Fonte: Race On - PC.




                       Velocidade Média   Prof. Ubirajara Neves
Definição
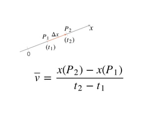
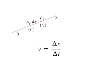
Velocidade Média
0
0
m




m/s


          s
km




km/h


            h
× 3,6




m/s           km/h




      ÷ 3,6
Prof. Ubirajara Neves
bira@progressocentro.com.br
           professorbira.com
        twitter.com/biraneves
 facebook.com/professorbira

Velocidade Média