Incorporar apresentação
Baixado 36 vezes







































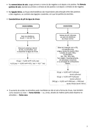
O documento discute o ciclo da água na Terra, como a água circula entre a atmosfera e os oceanos através de processos como evaporação, condensação e precipitação. Também aborda como as soluções aquosas afetam esses processos e são afetadas por eles, incluindo como os poluentes são transportados pela água entre os diferentes compartimentos da Terra.






































