Planilha CUSTOS.XLS
Gerenciando Custos e Preços com o Excel
Por Adriano Leal Bruni e Rubens Famá

Atenção : os modelos aqui apresentados destinam-se exclusivamente
a dar suporte didático ao texto Gestão de Custos e Formação de Preços,
publicado pela Editora Atlas. Embora os melhores esforços tenham sido
colocados na sua elaboração, os autores e a editora não dão nenhum tipo
de garantia, implícita ou explícita, sobre todo o material, incluindo modelos, textos,
documentos e programas. Os autores e a editora não se responsabilizam por
quaisquer incidentes ou danos decorrentes da compra, da performance ou do uso
dos modelos, teorias e/ou exemplos apresentados no livro ou nesta planilha.
S.XLS

 inam-se exclusivamente
 tos e Formação de Preços,
ores esforços tenham sido
editora não dão nenhum tipo
o material, incluindo modelos, textos,
ora não se responsabilizam por
a compra, da performance ou do uso
ados no livro ou nesta planilha.
Planilha CUSTOS.XLS
Gerenciando Custos e Preços com o Excel
Por Adriano Leal Bruni e Rubens Famá

CUSTOS.XLS:
         Planilha
Menu

Descrição
Total e Unitário
Materiais Diretos


Rateio

Ponto de Equilíbrio

Custo Volume Lucro

Padrão
Preços

Ciclo de Vida

Matemática Financeira

Regressão

Autores
ilha CUSTOS.XLS
do Custos e Preços com o Excel
 Leal Bruni e Rubens Famá

OS.XLS: Descrição dos modelos presentes na planilha
                                                Descrição
           Menu da planilha CUSTOS.XLS. Facilita a navegação e o uso dos modelos
           apresentados.
           Descreve os modelos presentes na planilha CUSTOS.XLS.
           Permite construir mapas de composição de custos totais e unitários.
           Facilita cálculos relativos à gestão de materiais, como a determinação do lote
           econômico de compra e dos gráficos relativos aos custos de estocagem, de
           pedidos e total.
           Possibilita a execução de rateio de gastos indiretos a diferentes produtos,
           empregando diversos critérios de rateio.
           Permite analisar o ponto de equilíbrio contábil e as margens de segurança de
           uma determinada situação.
           Facilita o estudo das relações entre custos, volumes e lucros, analisando os
           efeitos sobre gastos totais e unitários e lucros.
           Possibilita análises comprarativas empregando o conceito de custo padrão.
           Permite a composição rápida e fácil dos preços de venda, incluindo gastos,
           impostos e lucros desejados.
           Fornece os principais parâmetros financeiros, como o VPL e o VUL empregados
           na análise do custeio do ciclo de vida.
           Permite, de forma fácil, executar as principais operações da matemática
           financeira.
           Facilita os cálculos estatísticos necessários nas análises de regressão e
           correlação.
           Apresenta os autores do livro e da planilha.
Planilha CUSTOS.XLS
Gerenciando Custos e Preços com o Excel
Por Adriano Leal Bruni e Rubens Famá

CUSTOS.XLS: Modelo geral de análise de custos
                                              Número de unidades =
Descrição                                     Total
Receitas                                                   15,000.00
Custos variáveis :    Matéria-prima                        (2,000.00)
                      Embalagem                            (3,000.00)

Subtotal Custos Var                                        (5,000.00)
Custos fixos :        Aluguel da fábrica                   (1,800.00)


Subtotal Custos Fix                                        (1,800.00)
Subtotal Custos                                            (6,800.00)
Desp variáveis :      Fretes de entrega                    (2,200.00)


Subtotal Desp Var                                          (2,200.00)
Desp fixas :          Aluguel do escritório                  (800.00)


Subtotal Desp fixas                                          (800.00)
Subtotal Despesas                                          (3,000.00)
Total Gastos                                               (9,800.00)
Resultado                                                   5,200.00

Cálculo da margem de contribuição
Descrição                                     Total
Receitas                                                   15,000.00
(-) Gastos variáveis                                       (7,200.00)
(=) Margem de contribuição                                  7,800.00
500
Unitário
           30.00
           (4.00)
           (6.00)

           (10.00)
            (3.60)


            (3.60)
           (13.60)
            (4.40)


            (4.40)
            (1.60)


            (1.60)
            (6.00)
           (19.60)
            10.40


Unitário
            30.00
           (14.40)
            15.60
Planilha CUSTOS.XLS
Gerenciando Custos e Preços com o Excel
Por Adriano Leal Bruni e Rubens Famá

CUSTOS.XLS: Análise de lotes econômicos de compra

Dados fornecidos
Variável                   Símbolo      Valor               Unidade
Custo do pedido                Cp                   15.00
Custo de manutenção            Ce                    0.50
Demanda                        D                24,000.00

Análise de custos de pedido e estocagem
    Q          Cte            Ctp               CT            Cte - Ctp
   374.17        93.54        962.14            1,055.68          (868.60)

Variável de decisão
Lote econômico:             1200.00     (Q, quantidade do pedido)

Fórmulas dos custos
Custo total de manutenção de estoques                       Cte = Ce x Q/2
Custo total dos pedidos                                     Ctp = Cp x D/Q
Custo total                                                 CT = Cte + Ctp

Gráficos                      Step              150

   Q           Cte            Ctp               CT            Cte - Ctp       3,000.00
  150            37.50       2,400.00           2,437.50        (2,362.50)
  300            75.00       1,200.00           1,275.00        (1,125.00)                               Cte    Ctp   CT
                                                                              2,500.00
  450           112.50         800.00             912.50          (687.50)
  600           150.00         600.00             750.00          (450.00)
                                                                              2,000.00
  750           187.50         480.00             667.50          (292.50)
  900           225.00         400.00             625.00          (175.00)
                                                                              1,500.00
  1050          262.50         342.86             605.36            (80.36)
  1200          300.00         300.00             600.00                 -
                                                                              1,000.00
  1350          337.50         266.67             604.17             70.83
  1500          375.00         240.00             615.00           135.00
  1650          412.50         218.18             630.68           194.32      500.00
  1800          450.00         200.00             650.00           250.00
  1950          487.50         184.62             672.12           302.88           -
  2100          525.00         171.43             696.43           353.57                0       500           1000
                                                                              Note no gráfico acima que, quando Ctp e C


Gráfico de perfil de demanda
Parâmetros iniciais                     Parâmetros do gráfico
Demanda             1500                Step                          0.06
Q                                  375                Ponto mínimo                       0
Est Inicial                        375
Est Seg                              0

                                                                     Perfil de estoque
                 400.0

                 350.0

                 300.0

                 250.0
   Quantidades




                 200.0

                 150.0

                 100.0

                  50.0

                    -
                         -                 0.20             0.40                 0.60              0.80   1.00   1.20
                                                                            Tempo




  Tempo                      Saídas       Compras        Subtotal        Estoque Seg         Estoque
    -                                                         375.0                -            375.0
   0.06                          (93.8)          -            281.3                -            281.3
   0.13                          (93.8)          -            187.5                -            187.5
   0.19                          (93.8)          -             93.8                -             93.8
   0.25                          (93.8)          -                -                -               -
   0.25                             -         375.0           375.0                -            375.0
   0.31                          (93.8)          -            281.3                -            281.3
   0.38                          (93.8)          -            187.5                -            187.5
   0.44                          (93.8)          -             93.8                -             93.8
   0.50                          (93.8)          -                -                -               -
   0.50                             -         375.0           375.0                -            375.0
   0.56                          (93.8)          -            281.3                -            281.3
   0.63                          (93.8)          -            187.5                -            187.5
   0.69                          (93.8)          -             93.8                -             93.8
0.75   (93.8)      -       -    -      -
0.75      -     375.0   375.0   -   375.0
0.81   (93.8)      -    281.3   -   281.3
0.88   (93.8)      -    187.5   -   187.5
0.94   (93.8)      -     93.8   -    93.8
1.00   (93.8)      -       -    -      -
1.00      -     375.0   375.0   -   375.0
de compra


             Uma empresa industrial emprega uma única matéria-prima. Sabendo que a demanda mensal deste material é constan
                                  24,000 unidades, que seu custo unitário de pedido é igual a
                                                        15.00
             e que seu custo unitário de estocagem é igual a o lote econêmico de compra.
                                                0.50 , calcule
             Uma empresa industrial emprega uma única matéria-prima. Sabendo que a demanda mensal deste material é constante e igu
                                     1200


                                 (868.60)




  3,000.00

                                  Cte    Ctp     CT
  2,500.00


  2,000.00


  1,500.00


  1,000.00


   500.00


        -
             0           500            1000            1500   2000        2500
  Note no gráfico acima que, quando Ctp e Cte se igualam, CT é mínimo.




             Resultados
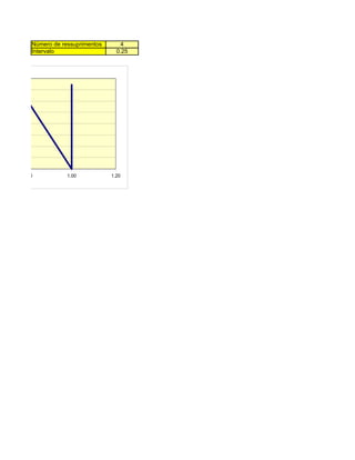
             Estoque Médio (q)                 187.50
Número de ressuprimentos       4
   Intervalo                    0.25




0.80           1.00           1.20
nsal deste material é constante e igual a


este material é constante e igual a 24000 unidades, que seu custo unitário de pedido é igual a 15e que seu custo unitário de estocagem é
o unitário de estocagem é igual a 0.5 , calcule o lote econêmico de compra.
Planilha CUSTOS.XLS
Gerenciando Custos e Preços com o Excel
Por Adriano Leal Bruni e Rubens Famá

CUSTOS.XLS: Rateio de custos fixos
                                                           Produto     Unidades       Produto
                       Descrição                             Alfa          40           Beta
                                                            Total     Unitário          Total
Receitas                                                   15,000.00       375.00     15,000.00
Custos diretos        Materiais diretos                    (2,000.00)      (50.00)     (3,000.00)
                      Mão-de-obra direta                   (3,000.00)      (75.00)     (3,000.00)
Subtotal              Custos Diretos                       (5,000.00)     (125.00)     (6,000.00)
Custos Indiretos      Manutenção fabril                      (227.27)        (5.68)      (272.73)
                      Salário supervisor                     (363.64)        (9.09)      (436.36)
                      Depreciação fabril                     (409.09)      (10.23)       (490.91)
Subtotal CIF                                               (1,000.00)      (25.00)     (1,200.00)
Subtotal Custos                                            (6,000.00)     (150.00)     (7,200.00)
Despesas diretas      Fretes de entrega                    (1,400.00)      (35.00)       (800.00)
                      Comissões de vendas                  (1,200.00)      (30.00)     (1,100.00)

Subtotal Desp Var                                          (2,600.00)      (65.00)     (1,900.00)
Depesas indiretas     Aluguel do escritório                  (636.36)      (15.91)       (763.64)
                      Salário vendedores                     (409.09)      (10.23)       (490.91)

Subtotal Desp fixas                                        (1,045.45)      (26.14)     (1,254.55)
Subtotal Despesas                                          (3,645.45)      (91.14)     (3,154.55)
Total Gastos                                               (9,645.45)     (241.14)    (10,354.55)
Resultado                                                   5,354.55       133.86       4,645.45

  Critério de Rateio (1 a 4) =>         3        Alfa        Beta       Soma
                                  Total        (5,000.00) (6,000.00) (11,000.00)
        Custos Diretos
                                  Percentual         45%         55%       100%
Receitas                                       15,000.00 15,000.00 30,000.00
Gastos                                         (9,645.45) (10,354.55) (20,000.00)
Resultado                                       5,354.55    4,645.45 10,000.00

Outro critério de rateio :
Horas máquina                     Total          500.00       400.00       900.00
Unidades
     30           Soma
Unitário
      500.00      30,000.00
     (100.00)     (5,000.00)
     (100.00)     (6,000.00)
     (200.00)    (11,000.00)
        (9.09)      (500.00)
      (14.55)       (800.00)
      (16.36)       (900.00)
      (40.00)     (2,200.00)
     (240.00)    (13,200.00)
      (26.67)     (2,200.00)
      (36.67)     (2,300.00)
                       0.00
      (63.33)     (4,500.00)
      (25.45)     (1,400.00)
      (16.36)       (900.00)

      (41.82)     (2,300.00)
     (105.15)     (6,800.00)
     (345.15)    (20,000.00)
      154.85      10,000.00
Planilha CUSTOS.XLS
Gerenciando Custos e Preços com o Excel
Por Adriano Leal Bruni e Rubens Famá

CUSTOS.XLS: Análise do ponto de equilíbrio contábil


          Descrição                  $            120,000.00       GF    GV     GT          Receita
Gastos Fixos Totais                 10,000.00
Gasto Variável Unitário                  8.00     100,000.00
Preço de Venda Unitário                 10.00
Vendas atuais (qtde)                   32,000      80,000.00

Intervalo do gráfico                 500           60,000.00

Ponto de Equlíbrio (q)              5,000          40,000.00
Ponto de Equlíbrio ($)            50,000.00
                                                   20,000.00
Margem Segurança (Qtde)            27,000.00
Margem Segurança ($)              270,000.00              -
Margem Segurança (%)                       84%                 0        2000         4000         6000     8000   10000



              Qtde.                  GF              GV                 GT                  Receita
                              0       10,000.00                -         10,000.00                    -
                            500       10,000.00        4,000.00          14,000.00              5,000.00
                           1000       10,000.00        8,000.00          18,000.00             10,000.00
                           1500       10,000.00       12,000.00          22,000.00             15,000.00
                           2000       10,000.00       16,000.00          26,000.00             20,000.00
                           2500       10,000.00       20,000.00          30,000.00             25,000.00
                           3000       10,000.00       24,000.00          34,000.00             30,000.00
                           3500       10,000.00       28,000.00          38,000.00             35,000.00
                           4000       10,000.00       32,000.00          42,000.00             40,000.00
                           4500       10,000.00       36,000.00          46,000.00             45,000.00
                           5000       10,000.00       40,000.00          50,000.00             50,000.00
                           5500       10,000.00       44,000.00          54,000.00             55,000.00
                           6000       10,000.00       48,000.00          58,000.00             60,000.00
                           6500       10,000.00       52,000.00          62,000.00             65,000.00
                           7000       10,000.00       56,000.00          66,000.00             70,000.00
                           7500       10,000.00       60,000.00          70,000.00             75,000.00
                           8000       10,000.00       64,000.00          74,000.00             80,000.00
                           8500       10,000.00       68,000.00          78,000.00             85,000.00
                           9000       10,000.00       72,000.00          82,000.00             90,000.00
                           9500       10,000.00       76,000.00          86,000.00             95,000.00
                          10000       10,000.00       80,000.00          90,000.00            100,000.00
Receita




     6000   8000   10000   12000
Planilha CUSTOS.XLS
Gerenciando Custos e Preços com o Excel
Por Adriano Leal Bruni e Rubens Famá

CUSTOS.XLS: Análise de custos, volumes e lucros.
                                                                   Variação no Preço
            DRE Simplificado                 Total        Unitário         Total
                                                 Qtde =        50,000         Qtde =
Receita                                   1,000,000.00         20.00    1,100,000.00
(-) Gastos Totais                           944,000.00         18.88    1,009,000.00
   (-) Gastos Fixos                         294,000.00           5.88     294,000.00
   (-) Gastos Variáveis                     650,000.00         13.00      715,000.00
(=) Lucro Operacional (s/ Desp fin)          56,000.00           1.12      91,000.00
   (-) Despesas financeiras                                        -              -
(=) Lucro Líquido                           56,000.00            1.12      91,000.00

Grau de alavancagem operacional (GAo)                                          6.25
Grau de alavancagem financeira (GAf)                                           1.00
Grau de alavancagem combinada (GAc)                                            6.25

Ponto de Equilíbrio (q)                     42,000.00                        42,000
Ponto de Equilíbrio ($)                    840,000.00                    840,000.00
Margem Segurança (q)                         8,000.00                     13,000.00
Margem Segurança ($)                       160,000.00                    260,000.00
Margem Segurança (%)                             16%                            24%

Análise das variações em $ e %
             DRE Simplificado                Variação em $                 Variação
                                            Total        Unitário         Total
Receita                                    100,000.00              -         10.00%
(-) Gastos Totais                           65,000.00          (0.53)         6.89%
   (-) Gastos Fixos                                -           (0.53)         0.00%
   (-) Gastos Variáveis                     65,000.00              -         10.00%
(=) Lucro Operacional (s/ Desp fin)         35,000.00           0.53         62.50%
   (-) Despesas financeiras                        -               -         #DIV/0!
(=) Lucro Líquido                           35,000.00           0.53         62.50%
1                          1
   Unitário       Total       Unitário
        55,000       Qtde =        45,000
        20.00    900,000.00         20.00
        18.35    879,000.00         19.53
          5.35   294,000.00          6.53
        13.00    585,000.00         13.00
          1.65    21,000.00          0.47
            -            -             -
          1.65    21,000.00          0.47




                     42,000
                 840,000.00
                   3,000.00
                  60,000.00
                         7%


em %
   Unitário
        0.00%
       -2.83%
       -9.09%
        0.00%
       47.73%
       #DIV/0!
       47.73%
Planilha CUSTOS.XLS
Gerenciando Custos e Preços com o Excel
Por Adriano Leal Bruni e Rubens Famá

CUSTOS.XLS: Análise de custo padrão versus real
       Componentes                   Padrão                         Real
                          Q          Preço ($) Custo ($)    Q       Preço ($) Custo ($)     Q
Materiais                     0.90        0.78   0.7020    0.8000      0.8000   0.6400    (0.1000)
MOD                           0.09        8.00    0.7200   0.1200      7.0000    0.8400   0.0300
CIF                           0.85        1.00    0.8500   0.9000      0.9500    0.8550   0.0500
                                                      -                              -        -
                                                      -                              -         -
                                                      -                              -         -
                                                      -                              -         -
Soma                                              1.4220                         1.4800
Legenda : variações favoráveis em azul, defavoráveis em vermelho.
Diferença
Preço ($) Custo ($)
   0.0200   (0.0620)
  (1.0000)   0.1200
  (0.0500)   0.0050
        -        -
        -        -
        -        -
        -        -
             0.0580
Planilha CUSTOS.XLS
Gerenciando Custos e Preços com o Excel
Por Adriano Leal Bruni e Rubens Famá

CUSTOS.XLS: Formação de preços

Alíquota do ICMS                                       18%
Alíquota do IPI                                         4%
IPI integra a base de cálculo? (1=sim, 2=não)            1          sim
Gasto dos produtos sem ICMS                           800.00
Base para cálculo da substituição                    8,000.00

Lucro a ser computado no valor dos produtos              3,690.67

Sem substituição tributária
Valor dos produtos (gasto + lucro)                       4,490.67
Valor dos produtos com ICMS (aplicação da fórmula)       5,524.94
Valor do IPI                                               221.00
Valor total da operação (preço)                          5,745.94
Valor do ICMS                                            1,034.27
Lucro                                                    3,690.67

Com substituição tributária
Valor dos produtos (gasto + lucro)                       4,490.67
Valor dos produtos com ICMS Normal (fórmula)             5,524.94
Valor do IPI                                               221.00
Valor subtotal da operação                               5,745.94
Valor do ICMS Normal                                     1,034.27
Valor do ICMS Substituído                                  405.73
Valor do ICMS Total                                      1,440.00
Valor total da operação (preço)                          6,151.67
Lucro                                                    3,690.67
Formar preços com
lucro em % do preço
      de venda
Sem substituição
               (0.04) Preço obtido:
   60%
                        5,745.94
Com substituição
                0.00 Preço obtido:
   60%
                        6,151.67
Planilha CUSTOS.XLS
Gerenciando Custos e Preços com o Excel
Por Adriano Leal Bruni e Rubens Famá


CUSTOS.XLS: Análise de custos do ciclo de vida - VPL e VUL

  Período                       Aquisição Analisada                      Parâmetros obtidos
     N             Uni           Duni           Tê          Lêlê
   K =>           4.0%           4.0%          4.0%         4.0%           VPL
     0               (800.00)     (500.00)       (300.00)     (850.00)     VUL
     1                600.00       300.00         100.00       700.00      TIR
     2                400.00       400.00         400.00       400.00
     3                200.00       200.00         500.00       200.00
     4                               50.00
     5
     6
     7
     8
     9
    10
    11
    12
    13
    14
    15
    16
    17
    18
    19
    20
    21
    22
    23
    24
    25
    26
    27
    28
    29
    30
VPL e VUL

 Parâmetros obtidos
              Uni       Duni       Tê        Lêlê
               324.54   378.82     610.47    370.70
               116.95   104.36   219.98     133.58
              29%       41%       70%        32%
Séries Não Uniformes


Período     Fluxos   Taxa            4%
   0         -800
   1          500    VPL         488.25
   2          400
   3          300    Fórmula : P8 =VPL(P6;M8:M11)+M7
   4          200
                              Note que o investimento inicial
                              deve ser acrescentado fora da
                              fórmula do VPL.


            Séries Não Uniformes
   Data     Fluxos   Taxa            4%
1/1/1999     -600
1/5/1999      500    XVPL      #ADDIN?
3/12/1999     400
5/15/1999     300    Fórmula : P21 =XVPL(P19;M20:M24;L20:L24)
6/16/1999     200



            Séries Não Uniformes
   Data     Fluxos
1/1/1999     -550
1/5/1999      140    XTIR      #ADDIN?
3/12/1999     150
5/15/1999     155    Fórmula : P32 =XTIR(M31:M35;L31:L35)
6/16/1999     160
Planilha CUSTOS.XLS
Gerenciando Custos e Preços com o Excel
Por Adriano Leal Bruni e Rubens Famá

CUSTOS.XLS: Aplicações genéricas com auxílio da matemática finance

Coloque um "?" no valor que deseja obter.
Cálculos Financeiros Básicos
     Regime                    N               I               PV
          3                    3           3.0000%           400.00

    Juros Compostos

                                                        [f] [REG] 3 [n] 3 [i] 400 [PV] [g] [BEG] [PMT] Viso
                                          Operações

                                          na HP 12C :

Equivalência de Taxas
       Taxa A               Nper A          Taxa B           Nper B
       8.0%                   12             ?                  1
                                          151.82%

Contagem de dias
        Início                Fim          Dias úteis    Dias corridos
     1/1/2001            6/5/2001

Lembre-se : os feriados devem estar abastecidos.
Último feriado fornecido =                12/25/2002            Ok
Primeiro feriado fornecido =               1/1/2001             Ok
Relação de feriados bancários (importante para a contagem de dias
           1/1/2001    1/1/2002
          2/26/2001 2/11/2002
          2/27/2001 2/12/2002
          4/13/2001 3/29/2002
          4/21/2001 4/21/2002
           5/1/2001    5/1/2002
          6/14/2001 5/30/2002
           9/7/2001    9/7/2002
         10/12/2001 12/12/2002
          11/2/2001 11/2/2002
         11/15/2001 11/15/2002
         12/25/2001 12/25/2002




                   N              I             PV
JS               1 0 [ENTER] 400 [/] 1 [-] 3400 [/] 1 [-] 30.03 [ENTER]3 [x] 1
                                  0 [ENTER] [/] [ENTER] 0,000,000 0,000,0
                                                0 Visor => [/] Visor =>
D                2 1 [ENTER] 400 [ENTER]0 [ENTER] 1 [/] Visor3 [/] 0,000,
                                   1 [ENTER] 400 [ENTER] [ENTER] 0.03 [EN
                                                 0 [/] [-] 0.03 0 [/] [-] => Visor
JC               3 [f] [REG] 3 [i][f] [REG] 30[n] 400 [PV] 0 [PMT]0[g] [BEG] [i.[
                                    400 [PV] [PMT] [g] [BEG] [n] Visor =>[g]
                                                [f] [REG] 3 [n] 3 [i] [PMT] 0
l                              3c                             4
Opção :              3              Juros Compostos
                1 - Juros Simples
                2 - Desconto Bancário
                3 - Juros Compostos



Cálculos Financeiros Gerais (Não Mexa !!!)
                   2           3           4
      1              (33.33)     -33.33%                                                 -
      2              #DIV/0!      #DIV/0!                                                -
      3              #NUM!      -100.00%                                                 -


Cálculos na HP 12C - Não Mexa Nunca !!!
    Juros           N          I                                                PV

                3 [n]                     3 [i]                      400 [PV]

N               [f] [REG] 3 [i] 400 [PV] 0 [PMT] [g] [BEG] [n] Visor => 0 . A HP aproxima o cálculo de n para o inteiro superior. S

I               [f] [REG] 3 [n] 400 [PV] 0 [PMT] [g] [BEG] [i] Visor => 0

PV              [f] [REG] 3 [n] 3 [i] 0 [PMT] [g] [BEG] [PV] Visor => 0

PMT             [f] [REG] 3 [n] 3 [i] 400 [PV] [g] [BEG] [PMT] Visor => -137.2933

FV              [f] [REG] 3 [n] 3 [i] 0 [PMT] 400 [PV] [g] [BEG] [FV] Visor => 0
xílio da matemática financeira

eja obter.
             Juros Compostos




                           Juros Compostos



                               PMT           FV        TIPO
                                  ?                          1

                               (137.29)                 Antec Tipo : 0 = postecipado, sem entrada
G] 3 [n] 3 [i] 400 [PV] [g] [BEG] [PMT] Visor => -137.2933
                                                                     1 = antecipado, com entrada
para a contagem de dias úteis).




                  4
      PMT             FV             TIPO
      Não existe      400 [ENTER] 0.03 [ENTER] 3 [x] 1 [+] [x] Visor => 0,000,000
      Não existe      400 [ENTER] 1 [ENTER] 0.03 [ENTER] 3 [x] [-] [/] Visor => 0,000
      [f] [REG] 3 [n] [f] [i] 400 [PV] [g][i] 0 [PMT] 400 [PV] => -137.2933 Visor => 0
                      3 [REG] 3 [n] 3 [BEG] [PMT] Visor [g] [BEG] [FV]
      fómula ==> [f] [REG] 3 [n] 3 [i] 400 [PV] [g] [BEG] [PMT] Visor => -137.2933
(Não Mexa !!!)




                           5                         6
                         Não tem                       (436.00)
                         Não tem                       (439.56)
                                (137.29)               (437.09)




                         PMT                        FV             TIPO

               0 [PMT]                                             [g] [BEG]

P aproxima o cálculo de n para o inteiro superior. Seu valor com quatro casas é igual a 0
Planilha CUSTOS.XLS
Gerenciando Custos e Preços com o Excel
Por Adriano Leal Bruni e Rubens Famá

CUSTOS.XLS: Análise de regressão aplicada
 Variável Independ. (X)   Variável Depend. (Y)   Para ajuste linear : Y = a + b.X
        Vendas                  Custos
         10.00                   5.40                        a=             3.8200
         25.00                   8.00                        b=             0.1660
         20.00                   7.00                       R=             0.9910
         15.00                   6.50                       R2 =           0.9820
                                                  Equação =        Y = 3.82 + 0.166.X , valor de R2 igual a 0.982


                                                 Estimativas
                                                 Para X :          Y estimado :
                                                      40                   10.4600




                                                 Para Y :          X estimado :
                                                      12                    48.7063
Análise de regressão e correlação: gráficos.
                                                                  Diagrama de Dispersão
                                                                      Modelo Linear
                                   10.00
                                    8.00    f(x) = 0.17x + 3.82
6.X , valor de R2 igual a 0.982             R² = 0.98
                                    6.00
                                    4.00
                                    2.00
                                    0.00
                                        8.00 10.00 12.00 14.00 16.00 18.00 20.00 22.00 24.00 26.00


                                                                  Diagrama de Dispersão
                                                                    Modelo Polinomial
                                   10.00
                                    8.00
                                    6.00
                                    4.00
                                    2.00
                                    0.00
                                        8.00 10.00 12.00 14.00 16.00 18.00 20.00 22.00 24.00 26.00

                                                                  Diagrama de Dispersão
                                                                     Modelo Potência
                                    10.00
                                     8.00
                                            f(x) = 2.1 x^0.41
                                            R² = 0.98
                                     6.00
                                     4.00
                                     2.00
                                     0.00
                                         8.00 10.00 12.00 14.00 16.00 18.00 20.00 22.00 24.00 26.00
ão                                                     Diagrama de Dispersão
                                                        Modelo Logarítmico
                          10.00
                           8.00
                                  f(x) = 2.7 log(x) - 0.85
                                  R² = 0.98
                           6.00
                           4.00
                           2.00
                           0.00
0.00 22.00 24.00 26.00         8.00 10.00 12.00 14.00 16.00 18.00 20.00 22.00 24.00 26.00


ão                                                     Diagrama de Dispersão
                                                        Modelo Exponencial
                          10.00
                           8.00   f(x) = 4.29·1.03^x
                                  R² = 0.97
                           6.00
                           4.00
                           2.00
                           0.00
0.00 22.00 24.00 26.00         8.00 10.00 12.00 14.00 16.00 18.00 20.00 22.00 24.00 26.00

são                                                     Diagrama de Dispersão
                                                           Média Móvel (3p)
                          10.00
                           8.00
                           6.00
                           4.00
                           2.00
                           0.00
20.00 22.00 24.00 26.00        8.00 10.00 12.00 14.00 16.00 18.00 20.00 22.00 24.00 26.00
Planilha CUSTOS.XLS
Gerenciando Custos e Preços com o Excel
Por Adriano Leal Bruni e Rubens Famá

CUSTOS.XLS: Autores do livro e da planilha.



         Adriano Leal Bruni, M.Sc.               Rubens Famá,
         E-Mail :    albruni@hotmail.com         E-Mail :
         Home-Page : http://albruni.tripod.com
Rubens Famá, D.Sc.
     rfama@usp.br
Planilha CUSTOS.XLS
Gerenciando Custos e Preços com o Excel
Por Adriano Leal Bruni e Rubens Famá

CUSTOS.XLS: Descrever
Custos v1

Custos v1

  • 1.
    Planilha CUSTOS.XLS Gerenciando Custose Preços com o Excel Por Adriano Leal Bruni e Rubens Famá Atenção : os modelos aqui apresentados destinam-se exclusivamente a dar suporte didático ao texto Gestão de Custos e Formação de Preços, publicado pela Editora Atlas. Embora os melhores esforços tenham sido colocados na sua elaboração, os autores e a editora não dão nenhum tipo de garantia, implícita ou explícita, sobre todo o material, incluindo modelos, textos, documentos e programas. Os autores e a editora não se responsabilizam por quaisquer incidentes ou danos decorrentes da compra, da performance ou do uso dos modelos, teorias e/ou exemplos apresentados no livro ou nesta planilha.
  • 2.
    S.XLS inam-se exclusivamente tos e Formação de Preços, ores esforços tenham sido editora não dão nenhum tipo o material, incluindo modelos, textos, ora não se responsabilizam por a compra, da performance ou do uso ados no livro ou nesta planilha.
  • 3.
    Planilha CUSTOS.XLS Gerenciando Custose Preços com o Excel Por Adriano Leal Bruni e Rubens Famá CUSTOS.XLS: Planilha Menu Descrição Total e Unitário Materiais Diretos Rateio Ponto de Equilíbrio Custo Volume Lucro Padrão Preços Ciclo de Vida Matemática Financeira Regressão Autores
  • 4.
    ilha CUSTOS.XLS do Custose Preços com o Excel Leal Bruni e Rubens Famá OS.XLS: Descrição dos modelos presentes na planilha Descrição Menu da planilha CUSTOS.XLS. Facilita a navegação e o uso dos modelos apresentados. Descreve os modelos presentes na planilha CUSTOS.XLS. Permite construir mapas de composição de custos totais e unitários. Facilita cálculos relativos à gestão de materiais, como a determinação do lote econômico de compra e dos gráficos relativos aos custos de estocagem, de pedidos e total. Possibilita a execução de rateio de gastos indiretos a diferentes produtos, empregando diversos critérios de rateio. Permite analisar o ponto de equilíbrio contábil e as margens de segurança de uma determinada situação. Facilita o estudo das relações entre custos, volumes e lucros, analisando os efeitos sobre gastos totais e unitários e lucros. Possibilita análises comprarativas empregando o conceito de custo padrão. Permite a composição rápida e fácil dos preços de venda, incluindo gastos, impostos e lucros desejados. Fornece os principais parâmetros financeiros, como o VPL e o VUL empregados na análise do custeio do ciclo de vida. Permite, de forma fácil, executar as principais operações da matemática financeira. Facilita os cálculos estatísticos necessários nas análises de regressão e correlação. Apresenta os autores do livro e da planilha.
  • 5.
    Planilha CUSTOS.XLS Gerenciando Custose Preços com o Excel Por Adriano Leal Bruni e Rubens Famá CUSTOS.XLS: Modelo geral de análise de custos Número de unidades = Descrição Total Receitas 15,000.00 Custos variáveis : Matéria-prima (2,000.00) Embalagem (3,000.00) Subtotal Custos Var (5,000.00) Custos fixos : Aluguel da fábrica (1,800.00) Subtotal Custos Fix (1,800.00) Subtotal Custos (6,800.00) Desp variáveis : Fretes de entrega (2,200.00) Subtotal Desp Var (2,200.00) Desp fixas : Aluguel do escritório (800.00) Subtotal Desp fixas (800.00) Subtotal Despesas (3,000.00) Total Gastos (9,800.00) Resultado 5,200.00 Cálculo da margem de contribuição Descrição Total Receitas 15,000.00 (-) Gastos variáveis (7,200.00) (=) Margem de contribuição 7,800.00
  • 6.
    500 Unitário 30.00 (4.00) (6.00) (10.00) (3.60) (3.60) (13.60) (4.40) (4.40) (1.60) (1.60) (6.00) (19.60) 10.40 Unitário 30.00 (14.40) 15.60
  • 7.
    Planilha CUSTOS.XLS Gerenciando Custose Preços com o Excel Por Adriano Leal Bruni e Rubens Famá CUSTOS.XLS: Análise de lotes econômicos de compra Dados fornecidos Variável Símbolo Valor Unidade Custo do pedido Cp 15.00 Custo de manutenção Ce 0.50 Demanda D 24,000.00 Análise de custos de pedido e estocagem Q Cte Ctp CT Cte - Ctp 374.17 93.54 962.14 1,055.68 (868.60) Variável de decisão Lote econômico: 1200.00 (Q, quantidade do pedido) Fórmulas dos custos Custo total de manutenção de estoques Cte = Ce x Q/2 Custo total dos pedidos Ctp = Cp x D/Q Custo total CT = Cte + Ctp Gráficos Step 150 Q Cte Ctp CT Cte - Ctp 3,000.00 150 37.50 2,400.00 2,437.50 (2,362.50) 300 75.00 1,200.00 1,275.00 (1,125.00) Cte Ctp CT 2,500.00 450 112.50 800.00 912.50 (687.50) 600 150.00 600.00 750.00 (450.00) 2,000.00 750 187.50 480.00 667.50 (292.50) 900 225.00 400.00 625.00 (175.00) 1,500.00 1050 262.50 342.86 605.36 (80.36) 1200 300.00 300.00 600.00 - 1,000.00 1350 337.50 266.67 604.17 70.83 1500 375.00 240.00 615.00 135.00 1650 412.50 218.18 630.68 194.32 500.00 1800 450.00 200.00 650.00 250.00 1950 487.50 184.62 672.12 302.88 - 2100 525.00 171.43 696.43 353.57 0 500 1000 Note no gráfico acima que, quando Ctp e C Gráfico de perfil de demanda Parâmetros iniciais Parâmetros do gráfico Demanda 1500 Step 0.06
  • 8.
    Q 375 Ponto mínimo 0 Est Inicial 375 Est Seg 0 Perfil de estoque 400.0 350.0 300.0 250.0 Quantidades 200.0 150.0 100.0 50.0 - - 0.20 0.40 0.60 0.80 1.00 1.20 Tempo Tempo Saídas Compras Subtotal Estoque Seg Estoque - 375.0 - 375.0 0.06 (93.8) - 281.3 - 281.3 0.13 (93.8) - 187.5 - 187.5 0.19 (93.8) - 93.8 - 93.8 0.25 (93.8) - - - - 0.25 - 375.0 375.0 - 375.0 0.31 (93.8) - 281.3 - 281.3 0.38 (93.8) - 187.5 - 187.5 0.44 (93.8) - 93.8 - 93.8 0.50 (93.8) - - - - 0.50 - 375.0 375.0 - 375.0 0.56 (93.8) - 281.3 - 281.3 0.63 (93.8) - 187.5 - 187.5 0.69 (93.8) - 93.8 - 93.8
  • 9.
    0.75 (93.8) - - - - 0.75 - 375.0 375.0 - 375.0 0.81 (93.8) - 281.3 - 281.3 0.88 (93.8) - 187.5 - 187.5 0.94 (93.8) - 93.8 - 93.8 1.00 (93.8) - - - - 1.00 - 375.0 375.0 - 375.0
  • 10.
    de compra Uma empresa industrial emprega uma única matéria-prima. Sabendo que a demanda mensal deste material é constan 24,000 unidades, que seu custo unitário de pedido é igual a 15.00 e que seu custo unitário de estocagem é igual a o lote econêmico de compra. 0.50 , calcule Uma empresa industrial emprega uma única matéria-prima. Sabendo que a demanda mensal deste material é constante e igu 1200 (868.60) 3,000.00 Cte Ctp CT 2,500.00 2,000.00 1,500.00 1,000.00 500.00 - 0 500 1000 1500 2000 2500 Note no gráfico acima que, quando Ctp e Cte se igualam, CT é mínimo. Resultados Estoque Médio (q) 187.50
  • 11.
    Número de ressuprimentos 4 Intervalo 0.25 0.80 1.00 1.20
  • 13.
    nsal deste materialé constante e igual a este material é constante e igual a 24000 unidades, que seu custo unitário de pedido é igual a 15e que seu custo unitário de estocagem é
  • 16.
    o unitário deestocagem é igual a 0.5 , calcule o lote econêmico de compra.
  • 19.
    Planilha CUSTOS.XLS Gerenciando Custose Preços com o Excel Por Adriano Leal Bruni e Rubens Famá CUSTOS.XLS: Rateio de custos fixos Produto Unidades Produto Descrição Alfa 40 Beta Total Unitário Total Receitas 15,000.00 375.00 15,000.00 Custos diretos Materiais diretos (2,000.00) (50.00) (3,000.00) Mão-de-obra direta (3,000.00) (75.00) (3,000.00) Subtotal Custos Diretos (5,000.00) (125.00) (6,000.00) Custos Indiretos Manutenção fabril (227.27) (5.68) (272.73) Salário supervisor (363.64) (9.09) (436.36) Depreciação fabril (409.09) (10.23) (490.91) Subtotal CIF (1,000.00) (25.00) (1,200.00) Subtotal Custos (6,000.00) (150.00) (7,200.00) Despesas diretas Fretes de entrega (1,400.00) (35.00) (800.00) Comissões de vendas (1,200.00) (30.00) (1,100.00) Subtotal Desp Var (2,600.00) (65.00) (1,900.00) Depesas indiretas Aluguel do escritório (636.36) (15.91) (763.64) Salário vendedores (409.09) (10.23) (490.91) Subtotal Desp fixas (1,045.45) (26.14) (1,254.55) Subtotal Despesas (3,645.45) (91.14) (3,154.55) Total Gastos (9,645.45) (241.14) (10,354.55) Resultado 5,354.55 133.86 4,645.45 Critério de Rateio (1 a 4) => 3 Alfa Beta Soma Total (5,000.00) (6,000.00) (11,000.00) Custos Diretos Percentual 45% 55% 100% Receitas 15,000.00 15,000.00 30,000.00 Gastos (9,645.45) (10,354.55) (20,000.00) Resultado 5,354.55 4,645.45 10,000.00 Outro critério de rateio : Horas máquina Total 500.00 400.00 900.00
  • 20.
    Unidades 30 Soma Unitário 500.00 30,000.00 (100.00) (5,000.00) (100.00) (6,000.00) (200.00) (11,000.00) (9.09) (500.00) (14.55) (800.00) (16.36) (900.00) (40.00) (2,200.00) (240.00) (13,200.00) (26.67) (2,200.00) (36.67) (2,300.00) 0.00 (63.33) (4,500.00) (25.45) (1,400.00) (16.36) (900.00) (41.82) (2,300.00) (105.15) (6,800.00) (345.15) (20,000.00) 154.85 10,000.00
  • 21.
    Planilha CUSTOS.XLS Gerenciando Custose Preços com o Excel Por Adriano Leal Bruni e Rubens Famá CUSTOS.XLS: Análise do ponto de equilíbrio contábil Descrição $ 120,000.00 GF GV GT Receita Gastos Fixos Totais 10,000.00 Gasto Variável Unitário 8.00 100,000.00 Preço de Venda Unitário 10.00 Vendas atuais (qtde) 32,000 80,000.00 Intervalo do gráfico 500 60,000.00 Ponto de Equlíbrio (q) 5,000 40,000.00 Ponto de Equlíbrio ($) 50,000.00 20,000.00 Margem Segurança (Qtde) 27,000.00 Margem Segurança ($) 270,000.00 - Margem Segurança (%) 84% 0 2000 4000 6000 8000 10000 Qtde. GF GV GT Receita 0 10,000.00 - 10,000.00 - 500 10,000.00 4,000.00 14,000.00 5,000.00 1000 10,000.00 8,000.00 18,000.00 10,000.00 1500 10,000.00 12,000.00 22,000.00 15,000.00 2000 10,000.00 16,000.00 26,000.00 20,000.00 2500 10,000.00 20,000.00 30,000.00 25,000.00 3000 10,000.00 24,000.00 34,000.00 30,000.00 3500 10,000.00 28,000.00 38,000.00 35,000.00 4000 10,000.00 32,000.00 42,000.00 40,000.00 4500 10,000.00 36,000.00 46,000.00 45,000.00 5000 10,000.00 40,000.00 50,000.00 50,000.00 5500 10,000.00 44,000.00 54,000.00 55,000.00 6000 10,000.00 48,000.00 58,000.00 60,000.00 6500 10,000.00 52,000.00 62,000.00 65,000.00 7000 10,000.00 56,000.00 66,000.00 70,000.00 7500 10,000.00 60,000.00 70,000.00 75,000.00 8000 10,000.00 64,000.00 74,000.00 80,000.00 8500 10,000.00 68,000.00 78,000.00 85,000.00 9000 10,000.00 72,000.00 82,000.00 90,000.00 9500 10,000.00 76,000.00 86,000.00 95,000.00 10000 10,000.00 80,000.00 90,000.00 100,000.00
  • 22.
    Receita 6000 8000 10000 12000
  • 23.
    Planilha CUSTOS.XLS Gerenciando Custose Preços com o Excel Por Adriano Leal Bruni e Rubens Famá CUSTOS.XLS: Análise de custos, volumes e lucros. Variação no Preço DRE Simplificado Total Unitário Total Qtde = 50,000 Qtde = Receita 1,000,000.00 20.00 1,100,000.00 (-) Gastos Totais 944,000.00 18.88 1,009,000.00 (-) Gastos Fixos 294,000.00 5.88 294,000.00 (-) Gastos Variáveis 650,000.00 13.00 715,000.00 (=) Lucro Operacional (s/ Desp fin) 56,000.00 1.12 91,000.00 (-) Despesas financeiras - - (=) Lucro Líquido 56,000.00 1.12 91,000.00 Grau de alavancagem operacional (GAo) 6.25 Grau de alavancagem financeira (GAf) 1.00 Grau de alavancagem combinada (GAc) 6.25 Ponto de Equilíbrio (q) 42,000.00 42,000 Ponto de Equilíbrio ($) 840,000.00 840,000.00 Margem Segurança (q) 8,000.00 13,000.00 Margem Segurança ($) 160,000.00 260,000.00 Margem Segurança (%) 16% 24% Análise das variações em $ e % DRE Simplificado Variação em $ Variação Total Unitário Total Receita 100,000.00 - 10.00% (-) Gastos Totais 65,000.00 (0.53) 6.89% (-) Gastos Fixos - (0.53) 0.00% (-) Gastos Variáveis 65,000.00 - 10.00% (=) Lucro Operacional (s/ Desp fin) 35,000.00 0.53 62.50% (-) Despesas financeiras - - #DIV/0! (=) Lucro Líquido 35,000.00 0.53 62.50%
  • 24.
    1 1 Unitário Total Unitário 55,000 Qtde = 45,000 20.00 900,000.00 20.00 18.35 879,000.00 19.53 5.35 294,000.00 6.53 13.00 585,000.00 13.00 1.65 21,000.00 0.47 - - - 1.65 21,000.00 0.47 42,000 840,000.00 3,000.00 60,000.00 7% em % Unitário 0.00% -2.83% -9.09% 0.00% 47.73% #DIV/0! 47.73%
  • 25.
    Planilha CUSTOS.XLS Gerenciando Custose Preços com o Excel Por Adriano Leal Bruni e Rubens Famá CUSTOS.XLS: Análise de custo padrão versus real Componentes Padrão Real Q Preço ($) Custo ($) Q Preço ($) Custo ($) Q Materiais 0.90 0.78 0.7020 0.8000 0.8000 0.6400 (0.1000) MOD 0.09 8.00 0.7200 0.1200 7.0000 0.8400 0.0300 CIF 0.85 1.00 0.8500 0.9000 0.9500 0.8550 0.0500 - - - - - - - - - - - - Soma 1.4220 1.4800 Legenda : variações favoráveis em azul, defavoráveis em vermelho.
  • 26.
    Diferença Preço ($) Custo($) 0.0200 (0.0620) (1.0000) 0.1200 (0.0500) 0.0050 - - - - - - - - 0.0580
  • 27.
    Planilha CUSTOS.XLS Gerenciando Custose Preços com o Excel Por Adriano Leal Bruni e Rubens Famá CUSTOS.XLS: Formação de preços Alíquota do ICMS 18% Alíquota do IPI 4% IPI integra a base de cálculo? (1=sim, 2=não) 1 sim Gasto dos produtos sem ICMS 800.00 Base para cálculo da substituição 8,000.00 Lucro a ser computado no valor dos produtos 3,690.67 Sem substituição tributária Valor dos produtos (gasto + lucro) 4,490.67 Valor dos produtos com ICMS (aplicação da fórmula) 5,524.94 Valor do IPI 221.00 Valor total da operação (preço) 5,745.94 Valor do ICMS 1,034.27 Lucro 3,690.67 Com substituição tributária Valor dos produtos (gasto + lucro) 4,490.67 Valor dos produtos com ICMS Normal (fórmula) 5,524.94 Valor do IPI 221.00 Valor subtotal da operação 5,745.94 Valor do ICMS Normal 1,034.27 Valor do ICMS Substituído 405.73 Valor do ICMS Total 1,440.00 Valor total da operação (preço) 6,151.67 Lucro 3,690.67
  • 28.
    Formar preços com lucroem % do preço de venda Sem substituição (0.04) Preço obtido: 60% 5,745.94 Com substituição 0.00 Preço obtido: 60% 6,151.67
  • 29.
    Planilha CUSTOS.XLS Gerenciando Custose Preços com o Excel Por Adriano Leal Bruni e Rubens Famá CUSTOS.XLS: Análise de custos do ciclo de vida - VPL e VUL Período Aquisição Analisada Parâmetros obtidos N Uni Duni Tê Lêlê K => 4.0% 4.0% 4.0% 4.0% VPL 0 (800.00) (500.00) (300.00) (850.00) VUL 1 600.00 300.00 100.00 700.00 TIR 2 400.00 400.00 400.00 400.00 3 200.00 200.00 500.00 200.00 4 50.00 5 6 7 8 9 10 11 12 13 14 15 16 17 18 19 20 21 22 23 24 25 26 27 28 29 30
  • 30.
    VPL e VUL Parâmetros obtidos Uni Duni Tê Lêlê 324.54 378.82 610.47 370.70 116.95 104.36 219.98 133.58 29% 41% 70% 32%
  • 32.
    Séries Não Uniformes Período Fluxos Taxa 4% 0 -800 1 500 VPL 488.25 2 400 3 300 Fórmula : P8 =VPL(P6;M8:M11)+M7 4 200 Note que o investimento inicial deve ser acrescentado fora da fórmula do VPL. Séries Não Uniformes Data Fluxos Taxa 4% 1/1/1999 -600 1/5/1999 500 XVPL #ADDIN? 3/12/1999 400 5/15/1999 300 Fórmula : P21 =XVPL(P19;M20:M24;L20:L24) 6/16/1999 200 Séries Não Uniformes Data Fluxos 1/1/1999 -550 1/5/1999 140 XTIR #ADDIN? 3/12/1999 150 5/15/1999 155 Fórmula : P32 =XTIR(M31:M35;L31:L35) 6/16/1999 160
  • 33.
    Planilha CUSTOS.XLS Gerenciando Custose Preços com o Excel Por Adriano Leal Bruni e Rubens Famá CUSTOS.XLS: Aplicações genéricas com auxílio da matemática finance Coloque um "?" no valor que deseja obter. Cálculos Financeiros Básicos Regime N I PV 3 3 3.0000% 400.00 Juros Compostos [f] [REG] 3 [n] 3 [i] 400 [PV] [g] [BEG] [PMT] Viso Operações na HP 12C : Equivalência de Taxas Taxa A Nper A Taxa B Nper B 8.0% 12 ? 1 151.82% Contagem de dias Início Fim Dias úteis Dias corridos 1/1/2001 6/5/2001 Lembre-se : os feriados devem estar abastecidos. Último feriado fornecido = 12/25/2002 Ok Primeiro feriado fornecido = 1/1/2001 Ok
  • 34.
    Relação de feriadosbancários (importante para a contagem de dias 1/1/2001 1/1/2002 2/26/2001 2/11/2002 2/27/2001 2/12/2002 4/13/2001 3/29/2002 4/21/2001 4/21/2002 5/1/2001 5/1/2002 6/14/2001 5/30/2002 9/7/2001 9/7/2002 10/12/2001 12/12/2002 11/2/2001 11/2/2002 11/15/2001 11/15/2002 12/25/2001 12/25/2002 N I PV JS 1 0 [ENTER] 400 [/] 1 [-] 3400 [/] 1 [-] 30.03 [ENTER]3 [x] 1 0 [ENTER] [/] [ENTER] 0,000,000 0,000,0 0 Visor => [/] Visor => D 2 1 [ENTER] 400 [ENTER]0 [ENTER] 1 [/] Visor3 [/] 0,000, 1 [ENTER] 400 [ENTER] [ENTER] 0.03 [EN 0 [/] [-] 0.03 0 [/] [-] => Visor JC 3 [f] [REG] 3 [i][f] [REG] 30[n] 400 [PV] 0 [PMT]0[g] [BEG] [i.[ 400 [PV] [PMT] [g] [BEG] [n] Visor =>[g] [f] [REG] 3 [n] 3 [i] [PMT] 0 l 3c 4
  • 35.
    Opção : 3 Juros Compostos 1 - Juros Simples 2 - Desconto Bancário 3 - Juros Compostos Cálculos Financeiros Gerais (Não Mexa !!!) 2 3 4 1 (33.33) -33.33% - 2 #DIV/0! #DIV/0! - 3 #NUM! -100.00% - Cálculos na HP 12C - Não Mexa Nunca !!! Juros N I PV 3 [n] 3 [i] 400 [PV] N [f] [REG] 3 [i] 400 [PV] 0 [PMT] [g] [BEG] [n] Visor => 0 . A HP aproxima o cálculo de n para o inteiro superior. S I [f] [REG] 3 [n] 400 [PV] 0 [PMT] [g] [BEG] [i] Visor => 0 PV [f] [REG] 3 [n] 3 [i] 0 [PMT] [g] [BEG] [PV] Visor => 0 PMT [f] [REG] 3 [n] 3 [i] 400 [PV] [g] [BEG] [PMT] Visor => -137.2933 FV [f] [REG] 3 [n] 3 [i] 0 [PMT] 400 [PV] [g] [BEG] [FV] Visor => 0
  • 36.
    xílio da matemáticafinanceira eja obter. Juros Compostos Juros Compostos PMT FV TIPO ? 1 (137.29) Antec Tipo : 0 = postecipado, sem entrada G] 3 [n] 3 [i] 400 [PV] [g] [BEG] [PMT] Visor => -137.2933 1 = antecipado, com entrada
  • 37.
    para a contagemde dias úteis). 4 PMT FV TIPO Não existe 400 [ENTER] 0.03 [ENTER] 3 [x] 1 [+] [x] Visor => 0,000,000 Não existe 400 [ENTER] 1 [ENTER] 0.03 [ENTER] 3 [x] [-] [/] Visor => 0,000 [f] [REG] 3 [n] [f] [i] 400 [PV] [g][i] 0 [PMT] 400 [PV] => -137.2933 Visor => 0 3 [REG] 3 [n] 3 [BEG] [PMT] Visor [g] [BEG] [FV] fómula ==> [f] [REG] 3 [n] 3 [i] 400 [PV] [g] [BEG] [PMT] Visor => -137.2933
  • 38.
    (Não Mexa !!!) 5 6 Não tem (436.00) Não tem (439.56) (137.29) (437.09) PMT FV TIPO 0 [PMT] [g] [BEG] P aproxima o cálculo de n para o inteiro superior. Seu valor com quatro casas é igual a 0
  • 39.
    Planilha CUSTOS.XLS Gerenciando Custose Preços com o Excel Por Adriano Leal Bruni e Rubens Famá CUSTOS.XLS: Análise de regressão aplicada Variável Independ. (X) Variável Depend. (Y) Para ajuste linear : Y = a + b.X Vendas Custos 10.00 5.40 a= 3.8200 25.00 8.00 b= 0.1660 20.00 7.00 R= 0.9910 15.00 6.50 R2 = 0.9820 Equação = Y = 3.82 + 0.166.X , valor de R2 igual a 0.982 Estimativas Para X : Y estimado : 40 10.4600 Para Y : X estimado : 12 48.7063
  • 40.
    Análise de regressãoe correlação: gráficos. Diagrama de Dispersão Modelo Linear 10.00 8.00 f(x) = 0.17x + 3.82 6.X , valor de R2 igual a 0.982 R² = 0.98 6.00 4.00 2.00 0.00 8.00 10.00 12.00 14.00 16.00 18.00 20.00 22.00 24.00 26.00 Diagrama de Dispersão Modelo Polinomial 10.00 8.00 6.00 4.00 2.00 0.00 8.00 10.00 12.00 14.00 16.00 18.00 20.00 22.00 24.00 26.00 Diagrama de Dispersão Modelo Potência 10.00 8.00 f(x) = 2.1 x^0.41 R² = 0.98 6.00 4.00 2.00 0.00 8.00 10.00 12.00 14.00 16.00 18.00 20.00 22.00 24.00 26.00
  • 41.
    ão Diagrama de Dispersão Modelo Logarítmico 10.00 8.00 f(x) = 2.7 log(x) - 0.85 R² = 0.98 6.00 4.00 2.00 0.00 0.00 22.00 24.00 26.00 8.00 10.00 12.00 14.00 16.00 18.00 20.00 22.00 24.00 26.00 ão Diagrama de Dispersão Modelo Exponencial 10.00 8.00 f(x) = 4.29·1.03^x R² = 0.97 6.00 4.00 2.00 0.00 0.00 22.00 24.00 26.00 8.00 10.00 12.00 14.00 16.00 18.00 20.00 22.00 24.00 26.00 são Diagrama de Dispersão Média Móvel (3p) 10.00 8.00 6.00 4.00 2.00 0.00 20.00 22.00 24.00 26.00 8.00 10.00 12.00 14.00 16.00 18.00 20.00 22.00 24.00 26.00
  • 42.
    Planilha CUSTOS.XLS Gerenciando Custose Preços com o Excel Por Adriano Leal Bruni e Rubens Famá CUSTOS.XLS: Autores do livro e da planilha. Adriano Leal Bruni, M.Sc. Rubens Famá, E-Mail : albruni@hotmail.com E-Mail : Home-Page : http://albruni.tripod.com
  • 43.
  • 44.
    Planilha CUSTOS.XLS Gerenciando Custose Preços com o Excel Por Adriano Leal Bruni e Rubens Famá CUSTOS.XLS: Descrever