Ação Moduladoura da Crioterapia na concentração sérica de CK em
Jovens Atletas de futebol
Introdução
A crioterapia é o método que utiliza a redução da temperatura local como recurso auxiliar no
processo de regeneração de tecidos lesionados. Os objetivos da crioterapia são: reduzir o
edema causado na região da lesão, diminuir o processo inflamatório, diminuir o espasmo
muscular, provocar analgesia local e causar uma hiperemia no local para que seja oferecida a
célula aporte de nutrientes para sua reconstrução após as micro-rupturas (HARRELSON et al.
2000; KITCHEN, 2003).
É descrito que o exercício induz microlesões no tecido muscular esquelético. Durante todo o
ciclo de contração (fases excêntrica e concêntrica) as tensões geradas na fibra muscular podem
levar a micro rupturas no sarcolema e lamina basal, sendo que a fase excêntrica se comparada
à concêntrica proporciona maior quantidade de micro lesões musculares (HORTOBÁGYI et al.,
1998; WILLOUGHBY et al., 2003). Essas lesões podem ser observadas diretamente por
microscopia ou verificadas indiretamente por marcadores de lesão tecidual (HORTOBÁGYI et
al., 1998; NOSAKA e NEWTON, 2002; WILLOUGHBY et al., 2003). A ruptura do sarcolema
permite o extravasamento do conteúdo intracelular, causando o aparecimento de enzimas,
proteínas e fragmentos de proteína no sangue. Entre estes marcadores de lesão tecidual
destacam-se a creatina quinase (CK), lactato desidrogenase (LDH), mioglobina, troponina I e
fragmentos de miosina. Sendo assim verificar o aparecimento destas enzimas no sangue serve
como indicador de lesão tecidual (NOSAKA e NEWTON, 2002).
O tecido lesionado precisa ser reconstituído para que o funcionamento adequado do músculo
esquelético seja recuperado. Estas rupturas no tecido são reconstruídas, pois há sinalização do
íon Ca++ do retículo sarcoplasmático para que haja síntese de hormônios, por exemplo IGF-I.
Esses hormônios vão sinalizar aos núcleos da fibra muscular a síntese de novas proteínas como
cadeia pesada de miosina (MHC) e proteínas do citoesqueleto da fibra muscular (WILLOUGHBY
e PELSUE, 2000). Desta maneira a célula muscular reconstituída, irá adaptar-se ao exercício
sintetizando um número maior de proteínas, promovendo assim o processo de hipertrofia
muscular (ELIAKIM et al., 1998; WILLOUGHBY e PELSUE., 2000; CHEVION et al., 2003).
As microlesões provocadas no sarcolema induzem liberação de prostaglandinas e por um
processo de quimiotaxia há a atração de células do sistema imune como macrófagos,
neutrófilos, eosinófilos ocorrendo assim uma resposta inflamatória (STUPKA et al. 2001; CHEN e
HSIEH, 2001; WILLOUGHBY, et al. 2003).
Postula-se que a crioterapia é capaz de diminuir a resposta inflamatória, reduzindo o edema
causado na região da lesão, diminuindo o espasmo muscular e provocando analgesia. Espera-se
que estas respostas fisiológicas restaurem as condições normais do tecido lesionado
(HARRELSON et al., 1998; KITCHEN, 2003).
Zoppi et al. (2003) verificaram que atividade física aumenta os marcadores séricos de
estresse oxidativo e de lesão músculo-esquelético durante período de competição em atletas de
futebol. A seqüência de jogos em uma competição leva os atletas a seguidos estresses
mecânicos (microlesões) e metabólicos (estresse oxidativo) que se não forem recuperados
rapidamente podem levá-lo a um futuro estado de sobretreinamento (BUDGETT et al., 2000).
Objetivando acelerar o processo de regeneração tecidual, equipes desportivas de várias
modalidades usam a imersão em água fria (crioterapia).
O objetivo deste trabalho é verificar o efeito da imersão em água fria (crioterapia) sobre os
marcadores séricos de lesão muscular após serem induzidas micro rupturas no sarcolema
através do exercício.
Metodologia
Sujeitos
Homens entre 14-20 anos, atletas de futebol, que não utilizavam nenhum tipo de
suplementação dietética, esteróides anabolizantes e que não apresentavam lesões osteo-mio-
articulares. Foram divididos randomicamente em dois grupos, controle (CONT; n = 10) e
experimental (CRIO; n = 9). Posteriormente estes mesmos atletas foram subdivididos de
acordo com a faixa etária: CRIO17- e CONT17- constituído de atletas com menos que 17 anos,
CRIO16+ e CONT16+ com atletas com mais que 16 anos .
Os sujeitos ou os responsáveis assinaram um termo de participação consentida em que havia
a descrição dos procedimentos a que seriam submetidos conforme a resolução nº 251, de
07/08/1997 do CONSELHO NACIONAL DE SAÚDE e na resolução números 196, de 10/10/1996
que são as diretrizes e normas regulamentadoras de pesquisa envolvendo seres humanos.
Procedimentos
Inicialmente os sujeitos passaram por uma avaliação antropométrica que consistiu de: Massa
Corporal Total (MCT) e dobras cutâneas (tríceps, suprailíca e coxa). A MCT foi obtida em
balança Lightex (Brasil) e as dobras cutâneas em adipômetro científico (CESCORF - Brasil) que
possibilitou calcular o percentual de gordura (%G) pelo protocolo de Pollock de 3 dobras e a
Massa Corporal Magra (MCM) dos sujeitos.
Os indivíduos realizaram um treinamento de corrida contínua com velocidade variada de
trabalho (CCVV) além dos treinamentos normalmente realizados. O campo de futebol foi
delimitado em uma área de 50 m2 conforme descrito em Bassini et al. (2005), onde foram
realizados tiros de 5, 10, 20, 30 metros reproduzindo deslocamentos realizados em uma partida
real de futebol. Entre cada tiro em alta velocidade o intervalo de tempo para recuperação ativa
de 80 segundos. Os atletas não tiveram conhecimento prévio do número ou distribuição dos
tiros, como também não foram informados sobre a ordem de execução. A freqüência e ordem
de execução de cada tiro foram feitas de forma randômica no teste, o tempo total foi de 50 min
(PlotPilot 2.02, TaffySoft, USA).
O grupo experimental foi submetido em seu primeiro dia (0h) a uma coleta de sangue,
mensurando os níveis basais de CK e logo em seguida os sujeitos realizaram o CCVV. Após 8
min da realização do exercício os sujeitos imergiram os membros inferiores em uma caixa com
água e gelo onde a temperatura se manteve em aproximadamente 8° C (termômetro
Inconterm - Brasil). O tempo total de imersão foi de 15 min. Os atletas foram submetidos à
nova coleta de sangue 24, 52 e 76 h após o CCVV. Com o grupo controle (CONT) foi
desenvolvido o mesmo programa do grupo experimental, porém sem a imersão após os
exercícios, no mesmo período os atletas permaneceram no mesmo ambiente e fizeram um
repouso passivo. É importante ressaltar que todos os atletas participaram de exercícios de
aquecimento geral e específico antes de realizar o CCVV (Figura 1).
Figura 1 - Desenho experimental. Todos os atletas foram submetidos inicialmente a antropometria e a coleta de sangue (0h).
Imediatamente após iniciaram o exercício (Aquecimento + CCVV), repousaram por 8 minutos e foram submetidos à imersão em
água a 8°C (CRIO) ou repouso passivo (CONT) durante 20 min. Após 24h foram coletadas amostras de sangue para dosagem
de CK, novas coletas foram realizadas 52 e 76h.
Amostras sangüíneas
A amostra (aproximadamente 5 ml) foi imediatamente depositada e homogeneizada em um
tubo heparinizado seguido de centrifugação a 3000 rpm (1600 G) por 20 min. Para análise da
atividade de CK foi utilizado método enzimático (CK-NAC UV otimizado - Biodiagnóstica - Brasil)
em espectrofotômetro Specord M500 (Zeiss - Germany) a 37ºC.
Estatística
O teste t de "Student" foi utilizado para avaliar a hipótese nula de que as médias de cada
característica do grupo controle eram iguais às do grupo experimental, versus a hipótese
alternativa de que as médias eram diferentes. O nível de significância adotado foi de 5% (a =
0,05). Para os dados com medidas repetidas foi utilizado ANOVA e, caso necessário, teste post
hoc de Tukey, ainda com nível de significância de 5%. O tratamento estatístico foi realizado em
SPSS® 13.0 for Windows (LEAD Technologies, 2004).
Resultados
O perfil antropométrico dos sujeitos foi avaliado com objetivo de verificar possíveis
heterogeneidades entre os grupos estudados e distorções que pudessem comprometer o
resultado do estudo. Os grupos não apresentaram diferenças em nenhuma das medidas
antropométricas (MCT e %G) e a randomizaçao dividiu os sujeitos em grupos de idades
estatisticamente iguais (p>0,05). Estes dados podem ser vistos na tabela 1.
Tabela 1 - Características antropométrica dos sujeitos e concentração basal de CK. Antes do experimento todos os sujeitos
foram avaliados antropometricamente e após as randomização as médias foram comparadas para verificar se os grupos
permaneciam homogêneos. Os valores representam as médias e os respectivos valores, apresentamos também a variação da
população. Nenhum dos parâmetros analisados apresentou estatística entre o grupos (p>0,05). (CONT) grupo controle; (CRIO)
grupo crioterapia; (CONT17-) ou (CRIO17-) idade abaixo de 17 anos; (CRIO16+) ou (CONT16+) idade entre 16 e 20 anos;
(MCT) massa corporal total; (%G) percentual de gordura.
As concentrações basais de CK (0h) também eram homogêneas entre os grupos. Como
todos os sujeitos eram atletas em atividade, a concentração de CK apresentava-se alta. O grupo
CRIO apresentava concentração média de 398 ± 79 U/L, o valor referência para população é de
até 180 U/L. O grupo CONT apresentou valores de 389 ± 49 (Tabela 1).
Analisando o grupo total de atletas, verificamos que CONT não apresentou diferença na
variação percentual da concentração de CK entre os intervalos de coleta de amostras (p>0,05).
Porém CRIO apresentou concentrações 2 vezes maiores de CK após 24h da realização do
exercício (p < 0,05). Nos outros momentos de coleta não houve diferença na concentração de
CK em relação à 0h (Figura 2).
Figura 2 - Variação normalizada da concentração de CK (média ± erro padrão). Os valores individuais de CK foram
normalizados de acordo com 0h e representados graficamente em relação ao tempo. A concentração de CK no grupo CONT não
sofreu alterações durante todo o procedimento (p>0,05). (*) diferente de 0h e diferente de CONT (p<0,05).
Como os atletas eram na sua maior parte adolescentes, subdividimos os grupos em dois. A
concentração de CK variou no grupo CRIO17- (atletas com menos que 17 anos que foram
submetidos a crioterapia; n = 4) aumentando 2,4 vezes a concentração de CK nas primeiras
24h, enquanto o grupo CONT17- (n = 7) manteve a concentração de CK semelhante a basal
(Figura 3). Nas dosagens subseqüentes ambos os grupos apresentaram concentrações médias
de CK idênticas as de 0h (p>0,05).
A mesma cinética de aparecimento de CK ocorreu com CRIO16+ (n = 6). A concentração de
CK aumentou 2,2 vezes 24h após o CCVV (p<0,05). As concentrações das dosagens
subseqüentes e as concentrações do grupo CONT16+ mantiveram-se em patamares idênticos a
0h (Figura 4).
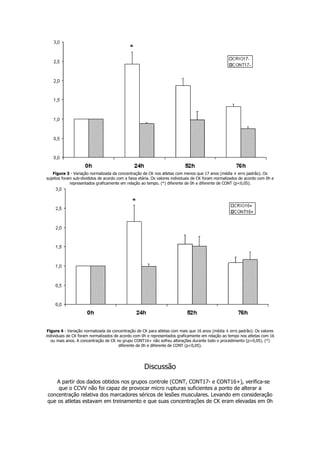
Figura 3 - Variação normalizada da concentração de CK nos atletas com menos que 17 anos (média ± erro padrão). Os
sujeitos foram sub-divididos de acordo com a faixa etária. Os valores individuais de CK foram normalizados de acordo com 0h e
representados graficamente em relação ao tempo. (*) diferente de 0h e diferente de CONT (p<0,05).
Figura 4 - Variação normalizada da concentração de CK para atletas com mais que 16 anos (média ± erro padrão). Os valores
individuais de CK foram normalizados de acordo com 0h e representados graficamente em relação ao tempo nos atletas com 16
ou mais anos. A concentração de CK no grupo CONT16+ não sofreu alterações durante todo o procedimento (p>0,05). (*)
diferente de 0h e diferente de CONT (p<0,05).
Discussão
A partir dos dados obtidos nos grupos controle (CONT, CONT17- e CONT16+), verifica-se
que o CCVV não foi capaz de provocar micro rupturas suficientes a ponto de alterar a
concentração relativa dos marcadores séricos de lesões musculares. Levando em consideração
que os atletas estavam em treinamento e que suas concentrações de CK eram elevadas em 0h
(389 ± 49 U/L), haveria necessidade de exercícios mais intensos do que aqueles realizados nos
treinamentos habituais para alterar o perfil de microlesões (STUPKA et al., 2001).
Segundo Oksa et al. (2002), indivíduos que realizam exercícios repetitivos e que são
expostos ao frio produzem maior atividade eletromiográfica e fadiga que os indivíduos que
realizam somente exercício em condições de temperatura normal. A maior atividade
eletromiográfica denota maior atividade muscular, desta forma desenvolvendo altos níveis de
tensão e conseqüentemente microlesões. Desta forma foi postulado que a baixa temperatura
causaria modificações nas estruturas protéicas que compunham a fibra muscular. Sugere-se
que aumento da tensão observado no grupo exposto à baixa temperatura foi maior (SWEITZER
e MOSS, 1990).
A troponina C (TnC) é reguladora da contração muscular através da mudança
conformacional sofrida por esta proteína ao ser ligada ao cálcio (para revisão ver BERCHTOLD
et al., 2000). Fibras musculares isoladas de coelhos e ratos submetidos à redução de
temperatura (entre 10 e 22 °C) apresentaram maior afinidade da TnC ao Cálcio, fazendo com
que as contrações musculares apresentassem maior tensão. Esta afinidade aumentava em
proporção inversa a temperatura, sugerindo que a baixa temperatura atua como moduladora do
controle local da contração muscular (SWEITZER e MOSS, 1990). A hipótese levantada por
Sweitzer e Moss (1990) é corroborada pelos experimentos de Foguel et al. (1995).
Nesse estudo foi observado que após alguns minutos de imersão, os sujeitos realizaram
contrações involuntárias. Conforme descrito anteriormente o frio induz a uma resposta contrátil
involuntária para aumentar o metabolismo local e aumentar a temperatura. Neste caso, as
contrações induzidas pela imersão aumentaram o estresse muscular local causando micro-
rupturas e aumentando a concentração sérica de CK nos sujeitos submetidos a crioterapia.
Dados apresentados na literatura mostram que o pico da concentração de CK se dá 48h após
a realização do exercício. Neste estudo os picos apareceram após 24h, Estes dados corroboram
os achados de Lee et al (2005) em que a crioterapia não contribui para prevenir o aparecimento
das lesões, porém aumenta a velocidade de reparação tecidual.
Na literatura técnica encontram-se diferentes maneiras de aplicação do frio para reparação
tecidual e diminuição de inflamações (HARRELSON et al, 2000). A imersão realizada neste
experimento não foi benéfica aos atletas, verificamos aumento na concentração de CK,
indicando maiores lesões nos sujeitos submetidos ao procedimento. Merrick et al (1999)
mostrou em modelo animal que a colocação de bolsas de gelo para resfriamento da região
afetada conduziu a menor aparecimento de marcadores de lesão tecidual.
Conclusão
Os resultados dos grupos CRIO evidenciaram que a imersão em água fria provocou aumento
na concentração relativa de CK 24h após o exercício. Podemos inferir a partir destes dados que
a crioterapia, nas condições realizadas neste experimento, induz microlesões de forma
semelhante ao exercício intenso. Contudo, os sujeitos submetidos a crioterapia tiveram uma
redução na meia vida da CK sérica.
Agradecimentos
Agradecemos ao CENTROLAB (Álvaro Dutra) pela ajuda na coleta das amostras; Márcio
Monzato que nos disponibilizou os atletas; Altamiro Bottino e Adriana Bassini pela contribuição
nas informações sobre o CCVV.

Ação Moduladora da Crioterapia...

  • 1.
    Ação Moduladoura daCrioterapia na concentração sérica de CK em Jovens Atletas de futebol Introdução A crioterapia é o método que utiliza a redução da temperatura local como recurso auxiliar no processo de regeneração de tecidos lesionados. Os objetivos da crioterapia são: reduzir o edema causado na região da lesão, diminuir o processo inflamatório, diminuir o espasmo muscular, provocar analgesia local e causar uma hiperemia no local para que seja oferecida a célula aporte de nutrientes para sua reconstrução após as micro-rupturas (HARRELSON et al. 2000; KITCHEN, 2003). É descrito que o exercício induz microlesões no tecido muscular esquelético. Durante todo o ciclo de contração (fases excêntrica e concêntrica) as tensões geradas na fibra muscular podem levar a micro rupturas no sarcolema e lamina basal, sendo que a fase excêntrica se comparada à concêntrica proporciona maior quantidade de micro lesões musculares (HORTOBÁGYI et al., 1998; WILLOUGHBY et al., 2003). Essas lesões podem ser observadas diretamente por microscopia ou verificadas indiretamente por marcadores de lesão tecidual (HORTOBÁGYI et al., 1998; NOSAKA e NEWTON, 2002; WILLOUGHBY et al., 2003). A ruptura do sarcolema permite o extravasamento do conteúdo intracelular, causando o aparecimento de enzimas, proteínas e fragmentos de proteína no sangue. Entre estes marcadores de lesão tecidual destacam-se a creatina quinase (CK), lactato desidrogenase (LDH), mioglobina, troponina I e fragmentos de miosina. Sendo assim verificar o aparecimento destas enzimas no sangue serve como indicador de lesão tecidual (NOSAKA e NEWTON, 2002). O tecido lesionado precisa ser reconstituído para que o funcionamento adequado do músculo esquelético seja recuperado. Estas rupturas no tecido são reconstruídas, pois há sinalização do íon Ca++ do retículo sarcoplasmático para que haja síntese de hormônios, por exemplo IGF-I. Esses hormônios vão sinalizar aos núcleos da fibra muscular a síntese de novas proteínas como cadeia pesada de miosina (MHC) e proteínas do citoesqueleto da fibra muscular (WILLOUGHBY e PELSUE, 2000). Desta maneira a célula muscular reconstituída, irá adaptar-se ao exercício sintetizando um número maior de proteínas, promovendo assim o processo de hipertrofia muscular (ELIAKIM et al., 1998; WILLOUGHBY e PELSUE., 2000; CHEVION et al., 2003). As microlesões provocadas no sarcolema induzem liberação de prostaglandinas e por um processo de quimiotaxia há a atração de células do sistema imune como macrófagos, neutrófilos, eosinófilos ocorrendo assim uma resposta inflamatória (STUPKA et al. 2001; CHEN e HSIEH, 2001; WILLOUGHBY, et al. 2003). Postula-se que a crioterapia é capaz de diminuir a resposta inflamatória, reduzindo o edema causado na região da lesão, diminuindo o espasmo muscular e provocando analgesia. Espera-se que estas respostas fisiológicas restaurem as condições normais do tecido lesionado (HARRELSON et al., 1998; KITCHEN, 2003). Zoppi et al. (2003) verificaram que atividade física aumenta os marcadores séricos de estresse oxidativo e de lesão músculo-esquelético durante período de competição em atletas de futebol. A seqüência de jogos em uma competição leva os atletas a seguidos estresses mecânicos (microlesões) e metabólicos (estresse oxidativo) que se não forem recuperados rapidamente podem levá-lo a um futuro estado de sobretreinamento (BUDGETT et al., 2000). Objetivando acelerar o processo de regeneração tecidual, equipes desportivas de várias modalidades usam a imersão em água fria (crioterapia).
  • 2.
    O objetivo destetrabalho é verificar o efeito da imersão em água fria (crioterapia) sobre os marcadores séricos de lesão muscular após serem induzidas micro rupturas no sarcolema através do exercício. Metodologia Sujeitos Homens entre 14-20 anos, atletas de futebol, que não utilizavam nenhum tipo de suplementação dietética, esteróides anabolizantes e que não apresentavam lesões osteo-mio- articulares. Foram divididos randomicamente em dois grupos, controle (CONT; n = 10) e experimental (CRIO; n = 9). Posteriormente estes mesmos atletas foram subdivididos de acordo com a faixa etária: CRIO17- e CONT17- constituído de atletas com menos que 17 anos, CRIO16+ e CONT16+ com atletas com mais que 16 anos . Os sujeitos ou os responsáveis assinaram um termo de participação consentida em que havia a descrição dos procedimentos a que seriam submetidos conforme a resolução nº 251, de 07/08/1997 do CONSELHO NACIONAL DE SAÚDE e na resolução números 196, de 10/10/1996 que são as diretrizes e normas regulamentadoras de pesquisa envolvendo seres humanos. Procedimentos Inicialmente os sujeitos passaram por uma avaliação antropométrica que consistiu de: Massa Corporal Total (MCT) e dobras cutâneas (tríceps, suprailíca e coxa). A MCT foi obtida em balança Lightex (Brasil) e as dobras cutâneas em adipômetro científico (CESCORF - Brasil) que possibilitou calcular o percentual de gordura (%G) pelo protocolo de Pollock de 3 dobras e a Massa Corporal Magra (MCM) dos sujeitos. Os indivíduos realizaram um treinamento de corrida contínua com velocidade variada de trabalho (CCVV) além dos treinamentos normalmente realizados. O campo de futebol foi delimitado em uma área de 50 m2 conforme descrito em Bassini et al. (2005), onde foram realizados tiros de 5, 10, 20, 30 metros reproduzindo deslocamentos realizados em uma partida real de futebol. Entre cada tiro em alta velocidade o intervalo de tempo para recuperação ativa de 80 segundos. Os atletas não tiveram conhecimento prévio do número ou distribuição dos tiros, como também não foram informados sobre a ordem de execução. A freqüência e ordem de execução de cada tiro foram feitas de forma randômica no teste, o tempo total foi de 50 min (PlotPilot 2.02, TaffySoft, USA). O grupo experimental foi submetido em seu primeiro dia (0h) a uma coleta de sangue, mensurando os níveis basais de CK e logo em seguida os sujeitos realizaram o CCVV. Após 8 min da realização do exercício os sujeitos imergiram os membros inferiores em uma caixa com água e gelo onde a temperatura se manteve em aproximadamente 8° C (termômetro Inconterm - Brasil). O tempo total de imersão foi de 15 min. Os atletas foram submetidos à nova coleta de sangue 24, 52 e 76 h após o CCVV. Com o grupo controle (CONT) foi desenvolvido o mesmo programa do grupo experimental, porém sem a imersão após os exercícios, no mesmo período os atletas permaneceram no mesmo ambiente e fizeram um repouso passivo. É importante ressaltar que todos os atletas participaram de exercícios de aquecimento geral e específico antes de realizar o CCVV (Figura 1).
  • 3.
    Figura 1 -Desenho experimental. Todos os atletas foram submetidos inicialmente a antropometria e a coleta de sangue (0h). Imediatamente após iniciaram o exercício (Aquecimento + CCVV), repousaram por 8 minutos e foram submetidos à imersão em água a 8°C (CRIO) ou repouso passivo (CONT) durante 20 min. Após 24h foram coletadas amostras de sangue para dosagem de CK, novas coletas foram realizadas 52 e 76h. Amostras sangüíneas A amostra (aproximadamente 5 ml) foi imediatamente depositada e homogeneizada em um tubo heparinizado seguido de centrifugação a 3000 rpm (1600 G) por 20 min. Para análise da atividade de CK foi utilizado método enzimático (CK-NAC UV otimizado - Biodiagnóstica - Brasil) em espectrofotômetro Specord M500 (Zeiss - Germany) a 37ºC. Estatística O teste t de "Student" foi utilizado para avaliar a hipótese nula de que as médias de cada característica do grupo controle eram iguais às do grupo experimental, versus a hipótese alternativa de que as médias eram diferentes. O nível de significância adotado foi de 5% (a = 0,05). Para os dados com medidas repetidas foi utilizado ANOVA e, caso necessário, teste post hoc de Tukey, ainda com nível de significância de 5%. O tratamento estatístico foi realizado em SPSS® 13.0 for Windows (LEAD Technologies, 2004). Resultados O perfil antropométrico dos sujeitos foi avaliado com objetivo de verificar possíveis heterogeneidades entre os grupos estudados e distorções que pudessem comprometer o resultado do estudo. Os grupos não apresentaram diferenças em nenhuma das medidas antropométricas (MCT e %G) e a randomizaçao dividiu os sujeitos em grupos de idades estatisticamente iguais (p>0,05). Estes dados podem ser vistos na tabela 1. Tabela 1 - Características antropométrica dos sujeitos e concentração basal de CK. Antes do experimento todos os sujeitos foram avaliados antropometricamente e após as randomização as médias foram comparadas para verificar se os grupos permaneciam homogêneos. Os valores representam as médias e os respectivos valores, apresentamos também a variação da população. Nenhum dos parâmetros analisados apresentou estatística entre o grupos (p>0,05). (CONT) grupo controle; (CRIO) grupo crioterapia; (CONT17-) ou (CRIO17-) idade abaixo de 17 anos; (CRIO16+) ou (CONT16+) idade entre 16 e 20 anos; (MCT) massa corporal total; (%G) percentual de gordura. As concentrações basais de CK (0h) também eram homogêneas entre os grupos. Como todos os sujeitos eram atletas em atividade, a concentração de CK apresentava-se alta. O grupo CRIO apresentava concentração média de 398 ± 79 U/L, o valor referência para população é de até 180 U/L. O grupo CONT apresentou valores de 389 ± 49 (Tabela 1).
  • 4.
    Analisando o grupototal de atletas, verificamos que CONT não apresentou diferença na variação percentual da concentração de CK entre os intervalos de coleta de amostras (p>0,05). Porém CRIO apresentou concentrações 2 vezes maiores de CK após 24h da realização do exercício (p < 0,05). Nos outros momentos de coleta não houve diferença na concentração de CK em relação à 0h (Figura 2). Figura 2 - Variação normalizada da concentração de CK (média ± erro padrão). Os valores individuais de CK foram normalizados de acordo com 0h e representados graficamente em relação ao tempo. A concentração de CK no grupo CONT não sofreu alterações durante todo o procedimento (p>0,05). (*) diferente de 0h e diferente de CONT (p<0,05). Como os atletas eram na sua maior parte adolescentes, subdividimos os grupos em dois. A concentração de CK variou no grupo CRIO17- (atletas com menos que 17 anos que foram submetidos a crioterapia; n = 4) aumentando 2,4 vezes a concentração de CK nas primeiras 24h, enquanto o grupo CONT17- (n = 7) manteve a concentração de CK semelhante a basal (Figura 3). Nas dosagens subseqüentes ambos os grupos apresentaram concentrações médias de CK idênticas as de 0h (p>0,05). A mesma cinética de aparecimento de CK ocorreu com CRIO16+ (n = 6). A concentração de CK aumentou 2,2 vezes 24h após o CCVV (p<0,05). As concentrações das dosagens subseqüentes e as concentrações do grupo CONT16+ mantiveram-se em patamares idênticos a 0h (Figura 4).
  • 5.
    Figura 3 -Variação normalizada da concentração de CK nos atletas com menos que 17 anos (média ± erro padrão). Os sujeitos foram sub-divididos de acordo com a faixa etária. Os valores individuais de CK foram normalizados de acordo com 0h e representados graficamente em relação ao tempo. (*) diferente de 0h e diferente de CONT (p<0,05). Figura 4 - Variação normalizada da concentração de CK para atletas com mais que 16 anos (média ± erro padrão). Os valores individuais de CK foram normalizados de acordo com 0h e representados graficamente em relação ao tempo nos atletas com 16 ou mais anos. A concentração de CK no grupo CONT16+ não sofreu alterações durante todo o procedimento (p>0,05). (*) diferente de 0h e diferente de CONT (p<0,05). Discussão A partir dos dados obtidos nos grupos controle (CONT, CONT17- e CONT16+), verifica-se que o CCVV não foi capaz de provocar micro rupturas suficientes a ponto de alterar a concentração relativa dos marcadores séricos de lesões musculares. Levando em consideração que os atletas estavam em treinamento e que suas concentrações de CK eram elevadas em 0h
  • 6.
    (389 ± 49U/L), haveria necessidade de exercícios mais intensos do que aqueles realizados nos treinamentos habituais para alterar o perfil de microlesões (STUPKA et al., 2001). Segundo Oksa et al. (2002), indivíduos que realizam exercícios repetitivos e que são expostos ao frio produzem maior atividade eletromiográfica e fadiga que os indivíduos que realizam somente exercício em condições de temperatura normal. A maior atividade eletromiográfica denota maior atividade muscular, desta forma desenvolvendo altos níveis de tensão e conseqüentemente microlesões. Desta forma foi postulado que a baixa temperatura causaria modificações nas estruturas protéicas que compunham a fibra muscular. Sugere-se que aumento da tensão observado no grupo exposto à baixa temperatura foi maior (SWEITZER e MOSS, 1990). A troponina C (TnC) é reguladora da contração muscular através da mudança conformacional sofrida por esta proteína ao ser ligada ao cálcio (para revisão ver BERCHTOLD et al., 2000). Fibras musculares isoladas de coelhos e ratos submetidos à redução de temperatura (entre 10 e 22 °C) apresentaram maior afinidade da TnC ao Cálcio, fazendo com que as contrações musculares apresentassem maior tensão. Esta afinidade aumentava em proporção inversa a temperatura, sugerindo que a baixa temperatura atua como moduladora do controle local da contração muscular (SWEITZER e MOSS, 1990). A hipótese levantada por Sweitzer e Moss (1990) é corroborada pelos experimentos de Foguel et al. (1995). Nesse estudo foi observado que após alguns minutos de imersão, os sujeitos realizaram contrações involuntárias. Conforme descrito anteriormente o frio induz a uma resposta contrátil involuntária para aumentar o metabolismo local e aumentar a temperatura. Neste caso, as contrações induzidas pela imersão aumentaram o estresse muscular local causando micro- rupturas e aumentando a concentração sérica de CK nos sujeitos submetidos a crioterapia. Dados apresentados na literatura mostram que o pico da concentração de CK se dá 48h após a realização do exercício. Neste estudo os picos apareceram após 24h, Estes dados corroboram os achados de Lee et al (2005) em que a crioterapia não contribui para prevenir o aparecimento das lesões, porém aumenta a velocidade de reparação tecidual. Na literatura técnica encontram-se diferentes maneiras de aplicação do frio para reparação tecidual e diminuição de inflamações (HARRELSON et al, 2000). A imersão realizada neste experimento não foi benéfica aos atletas, verificamos aumento na concentração de CK, indicando maiores lesões nos sujeitos submetidos ao procedimento. Merrick et al (1999) mostrou em modelo animal que a colocação de bolsas de gelo para resfriamento da região afetada conduziu a menor aparecimento de marcadores de lesão tecidual. Conclusão Os resultados dos grupos CRIO evidenciaram que a imersão em água fria provocou aumento na concentração relativa de CK 24h após o exercício. Podemos inferir a partir destes dados que a crioterapia, nas condições realizadas neste experimento, induz microlesões de forma semelhante ao exercício intenso. Contudo, os sujeitos submetidos a crioterapia tiveram uma redução na meia vida da CK sérica. Agradecimentos Agradecemos ao CENTROLAB (Álvaro Dutra) pela ajuda na coleta das amostras; Márcio Monzato que nos disponibilizou os atletas; Altamiro Bottino e Adriana Bassini pela contribuição nas informações sobre o CCVV.