Bifurcações de Codimensão Um
Elton Ribeiro da Cruz
Licenciando em Matemática
Orientadora:
Profa. Dra. Maria do Carmo Pacheco de Toledo Costa
Departamento de Ciências Exatas - DEX
UNIVERSIDADE FEDERAL DE LAVRAS
Elton (UFLA) Bifurcações 1 / 59
Introdução: Equações diferenciais
As equações diferenciais são importantes para as ciências, pois informam
como a variação de uma grandeza afeta outras grandezas relacionadas.
Elton (UFLA) Bifurcações 2 / 59
Introdução: Equações diferenciais
As equações diferenciais são importantes para as ciências, pois informam
como a variação de uma grandeza afeta outras grandezas relacionadas.
Aplicam-se na resolução de problemas nas áreas da Matemática e Física,
além dos domínios da Biologia e da Química, da Geografia, da Economia
e até mesmo na Música.
Elton (UFLA) Bifurcações 2 / 59
Introdução: Equações diferenciais
As equações diferenciais são importantes para as ciências, pois informam
como a variação de uma grandeza afeta outras grandezas relacionadas.
Aplicam-se na resolução de problemas nas áreas da Matemática e Física,
além dos domínios da Biologia e da Química, da Geografia, da Economia
e até mesmo na Música.
Geralmente, essas equações se apresentam em conjunto, formando um
sistema de equações diferenciais.
Elton (UFLA) Bifurcações 2 / 59
Foco deste trabalho
Sistemas dinâmicos que contêm uma única equação diferencial ordinária de
primeira ordem — sistema unidimensional — com variáveis contínuas e um
parâmetro.
Elton (UFLA) Bifurcações 3 / 59
Foco deste trabalho
Sistemas dinâmicos que contêm uma única equação diferencial ordinária de
primeira ordem — sistema unidimensional — com variáveis contínuas e um
parâmetro.
Objetivo principal
Estudar as bifurcações de codimensão um, que acontecem ao se variar o valor
de um único parâmetro do sistema unidimensional.
Elton (UFLA) Bifurcações 3 / 59
Equações diferenciais ordinárias de primeira ordem
Definição
Uma equação diferencial ordinária de primeira ordem é uma equação da forma
y = f(x,y), (1)
sendo f : U ⊂ R → R uma função dada, U um conjunto aberto, y = y(x) a
função incógnita e y =
dy
dx
sua derivada.
Elton (UFLA) Bifurcações 4 / 59
Equações diferenciais ordinárias de primeira ordem
Definição
Uma equação diferencial ordinária de primeira ordem é uma equação da forma
y = f(x,y), (1)
sendo f : U ⊂ R → R uma função dada, U um conjunto aberto, y = y(x) a
função incógnita e y =
dy
dx
sua derivada.
Definição (Linearidade)
A equação (1) é dita linear se a função f for linear nas variáveis y e y . Caso
contrário, a equação é dita não linear.
Elton (UFLA) Bifurcações 4 / 59
Exemplo (Modelo de Malthus)
A equação
dN
dt
= λN
é linear, pois a função f(N,t) = λN é linear na variável N.
Elton (UFLA) Bifurcações 5 / 59
Exemplo (Modelo de Malthus)
A equação
dN
dt
= λN
é linear, pois a função f(N,t) = λN é linear na variável N.
A constante λ é a taxa de crescimento (ou declínio) da população.
Elton (UFLA) Bifurcações 5 / 59
Exemplo (Modelo de Malthus)
A equação
dN
dt
= λN
é linear, pois a função f(N,t) = λN é linear na variável N.
A constante λ é a taxa de crescimento (ou declínio) da população.
O economista inglês Thomas Robert Malthus (1766-1834) propôs esse modelo
para descrever o crescimento de uma população N(t) em função do tempo t.
Elton (UFLA) Bifurcações 5 / 59
Exemplo (Modelo de Malthus)
A equação
dN
dt
= λN
é linear, pois a função f(N,t) = λN é linear na variável N.
A constante λ é a taxa de crescimento (ou declínio) da população.
O economista inglês Thomas Robert Malthus (1766-1834) propôs esse modelo
para descrever o crescimento de uma população N(t) em função do tempo t.
Exemplo
A equação
y =
x
y
é não linear, já que a função f(x,y) = xy−1 é não linear na variável y.
Elton (UFLA) Bifurcações 5 / 59
Solução de uma equação diferencial
Definição
Uma função y : I → R definida e diferenciável em um intervalo aberto I ⊂ R, é
uma solução da equação diferencial (1) no intervalo I se
y (x) = f(x,y(x)),
para todo x ∈ I e (x,y(x)) pertencente ao domínio de f.
Elton (UFLA) Bifurcações 6 / 59
Solução de uma equação diferencial
Definição
Uma função y : I → R definida e diferenciável em um intervalo aberto I ⊂ R, é
uma solução da equação diferencial (1) no intervalo I se
y (x) = f(x,y(x)),
para todo x ∈ I e (x,y(x)) pertencente ao domínio de f.
Definição
Se y : I → R é uma solução de y = f(x,y) e y(x0) = y0, dado (x0,y0)
pertencente ao domínio de f, diz-se que essa solução satisfaz a condição inicial
y(x0) = y0 ou, o problema de valor inicial,
y = f(x,y), y(x0) = y0. (2)
Elton (UFLA) Bifurcações 6 / 59
Exemplo
Encontre as soluções do modelo de Malthus
dN
dt
= λN.
Elton (UFLA) Bifurcações 7 / 59
Exemplo
Encontre as soluções do modelo de Malthus
dN
dt
= λN.
Essa equação pode ser resolvida facilmente usando o método das equações
diferenciais separáveis.
Elton (UFLA) Bifurcações 7 / 59
Assim, uma solução particular do modelo de Malthus é dada por
N(t) = N0eλt
,
que depende do sinal da constante λ, a taxa de crescimento (ou declínio) da
população N(t):
Elton (UFLA) Bifurcações 8 / 59
Assim, uma solução particular do modelo de Malthus é dada por
N(t) = N0eλt
,
que depende do sinal da constante λ, a taxa de crescimento (ou declínio) da
população N(t):
Se λ > 0, então a função N apresenta crescimento exponencial, de modo
que a população está aumentando;
Elton (UFLA) Bifurcações 8 / 59
Assim, uma solução particular do modelo de Malthus é dada por
N(t) = N0eλt
,
que depende do sinal da constante λ, a taxa de crescimento (ou declínio) da
população N(t):
Se λ > 0, então a função N apresenta crescimento exponencial, de modo
que a população está aumentando;
Se λ < 0, então a função N exibe decaimento exponencial, de modo que a
populaçao está diminuindo.
Elton (UFLA) Bifurcações 8 / 59
Soluções do modelo de Malthus, para C =
1
2
,1,2,3
λ = 1
Elton (UFLA) Bifurcações 9 / 59
Soluções do modelo de Malthus, para C =
1
2
,1,2,3
λ = −1
Elton (UFLA) Bifurcações 10 / 59
Exemplo
Resolva a equação diferencial
y =
x
y
, y = 0.
Elton (UFLA) Bifurcações 11 / 59
Exemplo
Resolva a equação diferencial
y =
x
y
, y = 0.
A equação dada possui a forma
y =
h(x)
g(y)
, g(y) = 0,
e é chamada de separável. Temos:
Elton (UFLA) Bifurcações 11 / 59
Exemplo
Resolva a equação diferencial
y =
x
y
, y = 0.
A equação dada possui a forma
y =
h(x)
g(y)
, g(y) = 0,
e é chamada de separável. Temos:
dy
dx
=
x
y
Elton (UFLA) Bifurcações 11 / 59
Exemplo
Resolva a equação diferencial
y =
x
y
, y = 0.
A equação dada possui a forma
y =
h(x)
g(y)
, g(y) = 0,
e é chamada de separável. Temos:
dy
dx
=
x
y
y dy = x dx
Elton (UFLA) Bifurcações 11 / 59
Exemplo
Resolva a equação diferencial
y =
x
y
, y = 0.
A equação dada possui a forma
y =
h(x)
g(y)
, g(y) = 0,
e é chamada de separável. Temos:
dy
dx
=
x
y
y dy = x dx
y2
= x2
+C,
Elton (UFLA) Bifurcações 11 / 59
Exemplo
Resolva a equação diferencial
y =
x
y
, y = 0.
A equação dada possui a forma
y =
h(x)
g(y)
, g(y) = 0,
e é chamada de separável. Temos:
dy
dx
=
x
y
y dy = x dx
y2
= x2
+C,
sendo C uma constante de integração.
Elton (UFLA) Bifurcações 11 / 59
Algumas soluções da equação diferencial y =
x
y
C = 1
C = −1
C = 0
C = −5
x
y
Elton (UFLA) Bifurcações 12 / 59
O pontilhado no eixo dos x é para mostrar que não há soluções passando por
pontos da forma (a,0).
Elton (UFLA) Bifurcações 13 / 59
Campo de direções
Um problema
Em geral, nem todas as equações diferenciais ordinárias de primeira ordem que
aparentam ser simples são resolvíveis de forma explícita.
Elton (UFLA) Bifurcações 14 / 59
Campo de direções
Um problema
Em geral, nem todas as equações diferenciais ordinárias de primeira ordem que
aparentam ser simples são resolvíveis de forma explícita.
Em muitas aplicações não é necessário conhecer a expressão algébrica das
soluções de uma equação diferencial, mas sim investigar as propriedades
geométricas de sua família de soluções.
Elton (UFLA) Bifurcações 14 / 59
Com uma análise geométrica da função f é possível extrair várias informações
importantes sobre as soluções de
y = f(x,y). (3)
Elton (UFLA) Bifurcações 15 / 59
Com uma análise geométrica da função f é possível extrair várias informações
importantes sobre as soluções de
y = f(x,y). (3)
Para cada ponto (x,y), no domínio de f, a reta tangente à solução de (3), que
passa por este ponto, tem uma inclinação dada por f(x,y). Em outras palavras,
as soluções da equação (3) são curvas cujas tangentes em cada ponto são
definidas por essas inclinações.
Elton (UFLA) Bifurcações 15 / 59
Definição
O campo de direções é um conjunto de vetores no plano cartesiano xy traçados
em cada ponto (x,y) com inclinação igual a f(x,y).
Elton (UFLA) Bifurcações 16 / 59
Definição
O campo de direções é um conjunto de vetores no plano cartesiano xy traçados
em cada ponto (x,y) com inclinação igual a f(x,y).
Como o campo de direções sugere um “padrão de fluxo” para a família de
curvas solução da equação diferencial (3), ele facilita o desenho de qualquer
solução em particular.
Elton (UFLA) Bifurcações 16 / 59
Exemplo
O campo de direções para o modelo de Malthus, para λ = 1 e λ = −1,
respectivamente:
Elton (UFLA) Bifurcações 17 / 59
Exemplo
Campo de direções da equação y = x/y e a solução do problema de valor
inicial y = x/y, y(3) = 2.
Elton (UFLA) Bifurcações 18 / 59
Retrato de fase
Vamos restringir nosso estudo às equações diferenciais ordinárias de primeira
ordem, na qual a variável independente não aparece explicitamente e que são
chamadas de equações autônomas.
Elton (UFLA) Bifurcações 19 / 59
Retrato de fase
Vamos restringir nosso estudo às equações diferenciais ordinárias de primeira
ordem, na qual a variável independente não aparece explicitamente e que são
chamadas de equações autônomas.
Definição
Uma equação diferencial ordinária de primeira ordem da forma
dy
dt
= f(y), (4)
sendo que a função f depende somente de y e não da variável independente t, é
chamada de equação autônoma. Caso contrário, a equação acima é dita não
autônoma.
Elton (UFLA) Bifurcações 19 / 59
Exemplo
O modelo de Malthus dado por
dN
dt
= λN
é uma equação autônoma, pois a função f depende apenas de N.
Elton (UFLA) Bifurcações 20 / 59
Exemplo
O modelo de Malthus dado por
dN
dt
= λN
é uma equação autônoma, pois a função f depende apenas de N.
Exemplo
A equação diferencial
dx
dt
= x2
−1
é autônoma, pois a função f depende apenas da variável x.
Elton (UFLA) Bifurcações 20 / 59
Exemplo
A equação diferencial
dy
dx
=
x
y
é não autônoma, pois a função f depende explicitamente da variável
independente x.
Elton (UFLA) Bifurcações 21 / 59
Definição (Solução de equilíbrio)
Se y∗ é um zero de f, isto é, f(y∗) = 0, então y(t) = y∗ é solução de (4) e é
chamada de solução de equilíbrio ou estacionária e o ponto y∗ é chamado de
ponto de equilíbrio, singularidade ou ponto crítico.
Elton (UFLA) Bifurcações 22 / 59
Definição (Solução de equilíbrio)
Se y∗ é um zero de f, isto é, f(y∗) = 0, então y(t) = y∗ é solução de (4) e é
chamada de solução de equilíbrio ou estacionária e o ponto y∗ é chamado de
ponto de equilíbrio, singularidade ou ponto crítico.
Do ponto de vista qualitativo é importante saber se esta solução de equilíbrio é
estável, ou seja, se uma pequena pertubação na posição de equilíbrio resultará
em um retorno ou em um afastamento desta posição.
Elton (UFLA) Bifurcações 22 / 59
Definição (Estabilidade)
Um ponto de equilíbrio y∗ é estável, se dado ε > 0, existe δ > 0, tal que para
|y0 −y∗| < δ, a solução do problema de valor inicial
dy
dt
= f(y), y(0) = y0
é tal que |y(t)−y∗| < ε para todo t 0. Um ponto de equilíbrio que não é
estável é chamado de instável.
Elton (UFLA) Bifurcações 23 / 59
Definição (Estabilidade)
Um ponto de equilíbrio y∗ é estável, se dado ε > 0, existe δ > 0, tal que para
|y0 −y∗| < δ, a solução do problema de valor inicial
dy
dt
= f(y), y(0) = y0
é tal que |y(t)−y∗| < ε para todo t 0. Um ponto de equilíbrio que não é
estável é chamado de instável.
Em outras palavras, todas as soluções que partem suficientemente próximas de
y∗ são definidas para todo t 0 e se mantém perto deste ponto.
Elton (UFLA) Bifurcações 23 / 59
Definição (Estabilidade)
Um ponto de equilíbrio y∗ é estável, se dado ε > 0, existe δ > 0, tal que para
|y0 −y∗| < δ, a solução do problema de valor inicial
dy
dt
= f(y), y(0) = y0
é tal que |y(t)−y∗| < ε para todo t 0. Um ponto de equilíbrio que não é
estável é chamado de instável.
Em outras palavras, todas as soluções que partem suficientemente próximas de
y∗ são definidas para todo t 0 e se mantém perto deste ponto.
Definição (Estabilidade assintótica)
Um ponto de equilíbrio y∗ é assintoticamente estável, se for estável e se existir
η > 0 tal que lim
t→∞
y(t) = y∗
quando |y0 −y∗| < η.
Elton (UFLA) Bifurcações 23 / 59
Teorema (da Estabilidade)
Seja y∗ um ponto de equilíbrio de (4) com f de classe C1, isto é, f é derivável e
sua derivada é contínua. Então f (y∗) < 0 implica que y∗ é assintoticamente
estável, e f (y∗) > 0 implica que y∗ é instável.
Elton (UFLA) Bifurcações 24 / 59
Teorema (da Estabilidade)
Seja y∗ um ponto de equilíbrio de (4) com f de classe C1, isto é, f é derivável e
sua derivada é contínua. Então f (y∗) < 0 implica que y∗ é assintoticamente
estável, e f (y∗) > 0 implica que y∗ é instável.
Demonstração:
Vamos analisar a variação de y(t)−y∗:
Elton (UFLA) Bifurcações 24 / 59
Teorema (da Estabilidade)
Seja y∗ um ponto de equilíbrio de (4) com f de classe C1, isto é, f é derivável e
sua derivada é contínua. Então f (y∗) < 0 implica que y∗ é assintoticamente
estável, e f (y∗) > 0 implica que y∗ é instável.
Demonstração:
Vamos analisar a variação de y(t)−y∗:
d
dt
(y(t)−y∗
)2
Elton (UFLA) Bifurcações 24 / 59
Teorema (da Estabilidade)
Seja y∗ um ponto de equilíbrio de (4) com f de classe C1, isto é, f é derivável e
sua derivada é contínua. Então f (y∗) < 0 implica que y∗ é assintoticamente
estável, e f (y∗) > 0 implica que y∗ é instável.
Demonstração:
Vamos analisar a variação de y(t)−y∗:
d
dt
(y(t)−y∗
)2
= 2(y(t)−y∗
)
dy
dt
Elton (UFLA) Bifurcações 24 / 59
Teorema (da Estabilidade)
Seja y∗ um ponto de equilíbrio de (4) com f de classe C1, isto é, f é derivável e
sua derivada é contínua. Então f (y∗) < 0 implica que y∗ é assintoticamente
estável, e f (y∗) > 0 implica que y∗ é instável.
Demonstração:
Vamos analisar a variação de y(t)−y∗:
d
dt
(y(t)−y∗
)2
= 2(y(t)−y∗
)
dy
dt
= 2(y(t)−y∗
)f(y(t)).
Elton (UFLA) Bifurcações 24 / 59
Teorema (da Estabilidade)
Seja y∗ um ponto de equilíbrio de (4) com f de classe C1, isto é, f é derivável e
sua derivada é contínua. Então f (y∗) < 0 implica que y∗ é assintoticamente
estável, e f (y∗) > 0 implica que y∗ é instável.
Demonstração:
Vamos analisar a variação de y(t)−y∗:
d
dt
(y(t)−y∗
)2
= 2(y(t)−y∗
)
dy
dt
= 2(y(t)−y∗
)f(y(t)).
Pelo Teorema do Valor Médio temos que
f (ξ(t)) =
f(y(t))−f(y∗)
y(t)−y∗
, (5)
Elton (UFLA) Bifurcações 24 / 59
Teorema (da Estabilidade)
Seja y∗ um ponto de equilíbrio de (4) com f de classe C1, isto é, f é derivável e
sua derivada é contínua. Então f (y∗) < 0 implica que y∗ é assintoticamente
estável, e f (y∗) > 0 implica que y∗ é instável.
Demonstração:
Vamos analisar a variação de y(t)−y∗:
d
dt
(y(t)−y∗
)2
= 2(y(t)−y∗
)
dy
dt
= 2(y(t)−y∗
)f(y(t)).
Pelo Teorema do Valor Médio temos que
f (ξ(t)) =
f(y(t))−f(y∗)
y(t)−y∗
, (5)
para ξ(t) um valor entre y(t) e y∗.
Elton (UFLA) Bifurcações 24 / 59
Logo, multiplicando a equação (5) por 2(y(t)−y∗)2 temos
2(y(t)−y∗
)[f(y(t))−f(y∗
)] = 2(y(t)−y∗
)2
f (ξ(t)),
Elton (UFLA) Bifurcações 25 / 59
Logo, multiplicando a equação (5) por 2(y(t)−y∗)2 temos
2(y(t)−y∗
)[f(y(t))−f(y∗
)] = 2(y(t)−y∗
)2
f (ξ(t)),
ou seja,
2(y(t)−y∗
)f(y(t)) = 2(y(t)−y∗
)2
f (ξ(t)),
pois f(y∗) = 0.
Elton (UFLA) Bifurcações 25 / 59
Logo, multiplicando a equação (5) por 2(y(t)−y∗)2 temos
2(y(t)−y∗
)[f(y(t))−f(y∗
)] = 2(y(t)−y∗
)2
f (ξ(t)),
ou seja,
2(y(t)−y∗
)f(y(t)) = 2(y(t)−y∗
)2
f (ξ(t)),
pois f(y∗) = 0.
Assim, se f (y∗) < 0, pela continuidade de f existem η > 0 e δ > 0 tal que se
|y−y∗| < δ então f (y) < −η < 0.
Elton (UFLA) Bifurcações 25 / 59
Logo, se para algum t0, a solução y(t) de (4) é tal que |y(t0)−y∗| < δ, segue
que α(t) definido como (y(t)−y∗)2 é decrescente para t t0.
Elton (UFLA) Bifurcações 26 / 59
Logo, se para algum t0, a solução y(t) de (4) é tal que |y(t0)−y∗| < δ, segue
que α(t) definido como (y(t)−y∗)2 é decrescente para t t0.
Além disso, temos
d
dt
α(t) −ηα(t) para t t0.
Elton (UFLA) Bifurcações 26 / 59
Logo, se para algum t0, a solução y(t) de (4) é tal que |y(t0)−y∗| < δ, segue
que α(t) definido como (y(t)−y∗)2 é decrescente para t t0.
Além disso, temos
d
dt
α(t) −ηα(t) para t t0.
Logo α(t) Ce−ηt, o que implica que y(t) tende a y∗ quando t → ∞.
Elton (UFLA) Bifurcações 26 / 59
Logo, se para algum t0, a solução y(t) de (4) é tal que |y(t0)−y∗| < δ, segue
que α(t) definido como (y(t)−y∗)2 é decrescente para t t0.
Além disso, temos
d
dt
α(t) −ηα(t) para t t0.
Logo α(t) Ce−ηt, o que implica que y(t) tende a y∗ quando t → ∞.
Quando f (y∗) > 0, faz-se um raciocínio análogo.
Elton (UFLA) Bifurcações 26 / 59
Monteiro (2002) apresenta um procedimento para representar os pontos de
equilíbrio da equação (4):
Elton (UFLA) Bifurcações 27 / 59
Monteiro (2002) apresenta um procedimento para representar os pontos de
equilíbrio da equação (4):
Trace o eixo y;
Elton (UFLA) Bifurcações 27 / 59
Monteiro (2002) apresenta um procedimento para representar os pontos de
equilíbrio da equação (4):
Trace o eixo y;
Marque o ponto de equilíbrio y∗;
Elton (UFLA) Bifurcações 27 / 59
Monteiro (2002) apresenta um procedimento para representar os pontos de
equilíbrio da equação (4):
Trace o eixo y;
Marque o ponto de equilíbrio y∗;
Se f(y) > 0, desenhe flechas apontando para a direita, no sentido em que y
cresce, já que nesse caso, dy/dt > 0;
Elton (UFLA) Bifurcações 27 / 59
Monteiro (2002) apresenta um procedimento para representar os pontos de
equilíbrio da equação (4):
Trace o eixo y;
Marque o ponto de equilíbrio y∗;
Se f(y) > 0, desenhe flechas apontando para a direita, no sentido em que y
cresce, já que nesse caso, dy/dt > 0;
Se f(y) < 0, desenhe flechas apontando para a esquerda, no sentido em
que y decresce, já que nesse caso, dy/dt < 0;
Elton (UFLA) Bifurcações 27 / 59
Monteiro (2002) apresenta um procedimento para representar os pontos de
equilíbrio da equação (4):
Trace o eixo y;
Marque o ponto de equilíbrio y∗;
Se f(y) > 0, desenhe flechas apontando para a direita, no sentido em que y
cresce, já que nesse caso, dy/dt > 0;
Se f(y) < 0, desenhe flechas apontando para a esquerda, no sentido em
que y decresce, já que nesse caso, dy/dt < 0;
Se as flechas chegam ao ponto de equilíbrio, ele é assintoticamente estável
e é representado por uma bolinha cheia;
Elton (UFLA) Bifurcações 27 / 59
Monteiro (2002) apresenta um procedimento para representar os pontos de
equilíbrio da equação (4):
Trace o eixo y;
Marque o ponto de equilíbrio y∗;
Se f(y) > 0, desenhe flechas apontando para a direita, no sentido em que y
cresce, já que nesse caso, dy/dt > 0;
Se f(y) < 0, desenhe flechas apontando para a esquerda, no sentido em
que y decresce, já que nesse caso, dy/dt < 0;
Se as flechas chegam ao ponto de equilíbrio, ele é assintoticamente estável
e é representado por uma bolinha cheia;
Se as flechas se afastam do ponto de equilíbrio, ele é instável e é
representado por uma bolinha vazia.
Elton (UFLA) Bifurcações 27 / 59
Exemplo
Analise a estabilidade dos pontos de equilíbrio para o modelo de Malthus
dN
dt
= λN = f(N). (6)
Elton (UFLA) Bifurcações 28 / 59
Exemplo
Analise a estabilidade dos pontos de equilíbrio para o modelo de Malthus
dN
dt
= λN = f(N). (6)
Primeiramente, vamos encontrar os pontos de equilíbrio, fazendo
dN
dt
= 0.
Elton (UFLA) Bifurcações 28 / 59
Exemplo
Analise a estabilidade dos pontos de equilíbrio para o modelo de Malthus
dN
dt
= λN = f(N). (6)
Primeiramente, vamos encontrar os pontos de equilíbrio, fazendo
dN
dt
= 0.
Elton (UFLA) Bifurcações 28 / 59
Exemplo
Analise a estabilidade dos pontos de equilíbrio para o modelo de Malthus
dN
dt
= λN = f(N). (6)
Primeiramente, vamos encontrar os pontos de equilíbrio, fazendo
dN
dt
= 0.
Desse modo, obtemos
N∗
= 0.
Elton (UFLA) Bifurcações 28 / 59
Exemplo
Analise a estabilidade dos pontos de equilíbrio para o modelo de Malthus
dN
dt
= λN = f(N). (6)
Primeiramente, vamos encontrar os pontos de equilíbrio, fazendo
dN
dt
= 0.
Desse modo, obtemos
N∗
= 0.
Elton (UFLA) Bifurcações 28 / 59
Exemplo
Analise a estabilidade dos pontos de equilíbrio para o modelo de Malthus
dN
dt
= λN = f(N). (6)
Primeiramente, vamos encontrar os pontos de equilíbrio, fazendo
dN
dt
= 0.
Desse modo, obtemos
N∗
= 0.
Consideremos a função f(N) dado pelo segundo membro da equação (6):
f(N) = λN.
Elton (UFLA) Bifurcações 28 / 59
Exemplo
Analise a estabilidade dos pontos de equilíbrio para o modelo de Malthus
dN
dt
= λN = f(N). (6)
Primeiramente, vamos encontrar os pontos de equilíbrio, fazendo
dN
dt
= 0.
Desse modo, obtemos
N∗
= 0.
Consideremos a função f(N) dado pelo segundo membro da equação (6):
f(N) = λN.
Elton (UFLA) Bifurcações 28 / 59
Suponhamos que λ > 0. Desse modo, obtemos o seguinte gráfico de f(N):
Elton (UFLA) Bifurcações 29 / 59
Suponhamos que λ > 0. Desse modo, obtemos o seguinte gráfico de f(N):
0 N
f(N)
Elton (UFLA) Bifurcações 29 / 59
Suponhamos que λ > 0. Desse modo, obtemos o seguinte gráfico de f(N):
0 N
f(N)
A figura a seguir é chamada de retrato de fase, também conhecido como linha
de fase (para uma dimensão). O ponto crítico N∗ = 0 é instável.
Retrato de fase do modelo de Malthus para λ > 0
0 N
Elton (UFLA) Bifurcações 29 / 59
Suponhamos que λ > 0. Desse modo, obtemos o seguinte gráfico de f(N):
0 N
f(N)
A figura a seguir é chamada de retrato de fase, também conhecido como linha
de fase (para uma dimensão). O ponto crítico N∗ = 0 é instável.
Retrato de fase do modelo de Malthus para λ > 0
0 N
Observemos também que f (N∗) = λ > 0, logo pelo Teorema da estabilidade
N∗ = 0 é instável.
Elton (UFLA) Bifurcações 29 / 59
Campo de direções para o modelo de Malthus, para λ = 1
Elton (UFLA) Bifurcações 30 / 59
Agora consideremos λ < 0. Assim, obtemos o seguinte gráfico de f(N):
Elton (UFLA) Bifurcações 31 / 59
Agora consideremos λ < 0. Assim, obtemos o seguinte gráfico de f(N):
0 N
f(N)
Elton (UFLA) Bifurcações 31 / 59
Agora consideremos λ < 0. Assim, obtemos o seguinte gráfico de f(N):
0 N
f(N)
O ponto crítico N∗ = 0 é assintoticamente estável.
Retrato de fase do modelo de Malthus para λ < 0
0 N
Elton (UFLA) Bifurcações 31 / 59
Agora consideremos λ < 0. Assim, obtemos o seguinte gráfico de f(N):
0 N
f(N)
O ponto crítico N∗ = 0 é assintoticamente estável.
Retrato de fase do modelo de Malthus para λ < 0
0 N
Observemos também que f (N∗) = λ < 0, logo pelo Teorema da estabilidade
N∗ = 0 é assintoticamente estável.
Elton (UFLA) Bifurcações 31 / 59
Campo de direções para o modelo de Malthus, para λ = −1
Elton (UFLA) Bifurcações 32 / 59
Exemplo
Analise a estabilidade dos pontos de equilíbrio da equação
dx
dt
= x2
−1.
Elton (UFLA) Bifurcações 33 / 59
Exemplo
Analise a estabilidade dos pontos de equilíbrio da equação
dx
dt
= x2
−1.
Para encontrarmos os pontos de equilíbrio, basta calcular as raízes da equação
x2
−1 = 0.
Elton (UFLA) Bifurcações 33 / 59
Exemplo
Analise a estabilidade dos pontos de equilíbrio da equação
dx
dt
= x2
−1.
Para encontrarmos os pontos de equilíbrio, basta calcular as raízes da equação
x2
−1 = 0.
Elton (UFLA) Bifurcações 33 / 59
Exemplo
Analise a estabilidade dos pontos de equilíbrio da equação
dx
dt
= x2
−1.
Para encontrarmos os pontos de equilíbrio, basta calcular as raízes da equação
x2
−1 = 0.
Logo, temos dois pontos de equilíbrio: x∗
1 = −1 e x∗
2 = 1. Se o valor de x for
menor que −1, f(x) = x2 −1 é positivo, para x compreendido entre −1 e 1, f(x)
é negativo. Por fim, se x for maior que 1, f(x) é positivo.
Elton (UFLA) Bifurcações 33 / 59
Exemplo
Analise a estabilidade dos pontos de equilíbrio da equação
dx
dt
= x2
−1.
Para encontrarmos os pontos de equilíbrio, basta calcular as raízes da equação
x2
−1 = 0.
Logo, temos dois pontos de equilíbrio: x∗
1 = −1 e x∗
2 = 1. Se o valor de x for
menor que −1, f(x) = x2 −1 é positivo, para x compreendido entre −1 e 1, f(x)
é negativo. Por fim, se x for maior que 1, f(x) é positivo.
Elton (UFLA) Bifurcações 33 / 59
Exemplo
Analise a estabilidade dos pontos de equilíbrio da equação
dx
dt
= x2
−1.
Para encontrarmos os pontos de equilíbrio, basta calcular as raízes da equação
x2
−1 = 0.
Logo, temos dois pontos de equilíbrio: x∗
1 = −1 e x∗
2 = 1. Se o valor de x for
menor que −1, f(x) = x2 −1 é positivo, para x compreendido entre −1 e 1, f(x)
é negativo. Por fim, se x for maior que 1, f(x) é positivo.
Linha de fase da equação
dx
dt
= x2 −1
−1 0 1 x
Elton (UFLA) Bifurcações 33 / 59
Pelo Teorema da estabilidade, também temos que x∗
1 = −1 é assintoticamente
estável e x∗
2 = 1 é instável, pois f (−1) = −2 < 0 e f (1) = 2 > 0.
Elton (UFLA) Bifurcações 34 / 59
Pelo Teorema da estabilidade, também temos que x∗
1 = −1 é assintoticamente
estável e x∗
2 = 1 é instável, pois f (−1) = −2 < 0 e f (1) = 2 > 0.
Campo de direções da equação
dx
dt
= x2 −1
Elton (UFLA) Bifurcações 34 / 59
Bifurcação
Consideremos as equações diferenciais lineares autônomas de primeira ordem
que dependem de um parâmetro µ, isto é, equações da forma
dx
dt
= fµ(x), (7)
sendo x ∈ R e µ ∈ R e vamos estudar se ocorre uma mudança qualitativa no
seu retrato de fase ao se variar o valor do parâmetro µ em torno de um valor
crítico µc.
Elton (UFLA) Bifurcações 35 / 59
Bifurcação
Consideremos as equações diferenciais lineares autônomas de primeira ordem
que dependem de um parâmetro µ, isto é, equações da forma
dx
dt
= fµ(x), (7)
sendo x ∈ R e µ ∈ R e vamos estudar se ocorre uma mudança qualitativa no
seu retrato de fase ao se variar o valor do parâmetro µ em torno de um valor
crítico µc.
O retrato de fase desta equação depende do valor de µ. Ao se variar o valor
desse parâmetro, podem-se criar ou destruir pontos de equilíbrio e alterar suas
estabilidades.
Elton (UFLA) Bifurcações 35 / 59
Segundo Monteiro (2006), o termo bifurcação, introduzido pelo matemático
francês Jules-Henri Poincaré (1854-1912) em 1885, refere-se a mudança
qualitativa do retrato de fases de um sistema dinâmico, conforme algum
parâmetro do sistema passa por um valor crítico.
Elton (UFLA) Bifurcações 36 / 59
Segundo Monteiro (2006), o termo bifurcação, introduzido pelo matemático
francês Jules-Henri Poincaré (1854-1912) em 1885, refere-se a mudança
qualitativa do retrato de fases de um sistema dinâmico, conforme algum
parâmetro do sistema passa por um valor crítico.
A codimensão de uma bifurcação é o número de parâmetros cujos valores são
variados a fim de se produzir a bifurcação em questão.
Elton (UFLA) Bifurcações 36 / 59
Segundo Monteiro (2006), o termo bifurcação, introduzido pelo matemático
francês Jules-Henri Poincaré (1854-1912) em 1885, refere-se a mudança
qualitativa do retrato de fases de um sistema dinâmico, conforme algum
parâmetro do sistema passa por um valor crítico.
A codimensão de uma bifurcação é o número de parâmetros cujos valores são
variados a fim de se produzir a bifurcação em questão.
Bifurcações que ocorrem em sistemas unidimensionais do tipo (7):
Elton (UFLA) Bifurcações 36 / 59
Segundo Monteiro (2006), o termo bifurcação, introduzido pelo matemático
francês Jules-Henri Poincaré (1854-1912) em 1885, refere-se a mudança
qualitativa do retrato de fases de um sistema dinâmico, conforme algum
parâmetro do sistema passa por um valor crítico.
A codimensão de uma bifurcação é o número de parâmetros cujos valores são
variados a fim de se produzir a bifurcação em questão.
Bifurcações que ocorrem em sistemas unidimensionais do tipo (7):
Bifurcação sela-nó
Elton (UFLA) Bifurcações 36 / 59
Segundo Monteiro (2006), o termo bifurcação, introduzido pelo matemático
francês Jules-Henri Poincaré (1854-1912) em 1885, refere-se a mudança
qualitativa do retrato de fases de um sistema dinâmico, conforme algum
parâmetro do sistema passa por um valor crítico.
A codimensão de uma bifurcação é o número de parâmetros cujos valores são
variados a fim de se produzir a bifurcação em questão.
Bifurcações que ocorrem em sistemas unidimensionais do tipo (7):
Bifurcação sela-nó
Bifurcação transcrítica
Elton (UFLA) Bifurcações 36 / 59
Segundo Monteiro (2006), o termo bifurcação, introduzido pelo matemático
francês Jules-Henri Poincaré (1854-1912) em 1885, refere-se a mudança
qualitativa do retrato de fases de um sistema dinâmico, conforme algum
parâmetro do sistema passa por um valor crítico.
A codimensão de uma bifurcação é o número de parâmetros cujos valores são
variados a fim de se produzir a bifurcação em questão.
Bifurcações que ocorrem em sistemas unidimensionais do tipo (7):
Bifurcação sela-nó
Bifurcação transcrítica
Bifurcação de forquilha
Elton (UFLA) Bifurcações 36 / 59
Bifurcação sela-nó
Ocorre quando um par de pontos de equilíbrio com estabilidades opostas é
criado ou destruído ao variarmos um parâmetro. É também conhecida como
bifurcação tangente ou bifurcação de dobra (WITKOWSKI FILHO, 2006,
p. 9).
Elton (UFLA) Bifurcações 37 / 59
Exemplo
Seja a equação diferencial
dx
dt
= fµ(x) = µ +x2
,
sendo µ ∈ R um parâmetro.
Elton (UFLA) Bifurcações 38 / 59
Exemplo
Seja a equação diferencial
dx
dt
= fµ(x) = µ +x2
,
sendo µ ∈ R um parâmetro.
Se µ 0 esta equação possui duas singularidades:
x∗
1 = −
√
−µ e x∗
2 =
√
−µ.
Elton (UFLA) Bifurcações 38 / 59
Exemplo
Seja a equação diferencial
dx
dt
= fµ(x) = µ +x2
,
sendo µ ∈ R um parâmetro.
Se µ 0 esta equação possui duas singularidades:
x∗
1 = −
√
−µ e x∗
2 =
√
−µ.
Elton (UFLA) Bifurcações 38 / 59
Exemplo
Seja a equação diferencial
dx
dt
= fµ(x) = µ +x2
,
sendo µ ∈ R um parâmetro.
Se µ 0 esta equação possui duas singularidades:
x∗
1 = −
√
−µ e x∗
2 =
√
−µ.
Elton (UFLA) Bifurcações 38 / 59
A estabilidade das singularidades é obtida através do sinal de dfµ/dx calculado
em x∗.
Elton (UFLA) Bifurcações 39 / 59
A estabilidade das singularidades é obtida através do sinal de dfµ/dx calculado
em x∗.
Para x∗
1 = −
√
−µ tem-se
dfµ(x)
dx x = x∗
1
= −2
√
−µ,
que é um número negativo para µ < 0 e para x∗
2 =
√
−µ tem-se
dfµ(x)
dx x = x∗
2
= 2
√
−µ,
que é um número positivo para µ < 0.
Elton (UFLA) Bifurcações 39 / 59
A estabilidade das singularidades é obtida através do sinal de dfµ/dx calculado
em x∗.
Para x∗
1 = −
√
−µ tem-se
dfµ(x)
dx x = x∗
1
= −2
√
−µ,
que é um número negativo para µ < 0 e para x∗
2 =
√
−µ tem-se
dfµ(x)
dx x = x∗
2
= 2
√
−µ,
que é um número positivo para µ < 0.
Elton (UFLA) Bifurcações 39 / 59
A estabilidade das singularidades é obtida através do sinal de dfµ/dx calculado
em x∗.
Para x∗
1 = −
√
−µ tem-se
dfµ(x)
dx x = x∗
1
= −2
√
−µ,
que é um número negativo para µ < 0 e para x∗
2 =
√
−µ tem-se
dfµ(x)
dx x = x∗
2
= 2
√
−µ,
que é um número positivo para µ < 0.
Elton (UFLA) Bifurcações 39 / 59
Observando o retrato de fase de fµ, tem-se que x∗
1 é assintoticamente estável e
x∗
2 é instável.
x
fµ (x)
−
√
−µ
√
−µ
Elton (UFLA) Bifurcações 40 / 59
Observando o retrato de fase de fµ, tem-se que x∗
1 é assintoticamente estável e
x∗
2 é instável.
x
fµ (x)
−
√
−µ
√
−µ
No caso em que µ > 0 não temos pontos fixos no retrato de fase.
Elton (UFLA) Bifurcações 40 / 59
Observando o retrato de fase de fµ, tem-se que x∗
1 é assintoticamente estável e
x∗
2 é instável.
x
fµ (x)
−
√
−µ
√
−µ
No caso em que µ > 0 não temos pontos fixos no retrato de fase.
Conforme variamos o parâmetro µ, a aparência do campo de direções e do
retrato de fase também se altera.
Elton (UFLA) Bifurcações 40 / 59
Campo de direções de fµ para µ = −1:
Elton (UFLA) Bifurcações 41 / 59
Campo de direções de fµ para µ = 0:
Elton (UFLA) Bifurcações 42 / 59
Campo de direções de fµ para µ = 1:
Elton (UFLA) Bifurcações 43 / 59
Para µ = −1, obtemos esta linha de fase:
−1 0 1 x
Elton (UFLA) Bifurcações 44 / 59
Para µ = −1, obtemos esta linha de fase:
−1 0 1 x
Para µ = 0, a figura abaixo ilustra a seguinte linha de fase:
0 x
Elton (UFLA) Bifurcações 44 / 59
Para µ = −1, obtemos esta linha de fase:
−1 0 1 x
Para µ = 0, a figura abaixo ilustra a seguinte linha de fase:
0 x
E finalmente, para µ = 1, a linha de fase mostra que não temos pontos de
equilíbrio.
0 x
Elton (UFLA) Bifurcações 44 / 59
Junto com o esboço do retrato de fase podemos representar como as soluções
de equilíbrio variam em função do parâmetro µ construindo o diagrama de
bifurcação. Nesse diagrama, representamos as variações do valor e da
estabilidade de cada ponto fixo x∗ em função de µ. A solução assintoticamente
estável está representada por uma linha contínua e a solução instável, por uma
linha tracejada e as retas com setas, traçadas para determinados valores de µ,
correspondem aos retratos de fase.
Elton (UFLA) Bifurcações 45 / 59
Junto com o esboço do retrato de fase podemos representar como as soluções
de equilíbrio variam em função do parâmetro µ construindo o diagrama de
bifurcação. Nesse diagrama, representamos as variações do valor e da
estabilidade de cada ponto fixo x∗ em função de µ. A solução assintoticamente
estável está representada por uma linha contínua e a solução instável, por uma
linha tracejada e as retas com setas, traçadas para determinados valores de µ,
correspondem aos retratos de fase.
Observemos que um retrato de fase para µ < 0 é qualitativamente diferente
daquele para µ > 0. Para µ < 0 existe um par com estabilidades contrárias e,
para µ > 0, não há ponto de equilíbrio. O ponto (x∗,µc) = (0,0) é o ponto de
bifurcação.
Elton (UFLA) Bifurcações 45 / 59
Junto com o esboço do retrato de fase podemos representar como as soluções
de equilíbrio variam em função do parâmetro µ construindo o diagrama de
bifurcação. Nesse diagrama, representamos as variações do valor e da
estabilidade de cada ponto fixo x∗ em função de µ. A solução assintoticamente
estável está representada por uma linha contínua e a solução instável, por uma
linha tracejada e as retas com setas, traçadas para determinados valores de µ,
correspondem aos retratos de fase.
Observemos que um retrato de fase para µ < 0 é qualitativamente diferente
daquele para µ > 0. Para µ < 0 existe um par com estabilidades contrárias e,
para µ > 0, não há ponto de equilíbrio. O ponto (x∗,µc) = (0,0) é o ponto de
bifurcação.
Observemos também que conforme se aumenta o valor do parâmetro, o par de
pontos de equilíbrio desaparece.
Elton (UFLA) Bifurcações 45 / 59
Diagrama de bifurcação de
dx
dt
= µ +x2
0 µ
x∗
solução instável
solução assintoticamente estável
Elton (UFLA) Bifurcações 46 / 59
Bifurcação transcrítica
Acontece quando para qualquer valor do parâmetro µ existem dois pontos de
equilíbrio e a estabilidade desses pontos são trocadas quando o parâmetro passa
por um valor crítico.
Elton (UFLA) Bifurcações 47 / 59
Exemplo
Seja a equação diferencial
dx
dt
= fµ(x) = µx+x2
.
Elton (UFLA) Bifurcações 48 / 59
Exemplo
Seja a equação diferencial
dx
dt
= fµ(x) = µx+x2
.
Os pontos de equilíbrio são obtidos de fµ(x) = 0:
Elton (UFLA) Bifurcações 48 / 59
Exemplo
Seja a equação diferencial
dx
dt
= fµ(x) = µx+x2
.
Os pontos de equilíbrio são obtidos de fµ(x) = 0:
µx+x2
= 0
Elton (UFLA) Bifurcações 48 / 59
Exemplo
Seja a equação diferencial
dx
dt
= fµ(x) = µx+x2
.
Os pontos de equilíbrio são obtidos de fµ(x) = 0:
µx+x2
= 0
x(µ +x) = 0,
Elton (UFLA) Bifurcações 48 / 59
Exemplo
Seja a equação diferencial
dx
dt
= fµ(x) = µx+x2
.
Os pontos de equilíbrio são obtidos de fµ(x) = 0:
µx+x2
= 0
x(µ +x) = 0,
logo x∗
1 = 0 e x∗
2 = −µ, para todo µ ∈ R.
Elton (UFLA) Bifurcações 48 / 59
Exemplo
Seja a equação diferencial
dx
dt
= fµ(x) = µx+x2
.
Os pontos de equilíbrio são obtidos de fµ(x) = 0:
µx+x2
= 0
x(µ +x) = 0,
logo x∗
1 = 0 e x∗
2 = −µ, para todo µ ∈ R.
Elton (UFLA) Bifurcações 48 / 59
Exemplo
Seja a equação diferencial
dx
dt
= fµ(x) = µx+x2
.
Os pontos de equilíbrio são obtidos de fµ(x) = 0:
µx+x2
= 0
x(µ +x) = 0,
logo x∗
1 = 0 e x∗
2 = −µ, para todo µ ∈ R.
Elton (UFLA) Bifurcações 48 / 59
A estabilidade dos pontos fixos é dada pelo sinal da derivada de fµ em relação a
x:
d
dx
(µx+x2
)
Elton (UFLA) Bifurcações 49 / 59
A estabilidade dos pontos fixos é dada pelo sinal da derivada de fµ em relação a
x:
d
dx
(µx+x2
) = µ +2x.
Elton (UFLA) Bifurcações 49 / 59
A estabilidade dos pontos fixos é dada pelo sinal da derivada de fµ em relação a
x:
d
dx
(µx+x2
) = µ +2x.
Para x∗
1 = 0, temos
d
dx
(fµ(x))
x∗
1
= µ +2·0 = µ.
Elton (UFLA) Bifurcações 49 / 59
A estabilidade dos pontos fixos é dada pelo sinal da derivada de fµ em relação a
x:
d
dx
(µx+x2
) = µ +2x.
Para x∗
1 = 0, temos
d
dx
(fµ(x))
x∗
1
= µ +2·0 = µ.
Elton (UFLA) Bifurcações 49 / 59
A estabilidade dos pontos fixos é dada pelo sinal da derivada de fµ em relação a
x:
d
dx
(µx+x2
) = µ +2x.
Para x∗
1 = 0, temos
d
dx
(fµ(x))
x∗
1
= µ +2·0 = µ.
Daí, se µ < 0, então x∗
1 é assintoticamente estável e se µ > 0, x∗
1 é instável.
Elton (UFLA) Bifurcações 49 / 59
A estabilidade dos pontos fixos é dada pelo sinal da derivada de fµ em relação a
x:
d
dx
(µx+x2
) = µ +2x.
Para x∗
1 = 0, temos
d
dx
(fµ(x))
x∗
1
= µ +2·0 = µ.
Daí, se µ < 0, então x∗
1 é assintoticamente estável e se µ > 0, x∗
1 é instável.
Para x∗
2 = −µ, temos
d
dx
(fµ(x))
x∗
2
= µ +2(−µ) = − µ.
Elton (UFLA) Bifurcações 49 / 59
A estabilidade dos pontos fixos é dada pelo sinal da derivada de fµ em relação a
x:
d
dx
(µx+x2
) = µ +2x.
Para x∗
1 = 0, temos
d
dx
(fµ(x))
x∗
1
= µ +2·0 = µ.
Daí, se µ < 0, então x∗
1 é assintoticamente estável e se µ > 0, x∗
1 é instável.
Para x∗
2 = −µ, temos
d
dx
(fµ(x))
x∗
2
= µ +2(−µ) = − µ.
Elton (UFLA) Bifurcações 49 / 59
A estabilidade dos pontos fixos é dada pelo sinal da derivada de fµ em relação a
x:
d
dx
(µx+x2
) = µ +2x.
Para x∗
1 = 0, temos
d
dx
(fµ(x))
x∗
1
= µ +2·0 = µ.
Daí, se µ < 0, então x∗
1 é assintoticamente estável e se µ > 0, x∗
1 é instável.
Para x∗
2 = −µ, temos
d
dx
(fµ(x))
x∗
2
= µ +2(−µ) = − µ.
Daí, se µ > 0, então x∗
2 é assintoticamente estável e se µ < 0, x∗
2 é instável.
Elton (UFLA) Bifurcações 49 / 59
A estabilidade dos pontos fixos é dada pelo sinal da derivada de fµ em relação a
x:
d
dx
(µx+x2
) = µ +2x.
Para x∗
1 = 0, temos
d
dx
(fµ(x))
x∗
1
= µ +2·0 = µ.
Daí, se µ < 0, então x∗
1 é assintoticamente estável e se µ > 0, x∗
1 é instável.
Para x∗
2 = −µ, temos
d
dx
(fµ(x))
x∗
2
= µ +2(−µ) = − µ.
Daí, se µ > 0, então x∗
2 é assintoticamente estável e se µ < 0, x∗
2 é instável.
O ponto (x∗,µc) = (0,0) é o ponto de bifurcação.
Elton (UFLA) Bifurcações 49 / 59
Diagrama de bifurcação de
dx
dt
= µx+x2:
0 µ
x∗
solução instável
solução assintoticamente estável
solução instável
solução assintoticamente estável
Elton (UFLA) Bifurcações 50 / 59
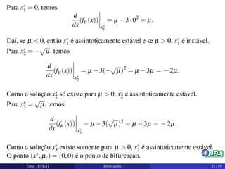
Bifurcação de forquilha
Aparece em sistemas físicos que apresentam algum tipo de simetria e um par de
pontos de equilíbrio de mesma estabilidade pode aparecer ou desaparecer
simultaneamente quando o parâmetro passa por um valor crítico.
Elton (UFLA) Bifurcações 51 / 59
Exemplo
Seja a equação diferencial
dx
dt
= fµ(x) = µx−x3
.
Elton (UFLA) Bifurcações 52 / 59
Exemplo
Seja a equação diferencial
dx
dt
= fµ(x) = µx−x3
.
Suas soluções de equilíbrio são obtidas de fµ(x) = 0:
Elton (UFLA) Bifurcações 52 / 59
Exemplo
Seja a equação diferencial
dx
dt
= fµ(x) = µx−x3
.
Suas soluções de equilíbrio são obtidas de fµ(x) = 0:
µx−x3
= 0
Elton (UFLA) Bifurcações 52 / 59
Exemplo
Seja a equação diferencial
dx
dt
= fµ(x) = µx−x3
.
Suas soluções de equilíbrio são obtidas de fµ(x) = 0:
µx−x3
= 0
x(µ −x2
) = 0
Elton (UFLA) Bifurcações 52 / 59
Exemplo
Seja a equação diferencial
dx
dt
= fµ(x) = µx−x3
.
Suas soluções de equilíbrio são obtidas de fµ(x) = 0:
µx−x3
= 0
x(µ −x2
) = 0
x(
√
µ +x)(
√
µ −x) = 0,
Elton (UFLA) Bifurcações 52 / 59
Exemplo
Seja a equação diferencial
dx
dt
= fµ(x) = µx−x3
.
Suas soluções de equilíbrio são obtidas de fµ(x) = 0:
µx−x3
= 0
x(µ −x2
) = 0
x(
√
µ +x)(
√
µ −x) = 0,
logo x∗
1 = 0, x∗
2 = −
√
µ e x∗
3 =
√
µ, sendo µ > 0.
Elton (UFLA) Bifurcações 52 / 59
Exemplo
Seja a equação diferencial
dx
dt
= fµ(x) = µx−x3
.
Suas soluções de equilíbrio são obtidas de fµ(x) = 0:
µx−x3
= 0
x(µ −x2
) = 0
x(
√
µ +x)(
√
µ −x) = 0,
logo x∗
1 = 0, x∗
2 = −
√
µ e x∗
3 =
√
µ, sendo µ > 0.
Elton (UFLA) Bifurcações 52 / 59
Exemplo
Seja a equação diferencial
dx
dt
= fµ(x) = µx−x3
.
Suas soluções de equilíbrio são obtidas de fµ(x) = 0:
µx−x3
= 0
x(µ −x2
) = 0
x(
√
µ +x)(
√
µ −x) = 0,
logo x∗
1 = 0, x∗
2 = −
√
µ e x∗
3 =
√
µ, sendo µ > 0.
Elton (UFLA) Bifurcações 52 / 59
Exemplo
Seja a equação diferencial
dx
dt
= fµ(x) = µx−x3
.
Suas soluções de equilíbrio são obtidas de fµ(x) = 0:
µx−x3
= 0
x(µ −x2
) = 0
x(
√
µ +x)(
√
µ −x) = 0,
logo x∗
1 = 0, x∗
2 = −
√
µ e x∗
3 =
√
µ, sendo µ > 0.
Elton (UFLA) Bifurcações 52 / 59
Exemplo
Seja a equação diferencial
dx
dt
= fµ(x) = µx−x3
.
Suas soluções de equilíbrio são obtidas de fµ(x) = 0:
µx−x3
= 0
x(µ −x2
) = 0
x(
√
µ +x)(
√
µ −x) = 0,
logo x∗
1 = 0, x∗
2 = −
√
µ e x∗
3 =
√
µ, sendo µ > 0.
A estabilidade dos pontos de equilíbrio é dada pelo sinal da derivada de fµ em
relação a x:
d
dx
(µx−x3
)
Elton (UFLA) Bifurcações 52 / 59
Exemplo
Seja a equação diferencial
dx
dt
= fµ(x) = µx−x3
.
Suas soluções de equilíbrio são obtidas de fµ(x) = 0:
µx−x3
= 0
x(µ −x2
) = 0
x(
√
µ +x)(
√
µ −x) = 0,
logo x∗
1 = 0, x∗
2 = −
√
µ e x∗
3 =
√
µ, sendo µ > 0.
A estabilidade dos pontos de equilíbrio é dada pelo sinal da derivada de fµ em
relação a x:
d
dx
(µx−x3
) = µ −3x2
.
Elton (UFLA) Bifurcações 52 / 59
Para x∗
1 = 0, temos
d
dx
(fµ(x))
x∗
1
= µ −3·02
= µ.
Elton (UFLA) Bifurcações 53 / 59
Para x∗
1 = 0, temos
d
dx
(fµ(x))
x∗
1
= µ −3·02
= µ.
Elton (UFLA) Bifurcações 53 / 59
Para x∗
1 = 0, temos
d
dx
(fµ(x))
x∗
1
= µ −3·02
= µ.
Daí, se µ < 0, então x∗
1 é assintoticamente estável e se µ > 0, x∗
1 é instável.
Elton (UFLA) Bifurcações 53 / 59
Para x∗
1 = 0, temos
d
dx
(fµ(x))
x∗
1
= µ −3·02
= µ.
Daí, se µ < 0, então x∗
1 é assintoticamente estável e se µ > 0, x∗
1 é instável.
Para x∗
2 = −
√
µ, temos
d
dx
(fµ(x))
x∗
2
= µ −3(−
√
µ)2
= µ −3µ = −2µ.
Elton (UFLA) Bifurcações 53 / 59
Para x∗
1 = 0, temos
d
dx
(fµ(x))
x∗
1
= µ −3·02
= µ.
Daí, se µ < 0, então x∗
1 é assintoticamente estável e se µ > 0, x∗
1 é instável.
Para x∗
2 = −
√
µ, temos
d
dx
(fµ(x))
x∗
2
= µ −3(−
√
µ)2
= µ −3µ = −2µ.
Elton (UFLA) Bifurcações 53 / 59
Para x∗
1 = 0, temos
d
dx
(fµ(x))
x∗
1
= µ −3·02
= µ.
Daí, se µ < 0, então x∗
1 é assintoticamente estável e se µ > 0, x∗
1 é instável.
Para x∗
2 = −
√
µ, temos
d
dx
(fµ(x))
x∗
2
= µ −3(−
√
µ)2
= µ −3µ = −2µ.
Como a solução x∗
2 só existe para µ > 0, x∗
2 é assintoticamente estável.
Elton (UFLA) Bifurcações 53 / 59
Para x∗
1 = 0, temos
d
dx
(fµ(x))
x∗
1
= µ −3·02
= µ.
Daí, se µ < 0, então x∗
1 é assintoticamente estável e se µ > 0, x∗
1 é instável.
Para x∗
2 = −
√
µ, temos
d
dx
(fµ(x))
x∗
2
= µ −3(−
√
µ)2
= µ −3µ = −2µ.
Como a solução x∗
2 só existe para µ > 0, x∗
2 é assintoticamente estável.
Para x∗
3 =
√
µ, temos
d
dx
(fµ(x))
x∗
3
= µ −3(
√
µ)2
= µ −3µ = −2µ.
Elton (UFLA) Bifurcações 53 / 59
Para x∗
1 = 0, temos
d
dx
(fµ(x))
x∗
1
= µ −3·02
= µ.
Daí, se µ < 0, então x∗
1 é assintoticamente estável e se µ > 0, x∗
1 é instável.
Para x∗
2 = −
√
µ, temos
d
dx
(fµ(x))
x∗
2
= µ −3(−
√
µ)2
= µ −3µ = −2µ.
Como a solução x∗
2 só existe para µ > 0, x∗
2 é assintoticamente estável.
Para x∗
3 =
√
µ, temos
d
dx
(fµ(x))
x∗
3
= µ −3(
√
µ)2
= µ −3µ = −2µ.
Elton (UFLA) Bifurcações 53 / 59
Para x∗
1 = 0, temos
d
dx
(fµ(x))
x∗
1
= µ −3·02
= µ.
Daí, se µ < 0, então x∗
1 é assintoticamente estável e se µ > 0, x∗
1 é instável.
Para x∗
2 = −
√
µ, temos
d
dx
(fµ(x))
x∗
2
= µ −3(−
√
µ)2
= µ −3µ = −2µ.
Como a solução x∗
2 só existe para µ > 0, x∗
2 é assintoticamente estável.
Para x∗
3 =
√
µ, temos
d
dx
(fµ(x))
x∗
3
= µ −3(
√
µ)2
= µ −3µ = −2µ.
Como a solução x∗
3 existe somente para µ > 0, x∗
3 é assintoticamente estável.
Elton (UFLA) Bifurcações 53 / 59
Para x∗
1 = 0, temos
d
dx
(fµ(x))
x∗
1
= µ −3·02
= µ.
Daí, se µ < 0, então x∗
1 é assintoticamente estável e se µ > 0, x∗
1 é instável.
Para x∗
2 = −
√
µ, temos
d
dx
(fµ(x))
x∗
2
= µ −3(−
√
µ)2
= µ −3µ = −2µ.
Como a solução x∗
2 só existe para µ > 0, x∗
2 é assintoticamente estável.
Para x∗
3 =
√
µ, temos
d
dx
(fµ(x))
x∗
3
= µ −3(
√
µ)2
= µ −3µ = −2µ.
Como a solução x∗
3 existe somente para µ > 0, x∗
3 é assintoticamente estável.
O ponto (x∗,µc) = (0,0) é o ponto de bifurcação.
Elton (UFLA) Bifurcações 53 / 59
Diagrama de bifurcação de
dx
dt
= µx−x3:
0 µ
x∗
solução instável
solução
assintoticamente estável
solução assintoticamente estável
solução assintoticamente estável
Elton (UFLA) Bifurcações 54 / 59
Conclusão
Neste trabalho, estudamos as equações diferenciais ordinárias de primeira
ordem, suas particularidades e formas de representar as soluções desse tipo de
equações.
Elton (UFLA) Bifurcações 55 / 59
Conclusão
Neste trabalho, estudamos as equações diferenciais ordinárias de primeira
ordem, suas particularidades e formas de representar as soluções desse tipo de
equações.
Vimos que é possível extrair informações de uma equação diferencial
utilizando uma análise geométrica de uma função, sem necessariamente
encontrar a solução dessa equação diferencial. Também estabelecemos critérios
para determinar a estabilidade das soluções de uma equação diferencial.
Elton (UFLA) Bifurcações 55 / 59
Conclusão
Neste trabalho, estudamos as equações diferenciais ordinárias de primeira
ordem, suas particularidades e formas de representar as soluções desse tipo de
equações.
Vimos que é possível extrair informações de uma equação diferencial
utilizando uma análise geométrica de uma função, sem necessariamente
encontrar a solução dessa equação diferencial. Também estabelecemos critérios
para determinar a estabilidade das soluções de uma equação diferencial.
Avaliamos as equações diferenciais lineares de primeira ordem que dependiam
de um parâmetro e estudamos a ocorrência de bifurcação.
Elton (UFLA) Bifurcações 55 / 59
Os pontos de bifurcação são interessantes em muitas aplicações, porque perto
deles a natureza da solução de uma equação diferencial sofre uma mudança
abrupta, como vimos nos três tipos de bifurcação: sela-nó, transcrítica e
forquilha.
Elton (UFLA) Bifurcações 56 / 59
Os pontos de bifurcação são interessantes em muitas aplicações, porque perto
deles a natureza da solução de uma equação diferencial sofre uma mudança
abrupta, como vimos nos três tipos de bifurcação: sela-nó, transcrítica e
forquilha.
Para trabalhos futuros, uma sugestão é investigar as bifurcações cuja
codimensão seja maior que um e suas relações com o caos em sistemas
dinâmicos.
Elton (UFLA) Bifurcações 56 / 59
REFERÊNCIAS I
ANJOS, T. A. N. dos. Equações de diferenças e algumas aplicações em
modelos populacionais. 2011. 99 p. Monografia (Graduação em
Matemática) - Universidade Federal de Lavras, Lavras, 2011.
BOYCE, W. E.; DIPRIMA, R. C. Equações diferenciais elementares e
problemas de valores de contorno. Tradução de Valéria de Magalhães
Iorio. 8. ed. Rio de Janeiro: Livros Técnicos e Científicos, 2006. Título
original: Elementary differencial equations and boundary value problems.
FIGUEIREDO, D. G. de; NEVES, A. F. Equações diferenciais
aplicadas. Rio de Janeiro, Instituto de Matemática Pura e Aplicada, CNPq,
1997. 301 p. (Coleção Matemática Universitária)
LIMA, E. L. Análise real volume 1: funções de uma variável. 8. ed. Rio
de Janeiro: Instituto de Matemática Pura e Aplicada, 2006. 189 p.
(Coleção Matemática Universitária)
Elton (UFLA) Bifurcações 57 / 59
REFERÊNCIAS II
MONTEIRO, L. H. A. Sistemas dinâmicos. 2. ed. São Paulo: Livraria da
Física, 2006. 625 p.
VILLATE, J. E. Introdução aos sistemas dinâmicos: uma abordagem
prática com maxima. Porto: Universidade do Porto, 2007. Disponível em:
<http://villate.org/doc/sistemasdinamicos/sistdinam-1_2.pdf>.
WITKOWSKI FILHO, L. E. O comportamento dinâmico e a
bifurcação de Hopf no oregonator. 2006. Monografia (Graduação em
Matemática) - Universidade Estadual Paulista Júlio de Mesquita Filho,
UNESP, Presidente Prudente. Disponível em:
<http://www.impa.br/opencms/pt/eventos/downloads/jornadas_2006/
trabalhos/jornadas_luiz_witkowski.pdf>.
Elton (UFLA) Bifurcações 58 / 59
Muito obrigado!
Elton (UFLA) Bifurcações 59 / 59

Bifurcações de Equilíbrios de Codimensão Um [Apresentação]

  • 1.
    Bifurcações de CodimensãoUm Elton Ribeiro da Cruz Licenciando em Matemática Orientadora: Profa. Dra. Maria do Carmo Pacheco de Toledo Costa Departamento de Ciências Exatas - DEX UNIVERSIDADE FEDERAL DE LAVRAS Elton (UFLA) Bifurcações 1 / 59
  • 2.
    Introdução: Equações diferenciais Asequações diferenciais são importantes para as ciências, pois informam como a variação de uma grandeza afeta outras grandezas relacionadas. Elton (UFLA) Bifurcações 2 / 59
  • 3.
    Introdução: Equações diferenciais Asequações diferenciais são importantes para as ciências, pois informam como a variação de uma grandeza afeta outras grandezas relacionadas. Aplicam-se na resolução de problemas nas áreas da Matemática e Física, além dos domínios da Biologia e da Química, da Geografia, da Economia e até mesmo na Música. Elton (UFLA) Bifurcações 2 / 59
  • 4.
    Introdução: Equações diferenciais Asequações diferenciais são importantes para as ciências, pois informam como a variação de uma grandeza afeta outras grandezas relacionadas. Aplicam-se na resolução de problemas nas áreas da Matemática e Física, além dos domínios da Biologia e da Química, da Geografia, da Economia e até mesmo na Música. Geralmente, essas equações se apresentam em conjunto, formando um sistema de equações diferenciais. Elton (UFLA) Bifurcações 2 / 59
  • 5.
    Foco deste trabalho Sistemasdinâmicos que contêm uma única equação diferencial ordinária de primeira ordem — sistema unidimensional — com variáveis contínuas e um parâmetro. Elton (UFLA) Bifurcações 3 / 59
  • 6.
    Foco deste trabalho Sistemasdinâmicos que contêm uma única equação diferencial ordinária de primeira ordem — sistema unidimensional — com variáveis contínuas e um parâmetro. Objetivo principal Estudar as bifurcações de codimensão um, que acontecem ao se variar o valor de um único parâmetro do sistema unidimensional. Elton (UFLA) Bifurcações 3 / 59
  • 7.
    Equações diferenciais ordináriasde primeira ordem Definição Uma equação diferencial ordinária de primeira ordem é uma equação da forma y = f(x,y), (1) sendo f : U ⊂ R → R uma função dada, U um conjunto aberto, y = y(x) a função incógnita e y = dy dx sua derivada. Elton (UFLA) Bifurcações 4 / 59
  • 8.
    Equações diferenciais ordináriasde primeira ordem Definição Uma equação diferencial ordinária de primeira ordem é uma equação da forma y = f(x,y), (1) sendo f : U ⊂ R → R uma função dada, U um conjunto aberto, y = y(x) a função incógnita e y = dy dx sua derivada. Definição (Linearidade) A equação (1) é dita linear se a função f for linear nas variáveis y e y . Caso contrário, a equação é dita não linear. Elton (UFLA) Bifurcações 4 / 59
  • 9.
    Exemplo (Modelo deMalthus) A equação dN dt = λN é linear, pois a função f(N,t) = λN é linear na variável N. Elton (UFLA) Bifurcações 5 / 59
  • 10.
    Exemplo (Modelo deMalthus) A equação dN dt = λN é linear, pois a função f(N,t) = λN é linear na variável N. A constante λ é a taxa de crescimento (ou declínio) da população. Elton (UFLA) Bifurcações 5 / 59
  • 11.
    Exemplo (Modelo deMalthus) A equação dN dt = λN é linear, pois a função f(N,t) = λN é linear na variável N. A constante λ é a taxa de crescimento (ou declínio) da população. O economista inglês Thomas Robert Malthus (1766-1834) propôs esse modelo para descrever o crescimento de uma população N(t) em função do tempo t. Elton (UFLA) Bifurcações 5 / 59
  • 12.
    Exemplo (Modelo deMalthus) A equação dN dt = λN é linear, pois a função f(N,t) = λN é linear na variável N. A constante λ é a taxa de crescimento (ou declínio) da população. O economista inglês Thomas Robert Malthus (1766-1834) propôs esse modelo para descrever o crescimento de uma população N(t) em função do tempo t. Exemplo A equação y = x y é não linear, já que a função f(x,y) = xy−1 é não linear na variável y. Elton (UFLA) Bifurcações 5 / 59
  • 13.
    Solução de umaequação diferencial Definição Uma função y : I → R definida e diferenciável em um intervalo aberto I ⊂ R, é uma solução da equação diferencial (1) no intervalo I se y (x) = f(x,y(x)), para todo x ∈ I e (x,y(x)) pertencente ao domínio de f. Elton (UFLA) Bifurcações 6 / 59
  • 14.
    Solução de umaequação diferencial Definição Uma função y : I → R definida e diferenciável em um intervalo aberto I ⊂ R, é uma solução da equação diferencial (1) no intervalo I se y (x) = f(x,y(x)), para todo x ∈ I e (x,y(x)) pertencente ao domínio de f. Definição Se y : I → R é uma solução de y = f(x,y) e y(x0) = y0, dado (x0,y0) pertencente ao domínio de f, diz-se que essa solução satisfaz a condição inicial y(x0) = y0 ou, o problema de valor inicial, y = f(x,y), y(x0) = y0. (2) Elton (UFLA) Bifurcações 6 / 59
  • 15.
    Exemplo Encontre as soluçõesdo modelo de Malthus dN dt = λN. Elton (UFLA) Bifurcações 7 / 59
  • 16.
    Exemplo Encontre as soluçõesdo modelo de Malthus dN dt = λN. Essa equação pode ser resolvida facilmente usando o método das equações diferenciais separáveis. Elton (UFLA) Bifurcações 7 / 59
  • 17.
    Assim, uma soluçãoparticular do modelo de Malthus é dada por N(t) = N0eλt , que depende do sinal da constante λ, a taxa de crescimento (ou declínio) da população N(t): Elton (UFLA) Bifurcações 8 / 59
  • 18.
    Assim, uma soluçãoparticular do modelo de Malthus é dada por N(t) = N0eλt , que depende do sinal da constante λ, a taxa de crescimento (ou declínio) da população N(t): Se λ > 0, então a função N apresenta crescimento exponencial, de modo que a população está aumentando; Elton (UFLA) Bifurcações 8 / 59
  • 19.
    Assim, uma soluçãoparticular do modelo de Malthus é dada por N(t) = N0eλt , que depende do sinal da constante λ, a taxa de crescimento (ou declínio) da população N(t): Se λ > 0, então a função N apresenta crescimento exponencial, de modo que a população está aumentando; Se λ < 0, então a função N exibe decaimento exponencial, de modo que a populaçao está diminuindo. Elton (UFLA) Bifurcações 8 / 59
  • 20.
    Soluções do modelode Malthus, para C = 1 2 ,1,2,3 λ = 1 Elton (UFLA) Bifurcações 9 / 59
  • 21.
    Soluções do modelode Malthus, para C = 1 2 ,1,2,3 λ = −1 Elton (UFLA) Bifurcações 10 / 59
  • 22.
    Exemplo Resolva a equaçãodiferencial y = x y , y = 0. Elton (UFLA) Bifurcações 11 / 59
  • 23.
    Exemplo Resolva a equaçãodiferencial y = x y , y = 0. A equação dada possui a forma y = h(x) g(y) , g(y) = 0, e é chamada de separável. Temos: Elton (UFLA) Bifurcações 11 / 59
  • 24.
    Exemplo Resolva a equaçãodiferencial y = x y , y = 0. A equação dada possui a forma y = h(x) g(y) , g(y) = 0, e é chamada de separável. Temos: dy dx = x y Elton (UFLA) Bifurcações 11 / 59
  • 25.
    Exemplo Resolva a equaçãodiferencial y = x y , y = 0. A equação dada possui a forma y = h(x) g(y) , g(y) = 0, e é chamada de separável. Temos: dy dx = x y y dy = x dx Elton (UFLA) Bifurcações 11 / 59
  • 26.
    Exemplo Resolva a equaçãodiferencial y = x y , y = 0. A equação dada possui a forma y = h(x) g(y) , g(y) = 0, e é chamada de separável. Temos: dy dx = x y y dy = x dx y2 = x2 +C, Elton (UFLA) Bifurcações 11 / 59
  • 27.
    Exemplo Resolva a equaçãodiferencial y = x y , y = 0. A equação dada possui a forma y = h(x) g(y) , g(y) = 0, e é chamada de separável. Temos: dy dx = x y y dy = x dx y2 = x2 +C, sendo C uma constante de integração. Elton (UFLA) Bifurcações 11 / 59
  • 28.
    Algumas soluções daequação diferencial y = x y C = 1 C = −1 C = 0 C = −5 x y Elton (UFLA) Bifurcações 12 / 59
  • 29.
    O pontilhado noeixo dos x é para mostrar que não há soluções passando por pontos da forma (a,0). Elton (UFLA) Bifurcações 13 / 59
  • 30.
    Campo de direções Umproblema Em geral, nem todas as equações diferenciais ordinárias de primeira ordem que aparentam ser simples são resolvíveis de forma explícita. Elton (UFLA) Bifurcações 14 / 59
  • 31.
    Campo de direções Umproblema Em geral, nem todas as equações diferenciais ordinárias de primeira ordem que aparentam ser simples são resolvíveis de forma explícita. Em muitas aplicações não é necessário conhecer a expressão algébrica das soluções de uma equação diferencial, mas sim investigar as propriedades geométricas de sua família de soluções. Elton (UFLA) Bifurcações 14 / 59
  • 32.
    Com uma análisegeométrica da função f é possível extrair várias informações importantes sobre as soluções de y = f(x,y). (3) Elton (UFLA) Bifurcações 15 / 59
  • 33.
    Com uma análisegeométrica da função f é possível extrair várias informações importantes sobre as soluções de y = f(x,y). (3) Para cada ponto (x,y), no domínio de f, a reta tangente à solução de (3), que passa por este ponto, tem uma inclinação dada por f(x,y). Em outras palavras, as soluções da equação (3) são curvas cujas tangentes em cada ponto são definidas por essas inclinações. Elton (UFLA) Bifurcações 15 / 59
  • 34.
    Definição O campo dedireções é um conjunto de vetores no plano cartesiano xy traçados em cada ponto (x,y) com inclinação igual a f(x,y). Elton (UFLA) Bifurcações 16 / 59
  • 35.
    Definição O campo dedireções é um conjunto de vetores no plano cartesiano xy traçados em cada ponto (x,y) com inclinação igual a f(x,y). Como o campo de direções sugere um “padrão de fluxo” para a família de curvas solução da equação diferencial (3), ele facilita o desenho de qualquer solução em particular. Elton (UFLA) Bifurcações 16 / 59
  • 36.
    Exemplo O campo dedireções para o modelo de Malthus, para λ = 1 e λ = −1, respectivamente: Elton (UFLA) Bifurcações 17 / 59
  • 37.
    Exemplo Campo de direçõesda equação y = x/y e a solução do problema de valor inicial y = x/y, y(3) = 2. Elton (UFLA) Bifurcações 18 / 59
  • 38.
    Retrato de fase Vamosrestringir nosso estudo às equações diferenciais ordinárias de primeira ordem, na qual a variável independente não aparece explicitamente e que são chamadas de equações autônomas. Elton (UFLA) Bifurcações 19 / 59
  • 39.
    Retrato de fase Vamosrestringir nosso estudo às equações diferenciais ordinárias de primeira ordem, na qual a variável independente não aparece explicitamente e que são chamadas de equações autônomas. Definição Uma equação diferencial ordinária de primeira ordem da forma dy dt = f(y), (4) sendo que a função f depende somente de y e não da variável independente t, é chamada de equação autônoma. Caso contrário, a equação acima é dita não autônoma. Elton (UFLA) Bifurcações 19 / 59
  • 40.
    Exemplo O modelo deMalthus dado por dN dt = λN é uma equação autônoma, pois a função f depende apenas de N. Elton (UFLA) Bifurcações 20 / 59
  • 41.
    Exemplo O modelo deMalthus dado por dN dt = λN é uma equação autônoma, pois a função f depende apenas de N. Exemplo A equação diferencial dx dt = x2 −1 é autônoma, pois a função f depende apenas da variável x. Elton (UFLA) Bifurcações 20 / 59
  • 42.
    Exemplo A equação diferencial dy dx = x y énão autônoma, pois a função f depende explicitamente da variável independente x. Elton (UFLA) Bifurcações 21 / 59
  • 43.
    Definição (Solução deequilíbrio) Se y∗ é um zero de f, isto é, f(y∗) = 0, então y(t) = y∗ é solução de (4) e é chamada de solução de equilíbrio ou estacionária e o ponto y∗ é chamado de ponto de equilíbrio, singularidade ou ponto crítico. Elton (UFLA) Bifurcações 22 / 59
  • 44.
    Definição (Solução deequilíbrio) Se y∗ é um zero de f, isto é, f(y∗) = 0, então y(t) = y∗ é solução de (4) e é chamada de solução de equilíbrio ou estacionária e o ponto y∗ é chamado de ponto de equilíbrio, singularidade ou ponto crítico. Do ponto de vista qualitativo é importante saber se esta solução de equilíbrio é estável, ou seja, se uma pequena pertubação na posição de equilíbrio resultará em um retorno ou em um afastamento desta posição. Elton (UFLA) Bifurcações 22 / 59
  • 45.
    Definição (Estabilidade) Um pontode equilíbrio y∗ é estável, se dado ε > 0, existe δ > 0, tal que para |y0 −y∗| < δ, a solução do problema de valor inicial dy dt = f(y), y(0) = y0 é tal que |y(t)−y∗| < ε para todo t 0. Um ponto de equilíbrio que não é estável é chamado de instável. Elton (UFLA) Bifurcações 23 / 59
  • 46.
    Definição (Estabilidade) Um pontode equilíbrio y∗ é estável, se dado ε > 0, existe δ > 0, tal que para |y0 −y∗| < δ, a solução do problema de valor inicial dy dt = f(y), y(0) = y0 é tal que |y(t)−y∗| < ε para todo t 0. Um ponto de equilíbrio que não é estável é chamado de instável. Em outras palavras, todas as soluções que partem suficientemente próximas de y∗ são definidas para todo t 0 e se mantém perto deste ponto. Elton (UFLA) Bifurcações 23 / 59
  • 47.
    Definição (Estabilidade) Um pontode equilíbrio y∗ é estável, se dado ε > 0, existe δ > 0, tal que para |y0 −y∗| < δ, a solução do problema de valor inicial dy dt = f(y), y(0) = y0 é tal que |y(t)−y∗| < ε para todo t 0. Um ponto de equilíbrio que não é estável é chamado de instável. Em outras palavras, todas as soluções que partem suficientemente próximas de y∗ são definidas para todo t 0 e se mantém perto deste ponto. Definição (Estabilidade assintótica) Um ponto de equilíbrio y∗ é assintoticamente estável, se for estável e se existir η > 0 tal que lim t→∞ y(t) = y∗ quando |y0 −y∗| < η. Elton (UFLA) Bifurcações 23 / 59
  • 48.
    Teorema (da Estabilidade) Sejay∗ um ponto de equilíbrio de (4) com f de classe C1, isto é, f é derivável e sua derivada é contínua. Então f (y∗) < 0 implica que y∗ é assintoticamente estável, e f (y∗) > 0 implica que y∗ é instável. Elton (UFLA) Bifurcações 24 / 59
  • 49.
    Teorema (da Estabilidade) Sejay∗ um ponto de equilíbrio de (4) com f de classe C1, isto é, f é derivável e sua derivada é contínua. Então f (y∗) < 0 implica que y∗ é assintoticamente estável, e f (y∗) > 0 implica que y∗ é instável. Demonstração: Vamos analisar a variação de y(t)−y∗: Elton (UFLA) Bifurcações 24 / 59
  • 50.
    Teorema (da Estabilidade) Sejay∗ um ponto de equilíbrio de (4) com f de classe C1, isto é, f é derivável e sua derivada é contínua. Então f (y∗) < 0 implica que y∗ é assintoticamente estável, e f (y∗) > 0 implica que y∗ é instável. Demonstração: Vamos analisar a variação de y(t)−y∗: d dt (y(t)−y∗ )2 Elton (UFLA) Bifurcações 24 / 59
  • 51.
    Teorema (da Estabilidade) Sejay∗ um ponto de equilíbrio de (4) com f de classe C1, isto é, f é derivável e sua derivada é contínua. Então f (y∗) < 0 implica que y∗ é assintoticamente estável, e f (y∗) > 0 implica que y∗ é instável. Demonstração: Vamos analisar a variação de y(t)−y∗: d dt (y(t)−y∗ )2 = 2(y(t)−y∗ ) dy dt Elton (UFLA) Bifurcações 24 / 59
  • 52.
    Teorema (da Estabilidade) Sejay∗ um ponto de equilíbrio de (4) com f de classe C1, isto é, f é derivável e sua derivada é contínua. Então f (y∗) < 0 implica que y∗ é assintoticamente estável, e f (y∗) > 0 implica que y∗ é instável. Demonstração: Vamos analisar a variação de y(t)−y∗: d dt (y(t)−y∗ )2 = 2(y(t)−y∗ ) dy dt = 2(y(t)−y∗ )f(y(t)). Elton (UFLA) Bifurcações 24 / 59
  • 53.
    Teorema (da Estabilidade) Sejay∗ um ponto de equilíbrio de (4) com f de classe C1, isto é, f é derivável e sua derivada é contínua. Então f (y∗) < 0 implica que y∗ é assintoticamente estável, e f (y∗) > 0 implica que y∗ é instável. Demonstração: Vamos analisar a variação de y(t)−y∗: d dt (y(t)−y∗ )2 = 2(y(t)−y∗ ) dy dt = 2(y(t)−y∗ )f(y(t)). Pelo Teorema do Valor Médio temos que f (ξ(t)) = f(y(t))−f(y∗) y(t)−y∗ , (5) Elton (UFLA) Bifurcações 24 / 59
  • 54.
    Teorema (da Estabilidade) Sejay∗ um ponto de equilíbrio de (4) com f de classe C1, isto é, f é derivável e sua derivada é contínua. Então f (y∗) < 0 implica que y∗ é assintoticamente estável, e f (y∗) > 0 implica que y∗ é instável. Demonstração: Vamos analisar a variação de y(t)−y∗: d dt (y(t)−y∗ )2 = 2(y(t)−y∗ ) dy dt = 2(y(t)−y∗ )f(y(t)). Pelo Teorema do Valor Médio temos que f (ξ(t)) = f(y(t))−f(y∗) y(t)−y∗ , (5) para ξ(t) um valor entre y(t) e y∗. Elton (UFLA) Bifurcações 24 / 59
  • 55.
    Logo, multiplicando aequação (5) por 2(y(t)−y∗)2 temos 2(y(t)−y∗ )[f(y(t))−f(y∗ )] = 2(y(t)−y∗ )2 f (ξ(t)), Elton (UFLA) Bifurcações 25 / 59
  • 56.
    Logo, multiplicando aequação (5) por 2(y(t)−y∗)2 temos 2(y(t)−y∗ )[f(y(t))−f(y∗ )] = 2(y(t)−y∗ )2 f (ξ(t)), ou seja, 2(y(t)−y∗ )f(y(t)) = 2(y(t)−y∗ )2 f (ξ(t)), pois f(y∗) = 0. Elton (UFLA) Bifurcações 25 / 59
  • 57.
    Logo, multiplicando aequação (5) por 2(y(t)−y∗)2 temos 2(y(t)−y∗ )[f(y(t))−f(y∗ )] = 2(y(t)−y∗ )2 f (ξ(t)), ou seja, 2(y(t)−y∗ )f(y(t)) = 2(y(t)−y∗ )2 f (ξ(t)), pois f(y∗) = 0. Assim, se f (y∗) < 0, pela continuidade de f existem η > 0 e δ > 0 tal que se |y−y∗| < δ então f (y) < −η < 0. Elton (UFLA) Bifurcações 25 / 59
  • 58.
    Logo, se paraalgum t0, a solução y(t) de (4) é tal que |y(t0)−y∗| < δ, segue que α(t) definido como (y(t)−y∗)2 é decrescente para t t0. Elton (UFLA) Bifurcações 26 / 59
  • 59.
    Logo, se paraalgum t0, a solução y(t) de (4) é tal que |y(t0)−y∗| < δ, segue que α(t) definido como (y(t)−y∗)2 é decrescente para t t0. Além disso, temos d dt α(t) −ηα(t) para t t0. Elton (UFLA) Bifurcações 26 / 59
  • 60.
    Logo, se paraalgum t0, a solução y(t) de (4) é tal que |y(t0)−y∗| < δ, segue que α(t) definido como (y(t)−y∗)2 é decrescente para t t0. Além disso, temos d dt α(t) −ηα(t) para t t0. Logo α(t) Ce−ηt, o que implica que y(t) tende a y∗ quando t → ∞. Elton (UFLA) Bifurcações 26 / 59
  • 61.
    Logo, se paraalgum t0, a solução y(t) de (4) é tal que |y(t0)−y∗| < δ, segue que α(t) definido como (y(t)−y∗)2 é decrescente para t t0. Além disso, temos d dt α(t) −ηα(t) para t t0. Logo α(t) Ce−ηt, o que implica que y(t) tende a y∗ quando t → ∞. Quando f (y∗) > 0, faz-se um raciocínio análogo. Elton (UFLA) Bifurcações 26 / 59
  • 62.
    Monteiro (2002) apresentaum procedimento para representar os pontos de equilíbrio da equação (4): Elton (UFLA) Bifurcações 27 / 59
  • 63.
    Monteiro (2002) apresentaum procedimento para representar os pontos de equilíbrio da equação (4): Trace o eixo y; Elton (UFLA) Bifurcações 27 / 59
  • 64.
    Monteiro (2002) apresentaum procedimento para representar os pontos de equilíbrio da equação (4): Trace o eixo y; Marque o ponto de equilíbrio y∗; Elton (UFLA) Bifurcações 27 / 59
  • 65.
    Monteiro (2002) apresentaum procedimento para representar os pontos de equilíbrio da equação (4): Trace o eixo y; Marque o ponto de equilíbrio y∗; Se f(y) > 0, desenhe flechas apontando para a direita, no sentido em que y cresce, já que nesse caso, dy/dt > 0; Elton (UFLA) Bifurcações 27 / 59
  • 66.
    Monteiro (2002) apresentaum procedimento para representar os pontos de equilíbrio da equação (4): Trace o eixo y; Marque o ponto de equilíbrio y∗; Se f(y) > 0, desenhe flechas apontando para a direita, no sentido em que y cresce, já que nesse caso, dy/dt > 0; Se f(y) < 0, desenhe flechas apontando para a esquerda, no sentido em que y decresce, já que nesse caso, dy/dt < 0; Elton (UFLA) Bifurcações 27 / 59
  • 67.
    Monteiro (2002) apresentaum procedimento para representar os pontos de equilíbrio da equação (4): Trace o eixo y; Marque o ponto de equilíbrio y∗; Se f(y) > 0, desenhe flechas apontando para a direita, no sentido em que y cresce, já que nesse caso, dy/dt > 0; Se f(y) < 0, desenhe flechas apontando para a esquerda, no sentido em que y decresce, já que nesse caso, dy/dt < 0; Se as flechas chegam ao ponto de equilíbrio, ele é assintoticamente estável e é representado por uma bolinha cheia; Elton (UFLA) Bifurcações 27 / 59
  • 68.
    Monteiro (2002) apresentaum procedimento para representar os pontos de equilíbrio da equação (4): Trace o eixo y; Marque o ponto de equilíbrio y∗; Se f(y) > 0, desenhe flechas apontando para a direita, no sentido em que y cresce, já que nesse caso, dy/dt > 0; Se f(y) < 0, desenhe flechas apontando para a esquerda, no sentido em que y decresce, já que nesse caso, dy/dt < 0; Se as flechas chegam ao ponto de equilíbrio, ele é assintoticamente estável e é representado por uma bolinha cheia; Se as flechas se afastam do ponto de equilíbrio, ele é instável e é representado por uma bolinha vazia. Elton (UFLA) Bifurcações 27 / 59
  • 69.
    Exemplo Analise a estabilidadedos pontos de equilíbrio para o modelo de Malthus dN dt = λN = f(N). (6) Elton (UFLA) Bifurcações 28 / 59
  • 70.
    Exemplo Analise a estabilidadedos pontos de equilíbrio para o modelo de Malthus dN dt = λN = f(N). (6) Primeiramente, vamos encontrar os pontos de equilíbrio, fazendo dN dt = 0. Elton (UFLA) Bifurcações 28 / 59
  • 71.
    Exemplo Analise a estabilidadedos pontos de equilíbrio para o modelo de Malthus dN dt = λN = f(N). (6) Primeiramente, vamos encontrar os pontos de equilíbrio, fazendo dN dt = 0. Elton (UFLA) Bifurcações 28 / 59
  • 72.
    Exemplo Analise a estabilidadedos pontos de equilíbrio para o modelo de Malthus dN dt = λN = f(N). (6) Primeiramente, vamos encontrar os pontos de equilíbrio, fazendo dN dt = 0. Desse modo, obtemos N∗ = 0. Elton (UFLA) Bifurcações 28 / 59
  • 73.
    Exemplo Analise a estabilidadedos pontos de equilíbrio para o modelo de Malthus dN dt = λN = f(N). (6) Primeiramente, vamos encontrar os pontos de equilíbrio, fazendo dN dt = 0. Desse modo, obtemos N∗ = 0. Elton (UFLA) Bifurcações 28 / 59
  • 74.
    Exemplo Analise a estabilidadedos pontos de equilíbrio para o modelo de Malthus dN dt = λN = f(N). (6) Primeiramente, vamos encontrar os pontos de equilíbrio, fazendo dN dt = 0. Desse modo, obtemos N∗ = 0. Consideremos a função f(N) dado pelo segundo membro da equação (6): f(N) = λN. Elton (UFLA) Bifurcações 28 / 59
  • 75.
    Exemplo Analise a estabilidadedos pontos de equilíbrio para o modelo de Malthus dN dt = λN = f(N). (6) Primeiramente, vamos encontrar os pontos de equilíbrio, fazendo dN dt = 0. Desse modo, obtemos N∗ = 0. Consideremos a função f(N) dado pelo segundo membro da equação (6): f(N) = λN. Elton (UFLA) Bifurcações 28 / 59
  • 76.
    Suponhamos que λ> 0. Desse modo, obtemos o seguinte gráfico de f(N): Elton (UFLA) Bifurcações 29 / 59
  • 77.
    Suponhamos que λ> 0. Desse modo, obtemos o seguinte gráfico de f(N): 0 N f(N) Elton (UFLA) Bifurcações 29 / 59
  • 78.
    Suponhamos que λ> 0. Desse modo, obtemos o seguinte gráfico de f(N): 0 N f(N) A figura a seguir é chamada de retrato de fase, também conhecido como linha de fase (para uma dimensão). O ponto crítico N∗ = 0 é instável. Retrato de fase do modelo de Malthus para λ > 0 0 N Elton (UFLA) Bifurcações 29 / 59
  • 79.
    Suponhamos que λ> 0. Desse modo, obtemos o seguinte gráfico de f(N): 0 N f(N) A figura a seguir é chamada de retrato de fase, também conhecido como linha de fase (para uma dimensão). O ponto crítico N∗ = 0 é instável. Retrato de fase do modelo de Malthus para λ > 0 0 N Observemos também que f (N∗) = λ > 0, logo pelo Teorema da estabilidade N∗ = 0 é instável. Elton (UFLA) Bifurcações 29 / 59
  • 80.
    Campo de direçõespara o modelo de Malthus, para λ = 1 Elton (UFLA) Bifurcações 30 / 59
  • 81.
    Agora consideremos λ< 0. Assim, obtemos o seguinte gráfico de f(N): Elton (UFLA) Bifurcações 31 / 59
  • 82.
    Agora consideremos λ< 0. Assim, obtemos o seguinte gráfico de f(N): 0 N f(N) Elton (UFLA) Bifurcações 31 / 59
  • 83.
    Agora consideremos λ< 0. Assim, obtemos o seguinte gráfico de f(N): 0 N f(N) O ponto crítico N∗ = 0 é assintoticamente estável. Retrato de fase do modelo de Malthus para λ < 0 0 N Elton (UFLA) Bifurcações 31 / 59
  • 84.
    Agora consideremos λ< 0. Assim, obtemos o seguinte gráfico de f(N): 0 N f(N) O ponto crítico N∗ = 0 é assintoticamente estável. Retrato de fase do modelo de Malthus para λ < 0 0 N Observemos também que f (N∗) = λ < 0, logo pelo Teorema da estabilidade N∗ = 0 é assintoticamente estável. Elton (UFLA) Bifurcações 31 / 59
  • 85.
    Campo de direçõespara o modelo de Malthus, para λ = −1 Elton (UFLA) Bifurcações 32 / 59
  • 86.
    Exemplo Analise a estabilidadedos pontos de equilíbrio da equação dx dt = x2 −1. Elton (UFLA) Bifurcações 33 / 59
  • 87.
    Exemplo Analise a estabilidadedos pontos de equilíbrio da equação dx dt = x2 −1. Para encontrarmos os pontos de equilíbrio, basta calcular as raízes da equação x2 −1 = 0. Elton (UFLA) Bifurcações 33 / 59
  • 88.
    Exemplo Analise a estabilidadedos pontos de equilíbrio da equação dx dt = x2 −1. Para encontrarmos os pontos de equilíbrio, basta calcular as raízes da equação x2 −1 = 0. Elton (UFLA) Bifurcações 33 / 59
  • 89.
    Exemplo Analise a estabilidadedos pontos de equilíbrio da equação dx dt = x2 −1. Para encontrarmos os pontos de equilíbrio, basta calcular as raízes da equação x2 −1 = 0. Logo, temos dois pontos de equilíbrio: x∗ 1 = −1 e x∗ 2 = 1. Se o valor de x for menor que −1, f(x) = x2 −1 é positivo, para x compreendido entre −1 e 1, f(x) é negativo. Por fim, se x for maior que 1, f(x) é positivo. Elton (UFLA) Bifurcações 33 / 59
  • 90.
    Exemplo Analise a estabilidadedos pontos de equilíbrio da equação dx dt = x2 −1. Para encontrarmos os pontos de equilíbrio, basta calcular as raízes da equação x2 −1 = 0. Logo, temos dois pontos de equilíbrio: x∗ 1 = −1 e x∗ 2 = 1. Se o valor de x for menor que −1, f(x) = x2 −1 é positivo, para x compreendido entre −1 e 1, f(x) é negativo. Por fim, se x for maior que 1, f(x) é positivo. Elton (UFLA) Bifurcações 33 / 59
  • 91.
    Exemplo Analise a estabilidadedos pontos de equilíbrio da equação dx dt = x2 −1. Para encontrarmos os pontos de equilíbrio, basta calcular as raízes da equação x2 −1 = 0. Logo, temos dois pontos de equilíbrio: x∗ 1 = −1 e x∗ 2 = 1. Se o valor de x for menor que −1, f(x) = x2 −1 é positivo, para x compreendido entre −1 e 1, f(x) é negativo. Por fim, se x for maior que 1, f(x) é positivo. Linha de fase da equação dx dt = x2 −1 −1 0 1 x Elton (UFLA) Bifurcações 33 / 59
  • 92.
    Pelo Teorema daestabilidade, também temos que x∗ 1 = −1 é assintoticamente estável e x∗ 2 = 1 é instável, pois f (−1) = −2 < 0 e f (1) = 2 > 0. Elton (UFLA) Bifurcações 34 / 59
  • 93.
    Pelo Teorema daestabilidade, também temos que x∗ 1 = −1 é assintoticamente estável e x∗ 2 = 1 é instável, pois f (−1) = −2 < 0 e f (1) = 2 > 0. Campo de direções da equação dx dt = x2 −1 Elton (UFLA) Bifurcações 34 / 59
  • 94.
    Bifurcação Consideremos as equaçõesdiferenciais lineares autônomas de primeira ordem que dependem de um parâmetro µ, isto é, equações da forma dx dt = fµ(x), (7) sendo x ∈ R e µ ∈ R e vamos estudar se ocorre uma mudança qualitativa no seu retrato de fase ao se variar o valor do parâmetro µ em torno de um valor crítico µc. Elton (UFLA) Bifurcações 35 / 59
  • 95.
    Bifurcação Consideremos as equaçõesdiferenciais lineares autônomas de primeira ordem que dependem de um parâmetro µ, isto é, equações da forma dx dt = fµ(x), (7) sendo x ∈ R e µ ∈ R e vamos estudar se ocorre uma mudança qualitativa no seu retrato de fase ao se variar o valor do parâmetro µ em torno de um valor crítico µc. O retrato de fase desta equação depende do valor de µ. Ao se variar o valor desse parâmetro, podem-se criar ou destruir pontos de equilíbrio e alterar suas estabilidades. Elton (UFLA) Bifurcações 35 / 59
  • 96.
    Segundo Monteiro (2006),o termo bifurcação, introduzido pelo matemático francês Jules-Henri Poincaré (1854-1912) em 1885, refere-se a mudança qualitativa do retrato de fases de um sistema dinâmico, conforme algum parâmetro do sistema passa por um valor crítico. Elton (UFLA) Bifurcações 36 / 59
  • 97.
    Segundo Monteiro (2006),o termo bifurcação, introduzido pelo matemático francês Jules-Henri Poincaré (1854-1912) em 1885, refere-se a mudança qualitativa do retrato de fases de um sistema dinâmico, conforme algum parâmetro do sistema passa por um valor crítico. A codimensão de uma bifurcação é o número de parâmetros cujos valores são variados a fim de se produzir a bifurcação em questão. Elton (UFLA) Bifurcações 36 / 59
  • 98.
    Segundo Monteiro (2006),o termo bifurcação, introduzido pelo matemático francês Jules-Henri Poincaré (1854-1912) em 1885, refere-se a mudança qualitativa do retrato de fases de um sistema dinâmico, conforme algum parâmetro do sistema passa por um valor crítico. A codimensão de uma bifurcação é o número de parâmetros cujos valores são variados a fim de se produzir a bifurcação em questão. Bifurcações que ocorrem em sistemas unidimensionais do tipo (7): Elton (UFLA) Bifurcações 36 / 59
  • 99.
    Segundo Monteiro (2006),o termo bifurcação, introduzido pelo matemático francês Jules-Henri Poincaré (1854-1912) em 1885, refere-se a mudança qualitativa do retrato de fases de um sistema dinâmico, conforme algum parâmetro do sistema passa por um valor crítico. A codimensão de uma bifurcação é o número de parâmetros cujos valores são variados a fim de se produzir a bifurcação em questão. Bifurcações que ocorrem em sistemas unidimensionais do tipo (7): Bifurcação sela-nó Elton (UFLA) Bifurcações 36 / 59
  • 100.
    Segundo Monteiro (2006),o termo bifurcação, introduzido pelo matemático francês Jules-Henri Poincaré (1854-1912) em 1885, refere-se a mudança qualitativa do retrato de fases de um sistema dinâmico, conforme algum parâmetro do sistema passa por um valor crítico. A codimensão de uma bifurcação é o número de parâmetros cujos valores são variados a fim de se produzir a bifurcação em questão. Bifurcações que ocorrem em sistemas unidimensionais do tipo (7): Bifurcação sela-nó Bifurcação transcrítica Elton (UFLA) Bifurcações 36 / 59
  • 101.
    Segundo Monteiro (2006),o termo bifurcação, introduzido pelo matemático francês Jules-Henri Poincaré (1854-1912) em 1885, refere-se a mudança qualitativa do retrato de fases de um sistema dinâmico, conforme algum parâmetro do sistema passa por um valor crítico. A codimensão de uma bifurcação é o número de parâmetros cujos valores são variados a fim de se produzir a bifurcação em questão. Bifurcações que ocorrem em sistemas unidimensionais do tipo (7): Bifurcação sela-nó Bifurcação transcrítica Bifurcação de forquilha Elton (UFLA) Bifurcações 36 / 59
  • 102.
    Bifurcação sela-nó Ocorre quandoum par de pontos de equilíbrio com estabilidades opostas é criado ou destruído ao variarmos um parâmetro. É também conhecida como bifurcação tangente ou bifurcação de dobra (WITKOWSKI FILHO, 2006, p. 9). Elton (UFLA) Bifurcações 37 / 59
  • 103.
    Exemplo Seja a equaçãodiferencial dx dt = fµ(x) = µ +x2 , sendo µ ∈ R um parâmetro. Elton (UFLA) Bifurcações 38 / 59
  • 104.
    Exemplo Seja a equaçãodiferencial dx dt = fµ(x) = µ +x2 , sendo µ ∈ R um parâmetro. Se µ 0 esta equação possui duas singularidades: x∗ 1 = − √ −µ e x∗ 2 = √ −µ. Elton (UFLA) Bifurcações 38 / 59
  • 105.
    Exemplo Seja a equaçãodiferencial dx dt = fµ(x) = µ +x2 , sendo µ ∈ R um parâmetro. Se µ 0 esta equação possui duas singularidades: x∗ 1 = − √ −µ e x∗ 2 = √ −µ. Elton (UFLA) Bifurcações 38 / 59
  • 106.
    Exemplo Seja a equaçãodiferencial dx dt = fµ(x) = µ +x2 , sendo µ ∈ R um parâmetro. Se µ 0 esta equação possui duas singularidades: x∗ 1 = − √ −µ e x∗ 2 = √ −µ. Elton (UFLA) Bifurcações 38 / 59
  • 107.
    A estabilidade dassingularidades é obtida através do sinal de dfµ/dx calculado em x∗. Elton (UFLA) Bifurcações 39 / 59
  • 108.
    A estabilidade dassingularidades é obtida através do sinal de dfµ/dx calculado em x∗. Para x∗ 1 = − √ −µ tem-se dfµ(x) dx x = x∗ 1 = −2 √ −µ, que é um número negativo para µ < 0 e para x∗ 2 = √ −µ tem-se dfµ(x) dx x = x∗ 2 = 2 √ −µ, que é um número positivo para µ < 0. Elton (UFLA) Bifurcações 39 / 59
  • 109.
    A estabilidade dassingularidades é obtida através do sinal de dfµ/dx calculado em x∗. Para x∗ 1 = − √ −µ tem-se dfµ(x) dx x = x∗ 1 = −2 √ −µ, que é um número negativo para µ < 0 e para x∗ 2 = √ −µ tem-se dfµ(x) dx x = x∗ 2 = 2 √ −µ, que é um número positivo para µ < 0. Elton (UFLA) Bifurcações 39 / 59
  • 110.
    A estabilidade dassingularidades é obtida através do sinal de dfµ/dx calculado em x∗. Para x∗ 1 = − √ −µ tem-se dfµ(x) dx x = x∗ 1 = −2 √ −µ, que é um número negativo para µ < 0 e para x∗ 2 = √ −µ tem-se dfµ(x) dx x = x∗ 2 = 2 √ −µ, que é um número positivo para µ < 0. Elton (UFLA) Bifurcações 39 / 59
  • 111.
    Observando o retratode fase de fµ, tem-se que x∗ 1 é assintoticamente estável e x∗ 2 é instável. x fµ (x) − √ −µ √ −µ Elton (UFLA) Bifurcações 40 / 59
  • 112.
    Observando o retratode fase de fµ, tem-se que x∗ 1 é assintoticamente estável e x∗ 2 é instável. x fµ (x) − √ −µ √ −µ No caso em que µ > 0 não temos pontos fixos no retrato de fase. Elton (UFLA) Bifurcações 40 / 59
  • 113.
    Observando o retratode fase de fµ, tem-se que x∗ 1 é assintoticamente estável e x∗ 2 é instável. x fµ (x) − √ −µ √ −µ No caso em que µ > 0 não temos pontos fixos no retrato de fase. Conforme variamos o parâmetro µ, a aparência do campo de direções e do retrato de fase também se altera. Elton (UFLA) Bifurcações 40 / 59
  • 114.
    Campo de direçõesde fµ para µ = −1: Elton (UFLA) Bifurcações 41 / 59
  • 115.
    Campo de direçõesde fµ para µ = 0: Elton (UFLA) Bifurcações 42 / 59
  • 116.
    Campo de direçõesde fµ para µ = 1: Elton (UFLA) Bifurcações 43 / 59
  • 117.
    Para µ =−1, obtemos esta linha de fase: −1 0 1 x Elton (UFLA) Bifurcações 44 / 59
  • 118.
    Para µ =−1, obtemos esta linha de fase: −1 0 1 x Para µ = 0, a figura abaixo ilustra a seguinte linha de fase: 0 x Elton (UFLA) Bifurcações 44 / 59
  • 119.
    Para µ =−1, obtemos esta linha de fase: −1 0 1 x Para µ = 0, a figura abaixo ilustra a seguinte linha de fase: 0 x E finalmente, para µ = 1, a linha de fase mostra que não temos pontos de equilíbrio. 0 x Elton (UFLA) Bifurcações 44 / 59
  • 120.
    Junto com oesboço do retrato de fase podemos representar como as soluções de equilíbrio variam em função do parâmetro µ construindo o diagrama de bifurcação. Nesse diagrama, representamos as variações do valor e da estabilidade de cada ponto fixo x∗ em função de µ. A solução assintoticamente estável está representada por uma linha contínua e a solução instável, por uma linha tracejada e as retas com setas, traçadas para determinados valores de µ, correspondem aos retratos de fase. Elton (UFLA) Bifurcações 45 / 59
  • 121.
    Junto com oesboço do retrato de fase podemos representar como as soluções de equilíbrio variam em função do parâmetro µ construindo o diagrama de bifurcação. Nesse diagrama, representamos as variações do valor e da estabilidade de cada ponto fixo x∗ em função de µ. A solução assintoticamente estável está representada por uma linha contínua e a solução instável, por uma linha tracejada e as retas com setas, traçadas para determinados valores de µ, correspondem aos retratos de fase. Observemos que um retrato de fase para µ < 0 é qualitativamente diferente daquele para µ > 0. Para µ < 0 existe um par com estabilidades contrárias e, para µ > 0, não há ponto de equilíbrio. O ponto (x∗,µc) = (0,0) é o ponto de bifurcação. Elton (UFLA) Bifurcações 45 / 59
  • 122.
    Junto com oesboço do retrato de fase podemos representar como as soluções de equilíbrio variam em função do parâmetro µ construindo o diagrama de bifurcação. Nesse diagrama, representamos as variações do valor e da estabilidade de cada ponto fixo x∗ em função de µ. A solução assintoticamente estável está representada por uma linha contínua e a solução instável, por uma linha tracejada e as retas com setas, traçadas para determinados valores de µ, correspondem aos retratos de fase. Observemos que um retrato de fase para µ < 0 é qualitativamente diferente daquele para µ > 0. Para µ < 0 existe um par com estabilidades contrárias e, para µ > 0, não há ponto de equilíbrio. O ponto (x∗,µc) = (0,0) é o ponto de bifurcação. Observemos também que conforme se aumenta o valor do parâmetro, o par de pontos de equilíbrio desaparece. Elton (UFLA) Bifurcações 45 / 59
  • 123.
    Diagrama de bifurcaçãode dx dt = µ +x2 0 µ x∗ solução instável solução assintoticamente estável Elton (UFLA) Bifurcações 46 / 59
  • 124.
    Bifurcação transcrítica Acontece quandopara qualquer valor do parâmetro µ existem dois pontos de equilíbrio e a estabilidade desses pontos são trocadas quando o parâmetro passa por um valor crítico. Elton (UFLA) Bifurcações 47 / 59
  • 125.
    Exemplo Seja a equaçãodiferencial dx dt = fµ(x) = µx+x2 . Elton (UFLA) Bifurcações 48 / 59
  • 126.
    Exemplo Seja a equaçãodiferencial dx dt = fµ(x) = µx+x2 . Os pontos de equilíbrio são obtidos de fµ(x) = 0: Elton (UFLA) Bifurcações 48 / 59
  • 127.
    Exemplo Seja a equaçãodiferencial dx dt = fµ(x) = µx+x2 . Os pontos de equilíbrio são obtidos de fµ(x) = 0: µx+x2 = 0 Elton (UFLA) Bifurcações 48 / 59
  • 128.
    Exemplo Seja a equaçãodiferencial dx dt = fµ(x) = µx+x2 . Os pontos de equilíbrio são obtidos de fµ(x) = 0: µx+x2 = 0 x(µ +x) = 0, Elton (UFLA) Bifurcações 48 / 59
  • 129.
    Exemplo Seja a equaçãodiferencial dx dt = fµ(x) = µx+x2 . Os pontos de equilíbrio são obtidos de fµ(x) = 0: µx+x2 = 0 x(µ +x) = 0, logo x∗ 1 = 0 e x∗ 2 = −µ, para todo µ ∈ R. Elton (UFLA) Bifurcações 48 / 59
  • 130.
    Exemplo Seja a equaçãodiferencial dx dt = fµ(x) = µx+x2 . Os pontos de equilíbrio são obtidos de fµ(x) = 0: µx+x2 = 0 x(µ +x) = 0, logo x∗ 1 = 0 e x∗ 2 = −µ, para todo µ ∈ R. Elton (UFLA) Bifurcações 48 / 59
  • 131.
    Exemplo Seja a equaçãodiferencial dx dt = fµ(x) = µx+x2 . Os pontos de equilíbrio são obtidos de fµ(x) = 0: µx+x2 = 0 x(µ +x) = 0, logo x∗ 1 = 0 e x∗ 2 = −µ, para todo µ ∈ R. Elton (UFLA) Bifurcações 48 / 59
  • 132.
    A estabilidade dospontos fixos é dada pelo sinal da derivada de fµ em relação a x: d dx (µx+x2 ) Elton (UFLA) Bifurcações 49 / 59
  • 133.
    A estabilidade dospontos fixos é dada pelo sinal da derivada de fµ em relação a x: d dx (µx+x2 ) = µ +2x. Elton (UFLA) Bifurcações 49 / 59
  • 134.
    A estabilidade dospontos fixos é dada pelo sinal da derivada de fµ em relação a x: d dx (µx+x2 ) = µ +2x. Para x∗ 1 = 0, temos d dx (fµ(x)) x∗ 1 = µ +2·0 = µ. Elton (UFLA) Bifurcações 49 / 59
  • 135.
    A estabilidade dospontos fixos é dada pelo sinal da derivada de fµ em relação a x: d dx (µx+x2 ) = µ +2x. Para x∗ 1 = 0, temos d dx (fµ(x)) x∗ 1 = µ +2·0 = µ. Elton (UFLA) Bifurcações 49 / 59
  • 136.
    A estabilidade dospontos fixos é dada pelo sinal da derivada de fµ em relação a x: d dx (µx+x2 ) = µ +2x. Para x∗ 1 = 0, temos d dx (fµ(x)) x∗ 1 = µ +2·0 = µ. Daí, se µ < 0, então x∗ 1 é assintoticamente estável e se µ > 0, x∗ 1 é instável. Elton (UFLA) Bifurcações 49 / 59
  • 137.
    A estabilidade dospontos fixos é dada pelo sinal da derivada de fµ em relação a x: d dx (µx+x2 ) = µ +2x. Para x∗ 1 = 0, temos d dx (fµ(x)) x∗ 1 = µ +2·0 = µ. Daí, se µ < 0, então x∗ 1 é assintoticamente estável e se µ > 0, x∗ 1 é instável. Para x∗ 2 = −µ, temos d dx (fµ(x)) x∗ 2 = µ +2(−µ) = − µ. Elton (UFLA) Bifurcações 49 / 59
  • 138.
    A estabilidade dospontos fixos é dada pelo sinal da derivada de fµ em relação a x: d dx (µx+x2 ) = µ +2x. Para x∗ 1 = 0, temos d dx (fµ(x)) x∗ 1 = µ +2·0 = µ. Daí, se µ < 0, então x∗ 1 é assintoticamente estável e se µ > 0, x∗ 1 é instável. Para x∗ 2 = −µ, temos d dx (fµ(x)) x∗ 2 = µ +2(−µ) = − µ. Elton (UFLA) Bifurcações 49 / 59
  • 139.
    A estabilidade dospontos fixos é dada pelo sinal da derivada de fµ em relação a x: d dx (µx+x2 ) = µ +2x. Para x∗ 1 = 0, temos d dx (fµ(x)) x∗ 1 = µ +2·0 = µ. Daí, se µ < 0, então x∗ 1 é assintoticamente estável e se µ > 0, x∗ 1 é instável. Para x∗ 2 = −µ, temos d dx (fµ(x)) x∗ 2 = µ +2(−µ) = − µ. Daí, se µ > 0, então x∗ 2 é assintoticamente estável e se µ < 0, x∗ 2 é instável. Elton (UFLA) Bifurcações 49 / 59
  • 140.
    A estabilidade dospontos fixos é dada pelo sinal da derivada de fµ em relação a x: d dx (µx+x2 ) = µ +2x. Para x∗ 1 = 0, temos d dx (fµ(x)) x∗ 1 = µ +2·0 = µ. Daí, se µ < 0, então x∗ 1 é assintoticamente estável e se µ > 0, x∗ 1 é instável. Para x∗ 2 = −µ, temos d dx (fµ(x)) x∗ 2 = µ +2(−µ) = − µ. Daí, se µ > 0, então x∗ 2 é assintoticamente estável e se µ < 0, x∗ 2 é instável. O ponto (x∗,µc) = (0,0) é o ponto de bifurcação. Elton (UFLA) Bifurcações 49 / 59
  • 141.
    Diagrama de bifurcaçãode dx dt = µx+x2: 0 µ x∗ solução instável solução assintoticamente estável solução instável solução assintoticamente estável Elton (UFLA) Bifurcações 50 / 59
  • 142.
    Bifurcação de forquilha Apareceem sistemas físicos que apresentam algum tipo de simetria e um par de pontos de equilíbrio de mesma estabilidade pode aparecer ou desaparecer simultaneamente quando o parâmetro passa por um valor crítico. Elton (UFLA) Bifurcações 51 / 59
  • 143.
    Exemplo Seja a equaçãodiferencial dx dt = fµ(x) = µx−x3 . Elton (UFLA) Bifurcações 52 / 59
  • 144.
    Exemplo Seja a equaçãodiferencial dx dt = fµ(x) = µx−x3 . Suas soluções de equilíbrio são obtidas de fµ(x) = 0: Elton (UFLA) Bifurcações 52 / 59
  • 145.
    Exemplo Seja a equaçãodiferencial dx dt = fµ(x) = µx−x3 . Suas soluções de equilíbrio são obtidas de fµ(x) = 0: µx−x3 = 0 Elton (UFLA) Bifurcações 52 / 59
  • 146.
    Exemplo Seja a equaçãodiferencial dx dt = fµ(x) = µx−x3 . Suas soluções de equilíbrio são obtidas de fµ(x) = 0: µx−x3 = 0 x(µ −x2 ) = 0 Elton (UFLA) Bifurcações 52 / 59
  • 147.
    Exemplo Seja a equaçãodiferencial dx dt = fµ(x) = µx−x3 . Suas soluções de equilíbrio são obtidas de fµ(x) = 0: µx−x3 = 0 x(µ −x2 ) = 0 x( √ µ +x)( √ µ −x) = 0, Elton (UFLA) Bifurcações 52 / 59
  • 148.
    Exemplo Seja a equaçãodiferencial dx dt = fµ(x) = µx−x3 . Suas soluções de equilíbrio são obtidas de fµ(x) = 0: µx−x3 = 0 x(µ −x2 ) = 0 x( √ µ +x)( √ µ −x) = 0, logo x∗ 1 = 0, x∗ 2 = − √ µ e x∗ 3 = √ µ, sendo µ > 0. Elton (UFLA) Bifurcações 52 / 59
  • 149.
    Exemplo Seja a equaçãodiferencial dx dt = fµ(x) = µx−x3 . Suas soluções de equilíbrio são obtidas de fµ(x) = 0: µx−x3 = 0 x(µ −x2 ) = 0 x( √ µ +x)( √ µ −x) = 0, logo x∗ 1 = 0, x∗ 2 = − √ µ e x∗ 3 = √ µ, sendo µ > 0. Elton (UFLA) Bifurcações 52 / 59
  • 150.
    Exemplo Seja a equaçãodiferencial dx dt = fµ(x) = µx−x3 . Suas soluções de equilíbrio são obtidas de fµ(x) = 0: µx−x3 = 0 x(µ −x2 ) = 0 x( √ µ +x)( √ µ −x) = 0, logo x∗ 1 = 0, x∗ 2 = − √ µ e x∗ 3 = √ µ, sendo µ > 0. Elton (UFLA) Bifurcações 52 / 59
  • 151.
    Exemplo Seja a equaçãodiferencial dx dt = fµ(x) = µx−x3 . Suas soluções de equilíbrio são obtidas de fµ(x) = 0: µx−x3 = 0 x(µ −x2 ) = 0 x( √ µ +x)( √ µ −x) = 0, logo x∗ 1 = 0, x∗ 2 = − √ µ e x∗ 3 = √ µ, sendo µ > 0. Elton (UFLA) Bifurcações 52 / 59
  • 152.
    Exemplo Seja a equaçãodiferencial dx dt = fµ(x) = µx−x3 . Suas soluções de equilíbrio são obtidas de fµ(x) = 0: µx−x3 = 0 x(µ −x2 ) = 0 x( √ µ +x)( √ µ −x) = 0, logo x∗ 1 = 0, x∗ 2 = − √ µ e x∗ 3 = √ µ, sendo µ > 0. A estabilidade dos pontos de equilíbrio é dada pelo sinal da derivada de fµ em relação a x: d dx (µx−x3 ) Elton (UFLA) Bifurcações 52 / 59
  • 153.
    Exemplo Seja a equaçãodiferencial dx dt = fµ(x) = µx−x3 . Suas soluções de equilíbrio são obtidas de fµ(x) = 0: µx−x3 = 0 x(µ −x2 ) = 0 x( √ µ +x)( √ µ −x) = 0, logo x∗ 1 = 0, x∗ 2 = − √ µ e x∗ 3 = √ µ, sendo µ > 0. A estabilidade dos pontos de equilíbrio é dada pelo sinal da derivada de fµ em relação a x: d dx (µx−x3 ) = µ −3x2 . Elton (UFLA) Bifurcações 52 / 59
  • 154.
    Para x∗ 1 =0, temos d dx (fµ(x)) x∗ 1 = µ −3·02 = µ. Elton (UFLA) Bifurcações 53 / 59
  • 155.
    Para x∗ 1 =0, temos d dx (fµ(x)) x∗ 1 = µ −3·02 = µ. Elton (UFLA) Bifurcações 53 / 59
  • 156.
    Para x∗ 1 =0, temos d dx (fµ(x)) x∗ 1 = µ −3·02 = µ. Daí, se µ < 0, então x∗ 1 é assintoticamente estável e se µ > 0, x∗ 1 é instável. Elton (UFLA) Bifurcações 53 / 59
  • 157.
    Para x∗ 1 =0, temos d dx (fµ(x)) x∗ 1 = µ −3·02 = µ. Daí, se µ < 0, então x∗ 1 é assintoticamente estável e se µ > 0, x∗ 1 é instável. Para x∗ 2 = − √ µ, temos d dx (fµ(x)) x∗ 2 = µ −3(− √ µ)2 = µ −3µ = −2µ. Elton (UFLA) Bifurcações 53 / 59
  • 158.
    Para x∗ 1 =0, temos d dx (fµ(x)) x∗ 1 = µ −3·02 = µ. Daí, se µ < 0, então x∗ 1 é assintoticamente estável e se µ > 0, x∗ 1 é instável. Para x∗ 2 = − √ µ, temos d dx (fµ(x)) x∗ 2 = µ −3(− √ µ)2 = µ −3µ = −2µ. Elton (UFLA) Bifurcações 53 / 59
  • 159.
    Para x∗ 1 =0, temos d dx (fµ(x)) x∗ 1 = µ −3·02 = µ. Daí, se µ < 0, então x∗ 1 é assintoticamente estável e se µ > 0, x∗ 1 é instável. Para x∗ 2 = − √ µ, temos d dx (fµ(x)) x∗ 2 = µ −3(− √ µ)2 = µ −3µ = −2µ. Como a solução x∗ 2 só existe para µ > 0, x∗ 2 é assintoticamente estável. Elton (UFLA) Bifurcações 53 / 59
  • 160.
    Para x∗ 1 =0, temos d dx (fµ(x)) x∗ 1 = µ −3·02 = µ. Daí, se µ < 0, então x∗ 1 é assintoticamente estável e se µ > 0, x∗ 1 é instável. Para x∗ 2 = − √ µ, temos d dx (fµ(x)) x∗ 2 = µ −3(− √ µ)2 = µ −3µ = −2µ. Como a solução x∗ 2 só existe para µ > 0, x∗ 2 é assintoticamente estável. Para x∗ 3 = √ µ, temos d dx (fµ(x)) x∗ 3 = µ −3( √ µ)2 = µ −3µ = −2µ. Elton (UFLA) Bifurcações 53 / 59
  • 161.
    Para x∗ 1 =0, temos d dx (fµ(x)) x∗ 1 = µ −3·02 = µ. Daí, se µ < 0, então x∗ 1 é assintoticamente estável e se µ > 0, x∗ 1 é instável. Para x∗ 2 = − √ µ, temos d dx (fµ(x)) x∗ 2 = µ −3(− √ µ)2 = µ −3µ = −2µ. Como a solução x∗ 2 só existe para µ > 0, x∗ 2 é assintoticamente estável. Para x∗ 3 = √ µ, temos d dx (fµ(x)) x∗ 3 = µ −3( √ µ)2 = µ −3µ = −2µ. Elton (UFLA) Bifurcações 53 / 59
  • 162.
    Para x∗ 1 =0, temos d dx (fµ(x)) x∗ 1 = µ −3·02 = µ. Daí, se µ < 0, então x∗ 1 é assintoticamente estável e se µ > 0, x∗ 1 é instável. Para x∗ 2 = − √ µ, temos d dx (fµ(x)) x∗ 2 = µ −3(− √ µ)2 = µ −3µ = −2µ. Como a solução x∗ 2 só existe para µ > 0, x∗ 2 é assintoticamente estável. Para x∗ 3 = √ µ, temos d dx (fµ(x)) x∗ 3 = µ −3( √ µ)2 = µ −3µ = −2µ. Como a solução x∗ 3 existe somente para µ > 0, x∗ 3 é assintoticamente estável. Elton (UFLA) Bifurcações 53 / 59
  • 163.
    Para x∗ 1 =0, temos d dx (fµ(x)) x∗ 1 = µ −3·02 = µ. Daí, se µ < 0, então x∗ 1 é assintoticamente estável e se µ > 0, x∗ 1 é instável. Para x∗ 2 = − √ µ, temos d dx (fµ(x)) x∗ 2 = µ −3(− √ µ)2 = µ −3µ = −2µ. Como a solução x∗ 2 só existe para µ > 0, x∗ 2 é assintoticamente estável. Para x∗ 3 = √ µ, temos d dx (fµ(x)) x∗ 3 = µ −3( √ µ)2 = µ −3µ = −2µ. Como a solução x∗ 3 existe somente para µ > 0, x∗ 3 é assintoticamente estável. O ponto (x∗,µc) = (0,0) é o ponto de bifurcação. Elton (UFLA) Bifurcações 53 / 59
  • 164.
    Diagrama de bifurcaçãode dx dt = µx−x3: 0 µ x∗ solução instável solução assintoticamente estável solução assintoticamente estável solução assintoticamente estável Elton (UFLA) Bifurcações 54 / 59
  • 165.
    Conclusão Neste trabalho, estudamosas equações diferenciais ordinárias de primeira ordem, suas particularidades e formas de representar as soluções desse tipo de equações. Elton (UFLA) Bifurcações 55 / 59
  • 166.
    Conclusão Neste trabalho, estudamosas equações diferenciais ordinárias de primeira ordem, suas particularidades e formas de representar as soluções desse tipo de equações. Vimos que é possível extrair informações de uma equação diferencial utilizando uma análise geométrica de uma função, sem necessariamente encontrar a solução dessa equação diferencial. Também estabelecemos critérios para determinar a estabilidade das soluções de uma equação diferencial. Elton (UFLA) Bifurcações 55 / 59
  • 167.
    Conclusão Neste trabalho, estudamosas equações diferenciais ordinárias de primeira ordem, suas particularidades e formas de representar as soluções desse tipo de equações. Vimos que é possível extrair informações de uma equação diferencial utilizando uma análise geométrica de uma função, sem necessariamente encontrar a solução dessa equação diferencial. Também estabelecemos critérios para determinar a estabilidade das soluções de uma equação diferencial. Avaliamos as equações diferenciais lineares de primeira ordem que dependiam de um parâmetro e estudamos a ocorrência de bifurcação. Elton (UFLA) Bifurcações 55 / 59
  • 168.
    Os pontos debifurcação são interessantes em muitas aplicações, porque perto deles a natureza da solução de uma equação diferencial sofre uma mudança abrupta, como vimos nos três tipos de bifurcação: sela-nó, transcrítica e forquilha. Elton (UFLA) Bifurcações 56 / 59
  • 169.
    Os pontos debifurcação são interessantes em muitas aplicações, porque perto deles a natureza da solução de uma equação diferencial sofre uma mudança abrupta, como vimos nos três tipos de bifurcação: sela-nó, transcrítica e forquilha. Para trabalhos futuros, uma sugestão é investigar as bifurcações cuja codimensão seja maior que um e suas relações com o caos em sistemas dinâmicos. Elton (UFLA) Bifurcações 56 / 59
  • 170.
    REFERÊNCIAS I ANJOS, T.A. N. dos. Equações de diferenças e algumas aplicações em modelos populacionais. 2011. 99 p. Monografia (Graduação em Matemática) - Universidade Federal de Lavras, Lavras, 2011. BOYCE, W. E.; DIPRIMA, R. C. Equações diferenciais elementares e problemas de valores de contorno. Tradução de Valéria de Magalhães Iorio. 8. ed. Rio de Janeiro: Livros Técnicos e Científicos, 2006. Título original: Elementary differencial equations and boundary value problems. FIGUEIREDO, D. G. de; NEVES, A. F. Equações diferenciais aplicadas. Rio de Janeiro, Instituto de Matemática Pura e Aplicada, CNPq, 1997. 301 p. (Coleção Matemática Universitária) LIMA, E. L. Análise real volume 1: funções de uma variável. 8. ed. Rio de Janeiro: Instituto de Matemática Pura e Aplicada, 2006. 189 p. (Coleção Matemática Universitária) Elton (UFLA) Bifurcações 57 / 59
  • 171.
    REFERÊNCIAS II MONTEIRO, L.H. A. Sistemas dinâmicos. 2. ed. São Paulo: Livraria da Física, 2006. 625 p. VILLATE, J. E. Introdução aos sistemas dinâmicos: uma abordagem prática com maxima. Porto: Universidade do Porto, 2007. Disponível em: <http://villate.org/doc/sistemasdinamicos/sistdinam-1_2.pdf>. WITKOWSKI FILHO, L. E. O comportamento dinâmico e a bifurcação de Hopf no oregonator. 2006. Monografia (Graduação em Matemática) - Universidade Estadual Paulista Júlio de Mesquita Filho, UNESP, Presidente Prudente. Disponível em: <http://www.impa.br/opencms/pt/eventos/downloads/jornadas_2006/ trabalhos/jornadas_luiz_witkowski.pdf>. Elton (UFLA) Bifurcações 58 / 59
  • 172.
    Muito obrigado! Elton (UFLA)Bifurcações 59 / 59