UNIVERSIDADE FEDERAL DE ALAGOAS
                            Profª. Drª Cleide Jane de Sá Araujo Costa

                     I Período de Licenciatura em Pedagogia – Vespertino

                                   Joelma Silva Mota de Oliveira

                                        Lenilda Lopes da Silva




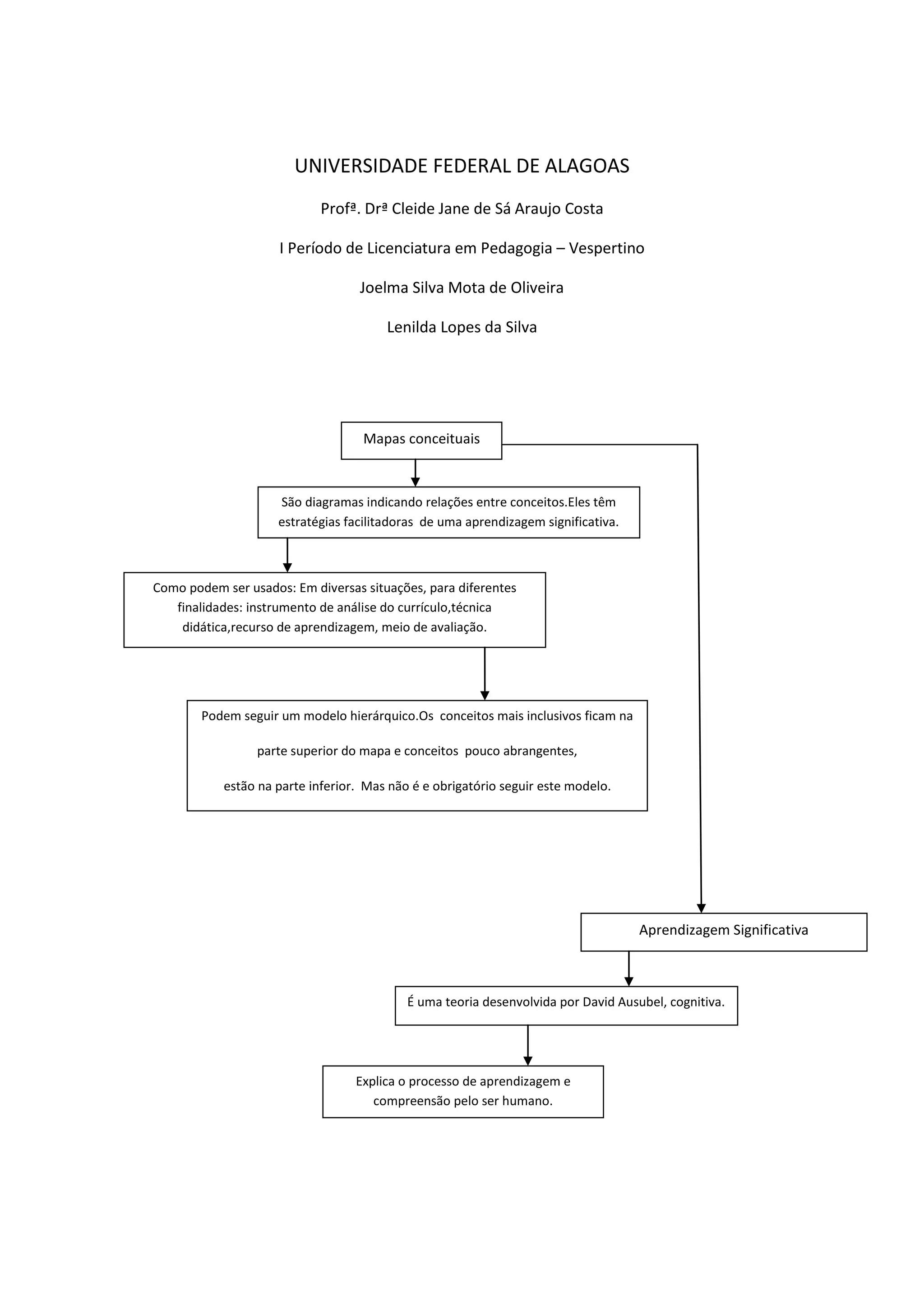
                                   Mapas conceituais



                     São diagramas indicando relações entre conceitos.Eles têm
                     estratégias facilitadoras de uma aprendizagem significativa.



Como podem ser usados: Em diversas situações, para diferentes
   finalidades: instrumento de análise do currículo,técnica
    didática,recurso de aprendizagem, meio de avaliação.




        Podem seguir um modelo hierárquico.Os conceitos mais inclusivos ficam na

                 parte superior do mapa e conceitos pouco abrangentes,

           estão na parte inferior. Mas não é e obrigatório seguir este modelo.




                                                                                    Aprendizagem Significativa



                                           É uma teoria desenvolvida por David Ausubel, cognitiva.




                                  Explica o processo de aprendizagem e
                                     compreensão pelo ser humano.

Mapas conceituais desenho

  • 1.
    UNIVERSIDADE FEDERAL DEALAGOAS Profª. Drª Cleide Jane de Sá Araujo Costa I Período de Licenciatura em Pedagogia – Vespertino Joelma Silva Mota de Oliveira Lenilda Lopes da Silva Mapas conceituais São diagramas indicando relações entre conceitos.Eles têm estratégias facilitadoras de uma aprendizagem significativa. Como podem ser usados: Em diversas situações, para diferentes finalidades: instrumento de análise do currículo,técnica didática,recurso de aprendizagem, meio de avaliação. Podem seguir um modelo hierárquico.Os conceitos mais inclusivos ficam na parte superior do mapa e conceitos pouco abrangentes, estão na parte inferior. Mas não é e obrigatório seguir este modelo. Aprendizagem Significativa É uma teoria desenvolvida por David Ausubel, cognitiva. Explica o processo de aprendizagem e compreensão pelo ser humano.