,75R$ GO DAVINÓPOLIS R$ 108.039,06 R$ 10.803,91 123.077,42R$ -R$ 12.307,75R$ GO DIORAMA R$ 108.039,06 R$ 10.803,91 123.077,42R$ -R$ 12.307,75R$ GO DIVINÓPOLIS DE GOIÁS R$ 108.039,06 R$ 10.803,91 123.077,42R$ -R$ 12.307,75R$ GO DOVERLÂNDIA R$ 207.615,14 R$ 10.803,91 236.513,87R$ -R$ 12.307,75R$ GO EDEALINA R$ 108.039,06 R$ 10.803,91 123.077,42R$ -R$ 12.307,75R$ GO EDÉIA R$ 170.599,08 R$ 10.803,91 194.345,41R$ -R$ 12.307,75R$ GO ESTRELA DO NORTE R$ 108.039,06 R$ 10.803,91 123.077,42R$ -R$ 12.307,75R$ GO FAINA R$ 271.099,92 R$ 10.803,91 308.835,33R$ -R$ 12.307,75R$ GO FAZENDA NOVA R$ 108.039,06 R$ 10.803,91 123.077,42R$ -R$ 12.307,75R$ GO FIRMINÓPOLIS R$ 108.039,06 R$ 10.803,91 123.077,42R$ -R$ 12.307,75R$ GO FLORES DE GOIÁS R$ 281.928,56 R$ 18.852,04 321.171,25R$ -R$ 21.476,13R$ GO FORMOSA R$ 2.326.056,14 R$ 48.765,79 2.649.828,61R$ -R$ 55.553,68R$ GO FORMOSO R$ 154.166,51 R$ 10.803,91 175.625,52R$ -R$ 12.307,75R$ GO GAMELEIRA DE GOIÁS R$ 108.039,06 R$ 10.803,91 123.077,42R$ -R$ 12.307,75R$ GO GOIANÁPOLIS R$ 242.597,51 R$ 18.647,07 276.365,57R$ -R$ 21.242,63R$ GO GOIANDIRA R$ 108.039,06 R$ 10.803,91 123.077,42R$ -R$ 12.307,75R$ GO GOIANÉSIA R$ 1.045.152,05 R$ 43.645,27 1.190.630,68R$ -R$ 49.720,42R$ GO GOIÂNIA SIM R$ 5.683.083,86 R$ 519.651,25 6.474.133,61R$ 2.589.653,44R$ 591.983,46R$ GO GOIANIRA R$ 381.035,48 R$ 17.044,93 434.073,24R$ -R$ 19.417,48R$ GO GOIÁS R$ 476.988,29 R$ 22.147,45 543.382,08R$ -R$ 25.230,24R$ GO GOIATUBA R$ 506.066,43 R$ 38.077,10 576.507,71R$ -R$ 43.377,19R$ GO GOUVELÂNDIA R$ 108.039,06 R$ 10.803,91 123.077,42R$ -R$ 12.307,75R$ GO GUAPÓ R$ 292.496,43 R$ 33.887,61 333.210,10R$ -R$ 38.604,55R$ GO GUARAÍTA R$ 108.039,06 R$ 10.803,91 123.077,42R$ -R$ 12.307,75R$ GO GUARANI DE GOIÁS R$ 108.039,06 R$ 22.830,86 123.077,42R$ -R$ 26.008,77R$ GO GUARINOS R$ 108.039,06 R$ 10.803,91 123.077,42R$ -R$ 12.307,75R$ GO HEITORAÍ R$ 108.039,06 R$ 10.803,91 123.077,42R$ -R$ 12.307,75R$ GO HIDROLÂNDIA R$ 349.529,48 R$ 19.298,67 398.181,80R$ -R$ 21.984,92R$ GO HIDROLINA R$ 108.039,06 R$ 10.803,91 123.077,42R$ -R$ 12.307,75R$ GO IACIARA R$ 535.425,50 R$ 10.803,91 609.953,38R$ -R$ 12.307,75R$ GO INACIOLÂNDIA R$ 108.039,06 R$ 10.803,91 123.077,42R$ -R$ 12.307,75R$ GO INDIARA R$ 161.611,44 R$ 10.803,91 184.106,74R$ -R$ 12.307,75R$ 15
  • 16.
    Tribunal Superior Eleitoral PREFEITO 1ºTURNO 1º TURNO 2º TURNO UF POSSIBILIDADE DE SEGUNDO TURNO VEREADORVEREADOR LIMITE DE GASTOS OBSERVADO O MÍNIMO LEGAL (R$ 100,000,00 PARA PREFEITO E R$ 10.000,00 PARA VEREADOR ) EM 2016*** LIMITE DE GASTOS 2020 (ATUALIZADO PELO IPCA DE JUNHO/2016 ATÉ JUNHO/2020*) PREFEITO MUNICÍPIO** GO INHUMAS R$ 1.462.196,91 R$ 51.671,85 1.665.725,58R$ -R$ 58.864,25R$ GO IPAMERI R$ 593.997,46 R$ 36.822,06 676.678,19R$ -R$ 41.947,46R$ GO IPIRANGA DE GOIÁS R$ 108.039,06 R$ 10.803,91 123.077,42R$ -R$ 12.307,75R$ GO IPORÁ R$ 108.039,06 R$ 14.497,18 123.077,42R$ -R$ 16.515,10R$ GO ISRAELÂNDIA R$ 108.039,06 R$ 15.500,92 123.077,42R$ -R$ 17.658,55R$ GO ITABERAÍ R$ 748.549,46 R$ 27.998,85 852.742,87R$ -R$ 31.896,11R$ GO ITAGUARI R$ 108.039,06 R$ 10.803,91 123.077,42R$ -R$ 12.307,75R$ GO ITAGUARU R$ 169.545,36 R$ 10.803,91 193.145,01R$ -R$ 12.307,75R$ GO ITAJÁ R$ 108.039,06 R$ 10.803,91 123.077,42R$ -R$ 12.307,75R$ GO ITAPACI R$ 276.855,90 R$ 13.539,31 315.392,51R$ -R$ 15.423,90R$ GO ITAPIRAPUÃ R$ 241.672,51 R$ 16.169,91 275.311,81R$ -R$ 18.420,66R$ GO ITAPURANGA R$ 267.289,45 R$ 17.523,39 304.494,47R$ -R$ 19.962,54R$ GO ITARUMÃ R$ 186.096,85 R$ 10.803,91 212.000,37R$ -R$ 12.307,75R$ GO ITAUÇU R$ 108.039,06 R$ 30.149,78 123.077,42R$ -R$ 34.346,44R$ GO ITUMBIARA R$ 1.735.301,66 R$ 79.925,91 1.976.844,80R$ -R$ 91.051,10R$ GO IVOLÂNDIA R$ 108.039,06 R$ 10.803,91 123.077,42R$ -R$ 12.307,75R$ GO JANDAIA R$ 227.545,43 R$ 10.803,91 259.218,33R$ -R$ 12.307,75R$ GO JARAGUÁ R$ 769.374,54 R$ 21.634,37 876.466,67R$ -R$ 24.645,74R$ GO JATAÍ R$ 2.384.675,64 R$ 124.545,25 2.716.607,58R$ -R$ 141.881,17R$ GO JAUPACI R$ 108.039,06 R$ 13.981,73 123.077,42R$ -R$ 15.927,90R$ GO JESÚPOLIS R$ 108.039,06 R$ 10.803,91 123.077,42R$ -R$ 12.307,75R$ GO JOVIÂNIA R$ 136.881,32 R$ 14.129,67 155.934,34R$ -R$ 16.096,43R$ GO JUSSARA R$ 360.369,97 R$ 16.240,95 410.531,22R$ -R$ 18.501,59R$ GO LAGOA SANTA R$ 108.039,06 R$ 10.803,91 123.077,42R$ -R$ 12.307,75R$ GO LEOPOLDO DE BULHÕES R$ 108.039,06 R$ 10.803,91 123.077,42R$ -R$ 12.307,75R$ GO LUZIÂNIA R$ 1.641.560,53 R$ 182.596,84 1.870.055,49R$ -R$ 208.013,18R$ GO MAIRIPOTABA R$ 108.039,06 R$ 10.803,91 123.077,42R$ -R$ 12.307,75R$ GO MAMBAÍ R$ 153.147,41 R$ 10.803,91 174.464,57R$ -R$ 12.307,75R$ GO MARA ROSA R$ 395.851,31 R$ 14.485,00 450.951,34R$ -R$ 16.501,22R$ GO MARZAGÃO R$ 108.039,06 R$ 10.803,91 123.077,42R$ -R$ 12.307,75R$ GO MATRINCHÃ R$ 151.480,05 R$ 10.803,91 172.565,13R$ -R$ 12.307,75R$ GO MAURILÂNDIA R$ 108.039,06 R$ 15.029,95 123.077,42R$ -R$ 17.122,03R$ GO MIMOSO DE GOIÁS R$ 576.381,93 R$ 28.566,97 656.610,69R$ -R$ 32.543,31R$ GO MINAÇU R$ 446.491,26 R$ 38.494,53 508.640,05R$ -R$ 43.852,73R$ GO MINEIROS R$ 543.070,21 R$ 17.868,43 618.662,19R$ -R$ 20.355,60R$ GO MOIPORÁ R$ 108.039,06 R$ 10.803,91 123.077,42R$ -R$ 12.307,75R$ GO MONTE ALEGRE DE GOIÁS R$ 144.054,50 R$ 10.803,91 164.105,99R$ -R$ 12.307,75R$ GO MONTES CLAROS DE GOIÁS R$ 153.203,79 R$ 22.473,76 174.528,80R$ -R$ 25.601,97R$ GO MONTIVIDIU R$ 274.329,32 R$ 10.803,91 312.514,25R$ -R$ 12.307,75R$ GO MONTIVIDIU DO NORTE R$ 108.039,06 R$ 10.803,91 123.077,42R$ -R$ 12.307,75R$ GO MORRINHOS R$ 537.856,66 R$ 35.925,87 612.722,94R$ -R$ 40.926,53R$ GO MORRO AGUDO DE GOIÁS R$ 108.039,06 R$ 10.803,91 123.077,42R$ -R$ 12.307,75R$ GO MOSSÂMEDES R$ 108.039,06 R$ 10.803,91 123.077,42R$ -R$ 12.307,75R$ GO MOZARLÂNDIA R$ 237.921,11 R$ 10.803,91 271.038,24R$ -R$ 12.307,75R$ GO MUNDO NOVO R$ 152.455,95 R$ 10.803,91 173.676,87R$ -R$ 12.307,75R$ GO MUTUNÓPOLIS R$ 339.887,30 R$ 10.803,91 387.197,49R$ -R$ 12.307,75R$ GO NAZÁRIO R$ 286.462,89 R$ 10.803,91 326.336,73R$ -R$ 12.307,75R$ GO NERÓPOLIS R$ 512.712,34 R$ 24.952,88 584.078,69R$ -R$ 28.426,16R$ GO NIQUELÂNDIA R$ 516.314,56 R$ 38.655,39 588.182,32R$ -R$ 44.035,98R$ GO NOVA AMÉRICA R$ 108.039,06 R$ 10.803,91 123.077,42R$ -R$ 12.307,75R$ GO NOVA AURORA R$ 108.039,06 R$ 10.803,91 123.077,42R$ -R$ 12.307,75R$ GO NOVA CRIXÁS R$ 108.039,06 R$ 10.803,91 123.077,42R$ -R$ 12.307,75R$ GO NOVA GLÓRIA R$ 108.039,06 R$ 10.803,91 123.077,42R$ -R$ 12.307,75R$ GO NOVA IGUAÇU DE GOIÁS R$ 108.039,06 R$ 10.803,91 123.077,42R$ -R$ 12.307,75R$ GO NOVA ROMA R$ 108.039,06 R$ 10.803,91 123.077,42R$ -R$ 12.307,75R$ GO NOVA VENEZA R$ 415.235,50 R$ 20.487,81 473.033,69R$ -R$ 23.339,59R$ GO NOVO BRASIL R$ 108.039,06 R$ 10.803,91 123.077,42R$ -R$ 12.307,75R$ GO NOVO GAMA R$ 616.811,73 R$ 80.958,61 702.668,07R$ -R$ 92.227,54R$ GO NOVO PLANALTO R$ 108.039,06 R$ 10.803,91 123.077,42R$ -R$ 12.307,75R$ GO ORIZONA R$ 108.039,06 R$ 19.284,34 123.077,42R$ -R$ 21.968,60R$ GO OURO VERDE DE GOIÁS R$ 108.039,06 R$ 35.031,14 123.077,42R$ -R$ 39.907,26R$ GO OUVIDOR R$ 108.039,06 R$ 10.803,91 123.077,42R$ -R$ 12.307,75R$ GO PADRE BERNARDO R$ 263.841,61 R$ 25.243,85 300.566,71R$ -R$ 28.757,64R$ GO PALESTINA DE GOIÁS R$ 108.039,06 R$ 10.803,91 123.077,42R$ -R$ 12.307,75R$ GO PALMEIRAS DE GOIÁS R$ 483.362,82 R$ 23.188,35 550.643,90R$ -R$ 26.416,02R$ GO PALMELO R$ 108.039,06 R$ 10.803,91 123.077,42R$ -R$ 12.307,75R$ 16
  • 17.
    Tribunal Superior Eleitoral PREFEITO 1ºTURNO 1º TURNO 2º TURNO UF POSSIBILIDADE DE SEGUNDO TURNO VEREADORVEREADOR LIMITE DE GASTOS OBSERVADO O MÍNIMO LEGAL (R$ 100,000,00 PARA PREFEITO E R$ 10.000,00 PARA VEREADOR ) EM 2016*** LIMITE DE GASTOS 2020 (ATUALIZADO PELO IPCA DE JUNHO/2016 ATÉ JUNHO/2020*) PREFEITO MUNICÍPIO** GO PALMINÓPOLIS R$ 108.039,06 R$ 10.803,91 123.077,42R$ -R$ 12.307,75R$ GO PANAMÁ R$ 108.039,06 R$ 10.803,91 123.077,42R$ -R$ 12.307,75R$ GO PARANAIGUARA R$ 108.039,06 R$ 10.803,91 123.077,42R$ -R$ 12.307,75R$ GO PARAÚNA R$ 335.851,18 R$ 13.396,95 382.599,56R$ -R$ 15.261,72R$ GO PEROLÂNDIA R$ 144.720,08 R$ 10.803,91 164.864,21R$ -R$ 12.307,75R$ GO PETROLINA DE GOIÁS R$ 227.223,08 R$ 22.257,27 258.851,11R$ -R$ 25.355,34R$ GO PILAR DE GOIÁS R$ 108.039,06 R$ 10.803,91 123.077,42R$ -R$ 12.307,75R$ GO PIRACANJUBA R$ 267.101,42 R$ 26.469,77 304.280,27R$ -R$ 30.154,20R$ GO PIRANHAS R$ 108.039,06 R$ 10.803,91 123.077,42R$ -R$ 12.307,75R$ GO PIRENÓPOLIS R$ 194.712,14 R$ 30.088,28 221.814,85R$ -R$ 34.276,38R$ GO PIRES DO RIO R$ 221.907,18 R$ 42.138,35 252.795,27R$ -R$ 48.003,74R$ GO PLANALTINA R$ 689.665,89 R$ 53.508,37 785.663,07R$ -R$ 60.956,40R$ GO PONTALINA R$ 108.039,06 R$ 13.851,50 123.077,42R$ -R$ 15.779,54R$ GO PORANGATU R$ 647.759,39 R$ 40.933,01 737.923,45R$ -R$ 46.630,63R$ GO PORTEIRÃO R$ 261.653,54 R$ 10.803,91 298.074,08R$ -R$ 12.307,75R$ GO PORTELÂNDIA R$ 108.039,06 R$ 10.803,91 123.077,42R$ -R$ 12.307,75R$ GO POSSE R$ 373.693,29 R$ 19.547,10 425.709,06R$ -R$ 22.267,93R$ GO PROFESSOR JAMIL R$ 108.039,06 R$ 10.803,91 123.077,42R$ -R$ 12.307,75R$ GO QUIRINÓPOLIS R$ 469.482,52 R$ 37.623,44 534.831,55R$ -R$ 42.860,39R$ GO RIALMA R$ 134.591,92 R$ 29.116,76 153.326,27R$ -R$ 33.169,63R$ GO RIANÁPOLIS R$ 108.039,06 R$ 10.803,91 123.077,42R$ -R$ 12.307,75R$ GO RIO QUENTE R$ 108.039,06 R$ 15.735,47 123.077,42R$ -R$ 17.925,75R$ GO RIO VERDE R$ 1.420.060,21 R$ 214.263,46 1.617.723,71R$ -R$ 244.087,59R$ GO RUBIATABA R$ 108.039,06 R$ 13.468,86 123.077,42R$ -R$ 15.343,64R$ GO SANCLERLÂNDIA R$ 145.310,07 R$ 16.544,49 165.536,32R$ -R$ 18.847,38R$ GO SANTA BÁRBARA DE GOIÁS R$ 108.039,06 R$ 10.803,91 123.077,42R$ -R$ 12.307,75R$ GO SANTA CRUZ DE GOIÁS R$ 108.039,06 R$ 10.803,91 123.077,42R$ -R$ 12.307,75R$ GO SANTA FÉ DE GOIÁS R$ 108.039,06 R$ 14.211,80 123.077,42R$ -R$ 16.189,99R$ GO SANTA HELENA DE GOIÁS R$ 316.935,81 R$ 23.416,18 361.051,29R$ -R$ 26.675,57R$ GO SANTA ISABEL R$ 108.039,06 R$ 38.967,02 123.077,42R$ -R$ 44.390,99R$ GO SANTA RITA DO ARAGUAIA R$ 108.039,06 R$ 10.803,91 123.077,42R$ -R$ 12.307,75R$ GO SANTA RITA DO NOVO DESTINO R$ 108.039,06 R$ 10.803,91 123.077,42R$ -R$ 12.307,75R$ GO SANTA ROSA DE GOIÁS R$ 108.039,06 R$ 10.803,91 123.077,42R$ -R$ 12.307,75R$ GO SANTA TEREZA DE GOIÁS R$ 108.039,06 R$ 10.803,91 123.077,42R$ -R$ 12.307,75R$ GO SANTA TEREZINHA DE GOIÁS R$ 108.039,06 R$ 10.803,91 123.077,42R$ -R$ 12.307,75R$ GO SANTO ANTÔNIO DA BARRA R$ 108.039,06 R$ 10.803,91 123.077,42R$ -R$ 12.307,75R$ GO SANTO ANTÔNIO DE GOIÁS R$ 108.039,06 R$ 10.803,91 123.077,42R$ -R$ 12.307,75R$ GO SANTO ANTÔNIO DO DESCOBERTO R$ 273.595,23 R$ 32.443,79 311.677,98R$ -R$ 36.959,76R$ GO SÃO DOMINGOS R$ 108.039,06 R$ 10.803,91 123.077,42R$ -R$ 12.307,75R$ GO SÃO FRANCISCO DE GOIÁS R$ 205.886,50 R$ 10.803,91 234.544,61R$ -R$ 12.307,75R$ GO SÃO JOÃO DA PARAÚNA R$ 108.039,06 R$ 10.803,91 123.077,42R$ -R$ 12.307,75R$ GO SÃO JOÃO D'ALIANÇA R$ 158.799,00 R$ 10.803,91 180.902,83R$ -R$ 12.307,75R$ GO SÃO LUÍS DE MONTES BELOS R$ 1.203.581,58 R$ 46.778,98 1.371.112,61R$ -R$ 53.290,32R$ GO SÃO LUIZ DO NORTE R$ 108.039,06 R$ 10.803,91 123.077,42R$ -R$ 12.307,75R$ GO SÃO MIGUEL DO ARAGUAIA R$ 176.846,41 R$ 15.487,12 201.462,32R$ -R$ 17.642,83R$ GO SÃO MIGUEL DO PASSA QUATRO R$ 108.039,06 R$ 10.803,91 123.077,42R$ -R$ 12.307,75R$ GO SÃO PATRÍCIO R$ 139.959,13 R$ 10.803,91 159.440,57R$ -R$ 12.307,75R$ GO SÃO SIMÃO R$ 280.922,39 R$ 16.273,16 320.025,03R$ -R$ 18.538,28R$ GO SENADOR CANEDO R$ 542.605,76 R$ 91.412,83 618.133,09R$ -R$ 104.136,92R$ GO SERRANÓPOLIS R$ 108.039,06 R$ 18.726,57 123.077,42R$ -R$ 21.333,19R$ GO SILVÂNIA R$ 400.469,17 R$ 67.468,94 456.211,98R$ -R$ 76.860,19R$ GO SIMOLÂNDIA R$ 108.039,06 R$ 10.803,91 123.077,42R$ -R$ 12.307,75R$ GO SÍTIO D'ABADIA R$ 108.039,06 R$ 10.803,91 123.077,42R$ -R$ 12.307,75R$ GO TAQUARAL DE GOIÁS R$ 254.696,76 R$ 22.133,27 290.148,96R$ -R$ 25.214,08R$ GO TERESINA DE GOIÁS R$ 108.039,06 R$ 10.803,91 123.077,42R$ -R$ 12.307,75R$ GO TEREZÓPOLIS DE GOIÁS R$ 195.718,64 R$ 10.803,91 222.961,45R$ -R$ 12.307,75R$ GO TRÊS RANCHOS R$ 108.039,06 R$ 10.803,91 123.077,42R$ -R$ 12.307,75R$ GO TRINDADE R$ 1.729.169,17 R$ 61.177,53 1.969.858,71R$ -R$ 69.693,06R$ GO TROMBAS R$ 108.039,06 R$ 10.803,91 123.077,42R$ -R$ 12.307,75R$ GO TURVÂNIA R$ 207.172,09 R$ 10.803,91 236.009,15R$ -R$ 12.307,75R$ GO TURVELÂNDIA R$ 108.039,06 R$ 17.928,03 123.077,42R$ -R$ 20.423,50R$ GO UIRAPURU R$ 108.039,06 R$ 10.803,91 123.077,42R$ -R$ 12.307,75R$ GO URUAÇU R$ 257.903,88 R$ 10.803,91 293.802,49R$ -R$ 12.307,75R$ GO URUANA R$ 212.093,62 R$ 23.094,55 241.615,73R$ -R$ 26.309,17R$ GO URUTAÍ R$ 108.039,06 R$ 10.803,91 123.077,42R$ -R$ 12.307,75R$ GO VALPARAÍSO DE GOIÁS R$ 1.696.220,69 R$ 112.776,11 1.932.324,01R$ -R$ 128.473,84R$ 17
  • 18.
    Tribunal Superior Eleitoral PREFEITO 1ºTURNO 1º TURNO 2º TURNO UF POSSIBILIDADE DE SEGUNDO TURNO VEREADORVEREADOR LIMITE DE GASTOS OBSERVADO O MÍNIMO LEGAL (R$ 100,000,00 PARA PREFEITO E R$ 10.000,00 PARA VEREADOR ) EM 2016*** LIMITE DE GASTOS 2020 (ATUALIZADO PELO IPCA DE JUNHO/2016 ATÉ JUNHO/2020*) PREFEITO MUNICÍPIO** GO VARJÃO R$ 108.039,06 R$ 10.803,91 123.077,42R$ -R$ 12.307,75R$ GO VIANÓPOLIS R$ 140.205,41 R$ 10.803,91 159.721,13R$ -R$ 12.307,75R$ GO VICENTINÓPOLIS R$ 108.039,06 R$ 10.803,91 123.077,42R$ -R$ 12.307,75R$ GO VILA BOA R$ 108.039,06 R$ 10.803,91 123.077,42R$ -R$ 12.307,75R$ GO VILA PROPÍCIO R$ 108.039,06 R$ 10.803,91 123.077,42R$ -R$ 12.307,75R$ MA AÇAILÂNDIA R$ 301.385,43 R$ 66.784,81 343.336,40R$ -R$ 76.080,84R$ MA AFONSO CUNHA R$ 108.039,06 R$ 10.803,91 123.077,42R$ -R$ 12.307,75R$ MA ÁGUA DOCE DO MARANHÃO R$ 138.557,91 R$ 16.306,16 157.844,30R$ -R$ 18.575,88R$ MA ALCÂNTARA R$ 137.129,61 R$ 10.803,91 156.217,19R$ -R$ 12.307,75R$ MA ALDEIAS ALTAS R$ 221.632,74 R$ 37.147,43 252.482,63R$ -R$ 42.318,12R$ MA ALTAMIRA DO MARANHÃO R$ 108.039,06 R$ 10.803,91 123.077,42R$ -R$ 12.307,75R$ MA ALTO ALEGRE DO MARANHÃO R$ 168.451,14 R$ 16.528,54 191.898,49R$ -R$ 18.829,21R$ MA ALTO ALEGRE DO PINDARÉ R$ 312.501,75 R$ 10.803,91 356.000,04R$ -R$ 12.307,75R$ MA ALTO PARNAÍBA R$ 108.039,06 R$ 10.803,91 123.077,42R$ -R$ 12.307,75R$ MA AMAPÁ DO MARANHÃO R$ 108.039,06 R$ 10.803,91 123.077,42R$ -R$ 12.307,75R$ MA AMARANTE DO MARANHÃO R$ 153.065,39 R$ 10.803,91 174.371,14R$ -R$ 12.307,75R$ MA ANAJATUBA R$ 108.039,06 R$ 16.554,29 123.077,42R$ -R$ 18.858,54R$ MA ANAPURUS R$ 108.039,06 R$ 25.555,51 123.077,42R$ -R$ 29.112,68R$ MA APICUM-AÇU R$ 222.399,20 R$ 10.803,91 253.355,78R$ -R$ 12.307,75R$ MA ARAGUANÃ R$ 198.033,51 R$ 10.803,91 225.598,54R$ -R$ 12.307,75R$ MA ARAIOSES R$ 308.064,50 R$ 10.803,91 350.945,15R$ -R$ 12.307,75R$ MA ARAME R$ 193.342,50 R$ 30.571,13 220.254,57R$ -R$ 34.826,44R$ MA ARARI R$ 408.402,32 R$ 10.803,91 465.249,37R$ -R$ 12.307,75R$ MA AXIXÁ R$ 108.039,06 R$ 10.803,91 123.077,42R$ -R$ 12.307,75R$ MA BACABAL R$ 298.890,91 R$ 61.292,07 340.494,66R$ -R$ 69.823,54R$ MA BACABEIRA R$ 254.718,85 R$ 10.803,91 290.174,12R$ -R$ 12.307,75R$ MA BACURI R$ 108.039,06 R$ 10.803,91 123.077,42R$ -R$ 12.307,75R$ MA BACURITUBA R$ 108.039,06 R$ 10.803,91 123.077,42R$ -R$ 12.307,75R$ MA BALSAS R$ 650.026,51 R$ 41.572,99 740.506,14R$ -R$ 47.359,69R$ MA BARÃO DE GRAJAÚ R$ 145.284,29 R$ 10.803,91 165.506,95R$ -R$ 12.307,75R$ MA BARRA DO CORDA R$ 222.178,15 R$ 37.921,31 253.103,96R$ -R$ 43.199,72R$ MA BARREIRINHAS R$ 412.274,31 R$ 21.863,27 469.660,32R$ -R$ 24.906,50R$ MA BELA VISTA DO MARANHÃO R$ 108.039,06 R$ 10.803,91 123.077,42R$ -R$ 12.307,75R$ MA BELÁGUA R$ 108.039,06 R$ 10.803,91 123.077,42R$ -R$ 12.307,75R$ MA BENEDITO LEITE R$ 108.039,06 R$ 10.803,91 123.077,42R$ -R$ 12.307,75R$ MA BEQUIMÃO R$ 143.539,18 R$ 19.762,15 163.518,94R$ -R$ 22.512,92R$ MA BERNARDO DO MEARIM R$ 108.039,06 R$ 10.803,91 123.077,42R$ -R$ 12.307,75R$ MA BOA VISTA DO GURUPI R$ 108.039,06 R$ 10.803,91 123.077,42R$ -R$ 12.307,75R$ MA BOM JARDIM R$ 431.647,51 R$ 10.803,91 491.730,15R$ -R$ 12.307,75R$ MA BOM JESUS DAS SELVAS R$ 567.427,19 R$ 10.803,91 646.409,51R$ -R$ 12.307,75R$ MA BOM LUGAR R$ 185.717,04 R$ 10.803,91 211.567,69R$ -R$ 12.307,75R$ MA BREJO R$ 108.039,06 R$ 10.803,91 123.077,42R$ -R$ 12.307,75R$ MA BREJO DE AREIA R$ 108.039,06 R$ 10.803,91 123.077,42R$ -R$ 12.307,75R$ MA BURITI R$ 190.911,80 R$ 19.363,28 217.485,53R$ -R$ 22.058,53R$ MA BURITI BRAVO R$ 192.237,64 R$ 10.803,91 218.995,92R$ -R$ 12.307,75R$ MA BURITICUPU R$ 236.891,15 R$ 92.031,74 269.864,92R$ -R$ 104.841,98R$ MA BURITIRANA R$ 150.769,75 R$ 18.052,42 171.755,96R$ -R$ 20.565,20R$ MA CACHOEIRA GRANDE R$ 108.039,06 R$ 10.803,91 123.077,42R$ -R$ 12.307,75R$ MA CAJAPIÓ R$ 108.039,06 R$ 16.859,95 123.077,42R$ -R$ 19.206,75R$ MA CAJARI R$ 176.404,32 R$ 10.803,91 200.958,70R$ -R$ 12.307,75R$ MA CAMPESTRE DO MARANHÃO R$ 248.246,21 R$ 21.073,98 282.800,53R$ -R$ 24.007,35R$ MA CÂNDIDO MENDES R$ 180.190,36 R$ 10.803,91 205.271,73R$ -R$ 12.307,75R$ MA CANTANHEDE R$ 235.365,67 R$ 10.803,91 268.127,10R$ -R$ 12.307,75R$ MA CAPINZAL DO NORTE R$ 108.039,06 R$ 10.803,91 123.077,42R$ -R$ 12.307,75R$ MA CAROLINA R$ 186.870,32 R$ 10.803,91 212.881,50R$ -R$ 12.307,75R$ MA CARUTAPERA R$ 143.258,28 R$ 10.803,91 163.198,94R$ -R$ 12.307,75R$ MA CAXIAS R$ 1.254.212,24 R$ 98.419,28 1.428.790,74R$ -R$ 112.118,63R$ MA CEDRAL R$ 108.039,06 R$ 10.803,91 123.077,42R$ -R$ 12.307,75R$ MA CENTRAL DO MARANHÃO R$ 108.039,06 R$ 10.803,91 123.077,42R$ -R$ 12.307,75R$ MA CENTRO DO GUILHERME R$ 108.039,06 R$ 10.803,91 123.077,42R$ -R$ 12.307,75R$ MA CENTRO NOVO DO MARANHÃO R$ 143.773,27 R$ 23.445,67 163.785,61R$ -R$ 26.709,16R$ MA CHAPADINHA R$ 1.072.464,70 R$ 28.941,92 1.221.745,08R$ -R$ 32.970,45R$ MA CIDELÂNDIA R$ 108.039,06 R$ 18.693,04 123.077,42R$ -R$ 21.294,99R$ MA CODÓ R$ 800.809,50 R$ 96.268,63 912.277,18R$ -R$ 109.668,62R$ MA COELHO NETO R$ 523.220,45 R$ 17.434,87 596.049,47R$ -R$ 19.861,69R$ MA COLINAS R$ 186.024,08 R$ 10.803,91 211.917,47R$ -R$ 12.307,75R$ 18
  • 19.
    Tribunal Superior Eleitoral PREFEITO 1ºTURNO 1º TURNO 2º TURNO UF POSSIBILIDADE DE SEGUNDO TURNO VEREADORVEREADOR LIMITE DE GASTOS OBSERVADO O MÍNIMO LEGAL (R$ 100,000,00 PARA PREFEITO E R$ 10.000,00 PARA VEREADOR ) EM 2016*** LIMITE DE GASTOS 2020 (ATUALIZADO PELO IPCA DE JUNHO/2016 ATÉ JUNHO/2020*) PREFEITO MUNICÍPIO** MA CONCEIÇÃO DO LAGO-AÇU R$ 146.180,57 R$ 15.449,42 166.527,99R$ -R$ 17.599,88R$ MA COROATÁ R$ 1.508.737,16 R$ 89.331,37 1.718.743,94R$ -R$ 101.765,74R$ MA CURURUPU R$ 214.445,31 R$ 10.803,91 244.294,76R$ -R$ 12.307,75R$ MA DAVINÓPOLIS R$ 108.039,06 R$ 17.097,36 123.077,42R$ -R$ 19.477,21R$ MA DOM PEDRO R$ 310.861,11 R$ 10.803,91 354.131,03R$ -R$ 12.307,75R$ MA DUQUE BACELAR R$ 108.039,06 R$ 10.803,91 123.077,42R$ -R$ 12.307,75R$ MA ESPERANTINÓPOLIS R$ 108.039,06 R$ 10.803,91 123.077,42R$ -R$ 12.307,75R$ MA ESTREITO R$ 409.388,24 R$ 10.803,91 466.372,52R$ -R$ 12.307,75R$ MA FEIRA NOVA DO MARANHÃO R$ 108.039,06 R$ 10.803,91 123.077,42R$ -R$ 12.307,75R$ MA FERNANDO FALCÃO R$ 108.039,06 R$ 18.086,12 123.077,42R$ -R$ 20.603,59R$ MA FORMOSA DA SERRA NEGRA R$ 148.447,42 R$ 10.803,91 169.110,37R$ -R$ 12.307,75R$ MA FORTALEZA DOS NOGUEIRAS R$ 456.669,41 R$ 10.803,91 520.234,94R$ -R$ 12.307,75R$ MA FORTUNA R$ 142.334,13 R$ 18.653,63 162.146,15R$ -R$ 21.250,10R$ MA GODOFREDO VIANA R$ 108.039,06 R$ 10.803,91 123.077,42R$ -R$ 12.307,75R$ MA GONÇALVES DIAS R$ 108.039,06 R$ 10.803,91 123.077,42R$ -R$ 12.307,75R$ MA GOVERNADOR ARCHER R$ 108.039,06 R$ 18.555,88 123.077,42R$ -R$ 21.138,74R$ MA GOVERNADOR EDISON LOBÃO R$ 108.039,06 R$ 10.803,91 123.077,42R$ -R$ 12.307,75R$ MA GOVERNADOR EUGÊNIO BARROS R$ 108.039,06 R$ 10.803,91 123.077,42R$ -R$ 12.307,75R$ MA GOVERNADOR LUIZ ROCHA R$ 108.039,06 R$ 10.803,91 123.077,42R$ -R$ 12.307,75R$ MA GOVERNADOR NEWTON BELLO R$ 146.728,41 R$ 10.803,91 167.152,09R$ -R$ 12.307,75R$ MA GOVERNADOR NUNES FREIRE R$ 108.039,06 R$ 10.803,91 123.077,42R$ -R$ 12.307,75R$ MA GRAÇA ARANHA R$ 108.039,06 R$ 10.803,91 123.077,42R$ -R$ 12.307,75R$ MA GRAJAÚ R$ 285.060,86 R$ 21.990,15 324.739,55R$ -R$ 25.051,04R$ MA GUIMARÃES R$ 400.830,09 R$ 22.286,44 456.623,13R$ -R$ 25.388,57R$ MA HUMBERTO DE CAMPOS R$ 172.486,53 R$ 23.427,50 196.495,58R$ -R$ 26.688,46R$ MA ICATU R$ 200.795,68 R$ 17.649,10 228.745,18R$ -R$ 20.105,74R$ MA IGARAPÉ DO MEIO R$ 108.039,06 R$ 10.803,91 123.077,42R$ -R$ 12.307,75R$ MA IGARAPÉ GRANDE R$ 108.039,06 R$ 10.803,91 123.077,42R$ -R$ 12.307,75R$ MA IMPERATRIZ R$ 1.355.242,39 R$ 145.883,24 1.543.883,66R$ -R$ 166.189,28R$ MA ITAIPAVA DO GRAJAÚ R$ 108.039,06 R$ 10.803,91 123.077,42R$ -R$ 12.307,75R$ MA ITAPECURU MIRIM R$ 314.399,50 R$ 18.021,52 358.161,95R$ -R$ 20.530,00R$ MA ITINGA DO MARANHÃO R$ 502.344,11 R$ 25.343,98 572.267,27R$ -R$ 28.871,70R$ MA JATOBÁ R$ 108.039,06 R$ 10.803,91 123.077,42R$ -R$ 12.307,75R$ MA JENIPAPO DOS VIEIRAS R$ 158.991,35 R$ 10.803,91 181.121,95R$ -R$ 12.307,75R$ MA JOÃO LISBOA R$ 153.328,55 R$ 28.137,33 174.670,93R$ -R$ 32.053,87R$ MA JOSELÂNDIA R$ 108.039,06 R$ 10.803,91 123.077,42R$ -R$ 12.307,75R$ MA JUNCO DO MARANHÃO R$ 108.039,06 R$ 10.803,91 123.077,42R$ -R$ 12.307,75R$ MA LAGO DA PEDRA R$ 438.020,15 R$ 17.097,36 498.989,82R$ -R$ 19.477,21R$ MA LAGO DO JUNCO R$ 108.039,06 R$ 10.803,91 123.077,42R$ -R$ 12.307,75R$ MA LAGO DOS RODRIGUES R$ 108.039,06 R$ 10.803,91 123.077,42R$ -R$ 12.307,75R$ MA LAGO VERDE R$ 108.039,06 R$ 16.668,52 123.077,42R$ -R$ 18.988,67R$ MA LAGOA DO MATO R$ 108.039,06 R$ 10.803,91 123.077,42R$ -R$ 12.307,75R$ MA LAGOA GRANDE DO MARANHÃO R$ 108.039,06 R$ 10.803,91 123.077,42R$ -R$ 12.307,75R$ MA LAJEADO NOVO R$ 108.039,06 R$ 10.803,91 123.077,42R$ -R$ 12.307,75R$ MA LIMA CAMPOS R$ 334.269,33 R$ 14.268,77 380.797,53R$ -R$ 16.254,89R$ MA LORETO R$ 108.039,06 R$ 10.803,91 123.077,42R$ -R$ 12.307,75R$ MA LUÍS DOMINGUES R$ 108.039,06 R$ 10.803,91 123.077,42R$ -R$ 12.307,75R$ MA MAGALHÃES DE ALMEIDA R$ 108.039,06 R$ 10.803,91 123.077,42R$ -R$ 12.307,75R$ MA MARACAÇUMÉ R$ 108.039,06 R$ 10.803,91 123.077,42R$ -R$ 12.307,75R$ MA MARAJÁ DO SENA R$ 108.039,06 R$ 10.803,91 123.077,42R$ -R$ 12.307,75R$ MA MARANHÃOZINHO R$ 108.039,06 R$ 10.803,91 123.077,42R$ -R$ 12.307,75R$ MA MATA ROMA R$ 108.039,06 R$ 10.803,91 123.077,42R$ -R$ 12.307,75R$ MA MATINHA R$ 182.135,55 R$ 10.803,91 207.487,68R$ -R$ 12.307,75R$ MA MATÕES R$ 171.140,73 R$ 13.993,43 194.962,45R$ -R$ 15.941,23R$ MA MATÕES DO NORTE R$ 226.217,00 R$ 10.803,91 257.704,99R$ -R$ 12.307,75R$ MA MILAGRES DO MARANHÃO R$ 108.039,06 R$ 10.803,91 123.077,42R$ -R$ 12.307,75R$ MA MIRADOR R$ 108.039,06 R$ 13.592,68 123.077,42R$ -R$ 15.484,70R$ MA MIRANDA DO NORTE R$ 307.922,91 R$ 10.803,91 350.783,85R$ -R$ 12.307,75R$ MA MIRINZAL R$ 108.039,06 R$ 14.224,70 123.077,42R$ -R$ 16.204,69R$ MA MONÇÃO R$ 179.100,66 R$ 10.803,91 204.030,35R$ -R$ 12.307,75R$ MA MONTES ALTOS R$ 171.741,40 R$ 10.803,91 195.646,73R$ -R$ 12.307,75R$ MA MORROS R$ 108.039,06 R$ 17.090,81 123.077,42R$ -R$ 19.469,74R$ MA NINA RODRIGUES R$ 108.039,06 R$ 10.803,91 123.077,42R$ -R$ 12.307,75R$ MA NOVA COLINAS R$ 108.039,06 R$ 10.803,91 123.077,42R$ -R$ 12.307,75R$ MA NOVA IORQUE R$ 108.039,06 R$ 10.803,91 123.077,42R$ -R$ 12.307,75R$ MA NOVA OLINDA DO MARANHÃO R$ 215.676,95 R$ 10.803,91 245.697,83R$ -R$ 12.307,75R$ 19
  • 20.
    Tribunal Superior Eleitoral PREFEITO 1ºTURNO 1º TURNO 2º TURNO UF POSSIBILIDADE DE SEGUNDO TURNO VEREADORVEREADOR LIMITE DE GASTOS OBSERVADO O MÍNIMO LEGAL (R$ 100,000,00 PARA PREFEITO E R$ 10.000,00 PARA VEREADOR ) EM 2016*** LIMITE DE GASTOS 2020 (ATUALIZADO PELO IPCA DE JUNHO/2016 ATÉ JUNHO/2020*) PREFEITO MUNICÍPIO** MA OLHO D'ÁGUA DAS CUNHÃS R$ 108.039,06 R$ 10.803,91 123.077,42R$ -R$ 12.307,75R$ MA OLINDA NOVA DO MARANHÃO R$ 139.168,01 R$ 10.803,91 158.539,33R$ -R$ 12.307,75R$ MA PAÇO DO LUMIAR R$ 528.060,07 R$ 78.021,52 601.562,73R$ -R$ 88.881,63R$ MA PALMEIRÂNDIA R$ 108.039,06 R$ 14.404,95 123.077,42R$ -R$ 16.410,03R$ MA PARAIBANO R$ 108.039,06 R$ 13.946,95 123.077,42R$ -R$ 15.888,28R$ MA PARNARAMA R$ 139.917,46 R$ 18.185,38 159.393,10R$ -R$ 20.716,67R$ MA PASSAGEM FRANCA R$ 108.039,06 R$ 10.803,91 123.077,42R$ -R$ 12.307,75R$ MA PASTOS BONS R$ 108.039,06 R$ 10.803,91 123.077,42R$ -R$ 12.307,75R$ MA PAULINO NEVES R$ 108.039,06 R$ 10.803,91 123.077,42R$ -R$ 12.307,75R$ MA PAULO RAMOS R$ 108.039,06 R$ 10.803,91 123.077,42R$ -R$ 12.307,75R$ MA PEDREIRAS R$ 334.438,81 R$ 24.977,69 380.990,60R$ -R$ 28.454,43R$ MA PEDRO DO ROSÁRIO R$ 429.917,98 R$ 23.524,70 489.759,88R$ -R$ 26.799,19R$ MA PENALVA R$ 232.555,76 R$ 27.943,79 264.926,07R$ -R$ 31.833,39R$ MA PERI MIRIM R$ 108.039,06 R$ 10.803,91 123.077,42R$ -R$ 12.307,75R$ MA PERITORÓ R$ 486.470,18 R$ 10.803,91 554.183,79R$ -R$ 12.307,75R$ MA PINDARÉ-MIRIM R$ 533.944,68 R$ 50.952,46 608.266,44R$ -R$ 58.044,72R$ MA PINHEIRO R$ 644.943,18 R$ 22.003,72 734.715,24R$ -R$ 25.066,50R$ MA PIO XII R$ 187.740,92 R$ 28.984,15 213.873,28R$ -R$ 33.018,56R$ MA PIRAPEMAS R$ 150.382,19 R$ 18.940,06 171.314,45R$ -R$ 21.576,40R$ MA POÇÃO DE PEDRAS R$ 108.039,06 R$ 10.803,91 123.077,42R$ -R$ 12.307,75R$ MA PORTO FRANCO R$ 227.660,90 R$ 10.803,91 259.349,87R$ -R$ 12.307,75R$ MA PORTO RICO DO MARANHÃO R$ 108.039,06 R$ 10.803,91 123.077,42R$ -R$ 12.307,75R$ MA PRESIDENTE DUTRA R$ 183.961,35 R$ 14.044,93 209.567,62R$ -R$ 15.999,90R$ MA PRESIDENTE JUSCELINO R$ 108.039,06 R$ 10.803,91 123.077,42R$ -R$ 12.307,75R$ MA PRESIDENTE MÉDICI R$ 139.325,29 R$ 10.803,91 158.718,50R$ -R$ 12.307,75R$ MA PRESIDENTE SARNEY R$ 108.039,06 R$ 10.803,91 123.077,42R$ -R$ 12.307,75R$ MA PRESIDENTE VARGAS R$ 108.039,06 R$ 10.803,91 123.077,42R$ -R$ 12.307,75R$ MA PRIMEIRA CRUZ R$ 108.039,06 R$ 10.803,91 123.077,42R$ -R$ 12.307,75R$ MA RAPOSA R$ 108.039,06 R$ 36.995,64 123.077,42R$ -R$ 42.145,20R$ MA RIACHÃO R$ 193.527,50 R$ 31.053,58 220.465,32R$ -R$ 35.376,04R$ MA RIBAMAR FIQUENE R$ 108.039,06 R$ 10.803,91 123.077,42R$ -R$ 12.307,75R$ MA ROSÁRIO R$ 143.305,09 R$ 16.746,24 163.252,26R$ -R$ 19.077,21R$ MA SAMBAÍBA R$ 108.039,06 R$ 10.803,91 123.077,42R$ -R$ 12.307,75R$ MA SANTA FILOMENA DO MARANHÃO R$ 108.039,06 R$ 16.909,65 123.077,42R$ -R$ 19.263,37R$ MA SANTA HELENA R$ 142.931,39 R$ 10.803,91 162.826,55R$ -R$ 12.307,75R$ MA SANTA INÊS R$ 759.620,97 R$ 34.925,06 865.355,46R$ -R$ 39.786,41R$ MA SANTA LUZIA R$ 689.399,64 R$ 26.486,87 785.359,76R$ -R$ 30.173,68R$ MA SANTA LUZIA DO PARUÁ R$ 217.204,84 R$ 16.961,13 247.438,40R$ -R$ 19.322,01R$ MA SANTA QUITÉRIA DO MARANHÃO R$ 145.017,69 R$ 10.803,91 165.203,25R$ -R$ 12.307,75R$ MA SANTA RITA R$ 108.039,06 R$ 10.803,91 123.077,42R$ -R$ 12.307,75R$ MA SANTANA DO MARANHÃO R$ 108.039,06 R$ 14.391,36 123.077,42R$ -R$ 16.394,55R$ MA SANTO AMARO DO MARANHÃO R$ 108.039,06 R$ 10.803,91 123.077,42R$ -R$ 12.307,75R$ MA SANTO ANTÔNIO DOS LOPES R$ 211.658,30 R$ 10.803,91 241.119,81R$ -R$ 12.307,75R$ MA SÃO BENEDITO DO RIO PRETO R$ 108.039,06 R$ 10.803,91 123.077,42R$ -R$ 12.307,75R$ MA SÃO BENTO R$ 108.039,06 R$ 10.803,91 123.077,42R$ -R$ 12.307,75R$ MA SÃO BERNARDO R$ 108.039,06 R$ 10.803,91 123.077,42R$ -R$ 12.307,75R$ MA SÃO DOMINGOS DO AZEITÃO R$ 207.282,47 R$ 10.803,91 236.134,89R$ -R$ 12.307,75R$ MA SÃO DOMINGOS DO MARANHÃO R$ 332.755,29 R$ 29.822,07 379.072,75R$ -R$ 33.973,12R$ MA SÃO FÉLIX DE BALSAS R$ 108.039,06 R$ 10.803,91 123.077,42R$ -R$ 12.307,75R$ MA SÃO FRANCISCO DO BREJÃO R$ 251.066,06 R$ 10.803,91 286.012,89R$ -R$ 12.307,75R$ MA SÃO FRANCISCO DO MARANHÃO R$ 108.039,06 R$ 10.803,91 123.077,42R$ -R$ 12.307,75R$ MA SÃO JOÃO BATISTA R$ 108.039,06 R$ 14.302,70 123.077,42R$ -R$ 16.293,55R$ MA SÃO JOÃO DO CARÚ R$ 186.797,57 R$ 10.803,91 212.798,62R$ -R$ 12.307,75R$ MA SÃO JOÃO DO PARAÍSO R$ 108.039,06 R$ 10.803,91 123.077,42R$ -R$ 12.307,75R$ MA SÃO JOÃO DO SOTER R$ 108.039,06 R$ 20.735,85 123.077,42R$ -R$ 23.622,15R$ MA SÃO JOÃO DOS PATOS R$ 307.114,33 R$ 41.815,88 349.862,72R$ -R$ 47.636,39R$ MA SÃO JOSÉ DE RIBAMAR R$ 823.354,99 R$ 92.841,72 937.960,86R$ -R$ 105.764,71R$ MA SÃO JOSÉ DOS BASÍLIOS R$ 108.039,06 R$ 10.803,91 123.077,42R$ -R$ 12.307,75R$ MA SÃO LUÍS SIM R$ 3.142.045,97 R$ 442.586,93 3.579.399,13R$ 1.431.759,65R$ 504.192,26R$ MA SÃO LUÍS GONZAGA DO MARANHÃO R$ 108.039,06 R$ 10.803,91 123.077,42R$ -R$ 12.307,75R$ MA SÃO MATEUS DO MARANHÃO R$ 108.039,06 R$ 21.020,58 123.077,42R$ -R$ 23.946,51R$ MA SÃO PEDRO DA ÁGUA BRANCA R$ 385.436,86 R$ 10.803,91 439.087,26R$ -R$ 12.307,75R$ MA SÃO PEDRO DOS CRENTES R$ 108.039,06 R$ 10.803,91 123.077,42R$ -R$ 12.307,75R$ MA SÃO RAIMUNDO DAS MANGABEIRAS R$ 277.236,40 R$ 10.803,91 315.825,97R$ -R$ 12.307,75R$ MA SÃO RAIMUNDO DO DOCA BEZERRA R$ 233.206,70 R$ 16.034,63 265.667,61R$ -R$ 18.266,55R$ MA SÃO ROBERTO R$ 108.039,06 R$ 17.790,24 123.077,42R$ -R$ 20.266,53R$ 20
  • 21.
    Tribunal Superior Eleitoral PREFEITO 1ºTURNO 1º TURNO 2º TURNO UF POSSIBILIDADE DE SEGUNDO TURNO VEREADORVEREADOR LIMITE DE GASTOS OBSERVADO O MÍNIMO LEGAL (R$ 100,000,00 PARA PREFEITO E R$ 10.000,00 PARA VEREADOR ) EM 2016*** LIMITE DE GASTOS 2020 (ATUALIZADO PELO IPCA DE JUNHO/2016 ATÉ JUNHO/2020*) PREFEITO MUNICÍPIO** MA SÃO VICENTE FERRER R$ 108.039,06 R$ 10.803,91 123.077,42R$ -R$ 12.307,75R$ MA SATUBINHA R$ 318.913,54 R$ 10.803,91 363.304,31R$ -R$ 12.307,75R$ MA SENADOR ALEXANDRE COSTA R$ 108.039,06 R$ 10.803,91 123.077,42R$ -R$ 12.307,75R$ MA SENADOR LA ROCQUE R$ 148.053,87 R$ 27.972,26 168.662,04R$ -R$ 31.865,82R$ MA SERRANO DO MARANHÃO R$ 108.039,06 R$ 10.803,91 123.077,42R$ -R$ 12.307,75R$ MA SÍTIO NOVO R$ 232.350,42 R$ 10.803,91 264.692,15R$ -R$ 12.307,75R$ MA SUCUPIRA DO NORTE R$ 108.039,06 R$ 10.803,91 123.077,42R$ -R$ 12.307,75R$ MA SUCUPIRA DO RIACHÃO R$ 108.039,06 R$ 10.803,91 123.077,42R$ -R$ 12.307,75R$ MA TASSO FRAGOSO R$ 108.039,06 R$ 10.803,91 123.077,42R$ -R$ 12.307,75R$ MA TIMBIRAS R$ 320.411,67 R$ 18.737,25 365.010,97R$ -R$ 21.345,36R$ MA TIMON R$ 1.197.588,31 R$ 131.149,68 1.364.285,12R$ -R$ 149.404,90R$ MA TRIZIDELA DO VALE R$ 153.913,29 R$ 15.744,37 175.337,06R$ -R$ 17.935,89R$ MA TUFILÂNDIA R$ 108.039,06 R$ 10.803,91 123.077,42R$ -R$ 12.307,75R$ MA TUNTUM R$ 698.519,95 R$ 27.518,70 795.749,56R$ -R$ 31.349,13R$ MA TURIAÇU R$ 108.039,06 R$ 10.803,91 123.077,42R$ -R$ 12.307,75R$ MA TURILÂNDIA R$ 154.655,28 R$ 10.803,91 176.182,33R$ -R$ 12.307,75R$ MA TUTÓIA R$ 108.039,06 R$ 33.046,78 123.077,42R$ -R$ 37.646,69R$ MA URBANO SANTOS R$ 135.497,67 R$ 18.726,57 154.358,10R$ -R$ 21.333,19R$ MA VARGEM GRANDE R$ 108.039,06 R$ 29.278,23 123.077,42R$ -R$ 33.353,58R$ MA VIANA R$ 313.983,89 R$ 10.803,91 357.688,48R$ -R$ 12.307,75R$ MA VILA NOVA DOS MARTÍRIOS R$ 155.261,82 R$ 10.803,91 176.873,29R$ -R$ 12.307,75R$ MA VITÓRIA DO MEARIM R$ 133.866,91 R$ 10.803,91 152.500,35R$ -R$ 12.307,75R$ MA VITORINO FREIRE R$ 215.763,15 R$ 10.803,91 245.796,03R$ -R$ 12.307,75R$ MA ZÉ DOCA R$ 386.398,80 R$ 27.581,43 440.183,10R$ -R$ 31.420,59R$ MG ABADIA DOS DOURADOS R$ 134.400,62 R$ 10.803,91 153.108,35R$ -R$ 12.307,75R$ MG ABAETÉ R$ 177.694,97 R$ 10.803,91 202.429,00R$ -R$ 12.307,75R$ MG ABRE CAMPO R$ 108.039,06 R$ 10.803,91 123.077,42R$ -R$ 12.307,75R$ MG ACAIACA R$ 108.039,06 R$ 10.803,91 123.077,42R$ -R$ 12.307,75R$ MG AÇUCENA R$ 209.500,71 R$ 36.221,86 238.661,90R$ -R$ 41.263,72R$ MG ÁGUA BOA R$ 108.039,06 R$ 10.803,91 123.077,42R$ -R$ 12.307,75R$ MG ÁGUA COMPRIDA R$ 108.039,06 R$ 10.803,91 123.077,42R$ -R$ 12.307,75R$ MG AGUANIL R$ 108.039,06 R$ 10.803,91 123.077,42R$ -R$ 12.307,75R$ MG ÁGUAS FORMOSAS R$ 108.039,06 R$ 10.803,91 123.077,42R$ -R$ 12.307,75R$ MG ÁGUAS VERMELHAS R$ 108.039,06 R$ 10.803,91 123.077,42R$ -R$ 12.307,75R$ MG AIMORÉS R$ 108.039,06 R$ 10.803,91 123.077,42R$ -R$ 12.307,75R$ MG AIURUOCA R$ 108.039,06 R$ 10.803,91 123.077,42R$ -R$ 12.307,75R$ MG ALAGOA R$ 108.039,06 R$ 10.803,91 123.077,42R$ -R$ 12.307,75R$ MG ALBERTINA R$ 108.039,06 R$ 10.803,91 123.077,42R$ -R$ 12.307,75R$ MG ALÉM PARAÍBA R$ 139.175,62 R$ 26.592,75 158.548,00R$ -R$ 30.294,29R$ MG ALFENAS R$ 820.097,57 R$ 28.196,95 934.250,03R$ -R$ 32.121,79R$ MG ALFREDO VASCONCELOS R$ 108.039,06 R$ 10.803,91 123.077,42R$ -R$ 12.307,75R$ MG ALMENARA R$ 174.453,21 R$ 13.950,92 198.736,01R$ -R$ 15.892,80R$ MG ALPERCATA R$ 213.188,93 R$ 10.803,91 242.863,50R$ -R$ 12.307,75R$ MG ALPINÓPOLIS R$ 108.039,06 R$ 18.755,71 123.077,42R$ -R$ 21.366,39R$ MG ALTEROSA R$ 179.050,44 R$ 10.803,91 203.973,14R$ -R$ 12.307,75R$ MG ALTO CAPARAÓ R$ 108.039,06 R$ 10.803,91 123.077,42R$ -R$ 12.307,75R$ MG ALTO JEQUITIBÁ R$ 108.039,06 R$ 10.803,91 123.077,42R$ -R$ 12.307,75R$ MG ALTO RIO DOCE R$ 176.001,70 R$ 10.803,91 200.500,04R$ -R$ 12.307,75R$ MG ALVARENGA R$ 108.039,06 R$ 10.803,91 123.077,42R$ -R$ 12.307,75R$ MG ALVINÓPOLIS R$ 108.039,06 R$ 16.097,07 123.077,42R$ -R$ 18.337,68R$ MG ALVORADA DE MINAS R$ 108.039,06 R$ 10.803,91 123.077,42R$ -R$ 12.307,75R$ MG AMPARO DO SERRA R$ 108.039,06 R$ 10.803,91 123.077,42R$ -R$ 12.307,75R$ MG ANDRADAS R$ 108.039,06 R$ 10.803,91 123.077,42R$ -R$ 12.307,75R$ MG ANDRELÂNDIA R$ 108.039,06 R$ 10.803,91 123.077,42R$ -R$ 12.307,75R$ MG ANGELÂNDIA R$ 189.380,87 R$ 10.803,91 215.741,50R$ -R$ 12.307,75R$ MG ANTÔNIO CARLOS R$ 108.039,06 R$ 10.803,91 123.077,42R$ -R$ 12.307,75R$ MG ANTÔNIO DIAS R$ 196.959,81 R$ 10.803,91 224.375,38R$ -R$ 12.307,75R$ MG ANTÔNIO PRADO DE MINAS R$ 108.039,06 R$ 10.803,91 123.077,42R$ -R$ 12.307,75R$ MG ARAÇAÍ R$ 108.039,06 R$ 10.803,91 123.077,42R$ -R$ 12.307,75R$ MG ARACITABA R$ 108.039,06 R$ 10.803,91 123.077,42R$ -R$ 12.307,75R$ MG ARAÇUAÍ R$ 108.039,06 R$ 13.928,78 123.077,42R$ -R$ 15.867,58R$ MG ARAGUARI R$ 452.421,83 R$ 86.289,08 515.396,12R$ -R$ 98.299,98R$ MG ARANTINA R$ 108.039,06 R$ 10.803,91 123.077,42R$ -R$ 12.307,75R$ MG ARAPONGA R$ 108.039,06 R$ 10.803,91 123.077,42R$ -R$ 12.307,75R$ MG ARAPORÃ R$ 288.433,38 R$ 13.596,87 328.581,50R$ -R$ 15.489,47R$ MG ARAPUÁ R$ 108.039,06 R$ 10.803,91 123.077,42R$ -R$ 12.307,75R$ 21
  • 22.
    Tribunal Superior Eleitoral PREFEITO 1ºTURNO 1º TURNO 2º TURNO UF POSSIBILIDADE DE SEGUNDO TURNO VEREADORVEREADOR LIMITE DE GASTOS OBSERVADO O MÍNIMO LEGAL (R$ 100,000,00 PARA PREFEITO E R$ 10.000,00 PARA VEREADOR ) EM 2016*** LIMITE DE GASTOS 2020 (ATUALIZADO PELO IPCA DE JUNHO/2016 ATÉ JUNHO/2020*) PREFEITO MUNICÍPIO** MG ARAÚJOS R$ 108.039,06 R$ 10.803,91 123.077,42R$ -R$ 12.307,75R$ MG ARAXÁ R$ 644.400,44 R$ 38.230,81 734.096,95R$ -R$ 43.552,30R$ MG ARCEBURGO R$ 108.039,06 R$ 10.803,91 123.077,42R$ -R$ 12.307,75R$ MG ARCOS R$ 542.210,67 R$ 13.449,91 617.683,01R$ -R$ 15.322,05R$ MG AREADO R$ 108.039,06 R$ 10.803,91 123.077,42R$ -R$ 12.307,75R$ MG ARGIRITA R$ 108.039,06 R$ 10.803,91 123.077,42R$ -R$ 12.307,75R$ MG ARICANDUVA R$ 108.039,06 R$ 10.803,91 123.077,42R$ -R$ 12.307,75R$ MG ARINOS R$ 108.039,06 R$ 10.803,91 123.077,42R$ -R$ 12.307,75R$ MG ASTOLFO DUTRA R$ 108.039,06 R$ 10.803,91 123.077,42R$ -R$ 12.307,75R$ MG ATALÉIA R$ 108.039,06 R$ 10.803,91 123.077,42R$ -R$ 12.307,75R$ MG AUGUSTO DE LIMA R$ 108.039,06 R$ 10.803,91 123.077,42R$ -R$ 12.307,75R$ MG BAEPENDI R$ 108.039,06 R$ 10.803,91 123.077,42R$ -R$ 12.307,75R$ MG BALDIM R$ 108.039,06 R$ 10.803,91 123.077,42R$ -R$ 12.307,75R$ MG BAMBUÍ R$ 108.039,06 R$ 10.803,91 123.077,42R$ -R$ 12.307,75R$ MG BANDEIRA R$ 108.039,06 R$ 10.803,91 123.077,42R$ -R$ 12.307,75R$ MG BANDEIRA DO SUL R$ 108.039,06 R$ 10.803,91 123.077,42R$ -R$ 12.307,75R$ MG BARÃO DE COCAIS R$ 390.722,74 R$ 15.793,35 445.108,90R$ -R$ 17.991,69R$ MG BARÃO DE MONTE ALTO R$ 108.039,06 R$ 10.803,91 123.077,42R$ -R$ 12.307,75R$ MG BARBACENA R$ 1.057.751,99 R$ 37.922,82 1.204.984,45R$ -R$ 43.201,44R$ MG BARRA LONGA R$ 108.039,06 R$ 10.803,91 123.077,42R$ -R$ 12.307,75R$ MG BARROSO R$ 164.085,04 R$ 35.672,17 186.924,65R$ -R$ 40.637,51R$ MG BELA VISTA DE MINAS R$ 108.039,06 R$ 10.803,91 123.077,42R$ -R$ 12.307,75R$ MG BELMIRO BRAGA R$ 108.039,06 R$ 10.803,91 123.077,42R$ -R$ 12.307,75R$ MG BELO HORIZONTE SIM R$ 26.697.376,47 R$ 607.607,81 30.413.484,38R$ 12.165.393,75R$ 692.183,02R$ MG BELO ORIENTE R$ 455.661,60 R$ 14.917,83 519.086,85R$ -R$ 16.994,30R$ MG BELO VALE R$ 108.039,06 R$ 10.803,91 123.077,42R$ -R$ 12.307,75R$ MG BERILO R$ 108.039,06 R$ 18.373,75 123.077,42R$ -R$ 20.931,26R$ MG BERIZAL R$ 108.039,06 R$ 10.803,91 123.077,42R$ -R$ 12.307,75R$ MG BERTÓPOLIS R$ 108.039,06 R$ 10.803,91 123.077,42R$ -R$ 12.307,75R$ MG BETIM SIM R$ 4.524.655,00 R$ 227.836,99 5.154.458,69R$ 2.061.783,48R$ 259.550,47R$ MG BIAS FORTES R$ 108.039,06 R$ 19.253,26 123.077,42R$ -R$ 21.933,19R$ MG BICAS R$ 108.039,06 R$ 10.803,91 123.077,42R$ -R$ 12.307,75R$ MG BIQUINHAS R$ 108.039,06 R$ 10.803,91 123.077,42R$ -R$ 12.307,75R$ MG BOA ESPERANÇA R$ 304.819,71 R$ 33.548,66 347.248,71R$ -R$ 38.218,42R$ MG BOCAINA DE MINAS R$ 108.039,06 R$ 10.803,91 123.077,42R$ -R$ 12.307,75R$ MG BOCAIÚVA R$ 314.999,51 R$ 16.086,29 358.845,47R$ -R$ 18.325,40R$ MG BOM DESPACHO R$ 211.517,87 R$ 10.803,91 240.959,84R$ -R$ 12.307,75R$ MG BOM JARDIM DE MINAS R$ 108.039,06 R$ 10.803,91 123.077,42R$ -R$ 12.307,75R$ MG BOM JESUS DA PENHA R$ 108.039,06 R$ 10.803,91 123.077,42R$ -R$ 12.307,75R$ MG BOM JESUS DO AMPARO R$ 108.039,06 R$ 10.803,91 123.077,42R$ -R$ 12.307,75R$ MG BOM JESUS DO GALHO R$ 108.039,06 R$ 10.803,91 123.077,42R$ -R$ 12.307,75R$ MG BOM REPOUSO R$ 108.039,06 R$ 10.803,91 123.077,42R$ -R$ 12.307,75R$ MG BOM SUCESSO R$ 108.039,06 R$ 10.803,91 123.077,42R$ -R$ 12.307,75R$ MG BONFIM R$ 108.039,06 R$ 10.803,91 123.077,42R$ -R$ 12.307,75R$ MG BONFINÓPOLIS DE MINAS R$ 108.039,06 R$ 10.803,91 123.077,42R$ -R$ 12.307,75R$ MG BONITO DE MINAS R$ 108.039,06 R$ 56.537,60 123.077,42R$ -R$ 64.407,28R$ MG BORDA DA MATA R$ 108.039,06 R$ 10.803,91 123.077,42R$ -R$ 12.307,75R$ MG BOTELHOS R$ 108.039,06 R$ 10.803,91 123.077,42R$ -R$ 12.307,75R$ MG BOTUMIRIM R$ 108.039,06 R$ 10.803,91 123.077,42R$ -R$ 12.307,75R$ MG BRÁS PIRES R$ 108.039,06 R$ 10.803,91 123.077,42R$ -R$ 12.307,75R$ MG BRASILÂNDIA DE MINAS R$ 148.250,79 R$ 10.803,91 168.886,37R$ -R$ 12.307,75R$ MG BRASÍLIA DE MINAS R$ 188.489,04 R$ 17.088,71 214.725,54R$ -R$ 19.467,35R$ MG BRAÚNAS R$ 108.039,06 R$ 10.803,91 123.077,42R$ -R$ 12.307,75R$ MG BRAZÓPOLIS R$ 108.039,06 R$ 18.246,42 123.077,42R$ -R$ 20.786,21R$ MG BRUMADINHO R$ 740.473,05 R$ 34.885,81 843.542,27R$ -R$ 39.741,70R$ MG BUENO BRANDÃO R$ 108.039,06 R$ 10.803,91 123.077,42R$ -R$ 12.307,75R$ MG BUENÓPOLIS R$ 108.039,06 R$ 10.803,91 123.077,42R$ -R$ 12.307,75R$ MG BUGRE R$ 108.039,06 R$ 10.803,91 123.077,42R$ -R$ 12.307,75R$ MG BURITIS R$ 321.408,71 R$ 10.803,91 366.146,79R$ -R$ 12.307,75R$ MG BURITIZEIRO R$ 108.039,06 R$ 10.803,91 123.077,42R$ -R$ 12.307,75R$ MG CABECEIRA GRANDE R$ 108.039,06 R$ 10.803,91 123.077,42R$ -R$ 12.307,75R$ MG CABO VERDE R$ 108.039,06 R$ 10.803,91 123.077,42R$ -R$ 12.307,75R$ MG CACHOEIRA DA PRATA R$ 108.039,06 R$ 10.803,91 123.077,42R$ -R$ 12.307,75R$ MG CACHOEIRA DE MINAS R$ 108.039,06 R$ 10.803,91 123.077,42R$ -R$ 12.307,75R$ MG CACHOEIRA DE PAJEÚ R$ 108.039,06 R$ 10.803,91 123.077,42R$ -R$ 12.307,75R$ MG CACHOEIRA DOURADA R$ 108.039,06 R$ 10.803,91 123.077,42R$ -R$ 12.307,75R$ 22
  • 23.
    Tribunal Superior Eleitoral PREFEITO 1ºTURNO 1º TURNO 2º TURNO UF POSSIBILIDADE DE SEGUNDO TURNO VEREADORVEREADOR LIMITE DE GASTOS OBSERVADO O MÍNIMO LEGAL (R$ 100,000,00 PARA PREFEITO E R$ 10.000,00 PARA VEREADOR ) EM 2016*** LIMITE DE GASTOS 2020 (ATUALIZADO PELO IPCA DE JUNHO/2016 ATÉ JUNHO/2020*) PREFEITO MUNICÍPIO** MG CAETANÓPOLIS R$ 108.039,06 R$ 26.718,26 123.077,42R$ -R$ 30.437,27R$ MG CAETÉ R$ 280.713,44 R$ 57.763,99 319.787,00R$ -R$ 65.804,38R$ MG CAIANA R$ 108.039,06 R$ 10.803,91 123.077,42R$ -R$ 12.307,75R$ MG CAJURI R$ 108.039,06 R$ 10.803,91 123.077,42R$ -R$ 12.307,75R$ MG CALDAS R$ 108.039,06 R$ 10.803,91 123.077,42R$ -R$ 12.307,75R$ MG CAMACHO R$ 108.039,06 R$ 10.803,91 123.077,42R$ -R$ 12.307,75R$ MG CAMANDUCAIA R$ 249.212,22 R$ 14.246,86 283.901,00R$ -R$ 16.229,93R$ MG CAMBUÍ R$ 108.039,06 R$ 10.803,91 123.077,42R$ -R$ 12.307,75R$ MG CAMBUQUIRA R$ 108.039,06 R$ 10.803,91 123.077,42R$ -R$ 12.307,75R$ MG CAMPANÁRIO R$ 108.039,06 R$ 10.803,91 123.077,42R$ -R$ 12.307,75R$ MG CAMPANHA R$ 147.142,48 R$ 10.803,91 167.623,79R$ -R$ 12.307,75R$ MG CAMPESTRE R$ 108.039,06 R$ 13.698,39 123.077,42R$ -R$ 15.605,12R$ MG CAMPINA VERDE R$ 265.302,21 R$ 37.347,35 302.230,62R$ -R$ 42.545,87R$ MG CAMPO AZUL R$ 108.039,06 R$ 15.253,73 123.077,42R$ -R$ 17.376,95R$ MG CAMPO BELO R$ 376.132,96 R$ 21.316,14 428.488,32R$ -R$ 24.283,21R$ MG CAMPO DO MEIO R$ 108.039,06 R$ 10.803,91 123.077,42R$ -R$ 12.307,75R$ MG CAMPO FLORIDO R$ 196.330,85 R$ 10.803,91 223.658,88R$ -R$ 12.307,75R$ MG CAMPOS ALTOS R$ 108.039,06 R$ 10.803,91 123.077,42R$ -R$ 12.307,75R$ MG CAMPOS GERAIS R$ 108.039,06 R$ 10.803,91 123.077,42R$ -R$ 12.307,75R$ MG CANA VERDE R$ 108.039,06 R$ 10.803,91 123.077,42R$ -R$ 12.307,75R$ MG CANAÃ R$ 108.039,06 R$ 10.803,91 123.077,42R$ -R$ 12.307,75R$ MG CANÁPOLIS R$ 234.625,70 R$ 10.803,91 267.284,13R$ -R$ 12.307,75R$ MG CANDEIAS R$ 108.039,06 R$ 10.803,91 123.077,42R$ -R$ 12.307,75R$ MG CANTAGALO R$ 108.039,06 R$ 10.803,91 123.077,42R$ -R$ 12.307,75R$ MG CAPARAÓ R$ 108.039,06 R$ 10.803,91 123.077,42R$ -R$ 12.307,75R$ MG CAPELA NOVA R$ 108.039,06 R$ 10.803,91 123.077,42R$ -R$ 12.307,75R$ MG CAPELINHA R$ 182.837,50 R$ 43.150,37 208.287,34R$ -R$ 49.156,63R$ MG CAPETINGA R$ 108.039,06 R$ 10.803,91 123.077,42R$ -R$ 12.307,75R$ MG CAPIM BRANCO R$ 108.039,06 R$ 10.803,91 123.077,42R$ -R$ 12.307,75R$ MG CAPINÓPOLIS R$ 108.039,06 R$ 24.490,40 123.077,42R$ -R$ 27.899,31R$ MG CAPITÃO ANDRADE R$ 108.039,06 R$ 10.803,91 123.077,42R$ -R$ 12.307,75R$ MG CAPITÃO ENÉAS R$ 181.903,20 R$ 18.944,14 207.222,99R$ -R$ 21.581,05R$ MG CAPITÓLIO R$ 108.039,06 R$ 10.803,91 123.077,42R$ -R$ 12.307,75R$ MG CAPUTIRA R$ 108.039,06 R$ 10.803,91 123.077,42R$ -R$ 12.307,75R$ MG CARAÍ R$ 207.844,08 R$ 16.389,50 236.774,68R$ -R$ 18.670,82R$ MG CARANAÍBA R$ 108.039,06 R$ 10.803,91 123.077,42R$ -R$ 12.307,75R$ MG CARANDAÍ R$ 185.681,89 R$ 18.373,72 211.527,65R$ -R$ 20.931,23R$ MG CARANGOLA R$ 137.990,30 R$ 40.173,23 157.197,69R$ -R$ 45.765,09R$ MG CARATINGA R$ 731.797,96 R$ 47.656,31 833.659,66R$ -R$ 54.289,77R$ MG CARBONITA R$ 108.039,06 R$ 10.803,91 123.077,42R$ -R$ 12.307,75R$ MG CAREAÇU R$ 108.039,06 R$ 10.803,91 123.077,42R$ -R$ 12.307,75R$ MG CARLOS CHAGAS R$ 256.598,57 R$ 10.803,91 292.315,49R$ -R$ 12.307,75R$ MG CARMÉSIA R$ 108.039,06 R$ 10.803,91 123.077,42R$ -R$ 12.307,75R$ MG CARMO DA CACHOEIRA R$ 108.039,06 R$ 10.803,91 123.077,42R$ -R$ 12.307,75R$ MG CARMO DA MATA R$ 108.039,06 R$ 10.803,91 123.077,42R$ -R$ 12.307,75R$ MG CARMO DE MINAS R$ 108.039,06 R$ 10.803,91 123.077,42R$ -R$ 12.307,75R$ MG CARMO DO CAJURU R$ 108.039,06 R$ 10.803,91 123.077,42R$ -R$ 12.307,75R$ MG CARMO DO PARANAÍBA R$ 108.039,06 R$ 31.484,20 123.077,42R$ -R$ 35.866,60R$ MG CARMO DO RIO CLARO R$ 108.039,06 R$ 10.803,91 123.077,42R$ -R$ 12.307,75R$ MG CARMÓPOLIS DE MINAS R$ 108.039,06 R$ 10.803,91 123.077,42R$ -R$ 12.307,75R$ MG CARNEIRINHO R$ 108.039,06 R$ 10.803,91 123.077,42R$ -R$ 12.307,75R$ MG CARRANCAS R$ 108.039,06 R$ 10.803,91 123.077,42R$ -R$ 12.307,75R$ MG CARVALHÓPOLIS R$ 108.039,06 R$ 10.803,91 123.077,42R$ -R$ 12.307,75R$ MG CARVALHOS R$ 108.039,06 R$ 10.803,91 123.077,42R$ -R$ 12.307,75R$ MG CASA GRANDE R$ 108.039,06 R$ 10.803,91 123.077,42R$ -R$ 12.307,75R$ MG CASCALHO RICO R$ 108.039,06 R$ 10.803,91 123.077,42R$ -R$ 12.307,75R$ MG CÁSSIA R$ 108.039,06 R$ 10.803,91 123.077,42R$ -R$ 12.307,75R$ MG CATAGUASES R$ 240.859,18 R$ 36.797,48 274.385,27R$ -R$ 41.919,46R$ MG CATAS ALTAS R$ 108.039,06 R$ 10.803,91 123.077,42R$ -R$ 12.307,75R$ MG CATAS ALTAS DA NORUEGA R$ 108.039,06 R$ 10.803,91 123.077,42R$ -R$ 12.307,75R$ MG CATUJI R$ 108.039,06 R$ 10.803,91 123.077,42R$ -R$ 12.307,75R$ MG CATUTI R$ 108.039,06 R$ 10.803,91 123.077,42R$ -R$ 12.307,75R$ MG CAXAMBU R$ 108.039,06 R$ 10.803,91 123.077,42R$ -R$ 12.307,75R$ MG CEDRO DO ABAETÉ R$ 108.039,06 R$ 10.803,91 123.077,42R$ -R$ 12.307,75R$ MG CENTRAL DE MINAS R$ 108.039,06 R$ 10.803,91 123.077,42R$ -R$ 12.307,75R$ MG CENTRALINA R$ 224.763,18 R$ 10.803,91 256.048,81R$ -R$ 12.307,75R$ 23
  • 24.
    Tribunal Superior Eleitoral PREFEITO 1ºTURNO 1º TURNO 2º TURNO UF POSSIBILIDADE DE SEGUNDO TURNO VEREADORVEREADOR LIMITE DE GASTOS OBSERVADO O MÍNIMO LEGAL (R$ 100,000,00 PARA PREFEITO E R$ 10.000,00 PARA VEREADOR ) EM 2016*** LIMITE DE GASTOS 2020 (ATUALIZADO PELO IPCA DE JUNHO/2016 ATÉ JUNHO/2020*) PREFEITO MUNICÍPIO** MG CHÁCARA R$ 108.039,06 R$ 10.803,91 123.077,42R$ -R$ 12.307,75R$ MG CHALÉ R$ 108.039,06 R$ 10.803,91 123.077,42R$ -R$ 12.307,75R$ MG CHAPADA DO NORTE R$ 108.039,06 R$ 10.803,91 123.077,42R$ -R$ 12.307,75R$ MG CHAPADA GAÚCHA R$ 108.039,06 R$ 10.803,91 123.077,42R$ -R$ 12.307,75R$ MG CHIADOR R$ 108.039,06 R$ 10.803,91 123.077,42R$ -R$ 12.307,75R$ MG CIPOTÂNEA R$ 108.039,06 R$ 13.898,86 123.077,42R$ -R$ 15.833,49R$ MG CLARAVAL R$ 108.039,06 R$ 10.803,91 123.077,42R$ -R$ 12.307,75R$ MG CLARO DOS POÇÕES R$ 108.039,06 R$ 10.803,91 123.077,42R$ -R$ 12.307,75R$ MG CLÁUDIO R$ 150.354,00 R$ 10.803,91 171.282,34R$ -R$ 12.307,75R$ MG COIMBRA R$ 108.039,06 R$ 10.803,91 123.077,42R$ -R$ 12.307,75R$ MG COLUNA R$ 108.039,06 R$ 10.803,91 123.077,42R$ -R$ 12.307,75R$ MG COMENDADOR GOMES R$ 108.039,06 R$ 10.803,91 123.077,42R$ -R$ 12.307,75R$ MG COMERCINHO R$ 108.039,06 R$ 10.803,91 123.077,42R$ -R$ 12.307,75R$ MG CONCEIÇÃO DA APARECIDA R$ 108.039,06 R$ 10.803,91 123.077,42R$ -R$ 12.307,75R$ MG CONCEIÇÃO DA BARRA DE MINAS R$ 108.039,06 R$ 10.803,91 123.077,42R$ -R$ 12.307,75R$ MG CONCEIÇÃO DAS ALAGOAS R$ 208.406,28 R$ 24.313,59 237.415,13R$ -R$ 27.697,89R$ MG CONCEIÇÃO DAS PEDRAS R$ 108.039,06 R$ 10.803,91 123.077,42R$ -R$ 12.307,75R$ MG CONCEIÇÃO DE IPANEMA R$ 108.039,06 R$ 10.803,91 123.077,42R$ -R$ 12.307,75R$ MG CONCEIÇÃO DO MATO DENTRO R$ 527.153,03 R$ 17.073,85 600.529,44R$ -R$ 19.450,42R$ MG CONCEIÇÃO DO PARÁ R$ 108.039,06 R$ 10.803,91 123.077,42R$ -R$ 12.307,75R$ MG CONCEIÇÃO DO RIO VERDE R$ 108.039,06 R$ 10.803,91 123.077,42R$ -R$ 12.307,75R$ MG CONCEIÇÃO DOS OUROS R$ 108.039,06 R$ 10.803,91 123.077,42R$ -R$ 12.307,75R$ MG CÔNEGO MARINHO R$ 108.039,06 R$ 10.803,91 123.077,42R$ -R$ 12.307,75R$ MG CONFINS R$ 108.039,06 R$ 10.803,91 123.077,42R$ -R$ 12.307,75R$ MG CONGONHAL R$ 108.039,06 R$ 10.803,91 123.077,42R$ -R$ 12.307,75R$ MG CONGONHAS R$ 417.648,14 R$ 48.928,87 475.782,15R$ -R$ 55.739,46R$ MG CONGONHAS DO NORTE R$ 108.039,06 R$ 10.803,91 123.077,42R$ -R$ 12.307,75R$ MG CONQUISTA R$ 108.039,06 R$ 10.803,91 123.077,42R$ -R$ 12.307,75R$ MG CONSELHEIRO LAFAIETE R$ 167.310,04 R$ 40.338,24 190.598,55R$ -R$ 45.953,07R$ MG CONSELHEIRO PENA R$ 108.039,06 R$ 14.745,64 123.077,42R$ -R$ 16.798,14R$ MG CONSOLAÇÃO R$ 108.039,06 R$ 10.803,91 123.077,42R$ -R$ 12.307,75R$ MG CONTAGEM SIM R$ 5.408.292,94 R$ 190.507,01 6.161.093,51R$ 2.464.437,40R$ 217.024,39R$ MG COQUEIRAL R$ 108.039,06 R$ 10.803,91 123.077,42R$ -R$ 12.307,75R$ MG CORAÇÃO DE JESUS R$ 108.039,06 R$ 10.803,91 123.077,42R$ -R$ 12.307,75R$ MG CORDISBURGO R$ 108.039,06 R$ 10.803,91 123.077,42R$ -R$ 12.307,75R$ MG CORDISLÂNDIA R$ 108.039,06 R$ 10.803,91 123.077,42R$ -R$ 12.307,75R$ MG CORINTO R$ 164.645,01 R$ 10.803,91 187.562,57R$ -R$ 12.307,75R$ MG COROACI R$ 146.934,31 R$ 10.803,91 167.386,65R$ -R$ 12.307,75R$ MG COROMANDEL R$ 108.039,06 R$ 26.253,83 123.077,42R$ -R$ 29.908,20R$ MG CORONEL FABRICIANO R$ 708.179,94 R$ 51.764,70 806.754,16R$ -R$ 58.970,02R$ MG CORONEL MURTA R$ 108.039,06 R$ 10.803,91 123.077,42R$ -R$ 12.307,75R$ MG CORONEL PACHECO R$ 108.039,06 R$ 10.803,91 123.077,42R$ -R$ 12.307,75R$ MG CORONEL XAVIER CHAVES R$ 108.039,06 R$ 10.803,91 123.077,42R$ -R$ 12.307,75R$ MG CÓRREGO DANTA R$ 108.039,06 R$ 10.803,91 123.077,42R$ -R$ 12.307,75R$ MG CÓRREGO DO BOM JESUS R$ 108.039,06 R$ 10.803,91 123.077,42R$ -R$ 12.307,75R$ MG CÓRREGO FUNDO R$ 108.039,06 R$ 10.803,91 123.077,42R$ -R$ 12.307,75R$ MG CÓRREGO NOVO R$ 108.039,06 R$ 10.803,91 123.077,42R$ -R$ 12.307,75R$ MG COUTO DE MAGALHÃES DE MINAS R$ 108.039,06 R$ 10.803,91 123.077,42R$ -R$ 12.307,75R$ MG CRISÓLITA R$ 108.039,06 R$ 10.803,91 123.077,42R$ -R$ 12.307,75R$ MG CRISTAIS R$ 108.039,06 R$ 10.803,91 123.077,42R$ -R$ 12.307,75R$ MG CRISTÁLIA R$ 108.039,06 R$ 10.803,91 123.077,42R$ -R$ 12.307,75R$ MG CRISTIANO OTONI R$ 108.039,06 R$ 10.803,91 123.077,42R$ -R$ 12.307,75R$ MG CRISTINA R$ 108.039,06 R$ 10.803,91 123.077,42R$ -R$ 12.307,75R$ MG CRUCILÂNDIA R$ 108.039,06 R$ 10.803,91 123.077,42R$ -R$ 12.307,75R$ MG CRUZEIRO DA FORTALEZA R$ 108.039,06 R$ 10.803,91 123.077,42R$ -R$ 12.307,75R$ MG CRUZÍLIA R$ 108.039,06 R$ 10.803,91 123.077,42R$ -R$ 12.307,75R$ MG CUPARAQUE R$ 108.039,06 R$ 10.803,91 123.077,42R$ -R$ 12.307,75R$ MG CURRAL DE DENTRO R$ 108.039,06 R$ 10.803,91 123.077,42R$ -R$ 12.307,75R$ MG CURVELO R$ 165.684,84 R$ 20.637,62 188.747,13R$ -R$ 23.510,25R$ MG DATAS R$ 108.039,06 R$ 10.803,91 123.077,42R$ -R$ 12.307,75R$ MG DELFIM MOREIRA R$ 108.039,06 R$ 10.803,91 123.077,42R$ -R$ 12.307,75R$ MG DELFINÓPOLIS R$ 108.039,06 R$ 10.803,91 123.077,42R$ -R$ 12.307,75R$ MG DELTA R$ 108.039,06 R$ 14.754,67 123.077,42R$ -R$ 16.808,43R$ MG DESCOBERTO R$ 108.039,06 R$ 10.803,91 123.077,42R$ -R$ 12.307,75R$ MG DESTERRO DE ENTRE RIOS R$ 108.039,06 R$ 10.803,91 123.077,42R$ -R$ 12.307,75R$ MG DESTERRO DO MELO R$ 108.039,06 R$ 10.803,91 123.077,42R$ -R$ 12.307,75R$ 24
  • 25.
    Tribunal Superior Eleitoral PREFEITO 1ºTURNO 1º TURNO 2º TURNO UF POSSIBILIDADE DE SEGUNDO TURNO VEREADORVEREADOR LIMITE DE GASTOS OBSERVADO O MÍNIMO LEGAL (R$ 100,000,00 PARA PREFEITO E R$ 10.000,00 PARA VEREADOR ) EM 2016*** LIMITE DE GASTOS 2020 (ATUALIZADO PELO IPCA DE JUNHO/2016 ATÉ JUNHO/2020*) PREFEITO MUNICÍPIO** MG DIAMANTINA R$ 300.156,02 R$ 21.285,27 341.935,86R$ -R$ 24.248,05R$ MG DIOGO DE VASCONCELOS R$ 108.039,06 R$ 10.803,91 123.077,42R$ -R$ 12.307,75R$ MG DIONÍSIO R$ 108.039,06 R$ 10.803,91 123.077,42R$ -R$ 12.307,75R$ MG DIVINÉSIA R$ 108.039,06 R$ 10.803,91 123.077,42R$ -R$ 12.307,75R$ MG DIVINO R$ 134.652,82 R$ 10.803,91 153.395,65R$ -R$ 12.307,75R$ MG DIVINO DAS LARANJEIRAS R$ 108.039,06 R$ 10.803,91 123.077,42R$ -R$ 12.307,75R$ MG DIVINOLÂNDIA DE MINAS R$ 169.885,04 R$ 10.803,91 193.531,98R$ -R$ 12.307,75R$ MG DIVINÓPOLIS R$ 683.837,34 R$ 88.180,26 779.023,22R$ -R$ 100.454,40R$ MG DIVISA ALEGRE R$ 108.039,06 R$ 10.803,91 123.077,42R$ -R$ 12.307,75R$ MG DIVISA NOVA R$ 108.039,06 R$ 10.803,91 123.077,42R$ -R$ 12.307,75R$ MG DIVISÓPOLIS R$ 108.039,06 R$ 10.803,91 123.077,42R$ -R$ 12.307,75R$ MG DOM BOSCO R$ 108.039,06 R$ 10.803,91 123.077,42R$ -R$ 12.307,75R$ MG DOM CAVATI R$ 108.039,06 R$ 10.803,91 123.077,42R$ -R$ 12.307,75R$ MG DOM JOAQUIM R$ 242.487,07 R$ 10.803,91 276.239,75R$ -R$ 12.307,75R$ MG DOM SILVÉRIO R$ 108.039,06 R$ 10.803,91 123.077,42R$ -R$ 12.307,75R$ MG DOM VIÇOSO R$ 108.039,06 R$ 10.803,91 123.077,42R$ -R$ 12.307,75R$ MG DONA EUSÉBIA R$ 108.039,06 R$ 10.803,91 123.077,42R$ -R$ 12.307,75R$ MG DORES DE CAMPOS R$ 108.039,06 R$ 18.884,81 123.077,42R$ -R$ 21.513,46R$ MG DORES DE GUANHÃES R$ 108.039,06 R$ 10.803,91 123.077,42R$ -R$ 12.307,75R$ MG DORES DO INDAIÁ R$ 108.039,06 R$ 10.803,91 123.077,42R$ -R$ 12.307,75R$ MG DORES DO TURVO R$ 108.039,06 R$ 10.803,91 123.077,42R$ -R$ 12.307,75R$ MG DORESÓPOLIS R$ 108.039,06 R$ 10.803,91 123.077,42R$ -R$ 12.307,75R$ MG DOURADOQUARA R$ 108.039,06 R$ 10.803,91 123.077,42R$ -R$ 12.307,75R$ MG DURANDÉ R$ 108.039,06 R$ 10.803,91 123.077,42R$ -R$ 12.307,75R$ MG ELÓI MENDES R$ 108.039,06 R$ 10.803,91 123.077,42R$ -R$ 12.307,75R$ MG ENGENHEIRO CALDAS R$ 219.567,38 R$ 25.946,66 250.129,79R$ -R$ 29.558,27R$ MG ENGENHEIRO NAVARRO R$ 108.039,06 R$ 10.803,91 123.077,42R$ -R$ 12.307,75R$ MG ENTRE FOLHAS R$ 108.039,06 R$ 10.803,91 123.077,42R$ -R$ 12.307,75R$ MG ENTRE RIOS DE MINAS R$ 108.039,06 R$ 10.803,91 123.077,42R$ -R$ 12.307,75R$ MG ERVÁLIA R$ 108.039,06 R$ 10.803,91 123.077,42R$ -R$ 12.307,75R$ MG ESMERALDAS R$ 676.726,15 R$ 47.035,53 770.922,20R$ -R$ 53.582,58R$ MG ESPERA FELIZ R$ 176.443,64 R$ 10.803,91 201.003,49R$ -R$ 12.307,75R$ MG ESPINOSA R$ 108.039,06 R$ 17.596,81 123.077,42R$ -R$ 20.046,18R$ MG ESPÍRITO SANTO DO DOURADO R$ 108.039,06 R$ 10.803,91 123.077,42R$ -R$ 12.307,75R$ MG ESTIVA R$ 108.039,06 R$ 20.209,72 123.077,42R$ -R$ 23.022,79R$ MG ESTRELA DALVA R$ 108.039,06 R$ 10.803,91 123.077,42R$ -R$ 12.307,75R$ MG ESTRELA DO INDAIÁ R$ 108.039,06 R$ 10.803,91 123.077,42R$ -R$ 12.307,75R$ MG ESTRELA DO SUL R$ 313.119,45 R$ 10.803,91 356.703,72R$ -R$ 12.307,75R$ MG EUGENÓPOLIS R$ 108.039,06 R$ 10.803,91 123.077,42R$ -R$ 12.307,75R$ MG EWBANK DA CÂMARA R$ 108.039,06 R$ 10.803,91 123.077,42R$ -R$ 12.307,75R$ MG EXTREMA R$ 339.181,93 R$ 70.562,10 386.393,93R$ -R$ 80.383,90R$ MG FAMA R$ 108.039,06 R$ 10.803,91 123.077,42R$ -R$ 12.307,75R$ MG FARIA LEMOS R$ 108.039,06 R$ 10.803,91 123.077,42R$ -R$ 12.307,75R$ MG FELÍCIO DOS SANTOS R$ 108.039,06 R$ 10.803,91 123.077,42R$ -R$ 12.307,75R$ MG FELISBURGO R$ 108.039,06 R$ 10.803,91 123.077,42R$ -R$ 12.307,75R$ MG FELIXLÂNDIA R$ 108.039,06 R$ 10.803,91 123.077,42R$ -R$ 12.307,75R$ MG FERNANDES TOURINHO R$ 108.039,06 R$ 10.803,91 123.077,42R$ -R$ 12.307,75R$ MG FERROS R$ 348.114,93 R$ 20.366,70 396.570,35R$ -R$ 23.201,62R$ MG FERVEDOURO R$ 108.039,06 R$ 10.803,91 123.077,42R$ -R$ 12.307,75R$ MG FLORESTAL R$ 108.039,06 R$ 10.803,91 123.077,42R$ -R$ 12.307,75R$ MG FORMIGA R$ 434.909,39 R$ 56.340,19 495.446,06R$ -R$ 64.182,39R$ MG FORMOSO R$ 164.222,23 R$ 10.803,91 187.080,94R$ -R$ 12.307,75R$ MG FORTALEZA DE MINAS R$ 108.039,06 R$ 10.803,91 123.077,42R$ -R$ 12.307,75R$ MG FORTUNA DE MINAS R$ 108.039,06 R$ 10.803,91 123.077,42R$ -R$ 12.307,75R$ MG FRANCISCO BADARÓ R$ 108.039,06 R$ 10.803,91 123.077,42R$ -R$ 12.307,75R$ MG FRANCISCO DUMONT R$ 108.039,06 R$ 10.803,91 123.077,42R$ -R$ 12.307,75R$ MG FRANCISCO SÁ R$ 273.290,10 R$ 10.803,91 311.330,37R$ -R$ 12.307,75R$ MG FRANCISCÓPOLIS R$ 108.039,06 R$ 10.803,91 123.077,42R$ -R$ 12.307,75R$ MG FREI GASPAR R$ 108.039,06 R$ 10.803,91 123.077,42R$ -R$ 12.307,75R$ MG FREI INOCÊNCIO R$ 108.039,06 R$ 10.803,91 123.077,42R$ -R$ 12.307,75R$ MG FREI LAGONEGRO R$ 108.039,06 R$ 10.803,91 123.077,42R$ -R$ 12.307,75R$ MG FRONTEIRA R$ 179.301,32 R$ 18.574,33 204.258,94R$ -R$ 21.159,76R$ MG FRONTEIRA DOS VALES R$ 158.609,87 R$ 10.803,91 180.687,37R$ -R$ 12.307,75R$ MG FRUTA DE LEITE R$ 108.039,06 R$ 13.418,54 123.077,42R$ -R$ 15.286,32R$ MG FRUTAL R$ 1.115.194,12 R$ 22.091,70 1.270.422,17R$ -R$ 25.166,73R$ MG FUNILÂNDIA R$ 108.039,06 R$ 10.803,91 123.077,42R$ -R$ 12.307,75R$ 25
  • 26.
    Tribunal Superior Eleitoral PREFEITO 1ºTURNO 1º TURNO 2º TURNO UF POSSIBILIDADE DE SEGUNDO TURNO VEREADORVEREADOR LIMITE DE GASTOS OBSERVADO O MÍNIMO LEGAL (R$ 100,000,00 PARA PREFEITO E R$ 10.000,00 PARA VEREADOR ) EM 2016*** LIMITE DE GASTOS 2020 (ATUALIZADO PELO IPCA DE JUNHO/2016 ATÉ JUNHO/2020*) PREFEITO MUNICÍPIO** MG GALILÉIA R$ 108.039,06 R$ 10.803,91 123.077,42R$ -R$ 12.307,75R$ MG GAMELEIRAS R$ 108.039,06 R$ 10.803,91 123.077,42R$ -R$ 12.307,75R$ MG GLAUCILÂNDIA R$ 108.039,06 R$ 10.803,91 123.077,42R$ -R$ 12.307,75R$ MG GOIABEIRA R$ 108.039,06 R$ 10.803,91 123.077,42R$ -R$ 12.307,75R$ MG GOIANÁ R$ 108.039,06 R$ 10.803,91 123.077,42R$ -R$ 12.307,75R$ MG GONÇALVES R$ 108.039,06 R$ 10.803,91 123.077,42R$ -R$ 12.307,75R$ MG GONZAGA R$ 108.039,06 R$ 10.803,91 123.077,42R$ -R$ 12.307,75R$ MG GOUVEIA R$ 108.039,06 R$ 10.803,91 123.077,42R$ -R$ 12.307,75R$ MG GOVERNADOR VALADARES SIM R$ 1.759.252,77 R$ 1.407.063,94 2.004.129,76R$ 801.651,90R$ 1.602.918,44R$ MG GRÃO MOGOL R$ 203.183,32 R$ 10.803,91 231.465,17R$ -R$ 12.307,75R$ MG GRUPIARA R$ 108.039,06 R$ 10.803,91 123.077,42R$ -R$ 12.307,75R$ MG GUANHÃES R$ 198.467,67 R$ 10.803,91 226.093,13R$ -R$ 12.307,75R$ MG GUAPÉ R$ 208.313,48 R$ 10.803,91 237.309,41R$ -R$ 12.307,75R$ MG GUARACIABA R$ 108.039,06 R$ 10.803,91 123.077,42R$ -R$ 12.307,75R$ MG GUARACIAMA R$ 108.039,06 R$ 10.803,91 123.077,42R$ -R$ 12.307,75R$ MG GUARANÉSIA R$ 108.039,06 R$ 16.030,66 123.077,42R$ -R$ 18.262,03R$ MG GUARANI R$ 108.039,06 R$ 10.803,91 123.077,42R$ -R$ 12.307,75R$ MG GUARARÁ R$ 108.039,06 R$ 10.803,91 123.077,42R$ -R$ 12.307,75R$ MG GUARDA-MOR R$ 108.039,06 R$ 10.803,91 123.077,42R$ -R$ 12.307,75R$ MG GUAXUPÉ R$ 188.750,92 R$ 10.803,91 215.023,87R$ -R$ 12.307,75R$ MG GUIDOVAL R$ 108.039,06 R$ 10.803,91 123.077,42R$ -R$ 12.307,75R$ MG GUIMARÂNIA R$ 108.039,06 R$ 10.803,91 123.077,42R$ -R$ 12.307,75R$ MG GUIRICEMA R$ 108.039,06 R$ 10.803,91 123.077,42R$ -R$ 12.307,75R$ MG GURINHATÃ R$ 108.039,06 R$ 10.803,91 123.077,42R$ -R$ 12.307,75R$ MG HELIODORA R$ 108.039,06 R$ 10.803,91 123.077,42R$ -R$ 12.307,75R$ MG IAPU R$ 108.039,06 R$ 10.803,91 123.077,42R$ -R$ 12.307,75R$ MG IBERTIOGA R$ 108.039,06 R$ 10.803,91 123.077,42R$ -R$ 12.307,75R$ MG IBIÁ R$ 108.039,06 R$ 21.163,84 123.077,42R$ -R$ 24.109,71R$ MG IBIAÍ R$ 235.958,17 R$ 17.007,30 268.802,07R$ -R$ 19.374,61R$ MG IBIRACATU R$ 108.039,06 R$ 10.803,91 123.077,42R$ -R$ 12.307,75R$ MG IBIRACI R$ 108.039,06 R$ 10.803,91 123.077,42R$ -R$ 12.307,75R$ MG IBIRITÉ R$ 1.776.969,92 R$ 110.241,62 2.024.313,02R$ -R$ 125.586,56R$ MG IBITIÚRA DE MINAS R$ 108.039,06 R$ 10.803,91 123.077,42R$ -R$ 12.307,75R$ MG IBITURUNA R$ 108.039,06 R$ 10.803,91 123.077,42R$ -R$ 12.307,75R$ MG ICARAÍ DE MINAS R$ 139.152,43 R$ 16.845,31 158.521,58R$ -R$ 19.190,07R$ MG IGARAPÉ R$ 172.121,18 R$ 14.072,55 196.079,37R$ -R$ 16.031,36R$ MG IGARATINGA R$ 108.039,06 R$ 10.803,91 123.077,42R$ -R$ 12.307,75R$ MG IGUATAMA R$ 108.039,06 R$ 10.803,91 123.077,42R$ -R$ 12.307,75R$ MG IJACI R$ 108.039,06 R$ 10.803,91 123.077,42R$ -R$ 12.307,75R$ MG ILICÍNEA R$ 108.039,06 R$ 10.803,91 123.077,42R$ -R$ 12.307,75R$ MG IMBÉ DE MINAS R$ 108.039,06 R$ 10.803,91 123.077,42R$ -R$ 12.307,75R$ MG INCONFIDENTES R$ 108.039,06 R$ 10.803,91 123.077,42R$ -R$ 12.307,75R$ MG INDAIABIRA R$ 108.039,06 R$ 10.803,91 123.077,42R$ -R$ 12.307,75R$ MG INDIANÓPOLIS R$ 108.039,06 R$ 10.803,91 123.077,42R$ -R$ 12.307,75R$ MG INGAÍ R$ 108.039,06 R$ 10.803,91 123.077,42R$ -R$ 12.307,75R$ MG INHAPIM R$ 224.347,46 R$ 15.699,94 255.575,22R$ -R$ 17.885,27R$ MG INHAÚMA R$ 108.039,06 R$ 10.803,91 123.077,42R$ -R$ 12.307,75R$ MG INIMUTABA R$ 108.039,06 R$ 10.803,91 123.077,42R$ -R$ 12.307,75R$ MG IPABA R$ 108.039,06 R$ 10.803,91 123.077,42R$ -R$ 12.307,75R$ MG IPANEMA R$ 108.039,06 R$ 26.137,45 123.077,42R$ -R$ 29.775,62R$ MG IPATINGA R$ 1.509.997,11 R$ 100.926,57 1.720.179,27R$ -R$ 114.974,92R$ MG IPIAÇU R$ 108.039,06 R$ 10.803,91 123.077,42R$ -R$ 12.307,75R$ MG IPUIÚNA R$ 108.039,06 R$ 10.803,91 123.077,42R$ -R$ 12.307,75R$ MG IRAÍ DE MINAS R$ 108.039,06 R$ 10.803,91 123.077,42R$ -R$ 12.307,75R$ MG ITABIRA R$ 724.566,27 R$ 45.420,47 825.421,37R$ -R$ 51.742,72R$ MG ITABIRINHA R$ 178.718,92 R$ 10.803,91 203.595,48R$ -R$ 12.307,75R$ MG ITABIRITO R$ 682.335,84 R$ 16.489,22 777.312,72R$ -R$ 18.784,42R$ MG ITACAMBIRA R$ 108.039,06 R$ 10.803,91 123.077,42R$ -R$ 12.307,75R$ MG ITACARAMBI R$ 181.323,51 R$ 23.925,55 206.562,61R$ -R$ 27.255,84R$ MG ITAGUARA R$ 108.039,06 R$ 10.803,91 123.077,42R$ -R$ 12.307,75R$ MG ITAIPÉ R$ 108.039,06 R$ 10.803,91 123.077,42R$ -R$ 12.307,75R$ MG ITAJUBÁ R$ 427.676,74 R$ 10.803,91 487.206,67R$ -R$ 12.307,75R$ MG ITAMARANDIBA R$ 247.994,66 R$ 13.390,17 282.513,97R$ -R$ 15.254,00R$ MG ITAMARATI DE MINAS R$ 108.039,06 R$ 10.803,91 123.077,42R$ -R$ 12.307,75R$ MG ITAMBACURI R$ 173.002,64 R$ 26.343,90 197.083,53R$ -R$ 30.010,81R$ MG ITAMBÉ DO MATO DENTRO R$ 108.039,06 R$ 10.803,91 123.077,42R$ -R$ 12.307,75R$ 26
  • 27.
    Tribunal Superior Eleitoral PREFEITO 1ºTURNO 1º TURNO 2º TURNO UF POSSIBILIDADE DE SEGUNDO TURNO VEREADORVEREADOR LIMITE DE GASTOS OBSERVADO O MÍNIMO LEGAL (R$ 100,000,00 PARA PREFEITO E R$ 10.000,00 PARA VEREADOR ) EM 2016*** LIMITE DE GASTOS 2020 (ATUALIZADO PELO IPCA DE JUNHO/2016 ATÉ JUNHO/2020*) PREFEITO MUNICÍPIO** MG ITAMOGI R$ 108.039,06 R$ 10.803,91 123.077,42R$ -R$ 12.307,75R$ MG ITAMONTE R$ 108.039,06 R$ 10.803,91 123.077,42R$ -R$ 12.307,75R$ MG ITANHANDU R$ 108.039,06 R$ 10.803,91 123.077,42R$ -R$ 12.307,75R$ MG ITANHOMI R$ 190.885,44 R$ 10.803,91 217.455,50R$ -R$ 12.307,75R$ MG ITAOBIM R$ 108.039,06 R$ 24.336,77 123.077,42R$ -R$ 27.724,30R$ MG ITAPAGIPE R$ 176.539,19 R$ 20.364,69 201.112,34R$ -R$ 23.199,33R$ MG ITAPECERICA R$ 157.318,48 R$ 10.803,91 179.216,23R$ -R$ 12.307,75R$ MG ITAPEVA R$ 108.039,06 R$ 10.803,91 123.077,42R$ -R$ 12.307,75R$ MG ITATIAIUÇU R$ 108.039,06 R$ 10.803,91 123.077,42R$ -R$ 12.307,75R$ MG ITAÚ DE MINAS R$ 108.039,06 R$ 10.803,91 123.077,42R$ -R$ 12.307,75R$ MG ITAÚNA R$ 737.392,45 R$ 90.802,17 840.032,87R$ -R$ 103.441,26R$ MG ITAVERAVA R$ 108.039,06 R$ 10.803,91 123.077,42R$ -R$ 12.307,75R$ MG ITINGA R$ 108.039,06 R$ 14.518,07 123.077,42R$ -R$ 16.538,89R$ MG ITUETA R$ 108.039,06 R$ 10.803,91 123.077,42R$ -R$ 12.307,75R$ MG ITUIUTABA R$ 387.801,41 R$ 78.873,06 441.780,94R$ -R$ 89.851,70R$ MG ITUMIRIM R$ 108.039,06 R$ 10.803,91 123.077,42R$ -R$ 12.307,75R$ MG ITURAMA R$ 415.919,00 R$ 18.049,25 473.812,32R$ -R$ 20.561,59R$ MG ITUTINGA R$ 108.039,06 R$ 10.803,91 123.077,42R$ -R$ 12.307,75R$ MG JABOTICATUBAS R$ 108.039,06 R$ 16.638,24 123.077,42R$ -R$ 18.954,18R$ MG JACINTO R$ 108.039,06 R$ 10.803,91 123.077,42R$ -R$ 12.307,75R$ MG JACUÍ R$ 108.039,06 R$ 10.803,91 123.077,42R$ -R$ 12.307,75R$ MG JACUTINGA R$ 620.112,35 R$ 23.485,46 706.428,11R$ -R$ 26.754,49R$ MG JAGUARAÇU R$ 108.039,06 R$ 10.803,91 123.077,42R$ -R$ 12.307,75R$ MG JAÍBA R$ 108.039,06 R$ 10.803,91 123.077,42R$ -R$ 12.307,75R$ MG JAMPRUCA R$ 108.039,06 R$ 10.803,91 123.077,42R$ -R$ 12.307,75R$ MG JANAÚBA R$ 464.392,81 R$ 18.516,73 529.033,39R$ -R$ 21.094,14R$ MG JANUÁRIA R$ 108.039,06 R$ 45.489,11 123.077,42R$ -R$ 51.820,91R$ MG JAPARAÍBA R$ 108.039,06 R$ 10.803,91 123.077,42R$ -R$ 12.307,75R$ MG JAPONVAR R$ 108.039,06 R$ 10.803,91 123.077,42R$ -R$ 12.307,75R$ MG JECEABA R$ 108.039,06 R$ 10.803,91 123.077,42R$ -R$ 12.307,75R$ MG JENIPAPO DE MINAS R$ 108.039,06 R$ 10.803,91 123.077,42R$ -R$ 12.307,75R$ MG JEQUERI R$ 108.039,06 R$ 10.803,91 123.077,42R$ -R$ 12.307,75R$ MG JEQUITAÍ R$ 108.039,06 R$ 10.803,91 123.077,42R$ -R$ 12.307,75R$ MG JEQUITIBÁ R$ 108.039,06 R$ 10.803,91 123.077,42R$ -R$ 12.307,75R$ MG JEQUITINHONHA R$ 169.963,50 R$ 10.803,91 193.621,36R$ -R$ 12.307,75R$ MG JESUÂNIA R$ 108.039,06 R$ 10.803,91 123.077,42R$ -R$ 12.307,75R$ MG JOAÍMA R$ 308.886,61 R$ 14.468,73 351.881,70R$ -R$ 16.482,69R$ MG JOANÉSIA R$ 108.039,06 R$ 10.803,91 123.077,42R$ -R$ 12.307,75R$ MG JOÃO MONLEVADE R$ 289.976,04 R$ 40.365,42 330.338,89R$ -R$ 45.984,03R$ MG JOÃO PINHEIRO R$ 421.211,02 R$ 32.124,25 479.840,96R$ -R$ 36.595,74R$ MG JOAQUIM FELÍCIO R$ 108.039,06 R$ 10.803,91 123.077,42R$ -R$ 12.307,75R$ MG JORDÂNIA R$ 161.002,33 R$ 10.803,91 183.412,85R$ -R$ 12.307,75R$ MG JOSÉ GONÇALVES DE MINAS R$ 108.039,06 R$ 10.803,91 123.077,42R$ -R$ 12.307,75R$ MG JOSÉ RAYDAN R$ 135.797,91 R$ 10.803,91 154.700,13R$ -R$ 12.307,75R$ MG JOSENÓPOLIS R$ 108.039,06 R$ 10.803,91 123.077,42R$ -R$ 12.307,75R$ MG JUATUBA R$ 108.039,06 R$ 17.163,01 123.077,42R$ -R$ 19.551,99R$ MG JUIZ DE FORA SIM R$ 3.214.227,08 R$ 253.636,65 3.661.627,40R$ 1.464.650,96R$ 288.941,29R$ MG JURAMENTO R$ 108.039,06 R$ 10.803,91 123.077,42R$ -R$ 12.307,75R$ MG JURUAIA R$ 108.039,06 R$ 10.803,91 123.077,42R$ -R$ 12.307,75R$ MG JUVENÍLIA R$ 108.039,06 R$ 10.803,91 123.077,42R$ -R$ 12.307,75R$ MG LADAINHA R$ 236.792,23 R$ 15.967,21 269.752,23R$ -R$ 18.189,75R$ MG LAGAMAR R$ 108.039,06 R$ 10.803,91 123.077,42R$ -R$ 12.307,75R$ MG LAGOA DA PRATA R$ 141.524,11 R$ 22.074,88 161.223,38R$ -R$ 25.147,57R$ MG LAGOA DOS PATOS R$ 108.039,06 R$ 10.803,91 123.077,42R$ -R$ 12.307,75R$ MG LAGOA DOURADA R$ 108.039,06 R$ 10.803,91 123.077,42R$ -R$ 12.307,75R$ MG LAGOA FORMOSA R$ 108.039,06 R$ 13.801,93 123.077,42R$ -R$ 15.723,07R$ MG LAGOA GRANDE R$ 108.039,06 R$ 10.803,91 123.077,42R$ -R$ 12.307,75R$ MG LAGOA SANTA R$ 1.622.269,74 R$ 225.619,93 1.848.079,55R$ -R$ 257.024,81R$ MG LAJINHA R$ 146.226,59 R$ 10.803,91 166.580,42R$ -R$ 12.307,75R$ MG LAMBARI R$ 108.039,06 R$ 10.803,91 123.077,42R$ -R$ 12.307,75R$ MG LAMIM R$ 108.039,06 R$ 10.803,91 123.077,42R$ -R$ 12.307,75R$ MG LARANJAL R$ 108.039,06 R$ 10.803,91 123.077,42R$ -R$ 12.307,75R$ MG LASSANCE R$ 108.039,06 R$ 10.803,91 123.077,42R$ -R$ 12.307,75R$ MG LAVRAS R$ 691.817,66 R$ 33.718,57 788.114,35R$ -R$ 38.411,98R$ MG LEANDRO FERREIRA R$ 108.039,06 R$ 10.803,91 123.077,42R$ -R$ 12.307,75R$ MG LEME DO PRADO R$ 108.039,06 R$ 10.803,91 123.077,42R$ -R$ 12.307,75R$ 27
  • 28.
    Tribunal Superior Eleitoral PREFEITO 1ºTURNO 1º TURNO 2º TURNO UF POSSIBILIDADE DE SEGUNDO TURNO VEREADORVEREADOR LIMITE DE GASTOS OBSERVADO O MÍNIMO LEGAL (R$ 100,000,00 PARA PREFEITO E R$ 10.000,00 PARA VEREADOR ) EM 2016*** LIMITE DE GASTOS 2020 (ATUALIZADO PELO IPCA DE JUNHO/2016 ATÉ JUNHO/2020*) PREFEITO MUNICÍPIO** MG LEOPOLDINA R$ 191.503,92 R$ 10.803,91 218.160,07R$ -R$ 12.307,75R$ MG LIBERDADE R$ 108.039,06 R$ 10.803,91 123.077,42R$ -R$ 12.307,75R$ MG LIMA DUARTE R$ 108.039,06 R$ 10.803,91 123.077,42R$ -R$ 12.307,75R$ MG LIMEIRA DO OESTE R$ 108.039,06 R$ 10.803,91 123.077,42R$ -R$ 12.307,75R$ MG LONTRA R$ 108.039,06 R$ 10.803,91 123.077,42R$ -R$ 12.307,75R$ MG LUISBURGO R$ 108.039,06 R$ 10.803,91 123.077,42R$ -R$ 12.307,75R$ MG LUISLÂNDIA R$ 180.608,42 R$ 10.803,91 205.747,98R$ -R$ 12.307,75R$ MG LUMINÁRIAS R$ 108.039,06 R$ 10.803,91 123.077,42R$ -R$ 12.307,75R$ MG LUZ R$ 108.039,06 R$ 10.803,91 123.077,42R$ -R$ 12.307,75R$ MG MACHACALIS R$ 108.039,06 R$ 10.803,91 123.077,42R$ -R$ 12.307,75R$ MG MACHADO R$ 277.227,17 R$ 16.397,23 315.815,46R$ -R$ 18.679,62R$ MG MADRE DE DEUS DE MINAS R$ 108.039,06 R$ 10.803,91 123.077,42R$ -R$ 12.307,75R$ MG MALACACHETA R$ 330.062,58 R$ 10.803,91 376.005,23R$ -R$ 12.307,75R$ MG MAMONAS R$ 108.039,06 R$ 10.803,91 123.077,42R$ -R$ 12.307,75R$ MG MANGA R$ 259.563,57 R$ 10.803,91 295.693,20R$ -R$ 12.307,75R$ MG MANHUAÇU R$ 701.752,58 R$ 27.013,08 799.432,15R$ -R$ 30.773,13R$ MG MANHUMIRIM R$ 108.039,06 R$ 26.010,74 123.077,42R$ -R$ 29.631,27R$ MG MANTENA R$ 144.372,52 R$ 10.803,91 164.468,27R$ -R$ 12.307,75R$ MG MAR DE ESPANHA R$ 108.039,06 R$ 10.803,91 123.077,42R$ -R$ 12.307,75R$ MG MARAVILHAS R$ 108.039,06 R$ 10.803,91 123.077,42R$ -R$ 12.307,75R$ MG MARIA DA FÉ R$ 108.039,06 R$ 10.803,91 123.077,42R$ -R$ 12.307,75R$ MG MARIANA R$ 483.863,27 R$ 69.236,35 551.214,01R$ -R$ 78.873,62R$ MG MARILAC R$ 108.039,06 R$ 10.803,91 123.077,42R$ -R$ 12.307,75R$ MG MÁRIO CAMPOS R$ 108.039,06 R$ 17.284,16 123.077,42R$ -R$ 19.690,01R$ MG MARIPÁ DE MINAS R$ 108.039,06 R$ 10.803,91 123.077,42R$ -R$ 12.307,75R$ MG MARLIÉRIA R$ 190.065,76 R$ 10.803,91 216.521,73R$ -R$ 12.307,75R$ MG MARMELÓPOLIS R$ 108.039,06 R$ 10.803,91 123.077,42R$ -R$ 12.307,75R$ MG MARTINHO CAMPOS R$ 108.039,06 R$ 10.803,91 123.077,42R$ -R$ 12.307,75R$ MG MARTINS SOARES R$ 108.039,06 R$ 10.803,91 123.077,42R$ -R$ 12.307,75R$ MG MATA VERDE R$ 108.039,06 R$ 10.803,91 123.077,42R$ -R$ 12.307,75R$ MG MATERLÂNDIA R$ 108.039,06 R$ 10.803,91 123.077,42R$ -R$ 12.307,75R$ MG MATEUS LEME R$ 108.039,06 R$ 10.803,91 123.077,42R$ -R$ 12.307,75R$ MG MATHIAS LOBATO R$ 108.039,06 R$ 10.803,91 123.077,42R$ -R$ 12.307,75R$ MG MATIAS BARBOSA R$ 108.039,06 R$ 10.803,91 123.077,42R$ -R$ 12.307,75R$ MG MATIAS CARDOSO R$ 108.039,06 R$ 10.803,91 123.077,42R$ -R$ 12.307,75R$ MG MATIPÓ R$ 108.039,06 R$ 10.803,91 123.077,42R$ -R$ 12.307,75R$ MG MATO VERDE R$ 108.039,06 R$ 10.803,91 123.077,42R$ -R$ 12.307,75R$ MG MATOZINHOS R$ 378.823,79 R$ 16.763,93 431.553,69R$ -R$ 19.097,36R$ MG MATUTINA R$ 108.039,06 R$ 10.803,91 123.077,42R$ -R$ 12.307,75R$ MG MEDEIROS R$ 108.039,06 R$ 10.803,91 123.077,42R$ -R$ 12.307,75R$ MG MEDINA R$ 295.306,45 R$ 14.007,48 336.411,26R$ -R$ 15.957,23R$ MG MENDES PIMENTEL R$ 108.039,06 R$ 10.803,91 123.077,42R$ -R$ 12.307,75R$ MG MERCÊS R$ 108.039,06 R$ 10.803,91 123.077,42R$ -R$ 12.307,75R$ MG MESQUITA R$ 283.057,86 R$ 10.803,91 322.457,74R$ -R$ 12.307,75R$ MG MINAS NOVAS R$ 185.177,64 R$ 13.550,83 210.953,21R$ -R$ 15.437,02R$ MG MINDURI R$ 108.039,06 R$ 10.803,91 123.077,42R$ -R$ 12.307,75R$ MG MIRABELA R$ 108.039,06 R$ 10.803,91 123.077,42R$ -R$ 12.307,75R$ MG MIRADOURO R$ 108.039,06 R$ 10.803,91 123.077,42R$ -R$ 12.307,75R$ MG MIRAÍ R$ 108.039,06 R$ 24.494,53 123.077,42R$ -R$ 27.904,02R$ MG MIRAVÂNIA R$ 108.039,06 R$ 10.803,91 123.077,42R$ -R$ 12.307,75R$ MG MOEDA R$ 108.039,06 R$ 10.803,91 123.077,42R$ -R$ 12.307,75R$ MG MOEMA R$ 108.039,06 R$ 10.803,91 123.077,42R$ -R$ 12.307,75R$ MG MONJOLOS R$ 108.039,06 R$ 19.486,64 123.077,42R$ -R$ 22.199,06R$ MG MONSENHOR PAULO R$ 108.039,06 R$ 10.803,91 123.077,42R$ -R$ 12.307,75R$ MG MONTALVÂNIA R$ 108.039,06 R$ 10.803,91 123.077,42R$ -R$ 12.307,75R$ MG MONTE ALEGRE DE MINAS R$ 138.675,81 R$ 17.794,75 157.978,62R$ -R$ 20.271,67R$ MG MONTE AZUL R$ 147.836,05 R$ 15.489,79 168.413,90R$ -R$ 17.645,87R$ MG MONTE BELO R$ 108.039,06 R$ 10.803,91 123.077,42R$ -R$ 12.307,75R$ MG MONTE CARMELO R$ 318.059,78 R$ 32.754,90 362.331,71R$ -R$ 37.314,18R$ MG MONTE FORMOSO R$ 108.039,06 R$ 10.803,91 123.077,42R$ -R$ 12.307,75R$ MG MONTE SANTO DE MINAS R$ 108.039,06 R$ 10.803,91 123.077,42R$ -R$ 12.307,75R$ MG MONTE SIÃO R$ 260.856,86 R$ 41.744,37 297.166,50R$ -R$ 47.554,93R$ MG MONTES CLAROS SIM R$ 2.670.380,34 R$ 93.290,54 3.042.080,59R$ 1.216.832,24R$ 106.276,00R$ MG MONTEZUMA R$ 108.039,06 R$ 10.803,91 123.077,42R$ -R$ 12.307,75R$ MG MORADA NOVA DE MINAS R$ 308.233,27 R$ 25.007,39 351.137,41R$ -R$ 28.488,26R$ MG MORRO DA GARÇA R$ 108.039,06 R$ 10.803,91 123.077,42R$ -R$ 12.307,75R$ 28
  • 29.
    Tribunal Superior Eleitoral PREFEITO 1ºTURNO 1º TURNO 2º TURNO UF POSSIBILIDADE DE SEGUNDO TURNO VEREADORVEREADOR LIMITE DE GASTOS OBSERVADO O MÍNIMO LEGAL (R$ 100,000,00 PARA PREFEITO E R$ 10.000,00 PARA VEREADOR ) EM 2016*** LIMITE DE GASTOS 2020 (ATUALIZADO PELO IPCA DE JUNHO/2016 ATÉ JUNHO/2020*) PREFEITO MUNICÍPIO** MG MORRO DO PILAR R$ 166.512,07 R$ 10.803,91 189.689,51R$ -R$ 12.307,75R$ MG MUNHOZ R$ 108.039,06 R$ 23.967,20 123.077,42R$ -R$ 27.303,28R$ MG MURIAÉ R$ 568.068,72 R$ 39.855,82 647.140,33R$ -R$ 45.403,50R$ MG MUTUM R$ 269.562,11 R$ 16.286,90 307.083,47R$ -R$ 18.553,93R$ MG MUZAMBINHO R$ 108.039,06 R$ 10.803,91 123.077,42R$ -R$ 12.307,75R$ MG NACIP RAYDAN R$ 108.039,06 R$ 10.803,91 123.077,42R$ -R$ 12.307,75R$ MG NANUQUE R$ 521.365,95 R$ 66.910,05 593.936,83R$ -R$ 76.223,51R$ MG NAQUE R$ 108.039,06 R$ 10.803,91 123.077,42R$ -R$ 12.307,75R$ MG NATALÂNDIA R$ 108.039,06 R$ 10.803,91 123.077,42R$ -R$ 12.307,75R$ MG NATÉRCIA R$ 108.039,06 R$ 10.803,91 123.077,42R$ -R$ 12.307,75R$ MG NAZARENO R$ 108.039,06 R$ 10.803,91 123.077,42R$ -R$ 12.307,75R$ MG NEPOMUCENO R$ 165.740,62 R$ 10.803,91 188.810,68R$ -R$ 12.307,75R$ MG NINHEIRA R$ 108.039,06 R$ 10.803,91 123.077,42R$ -R$ 12.307,75R$ MG NOVA BELÉM R$ 191.790,69 R$ 17.137,40 218.486,76R$ -R$ 19.522,82R$ MG NOVA ERA R$ 148.097,27 R$ 27.814,04 168.711,48R$ -R$ 31.685,58R$ MG NOVA LIMA R$ 2.480.807,46 R$ 177.164,63 2.826.120,35R$ -R$ 201.824,84R$ MG NOVA MÓDICA R$ 108.039,06 R$ 10.803,91 123.077,42R$ -R$ 12.307,75R$ MG NOVA PONTE R$ 108.039,06 R$ 10.803,91 123.077,42R$ -R$ 12.307,75R$ MG NOVA PORTEIRINHA R$ 108.039,06 R$ 14.192,37 123.077,42R$ -R$ 16.167,86R$ MG NOVA RESENDE R$ 108.039,06 R$ 10.803,91 123.077,42R$ -R$ 12.307,75R$ MG NOVA SERRANA R$ 243.468,20 R$ 17.123,23 277.357,45R$ -R$ 19.506,68R$ MG NOVA UNIÃO R$ 108.039,06 R$ 10.803,91 123.077,42R$ -R$ 12.307,75R$ MG NOVO CRUZEIRO R$ 108.039,06 R$ 10.803,91 123.077,42R$ -R$ 12.307,75R$ MG NOVO ORIENTE DE MINAS R$ 108.039,06 R$ 13.877,01 123.077,42R$ -R$ 15.808,60R$ MG NOVORIZONTE R$ 108.039,06 R$ 10.803,91 123.077,42R$ -R$ 12.307,75R$ MG OLARIA R$ 108.039,06 R$ 10.803,91 123.077,42R$ -R$ 12.307,75R$ MG OLHOS D'ÁGUA R$ 108.039,06 R$ 10.803,91 123.077,42R$ -R$ 12.307,75R$ MG OLÍMPIO NORONHA R$ 108.039,06 R$ 10.803,91 123.077,42R$ -R$ 12.307,75R$ MG OLIVEIRA R$ 222.152,20 R$ 14.545,84 253.074,40R$ -R$ 16.570,53R$ MG OLIVEIRA FORTES R$ 108.039,06 R$ 10.803,91 123.077,42R$ -R$ 12.307,75R$ MG ONÇA DE PITANGUI R$ 108.039,06 R$ 10.803,91 123.077,42R$ -R$ 12.307,75R$ MG ORATÓRIOS R$ 108.039,06 R$ 10.803,91 123.077,42R$ -R$ 12.307,75R$ MG ORIZÂNIA R$ 108.039,06 R$ 10.803,91 123.077,42R$ -R$ 12.307,75R$ MG OURO BRANCO R$ 223.959,18 R$ 46.186,52 255.132,90R$ -R$ 52.615,39R$ MG OURO FINO R$ 108.039,06 R$ 10.803,91 123.077,42R$ -R$ 12.307,75R$ MG OURO PRETO R$ 443.122,79 R$ 54.572,58 504.802,71R$ -R$ 62.168,74R$ MG OURO VERDE DE MINAS R$ 108.039,06 R$ 10.803,91 123.077,42R$ -R$ 12.307,75R$ MG PADRE CARVALHO R$ 108.039,06 R$ 10.803,91 123.077,42R$ -R$ 12.307,75R$ MG PADRE PARAÍSO R$ 108.039,06 R$ 10.803,91 123.077,42R$ -R$ 12.307,75R$ MG PAI PEDRO R$ 108.039,06 R$ 10.803,91 123.077,42R$ -R$ 12.307,75R$ MG PAINEIRAS R$ 108.039,06 R$ 10.803,91 123.077,42R$ -R$ 12.307,75R$ MG PAINS R$ 136.651,08 R$ 10.803,91 155.672,06R$ -R$ 12.307,75R$ MG PAIVA R$ 108.039,06 R$ 10.803,91 123.077,42R$ -R$ 12.307,75R$ MG PALMA R$ 108.039,06 R$ 10.803,91 123.077,42R$ -R$ 12.307,75R$ MG PALMÓPOLIS R$ 108.039,06 R$ 10.803,91 123.077,42R$ -R$ 12.307,75R$ MG PAPAGAIOS R$ 108.039,06 R$ 10.803,91 123.077,42R$ -R$ 12.307,75R$ MG PARÁ DE MINAS R$ 357.085,81 R$ 14.810,34 406.789,92R$ -R$ 16.871,85R$ MG PARACATU R$ 1.626.955,19 R$ 87.708,63 1.853.417,18R$ -R$ 99.917,12R$ MG PARAGUAÇU R$ 108.039,06 R$ 10.803,91 123.077,42R$ -R$ 12.307,75R$ MG PARAISÓPOLIS R$ 140.369,03 R$ 10.803,91 159.907,52R$ -R$ 12.307,75R$ MG PARAOPEBA R$ 140.919,88 R$ 10.803,91 160.535,05R$ -R$ 12.307,75R$ MG PASSA QUATRO R$ 108.039,06 R$ 10.803,91 123.077,42R$ -R$ 12.307,75R$ MG PASSA TEMPO R$ 108.039,06 R$ 10.803,91 123.077,42R$ -R$ 12.307,75R$ MG PASSA VINTE R$ 108.039,06 R$ 10.803,91 123.077,42R$ -R$ 12.307,75R$ MG PASSABÉM R$ 108.039,06 R$ 10.803,91 123.077,42R$ -R$ 12.307,75R$ MG PASSOS R$ 1.093.349,02 R$ 60.283,37 1.245.536,37R$ -R$ 68.674,44R$ MG PATIS R$ 233.312,60 R$ 10.803,91 265.788,26R$ -R$ 12.307,75R$ MG PATOS DE MINAS R$ 592.180,98 R$ 39.729,83 674.608,87R$ -R$ 45.259,97R$ MG PATROCÍNIO R$ 361.340,12 R$ 65.165,63 411.636,41R$ -R$ 74.236,28R$ MG PATROCÍNIO DO MURIAÉ R$ 108.039,06 R$ 10.803,91 123.077,42R$ -R$ 12.307,75R$ MG PAULA CÂNDIDO R$ 108.039,06 R$ 10.803,91 123.077,42R$ -R$ 12.307,75R$ MG PAULISTAS R$ 108.039,06 R$ 10.803,91 123.077,42R$ -R$ 12.307,75R$ MG PAVÃO R$ 108.039,06 R$ 10.803,91 123.077,42R$ -R$ 12.307,75R$ MG PEÇANHA R$ 162.574,74 R$ 10.803,91 185.204,13R$ -R$ 12.307,75R$ MG PEDRA AZUL R$ 150.123,91 R$ 10.803,91 171.020,22R$ -R$ 12.307,75R$ MG PEDRA BONITA R$ 212.312,52 R$ 13.445,68 241.865,10R$ -R$ 15.317,23R$ 29
  • 30.
    Tribunal Superior Eleitoral PREFEITO 1ºTURNO 1º TURNO 2º TURNO UF POSSIBILIDADE DE SEGUNDO TURNO VEREADORVEREADOR LIMITE DE GASTOS OBSERVADO O MÍNIMO LEGAL (R$ 100,000,00 PARA PREFEITO E R$ 10.000,00 PARA VEREADOR ) EM 2016*** LIMITE DE GASTOS 2020 (ATUALIZADO PELO IPCA DE JUNHO/2016 ATÉ JUNHO/2020*) PREFEITO MUNICÍPIO** MG PEDRA DO ANTA R$ 108.039,06 R$ 10.803,91 123.077,42R$ -R$ 12.307,75R$ MG PEDRA DO INDAIÁ R$ 108.039,06 R$ 10.803,91 123.077,42R$ -R$ 12.307,75R$ MG PEDRA DOURADA R$ 108.039,06 R$ 10.803,91 123.077,42R$ -R$ 12.307,75R$ MG PEDRALVA R$ 108.039,06 R$ 10.803,91 123.077,42R$ -R$ 12.307,75R$ MG PEDRAS DE MARIA DA CRUZ R$ 143.768,49 R$ 10.803,91 163.780,17R$ -R$ 12.307,75R$ MG PEDRINÓPOLIS R$ 108.039,06 R$ 10.803,91 123.077,42R$ -R$ 12.307,75R$ MG PEDRO LEOPOLDO R$ 482.249,99 R$ 16.828,93 549.376,17R$ -R$ 19.171,41R$ MG PEDRO TEIXEIRA R$ 108.039,06 R$ 10.803,91 123.077,42R$ -R$ 12.307,75R$ MG PEQUERI R$ 220.573,26 R$ 10.803,91 251.275,68R$ -R$ 12.307,75R$ MG PEQUI R$ 108.039,06 R$ 10.803,91 123.077,42R$ -R$ 12.307,75R$ MG PERDIGÃO R$ 108.039,06 R$ 10.803,91 123.077,42R$ -R$ 12.307,75R$ MG PERDIZES R$ 108.039,06 R$ 10.803,91 123.077,42R$ -R$ 12.307,75R$ MG PERDÕES R$ 108.039,06 R$ 20.554,62 123.077,42R$ -R$ 23.415,69R$ MG PERIQUITO R$ 108.039,06 R$ 10.803,91 123.077,42R$ -R$ 12.307,75R$ MG PESCADOR R$ 108.039,06 R$ 10.803,91 123.077,42R$ -R$ 12.307,75R$ MG PIAU R$ 108.039,06 R$ 10.803,91 123.077,42R$ -R$ 12.307,75R$ MG PIEDADE DE CARATINGA R$ 108.039,06 R$ 10.803,91 123.077,42R$ -R$ 12.307,75R$ MG PIEDADE DE PONTE NOVA R$ 108.039,06 R$ 10.803,91 123.077,42R$ -R$ 12.307,75R$ MG PIEDADE DO RIO GRANDE R$ 108.039,06 R$ 10.803,91 123.077,42R$ -R$ 12.307,75R$ MG PIEDADE DOS GERAIS R$ 108.039,06 R$ 10.803,91 123.077,42R$ -R$ 12.307,75R$ MG PIMENTA R$ 108.039,06 R$ 10.803,91 123.077,42R$ -R$ 12.307,75R$ MG PINGO D'ÁGUA R$ 108.039,06 R$ 10.803,91 123.077,42R$ -R$ 12.307,75R$ MG PINTÓPOLIS R$ 108.039,06 R$ 10.803,91 123.077,42R$ -R$ 12.307,75R$ MG PIRACEMA R$ 108.039,06 R$ 10.803,91 123.077,42R$ -R$ 12.307,75R$ MG PIRAJUBA R$ 159.283,09 R$ 10.803,91 181.454,30R$ -R$ 12.307,75R$ MG PIRANGA R$ 108.039,06 R$ 10.803,91 123.077,42R$ -R$ 12.307,75R$ MG PIRANGUÇU R$ 108.039,06 R$ 10.803,91 123.077,42R$ -R$ 12.307,75R$ MG PIRANGUINHO R$ 108.039,06 R$ 10.803,91 123.077,42R$ -R$ 12.307,75R$ MG PIRAPETINGA R$ 108.039,06 R$ 10.803,91 123.077,42R$ -R$ 12.307,75R$ MG PIRAPORA R$ 1.035.589,17 R$ 44.815,20 1.179.736,71R$ -R$ 51.053,20R$ MG PIRAÚBA R$ 108.039,06 R$ 10.803,91 123.077,42R$ -R$ 12.307,75R$ MG PITANGUI R$ 108.039,06 R$ 16.885,54 123.077,42R$ -R$ 19.235,90R$ MG PIUMHI R$ 335.302,10 R$ 10.803,91 381.974,06R$ -R$ 12.307,75R$ MG PLANURA R$ 108.039,06 R$ 10.803,91 123.077,42R$ -R$ 12.307,75R$ MG POÇO FUNDO R$ 108.039,06 R$ 10.803,91 123.077,42R$ -R$ 12.307,75R$ MG POÇOS DE CALDAS R$ 575.449,59 R$ 37.123,65 655.548,58R$ -R$ 42.291,03R$ MG POCRANE R$ 108.039,06 R$ 10.803,91 123.077,42R$ -R$ 12.307,75R$ MG POMPÉU R$ 350.856,23 R$ 16.226,94 399.693,22R$ -R$ 18.485,63R$ MG PONTE NOVA R$ 182.569,07 R$ 23.263,82 207.981,54R$ -R$ 26.502,00R$ MG PONTO CHIQUE R$ 108.039,06 R$ 10.803,91 123.077,42R$ -R$ 12.307,75R$ MG PONTO DOS VOLANTES R$ 108.039,06 R$ 10.803,91 123.077,42R$ -R$ 12.307,75R$ MG PORTEIRINHA R$ 257.864,91 R$ 10.803,91 293.758,09R$ -R$ 12.307,75R$ MG PORTO FIRME R$ 108.039,06 R$ 10.803,91 123.077,42R$ -R$ 12.307,75R$ MG POTÉ R$ 108.039,06 R$ 10.803,91 123.077,42R$ -R$ 12.307,75R$ MG POUSO ALEGRE R$ 1.168.123,56 R$ 65.489,90 1.330.719,06R$ -R$ 74.605,68R$ MG POUSO ALTO R$ 108.039,06 R$ 10.803,91 123.077,42R$ -R$ 12.307,75R$ MG PRADOS R$ 135.871,13 R$ 10.803,91 154.783,54R$ -R$ 12.307,75R$ MG PRATA R$ 281.128,93 R$ 10.803,91 320.260,32R$ -R$ 12.307,75R$ MG PRATÁPOLIS R$ 108.039,06 R$ 10.803,91 123.077,42R$ -R$ 12.307,75R$ MG PRATINHA R$ 108.039,06 R$ 10.803,91 123.077,42R$ -R$ 12.307,75R$ MG PRESIDENTE BERNARDES R$ 108.039,06 R$ 10.803,91 123.077,42R$ -R$ 12.307,75R$ MG PRESIDENTE JUSCELINO R$ 108.039,06 R$ 10.803,91 123.077,42R$ -R$ 12.307,75R$ MG PRESIDENTE KUBITSCHEK R$ 108.039,06 R$ 15.586,33 123.077,42R$ -R$ 17.755,85R$ MG PRESIDENTE OLEGÁRIO R$ 154.387,06 R$ 10.803,91 175.876,77R$ -R$ 12.307,75R$ MG PRUDENTE DE MORAIS R$ 108.039,06 R$ 10.803,91 123.077,42R$ -R$ 12.307,75R$ MG QUARTEL GERAL R$ 108.039,06 R$ 10.803,91 123.077,42R$ -R$ 12.307,75R$ MG QUELUZITO R$ 108.039,06 R$ 10.803,91 123.077,42R$ -R$ 12.307,75R$ MG RAPOSOS R$ 108.039,06 R$ 10.803,91 123.077,42R$ -R$ 12.307,75R$ MG RAUL SOARES R$ 153.854,58 R$ 10.803,91 175.270,18R$ -R$ 12.307,75R$ MG RECREIO R$ 108.039,06 R$ 10.803,91 123.077,42R$ -R$ 12.307,75R$ MG REDUTO R$ 108.039,06 R$ 10.803,91 123.077,42R$ -R$ 12.307,75R$ MG RESENDE COSTA R$ 108.039,06 R$ 10.803,91 123.077,42R$ -R$ 12.307,75R$ MG RESPLENDOR R$ 144.874,44 R$ 10.803,91 165.040,06R$ -R$ 12.307,75R$ MG RESSAQUINHA R$ 108.039,06 R$ 10.803,91 123.077,42R$ -R$ 12.307,75R$ MG RIACHINHO R$ 108.039,06 R$ 15.461,70 123.077,42R$ -R$ 17.613,87R$ MG RIACHO DOS MACHADOS R$ 108.039,06 R$ 15.148,94 123.077,42R$ -R$ 17.257,58R$ 30
  • 31.
    Tribunal Superior Eleitoral PREFEITO 1ºTURNO 1º TURNO 2º TURNO UF POSSIBILIDADE DE SEGUNDO TURNO VEREADORVEREADOR LIMITE DE GASTOS OBSERVADO O MÍNIMO LEGAL (R$ 100,000,00 PARA PREFEITO E R$ 10.000,00 PARA VEREADOR ) EM 2016*** LIMITE DE GASTOS 2020 (ATUALIZADO PELO IPCA DE JUNHO/2016 ATÉ JUNHO/2020*) PREFEITO MUNICÍPIO** MG RIBEIRÃO DAS NEVES SIM R$ 1.719.348,06 R$ 45.074,65 1.958.670,56R$ 783.468,22R$ 51.348,76R$ MG RIBEIRÃO VERMELHO R$ 108.039,06 R$ 10.803,91 123.077,42R$ -R$ 12.307,75R$ MG RIO ACIMA R$ 108.039,06 R$ 10.803,91 123.077,42R$ -R$ 12.307,75R$ MG RIO CASCA R$ 268.647,97 R$ 10.803,91 306.042,09R$ -R$ 12.307,75R$ MG RIO DO PRADO R$ 108.039,06 R$ 10.803,91 123.077,42R$ -R$ 12.307,75R$ MG RIO DOCE R$ 108.039,06 R$ 10.803,91 123.077,42R$ -R$ 12.307,75R$ MG RIO ESPERA R$ 108.039,06 R$ 10.803,91 123.077,42R$ -R$ 12.307,75R$ MG RIO MANSO R$ 108.039,06 R$ 10.803,91 123.077,42R$ -R$ 12.307,75R$ MG RIO NOVO R$ 108.039,06 R$ 10.803,91 123.077,42R$ -R$ 12.307,75R$ MG RIO PARANAÍBA R$ 108.039,06 R$ 10.803,91 123.077,42R$ -R$ 12.307,75R$ MG RIO PARDO DE MINAS R$ 135.133,92 R$ 10.803,91 153.943,72R$ -R$ 12.307,75R$ MG RIO PIRACICABA R$ 233.304,62 R$ 10.803,91 265.779,16R$ -R$ 12.307,75R$ MG RIO POMBA R$ 108.039,06 R$ 10.803,91 123.077,42R$ -R$ 12.307,75R$ MG RIO PRETO R$ 108.039,06 R$ 10.803,91 123.077,42R$ -R$ 12.307,75R$ MG RIO VERMELHO R$ 108.039,06 R$ 10.803,91 123.077,42R$ -R$ 12.307,75R$ MG RITÁPOLIS R$ 108.039,06 R$ 10.803,91 123.077,42R$ -R$ 12.307,75R$ MG ROCHEDO DE MINAS R$ 108.039,06 R$ 10.803,91 123.077,42R$ -R$ 12.307,75R$ MG RODEIRO R$ 108.039,06 R$ 10.803,91 123.077,42R$ -R$ 12.307,75R$ MG ROMARIA R$ 108.039,06 R$ 10.803,91 123.077,42R$ -R$ 12.307,75R$ MG ROSÁRIO DA LIMEIRA R$ 108.039,06 R$ 10.803,91 123.077,42R$ -R$ 12.307,75R$ MG RUBELITA R$ 153.498,19 R$ 10.803,91 174.864,18R$ -R$ 12.307,75R$ MG RUBIM R$ 108.039,06 R$ 10.803,91 123.077,42R$ -R$ 12.307,75R$ MG SABARÁ R$ 314.166,35 R$ 38.070,84 357.896,34R$ -R$ 43.370,06R$ MG SABINÓPOLIS R$ 108.039,06 R$ 10.803,91 123.077,42R$ -R$ 12.307,75R$ MG SACRAMENTO R$ 633.420,87 R$ 27.889,94 721.589,10R$ -R$ 31.772,05R$ MG SALINAS R$ 280.124,05 R$ 43.541,24 319.115,57R$ -R$ 49.601,91R$ MG SALTO DA DIVISA R$ 108.039,06 R$ 10.803,91 123.077,42R$ -R$ 12.307,75R$ MG SANTA BÁRBARA R$ 552.171,13 R$ 20.293,01 629.029,90R$ -R$ 23.117,67R$ MG SANTA BÁRBARA DO LESTE R$ 108.039,06 R$ 10.803,91 123.077,42R$ -R$ 12.307,75R$ MG SANTA BÁRBARA DO MONTE VERDE R$ 108.039,06 R$ 10.803,91 123.077,42R$ -R$ 12.307,75R$ MG SANTA BÁRBARA DO TUGÚRIO R$ 108.039,06 R$ 10.803,91 123.077,42R$ -R$ 12.307,75R$ MG SANTA CRUZ DE MINAS R$ 108.039,06 R$ 10.803,91 123.077,42R$ -R$ 12.307,75R$ MG SANTA CRUZ DE SALINAS R$ 108.039,06 R$ 10.803,91 123.077,42R$ -R$ 12.307,75R$ MG SANTA CRUZ DO ESCALVADO R$ 108.039,06 R$ 10.803,91 123.077,42R$ -R$ 12.307,75R$ MG SANTA EFIGÊNIA DE MINAS R$ 108.039,06 R$ 10.803,91 123.077,42R$ -R$ 12.307,75R$ MG SANTA FÉ DE MINAS R$ 108.039,06 R$ 10.803,91 123.077,42R$ -R$ 12.307,75R$ MG SANTA HELENA DE MINAS R$ 108.039,06 R$ 10.803,91 123.077,42R$ -R$ 12.307,75R$ MG SANTA JULIANA R$ 188.138,95 R$ 10.803,91 214.326,72R$ -R$ 12.307,75R$ MG SANTA LUZIA R$ 1.069.041,13 R$ 65.253,68 1.217.844,97R$ -R$ 74.336,58R$ MG SANTA MARGARIDA R$ 108.039,06 R$ 10.803,91 123.077,42R$ -R$ 12.307,75R$ MG SANTA MARIA DE ITABIRA R$ 108.039,06 R$ 10.803,91 123.077,42R$ -R$ 12.307,75R$ MG SANTA MARIA DO SALTO R$ 108.039,06 R$ 10.803,91 123.077,42R$ -R$ 12.307,75R$ MG SANTA MARIA DO SUAÇUÍ R$ 149.338,80 R$ 10.803,91 170.125,83R$ -R$ 12.307,75R$ MG SANTA RITA DE CALDAS R$ 108.039,06 R$ 10.803,91 123.077,42R$ -R$ 12.307,75R$ MG SANTA RITA DE IBITIPOCA R$ 108.039,06 R$ 10.803,91 123.077,42R$ -R$ 12.307,75R$ MG SANTA RITA DE JACUTINGA R$ 108.039,06 R$ 10.803,91 123.077,42R$ -R$ 12.307,75R$ MG SANTA RITA DE MINAS R$ 108.039,06 R$ 10.803,91 123.077,42R$ -R$ 12.307,75R$ MG SANTA RITA DO ITUETO R$ 108.039,06 R$ 10.803,91 123.077,42R$ -R$ 12.307,75R$ MG SANTA RITA DO SAPUCAÍ R$ 108.039,06 R$ 19.883,88 123.077,42R$ -R$ 22.651,59R$ MG SANTA ROSA DA SERRA R$ 108.039,06 R$ 10.803,91 123.077,42R$ -R$ 12.307,75R$ MG SANTA VITÓRIA R$ 650.992,42 R$ 25.405,37 741.606,50R$ -R$ 28.941,64R$ MG SANTANA DA VARGEM R$ 108.039,06 R$ 10.803,91 123.077,42R$ -R$ 12.307,75R$ MG SANTANA DE CATAGUASES R$ 108.039,06 R$ 10.803,91 123.077,42R$ -R$ 12.307,75R$ MG SANTANA DE PIRAPAMA R$ 108.039,06 R$ 10.803,91 123.077,42R$ -R$ 12.307,75R$ MG SANTANA DO DESERTO R$ 108.039,06 R$ 10.803,91 123.077,42R$ -R$ 12.307,75R$ MG SANTANA DO GARAMBÉU R$ 108.039,06 R$ 10.803,91 123.077,42R$ -R$ 12.307,75R$ MG SANTANA DO JACARÉ R$ 108.039,06 R$ 10.803,91 123.077,42R$ -R$ 12.307,75R$ MG SANTANA DO MANHUAÇU R$ 108.039,06 R$ 10.803,91 123.077,42R$ -R$ 12.307,75R$ MG SANTANA DO PARAÍSO R$ 216.924,88 R$ 16.687,68 247.119,47R$ -R$ 19.010,50R$ MG SANTANA DO RIACHO R$ 108.039,06 R$ 10.803,91 123.077,42R$ -R$ 12.307,75R$ MG SANTANA DOS MONTES R$ 108.039,06 R$ 10.803,91 123.077,42R$ -R$ 12.307,75R$ MG SANTO ANTÔNIO DO AMPARO R$ 108.039,06 R$ 10.803,91 123.077,42R$ -R$ 12.307,75R$ MG SANTO ANTÔNIO DO AVENTUREIRO R$ 108.039,06 R$ 10.803,91 123.077,42R$ -R$ 12.307,75R$ MG SANTO ANTÔNIO DO GRAMA R$ 108.039,06 R$ 10.803,91 123.077,42R$ -R$ 12.307,75R$ MG SANTO ANTÔNIO DO ITAMBÉ R$ 108.039,06 R$ 10.803,91 123.077,42R$ -R$ 12.307,75R$ MG SANTO ANTÔNIO DO JACINTO R$ 108.039,06 R$ 10.803,91 123.077,42R$ -R$ 12.307,75R$ 31
  • 32.
    Tribunal Superior Eleitoral PREFEITO 1ºTURNO 1º TURNO 2º TURNO UF POSSIBILIDADE DE SEGUNDO TURNO VEREADORVEREADOR LIMITE DE GASTOS OBSERVADO O MÍNIMO LEGAL (R$ 100,000,00 PARA PREFEITO E R$ 10.000,00 PARA VEREADOR ) EM 2016*** LIMITE DE GASTOS 2020 (ATUALIZADO PELO IPCA DE JUNHO/2016 ATÉ JUNHO/2020*) PREFEITO MUNICÍPIO** MG SANTO ANTÔNIO DO MONTE R$ 190.462,42 R$ 10.803,91 216.973,60R$ -R$ 12.307,75R$ MG SANTO ANTÔNIO DO RETIRO R$ 108.039,06 R$ 10.803,91 123.077,42R$ -R$ 12.307,75R$ MG SANTO ANTÔNIO DO RIO ABAIXO R$ 108.039,06 R$ 10.803,91 123.077,42R$ -R$ 12.307,75R$ MG SANTO HIPÓLITO R$ 108.039,06 R$ 10.803,91 123.077,42R$ -R$ 12.307,75R$ MG SANTOS DUMONT R$ 641.643,05 R$ 10.803,91 730.955,75R$ -R$ 12.307,75R$ MG SÃO BENTO ABADE R$ 108.039,06 R$ 10.803,91 123.077,42R$ -R$ 12.307,75R$ MG SÃO BRÁS DO SUAÇUÍ R$ 108.039,06 R$ 10.803,91 123.077,42R$ -R$ 12.307,75R$ MG SÃO DOMINGOS DAS DORES R$ 108.039,06 R$ 10.803,91 123.077,42R$ -R$ 12.307,75R$ MG SÃO DOMINGOS DO PRATA R$ 108.039,06 R$ 10.803,91 123.077,42R$ -R$ 12.307,75R$ MG SÃO FÉLIX DE MINAS R$ 167.321,93 R$ 10.803,91 190.612,10R$ -R$ 12.307,75R$ MG SÃO FRANCISCO R$ 165.842,42 R$ 20.134,46 188.926,65R$ -R$ 22.937,05R$ MG SÃO FRANCISCO DE PAULA R$ 108.039,06 R$ 10.803,91 123.077,42R$ -R$ 12.307,75R$ MG SÃO FRANCISCO DE SALES R$ 108.039,06 R$ 10.803,91 123.077,42R$ -R$ 12.307,75R$ MG SÃO FRANCISCO DO GLÓRIA R$ 108.039,06 R$ 10.803,91 123.077,42R$ -R$ 12.307,75R$ MG SÃO GERALDO R$ 108.039,06 R$ 10.803,91 123.077,42R$ -R$ 12.307,75R$ MG SÃO GERALDO DA PIEDADE R$ 108.039,06 R$ 10.803,91 123.077,42R$ -R$ 12.307,75R$ MG SÃO GERALDO DO BAIXIO R$ 108.039,06 R$ 10.803,91 123.077,42R$ -R$ 12.307,75R$ MG SÃO GONÇALO DO ABAETÉ R$ 108.039,06 R$ 10.803,91 123.077,42R$ -R$ 12.307,75R$ MG SÃO GONÇALO DO PARÁ R$ 249.907,76 R$ 10.803,91 284.693,36R$ -R$ 12.307,75R$ MG SÃO GONÇALO DO RIO ABAIXO R$ 250.459,41 R$ 13.547,16 285.321,79R$ -R$ 15.432,84R$ MG SÃO GONÇALO DO RIO PRETO R$ 108.039,06 R$ 10.803,91 123.077,42R$ -R$ 12.307,75R$ MG SÃO GONÇALO DO SAPUCAÍ R$ 108.039,06 R$ 10.803,91 123.077,42R$ -R$ 12.307,75R$ MG SÃO GOTARDO R$ 249.627,09 R$ 21.215,39 284.373,62R$ -R$ 24.168,44R$ MG SÃO JOÃO BATISTA DO GLÓRIA R$ 108.039,06 R$ 10.803,91 123.077,42R$ -R$ 12.307,75R$ MG SÃO JOÃO DA LAGOA R$ 108.039,06 R$ 10.803,91 123.077,42R$ -R$ 12.307,75R$ MG SÃO JOÃO DA MATA R$ 108.039,06 R$ 10.803,91 123.077,42R$ -R$ 12.307,75R$ MG SÃO JOÃO DA PONTE R$ 108.039,06 R$ 10.803,91 123.077,42R$ -R$ 12.307,75R$ MG SÃO JOÃO DAS MISSÕES R$ 108.039,06 R$ 10.803,91 123.077,42R$ -R$ 12.307,75R$ MG SÃO JOÃO DEL REI R$ 516.143,71 R$ 22.720,66 587.987,69R$ -R$ 25.883,23R$ MG SÃO JOÃO DO MANHUAÇU R$ 108.039,06 R$ 10.803,91 123.077,42R$ -R$ 12.307,75R$ MG SÃO JOÃO DO MANTENINHA R$ 146.943,53 R$ 10.803,91 167.397,15R$ -R$ 12.307,75R$ MG SÃO JOÃO DO ORIENTE R$ 155.506,49 R$ 10.803,91 177.152,02R$ -R$ 12.307,75R$ MG SÃO JOÃO DO PACUÍ R$ 108.039,06 R$ 10.803,91 123.077,42R$ -R$ 12.307,75R$ MG SÃO JOÃO DO PARAÍSO R$ 144.517,25 R$ 10.803,91 164.633,15R$ -R$ 12.307,75R$ MG SÃO JOÃO EVANGELISTA R$ 218.359,05 R$ 10.803,91 248.753,26R$ -R$ 12.307,75R$ MG SÃO JOÃO NEPOMUCENO R$ 108.039,06 R$ 10.803,91 123.077,42R$ -R$ 12.307,75R$ MG SÃO JOAQUIM DE BICAS R$ 322.949,57 R$ 40.006,86 367.902,13R$ -R$ 45.575,56R$ MG SÃO JOSÉ DA BARRA R$ 108.039,06 R$ 10.803,91 123.077,42R$ -R$ 12.307,75R$ MG SÃO JOSÉ DA LAPA R$ 108.039,06 R$ 28.776,42 123.077,42R$ -R$ 32.781,92R$ MG SÃO JOSÉ DA SAFIRA R$ 108.039,06 R$ 10.803,91 123.077,42R$ -R$ 12.307,75R$ MG SÃO JOSÉ DA VARGINHA R$ 108.039,06 R$ 10.803,91 123.077,42R$ -R$ 12.307,75R$ MG SÃO JOSÉ DO ALEGRE R$ 108.039,06 R$ 10.803,91 123.077,42R$ -R$ 12.307,75R$ MG SÃO JOSÉ DO DIVINO R$ 108.039,06 R$ 20.082,74 123.077,42R$ -R$ 22.878,13R$ MG SÃO JOSÉ DO GOIABAL R$ 108.039,06 R$ 10.803,91 123.077,42R$ -R$ 12.307,75R$ MG SÃO JOSÉ DO JACURI R$ 108.039,06 R$ 10.803,91 123.077,42R$ -R$ 12.307,75R$ MG SÃO JOSÉ DO MANTIMENTO R$ 108.039,06 R$ 10.803,91 123.077,42R$ -R$ 12.307,75R$ MG SÃO LOURENÇO R$ 381.756,75 R$ 13.395,02 434.894,90R$ -R$ 15.259,52R$ MG SÃO MIGUEL DO ANTA R$ 108.039,06 R$ 10.803,91 123.077,42R$ -R$ 12.307,75R$ MG SÃO PEDRO DA UNIÃO R$ 108.039,06 R$ 10.803,91 123.077,42R$ -R$ 12.307,75R$ MG SÃO PEDRO DO SUAÇUÍ R$ 108.039,06 R$ 10.803,91 123.077,42R$ -R$ 12.307,75R$ MG SÃO PEDRO DOS FERROS R$ 108.039,06 R$ 10.803,91 123.077,42R$ -R$ 12.307,75R$ MG SÃO ROMÃO R$ 190.520,99 R$ 10.803,91 217.040,32R$ -R$ 12.307,75R$ MG SÃO ROQUE DE MINAS R$ 108.039,06 R$ 10.803,91 123.077,42R$ -R$ 12.307,75R$ MG SÃO SEBASTIÃO DA BELA VISTA R$ 108.039,06 R$ 10.803,91 123.077,42R$ -R$ 12.307,75R$ MG SÃO SEBASTIÃO DA VARGEM ALEGRE R$ 108.039,06 R$ 10.803,91 123.077,42R$ -R$ 12.307,75R$ MG SÃO SEBASTIÃO DO ANTA R$ 108.039,06 R$ 10.803,91 123.077,42R$ -R$ 12.307,75R$ MG SÃO SEBASTIÃO DO MARANHÃO R$ 108.039,06 R$ 10.803,91 123.077,42R$ -R$ 12.307,75R$ MG SÃO SEBASTIÃO DO OESTE R$ 108.039,06 R$ 10.803,91 123.077,42R$ -R$ 12.307,75R$ MG SÃO SEBASTIÃO DO PARAÍSO R$ 265.256,93 R$ 39.567,38 302.179,04R$ -R$ 45.074,91R$ MG SÃO SEBASTIÃO DO RIO PRETO R$ 108.039,06 R$ 10.803,91 123.077,42R$ -R$ 12.307,75R$ MG SÃO SEBASTIÃO DO RIO VERDE R$ 108.039,06 R$ 10.803,91 123.077,42R$ -R$ 12.307,75R$ MG SÃO THOMÉ DAS LETRAS R$ 108.039,06 R$ 10.803,91 123.077,42R$ -R$ 12.307,75R$ MG SÃO TIAGO R$ 108.039,06 R$ 10.803,91 123.077,42R$ -R$ 12.307,75R$ MG SÃO TOMÁS DE AQUINO R$ 108.039,06 R$ 10.803,91 123.077,42R$ -R$ 12.307,75R$ MG SÃO VICENTE DE MINAS R$ 108.039,06 R$ 10.803,91 123.077,42R$ -R$ 12.307,75R$ MG SAPUCAÍ-MIRIM R$ 108.039,06 R$ 10.803,91 123.077,42R$ -R$ 12.307,75R$ 32
  • 33.
    Tribunal Superior Eleitoral PREFEITO 1ºTURNO 1º TURNO 2º TURNO UF POSSIBILIDADE DE SEGUNDO TURNO VEREADORVEREADOR LIMITE DE GASTOS OBSERVADO O MÍNIMO LEGAL (R$ 100,000,00 PARA PREFEITO E R$ 10.000,00 PARA VEREADOR ) EM 2016*** LIMITE DE GASTOS 2020 (ATUALIZADO PELO IPCA DE JUNHO/2016 ATÉ JUNHO/2020*) PREFEITO MUNICÍPIO** MG SARDOÁ R$ 164.887,48 R$ 10.803,91 187.838,79R$ -R$ 12.307,75R$ MG SARZEDO R$ 223.954,12 R$ 19.581,05 255.127,13R$ -R$ 22.306,61R$ MG SEM PEIXE R$ 108.039,06 R$ 10.803,91 123.077,42R$ -R$ 12.307,75R$ MG SENADOR AMARAL R$ 108.039,06 R$ 10.803,91 123.077,42R$ -R$ 12.307,75R$ MG SENADOR CORTES R$ 108.039,06 R$ 10.803,91 123.077,42R$ -R$ 12.307,75R$ MG SENADOR FIRMINO R$ 108.039,06 R$ 10.803,91 123.077,42R$ -R$ 12.307,75R$ MG SENADOR JOSÉ BENTO R$ 108.039,06 R$ 10.803,91 123.077,42R$ -R$ 12.307,75R$ MG SENADOR MODESTINO GONÇALVES R$ 108.039,06 R$ 10.803,91 123.077,42R$ -R$ 12.307,75R$ MG SENHORA DE OLIVEIRA R$ 108.039,06 R$ 10.803,91 123.077,42R$ -R$ 12.307,75R$ MG SENHORA DO PORTO R$ 108.039,06 R$ 10.803,91 123.077,42R$ -R$ 12.307,75R$ MG SENHORA DOS REMÉDIOS R$ 108.039,06 R$ 10.803,91 123.077,42R$ -R$ 12.307,75R$ MG SERICITA R$ 108.039,06 R$ 10.803,91 123.077,42R$ -R$ 12.307,75R$ MG SERITINGA R$ 108.039,06 R$ 10.803,91 123.077,42R$ -R$ 12.307,75R$ MG SERRA AZUL DE MINAS R$ 108.039,06 R$ 10.803,91 123.077,42R$ -R$ 12.307,75R$ MG SERRA DA SAUDADE R$ 108.039,06 R$ 10.803,91 123.077,42R$ -R$ 12.307,75R$ MG SERRA DO SALITRE R$ 108.039,06 R$ 10.803,91 123.077,42R$ -R$ 12.307,75R$ MG SERRA DOS AIMORÉS R$ 157.865,01 R$ 10.803,91 179.838,83R$ -R$ 12.307,75R$ MG SERRANIA R$ 108.039,06 R$ 10.803,91 123.077,42R$ -R$ 12.307,75R$ MG SERRANÓPOLIS DE MINAS R$ 108.039,06 R$ 10.803,91 123.077,42R$ -R$ 12.307,75R$ MG SERRANOS R$ 108.039,06 R$ 10.803,91 123.077,42R$ -R$ 12.307,75R$ MG SERRO R$ 108.039,06 R$ 10.803,91 123.077,42R$ -R$ 12.307,75R$ MG SETE LAGOAS R$ 1.331.755,87 R$ 59.620,43 1.517.127,96R$ -R$ 67.919,22R$ MG SETUBINHA R$ 108.039,06 R$ 10.803,91 123.077,42R$ -R$ 12.307,75R$ MG SILVEIRÂNIA R$ 108.039,06 R$ 10.803,91 123.077,42R$ -R$ 12.307,75R$ MG SILVIANÓPOLIS R$ 108.039,06 R$ 10.803,91 123.077,42R$ -R$ 12.307,75R$ MG SIMÃO PEREIRA R$ 108.039,06 R$ 10.803,91 123.077,42R$ -R$ 12.307,75R$ MG SIMONÉSIA R$ 108.039,06 R$ 10.803,91 123.077,42R$ -R$ 12.307,75R$ MG SOBRÁLIA R$ 203.299,05 R$ 10.803,91 231.597,01R$ -R$ 12.307,75R$ MG SOLEDADE DE MINAS R$ 108.039,06 R$ 10.803,91 123.077,42R$ -R$ 12.307,75R$ MG TABULEIRO R$ 108.039,06 R$ 10.803,91 123.077,42R$ -R$ 12.307,75R$ MG TAIOBEIRAS R$ 515.778,25 R$ 17.077,56 587.571,36R$ -R$ 19.454,65R$ MG TAPARUBA R$ 108.039,06 R$ 10.803,91 123.077,42R$ -R$ 12.307,75R$ MG TAPIRA R$ 108.039,06 R$ 10.803,91 123.077,42R$ -R$ 12.307,75R$ MG TAPIRAÍ R$ 108.039,06 R$ 10.803,91 123.077,42R$ -R$ 12.307,75R$ MG TAQUARAÇU DE MINAS R$ 108.039,06 R$ 10.803,91 123.077,42R$ -R$ 12.307,75R$ MG TARUMIRIM R$ 175.277,63 R$ 26.290,72 199.675,18R$ -R$ 29.950,22R$ MG TEIXEIRAS R$ 108.039,06 R$ 14.425,07 123.077,42R$ -R$ 16.432,95R$ MG TEÓFILO OTONI R$ 642.828,43 R$ 63.850,14 732.306,13R$ -R$ 72.737,68R$ MG TIMÓTEO R$ 1.063.010,26 R$ 61.333,99 1.210.974,64R$ -R$ 69.871,30R$ MG TIRADENTES R$ 141.760,16 R$ 10.803,91 161.492,29R$ -R$ 12.307,75R$ MG TIROS R$ 108.039,06 R$ 10.803,91 123.077,42R$ -R$ 12.307,75R$ MG TOCANTINS R$ 108.039,06 R$ 10.803,91 123.077,42R$ -R$ 12.307,75R$ MG TOCOS DO MOJI R$ 108.039,06 R$ 10.803,91 123.077,42R$ -R$ 12.307,75R$ MG TOLEDO R$ 108.039,06 R$ 10.803,91 123.077,42R$ -R$ 12.307,75R$ MG TOMBOS R$ 108.039,06 R$ 10.803,91 123.077,42R$ -R$ 12.307,75R$ MG TRÊS CORAÇÕES R$ 158.249,84 R$ 15.783,97 180.277,23R$ -R$ 17.981,00R$ MG TRÊS MARIAS R$ 292.107,68 R$ 48.803,83 332.767,24R$ -R$ 55.597,02R$ MG TRÊS PONTAS R$ 577.952,48 R$ 13.498,14 658.399,85R$ -R$ 15.377,00R$ MG TUMIRITINGA R$ 108.039,06 R$ 10.803,91 123.077,42R$ -R$ 12.307,75R$ MG TUPACIGUARA R$ 741.360,70 R$ 10.803,91 844.553,48R$ -R$ 12.307,75R$ MG TURMALINA R$ 149.109,03 R$ 44.687,28 169.864,07R$ -R$ 50.907,47R$ MG TURVOLÂNDIA R$ 108.039,06 R$ 10.803,91 123.077,42R$ -R$ 12.307,75R$ MG UBÁ R$ 386.992,33 R$ 37.879,35 440.859,24R$ -R$ 43.151,92R$ MG UBAÍ R$ 108.039,06 R$ 10.803,91 123.077,42R$ -R$ 12.307,75R$ MG UBAPORANGA R$ 108.039,06 R$ 22.096,63 123.077,42R$ -R$ 25.172,34R$ MG UBERABA SIM R$ 2.998.589,88 R$ 160.155,63 3.415.974,85R$ 1.366.389,94R$ 182.448,29R$ MG UBERLÂNDIA SIM R$ 4.127.177,63 R$ 482.292,55 4.701.654,96R$ 1.880.661,98R$ 549.424,66R$ MG UMBURATIBA R$ 108.039,06 R$ 10.803,91 123.077,42R$ -R$ 12.307,75R$ MG UNAÍ R$ 834.585,86 R$ 70.216,01 950.754,99R$ -R$ 79.989,64R$ MG UNIÃO DE MINAS R$ 108.039,06 R$ 10.803,91 123.077,42R$ -R$ 12.307,75R$ MG URUANA DE MINAS R$ 108.039,06 R$ 10.803,91 123.077,42R$ -R$ 12.307,75R$ MG URUCÂNIA R$ 108.039,06 R$ 10.803,91 123.077,42R$ -R$ 12.307,75R$ MG URUCUIA R$ 108.039,06 R$ 10.803,91 123.077,42R$ -R$ 12.307,75R$ MG VARGEM ALEGRE R$ 108.039,06 R$ 10.803,91 123.077,42R$ -R$ 12.307,75R$ MG VARGEM BONITA R$ 108.039,06 R$ 10.803,91 123.077,42R$ -R$ 12.307,75R$ MG VARGEM GRANDE DO RIO PARDO R$ 108.039,06 R$ 10.803,91 123.077,42R$ -R$ 12.307,75R$ 33
  • 34.
    Tribunal Superior Eleitoral PREFEITO 1ºTURNO 1º TURNO 2º TURNO UF POSSIBILIDADE DE SEGUNDO TURNO VEREADORVEREADOR LIMITE DE GASTOS OBSERVADO O MÍNIMO LEGAL (R$ 100,000,00 PARA PREFEITO E R$ 10.000,00 PARA VEREADOR ) EM 2016*** LIMITE DE GASTOS 2020 (ATUALIZADO PELO IPCA DE JUNHO/2016 ATÉ JUNHO/2020*) PREFEITO MUNICÍPIO** MG VARGINHA R$ 551.900,25 R$ 49.635,12 628.721,31R$ -R$ 56.544,02R$ MG VARJÃO DE MINAS R$ 108.039,06 R$ 10.803,91 123.077,42R$ -R$ 12.307,75R$ MG VÁRZEA DA PALMA R$ 108.039,06 R$ 24.342,71 123.077,42R$ -R$ 27.731,06R$ MG VARZELÂNDIA R$ 290.037,46 R$ 10.803,91 330.408,86R$ -R$ 12.307,75R$ MG VAZANTE R$ 108.039,06 R$ 17.995,26 123.077,42R$ -R$ 20.500,09R$ MG VERDELÂNDIA R$ 155.790,51 R$ 10.803,91 177.475,58R$ -R$ 12.307,75R$ MG VEREDINHA R$ 108.039,06 R$ 10.803,91 123.077,42R$ -R$ 12.307,75R$ MG VERÍSSIMO R$ 108.039,06 R$ 10.803,91 123.077,42R$ -R$ 12.307,75R$ MG VERMELHO NOVO R$ 108.039,06 R$ 10.803,91 123.077,42R$ -R$ 12.307,75R$ MG VESPASIANO R$ 577.260,66 R$ 60.955,00 657.611,74R$ -R$ 69.439,55R$ MG VIÇOSA R$ 108.039,06 R$ 18.244,71 123.077,42R$ -R$ 20.784,26R$ MG VIEIRAS R$ 108.039,06 R$ 10.803,91 123.077,42R$ -R$ 12.307,75R$ MG VIRGEM DA LAPA R$ 108.039,06 R$ 10.803,91 123.077,42R$ -R$ 12.307,75R$ MG VIRGÍNIA R$ 108.039,06 R$ 10.803,91 123.077,42R$ -R$ 12.307,75R$ MG VIRGINÓPOLIS R$ 108.039,06 R$ 16.181,52 123.077,42R$ -R$ 18.433,89R$ MG VIRGOLÂNDIA R$ 108.039,06 R$ 10.803,91 123.077,42R$ -R$ 12.307,75R$ MG VISCONDE DO RIO BRANCO R$ 451.117,17 R$ 30.409,15 513.909,86R$ -R$ 34.641,91R$ MG VOLTA GRANDE R$ 108.039,06 R$ 10.803,91 123.077,42R$ -R$ 12.307,75R$ MG WENCESLAU BRAZ R$ 108.039,06 R$ 10.803,91 123.077,42R$ -R$ 12.307,75R$ MS ÁGUA CLARA R$ 197.480,44 R$ 10.803,91 224.968,48R$ -R$ 12.307,75R$ MS ALCINÓPOLIS R$ 139.391,65 R$ 29.547,68 158.794,10R$ -R$ 33.660,53R$ MS AMAMBAI R$ 210.084,26 R$ 56.222,64 239.326,68R$ -R$ 64.048,48R$ MS ANASTÁCIO R$ 266.440,18 R$ 29.416,34 303.526,99R$ -R$ 33.510,91R$ MS ANAURILÂNDIA R$ 170.739,53 R$ 10.803,91 194.505,41R$ -R$ 12.307,75R$ MS ANGÉLICA R$ 108.039,06 R$ 24.444,30 123.077,42R$ -R$ 27.846,79R$ MS ANTÔNIO JOÃO R$ 231.560,58 R$ 31.692,10 263.792,37R$ -R$ 36.103,44R$ MS APARECIDA DO TABOADO R$ 171.619,76 R$ 13.956,65 195.508,16R$ -R$ 15.899,33R$ MS AQUIDAUANA R$ 553.816,58 R$ 91.568,25 630.904,39R$ -R$ 104.313,98R$ MS ARAL MOREIRA R$ 185.226,96 R$ 10.803,91 211.009,39R$ -R$ 12.307,75R$ MS BANDEIRANTES R$ 156.831,12 R$ 20.639,92 178.661,03R$ -R$ 23.512,87R$ MS BATAGUASSU R$ 213.515,42 R$ 35.764,62 243.235,43R$ -R$ 40.742,83R$ MS BATAYPORÃ R$ 192.733,89 R$ 10.803,91 219.561,24R$ -R$ 12.307,75R$ MS BELA VISTA R$ 234.215,22 R$ 33.568,23 266.816,51R$ -R$ 38.240,72R$ MS BODOQUENA R$ 108.039,06 R$ 10.803,91 123.077,42R$ -R$ 12.307,75R$ MS BONITO R$ 663.647,29 R$ 42.451,05 756.022,84R$ -R$ 48.359,97R$ MS BRASILÂNDIA R$ 180.299,19 R$ 19.607,00 205.395,71R$ -R$ 22.336,17R$ MS CAARAPÓ R$ 108.039,06 R$ 10.803,91 123.077,42R$ -R$ 12.307,75R$ MS CAMAPUÃ R$ 284.705,11 R$ 15.049,60 324.334,28R$ -R$ 17.144,41R$ MS CAMPO GRANDE SIM R$ 6.679.971,85 R$ 643.105,41 7.609.782,17R$ 3.043.912,87R$ 732.621,66R$ MS CARACOL R$ 249.700,13 R$ 13.697,47 284.456,83R$ -R$ 15.604,07R$ MS CASSILÂNDIA R$ 152.899,21 R$ 14.385,93 174.181,82R$ -R$ 16.388,36R$ MS CHAPADÃO DO SUL R$ 146.348,17 R$ 142.134,69 166.718,92R$ -R$ 161.918,95R$ MS CORGUINHO R$ 108.039,06 R$ 10.803,91 123.077,42R$ -R$ 12.307,75R$ MS CORONEL SAPUCAIA R$ 142.851,10 R$ 23.652,85 162.735,08R$ -R$ 26.945,18R$ MS CORUMBÁ R$ 731.063,95 R$ 140.027,74 832.823,48R$ -R$ 159.518,73R$ MS COSTA RICA R$ 1.047.509,97 R$ 46.089,88 1.193.316,81R$ -R$ 52.505,30R$ MS COXIM R$ 108.039,06 R$ 26.695,29 123.077,42R$ -R$ 30.411,11R$ MS DEODÁPOLIS R$ 141.171,80 R$ 10.803,91 160.822,03R$ -R$ 12.307,75R$ MS DOIS IRMÃOS DO BURITI R$ 108.039,06 R$ 10.803,91 123.077,42R$ -R$ 12.307,75R$ MS DOURADINA R$ 108.039,06 R$ 10.803,91 123.077,42R$ -R$ 12.307,75R$ MS DOURADOS R$ 1.277.016,95 R$ 118.506,44 1.454.769,73R$ -R$ 135.001,80R$ MS ELDORADO R$ 148.508,97 R$ 10.803,91 169.180,49R$ -R$ 12.307,75R$ MS FÁTIMA DO SUL R$ 108.039,06 R$ 10.803,91 123.077,42R$ -R$ 12.307,75R$ MS FIGUEIRÃO R$ 268.739,83 R$ 17.220,19 306.146,73R$ -R$ 19.617,13R$ MS GLÓRIA DE DOURADOS R$ 108.039,06 R$ 10.803,91 123.077,42R$ -R$ 12.307,75R$ MS GUIA LOPES DA LAGUNA R$ 257.979,16 R$ 27.692,23 293.888,25R$ -R$ 31.546,82R$ MS IGUATEMI R$ 196.819,28 R$ 10.803,91 224.215,29R$ -R$ 12.307,75R$ MS INOCÊNCIA R$ 108.039,06 R$ 10.803,91 123.077,42R$ -R$ 12.307,75R$ MS ITAPORÃ R$ 209.625,26 R$ 10.803,91 238.803,79R$ -R$ 12.307,75R$ MS ITAQUIRAÍ R$ 225.187,04 R$ 32.751,08 256.531,67R$ -R$ 37.309,83R$ MS IVINHEMA R$ 218.090,05 R$ 25.205,97 248.446,82R$ -R$ 28.714,48R$ MS JAPORÃ R$ 251.981,02 R$ 10.803,91 287.055,20R$ -R$ 12.307,75R$ MS JARAGUARI R$ 108.039,06 R$ 10.803,91 123.077,42R$ -R$ 12.307,75R$ MS JARDIM R$ 205.162,72 R$ 38.230,77 233.720,09R$ -R$ 43.552,25R$ MS JATEÍ R$ 108.039,06 R$ 10.803,91 123.077,42R$ -R$ 12.307,75R$ MS JUTI R$ 108.039,06 R$ 10.803,91 123.077,42R$ -R$ 12.307,75R$ 34
  • 35.
    Tribunal Superior Eleitoral PREFEITO 1ºTURNO 1º TURNO 2º TURNO UF POSSIBILIDADE DE SEGUNDO TURNO VEREADORVEREADOR LIMITE DE GASTOS OBSERVADO O MÍNIMO LEGAL (R$ 100,000,00 PARA PREFEITO E R$ 10.000,00 PARA VEREADOR ) EM 2016*** LIMITE DE GASTOS 2020 (ATUALIZADO PELO IPCA DE JUNHO/2016 ATÉ JUNHO/2020*) PREFEITO MUNICÍPIO** MS LADÁRIO R$ 309.721,04 R$ 17.346,42 352.832,27R$ -R$ 19.760,93R$ MS LAGUNA CARAPÃ R$ 173.846,78 R$ 10.803,91 198.045,17R$ -R$ 12.307,75R$ MS MARACAJU R$ 890.205,54 R$ 95.643,48 1.014.116,59R$ -R$ 108.956,45R$ MS MIRANDA R$ 384.477,15 R$ 19.541,18 437.993,97R$ -R$ 22.261,19R$ MS MUNDO NOVO R$ 440.364,76 R$ 60.656,56 501.660,78R$ -R$ 69.099,57R$ MS NAVIRAÍ R$ 356.510,41 R$ 93.632,87 406.134,43R$ -R$ 106.665,98R$ MS NIOAQUE R$ 108.039,06 R$ 18.998,68 123.077,42R$ -R$ 21.643,18R$ MS NOVA ALVORADA DO SUL R$ 274.812,46 R$ 20.570,87 313.064,64R$ -R$ 23.434,21R$ MS NOVA ANDRADINA R$ 462.846,45 R$ 46.158,29 527.271,78R$ -R$ 52.583,24R$ MS NOVO HORIZONTE DO SUL R$ 108.039,06 R$ 32.389,84 123.077,42R$ -R$ 36.898,30R$ MS PARAÍSO DAS ÁGUAS R$ 108.039,06 R$ 10.803,91 123.077,42R$ -R$ 12.307,75R$ MS PARANAÍBA R$ 1.274.717,83 R$ 82.696,55 1.452.150,58R$ -R$ 94.207,39R$ MS PARANHOS R$ 108.039,06 R$ 10.803,91 123.077,42R$ -R$ 12.307,75R$ MS PEDRO GOMES R$ 139.103,79 R$ 10.803,91 158.466,17R$ -R$ 12.307,75R$ MS PONTA PORÃ R$ 674.162,69 R$ 73.375,46 768.001,92R$ -R$ 83.588,87R$ MS PORTO MURTINHO R$ 359.790,84 R$ 19.606,72 409.871,48R$ -R$ 22.335,85R$ MS RIBAS DO RIO PARDO R$ 198.933,66 R$ 23.993,13 226.623,98R$ -R$ 27.332,82R$ MS RIO BRILHANTE R$ 234.840,59 R$ 46.729,98 267.528,93R$ -R$ 53.234,50R$ MS RIO NEGRO R$ 144.440,12 R$ 21.501,22 164.545,28R$ -R$ 24.494,06R$ MS RIO VERDE DE MATO GROSSO R$ 189.497,26 R$ 26.961,66 215.874,09R$ -R$ 30.714,55R$ MS ROCHEDO R$ 108.039,06 R$ 10.803,91 123.077,42R$ -R$ 12.307,75R$ MS SANTA RITA DO PARDO R$ 108.039,06 R$ 28.757,64 123.077,42R$ -R$ 32.760,52R$ MS SÃO GABRIEL DO OESTE R$ 403.364,35 R$ 29.801,83 459.510,15R$ -R$ 33.950,06R$ MS SELVÍRIA R$ 108.039,06 R$ 17.495,70 123.077,42R$ -R$ 19.930,99R$ MS SETE QUEDAS R$ 108.039,06 R$ 10.803,91 123.077,42R$ -R$ 12.307,75R$ MS SIDROLÂNDIA R$ 424.881,71 R$ 43.444,65 484.022,59R$ -R$ 49.491,87R$ MS SONORA R$ 357.040,84 R$ 22.523,20 406.738,69R$ -R$ 25.658,29R$ MS TACURU R$ 150.419,75 R$ 10.803,91 171.357,24R$ -R$ 12.307,75R$ MS TAQUARUSSU R$ 108.039,06 R$ 10.803,91 123.077,42R$ -R$ 12.307,75R$ MS TERENOS R$ 108.039,06 R$ 15.627,79 123.077,42R$ -R$ 17.803,08R$ MS TRÊS LAGOAS R$ 732.236,90 R$ 85.908,15 834.159,70R$ -R$ 97.866,03R$ MS VICENTINA R$ 108.039,06 R$ 10.803,91 123.077,42R$ -R$ 12.307,75R$ MT ACORIZAL R$ 108.039,06 R$ 10.803,91 123.077,42R$ -R$ 12.307,75R$ MT ÁGUA BOA R$ 965.862,18 R$ 45.710,78 1.100.304,16R$ -R$ 52.073,43R$ MT ALTA FLORESTA R$ 653.076,33 R$ 29.087,67 743.980,47R$ -R$ 33.136,49R$ MT ALTO ARAGUAIA R$ 108.039,06 R$ 10.803,91 123.077,42R$ -R$ 12.307,75R$ MT ALTO BOA VISTA R$ 108.039,06 R$ 10.803,91 123.077,42R$ -R$ 12.307,75R$ MT ALTO GARÇAS R$ 262.652,76 R$ 10.803,91 299.212,38R$ -R$ 12.307,75R$ MT ALTO PARAGUAI R$ 108.039,06 R$ 16.484,59 123.077,42R$ -R$ 18.779,14R$ MT ALTO TAQUARI R$ 272.105,62 R$ 10.803,91 309.981,02R$ -R$ 12.307,75R$ MT APIACÁS R$ 108.039,06 R$ 10.803,91 123.077,42R$ -R$ 12.307,75R$ MT ARAGUAIANA R$ 108.039,06 R$ 10.803,91 123.077,42R$ -R$ 12.307,75R$ MT ARAGUAINHA R$ 108.039,06 R$ 10.803,91 123.077,42R$ -R$ 12.307,75R$ MT ARAPUTANGA R$ 216.692,86 R$ 25.543,09 246.855,15R$ -R$ 29.098,53R$ MT ARENÁPOLIS R$ 108.039,06 R$ 10.803,91 123.077,42R$ -R$ 12.307,75R$ MT ARIPUANÃ R$ 192.966,01 R$ 20.147,34 219.825,67R$ -R$ 22.951,72R$ MT BARÃO DE MELGAÇO R$ 108.039,06 R$ 10.803,91 123.077,42R$ -R$ 12.307,75R$ MT BARRA DO BUGRES R$ 243.820,92 R$ 32.553,99 277.759,27R$ -R$ 37.085,30R$ MT BARRA DO GARÇAS R$ 1.312.960,93 R$ 83.794,59 1.495.716,88R$ -R$ 95.458,27R$ MT BOM JESUS DO ARAGUAIA R$ 108.039,06 R$ 16.305,47 123.077,42R$ -R$ 18.575,09R$ MT BRASNORTE R$ 108.039,06 R$ 13.482,72 123.077,42R$ -R$ 15.359,43R$ MT CÁCERES R$ 625.898,09 R$ 74.543,06 713.019,19R$ -R$ 84.918,99R$ MT CAMPINÁPOLIS R$ 408.297,82 R$ 23.209,78 465.130,32R$ -R$ 26.440,44R$ MT CAMPO NOVO DO PARECIS R$ 149.760,39 R$ 19.097,84 170.606,10R$ -R$ 21.756,14R$ MT CAMPO VERDE R$ 281.333,28 R$ 40.994,52 320.493,11R$ -R$ 46.700,70R$ MT CAMPOS DE JÚLIO R$ 165.262,01 R$ 10.803,91 188.265,45R$ -R$ 12.307,75R$ MT CANABRAVA DO NORTE R$ 108.039,06 R$ 10.803,91 123.077,42R$ -R$ 12.307,75R$ MT CANARANA R$ 154.659,57 R$ 36.377,95 176.187,22R$ -R$ 41.441,53R$ MT CARLINDA R$ 108.039,06 R$ 10.803,91 123.077,42R$ -R$ 12.307,75R$ MT CASTANHEIRA R$ 108.039,06 R$ 10.803,91 123.077,42R$ -R$ 12.307,75R$ MT CHAPADA DOS GUIMARÃES R$ 108.039,06 R$ 29.351,09 123.077,42R$ -R$ 33.436,58R$ MT CLÁUDIA R$ 108.039,06 R$ 10.803,91 123.077,42R$ -R$ 12.307,75R$ MT COCALINHO R$ 108.039,06 R$ 10.803,91 123.077,42R$ -R$ 12.307,75R$ MT COLÍDER R$ 587.525,27 R$ 39.343,01 669.305,11R$ -R$ 44.819,31R$ MT COLNIZA R$ 420.254,41 R$ 28.443,50 478.751,20R$ -R$ 32.402,66R$ MT COMODORO R$ 108.039,06 R$ 18.667,58 123.077,42R$ -R$ 21.265,99R$ 35
  • 36.
    Tribunal Superior Eleitoral PREFEITO 1ºTURNO 1º TURNO 2º TURNO UF POSSIBILIDADE DE SEGUNDO TURNO VEREADORVEREADOR LIMITE DE GASTOS OBSERVADO O MÍNIMO LEGAL (R$ 100,000,00 PARA PREFEITO E R$ 10.000,00 PARA VEREADOR ) EM 2016*** LIMITE DE GASTOS 2020 (ATUALIZADO PELO IPCA DE JUNHO/2016 ATÉ JUNHO/2020*) PREFEITO MUNICÍPIO** MT CONFRESA R$ 135.805,32 R$ 19.229,34 154.708,57R$ -R$ 21.905,94R$ MT CONQUISTA D'OESTE R$ 149.331,51 R$ 29.915,38 170.117,52R$ -R$ 34.079,41R$ MT COTRIGUAÇU R$ 108.039,06 R$ 10.803,91 123.077,42R$ -R$ 12.307,75R$ MT CUIABÁ SIM R$ 9.004.367,05 R$ 492.024,46 10.257.718,66R$ 4.103.087,46R$ 560.511,19R$ MT CURVELÂNDIA R$ 108.039,06 R$ 10.803,91 123.077,42R$ -R$ 12.307,75R$ MT DENISE R$ 146.980,43 R$ 10.803,91 167.439,19R$ -R$ 12.307,75R$ MT DIAMANTINO R$ 280.281,26 R$ 26.647,18 319.294,66R$ -R$ 30.356,30R$ MT DOM AQUINO R$ 108.039,06 R$ 10.803,91 123.077,42R$ -R$ 12.307,75R$ MT FELIZ NATAL R$ 147.321,56 R$ 10.803,91 167.827,80R$ -R$ 12.307,75R$ MT FIGUEIRÓPOLIS D'OESTE R$ 108.039,06 R$ 10.803,91 123.077,42R$ -R$ 12.307,75R$ MT GAÚCHA DO NORTE R$ 108.039,06 R$ 10.803,91 123.077,42R$ -R$ 12.307,75R$ MT GENERAL CARNEIRO R$ 219.215,54 R$ 20.882,23 249.728,97R$ -R$ 23.788,91R$ MT GLÓRIA D'OESTE R$ 108.039,06 R$ 10.803,91 123.077,42R$ -R$ 12.307,75R$ MT GUARANTÃ DO NORTE R$ 108.039,06 R$ 10.803,91 123.077,42R$ -R$ 12.307,75R$ MT GUIRATINGA R$ 353.529,53 R$ 15.755,59 402.738,63R$ -R$ 17.948,67R$ MT INDIAVAÍ R$ 108.039,06 R$ 10.803,91 123.077,42R$ -R$ 12.307,75R$ MT IPIRANGA DO NORTE R$ 108.039,06 R$ 10.803,91 123.077,42R$ -R$ 12.307,75R$ MT ITANHANGÁ R$ 108.039,06 R$ 10.803,91 123.077,42R$ -R$ 12.307,75R$ MT ITAÚBA R$ 108.039,06 R$ 10.803,91 123.077,42R$ -R$ 12.307,75R$ MT ITIQUIRA R$ 108.039,06 R$ 10.803,91 123.077,42R$ -R$ 12.307,75R$ MT JACIARA R$ 438.837,31 R$ 24.285,14 499.920,72R$ -R$ 27.665,48R$ MT JANGADA R$ 108.039,06 R$ 10.803,91 123.077,42R$ -R$ 12.307,75R$ MT JAURU R$ 171.696,07 R$ 18.850,34 195.595,09R$ -R$ 21.474,19R$ MT JUARA R$ 290.104,34 R$ 21.100,96 330.485,05R$ -R$ 24.038,08R$ MT JUÍNA R$ 313.533,42 R$ 23.567,95 357.175,31R$ -R$ 26.848,46R$ MT JURUENA R$ 108.039,06 R$ 24.370,67 123.077,42R$ -R$ 27.762,91R$ MT JUSCIMEIRA R$ 108.039,06 R$ 10.803,91 123.077,42R$ -R$ 12.307,75R$ MT LAMBARI D'OESTE R$ 108.039,06 R$ 10.803,91 123.077,42R$ -R$ 12.307,75R$ MT LUCAS DO RIO VERDE R$ 2.358.516,65 R$ 88.888,52 2.686.807,42R$ -R$ 101.261,25R$ MT LUCIARA R$ 108.039,06 R$ 10.803,91 123.077,42R$ -R$ 12.307,75R$ MT MARCELÂNDIA R$ 108.039,06 R$ 10.803,91 123.077,42R$ -R$ 12.307,75R$ MT MATUPÁ R$ 108.039,06 R$ 10.803,91 123.077,42R$ -R$ 12.307,75R$ MT MIRASSOL D'OESTE R$ 390.694,05 R$ 45.347,13 445.076,22R$ -R$ 51.659,17R$ MT NOBRES R$ 430.714,66 R$ 20.845,00 490.667,45R$ -R$ 23.746,49R$ MT NORTELÂNDIA R$ 108.039,06 R$ 10.803,91 123.077,42R$ -R$ 12.307,75R$ MT NOSSA SENHORA DO LIVRAMENTO R$ 108.039,06 R$ 18.702,51 123.077,42R$ -R$ 21.305,78R$ MT NOVA BANDEIRANTES R$ 108.039,06 R$ 10.803,91 123.077,42R$ -R$ 12.307,75R$ MT NOVA BRASILÂNDIA R$ 108.039,06 R$ 10.803,91 123.077,42R$ -R$ 12.307,75R$ MT NOVA CANAÃ DO NORTE R$ 108.039,06 R$ 20.041,62 123.077,42R$ -R$ 22.831,29R$ MT NOVA GUARITA R$ 108.039,06 R$ 10.803,91 123.077,42R$ -R$ 12.307,75R$ MT NOVA LACERDA R$ 275.918,41 R$ 10.803,91 314.324,53R$ -R$ 12.307,75R$ MT NOVA MARILÂNDIA R$ 108.039,06 R$ 10.803,91 123.077,42R$ -R$ 12.307,75R$ MT NOVA MARINGÁ R$ 157.793,73 R$ 10.803,91 179.757,63R$ -R$ 12.307,75R$ MT NOVA MONTE VERDE R$ 108.039,06 R$ 10.803,91 123.077,42R$ -R$ 12.307,75R$ MT NOVA MUTUM R$ 721.274,70 R$ 38.394,91 821.671,63R$ -R$ 43.739,24R$ MT NOVA NAZARÉ R$ 108.039,06 R$ 14.072,55 123.077,42R$ -R$ 16.031,36R$ MT NOVA OLÍMPIA R$ 246.627,10 R$ 18.897,29 280.956,05R$ -R$ 21.527,67R$ MT NOVA SANTA HELENA R$ 108.039,06 R$ 27.850,98 123.077,42R$ -R$ 31.727,66R$ MT NOVA UBIRATÃ R$ 150.458,65 R$ 13.623,29 171.401,55R$ -R$ 15.519,57R$ MT NOVA XAVANTINA R$ 267.889,30 R$ 38.175,28 305.177,82R$ -R$ 43.489,04R$ MT NOVO HORIZONTE DO NORTE R$ 108.039,06 R$ 10.803,91 123.077,42R$ -R$ 12.307,75R$ MT NOVO MUNDO R$ 108.039,06 R$ 10.803,91 123.077,42R$ -R$ 12.307,75R$ MT NOVO SANTO ANTÔNIO R$ 108.039,06 R$ 10.803,91 123.077,42R$ -R$ 12.307,75R$ MT NOVO SÃO JOAQUIM R$ 143.723,08 R$ 10.803,91 163.728,43R$ -R$ 12.307,75R$ MT PARANAÍTA R$ 280.305,95 R$ 18.830,41 319.322,79R$ -R$ 21.451,49R$ MT PARANATINGA R$ 297.519,94 R$ 22.403,27 338.932,86R$ -R$ 25.521,67R$ MT PEDRA PRETA R$ 108.039,06 R$ 29.292,61 123.077,42R$ -R$ 33.369,96R$ MT PEIXOTO DE AZEVEDO R$ 168.127,47 R$ 13.865,77 191.529,76R$ -R$ 15.795,80R$ MT PLANALTO DA SERRA R$ 108.039,06 R$ 10.803,91 123.077,42R$ -R$ 12.307,75R$ MT POCONÉ R$ 218.803,76 R$ 13.631,79 249.259,88R$ -R$ 15.529,25R$ MT PONTAL DO ARAGUAIA R$ 108.039,06 R$ 10.803,91 123.077,42R$ -R$ 12.307,75R$ MT PONTE BRANCA R$ 108.039,06 R$ 10.803,91 123.077,42R$ -R$ 12.307,75R$ MT PONTES E LACERDA R$ 517.344,11 R$ 72.066,98 589.355,18R$ -R$ 82.098,25R$ MT PORTO ALEGRE DO NORTE R$ 108.039,06 R$ 10.803,91 123.077,42R$ -R$ 12.307,75R$ MT PORTO DOS GAÚCHOS R$ 205.324,47 R$ 10.803,91 233.904,35R$ -R$ 12.307,75R$ MT PORTO ESPERIDIÃO R$ 108.039,06 R$ 10.803,91 123.077,42R$ -R$ 12.307,75R$ 36
  • 37.
    Tribunal Superior Eleitoral PREFEITO 1ºTURNO 1º TURNO 2º TURNO UF POSSIBILIDADE DE SEGUNDO TURNO VEREADORVEREADOR LIMITE DE GASTOS OBSERVADO O MÍNIMO LEGAL (R$ 100,000,00 PARA PREFEITO E R$ 10.000,00 PARA VEREADOR ) EM 2016*** LIMITE DE GASTOS 2020 (ATUALIZADO PELO IPCA DE JUNHO/2016 ATÉ JUNHO/2020*) PREFEITO MUNICÍPIO** MT PORTO ESTRELA R$ 108.039,06 R$ 10.803,91 123.077,42R$ -R$ 12.307,75R$ MT POXORÉU R$ 293.152,60 R$ 44.864,52 333.957,61R$ -R$ 51.109,38R$ MT PRIMAVERA DO LESTE R$ 1.929.318,82 R$ 89.521,90 2.197.867,94R$ -R$ 101.982,79R$ MT QUERÊNCIA R$ 733.683,42 R$ 46.928,00 835.807,57R$ -R$ 53.460,08R$ MT RESERVA DO CABAÇAL R$ 108.039,06 R$ 10.803,91 123.077,42R$ -R$ 12.307,75R$ MT RIBEIRÃO CASCALHEIRA R$ 192.469,70 R$ 15.107,26 219.260,28R$ -R$ 17.210,10R$ MT RIBEIRÃOZINHO R$ 108.039,06 R$ 10.803,91 123.077,42R$ -R$ 12.307,75R$ MT RIO BRANCO R$ 108.039,06 R$ 10.803,91 123.077,42R$ -R$ 12.307,75R$ MT RONDOLÂNDIA R$ 108.039,06 R$ 10.803,91 123.077,42R$ -R$ 12.307,75R$ MT RONDONÓPOLIS R$ 2.567.112,04 R$ 93.377,07 2.924.437,99R$ -R$ 106.374,57R$ MT ROSÁRIO OESTE R$ 297.568,99 R$ 40.717,38 338.988,73R$ -R$ 46.384,98R$ MT SALTO DO CÉU R$ 108.039,06 R$ 10.803,91 123.077,42R$ -R$ 12.307,75R$ MT SANTA CARMEM R$ 159.648,08 R$ 10.803,91 181.870,09R$ -R$ 12.307,75R$ MT SANTA CRUZ DO XINGU R$ 108.039,06 R$ 10.803,91 123.077,42R$ -R$ 12.307,75R$ MT SANTA RITA DO TRIVELATO R$ 108.039,06 R$ 10.803,91 123.077,42R$ -R$ 12.307,75R$ MT SANTA TEREZINHA R$ 108.039,06 R$ 10.803,91 123.077,42R$ -R$ 12.307,75R$ MT SANTO AFONSO R$ 136.692,05 R$ 10.803,91 155.718,73R$ -R$ 12.307,75R$ MT SANTO ANTÔNIO DO LESTE R$ 216.963,43 R$ 18.880,05 247.163,38R$ -R$ 21.508,03R$ MT SANTO ANTÔNIO DO LEVERGER R$ 685.571,38 R$ 28.342,20 780.998,63R$ -R$ 32.287,26R$ MT SÃO FÉLIX DO ARAGUAIA R$ 144.415,12 R$ 16.224,88 164.516,80R$ -R$ 18.483,28R$ MT SÃO JOSÉ DO POVO R$ 108.039,06 R$ 17.328,96 123.077,42R$ -R$ 19.741,04R$ MT SÃO JOSÉ DO RIO CLARO R$ 195.239,05 R$ 30.549,89 222.415,11R$ -R$ 34.802,24R$ MT SÃO JOSÉ DO XINGU R$ 169.693,17 R$ 10.803,91 193.313,40R$ -R$ 12.307,75R$ MT SÃO JOSÉ DOS QUATRO MARCOS R$ 134.920,93 R$ 10.803,91 153.701,08R$ -R$ 12.307,75R$ MT SÃO PEDRO DA CIPA R$ 108.039,06 R$ 10.803,91 123.077,42R$ -R$ 12.307,75R$ MT SAPEZAL R$ 108.039,06 R$ 41.174,77 123.077,42R$ -R$ 46.906,04R$ MT SERRA NOVA DOURADA R$ 108.039,06 R$ 10.803,91 123.077,42R$ -R$ 12.307,75R$ MT SINOP R$ 1.073.025,71 R$ 102.738,43 1.222.384,18R$ -R$ 117.038,98R$ MT SORRISO R$ 730.234,11 R$ 42.373,55 831.878,13R$ -R$ 48.271,68R$ MT TABAPORÃ R$ 192.187,03 R$ 19.486,79 218.938,26R$ -R$ 22.199,23R$ MT TANGARÁ DA SERRA R$ 279.015,72 R$ 45.497,25 317.852,96R$ -R$ 51.830,18R$ MT TAPURAH R$ 321.241,84 R$ 10.803,91 365.956,70R$ -R$ 12.307,75R$ MT TERRA NOVA DO NORTE R$ 108.039,06 R$ 16.268,55 123.077,42R$ -R$ 18.533,03R$ MT TESOURO R$ 108.039,06 R$ 10.803,91 123.077,42R$ -R$ 12.307,75R$ MT TORIXORÉU R$ 164.880,48 R$ 14.267,92 187.830,81R$ -R$ 16.253,93R$ MT UNIÃO DO SUL R$ 108.039,06 R$ 10.803,91 123.077,42R$ -R$ 12.307,75R$ MT VALE DE SÃO DOMINGOS R$ 151.761,55 R$ 22.679,75 172.885,81R$ -R$ 25.836,63R$ MT VÁRZEA GRANDE R$ 2.492.363,87 R$ 82.482,77 2.839.285,34R$ -R$ 93.963,86R$ MT VERA R$ 108.039,06 R$ 27.197,99 123.077,42R$ -R$ 30.983,78R$ MT VILA BELA DA SANTÍSSIMA TRINDADE R$ 327.313,47 R$ 10.803,91 372.873,46R$ -R$ 12.307,75R$ MT VILA RICA R$ 108.039,06 R$ 10.803,91 123.077,42R$ -R$ 12.307,75R$ PA ABAETETUBA R$ 230.710,36 R$ 32.716,11 262.823,80R$ -R$ 37.269,99R$ PA ABEL FIGUEIREDO R$ 184.363,11 R$ 21.693,85 210.025,30R$ -R$ 24.713,50R$ PA ACARÁ R$ 310.232,00 R$ 19.597,88 353.414,36R$ -R$ 22.325,78R$ PA AFUÁ R$ 108.039,06 R$ 14.644,98 123.077,42R$ -R$ 16.683,47R$ PA ÁGUA AZUL DO NORTE R$ 142.935,25 R$ 10.803,91 162.830,94R$ -R$ 12.307,75R$ PA ALENQUER R$ 108.039,06 R$ 16.404,48 123.077,42R$ -R$ 18.687,88R$ PA ALMEIRIM R$ 108.039,06 R$ 13.417,59 123.077,42R$ -R$ 15.285,23R$ PA ALTAMIRA R$ 1.079.661,85 R$ 93.065,12 1.229.944,03R$ -R$ 106.019,20R$ PA ANAJÁS R$ 108.039,06 R$ 10.803,91 123.077,42R$ -R$ 12.307,75R$ PA ANANINDEUA SIM R$ 1.169.367,02 R$ 101.287,46 1.332.135,60R$ 532.854,24R$ 115.386,04R$ PA ANAPU R$ 288.888,80 R$ 14.241,34 329.100,32R$ -R$ 16.223,65R$ PA AUGUSTO CORRÊA R$ 216.078,64 R$ 14.324,29 246.155,44R$ -R$ 16.318,14R$ PA AURORA DO PARÁ R$ 108.039,06 R$ 10.803,91 123.077,42R$ -R$ 12.307,75R$ PA AVEIRO R$ 108.039,06 R$ 10.803,91 123.077,42R$ -R$ 12.307,75R$ PA BAGRE R$ 108.039,06 R$ 10.803,91 123.077,42R$ -R$ 12.307,75R$ PA BAIÃO R$ 108.039,06 R$ 22.543,61 123.077,42R$ -R$ 25.681,54R$ PA BANNACH R$ 108.039,06 R$ 17.452,03 123.077,42R$ -R$ 19.881,24R$ PA BARCARENA R$ 1.431.782,75 R$ 46.379,03 1.631.077,96R$ -R$ 52.834,70R$ PA BELÉM SIM R$ 1.414.386,25 R$ 384.520,22 1.611.259,97R$ 644.503,99R$ 438.043,03R$ PA BELTERRA R$ 108.039,06 R$ 16.163,37 123.077,42R$ -R$ 18.413,21R$ PA BENEVIDES R$ 392.198,78 R$ 34.795,36 446.790,40R$ -R$ 39.638,66R$ PA BOM JESUS DO TOCANTINS R$ 256.245,06 R$ 10.803,91 291.912,77R$ -R$ 12.307,75R$ PA BONITO R$ 108.039,06 R$ 10.803,91 123.077,42R$ -R$ 12.307,75R$ PA BRAGANÇA R$ 272.612,64 R$ 48.891,42 310.558,62R$ -R$ 55.696,80R$ PA BRASIL NOVO R$ 570.657,00 R$ 18.023,39 650.088,89R$ -R$ 20.532,13R$ 37
  • 38.
    Tribunal Superior Eleitoral PREFEITO 1ºTURNO 1º TURNO 2º TURNO UF POSSIBILIDADE DE SEGUNDO TURNO VEREADORVEREADOR LIMITE DE GASTOS OBSERVADO O MÍNIMO LEGAL (R$ 100,000,00 PARA PREFEITO E R$ 10.000,00 PARA VEREADOR ) EM 2016*** LIMITE DE GASTOS 2020 (ATUALIZADO PELO IPCA DE JUNHO/2016 ATÉ JUNHO/2020*) PREFEITO MUNICÍPIO** PA BREJO GRANDE DO ARAGUAIA R$ 141.713,80 R$ 10.803,91 161.439,48R$ -R$ 12.307,75R$ PA BREU BRANCO R$ 108.039,06 R$ 28.327,51 123.077,42R$ -R$ 32.270,52R$ PA BREVES R$ 222.677,79 R$ 57.559,49 253.673,15R$ -R$ 65.571,41R$ PA BUJARU R$ 108.039,06 R$ 13.810,85 123.077,42R$ -R$ 15.733,23R$ PA CACHOEIRA DO ARARI R$ 108.039,06 R$ 10.803,91 123.077,42R$ -R$ 12.307,75R$ PA CACHOEIRA DO PIRIÁ R$ 170.058,82 R$ 25.399,05 193.729,94R$ -R$ 28.934,44R$ PA CAMETÁ R$ 108.039,06 R$ 28.739,97 123.077,42R$ -R$ 32.740,39R$ PA CANAÃ DOS CARAJÁS R$ 830.461,31 R$ 76.778,95 946.056,33R$ -R$ 87.466,10R$ PA CAPANEMA R$ 262.690,22 R$ 43.843,59 299.255,06R$ -R$ 49.946,34R$ PA CAPITÃO POÇO R$ 108.039,06 R$ 29.105,78 123.077,42R$ -R$ 33.157,12R$ PA CASTANHAL R$ 1.074.869,57 R$ 47.137,53 1.224.484,69R$ -R$ 53.698,78R$ PA CHAVES R$ 108.039,06 R$ 30.398,55 123.077,42R$ -R$ 34.629,84R$ PA COLARES R$ 108.039,06 R$ 10.803,91 123.077,42R$ -R$ 12.307,75R$ PA CONCEIÇÃO DO ARAGUAIA R$ 238.338,49 R$ 53.925,98 271.513,72R$ -R$ 61.432,14R$ PA CONCÓRDIA DO PARÁ R$ 177.829,41 R$ 27.989,67 202.582,15R$ -R$ 31.885,66R$ PA CUMARU DO NORTE R$ 297.128,28 R$ 10.803,91 338.486,68R$ -R$ 12.307,75R$ PA CURIONÓPOLIS R$ 437.142,81 R$ 22.690,05 497.990,36R$ -R$ 25.848,36R$ PA CURRALINHO R$ 108.039,06 R$ 13.666,65 123.077,42R$ -R$ 15.568,96R$ PA CURUÁ R$ 108.039,06 R$ 10.803,91 123.077,42R$ -R$ 12.307,75R$ PA CURUÇÁ R$ 225.720,36 R$ 17.151,67 257.139,22R$ -R$ 19.539,08R$ PA DOM ELISEU R$ 336.087,64 R$ 22.378,50 382.868,94R$ -R$ 25.493,45R$ PA ELDORADO DOS CARAJÁS R$ 349.694,24 R$ 24.320,76 398.369,49R$ -R$ 27.706,06R$ PA FARO R$ 108.039,06 R$ 10.803,91 123.077,42R$ -R$ 12.307,75R$ PA FLORESTA DO ARAGUAIA R$ 197.587,81 R$ 19.228,90 225.090,80R$ -R$ 21.905,44R$ PA GARRAFÃO DO NORTE R$ 108.039,06 R$ 22.619,64 123.077,42R$ -R$ 25.768,15R$ PA GOIANÉSIA DO PARÁ R$ 238.597,64 R$ 20.134,81 271.808,94R$ -R$ 22.937,45R$ PA GURUPÁ R$ 172.546,12 R$ 17.798,67 196.563,46R$ -R$ 20.276,13R$ PA IGARAPÉ-AÇU R$ 108.039,06 R$ 22.465,33 123.077,42R$ -R$ 25.592,36R$ PA IGARAPÉ-MIRI R$ 108.039,06 R$ 14.594,14 123.077,42R$ -R$ 16.625,55R$ PA INHANGAPI R$ 108.039,06 R$ 10.803,91 123.077,42R$ -R$ 12.307,75R$ PA IPIXUNA DO PARÁ R$ 163.485,40 R$ 10.803,91 186.241,55R$ -R$ 12.307,75R$ PA IRITUIA R$ 108.039,06 R$ 10.803,91 123.077,42R$ -R$ 12.307,75R$ PA ITAITUBA R$ 389.242,98 R$ 25.406,05 443.423,17R$ -R$ 28.942,41R$ PA ITUPIRANGA R$ 392.090,26 R$ 22.552,88 446.666,77R$ -R$ 25.692,10R$ PA JACAREACANGA R$ 237.098,60 R$ 10.803,91 270.101,24R$ -R$ 12.307,75R$ PA JACUNDÁ R$ 631.571,36 R$ 13.858,04 719.482,15R$ -R$ 15.786,99R$ PA JURUTI R$ 108.039,06 R$ 43.806,60 123.077,42R$ -R$ 49.904,20R$ PA LIMOEIRO DO AJURU R$ 108.039,06 R$ 10.803,91 123.077,42R$ -R$ 12.307,75R$ PA MÃE DO RIO R$ 213.878,06 R$ 10.803,91 243.648,55R$ -R$ 12.307,75R$ PA MAGALHÃES BARATA R$ 108.039,06 R$ 10.803,91 123.077,42R$ -R$ 12.307,75R$ PA MARABÁ R$ 957.770,76 R$ 209.499,14 1.091.086,46R$ -R$ 238.660,11R$ PA MARACANÃ R$ 108.039,06 R$ 15.701,30 123.077,42R$ -R$ 17.886,82R$ PA MARAPANIM R$ 108.039,06 R$ 10.803,91 123.077,42R$ -R$ 12.307,75R$ PA MARITUBA R$ 384.965,16 R$ 25.543,98 438.549,90R$ -R$ 29.099,54R$ PA MEDICILÂNDIA R$ 469.066,66 R$ 20.291,29 534.357,81R$ -R$ 23.115,71R$ PA MELGAÇO R$ 108.039,06 R$ 10.803,91 123.077,42R$ -R$ 12.307,75R$ PA MOCAJUBA R$ 108.039,06 R$ 15.543,06 123.077,42R$ -R$ 17.706,56R$ PA MOJU R$ 169.894,83 R$ 10.803,91 193.543,13R$ -R$ 12.307,75R$ PA MOJUÍ DOS CAMPOS R$ 108.039,06 R$ 39.868,55 123.077,42R$ -R$ 45.418,00R$ PA MONTE ALEGRE R$ 158.652,05 R$ 19.703,07 180.735,42R$ -R$ 22.445,61R$ PA MUANÁ R$ 108.039,06 R$ 10.803,91 123.077,42R$ -R$ 12.307,75R$ PA NOVA ESPERANÇA DO PIRIÁ R$ 108.039,06 R$ 10.803,91 123.077,42R$ -R$ 12.307,75R$ PA NOVA IPIXUNA R$ 141.590,92 R$ 16.660,10 161.299,49R$ -R$ 18.979,08R$ PA NOVA TIMBOTEUA R$ 166.637,27 R$ 10.803,91 189.832,14R$ -R$ 12.307,75R$ PA NOVO PROGRESSO R$ 230.491,34 R$ 68.405,76 262.574,29R$ -R$ 77.927,41R$ PA NOVO REPARTIMENTO R$ 147.483,03 R$ 43.578,68 168.011,75R$ -R$ 49.644,56R$ PA ÓBIDOS R$ 108.039,06 R$ 10.803,91 123.077,42R$ -R$ 12.307,75R$ PA OEIRAS DO PARÁ R$ 108.039,06 R$ 37.379,54 123.077,42R$ -R$ 42.582,54R$ PA ORIXIMINÁ R$ 108.039,06 R$ 40.149,30 123.077,42R$ -R$ 45.737,83R$ PA OURÉM R$ 108.039,06 R$ 16.972,96 123.077,42R$ -R$ 19.335,49R$ PA OURILÂNDIA DO NORTE R$ 673.856,43 R$ 79.997,31 767.653,03R$ -R$ 91.132,44R$ PA PACAJÁ R$ 316.732,83 R$ 14.517,78 360.820,06R$ -R$ 16.538,56R$ PA PALESTINA DO PARÁ R$ 108.039,06 R$ 15.145,77 123.077,42R$ -R$ 17.253,97R$ PA PARAGOMINAS R$ 267.790,00 R$ 29.842,01 305.064,69R$ -R$ 33.995,83R$ PA PARAUAPEBAS R$ 3.258.717,94 R$ 186.030,82 3.712.311,11R$ -R$ 211.925,15R$ PA PAU D'ARCO R$ 295.418,98 R$ 10.803,91 336.539,46R$ -R$ 12.307,75R$ 38
  • 39.
    Tribunal Superior Eleitoral PREFEITO 1ºTURNO 1º TURNO 2º TURNO UF POSSIBILIDADE DE SEGUNDO TURNO VEREADORVEREADOR LIMITE DE GASTOS OBSERVADO O MÍNIMO LEGAL (R$ 100,000,00 PARA PREFEITO E R$ 10.000,00 PARA VEREADOR ) EM 2016*** LIMITE DE GASTOS 2020 (ATUALIZADO PELO IPCA DE JUNHO/2016 ATÉ JUNHO/2020*) PREFEITO MUNICÍPIO** PA PEIXE-BOI R$ 108.039,06 R$ 10.803,91 123.077,42R$ -R$ 12.307,75R$ PA PIÇARRA R$ 147.892,18 R$ 24.275,72 168.477,85R$ -R$ 27.654,75R$ PA PLACAS R$ 108.039,06 R$ 27.490,61 123.077,42R$ -R$ 31.317,13R$ PA PONTA DE PEDRAS R$ 193.929,96 R$ 13.748,11 220.923,80R$ -R$ 15.661,76R$ PA PORTEL R$ 108.039,06 R$ 10.803,91 123.077,42R$ -R$ 12.307,75R$ PA PORTO DE MOZ R$ 342.681,05 R$ 10.803,91 390.380,11R$ -R$ 12.307,75R$ PA PRAINHA R$ 135.926,18 R$ 10.803,91 154.846,25R$ -R$ 12.307,75R$ PA PRIMAVERA R$ 108.039,06 R$ 10.803,91 123.077,42R$ -R$ 12.307,75R$ PA QUATIPURU R$ 108.039,06 R$ 10.803,91 123.077,42R$ -R$ 12.307,75R$ PA REDENÇÃO R$ 379.365,15 R$ 41.171,28 432.170,41R$ -R$ 46.902,06R$ PA RIO MARIA R$ 108.039,06 R$ 10.803,91 123.077,42R$ -R$ 12.307,75R$ PA RONDON DO PARÁ R$ 467.887,43 R$ 15.235,94 533.014,44R$ -R$ 17.356,69R$ PA RURÓPOLIS R$ 108.039,06 R$ 20.409,77 123.077,42R$ -R$ 23.250,68R$ PA SALINÓPOLIS R$ 306.142,02 R$ 30.486,11 348.755,08R$ -R$ 34.729,59R$ PA SALVATERRA R$ 108.039,06 R$ 10.803,91 123.077,42R$ -R$ 12.307,75R$ PA SANTA BÁRBARA DO PARÁ R$ 108.039,06 R$ 10.803,91 123.077,42R$ -R$ 12.307,75R$ PA SANTA CRUZ DO ARARI R$ 108.039,06 R$ 10.803,91 123.077,42R$ -R$ 12.307,75R$ PA SANTA ISABEL DO PARÁ R$ 108.039,06 R$ 29.184,90 123.077,42R$ -R$ 33.247,26R$ PA SANTA LUZIA DO PARÁ R$ 156.699,32 R$ 20.703,97 178.510,89R$ -R$ 23.585,83R$ PA SANTA MARIA DAS BARREIRAS R$ 108.039,06 R$ 10.803,91 123.077,42R$ -R$ 12.307,75R$ PA SANTA MARIA DO PARÁ R$ 198.141,19 R$ 26.348,29 225.721,21R$ -R$ 30.015,81R$ PA SANTANA DO ARAGUAIA R$ 319.221,38 R$ 14.880,60 363.655,00R$ -R$ 16.951,89R$ PA SANTARÉM SIM R$ 1.013.155,31 R$ 73.206,72 1.154.180,20R$ 461.672,08R$ 83.396,64R$ PA SANTARÉM NOVO R$ 108.039,06 R$ 17.392,30 123.077,42R$ -R$ 19.813,20R$ PA SANTO ANTÔNIO DO TAUÁ R$ 183.474,83 R$ 13.820,21 209.013,38R$ -R$ 15.743,90R$ PA SÃO CAETANO DE ODIVELAS R$ 108.039,06 R$ 10.803,91 123.077,42R$ -R$ 12.307,75R$ PA SÃO DOMINGOS DO ARAGUAIA R$ 108.039,06 R$ 41.530,86 123.077,42R$ -R$ 47.311,70R$ PA SÃO DOMINGOS DO CAPIM R$ 144.815,29 R$ 13.845,59 164.972,67R$ -R$ 15.772,81R$ PA SÃO FÉLIX DO XINGU R$ 1.678.438,86 R$ 47.366,07 1.912.067,06R$ -R$ 53.959,13R$ PA SÃO FRANCISCO DO PARÁ R$ 108.039,06 R$ 14.917,59 123.077,42R$ -R$ 16.994,03R$ PA SÃO GERALDO DO ARAGUAIA R$ 108.039,06 R$ 10.803,91 123.077,42R$ -R$ 12.307,75R$ PA SÃO JOÃO DA PONTA R$ 108.039,06 R$ 10.803,91 123.077,42R$ -R$ 12.307,75R$ PA SÃO JOÃO DE PIRABAS R$ 205.412,52 R$ 22.673,88 234.004,66R$ -R$ 25.829,94R$ PA SÃO JOÃO DO ARAGUAIA R$ 179.728,29 R$ 10.803,91 204.745,34R$ -R$ 12.307,75R$ PA SÃO MIGUEL DO GUAMÁ R$ 232.518,50 R$ 22.485,93 264.883,62R$ -R$ 25.615,83R$ PA SÃO SEBASTIÃO DA BOA VISTA R$ 108.039,06 R$ 10.803,91 123.077,42R$ -R$ 12.307,75R$ PA SAPUCAIA R$ 108.039,06 R$ 10.803,91 123.077,42R$ -R$ 12.307,75R$ PA SENADOR JOSÉ PORFÍRIO R$ 235.975,58 R$ 16.227,14 268.821,91R$ -R$ 18.485,86R$ PA SOURE R$ 108.039,06 R$ 14.024,95 123.077,42R$ -R$ 15.977,14R$ PA TAILÂNDIA R$ 190.799,07 R$ 17.765,99 217.357,11R$ -R$ 20.238,90R$ PA TERRA ALTA R$ 108.039,06 R$ 10.803,91 123.077,42R$ -R$ 12.307,75R$ PA TERRA SANTA R$ 108.039,06 R$ 14.452,23 123.077,42R$ -R$ 16.463,89R$ PA TOMÉ-AÇU R$ 326.004,48 R$ 21.110,00 371.382,27R$ -R$ 24.048,38R$ PA TRACUATEUA R$ 158.091,60 R$ 10.803,91 180.096,96R$ -R$ 12.307,75R$ PA TRAIRÃO R$ 108.039,06 R$ 19.860,47 123.077,42R$ -R$ 22.624,92R$ PA TUCUMÃ R$ 357.565,62 R$ 114.453,40 407.336,52R$ -R$ 130.384,60R$ PA TUCURUÍ R$ 320.748,77 R$ 68.045,85 365.394,99R$ -R$ 77.517,41R$ PA ULIANÓPOLIS R$ 243.777,83 R$ 10.803,91 277.710,18R$ -R$ 12.307,75R$ PA URUARÁ R$ 199.993,50 R$ 16.724,52 227.831,35R$ -R$ 19.052,47R$ PA VIGIA R$ 108.039,06 R$ 15.072,83 123.077,42R$ -R$ 17.170,87R$ PA VISEU R$ 108.039,06 R$ 14.442,40 123.077,42R$ -R$ 16.452,69R$ PA VITÓRIA DO XINGU R$ 163.450,21 R$ 16.837,49 186.201,46R$ -R$ 19.181,16R$ PA XINGUARA R$ 879.215,53 R$ 14.562,52 1.001.596,84R$ -R$ 16.589,53R$ PB ÁGUA BRANCA R$ 108.039,06 R$ 10.803,91 123.077,42R$ -R$ 12.307,75R$ PB AGUIAR R$ 108.039,06 R$ 10.803,91 123.077,42R$ -R$ 12.307,75R$ PB ALAGOA GRANDE R$ 108.039,06 R$ 10.803,91 123.077,42R$ -R$ 12.307,75R$ PB ALAGOA NOVA R$ 108.039,06 R$ 10.803,91 123.077,42R$ -R$ 12.307,75R$ PB ALAGOINHA R$ 108.039,06 R$ 10.803,91 123.077,42R$ -R$ 12.307,75R$ PB ALCANTIL R$ 108.039,06 R$ 10.803,91 123.077,42R$ -R$ 12.307,75R$ PB ALGODÃO DE JANDAÍRA R$ 108.039,06 R$ 10.803,91 123.077,42R$ -R$ 12.307,75R$ PB ALHANDRA R$ 173.275,11 R$ 10.803,91 197.393,92R$ -R$ 12.307,75R$ PB AMPARO R$ 108.039,06 R$ 10.803,91 123.077,42R$ -R$ 12.307,75R$ PB APARECIDA R$ 108.039,06 R$ 10.803,91 123.077,42R$ -R$ 12.307,75R$ PB ARAÇAGI R$ 108.039,06 R$ 10.803,91 123.077,42R$ -R$ 12.307,75R$ PB ARARA R$ 108.039,06 R$ 10.803,91 123.077,42R$ -R$ 12.307,75R$ PB ARARUNA R$ 108.039,06 R$ 10.803,91 123.077,42R$ -R$ 12.307,75R$ 39
  • 40.
    Tribunal Superior Eleitoral PREFEITO 1ºTURNO 1º TURNO 2º TURNO UF POSSIBILIDADE DE SEGUNDO TURNO VEREADORVEREADOR LIMITE DE GASTOS OBSERVADO O MÍNIMO LEGAL (R$ 100,000,00 PARA PREFEITO E R$ 10.000,00 PARA VEREADOR ) EM 2016*** LIMITE DE GASTOS 2020 (ATUALIZADO PELO IPCA DE JUNHO/2016 ATÉ JUNHO/2020*) PREFEITO MUNICÍPIO** PB AREIA R$ 134.550,43 R$ 10.803,91 153.279,01R$ -R$ 12.307,75R$ PB AREIA DE BARAÚNAS R$ 108.039,06 R$ 10.803,91 123.077,42R$ -R$ 12.307,75R$ PB AREIAL R$ 108.039,06 R$ 10.803,91 123.077,42R$ -R$ 12.307,75R$ PB AROEIRAS R$ 108.039,06 R$ 10.803,91 123.077,42R$ -R$ 12.307,75R$ PB ASSUNÇÃO R$ 108.039,06 R$ 10.803,91 123.077,42R$ -R$ 12.307,75R$ PB BAÍA DA TRAIÇÃO R$ 108.039,06 R$ 10.803,91 123.077,42R$ -R$ 12.307,75R$ PB BANANEIRAS R$ 108.039,06 R$ 16.438,65 123.077,42R$ -R$ 18.726,81R$ PB BARAÚNA R$ 108.039,06 R$ 10.803,91 123.077,42R$ -R$ 12.307,75R$ PB BARRA DE SANTA ROSA R$ 108.039,06 R$ 10.803,91 123.077,42R$ -R$ 12.307,75R$ PB BARRA DE SANTANA R$ 108.039,06 R$ 10.803,91 123.077,42R$ -R$ 12.307,75R$ PB BARRA DE SÃO MIGUEL R$ 108.039,06 R$ 10.803,91 123.077,42R$ -R$ 12.307,75R$ PB BAYEUX R$ 333.731,60 R$ 19.288,37 380.184,95R$ -R$ 21.973,19R$ PB BELÉM R$ 229.884,48 R$ 14.118,14 261.882,96R$ -R$ 16.083,30R$ PB BELÉM DO BREJO DO CRUZ R$ 108.039,06 R$ 10.803,91 123.077,42R$ -R$ 12.307,75R$ PB BERNARDINO BATISTA R$ 108.039,06 R$ 10.803,91 123.077,42R$ -R$ 12.307,75R$ PB BOA VENTURA R$ 108.039,06 R$ 10.803,91 123.077,42R$ -R$ 12.307,75R$ PB BOA VISTA R$ 108.039,06 R$ 10.803,91 123.077,42R$ -R$ 12.307,75R$ PB BOM JESUS R$ 108.039,06 R$ 10.803,91 123.077,42R$ -R$ 12.307,75R$ PB BOM SUCESSO R$ 108.039,06 R$ 10.803,91 123.077,42R$ -R$ 12.307,75R$ PB BONITO DE SANTA FÉ R$ 108.039,06 R$ 10.803,91 123.077,42R$ -R$ 12.307,75R$ PB BOQUEIRÃO R$ 108.039,06 R$ 16.233,96 123.077,42R$ -R$ 18.493,63R$ PB BORBOREMA R$ 108.039,06 R$ 10.803,91 123.077,42R$ -R$ 12.307,75R$ PB BREJO DO CRUZ R$ 108.039,06 R$ 10.803,91 123.077,42R$ -R$ 12.307,75R$ PB BREJO DOS SANTOS R$ 108.039,06 R$ 10.803,91 123.077,42R$ -R$ 12.307,75R$ PB CAAPORÃ R$ 108.039,06 R$ 10.803,91 123.077,42R$ -R$ 12.307,75R$ PB CABACEIRAS R$ 108.039,06 R$ 10.803,91 123.077,42R$ -R$ 12.307,75R$ PB CABEDELO R$ 207.094,18 R$ 29.771,24 235.920,40R$ -R$ 33.915,21R$ PB CACHOEIRA DOS ÍNDIOS R$ 108.039,06 R$ 10.803,91 123.077,42R$ -R$ 12.307,75R$ PB CACIMBA DE AREIA R$ 108.039,06 R$ 10.803,91 123.077,42R$ -R$ 12.307,75R$ PB CACIMBA DE DENTRO R$ 108.039,06 R$ 10.803,91 123.077,42R$ -R$ 12.307,75R$ PB CACIMBAS R$ 108.039,06 R$ 10.803,91 123.077,42R$ -R$ 12.307,75R$ PB CAIÇARA R$ 108.039,06 R$ 10.803,91 123.077,42R$ -R$ 12.307,75R$ PB CAJAZEIRAS R$ 424.978,87 R$ 17.735,47 484.133,27R$ -R$ 20.204,14R$ PB CAJAZEIRINHAS R$ 108.039,06 R$ 10.803,91 123.077,42R$ -R$ 12.307,75R$ PB CALDAS BRANDÃO R$ 108.039,06 R$ 10.803,91 123.077,42R$ -R$ 12.307,75R$ PB CAMALAÚ R$ 108.039,06 R$ 10.803,91 123.077,42R$ -R$ 12.307,75R$ PB CAMPINA GRANDE SIM R$ 3.495.432,44 R$ 144.260,40 3.981.974,79R$ 1.592.789,91R$ 164.340,55R$ PB CAPIM R$ 108.039,06 R$ 10.803,91 123.077,42R$ -R$ 12.307,75R$ PB CARAÚBAS R$ 108.039,06 R$ 10.803,91 123.077,42R$ -R$ 12.307,75R$ PB CARRAPATEIRA R$ 108.039,06 R$ 10.803,91 123.077,42R$ -R$ 12.307,75R$ PB CASSERENGUE R$ 108.039,06 R$ 10.803,91 123.077,42R$ -R$ 12.307,75R$ PB CATINGUEIRA R$ 108.039,06 R$ 10.803,91 123.077,42R$ -R$ 12.307,75R$ PB CATOLÉ DO ROCHA R$ 108.039,06 R$ 10.803,91 123.077,42R$ -R$ 12.307,75R$ PB CATURITÉ R$ 108.039,06 R$ 10.803,91 123.077,42R$ -R$ 12.307,75R$ PB CONCEIÇÃO R$ 108.039,06 R$ 10.803,91 123.077,42R$ -R$ 12.307,75R$ PB CONDADO R$ 108.039,06 R$ 10.803,91 123.077,42R$ -R$ 12.307,75R$ PB CONDE R$ 209.429,38 R$ 10.803,91 238.580,64R$ -R$ 12.307,75R$ PB CONGO R$ 108.039,06 R$ 10.803,91 123.077,42R$ -R$ 12.307,75R$ PB COREMAS R$ 108.039,06 R$ 10.803,91 123.077,42R$ -R$ 12.307,75R$ PB COXIXOLA R$ 108.039,06 R$ 10.803,91 123.077,42R$ -R$ 12.307,75R$ PB CRUZ DO ESPÍRITO SANTO R$ 108.039,06 R$ 14.002,53 123.077,42R$ -R$ 15.951,59R$ PB CUBATI R$ 108.039,06 R$ 10.803,91 123.077,42R$ -R$ 12.307,75R$ PB CUITÉ R$ 178.293,92 R$ 17.492,69 203.111,32R$ -R$ 19.927,56R$ PB CUITÉ DE MAMANGUAPE R$ 108.039,06 R$ 10.803,91 123.077,42R$ -R$ 12.307,75R$ PB CUITEGI R$ 108.039,06 R$ 10.803,91 123.077,42R$ -R$ 12.307,75R$ PB CURRAL DE CIMA R$ 108.039,06 R$ 10.803,91 123.077,42R$ -R$ 12.307,75R$ PB CURRAL VELHO R$ 108.039,06 R$ 10.803,91 123.077,42R$ -R$ 12.307,75R$ PB DAMIÃO R$ 108.039,06 R$ 10.803,91 123.077,42R$ -R$ 12.307,75R$ PB DESTERRO R$ 108.039,06 R$ 10.803,91 123.077,42R$ -R$ 12.307,75R$ PB DIAMANTE R$ 108.039,06 R$ 10.803,91 123.077,42R$ -R$ 12.307,75R$ PB DONA INÊS R$ 108.039,06 R$ 10.803,91 123.077,42R$ -R$ 12.307,75R$ PB DUAS ESTRADAS R$ 108.039,06 R$ 10.803,91 123.077,42R$ -R$ 12.307,75R$ PB EMAS R$ 108.039,06 R$ 10.803,91 123.077,42R$ -R$ 12.307,75R$ PB ESPERANÇA R$ 265.040,71 R$ 10.803,91 301.932,72R$ -R$ 12.307,75R$ PB FAGUNDES R$ 108.039,06 R$ 18.065,63 123.077,42R$ -R$ 20.580,25R$ PB FREI MARTINHO R$ 108.039,06 R$ 10.803,91 123.077,42R$ -R$ 12.307,75R$ 40
  • 41.
    Tribunal Superior Eleitoral PREFEITO 1ºTURNO 1º TURNO 2º TURNO UF POSSIBILIDADE DE SEGUNDO TURNO VEREADORVEREADOR LIMITE DE GASTOS OBSERVADO O MÍNIMO LEGAL (R$ 100,000,00 PARA PREFEITO E R$ 10.000,00 PARA VEREADOR ) EM 2016*** LIMITE DE GASTOS 2020 (ATUALIZADO PELO IPCA DE JUNHO/2016 ATÉ JUNHO/2020*) PREFEITO MUNICÍPIO** PB GADO BRAVO R$ 108.039,06 R$ 10.803,91 123.077,42R$ -R$ 12.307,75R$ PB GUARABIRA R$ 327.145,06 R$ 31.038,72 372.681,61R$ -R$ 35.359,12R$ PB GURINHÉM R$ 108.039,06 R$ 10.803,91 123.077,42R$ -R$ 12.307,75R$ PB GURJÃO R$ 108.039,06 R$ 10.803,91 123.077,42R$ -R$ 12.307,75R$ PB IBIARA R$ 108.039,06 R$ 10.803,91 123.077,42R$ -R$ 12.307,75R$ PB IGARACY R$ 108.039,06 R$ 10.803,91 123.077,42R$ -R$ 12.307,75R$ PB IMACULADA R$ 108.039,06 R$ 10.803,91 123.077,42R$ -R$ 12.307,75R$ PB INGÁ R$ 108.039,06 R$ 10.803,91 123.077,42R$ -R$ 12.307,75R$ PB ITABAIANA R$ 108.039,06 R$ 16.609,53 123.077,42R$ -R$ 18.921,47R$ PB ITAPORANGA R$ 108.039,06 R$ 10.803,91 123.077,42R$ -R$ 12.307,75R$ PB ITAPOROROCA R$ 108.039,06 R$ 20.771,03 123.077,42R$ -R$ 23.662,23R$ PB ITATUBA R$ 108.039,06 R$ 10.803,91 123.077,42R$ -R$ 12.307,75R$ PB JACARAÚ R$ 108.039,06 R$ 10.803,91 123.077,42R$ -R$ 12.307,75R$ PB JERICÓ R$ 108.039,06 R$ 10.803,91 123.077,42R$ -R$ 12.307,75R$ PB JOÃO PESSOA SIM R$ 2.465.246,00 R$ 273.874,03 2.808.392,83R$ 1.123.357,13R$ 311.995,58R$ PB JOCA CLAUDINO R$ 108.039,06 R$ 10.803,91 123.077,42R$ -R$ 12.307,75R$ PB JUAREZ TÁVORA R$ 108.039,06 R$ 10.803,91 123.077,42R$ -R$ 12.307,75R$ PB JUAZEIRINHO R$ 108.039,06 R$ 10.803,91 123.077,42R$ -R$ 12.307,75R$ PB JUNCO DO SERIDÓ R$ 108.039,06 R$ 10.803,91 123.077,42R$ -R$ 12.307,75R$ PB JURIPIRANGA R$ 108.039,06 R$ 10.803,91 123.077,42R$ -R$ 12.307,75R$ PB JURU R$ 108.039,06 R$ 10.803,91 123.077,42R$ -R$ 12.307,75R$ PB LAGOA R$ 108.039,06 R$ 10.803,91 123.077,42R$ -R$ 12.307,75R$ PB LAGOA DE DENTRO R$ 108.039,06 R$ 10.803,91 123.077,42R$ -R$ 12.307,75R$ PB LAGOA SECA R$ 108.039,06 R$ 14.366,36 123.077,42R$ -R$ 16.366,07R$ PB LASTRO R$ 108.039,06 R$ 10.803,91 123.077,42R$ -R$ 12.307,75R$ PB LIVRAMENTO R$ 108.039,06 R$ 10.803,91 123.077,42R$ -R$ 12.307,75R$ PB LOGRADOURO R$ 108.039,06 R$ 10.803,91 123.077,42R$ -R$ 12.307,75R$ PB LUCENA R$ 108.039,06 R$ 10.803,91 123.077,42R$ -R$ 12.307,75R$ PB MÃE D'ÁGUA R$ 108.039,06 R$ 10.803,91 123.077,42R$ -R$ 12.307,75R$ PB MALTA R$ 108.039,06 R$ 10.803,91 123.077,42R$ -R$ 12.307,75R$ PB MAMANGUAPE R$ 144.759,66 R$ 17.223,89 164.909,30R$ -R$ 19.621,35R$ PB MANAÍRA R$ 108.039,06 R$ 10.803,91 123.077,42R$ -R$ 12.307,75R$ PB MARCAÇÃO R$ 108.039,06 R$ 10.803,91 123.077,42R$ -R$ 12.307,75R$ PB MARI R$ 108.039,06 R$ 10.803,91 123.077,42R$ -R$ 12.307,75R$ PB MARIZÓPOLIS R$ 108.039,06 R$ 10.803,91 123.077,42R$ -R$ 12.307,75R$ PB MASSARANDUBA R$ 149.114,41 R$ 10.803,91 169.870,20R$ -R$ 12.307,75R$ PB MATARACA R$ 108.039,06 R$ 10.803,91 123.077,42R$ -R$ 12.307,75R$ PB MATINHAS R$ 108.039,06 R$ 10.803,91 123.077,42R$ -R$ 12.307,75R$ PB MATO GROSSO R$ 108.039,06 R$ 10.803,91 123.077,42R$ -R$ 12.307,75R$ PB MATURÉIA R$ 108.039,06 R$ 10.803,91 123.077,42R$ -R$ 12.307,75R$ PB MOGEIRO R$ 108.039,06 R$ 10.803,91 123.077,42R$ -R$ 12.307,75R$ PB MONTADAS R$ 108.039,06 R$ 10.803,91 123.077,42R$ -R$ 12.307,75R$ PB MONTE HOREBE R$ 108.039,06 R$ 10.803,91 123.077,42R$ -R$ 12.307,75R$ PB MONTEIRO R$ 169.865,39 R$ 10.803,91 193.509,59R$ -R$ 12.307,75R$ PB MULUNGU R$ 108.039,06 R$ 10.803,91 123.077,42R$ -R$ 12.307,75R$ PB NATUBA R$ 108.039,06 R$ 10.803,91 123.077,42R$ -R$ 12.307,75R$ PB NAZAREZINHO R$ 108.039,06 R$ 10.803,91 123.077,42R$ -R$ 12.307,75R$ PB NOVA FLORESTA R$ 108.039,06 R$ 10.803,91 123.077,42R$ -R$ 12.307,75R$ PB NOVA OLINDA R$ 108.039,06 R$ 10.803,91 123.077,42R$ -R$ 12.307,75R$ PB NOVA PALMEIRA R$ 108.039,06 R$ 10.803,91 123.077,42R$ -R$ 12.307,75R$ PB OLHO D'ÁGUA R$ 108.039,06 R$ 10.803,91 123.077,42R$ -R$ 12.307,75R$ PB OLIVEDOS R$ 108.039,06 R$ 10.803,91 123.077,42R$ -R$ 12.307,75R$ PB OURO VELHO R$ 108.039,06 R$ 10.803,91 123.077,42R$ -R$ 12.307,75R$ PB PARARI R$ 108.039,06 R$ 10.803,91 123.077,42R$ -R$ 12.307,75R$ PB PASSAGEM R$ 108.039,06 R$ 10.803,91 123.077,42R$ -R$ 12.307,75R$ PB PATOS R$ 573.539,75 R$ 71.500,41 653.372,90R$ -R$ 81.452,82R$ PB PAULISTA R$ 108.039,06 R$ 10.803,91 123.077,42R$ -R$ 12.307,75R$ PB PEDRA BRANCA R$ 108.039,06 R$ 10.803,91 123.077,42R$ -R$ 12.307,75R$ PB PEDRA LAVRADA R$ 108.039,06 R$ 10.803,91 123.077,42R$ -R$ 12.307,75R$ PB PEDRAS DE FOGO R$ 280.958,52 R$ 10.803,91 320.066,19R$ -R$ 12.307,75R$ PB PEDRO RÉGIS R$ 108.039,06 R$ 10.803,91 123.077,42R$ -R$ 12.307,75R$ PB PIANCÓ R$ 108.039,06 R$ 10.803,91 123.077,42R$ -R$ 12.307,75R$ PB PICUÍ R$ 108.039,06 R$ 13.824,33 123.077,42R$ -R$ 15.748,59R$ PB PILAR R$ 419.478,18 R$ 14.392,31 477.866,92R$ -R$ 16.395,63R$ PB PILÕES R$ 108.039,06 R$ 10.803,91 123.077,42R$ -R$ 12.307,75R$ PB PILÕEZINHOS R$ 108.039,06 R$ 10.803,91 123.077,42R$ -R$ 12.307,75R$ 41
  • 42.
    Tribunal Superior Eleitoral PREFEITO 1ºTURNO 1º TURNO 2º TURNO UF POSSIBILIDADE DE SEGUNDO TURNO VEREADORVEREADOR LIMITE DE GASTOS OBSERVADO O MÍNIMO LEGAL (R$ 100,000,00 PARA PREFEITO E R$ 10.000,00 PARA VEREADOR ) EM 2016*** LIMITE DE GASTOS 2020 (ATUALIZADO PELO IPCA DE JUNHO/2016 ATÉ JUNHO/2020*) PREFEITO MUNICÍPIO** PB PIRPIRITUBA R$ 108.039,06 R$ 10.803,91 123.077,42R$ -R$ 12.307,75R$ PB PITIMBU R$ 108.039,06 R$ 10.803,91 123.077,42R$ -R$ 12.307,75R$ PB POCINHOS R$ 108.039,06 R$ 10.803,91 123.077,42R$ -R$ 12.307,75R$ PB POÇO DANTAS R$ 108.039,06 R$ 10.803,91 123.077,42R$ -R$ 12.307,75R$ PB POÇO DE JOSÉ DE MOURA R$ 108.039,06 R$ 10.803,91 123.077,42R$ -R$ 12.307,75R$ PB POMBAL R$ 138.529,82 R$ 10.803,91 157.812,30R$ -R$ 12.307,75R$ PB PRATA R$ 108.039,06 R$ 10.803,91 123.077,42R$ -R$ 12.307,75R$ PB PRINCESA ISABEL R$ 108.039,06 R$ 10.803,91 123.077,42R$ -R$ 12.307,75R$ PB PUXINANÃ R$ 108.039,06 R$ 22.662,28 123.077,42R$ -R$ 25.816,73R$ PB QUEIMADAS R$ 200.816,43 R$ 10.803,91 228.768,82R$ -R$ 12.307,75R$ PB QUIXABA R$ 108.039,06 R$ 10.803,91 123.077,42R$ -R$ 12.307,75R$ PB REMÍGIO R$ 165.881,35 R$ 13.434,60 188.971,00R$ -R$ 15.304,61R$ PB RIACHÃO R$ 108.039,06 R$ 10.803,91 123.077,42R$ -R$ 12.307,75R$ PB RIACHÃO DO BACAMARTE R$ 108.039,06 R$ 10.803,91 123.077,42R$ -R$ 12.307,75R$ PB RIACHÃO DO POÇO R$ 108.039,06 R$ 10.803,91 123.077,42R$ -R$ 12.307,75R$ PB RIACHO DE SANTO ANTÔNIO R$ 108.039,06 R$ 10.803,91 123.077,42R$ -R$ 12.307,75R$ PB RIACHO DOS CAVALOS R$ 548.761,96 R$ 10.803,91 625.146,19R$ -R$ 12.307,75R$ PB RIO TINTO R$ 108.039,06 R$ 10.803,91 123.077,42R$ -R$ 12.307,75R$ PB SALGADINHO R$ 108.039,06 R$ 10.803,91 123.077,42R$ -R$ 12.307,75R$ PB SALGADO DE SÃO FÉLIX R$ 108.039,06 R$ 10.803,91 123.077,42R$ -R$ 12.307,75R$ PB SANTA CECÍLIA R$ 108.039,06 R$ 10.803,91 123.077,42R$ -R$ 12.307,75R$ PB SANTA CRUZ R$ 108.039,06 R$ 10.803,91 123.077,42R$ -R$ 12.307,75R$ PB SANTA HELENA R$ 108.039,06 R$ 10.803,91 123.077,42R$ -R$ 12.307,75R$ PB SANTA INÊS R$ 108.039,06 R$ 10.803,91 123.077,42R$ -R$ 12.307,75R$ PB SANTA LUZIA R$ 108.039,06 R$ 21.757,55 123.077,42R$ -R$ 24.786,06R$ PB SANTA RITA R$ 319.830,14 R$ 21.632,42 364.348,50R$ -R$ 24.643,52R$ PB SANTA TERESINHA R$ 108.039,06 R$ 10.803,91 123.077,42R$ -R$ 12.307,75R$ PB SANTANA DE MANGUEIRA R$ 108.039,06 R$ 10.803,91 123.077,42R$ -R$ 12.307,75R$ PB SANTANA DOS GARROTES R$ 108.039,06 R$ 10.803,91 123.077,42R$ -R$ 12.307,75R$ PB SANTO ANDRÉ R$ 108.039,06 R$ 10.803,91 123.077,42R$ -R$ 12.307,75R$ PB SÃO BENTINHO R$ 108.039,06 R$ 10.803,91 123.077,42R$ -R$ 12.307,75R$ PB SÃO BENTO R$ 227.164,05 R$ 23.077,12 258.783,87R$ -R$ 26.289,31R$ PB SÃO DOMINGOS R$ 108.039,06 R$ 10.803,91 123.077,42R$ -R$ 12.307,75R$ PB SÃO DOMINGOS DO CARIRI R$ 108.039,06 R$ 10.803,91 123.077,42R$ -R$ 12.307,75R$ PB SÃO FRANCISCO R$ 108.039,06 R$ 10.803,91 123.077,42R$ -R$ 12.307,75R$ PB SÃO JOÃO DO CARIRI R$ 108.039,06 R$ 10.803,91 123.077,42R$ -R$ 12.307,75R$ PB SÃO JOÃO DO RIO DO PEIXE R$ 108.039,06 R$ 10.803,91 123.077,42R$ -R$ 12.307,75R$ PB SÃO JOÃO DO TIGRE R$ 170.602,55 R$ 10.803,91 194.349,36R$ -R$ 12.307,75R$ PB SÃO JOSÉ DA LAGOA TAPADA R$ 108.039,06 R$ 10.803,91 123.077,42R$ -R$ 12.307,75R$ PB SÃO JOSÉ DE CAIANA R$ 108.039,06 R$ 10.803,91 123.077,42R$ -R$ 12.307,75R$ PB SÃO JOSÉ DE ESPINHARAS R$ 108.039,06 R$ 10.803,91 123.077,42R$ -R$ 12.307,75R$ PB SÃO JOSÉ DE PIRANHAS R$ 108.039,06 R$ 10.803,91 123.077,42R$ -R$ 12.307,75R$ PB SÃO JOSÉ DE PRINCESA R$ 108.039,06 R$ 10.803,91 123.077,42R$ -R$ 12.307,75R$ PB SÃO JOSÉ DO BONFIM R$ 108.039,06 R$ 10.803,91 123.077,42R$ -R$ 12.307,75R$ PB SÃO JOSÉ DO BREJO DO CRUZ R$ 108.039,06 R$ 10.803,91 123.077,42R$ -R$ 12.307,75R$ PB SÃO JOSÉ DO SABUGI R$ 108.039,06 R$ 10.803,91 123.077,42R$ -R$ 12.307,75R$ PB SÃO JOSÉ DOS CORDEIROS R$ 108.039,06 R$ 10.803,91 123.077,42R$ -R$ 12.307,75R$ PB SÃO JOSÉ DOS RAMOS R$ 108.039,06 R$ 10.803,91 123.077,42R$ -R$ 12.307,75R$ PB SÃO MAMEDE R$ 108.039,06 R$ 10.803,91 123.077,42R$ -R$ 12.307,75R$ PB SÃO MIGUEL DE TAIPU R$ 108.039,06 R$ 10.803,91 123.077,42R$ -R$ 12.307,75R$ PB SÃO SEBASTIÃO DE LAGOA DE ROÇA R$ 108.039,06 R$ 10.803,91 123.077,42R$ -R$ 12.307,75R$ PB SÃO SEBASTIÃO DO UMBUZEIRO R$ 108.039,06 R$ 10.803,91 123.077,42R$ -R$ 12.307,75R$ PB SÃO VICENTE DO SERIDÓ R$ 108.039,06 R$ 10.803,91 123.077,42R$ -R$ 12.307,75R$ PB SAPÉ R$ 198.340,40 R$ 13.894,74 225.948,14R$ -R$ 15.828,80R$ PB SERRA BRANCA R$ 108.039,06 R$ 10.803,91 123.077,42R$ -R$ 12.307,75R$ PB SERRA DA RAIZ R$ 108.039,06 R$ 10.803,91 123.077,42R$ -R$ 12.307,75R$ PB SERRA GRANDE R$ 108.039,06 R$ 10.803,91 123.077,42R$ -R$ 12.307,75R$ PB SERRA REDONDA R$ 108.039,06 R$ 10.803,91 123.077,42R$ -R$ 12.307,75R$ PB SERRARIA R$ 108.039,06 R$ 10.803,91 123.077,42R$ -R$ 12.307,75R$ PB SERTÃOZINHO R$ 108.039,06 R$ 10.803,91 123.077,42R$ -R$ 12.307,75R$ PB SOBRADO R$ 108.039,06 R$ 10.803,91 123.077,42R$ -R$ 12.307,75R$ PB SOLÂNEA R$ 108.039,06 R$ 10.803,91 123.077,42R$ -R$ 12.307,75R$ PB SOLEDADE R$ 108.039,06 R$ 10.803,91 123.077,42R$ -R$ 12.307,75R$ PB SOSSÊGO R$ 108.039,06 R$ 10.803,91 123.077,42R$ -R$ 12.307,75R$ PB SOUSA R$ 338.606,69 R$ 53.336,02 385.738,62R$ -R$ 60.760,06R$ PB SUMÉ R$ 108.039,06 R$ 65.664,73 123.077,42R$ -R$ 74.804,85R$ 42
  • 43.
    Tribunal Superior Eleitoral PREFEITO 1ºTURNO 1º TURNO 2º TURNO UF POSSIBILIDADE DE SEGUNDO TURNO VEREADORVEREADOR LIMITE DE GASTOS OBSERVADO O MÍNIMO LEGAL (R$ 100,000,00 PARA PREFEITO E R$ 10.000,00 PARA VEREADOR ) EM 2016*** LIMITE DE GASTOS 2020 (ATUALIZADO PELO IPCA DE JUNHO/2016 ATÉ JUNHO/2020*) PREFEITO MUNICÍPIO** PB TACIMA R$ 108.039,06 R$ 17.284,63 123.077,42R$ -R$ 19.690,54R$ PB TAPEROÁ R$ 108.039,06 R$ 10.803,91 123.077,42R$ -R$ 12.307,75R$ PB TAVARES R$ 108.039,06 R$ 10.803,91 123.077,42R$ -R$ 12.307,75R$ PB TEIXEIRA R$ 108.039,06 R$ 10.803,91 123.077,42R$ -R$ 12.307,75R$ PB TENÓRIO R$ 108.039,06 R$ 10.803,91 123.077,42R$ -R$ 12.307,75R$ PB TRIUNFO R$ 108.039,06 R$ 10.803,91 123.077,42R$ -R$ 12.307,75R$ PB UIRAÚNA R$ 108.039,06 R$ 10.803,91 123.077,42R$ -R$ 12.307,75R$ PB UMBUZEIRO R$ 108.039,06 R$ 10.803,91 123.077,42R$ -R$ 12.307,75R$ PB VÁRZEA R$ 108.039,06 R$ 10.803,91 123.077,42R$ -R$ 12.307,75R$ PB VIEIRÓPOLIS R$ 108.039,06 R$ 10.803,91 123.077,42R$ -R$ 12.307,75R$ PB VISTA SERRANA R$ 108.039,06 R$ 10.803,91 123.077,42R$ -R$ 12.307,75R$ PB ZABELÊ R$ 108.039,06 R$ 10.803,91 123.077,42R$ -R$ 12.307,75R$ PE ABREU E LIMA R$ 220.265,66 R$ 25.046,79 250.925,26R$ -R$ 28.533,15R$ PE AFOGADOS DA INGAZEIRA R$ 245.570,92 R$ 16.853,92 279.752,86R$ -R$ 19.199,88R$ PE AFRÂNIO R$ 237.166,63 R$ 14.559,91 270.178,74R$ -R$ 16.586,56R$ PE AGRESTINA R$ 140.411,85 R$ 10.803,91 159.956,30R$ -R$ 12.307,75R$ PE ÁGUA PRETA R$ 233.927,68 R$ 10.803,91 266.488,95R$ -R$ 12.307,75R$ PE ÁGUAS BELAS R$ 451.873,23 R$ 42.490,59 514.771,16R$ -R$ 48.405,01R$ PE ALAGOINHA R$ 108.039,06 R$ 10.803,91 123.077,42R$ -R$ 12.307,75R$ PE ALIANÇA R$ 138.436,19 R$ 20.599,23 157.705,64R$ -R$ 23.466,51R$ PE ALTINHO R$ 162.857,52 R$ 10.803,91 185.526,27R$ -R$ 12.307,75R$ PE AMARAJI R$ 135.396,12 R$ 10.803,91 154.242,41R$ -R$ 12.307,75R$ PE ANGELIM R$ 108.039,06 R$ 10.803,91 123.077,42R$ -R$ 12.307,75R$ PE ARAÇOIABA R$ 108.039,06 R$ 10.803,91 123.077,42R$ -R$ 12.307,75R$ PE ARARIPINA R$ 235.601,53 R$ 35.393,22 268.395,79R$ -R$ 40.319,73R$ PE ARCOVERDE R$ 154.299,74 R$ 45.880,10 175.777,30R$ -R$ 52.266,32R$ PE BARRA DE GUABIRABA R$ 108.039,06 R$ 10.803,91 123.077,42R$ -R$ 12.307,75R$ PE BARREIROS R$ 258.480,96 R$ 10.803,91 294.459,89R$ -R$ 12.307,75R$ PE BELÉM DE MARIA R$ 108.039,06 R$ 10.803,91 123.077,42R$ -R$ 12.307,75R$ PE BELÉM DO SÃO FRANCISCO R$ 163.230,26 R$ 10.803,91 185.950,89R$ -R$ 12.307,75R$ PE BELO JARDIM R$ 240.747,53 R$ 26.521,13 274.258,08R$ -R$ 30.212,71R$ PE BETÂNIA R$ 108.039,06 R$ 10.803,91 123.077,42R$ -R$ 12.307,75R$ PE BEZERROS R$ 418.679,36 R$ 18.651,67 476.956,91R$ -R$ 21.247,87R$ PE BODOCÓ R$ 108.039,06 R$ 15.347,82 123.077,42R$ -R$ 17.484,14R$ PE BOM CONSELHO R$ 108.039,06 R$ 22.485,21 123.077,42R$ -R$ 25.615,01R$ PE BOM JARDIM R$ 239.981,03 R$ 35.608,58 273.384,89R$ -R$ 40.565,07R$ PE BONITO R$ 108.039,06 R$ 24.019,83 123.077,42R$ -R$ 27.363,24R$ PE BREJÃO R$ 108.039,06 R$ 10.803,91 123.077,42R$ -R$ 12.307,75R$ PE BREJINHO R$ 108.039,06 R$ 10.803,91 123.077,42R$ -R$ 12.307,75R$ PE BREJO DA MADRE DE DEUS R$ 282.702,97 R$ 29.659,92 322.053,46R$ -R$ 33.788,40R$ PE BUENOS AIRES R$ 163.230,92 R$ 10.803,91 185.951,64R$ -R$ 12.307,75R$ PE BUÍQUE R$ 172.003,57 R$ 14.981,26 195.945,39R$ -R$ 17.066,56R$ PE CABO DE SANTO AGOSTINHO R$ 689.470,66 R$ 96.474,36 785.440,67R$ -R$ 109.902,99R$ PE CABROBÓ R$ 108.039,06 R$ 17.529,48 123.077,42R$ -R$ 19.969,47R$ PE CACHOEIRINHA R$ 108.039,06 R$ 10.803,91 123.077,42R$ -R$ 12.307,75R$ PE CAETÉS R$ 108.039,06 R$ 23.408,22 123.077,42R$ -R$ 26.666,50R$ PE CALÇADO R$ 108.039,06 R$ 10.803,91 123.077,42R$ -R$ 12.307,75R$ PE CALUMBI R$ 108.039,06 R$ 10.803,91 123.077,42R$ -R$ 12.307,75R$ PE CAMARAGIBE R$ 449.339,45 R$ 21.221,89 511.884,69R$ -R$ 24.175,84R$ PE CAMOCIM DE SÃO FÉLIX R$ 165.121,56 R$ 24.084,49 188.105,45R$ -R$ 27.436,90R$ PE CAMUTANGA R$ 108.039,06 R$ 10.803,91 123.077,42R$ -R$ 12.307,75R$ PE CANHOTINHO R$ 143.258,28 R$ 10.803,91 163.198,94R$ -R$ 12.307,75R$ PE CAPOEIRAS R$ 108.039,06 R$ 10.803,91 123.077,42R$ -R$ 12.307,75R$ PE CARNAÍBA R$ 108.039,06 R$ 10.803,91 123.077,42R$ -R$ 12.307,75R$ PE CARNAUBEIRA DA PENHA R$ 108.039,06 R$ 10.803,91 123.077,42R$ -R$ 12.307,75R$ PE CARPINA R$ 397.934,36 R$ 43.851,08 453.324,34R$ -R$ 49.954,88R$ PE CARUARU SIM R$ 2.619.231,31 R$ 131.125,02 2.983.811,94R$ 1.193.524,77R$ 149.376,80R$ PE CASINHAS R$ 167.598,34 R$ 10.803,91 190.926,98R$ -R$ 12.307,75R$ PE CATENDE R$ 108.039,06 R$ 21.609,80 123.077,42R$ -R$ 24.617,75R$ PE CEDRO R$ 108.039,06 R$ 24.362,80 123.077,42R$ -R$ 27.753,95R$ PE CHÃ DE ALEGRIA R$ 108.039,06 R$ 13.681,25 123.077,42R$ -R$ 15.585,59R$ PE CHÃ GRANDE R$ 188.632,77 R$ 37.453,15 214.889,27R$ -R$ 42.666,39R$ PE CONDADO R$ 210.107,72 R$ 15.646,05 239.353,40R$ -R$ 17.823,88R$ PE CORRENTES R$ 108.039,06 R$ 10.803,91 123.077,42R$ -R$ 12.307,75R$ PE CORTÊS R$ 153.557,90 R$ 10.803,91 174.932,20R$ -R$ 12.307,75R$ PE CUMARU R$ 190.947,31 R$ 46.624,95 217.525,98R$ -R$ 53.114,85R$ 43
  • 44.
    Tribunal Superior Eleitoral PREFEITO 1ºTURNO 1º TURNO 2º TURNO UF POSSIBILIDADE DE SEGUNDO TURNO VEREADORVEREADOR LIMITE DE GASTOS OBSERVADO O MÍNIMO LEGAL (R$ 100,000,00 PARA PREFEITO E R$ 10.000,00 PARA VEREADOR ) EM 2016*** LIMITE DE GASTOS 2020 (ATUALIZADO PELO IPCA DE JUNHO/2016 ATÉ JUNHO/2020*) PREFEITO MUNICÍPIO** PE CUPIRA R$ 108.039,06 R$ 15.777,14 123.077,42R$ -R$ 17.973,22R$ PE CUSTÓDIA R$ 108.039,06 R$ 10.803,91 123.077,42R$ -R$ 12.307,75R$ PE DORMENTES R$ 203.108,57 R$ 16.678,93 231.380,01R$ -R$ 19.000,53R$ PE ESCADA R$ 196.160,85 R$ 10.803,91 223.465,21R$ -R$ 12.307,75R$ PE EXU R$ 108.039,06 R$ 10.803,91 123.077,42R$ -R$ 12.307,75R$ PE FEIRA NOVA R$ 137.921,21 R$ 26.404,47 157.118,98R$ -R$ 30.079,81R$ PE FERREIROS R$ 214.168,79 R$ 21.927,55 243.979,75R$ -R$ 24.979,73R$ PE FLORES R$ 108.039,06 R$ 10.803,91 123.077,42R$ -R$ 12.307,75R$ PE FLORESTA R$ 108.039,06 R$ 16.235,43 123.077,42R$ -R$ 18.495,30R$ PE FREI MIGUELINHO R$ 108.039,06 R$ 10.803,91 123.077,42R$ -R$ 12.307,75R$ PE GAMELEIRA R$ 108.039,06 R$ 10.803,91 123.077,42R$ -R$ 12.307,75R$ PE GARANHUNS R$ 261.235,70 R$ 22.711,20 297.598,08R$ -R$ 25.872,46R$ PE GLÓRIA DO GOITÁ R$ 108.039,06 R$ 10.803,91 123.077,42R$ -R$ 12.307,75R$ PE GOIANA R$ 365.802,12 R$ 53.461,54 416.719,49R$ -R$ 60.903,05R$ PE GRANITO R$ 108.039,06 R$ 10.803,91 123.077,42R$ -R$ 12.307,75R$ PE GRAVATÁ R$ 225.039,48 R$ 118.164,68 256.363,57R$ -R$ 134.612,46R$ PE IATI R$ 156.179,62 R$ 10.803,91 177.918,85R$ -R$ 12.307,75R$ PE IBIMIRIM R$ 108.039,06 R$ 10.803,91 123.077,42R$ -R$ 12.307,75R$ PE IBIRAJUBA R$ 177.815,39 R$ 10.803,91 202.566,18R$ -R$ 12.307,75R$ PE IGARASSU R$ 170.839,72 R$ 34.644,16 194.619,54R$ -R$ 39.466,41R$ PE IGUARACY R$ 108.039,06 R$ 10.803,91 123.077,42R$ -R$ 12.307,75R$ PE ILHA DE ITAMARACÁ R$ 108.039,06 R$ 26.067,79 123.077,42R$ -R$ 29.696,26R$ PE INAJÁ R$ 286.479,12 R$ 10.803,91 326.355,22R$ -R$ 12.307,75R$ PE INGAZEIRA R$ 108.039,06 R$ 10.803,91 123.077,42R$ -R$ 12.307,75R$ PE IPOJUCA R$ 1.796.009,44 R$ 93.576,69 2.046.002,73R$ -R$ 106.601,98R$ PE IPUBI R$ 189.870,34 R$ 23.077,05 216.299,10R$ -R$ 26.289,23R$ PE ITACURUBA R$ 108.039,06 R$ 10.803,91 123.077,42R$ -R$ 12.307,75R$ PE ITAÍBA R$ 250.932,01 R$ 10.803,91 285.860,18R$ -R$ 12.307,75R$ PE ITAMBÉ R$ 178.712,72 R$ 16.223,02 203.588,41R$ -R$ 18.481,16R$ PE ITAPETIM R$ 108.039,06 R$ 10.803,91 123.077,42R$ -R$ 12.307,75R$ PE ITAPISSUMA R$ 108.039,06 R$ 17.420,39 123.077,42R$ -R$ 19.845,20R$ PE ITAQUITINGA R$ 108.039,06 R$ 10.803,91 123.077,42R$ -R$ 12.307,75R$ PE JABOATÃO DOS GUARARAPES SIM R$ 1.114.168,41 R$ 121.699,88 1.269.253,69R$ 507.701,48R$ 138.639,74R$ PE JAQUEIRA R$ 108.039,06 R$ 10.803,91 123.077,42R$ -R$ 12.307,75R$ PE JATAÚBA R$ 108.039,06 R$ 10.803,91 123.077,42R$ -R$ 12.307,75R$ PE JATOBÁ R$ 108.039,06 R$ 10.803,91 123.077,42R$ -R$ 12.307,75R$ PE JOÃO ALFREDO R$ 108.039,06 R$ 19.765,90 123.077,42R$ -R$ 22.517,19R$ PE JOAQUIM NABUCO R$ 135.362,23 R$ 10.803,91 154.203,81R$ -R$ 12.307,75R$ PE JUCATI R$ 108.039,06 R$ 10.803,91 123.077,42R$ -R$ 12.307,75R$ PE JUPI R$ 108.039,06 R$ 10.803,91 123.077,42R$ -R$ 12.307,75R$ PE JUREMA R$ 108.039,06 R$ 10.803,91 123.077,42R$ -R$ 12.307,75R$ PE LAGOA DE ITAENGA R$ 395.130,69 R$ 10.803,91 450.130,41R$ -R$ 12.307,75R$ PE LAGOA DO CARRO R$ 159.931,06 R$ 10.803,91 182.192,46R$ -R$ 12.307,75R$ PE LAGOA DO OURO R$ 108.039,06 R$ 21.317,26 123.077,42R$ -R$ 24.284,49R$ PE LAGOA DOS GATOS R$ 108.039,06 R$ 10.803,91 123.077,42R$ -R$ 12.307,75R$ PE LAGOA GRANDE R$ 108.039,06 R$ 10.803,91 123.077,42R$ -R$ 12.307,75R$ PE LAJEDO R$ 108.039,06 R$ 16.722,83 123.077,42R$ -R$ 19.050,54R$ PE LIMOEIRO R$ 408.789,80 R$ 23.936,47 465.690,78R$ -R$ 27.268,28R$ PE MACAPARANA R$ 108.039,06 R$ 10.803,91 123.077,42R$ -R$ 12.307,75R$ PE MACHADOS R$ 108.039,06 R$ 10.803,91 123.077,42R$ -R$ 12.307,75R$ PE MANARI R$ 141.325,70 R$ 15.524,33 160.997,35R$ -R$ 17.685,22R$ PE MARAIAL R$ 108.039,06 R$ 10.803,91 123.077,42R$ -R$ 12.307,75R$ PE MIRANDIBA R$ 108.039,06 R$ 10.803,91 123.077,42R$ -R$ 12.307,75R$ PE MOREILÂNDIA R$ 108.039,06 R$ 10.803,91 123.077,42R$ -R$ 12.307,75R$ PE MORENO R$ 242.302,06 R$ 24.672,26 276.028,99R$ -R$ 28.106,48R$ PE NAZARÉ DA MATA R$ 108.039,06 R$ 27.458,32 123.077,42R$ -R$ 31.280,35R$ PE OLINDA SIM R$ 1.270.350,41 R$ 92.509,27 1.447.175,25R$ 578.870,10R$ 105.385,98R$ PE OROBÓ R$ 227.320,94 R$ 10.803,91 258.962,59R$ -R$ 12.307,75R$ PE OROCÓ R$ 108.039,06 R$ 10.803,91 123.077,42R$ -R$ 12.307,75R$ PE OURICURI R$ 247.135,59 R$ 22.928,82 281.535,32R$ -R$ 26.120,37R$ PE PALMARES R$ 370.786,15 R$ 23.408,22 422.397,26R$ -R$ 26.666,50R$ PE PALMEIRINA R$ 108.039,06 R$ 10.803,91 123.077,42R$ -R$ 12.307,75R$ PE PANELAS R$ 108.039,06 R$ 10.803,91 123.077,42R$ -R$ 12.307,75R$ PE PARANATAMA R$ 108.039,06 R$ 10.803,91 123.077,42R$ -R$ 12.307,75R$ PE PARNAMIRIM R$ 150.105,50 R$ 10.803,91 170.999,25R$ -R$ 12.307,75R$ PE PASSIRA R$ 108.039,06 R$ 10.803,91 123.077,42R$ -R$ 12.307,75R$ 44
  • 45.
    Tribunal Superior Eleitoral PREFEITO 1ºTURNO 1º TURNO 2º TURNO UF POSSIBILIDADE DE SEGUNDO TURNO VEREADORVEREADOR LIMITE DE GASTOS OBSERVADO O MÍNIMO LEGAL (R$ 100,000,00 PARA PREFEITO E R$ 10.000,00 PARA VEREADOR ) EM 2016*** LIMITE DE GASTOS 2020 (ATUALIZADO PELO IPCA DE JUNHO/2016 ATÉ JUNHO/2020*) PREFEITO MUNICÍPIO** PE PAUDALHO R$ 170.130,92 R$ 15.664,78 193.812,08R$ -R$ 17.845,22R$ PE PAULISTA SIM R$ 1.043.246,02 R$ 49.043,73 1.188.459,34R$ 475.383,74R$ 55.870,31R$ PE PEDRA R$ 108.039,06 R$ 10.803,91 123.077,42R$ -R$ 12.307,75R$ PE PESQUEIRA R$ 163.857,52 R$ 20.258,14 186.665,46R$ -R$ 23.077,95R$ PE PETROLÂNDIA R$ 108.039,06 R$ 10.803,91 123.077,42R$ -R$ 12.307,75R$ PE PETROLINA SIM R$ 2.054.481,63 R$ 115.185,43 2.340.452,63R$ 936.181,05R$ 131.218,52R$ PE POÇÃO R$ 108.039,06 R$ 10.803,91 123.077,42R$ -R$ 12.307,75R$ PE POMBOS R$ 108.039,06 R$ 10.803,91 123.077,42R$ -R$ 12.307,75R$ PE PRIMAVERA R$ 108.039,06 R$ 10.803,91 123.077,42R$ -R$ 12.307,75R$ PE QUIPAPÁ R$ 398.793,13 R$ 45.247,15 454.302,64R$ -R$ 51.545,27R$ PE QUIXABA R$ 108.039,06 R$ 10.803,91 123.077,42R$ -R$ 12.307,75R$ PE RECIFE SIM R$ 6.607.443,14 R$ 887.601,12 7.527.157,92R$ 3.010.863,17R$ 1.011.149,65R$ PE RIACHO DAS ALMAS R$ 203.557,85 R$ 18.101,11 231.891,83R$ -R$ 20.620,67R$ PE RIBEIRÃO R$ 158.057,68 R$ 10.803,91 180.058,32R$ -R$ 12.307,75R$ PE RIO FORMOSO R$ 108.039,06 R$ 26.181,89 123.077,42R$ -R$ 29.826,25R$ PE SAIRÉ R$ 159.783,88 R$ 18.256,07 182.024,80R$ -R$ 20.797,20R$ PE SALGADINHO R$ 108.039,06 R$ 10.803,91 123.077,42R$ -R$ 12.307,75R$ PE SALGUEIRO R$ 249.831,21 R$ 26.385,74 284.606,15R$ -R$ 30.058,47R$ PE SALOÁ R$ 108.039,06 R$ 10.803,91 123.077,42R$ -R$ 12.307,75R$ PE SANHARÓ R$ 108.039,06 R$ 10.803,91 123.077,42R$ -R$ 12.307,75R$ PE SANTA CRUZ R$ 108.039,06 R$ 16.670,70 123.077,42R$ -R$ 18.991,16R$ PE SANTA CRUZ DA BAIXA VERDE R$ 108.039,06 R$ 10.803,91 123.077,42R$ -R$ 12.307,75R$ PE SANTA CRUZ DO CAPIBARIBE R$ 499.063,17 R$ 37.914,76 568.529,64R$ -R$ 43.192,26R$ PE SANTA FILOMENA R$ 108.039,06 R$ 10.803,91 123.077,42R$ -R$ 12.307,75R$ PE SANTA MARIA DA BOA VISTA R$ 228.923,01 R$ 28.823,99 260.787,66R$ -R$ 32.836,11R$ PE SANTA MARIA DO CAMBUCÁ R$ 108.039,06 R$ 10.803,91 123.077,42R$ -R$ 12.307,75R$ PE SANTA TEREZINHA R$ 108.039,06 R$ 10.803,91 123.077,42R$ -R$ 12.307,75R$ PE SÃO BENEDITO DO SUL R$ 108.039,06 R$ 10.803,91 123.077,42R$ -R$ 12.307,75R$ PE SÃO BENTO DO UNA R$ 469.202,02 R$ 15.121,71 534.512,01R$ -R$ 17.226,56R$ PE SÃO CAITANO R$ 264.130,37 R$ 36.401,85 300.895,67R$ -R$ 41.468,76R$ PE SÃO JOÃO R$ 108.039,06 R$ 10.803,91 123.077,42R$ -R$ 12.307,75R$ PE SÃO JOAQUIM DO MONTE R$ 153.246,02 R$ 10.803,91 174.576,91R$ -R$ 12.307,75R$ PE SÃO JOSÉ DA COROA GRANDE R$ 140.196,49 R$ 10.803,91 159.710,97R$ -R$ 12.307,75R$ PE SÃO JOSÉ DO BELMONTE R$ 189.975,47 R$ 18.913,84 216.418,87R$ -R$ 21.546,53R$ PE SÃO JOSÉ DO EGITO R$ 155.285,40 R$ 18.268,48 176.900,16R$ -R$ 20.811,34R$ PE SÃO LOURENÇO DA MATA R$ 369.401,84 R$ 15.819,27 420.820,27R$ -R$ 18.021,21R$ PE SÃO VICENTE FÉRRER R$ 149.812,59 R$ 10.803,91 170.665,57R$ -R$ 12.307,75R$ PE SERRA TALHADA R$ 270.409,87 R$ 30.685,60 308.049,23R$ -R$ 34.956,84R$ PE SERRITA R$ 108.039,06 R$ 10.803,91 123.077,42R$ -R$ 12.307,75R$ PE SERTÂNIA R$ 242.558,29 R$ 15.580,51 276.320,89R$ -R$ 17.749,22R$ PE SIRINHAÉM R$ 160.112,20 R$ 13.402,46 182.398,82R$ -R$ 15.268,00R$ PE SOLIDÃO R$ 108.039,06 R$ 10.803,91 123.077,42R$ -R$ 12.307,75R$ PE SURUBIM R$ 230.699,04 R$ 16.940,34 262.810,90R$ -R$ 19.298,33R$ PE TABIRA R$ 108.039,06 R$ 10.803,91 123.077,42R$ -R$ 12.307,75R$ PE TACAIMBÓ R$ 108.039,06 R$ 10.803,91 123.077,42R$ -R$ 12.307,75R$ PE TACARATU R$ 108.039,06 R$ 10.803,91 123.077,42R$ -R$ 12.307,75R$ PE TAMANDARÉ R$ 108.039,06 R$ 10.803,91 123.077,42R$ -R$ 12.307,75R$ PE TAQUARITINGA DO NORTE R$ 156.788,23 R$ 19.739,68 178.612,17R$ -R$ 22.487,32R$ PE TEREZINHA R$ 108.039,06 R$ 10.803,91 123.077,42R$ -R$ 12.307,75R$ PE TERRA NOVA R$ 108.039,06 R$ 10.803,91 123.077,42R$ -R$ 12.307,75R$ PE TIMBAÚBA R$ 486.007,66 R$ 40.190,97 553.656,89R$ -R$ 45.785,30R$ PE TORITAMA R$ 177.005,82 R$ 10.803,91 201.643,92R$ -R$ 12.307,75R$ PE TRACUNHAÉM R$ 108.039,06 R$ 10.803,91 123.077,42R$ -R$ 12.307,75R$ PE TRINDADE R$ 108.039,06 R$ 10.803,91 123.077,42R$ -R$ 12.307,75R$ PE TRIUNFO R$ 108.039,06 R$ 10.803,91 123.077,42R$ -R$ 12.307,75R$ PE TUPANATINGA R$ 180.243,27 R$ 34.269,62 205.332,01R$ -R$ 39.039,74R$ PE TUPARETAMA R$ 108.039,06 R$ 10.803,91 123.077,42R$ -R$ 12.307,75R$ PE VENTUROSA R$ 108.039,06 R$ 10.803,91 123.077,42R$ -R$ 12.307,75R$ PE VERDEJANTE R$ 108.039,06 R$ 10.803,91 123.077,42R$ -R$ 12.307,75R$ PE VERTENTE DO LÉRIO R$ 108.039,06 R$ 10.803,91 123.077,42R$ -R$ 12.307,75R$ PE VERTENTES R$ 108.039,06 R$ 20.599,23 123.077,42R$ -R$ 23.466,51R$ PE VICÊNCIA R$ 178.475,95 R$ 25.096,50 203.318,69R$ -R$ 28.589,78R$ PE VITÓRIA DE SANTO ANTÃO R$ 524.181,31 R$ 31.540,23 597.144,07R$ -R$ 35.930,43R$ PE XEXÉU R$ 108.039,06 R$ 10.803,91 123.077,42R$ -R$ 12.307,75R$ PI ACAUÃ R$ 108.039,06 R$ 14.872,64 123.077,42R$ -R$ 16.942,82R$ PI AGRICOLÂNDIA R$ 108.039,06 R$ 34.367,58 123.077,42R$ -R$ 39.151,33R$ 45
  • 46.
    Tribunal Superior Eleitoral PREFEITO 1ºTURNO 1º TURNO 2º TURNO UF POSSIBILIDADE DE SEGUNDO TURNO VEREADORVEREADOR LIMITE DE GASTOS OBSERVADO O MÍNIMO LEGAL (R$ 100,000,00 PARA PREFEITO E R$ 10.000,00 PARA VEREADOR ) EM 2016*** LIMITE DE GASTOS 2020 (ATUALIZADO PELO IPCA DE JUNHO/2016 ATÉ JUNHO/2020*) PREFEITO MUNICÍPIO** PI ÁGUA BRANCA R$ 108.039,06 R$ 23.125,78 123.077,42R$ -R$ 26.344,74R$ PI ALAGOINHA DO PIAUÍ R$ 108.039,06 R$ 10.803,91 123.077,42R$ -R$ 12.307,75R$ PI ALEGRETE DO PIAUÍ R$ 108.039,06 R$ 10.803,91 123.077,42R$ -R$ 12.307,75R$ PI ALTO LONGÁ R$ 108.039,06 R$ 54.569,23 123.077,42R$ -R$ 62.164,93R$ PI ALTOS R$ 206.976,81 R$ 111.219,61 235.786,69R$ -R$ 126.700,68R$ PI ALVORADA DO GURGUÉIA R$ 108.039,06 R$ 10.803,91 123.077,42R$ -R$ 12.307,75R$ PI AMARANTE R$ 108.039,06 R$ 19.416,42 123.077,42R$ -R$ 22.119,06R$ PI ANGICAL DO PIAUÍ R$ 133.913,72 R$ 26.330,40 152.553,67R$ -R$ 29.995,43R$ PI ANÍSIO DE ABREU R$ 108.039,06 R$ 10.803,91 123.077,42R$ -R$ 12.307,75R$ PI ANTÔNIO ALMEIDA R$ 108.039,06 R$ 10.803,91 123.077,42R$ -R$ 12.307,75R$ PI AROAZES R$ 108.039,06 R$ 20.095,26 123.077,42R$ -R$ 22.892,39R$ PI AROEIRAS DO ITAIM R$ 108.039,06 R$ 10.803,91 123.077,42R$ -R$ 12.307,75R$ PI ARRAIAL R$ 108.039,06 R$ 19.851,88 123.077,42R$ -R$ 22.615,14R$ PI ASSUNÇÃO DO PIAUÍ R$ 108.039,06 R$ 29.930,36 123.077,42R$ -R$ 34.096,48R$ PI AVELINO LOPES R$ 108.039,06 R$ 16.844,53 123.077,42R$ -R$ 19.189,18R$ PI BAIXA GRANDE DO RIBEIRO R$ 137.573,37 R$ 20.533,69 156.722,72R$ -R$ 23.391,85R$ PI BARRA D'ALCÂNTARA R$ 108.039,06 R$ 10.803,91 123.077,42R$ -R$ 12.307,75R$ PI BARRAS R$ 250.566,34 R$ 46.752,27 285.443,61R$ -R$ 53.259,89R$ PI BARREIRAS DO PIAUÍ R$ 108.039,06 R$ 10.803,91 123.077,42R$ -R$ 12.307,75R$ PI BARRO DURO R$ 108.039,06 R$ 10.803,91 123.077,42R$ -R$ 12.307,75R$ PI BATALHA R$ 108.039,06 R$ 24.286,96 123.077,42R$ -R$ 27.667,55R$ PI BELA VISTA DO PIAUÍ R$ 108.039,06 R$ 10.803,91 123.077,42R$ -R$ 12.307,75R$ PI BELÉM DO PIAUÍ R$ 108.039,06 R$ 10.803,91 123.077,42R$ -R$ 12.307,75R$ PI BENEDITINOS R$ 108.039,06 R$ 53.428,44 123.077,42R$ -R$ 60.865,34R$ PI BERTOLÍNIA R$ 108.039,06 R$ 10.803,91 123.077,42R$ -R$ 12.307,75R$ PI BETÂNIA DO PIAUÍ R$ 108.039,06 R$ 15.164,48 123.077,42R$ -R$ 17.275,28R$ PI BOA HORA R$ 108.039,06 R$ 21.696,61 123.077,42R$ -R$ 24.716,64R$ PI BOCAINA R$ 108.039,06 R$ 14.220,38 123.077,42R$ -R$ 16.199,77R$ PI BOM JESUS R$ 192.070,84 R$ 10.803,91 218.805,90R$ -R$ 12.307,75R$ PI BOM PRINCÍPIO DO PIAUÍ R$ 108.039,06 R$ 10.803,91 123.077,42R$ -R$ 12.307,75R$ PI BONFIM DO PIAUÍ R$ 108.039,06 R$ 13.409,72 123.077,42R$ -R$ 15.276,27R$ PI BOQUEIRÃO DO PIAUÍ R$ 108.039,06 R$ 10.803,91 123.077,42R$ -R$ 12.307,75R$ PI BRASILEIRA R$ 108.039,06 R$ 10.803,91 123.077,42R$ -R$ 12.307,75R$ PI BREJO DO PIAUÍ R$ 108.039,06 R$ 10.803,91 123.077,42R$ -R$ 12.307,75R$ PI BURITI DOS LOPES R$ 108.039,06 R$ 38.708,27 123.077,42R$ -R$ 44.096,22R$ PI BURITI DOS MONTES R$ 108.039,06 R$ 14.797,74 123.077,42R$ -R$ 16.857,49R$ PI CABECEIRAS DO PIAUÍ R$ 143.172,13 R$ 26.552,84 163.100,80R$ -R$ 30.248,83R$ PI CAJAZEIRAS DO PIAUÍ R$ 108.039,06 R$ 10.803,91 123.077,42R$ -R$ 12.307,75R$ PI CAJUEIRO DA PRAIA R$ 108.039,06 R$ 16.637,62 123.077,42R$ -R$ 18.953,47R$ PI CALDEIRÃO GRANDE DO PIAUÍ R$ 108.039,06 R$ 10.803,91 123.077,42R$ -R$ 12.307,75R$ PI CAMPINAS DO PIAUÍ R$ 108.039,06 R$ 10.803,91 123.077,42R$ -R$ 12.307,75R$ PI CAMPO ALEGRE DO FIDALGO R$ 108.039,06 R$ 13.623,58 123.077,42R$ -R$ 15.519,90R$ PI CAMPO GRANDE DO PIAUÍ R$ 146.337,78 R$ 10.803,91 166.707,08R$ -R$ 12.307,75R$ PI CAMPO LARGO DO PIAUÍ R$ 108.039,06 R$ 23.581,57 123.077,42R$ -R$ 26.863,98R$ PI CAMPO MAIOR R$ 239.061,63 R$ 26.656,27 272.337,51R$ -R$ 30.366,66R$ PI CANAVIEIRA R$ 108.039,06 R$ 14.438,75 123.077,42R$ -R$ 16.448,53R$ PI CANTO DO BURITI R$ 108.039,06 R$ 10.803,91 123.077,42R$ -R$ 12.307,75R$ PI CAPITÃO DE CAMPOS R$ 108.039,06 R$ 10.803,91 123.077,42R$ -R$ 12.307,75R$ PI CAPITÃO GERVÁSIO OLIVEIRA R$ 108.039,06 R$ 10.803,91 123.077,42R$ -R$ 12.307,75R$ PI CARACOL R$ 108.039,06 R$ 13.576,77 123.077,42R$ -R$ 15.466,57R$ PI CARAÚBAS DO PIAUÍ R$ 108.039,06 R$ 16.204,84 123.077,42R$ -R$ 18.460,45R$ PI CARIDADE DO PIAUÍ R$ 108.039,06 R$ 10.803,91 123.077,42R$ -R$ 12.307,75R$ PI CASTELO DO PIAUÍ R$ 108.039,06 R$ 26.008,40 123.077,42R$ -R$ 29.628,61R$ PI CAXINGÓ R$ 108.039,06 R$ 10.803,91 123.077,42R$ -R$ 12.307,75R$ PI COCAL R$ 108.039,06 R$ 14.362,55 123.077,42R$ -R$ 16.361,73R$ PI COCAL DE TELHA R$ 108.039,06 R$ 10.803,91 123.077,42R$ -R$ 12.307,75R$ PI COCAL DOS ALVES R$ 108.039,06 R$ 10.803,91 123.077,42R$ -R$ 12.307,75R$ PI COIVARAS R$ 108.039,06 R$ 18.540,54 123.077,42R$ -R$ 21.121,27R$ PI COLÔNIA DO GURGUÉIA R$ 108.039,06 R$ 21.014,14 123.077,42R$ -R$ 23.939,18R$ PI COLÔNIA DO PIAUÍ R$ 108.039,06 R$ 10.803,91 123.077,42R$ -R$ 12.307,75R$ PI CONCEIÇÃO DO CANINDÉ R$ 108.039,06 R$ 10.803,91 123.077,42R$ -R$ 12.307,75R$ PI CORONEL JOSÉ DIAS R$ 108.039,06 R$ 10.803,91 123.077,42R$ -R$ 12.307,75R$ PI CORRENTE R$ 311.549,92 R$ 26.656,34 354.915,72R$ -R$ 30.366,74R$ PI CRISTALÂNDIA DO PIAUÍ R$ 108.039,06 R$ 15.827,57 123.077,42R$ -R$ 18.030,67R$ PI CRISTINO CASTRO R$ 108.039,06 R$ 10.803,91 123.077,42R$ -R$ 12.307,75R$ PI CURIMATÁ R$ 108.039,06 R$ 18.889,96 123.077,42R$ -R$ 21.519,32R$ 46
  • 47.
    Tribunal Superior Eleitoral PREFEITO 1ºTURNO 1º TURNO 2º TURNO UF POSSIBILIDADE DE SEGUNDO TURNO VEREADORVEREADOR LIMITE DE GASTOS OBSERVADO O MÍNIMO LEGAL (R$ 100,000,00 PARA PREFEITO E R$ 10.000,00 PARA VEREADOR ) EM 2016*** LIMITE DE GASTOS 2020 (ATUALIZADO PELO IPCA DE JUNHO/2016 ATÉ JUNHO/2020*) PREFEITO MUNICÍPIO** PI CURRAIS R$ 108.039,06 R$ 10.803,91 123.077,42R$ -R$ 12.307,75R$ PI CURRAL NOVO DO PIAUÍ R$ 108.039,06 R$ 10.803,91 123.077,42R$ -R$ 12.307,75R$ PI CURRALINHOS R$ 108.039,06 R$ 24.200,73 123.077,42R$ -R$ 27.569,32R$ PI DEMERVAL LOBÃO R$ 304.141,40 R$ 22.469,13 346.475,98R$ -R$ 25.596,69R$ PI DIRCEU ARCOVERDE R$ 108.039,06 R$ 10.803,91 123.077,42R$ -R$ 12.307,75R$ PI DOM EXPEDITO LOPES R$ 108.039,06 R$ 13.400,23 123.077,42R$ -R$ 15.265,46R$ PI DOM INOCÊNCIO R$ 108.039,06 R$ 10.803,91 123.077,42R$ -R$ 12.307,75R$ PI DOMINGOS MOURÃO R$ 108.039,06 R$ 10.803,91 123.077,42R$ -R$ 12.307,75R$ PI ELESBÃO VELOSO R$ 108.039,06 R$ 33.856,77 123.077,42R$ -R$ 38.569,42R$ PI ELISEU MARTINS R$ 108.039,06 R$ 10.803,91 123.077,42R$ -R$ 12.307,75R$ PI ESPERANTINA R$ 280.135,36 R$ 36.293,98 319.128,45R$ -R$ 41.345,88R$ PI FARTURA DO PIAUÍ R$ 108.039,06 R$ 10.803,91 123.077,42R$ -R$ 12.307,75R$ PI FLORES DO PIAUÍ R$ 108.039,06 R$ 10.803,91 123.077,42R$ -R$ 12.307,75R$ PI FLORESTA DO PIAUÍ R$ 108.039,06 R$ 10.803,91 123.077,42R$ -R$ 12.307,75R$ PI FLORIANO R$ 359.811,31 R$ 142.952,00 409.894,80R$ -R$ 162.850,02R$ PI FRANCINÓPOLIS R$ 108.039,06 R$ 10.803,91 123.077,42R$ -R$ 12.307,75R$ PI FRANCISCO AYRES R$ 108.039,06 R$ 18.289,40 123.077,42R$ -R$ 20.835,17R$ PI FRANCISCO MACEDO R$ 108.039,06 R$ 10.803,91 123.077,42R$ -R$ 12.307,75R$ PI FRANCISCO SANTOS R$ 108.039,06 R$ 18.171,33 123.077,42R$ -R$ 20.700,67R$ PI FRONTEIRAS R$ 108.039,06 R$ 18.650,73 123.077,42R$ -R$ 21.246,80R$ PI GEMINIANO R$ 108.039,06 R$ 17.714,42 123.077,42R$ -R$ 20.180,16R$ PI GILBUÉS R$ 108.039,06 R$ 10.803,91 123.077,42R$ -R$ 12.307,75R$ PI GUADALUPE R$ 209.442,68 R$ 26.849,01 238.595,79R$ -R$ 30.586,22R$ PI GUARIBAS R$ 108.039,06 R$ 10.803,91 123.077,42R$ -R$ 12.307,75R$ PI HUGO NAPOLEÃO R$ 108.039,06 R$ 10.803,91 123.077,42R$ -R$ 12.307,75R$ PI ILHA GRANDE R$ 108.039,06 R$ 10.803,91 123.077,42R$ -R$ 12.307,75R$ PI INHUMA R$ 108.039,06 R$ 40.816,40 123.077,42R$ -R$ 46.497,79R$ PI IPIRANGA DO PIAUÍ R$ 108.039,06 R$ 10.803,91 123.077,42R$ -R$ 12.307,75R$ PI ISAÍAS COELHO R$ 108.039,06 R$ 16.557,10 123.077,42R$ -R$ 18.861,74R$ PI ITAINÓPOLIS R$ 108.039,06 R$ 10.803,91 123.077,42R$ -R$ 12.307,75R$ PI ITAUEIRA R$ 108.039,06 R$ 27.851,47 123.077,42R$ -R$ 31.728,22R$ PI JACOBINA DO PIAUÍ R$ 108.039,06 R$ 10.803,91 123.077,42R$ -R$ 12.307,75R$ PI JAICÓS R$ 108.039,06 R$ 10.803,91 123.077,42R$ -R$ 12.307,75R$ PI JARDIM DO MULATO R$ 108.039,06 R$ 18.599,23 123.077,42R$ -R$ 21.188,13R$ PI JATOBÁ DO PIAUÍ R$ 108.039,06 R$ 14.101,11 123.077,42R$ -R$ 16.063,90R$ PI JERUMENHA R$ 108.039,06 R$ 36.767,94 123.077,42R$ -R$ 41.885,81R$ PI JOÃO COSTA R$ 108.039,06 R$ 15.376,39 123.077,42R$ -R$ 17.516,69R$ PI JOAQUIM PIRES R$ 108.039,06 R$ 16.020,58 123.077,42R$ -R$ 18.250,54R$ PI JOCA MARQUES R$ 108.039,06 R$ 18.573,63 123.077,42R$ -R$ 21.158,96R$ PI JOSÉ DE FREITAS R$ 197.608,19 R$ 59.067,41 225.114,01R$ -R$ 67.289,22R$ PI JUAZEIRO DO PIAUÍ R$ 108.039,06 R$ 10.803,91 123.077,42R$ -R$ 12.307,75R$ PI JÚLIO BORGES R$ 108.039,06 R$ 10.803,91 123.077,42R$ -R$ 12.307,75R$ PI JUREMA R$ 108.039,06 R$ 10.803,91 123.077,42R$ -R$ 12.307,75R$ PI LAGOA ALEGRE R$ 108.039,06 R$ 14.199,89 123.077,42R$ -R$ 16.176,43R$ PI LAGOA DE SÃO FRANCISCO R$ 108.039,06 R$ 17.107,96 123.077,42R$ -R$ 19.489,28R$ PI LAGOA DO BARRO DO PIAUÍ R$ 108.039,06 R$ 36.120,44 123.077,42R$ -R$ 41.148,18R$ PI LAGOA DO PIAUÍ R$ 108.039,06 R$ 17.133,08 123.077,42R$ -R$ 19.517,90R$ PI LAGOA DO SÍTIO R$ 108.039,06 R$ 10.803,91 123.077,42R$ -R$ 12.307,75R$ PI LAGOINHA DO PIAUÍ R$ 108.039,06 R$ 10.803,91 123.077,42R$ -R$ 12.307,75R$ PI LANDRI SALES R$ 108.039,06 R$ 13.925,07 123.077,42R$ -R$ 15.863,35R$ PI LUIS CORREIA R$ 108.039,06 R$ 31.741,54 123.077,42R$ -R$ 36.159,76R$ PI LUZILÂNDIA R$ 108.039,06 R$ 13.665,72 123.077,42R$ -R$ 15.567,90R$ PI MADEIRO R$ 108.039,06 R$ 10.803,91 123.077,42R$ -R$ 12.307,75R$ PI MANOEL EMÍDIO R$ 108.039,06 R$ 10.803,91 123.077,42R$ -R$ 12.307,75R$ PI MARCOLÂNDIA R$ 108.039,06 R$ 10.803,91 123.077,42R$ -R$ 12.307,75R$ PI MARCOS PARENTE R$ 108.039,06 R$ 23.000,24 123.077,42R$ -R$ 26.201,73R$ PI MASSAPÊ DO PIAUÍ R$ 108.039,06 R$ 10.803,91 123.077,42R$ -R$ 12.307,75R$ PI MATIAS OLÍMPIO R$ 108.039,06 R$ 15.646,05 123.077,42R$ -R$ 17.823,88R$ PI MIGUEL ALVES R$ 194.927,48 R$ 32.499,97 222.060,17R$ -R$ 37.023,76R$ PI MIGUEL LEÃO R$ 108.039,06 R$ 10.803,91 123.077,42R$ -R$ 12.307,75R$ PI MILTON BRANDÃO R$ 108.039,06 R$ 24.552,41 123.077,42R$ -R$ 27.969,95R$ PI MONSENHOR GIL R$ 108.039,06 R$ 33.613,73 123.077,42R$ -R$ 38.292,55R$ PI MONSENHOR HIPÓLITO R$ 108.039,06 R$ 10.803,91 123.077,42R$ -R$ 12.307,75R$ PI MONTE ALEGRE DO PIAUÍ R$ 108.039,06 R$ 10.803,91 123.077,42R$ -R$ 12.307,75R$ PI MORRO CABEÇA NO TEMPO R$ 108.039,06 R$ 10.803,91 123.077,42R$ -R$ 12.307,75R$ PI MORRO DO CHAPÉU DO PIAUÍ R$ 108.039,06 R$ 10.803,91 123.077,42R$ -R$ 12.307,75R$ 47
  • 48.
    Tribunal Superior Eleitoral PREFEITO 1ºTURNO 1º TURNO 2º TURNO UF POSSIBILIDADE DE SEGUNDO TURNO VEREADORVEREADOR LIMITE DE GASTOS OBSERVADO O MÍNIMO LEGAL (R$ 100,000,00 PARA PREFEITO E R$ 10.000,00 PARA VEREADOR ) EM 2016*** LIMITE DE GASTOS 2020 (ATUALIZADO PELO IPCA DE JUNHO/2016 ATÉ JUNHO/2020*) PREFEITO MUNICÍPIO** PI MURICI DOS PORTELAS R$ 108.039,06 R$ 10.803,91 123.077,42R$ -R$ 12.307,75R$ PI NAZARÉ DO PIAUÍ R$ 149.127,86 R$ 23.830,98 169.885,53R$ -R$ 27.148,10R$ PI NAZÁRIA R$ 140.270,87 R$ 25.881,77 159.795,70R$ -R$ 29.484,35R$ PI NOSSA SENHORA DE NAZARÉ R$ 108.039,06 R$ 10.803,91 123.077,42R$ -R$ 12.307,75R$ PI NOSSA SENHORA DOS REMÉDIOS R$ 108.039,06 R$ 17.149,80 123.077,42R$ -R$ 19.536,94R$ PI NOVA SANTA RITA R$ 108.039,06 R$ 10.803,91 123.077,42R$ -R$ 12.307,75R$ PI NOVO ORIENTE DO PIAUÍ R$ 108.039,06 R$ 10.803,91 123.077,42R$ -R$ 12.307,75R$ PI NOVO SANTO ANTÔNIO R$ 108.039,06 R$ 20.073,23 123.077,42R$ -R$ 22.867,30R$ PI OEIRAS R$ 231.537,33 R$ 33.702,21 263.765,88R$ -R$ 38.393,35R$ PI OLHO D'ÁGUA DO PIAUÍ R$ 108.039,06 R$ 13.606,90 123.077,42R$ -R$ 15.500,90R$ PI PADRE MARCOS R$ 108.039,06 R$ 10.803,91 123.077,42R$ -R$ 12.307,75R$ PI PAES LANDIM R$ 108.039,06 R$ 10.803,91 123.077,42R$ -R$ 12.307,75R$ PI PAJEÚ DO PIAUÍ R$ 108.039,06 R$ 10.803,91 123.077,42R$ -R$ 12.307,75R$ PI PALMEIRA DO PIAUÍ R$ 108.039,06 R$ 10.803,91 123.077,42R$ -R$ 12.307,75R$ PI PALMEIRAIS R$ 108.039,06 R$ 17.887,22 123.077,42R$ -R$ 20.377,01R$ PI PAQUETÁ R$ 108.039,06 R$ 10.803,91 123.077,42R$ -R$ 12.307,75R$ PI PARNAGUÁ R$ 108.039,06 R$ 10.803,91 123.077,42R$ -R$ 12.307,75R$ PI PARNAÍBA R$ 663.341,77 R$ 79.661,53 755.674,80R$ -R$ 90.749,92R$ PI PASSAGEM FRANCA DO PIAUÍ R$ 108.039,06 R$ 10.803,91 123.077,42R$ -R$ 12.307,75R$ PI PATOS DO PIAUÍ R$ 108.039,06 R$ 10.803,91 123.077,42R$ -R$ 12.307,75R$ PI PAU D'ARCO DO PIAUÍ R$ 108.039,06 R$ 10.803,91 123.077,42R$ -R$ 12.307,75R$ PI PAULISTANA R$ 233.497,03 R$ 22.671,25 265.998,36R$ -R$ 25.826,95R$ PI PAVUSSU R$ 108.039,06 R$ 17.001,12 123.077,42R$ -R$ 19.367,57R$ PI PEDRO II R$ 108.039,06 R$ 21.156,35 123.077,42R$ -R$ 24.101,18R$ PI PEDRO LAURENTINO R$ 108.039,06 R$ 13.964,59 123.077,42R$ -R$ 15.908,37R$ PI PICOS R$ 310.429,40 R$ 42.748,18 353.639,23R$ -R$ 48.698,46R$ PI PIMENTEIRAS R$ 108.039,06 R$ 34.835,17 123.077,42R$ -R$ 39.684,01R$ PI PIO IX R$ 108.039,06 R$ 26.672,26 123.077,42R$ -R$ 30.384,87R$ PI PIRACURUCA R$ 108.039,06 R$ 48.634,36 123.077,42R$ -R$ 55.403,96R$ PI PIRIPIRI R$ 307.205,23 R$ 53.982,58 349.966,28R$ -R$ 61.496,62R$ PI PORTO R$ 108.039,06 R$ 15.899,80 123.077,42R$ -R$ 18.112,95R$ PI PORTO ALEGRE DO PIAUÍ R$ 108.039,06 R$ 10.803,91 123.077,42R$ -R$ 12.307,75R$ PI PRATA DO PIAUÍ R$ 108.039,06 R$ 10.803,91 123.077,42R$ -R$ 12.307,75R$ PI QUEIMADA NOVA R$ 108.039,06 R$ 17.952,32 123.077,42R$ -R$ 20.451,17R$ PI REDENÇÃO DO GURGUÉIA R$ 108.039,06 R$ 10.803,91 123.077,42R$ -R$ 12.307,75R$ PI REGENERAÇÃO R$ 108.039,06 R$ 28.426,94 123.077,42R$ -R$ 32.383,79R$ PI RIACHO FRIO R$ 108.039,06 R$ 10.803,91 123.077,42R$ -R$ 12.307,75R$ PI RIBEIRA DO PIAUÍ R$ 108.039,06 R$ 10.803,91 123.077,42R$ -R$ 12.307,75R$ PI RIBEIRO GONÇALVES R$ 108.039,06 R$ 10.803,91 123.077,42R$ -R$ 12.307,75R$ PI RIO GRANDE DO PIAUÍ R$ 149.391,24 R$ 58.852,00 170.185,57R$ -R$ 67.043,83R$ PI SANTA CRUZ DO PIAUÍ R$ 108.039,06 R$ 14.297,89 123.077,42R$ -R$ 16.288,07R$ PI SANTA CRUZ DOS MILAGRES R$ 108.039,06 R$ 10.803,91 123.077,42R$ -R$ 12.307,75R$ PI SANTA FILOMENA R$ 108.039,06 R$ 10.803,91 123.077,42R$ -R$ 12.307,75R$ PI SANTA LUZ R$ 108.039,06 R$ 10.803,91 123.077,42R$ -R$ 12.307,75R$ PI SANTA ROSA DO PIAUÍ R$ 108.039,06 R$ 10.803,91 123.077,42R$ -R$ 12.307,75R$ PI SANTANA DO PIAUÍ R$ 108.039,06 R$ 10.803,91 123.077,42R$ -R$ 12.307,75R$ PI SANTO ANTÔNIO DE LISBOA R$ 108.039,06 R$ 10.803,91 123.077,42R$ -R$ 12.307,75R$ PI SANTO ANTÔNIO DOS MILAGRES R$ 108.039,06 R$ 10.803,91 123.077,42R$ -R$ 12.307,75R$ PI SANTO INÁCIO DO PIAUÍ R$ 108.039,06 R$ 10.803,91 123.077,42R$ -R$ 12.307,75R$ PI SÃO BRAZ DO PIAUÍ R$ 108.039,06 R$ 10.803,91 123.077,42R$ -R$ 12.307,75R$ PI SÃO FÉLIX DO PIAUÍ R$ 108.039,06 R$ 40.543,03 123.077,42R$ -R$ 46.186,37R$ PI SÃO FRANCISCO DE ASSIS DO PIAUÍ R$ 108.039,06 R$ 13.623,53 123.077,42R$ -R$ 15.519,84R$ PI SÃO FRANCISCO DO PIAUÍ R$ 108.039,06 R$ 40.958,76 123.077,42R$ -R$ 46.659,96R$ PI SÃO GONÇALO DO GURGUÉIA R$ 108.039,06 R$ 10.803,91 123.077,42R$ -R$ 12.307,75R$ PI SÃO GONÇALO DO PIAUÍ R$ 108.039,06 R$ 20.193,56 123.077,42R$ -R$ 23.004,38R$ PI SÃO JOÃO DA CANABRAVA R$ 108.039,06 R$ 10.803,91 123.077,42R$ -R$ 12.307,75R$ PI SÃO JOÃO DA FRONTEIRA R$ 108.039,06 R$ 17.668,51 123.077,42R$ -R$ 20.127,86R$ PI SÃO JOÃO DA SERRA R$ 108.039,06 R$ 15.502,66 123.077,42R$ -R$ 17.660,53R$ PI SÃO JOÃO DA VARJOTA R$ 108.039,06 R$ 10.803,91 123.077,42R$ -R$ 12.307,75R$ PI SÃO JOÃO DO ARRAIAL R$ 108.039,06 R$ 10.803,91 123.077,42R$ -R$ 12.307,75R$ PI SÃO JOÃO DO PIAUÍ R$ 528.137,12 R$ 23.544,45 601.650,51R$ -R$ 26.821,69R$ PI SÃO JOSÉ DO DIVINO R$ 108.039,06 R$ 10.803,91 123.077,42R$ -R$ 12.307,75R$ PI SÃO JOSÉ DO PEIXE R$ 108.039,06 R$ 28.079,47 123.077,42R$ -R$ 31.987,96R$ PI SÃO JOSÉ DO PIAUÍ R$ 108.039,06 R$ 10.803,91 123.077,42R$ -R$ 12.307,75R$ PI SÃO JULIÃO R$ 108.039,06 R$ 10.803,91 123.077,42R$ -R$ 12.307,75R$ PI SÃO LOURENÇO DO PIAUÍ R$ 108.039,06 R$ 10.803,91 123.077,42R$ -R$ 12.307,75R$ 48
  • 49.
    Tribunal Superior Eleitoral PREFEITO 1ºTURNO 1º TURNO 2º TURNO UF POSSIBILIDADE DE SEGUNDO TURNO VEREADORVEREADOR LIMITE DE GASTOS OBSERVADO O MÍNIMO LEGAL (R$ 100,000,00 PARA PREFEITO E R$ 10.000,00 PARA VEREADOR ) EM 2016*** LIMITE DE GASTOS 2020 (ATUALIZADO PELO IPCA DE JUNHO/2016 ATÉ JUNHO/2020*) PREFEITO MUNICÍPIO** PI SÃO LUIS DO PIAUÍ R$ 108.039,06 R$ 10.803,91 123.077,42R$ -R$ 12.307,75R$ PI SÃO MIGUEL DA BAIXA GRANDE R$ 108.039,06 R$ 10.803,91 123.077,42R$ -R$ 12.307,75R$ PI SÃO MIGUEL DO FIDALGO R$ 108.039,06 R$ 10.803,91 123.077,42R$ -R$ 12.307,75R$ PI SÃO MIGUEL DO TAPUIO R$ 134.987,69 R$ 22.314,87 153.777,13R$ -R$ 25.420,96R$ PI SÃO PEDRO DO PIAUÍ R$ 108.039,06 R$ 44.293,12 123.077,42R$ -R$ 50.458,45R$ PI SÃO RAIMUNDO NONATO R$ 185.257,31 R$ 22.696,57 211.043,97R$ -R$ 25.855,79R$ PI SEBASTIÃO BARROS R$ 108.039,06 R$ 10.803,91 123.077,42R$ -R$ 12.307,75R$ PI SEBASTIÃO LEAL R$ 108.039,06 R$ 19.979,38 123.077,42R$ -R$ 22.760,38R$ PI SIGEFREDO PACHECO R$ 108.039,06 R$ 32.412,53 123.077,42R$ -R$ 36.924,15R$ PI SIMÕES R$ 108.039,06 R$ 10.803,91 123.077,42R$ -R$ 12.307,75R$ PI SIMPLÍCIO MENDES R$ 108.039,06 R$ 10.803,91 123.077,42R$ -R$ 12.307,75R$ PI SOCORRO DO PIAUÍ R$ 108.039,06 R$ 10.803,91 123.077,42R$ -R$ 12.307,75R$ PI SUSSUAPARA R$ 142.053,80 R$ 13.966,92 161.826,80R$ -R$ 15.911,03R$ PI TAMBORIL DO PIAUÍ R$ 108.039,06 R$ 10.803,91 123.077,42R$ -R$ 12.307,75R$ PI TANQUE DO PIAUÍ R$ 108.039,06 R$ 10.803,91 123.077,42R$ -R$ 12.307,75R$ PI TERESINA SIM R$ 2.191.795,79 R$ 208.353,65 2.496.880,06R$ 998.752,03R$ 237.355,18R$ PI UNIÃO R$ 293.122,38 R$ 37.406,33 333.923,18R$ -R$ 42.613,06R$ PI URUÇUÍ R$ 324.569,54 R$ 40.755,54 369.747,59R$ -R$ 46.428,46R$ PI VALENÇA DO PIAUÍ R$ 108.039,06 R$ 34.995,11 123.077,42R$ -R$ 39.866,21R$ PI VÁRZEA BRANCA R$ 108.039,06 R$ 10.803,91 123.077,42R$ -R$ 12.307,75R$ PI VÁRZEA GRANDE R$ 108.039,06 R$ 10.803,91 123.077,42R$ -R$ 12.307,75R$ PI VERA MENDES R$ 108.039,06 R$ 10.803,91 123.077,42R$ -R$ 12.307,75R$ PI VILA NOVA DO PIAUÍ R$ 108.039,06 R$ 15.949,48 123.077,42R$ -R$ 18.169,55R$ PI WALL FERRAZ R$ 108.039,06 R$ 10.803,91 123.077,42R$ -R$ 12.307,75R$ PR ABATIÁ R$ 108.039,06 R$ 10.803,91 123.077,42R$ -R$ 12.307,75R$ PR ADRIANÓPOLIS R$ 108.039,06 R$ 21.798,57 123.077,42R$ -R$ 24.832,79R$ PR AGUDOS DO SUL R$ 108.039,06 R$ 10.803,91 123.077,42R$ -R$ 12.307,75R$ PR ALMIRANTE TAMANDARÉ R$ 464.303,39 R$ 28.977,49 528.931,52R$ -R$ 33.010,98R$ PR ALTAMIRA DO PARANÁ R$ 289.705,42 R$ 24.200,34 330.030,60R$ -R$ 27.568,88R$ PR ALTO PARAÍSO R$ 108.039,06 R$ 10.803,91 123.077,42R$ -R$ 12.307,75R$ PR ALTO PARANÁ R$ 108.039,06 R$ 10.803,91 123.077,42R$ -R$ 12.307,75R$ PR ALTO PIQUIRI R$ 134.716,16 R$ 10.803,91 153.467,81R$ -R$ 12.307,75R$ PR ALTÔNIA R$ 108.039,06 R$ 10.803,91 123.077,42R$ -R$ 12.307,75R$ PR ALVORADA DO SUL R$ 108.039,06 R$ 10.803,91 123.077,42R$ -R$ 12.307,75R$ PR AMAPORÃ R$ 108.039,06 R$ 10.803,91 123.077,42R$ -R$ 12.307,75R$ PR AMPÉRE R$ 108.039,06 R$ 10.803,91 123.077,42R$ -R$ 12.307,75R$ PR ANAHY R$ 108.039,06 R$ 10.803,91 123.077,42R$ -R$ 12.307,75R$ PR ANDIRÁ R$ 150.969,51 R$ 10.803,91 171.983,52R$ -R$ 12.307,75R$ PR ÂNGULO R$ 108.039,06 R$ 10.803,91 123.077,42R$ -R$ 12.307,75R$ PR ANTONINA R$ 108.039,06 R$ 33.080,49 123.077,42R$ -R$ 37.685,09R$ PR ANTONIO OLINTO R$ 108.039,06 R$ 10.803,91 123.077,42R$ -R$ 12.307,75R$ PR APUCARANA R$ 255.461,77 R$ 87.162,23 291.020,45R$ -R$ 99.294,67R$ PR ARAPONGAS R$ 557.784,79 R$ 28.688,56 635.424,95R$ -R$ 32.681,83R$ PR ARAPOTI R$ 149.303,77 R$ 10.803,91 170.085,92R$ -R$ 12.307,75R$ PR ARAPUÃ R$ 108.039,06 R$ 10.803,91 123.077,42R$ -R$ 12.307,75R$ PR ARARUNA R$ 108.039,06 R$ 10.803,91 123.077,42R$ -R$ 12.307,75R$ PR ARAUCÁRIA R$ 1.139.436,60 R$ 94.102,90 1.298.039,05R$ -R$ 107.201,44R$ PR ARIRANHA DO IVAÍ R$ 108.039,06 R$ 10.803,91 123.077,42R$ -R$ 12.307,75R$ PR ASSAÍ R$ 212.956,18 R$ 10.803,91 242.598,35R$ -R$ 12.307,75R$ PR ASSIS CHATEAUBRIAND R$ 465.802,96 R$ 34.316,45 530.639,82R$ -R$ 39.093,09R$ PR ASTORGA R$ 108.039,06 R$ 14.304,93 123.077,42R$ -R$ 16.296,09R$ PR ATALAIA R$ 108.039,06 R$ 10.803,91 123.077,42R$ -R$ 12.307,75R$ PR BALSA NOVA R$ 108.039,06 R$ 10.803,91 123.077,42R$ -R$ 12.307,75R$ PR BANDEIRANTES R$ 108.039,06 R$ 10.803,91 123.077,42R$ -R$ 12.307,75R$ PR BARBOSA FERRAZ R$ 108.039,06 R$ 16.161,29 123.077,42R$ -R$ 18.410,84R$ PR BARRA DO JACARÉ R$ 108.039,06 R$ 10.803,91 123.077,42R$ -R$ 12.307,75R$ PR BARRACÃO R$ 108.039,06 R$ 77.317,50 123.077,42R$ -R$ 88.079,61R$ PR BELA VISTA DA CAROBA R$ 108.039,06 R$ 10.803,91 123.077,42R$ -R$ 12.307,75R$ PR BELA VISTA DO PARAÍSO R$ 108.039,06 R$ 10.803,91 123.077,42R$ -R$ 12.307,75R$ PR BITURUNA R$ 141.208,15 R$ 18.150,58 160.863,44R$ -R$ 20.677,03R$ PR BOA ESPERANÇA R$ 108.039,06 R$ 10.803,91 123.077,42R$ -R$ 12.307,75R$ PR BOA ESPERANÇA DO IGUAÇU R$ 108.039,06 R$ 10.803,91 123.077,42R$ -R$ 12.307,75R$ PR BOA VENTURA DE SÃO ROQUE R$ 108.039,06 R$ 10.803,91 123.077,42R$ -R$ 12.307,75R$ PR BOA VISTA DA APARECIDA R$ 179.441,50 R$ 10.803,91 204.418,64R$ -R$ 12.307,75R$ PR BOCAIÚVA DO SUL R$ 108.039,06 R$ 10.803,91 123.077,42R$ -R$ 12.307,75R$ PR BOM JESUS DO SUL R$ 108.039,06 R$ 94.452,73 123.077,42R$ -R$ 107.599,96R$ 49
  • 50.
    Tribunal Superior Eleitoral PREFEITO 1ºTURNO 1º TURNO 2º TURNO UF POSSIBILIDADE DE SEGUNDO TURNO VEREADORVEREADOR LIMITE DE GASTOS OBSERVADO O MÍNIMO LEGAL (R$ 100,000,00 PARA PREFEITO E R$ 10.000,00 PARA VEREADOR ) EM 2016*** LIMITE DE GASTOS 2020 (ATUALIZADO PELO IPCA DE JUNHO/2016 ATÉ JUNHO/2020*) PREFEITO MUNICÍPIO** PR BOM SUCESSO R$ 108.039,06 R$ 10.803,91 123.077,42R$ -R$ 12.307,75R$ PR BOM SUCESSO DO SUL R$ 108.039,06 R$ 10.803,91 123.077,42R$ -R$ 12.307,75R$ PR BORRAZÓPOLIS R$ 108.039,06 R$ 17.520,15 123.077,42R$ -R$ 19.958,85R$ PR BRAGANEY R$ 108.039,06 R$ 10.803,91 123.077,42R$ -R$ 12.307,75R$ PR BRASILÂNDIA DO SUL R$ 108.039,06 R$ 10.803,91 123.077,42R$ -R$ 12.307,75R$ PR CAFEARA R$ 108.039,06 R$ 10.803,91 123.077,42R$ -R$ 12.307,75R$ PR CAFELÂNDIA R$ 108.039,06 R$ 10.803,91 123.077,42R$ -R$ 12.307,75R$ PR CAFEZAL DO SUL R$ 108.039,06 R$ 10.803,91 123.077,42R$ -R$ 12.307,75R$ PR CALIFÓRNIA R$ 108.039,06 R$ 10.803,91 123.077,42R$ -R$ 12.307,75R$ PR CAMBARÁ R$ 463.038,08 R$ 22.694,60 527.490,09R$ -R$ 25.853,55R$ PR CAMBÉ R$ 347.423,22 R$ 41.377,83 395.782,36R$ -R$ 47.137,37R$ PR CAMBIRA R$ 108.039,06 R$ 10.803,91 123.077,42R$ -R$ 12.307,75R$ PR CAMPINA DA LAGOA R$ 232.496,96 R$ 28.458,41 264.859,08R$ -R$ 32.419,64R$ PR CAMPINA DO SIMÃO R$ 108.039,06 R$ 10.803,91 123.077,42R$ -R$ 12.307,75R$ PR CAMPINA GRANDE DO SUL R$ 362.057,16 R$ 36.799,80 412.453,25R$ -R$ 41.922,10R$ PR CAMPO BONITO R$ 108.039,06 R$ 10.803,91 123.077,42R$ -R$ 12.307,75R$ PR CAMPO DO TENENTE R$ 108.039,06 R$ 10.803,91 123.077,42R$ -R$ 12.307,75R$ PR CAMPO LARGO R$ 422.038,83 R$ 36.355,88 480.784,00R$ -R$ 41.416,39R$ PR CAMPO MAGRO R$ 259.999,58 R$ 23.781,81 296.189,90R$ -R$ 27.092,09R$ PR CAMPO MOURÃO R$ 731.138,37 R$ 98.885,23 832.908,26R$ -R$ 112.649,44R$ PR CÂNDIDO DE ABREU R$ 183.526,14 R$ 18.899,79 209.071,83R$ -R$ 21.530,52R$ PR CANDÓI R$ 108.039,06 R$ 10.803,91 123.077,42R$ -R$ 12.307,75R$ PR CANTAGALO R$ 108.039,06 R$ 30.379,18 123.077,42R$ -R$ 34.607,77R$ PR CAPANEMA R$ 108.039,06 R$ 10.803,91 123.077,42R$ -R$ 12.307,75R$ PR CAPITÃO LEÔNIDAS MARQUES R$ 108.039,06 R$ 10.803,91 123.077,42R$ -R$ 12.307,75R$ PR CARAMBEÍ R$ 108.039,06 R$ 18.320,41 123.077,42R$ -R$ 20.870,50R$ PR CARLÓPOLIS R$ 108.039,06 R$ 10.803,91 123.077,42R$ -R$ 12.307,75R$ PR CASCAVEL SIM R$ 1.337.587,72 R$ 87.947,50 1.523.771,57R$ 609.508,63R$ 100.189,24R$ PR CASTRO R$ 339.800,67 R$ 22.518,13 387.098,80R$ -R$ 25.652,51R$ PR CATANDUVAS R$ 108.039,06 R$ 10.803,91 123.077,42R$ -R$ 12.307,75R$ PR CENTENÁRIO DO SUL R$ 108.039,06 R$ 10.803,91 123.077,42R$ -R$ 12.307,75R$ PR CERRO AZUL R$ 206.223,81 R$ 10.803,91 234.928,88R$ -R$ 12.307,75R$ PR CÉU AZUL R$ 108.039,06 R$ 10.803,91 123.077,42R$ -R$ 12.307,75R$ PR CHOPINZINHO R$ 108.039,06 R$ 20.905,12 123.077,42R$ -R$ 23.814,98R$ PR CIANORTE R$ 376.881,92 R$ 27.447,90 429.341,53R$ -R$ 31.268,48R$ PR CIDADE GAÚCHA R$ 108.039,06 R$ 10.803,91 123.077,42R$ -R$ 12.307,75R$ PR CLEVELÂNDIA R$ 108.039,06 R$ 10.803,91 123.077,42R$ -R$ 12.307,75R$ PR COLOMBO R$ 1.235.654,47 R$ 166.215,44 1.407.649,85R$ -R$ 189.351,59R$ PR COLORADO R$ 219.512,66 R$ 16.298,94 250.067,45R$ -R$ 18.567,65R$ PR CONGONHINHAS R$ 166.666,49 R$ 10.803,91 189.865,42R$ -R$ 12.307,75R$ PR CONSELHEIRO MAIRINCK R$ 108.039,06 R$ 10.803,91 123.077,42R$ -R$ 12.307,75R$ PR CONTENDA R$ 108.039,06 R$ 10.803,91 123.077,42R$ -R$ 12.307,75R$ PR CORBÉLIA R$ 108.039,06 R$ 10.803,91 123.077,42R$ -R$ 12.307,75R$ PR CORNÉLIO PROCÓPIO R$ 330.489,84 R$ 17.749,01 376.491,96R$ -R$ 20.219,56R$ PR CORONEL DOMINGOS SOARES R$ 108.039,06 R$ 10.803,91 123.077,42R$ -R$ 12.307,75R$ PR CORONEL VIVIDA R$ 108.039,06 R$ 10.803,91 123.077,42R$ -R$ 12.307,75R$ PR CORUMBATAÍ DO SUL R$ 108.039,06 R$ 10.803,91 123.077,42R$ -R$ 12.307,75R$ PR CRUZ MACHADO R$ 108.039,06 R$ 10.803,91 123.077,42R$ -R$ 12.307,75R$ PR CRUZEIRO DO IGUAÇU R$ 108.039,06 R$ 10.803,91 123.077,42R$ -R$ 12.307,75R$ PR CRUZEIRO DO OESTE R$ 108.039,06 R$ 10.803,91 123.077,42R$ -R$ 12.307,75R$ PR CRUZEIRO DO SUL R$ 108.039,06 R$ 10.803,91 123.077,42R$ -R$ 12.307,75R$ PR CRUZMALTINA R$ 108.039,06 R$ 10.803,91 123.077,42R$ -R$ 12.307,75R$ PR CURITIBA SIM R$ 9.571.089,80 R$ 465.702,68 10.903.325,67R$ 4.361.330,27R$ 530.525,58R$ PR CURIÚVA R$ 108.039,06 R$ 10.803,91 123.077,42R$ -R$ 12.307,75R$ PR DIAMANTE DO NORTE R$ 108.039,06 R$ 10.803,91 123.077,42R$ -R$ 12.307,75R$ PR DIAMANTE DO SUL R$ 108.039,06 R$ 10.803,91 123.077,42R$ -R$ 12.307,75R$ PR DIAMANTE D'OESTE R$ 108.039,06 R$ 10.803,91 123.077,42R$ -R$ 12.307,75R$ PR DOIS VIZINHOS R$ 167.399,85 R$ 10.803,91 190.700,86R$ -R$ 12.307,75R$ PR DOURADINA R$ 108.039,06 R$ 10.803,91 123.077,42R$ -R$ 12.307,75R$ PR DOUTOR CAMARGO R$ 108.039,06 R$ 10.803,91 123.077,42R$ -R$ 12.307,75R$ PR DOUTOR ULYSSES R$ 108.039,06 R$ 10.803,91 123.077,42R$ -R$ 12.307,75R$ PR ENÉAS MARQUES R$ 108.039,06 R$ 10.803,91 123.077,42R$ -R$ 12.307,75R$ PR ENGENHEIRO BELTRÃO R$ 108.039,06 R$ 10.803,91 123.077,42R$ -R$ 12.307,75R$ PR ENTRE RIOS DO OESTE R$ 108.039,06 R$ 10.803,91 123.077,42R$ -R$ 12.307,75R$ PR ESPERANÇA NOVA R$ 108.039,06 R$ 10.803,91 123.077,42R$ -R$ 12.307,75R$ PR ESPIGÃO ALTO DO IGUAÇU R$ 108.039,06 R$ 10.803,91 123.077,42R$ -R$ 12.307,75R$ 50
  • 51.
    Tribunal Superior Eleitoral PREFEITO 1ºTURNO 1º TURNO 2º TURNO UF POSSIBILIDADE DE SEGUNDO TURNO VEREADORVEREADOR LIMITE DE GASTOS OBSERVADO O MÍNIMO LEGAL (R$ 100,000,00 PARA PREFEITO E R$ 10.000,00 PARA VEREADOR ) EM 2016*** LIMITE DE GASTOS 2020 (ATUALIZADO PELO IPCA DE JUNHO/2016 ATÉ JUNHO/2020*) PREFEITO MUNICÍPIO** PR FAROL R$ 108.039,06 R$ 10.803,91 123.077,42R$ -R$ 12.307,75R$ PR FAXINAL R$ 256.108,19 R$ 31.397,08 291.756,85R$ -R$ 35.767,36R$ PR FAZENDA RIO GRANDE R$ 1.192.041,63 R$ 51.357,64 1.357.966,37R$ -R$ 58.506,30R$ PR FÊNIX R$ 108.039,06 R$ 10.803,91 123.077,42R$ -R$ 12.307,75R$ PR FERNANDES PINHEIRO R$ 108.039,06 R$ 10.803,91 123.077,42R$ -R$ 12.307,75R$ PR FIGUEIRA R$ 144.270,91 R$ 10.803,91 164.352,52R$ -R$ 12.307,75R$ PR FLOR DA SERRA DO SUL R$ 108.039,06 R$ 10.803,91 123.077,42R$ -R$ 12.307,75R$ PR FLORAÍ R$ 108.039,06 R$ 10.803,91 123.077,42R$ -R$ 12.307,75R$ PR FLORESTA R$ 108.039,06 R$ 10.803,91 123.077,42R$ -R$ 12.307,75R$ PR FLORESTÓPOLIS R$ 154.935,05 R$ 28.497,35 176.501,04R$ -R$ 32.464,00R$ PR FLÓRIDA R$ 108.039,06 R$ 10.803,91 123.077,42R$ -R$ 12.307,75R$ PR FORMOSA DO OESTE R$ 108.039,06 R$ 10.803,91 123.077,42R$ -R$ 12.307,75R$ PR FOZ DO IGUAÇU R$ 1.603.191,69 R$ 88.155,68 1.826.345,95R$ -R$ 100.426,40R$ PR FOZ DO JORDÃO R$ 108.039,06 R$ 10.803,91 123.077,42R$ -R$ 12.307,75R$ PR FRANCISCO ALVES R$ 108.039,06 R$ 16.568,09 123.077,42R$ -R$ 18.874,26R$ PR FRANCISCO BELTRÃO R$ 411.188,73 R$ 23.044,57 468.423,63R$ -R$ 26.252,23R$ PR GENERAL CARNEIRO R$ 108.039,06 R$ 28.975,96 123.077,42R$ -R$ 33.009,23R$ PR GODOY MOREIRA R$ 108.039,06 R$ 10.803,91 123.077,42R$ -R$ 12.307,75R$ PR GOIOERÊ R$ 177.824,60 R$ 10.803,91 202.576,67R$ -R$ 12.307,75R$ PR GOIOXIM R$ 108.039,06 R$ 10.803,91 123.077,42R$ -R$ 12.307,75R$ PR GRANDES RIOS R$ 136.629,24 R$ 42.556,42 155.647,18R$ -R$ 48.480,01R$ PR GUAÍRA R$ 444.166,87 R$ 15.670,04 505.992,12R$ -R$ 17.851,21R$ PR GUAIRAÇÁ R$ 108.039,06 R$ 10.803,91 123.077,42R$ -R$ 12.307,75R$ PR GUAMIRANGA R$ 108.039,06 R$ 10.803,91 123.077,42R$ -R$ 12.307,75R$ PR GUAPIRAMA R$ 108.039,06 R$ 10.803,91 123.077,42R$ -R$ 12.307,75R$ PR GUAPOREMA R$ 108.039,06 R$ 10.803,91 123.077,42R$ -R$ 12.307,75R$ PR GUARACI R$ 108.039,06 R$ 10.803,91 123.077,42R$ -R$ 12.307,75R$ PR GUARANIAÇU R$ 108.039,06 R$ 10.803,91 123.077,42R$ -R$ 12.307,75R$ PR GUARAPUAVA R$ 856.008,57 R$ 63.288,85 975.159,61R$ -R$ 72.098,26R$ PR GUARAQUEÇABA R$ 108.039,06 R$ 10.803,91 123.077,42R$ -R$ 12.307,75R$ PR GUARATUBA R$ 611.267,76 R$ 17.210,48 696.352,41R$ -R$ 19.606,07R$ PR HONÓRIO SERPA R$ 108.039,06 R$ 10.803,91 123.077,42R$ -R$ 12.307,75R$ PR IBAITI R$ 288.528,19 R$ 47.947,52 328.689,51R$ -R$ 54.621,52R$ PR IBEMA R$ 108.039,06 R$ 10.803,91 123.077,42R$ -R$ 12.307,75R$ PR IBIPORÃ R$ 108.039,06 R$ 19.728,44 123.077,42R$ -R$ 22.474,52R$ PR ICARAÍMA R$ 108.039,06 R$ 13.942,36 123.077,42R$ -R$ 15.883,05R$ PR IGUARAÇU R$ 108.039,06 R$ 10.803,91 123.077,42R$ -R$ 12.307,75R$ PR IGUATU R$ 108.039,06 R$ 10.803,91 123.077,42R$ -R$ 12.307,75R$ PR IMBAÚ R$ 159.202,26 R$ 10.803,91 181.362,22R$ -R$ 12.307,75R$ PR IMBITUVA R$ 108.039,06 R$ 10.803,91 123.077,42R$ -R$ 12.307,75R$ PR INÁCIO MARTINS R$ 108.039,06 R$ 10.803,91 123.077,42R$ -R$ 12.307,75R$ PR INAJÁ R$ 108.039,06 R$ 10.803,91 123.077,42R$ -R$ 12.307,75R$ PR INDIANÓPOLIS R$ 108.039,06 R$ 10.803,91 123.077,42R$ -R$ 12.307,75R$ PR IPIRANGA R$ 230.212,83 R$ 26.157,52 262.257,02R$ -R$ 29.798,48R$ PR IPORÃ R$ 108.039,06 R$ 10.803,91 123.077,42R$ -R$ 12.307,75R$ PR IRACEMA DO OESTE R$ 108.039,06 R$ 10.803,91 123.077,42R$ -R$ 12.307,75R$ PR IRATI R$ 108.039,06 R$ 48.539,28 123.077,42R$ -R$ 55.295,64R$ PR IRETAMA R$ 108.039,06 R$ 10.803,91 123.077,42R$ -R$ 12.307,75R$ PR ITAGUAJÉ R$ 108.039,06 R$ 10.803,91 123.077,42R$ -R$ 12.307,75R$ PR ITAIPULÂNDIA R$ 108.039,06 R$ 10.803,91 123.077,42R$ -R$ 12.307,75R$ PR ITAMBARACÁ R$ 108.039,06 R$ 10.803,91 123.077,42R$ -R$ 12.307,75R$ PR ITAMBÉ R$ 108.039,06 R$ 10.803,91 123.077,42R$ -R$ 12.307,75R$ PR ITAPEJARA D'OESTE R$ 108.039,06 R$ 10.803,91 123.077,42R$ -R$ 12.307,75R$ PR ITAPERUÇU R$ 180.653,08 R$ 29.827,11 205.798,86R$ -R$ 33.978,86R$ PR ITAÚNA DO SUL R$ 108.039,06 R$ 10.803,91 123.077,42R$ -R$ 12.307,75R$ PR IVAÍ R$ 108.039,06 R$ 10.803,91 123.077,42R$ -R$ 12.307,75R$ PR IVAIPORÃ R$ 417.913,56 R$ 20.936,31 476.084,52R$ -R$ 23.850,51R$ PR IVATÉ R$ 108.039,06 R$ 10.803,91 123.077,42R$ -R$ 12.307,75R$ PR IVATUBA R$ 108.039,06 R$ 10.803,91 123.077,42R$ -R$ 12.307,75R$ PR JABOTI R$ 108.039,06 R$ 10.803,91 123.077,42R$ -R$ 12.307,75R$ PR JACAREZINHO R$ 108.039,06 R$ 16.374,97 123.077,42R$ -R$ 18.654,26R$ PR JAGUAPITÃ R$ 108.039,06 R$ 10.803,91 123.077,42R$ -R$ 12.307,75R$ PR JAGUARIAÍVA R$ 231.572,20 R$ 10.803,91 263.805,60R$ -R$ 12.307,75R$ PR JANDAIA DO SUL R$ 164.043,84 R$ 10.803,91 186.877,72R$ -R$ 12.307,75R$ PR JANIÓPOLIS R$ 108.039,06 R$ 10.803,91 123.077,42R$ -R$ 12.307,75R$ PR JAPIRA R$ 108.039,06 R$ 10.803,91 123.077,42R$ -R$ 12.307,75R$ 51
  • 52.
    Tribunal Superior Eleitoral PREFEITO 1ºTURNO 1º TURNO 2º TURNO UF POSSIBILIDADE DE SEGUNDO TURNO VEREADORVEREADOR LIMITE DE GASTOS OBSERVADO O MÍNIMO LEGAL (R$ 100,000,00 PARA PREFEITO E R$ 10.000,00 PARA VEREADOR ) EM 2016*** LIMITE DE GASTOS 2020 (ATUALIZADO PELO IPCA DE JUNHO/2016 ATÉ JUNHO/2020*) PREFEITO MUNICÍPIO** PR JAPURÁ R$ 108.039,06 R$ 10.803,91 123.077,42R$ -R$ 12.307,75R$ PR JARDIM ALEGRE R$ 196.527,20 R$ 10.803,91 223.882,56R$ -R$ 12.307,75R$ PR JARDIM OLINDA R$ 108.039,06 R$ 10.803,91 123.077,42R$ -R$ 12.307,75R$ PR JATAIZINHO R$ 108.039,06 R$ 10.803,91 123.077,42R$ -R$ 12.307,75R$ PR JESUÍTAS R$ 108.039,06 R$ 10.803,91 123.077,42R$ -R$ 12.307,75R$ PR JOAQUIM TÁVORA R$ 108.039,06 R$ 10.803,91 123.077,42R$ -R$ 12.307,75R$ PR JUNDIAÍ DO SUL R$ 108.039,06 R$ 10.803,91 123.077,42R$ -R$ 12.307,75R$ PR JURANDA R$ 261.732,66 R$ 10.803,91 298.164,21R$ -R$ 12.307,75R$ PR JUSSARA R$ 108.039,06 R$ 14.715,52 123.077,42R$ -R$ 16.763,83R$ PR KALORÉ R$ 108.039,06 R$ 10.803,91 123.077,42R$ -R$ 12.307,75R$ PR LAPA R$ 338.274,05 R$ 24.917,14 385.359,68R$ -R$ 28.385,45R$ PR LARANJAL R$ 108.039,06 R$ 10.803,91 123.077,42R$ -R$ 12.307,75R$ PR LARANJEIRAS DO SUL R$ 227.138,38 R$ 19.098,70 258.754,62R$ -R$ 21.757,12R$ PR LEÓPOLIS R$ 108.039,06 R$ 10.803,91 123.077,42R$ -R$ 12.307,75R$ PR LIDIANÓPOLIS R$ 108.039,06 R$ 10.803,91 123.077,42R$ -R$ 12.307,75R$ PR LINDOESTE R$ 108.039,06 R$ 10.803,91 123.077,42R$ -R$ 12.307,75R$ PR LOANDA R$ 108.039,06 R$ 10.803,91 123.077,42R$ -R$ 12.307,75R$ PR LOBATO R$ 108.039,06 R$ 10.803,91 123.077,42R$ -R$ 12.307,75R$ PR LONDRINA SIM R$ 1.606.304,21 R$ 100.023,00 1.829.891,71R$ 731.956,69R$ 113.945,58R$ PR LUIZIANA R$ 155.873,63 R$ 33.304,53 177.570,26R$ -R$ 37.940,31R$ PR LUNARDELLI R$ 108.039,06 R$ 10.803,91 123.077,42R$ -R$ 12.307,75R$ PR LUPIONÓPOLIS R$ 108.039,06 R$ 10.803,91 123.077,42R$ -R$ 12.307,75R$ PR MALLET R$ 108.039,06 R$ 13.576,77 123.077,42R$ -R$ 15.466,57R$ PR MAMBORÊ R$ 136.646,75 R$ 28.700,24 155.667,12R$ -R$ 32.695,13R$ PR MANDAGUAÇU R$ 108.039,06 R$ 13.668,11 123.077,42R$ -R$ 15.570,63R$ PR MANDAGUARI R$ 108.039,06 R$ 17.914,39 123.077,42R$ -R$ 20.407,96R$ PR MANDIRITUBA R$ 214.601,85 R$ 10.803,91 244.473,09R$ -R$ 12.307,75R$ PR MANFRINÓPOLIS R$ 108.039,06 R$ 28.112,33 123.077,42R$ -R$ 32.025,39R$ PR MANGUEIRINHA R$ 171.760,32 R$ 14.676,95 195.668,28R$ -R$ 16.719,89R$ PR MANOEL RIBAS R$ 108.039,06 R$ 21.605,56 123.077,42R$ -R$ 24.612,92R$ PR MARECHAL CÂNDIDO RONDON R$ 222.152,76 R$ 37.030,78 253.075,04R$ -R$ 42.185,23R$ PR MARIA HELENA R$ 108.039,06 R$ 10.803,91 123.077,42R$ -R$ 12.307,75R$ PR MARIALVA R$ 108.039,06 R$ 10.803,91 123.077,42R$ -R$ 12.307,75R$ PR MARILÂNDIA DO SUL R$ 108.039,06 R$ 10.803,91 123.077,42R$ -R$ 12.307,75R$ PR MARILENA R$ 108.039,06 R$ 10.803,91 123.077,42R$ -R$ 12.307,75R$ PR MARILUZ R$ 108.039,06 R$ 15.964,40 123.077,42R$ -R$ 18.186,54R$ PR MARINGÁ SIM R$ 1.696.791,65 R$ 119.553,25 1.932.974,44R$ 773.189,78R$ 136.194,32R$ PR MARIÓPOLIS R$ 108.039,06 R$ 10.803,91 123.077,42R$ -R$ 12.307,75R$ PR MARIPÁ R$ 108.039,06 R$ 10.803,91 123.077,42R$ -R$ 12.307,75R$ PR MARMELEIRO R$ 108.039,06 R$ 10.803,91 123.077,42R$ -R$ 12.307,75R$ PR MARQUINHO R$ 108.039,06 R$ 10.803,91 123.077,42R$ -R$ 12.307,75R$ PR MARUMBI R$ 108.039,06 R$ 10.803,91 123.077,42R$ -R$ 12.307,75R$ PR MATELÂNDIA R$ 108.039,06 R$ 15.012,72 123.077,42R$ -R$ 17.102,40R$ PR MATINHOS R$ 382.585,20 R$ 47.482,24 435.838,67R$ -R$ 54.091,47R$ PR MATO RICO R$ 108.039,06 R$ 10.803,91 123.077,42R$ -R$ 12.307,75R$ PR MAUÁ DA SERRA R$ 108.039,06 R$ 23.796,32 123.077,42R$ -R$ 27.108,62R$ PR MEDIANEIRA R$ 329.119,52 R$ 58.227,87 374.930,90R$ -R$ 66.332,83R$ PR MERCEDES R$ 108.039,06 R$ 10.803,91 123.077,42R$ -R$ 12.307,75R$ PR MIRADOR R$ 108.039,06 R$ 10.803,91 123.077,42R$ -R$ 12.307,75R$ PR MIRASELVA R$ 108.039,06 R$ 10.803,91 123.077,42R$ -R$ 12.307,75R$ PR MISSAL R$ 108.039,06 R$ 10.803,91 123.077,42R$ -R$ 12.307,75R$ PR MOREIRA SALES R$ 108.039,06 R$ 10.803,91 123.077,42R$ -R$ 12.307,75R$ PR MORRETES R$ 108.039,06 R$ 19.984,42 123.077,42R$ -R$ 22.766,13R$ PR MUNHOZ DE MELO R$ 108.039,06 R$ 10.803,91 123.077,42R$ -R$ 12.307,75R$ PR NOSSA SENHORA DAS GRAÇAS R$ 108.039,06 R$ 10.803,91 123.077,42R$ -R$ 12.307,75R$ PR NOVA ALIANÇA DO IVAÍ R$ 108.039,06 R$ 10.803,91 123.077,42R$ -R$ 12.307,75R$ PR NOVA AMÉRICA DA COLINA R$ 108.039,06 R$ 14.296,86 123.077,42R$ -R$ 16.286,89R$ PR NOVA AURORA R$ 108.039,06 R$ 32.132,95 123.077,42R$ -R$ 36.605,66R$ PR NOVA CANTU R$ 108.039,06 R$ 10.803,91 123.077,42R$ -R$ 12.307,75R$ PR NOVA ESPERANÇA R$ 108.039,06 R$ 15.187,25 123.077,42R$ -R$ 17.301,22R$ PR NOVA ESPERANÇA DO SUDOESTE R$ 108.039,06 R$ 10.803,91 123.077,42R$ -R$ 12.307,75R$ PR NOVA FÁTIMA R$ 108.039,06 R$ 10.803,91 123.077,42R$ -R$ 12.307,75R$ PR NOVA LARANJEIRAS R$ 108.039,06 R$ 10.803,91 123.077,42R$ -R$ 12.307,75R$ PR NOVA LONDRINA R$ 108.039,06 R$ 10.803,91 123.077,42R$ -R$ 12.307,75R$ PR NOVA OLÍMPIA R$ 108.039,06 R$ 10.803,91 123.077,42R$ -R$ 12.307,75R$ PR NOVA PRATA DO IGUAÇU R$ 108.039,06 R$ 10.803,91 123.077,42R$ -R$ 12.307,75R$ 52
  • 53.
    Tribunal Superior Eleitoral PREFEITO 1ºTURNO 1º TURNO 2º TURNO UF POSSIBILIDADE DE SEGUNDO TURNO VEREADORVEREADOR LIMITE DE GASTOS OBSERVADO O MÍNIMO LEGAL (R$ 100,000,00 PARA PREFEITO E R$ 10.000,00 PARA VEREADOR ) EM 2016*** LIMITE DE GASTOS 2020 (ATUALIZADO PELO IPCA DE JUNHO/2016 ATÉ JUNHO/2020*) PREFEITO MUNICÍPIO** PR NOVA SANTA BÁRBARA R$ 108.039,06 R$ 10.803,91 123.077,42R$ -R$ 12.307,75R$ PR NOVA SANTA ROSA R$ 108.039,06 R$ 10.803,91 123.077,42R$ -R$ 12.307,75R$ PR NOVA TEBAS R$ 108.039,06 R$ 10.803,91 123.077,42R$ -R$ 12.307,75R$ PR NOVO ITACOLOMI R$ 108.039,06 R$ 10.803,91 123.077,42R$ -R$ 12.307,75R$ PR ORTIGUEIRA R$ 108.039,06 R$ 34.152,56 123.077,42R$ -R$ 38.906,38R$ PR OURIZONA R$ 108.039,06 R$ 10.803,91 123.077,42R$ -R$ 12.307,75R$ PR OURO VERDE DO OESTE R$ 108.039,06 R$ 10.803,91 123.077,42R$ -R$ 12.307,75R$ PR PAIÇANDU R$ 108.039,06 R$ 10.803,91 123.077,42R$ -R$ 12.307,75R$ PR PALMAS R$ 108.039,06 R$ 10.803,91 123.077,42R$ -R$ 12.307,75R$ PR PALMEIRA R$ 108.039,06 R$ 14.503,20 123.077,42R$ -R$ 16.521,95R$ PR PALMITAL R$ 245.642,08 R$ 15.795,86 279.833,92R$ -R$ 17.994,54R$ PR PALOTINA R$ 203.047,44 R$ 65.350,22 231.310,37R$ -R$ 74.446,56R$ PR PARAÍSO DO NORTE R$ 108.039,06 R$ 10.803,91 123.077,42R$ -R$ 12.307,75R$ PR PARANACITY R$ 108.039,06 R$ 10.803,91 123.077,42R$ -R$ 12.307,75R$ PR PARANAGUÁ R$ 809.358,75 122.982,52 922.016,43R$ -R$ 140.100,92R$ PR PARANAPOEMA R$ 108.039,06 R$ 10.803,91 123.077,42R$ -R$ 12.307,75R$ PR PARANAVAÍ R$ 159.196,95 R$ 21.699,87 181.356,17R$ -R$ 24.720,36R$ PR PATO BRAGADO R$ 108.039,06 R$ 10.803,91 123.077,42R$ -R$ 12.307,75R$ PR PATO BRANCO R$ 812.048,90 R$ 40.821,28 925.081,03R$ -R$ 46.503,35R$ PR PAULA FREITAS R$ 108.039,06 R$ 10.803,91 123.077,42R$ -R$ 12.307,75R$ PR PAULO FRONTIN R$ 108.039,06 R$ 10.803,91 123.077,42R$ -R$ 12.307,75R$ PR PEABIRU R$ 108.039,06 R$ 10.803,91 123.077,42R$ -R$ 12.307,75R$ PR PEROBAL R$ 108.039,06 R$ 10.803,91 123.077,42R$ -R$ 12.307,75R$ PR PÉROLA R$ 108.039,06 R$ 10.803,91 123.077,42R$ -R$ 12.307,75R$ PR PÉROLA D'OESTE R$ 108.039,06 R$ 10.803,91 123.077,42R$ -R$ 12.307,75R$ PR PIÊN R$ 108.039,06 R$ 10.803,91 123.077,42R$ -R$ 12.307,75R$ PR PINHAIS R$ 751.442,90 R$ 104.821,99 856.039,05R$ -R$ 119.412,56R$ PR PINHAL DE SÃO BENTO R$ 108.039,06 R$ 10.803,91 123.077,42R$ -R$ 12.307,75R$ PR PINHALÃO R$ 108.039,06 R$ 10.803,91 123.077,42R$ -R$ 12.307,75R$ PR PINHÃO R$ 108.039,06 R$ 10.803,91 123.077,42R$ -R$ 12.307,75R$ PR PIRAÍ DO SUL R$ 108.039,06 R$ 10.803,91 123.077,42R$ -R$ 12.307,75R$ PR PIRAQUARA R$ 563.539,23 R$ 31.725,56 641.980,37R$ -R$ 36.141,56R$ PR PITANGA R$ 254.063,15 R$ 20.144,84 289.427,15R$ -R$ 22.948,88R$ PR PITANGUEIRAS R$ 108.039,06 R$ 18.147,63 123.077,42R$ -R$ 20.673,67R$ PR PLANALTINA DO PARANÁ R$ 108.039,06 R$ 10.803,91 123.077,42R$ -R$ 12.307,75R$ PR PLANALTO R$ 108.039,06 R$ 10.803,91 123.077,42R$ -R$ 12.307,75R$ PR PONTA GROSSA SIM R$ 1.548.391,21 R$ 93.515,09 1.763.917,59R$ 705.567,03R$ 106.531,81R$ PR PONTAL DO PARANÁ R$ 187.395,93 R$ 89.874,90 213.480,27R$ -R$ 102.384,92R$ PR PORECATU R$ 108.039,06 R$ 10.803,91 123.077,42R$ -R$ 12.307,75R$ PR PORTO AMAZONAS R$ 108.039,06 R$ 10.803,91 123.077,42R$ -R$ 12.307,75R$ PR PORTO BARREIRO R$ 108.039,06 R$ 10.803,91 123.077,42R$ -R$ 12.307,75R$ PR PORTO RICO R$ 108.039,06 R$ 10.803,91 123.077,42R$ -R$ 12.307,75R$ PR PORTO VITÓRIA R$ 108.039,06 R$ 10.803,91 123.077,42R$ -R$ 12.307,75R$ PR PRADO FERREIRA R$ 108.039,06 R$ 10.803,91 123.077,42R$ -R$ 12.307,75R$ PR PRANCHITA R$ 108.039,06 R$ 10.803,91 123.077,42R$ -R$ 12.307,75R$ PR PRESIDENTE CASTELO BRANCO R$ 108.039,06 R$ 10.803,91 123.077,42R$ -R$ 12.307,75R$ PR PRIMEIRO DE MAIO R$ 108.039,06 R$ 10.803,91 123.077,42R$ -R$ 12.307,75R$ PR PRUDENTÓPOLIS R$ 136.878,27 R$ 40.960,71 155.930,87R$ -R$ 46.662,18R$ PR QUARTO CENTENÁRIO R$ 108.039,06 R$ 10.803,91 123.077,42R$ -R$ 12.307,75R$ PR QUATIGUÁ R$ 108.039,06 R$ 10.803,91 123.077,42R$ -R$ 12.307,75R$ PR QUATRO BARRAS R$ 108.039,06 R$ 10.803,91 123.077,42R$ -R$ 12.307,75R$ PR QUATRO PONTES R$ 108.039,06 R$ 10.803,91 123.077,42R$ -R$ 12.307,75R$ PR QUEDAS DO IGUAÇU R$ 108.039,06 R$ 10.803,91 123.077,42R$ -R$ 12.307,75R$ PR QUERÊNCIA DO NORTE R$ 108.039,06 R$ 10.803,91 123.077,42R$ -R$ 12.307,75R$ PR QUINTA DO SOL R$ 108.039,06 R$ 10.803,91 123.077,42R$ -R$ 12.307,75R$ PR QUITANDINHA R$ 108.039,06 R$ 10.803,91 123.077,42R$ -R$ 12.307,75R$ PR RAMILÂNDIA R$ 108.039,06 R$ 10.803,91 123.077,42R$ -R$ 12.307,75R$ PR RANCHO ALEGRE R$ 108.039,06 R$ 10.803,91 123.077,42R$ -R$ 12.307,75R$ PR RANCHO ALEGRE D'OESTE R$ 108.039,06 R$ 10.803,91 123.077,42R$ -R$ 12.307,75R$ PR REALEZA R$ 108.039,06 R$ 10.803,91 123.077,42R$ -R$ 12.307,75R$ PR REBOUÇAS R$ 108.039,06 R$ 10.803,91 123.077,42R$ -R$ 12.307,75R$ PR RENASCENÇA R$ 108.039,06 R$ 10.803,91 123.077,42R$ -R$ 12.307,75R$ PR RESERVA R$ 108.039,06 R$ 10.803,91 123.077,42R$ -R$ 12.307,75R$ PR RESERVA DO IGUAÇU R$ 108.039,06 R$ 10.803,91 123.077,42R$ -R$ 12.307,75R$ PR RIBEIRÃO CLARO R$ 108.039,06 R$ 15.204,72 123.077,42R$ -R$ 17.321,12R$ PR RIBEIRÃO DO PINHAL R$ 108.039,06 R$ 18.386,54 123.077,42R$ -R$ 20.945,83R$ 53
  • 54.
    Tribunal Superior Eleitoral PREFEITO 1ºTURNO 1º TURNO 2º TURNO UF POSSIBILIDADE DE SEGUNDO TURNO VEREADORVEREADOR LIMITE DE GASTOS OBSERVADO O MÍNIMO LEGAL (R$ 100,000,00 PARA PREFEITO E R$ 10.000,00 PARA VEREADOR ) EM 2016*** LIMITE DE GASTOS 2020 (ATUALIZADO PELO IPCA DE JUNHO/2016 ATÉ JUNHO/2020*) PREFEITO MUNICÍPIO** PR RIO AZUL R$ 108.039,06 R$ 10.803,91 123.077,42R$ -R$ 12.307,75R$ PR RIO BOM R$ 108.039,06 R$ 26.036,02 123.077,42R$ -R$ 29.660,07R$ PR RIO BONITO DO IGUAÇU R$ 108.039,06 R$ 10.803,91 123.077,42R$ -R$ 12.307,75R$ PR RIO BRANCO DO IVAÍ R$ 108.039,06 R$ 10.803,91 123.077,42R$ -R$ 12.307,75R$ PR RIO BRANCO DO SUL R$ 108.039,06 R$ 21.031,73 123.077,42R$ -R$ 23.959,22R$ PR RIO NEGRO R$ 108.039,06 R$ 37.734,53 123.077,42R$ -R$ 42.986,94R$ PR ROLÂNDIA R$ 363.964,10 R$ 33.050,14 414.625,63R$ -R$ 37.650,51R$ PR RONCADOR R$ 108.039,06 R$ 10.803,91 123.077,42R$ -R$ 12.307,75R$ PR RONDON R$ 108.039,06 R$ 10.803,91 123.077,42R$ -R$ 12.307,75R$ PR ROSÁRIO DO IVAÍ R$ 108.039,06 R$ 10.803,91 123.077,42R$ -R$ 12.307,75R$ PR SABÁUDIA R$ 108.039,06 R$ 10.803,91 123.077,42R$ -R$ 12.307,75R$ PR SALGADO FILHO R$ 108.039,06 R$ 10.803,91 123.077,42R$ -R$ 12.307,75R$ PR SALTO DO ITARARÉ R$ 108.039,06 R$ 10.803,91 123.077,42R$ -R$ 12.307,75R$ PR SALTO DO LONTRA R$ 108.039,06 R$ 10.803,91 123.077,42R$ -R$ 12.307,75R$ PR SANTA AMÉLIA R$ 108.039,06 R$ 10.803,91 123.077,42R$ -R$ 12.307,75R$ PR SANTA CECÍLIA DO PAVÃO R$ 108.039,06 R$ 10.803,91 123.077,42R$ -R$ 12.307,75R$ PR SANTA CRUZ DE MONTE CASTELO R$ 108.039,06 R$ 10.803,91 123.077,42R$ -R$ 12.307,75R$ PR SANTA FÉ R$ 231.465,61 R$ 10.803,91 263.684,18R$ -R$ 12.307,75R$ PR SANTA HELENA R$ 108.039,06 R$ 10.803,91 123.077,42R$ -R$ 12.307,75R$ PR SANTA INÊS R$ 108.039,06 R$ 10.803,91 123.077,42R$ -R$ 12.307,75R$ PR SANTA ISABEL DO IVAÍ R$ 108.039,06 R$ 10.803,91 123.077,42R$ -R$ 12.307,75R$ PR SANTA IZABEL DO OESTE R$ 108.039,06 R$ 10.803,91 123.077,42R$ -R$ 12.307,75R$ PR SANTA LÚCIA R$ 108.039,06 R$ 10.803,91 123.077,42R$ -R$ 12.307,75R$ PR SANTA MARIA DO OESTE R$ 108.039,06 R$ 10.803,91 123.077,42R$ -R$ 12.307,75R$ PR SANTA MARIANA R$ 108.039,06 R$ 10.803,91 123.077,42R$ -R$ 12.307,75R$ PR SANTA MÔNICA R$ 108.039,06 R$ 10.803,91 123.077,42R$ -R$ 12.307,75R$ PR SANTA TEREZA DO OESTE R$ 108.039,06 R$ 10.803,91 123.077,42R$ -R$ 12.307,75R$ PR SANTA TEREZINHA DE ITAIPU R$ 241.408,53 R$ 19.040,36 275.011,09R$ -R$ 21.690,66R$ PR SANTANA DO ITARARÉ R$ 108.039,06 R$ 10.803,91 123.077,42R$ -R$ 12.307,75R$ PR SANTO ANTÔNIO DA PLATINA R$ 248.918,43 R$ 17.035,24 283.566,32R$ -R$ 19.406,44R$ PR SANTO ANTONIO DO CAIUÁ R$ 108.039,06 R$ 10.803,91 123.077,42R$ -R$ 12.307,75R$ PR SANTO ANTÔNIO DO PARAÍSO R$ 108.039,06 R$ 10.803,91 123.077,42R$ -R$ 12.307,75R$ PR SANTO ANTÔNIO DO SUDOESTE R$ 108.039,06 R$ 10.803,91 123.077,42R$ -R$ 12.307,75R$ PR SANTO INÁCIO R$ 108.039,06 R$ 10.803,91 123.077,42R$ -R$ 12.307,75R$ PR SÃO CARLOS DO IVAÍ R$ 108.039,06 R$ 10.803,91 123.077,42R$ -R$ 12.307,75R$ PR SÃO JERÔNIMO DA SERRA R$ 108.039,06 R$ 10.803,91 123.077,42R$ -R$ 12.307,75R$ PR SÃO JOÃO R$ 108.039,06 R$ 10.803,91 123.077,42R$ -R$ 12.307,75R$ PR SÃO JOÃO DO CAIUÁ R$ 108.039,06 R$ 10.803,91 123.077,42R$ -R$ 12.307,75R$ PR SÃO JOÃO DO IVAÍ R$ 108.039,06 R$ 15.221,52 123.077,42R$ -R$ 17.340,26R$ PR SÃO JOÃO DO TRIUNFO R$ 108.039,06 R$ 10.803,91 123.077,42R$ -R$ 12.307,75R$ PR SÃO JORGE DO IVAÍ R$ 108.039,06 R$ 10.803,91 123.077,42R$ -R$ 12.307,75R$ PR SÃO JORGE DO PATROCÍNIO R$ 108.039,06 R$ 10.803,91 123.077,42R$ -R$ 12.307,75R$ PR SÃO JORGE D'OESTE R$ 108.039,06 R$ 10.803,91 123.077,42R$ -R$ 12.307,75R$ PR SÃO JOSÉ DA BOA VISTA R$ 108.039,06 R$ 10.803,91 123.077,42R$ -R$ 12.307,75R$ PR SÃO JOSÉ DAS PALMEIRAS R$ 108.039,06 R$ 10.803,91 123.077,42R$ -R$ 12.307,75R$ PR SÃO JOSÉ DOS PINHAIS R$ 3.600.350,45 R$ 60.723,87 4.101.496,73R$ -R$ 69.176,25R$ PR SÃO MANOEL DO PARANÁ R$ 108.039,06 R$ 10.803,91 123.077,42R$ -R$ 12.307,75R$ PR SÃO MATEUS DO SUL R$ 108.039,06 R$ 19.336,97 123.077,42R$ -R$ 22.028,56R$ PR SÃO MIGUEL DO IGUAÇU R$ 108.039,06 R$ 16.060,85 123.077,42R$ -R$ 18.296,42R$ PR SÃO PEDRO DO IGUAÇU R$ 108.039,06 R$ 10.803,91 123.077,42R$ -R$ 12.307,75R$ PR SÃO PEDRO DO IVAÍ R$ 108.039,06 R$ 10.803,91 123.077,42R$ -R$ 12.307,75R$ PR SÃO PEDRO DO PARANÁ R$ 108.039,06 R$ 10.803,91 123.077,42R$ -R$ 12.307,75R$ PR SÃO SEBASTIÃO DA AMOREIRA R$ 108.039,06 R$ 10.803,91 123.077,42R$ -R$ 12.307,75R$ PR SÃO TOMÉ R$ 108.039,06 R$ 10.803,91 123.077,42R$ -R$ 12.307,75R$ PR SAPOPEMA R$ 187.814,89 R$ 10.803,91 213.957,55R$ -R$ 12.307,75R$ PR SARANDI R$ 335.470,21 R$ 23.714,66 382.165,57R$ -R$ 27.015,59R$ PR SAUDADE DO IGUAÇU R$ 108.039,06 R$ 10.803,91 123.077,42R$ -R$ 12.307,75R$ PR SENGÉS R$ 108.039,06 R$ 25.775,23 123.077,42R$ -R$ 29.362,98R$ PR SERRANÓPOLIS DO IGUAÇU R$ 108.039,06 R$ 10.803,91 123.077,42R$ -R$ 12.307,75R$ PR SERTANEJA R$ 108.039,06 R$ 10.803,91 123.077,42R$ -R$ 12.307,75R$ PR SERTANÓPOLIS R$ 108.039,06 R$ 47.802,75 123.077,42R$ -R$ 54.456,59R$ PR SIQUEIRA CAMPOS R$ 445.985,70 R$ 10.803,91 508.064,12R$ -R$ 12.307,75R$ PR SULINA R$ 108.039,06 R$ 10.803,91 123.077,42R$ -R$ 12.307,75R$ PR TAMARANA R$ 108.039,06 R$ 10.803,91 123.077,42R$ -R$ 12.307,75R$ PR TAMBOARA R$ 108.039,06 R$ 10.803,91 123.077,42R$ -R$ 12.307,75R$ PR TAPEJARA R$ 108.039,06 R$ 10.803,91 123.077,42R$ -R$ 12.307,75R$ 54
  • 55.
    Tribunal Superior Eleitoral PREFEITO 1ºTURNO 1º TURNO 2º TURNO UF POSSIBILIDADE DE SEGUNDO TURNO VEREADORVEREADOR LIMITE DE GASTOS OBSERVADO O MÍNIMO LEGAL (R$ 100,000,00 PARA PREFEITO E R$ 10.000,00 PARA VEREADOR ) EM 2016*** LIMITE DE GASTOS 2020 (ATUALIZADO PELO IPCA DE JUNHO/2016 ATÉ JUNHO/2020*) PREFEITO MUNICÍPIO** PR TAPIRA R$ 108.039,06 R$ 10.803,91 123.077,42R$ -R$ 12.307,75R$ PR TEIXEIRA SOARES R$ 108.039,06 R$ 10.803,91 123.077,42R$ -R$ 12.307,75R$ PR TELÊMACO BORBA R$ 143.944,61 R$ 23.554,48 163.980,80R$ -R$ 26.833,12R$ PR TERRA BOA R$ 108.039,06 R$ 10.803,91 123.077,42R$ -R$ 12.307,75R$ PR TERRA RICA R$ 108.039,06 R$ 10.803,91 123.077,42R$ -R$ 12.307,75R$ PR TERRA ROXA R$ 108.039,06 R$ 17.207,85 123.077,42R$ -R$ 19.603,08R$ PR TIBAGI R$ 284.784,84 R$ 43.810,83 324.425,11R$ -R$ 49.909,02R$ PR TIJUCAS DO SUL R$ 108.039,06 R$ 10.803,91 123.077,42R$ -R$ 12.307,75R$ PR TOLEDO R$ 959.146,51 R$ 44.379,69 1.092.653,71R$ -R$ 50.557,07R$ PR TOMAZINA R$ 108.039,06 R$ 10.803,91 123.077,42R$ -R$ 12.307,75R$ PR TRÊS BARRAS DO PARANÁ R$ 108.039,06 R$ 10.803,91 123.077,42R$ -R$ 12.307,75R$ PR TUNAS DO PARANÁ R$ 143.530,30 R$ 16.752,61 163.508,82R$ -R$ 19.084,47R$ PR TUNEIRAS DO OESTE R$ 108.039,06 R$ 10.803,91 123.077,42R$ -R$ 12.307,75R$ PR TUPÃSSI R$ 108.039,06 R$ 13.945,25 123.077,42R$ -R$ 15.886,34R$ PR TURVO R$ 108.039,06 R$ 16.773,77 123.077,42R$ -R$ 19.108,57R$ PR UBIRATÃ R$ 108.039,06 R$ 10.803,91 123.077,42R$ -R$ 12.307,75R$ PR UMUARAMA R$ 108.039,06 R$ 46.895,97 123.077,42R$ -R$ 53.423,60R$ PR UNIÃO DA VITÓRIA R$ 392.762,80 R$ 31.614,62 447.432,93R$ -R$ 36.015,18R$ PR UNIFLOR R$ 108.039,06 R$ 10.803,91 123.077,42R$ -R$ 12.307,75R$ PR URAÍ R$ 108.039,06 R$ 10.803,91 123.077,42R$ -R$ 12.307,75R$ PR VENTANIA R$ 108.039,06 R$ 10.803,91 123.077,42R$ -R$ 12.307,75R$ PR VERA CRUZ DO OESTE R$ 108.039,06 R$ 10.803,91 123.077,42R$ -R$ 12.307,75R$ PR VERÊ R$ 108.039,06 R$ 10.803,91 123.077,42R$ -R$ 12.307,75R$ PR VIRMOND R$ 108.039,06 R$ 10.803,91 123.077,42R$ -R$ 12.307,75R$ PR VITORINO R$ 108.039,06 R$ 10.803,91 123.077,42R$ -R$ 12.307,75R$ PR WENCESLAU BRAZ R$ 108.039,06 R$ 10.803,91 123.077,42R$ -R$ 12.307,75R$ PR XAMBRÊ R$ 182.828,46 R$ 10.803,91 208.277,04R$ -R$ 12.307,75R$ RJ ANGRA DOS REIS R$ 882.700,03 R$ 145.710,82 1.005.566,36R$ -R$ 165.992,86R$ RJ APERIBÉ R$ 108.039,06 R$ 10.803,91 123.077,42R$ -R$ 12.307,75R$ RJ ARARUAMA R$ 939.719,02 R$ 120.666,63 1.070.522,03R$ -R$ 137.462,67R$ RJ AREAL R$ 108.039,06 R$ 16.228,01 123.077,42R$ -R$ 18.486,85R$ RJ ARMAÇÃO DOS BÚZIOS R$ 467.148,25 R$ 51.651,26 532.172,37R$ -R$ 58.840,79R$ RJ ARRAIAL DO CABO R$ 108.039,06 R$ 35.615,13 123.077,42R$ -R$ 40.572,53R$ RJ BARRA DO PIRAÍ R$ 440.007,88 R$ 39.247,43 501.254,23R$ -R$ 44.710,43R$ RJ BARRA MANSA R$ 774.599,15 R$ 56.116,40 882.418,51R$ -R$ 63.927,45R$ RJ BELFORD ROXO SIM R$ 805.781,62 R$ 122.982,52 917.941,38R$ 367.176,55R$ 140.100,92R$ RJ BOM JARDIM R$ 108.039,06 R$ 16.189,12 123.077,42R$ -R$ 18.442,54R$ RJ BOM JESUS DO ITABAPOANA R$ 108.039,06 R$ 18.539,31 123.077,42R$ -R$ 21.119,87R$ RJ CABO FRIO R$ 1.392.880,29 R$ 74.554,71 1.586.760,52R$ -R$ 84.932,26R$ RJ CACHOEIRAS DE MACACU R$ 310.189,11 R$ 68.539,82 353.365,50R$ -R$ 78.080,13R$ RJ CAMBUCI R$ 108.039,06 R$ 20.448,01 123.077,42R$ -R$ 23.294,25R$ RJ CAMPOS DOS GOYTACAZES SIM R$ 2.123.379,03 R$ 280.295,75 2.418.940,12R$ 967.576,05R$ 319.311,17R$ RJ CANTAGALO R$ 108.039,06 R$ 10.803,91 123.077,42R$ -R$ 12.307,75R$ RJ CARAPEBUS R$ 270.680,40 R$ 10.803,91 308.357,42R$ -R$ 12.307,75R$ RJ CARDOSO MOREIRA R$ 146.186,85 R$ 10.803,91 166.535,15R$ -R$ 12.307,75R$ RJ CARMO R$ 108.039,06 R$ 17.734,00 123.077,42R$ -R$ 20.202,46R$ RJ CASIMIRO DE ABREU R$ 701.079,04 R$ 45.801,93 798.664,86R$ -R$ 52.177,27R$ RJ COMENDADOR LEVY GASPARIAN R$ 108.039,06 R$ 10.803,91 123.077,42R$ -R$ 12.307,75R$ RJ CONCEIÇÃO DE MACABU R$ 181.048,23 R$ 18.085,19 206.249,01R$ -R$ 20.602,54R$ RJ CORDEIRO R$ 108.039,06 R$ 18.726,57 123.077,42R$ -R$ 21.333,19R$ RJ DUAS BARRAS R$ 108.039,06 R$ 10.803,91 123.077,42R$ -R$ 12.307,75R$ RJ DUQUE DE CAXIAS SIM R$ 2.830.342,40 R$ 306.121,47 3.224.308,37R$ 1.289.723,35R$ 348.731,67R$ RJ ENGENHEIRO PAULO DE FRONTIN R$ 165.480,55 R$ 13.556,26 188.514,41R$ -R$ 15.443,21R$ RJ GUAPIMIRIM R$ 191.805,79 R$ 40.117,56 218.503,96R$ -R$ 45.701,67R$ RJ IGUABA GRANDE R$ 325.023,66 R$ 45.237,18 370.264,92R$ -R$ 51.533,91R$ RJ ITABORAÍ R$ 1.577.707,77 R$ 92.912,05 1.797.314,83R$ -R$ 105.844,83R$ RJ ITAGUAÍ R$ 554.340,15 R$ 69.569,11 631.500,83R$ -R$ 79.252,70R$ RJ ITALVA R$ 108.039,06 R$ 10.803,91 123.077,42R$ -R$ 12.307,75R$ RJ ITAOCARA R$ 108.039,06 R$ 10.803,91 123.077,42R$ -R$ 12.307,75R$ RJ ITAPERUNA R$ 400.567,83 R$ 34.687,38 456.324,37R$ -R$ 39.515,65R$ RJ ITATIAIA R$ 308.997,11 R$ 10.803,91 352.007,58R$ -R$ 12.307,75R$ RJ JAPERI R$ 423.028,61 R$ 75.637,42 481.911,55R$ -R$ 86.165,68R$ RJ LAJE DO MURIAÉ R$ 108.039,06 R$ 10.803,91 123.077,42R$ -R$ 12.307,75R$ RJ MACAÉ R$ 2.577.907,44 R$ 253.322,86 2.936.736,04R$ -R$ 288.583,82R$ RJ MACUCO R$ 108.039,06 R$ 10.803,91 123.077,42R$ -R$ 12.307,75R$ RJ MAGÉ R$ 733.070,42 R$ 108.795,30 835.109,24R$ -R$ 123.938,93R$ 55
  • 56.
    Tribunal Superior Eleitoral PREFEITO 1ºTURNO 1º TURNO 2º TURNO UF POSSIBILIDADE DE SEGUNDO TURNO VEREADORVEREADOR LIMITE DE GASTOS OBSERVADO O MÍNIMO LEGAL (R$ 100,000,00 PARA PREFEITO E R$ 10.000,00 PARA VEREADOR ) EM 2016*** LIMITE DE GASTOS 2020 (ATUALIZADO PELO IPCA DE JUNHO/2016 ATÉ JUNHO/2020*) PREFEITO MUNICÍPIO** RJ MANGARATIBA R$ 692.283,96 R$ 94.358,52 788.645,56R$ -R$ 107.492,64R$ RJ MARICÁ R$ 1.714.579,98 R$ 89.603,79 1.953.238,80R$ -R$ 102.076,08R$ RJ MENDES R$ 143.362,04 R$ 10.803,91 163.317,14R$ -R$ 12.307,75R$ RJ MESQUITA R$ 614.623,00 R$ 67.760,43 700.174,68R$ -R$ 77.192,26R$ RJ MIGUEL PEREIRA R$ 190.996,33 R$ 16.667,59 217.581,83R$ -R$ 18.987,61R$ RJ MIRACEMA R$ 143.133,83 R$ 15.053,17 163.057,16R$ -R$ 17.148,48R$ RJ NATIVIDADE R$ 252.075,87 R$ 32.436,11 287.163,26R$ -R$ 36.951,01R$ RJ NILÓPOLIS R$ 928.217,42 R$ 68.977,39 1.057.419,48R$ -R$ 78.578,61R$ RJ NITERÓI SIM R$ 5.411.648,23 R$ 358.315,24 6.164.915,83R$ 2.465.966,33R$ 408.190,48R$ RJ NOVA FRIBURGO R$ 1.470.181,14 R$ 57.066,92 1.674.821,16R$ -R$ 65.010,28R$ RJ NOVA IGUAÇU SIM R$ 3.310.089,01 R$ 130.571,00 3.770.832,71R$ 1.508.333,08R$ 148.745,67R$ RJ PARACAMBI R$ 365.251,09 R$ 16.206,83 416.091,76R$ -R$ 18.462,72R$ RJ PARAÍBA DO SUL R$ 140.449,30 R$ 10.803,91 159.998,96R$ -R$ 12.307,75R$ RJ PARATY R$ 431.542,37 R$ 19.681,63 491.610,37R$ -R$ 22.421,19R$ RJ PATY DO ALFERES R$ 245.418,74 R$ 15.121,71 279.579,49R$ -R$ 17.226,56R$ RJ PETRÓPOLIS SIM R$ 1.091.341,25 R$ 234.065,03 1.243.249,13R$ 497.299,65R$ 266.645,42R$ RJ PINHEIRAL R$ 108.039,06 R$ 10.803,91 123.077,42R$ -R$ 12.307,75R$ RJ PIRAÍ R$ 441.380,65 R$ 28.044,92 502.818,08R$ -R$ 31.948,60R$ RJ PORCIÚNCULA R$ 283.083,43 R$ 33.782,55 322.486,87R$ -R$ 38.484,87R$ RJ PORTO REAL R$ 528.286,61 R$ 17.963,48 601.820,80R$ -R$ 20.463,88R$ RJ QUATIS R$ 155.847,36 R$ 10.803,91 177.540,34R$ -R$ 12.307,75R$ RJ QUEIMADOS R$ 501.881,14 R$ 92.072,01 571.739,86R$ -R$ 104.887,86R$ RJ QUISSAMÃ R$ 456.896,08 R$ 74.306,37 520.493,16R$ -R$ 84.649,35R$ RJ RESENDE R$ 630.483,71 R$ 45.604,41 718.243,10R$ -R$ 51.952,26R$ RJ RIO BONITO R$ 396.689,32 R$ 31.556,43 451.905,99R$ -R$ 35.948,89R$ RJ RIO CLARO R$ 108.039,06 R$ 10.803,91 123.077,42R$ -R$ 12.307,75R$ RJ RIO DAS FLORES R$ 160.518,85 R$ 16.344,22 182.862,07R$ -R$ 18.619,23R$ RJ RIO DAS OSTRAS R$ 1.150.995,24 R$ 173.975,76 1.311.206,58R$ -R$ 198.192,10R$ RJ RIO DE JANEIRO SIM R$ 19.858.352,08 R$ 1.399.742,04 22.622.510,55R$ 9.049.004,22R$ 1.594.577,38R$ RJ SANTA MARIA MADALENA R$ 108.039,06 R$ 10.803,91 123.077,42R$ -R$ 12.307,75R$ RJ SANTO ANTÔNIO DE PÁDUA R$ 108.039,06 R$ 29.775,25 123.077,42R$ -R$ 33.919,78R$ RJ SÃO FIDÉLIS R$ 592.102,49 R$ 107.589,97 674.519,46R$ -R$ 122.565,82R$ RJ SÃO FRANCISCO DE ITABAPOANA R$ 293.841,52 R$ 18.060,84 334.742,42R$ -R$ 20.574,80R$ RJ SÃO GONÇALO SIM R$ 2.734.642,75 R$ 258.866,13 3.115.287,93R$ 1.246.115,17R$ 294.898,68R$ RJ SÃO JOÃO DA BARRA R$ 719.021,86 R$ 51.717,27 819.105,21R$ -R$ 58.915,99R$ RJ SÃO JOÃO DE MERITI SIM R$ 715.862,26 R$ 212.429,56 815.505,81R$ 326.202,32R$ 241.998,43R$ RJ SÃO JOSÉ DE UBÁ R$ 108.039,06 R$ 10.803,91 123.077,42R$ -R$ 12.307,75R$ RJ SÃO JOSÉ DO VALE DO RIO PRETO R$ 108.039,06 R$ 15.035,86 123.077,42R$ -R$ 17.128,76R$ RJ SÃO PEDRO DA ALDEIA R$ 428.089,46 R$ 10.803,91 487.676,84R$ -R$ 12.307,75R$ RJ SÃO SEBASTIÃO DO ALTO R$ 108.039,06 R$ 10.803,91 123.077,42R$ -R$ 12.307,75R$ RJ SAPUCAIA R$ 108.039,06 R$ 10.803,91 123.077,42R$ -R$ 12.307,75R$ RJ SAQUAREMA R$ 1.586.740,14 R$ 84.831,38 1.807.604,45R$ -R$ 96.639,38R$ RJ SEROPÉDICA R$ 222.288,68 R$ 64.858,55 253.229,87R$ -R$ 73.886,45R$ RJ SILVA JARDIM R$ 511.144,49 R$ 52.771,95 582.292,61R$ -R$ 60.117,48R$ RJ SUMIDOURO R$ 108.039,06 R$ 10.803,91 123.077,42R$ -R$ 12.307,75R$ RJ TANGUÁ R$ 206.661,58 R$ 13.407,05 235.427,58R$ -R$ 15.273,23R$ RJ TERESÓPOLIS R$ 541.014,32 R$ 55.927,90 616.320,13R$ -R$ 63.712,71R$ RJ TRAJANO DE MORAES R$ 108.039,06 R$ 10.803,91 123.077,42R$ -R$ 12.307,75R$ RJ TRÊS RIOS R$ 497.225,46 R$ 78.835,56 566.436,14R$ -R$ 89.808,98R$ RJ VALENÇA R$ 409.350,21 R$ 34.842,05 466.329,20R$ -R$ 39.691,85R$ RJ VARRE-SAI R$ 108.039,06 R$ 10.803,91 123.077,42R$ -R$ 12.307,75R$ RJ VASSOURAS R$ 370.763,09 R$ 44.720,73 422.370,99R$ -R$ 50.945,58R$ RJ VOLTA REDONDA SIM R$ 717.269,70 R$ 86.933,42 817.109,16R$ 326.843,66R$ 99.034,01R$ RN ACARI R$ 142.752,67 R$ 23.095,11 162.622,95R$ -R$ 26.309,80R$ RN AFONSO BEZERRA R$ 108.039,06 R$ 26.869,82 123.077,42R$ -R$ 30.609,93R$ RN ÁGUA NOVA R$ 108.039,06 R$ 10.803,91 123.077,42R$ -R$ 12.307,75R$ RN ALEXANDRIA R$ 108.039,06 R$ 14.756,54 123.077,42R$ -R$ 16.810,56R$ RN ALMINO AFONSO R$ 108.039,06 R$ 10.803,91 123.077,42R$ -R$ 12.307,75R$ RN ALTO DO RODRIGUES R$ 283.936,88 R$ 24.249,48 323.459,12R$ -R$ 27.624,86R$ RN ANGICOS R$ 335.542,74 R$ 23.246,26 382.248,19R$ -R$ 26.481,99R$ RN ANTÔNIO MARTINS R$ 108.039,06 R$ 10.803,91 123.077,42R$ -R$ 12.307,75R$ RN APODI R$ 177.150,80 R$ 27.168,24 201.809,08R$ -R$ 30.949,89R$ RN AREIA BRANCA R$ 294.091,47 R$ 47.508,06 335.027,16R$ -R$ 54.120,88R$ RN AREZ R$ 171.736,52 R$ 10.803,91 195.641,17R$ -R$ 12.307,75R$ RN ASSÚ R$ 290.107,51 R$ 36.278,32 330.488,66R$ -R$ 41.328,04R$ RN BAÍA FORMOSA R$ 108.039,06 R$ 10.803,91 123.077,42R$ -R$ 12.307,75R$ 56
  • 57.
    Tribunal Superior Eleitoral PREFEITO 1ºTURNO 1º TURNO 2º TURNO UF POSSIBILIDADE DE SEGUNDO TURNO VEREADORVEREADOR LIMITE DE GASTOS OBSERVADO O MÍNIMO LEGAL (R$ 100,000,00 PARA PREFEITO E R$ 10.000,00 PARA VEREADOR ) EM 2016*** LIMITE DE GASTOS 2020 (ATUALIZADO PELO IPCA DE JUNHO/2016 ATÉ JUNHO/2020*) PREFEITO MUNICÍPIO** RN BARAÚNA R$ 190.908,05 R$ 42.920,30 217.481,26R$ -R$ 48.894,54R$ RN BARCELONA R$ 108.039,06 R$ 10.803,91 123.077,42R$ -R$ 12.307,75R$ RN BENTO FERNANDES R$ 108.039,06 R$ 19.272,95 123.077,42R$ -R$ 21.955,62R$ RN BOA SAÚDE R$ 108.039,06 R$ 18.082,55 123.077,42R$ -R$ 20.599,53R$ RN BODÓ R$ 108.039,06 R$ 10.803,91 123.077,42R$ -R$ 12.307,75R$ RN BOM JESUS R$ 108.039,06 R$ 22.229,47 123.077,42R$ -R$ 25.323,67R$ RN BREJINHO R$ 235.081,99 R$ 22.271,91 267.803,93R$ -R$ 25.372,02R$ RN CAIÇARA DO NORTE R$ 108.039,06 R$ 10.803,91 123.077,42R$ -R$ 12.307,75R$ RN CAIÇARA DO RIO DO VENTO R$ 108.039,06 R$ 10.803,91 123.077,42R$ -R$ 12.307,75R$ RN CAICÓ R$ 276.337,41 R$ 45.953,79 314.801,85R$ -R$ 52.350,27R$ RN CAMPO GRANDE R$ 108.039,06 R$ 32.373,75 123.077,42R$ -R$ 36.879,97R$ RN CAMPO REDONDO R$ 108.039,06 R$ 27.633,88 123.077,42R$ -R$ 31.480,34R$ RN CANGUARETAMA R$ 236.679,78 R$ 21.377,01 269.624,13R$ -R$ 24.352,56R$ RN CARAÚBAS R$ 108.039,06 R$ 17.351,59 123.077,42R$ -R$ 19.766,82R$ RN CARNAÚBA DOS DANTAS R$ 108.039,06 R$ 18.328,10 123.077,42R$ -R$ 20.879,26R$ RN CARNAUBAIS R$ 108.039,06 R$ 10.803,91 123.077,42R$ -R$ 12.307,75R$ RN CEARÁ-MIRIM R$ 559.456,37 R$ 18.328,63 637.329,20R$ -R$ 20.879,86R$ RN CERRO CORÁ R$ 108.039,06 R$ 17.922,47 123.077,42R$ -R$ 20.417,17R$ RN CORONEL EZEQUIEL R$ 108.039,06 R$ 10.803,91 123.077,42R$ -R$ 12.307,75R$ RN CORONEL JOÃO PESSOA R$ 108.039,06 R$ 10.803,91 123.077,42R$ -R$ 12.307,75R$ RN CRUZETA R$ 108.039,06 R$ 14.335,37 123.077,42R$ -R$ 16.330,76R$ RN CURRAIS NOVOS R$ 184.935,17 R$ 20.955,04 210.676,99R$ -R$ 23.871,85R$ RN DOUTOR SEVERIANO R$ 108.039,06 R$ 10.803,91 123.077,42R$ -R$ 12.307,75R$ RN ENCANTO R$ 108.039,06 R$ 10.803,91 123.077,42R$ -R$ 12.307,75R$ RN EQUADOR R$ 108.039,06 R$ 10.803,91 123.077,42R$ -R$ 12.307,75R$ RN ESPÍRITO SANTO R$ 108.039,06 R$ 15.018,71 123.077,42R$ -R$ 17.109,22R$ RN EXTREMOZ R$ 303.937,07 R$ 33.102,96 346.243,21R$ -R$ 37.710,69R$ RN FELIPE GUERRA R$ 108.039,06 R$ 10.803,91 123.077,42R$ -R$ 12.307,75R$ RN FERNANDO PEDROZA R$ 108.039,06 R$ 10.803,91 123.077,42R$ -R$ 12.307,75R$ RN FLORÂNIA R$ 108.039,06 R$ 10.803,91 123.077,42R$ -R$ 12.307,75R$ RN FRANCISCO DANTAS R$ 108.039,06 R$ 13.759,35 123.077,42R$ -R$ 15.674,57R$ RN FRUTUOSO GOMES R$ 108.039,06 R$ 10.803,91 123.077,42R$ -R$ 12.307,75R$ RN GALINHOS R$ 108.039,06 R$ 10.803,91 123.077,42R$ -R$ 12.307,75R$ RN GOIANINHA R$ 108.039,06 R$ 45.707,42 123.077,42R$ -R$ 52.069,61R$ RN GOVERNADOR DIX-SEPT ROSADO R$ 193.143,53 R$ 37.174,12 220.027,90R$ -R$ 42.348,53R$ RN GROSSOS R$ 108.039,06 R$ 10.803,91 123.077,42R$ -R$ 12.307,75R$ RN GUAMARÉ R$ 189.101,97 R$ 35.633,87 215.423,78R$ -R$ 40.593,88R$ RN IELMO MARINHO R$ 165.030,79 R$ 27.653,77 188.002,04R$ -R$ 31.503,00R$ RN IPANGUAÇU R$ 108.039,06 R$ 17.912,06 123.077,42R$ -R$ 20.405,31R$ RN IPUEIRA R$ 108.039,06 R$ 18.767,49 123.077,42R$ -R$ 21.379,81R$ RN ITAJÁ R$ 108.039,06 R$ 10.803,91 123.077,42R$ -R$ 12.307,75R$ RN ITAÚ R$ 108.039,06 R$ 10.803,91 123.077,42R$ -R$ 12.307,75R$ RN JAÇANÃ R$ 108.039,06 R$ 10.803,91 123.077,42R$ -R$ 12.307,75R$ RN JANDAÍRA R$ 108.039,06 R$ 25.199,28 123.077,42R$ -R$ 28.706,86R$ RN JANDUÍS R$ 108.039,06 R$ 17.427,10 123.077,42R$ -R$ 19.852,84R$ RN JAPI R$ 108.039,06 R$ 13.810,85 123.077,42R$ -R$ 15.733,23R$ RN JARDIM DE ANGICOS R$ 108.039,06 R$ 10.803,91 123.077,42R$ -R$ 12.307,75R$ RN JARDIM DE PIRANHAS R$ 320.488,39 R$ 68.871,61 365.098,37R$ -R$ 78.458,11R$ RN JARDIM DO SERIDÓ R$ 180.337,97 R$ 18.223,78 205.439,89R$ -R$ 20.760,42R$ RN JOÃO CÂMARA R$ 108.039,06 R$ 13.576,77 123.077,42R$ -R$ 15.466,57R$ RN JOÃO DIAS R$ 108.039,06 R$ 10.803,91 123.077,42R$ -R$ 12.307,75R$ RN JOSÉ DA PENHA R$ 108.039,06 R$ 10.803,91 123.077,42R$ -R$ 12.307,75R$ RN JUCURUTU R$ 168.258,26 R$ 22.681,21 191.678,76R$ -R$ 25.838,29R$ RN JUNDIÁ R$ 108.039,06 R$ 10.803,91 123.077,42R$ -R$ 12.307,75R$ RN LAGOA D'ANTA R$ 108.039,06 R$ 10.803,91 123.077,42R$ -R$ 12.307,75R$ RN LAGOA DE PEDRAS R$ 108.039,06 R$ 13.561,37 123.077,42R$ -R$ 15.449,03R$ RN LAGOA DE VELHOS R$ 108.039,06 R$ 10.803,91 123.077,42R$ -R$ 12.307,75R$ RN LAGOA NOVA R$ 108.039,06 R$ 10.803,91 123.077,42R$ -R$ 12.307,75R$ RN LAGOA SALGADA R$ 108.039,06 R$ 10.803,91 123.077,42R$ -R$ 12.307,75R$ RN LAJES R$ 108.039,06 R$ 10.803,91 123.077,42R$ -R$ 12.307,75R$ RN LAJES PINTADAS R$ 108.039,06 R$ 10.803,91 123.077,42R$ -R$ 12.307,75R$ RN LUCRÉCIA R$ 108.039,06 R$ 10.803,91 123.077,42R$ -R$ 12.307,75R$ RN LUÍS GOMES R$ 146.357,64 R$ 10.803,91 166.729,71R$ -R$ 12.307,75R$ RN MACAÍBA R$ 193.538,72 R$ 31.451,71 220.478,10R$ -R$ 35.829,59R$ RN MACAU R$ 156.271,77 R$ 29.087,65 178.023,82R$ -R$ 33.136,47R$ RN MAJOR SALES R$ 108.039,06 R$ 10.803,91 123.077,42R$ -R$ 12.307,75R$ 57
  • 58.
    Tribunal Superior Eleitoral PREFEITO 1ºTURNO 1º TURNO 2º TURNO UF POSSIBILIDADE DE SEGUNDO TURNO VEREADORVEREADOR LIMITE DE GASTOS OBSERVADO O MÍNIMO LEGAL (R$ 100,000,00 PARA PREFEITO E R$ 10.000,00 PARA VEREADOR ) EM 2016*** LIMITE DE GASTOS 2020 (ATUALIZADO PELO IPCA DE JUNHO/2016 ATÉ JUNHO/2020*) PREFEITO MUNICÍPIO** RN MARCELINO VIEIRA R$ 108.039,06 R$ 10.803,91 123.077,42R$ -R$ 12.307,75R$ RN MARTINS R$ 156.853,96 R$ 10.803,91 178.687,05R$ -R$ 12.307,75R$ RN MAXARANGUAPE R$ 108.039,06 R$ 10.803,91 123.077,42R$ -R$ 12.307,75R$ RN MESSIAS TARGINO R$ 108.039,06 R$ 10.803,91 123.077,42R$ -R$ 12.307,75R$ RN MONTANHAS R$ 134.810,62 R$ 10.803,91 153.575,42R$ -R$ 12.307,75R$ RN MONTE ALEGRE R$ 149.562,14 R$ 19.816,79 170.380,25R$ -R$ 22.575,16R$ RN MONTE DAS GAMELEIRAS R$ 108.039,06 R$ 10.803,91 123.077,42R$ -R$ 12.307,75R$ RN MOSSORÓ R$ 2.953.615,39 R$ 195.138,56 3.364.740,19R$ -R$ 222.300,63R$ RN NATAL SIM R$ 5.490.293,93 R$ 339.352,08 6.254.508,52R$ 2.501.803,41R$ 386.587,77R$ RN NÍSIA FLORESTA R$ 108.039,06 R$ 36.853,57 123.077,42R$ -R$ 41.983,36R$ RN NOVA CRUZ R$ 291.410,48 R$ 34.775,25 331.973,00R$ -R$ 39.615,75R$ RN OLHO D'ÁGUA DO BORGES R$ 108.039,06 R$ 10.803,91 123.077,42R$ -R$ 12.307,75R$ RN OURO BRANCO R$ 108.039,06 R$ 20.865,90 123.077,42R$ -R$ 23.770,30R$ RN PARANÁ R$ 108.039,06 R$ 10.803,91 123.077,42R$ -R$ 12.307,75R$ RN PARAÚ R$ 108.039,06 R$ 10.803,91 123.077,42R$ -R$ 12.307,75R$ RN PARAZINHO R$ 108.039,06 R$ 14.607,93 123.077,42R$ -R$ 16.641,26R$ RN PARELHAS R$ 108.039,06 R$ 21.867,03 123.077,42R$ -R$ 24.910,78R$ RN PARNAMIRIM R$ 1.193.747,37 R$ 184.353,09 1.359.909,54R$ -R$ 210.013,89R$ RN PASSA E FICA R$ 108.039,06 R$ 15.214,22 123.077,42R$ -R$ 17.331,94R$ RN PASSAGEM R$ 108.039,06 R$ 10.803,91 123.077,42R$ -R$ 12.307,75R$ RN PATU R$ 108.039,06 R$ 17.436,31 123.077,42R$ -R$ 19.863,34R$ RN PAU DOS FERROS R$ 191.245,13 R$ 16.824,09 217.865,26R$ -R$ 19.165,90R$ RN PEDRA GRANDE R$ 108.039,06 R$ 21.722,82 123.077,42R$ -R$ 24.746,50R$ RN PEDRA PRETA R$ 108.039,06 R$ 10.803,91 123.077,42R$ -R$ 12.307,75R$ RN PEDRO AVELINO R$ 108.039,06 R$ 14.438,35 123.077,42R$ -R$ 16.448,08R$ RN PEDRO VELHO R$ 108.039,06 R$ 21.377,32 123.077,42R$ -R$ 24.352,91R$ RN PENDÊNCIAS R$ 153.355,13 R$ 14.776,66 174.701,21R$ -R$ 16.833,48R$ RN PILÕES R$ 108.039,06 R$ 10.803,91 123.077,42R$ -R$ 12.307,75R$ RN POÇO BRANCO R$ 108.039,06 R$ 18.533,69 123.077,42R$ -R$ 21.113,46R$ RN PORTALEGRE R$ 108.039,06 R$ 10.803,91 123.077,42R$ -R$ 12.307,75R$ RN PORTO DO MANGUE R$ 108.039,06 R$ 10.803,91 123.077,42R$ -R$ 12.307,75R$ RN PUREZA R$ 108.039,06 R$ 10.803,91 123.077,42R$ -R$ 12.307,75R$ RN RAFAEL FERNANDES R$ 108.039,06 R$ 10.803,91 123.077,42R$ -R$ 12.307,75R$ RN RAFAEL GODEIRO R$ 108.039,06 R$ 10.803,91 123.077,42R$ -R$ 12.307,75R$ RN RIACHO DA CRUZ R$ 108.039,06 R$ 10.803,91 123.077,42R$ -R$ 12.307,75R$ RN RIACHO DE SANTANA R$ 108.039,06 R$ 10.803,91 123.077,42R$ -R$ 12.307,75R$ RN RIACHUELO R$ 108.039,06 R$ 30.044,06 123.077,42R$ -R$ 34.226,01R$ RN RIO DO FOGO R$ 108.039,06 R$ 10.803,91 123.077,42R$ -R$ 12.307,75R$ RN RODOLFO FERNANDES R$ 108.039,06 R$ 10.803,91 123.077,42R$ -R$ 12.307,75R$ RN RUY BARBOSA R$ 108.039,06 R$ 10.803,91 123.077,42R$ -R$ 12.307,75R$ RN SANTA CRUZ R$ 249.279,02 R$ 18.685,37 283.977,10R$ -R$ 21.286,26R$ RN SANTA MARIA R$ 108.039,06 R$ 10.803,91 123.077,42R$ -R$ 12.307,75R$ RN SANTANA DO MATOS R$ 155.497,56 R$ 15.687,02 177.141,85R$ -R$ 17.870,56R$ RN SANTANA DO SERIDÓ R$ 108.039,06 R$ 10.803,91 123.077,42R$ -R$ 12.307,75R$ RN SANTO ANTÔNIO R$ 108.039,06 R$ 14.887,63 123.077,42R$ -R$ 16.959,90R$ RN SÃO BENTO DO NORTE R$ 108.039,06 R$ 10.803,91 123.077,42R$ -R$ 12.307,75R$ RN SÃO BENTO DO TRAIRÍ R$ 108.039,06 R$ 10.803,91 123.077,42R$ -R$ 12.307,75R$ RN SÃO FERNANDO R$ 108.039,06 R$ 14.985,36 123.077,42R$ -R$ 17.071,23R$ RN SÃO FRANCISCO DO OESTE R$ 108.039,06 R$ 10.803,91 123.077,42R$ -R$ 12.307,75R$ RN SÃO GONÇALO DO AMARANTE R$ 264.366,24 R$ 66.374,39 301.164,37R$ -R$ 75.613,29R$ RN SÃO JOÃO DO SABUGI R$ 108.039,06 R$ 10.803,91 123.077,42R$ -R$ 12.307,75R$ RN SÃO JOSÉ DE MIPIBU R$ 108.039,06 R$ 53.719,72 123.077,42R$ -R$ 61.197,17R$ RN SÃO JOSÉ DO CAMPESTRE R$ 108.039,06 R$ 10.803,91 123.077,42R$ -R$ 12.307,75R$ RN SÃO JOSÉ DO SERIDÓ R$ 108.039,06 R$ 24.732,96 123.077,42R$ -R$ 28.175,63R$ RN SÃO MIGUEL R$ 260.226,35 R$ 19.775,26 296.448,23R$ -R$ 22.527,85R$ RN SÃO MIGUEL DO GOSTOSO R$ 108.039,06 R$ 10.803,91 123.077,42R$ -R$ 12.307,75R$ RN SÃO PAULO DO POTENGI R$ 108.039,06 R$ 10.803,91 123.077,42R$ -R$ 12.307,75R$ RN SÃO PEDRO R$ 108.039,06 R$ 10.803,91 123.077,42R$ -R$ 12.307,75R$ RN SÃO RAFAEL R$ 108.039,06 R$ 18.866,39 123.077,42R$ -R$ 21.492,47R$ RN SÃO TOMÉ R$ 108.039,06 R$ 10.803,91 123.077,42R$ -R$ 12.307,75R$ RN SÃO VICENTE R$ 108.039,06 R$ 10.803,91 123.077,42R$ -R$ 12.307,75R$ RN SENADOR ELÓI DE SOUZA R$ 108.039,06 R$ 17.868,41 123.077,42R$ -R$ 20.355,58R$ RN SENADOR GEORGINO AVELINO R$ 108.039,06 R$ 10.803,91 123.077,42R$ -R$ 12.307,75R$ RN SERRA CAIADA R$ 108.039,06 R$ 10.803,91 123.077,42R$ -R$ 12.307,75R$ RN SERRA DE SÃO BENTO R$ 108.039,06 R$ 35.421,31 123.077,42R$ -R$ 40.351,73R$ RN SERRA DO MEL R$ 159.760,31 R$ 17.009,21 181.997,95R$ -R$ 19.376,79R$ 58
  • 59.
    Tribunal Superior Eleitoral PREFEITO 1ºTURNO 1º TURNO 2º TURNO UF POSSIBILIDADE DE SEGUNDO TURNO VEREADORVEREADOR LIMITE DE GASTOS OBSERVADO O MÍNIMO LEGAL (R$ 100,000,00 PARA PREFEITO E R$ 10.000,00 PARA VEREADOR ) EM 2016*** LIMITE DE GASTOS 2020 (ATUALIZADO PELO IPCA DE JUNHO/2016 ATÉ JUNHO/2020*) PREFEITO MUNICÍPIO** RN SERRA NEGRA DO NORTE R$ 175.032,76 R$ 15.924,80 199.396,23R$ -R$ 18.141,43R$ RN SERRINHA R$ 108.039,06 R$ 10.803,91 123.077,42R$ -R$ 12.307,75R$ RN SERRINHA DOS PINTOS R$ 108.039,06 R$ 10.803,91 123.077,42R$ -R$ 12.307,75R$ RN SEVERIANO MELO R$ 108.039,06 R$ 14.242,50 123.077,42R$ -R$ 16.224,97R$ RN SÍTIO NOVO R$ 108.039,06 R$ 10.803,91 123.077,42R$ -R$ 12.307,75R$ RN TABOLEIRO GRANDE R$ 108.039,06 R$ 10.803,91 123.077,42R$ -R$ 12.307,75R$ RN TAIPU R$ 108.039,06 R$ 39.297,71 123.077,42R$ -R$ 44.767,71R$ RN TANGARÁ R$ 108.039,06 R$ 16.021,52 123.077,42R$ -R$ 18.251,62R$ RN TENENTE ANANIAS R$ 292.868,62 R$ 13.414,18 333.634,10R$ -R$ 15.281,35R$ RN TENENTE LAURENTINO CRUZ R$ 108.039,06 R$ 10.803,91 123.077,42R$ -R$ 12.307,75R$ RN TIBAU R$ 148.106,42 R$ 22.948,47 168.721,91R$ -R$ 26.142,75R$ RN TIBAU DO SUL R$ 108.039,06 R$ 30.127,38 123.077,42R$ -R$ 34.320,92R$ RN TIMBAÚBA DOS BATISTAS R$ 108.039,06 R$ 10.803,91 123.077,42R$ -R$ 12.307,75R$ RN TOUROS R$ 165.098,44 R$ 26.058,01 188.079,11R$ -R$ 29.685,12R$ RN TRIUNFO POTIGUAR R$ 108.039,06 R$ 18.836,59 123.077,42R$ -R$ 21.458,53R$ RN UMARIZAL R$ 108.039,06 R$ 18.709,26 123.077,42R$ -R$ 21.313,47R$ RN UPANEMA R$ 108.039,06 R$ 10.803,91 123.077,42R$ -R$ 12.307,75R$ RN VÁRZEA R$ 108.039,06 R$ 23.683,03 123.077,42R$ -R$ 26.979,56R$ RN VENHA-VER R$ 108.039,06 R$ 10.803,91 123.077,42R$ -R$ 12.307,75R$ RN VERA CRUZ R$ 108.039,06 R$ 10.803,91 123.077,42R$ -R$ 12.307,75R$ RN VIÇOSA R$ 108.039,06 R$ 10.803,91 123.077,42R$ -R$ 12.307,75R$ RN VILA FLOR R$ 108.039,06 R$ 10.803,91 123.077,42R$ -R$ 12.307,75R$ RO ALTA FLORESTA D'OESTE R$ 216.645,44 R$ 33.806,77 246.801,13R$ -R$ 38.512,46R$ RO ALTO ALEGRE DOS PARECIS R$ 108.039,06 R$ 10.803,91 123.077,42R$ -R$ 12.307,75R$ RO ALTO PARAÍSO R$ 155.390,79 R$ 25.399,45 177.020,22R$ -R$ 28.934,89R$ RO ALVORADA DO OESTE R$ 108.039,06 R$ 10.803,91 123.077,42R$ -R$ 12.307,75R$ RO ARIQUEMES R$ 869.553,46 R$ 51.299,08 990.589,87R$ -R$ 58.439,59R$ RO BURITIS R$ 253.980,08 R$ 30.773,94 289.332,52R$ -R$ 35.057,48R$ RO CABIXI R$ 108.039,06 R$ 10.803,91 123.077,42R$ -R$ 12.307,75R$ RO CACAULÂNDIA R$ 185.362,74 R$ 10.803,91 211.164,07R$ -R$ 12.307,75R$ RO CACOAL R$ 378.773,17 R$ 88.865,36 431.496,03R$ -R$ 101.234,86R$ RO CAMPO NOVO DE RONDÔNIA R$ 173.471,23 R$ 10.803,91 197.617,34R$ -R$ 12.307,75R$ RO CANDEIAS DO JAMARI R$ 108.039,06 R$ 10.803,91 123.077,42R$ -R$ 12.307,75R$ RO CASTANHEIRAS R$ 108.039,06 R$ 23.951,11 123.077,42R$ -R$ 27.284,95R$ RO CEREJEIRAS R$ 186.569,84 R$ 10.803,91 212.539,20R$ -R$ 12.307,75R$ RO CHUPINGUAIA R$ 177.204,02 R$ 10.803,91 201.869,71R$ -R$ 12.307,75R$ RO COLORADO DO OESTE R$ 108.039,06 R$ 28.154,93 123.077,42R$ -R$ 32.073,92R$ RO CORUMBIARA R$ 108.039,06 R$ 10.803,91 123.077,42R$ -R$ 12.307,75R$ RO COSTA MARQUES R$ 108.039,06 R$ 10.803,91 123.077,42R$ -R$ 12.307,75R$ RO CUJUBIM R$ 156.968,86 R$ 25.947,08 178.817,94R$ -R$ 29.558,75R$ RO ESPIGÃO DO OESTE R$ 108.039,06 R$ 20.813,65 123.077,42R$ -R$ 23.710,78R$ RO GOVERNADOR JORGE TEIXEIRA R$ 137.182,53 R$ 21.776,58 156.277,48R$ -R$ 24.807,74R$ RO GUAJARÁ-MIRIM R$ 172.097,72 R$ 10.803,91 196.052,65R$ -R$ 12.307,75R$ RO ITAPUÃ DO OESTE R$ 108.039,06 R$ 10.803,91 123.077,42R$ -R$ 12.307,75R$ RO JARU R$ 442.749,05 R$ 70.462,50 504.376,95R$ -R$ 80.270,44R$ RO JI-PARANÁ R$ 430.949,01 R$ 49.488,92 490.934,42R$ -R$ 56.377,47R$ RO MACHADINHO D'OESTE R$ 108.039,06 R$ 13.694,96 123.077,42R$ -R$ 15.601,21R$ RO MINISTRO ANDREAZZA R$ 108.039,06 R$ 10.803,91 123.077,42R$ -R$ 12.307,75R$ RO MIRANTE DA SERRA R$ 149.565,02 R$ 16.864,16 170.383,54R$ -R$ 19.211,55R$ RO MONTE NEGRO R$ 189.175,37 R$ 18.018,31 215.507,40R$ -R$ 20.526,35R$ RO NOVA BRASILÂNDIA D'OESTE R$ 108.039,06 R$ 27.969,39 123.077,42R$ -R$ 31.862,55R$ RO NOVA MAMORÉ R$ 108.039,06 R$ 32.345,66 123.077,42R$ -R$ 36.847,97R$ RO NOVA UNIÃO R$ 108.039,06 R$ 13.784,80 123.077,42R$ -R$ 15.703,56R$ RO NOVO HORIZONTE DO OESTE R$ 232.977,03 R$ 27.993,43 265.405,98R$ -R$ 31.889,94R$ RO OURO PRETO DO OESTE R$ 297.838,83 R$ 38.803,01 339.296,13R$ -R$ 44.204,15R$ RO PARECIS R$ 108.039,06 R$ 14.638,50 123.077,42R$ -R$ 16.676,09R$ RO PIMENTA BUENO R$ 108.039,06 R$ 68.581,39 123.077,42R$ -R$ 78.127,49R$ RO PIMENTEIRAS DO OESTE R$ 108.039,06 R$ 10.803,91 123.077,42R$ -R$ 12.307,75R$ RO PORTO VELHO SIM R$ 2.957.334,54 R$ 139.825,25 3.368.977,02R$ 1.347.590,81R$ 159.288,05R$ RO PRESIDENTE MÉDICI R$ 108.039,06 R$ 30.906,39 123.077,42R$ -R$ 35.208,37R$ RO PRIMAVERA DE RONDÔNIA R$ 108.039,06 R$ 10.803,91 123.077,42R$ -R$ 12.307,75R$ RO RIO CRESPO R$ 138.279,29 R$ 10.803,91 157.526,90R$ -R$ 12.307,75R$ RO ROLIM DE MOURA R$ 541.146,72 R$ 61.583,82 616.470,96R$ -R$ 70.155,90R$ RO SANTA LUZIA D'OESTE R$ 108.039,06 R$ 19.026,97 123.077,42R$ -R$ 21.675,41R$ RO SÃO FELIPE D'OESTE R$ 108.039,06 R$ 10.803,91 123.077,42R$ -R$ 12.307,75R$ RO SÃO FRANCISCO DO GUAPORÉ R$ 229.666,71 R$ 21.506,48 261.634,88R$ -R$ 24.500,05R$ 59
  • 60.
    Tribunal Superior Eleitoral PREFEITO 1ºTURNO 1º TURNO 2º TURNO UF POSSIBILIDADE DE SEGUNDO TURNO VEREADORVEREADOR LIMITE DE GASTOS OBSERVADO O MÍNIMO LEGAL (R$ 100,000,00 PARA PREFEITO E R$ 10.000,00 PARA VEREADOR ) EM 2016*** LIMITE DE GASTOS 2020 (ATUALIZADO PELO IPCA DE JUNHO/2016 ATÉ JUNHO/2020*) PREFEITO MUNICÍPIO** RO SÃO MIGUEL DO GUAPORÉ R$ 108.039,06 R$ 41.682,03 123.077,42R$ -R$ 47.483,91R$ RO SERINGUEIRAS R$ 108.039,06 R$ 16.631,59 123.077,42R$ -R$ 18.946,60R$ RO TEIXEIRÓPOLIS R$ 108.039,06 R$ 10.803,91 123.077,42R$ -R$ 12.307,75R$ RO THEOBROMA R$ 108.039,06 R$ 33.027,79 123.077,42R$ -R$ 37.625,05R$ RO URUPÁ R$ 108.039,06 R$ 13.382,95 123.077,42R$ -R$ 15.245,77R$ RO VALE DO ANARI R$ 158.036,71 R$ 10.803,91 180.034,43R$ -R$ 12.307,75R$ RO VALE DO PARAÍSO R$ 108.039,06 R$ 17.629,02 123.077,42R$ -R$ 20.082,87R$ RO VILHENA R$ 1.194.500,07 R$ 50.337,68 1.360.767,01R$ -R$ 57.344,37R$ RR ALTO ALEGRE R$ 108.039,06 R$ 54.535,30 123.077,42R$ -R$ 62.126,27R$ RR AMAJARI R$ 137.316,12 R$ 29.131,81 156.429,67R$ -R$ 33.186,78R$ RR BOA VISTA SIM R$ 1.830.123,37 R$ 343.902,96 2.084.865,10R$ 833.946,04R$ 391.772,10R$ RR BONFIM R$ 136.881,78 R$ 10.803,91 155.934,87R$ -R$ 12.307,75R$ RR CANTÁ R$ 170.315,95 R$ 44.871,30 194.022,87R$ -R$ 51.117,10R$ RR CARACARAÍ R$ 215.285,98 R$ 28.543,35 245.252,44R$ -R$ 32.516,41R$ RR CAROEBE R$ 108.039,06 R$ 10.803,91 123.077,42R$ -R$ 12.307,75R$ RR IRACEMA R$ 108.039,06 R$ 16.508,88 123.077,42R$ -R$ 18.806,81R$ RR MUCAJAÍ R$ 108.039,06 R$ 14.500,92 123.077,42R$ -R$ 16.519,36R$ RR NORMANDIA R$ 108.039,06 R$ 10.803,91 123.077,42R$ -R$ 12.307,75R$ RR PACARAIMA R$ 108.039,06 R$ 21.521,14 123.077,42R$ -R$ 24.516,75R$ RR RORAINÓPOLIS R$ 108.039,06 R$ 19.654,01 123.077,42R$ -R$ 22.389,73R$ RR SÃO JOÃO DA BALIZA R$ 108.039,06 R$ 10.803,91 123.077,42R$ -R$ 12.307,75R$ RR SÃO LUIZ R$ 108.039,06 R$ 21.560,14 123.077,42R$ -R$ 24.561,18R$ RR UIRAMUTÃ R$ 108.039,06 R$ 10.803,91 123.077,42R$ -R$ 12.307,75R$ RS ACEGUÁ R$ 108.039,06 R$ 10.803,91 123.077,42R$ -R$ 12.307,75R$ RS ÁGUA SANTA R$ 108.039,06 R$ 10.803,91 123.077,42R$ -R$ 12.307,75R$ RS AGUDO R$ 108.039,06 R$ 10.803,91 123.077,42R$ -R$ 12.307,75R$ RS AJURICABA R$ 108.039,06 R$ 10.803,91 123.077,42R$ -R$ 12.307,75R$ RS ALECRIM R$ 108.039,06 R$ 10.803,91 123.077,42R$ -R$ 12.307,75R$ RS ALEGRETE R$ 108.039,06 R$ 42.587,20 123.077,42R$ -R$ 48.515,07R$ RS ALEGRIA R$ 108.039,06 R$ 10.803,91 123.077,42R$ -R$ 12.307,75R$ RS ALMIRANTE TAMANDARÉ DO SUL R$ 108.039,06 R$ 10.803,91 123.077,42R$ -R$ 12.307,75R$ RS ALPESTRE R$ 108.039,06 R$ 10.803,91 123.077,42R$ -R$ 12.307,75R$ RS ALTO ALEGRE R$ 108.039,06 R$ 10.803,91 123.077,42R$ -R$ 12.307,75R$ RS ALTO FELIZ R$ 108.039,06 R$ 10.803,91 123.077,42R$ -R$ 12.307,75R$ RS ALVORADA R$ 447.136,69 R$ 80.110,47 509.375,32R$ -R$ 91.261,35R$ RS AMARAL FERRADOR R$ 108.039,06 R$ 10.803,91 123.077,42R$ -R$ 12.307,75R$ RS AMETISTA DO SUL R$ 108.039,06 R$ 10.803,91 123.077,42R$ -R$ 12.307,75R$ RS ANDRÉ DA ROCHA R$ 108.039,06 R$ 10.803,91 123.077,42R$ -R$ 12.307,75R$ RS ANTA GORDA R$ 108.039,06 R$ 10.803,91 123.077,42R$ -R$ 12.307,75R$ RS ANTÔNIO PRADO R$ 108.039,06 R$ 10.803,91 123.077,42R$ -R$ 12.307,75R$ RS ARAMBARÉ R$ 108.039,06 R$ 10.803,91 123.077,42R$ -R$ 12.307,75R$ RS ARARICÁ R$ 108.039,06 R$ 10.803,91 123.077,42R$ -R$ 12.307,75R$ RS ARATIBA R$ 108.039,06 R$ 10.803,91 123.077,42R$ -R$ 12.307,75R$ RS ARROIO DO MEIO R$ 108.039,06 R$ 10.803,91 123.077,42R$ -R$ 12.307,75R$ RS ARROIO DO PADRE R$ 108.039,06 R$ 10.803,91 123.077,42R$ -R$ 12.307,75R$ RS ARROIO DO SAL R$ 108.039,06 R$ 10.803,91 123.077,42R$ -R$ 12.307,75R$ RS ARROIO DO TIGRE R$ 108.039,06 R$ 24.712,52 123.077,42R$ -R$ 28.152,35R$ RS ARROIO DOS RATOS R$ 108.039,06 R$ 10.803,91 123.077,42R$ -R$ 12.307,75R$ RS ARROIO GRANDE R$ 140.267,16 R$ 10.803,91 159.791,47R$ -R$ 12.307,75R$ RS ARVOREZINHA R$ 108.039,06 R$ 10.803,91 123.077,42R$ -R$ 12.307,75R$ RS AUGUSTO PESTANA R$ 108.039,06 R$ 10.803,91 123.077,42R$ -R$ 12.307,75R$ RS ÁUREA R$ 108.039,06 R$ 10.803,91 123.077,42R$ -R$ 12.307,75R$ RS BAGÉ R$ 621.427,07 R$ 104.056,64 707.925,83R$ -R$ 118.540,67R$ RS BALNEÁRIO PINHAL R$ 108.039,06 R$ 10.803,91 123.077,42R$ -R$ 12.307,75R$ RS BARÃO R$ 108.039,06 R$ 10.803,91 123.077,42R$ -R$ 12.307,75R$ RS BARÃO DE COTEGIPE R$ 108.039,06 R$ 10.803,91 123.077,42R$ -R$ 12.307,75R$ RS BARÃO DO TRIUNFO R$ 108.039,06 R$ 10.803,91 123.077,42R$ -R$ 12.307,75R$ RS BARRA DO GUARITA R$ 108.039,06 R$ 10.803,91 123.077,42R$ -R$ 12.307,75R$ RS BARRA DO QUARAÍ R$ 108.039,06 R$ 10.803,91 123.077,42R$ -R$ 12.307,75R$ RS BARRA DO RIBEIRO R$ 108.039,06 R$ 10.803,91 123.077,42R$ -R$ 12.307,75R$ RS BARRA DO RIO AZUL R$ 108.039,06 R$ 10.803,91 123.077,42R$ -R$ 12.307,75R$ RS BARRA FUNDA R$ 108.039,06 R$ 28.693,79 123.077,42R$ -R$ 32.687,79R$ RS BARRACÃO R$ 108.039,06 R$ 10.803,91 123.077,42R$ -R$ 12.307,75R$ RS BARROS CASSAL R$ 108.039,06 R$ 10.803,91 123.077,42R$ -R$ 12.307,75R$ RS BENJAMIN CONSTANT DO SUL R$ 108.039,06 R$ 10.803,91 123.077,42R$ -R$ 12.307,75R$ RS BENTO GONÇALVES R$ 140.037,31 R$ 35.105,01 159.529,63R$ -R$ 39.991,41R$ 60
  • 61.
    Tribunal Superior Eleitoral PREFEITO 1ºTURNO 1º TURNO 2º TURNO UF POSSIBILIDADE DE SEGUNDO TURNO VEREADORVEREADOR LIMITE DE GASTOS OBSERVADO O MÍNIMO LEGAL (R$ 100,000,00 PARA PREFEITO E R$ 10.000,00 PARA VEREADOR ) EM 2016*** LIMITE DE GASTOS 2020 (ATUALIZADO PELO IPCA DE JUNHO/2016 ATÉ JUNHO/2020*) PREFEITO MUNICÍPIO** RS BOA VISTA DAS MISSÕES R$ 108.039,06 R$ 10.803,91 123.077,42R$ -R$ 12.307,75R$ RS BOA VISTA DO BURICÁ R$ 108.039,06 R$ 10.803,91 123.077,42R$ -R$ 12.307,75R$ RS BOA VISTA DO CADEADO R$ 108.039,06 R$ 10.803,91 123.077,42R$ -R$ 12.307,75R$ RS BOA VISTA DO INCRA R$ 108.039,06 R$ 10.803,91 123.077,42R$ -R$ 12.307,75R$ RS BOA VISTA DO SUL R$ 108.039,06 R$ 10.803,91 123.077,42R$ -R$ 12.307,75R$ RS BOM JESUS R$ 108.039,06 R$ 10.803,91 123.077,42R$ -R$ 12.307,75R$ RS BOM PRINCÍPIO R$ 108.039,06 R$ 10.803,91 123.077,42R$ -R$ 12.307,75R$ RS BOM PROGRESSO R$ 108.039,06 R$ 10.803,91 123.077,42R$ -R$ 12.307,75R$ RS BOM RETIRO DO SUL R$ 108.039,06 R$ 10.803,91 123.077,42R$ -R$ 12.307,75R$ RS BOQUEIRÃO DO LEÃO R$ 108.039,06 R$ 10.803,91 123.077,42R$ -R$ 12.307,75R$ RS BOSSOROCA R$ 108.039,06 R$ 10.803,91 123.077,42R$ -R$ 12.307,75R$ RS BOZANO R$ 108.039,06 R$ 10.803,91 123.077,42R$ -R$ 12.307,75R$ RS BRAGA R$ 108.039,06 R$ 10.803,91 123.077,42R$ -R$ 12.307,75R$ RS BROCHIER R$ 108.039,06 R$ 10.803,91 123.077,42R$ -R$ 12.307,75R$ RS BUTIÁ R$ 108.039,06 R$ 10.803,91 123.077,42R$ -R$ 12.307,75R$ RS CAÇAPAVA DO SUL R$ 108.039,06 R$ 22.940,05 123.077,42R$ -R$ 26.133,16R$ RS CACEQUI R$ 108.039,06 R$ 10.803,91 123.077,42R$ -R$ 12.307,75R$ RS CACHOEIRA DO SUL R$ 108.039,06 R$ 23.729,81 123.077,42R$ -R$ 27.032,85R$ RS CACHOEIRINHA R$ 661.576,11 R$ 98.845,59 753.663,37R$ -R$ 112.604,28R$ RS CACIQUE DOBLE R$ 108.039,06 R$ 10.803,91 123.077,42R$ -R$ 12.307,75R$ RS CAIBATÉ R$ 108.039,06 R$ 10.803,91 123.077,42R$ -R$ 12.307,75R$ RS CAIÇARA R$ 108.039,06 R$ 38.122,53 123.077,42R$ -R$ 43.428,95R$ RS CAMAQUÃ R$ 262.020,77 R$ 21.652,60 298.492,42R$ -R$ 24.666,51R$ RS CAMARGO R$ 108.039,06 R$ 10.803,91 123.077,42R$ -R$ 12.307,75R$ RS CAMBARÁ DO SUL R$ 108.039,06 R$ 10.803,91 123.077,42R$ -R$ 12.307,75R$ RS CAMPESTRE DA SERRA R$ 108.039,06 R$ 10.803,91 123.077,42R$ -R$ 12.307,75R$ RS CAMPINA DAS MISSÕES R$ 108.039,06 R$ 10.803,91 123.077,42R$ -R$ 12.307,75R$ RS CAMPINAS DO SUL R$ 108.039,06 R$ 10.803,91 123.077,42R$ -R$ 12.307,75R$ RS CAMPO BOM R$ 180.055,56 R$ 24.952,25 205.118,17R$ -R$ 28.425,45R$ RS CAMPO NOVO R$ 108.039,06 R$ 10.803,91 123.077,42R$ -R$ 12.307,75R$ RS CAMPOS BORGES R$ 108.039,06 R$ 10.803,91 123.077,42R$ -R$ 12.307,75R$ RS CANDELÁRIA R$ 108.039,06 R$ 10.803,91 123.077,42R$ -R$ 12.307,75R$ RS CÂNDIDO GODÓI R$ 108.039,06 R$ 10.803,91 123.077,42R$ -R$ 12.307,75R$ RS CANDIOTA R$ 108.039,06 R$ 10.803,91 123.077,42R$ -R$ 12.307,75R$ RS CANELA R$ 108.039,06 R$ 44.870,14 123.077,42R$ -R$ 51.115,78R$ RS CANGUÇU R$ 108.039,06 R$ 21.122,13 123.077,42R$ -R$ 24.062,20R$ RS CANOAS SIM R$ 1.910.448,33 R$ 138.048,11 2.176.370,79R$ 870.548,32R$ 157.263,54R$ RS CANUDOS DO VALE R$ 108.039,06 R$ 10.803,91 123.077,42R$ -R$ 12.307,75R$ RS CAPÃO BONITO DO SUL R$ 108.039,06 R$ 10.803,91 123.077,42R$ -R$ 12.307,75R$ RS CAPÃO DA CANOA R$ 108.039,06 R$ 23.984,21 123.077,42R$ -R$ 27.322,66R$ RS CAPÃO DO CIPÓ R$ 108.039,06 R$ 10.803,91 123.077,42R$ -R$ 12.307,75R$ RS CAPÃO DO LEÃO R$ 108.039,06 R$ 10.803,91 123.077,42R$ -R$ 12.307,75R$ RS CAPELA DE SANTANA R$ 108.039,06 R$ 10.803,91 123.077,42R$ -R$ 12.307,75R$ RS CAPITÃO R$ 108.039,06 R$ 10.803,91 123.077,42R$ -R$ 12.307,75R$ RS CAPIVARI DO SUL R$ 108.039,06 R$ 10.803,91 123.077,42R$ -R$ 12.307,75R$ RS CARAÁ R$ 108.039,06 R$ 10.803,91 123.077,42R$ -R$ 12.307,75R$ RS CARAZINHO R$ 247.989,00 R$ 44.651,64 282.507,52R$ -R$ 50.866,87R$ RS CARLOS BARBOSA R$ 197.921,06 R$ 10.803,91 225.470,43R$ -R$ 12.307,75R$ RS CARLOS GOMES R$ 108.039,06 R$ 10.803,91 123.077,42R$ -R$ 12.307,75R$ RS CASCA R$ 108.039,06 R$ 10.803,91 123.077,42R$ -R$ 12.307,75R$ RS CASEIROS R$ 108.039,06 R$ 10.803,91 123.077,42R$ -R$ 12.307,75R$ RS CATUÍPE R$ 108.039,06 R$ 10.803,91 123.077,42R$ -R$ 12.307,75R$ RS CAXIAS DO SUL SIM R$ 1.148.454,76 R$ 107.646,50 1.308.312,48R$ 523.324,99R$ 122.630,22R$ RS CENTENÁRIO R$ 108.039,06 R$ 10.803,91 123.077,42R$ -R$ 12.307,75R$ RS CERRITO R$ 108.039,06 R$ 10.803,91 123.077,42R$ -R$ 12.307,75R$ RS CERRO BRANCO R$ 108.039,06 R$ 10.803,91 123.077,42R$ -R$ 12.307,75R$ RS CERRO GRANDE R$ 108.039,06 R$ 10.803,91 123.077,42R$ -R$ 12.307,75R$ RS CERRO GRANDE DO SUL R$ 108.039,06 R$ 10.803,91 123.077,42R$ -R$ 12.307,75R$ RS CERRO LARGO R$ 197.463,42 R$ 10.803,91 224.949,09R$ -R$ 12.307,75R$ RS CHAPADA R$ 108.039,06 R$ 10.803,91 123.077,42R$ -R$ 12.307,75R$ RS CHARQUEADAS R$ 451.140,30 R$ 27.406,46 513.936,21R$ -R$ 31.221,27R$ RS CHARRUA R$ 108.039,06 R$ 10.803,91 123.077,42R$ -R$ 12.307,75R$ RS CHIAPETTA R$ 108.039,06 R$ 10.803,91 123.077,42R$ -R$ 12.307,75R$ RS CHUÍ R$ 108.039,06 R$ 10.803,91 123.077,42R$ -R$ 12.307,75R$ RS CHUVISCA R$ 108.039,06 R$ 10.803,91 123.077,42R$ -R$ 12.307,75R$ RS CIDREIRA R$ 179.172,57 R$ 46.878,23 204.112,27R$ -R$ 53.403,39R$ 61
  • 62.
    Tribunal Superior Eleitoral PREFEITO 1ºTURNO 1º TURNO 2º TURNO UF POSSIBILIDADE DE SEGUNDO TURNO VEREADORVEREADOR LIMITE DE GASTOS OBSERVADO O MÍNIMO LEGAL (R$ 100,000,00 PARA PREFEITO E R$ 10.000,00 PARA VEREADOR ) EM 2016*** LIMITE DE GASTOS 2020 (ATUALIZADO PELO IPCA DE JUNHO/2016 ATÉ JUNHO/2020*) PREFEITO MUNICÍPIO** RS CIRÍACO R$ 108.039,06 R$ 10.803,91 123.077,42R$ -R$ 12.307,75R$ RS COLINAS R$ 108.039,06 R$ 10.803,91 123.077,42R$ -R$ 12.307,75R$ RS COLORADO R$ 108.039,06 R$ 10.803,91 123.077,42R$ -R$ 12.307,75R$ RS CONDOR R$ 108.039,06 R$ 13.974,99 123.077,42R$ -R$ 15.920,22R$ RS CONSTANTINA R$ 108.039,06 R$ 10.803,91 123.077,42R$ -R$ 12.307,75R$ RS COQUEIRO BAIXO R$ 108.039,06 R$ 10.803,91 123.077,42R$ -R$ 12.307,75R$ RS COQUEIROS DO SUL R$ 108.039,06 R$ 10.803,91 123.077,42R$ -R$ 12.307,75R$ RS CORONEL BARROS R$ 108.039,06 R$ 10.803,91 123.077,42R$ -R$ 12.307,75R$ RS CORONEL BICACO R$ 108.039,06 R$ 10.803,91 123.077,42R$ -R$ 12.307,75R$ RS CORONEL PILAR R$ 108.039,06 R$ 10.803,91 123.077,42R$ -R$ 12.307,75R$ RS COTIPORÃ R$ 108.039,06 R$ 10.803,91 123.077,42R$ -R$ 12.307,75R$ RS COXILHA R$ 108.039,06 R$ 10.803,91 123.077,42R$ -R$ 12.307,75R$ RS CRISSIUMAL R$ 152.455,15 R$ 10.803,91 173.675,95R$ -R$ 12.307,75R$ RS CRISTAL R$ 108.039,06 R$ 10.803,91 123.077,42R$ -R$ 12.307,75R$ RS CRISTAL DO SUL R$ 108.039,06 R$ 10.803,91 123.077,42R$ -R$ 12.307,75R$ RS CRUZ ALTA R$ 277.563,26 R$ 50.805,13 316.198,33R$ -R$ 57.876,89R$ RS CRUZALTENSE R$ 108.039,06 R$ 10.803,91 123.077,42R$ -R$ 12.307,75R$ RS CRUZEIRO DO SUL R$ 108.039,06 R$ 10.803,91 123.077,42R$ -R$ 12.307,75R$ RS DAVID CANABARRO R$ 108.039,06 R$ 10.803,91 123.077,42R$ -R$ 12.307,75R$ RS DERRUBADAS R$ 108.039,06 R$ 10.803,91 123.077,42R$ -R$ 12.307,75R$ RS DEZESSEIS DE NOVEMBRO R$ 108.039,06 R$ 10.803,91 123.077,42R$ -R$ 12.307,75R$ RS DILERMANDO DE AGUIAR R$ 108.039,06 R$ 10.803,91 123.077,42R$ -R$ 12.307,75R$ RS DOIS IRMÃOS R$ 148.196,52 R$ 10.803,91 168.824,55R$ -R$ 12.307,75R$ RS DOIS IRMÃOS DAS MISSÕES R$ 108.039,06 R$ 10.803,91 123.077,42R$ -R$ 12.307,75R$ RS DOIS LAJEADOS R$ 108.039,06 R$ 10.803,91 123.077,42R$ -R$ 12.307,75R$ RS DOM FELICIANO R$ 108.039,06 R$ 34.262,98 123.077,42R$ -R$ 39.032,17R$ RS DOM PEDRITO R$ 203.562,26 R$ 24.553,41 231.896,85R$ -R$ 27.971,09R$ RS DOM PEDRO DE ALCÂNTARA R$ 108.039,06 R$ 10.803,91 123.077,42R$ -R$ 12.307,75R$ RS DONA FRANCISCA R$ 108.039,06 R$ 10.803,91 123.077,42R$ -R$ 12.307,75R$ RS DOUTOR MAURÍCIO CARDOSO R$ 108.039,06 R$ 10.803,91 123.077,42R$ -R$ 12.307,75R$ RS DOUTOR RICARDO R$ 108.039,06 R$ 10.803,91 123.077,42R$ -R$ 12.307,75R$ RS ELDORADO DO SUL R$ 223.465,82 R$ 40.944,15 254.570,87R$ -R$ 46.643,32R$ RS ENCANTADO R$ 108.039,06 R$ 16.305,59 123.077,42R$ -R$ 18.575,23R$ RS ENCRUZILHADA DO SUL R$ 108.039,06 R$ 19.288,34 123.077,42R$ -R$ 21.973,16R$ RS ENGENHO VELHO R$ 108.039,06 R$ 10.803,91 123.077,42R$ -R$ 12.307,75R$ RS ENTRE RIOS DO SUL R$ 108.039,06 R$ 10.803,91 123.077,42R$ -R$ 12.307,75R$ RS ENTRE-IJUÍS R$ 108.039,06 R$ 15.003,61 123.077,42R$ -R$ 17.092,02R$ RS EREBANGO R$ 108.039,06 R$ 10.803,91 123.077,42R$ -R$ 12.307,75R$ RS ERECHIM R$ 581.765,63 R$ 72.321,40 662.743,77R$ -R$ 82.388,09R$ RS ERNESTINA R$ 108.039,06 R$ 10.803,91 123.077,42R$ -R$ 12.307,75R$ RS ERVAL GRANDE R$ 108.039,06 R$ 10.803,91 123.077,42R$ -R$ 12.307,75R$ RS ERVAL SECO R$ 108.039,06 R$ 10.803,91 123.077,42R$ -R$ 12.307,75R$ RS ESMERALDA R$ 108.039,06 R$ 10.803,91 123.077,42R$ -R$ 12.307,75R$ RS ESPERANÇA DO SUL R$ 108.039,06 R$ 10.803,91 123.077,42R$ -R$ 12.307,75R$ RS ESPUMOSO R$ 108.039,06 R$ 10.803,91 123.077,42R$ -R$ 12.307,75R$ RS ESTAÇÃO R$ 108.039,06 R$ 10.803,91 123.077,42R$ -R$ 12.307,75R$ RS ESTÂNCIA VELHA R$ 165.683,74 R$ 16.608,13 188.745,88R$ -R$ 18.919,88R$ RS ESTEIO R$ 366.411,51 R$ 43.658,56 417.413,70R$ -R$ 49.735,56R$ RS ESTRELA R$ 108.039,06 R$ 10.803,91 123.077,42R$ -R$ 12.307,75R$ RS ESTRELA VELHA R$ 108.039,06 R$ 10.803,91 123.077,42R$ -R$ 12.307,75R$ RS EUGÊNIO DE CASTRO R$ 108.039,06 R$ 10.803,91 123.077,42R$ -R$ 12.307,75R$ RS FAGUNDES VARELA R$ 108.039,06 R$ 10.803,91 123.077,42R$ -R$ 12.307,75R$ RS FARROUPILHA R$ 108.039,06 R$ 98.315,59 123.077,42R$ -R$ 112.000,51R$ RS FAXINAL DO SOTURNO R$ 108.039,06 R$ 10.803,91 123.077,42R$ -R$ 12.307,75R$ RS FAXINALZINHO R$ 108.039,06 R$ 10.803,91 123.077,42R$ -R$ 12.307,75R$ RS FAZENDA VILANOVA R$ 108.039,06 R$ 10.803,91 123.077,42R$ -R$ 12.307,75R$ RS FELIZ R$ 108.039,06 R$ 10.803,91 123.077,42R$ -R$ 12.307,75R$ RS FLORES DA CUNHA R$ 108.039,06 R$ 10.803,91 123.077,42R$ -R$ 12.307,75R$ RS FLORIANO PEIXOTO R$ 108.039,06 R$ 10.803,91 123.077,42R$ -R$ 12.307,75R$ RS FONTOURA XAVIER R$ 108.039,06 R$ 15.333,93 123.077,42R$ -R$ 17.468,32R$ RS FORMIGUEIRO R$ 108.039,06 R$ 10.803,91 123.077,42R$ -R$ 12.307,75R$ RS FORQUETINHA R$ 108.039,06 R$ 10.803,91 123.077,42R$ -R$ 12.307,75R$ RS FORTALEZA DOS VALOS R$ 108.039,06 R$ 24.948,95 123.077,42R$ -R$ 28.421,69R$ RS FREDERICO WESTPHALEN R$ 108.039,06 R$ 17.615,16 123.077,42R$ -R$ 20.067,08R$ RS GARIBALDI R$ 108.039,06 R$ 10.803,91 123.077,42R$ -R$ 12.307,75R$ RS GARRUCHOS R$ 108.039,06 R$ 10.803,91 123.077,42R$ -R$ 12.307,75R$ 62
  • 63.
    Tribunal Superior Eleitoral PREFEITO 1ºTURNO 1º TURNO 2º TURNO UF POSSIBILIDADE DE SEGUNDO TURNO VEREADORVEREADOR LIMITE DE GASTOS OBSERVADO O MÍNIMO LEGAL (R$ 100,000,00 PARA PREFEITO E R$ 10.000,00 PARA VEREADOR ) EM 2016*** LIMITE DE GASTOS 2020 (ATUALIZADO PELO IPCA DE JUNHO/2016 ATÉ JUNHO/2020*) PREFEITO MUNICÍPIO** RS GAURAMA R$ 108.039,06 R$ 10.803,91 123.077,42R$ -R$ 12.307,75R$ RS GENERAL CÂMARA R$ 108.039,06 R$ 10.803,91 123.077,42R$ -R$ 12.307,75R$ RS GENTIL R$ 108.039,06 R$ 10.803,91 123.077,42R$ -R$ 12.307,75R$ RS GETÚLIO VARGAS R$ 108.039,06 R$ 10.803,91 123.077,42R$ -R$ 12.307,75R$ RS GIRUÁ R$ 133.993,02 R$ 13.880,46 152.644,01R$ -R$ 15.812,53R$ RS GLORINHA R$ 108.039,06 R$ 17.307,42 123.077,42R$ -R$ 19.716,50R$ RS GRAMADO R$ 392.204,02 R$ 34.329,67 446.796,37R$ -R$ 39.108,15R$ RS GRAMADO DOS LOUREIROS R$ 108.039,06 R$ 10.803,91 123.077,42R$ -R$ 12.307,75R$ RS GRAMADO XAVIER R$ 108.039,06 R$ 10.803,91 123.077,42R$ -R$ 12.307,75R$ RS GRAVATAÍ R$ 453.782,94 R$ 45.326,11 516.946,69R$ -R$ 51.635,22R$ RS GUABIJU R$ 108.039,06 R$ 10.803,91 123.077,42R$ -R$ 12.307,75R$ RS GUAÍBA R$ 176.638,87 R$ 45.267,61 201.225,90R$ -R$ 51.568,58R$ RS GUAPORÉ R$ 108.039,06 R$ 27.172,15 123.077,42R$ -R$ 30.954,34R$ RS GUARANI DAS MISSÕES R$ 108.039,06 R$ 10.803,91 123.077,42R$ -R$ 12.307,75R$ RS HARMONIA R$ 108.039,06 R$ 10.803,91 123.077,42R$ -R$ 12.307,75R$ RS HERVAL R$ 108.039,06 R$ 10.803,91 123.077,42R$ -R$ 12.307,75R$ RS HERVEIRAS R$ 108.039,06 R$ 10.803,91 123.077,42R$ -R$ 12.307,75R$ RS HORIZONTINA R$ 151.041,62 R$ 35.173,52 172.065,67R$ -R$ 40.069,45R$ RS HULHA NEGRA R$ 108.039,06 R$ 10.803,91 123.077,42R$ -R$ 12.307,75R$ RS HUMAITÁ R$ 108.039,06 R$ 10.803,91 123.077,42R$ -R$ 12.307,75R$ RS IBARAMA R$ 108.039,06 R$ 10.803,91 123.077,42R$ -R$ 12.307,75R$ RS IBIAÇÁ R$ 108.039,06 R$ 10.803,91 123.077,42R$ -R$ 12.307,75R$ RS IBIRAIARAS R$ 108.039,06 R$ 10.803,91 123.077,42R$ -R$ 12.307,75R$ RS IBIRAPUITÃ R$ 108.039,06 R$ 10.803,91 123.077,42R$ -R$ 12.307,75R$ RS IBIRUBÁ R$ 108.039,06 R$ 10.803,91 123.077,42R$ -R$ 12.307,75R$ RS IGREJINHA R$ 257.010,43 R$ 27.974,26 292.784,68R$ -R$ 31.868,10R$ RS IJUÍ R$ 514.231,70 R$ 54.145,29 585.809,54R$ -R$ 61.681,98R$ RS ILÓPOLIS R$ 108.039,06 R$ 10.803,91 123.077,42R$ -R$ 12.307,75R$ RS IMBÉ R$ 108.039,06 R$ 10.803,91 123.077,42R$ -R$ 12.307,75R$ RS IMIGRANTE R$ 108.039,06 R$ 10.803,91 123.077,42R$ -R$ 12.307,75R$ RS INDEPENDÊNCIA R$ 108.039,06 R$ 17.962,22 123.077,42R$ -R$ 20.462,45R$ RS INHACORÁ R$ 108.039,06 R$ 10.803,91 123.077,42R$ -R$ 12.307,75R$ RS IPÊ R$ 108.039,06 R$ 10.803,91 123.077,42R$ -R$ 12.307,75R$ RS IPIRANGA DO SUL R$ 108.039,06 R$ 10.803,91 123.077,42R$ -R$ 12.307,75R$ RS IRAÍ R$ 108.039,06 R$ 10.803,91 123.077,42R$ -R$ 12.307,75R$ RS ITAARA R$ 108.039,06 R$ 10.803,91 123.077,42R$ -R$ 12.307,75R$ RS ITACURUBI R$ 108.039,06 R$ 10.803,91 123.077,42R$ -R$ 12.307,75R$ RS ITAPUCA R$ 108.039,06 R$ 10.803,91 123.077,42R$ -R$ 12.307,75R$ RS ITAQUI R$ 108.039,06 R$ 32.669,24 123.077,42R$ -R$ 37.216,59R$ RS ITATI R$ 108.039,06 R$ 10.803,91 123.077,42R$ -R$ 12.307,75R$ RS ITATIBA DO SUL R$ 108.039,06 R$ 10.803,91 123.077,42R$ -R$ 12.307,75R$ RS IVORÁ R$ 108.039,06 R$ 10.803,91 123.077,42R$ -R$ 12.307,75R$ RS IVOTI R$ 140.121,30 R$ 10.803,91 159.625,31R$ -R$ 12.307,75R$ RS JABOTICABA R$ 108.039,06 R$ 10.803,91 123.077,42R$ -R$ 12.307,75R$ RS JACUIZINHO R$ 108.039,06 R$ 10.803,91 123.077,42R$ -R$ 12.307,75R$ RS JACUTINGA R$ 108.039,06 R$ 10.803,91 123.077,42R$ -R$ 12.307,75R$ RS JAGUARÃO R$ 178.183,34 R$ 45.353,79 202.985,35R$ -R$ 51.666,75R$ RS JAGUARI R$ 108.039,06 R$ 10.803,91 123.077,42R$ -R$ 12.307,75R$ RS JAQUIRANA R$ 108.039,06 R$ 10.803,91 123.077,42R$ -R$ 12.307,75R$ RS JARI R$ 108.039,06 R$ 10.803,91 123.077,42R$ -R$ 12.307,75R$ RS JÓIA R$ 108.039,06 R$ 10.803,91 123.077,42R$ -R$ 12.307,75R$ RS JÚLIO DE CASTILHOS R$ 108.039,06 R$ 10.803,91 123.077,42R$ -R$ 12.307,75R$ RS LAGOA BONITA DO SUL R$ 108.039,06 R$ 10.803,91 123.077,42R$ -R$ 12.307,75R$ RS LAGOA DOS TRÊS CANTOS R$ 108.039,06 R$ 10.803,91 123.077,42R$ -R$ 12.307,75R$ RS LAGOA VERMELHA R$ 270.260,58 R$ 38.179,30 307.879,16R$ -R$ 43.493,62R$ RS LAGOÃO R$ 108.039,06 R$ 10.803,91 123.077,42R$ -R$ 12.307,75R$ RS LAJEADO R$ 493.625,34 R$ 24.391,37 562.334,90R$ -R$ 27.786,50R$ RS LAJEADO DO BUGRE R$ 108.039,06 R$ 10.803,91 123.077,42R$ -R$ 12.307,75R$ RS LAVRAS DO SUL R$ 108.039,06 R$ 10.803,91 123.077,42R$ -R$ 12.307,75R$ RS LIBERATO SALZANO R$ 108.039,06 R$ 10.803,91 123.077,42R$ -R$ 12.307,75R$ RS LINDOLFO COLLOR R$ 108.039,06 R$ 10.803,91 123.077,42R$ -R$ 12.307,75R$ RS LINHA NOVA R$ 108.039,06 R$ 10.803,91 123.077,42R$ -R$ 12.307,75R$ RS MAÇAMBARÁ R$ 108.039,06 R$ 10.803,91 123.077,42R$ -R$ 12.307,75R$ RS MACHADINHO R$ 108.039,06 R$ 10.803,91 123.077,42R$ -R$ 12.307,75R$ RS MAMPITUBA R$ 108.039,06 R$ 10.803,91 123.077,42R$ -R$ 12.307,75R$ RS MANOEL VIANA R$ 108.039,06 R$ 10.803,91 123.077,42R$ -R$ 12.307,75R$ 63
  • 64.
    Tribunal Superior Eleitoral PREFEITO 1ºTURNO 1º TURNO 2º TURNO UF POSSIBILIDADE DE SEGUNDO TURNO VEREADORVEREADOR LIMITE DE GASTOS OBSERVADO O MÍNIMO LEGAL (R$ 100,000,00 PARA PREFEITO E R$ 10.000,00 PARA VEREADOR ) EM 2016*** LIMITE DE GASTOS 2020 (ATUALIZADO PELO IPCA DE JUNHO/2016 ATÉ JUNHO/2020*) PREFEITO MUNICÍPIO** RS MAQUINÉ R$ 108.039,06 R$ 10.803,91 123.077,42R$ -R$ 12.307,75R$ RS MARATÁ R$ 108.039,06 R$ 10.803,91 123.077,42R$ -R$ 12.307,75R$ RS MARAU R$ 145.739,56 R$ 16.535,56 166.025,60R$ -R$ 18.837,21R$ RS MARCELINO RAMOS R$ 108.039,06 R$ 10.803,91 123.077,42R$ -R$ 12.307,75R$ RS MARIANA PIMENTEL R$ 108.039,06 R$ 10.803,91 123.077,42R$ -R$ 12.307,75R$ RS MARIANO MORO R$ 108.039,06 R$ 10.803,91 123.077,42R$ -R$ 12.307,75R$ RS MARQUES DE SOUZA R$ 108.039,06 R$ 10.803,91 123.077,42R$ -R$ 12.307,75R$ RS MATA R$ 108.039,06 R$ 10.803,91 123.077,42R$ -R$ 12.307,75R$ RS MATO CASTELHANO R$ 108.039,06 R$ 10.803,91 123.077,42R$ -R$ 12.307,75R$ RS MATO LEITÃO R$ 108.039,06 R$ 10.803,91 123.077,42R$ -R$ 12.307,75R$ RS MATO QUEIMADO R$ 108.039,06 R$ 10.803,91 123.077,42R$ -R$ 12.307,75R$ RS MAXIMILIANO DE ALMEIDA R$ 108.039,06 R$ 10.803,91 123.077,42R$ -R$ 12.307,75R$ RS MINAS DO LEÃO R$ 108.039,06 R$ 14.382,45 123.077,42R$ -R$ 16.384,40R$ RS MIRAGUAÍ R$ 108.039,06 R$ 10.803,91 123.077,42R$ -R$ 12.307,75R$ RS MONTAURI R$ 108.039,06 R$ 10.803,91 123.077,42R$ -R$ 12.307,75R$ RS MONTE ALEGRE DOS CAMPOS R$ 108.039,06 R$ 10.803,91 123.077,42R$ -R$ 12.307,75R$ RS MONTE BELO DO SUL R$ 108.039,06 R$ 10.803,91 123.077,42R$ -R$ 12.307,75R$ RS MONTENEGRO R$ 481.419,09 R$ 25.289,30 548.429,62R$ -R$ 28.809,41R$ RS MORMAÇO R$ 108.039,06 R$ 10.803,91 123.077,42R$ -R$ 12.307,75R$ RS MORRINHOS DO SUL R$ 108.039,06 R$ 10.803,91 123.077,42R$ -R$ 12.307,75R$ RS MORRO REDONDO R$ 108.039,06 R$ 10.803,91 123.077,42R$ -R$ 12.307,75R$ RS MORRO REUTER R$ 108.039,06 R$ 10.803,91 123.077,42R$ -R$ 12.307,75R$ RS MOSTARDAS R$ 108.039,06 R$ 10.803,91 123.077,42R$ -R$ 12.307,75R$ RS MUÇUM R$ 108.039,06 R$ 10.803,91 123.077,42R$ -R$ 12.307,75R$ RS MUITOS CAPÕES R$ 108.039,06 R$ 10.803,91 123.077,42R$ -R$ 12.307,75R$ RS MULITERNO R$ 108.039,06 R$ 10.803,91 123.077,42R$ -R$ 12.307,75R$ RS NÃO-ME-TOQUE R$ 108.039,06 R$ 23.218,97 123.077,42R$ -R$ 26.450,91R$ RS NICOLAU VERGUEIRO R$ 108.039,06 R$ 10.803,91 123.077,42R$ -R$ 12.307,75R$ RS NONOAI R$ 108.039,06 R$ 10.803,91 123.077,42R$ -R$ 12.307,75R$ RS NOVA ALVORADA R$ 108.039,06 R$ 10.803,91 123.077,42R$ -R$ 12.307,75R$ RS NOVA ARAÇÁ R$ 108.039,06 R$ 10.803,91 123.077,42R$ -R$ 12.307,75R$ RS NOVA BASSANO R$ 108.039,06 R$ 10.803,91 123.077,42R$ -R$ 12.307,75R$ RS NOVA BOA VISTA R$ 108.039,06 R$ 10.803,91 123.077,42R$ -R$ 12.307,75R$ RS NOVA BRÉSCIA R$ 108.039,06 R$ 10.803,91 123.077,42R$ -R$ 12.307,75R$ RS NOVA CANDELÁRIA R$ 108.039,06 R$ 10.803,91 123.077,42R$ -R$ 12.307,75R$ RS NOVA ESPERANÇA DO SUL R$ 108.039,06 R$ 10.803,91 123.077,42R$ -R$ 12.307,75R$ RS NOVA HARTZ R$ 108.039,06 R$ 21.673,48 123.077,42R$ -R$ 24.690,29R$ RS NOVA PÁDUA R$ 108.039,06 R$ 10.803,91 123.077,42R$ -R$ 12.307,75R$ RS NOVA PALMA R$ 108.039,06 R$ 10.803,91 123.077,42R$ -R$ 12.307,75R$ RS NOVA PETRÓPOLIS R$ 108.039,06 R$ 10.803,91 123.077,42R$ -R$ 12.307,75R$ RS NOVA PRATA R$ 108.039,06 R$ 18.524,30 123.077,42R$ -R$ 21.102,77R$ RS NOVA RAMADA R$ 108.039,06 R$ 10.803,91 123.077,42R$ -R$ 12.307,75R$ RS NOVA ROMA DO SUL R$ 108.039,06 R$ 10.803,91 123.077,42R$ -R$ 12.307,75R$ RS NOVA SANTA RITA R$ 135.250,32 R$ 28.287,51 154.076,32R$ -R$ 32.224,95R$ RS NOVO BARREIRO R$ 108.039,06 R$ 10.803,91 123.077,42R$ -R$ 12.307,75R$ RS NOVO CABRAIS R$ 108.039,06 R$ 10.803,91 123.077,42R$ -R$ 12.307,75R$ RS NOVO HAMBURGO R$ 1.187.321,44 R$ 69.700,65 1.352.589,16R$ -R$ 79.402,54R$ RS NOVO MACHADO R$ 108.039,06 R$ 10.803,91 123.077,42R$ -R$ 12.307,75R$ RS NOVO TIRADENTES R$ 108.039,06 R$ 10.803,91 123.077,42R$ -R$ 12.307,75R$ RS NOVO XINGU R$ 108.039,06 R$ 10.803,91 123.077,42R$ -R$ 12.307,75R$ RS OSÓRIO R$ 272.369,78 R$ 17.881,05 310.281,95R$ -R$ 20.369,98R$ RS PAIM FILHO R$ 108.039,06 R$ 10.803,91 123.077,42R$ -R$ 12.307,75R$ RS PALMARES DO SUL R$ 108.039,06 R$ 10.803,91 123.077,42R$ -R$ 12.307,75R$ RS PALMEIRA DAS MISSÕES R$ 108.039,06 R$ 28.230,78 123.077,42R$ -R$ 32.160,33R$ RS PALMITINHO R$ 108.039,06 R$ 10.803,91 123.077,42R$ -R$ 12.307,75R$ RS PANAMBI R$ 108.039,06 R$ 10.803,91 123.077,42R$ -R$ 12.307,75R$ RS PANTANO GRANDE R$ 108.039,06 R$ 27.149,21 123.077,42R$ -R$ 30.928,21R$ RS PARAÍ R$ 108.039,06 R$ 10.803,91 123.077,42R$ -R$ 12.307,75R$ RS PARAÍSO DO SUL R$ 108.039,06 R$ 10.803,91 123.077,42R$ -R$ 12.307,75R$ RS PARECI NOVO R$ 108.039,06 R$ 10.803,91 123.077,42R$ -R$ 12.307,75R$ RS PAROBÉ R$ 215.195,87 R$ 44.471,17 245.149,79R$ -R$ 50.661,28R$ RS PASSA SETE R$ 108.039,06 R$ 10.803,91 123.077,42R$ -R$ 12.307,75R$ RS PASSO DO SOBRADO R$ 108.039,06 R$ 10.803,91 123.077,42R$ -R$ 12.307,75R$ RS PASSO FUNDO R$ 440.972,22 R$ 85.602,56 502.352,80R$ -R$ 97.517,90R$ RS PAULO BENTO R$ 108.039,06 R$ 10.803,91 123.077,42R$ -R$ 12.307,75R$ RS PAVERAMA R$ 108.039,06 R$ 10.803,91 123.077,42R$ -R$ 12.307,75R$ 64
  • 65.
    Tribunal Superior Eleitoral PREFEITO 1ºTURNO 1º TURNO 2º TURNO UF POSSIBILIDADE DE SEGUNDO TURNO VEREADORVEREADOR LIMITE DE GASTOS OBSERVADO O MÍNIMO LEGAL (R$ 100,000,00 PARA PREFEITO E R$ 10.000,00 PARA VEREADOR ) EM 2016*** LIMITE DE GASTOS 2020 (ATUALIZADO PELO IPCA DE JUNHO/2016 ATÉ JUNHO/2020*) PREFEITO MUNICÍPIO** RS PEDRAS ALTAS R$ 108.039,06 R$ 10.803,91 123.077,42R$ -R$ 12.307,75R$ RS PEDRO OSÓRIO R$ 108.039,06 R$ 10.803,91 123.077,42R$ -R$ 12.307,75R$ RS PEJUÇARA R$ 108.039,06 R$ 10.803,91 123.077,42R$ -R$ 12.307,75R$ RS PELOTAS SIM R$ 838.012,18 R$ 58.632,95 954.658,24R$ 381.863,29R$ 66.794,29R$ RS PICADA CAFÉ R$ 108.039,06 R$ 10.803,91 123.077,42R$ -R$ 12.307,75R$ RS PINHAL R$ 108.039,06 R$ 10.803,91 123.077,42R$ -R$ 12.307,75R$ RS PINHAL DA SERRA R$ 108.039,06 R$ 10.803,91 123.077,42R$ -R$ 12.307,75R$ RS PINHAL GRANDE R$ 108.039,06 R$ 10.803,91 123.077,42R$ -R$ 12.307,75R$ RS PINHEIRINHO DO VALE R$ 108.039,06 R$ 10.803,91 123.077,42R$ -R$ 12.307,75R$ RS PINHEIRO MACHADO R$ 108.039,06 R$ 10.803,91 123.077,42R$ -R$ 12.307,75R$ RS PINTO BANDEIRA R$ 108.039,06 R$ 10.803,91 123.077,42R$ -R$ 12.307,75R$ RS PIRAPÓ R$ 108.039,06 R$ 10.803,91 123.077,42R$ -R$ 12.307,75R$ RS PIRATINI R$ 108.039,06 R$ 16.735,68 123.077,42R$ -R$ 19.065,18R$ RS PLANALTO R$ 108.039,06 R$ 10.803,91 123.077,42R$ -R$ 12.307,75R$ RS POÇO DAS ANTAS R$ 108.039,06 R$ 10.803,91 123.077,42R$ -R$ 12.307,75R$ RS PONTÃO R$ 108.039,06 R$ 10.803,91 123.077,42R$ -R$ 12.307,75R$ RS PONTE PRETA R$ 108.039,06 R$ 10.803,91 123.077,42R$ -R$ 12.307,75R$ RS PORTÃO R$ 108.039,06 R$ 17.769,35 123.077,42R$ -R$ 20.242,73R$ RS PORTO ALEGRE SIM R$ 5.849.383,99 R$ 429.376,34 6.663.581,68R$ 2.665.432,67R$ 489.142,84R$ RS PORTO LUCENA R$ 108.039,06 R$ 10.803,91 123.077,42R$ -R$ 12.307,75R$ RS PORTO MAUÁ R$ 108.039,06 R$ 10.803,91 123.077,42R$ -R$ 12.307,75R$ RS PORTO VERA CRUZ R$ 108.039,06 R$ 10.803,91 123.077,42R$ -R$ 12.307,75R$ RS PORTO XAVIER R$ 108.039,06 R$ 10.803,91 123.077,42R$ -R$ 12.307,75R$ RS POUSO NOVO R$ 108.039,06 R$ 10.803,91 123.077,42R$ -R$ 12.307,75R$ RS PRESIDENTE LUCENA R$ 108.039,06 R$ 10.803,91 123.077,42R$ -R$ 12.307,75R$ RS PROGRESSO R$ 108.039,06 R$ 10.803,91 123.077,42R$ -R$ 12.307,75R$ RS PROTÁSIO ALVES R$ 108.039,06 R$ 10.803,91 123.077,42R$ -R$ 12.307,75R$ RS PUTINGA R$ 108.039,06 R$ 10.803,91 123.077,42R$ -R$ 12.307,75R$ RS QUARAÍ R$ 108.039,06 R$ 10.803,91 123.077,42R$ -R$ 12.307,75R$ RS QUATRO IRMÃOS R$ 108.039,06 R$ 10.803,91 123.077,42R$ -R$ 12.307,75R$ RS QUEVEDOS R$ 108.039,06 R$ 10.803,91 123.077,42R$ -R$ 12.307,75R$ RS QUINZE DE NOVEMBRO R$ 108.039,06 R$ 10.803,91 123.077,42R$ -R$ 12.307,75R$ RS REDENTORA R$ 108.039,06 R$ 10.803,91 123.077,42R$ -R$ 12.307,75R$ RS RELVADO R$ 108.039,06 R$ 10.803,91 123.077,42R$ -R$ 12.307,75R$ RS RESTINGA SÊCA R$ 108.039,06 R$ 13.493,41 123.077,42R$ -R$ 15.371,61R$ RS RIO DOS ÍNDIOS R$ 108.039,06 R$ 10.803,91 123.077,42R$ -R$ 12.307,75R$ RS RIO GRANDE R$ 663.758,29 R$ 93.374,21 756.149,29R$ -R$ 106.371,32R$ RS RIO PARDO R$ 108.039,06 R$ 17.823,03 123.077,42R$ -R$ 20.303,88R$ RS RIOZINHO R$ 108.039,06 R$ 10.803,91 123.077,42R$ -R$ 12.307,75R$ RS ROCA SALES R$ 108.039,06 R$ 10.803,91 123.077,42R$ -R$ 12.307,75R$ RS RODEIO BONITO R$ 108.039,06 R$ 10.803,91 123.077,42R$ -R$ 12.307,75R$ RS ROLADOR R$ 145.117,04 R$ 75.624,19 165.316,42R$ -R$ 86.150,60R$ RS ROLANTE R$ 108.039,06 R$ 36.619,16 123.077,42R$ -R$ 41.716,32R$ RS RONDA ALTA R$ 108.039,06 R$ 10.803,91 123.077,42R$ -R$ 12.307,75R$ RS RONDINHA R$ 108.039,06 R$ 10.803,91 123.077,42R$ -R$ 12.307,75R$ RS ROQUE GONZALES R$ 108.039,06 R$ 10.803,91 123.077,42R$ -R$ 12.307,75R$ RS ROSÁRIO DO SUL R$ 108.039,06 R$ 37.077,41 123.077,42R$ -R$ 42.238,35R$ RS SAGRADA FAMÍLIA R$ 108.039,06 R$ 10.803,91 123.077,42R$ -R$ 12.307,75R$ RS SALDANHA MARINHO R$ 108.039,06 R$ 10.803,91 123.077,42R$ -R$ 12.307,75R$ RS SALTO DO JACUÍ R$ 108.039,06 R$ 14.372,93 123.077,42R$ -R$ 16.373,55R$ RS SALVADOR DAS MISSÕES R$ 108.039,06 R$ 10.803,91 123.077,42R$ -R$ 12.307,75R$ RS SALVADOR DO SUL R$ 108.039,06 R$ 10.803,91 123.077,42R$ -R$ 12.307,75R$ RS SANANDUVA R$ 108.039,06 R$ 10.803,91 123.077,42R$ -R$ 12.307,75R$ RS SANTA BÁRBARA DO SUL R$ 108.039,06 R$ 10.803,91 123.077,42R$ -R$ 12.307,75R$ RS SANTA CECÍLIA DO SUL R$ 108.039,06 R$ 10.803,91 123.077,42R$ -R$ 12.307,75R$ RS SANTA CLARA DO SUL R$ 108.039,06 R$ 10.803,91 123.077,42R$ -R$ 12.307,75R$ RS SANTA CRUZ DO SUL R$ 500.514,00 R$ 38.834,98 570.182,42R$ -R$ 44.240,57R$ RS SANTA MARGARIDA DO SUL R$ 108.039,06 R$ 10.803,91 123.077,42R$ -R$ 12.307,75R$ RS SANTA MARIA SIM R$ 770.036,69 R$ 50.231,87 877.220,98R$ 350.888,39R$ 57.223,83R$ RS SANTA MARIA DO HERVAL R$ 108.039,06 R$ 10.803,91 123.077,42R$ -R$ 12.307,75R$ RS SANTA ROSA R$ 334.803,28 R$ 43.719,08 381.405,80R$ -R$ 49.804,50R$ RS SANTA TEREZA R$ 108.039,06 R$ 10.803,91 123.077,42R$ -R$ 12.307,75R$ RS SANTA VITÓRIA DO PALMAR R$ 498.239,22 R$ 18.484,10 567.591,00R$ -R$ 21.056,97R$ RS SANTANA DA BOA VISTA R$ 108.039,06 R$ 10.803,91 123.077,42R$ -R$ 12.307,75R$ RS SANT'ANA DO LIVRAMENTO R$ 160.841,28 R$ 54.876,38 183.229,38R$ -R$ 62.514,83R$ RS SANTIAGO R$ 108.039,06 R$ 28.060,50 123.077,42R$ -R$ 31.966,35R$ 65
  • 66.
    Tribunal Superior Eleitoral PREFEITO 1ºTURNO 1º TURNO 2º TURNO UF POSSIBILIDADE DE SEGUNDO TURNO VEREADORVEREADOR LIMITE DE GASTOS OBSERVADO O MÍNIMO LEGAL (R$ 100,000,00 PARA PREFEITO E R$ 10.000,00 PARA VEREADOR ) EM 2016*** LIMITE DE GASTOS 2020 (ATUALIZADO PELO IPCA DE JUNHO/2016 ATÉ JUNHO/2020*) PREFEITO MUNICÍPIO** RS SANTO ÂNGELO R$ 146.450,14 R$ 36.977,50 166.835,08R$ -R$ 42.124,54R$ RS SANTO ANTÔNIO DA PATRULHA R$ 108.039,06 R$ 20.705,49 123.077,42R$ -R$ 23.587,56R$ RS SANTO ANTÔNIO DAS MISSÕES R$ 108.039,06 R$ 10.803,91 123.077,42R$ -R$ 12.307,75R$ RS SANTO ANTÔNIO DO PALMA R$ 108.039,06 R$ 10.803,91 123.077,42R$ -R$ 12.307,75R$ RS SANTO ANTÔNIO DO PLANALTO R$ 108.039,06 R$ 10.803,91 123.077,42R$ -R$ 12.307,75R$ RS SANTO AUGUSTO R$ 108.039,06 R$ 28.046,60 123.077,42R$ -R$ 31.950,51R$ RS SANTO CRISTO R$ 108.039,06 R$ 10.803,91 123.077,42R$ -R$ 12.307,75R$ RS SANTO EXPEDITO DO SUL R$ 108.039,06 R$ 10.803,91 123.077,42R$ -R$ 12.307,75R$ RS SÃO BORJA R$ 383.950,61 R$ 45.889,43 437.394,13R$ -R$ 52.276,95R$ RS SÃO DOMINGOS DO SUL R$ 108.039,06 R$ 10.803,91 123.077,42R$ -R$ 12.307,75R$ RS SÃO FRANCISCO DE ASSIS R$ 108.039,06 R$ 22.017,07 123.077,42R$ -R$ 25.081,71R$ RS SÃO FRANCISCO DE PAULA R$ 191.490,43 R$ 19.876,75 218.144,70R$ -R$ 22.643,47R$ RS SÃO GABRIEL R$ 286.981,66 R$ 19.423,66 326.927,71R$ -R$ 22.127,31R$ RS SÃO JERÔNIMO R$ 108.039,06 R$ 16.856,97 123.077,42R$ -R$ 19.203,35R$ RS SÃO JOÃO DA URTIGA R$ 108.039,06 R$ 10.803,91 123.077,42R$ -R$ 12.307,75R$ RS SÃO JOÃO DO POLÊSINE R$ 108.039,06 R$ 10.803,91 123.077,42R$ -R$ 12.307,75R$ RS SÃO JORGE R$ 108.039,06 R$ 10.803,91 123.077,42R$ -R$ 12.307,75R$ RS SÃO JOSÉ DAS MISSÕES R$ 108.039,06 R$ 10.803,91 123.077,42R$ -R$ 12.307,75R$ RS SÃO JOSÉ DO HERVAL R$ 108.039,06 R$ 10.803,91 123.077,42R$ -R$ 12.307,75R$ RS SÃO JOSÉ DO HORTÊNCIO R$ 108.039,06 R$ 10.803,91 123.077,42R$ -R$ 12.307,75R$ RS SÃO JOSÉ DO INHACORÁ R$ 108.039,06 R$ 10.803,91 123.077,42R$ -R$ 12.307,75R$ RS SÃO JOSÉ DO NORTE R$ 168.624,85 R$ 42.506,51 192.096,38R$ -R$ 48.423,15R$ RS SÃO JOSÉ DO OURO R$ 108.039,06 R$ 10.803,91 123.077,42R$ -R$ 12.307,75R$ RS SÃO JOSÉ DO SUL R$ 108.039,06 R$ 10.803,91 123.077,42R$ -R$ 12.307,75R$ RS SÃO JOSÉ DOS AUSENTES R$ 108.039,06 R$ 10.803,91 123.077,42R$ -R$ 12.307,75R$ RS SÃO LEOPOLDO R$ 1.572.702,81 R$ 75.326,88 1.791.613,21R$ -R$ 85.811,91R$ RS SÃO LOURENÇO DO SUL R$ 165.229,53 R$ 22.033,65 188.228,45R$ -R$ 25.100,60R$ RS SÃO LUIZ GONZAGA R$ 108.039,06 R$ 23.269,64 123.077,42R$ -R$ 26.508,63R$ RS SÃO MARCOS R$ 108.039,06 R$ 10.803,91 123.077,42R$ -R$ 12.307,75R$ RS SÃO MARTINHO R$ 108.039,06 R$ 10.803,91 123.077,42R$ -R$ 12.307,75R$ RS SÃO MARTINHO DA SERRA R$ 108.039,06 R$ 10.803,91 123.077,42R$ -R$ 12.307,75R$ RS SÃO MIGUEL DAS MISSÕES R$ 108.039,06 R$ 17.509,35 123.077,42R$ -R$ 19.946,54R$ RS SÃO NICOLAU R$ 108.039,06 R$ 10.803,91 123.077,42R$ -R$ 12.307,75R$ RS SÃO PAULO DAS MISSÕES R$ 108.039,06 R$ 10.803,91 123.077,42R$ -R$ 12.307,75R$ RS SÃO PEDRO DA SERRA R$ 108.039,06 R$ 10.803,91 123.077,42R$ -R$ 12.307,75R$ RS SÃO PEDRO DAS MISSÕES R$ 108.039,06 R$ 10.803,91 123.077,42R$ -R$ 12.307,75R$ RS SÃO PEDRO DO BUTIÁ R$ 108.039,06 R$ 10.803,91 123.077,42R$ -R$ 12.307,75R$ RS SÃO PEDRO DO SUL R$ 108.039,06 R$ 10.803,91 123.077,42R$ -R$ 12.307,75R$ RS SÃO SEBASTIÃO DO CAÍ R$ 108.039,06 R$ 13.389,50 123.077,42R$ -R$ 15.253,23R$ RS SÃO SEPÉ R$ 108.039,06 R$ 14.691,00 123.077,42R$ -R$ 16.735,90R$ RS SÃO VALENTIM R$ 108.039,06 R$ 10.803,91 123.077,42R$ -R$ 12.307,75R$ RS SÃO VALENTIM DO SUL R$ 108.039,06 R$ 10.803,91 123.077,42R$ -R$ 12.307,75R$ RS SÃO VALÉRIO DO SUL R$ 108.039,06 R$ 10.803,91 123.077,42R$ -R$ 12.307,75R$ RS SÃO VENDELINO R$ 108.039,06 R$ 10.803,91 123.077,42R$ -R$ 12.307,75R$ RS SÃO VICENTE DO SUL R$ 108.039,06 R$ 10.803,91 123.077,42R$ -R$ 12.307,75R$ RS SAPIRANGA R$ 281.151,23 R$ 28.094,33 320.285,72R$ -R$ 32.004,89R$ RS SAPUCAIA DO SUL R$ 589.961,26 R$ 54.262,97 672.080,18R$ -R$ 61.816,04R$ RS SARANDI R$ 161.708,27 R$ 22.328,83 184.217,05R$ -R$ 25.436,86R$ RS SEBERI R$ 108.039,06 R$ 10.803,91 123.077,42R$ -R$ 12.307,75R$ RS SEDE NOVA R$ 108.039,06 R$ 10.803,91 123.077,42R$ -R$ 12.307,75R$ RS SEGREDO R$ 108.039,06 R$ 10.803,91 123.077,42R$ -R$ 12.307,75R$ RS SELBACH R$ 108.039,06 R$ 10.803,91 123.077,42R$ -R$ 12.307,75R$ RS SENADOR SALGADO FILHO R$ 108.039,06 R$ 10.803,91 123.077,42R$ -R$ 12.307,75R$ RS SENTINELA DO SUL R$ 108.039,06 R$ 10.803,91 123.077,42R$ -R$ 12.307,75R$ RS SERAFINA CORRÊA R$ 108.039,06 R$ 10.803,91 123.077,42R$ -R$ 12.307,75R$ RS SÉRIO R$ 108.039,06 R$ 10.803,91 123.077,42R$ -R$ 12.307,75R$ RS SERTÃO R$ 108.039,06 R$ 10.803,91 123.077,42R$ -R$ 12.307,75R$ RS SERTÃO SANTANA R$ 108.039,06 R$ 10.803,91 123.077,42R$ -R$ 12.307,75R$ RS SETE DE SETEMBRO R$ 108.039,06 R$ 10.803,91 123.077,42R$ -R$ 12.307,75R$ RS SEVERIANO DE ALMEIDA R$ 108.039,06 R$ 10.803,91 123.077,42R$ -R$ 12.307,75R$ RS SILVEIRA MARTINS R$ 108.039,06 R$ 10.803,91 123.077,42R$ -R$ 12.307,75R$ RS SINIMBU R$ 108.039,06 R$ 10.803,91 123.077,42R$ -R$ 12.307,75R$ RS SOBRADINHO R$ 108.039,06 R$ 10.803,91 123.077,42R$ -R$ 12.307,75R$ RS SOLEDADE R$ 108.039,06 R$ 18.117,10 123.077,42R$ -R$ 20.638,89R$ RS TABAÍ R$ 108.039,06 R$ 10.803,91 123.077,42R$ -R$ 12.307,75R$ RS TAPEJARA R$ 108.039,06 R$ 14.979,69 123.077,42R$ -R$ 17.064,77R$ 66
  • 67.
    Tribunal Superior Eleitoral PREFEITO 1ºTURNO 1º TURNO 2º TURNO UF POSSIBILIDADE DE SEGUNDO TURNO VEREADORVEREADOR LIMITE DE GASTOS OBSERVADO O MÍNIMO LEGAL (R$ 100,000,00 PARA PREFEITO E R$ 10.000,00 PARA VEREADOR ) EM 2016*** LIMITE DE GASTOS 2020 (ATUALIZADO PELO IPCA DE JUNHO/2016 ATÉ JUNHO/2020*) PREFEITO MUNICÍPIO** RS TAPERA R$ 108.039,06 R$ 10.803,91 123.077,42R$ -R$ 12.307,75R$ RS TAPES R$ 108.039,06 R$ 16.628,09 123.077,42R$ -R$ 18.942,62R$ RS TAQUARA R$ 108.039,06 R$ 16.418,52 123.077,42R$ -R$ 18.703,88R$ RS TAQUARI R$ 280.657,72 R$ 20.389,04 319.723,52R$ -R$ 23.227,07R$ RS TAQUARUÇU DO SUL R$ 108.039,06 R$ 10.803,91 123.077,42R$ -R$ 12.307,75R$ RS TAVARES R$ 108.039,06 R$ 10.803,91 123.077,42R$ -R$ 12.307,75R$ RS TENENTE PORTELA R$ 108.039,06 R$ 10.803,91 123.077,42R$ -R$ 12.307,75R$ RS TERRA DE AREIA R$ 108.039,06 R$ 16.602,12 123.077,42R$ -R$ 18.913,03R$ RS TEUTÔNIA R$ 108.039,06 R$ 14.440,70 123.077,42R$ -R$ 16.450,76R$ RS TIO HUGO R$ 108.039,06 R$ 10.803,91 123.077,42R$ -R$ 12.307,75R$ RS TIRADENTES DO SUL R$ 108.039,06 R$ 10.803,91 123.077,42R$ -R$ 12.307,75R$ RS TOROPI R$ 108.039,06 R$ 10.803,91 123.077,42R$ -R$ 12.307,75R$ RS TORRES R$ 499.399,80 R$ 17.199,14 568.913,13R$ -R$ 19.593,15R$ RS TRAMANDAÍ R$ 167.036,31 R$ 20.088,18 190.286,72R$ -R$ 22.884,33R$ RS TRAVESSEIRO R$ 108.039,06 R$ 10.803,91 123.077,42R$ -R$ 12.307,75R$ RS TRÊS ARROIOS R$ 108.039,06 R$ 10.803,91 123.077,42R$ -R$ 12.307,75R$ RS TRÊS CACHOEIRAS R$ 108.039,06 R$ 10.803,91 123.077,42R$ -R$ 12.307,75R$ RS TRÊS COROAS R$ 108.039,06 R$ 10.803,91 123.077,42R$ -R$ 12.307,75R$ RS TRÊS DE MAIO R$ 108.039,06 R$ 10.803,91 123.077,42R$ -R$ 12.307,75R$ RS TRÊS FORQUILHAS R$ 108.039,06 R$ 10.803,91 123.077,42R$ -R$ 12.307,75R$ RS TRÊS PALMEIRAS R$ 108.039,06 R$ 10.803,91 123.077,42R$ -R$ 12.307,75R$ RS TRÊS PASSOS R$ 108.039,06 R$ 10.803,91 123.077,42R$ -R$ 12.307,75R$ RS TRINDADE DO SUL R$ 108.039,06 R$ 10.803,91 123.077,42R$ -R$ 12.307,75R$ RS TRIUNFO R$ 536.937,59 R$ 60.184,22 611.675,95R$ -R$ 68.561,49R$ RS TUCUNDUVA R$ 108.039,06 R$ 10.803,91 123.077,42R$ -R$ 12.307,75R$ RS TUNAS R$ 108.039,06 R$ 10.803,91 123.077,42R$ -R$ 12.307,75R$ RS TUPANCI DO SUL R$ 108.039,06 R$ 10.803,91 123.077,42R$ -R$ 12.307,75R$ RS TUPANCIRETÃ R$ 108.039,06 R$ 10.803,91 123.077,42R$ -R$ 12.307,75R$ RS TUPANDI R$ 108.039,06 R$ 10.803,91 123.077,42R$ -R$ 12.307,75R$ RS TUPARENDI R$ 108.039,06 R$ 10.803,91 123.077,42R$ -R$ 12.307,75R$ RS TURUÇU R$ 108.039,06 R$ 10.803,91 123.077,42R$ -R$ 12.307,75R$ RS UBIRETAMA R$ 108.039,06 R$ 10.803,91 123.077,42R$ -R$ 12.307,75R$ RS UNIÃO DA SERRA R$ 108.039,06 R$ 10.803,91 123.077,42R$ -R$ 12.307,75R$ RS UNISTALDA R$ 108.039,06 R$ 13.411,21 123.077,42R$ -R$ 15.277,97R$ RS URUGUAIANA R$ 256.395,49 R$ 47.608,57 292.084,14R$ -R$ 54.235,39R$ RS VACARIA R$ 198.558,55 R$ 32.089,44 226.196,66R$ -R$ 36.556,09R$ RS VALE DO SOL R$ 108.039,06 R$ 10.803,91 123.077,42R$ -R$ 12.307,75R$ RS VALE REAL R$ 108.039,06 R$ 10.803,91 123.077,42R$ -R$ 12.307,75R$ RS VALE VERDE R$ 108.039,06 R$ 10.803,91 123.077,42R$ -R$ 12.307,75R$ RS VANINI R$ 108.039,06 R$ 10.803,91 123.077,42R$ -R$ 12.307,75R$ RS VENÂNCIO AIRES R$ 262.887,67 R$ 42.654,22 299.479,99R$ -R$ 48.591,42R$ RS VERA CRUZ R$ 108.039,06 R$ 10.803,91 123.077,42R$ -R$ 12.307,75R$ RS VERANÓPOLIS R$ 157.525,95 R$ 19.226,04 179.452,58R$ -R$ 21.902,18R$ RS VESPASIANO CORRÊA R$ 108.039,06 R$ 10.803,91 123.077,42R$ -R$ 12.307,75R$ RS VIADUTOS R$ 108.039,06 R$ 10.803,91 123.077,42R$ -R$ 12.307,75R$ RS VIAMÃO R$ 279.535,60 R$ 52.690,40 318.445,21R$ -R$ 60.024,57R$ RS VICENTE DUTRA R$ 108.039,06 R$ 10.803,91 123.077,42R$ -R$ 12.307,75R$ RS VICTOR GRAEFF R$ 108.039,06 R$ 10.803,91 123.077,42R$ -R$ 12.307,75R$ RS VILA FLORES R$ 108.039,06 R$ 10.803,91 123.077,42R$ -R$ 12.307,75R$ RS VILA LÂNGARO R$ 108.039,06 R$ 10.803,91 123.077,42R$ -R$ 12.307,75R$ RS VILA MARIA R$ 108.039,06 R$ 10.803,91 123.077,42R$ -R$ 12.307,75R$ RS VILA NOVA DO SUL R$ 108.039,06 R$ 10.803,91 123.077,42R$ -R$ 12.307,75R$ RS VISTA ALEGRE R$ 108.039,06 R$ 10.803,91 123.077,42R$ -R$ 12.307,75R$ RS VISTA ALEGRE DO PRATA R$ 108.039,06 R$ 10.803,91 123.077,42R$ -R$ 12.307,75R$ RS VISTA GAÚCHA R$ 108.039,06 R$ 10.803,91 123.077,42R$ -R$ 12.307,75R$ RS VITÓRIA DAS MISSÕES R$ 108.039,06 R$ 19.124,51 123.077,42R$ -R$ 21.786,52R$ RS WESTFALIA R$ 108.039,06 R$ 10.803,91 123.077,42R$ -R$ 12.307,75R$ RS XANGRI-LÁ R$ 173.501,70 R$ 23.089,02 197.652,05R$ -R$ 26.302,87R$ SC ABDON BATISTA R$ 108.039,06 R$ 10.803,91 123.077,42R$ -R$ 12.307,75R$ SC ABELARDO LUZ R$ 236.594,29 R$ 25.531,25 269.526,74R$ -R$ 29.085,04R$ SC AGROLÂNDIA R$ 108.039,06 R$ 10.803,91 123.077,42R$ -R$ 12.307,75R$ SC AGRONÔMICA R$ 108.039,06 R$ 10.803,91 123.077,42R$ -R$ 12.307,75R$ SC ÁGUA DOCE R$ 108.039,06 R$ 34.609,53 123.077,42R$ -R$ 39.426,96R$ SC ÁGUAS DE CHAPECÓ R$ 108.039,06 R$ 10.803,91 123.077,42R$ -R$ 12.307,75R$ SC ÁGUAS FRIAS R$ 108.039,06 R$ 10.803,91 123.077,42R$ -R$ 12.307,75R$ SC ÁGUAS MORNAS R$ 108.039,06 R$ 10.803,91 123.077,42R$ -R$ 12.307,75R$ 67
  • 68.
    Tribunal Superior Eleitoral PREFEITO 1ºTURNO 1º TURNO 2º TURNO UF POSSIBILIDADE DE SEGUNDO TURNO VEREADORVEREADOR LIMITE DE GASTOS OBSERVADO O MÍNIMO LEGAL (R$ 100,000,00 PARA PREFEITO E R$ 10.000,00 PARA VEREADOR ) EM 2016*** LIMITE DE GASTOS 2020 (ATUALIZADO PELO IPCA DE JUNHO/2016 ATÉ JUNHO/2020*) PREFEITO MUNICÍPIO** SC ALFREDO WAGNER R$ 108.039,06 R$ 10.803,91 123.077,42R$ -R$ 12.307,75R$ SC ALTO BELA VISTA R$ 108.039,06 R$ 10.803,91 123.077,42R$ -R$ 12.307,75R$ SC ANCHIETA R$ 108.039,06 R$ 10.803,91 123.077,42R$ -R$ 12.307,75R$ SC ANGELINA R$ 108.039,06 R$ 10.803,91 123.077,42R$ -R$ 12.307,75R$ SC ANITA GARIBALDI R$ 108.039,06 R$ 10.803,91 123.077,42R$ -R$ 12.307,75R$ SC ANITÁPOLIS R$ 108.039,06 R$ 10.803,91 123.077,42R$ -R$ 12.307,75R$ SC ANTÔNIO CARLOS R$ 108.039,06 R$ 10.803,91 123.077,42R$ -R$ 12.307,75R$ SC APIÚNA R$ 108.039,06 R$ 10.803,91 123.077,42R$ -R$ 12.307,75R$ SC ARABUTÃ R$ 108.039,06 R$ 10.803,91 123.077,42R$ -R$ 12.307,75R$ SC ARAQUARI R$ 108.039,06 R$ 16.546,44 123.077,42R$ -R$ 18.849,60R$ SC ARARANGUÁ R$ 366.393,83 R$ 18.952,82 417.393,56R$ -R$ 21.590,93R$ SC ARMAZÉM R$ 108.039,06 R$ 10.803,91 123.077,42R$ -R$ 12.307,75R$ SC ARROIO TRINTA R$ 108.039,06 R$ 10.803,91 123.077,42R$ -R$ 12.307,75R$ SC ARVOREDO R$ 108.039,06 R$ 10.803,91 123.077,42R$ -R$ 12.307,75R$ SC ASCURRA R$ 108.039,06 R$ 10.803,91 123.077,42R$ -R$ 12.307,75R$ SC ATALANTA R$ 108.039,06 R$ 10.803,91 123.077,42R$ -R$ 12.307,75R$ SC AURORA R$ 108.039,06 R$ 10.803,91 123.077,42R$ -R$ 12.307,75R$ SC BALNEÁRIO ARROIO DO SILVA R$ 108.039,06 R$ 10.803,91 123.077,42R$ -R$ 12.307,75R$ SC BALNEÁRIO BARRA DO SUL R$ 108.039,06 R$ 10.803,91 123.077,42R$ -R$ 12.307,75R$ SC BALNEÁRIO CAMBORIÚ R$ 1.410.687,25 R$ 101.482,28 1.607.046,10R$ -R$ 115.607,98R$ SC BALNEÁRIO GAIVOTA R$ 108.039,06 R$ 10.803,91 123.077,42R$ -R$ 12.307,75R$ SC BALNEÁRIO PIÇARRAS R$ 108.039,06 R$ 20.282,97 123.077,42R$ -R$ 23.106,23R$ SC BALNEÁRIO RINCÃO R$ 108.039,06 R$ 10.803,91 123.077,42R$ -R$ 12.307,75R$ SC BANDEIRANTE R$ 108.039,06 R$ 10.803,91 123.077,42R$ -R$ 12.307,75R$ SC BARRA BONITA R$ 108.039,06 R$ 10.803,91 123.077,42R$ -R$ 12.307,75R$ SC BARRA VELHA R$ 108.039,06 R$ 10.803,91 123.077,42R$ -R$ 12.307,75R$ SC BELA VISTA DO TOLDO R$ 108.039,06 R$ 10.803,91 123.077,42R$ -R$ 12.307,75R$ SC BELMONTE R$ 108.039,06 R$ 10.803,91 123.077,42R$ -R$ 12.307,75R$ SC BENEDITO NOVO R$ 108.039,06 R$ 10.803,91 123.077,42R$ -R$ 12.307,75R$ SC BIGUAÇU R$ 328.616,13 R$ 63.227,05 374.357,44R$ -R$ 72.027,86R$ SC BLUMENAU SIM R$ 767.536,28 R$ 110.357,69 874.372,53R$ 349.749,01R$ 125.718,79R$ SC BOCAINA DO SUL R$ 108.039,06 R$ 10.803,91 123.077,42R$ -R$ 12.307,75R$ SC BOM JARDIM DA SERRA R$ 108.039,06 R$ 10.803,91 123.077,42R$ -R$ 12.307,75R$ SC BOM JESUS R$ 108.039,06 R$ 10.803,91 123.077,42R$ -R$ 12.307,75R$ SC BOM JESUS DO OESTE R$ 108.039,06 R$ 10.803,91 123.077,42R$ -R$ 12.307,75R$ SC BOM RETIRO R$ 108.039,06 R$ 10.803,91 123.077,42R$ -R$ 12.307,75R$ SC BOMBINHAS R$ 108.039,06 R$ 27.119,21 123.077,42R$ -R$ 30.894,03R$ SC BOTUVERÁ R$ 108.039,06 R$ 10.803,91 123.077,42R$ -R$ 12.307,75R$ SC BRAÇO DO NORTE R$ 108.039,06 R$ 15.759,05 123.077,42R$ -R$ 17.952,61R$ SC BRAÇO DO TROMBUDO R$ 108.039,06 R$ 10.803,91 123.077,42R$ -R$ 12.307,75R$ SC BRUNÓPOLIS R$ 108.039,06 R$ 10.803,91 123.077,42R$ -R$ 12.307,75R$ SC BRUSQUE R$ 504.841,78 R$ 19.515,31 575.112,60R$ -R$ 22.231,72R$ SC CAÇADOR R$ 767.425,88 R$ 33.640,24 874.246,77R$ -R$ 38.322,75R$ SC CAIBI R$ 108.039,06 R$ 10.803,91 123.077,42R$ -R$ 12.307,75R$ SC CALMON R$ 170.098,91 R$ 10.803,91 193.775,61R$ -R$ 12.307,75R$ SC CAMBORIÚ R$ 145.798,08 R$ 32.578,26 166.092,26R$ -R$ 37.112,95R$ SC CAMPO ALEGRE R$ 108.039,06 R$ 10.803,91 123.077,42R$ -R$ 12.307,75R$ SC CAMPO BELO DO SUL R$ 108.039,06 R$ 10.803,91 123.077,42R$ -R$ 12.307,75R$ SC CAMPO ERÊ R$ 108.039,06 R$ 10.803,91 123.077,42R$ -R$ 12.307,75R$ SC CAMPOS NOVOS R$ 108.039,06 R$ 18.938,61 123.077,42R$ -R$ 21.574,75R$ SC CANELINHA R$ 108.039,06 R$ 10.803,91 123.077,42R$ -R$ 12.307,75R$ SC CANOINHAS R$ 421.290,04 R$ 42.164,69 479.930,98R$ -R$ 48.033,75R$ SC CAPÃO ALTO R$ 108.039,06 R$ 10.803,91 123.077,42R$ -R$ 12.307,75R$ SC CAPINZAL R$ 108.039,06 R$ 35.246,31 123.077,42R$ -R$ 40.152,38R$ SC CAPIVARI DE BAIXO R$ 108.039,06 R$ 22.787,82 123.077,42R$ -R$ 25.959,74R$ SC CATANDUVAS R$ 108.039,06 R$ 10.803,91 123.077,42R$ -R$ 12.307,75R$ SC CAXAMBU DO SUL R$ 108.039,06 R$ 20.856,72 123.077,42R$ -R$ 23.759,85R$ SC CELSO RAMOS R$ 108.039,06 R$ 10.803,91 123.077,42R$ -R$ 12.307,75R$ SC CERRO NEGRO R$ 108.039,06 R$ 10.803,91 123.077,42R$ -R$ 12.307,75R$ SC CHAPADÃO DO LAGEADO R$ 108.039,06 R$ 10.803,91 123.077,42R$ -R$ 12.307,75R$ SC CHAPECÓ R$ 730.082,77 R$ 98.636,47 831.705,73R$ -R$ 112.366,05R$ SC COCAL DO SUL R$ 108.039,06 R$ 10.803,91 123.077,42R$ -R$ 12.307,75R$ SC CONCÓRDIA R$ 200.484,46 R$ 27.765,90 228.390,64R$ -R$ 31.630,74R$ SC CORDILHEIRA ALTA R$ 108.039,06 R$ 10.803,91 123.077,42R$ -R$ 12.307,75R$ SC CORONEL FREITAS R$ 108.039,06 R$ 10.803,91 123.077,42R$ -R$ 12.307,75R$ SC CORONEL MARTINS R$ 108.039,06 R$ 10.803,91 123.077,42R$ -R$ 12.307,75R$ 68
  • 69.
    Tribunal Superior Eleitoral PREFEITO 1ºTURNO 1º TURNO 2º TURNO UF POSSIBILIDADE DE SEGUNDO TURNO VEREADORVEREADOR LIMITE DE GASTOS OBSERVADO O MÍNIMO LEGAL (R$ 100,000,00 PARA PREFEITO E R$ 10.000,00 PARA VEREADOR ) EM 2016*** LIMITE DE GASTOS 2020 (ATUALIZADO PELO IPCA DE JUNHO/2016 ATÉ JUNHO/2020*) PREFEITO MUNICÍPIO** SC CORREIA PINTO R$ 157.674,46 R$ 14.120,10 179.621,76R$ -R$ 16.085,53R$ SC CORUPÁ R$ 108.039,06 R$ 10.803,91 123.077,42R$ -R$ 12.307,75R$ SC CRICIÚMA R$ 493.070,22 R$ 128.697,24 561.702,51R$ -R$ 146.611,09R$ SC CUNHA PORÃ R$ 108.039,06 R$ 10.803,91 123.077,42R$ -R$ 12.307,75R$ SC CUNHATAÍ R$ 108.039,06 R$ 10.803,91 123.077,42R$ -R$ 12.307,75R$ SC CURITIBANOS R$ 137.249,19 R$ 16.706,72 156.353,42R$ -R$ 19.032,19R$ SC DESCANSO R$ 108.039,06 R$ 10.803,91 123.077,42R$ -R$ 12.307,75R$ SC DIONÍSIO CERQUEIRA R$ 108.039,06 R$ 62.620,02 123.077,42R$ -R$ 71.336,34R$ SC DONA EMMA R$ 108.039,06 R$ 10.803,91 123.077,42R$ -R$ 12.307,75R$ SC DOUTOR PEDRINHO R$ 108.039,06 R$ 10.803,91 123.077,42R$ -R$ 12.307,75R$ SC ENTRE RIOS R$ 108.039,06 R$ 10.803,91 123.077,42R$ -R$ 12.307,75R$ SC ERMO R$ 108.039,06 R$ 10.803,91 123.077,42R$ -R$ 12.307,75R$ SC ERVAL VELHO R$ 108.039,06 R$ 10.803,91 123.077,42R$ -R$ 12.307,75R$ SC FAXINAL DOS GUEDES R$ 108.039,06 R$ 10.803,91 123.077,42R$ -R$ 12.307,75R$ SC FLOR DO SERTÃO R$ 108.039,06 R$ 10.803,91 123.077,42R$ -R$ 12.307,75R$ SC FLORIANÓPOLIS SIM R$ 3.628.198,44 R$ 171.035,74 4.133.220,98R$ 1.653.288,39R$ 194.842,85R$ SC FORMOSA DO SUL R$ 108.039,06 R$ 10.803,91 123.077,42R$ -R$ 12.307,75R$ SC FORQUILHINHA R$ 215.548,96 R$ 19.364,55 245.552,03R$ -R$ 22.059,97R$ SC FRAIBURGO R$ 108.039,06 R$ 21.863,27 123.077,42R$ -R$ 24.906,50R$ SC FREI ROGÉRIO R$ 108.039,06 R$ 10.803,91 123.077,42R$ -R$ 12.307,75R$ SC GALVÃO R$ 108.039,06 R$ 10.803,91 123.077,42R$ -R$ 12.307,75R$ SC GAROPABA R$ 108.039,06 R$ 16.655,99 123.077,42R$ -R$ 18.974,40R$ SC GARUVA R$ 234.433,29 R$ 10.803,91 267.064,94R$ -R$ 12.307,75R$ SC GASPAR R$ 134.657,70 R$ 17.213,39 153.401,21R$ -R$ 19.609,39R$ SC GOVERNADOR CELSO RAMOS R$ 108.039,06 R$ 30.074,81 123.077,42R$ -R$ 34.261,04R$ SC GRÃO-PARÁ R$ 108.039,06 R$ 10.803,91 123.077,42R$ -R$ 12.307,75R$ SC GRAVATAL R$ 108.039,06 R$ 10.803,91 123.077,42R$ -R$ 12.307,75R$ SC GUABIRUBA R$ 108.039,06 R$ 10.803,91 123.077,42R$ -R$ 12.307,75R$ SC GUARACIABA R$ 108.039,06 R$ 10.803,91 123.077,42R$ -R$ 12.307,75R$ SC GUARAMIRIM R$ 145.232,09 R$ 22.607,24 165.447,49R$ -R$ 25.754,03R$ SC GUARUJÁ DO SUL R$ 108.039,06 R$ 10.803,91 123.077,42R$ -R$ 12.307,75R$ SC GUATAMBÚ R$ 108.039,06 R$ 10.803,91 123.077,42R$ -R$ 12.307,75R$ SC HERVAL D'OESTE R$ 108.039,06 R$ 10.803,91 123.077,42R$ -R$ 12.307,75R$ SC IBIAM R$ 108.039,06 R$ 26.201,63 123.077,42R$ -R$ 29.848,73R$ SC IBICARÉ R$ 108.039,06 R$ 10.803,91 123.077,42R$ -R$ 12.307,75R$ SC IBIRAMA R$ 158.900,70 R$ 16.437,08 181.018,68R$ -R$ 18.725,02R$ SC IÇARA R$ 320.144,61 R$ 46.752,51 364.706,74R$ -R$ 53.260,17R$ SC ILHOTA R$ 108.039,06 R$ 38.157,73 123.077,42R$ -R$ 43.469,05R$ SC IMARUÍ R$ 108.039,06 R$ 10.803,91 123.077,42R$ -R$ 12.307,75R$ SC IMBITUBA R$ 108.039,06 R$ 47.149,82 123.077,42R$ -R$ 53.712,78R$ SC IMBUIA R$ 108.039,06 R$ 10.803,91 123.077,42R$ -R$ 12.307,75R$ SC INDAIAL R$ 108.039,06 R$ 31.513,10 123.077,42R$ -R$ 35.899,53R$ SC IOMERÊ R$ 108.039,06 R$ 10.803,91 123.077,42R$ -R$ 12.307,75R$ SC IPIRA R$ 108.039,06 R$ 10.803,91 123.077,42R$ -R$ 12.307,75R$ SC IPORÃ DO OESTE R$ 108.039,06 R$ 10.803,91 123.077,42R$ -R$ 12.307,75R$ SC IPUAÇU R$ 108.039,06 R$ 10.803,91 123.077,42R$ -R$ 12.307,75R$ SC IPUMIRIM R$ 108.039,06 R$ 10.803,91 123.077,42R$ -R$ 12.307,75R$ SC IRACEMINHA R$ 108.039,06 R$ 10.803,91 123.077,42R$ -R$ 12.307,75R$ SC IRANI R$ 108.039,06 R$ 10.803,91 123.077,42R$ -R$ 12.307,75R$ SC IRATI R$ 108.039,06 R$ 10.803,91 123.077,42R$ -R$ 12.307,75R$ SC IRINEÓPOLIS R$ 108.039,06 R$ 10.803,91 123.077,42R$ -R$ 12.307,75R$ SC ITÁ R$ 108.039,06 R$ 10.803,91 123.077,42R$ -R$ 12.307,75R$ SC ITAIÓPOLIS R$ 108.039,06 R$ 26.686,36 123.077,42R$ -R$ 30.400,93R$ SC ITAJAÍ R$ 1.487.318,89 R$ 99.827,67 1.694.344,38R$ -R$ 113.723,06R$ SC ITAPEMA R$ 108.039,06 R$ 15.427,89 123.077,42R$ -R$ 17.575,36R$ SC ITAPIRANGA R$ 108.039,06 R$ 10.803,91 123.077,42R$ -R$ 12.307,75R$ SC ITAPOÁ R$ 108.039,06 R$ 24.711,33 123.077,42R$ -R$ 28.150,99R$ SC ITUPORANGA R$ 108.039,06 R$ 21.006,73 123.077,42R$ -R$ 23.930,74R$ SC JABORÁ R$ 108.039,06 R$ 10.803,91 123.077,42R$ -R$ 12.307,75R$ SC JACINTO MACHADO R$ 108.039,06 R$ 10.803,91 123.077,42R$ -R$ 12.307,75R$ SC JAGUARUNA R$ 108.039,06 R$ 10.803,91 123.077,42R$ -R$ 12.307,75R$ SC JARAGUÁ DO SUL R$ 240.652,89 R$ 24.526,93 274.150,27R$ -R$ 27.940,93R$ SC JARDINÓPOLIS R$ 108.039,06 R$ 10.803,91 123.077,42R$ -R$ 12.307,75R$ SC JOAÇABA R$ 248.803,42 R$ 30.577,95 283.435,30R$ -R$ 34.834,21R$ SC JOINVILLE SIM R$ 3.835.280,58 R$ 215.740,42 4.369.127,66R$ 1.747.651,06R$ 245.770,14R$ SC JOSÉ BOITEUX R$ 108.039,06 R$ 10.803,91 123.077,42R$ -R$ 12.307,75R$ 69
  • 70.
    Tribunal Superior Eleitoral PREFEITO 1ºTURNO 1º TURNO 2º TURNO UF POSSIBILIDADE DE SEGUNDO TURNO VEREADORVEREADOR LIMITE DE GASTOS OBSERVADO O MÍNIMO LEGAL (R$ 100,000,00 PARA PREFEITO E R$ 10.000,00 PARA VEREADOR ) EM 2016*** LIMITE DE GASTOS 2020 (ATUALIZADO PELO IPCA DE JUNHO/2016 ATÉ JUNHO/2020*) PREFEITO MUNICÍPIO** SC JUPIÁ R$ 108.039,06 R$ 10.803,91 123.077,42R$ -R$ 12.307,75R$ SC LACERDÓPOLIS R$ 108.039,06 R$ 10.803,91 123.077,42R$ -R$ 12.307,75R$ SC LAGES R$ 920.958,02 R$ 36.870,36 1.049.149,62R$ -R$ 42.002,48R$ SC LAGUNA R$ 358.111,54 R$ 48.570,26 407.958,43R$ -R$ 55.330,94R$ SC LAJEADO GRANDE R$ 108.039,06 R$ 13.675,45 123.077,42R$ -R$ 15.578,99R$ SC LAURENTINO R$ 108.039,06 R$ 10.803,91 123.077,42R$ -R$ 12.307,75R$ SC LAURO MÜLLER R$ 236.602,64 R$ 13.619,94 269.536,25R$ -R$ 15.515,75R$ SC LEBON RÉGIS R$ 108.039,06 R$ 10.803,91 123.077,42R$ -R$ 12.307,75R$ SC LEOBERTO LEAL R$ 108.039,06 R$ 10.803,91 123.077,42R$ -R$ 12.307,75R$ SC LINDÓIA DO SUL R$ 108.039,06 R$ 10.803,91 123.077,42R$ -R$ 12.307,75R$ SC LONTRAS R$ 108.039,06 R$ 10.803,91 123.077,42R$ -R$ 12.307,75R$ SC LUIZ ALVES R$ 108.039,06 R$ 10.803,91 123.077,42R$ -R$ 12.307,75R$ SC LUZERNA R$ 108.039,06 R$ 10.803,91 123.077,42R$ -R$ 12.307,75R$ SC MACIEIRA R$ 108.039,06 R$ 10.803,91 123.077,42R$ -R$ 12.307,75R$ SC MAFRA R$ 186.184,82 R$ 24.916,51 212.100,58R$ -R$ 28.384,73R$ SC MAJOR GERCINO R$ 108.039,06 R$ 10.803,91 123.077,42R$ -R$ 12.307,75R$ SC MAJOR VIEIRA R$ 108.039,06 R$ 10.803,91 123.077,42R$ -R$ 12.307,75R$ SC MARACAJÁ R$ 108.039,06 R$ 10.803,91 123.077,42R$ -R$ 12.307,75R$ SC MARAVILHA R$ 288.283,39 R$ 22.420,86 328.410,64R$ -R$ 25.541,70R$ SC MAREMA R$ 108.039,06 R$ 10.803,91 123.077,42R$ -R$ 12.307,75R$ SC MASSARANDUBA R$ 108.039,06 R$ 10.803,91 123.077,42R$ -R$ 12.307,75R$ SC MATOS COSTA R$ 108.039,06 R$ 10.803,91 123.077,42R$ -R$ 12.307,75R$ SC MELEIRO R$ 108.039,06 R$ 10.803,91 123.077,42R$ -R$ 12.307,75R$ SC MIRIM DOCE R$ 108.039,06 R$ 10.803,91 123.077,42R$ -R$ 12.307,75R$ SC MODELO R$ 108.039,06 R$ 10.803,91 123.077,42R$ -R$ 12.307,75R$ SC MONDAÍ R$ 108.039,06 R$ 10.803,91 123.077,42R$ -R$ 12.307,75R$ SC MONTE CARLO R$ 108.039,06 R$ 10.803,91 123.077,42R$ -R$ 12.307,75R$ SC MONTE CASTELO R$ 108.039,06 R$ 15.216,00 123.077,42R$ -R$ 17.333,97R$ SC MORRO DA FUMAÇA R$ 171.454,93 R$ 10.803,91 195.320,38R$ -R$ 12.307,75R$ SC MORRO GRANDE R$ 108.039,06 R$ 10.803,91 123.077,42R$ -R$ 12.307,75R$ SC NAVEGANTES R$ 108.039,06 R$ 36.141,02 123.077,42R$ -R$ 41.171,62R$ SC NOVA ERECHIM R$ 108.039,06 R$ 10.803,91 123.077,42R$ -R$ 12.307,75R$ SC NOVA ITABERABA R$ 108.039,06 R$ 10.803,91 123.077,42R$ -R$ 12.307,75R$ SC NOVA TRENTO R$ 108.039,06 R$ 10.803,91 123.077,42R$ -R$ 12.307,75R$ SC NOVA VENEZA R$ 108.039,06 R$ 10.803,91 123.077,42R$ -R$ 12.307,75R$ SC NOVO HORIZONTE R$ 108.039,06 R$ 10.803,91 123.077,42R$ -R$ 12.307,75R$ SC ORLEANS R$ 145.368,33 R$ 42.349,32 165.602,69R$ -R$ 48.244,08R$ SC OTACÍLIO COSTA R$ 108.039,06 R$ 17.619,66 123.077,42R$ -R$ 20.072,21R$ SC OURO R$ 108.039,06 R$ 10.803,91 123.077,42R$ -R$ 12.307,75R$ SC OURO VERDE R$ 108.039,06 R$ 10.803,91 123.077,42R$ -R$ 12.307,75R$ SC PAIAL R$ 108.039,06 R$ 10.803,91 123.077,42R$ -R$ 12.307,75R$ SC PAINEL R$ 108.039,06 R$ 10.803,91 123.077,42R$ -R$ 12.307,75R$ SC PALHOÇA R$ 280.606,66 R$ 53.127,69 319.665,35R$ -R$ 60.522,73R$ SC PALMA SOLA R$ 108.039,06 R$ 10.803,91 123.077,42R$ -R$ 12.307,75R$ SC PALMEIRA R$ 108.039,06 R$ 10.803,91 123.077,42R$ -R$ 12.307,75R$ SC PALMITOS R$ 108.039,06 R$ 16.436,06 123.077,42R$ -R$ 18.723,86R$ SC PAPANDUVA R$ 108.039,06 R$ 10.803,91 123.077,42R$ -R$ 12.307,75R$ SC PARAÍSO R$ 108.039,06 R$ 10.803,91 123.077,42R$ -R$ 12.307,75R$ SC PASSO DE TORRES R$ 108.039,06 R$ 17.599,10 123.077,42R$ -R$ 20.048,78R$ SC PASSOS MAIA R$ 108.039,06 R$ 16.027,81 123.077,42R$ -R$ 18.258,78R$ SC PAULO LOPES R$ 108.039,06 R$ 26.591,73 123.077,42R$ -R$ 30.293,13R$ SC PEDRAS GRANDES R$ 108.039,06 R$ 10.803,91 123.077,42R$ -R$ 12.307,75R$ SC PENHA R$ 196.527,53 R$ 21.804,08 223.882,93R$ -R$ 24.839,07R$ SC PERITIBA R$ 108.039,06 R$ 10.803,91 123.077,42R$ -R$ 12.307,75R$ SC PESCARIA BRAVA R$ 108.039,06 R$ 10.803,91 123.077,42R$ -R$ 12.307,75R$ SC PETROLÂNDIA R$ 108.039,06 R$ 10.803,91 123.077,42R$ -R$ 12.307,75R$ SC PINHALZINHO R$ 108.039,06 R$ 23.282,36 123.077,42R$ -R$ 26.523,12R$ SC PINHEIRO PRETO R$ 108.039,06 R$ 19.168,89 123.077,42R$ -R$ 21.837,08R$ SC PIRATUBA R$ 108.039,06 R$ 10.803,91 123.077,42R$ -R$ 12.307,75R$ SC PLANALTO ALEGRE R$ 108.039,06 R$ 10.803,91 123.077,42R$ -R$ 12.307,75R$ SC POMERODE R$ 213.347,96 R$ 30.224,69 243.044,66R$ -R$ 34.431,78R$ SC PONTE ALTA R$ 108.039,06 R$ 10.803,91 123.077,42R$ -R$ 12.307,75R$ SC PONTE ALTA DO NORTE R$ 108.039,06 R$ 10.803,91 123.077,42R$ -R$ 12.307,75R$ SC PONTE SERRADA R$ 108.039,06 R$ 10.803,91 123.077,42R$ -R$ 12.307,75R$ SC PORTO BELO R$ 108.039,06 R$ 10.803,91 123.077,42R$ -R$ 12.307,75R$ SC PORTO UNIÃO R$ 108.039,06 R$ 25.975,79 123.077,42R$ -R$ 29.591,46R$ 70
  • 71.
    Tribunal Superior Eleitoral PREFEITO 1ºTURNO 1º TURNO 2º TURNO UF POSSIBILIDADE DE SEGUNDO TURNO VEREADORVEREADOR LIMITE DE GASTOS OBSERVADO O MÍNIMO LEGAL (R$ 100,000,00 PARA PREFEITO E R$ 10.000,00 PARA VEREADOR ) EM 2016*** LIMITE DE GASTOS 2020 (ATUALIZADO PELO IPCA DE JUNHO/2016 ATÉ JUNHO/2020*) PREFEITO MUNICÍPIO** SC POUSO REDONDO R$ 108.039,06 R$ 10.803,91 123.077,42R$ -R$ 12.307,75R$ SC PRAIA GRANDE R$ 108.039,06 R$ 10.803,91 123.077,42R$ -R$ 12.307,75R$ SC PRESIDENTE CASTELLO BRANCO R$ 108.039,06 R$ 10.803,91 123.077,42R$ -R$ 12.307,75R$ SC PRESIDENTE GETÚLIO R$ 108.039,06 R$ 10.803,91 123.077,42R$ -R$ 12.307,75R$ SC PRESIDENTE NEREU R$ 108.039,06 R$ 10.803,91 123.077,42R$ -R$ 12.307,75R$ SC PRINCESA R$ 108.039,06 R$ 10.803,91 123.077,42R$ -R$ 12.307,75R$ SC QUILOMBO R$ 108.039,06 R$ 10.803,91 123.077,42R$ -R$ 12.307,75R$ SC RANCHO QUEIMADO R$ 108.039,06 R$ 10.803,91 123.077,42R$ -R$ 12.307,75R$ SC RIO DAS ANTAS R$ 108.039,06 R$ 10.803,91 123.077,42R$ -R$ 12.307,75R$ SC RIO DO CAMPO R$ 108.039,06 R$ 16.278,90 123.077,42R$ -R$ 18.544,82R$ SC RIO DO OESTE R$ 108.039,06 R$ 10.803,91 123.077,42R$ -R$ 12.307,75R$ SC RIO DO SUL R$ 211.354,78 R$ 24.531,68 240.774,04R$ -R$ 27.946,34R$ SC RIO DOS CEDROS R$ 108.039,06 R$ 10.803,91 123.077,42R$ -R$ 12.307,75R$ SC RIO FORTUNA R$ 108.039,06 R$ 17.393,74 123.077,42R$ -R$ 19.814,84R$ SC RIO NEGRINHO R$ 108.039,06 R$ 10.803,91 123.077,42R$ -R$ 12.307,75R$ SC RIO RUFINO R$ 108.039,06 R$ 10.803,91 123.077,42R$ -R$ 12.307,75R$ SC RIQUEZA R$ 108.039,06 R$ 10.803,91 123.077,42R$ -R$ 12.307,75R$ SC RODEIO R$ 108.039,06 R$ 10.803,91 123.077,42R$ -R$ 12.307,75R$ SC ROMELÂNDIA R$ 108.039,06 R$ 10.803,91 123.077,42R$ -R$ 12.307,75R$ SC SALETE R$ 108.039,06 R$ 10.803,91 123.077,42R$ -R$ 12.307,75R$ SC SALTINHO R$ 108.039,06 R$ 10.803,91 123.077,42R$ -R$ 12.307,75R$ SC SALTO VELOSO R$ 108.039,06 R$ 10.803,91 123.077,42R$ -R$ 12.307,75R$ SC SANGÃO R$ 108.039,06 R$ 10.803,91 123.077,42R$ -R$ 12.307,75R$ SC SANTA CECÍLIA R$ 108.039,06 R$ 28.005,01 123.077,42R$ -R$ 31.903,13R$ SC SANTA HELENA R$ 108.039,06 R$ 10.803,91 123.077,42R$ -R$ 12.307,75R$ SC SANTA ROSA DE LIMA R$ 108.039,06 R$ 10.803,91 123.077,42R$ -R$ 12.307,75R$ SC SANTA ROSA DO SUL R$ 108.039,06 R$ 10.803,91 123.077,42R$ -R$ 12.307,75R$ SC SANTA TEREZINHA R$ 108.039,06 R$ 10.803,91 123.077,42R$ -R$ 12.307,75R$ SC SANTA TEREZINHA DO PROGRESSO R$ 108.039,06 R$ 10.803,91 123.077,42R$ -R$ 12.307,75R$ SC SANTIAGO DO SUL R$ 108.039,06 R$ 10.803,91 123.077,42R$ -R$ 12.307,75R$ SC SANTO AMARO DA IMPERATRIZ R$ 108.039,06 R$ 14.243,99 123.077,42R$ -R$ 16.226,66R$ SC SÃO BENTO DO SUL R$ 562.822,93 R$ 32.069,89 641.164,36R$ -R$ 36.533,82R$ SC SÃO BERNARDINO R$ 108.039,06 R$ 10.803,91 123.077,42R$ -R$ 12.307,75R$ SC SÃO BONIFÁCIO R$ 108.039,06 R$ 10.803,91 123.077,42R$ -R$ 12.307,75R$ SC SÃO CARLOS R$ 108.039,06 R$ 10.803,91 123.077,42R$ -R$ 12.307,75R$ SC SÃO CRISTÓVÃO DO SUL R$ 108.039,06 R$ 10.803,91 123.077,42R$ -R$ 12.307,75R$ SC SÃO DOMINGOS R$ 108.039,06 R$ 10.803,91 123.077,42R$ -R$ 12.307,75R$ SC SÃO FRANCISCO DO SUL R$ 108.039,06 R$ 43.313,41 123.077,42R$ -R$ 49.342,37R$ SC SÃO JOÃO BATISTA R$ 108.039,06 R$ 15.701,26 123.077,42R$ -R$ 17.886,78R$ SC SÃO JOÃO DO ITAPERIÚ R$ 108.039,06 R$ 10.803,91 123.077,42R$ -R$ 12.307,75R$ SC SÃO JOÃO DO OESTE R$ 108.039,06 R$ 10.803,91 123.077,42R$ -R$ 12.307,75R$ SC SÃO JOÃO DO SUL R$ 108.039,06 R$ 10.803,91 123.077,42R$ -R$ 12.307,75R$ SC SÃO JOAQUIM R$ 160.281,76 R$ 66.591,21 182.591,98R$ -R$ 75.860,29R$ SC SÃO JOSÉ R$ 1.775.187,83 R$ 191.206,52 2.022.282,88R$ -R$ 217.821,27R$ SC SÃO JOSÉ DO CEDRO R$ 108.039,06 R$ 17.640,07 123.077,42R$ -R$ 20.095,46R$ SC SÃO JOSÉ DO CERRITO R$ 108.039,06 R$ 10.803,91 123.077,42R$ -R$ 12.307,75R$ SC SÃO LOURENÇO DO OESTE R$ 142.398,27 R$ 26.428,73 162.219,22R$ -R$ 30.107,44R$ SC SÃO LUDGERO R$ 108.039,06 R$ 10.803,91 123.077,42R$ -R$ 12.307,75R$ SC SÃO MARTINHO R$ 108.039,06 R$ 10.803,91 123.077,42R$ -R$ 12.307,75R$ SC SÃO MIGUEL DA BOA VISTA R$ 108.039,06 R$ 10.803,91 123.077,42R$ -R$ 12.307,75R$ SC SÃO MIGUEL DO OESTE R$ 184.135,73 R$ 29.593,62 209.766,27R$ -R$ 33.712,87R$ SC SÃO PEDRO DE ALCÂNTARA R$ 108.039,06 R$ 10.803,91 123.077,42R$ -R$ 12.307,75R$ SC SAUDADES R$ 108.039,06 R$ 10.803,91 123.077,42R$ -R$ 12.307,75R$ SC SCHROEDER R$ 108.039,06 R$ 10.803,91 123.077,42R$ -R$ 12.307,75R$ SC SEARA R$ 108.039,06 R$ 10.803,91 123.077,42R$ -R$ 12.307,75R$ SC SERRA ALTA R$ 108.039,06 R$ 10.803,91 123.077,42R$ -R$ 12.307,75R$ SC SIDERÓPOLIS R$ 108.039,06 R$ 10.803,91 123.077,42R$ -R$ 12.307,75R$ SC SOMBRIO R$ 196.292,92 R$ 10.803,91 223.615,67R$ -R$ 12.307,75R$ SC SUL BRASIL R$ 108.039,06 R$ 10.803,91 123.077,42R$ -R$ 12.307,75R$ SC TAIÓ R$ 108.039,06 R$ 15.934,49 123.077,42R$ -R$ 18.152,47R$ SC TANGARÁ R$ 108.039,06 R$ 19.117,48 123.077,42R$ -R$ 21.778,51R$ SC TIGRINHOS R$ 108.039,06 R$ 10.803,91 123.077,42R$ -R$ 12.307,75R$ SC TIJUCAS R$ 145.874,40 R$ 25.530,26 166.179,20R$ -R$ 29.083,91R$ SC TIMBÉ DO SUL R$ 108.039,06 R$ 10.803,91 123.077,42R$ -R$ 12.307,75R$ SC TIMBÓ R$ 108.039,06 R$ 10.803,91 123.077,42R$ -R$ 12.307,75R$ SC TIMBÓ GRANDE R$ 108.039,06 R$ 10.803,91 123.077,42R$ -R$ 12.307,75R$ 71
  • 72.
    Tribunal Superior Eleitoral PREFEITO 1ºTURNO 1º TURNO 2º TURNO UF POSSIBILIDADE DE SEGUNDO TURNO VEREADORVEREADOR LIMITE DE GASTOS OBSERVADO O MÍNIMO LEGAL (R$ 100,000,00 PARA PREFEITO E R$ 10.000,00 PARA VEREADOR ) EM 2016*** LIMITE DE GASTOS 2020 (ATUALIZADO PELO IPCA DE JUNHO/2016 ATÉ JUNHO/2020*) PREFEITO MUNICÍPIO** SC TRÊS BARRAS R$ 108.039,06 R$ 27.871,83 123.077,42R$ -R$ 31.751,41R$ SC TREVISO R$ 108.039,06 R$ 10.803,91 123.077,42R$ -R$ 12.307,75R$ SC TREZE DE MAIO R$ 108.039,06 R$ 10.803,91 123.077,42R$ -R$ 12.307,75R$ SC TREZE TÍLIAS R$ 108.039,06 R$ 10.803,91 123.077,42R$ -R$ 12.307,75R$ SC TROMBUDO CENTRAL R$ 108.039,06 R$ 10.803,91 123.077,42R$ -R$ 12.307,75R$ SC TUBARÃO R$ 1.210.557,97 R$ 102.871,23 1.379.060,07R$ -R$ 117.190,26R$ SC TUNÁPOLIS R$ 108.039,06 R$ 10.803,91 123.077,42R$ -R$ 12.307,75R$ SC TURVO R$ 108.039,06 R$ 17.789,01 123.077,42R$ -R$ 20.265,13R$ SC UNIÃO DO OESTE R$ 108.039,06 R$ 10.803,91 123.077,42R$ -R$ 12.307,75R$ SC URUBICI R$ 108.039,06 R$ 20.250,92 123.077,42R$ -R$ 23.069,72R$ SC URUPEMA R$ 108.039,06 R$ 10.803,91 123.077,42R$ -R$ 12.307,75R$ SC URUSSANGA R$ 108.039,06 R$ 10.803,91 123.077,42R$ -R$ 12.307,75R$ SC VARGEÃO R$ 108.039,06 R$ 10.803,91 123.077,42R$ -R$ 12.307,75R$ SC VARGEM R$ 108.039,06 R$ 10.803,91 123.077,42R$ -R$ 12.307,75R$ SC VARGEM BONITA R$ 108.039,06 R$ 10.803,91 123.077,42R$ -R$ 12.307,75R$ SC VIDAL RAMOS R$ 108.039,06 R$ 10.803,91 123.077,42R$ -R$ 12.307,75R$ SC VIDEIRA R$ 108.039,06 R$ 34.497,48 123.077,42R$ -R$ 39.299,31R$ SC VITOR MEIRELES R$ 108.039,06 R$ 10.803,91 123.077,42R$ -R$ 12.307,75R$ SC WITMARSUM R$ 108.039,06 R$ 10.803,91 123.077,42R$ -R$ 12.307,75R$ SC XANXERÊ R$ 306.577,50 R$ 40.913,62 349.251,17R$ -R$ 46.608,54R$ SC XAVANTINA R$ 108.039,06 R$ 10.803,91 123.077,42R$ -R$ 12.307,75R$ SC XAXIM R$ 156.185,24 R$ 13.572,08 177.925,25R$ -R$ 15.461,23R$ SC ZORTÉA R$ 108.039,06 R$ 10.803,91 123.077,42R$ -R$ 12.307,75R$ SE AMPARO DE SÃO FRANCISCO R$ 108.039,06 R$ 10.803,91 123.077,42R$ -R$ 12.307,75R$ SE AQUIDABÃ R$ 108.039,06 R$ 10.803,91 123.077,42R$ -R$ 12.307,75R$ SE ARACAJU SIM R$ 3.763.115,71 R$ 163.276,59 4.286.917,89R$ 1.714.767,16R$ 186.003,67R$ SE ARAUÁ R$ 108.039,06 R$ 10.803,91 123.077,42R$ -R$ 12.307,75R$ SE AREIA BRANCA R$ 108.039,06 R$ 10.803,91 123.077,42R$ -R$ 12.307,75R$ SE BARRA DOS COQUEIROS R$ 108.039,06 R$ 10.803,91 123.077,42R$ -R$ 12.307,75R$ SE BOQUIM R$ 108.039,06 R$ 16.751,86 123.077,42R$ -R$ 19.083,61R$ SE BREJO GRANDE R$ 108.039,06 R$ 10.803,91 123.077,42R$ -R$ 12.307,75R$ SE CAMPO DO BRITO R$ 268.191,60 R$ 10.803,91 305.522,19R$ -R$ 12.307,75R$ SE CANHOBA R$ 108.039,06 R$ 10.803,91 123.077,42R$ -R$ 12.307,75R$ SE CANINDÉ DE SÃO FRANCISCO R$ 362.425,60 R$ 27.301,08 412.872,98R$ -R$ 31.101,22R$ SE CAPELA R$ 229.074,12 R$ 10.803,91 260.959,81R$ -R$ 12.307,75R$ SE CARIRA R$ 108.039,06 R$ 10.803,91 123.077,42R$ -R$ 12.307,75R$ SE CARMÓPOLIS R$ 202.535,06 R$ 10.803,91 230.726,67R$ -R$ 12.307,75R$ SE CEDRO DE SÃO JOÃO R$ 108.039,06 R$ 10.803,91 123.077,42R$ -R$ 12.307,75R$ SE CRISTINÁPOLIS R$ 108.039,06 R$ 10.803,91 123.077,42R$ -R$ 12.307,75R$ SE CUMBE R$ 108.039,06 R$ 10.803,91 123.077,42R$ -R$ 12.307,75R$ SE DIVINA PASTORA R$ 108.039,06 R$ 56.344,82 123.077,42R$ -R$ 64.187,67R$ SE ESTÂNCIA R$ 215.445,68 R$ 36.348,28 245.434,37R$ -R$ 41.407,73R$ SE FEIRA NOVA R$ 108.039,06 R$ 10.803,91 123.077,42R$ -R$ 12.307,75R$ SE FREI PAULO R$ 108.039,06 R$ 10.803,91 123.077,42R$ -R$ 12.307,75R$ SE GARARU R$ 108.039,06 R$ 10.803,91 123.077,42R$ -R$ 12.307,75R$ SE GENERAL MAYNARD R$ 108.039,06 R$ 10.803,91 123.077,42R$ -R$ 12.307,75R$ SE GRACCHO CARDOSO R$ 108.039,06 R$ 10.803,91 123.077,42R$ -R$ 12.307,75R$ SE ILHA DAS FLORES R$ 161.002,48 R$ 10.803,91 183.413,02R$ -R$ 12.307,75R$ SE INDIAROBA R$ 250.561,55 R$ 30.153,62 285.438,15R$ -R$ 34.350,82R$ SE ITABAIANA R$ 231.858,20 R$ 65.666,43 264.131,41R$ -R$ 74.806,79R$ SE ITABAIANINHA R$ 108.039,06 R$ 10.803,91 123.077,42R$ -R$ 12.307,75R$ SE ITABI R$ 108.039,06 R$ 10.803,91 123.077,42R$ -R$ 12.307,75R$ SE ITAPORANGA D'AJUDA R$ 108.039,06 R$ 22.209,72 123.077,42R$ -R$ 25.301,17R$ SE JAPARATUBA R$ 395.886,48 R$ 20.732,04 450.991,40R$ -R$ 23.617,81R$ SE JAPOATÃ R$ 108.039,06 R$ 10.803,91 123.077,42R$ -R$ 12.307,75R$ SE LAGARTO R$ 303.157,42 R$ 17.275,26 345.355,04R$ -R$ 19.679,87R$ SE LARANJEIRAS R$ 240.159,54 R$ 20.072,48 273.588,25R$ -R$ 22.866,44R$ SE MACAMBIRA R$ 108.039,06 R$ 10.803,91 123.077,42R$ -R$ 12.307,75R$ SE MALHADA DOS BOIS R$ 108.039,06 R$ 10.803,91 123.077,42R$ -R$ 12.307,75R$ SE MALHADOR R$ 108.039,06 R$ 10.803,91 123.077,42R$ -R$ 12.307,75R$ SE MARUIM R$ 108.039,06 R$ 10.803,91 123.077,42R$ -R$ 12.307,75R$ SE MOITA BONITA R$ 108.039,06 R$ 10.803,91 123.077,42R$ -R$ 12.307,75R$ SE MONTE ALEGRE DE SERGIPE R$ 108.039,06 R$ 10.803,91 123.077,42R$ -R$ 12.307,75R$ SE MURIBECA R$ 108.039,06 R$ 10.803,91 123.077,42R$ -R$ 12.307,75R$ SE NEÓPOLIS R$ 108.039,06 R$ 15.018,71 123.077,42R$ -R$ 17.109,22R$ SE NOSSA SENHORA APARECIDA R$ 108.039,06 R$ 10.803,91 123.077,42R$ -R$ 12.307,75R$ 72
  • 73.
    Tribunal Superior Eleitoral PREFEITO 1ºTURNO 1º TURNO 2º TURNO UF POSSIBILIDADE DE SEGUNDO TURNO VEREADORVEREADOR LIMITE DE GASTOS OBSERVADO O MÍNIMO LEGAL (R$ 100,000,00 PARA PREFEITO E R$ 10.000,00 PARA VEREADOR ) EM 2016*** LIMITE DE GASTOS 2020 (ATUALIZADO PELO IPCA DE JUNHO/2016 ATÉ JUNHO/2020*) PREFEITO MUNICÍPIO** SE NOSSA SENHORA DA GLÓRIA R$ 228.073,14 R$ 14.323,85 259.819,50R$ -R$ 16.317,64R$ SE NOSSA SENHORA DAS DORES R$ 108.039,06 R$ 10.803,91 123.077,42R$ -R$ 12.307,75R$ SE NOSSA SENHORA DE LOURDES R$ 108.039,06 R$ 10.803,91 123.077,42R$ -R$ 12.307,75R$ SE NOSSA SENHORA DO SOCORRO R$ 256.317,46 R$ 26.272,35 291.995,25R$ -R$ 29.929,30R$ SE PACATUBA R$ 108.039,06 R$ 10.803,91 123.077,42R$ -R$ 12.307,75R$ SE PEDRA MOLE R$ 108.039,06 R$ 10.803,91 123.077,42R$ -R$ 12.307,75R$ SE PEDRINHAS R$ 108.039,06 R$ 10.803,91 123.077,42R$ -R$ 12.307,75R$ SE PINHÃO R$ 108.039,06 R$ 10.803,91 123.077,42R$ -R$ 12.307,75R$ SE PIRAMBU R$ 206.523,85 R$ 15.122,08 235.270,68R$ -R$ 17.226,98R$ SE POÇO REDONDO R$ 108.039,06 R$ 10.803,91 123.077,42R$ -R$ 12.307,75R$ SE POÇO VERDE R$ 108.039,06 R$ 19.155,30 123.077,42R$ -R$ 21.821,60R$ SE PORTO DA FOLHA R$ 108.039,06 R$ 16.259,35 123.077,42R$ -R$ 18.522,55R$ SE PROPRIÁ R$ 108.039,06 R$ 10.803,91 123.077,42R$ -R$ 12.307,75R$ SE RIACHÃO DO DANTAS R$ 218.173,31 R$ 20.625,45 248.541,67R$ -R$ 23.496,38R$ SE RIACHUELO R$ 108.039,06 R$ 10.803,91 123.077,42R$ -R$ 12.307,75R$ SE RIBEIRÓPOLIS R$ 108.039,06 R$ 10.803,91 123.077,42R$ -R$ 12.307,75R$ SE ROSÁRIO DO CATETE R$ 270.643,19 R$ 10.803,91 308.315,03R$ -R$ 12.307,75R$ SE SALGADO R$ 108.039,06 R$ 10.803,91 123.077,42R$ -R$ 12.307,75R$ SE SANTA LUZIA DO ITANHY R$ 108.039,06 R$ 10.803,91 123.077,42R$ -R$ 12.307,75R$ SE SANTA ROSA DE LIMA R$ 108.039,06 R$ 10.803,91 123.077,42R$ -R$ 12.307,75R$ SE SANTANA DO SÃO FRANCISCO R$ 108.039,06 R$ 10.803,91 123.077,42R$ -R$ 12.307,75R$ SE SANTO AMARO DAS BROTAS R$ 108.039,06 R$ 10.803,91 123.077,42R$ -R$ 12.307,75R$ SE SÃO CRISTÓVÃO R$ 244.526,05 R$ 16.628,15 278.562,55R$ -R$ 18.942,68R$ SE SÃO DOMINGOS R$ 108.039,06 R$ 10.803,91 123.077,42R$ -R$ 12.307,75R$ SE SÃO FRANCISCO R$ 108.039,06 R$ 10.803,91 123.077,42R$ -R$ 12.307,75R$ SE SÃO MIGUEL DO ALEIXO R$ 108.039,06 R$ 10.803,91 123.077,42R$ -R$ 12.307,75R$ SE SIMÃO DIAS R$ 108.039,06 R$ 25.519,64 123.077,42R$ -R$ 29.071,81R$ SE SIRIRI R$ 108.039,06 R$ 10.803,91 123.077,42R$ -R$ 12.307,75R$ SE TELHA R$ 108.039,06 R$ 10.803,91 123.077,42R$ -R$ 12.307,75R$ SE TOBIAS BARRETO R$ 162.649,70 R$ 34.271,68 185.289,52R$ -R$ 39.042,08R$ SE TOMAR DO GERU R$ 108.039,06 R$ 10.803,91 123.077,42R$ -R$ 12.307,75R$ SE UMBAÚBA R$ 108.039,06 R$ 10.803,91 123.077,42R$ -R$ 12.307,75R$ SP ADAMANTINA R$ 108.039,06 R$ 10.803,91 123.077,42R$ -R$ 12.307,75R$ SP ADOLFO R$ 108.039,06 R$ 10.803,91 123.077,42R$ -R$ 12.307,75R$ SP AGUAÍ R$ 249.884,38 R$ 18.864,47 284.666,72R$ -R$ 21.490,29R$ SP ÁGUAS DA PRATA R$ 108.039,06 R$ 10.803,91 123.077,42R$ -R$ 12.307,75R$ SP ÁGUAS DE LINDÓIA R$ 149.639,35 R$ 10.803,91 170.468,21R$ -R$ 12.307,75R$ SP ÁGUAS DE SANTA BÁRBARA R$ 108.039,06 R$ 10.803,91 123.077,42R$ -R$ 12.307,75R$ SP ÁGUAS DE SÃO PEDRO R$ 108.039,06 R$ 10.803,91 123.077,42R$ -R$ 12.307,75R$ SP AGUDOS R$ 108.039,06 R$ 61.406,41 123.077,42R$ -R$ 69.953,80R$ SP ALAMBARI R$ 108.039,06 R$ 10.803,91 123.077,42R$ -R$ 12.307,75R$ SP ALFREDO MARCONDES R$ 108.039,06 R$ 10.803,91 123.077,42R$ -R$ 12.307,75R$ SP ALTAIR R$ 136.713,74 R$ 10.803,91 155.743,44R$ -R$ 12.307,75R$ SP ALTINÓPOLIS R$ 169.634,65 R$ 14.870,66 193.246,73R$ -R$ 16.940,56R$ SP ALTO ALEGRE R$ 108.039,06 R$ 10.803,91 123.077,42R$ -R$ 12.307,75R$ SP ALUMÍNIO R$ 255.189,53 R$ 34.365,52 290.710,32R$ -R$ 39.148,99R$ SP ÁLVARES FLORENCE R$ 108.039,06 R$ 10.803,91 123.077,42R$ -R$ 12.307,75R$ SP ÁLVARES MACHADO R$ 108.039,06 R$ 10.803,91 123.077,42R$ -R$ 12.307,75R$ SP ÁLVARO DE CARVALHO R$ 108.039,06 R$ 10.803,91 123.077,42R$ -R$ 12.307,75R$ SP ALVINLÂNDIA R$ 108.039,06 R$ 10.803,91 123.077,42R$ -R$ 12.307,75R$ SP AMERICANA R$ 1.121.096,32 R$ 45.650,29 1.277.145,92R$ -R$ 52.004,52R$ SP AMÉRICO BRASILIENSE R$ 108.039,06 R$ 22.349,80 123.077,42R$ -R$ 25.460,75R$ SP AMÉRICO DE CAMPOS R$ 108.039,06 R$ 10.803,91 123.077,42R$ -R$ 12.307,75R$ SP AMPARO R$ 243.791,56 R$ 54.241,60 277.725,82R$ -R$ 61.791,69R$ SP ANALÂNDIA R$ 108.039,06 R$ 10.803,91 123.077,42R$ -R$ 12.307,75R$ SP ANDRADINA R$ 139.614,09 R$ 27.735,93 159.047,50R$ -R$ 31.596,60R$ SP ANGATUBA R$ 155.968,93 R$ 10.803,91 177.678,83R$ -R$ 12.307,75R$ SP ANHEMBI R$ 108.039,06 R$ 10.803,91 123.077,42R$ -R$ 12.307,75R$ SP ANHUMAS R$ 108.039,06 R$ 10.803,91 123.077,42R$ -R$ 12.307,75R$ SP APARECIDA R$ 152.703,09 R$ 10.803,91 173.958,41R$ -R$ 12.307,75R$ SP APARECIDA D'OESTE R$ 108.039,06 R$ 10.803,91 123.077,42R$ -R$ 12.307,75R$ SP APIAÍ R$ 108.039,06 R$ 10.803,91 123.077,42R$ -R$ 12.307,75R$ SP ARAÇARIGUAMA R$ 403.557,65 R$ 23.821,62 459.730,35R$ -R$ 27.137,44R$ SP ARAÇATUBA R$ 2.441.717,05 R$ 116.124,68 2.781.588,80R$ -R$ 132.288,51R$ SP ARAÇOIABA DA SERRA R$ 108.039,06 R$ 10.803,91 123.077,42R$ -R$ 12.307,75R$ SP ARAMINA R$ 108.039,06 R$ 21.923,96 123.077,42R$ -R$ 24.975,64R$ 73
  • 74.
    Tribunal Superior Eleitoral PREFEITO 1ºTURNO 1º TURNO 2º TURNO UF POSSIBILIDADE DE SEGUNDO TURNO VEREADORVEREADOR LIMITE DE GASTOS OBSERVADO O MÍNIMO LEGAL (R$ 100,000,00 PARA PREFEITO E R$ 10.000,00 PARA VEREADOR ) EM 2016*** LIMITE DE GASTOS 2020 (ATUALIZADO PELO IPCA DE JUNHO/2016 ATÉ JUNHO/2020*) PREFEITO MUNICÍPIO** SP ARANDU R$ 108.039,06 R$ 10.803,91 123.077,42R$ -R$ 12.307,75R$ SP ARAPEÍ R$ 108.039,06 R$ 10.803,91 123.077,42R$ -R$ 12.307,75R$ SP ARARAQUARA R$ 2.241.087,47 R$ 124.503,94 2.553.032,84R$ -R$ 141.834,11R$ SP ARARAS R$ 689.719,77 R$ 46.400,78 785.724,45R$ -R$ 52.859,48R$ SP ARCO-ÍRIS R$ 108.039,06 R$ 10.803,91 123.077,42R$ -R$ 12.307,75R$ SP AREALVA R$ 108.039,06 R$ 10.803,91 123.077,42R$ -R$ 12.307,75R$ SP AREIAS R$ 108.039,06 R$ 10.803,91 123.077,42R$ -R$ 12.307,75R$ SP AREIÓPOLIS R$ 108.039,06 R$ 10.803,91 123.077,42R$ -R$ 12.307,75R$ SP ARIRANHA R$ 108.039,06 R$ 10.803,91 123.077,42R$ -R$ 12.307,75R$ SP ARTUR NOGUEIRA R$ 180.607,23 R$ 13.469,96 205.746,63R$ -R$ 15.344,89R$ SP ARUJÁ R$ 627.779,34 R$ 35.117,94 715.162,30R$ -R$ 40.006,14R$ SP ASPÁSIA R$ 108.039,06 R$ 10.803,91 123.077,42R$ -R$ 12.307,75R$ SP ASSIS R$ 208.896,85 R$ 28.518,54 237.973,99R$ -R$ 32.488,14R$ SP ATIBAIA R$ 529.365,99 R$ 38.791,92 603.050,43R$ -R$ 44.191,51R$ SP AURIFLAMA R$ 108.039,06 R$ 19.606,64 123.077,42R$ -R$ 22.335,76R$ SP AVAÍ R$ 108.039,06 R$ 10.803,91 123.077,42R$ -R$ 12.307,75R$ SP AVANHANDAVA R$ 108.039,06 R$ 10.803,91 123.077,42R$ -R$ 12.307,75R$ SP AVARÉ R$ 108.039,06 R$ 39.386,01 123.077,42R$ -R$ 44.868,30R$ SP BADY BASSITT R$ 108.039,06 R$ 10.803,91 123.077,42R$ -R$ 12.307,75R$ SP BALBINOS R$ 108.039,06 R$ 10.803,91 123.077,42R$ -R$ 12.307,75R$ SP BÁLSAMO R$ 108.039,06 R$ 10.803,91 123.077,42R$ -R$ 12.307,75R$ SP BANANAL R$ 108.039,06 R$ 10.803,91 123.077,42R$ -R$ 12.307,75R$ SP BARÃO DE ANTONINA R$ 108.039,06 R$ 10.803,91 123.077,42R$ -R$ 12.307,75R$ SP BARBOSA R$ 108.039,06 R$ 10.803,91 123.077,42R$ -R$ 12.307,75R$ SP BARIRI R$ 108.039,06 R$ 10.803,91 123.077,42R$ -R$ 12.307,75R$ SP BARRA BONITA R$ 108.039,06 R$ 24.044,14 123.077,42R$ -R$ 27.390,93R$ SP BARRA DO CHAPÉU R$ 159.175,87 R$ 10.803,91 181.332,16R$ -R$ 12.307,75R$ SP BARRA DO TURVO R$ 184.742,33 R$ 32.612,94 210.457,31R$ -R$ 37.152,46R$ SP BARRETOS R$ 270.898,90 R$ 36.539,45 308.606,33R$ -R$ 41.625,51R$ SP BARRINHA R$ 108.039,06 R$ 31.287,94 123.077,42R$ -R$ 35.643,03R$ SP BARUERI SIM R$ 3.470.911,64 R$ 155.698,59 3.954.040,84R$ 1.581.616,34R$ 177.370,86R$ SP BASTOS R$ 108.039,06 R$ 10.803,91 123.077,42R$ -R$ 12.307,75R$ SP BATATAIS R$ 151.854,26 R$ 23.012,31 172.991,42R$ -R$ 26.215,48R$ SP BAURU SIM R$ 533.142,74 R$ 150.331,85 607.352,88R$ 242.941,15R$ 171.257,10R$ SP BEBEDOURO R$ 263.192,37 R$ 26.956,50 299.827,10R$ -R$ 30.708,68R$ SP BENTO DE ABREU R$ 108.039,06 R$ 10.803,91 123.077,42R$ -R$ 12.307,75R$ SP BERNARDINO DE CAMPOS R$ 108.039,06 R$ 10.803,91 123.077,42R$ -R$ 12.307,75R$ SP BERTIOGA R$ 671.376,26 R$ 39.903,68 764.827,64R$ -R$ 45.458,02R$ SP BILAC R$ 108.039,06 R$ 10.803,91 123.077,42R$ -R$ 12.307,75R$ SP BIRIGUI R$ 710.809,22 R$ 28.027,13 809.749,42R$ -R$ 31.928,33R$ SP BIRITIBA MIRIM R$ 108.039,06 R$ 26.108,76 123.077,42R$ -R$ 29.742,94R$ SP BOA ESPERANÇA DO SUL R$ 108.039,06 R$ 15.068,90 123.077,42R$ -R$ 17.166,40R$ SP BOCAINA R$ 108.039,06 R$ 10.803,91 123.077,42R$ -R$ 12.307,75R$ SP BOFETE R$ 108.039,06 R$ 10.803,91 123.077,42R$ -R$ 12.307,75R$ SP BOITUVA R$ 108.039,06 R$ 14.150,69 123.077,42R$ -R$ 16.120,38R$ SP BOM JESUS DOS PERDÕES R$ 191.053,46 R$ 10.803,91 217.646,91R$ -R$ 12.307,75R$ SP BOM SUCESSO DE ITARARÉ R$ 108.039,06 R$ 10.803,91 123.077,42R$ -R$ 12.307,75R$ SP BORÁ R$ 108.039,06 R$ 10.803,91 123.077,42R$ -R$ 12.307,75R$ SP BORACÉIA R$ 108.039,06 R$ 10.803,91 123.077,42R$ -R$ 12.307,75R$ SP BORBOREMA R$ 108.039,06 R$ 10.803,91 123.077,42R$ -R$ 12.307,75R$ SP BOREBI R$ 108.039,06 R$ 10.803,91 123.077,42R$ -R$ 12.307,75R$ SP BOTUCATU R$ 619.886,98 R$ 52.574,05 706.171,37R$ -R$ 59.892,03R$ SP BRAGANÇA PAULISTA R$ 713.549,60 R$ 62.250,94 812.871,24R$ -R$ 70.915,88R$ SP BRAÚNA R$ 108.039,06 R$ 10.803,91 123.077,42R$ -R$ 12.307,75R$ SP BREJO ALEGRE R$ 108.039,06 R$ 10.803,91 123.077,42R$ -R$ 12.307,75R$ SP BRODOWSKI R$ 222.182,75 R$ 10.803,91 253.109,20R$ -R$ 12.307,75R$ SP BROTAS R$ 108.039,06 R$ 10.803,91 123.077,42R$ -R$ 12.307,75R$ SP BURI R$ 108.039,06 R$ 16.277,61 123.077,42R$ -R$ 18.543,35R$ SP BURITAMA R$ 108.039,06 R$ 10.803,91 123.077,42R$ -R$ 12.307,75R$ SP BURITIZAL R$ 108.039,06 R$ 10.803,91 123.077,42R$ -R$ 12.307,75R$ SP CABRÁLIA PAULISTA R$ 108.039,06 R$ 10.803,91 123.077,42R$ -R$ 12.307,75R$ SP CABREÚVA R$ 306.556,85 R$ 26.978,72 349.227,65R$ -R$ 30.733,99R$ SP CAÇAPAVA R$ 372.288,27 R$ 27.894,03 424.108,47R$ -R$ 31.776,70R$ SP CACHOEIRA PAULISTA R$ 204.042,01 R$ 17.921,33 232.443,38R$ -R$ 20.415,87R$ SP CACONDE R$ 139.593,49 R$ 16.162,41 159.024,03R$ -R$ 18.412,12R$ SP CAFELÂNDIA R$ 176.474,84 R$ 10.803,91 201.039,03R$ -R$ 12.307,75R$ 74
  • 75.
    Tribunal Superior Eleitoral PREFEITO 1ºTURNO 1º TURNO 2º TURNO UF POSSIBILIDADE DE SEGUNDO TURNO VEREADORVEREADOR LIMITE DE GASTOS OBSERVADO O MÍNIMO LEGAL (R$ 100,000,00 PARA PREFEITO E R$ 10.000,00 PARA VEREADOR ) EM 2016*** LIMITE DE GASTOS 2020 (ATUALIZADO PELO IPCA DE JUNHO/2016 ATÉ JUNHO/2020*) PREFEITO MUNICÍPIO** SP CAIABU R$ 108.039,06 R$ 10.803,91 123.077,42R$ -R$ 12.307,75R$ SP CAIEIRAS R$ 333.989,36 R$ 164.440,62 380.478,59R$ -R$ 187.329,73R$ SP CAIUÁ R$ 108.039,06 R$ 10.803,91 123.077,42R$ -R$ 12.307,75R$ SP CAJAMAR R$ 538.907,12 R$ 62.940,76 613.919,62R$ -R$ 71.701,72R$ SP CAJATI R$ 184.658,08 R$ 49.817,55 210.361,33R$ -R$ 56.751,84R$ SP CAJOBI R$ 108.039,06 R$ 10.803,91 123.077,42R$ -R$ 12.307,75R$ SP CAJURU R$ 108.039,06 R$ 10.803,91 123.077,42R$ -R$ 12.307,75R$ SP CAMPINA DO MONTE ALEGRE R$ 108.039,06 R$ 10.803,91 123.077,42R$ -R$ 12.307,75R$ SP CAMPINAS SIM R$ 4.456.105,13 R$ 274.165,46 5.076.367,11R$ 2.030.546,84R$ 312.327,58R$ SP CAMPO LIMPO PAULISTA R$ 494.210,70 R$ 46.127,63 563.001,74R$ -R$ 52.548,31R$ SP CAMPOS DO JORDÃO R$ 200.699,88 R$ 23.960,92 228.636,05R$ -R$ 27.296,13R$ SP CAMPOS NOVOS PAULISTA R$ 108.039,06 R$ 10.803,91 123.077,42R$ -R$ 12.307,75R$ SP CANANÉIA R$ 261.276,40 R$ 19.264,21 297.644,44R$ -R$ 21.945,67R$ SP CANAS R$ 108.039,06 R$ 10.803,91 123.077,42R$ -R$ 12.307,75R$ SP CÂNDIDO MOTA R$ 108.039,06 R$ 14.011,56 123.077,42R$ -R$ 15.961,88R$ SP CÂNDIDO RODRIGUES R$ 108.039,06 R$ 10.803,91 123.077,42R$ -R$ 12.307,75R$ SP CANITAR R$ 108.039,06 R$ 10.803,91 123.077,42R$ -R$ 12.307,75R$ SP CAPÃO BONITO R$ 165.481,56 R$ 14.770,58 188.515,56R$ -R$ 16.826,55R$ SP CAPELA DO ALTO R$ 108.039,06 R$ 10.803,91 123.077,42R$ -R$ 12.307,75R$ SP CAPIVARI R$ 365.289,90 R$ 32.398,06 416.135,97R$ -R$ 36.907,67R$ SP CARAGUATATUBA R$ 570.909,33 R$ 92.650,90 650.376,34R$ -R$ 105.547,33R$ SP CARAPICUÍBA SIM R$ 1.245.894,09 R$ 130.464,37 1.419.314,76R$ 567.725,90R$ 148.624,19R$ SP CARDOSO R$ 108.039,06 R$ 10.803,91 123.077,42R$ -R$ 12.307,75R$ SP CASA BRANCA R$ 108.039,06 R$ 10.803,91 123.077,42R$ -R$ 12.307,75R$ SP CÁSSIA DOS COQUEIROS R$ 108.039,06 R$ 10.803,91 123.077,42R$ -R$ 12.307,75R$ SP CASTILHO R$ 108.039,06 R$ 19.912,63 123.077,42R$ -R$ 22.684,34R$ SP CATANDUVA R$ 1.065.336,57 R$ 30.001,70 1.213.624,76R$ -R$ 34.177,75R$ SP CATIGUÁ R$ 108.039,06 R$ 10.803,91 123.077,42R$ -R$ 12.307,75R$ SP CEDRAL R$ 108.039,06 R$ 15.233,71 123.077,42R$ -R$ 17.354,15R$ SP CERQUEIRA CÉSAR R$ 108.039,06 R$ 16.500,51 123.077,42R$ -R$ 18.797,28R$ SP CERQUILHO R$ 108.039,06 R$ 20.359,02 123.077,42R$ -R$ 23.192,87R$ SP CESÁRIO LANGE R$ 108.039,06 R$ 10.803,91 123.077,42R$ -R$ 12.307,75R$ SP CHARQUEADA R$ 108.039,06 R$ 10.803,91 123.077,42R$ -R$ 12.307,75R$ SP CHAVANTES R$ 108.039,06 R$ 10.803,91 123.077,42R$ -R$ 12.307,75R$ SP CLEMENTINA R$ 108.039,06 R$ 10.803,91 123.077,42R$ -R$ 12.307,75R$ SP COLINA R$ 108.039,06 R$ 10.803,91 123.077,42R$ -R$ 12.307,75R$ SP COLÔMBIA R$ 108.039,06 R$ 15.956,78 123.077,42R$ -R$ 18.177,86R$ SP CONCHAL R$ 188.500,83 R$ 10.803,91 214.738,97R$ -R$ 12.307,75R$ SP CONCHAS R$ 108.039,06 R$ 10.803,91 123.077,42R$ -R$ 12.307,75R$ SP CORDEIRÓPOLIS R$ 108.039,06 R$ 15.036,97 123.077,42R$ -R$ 17.130,02R$ SP COROADOS R$ 108.039,06 R$ 10.803,91 123.077,42R$ -R$ 12.307,75R$ SP CORONEL MACEDO R$ 108.039,06 R$ 10.803,91 123.077,42R$ -R$ 12.307,75R$ SP CORUMBATAÍ R$ 108.039,06 R$ 10.803,91 123.077,42R$ -R$ 12.307,75R$ SP COSMÓPOLIS R$ 108.039,06 R$ 36.008,69 123.077,42R$ -R$ 41.020,87R$ SP COSMORAMA R$ 108.039,06 R$ 10.803,91 123.077,42R$ -R$ 12.307,75R$ SP COTIA R$ 856.124,79 R$ 322.774,65 975.292,01R$ -R$ 367.702,86R$ SP CRAVINHOS R$ 152.422,96 R$ 39.002,85 173.639,28R$ -R$ 44.431,80R$ SP CRISTAIS PAULISTA R$ 108.039,06 R$ 10.803,91 123.077,42R$ -R$ 12.307,75R$ SP CRUZÁLIA R$ 108.039,06 R$ 10.803,91 123.077,42R$ -R$ 12.307,75R$ SP CRUZEIRO R$ 323.763,72 R$ 18.377,10 368.829,61R$ -R$ 20.935,08R$ SP CUBATÃO R$ 595.314,82 R$ 61.238,80 678.178,92R$ -R$ 69.762,86R$ SP CUNHA R$ 108.039,06 R$ 10.803,91 123.077,42R$ -R$ 12.307,75R$ SP DESCALVADO R$ 108.039,06 R$ 10.803,91 123.077,42R$ -R$ 12.307,75R$ SP DIADEMA SIM R$ 2.031.867,26 R$ 165.499,23 2.314.690,48R$ 925.876,19R$ 188.535,69R$ SP DIRCE REIS R$ 108.039,06 R$ 10.803,91 123.077,42R$ -R$ 12.307,75R$ SP DIVINOLÂNDIA R$ 108.039,06 R$ 10.803,91 123.077,42R$ -R$ 12.307,75R$ SP DOBRADA R$ 108.039,06 R$ 10.803,91 123.077,42R$ -R$ 12.307,75R$ SP DOIS CÓRREGOS R$ 108.039,06 R$ 10.803,91 123.077,42R$ -R$ 12.307,75R$ SP DOLCINÓPOLIS R$ 108.039,06 R$ 10.803,91 123.077,42R$ -R$ 12.307,75R$ SP DOURADO R$ 108.039,06 R$ 10.803,91 123.077,42R$ -R$ 12.307,75R$ SP DRACENA R$ 266.837,15 R$ 10.803,91 303.979,21R$ -R$ 12.307,75R$ SP DUARTINA R$ 108.039,06 R$ 10.803,91 123.077,42R$ -R$ 12.307,75R$ SP DUMONT R$ 108.039,06 R$ 10.803,91 123.077,42R$ -R$ 12.307,75R$ SP ECHAPORÃ R$ 108.039,06 R$ 10.803,91 123.077,42R$ -R$ 12.307,75R$ SP ELDORADO R$ 148.398,73 R$ 21.397,96 169.054,91R$ -R$ 24.376,42R$ SP ELIAS FAUSTO R$ 108.039,06 R$ 10.803,91 123.077,42R$ -R$ 12.307,75R$ 75
  • 76.
    Tribunal Superior Eleitoral PREFEITO 1ºTURNO 1º TURNO 2º TURNO UF POSSIBILIDADE DE SEGUNDO TURNO VEREADORVEREADOR LIMITE DE GASTOS OBSERVADO O MÍNIMO LEGAL (R$ 100,000,00 PARA PREFEITO E R$ 10.000,00 PARA VEREADOR ) EM 2016*** LIMITE DE GASTOS 2020 (ATUALIZADO PELO IPCA DE JUNHO/2016 ATÉ JUNHO/2020*) PREFEITO MUNICÍPIO** SP ELISIÁRIO R$ 108.039,06 R$ 10.803,91 123.077,42R$ -R$ 12.307,75R$ SP EMBAÚBA R$ 108.039,06 R$ 10.803,91 123.077,42R$ -R$ 12.307,75R$ SP EMBU DAS ARTES R$ 1.369.243,76 R$ 298.154,12 1.559.833,93R$ -R$ 339.655,31R$ SP EMBU-GUAÇU R$ 297.407,80 R$ 31.619,82 338.805,11R$ -R$ 36.021,10R$ SP EMILIANÓPOLIS R$ 108.039,06 R$ 10.803,91 123.077,42R$ -R$ 12.307,75R$ SP ENGENHEIRO COELHO R$ 108.039,06 R$ 10.803,91 123.077,42R$ -R$ 12.307,75R$ SP ESPÍRITO SANTO DO PINHAL R$ 166.369,50 R$ 10.803,91 189.527,09R$ -R$ 12.307,75R$ SP ESPÍRITO SANTO DO TURVO R$ 108.039,06 R$ 10.803,91 123.077,42R$ -R$ 12.307,75R$ SP ESTIVA GERBI R$ 108.039,06 R$ 10.803,91 123.077,42R$ -R$ 12.307,75R$ SP ESTRELA DO NORTE R$ 108.039,06 R$ 10.803,91 123.077,42R$ -R$ 12.307,75R$ SP ESTRELA D'OESTE R$ 108.039,06 R$ 10.803,91 123.077,42R$ -R$ 12.307,75R$ SP EUCLIDES DA CUNHA PAULISTA R$ 108.039,06 R$ 10.803,91 123.077,42R$ -R$ 12.307,75R$ SP FARTURA R$ 108.039,06 R$ 10.803,91 123.077,42R$ -R$ 12.307,75R$ SP FERNANDO PRESTES R$ 108.039,06 R$ 10.803,91 123.077,42R$ -R$ 12.307,75R$ SP FERNANDÓPOLIS R$ 746.110,47 R$ 27.739,31 849.964,38R$ -R$ 31.600,45R$ SP FERNÃO R$ 108.039,06 R$ 10.803,91 123.077,42R$ -R$ 12.307,75R$ SP FERRAZ DE VASCONCELOS R$ 308.801,53 R$ 60.688,48 351.784,77R$ -R$ 69.135,94R$ SP FLORA RICA R$ 108.039,06 R$ 10.803,91 123.077,42R$ -R$ 12.307,75R$ SP FLOREAL R$ 108.039,06 R$ 10.803,91 123.077,42R$ -R$ 12.307,75R$ SP FLÓRIDA PAULISTA R$ 108.039,06 R$ 53.879,82 123.077,42R$ -R$ 61.379,55R$ SP FLORÍNEA R$ 108.039,06 R$ 10.803,91 123.077,42R$ -R$ 12.307,75R$ SP FRANCA SIM R$ 363.371,25 R$ 58.784,55 413.950,26R$ 165.580,10R$ 66.966,99R$ SP FRANCISCO MORATO R$ 188.018,13 R$ 42.146,88 214.189,08R$ -R$ 48.013,46R$ SP FRANCO DA ROCHA R$ 870.961,87 R$ 118.583,51 992.194,32R$ -R$ 135.089,59R$ SP GABRIEL MONTEIRO R$ 108.039,06 R$ 10.803,91 123.077,42R$ -R$ 12.307,75R$ SP GÁLIA R$ 108.039,06 R$ 10.803,91 123.077,42R$ -R$ 12.307,75R$ SP GARÇA R$ 108.039,06 R$ 27.791,08 123.077,42R$ -R$ 31.659,42R$ SP GASTÃO VIDIGAL R$ 108.039,06 R$ 10.803,91 123.077,42R$ -R$ 12.307,75R$ SP GAVIÃO PEIXOTO R$ 108.039,06 R$ 10.803,91 123.077,42R$ -R$ 12.307,75R$ SP GENERAL SALGADO R$ 108.039,06 R$ 10.803,91 123.077,42R$ -R$ 12.307,75R$ SP GETULINA R$ 108.039,06 R$ 10.803,91 123.077,42R$ -R$ 12.307,75R$ SP GLICÉRIO R$ 108.039,06 R$ 10.803,91 123.077,42R$ -R$ 12.307,75R$ SP GUAIÇARA R$ 108.039,06 R$ 10.803,91 123.077,42R$ -R$ 12.307,75R$ SP GUAIMBÊ R$ 108.039,06 R$ 10.803,91 123.077,42R$ -R$ 12.307,75R$ SP GUAÍRA R$ 177.476,96 R$ 91.372,93 202.180,64R$ -R$ 104.091,47R$ SP GUAPIAÇU R$ 225.105,42 R$ 10.803,91 256.438,69R$ -R$ 12.307,75R$ SP GUAPIARA R$ 108.039,06 R$ 10.803,91 123.077,42R$ -R$ 12.307,75R$ SP GUARÁ R$ 108.039,06 R$ 21.743,02 123.077,42R$ -R$ 24.769,51R$ SP GUARAÇAÍ R$ 108.039,06 R$ 10.803,91 123.077,42R$ -R$ 12.307,75R$ SP GUARACI R$ 108.039,06 R$ 10.803,91 123.077,42R$ -R$ 12.307,75R$ SP GUARANI D'OESTE R$ 108.039,06 R$ 10.803,91 123.077,42R$ -R$ 12.307,75R$ SP GUARANTÃ R$ 108.039,06 R$ 10.803,91 123.077,42R$ -R$ 12.307,75R$ SP GUARARAPES R$ 198.229,07 R$ 14.368,43 225.821,32R$ -R$ 16.368,43R$ SP GUARAREMA R$ 178.484,15 R$ 13.629,28 203.328,03R$ -R$ 15.526,39R$ SP GUARATINGUETÁ R$ 471.850,40 R$ 27.521,56 537.529,03R$ -R$ 31.352,39R$ SP GUAREÍ R$ 108.039,06 R$ 10.803,91 123.077,42R$ -R$ 12.307,75R$ SP GUARIBA R$ 108.039,06 R$ 17.275,44 123.077,42R$ -R$ 19.680,07R$ SP GUARUJÁ SIM R$ 1.300.950,50 R$ 189.852,07 1.482.034,68R$ 592.813,87R$ 216.278,29R$ SP GUARULHOS SIM R$ 4.631.021,13 R$ 615.912,82 5.275.630,32R$ 2.110.252,13R$ 701.644,03R$ SP GUATAPARÁ R$ 108.039,06 R$ 10.803,91 123.077,42R$ -R$ 12.307,75R$ SP GUZOLÂNDIA R$ 108.039,06 R$ 10.803,91 123.077,42R$ -R$ 12.307,75R$ SP HERCULÂNDIA R$ 108.039,06 R$ 10.803,91 123.077,42R$ -R$ 12.307,75R$ SP HOLAMBRA R$ 247.207,14 R$ 10.803,91 281.616,83R$ -R$ 12.307,75R$ SP HORTOLÂNDIA R$ 681.473,96 R$ 103.305,90 776.330,88R$ -R$ 117.685,44R$ SP IACANGA R$ 108.039,06 R$ 10.803,91 123.077,42R$ -R$ 12.307,75R$ SP IACRI R$ 108.039,06 R$ 10.803,91 123.077,42R$ -R$ 12.307,75R$ SP IARAS R$ 108.039,06 R$ 10.803,91 123.077,42R$ -R$ 12.307,75R$ SP IBATÉ R$ 391.499,52 R$ 10.803,91 445.993,81R$ -R$ 12.307,75R$ SP IBIRÁ R$ 108.039,06 R$ 46.082,38 123.077,42R$ -R$ 52.496,76R$ SP IBIRAREMA R$ 108.039,06 R$ 10.803,91 123.077,42R$ -R$ 12.307,75R$ SP IBITINGA R$ 108.039,06 R$ 26.781,82 123.077,42R$ -R$ 30.509,68R$ SP IBIÚNA R$ 108.039,06 R$ 25.708,16 123.077,42R$ -R$ 29.286,58R$ SP ICÉM R$ 108.039,06 R$ 10.803,91 123.077,42R$ -R$ 12.307,75R$ SP IEPÊ R$ 108.039,06 R$ 10.803,91 123.077,42R$ -R$ 12.307,75R$ SP IGARAÇU DO TIETÊ R$ 108.039,06 R$ 10.803,91 123.077,42R$ -R$ 12.307,75R$ SP IGARAPAVA R$ 296.200,00 R$ 38.395,15 337.429,19R$ -R$ 43.739,51R$ 76
  • 77.
    Tribunal Superior Eleitoral PREFEITO 1ºTURNO 1º TURNO 2º TURNO UF POSSIBILIDADE DE SEGUNDO TURNO VEREADORVEREADOR LIMITE DE GASTOS OBSERVADO O MÍNIMO LEGAL (R$ 100,000,00 PARA PREFEITO E R$ 10.000,00 PARA VEREADOR ) EM 2016*** LIMITE DE GASTOS 2020 (ATUALIZADO PELO IPCA DE JUNHO/2016 ATÉ JUNHO/2020*) PREFEITO MUNICÍPIO** SP IGARATÁ R$ 108.039,06 R$ 10.803,91 123.077,42R$ -R$ 12.307,75R$ SP IGUAPE R$ 493.274,56 R$ 41.357,17 561.935,30R$ -R$ 47.113,83R$ SP ILHA COMPRIDA R$ 359.353,51 R$ 25.274,21 409.373,27R$ -R$ 28.792,22R$ SP ILHA SOLTEIRA R$ 214.737,92 R$ 19.326,63 244.628,10R$ -R$ 22.016,78R$ SP ILHABELA R$ 272.924,74 R$ 10.803,91 310.914,16R$ -R$ 12.307,75R$ SP INDAIATUBA R$ 570.817,76 R$ 87.803,83 650.272,02R$ -R$ 100.025,57R$ SP INDIANA R$ 108.039,06 R$ 10.803,91 123.077,42R$ -R$ 12.307,75R$ SP INDIAPORÃ R$ 108.039,06 R$ 10.803,91 123.077,42R$ -R$ 12.307,75R$ SP INÚBIA PAULISTA R$ 108.039,06 R$ 10.803,91 123.077,42R$ -R$ 12.307,75R$ SP IPAUSSU R$ 108.039,06 R$ 10.803,91 123.077,42R$ -R$ 12.307,75R$ SP IPERÓ R$ 136.844,39 R$ 10.803,91 155.892,27R$ -R$ 12.307,75R$ SP IPEÚNA R$ 108.039,06 R$ 10.803,91 123.077,42R$ -R$ 12.307,75R$ SP IPIGUÁ R$ 108.039,06 R$ 10.803,91 123.077,42R$ -R$ 12.307,75R$ SP IPORANGA R$ 108.039,06 R$ 10.803,91 123.077,42R$ -R$ 12.307,75R$ SP IPUÃ R$ 159.817,62 R$ 10.803,91 182.063,23R$ -R$ 12.307,75R$ SP IRACEMÁPOLIS R$ 108.039,06 R$ 10.803,91 123.077,42R$ -R$ 12.307,75R$ SP IRAPUÃ R$ 108.039,06 R$ 10.803,91 123.077,42R$ -R$ 12.307,75R$ SP IRAPURU R$ 108.039,06 R$ 10.803,91 123.077,42R$ -R$ 12.307,75R$ SP ITABERÁ R$ 108.039,06 R$ 10.803,91 123.077,42R$ -R$ 12.307,75R$ SP ITAÍ R$ 108.039,06 R$ 10.803,91 123.077,42R$ -R$ 12.307,75R$ SP ITAJOBI R$ 108.039,06 R$ 10.803,91 123.077,42R$ -R$ 12.307,75R$ SP ITAJU R$ 108.039,06 R$ 10.803,91 123.077,42R$ -R$ 12.307,75R$ SP ITANHAÉM R$ 241.795,91 R$ 83.872,44 275.452,39R$ -R$ 95.546,96R$ SP ITAOCA R$ 108.039,06 R$ 10.803,91 123.077,42R$ -R$ 12.307,75R$ SP ITAPECERICA DA SERRA R$ 476.084,47 R$ 70.111,34 542.352,45R$ -R$ 79.870,40R$ SP ITAPETININGA R$ 196.092,19 R$ 40.239,49 223.387,00R$ -R$ 45.840,58R$ SP ITAPEVA R$ 549.911,14 R$ 75.984,46 626.455,33R$ -R$ 86.561,02R$ SP ITAPEVI R$ 1.363.017,29 R$ 94.319,32 1.552.740,78R$ -R$ 107.447,98R$ SP ITAPIRA R$ 425.853,13 R$ 23.192,29 485.129,22R$ -R$ 26.420,51R$ SP ITAPIRAPUÃ PAULISTA R$ 108.039,06 R$ 10.803,91 123.077,42R$ -R$ 12.307,75R$ SP ITÁPOLIS R$ 140.514,47 R$ 48.710,44 160.073,21R$ -R$ 55.490,63R$ SP ITAPORANGA R$ 108.039,06 R$ 10.803,91 123.077,42R$ -R$ 12.307,75R$ SP ITAPUÍ R$ 108.039,06 R$ 10.803,91 123.077,42R$ -R$ 12.307,75R$ SP ITAPURA R$ 108.039,06 R$ 10.803,91 123.077,42R$ -R$ 12.307,75R$ SP ITAQUAQUECETUBA SIM R$ 1.391.280,96 R$ 80.909,54 1.584.938,57R$ 633.975,43R$ 92.171,64R$ SP ITARARÉ R$ 445.720,57 R$ 19.456,91 507.762,09R$ -R$ 22.165,19R$ SP ITARIRI R$ 108.039,06 R$ 10.803,91 123.077,42R$ -R$ 12.307,75R$ SP ITATIBA R$ 381.662,03 R$ 36.895,50 434.787,00R$ -R$ 42.031,12R$ SP ITATINGA R$ 108.039,06 R$ 33.457,89 123.077,42R$ -R$ 38.115,02R$ SP ITIRAPINA R$ 108.039,06 R$ 10.803,91 123.077,42R$ -R$ 12.307,75R$ SP ITIRAPUÃ R$ 108.039,06 R$ 10.803,91 123.077,42R$ -R$ 12.307,75R$ SP ITOBI R$ 108.039,06 R$ 10.803,91 123.077,42R$ -R$ 12.307,75R$ SP ITU R$ 487.402,71 R$ 62.208,67 555.246,12R$ -R$ 70.867,73R$ SP ITUPEVA R$ 484.407,74 R$ 64.746,06 551.834,27R$ -R$ 73.758,31R$ SP ITUVERAVA R$ 326.269,70 R$ 45.524,30 371.684,40R$ -R$ 51.861,00R$ SP JABORANDI R$ 108.039,06 R$ 10.803,91 123.077,42R$ -R$ 12.307,75R$ SP JABOTICABAL R$ 388.032,91 R$ 59.317,97 442.044,67R$ -R$ 67.574,66R$ SP JACAREÍ R$ 605.430,11 R$ 109.819,25 689.702,20R$ -R$ 125.105,40R$ SP JACI R$ 108.039,06 R$ 10.803,91 123.077,42R$ -R$ 12.307,75R$ SP JACUPIRANGA R$ 108.039,06 R$ 10.803,91 123.077,42R$ -R$ 12.307,75R$ SP JAGUARIÚNA R$ 732.093,29 R$ 44.687,33 833.996,10R$ -R$ 50.907,53R$ SP JALES R$ 176.257,01 R$ 20.078,90 200.790,88R$ -R$ 22.873,76R$ SP JAMBEIRO R$ 108.039,06 R$ 10.803,91 123.077,42R$ -R$ 12.307,75R$ SP JANDIRA R$ 268.454,04 R$ 57.883,82 305.821,16R$ -R$ 65.940,89R$ SP JARDINÓPOLIS R$ 134.293,50 R$ 19.170,26 152.986,32R$ -R$ 21.838,64R$ SP JARINU R$ 108.039,06 R$ 10.803,91 123.077,42R$ -R$ 12.307,75R$ SP JAÚ R$ 688.953,68 R$ 61.020,54 784.851,73R$ -R$ 69.514,22R$ SP JERIQUARA R$ 108.039,06 R$ 10.803,91 123.077,42R$ -R$ 12.307,75R$ SP JOANÓPOLIS R$ 108.039,06 R$ 10.803,91 123.077,42R$ -R$ 12.307,75R$ SP JOÃO RAMALHO R$ 108.039,06 R$ 10.803,91 123.077,42R$ -R$ 12.307,75R$ SP JOSÉ BONIFÁCIO R$ 195.790,63 R$ 10.803,91 223.043,46R$ -R$ 12.307,75R$ SP JÚLIO MESQUITA R$ 108.039,06 R$ 10.803,91 123.077,42R$ -R$ 12.307,75R$ SP JUMIRIM R$ 108.039,06 R$ 10.803,91 123.077,42R$ -R$ 12.307,75R$ SP JUNDIAÍ SIM R$ 2.511.431,48 R$ 203.980,54 2.861.007,04R$ 1.144.402,82R$ 232.373,36R$ SP JUNQUEIRÓPOLIS R$ 108.039,06 R$ 10.803,91 123.077,42R$ -R$ 12.307,75R$ SP JUQUIÁ R$ 108.039,06 R$ 10.803,91 123.077,42R$ -R$ 12.307,75R$ 77
  • 78.
    Tribunal Superior Eleitoral PREFEITO 1ºTURNO 1º TURNO 2º TURNO UF POSSIBILIDADE DE SEGUNDO TURNO VEREADORVEREADOR LIMITE DE GASTOS OBSERVADO O MÍNIMO LEGAL (R$ 100,000,00 PARA PREFEITO E R$ 10.000,00 PARA VEREADOR ) EM 2016*** LIMITE DE GASTOS 2020 (ATUALIZADO PELO IPCA DE JUNHO/2016 ATÉ JUNHO/2020*) PREFEITO MUNICÍPIO** SP JUQUITIBA R$ 749.062,93 R$ 16.462,85 853.327,81R$ -R$ 18.754,38R$ SP LAGOINHA R$ 108.039,06 R$ 10.803,91 123.077,42R$ -R$ 12.307,75R$ SP LARANJAL PAULISTA R$ 108.039,06 R$ 46.749,87 123.077,42R$ -R$ 53.257,16R$ SP LAVÍNIA R$ 108.039,06 R$ 10.803,91 123.077,42R$ -R$ 12.307,75R$ SP LAVRINHAS R$ 108.039,06 R$ 10.803,91 123.077,42R$ -R$ 12.307,75R$ SP LEME R$ 427.901,01 R$ 43.547,76 487.462,16R$ -R$ 49.609,34R$ SP LENÇÓIS PAULISTA R$ 210.017,85 R$ 29.034,72 239.251,02R$ -R$ 33.076,17R$ SP LIMEIRA SIM R$ 760.586,66 R$ 110.151,30 866.455,57R$ 346.582,23R$ 125.483,67R$ SP LINDÓIA R$ 108.039,06 R$ 10.803,91 123.077,42R$ -R$ 12.307,75R$ SP LINS R$ 186.034,98 R$ 10.803,91 211.929,89R$ -R$ 12.307,75R$ SP LORENA R$ 404.650,41 R$ 37.157,27 460.975,22R$ -R$ 42.329,33R$ SP LOURDES R$ 108.039,06 R$ 10.803,91 123.077,42R$ -R$ 12.307,75R$ SP LOUVEIRA R$ 108.039,06 R$ 10.803,91 123.077,42R$ -R$ 12.307,75R$ SP LUCÉLIA R$ 108.039,06 R$ 10.803,91 123.077,42R$ -R$ 12.307,75R$ SP LUCIANÓPOLIS R$ 108.039,06 R$ 10.803,91 123.077,42R$ -R$ 12.307,75R$ SP LUÍS ANTÔNIO R$ 108.039,06 R$ 10.803,91 123.077,42R$ -R$ 12.307,75R$ SP LUIZIÂNIA R$ 108.039,06 R$ 10.803,91 123.077,42R$ -R$ 12.307,75R$ SP LUPÉRCIO R$ 108.039,06 R$ 10.803,91 123.077,42R$ -R$ 12.307,75R$ SP LUTÉCIA R$ 108.039,06 R$ 10.803,91 123.077,42R$ -R$ 12.307,75R$ SP MACATUBA R$ 108.039,06 R$ 10.803,91 123.077,42R$ -R$ 12.307,75R$ SP MACAUBAL R$ 108.039,06 R$ 10.803,91 123.077,42R$ -R$ 12.307,75R$ SP MACEDÔNIA R$ 108.039,06 R$ 10.803,91 123.077,42R$ -R$ 12.307,75R$ SP MAGDA R$ 108.039,06 R$ 10.803,91 123.077,42R$ -R$ 12.307,75R$ SP MAIRINQUE R$ 354.573,42 R$ 35.942,38 403.927,82R$ -R$ 40.945,33R$ SP MAIRIPORÃ R$ 272.456,64 R$ 54.190,69 310.380,90R$ -R$ 61.733,70R$ SP MANDURI R$ 108.039,06 R$ 10.803,91 123.077,42R$ -R$ 12.307,75R$ SP MARABÁ PAULISTA R$ 108.039,06 R$ 10.803,91 123.077,42R$ -R$ 12.307,75R$ SP MARACAÍ R$ 108.039,06 R$ 10.803,91 123.077,42R$ -R$ 12.307,75R$ SP MARAPOAMA R$ 108.039,06 R$ 10.803,91 123.077,42R$ -R$ 12.307,75R$ SP MARIÁPOLIS R$ 108.039,06 R$ 32.027,11 123.077,42R$ -R$ 36.485,08R$ SP MARÍLIA R$ 2.244.769,17 R$ 186.607,32 2.557.227,01R$ -R$ 212.581,89R$ SP MARINÓPOLIS R$ 108.039,06 R$ 10.803,91 123.077,42R$ -R$ 12.307,75R$ SP MARTINÓPOLIS R$ 149.500,81 R$ 23.599,58 170.310,39R$ -R$ 26.884,49R$ SP MATÃO R$ 157.979,65 R$ 45.417,58 179.969,43R$ -R$ 51.739,42R$ SP MAUÁ SIM R$ 1.613.910,81 R$ 184.672,84 1.838.557,11R$ 735.422,84R$ 210.378,14R$ SP MENDONÇA R$ 108.039,06 R$ 10.803,91 123.077,42R$ -R$ 12.307,75R$ SP MERIDIANO R$ 108.039,06 R$ 10.803,91 123.077,42R$ -R$ 12.307,75R$ SP MESÓPOLIS R$ 108.039,06 R$ 10.803,91 123.077,42R$ -R$ 12.307,75R$ SP MIGUELÓPOLIS R$ 142.339,73 R$ 16.344,08 162.152,53R$ -R$ 18.619,07R$ SP MINEIROS DO TIETÊ R$ 108.039,06 R$ 10.803,91 123.077,42R$ -R$ 12.307,75R$ SP MIRA ESTRELA R$ 108.039,06 R$ 10.803,91 123.077,42R$ -R$ 12.307,75R$ SP MIRACATU R$ 205.478,29 R$ 27.155,51 234.079,58R$ -R$ 30.935,39R$ SP MIRANDÓPOLIS R$ 108.039,06 R$ 23.608,44 123.077,42R$ -R$ 26.894,59R$ SP MIRANTE DO PARANAPANEMA R$ 140.438,45 R$ 10.803,91 159.986,60R$ -R$ 12.307,75R$ SP MIRASSOL R$ 108.039,06 R$ 34.427,08 123.077,42R$ -R$ 39.219,11R$ SP MIRASSOLÂNDIA R$ 108.039,06 R$ 10.803,91 123.077,42R$ -R$ 12.307,75R$ SP MOCOCA R$ 108.039,06 R$ 34.756,52 123.077,42R$ -R$ 39.594,41R$ SP MOGI DAS CRUZES SIM R$ 1.523.955,65 R$ 213.393,58 1.736.080,75R$ 694.432,30R$ 243.096,63R$ SP MOGI GUAÇU R$ 473.506,63 R$ 36.933,94 539.415,79R$ -R$ 42.074,91R$ SP MOGI MIRIM R$ 304.345,82 R$ 26.923,65 346.708,86R$ -R$ 30.671,25R$ SP MOMBUCA R$ 108.039,06 R$ 10.803,91 123.077,42R$ -R$ 12.307,75R$ SP MONÇÕES R$ 108.039,06 R$ 10.803,91 123.077,42R$ -R$ 12.307,75R$ SP MONGAGUÁ R$ 190.105,58 R$ 34.731,67 216.567,09R$ -R$ 39.566,10R$ SP MONTE ALEGRE DO SUL R$ 108.039,06 R$ 10.803,91 123.077,42R$ -R$ 12.307,75R$ SP MONTE ALTO R$ 108.039,06 R$ 27.627,65 123.077,42R$ -R$ 31.473,25R$ SP MONTE APRAZÍVEL R$ 108.039,06 R$ 10.803,91 123.077,42R$ -R$ 12.307,75R$ SP MONTE AZUL PAULISTA R$ 179.824,86 R$ 29.106,30 204.855,36R$ -R$ 33.157,72R$ SP MONTE CASTELO R$ 108.039,06 R$ 10.803,91 123.077,42R$ -R$ 12.307,75R$ SP MONTE MOR R$ 108.039,06 R$ 10.803,91 123.077,42R$ -R$ 12.307,75R$ SP MONTEIRO LOBATO R$ 108.039,06 R$ 10.803,91 123.077,42R$ -R$ 12.307,75R$ SP MORRO AGUDO R$ 440.438,41 R$ 16.401,16 501.744,68R$ -R$ 18.684,10R$ SP MORUNGABA R$ 108.039,06 R$ 10.803,91 123.077,42R$ -R$ 12.307,75R$ SP MOTUCA R$ 108.039,06 R$ 10.803,91 123.077,42R$ -R$ 12.307,75R$ SP MURUTINGA DO SUL R$ 108.039,06 R$ 10.803,91 123.077,42R$ -R$ 12.307,75R$ SP NANTES R$ 108.039,06 R$ 10.803,91 123.077,42R$ -R$ 12.307,75R$ SP NARANDIBA R$ 108.039,06 R$ 10.803,91 123.077,42R$ -R$ 12.307,75R$ 78
  • 79.
    Tribunal Superior Eleitoral PREFEITO 1ºTURNO 1º TURNO 2º TURNO UF POSSIBILIDADE DE SEGUNDO TURNO VEREADORVEREADOR LIMITE DE GASTOS OBSERVADO O MÍNIMO LEGAL (R$ 100,000,00 PARA PREFEITO E R$ 10.000,00 PARA VEREADOR ) EM 2016*** LIMITE DE GASTOS 2020 (ATUALIZADO PELO IPCA DE JUNHO/2016 ATÉ JUNHO/2020*) PREFEITO MUNICÍPIO** SP NATIVIDADE DA SERRA R$ 108.039,06 R$ 10.803,91 123.077,42R$ -R$ 12.307,75R$ SP NAZARÉ PAULISTA R$ 108.039,06 R$ 20.638,86 123.077,42R$ -R$ 23.511,66R$ SP NEVES PAULISTA R$ 108.039,06 R$ 10.803,91 123.077,42R$ -R$ 12.307,75R$ SP NHANDEARA R$ 108.039,06 R$ 16.274,13 123.077,42R$ -R$ 18.539,39R$ SP NIPOÃ R$ 108.039,06 R$ 10.803,91 123.077,42R$ -R$ 12.307,75R$ SP NOVA ALIANÇA R$ 108.039,06 R$ 10.803,91 123.077,42R$ -R$ 12.307,75R$ SP NOVA CAMPINA R$ 108.039,06 R$ 10.803,91 123.077,42R$ -R$ 12.307,75R$ SP NOVA CANAÃ PAULISTA R$ 108.039,06 R$ 10.803,91 123.077,42R$ -R$ 12.307,75R$ SP NOVA CASTILHO R$ 108.039,06 R$ 10.803,91 123.077,42R$ -R$ 12.307,75R$ SP NOVA EUROPA R$ 108.039,06 R$ 10.803,91 123.077,42R$ -R$ 12.307,75R$ SP NOVA GRANADA R$ 144.700,99 R$ 10.803,91 164.842,46R$ -R$ 12.307,75R$ SP NOVA GUATAPORANGA R$ 108.039,06 R$ 10.803,91 123.077,42R$ -R$ 12.307,75R$ SP NOVA INDEPENDÊNCIA R$ 108.039,06 R$ 10.803,91 123.077,42R$ -R$ 12.307,75R$ SP NOVA LUZITÂNIA R$ 108.039,06 R$ 10.803,91 123.077,42R$ -R$ 12.307,75R$ SP NOVA ODESSA R$ 228.885,59 R$ 28.463,16 260.745,03R$ -R$ 32.425,05R$ SP NOVAIS R$ 108.039,06 R$ 10.803,91 123.077,42R$ -R$ 12.307,75R$ SP NOVO HORIZONTE R$ 146.244,40 R$ 14.443,36 166.600,71R$ -R$ 16.453,79R$ SP NUPORANGA R$ 108.039,06 R$ 10.803,91 123.077,42R$ -R$ 12.307,75R$ SP OCAUÇU R$ 108.039,06 R$ 10.803,91 123.077,42R$ -R$ 12.307,75R$ SP ÓLEO R$ 108.039,06 R$ 10.803,91 123.077,42R$ -R$ 12.307,75R$ SP OLÍMPIA R$ 167.488,60 R$ 21.217,21 190.801,97R$ -R$ 24.170,51R$ SP ONDA VERDE R$ 108.039,06 R$ 10.803,91 123.077,42R$ -R$ 12.307,75R$ SP ORIENTE R$ 108.039,06 R$ 10.803,91 123.077,42R$ -R$ 12.307,75R$ SP ORINDIÚVA R$ 108.039,06 R$ 10.803,91 123.077,42R$ -R$ 12.307,75R$ SP ORLÂNDIA R$ 174.941,69 R$ 20.925,09 199.292,48R$ -R$ 23.837,73R$ SP OSASCO SIM R$ 2.618.218,05 R$ 354.889,08 2.982.657,64R$ 1.193.063,05R$ 404.287,42R$ SP OSCAR BRESSANE R$ 108.039,06 R$ 10.803,91 123.077,42R$ -R$ 12.307,75R$ SP OSVALDO CRUZ R$ 108.039,06 R$ 10.803,91 123.077,42R$ -R$ 12.307,75R$ SP OURINHOS R$ 298.999,42 R$ 80.406,53 340.618,27R$ -R$ 91.598,62R$ SP OURO VERDE R$ 108.039,06 R$ 10.803,91 123.077,42R$ -R$ 12.307,75R$ SP OUROESTE R$ 153.648,43 R$ 10.803,91 175.035,33R$ -R$ 12.307,75R$ SP PACAEMBU R$ 108.039,06 R$ 10.803,91 123.077,42R$ -R$ 12.307,75R$ SP PALESTINA R$ 108.039,06 R$ 10.803,91 123.077,42R$ -R$ 12.307,75R$ SP PALMARES PAULISTA R$ 108.039,06 R$ 10.803,91 123.077,42R$ -R$ 12.307,75R$ SP PALMEIRA D'OESTE R$ 108.039,06 R$ 10.803,91 123.077,42R$ -R$ 12.307,75R$ SP PALMITAL R$ 108.039,06 R$ 17.193,04 123.077,42R$ -R$ 19.586,20R$ SP PANORAMA R$ 108.039,06 R$ 10.803,91 123.077,42R$ -R$ 12.307,75R$ SP PARAGUAÇU PAULISTA R$ 108.039,06 R$ 13.838,00 123.077,42R$ -R$ 15.764,16R$ SP PARAIBUNA R$ 108.039,06 R$ 20.543,35 123.077,42R$ -R$ 23.402,86R$ SP PARAÍSO R$ 108.039,06 R$ 10.803,91 123.077,42R$ -R$ 12.307,75R$ SP PARANAPANEMA R$ 108.039,06 R$ 10.803,91 123.077,42R$ -R$ 12.307,75R$ SP PARANAPUÃ R$ 108.039,06 R$ 10.803,91 123.077,42R$ -R$ 12.307,75R$ SP PARAPUÃ R$ 108.039,06 R$ 10.803,91 123.077,42R$ -R$ 12.307,75R$ SP PARDINHO R$ 108.039,06 R$ 13.961,54 123.077,42R$ -R$ 15.904,90R$ SP PARIQUERA-AÇU R$ 173.262,62 R$ 47.440,00 197.379,69R$ -R$ 54.043,35R$ SP PARISI R$ 108.039,06 R$ 10.803,91 123.077,42R$ -R$ 12.307,75R$ SP PATROCÍNIO PAULISTA R$ 108.039,06 R$ 10.803,91 123.077,42R$ -R$ 12.307,75R$ SP PAULICÉIA R$ 156.669,87 R$ 10.803,91 178.477,34R$ -R$ 12.307,75R$ SP PAULÍNIA R$ 2.954.619,98 R$ 73.817,62 3.365.884,61R$ -R$ 84.092,57R$ SP PAULISTÂNIA R$ 108.039,06 R$ 10.803,91 123.077,42R$ -R$ 12.307,75R$ SP PAULO DE FARIA R$ 108.039,06 R$ 10.803,91 123.077,42R$ -R$ 12.307,75R$ SP PEDERNEIRAS R$ 327.453,67 R$ 10.803,91 373.033,17R$ -R$ 12.307,75R$ SP PEDRA BELA R$ 108.039,06 R$ 10.803,91 123.077,42R$ -R$ 12.307,75R$ SP PEDRANÓPOLIS R$ 108.039,06 R$ 10.803,91 123.077,42R$ -R$ 12.307,75R$ SP PEDREGULHO R$ 108.039,06 R$ 10.803,91 123.077,42R$ -R$ 12.307,75R$ SP PEDREIRA R$ 108.039,06 R$ 26.114,21 123.077,42R$ -R$ 29.749,14R$ SP PEDRINHAS PAULISTA R$ 108.039,06 R$ 10.803,91 123.077,42R$ -R$ 12.307,75R$ SP PEDRO DE TOLEDO R$ 108.039,06 R$ 10.803,91 123.077,42R$ -R$ 12.307,75R$ SP PENÁPOLIS R$ 296.683,19 R$ 17.431,68 337.979,64R$ -R$ 19.858,06R$ SP PEREIRA BARRETO R$ 341.752,24 R$ 15.754,67 389.322,02R$ -R$ 17.947,62R$ SP PEREIRAS R$ 108.039,06 R$ 10.803,91 123.077,42R$ -R$ 12.307,75R$ SP PERUÍBE R$ 1.029.666,78 R$ 42.201,35 1.172.989,96R$ -R$ 48.075,51R$ SP PIACATU R$ 108.039,06 R$ 10.803,91 123.077,42R$ -R$ 12.307,75R$ SP PIEDADE R$ 108.039,06 R$ 17.022,91 123.077,42R$ -R$ 19.392,39R$ SP PILAR DO SUL R$ 210.449,96 R$ 10.803,91 239.743,28R$ -R$ 12.307,75R$ SP PINDAMONHANGABA R$ 322.187,65 R$ 81.367,92 367.034,16R$ -R$ 92.693,83R$ 79
  • 80.
    Tribunal Superior Eleitoral PREFEITO 1ºTURNO 1º TURNO 2º TURNO UF POSSIBILIDADE DE SEGUNDO TURNO VEREADORVEREADOR LIMITE DE GASTOS OBSERVADO O MÍNIMO LEGAL (R$ 100,000,00 PARA PREFEITO E R$ 10.000,00 PARA VEREADOR ) EM 2016*** LIMITE DE GASTOS 2020 (ATUALIZADO PELO IPCA DE JUNHO/2016 ATÉ JUNHO/2020*) PREFEITO MUNICÍPIO** SP PINDORAMA R$ 213.585,93 R$ 10.803,91 243.315,76R$ -R$ 12.307,75R$ SP PINHALZINHO R$ 108.039,06 R$ 10.803,91 123.077,42R$ -R$ 12.307,75R$ SP PIQUEROBI R$ 108.039,06 R$ 10.803,91 123.077,42R$ -R$ 12.307,75R$ SP PIQUETE R$ 108.039,06 R$ 10.803,91 123.077,42R$ -R$ 12.307,75R$ SP PIRACAIA R$ 108.039,06 R$ 47.425,90 123.077,42R$ -R$ 54.027,29R$ SP PIRACICABA SIM R$ 347.592,26 R$ 51.872,92 395.974,93R$ 158.389,97R$ 59.093,31R$ SP PIRAJU R$ 108.039,06 R$ 33.163,17 123.077,42R$ -R$ 37.779,28R$ SP PIRAJUÍ R$ 108.039,06 R$ 10.803,91 123.077,42R$ -R$ 12.307,75R$ SP PIRANGI R$ 108.039,06 R$ 10.803,91 123.077,42R$ -R$ 12.307,75R$ SP PIRAPORA DO BOM JESUS R$ 108.039,06 R$ 10.803,91 123.077,42R$ -R$ 12.307,75R$ SP PIRAPOZINHO R$ 141.116,27 R$ 10.803,91 160.758,77R$ -R$ 12.307,75R$ SP PIRASSUNUNGA R$ 189.627,01 R$ 16.610,75 216.021,90R$ -R$ 18.922,86R$ SP PIRATININGA R$ 108.039,06 R$ 10.803,91 123.077,42R$ -R$ 12.307,75R$ SP PITANGUEIRAS R$ 260.815,56 R$ 25.758,32 297.119,46R$ -R$ 29.343,72R$ SP PLANALTO R$ 108.039,06 R$ 10.803,91 123.077,42R$ -R$ 12.307,75R$ SP PLATINA R$ 108.039,06 R$ 10.803,91 123.077,42R$ -R$ 12.307,75R$ SP POÁ R$ 108.039,06 R$ 37.013,07 123.077,42R$ -R$ 42.165,06R$ SP POLONI R$ 108.039,06 R$ 15.224,70 123.077,42R$ -R$ 17.343,88R$ SP POMPÉIA R$ 288.685,84 R$ 18.877,68 328.869,10R$ -R$ 21.505,34R$ SP PONGAÍ R$ 108.039,06 R$ 10.803,91 123.077,42R$ -R$ 12.307,75R$ SP PONTAL R$ 108.039,06 R$ 10.803,91 123.077,42R$ -R$ 12.307,75R$ SP PONTALINDA R$ 108.039,06 R$ 10.803,91 123.077,42R$ -R$ 12.307,75R$ SP PONTES GESTAL R$ 108.039,06 R$ 10.803,91 123.077,42R$ -R$ 12.307,75R$ SP POPULINA R$ 108.039,06 R$ 10.803,91 123.077,42R$ -R$ 12.307,75R$ SP PORANGABA R$ 108.039,06 R$ 10.803,91 123.077,42R$ -R$ 12.307,75R$ SP PORTO FELIZ R$ 232.067,40 R$ 15.709,83 264.369,73R$ -R$ 17.896,54R$ SP PORTO FERREIRA R$ 150.686,46 R$ 10.803,91 171.661,07R$ -R$ 12.307,75R$ SP POTIM R$ 108.039,06 R$ 10.803,91 123.077,42R$ -R$ 12.307,75R$ SP POTIRENDABA R$ 108.039,06 R$ 10.803,91 123.077,42R$ -R$ 12.307,75R$ SP PRACINHA R$ 108.039,06 R$ 10.803,91 123.077,42R$ -R$ 12.307,75R$ SP PRADÓPOLIS R$ 108.039,06 R$ 14.821,15 123.077,42R$ -R$ 16.884,16R$ SP PRAIA GRANDE SIM R$ 1.982.686,47 R$ 143.964,70 2.258.664,03R$ 903.465,61R$ 164.003,69R$ SP PRATÂNIA R$ 108.039,06 R$ 10.803,91 123.077,42R$ -R$ 12.307,75R$ SP PRESIDENTE ALVES R$ 108.039,06 R$ 10.803,91 123.077,42R$ -R$ 12.307,75R$ SP PRESIDENTE BERNARDES R$ 108.039,06 R$ 10.803,91 123.077,42R$ -R$ 12.307,75R$ SP PRESIDENTE EPITÁCIO R$ 409.301,73 R$ 26.128,96 466.273,97R$ -R$ 29.765,95R$ SP PRESIDENTE PRUDENTE R$ 900.732,65 R$ 51.396,02 1.026.109,00R$ -R$ 58.550,02R$ SP PRESIDENTE VENCESLAU R$ 108.039,06 R$ 34.896,97 123.077,42R$ -R$ 39.754,41R$ SP PROMISSÃO R$ 243.021,04 R$ 24.923,77 276.848,05R$ -R$ 28.393,00R$ SP QUADRA R$ 108.039,06 R$ 10.803,91 123.077,42R$ -R$ 12.307,75R$ SP QUATÁ R$ 108.039,06 R$ 10.803,91 123.077,42R$ -R$ 12.307,75R$ SP QUEIROZ R$ 108.039,06 R$ 10.803,91 123.077,42R$ -R$ 12.307,75R$ SP QUELUZ R$ 108.039,06 R$ 10.803,91 123.077,42R$ -R$ 12.307,75R$ SP QUINTANA R$ 108.039,06 R$ 10.803,91 123.077,42R$ -R$ 12.307,75R$ SP RAFARD R$ 108.039,06 R$ 10.803,91 123.077,42R$ -R$ 12.307,75R$ SP RANCHARIA R$ 108.039,06 R$ 40.102,21 123.077,42R$ -R$ 45.684,19R$ SP REDENÇÃO DA SERRA R$ 108.039,06 R$ 10.803,91 123.077,42R$ -R$ 12.307,75R$ SP REGENTE FEIJÓ R$ 108.039,06 R$ 10.803,91 123.077,42R$ -R$ 12.307,75R$ SP REGINÓPOLIS R$ 108.039,06 R$ 10.803,91 123.077,42R$ -R$ 12.307,75R$ SP REGISTRO R$ 294.091,62 R$ 35.333,47 335.027,34R$ -R$ 40.251,67R$ SP RESTINGA R$ 108.039,06 R$ 10.803,91 123.077,42R$ -R$ 12.307,75R$ SP RIBEIRA R$ 108.039,06 R$ 10.803,91 123.077,42R$ -R$ 12.307,75R$ SP RIBEIRÃO BONITO R$ 108.039,06 R$ 10.803,91 123.077,42R$ -R$ 12.307,75R$ SP RIBEIRÃO BRANCO R$ 108.039,06 R$ 28.037,10 123.077,42R$ -R$ 31.939,69R$ SP RIBEIRÃO CORRENTE R$ 108.039,06 R$ 10.803,91 123.077,42R$ -R$ 12.307,75R$ SP RIBEIRÃO DO SUL R$ 108.039,06 R$ 10.803,91 123.077,42R$ -R$ 12.307,75R$ SP RIBEIRÃO DOS ÍNDIOS R$ 108.039,06 R$ 10.803,91 123.077,42R$ -R$ 12.307,75R$ SP RIBEIRÃO GRANDE R$ 108.039,06 R$ 10.803,91 123.077,42R$ -R$ 12.307,75R$ SP RIBEIRÃO PIRES R$ 894.951,56 R$ 127.534,24 1.019.523,22R$ -R$ 145.286,21R$ SP RIBEIRÃO PRETO SIM R$ 2.502.381,09 R$ 183.715,00 2.850.696,89R$ 1.140.278,76R$ 209.286,98R$ SP RIFAINA R$ 108.039,06 R$ 10.803,91 123.077,42R$ -R$ 12.307,75R$ SP RINCÃO R$ 108.039,06 R$ 10.803,91 123.077,42R$ -R$ 12.307,75R$ SP RINÓPOLIS R$ 108.039,06 R$ 10.803,91 123.077,42R$ -R$ 12.307,75R$ SP RIO CLARO R$ 283.675,37 R$ 131.229,20 323.161,21R$ -R$ 149.495,48R$ SP RIO DAS PEDRAS R$ 108.039,06 R$ 10.803,91 123.077,42R$ -R$ 12.307,75R$ SP RIO GRANDE DA SERRA R$ 221.840,99 R$ 15.468,51 252.719,87R$ -R$ 17.621,63R$ 80
  • 81.
    Tribunal Superior Eleitoral PREFEITO 1ºTURNO 1º TURNO 2º TURNO UF POSSIBILIDADE DE SEGUNDO TURNO VEREADORVEREADOR LIMITE DE GASTOS OBSERVADO O MÍNIMO LEGAL (R$ 100,000,00 PARA PREFEITO E R$ 10.000,00 PARA VEREADOR ) EM 2016*** LIMITE DE GASTOS 2020 (ATUALIZADO PELO IPCA DE JUNHO/2016 ATÉ JUNHO/2020*) PREFEITO MUNICÍPIO** SP RIOLÂNDIA R$ 108.039,06 R$ 10.803,91 123.077,42R$ -R$ 12.307,75R$ SP RIVERSUL R$ 108.039,06 R$ 10.803,91 123.077,42R$ -R$ 12.307,75R$ SP ROSANA R$ 108.039,06 R$ 10.803,91 123.077,42R$ -R$ 12.307,75R$ SP ROSEIRA R$ 108.039,06 R$ 10.803,91 123.077,42R$ -R$ 12.307,75R$ SP RUBIÁCEA R$ 108.039,06 R$ 10.803,91 123.077,42R$ -R$ 12.307,75R$ SP RUBINÉIA R$ 108.039,06 R$ 10.803,91 123.077,42R$ -R$ 12.307,75R$ SP SABINO R$ 108.039,06 R$ 10.803,91 123.077,42R$ -R$ 12.307,75R$ SP SAGRES R$ 108.039,06 R$ 10.803,91 123.077,42R$ -R$ 12.307,75R$ SP SALES R$ 108.039,06 R$ 10.803,91 123.077,42R$ -R$ 12.307,75R$ SP SALES OLIVEIRA R$ 108.039,06 R$ 10.803,91 123.077,42R$ -R$ 12.307,75R$ SP SALESÓPOLIS R$ 108.039,06 R$ 10.803,91 123.077,42R$ -R$ 12.307,75R$ SP SALMOURÃO R$ 108.039,06 R$ 10.803,91 123.077,42R$ -R$ 12.307,75R$ SP SALTINHO R$ 108.039,06 R$ 10.803,91 123.077,42R$ -R$ 12.307,75R$ SP SALTO R$ 485.026,35 R$ 53.808,28 552.538,99R$ -R$ 61.298,06R$ SP SALTO DE PIRAPORA R$ 108.039,06 R$ 13.728,34 123.077,42R$ -R$ 15.639,24R$ SP SALTO GRANDE R$ 108.039,06 R$ 10.803,91 123.077,42R$ -R$ 12.307,75R$ SP SANDOVALINA R$ 108.039,06 R$ 10.803,91 123.077,42R$ -R$ 12.307,75R$ SP SANTA ADÉLIA R$ 108.039,06 R$ 10.803,91 123.077,42R$ -R$ 12.307,75R$ SP SANTA ALBERTINA R$ 108.039,06 R$ 10.803,91 123.077,42R$ -R$ 12.307,75R$ SP SANTA BÁRBARA D'OESTE R$ 375.726,30 R$ 52.781,93 428.025,05R$ -R$ 60.128,84R$ SP SANTA BRANCA R$ 108.039,06 R$ 10.803,91 123.077,42R$ -R$ 12.307,75R$ SP SANTA CLARA D'OESTE R$ 108.039,06 R$ 10.803,91 123.077,42R$ -R$ 12.307,75R$ SP SANTA CRUZ DA CONCEIÇÃO R$ 108.039,06 R$ 38.265,88 123.077,42R$ -R$ 43.592,25R$ SP SANTA CRUZ DA ESPERANÇA R$ 108.039,06 R$ 10.803,91 123.077,42R$ -R$ 12.307,75R$ SP SANTA CRUZ DAS PALMEIRAS R$ 145.421,20 R$ 10.803,91 165.662,92R$ -R$ 12.307,75R$ SP SANTA CRUZ DO RIO PARDO R$ 159.838,32 R$ 28.483,73 182.086,81R$ -R$ 32.448,49R$ SP SANTA ERNESTINA R$ 108.039,06 R$ 10.803,91 123.077,42R$ -R$ 12.307,75R$ SP SANTA FÉ DO SUL R$ 294.709,44 R$ 10.803,91 335.731,15R$ -R$ 12.307,75R$ SP SANTA GERTRUDES R$ 156.449,52 R$ 10.803,91 178.226,32R$ -R$ 12.307,75R$ SP SANTA ISABEL R$ 108.039,06 R$ 21.639,73 123.077,42R$ -R$ 24.651,85R$ SP SANTA LÚCIA R$ 108.039,06 R$ 10.803,91 123.077,42R$ -R$ 12.307,75R$ SP SANTA MARIA DA SERRA R$ 108.039,06 R$ 10.803,91 123.077,42R$ -R$ 12.307,75R$ SP SANTA MERCEDES R$ 108.039,06 R$ 10.803,91 123.077,42R$ -R$ 12.307,75R$ SP SANTA RITA DO PASSA QUATRO R$ 108.039,06 R$ 10.803,91 123.077,42R$ -R$ 12.307,75R$ SP SANTA RITA D'OESTE R$ 108.039,06 R$ 10.803,91 123.077,42R$ -R$ 12.307,75R$ SP SANTA ROSA DE VITERBO R$ 108.039,06 R$ 15.191,93 123.077,42R$ -R$ 17.306,55R$ SP SANTA SALETE R$ 108.039,06 R$ 10.803,91 123.077,42R$ -R$ 12.307,75R$ SP SANTANA DA PONTE PENSA R$ 108.039,06 R$ 10.803,91 123.077,42R$ -R$ 12.307,75R$ SP SANTANA DE PARNAÍBA R$ 1.530.659,70 R$ 143.353,51 1.743.717,96R$ -R$ 163.307,42R$ SP SANTO ANASTÁCIO R$ 108.039,06 R$ 10.803,91 123.077,42R$ -R$ 12.307,75R$ SP SANTO ANDRÉ SIM R$ 3.329.179,68 R$ 183.171,93 3.792.580,68R$ 1.517.032,27R$ 208.668,32R$ SP SANTO ANTÔNIO DA ALEGRIA R$ 108.039,06 R$ 10.803,91 123.077,42R$ -R$ 12.307,75R$ SP SANTO ANTÔNIO DE POSSE R$ 108.039,06 R$ 10.803,91 123.077,42R$ -R$ 12.307,75R$ SP SANTO ANTÔNIO DO ARACANGUÁ R$ 108.039,06 R$ 10.803,91 123.077,42R$ -R$ 12.307,75R$ SP SANTO ANTÔNIO DO JARDIM R$ 108.039,06 R$ 10.803,91 123.077,42R$ -R$ 12.307,75R$ SP SANTO ANTÔNIO DO PINHAL R$ 108.039,06 R$ 10.803,91 123.077,42R$ -R$ 12.307,75R$ SP SANTO EXPEDITO R$ 108.039,06 R$ 10.803,91 123.077,42R$ -R$ 12.307,75R$ SP SANTÓPOLIS DO AGUAPEÍ R$ 108.039,06 R$ 10.803,91 123.077,42R$ -R$ 12.307,75R$ SP SANTOS SIM R$ 1.732.736,55 R$ 280.955,19 1.973.922,65R$ 789.569,06R$ 320.062,40R$ SP SÃO BENTO DO SAPUCAÍ R$ 108.039,06 R$ 10.803,91 123.077,42R$ -R$ 12.307,75R$ SP SÃO BERNARDO DO CAMPO SIM R$ 4.605.005,68 R$ 279.543,62 5.245.993,68R$ 2.098.397,47R$ 318.454,34R$ SP SÃO CAETANO DO SUL R$ 1.967.509,08 R$ 254.791,41 2.241.374,04R$ -R$ 290.256,78R$ SP SÃO CARLOS R$ 1.267.942,52 R$ 143.127,23 1.444.432,19R$ -R$ 163.049,65R$ SP SÃO FRANCISCO R$ 108.039,06 R$ 10.803,91 123.077,42R$ -R$ 12.307,75R$ SP SÃO JOÃO DA BOA VISTA R$ 108.039,06 R$ 47.809,50 123.077,42R$ -R$ 54.464,28R$ SP SÃO JOÃO DAS DUAS PONTES R$ 108.039,06 R$ 10.803,91 123.077,42R$ -R$ 12.307,75R$ SP SÃO JOÃO DE IRACEMA R$ 108.039,06 R$ 10.803,91 123.077,42R$ -R$ 12.307,75R$ SP SÃO JOÃO DO PAU D'ALHO R$ 108.039,06 R$ 10.803,91 123.077,42R$ -R$ 12.307,75R$ SP SÃO JOAQUIM DA BARRA R$ 158.290,53 R$ 26.104,46 180.323,58R$ -R$ 29.738,04R$ SP SÃO JOSÉ DA BELA VISTA R$ 108.039,06 R$ 10.803,91 123.077,42R$ -R$ 12.307,75R$ SP SÃO JOSÉ DO BARREIRO R$ 108.039,06 R$ 10.803,91 123.077,42R$ -R$ 12.307,75R$ SP SÃO JOSÉ DO RIO PARDO R$ 108.039,06 R$ 10.803,91 123.077,42R$ -R$ 12.307,75R$ SP SÃO JOSÉ DO RIO PRETO SIM R$ 2.390.014,75 R$ 99.472,64 2.722.689,86R$ 1.089.075,95R$ 113.318,61R$ SP SÃO JOSÉ DOS CAMPOS SIM R$ 1.619.995,74 R$ 164.884,03 1.845.489,02R$ 738.195,61R$ 187.834,86R$ SP SÃO LOURENÇO DA SERRA R$ 108.039,06 R$ 24.468,64 123.077,42R$ -R$ 27.874,52R$ SP SÃO LUÍS DO PARAITINGA R$ 108.039,06 R$ 10.803,91 123.077,42R$ -R$ 12.307,75R$ 81
  • 82.
    Tribunal Superior Eleitoral PREFEITO 1ºTURNO 1º TURNO 2º TURNO UF POSSIBILIDADE DE SEGUNDO TURNO VEREADORVEREADOR LIMITE DE GASTOS OBSERVADO O MÍNIMO LEGAL (R$ 100,000,00 PARA PREFEITO E R$ 10.000,00 PARA VEREADOR ) EM 2016*** LIMITE DE GASTOS 2020 (ATUALIZADO PELO IPCA DE JUNHO/2016 ATÉ JUNHO/2020*) PREFEITO MUNICÍPIO** SP SÃO MANUEL R$ 183.407,50 R$ 20.205,00 208.936,68R$ -R$ 23.017,41R$ SP SÃO MIGUEL ARCANJO R$ 108.039,06 R$ 10.803,91 123.077,42R$ -R$ 12.307,75R$ SP SÃO PAULO SIM R$ 45.470.214,12 R$ 3.226.138,77 51.799.383,68R$ 20.719.753,47R$ 3.675.197,12R$ SP SÃO PEDRO R$ 178.444,98 R$ 10.803,91 203.283,41R$ -R$ 12.307,75R$ SP SÃO PEDRO DO TURVO R$ 108.039,06 R$ 10.803,91 123.077,42R$ -R$ 12.307,75R$ SP SÃO ROQUE R$ 274.143,63 R$ 35.419,83 312.302,71R$ -R$ 40.350,05R$ SP SÃO SEBASTIÃO R$ 1.170.032,06 R$ 58.932,11 1.332.893,21R$ -R$ 67.135,09R$ SP SÃO SEBASTIÃO DA GRAMA R$ 108.039,06 R$ 10.803,91 123.077,42R$ -R$ 12.307,75R$ SP SÃO SIMÃO R$ 108.039,06 R$ 18.480,20 123.077,42R$ -R$ 21.052,53R$ SP SÃO VICENTE SIM R$ 1.421.781,63 R$ 243.964,93 1.619.684,75R$ 647.873,90R$ 277.923,32R$ SP SARAPUÍ R$ 108.039,06 R$ 10.803,91 123.077,42R$ -R$ 12.307,75R$ SP SARUTAIÁ R$ 108.039,06 R$ 10.803,91 123.077,42R$ -R$ 12.307,75R$ SP SEBASTIANÓPOLIS DO SUL R$ 108.039,06 R$ 10.803,91 123.077,42R$ -R$ 12.307,75R$ SP SERRA AZUL R$ 108.039,06 R$ 10.803,91 123.077,42R$ -R$ 12.307,75R$ SP SERRA NEGRA R$ 108.039,06 R$ 30.651,31 123.077,42R$ -R$ 34.917,78R$ SP SERRANA R$ 198.988,11 R$ 16.872,42 226.686,01R$ -R$ 19.220,96R$ SP SERTÃOZINHO R$ 1.033.062,38 R$ 25.354,51 1.176.858,21R$ -R$ 28.883,70R$ SP SETE BARRAS R$ 108.039,06 R$ 10.803,91 123.077,42R$ -R$ 12.307,75R$ SP SEVERÍNIA R$ 108.039,06 R$ 10.803,91 123.077,42R$ -R$ 12.307,75R$ SP SILVEIRAS R$ 108.039,06 R$ 10.803,91 123.077,42R$ -R$ 12.307,75R$ SP SOCORRO R$ 108.039,06 R$ 10.803,91 123.077,42R$ -R$ 12.307,75R$ SP SOROCABA SIM R$ 2.202.824,67 R$ 139.340,93 2.509.444,09R$ 1.003.777,64R$ 158.736,32R$ SP SUD MENNUCCI R$ 150.247,98 R$ 10.803,91 171.161,56R$ -R$ 12.307,75R$ SP SUMARÉ R$ 1.312.971,66 R$ 78.705,18 1.495.729,11R$ -R$ 89.660,45R$ SP SUZANÁPOLIS R$ 108.039,06 R$ 10.803,91 123.077,42R$ -R$ 12.307,75R$ SP SUZANO SIM R$ 1.839.753,71 R$ 85.818,39 2.095.835,93R$ 838.334,37R$ 97.763,77R$ SP TABAPUÃ R$ 108.039,06 R$ 10.803,91 123.077,42R$ -R$ 12.307,75R$ SP TABATINGA R$ 108.039,06 R$ 10.803,91 123.077,42R$ -R$ 12.307,75R$ SP TABOÃO DA SERRA SIM R$ 1.273.929,34 R$ 57.344,08 1.451.252,34R$ 580.500,94R$ 65.326,02R$ SP TACIBA R$ 108.039,06 R$ 10.803,91 123.077,42R$ -R$ 12.307,75R$ SP TAGUAÍ R$ 108.039,06 R$ 10.803,91 123.077,42R$ -R$ 12.307,75R$ SP TAIAÇU R$ 108.039,06 R$ 10.803,91 123.077,42R$ -R$ 12.307,75R$ SP TAIÚVA R$ 108.039,06 R$ 10.803,91 123.077,42R$ -R$ 12.307,75R$ SP TAMBAÚ R$ 108.039,06 R$ 10.803,91 123.077,42R$ -R$ 12.307,75R$ SP TANABI R$ 108.039,06 R$ 28.787,89 123.077,42R$ -R$ 32.794,98R$ SP TAPIRAÍ R$ 108.039,06 R$ 10.803,91 123.077,42R$ -R$ 12.307,75R$ SP TAPIRATIBA R$ 108.039,06 R$ 10.803,91 123.077,42R$ -R$ 12.307,75R$ SP TAQUARAL R$ 108.039,06 R$ 10.803,91 123.077,42R$ -R$ 12.307,75R$ SP TAQUARITINGA R$ 108.039,06 R$ 10.803,91 123.077,42R$ -R$ 12.307,75R$ SP TAQUARITUBA R$ 108.039,06 R$ 16.640,43 123.077,42R$ -R$ 18.956,67R$ SP TAQUARIVAÍ R$ 221.741,95 R$ 10.803,91 252.607,04R$ -R$ 12.307,75R$ SP TARABAI R$ 108.039,06 R$ 10.803,91 123.077,42R$ -R$ 12.307,75R$ SP TARUMÃ R$ 108.039,06 R$ 10.803,91 123.077,42R$ -R$ 12.307,75R$ SP TATUÍ R$ 405.308,77 R$ 102.661,66 461.725,22R$ -R$ 116.951,52R$ SP TAUBATÉ SIM R$ 1.008.978,29 R$ 45.730,16 1.149.421,76R$ 459.768,70R$ 52.095,51R$ SP TEJUPÁ R$ 108.039,06 R$ 10.803,91 123.077,42R$ -R$ 12.307,75R$ SP TEODORO SAMPAIO R$ 283.581,89 R$ 31.469,74 323.054,72R$ -R$ 35.850,13R$ SP TERRA ROXA R$ 108.039,06 R$ 10.803,91 123.077,42R$ -R$ 12.307,75R$ SP TIETÊ R$ 157.672,15 R$ 10.803,91 179.619,13R$ -R$ 12.307,75R$ SP TIMBURI R$ 108.039,06 R$ 10.803,91 123.077,42R$ -R$ 12.307,75R$ SP TORRE DE PEDRA R$ 108.039,06 R$ 10.803,91 123.077,42R$ -R$ 12.307,75R$ SP TORRINHA R$ 108.039,06 R$ 10.803,91 123.077,42R$ -R$ 12.307,75R$ SP TRABIJU R$ 108.039,06 R$ 10.803,91 123.077,42R$ -R$ 12.307,75R$ SP TREMEMBÉ R$ 202.645,83 R$ 28.910,93 230.852,86R$ -R$ 32.935,15R$ SP TRÊS FRONTEIRAS R$ 108.039,06 R$ 10.803,91 123.077,42R$ -R$ 12.307,75R$ SP TUIUTI R$ 108.039,06 R$ 10.803,91 123.077,42R$ -R$ 12.307,75R$ SP TUPÃ R$ 639.231,57 R$ 76.662,38 728.208,61R$ -R$ 87.333,30R$ SP TUPI PAULISTA R$ 108.039,06 R$ 10.803,91 123.077,42R$ -R$ 12.307,75R$ SP TURIÚBA R$ 108.039,06 R$ 10.803,91 123.077,42R$ -R$ 12.307,75R$ SP TURMALINA R$ 108.039,06 R$ 10.803,91 123.077,42R$ -R$ 12.307,75R$ SP UBARANA R$ 108.039,06 R$ 10.803,91 123.077,42R$ -R$ 12.307,75R$ SP UBATUBA R$ 485.355,92 R$ 33.165,58 552.914,43R$ -R$ 37.782,02R$ SP UBIRAJARA R$ 108.039,06 R$ 10.803,91 123.077,42R$ -R$ 12.307,75R$ SP UCHOA R$ 108.039,06 R$ 10.803,91 123.077,42R$ -R$ 12.307,75R$ SP UNIÃO PAULISTA R$ 108.039,06 R$ 10.803,91 123.077,42R$ -R$ 12.307,75R$ SP URÂNIA R$ 108.039,06 R$ 10.803,91 123.077,42R$ -R$ 12.307,75R$ 82
  • 83.
    Tribunal Superior Eleitoral PREFEITO 1ºTURNO 1º TURNO 2º TURNO UF POSSIBILIDADE DE SEGUNDO TURNO VEREADORVEREADOR LIMITE DE GASTOS OBSERVADO O MÍNIMO LEGAL (R$ 100,000,00 PARA PREFEITO E R$ 10.000,00 PARA VEREADOR ) EM 2016*** LIMITE DE GASTOS 2020 (ATUALIZADO PELO IPCA DE JUNHO/2016 ATÉ JUNHO/2020*) PREFEITO MUNICÍPIO** SP URU R$ 108.039,06 R$ 10.803,91 123.077,42R$ -R$ 12.307,75R$ SP URUPÊS R$ 108.039,06 R$ 10.803,91 123.077,42R$ -R$ 12.307,75R$ SP VALENTIM GENTIL R$ 108.039,06 R$ 10.803,91 123.077,42R$ -R$ 12.307,75R$ SP VALINHOS R$ 485.454,93 R$ 76.751,97 553.027,22R$ -R$ 87.435,36R$ SP VALPARAÍSO R$ 108.039,06 R$ 14.837,95 123.077,42R$ -R$ 16.903,30R$ SP VARGEM R$ 108.039,06 R$ 10.803,91 123.077,42R$ -R$ 12.307,75R$ SP VARGEM GRANDE DO SUL R$ 108.039,06 R$ 14.382,25 123.077,42R$ -R$ 16.384,17R$ SP VARGEM GRANDE PAULISTA R$ 224.733,86 R$ 15.248,11 256.015,41R$ -R$ 17.370,55R$ SP VÁRZEA PAULISTA R$ 890.765,93 R$ 67.468,10 1.014.754,98R$ -R$ 76.859,24R$ SP VERA CRUZ R$ 108.039,06 R$ 10.803,91 123.077,42R$ -R$ 12.307,75R$ SP VINHEDO R$ 108.039,06 R$ 18.008,18 123.077,42R$ -R$ 20.514,81R$ SP VIRADOURO R$ 167.315,08 R$ 10.803,91 190.604,29R$ -R$ 12.307,75R$ SP VISTA ALEGRE DO ALTO R$ 108.039,06 R$ 10.803,91 123.077,42R$ -R$ 12.307,75R$ SP VITÓRIA BRASIL R$ 108.039,06 R$ 10.803,91 123.077,42R$ -R$ 12.307,75R$ SP VOTORANTIM R$ 270.550,27 R$ 85.822,63 308.209,18R$ -R$ 97.768,60R$ SP VOTUPORANGA R$ 395.286,98 R$ 42.440,05 450.308,46R$ -R$ 48.347,44R$ SP ZACARIAS R$ 108.039,06 R$ 10.803,91 123.077,42R$ -R$ 12.307,75R$ TO ABREULÂNDIA R$ 108.039,06 R$ 10.803,91 123.077,42R$ -R$ 12.307,75R$ TO AGUIARNÓPOLIS R$ 108.039,06 R$ 20.362,75 123.077,42R$ -R$ 23.197,12R$ TO ALIANÇA DO TOCANTINS R$ 108.039,06 R$ 10.803,91 123.077,42R$ -R$ 12.307,75R$ TO ALMAS R$ 190.505,29 R$ 17.741,89 217.022,44R$ -R$ 20.211,45R$ TO ALVORADA R$ 108.039,06 R$ 15.849,65 123.077,42R$ -R$ 18.055,82R$ TO ANANÁS R$ 108.039,06 R$ 10.803,91 123.077,42R$ -R$ 12.307,75R$ TO ANGICO R$ 108.039,06 R$ 10.803,91 123.077,42R$ -R$ 12.307,75R$ TO APARECIDA DO RIO NEGRO R$ 151.315,41 R$ 10.803,91 172.377,57R$ -R$ 12.307,75R$ TO ARAGOMINAS R$ 108.039,06 R$ 10.803,91 123.077,42R$ -R$ 12.307,75R$ TO ARAGUACEMA R$ 180.147,59 R$ 10.803,91 205.223,01R$ -R$ 12.307,75R$ TO ARAGUAÇU R$ 155.304,15 R$ 10.803,91 176.921,52R$ -R$ 12.307,75R$ TO ARAGUAÍNA R$ 759.932,32 R$ 240.571,11 865.710,15R$ -R$ 274.057,10R$ TO ARAGUANÃ R$ 108.039,06 R$ 10.803,91 123.077,42R$ -R$ 12.307,75R$ TO ARAGUATINS R$ 357.033,71 R$ 16.737,64 406.730,57R$ -R$ 19.067,41R$ TO ARAPOEMA R$ 108.039,06 R$ 10.803,91 123.077,42R$ -R$ 12.307,75R$ TO ARRAIAS R$ 238.061,56 R$ 10.803,91 271.198,24R$ -R$ 12.307,75R$ TO AUGUSTINÓPOLIS R$ 629.961,92 R$ 18.644,40 717.648,68R$ -R$ 21.239,58R$ TO AURORA DO TOCANTINS R$ 108.039,06 R$ 10.803,91 123.077,42R$ -R$ 12.307,75R$ TO AXIXÁ DO TOCANTINS R$ 108.039,06 R$ 10.803,91 123.077,42R$ -R$ 12.307,75R$ TO BABAÇULÂNDIA R$ 138.466,80 R$ 30.638,24 157.740,51R$ -R$ 34.902,89R$ TO BANDEIRANTES DO TOCANTINS R$ 108.039,06 R$ 10.803,91 123.077,42R$ -R$ 12.307,75R$ TO BARRA DO OURO R$ 160.763,75 R$ 19.264,03 183.141,06R$ -R$ 21.945,46R$ TO BARROLÂNDIA R$ 143.042,51 R$ 10.803,91 162.953,13R$ -R$ 12.307,75R$ TO BERNARDO SAYÃO R$ 108.039,06 R$ 14.234,39 123.077,42R$ -R$ 16.215,73R$ TO BOM JESUS DO TOCANTINS R$ 108.039,06 R$ 10.803,91 123.077,42R$ -R$ 12.307,75R$ TO BRASILÂNDIA DO TOCANTINS R$ 108.039,06 R$ 10.803,91 123.077,42R$ -R$ 12.307,75R$ TO BREJINHO DE NAZARÉ R$ 108.039,06 R$ 10.803,91 123.077,42R$ -R$ 12.307,75R$ TO BURITI DO TOCANTINS R$ 108.039,06 R$ 10.803,91 123.077,42R$ -R$ 12.307,75R$ TO CACHOEIRINHA R$ 108.039,06 R$ 16.404,38 123.077,42R$ -R$ 18.687,77R$ TO CAMPOS LINDOS R$ 108.039,06 R$ 10.803,91 123.077,42R$ -R$ 12.307,75R$ TO CARIRI DO TOCANTINS R$ 108.039,06 R$ 10.803,91 123.077,42R$ -R$ 12.307,75R$ TO CARMOLÂNDIA R$ 108.039,06 R$ 10.803,91 123.077,42R$ -R$ 12.307,75R$ TO CARRASCO BONITO R$ 108.039,06 R$ 10.803,91 123.077,42R$ -R$ 12.307,75R$ TO CASEARA R$ 183.778,48 R$ 10.803,91 209.359,30R$ -R$ 12.307,75R$ TO CENTENÁRIO R$ 108.039,06 R$ 10.803,91 123.077,42R$ -R$ 12.307,75R$ TO CHAPADA DA NATIVIDADE R$ 108.039,06 R$ 10.803,91 123.077,42R$ -R$ 12.307,75R$ TO CHAPADA DE AREIA R$ 142.799,48 R$ 10.803,91 162.676,27R$ -R$ 12.307,75R$ TO COLINAS DO TOCANTINS R$ 455.476,67 R$ 10.803,91 518.876,18R$ -R$ 12.307,75R$ TO COLMÉIA R$ 134.704,96 R$ 13.461,36 153.455,05R$ -R$ 15.335,10R$ TO COMBINADO R$ 108.039,06 R$ 10.803,91 123.077,42R$ -R$ 12.307,75R$ TO CONCEIÇÃO DO TOCANTINS R$ 108.039,06 R$ 10.803,91 123.077,42R$ -R$ 12.307,75R$ TO COUTO MAGALHÃES R$ 141.162,62 R$ 10.803,91 160.811,57R$ -R$ 12.307,75R$ TO CRISTALÂNDIA R$ 108.039,06 R$ 14.036,50 123.077,42R$ -R$ 15.990,29R$ TO CRIXÁS DO TOCANTINS R$ 108.039,06 R$ 10.803,91 123.077,42R$ -R$ 12.307,75R$ TO DARCINÓPOLIS R$ 108.039,06 R$ 10.803,91 123.077,42R$ -R$ 12.307,75R$ TO DIANÓPOLIS R$ 108.039,06 R$ 19.950,06 123.077,42R$ -R$ 22.726,98R$ TO DIVINÓPOLIS DO TOCANTINS R$ 108.039,06 R$ 10.803,91 123.077,42R$ -R$ 12.307,75R$ TO DOIS IRMÃOS DO TOCANTINS R$ 108.039,06 R$ 14.222,83 123.077,42R$ -R$ 16.202,56R$ TO DUERÉ R$ 108.039,06 R$ 10.803,91 123.077,42R$ -R$ 12.307,75R$ 83
  • 84.
    Tribunal Superior Eleitoral PREFEITO 1ºTURNO 1º TURNO 2º TURNO UF POSSIBILIDADE DE SEGUNDO TURNO VEREADORVEREADOR LIMITE DE GASTOS OBSERVADO O MÍNIMO LEGAL (R$ 100,000,00 PARA PREFEITO E R$ 10.000,00 PARA VEREADOR ) EM 2016*** LIMITE DE GASTOS 2020 (ATUALIZADO PELO IPCA DE JUNHO/2016 ATÉ JUNHO/2020*) PREFEITO MUNICÍPIO** TO ESPERANTINA R$ 108.039,06 R$ 13.762,72 123.077,42R$ -R$ 15.678,40R$ TO FÁTIMA R$ 108.039,06 R$ 10.803,91 123.077,42R$ -R$ 12.307,75R$ TO FIGUEIRÓPOLIS R$ 203.477,93 R$ 10.803,91 231.800,79R$ -R$ 12.307,75R$ TO FILADÉLFIA R$ 242.855,56 R$ 10.803,91 276.659,54R$ -R$ 12.307,75R$ TO FORMOSO DO ARAGUAIA R$ 108.039,06 R$ 10.803,91 123.077,42R$ -R$ 12.307,75R$ TO GOIANORTE R$ 108.039,06 R$ 10.803,91 123.077,42R$ -R$ 12.307,75R$ TO GOIATINS R$ 108.039,06 R$ 10.803,91 123.077,42R$ -R$ 12.307,75R$ TO GUARAÍ R$ 539.853,10 R$ 13.564,93 614.997,28R$ -R$ 15.453,08R$ TO GURUPI R$ 2.351.484,50 R$ 61.418,92 2.678.796,44R$ -R$ 69.968,05R$ TO IPUEIRAS R$ 108.039,06 R$ 10.803,91 123.077,42R$ -R$ 12.307,75R$ TO ITACAJÁ R$ 108.039,06 R$ 10.803,91 123.077,42R$ -R$ 12.307,75R$ TO ITAGUATINS R$ 108.039,06 R$ 10.803,91 123.077,42R$ -R$ 12.307,75R$ TO ITAPIRATINS R$ 108.039,06 R$ 10.803,91 123.077,42R$ -R$ 12.307,75R$ TO ITAPORÃ DO TOCANTINS R$ 108.039,06 R$ 10.803,91 123.077,42R$ -R$ 12.307,75R$ TO JAÚ DO TOCANTINS R$ 108.039,06 R$ 10.803,91 123.077,42R$ -R$ 12.307,75R$ TO JUARINA R$ 108.039,06 R$ 10.803,91 123.077,42R$ -R$ 12.307,75R$ TO LAGOA DA CONFUSÃO R$ 251.401,42 R$ 21.132,48 286.394,93R$ -R$ 24.073,99R$ TO LAGOA DO TOCANTINS R$ 108.039,06 R$ 10.803,91 123.077,42R$ -R$ 12.307,75R$ TO LAJEADO R$ 148.727,30 R$ 10.803,91 169.429,21R$ -R$ 12.307,75R$ TO LAVANDEIRA R$ 108.039,06 R$ 10.803,91 123.077,42R$ -R$ 12.307,75R$ TO LIZARDA R$ 108.039,06 R$ 10.803,91 123.077,42R$ -R$ 12.307,75R$ TO LUZINÓPOLIS R$ 108.039,06 R$ 18.934,40 123.077,42R$ -R$ 21.569,95R$ TO MARIANÓPOLIS DO TOCANTINS R$ 141.073,63 R$ 10.803,91 160.710,20R$ -R$ 12.307,75R$ TO MATEIROS R$ 108.039,06 R$ 10.803,91 123.077,42R$ -R$ 12.307,75R$ TO MAURILÂNDIA DO TOCANTINS R$ 108.039,06 R$ 14.247,60 123.077,42R$ -R$ 16.230,78R$ TO MIRACEMA DO TOCANTINS R$ 153.648,16 R$ 20.920,31 175.035,02R$ -R$ 23.832,29R$ TO MIRANORTE R$ 171.686,45 R$ 10.803,91 195.584,13R$ -R$ 12.307,75R$ TO MONTE DO CARMO R$ 108.039,06 R$ 10.803,91 123.077,42R$ -R$ 12.307,75R$ TO MONTE SANTO DO TOCANTINS R$ 108.039,06 R$ 10.803,91 123.077,42R$ -R$ 12.307,75R$ TO MURICILÂNDIA R$ 108.039,06 R$ 10.803,91 123.077,42R$ -R$ 12.307,75R$ TO NATIVIDADE R$ 191.988,11 R$ 10.803,91 218.711,65R$ -R$ 12.307,75R$ TO NAZARÉ R$ 108.039,06 R$ 10.803,91 123.077,42R$ -R$ 12.307,75R$ TO NOVA OLINDA R$ 108.039,06 R$ 10.803,91 123.077,42R$ -R$ 12.307,75R$ TO NOVA ROSALÂNDIA R$ 108.039,06 R$ 10.803,91 123.077,42R$ -R$ 12.307,75R$ TO NOVO ACORDO R$ 108.039,06 R$ 10.803,91 123.077,42R$ -R$ 12.307,75R$ TO NOVO ALEGRE R$ 108.039,06 R$ 10.803,91 123.077,42R$ -R$ 12.307,75R$ TO NOVO JARDIM R$ 108.039,06 R$ 10.803,91 123.077,42R$ -R$ 12.307,75R$ TO OLIVEIRA DE FÁTIMA R$ 108.039,06 R$ 10.803,91 123.077,42R$ -R$ 12.307,75R$ TO PALMAS R$ 7.765.256,92 R$ 844.852,91 8.846.132,14R$ -R$ 962.451,15R$ TO PALMEIRANTE R$ 108.039,06 R$ 10.803,91 123.077,42R$ -R$ 12.307,75R$ TO PALMEIRAS DO TOCANTINS R$ 108.039,06 R$ 10.803,91 123.077,42R$ -R$ 12.307,75R$ TO PALMEIRÓPOLIS R$ 108.039,06 R$ 10.803,91 123.077,42R$ -R$ 12.307,75R$ TO PARAÍSO DO TOCANTINS R$ 668.070,50 R$ 42.775,97 761.061,74R$ -R$ 48.730,12R$ TO PARANÃ R$ 108.039,06 R$ 16.905,41 123.077,42R$ -R$ 19.258,54R$ TO PAU D'ARCO R$ 108.039,06 R$ 10.803,91 123.077,42R$ -R$ 12.307,75R$ TO PEDRO AFONSO R$ 108.039,06 R$ 14.994,29 123.077,42R$ -R$ 17.081,40R$ TO PEIXE R$ 172.170,71 R$ 16.914,78 196.135,80R$ -R$ 19.269,21R$ TO PEQUIZEIRO R$ 108.039,06 R$ 10.803,91 123.077,42R$ -R$ 12.307,75R$ TO PINDORAMA DO TOCANTINS R$ 108.039,06 R$ 10.803,91 123.077,42R$ -R$ 12.307,75R$ TO PIRAQUÊ R$ 108.039,06 R$ 10.803,91 123.077,42R$ -R$ 12.307,75R$ TO PIUM R$ 108.039,06 R$ 10.803,91 123.077,42R$ -R$ 12.307,75R$ TO PONTE ALTA DO BOM JESUS R$ 150.509,21 R$ 10.803,91 171.459,15R$ -R$ 12.307,75R$ TO PONTE ALTA DO TOCANTINS R$ 108.039,06 R$ 10.803,91 123.077,42R$ -R$ 12.307,75R$ TO PORTO ALEGRE DO TOCANTINS R$ 108.039,06 R$ 10.803,91 123.077,42R$ -R$ 12.307,75R$ TO PORTO NACIONAL R$ 787.332,46 R$ 38.496,60 896.924,22R$ -R$ 43.855,09R$ TO PRAIA NORTE R$ 108.039,06 R$ 10.803,91 123.077,42R$ -R$ 12.307,75R$ TO PRESIDENTE KENNEDY R$ 108.039,06 R$ 10.803,91 123.077,42R$ -R$ 12.307,75R$ TO PUGMIL R$ 108.039,06 R$ 10.803,91 123.077,42R$ -R$ 12.307,75R$ TO RECURSOLÂNDIA R$ 142.582,90 R$ 10.803,91 162.429,55R$ -R$ 12.307,75R$ TO RIACHINHO R$ 108.039,06 R$ 10.803,91 123.077,42R$ -R$ 12.307,75R$ TO RIO DA CONCEIÇÃO R$ 108.039,06 R$ 10.803,91 123.077,42R$ -R$ 12.307,75R$ TO RIO DOS BOIS R$ 108.039,06 R$ 16.581,91 123.077,42R$ -R$ 18.890,01R$ TO RIO SONO R$ 108.039,06 R$ 10.803,91 123.077,42R$ -R$ 12.307,75R$ TO SAMPAIO R$ 137.434,32 R$ 17.977,51 156.564,32R$ -R$ 20.479,87R$ TO SANDOLÂNDIA R$ 108.039,06 R$ 10.803,91 123.077,42R$ -R$ 12.307,75R$ TO SANTA FÉ DO ARAGUAIA R$ 318.886,88 R$ 13.536,30 363.273,94R$ -R$ 15.420,47R$ 84
  • 85.
    Tribunal Superior Eleitoral PREFEITO 1ºTURNO 1º TURNO 2º TURNO UF POSSIBILIDADE DE SEGUNDO TURNO VEREADORVEREADOR LIMITE DE GASTOS OBSERVADO O MÍNIMO LEGAL (R$ 100,000,00 PARA PREFEITO E R$ 10.000,00 PARA VEREADOR ) EM 2016*** LIMITE DE GASTOS 2020 (ATUALIZADO PELO IPCA DE JUNHO/2016 ATÉ JUNHO/2020*) PREFEITO MUNICÍPIO** TO SANTA MARIA DO TOCANTINS R$ 108.039,06 R$ 10.803,91 123.077,42R$ -R$ 12.307,75R$ TO SANTA RITA DO TOCANTINS R$ 141.396,64 R$ 10.803,91 161.078,17R$ -R$ 12.307,75R$ TO SANTA ROSA DO TOCANTINS R$ 108.039,06 R$ 10.803,91 123.077,42R$ -R$ 12.307,75R$ TO SANTA TEREZA DO TOCANTINS R$ 108.039,06 R$ 10.803,91 123.077,42R$ -R$ 12.307,75R$ TO SANTA TEREZINHA DO TOCANTINS R$ 108.039,06 R$ 10.803,91 123.077,42R$ -R$ 12.307,75R$ TO SÃO BENTO DO TOCANTINS R$ 207.654,06 R$ 10.803,91 236.558,21R$ -R$ 12.307,75R$ TO SÃO FÉLIX DO TOCANTINS R$ 108.039,06 R$ 10.803,91 123.077,42R$ -R$ 12.307,75R$ TO SÃO MIGUEL DO TOCANTINS R$ 180.102,90 R$ 29.850,24 205.172,10R$ -R$ 34.005,21R$ TO SÃO SALVADOR DO TOCANTINS R$ 108.039,06 R$ 10.803,91 123.077,42R$ -R$ 12.307,75R$ TO SÃO SEBASTIÃO DO TOCANTINS R$ 108.039,06 R$ 10.803,91 123.077,42R$ -R$ 12.307,75R$ TO SÃO VALÉRIO R$ 108.039,06 R$ 10.803,91 123.077,42R$ -R$ 12.307,75R$ TO SILVANÓPOLIS R$ 108.039,06 R$ 10.803,91 123.077,42R$ -R$ 12.307,75R$ TO SÍTIO NOVO DO TOCANTINS R$ 108.039,06 R$ 10.803,91 123.077,42R$ -R$ 12.307,75R$ TO SUCUPIRA R$ 108.039,06 R$ 10.803,91 123.077,42R$ -R$ 12.307,75R$ TO TABOCÃO R$ 108.039,06 R$ 10.803,91 123.077,42R$ -R$ 12.307,75R$ TO TAGUATINGA R$ 108.039,06 R$ 10.803,91 123.077,42R$ -R$ 12.307,75R$ TO TAIPAS DO TOCANTINS R$ 108.039,06 R$ 10.803,91 123.077,42R$ -R$ 12.307,75R$ TO TALISMÃ R$ 108.039,06 R$ 13.715,02 123.077,42R$ -R$ 15.624,07R$ TO TOCANTÍNIA R$ 203.043,15 R$ 10.803,91 231.305,49R$ -R$ 12.307,75R$ TO TOCANTINÓPOLIS R$ 108.039,06 R$ 18.513,64 123.077,42R$ -R$ 21.090,62R$ TO TUPIRAMA R$ 108.039,06 R$ 10.803,91 123.077,42R$ -R$ 12.307,75R$ TO TUPIRATINS R$ 108.039,06 R$ 10.803,91 123.077,42R$ -R$ 12.307,75R$ TO WANDERLÂNDIA R$ 108.039,06 R$ 10.803,91 123.077,42R$ -R$ 12.307,75R$ TO XAMBIOÁ R$ 108.039,06 R$ 19.754,27 123.077,42R$ -R$ 22.503,94R$ 85