Ëíslca e üuímica A:, 10.*                                                                                           I   oooro Ëü**Ën    @        5




       lnterpretação do espectro do átomo de hldrogónio




                                    Tubo de      descarga                      Espectro observado através
                                                                                de uma rede de difraccão

 Esquema da obtenção do espectro através de um tubo de descarga
   .          Tubo de gás                                                E
                                                                          c
                                                                                  E
                                                                                   c
                                                                                            E
                                                                                            c
                                                                                                  E
                                                                                                  C.
                                                                                                                                            E
                                                                                                                                            c
          contendo hidrogénlo                                            O-
                                                                         tr
                                                                                  C
                                                                                  O         t-t   -o                                        -o
                                                                         o.                 co    @
                                                                                  r$        <r   r$                                        ro
                                                                                       l/




Espectro do átomo de                             h   id rogén   io e respectivas tra nsiçõÊs eLectron icas
                                    Série de             Série de               Série de               Série de           Série de
                                     Lyma    n           Batmer                 Paschen                Bra c kett          Pfund
                                     [n,, = t)            ín, = 2l               [n. = 3ì                  ír,   = nl       [n,' = s)
                                i



                            I


                            t^




                            t^
                            -l


                                                           Vis íve   L




                                                                                                  Esta      do    fundamentaI
eiËnclas Ffelco-Químicag




        ilÍvEls ENERCÉncoS E ErilsSÃO DE LUZ DE cERTAS FREOUÊÌ{CIAs




                                                                                                                              Ë"o* $
                                                                                                   Ë
                 E4                                                                                Fs

                                            ffi
                                                                                                   s
                 F3                         ffi                                            .s
                                                                                                   Ë * 0,â4â x 1ü*tt J
        .g                                                    Emissãode                    cf)
                                            ffi                                            L-
         ct)                                ffi              radiações de                  ü)                               1.o estado
         L
         o
                                                                                           t;
                                                                                           L-           * 0,545 x 10*'* J
         c       E2                         ffi              determinadas                  LU                               excitado
        trJ                                 ffi
                                                              frequências
                                            ffi
                                            ffi               E;*   Ej   * r*;i                           ff-;#*,

                                                                                                                            Estado
                                                                                                        * 4,179 x 1ü*tu J   fundarnental


        Fig. 3   - As frequêncios das rodioções emitidos dependem                    Fig   .4    * Nïveis ênergêticos do electrõo        no
                      do seporoção dos nïveis energéticos. Qusnto msior                           ótomo de hidrogênio.
                      for o diferençq de energios, moior será ü frequênciq
                      do rodiaçôo emitido,




                              Série de            Série de                    Série de                   Série de
                               Lyman              Balmer                      Paschen                    Brackett
                               (ff=1)             W=2,                         (ni = 3)                   (ni = 4)




                                                                                                        Ëstado fundamental



   c

   *                  Tronsiçôes electrónicas em ótomos de hidrogénio excitodos, formondo cinco séries espectrois.
   0    Fig. 5    -
   i

   õ                  As diversos frequêncios podem colculor-se com bose nos vorioções de energio dodas pelo teorio
ÍïIII                 .{o R"th t
Ou thznaã                          íê do u(ú        no álçrr"              &

  A en€refe do JetMo               no!fuo /?6 W A               ul,tt   tah,         11,,
  icrdou yaÀficzd-             et V"nÀ'ú.t
  len uft1 üln b" &['n!d9 arttoart/o o nt'td dz eaaTr<
  Uttt (* de enurthz ot útabi

   OS   nìuaa encÌqcrlq, anajo            blrr, & o hnTt fdnno
  do    nJ&o-            '(r= t)
  OS  Ualnu da> enra4ras dot alub niycta eryrq,V-Q
                                             no
                                                :?zô-E{
  tttseòvU> FA h-Ut                      ,-t eb
             L     I,P1 TI4
                      lotã                  YY
                                         d.no@ 2o
  Vvex lrafolb do lform ( n= @ 4'skta, en'9í9 la e- OA.
                                             ,                         €

 í àe*o f*              è4**=êovêd*'nEroh-ug              /fryo                          1
 LM                e'   exhtoto    4p4h" g ai ./         â. = o / Êp =" J
              fa                         nnovet oda.@
                                        thA o
        ;-M'hdo t,éÁárw,-g c,E,grà e-bütuà , êL     )^    r^-    .l         ì       íì




    ft Ei /o k&,fr'/ttb (erorgr>, mthìrna rpctttc.'tuì,' F..tA ){.(p_
úCL o &ÈnZ bl?arro & H, ,ïo oakúo ft/Aácr,Etldl) rnla
    + &)tB t(o-t?fi.

   A*,rn      e eheryÈàeh" M             do à6"&|J,4urb no e,/a
Wrnelt"! (^=I) d                        &rft xlo-'tí
                                               {

                                         =-t ÌumoA G)
                          f
  lcctl -{e               c& elrcFu,s             F
                          uod/frio
A errcrT;. dos nìnb z41udÉ) +ó et nga*n ) u,tel (xrt'
  M            alvto2csrTT4ndo-& & ol qd- y1=o)

      os hìrü   uõ *                                ae ry weìa írt,6 la o[tÔ
                              "l*Finada
A A?eryÌa     à    htdr'acaf eto)'â'&
                         t
                                                   6tL   absrrndc - qsoa,h eL.ü
ht'ol gt Ne              ;
                  ^rr-
        FW=                    E
                                 ^,', ^l
                                ntrct
                               va.&nh
                                               e   Eu'rn!
                                                   aroà b)xo


{Aanad de attyf'e */*'a. P dt'td (^€) atActn a
* c4rn o ,nltr & att!Ú. /t @q2çà curbido ar-.âeauU.
deWì'huaa:
túa   absvã        t[ p*üac8 =Ag
                             abxtu'&
Na    oUu&sas
                     kha2 --= -^È
                  ? É.' t.
                             0224tha.

  Serrdo ÁÊ =      trìutl      '-F
                                 -Q,,'r'cÌo(
                   ?
* fAà -' L eruqh /o noa'a$ ë &t''t(-l ietine'
A+nvrï do   *fo)'* fu rïu*t clo I'A^A'urâ , 1oauut abot
oUaln üeU^[.> qut/r[vndutto edo*àce . ho e4,a
U)ca uVt'e.>l^nat à nAdtAcrã ernf h& F Utnq /thnct*,'te
b lTrrvet êfS eh;tró.or4 ) po0tnot ç&'r yt| a LE atfu,
    do|s rri,u€L eltet*v'cás . ftfò .ferni le -nor lqlrrrg
eÁ&e,
*tL a enottfiìa- 4p etothZ err'ì cúe nt&! ea eutelJe .
 *Ú^6 '      $t^attdo
                        t ebclToõ )"lt^'     eo lt = 2 61nl z)
             i,* o      A=   L ( L' wr'al)   emitz urt"1 ,adtad,
             A e4+., !,6ãsxrd," j .                            '
            pb^,;l.'i- p n!* dt aà6,t & I eleif,d             uD
            Urrel h= Z.
    E . F, = -Ág
    -d^â{                      e úb=ê '-Et ,l 4
                                    @                    êc")= 6ô)-ÁE
                                       q4r{â0) ccu,-l)
  -óÈ a l163-SrtdlF               -@t: -? z)tErbtú'l (,órs x,o-'t
                                  F  ì -    lil-tr{'e
   À Ê= '- 116 3sYìf
                        18

                                  Ecü='srQs>.Ë''I

 An*'*{ t   Èb^Lrraut o tals & enl.orgt &,      rad'àà Êayu.ta
            # o A^daoSz'ul.b Í,* b;      ^rr4rn[í,tzt 'NlA
             Lttn'$    clld^b*'-. "Ae h= z 'q ,, = 3.
   Ec4=-5r4sxtol3; tead,ag = ÂÉ Ás'-
   Ë6) = - ârlí zróta| t ãrÁ= - r, ttztto-ta- (- j.'sn6J

                        I '*^S= ?ro3 xlo-*l              I

áTomo de hidrogénio

  • 1.
    Ëíslca e üuímicaA:, 10.* I oooro Ëü**Ën @ 5 lnterpretação do espectro do átomo de hldrogónio Tubo de descarga Espectro observado através de uma rede de difraccão Esquema da obtenção do espectro através de um tubo de descarga . Tubo de gás E c E c E c E C. E c contendo hidrogénlo O- tr C O t-t -o -o o. co @ r$ <r r$ ro l/ Espectro do átomo de h id rogén io e respectivas tra nsiçõÊs eLectron icas Série de Série de Série de Série de Série de Lyma n Batmer Paschen Bra c kett Pfund [n,, = t) ín, = 2l [n. = 3ì ír, = nl [n,' = s) i I t^ t^ -l Vis íve L Esta do fundamentaI
  • 2.
    eiËnclas Ffelco-Químicag ilÍvEls ENERCÉncoS E ErilsSÃO DE LUZ DE cERTAS FREOUÊÌ{CIAs Ë"o* $ Ë E4 Fs ffi s F3 ffi .s Ë * 0,â4â x 1ü*tt J .g Emissãode cf) ffi L- ct) ffi radiações de ü) 1.o estado L o t; L- * 0,545 x 10*'* J c E2 ffi determinadas LU excitado trJ ffi frequências ffi ffi E;* Ej * r*;i ff-;#*, Estado * 4,179 x 1ü*tu J fundarnental Fig. 3 - As frequêncios das rodioções emitidos dependem Fig .4 * Nïveis ênergêticos do electrõo no do seporoção dos nïveis energéticos. Qusnto msior ótomo de hidrogênio. for o diferençq de energios, moior será ü frequênciq do rodiaçôo emitido, Série de Série de Série de Série de Lyman Balmer Paschen Brackett (ff=1) W=2, (ni = 3) (ni = 4) Ëstado fundamental c * Tronsiçôes electrónicas em ótomos de hidrogénio excitodos, formondo cinco séries espectrois. 0 Fig. 5 - i õ As diversos frequêncios podem colculor-se com bose nos vorioções de energio dodas pelo teorio ÍïIII .{o R"th t
  • 3.
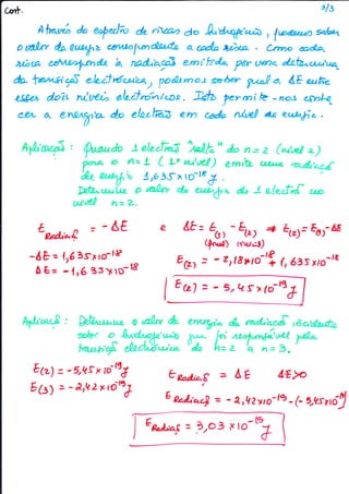
    Ou thznaã íê do u(ú no álçrr" & A en€refe do JetMo no!fuo /?6 W A ul,tt tah, 11,, icrdou yaÀficzd- et V"nÀ'ú.t len uft1 üln b" &['n!d9 arttoart/o o nt'td dz eaaTr< Uttt (* de enurthz ot útabi OS nìuaa encÌqcrlq, anajo blrr, & o hnTt fdnno do nJ&o- '(r= t) OS Ualnu da> enra4ras dot alub niycta eryrq,V-Q no :?zô-E{ tttseòvU> FA h-Ut ,-t eb L I,P1 TI4 lotã YY d.no@ 2o Vvex lrafolb do lform ( n= @ 4'skta, en'9í9 la e- OA. , € í àe*o f* è4**=êovêd*'nEroh-ug /fryo 1 LM e' exhtoto 4p4h" g ai ./ â. = o / Êp =" J fa nnovet oda.@ thA o ;-M'hdo t,éÁárw,-g c,E,grà e-bütuà , êL )^ r^- .l ì íì ft Ei /o k&,fr'/ttb (erorgr>, mthìrna rpctttc.'tuì,' F..tA ){.(p_ úCL o &ÈnZ bl?arro & H, ,ïo oakúo ft/Aácr,Etldl) rnla + &)tB t(o-t?fi. A*,rn e eheryÈàeh" M do à6"&|J,4urb no e,/a Wrnelt"! (^=I) d &rft xlo-'tí { =-t ÌumoA G) f lcctl -{e c& elrcFu,s F uod/frio
  • 4.
    A errcrT;. dosnìnb z41udÉ) +ó et nga*n ) u,tel (xrt' M alvto2csrTT4ndo-& & ol qd- y1=o) os hìrü uõ * ae ry weìa írt,6 la o[tÔ "l*Finada A A?eryÌa à htdr'acaf eto)'â'& t 6tL absrrndc - qsoa,h eL.ü ht'ol gt Ne ; ^rr- FW= E ^,', ^l ntrct va.&nh e Eu'rn! aroà b)xo {Aanad de attyf'e */*'a. P dt'td (^€) atActn a * c4rn o ,nltr & att!Ú. /t @q2çà curbido ar-.âeauU. deWì'huaa: túa absvã t[ p*üac8 =Ag abxtu'& Na oUu&sas kha2 --= -^È ? É.' t. 0224tha. Serrdo ÁÊ = trìutl '-F -Q,,'r'cÌo( ? * fAà -' L eruqh /o noa'a$ ë &t''t(-l ietine'
  • 5.
    A+nvrï do *fo)'* fu rïu*t clo I'A^A'urâ , 1oauut abot oUaln üeU^[.> qut/r[vndutto edo*àce . ho e4,a U)ca uVt'e.>l^nat à nAdtAcrã ernf h& F Utnq /thnct*,'te b lTrrvet êfS eh;tró.or4 ) po0tnot ç&'r yt| a LE atfu, do|s rri,u€L eltet*v'cás . ftfò .ferni le -nor lqlrrrg eÁ&e, *tL a enottfiìa- 4p etothZ err'ì cúe nt&! ea eutelJe . *Ú^6 ' $t^attdo t ebclToõ )"lt^' eo lt = 2 61nl z) i,* o A= L ( L' wr'al) emitz urt"1 ,adtad, A e4+., !,6ãsxrd," j . ' pb^,;l.'i- p n!* dt aà6,t & I eleif,d uD Urrel h= Z. E . F, = -Ág -d^â{ e úb=ê '-Et ,l 4 @ êc")= 6ô)-ÁE q4r{â0) ccu,-l) -óÈ a l163-SrtdlF -@t: -? z)tErbtú'l (,órs x,o-'t F ì - lil-tr{'e À Ê= '- 116 3sYìf 18 Ecü='srQs>.Ë''I An*'*{ t Èb^Lrraut o tals & enl.orgt &, rad'àà Êayu.ta # o A^daoSz'ul.b Í,* b; ^rr4rn[í,tzt 'NlA Lttn'$ clld^b*'-. "Ae h= z 'q ,, = 3. Ec4=-5r4sxtol3; tead,ag = ÂÉ Ás'- Ë6) = - ârlí zróta| t ãrÁ= - r, ttztto-ta- (- j.'sn6J I '*^S= ?ro3 xlo-*l I